UNITED STATES

SECURITIES AND EXCHANGE COMMISSION

Washington, D.C. 20549

 

 

 

FORM 6-K

 

 

 

REPORT OF FOREIGN PRIVATE ISSUER

PURSUANT TO RULE 13a-16 OR 15d-16 UNDER

THE SECURITIES EXCHANGE ACT OF 1934

 

For the month of September 2024

 

Commission File Number: 001-39436

 

 

 

KE Holdings Inc.

(Registrant’s Name)

 

 

 

Oriental Electronic Technology Building,

No. 2 Chuangye Road, Haidian District,

Beijing 100086

People’s Republic of China

(Address of Principal Executive Offices)

 

 

 

Indicate by check mark whether the registrant files or will file annual reports under cover Form 20-F or Form 40-F.

 

Form 20-F x      Form 40-F ¨

 

 

 

 

 

 

EXHIBIT INDEX

 

Exhibit No.   Description
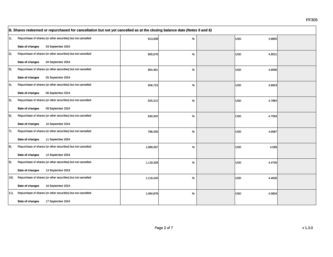
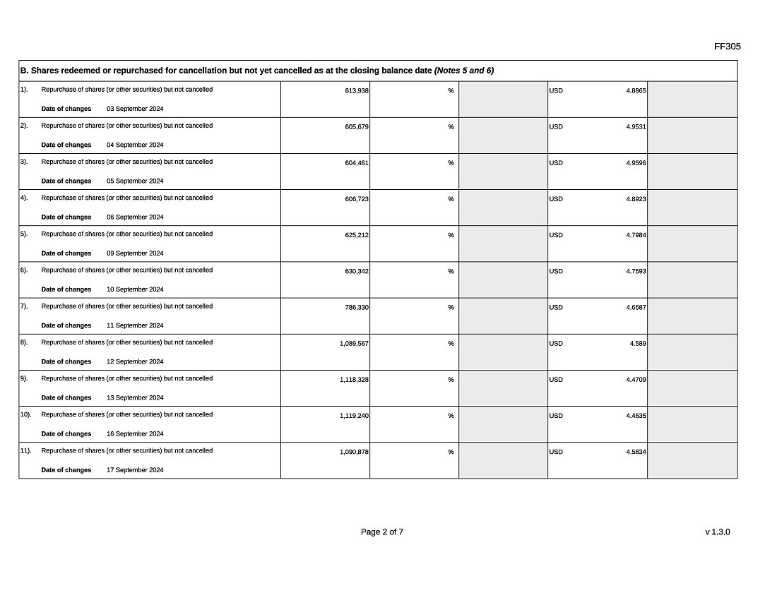
99.1   Next Day Disclosure Return Dated September 16, 2024
99.2   Next Day Disclosure Return Dated September 17, 2024
99.3   Next Day Disclosure Return Dated September 19, 2024
99.4   Next Day Disclosure Return Dated September 19, 2024
99.5   Next Day Disclosure Return Dated September 20, 2024

 

 

 

 

SIGNATURES

 

Pursuant to the requirements of the Securities Exchange Act of 1934, the registrant has duly caused this report to be signed on its behalf by the undersigned, thereunto duly authorized.

 

  KE Holdings Inc.
       
  By : /s/ XU Tao
  Name : XU Tao
  Title : Chief Financial Officer

 

Date: September 23, 2024

 

 

Exhibit 99.1

GRAPHIC

GRAPHIC

GRAPHIC

GRAPHIC

GRAPHIC

GRAPHIC

GRAPHIC

GRAPHIC

GRAPHIC

GRAPHIC

Exhibit 99.2

GRAPHIC

GRAPHIC

GRAPHIC

GRAPHIC

GRAPHIC

GRAPHIC

GRAPHIC

GRAPHIC

GRAPHIC

GRAPHIC

Exhibit 99.3

GRAPHIC

GRAPHIC

GRAPHIC

GRAPHIC

GRAPHIC

GRAPHIC

GRAPHIC

GRAPHIC

Exhibit 99.4

GRAPHIC

GRAPHIC

GRAPHIC

GRAPHIC

GRAPHIC

GRAPHIC

GRAPHIC

Exhibit 99.5

GRAPHIC

GRAPHIC

GRAPHIC

GRAPHIC

GRAPHIC

GRAPHIC

GRAPHIC