UNITED STATES
SECURITIES AND EXCHANGE COMMISSION
WASHINGTON, D.C. 20549
SCHEDULE 14A
Proxy Statement Pursuant to Section 14(a)
of the Securities Exchange Act of 1934
Filed by the Registrant ☒
Filed by a Party other than the Registrant ☐
Check the appropriate box:
| ☒ | Preliminary Proxy Statement |
|
|
|
| ☐ | Confidential, for Use of the SEC Only (as permitted by Rule 14a-6(e)(2)) |
|
|
|
| ☐ | Definitive Proxy Statement |
|
|
|
| ☐ | Definitive Additional Materials |
|
|
|
| ☐ | Soliciting Material Pursuant to 14a-12 |
| SHIFTPIXY, INC. |
| (Name of Registrant as Specified in Its Charter) |
|
| (Name of Person(s) Filing Proxy Statement, if other than the Registrant) |
|
Payment of Filing Fee (Check all boxes that apply):
| ☒ | No fee required. |
|
|
|
| ☐ | Fee paid previously with preliminary materials |
|
|
|
| ☐ | Fee computed on table in exhibit required by Item 25(b) per Exchange Act Rules 14a-6(i)(1) and 0-11. |

ShiftPixy, Inc.
4101 NW 25th Street,
Miami, Florida 33142
NOTICE OF SPECIAL MEETING OF STOCKHOLDERS
To be held on October 10, 2024
| To the Stockholders of ShiftPixy, Inc., | September [●], 2024 |
NOTICE IS HEREBY GIVEN that a Special Meeting of Stockholders (the “Special Meeting”) of ShiftPixy, Inc. (the “Company,” “we,” “us,” or “our”), will be held on October 10, 2024, at 9:00 A.M. Eastern Time at the Company’s offices at 4101 NW 25th Street, Miami, FL 33142. At the Special Meeting, stockholders will act on the following matters:
|
| ● | To ratify the August 2024 Offering and the amendment to warrants agreement (the “Ratification Proposal”); |
|
|
|
|
|
| ● | To approve an amendment to the Company’s Certificate of Incorporation to increase our authorized shares (the “Authorized Increase”).
|
|
| ● | To approve the adjournment of the Special Meeting to a later date or dates, if necessary or appropriate, to permit further solicitation and vote of proxies in the event that there are insufficient votes for, or otherwise in connection with, the approval of any one or more of the foregoing proposals (the “Adjournment Proposal”). |
Pursuant to the Company’s Bylaws (the “Bylaws”), the Board of Directors has fixed the close of business on August 26, 2024, as the record date for determination of the stockholders entitled to vote at the Special Meeting and any adjournments or postponements thereof.
Your vote is important. Whether or not you plan to attend the Special Meeting, please submit your proxy to vote electronically via the Internet or by telephone, or please complete, sign, date and return the accompanying proxy card or voting instruction card in the enclosed postage-paid envelope. If you attend the Special Meeting and prefer to vote during the Special Meeting, you may do so even if you have already submitted a proxy to vote your shares. You may revoke your proxy in the manner described in the proxy statement at any time before it has been voted at the Special Meeting.
|
| By Order of the Board of Directors, |
|
|
|
|
|
| September [●], 2024 Miami, Florida | Scott W. Absher President, Chief Executive Officer and Chairman of the Board of Directors |
|
| 2 |

SHIFTPIXY, INC.
4101 NW 25th Street,
Miami, FL 33142
PROXY STATEMENT
This proxy statement contains information related to our Special Meeting of Stockholders to be held on October 10, 2024 at 9:00 A.M., Eastern Time at the Company’s offices at 4101 NW 25th Street, Miami, FL 33142, or at such other time and place to which the Special Meeting may be adjourned or postponed (the “Special Meeting”). The enclosed proxy is solicited by the Board of Directors (the “Board”) of ShiftPixy, Inc. (the “Company,” “we,” “us,” or “our”). The proxy materials relating to the Special Meeting are being mailed to stockholders entitled to vote at the meeting on or about September [●], 2024. A list of record holders of the Company’s common stock entitled to vote at the Special Meeting will be available for examination by any stockholder, for any purpose germane to the Special Meeting, at our principal offices at 4101 NW 25th Street, Miami, FL 33142, during normal business hours for ten days prior to the Special Meeting and available during the Special Meeting.
IMPORTANT NOTICE REGARDING THE AVAILABILITY OF PROXY MATERIALS FOR THE SPECIAL MEETING OF STOCKHOLDERS TO BE HELD ON OCTOBER 10, 2024: This Notice of Special Meeting of Stockholders, Proxy Statement and the proxy card are available online at: www.proxyvote.com. Under Securities and Exchange Commission rules, we are providing access to our proxy materials both by sending you this full set of proxy materials, and by notifying you of the availability of our proxy materials on the Internet.
ABOUT THE MEETING
When and where will the Special Meeting be held?
The Special Meeting will be held on October 10, 2024 at 9:00 A.M., Eastern Time at the Company’s offices at 4101 NW 25th Street, Miami, FL 33142, and at any adjournment or postponement thereof.
What is the purpose of the Special Meeting?
We are calling the Special Meeting to seek the approval of our stockholders:
|
| ● | To ratify the August 2024 Offering and the amendment to warrants agreement (the “Ratification Proposal”); |
|
|
|
|
|
| ● | To approve an amendment to the Company’s Certificate of Incorporation to increase our authorized shares (the “Authorized Increase”).
|
|
| ● | To approve the adjournment of the Special Meeting to a later date or dates, if necessary or appropriate, to permit further solicitation and vote of proxies in the event that there are insufficient votes for, or otherwise in connection with, the approval of any one or more of the foregoing proposals (the “Adjournment Proposal”). |
| 3 |
What are the Board’s recommendations?
The Board recommends you vote:
|
| ● | “FOR” the Ratification Proposal; |
|
|
|
|
|
| ● | “FOR” the Authorized Increase; |
|
|
|
|
|
| ● | “FOR” the Adjournment Proposal. |
If you are a stockholder of record and you return a properly executed proxy card or submit a proxy to vote over the Internet but do not mark the boxes showing how you wish to vote, your shares will be voted in accordance with the recommendations of the Board, as set forth above.
No other matters may be brought before the Special Meeting.
Who is entitled to vote at the Special Meeting?
Only stockholders of record at the close of business on the record date, August 26, 2024, are entitled to receive notice of, and to vote the shares of common stock that they held on that date at the Special Meeting, or any adjournment or postponement thereof. Holders of our common stock are entitled to one vote per share on each matter to be voted upon.
As of the record date, we had 6,755,686 outstanding shares of common stock. As of the record date, Scott W. Absher, our President, Chief Executive Officer and Chairman of our Board, beneficially owned 4,750,277 shares of common stock, approximately 70.3 % of the issued and outstanding common stock.
You do not need to attend the Special Meeting to vote your shares. Instead, you may vote your shares by marking, signing, dating and returning the enclosed proxy card or voting by telephone or through the internet.
What constitutes a quorum?
The presence at the Special Meeting, in person or by proxy, of the holders of a majority of the outstanding shares of the Company entitled to vote will constitute a quorum for the Special Meeting. Pursuant to the Wyoming Business Corporation Act, abstentions will be counted for the purpose of determining whether a quorum is present. If brokers have, and exercise, discretionary authority on at least one item on the agenda for the Special Meeting, uninstructed shares for which broker non-votes occur will constitute voting power present for the discretionary matter and will therefore count towards the quorum.
As of the record date, in addition to the shares held by Scott W. Absher, no additional shares of common stock held by public stockholders would be required to be present at the Special Meeting to achieve a quorum.
Do I need to attend the Special Meeting?
No. It is not necessary for you to attend the Special Meeting in order to vote your shares. You may vote by telephone, through the Internet or by mail, as described in more detail below.
How do I vote my shares without attending the Special Meeting?
Stockholder of record: shares registered in your name. If you are a stockholder of record, you may authorize a proxy to vote on your behalf at the Special Meeting in any of the following ways:
By Telephone or via the Internet. You can submit a proxy to vote your shares by telephone or via the Internet by following the instructions on the enclosed proxy card. Proxies submitted by telephone or via the Internet must be received by 11:59 p.m. Eastern Time, on the day before the Special Meeting. Have your proxy card in hand as you will be prompted to enter your control number.
| 4 |
By Mail. You can submit a proxy to vote your shares by mail if you received a printed proxy card by completing, signing, dating and promptly returning your proxy card in the postage-prepaid envelope provided with the materials. Proxies submitted by mail must be received by the close of business on the day before the Special Meeting in order to ensure that your vote is counted.
To facilitate timely receipt of your proxy, we encourage you to promptly vote via the Internet or telephone following the instructions on the enclosed proxy card. If you are submitting your proxy by telephone or through the Internet, your voting instructions must be received by 11:59 p.m., Eastern Time on the day before the Special Meeting.
Submitting your proxy by mail, by telephone or through the Internet will not prevent you from casting your vote at the Special Meeting. You are encouraged to submit a proxy by mail, by telephone or through the Internet even if you plan to attend the Special Meeting via the virtual meeting website to ensure that your shares are represented at the Special Meeting.
Beneficial owner: shares registered in the name of bank, broker or other nominee. If you are a beneficial owner of shares registered in the name of your bank, broker or other nominee, you should have received voting instructions from that organization rather than from us. Simply complete and mail the voting instruction form to ensure that your vote is counted. Alternatively, you may vote by telephone or over the Internet as instructed by your bank, broker or other nominee. Follow the instructions from your broker, bank or other nominee included with this proxy statement, or contact your bank, broker or other nominee to request a proxy form.
Even if you plan to attend the Special Meeting live via the Internet, we encourage you to vote in advance by Internet, telephone, or mail so that your vote will be counted if you later decide not to attend the Special Meeting live via the Internet.
May I change my vote after I have mailed my proxy card or after I have submitted my proxy by telephone or through the Internet?
Yes. You may revoke your proxy or change your vote at any time before the proxy is exercised at the Special Meeting. You may revoke your proxy by delivering a signed written notice of revocation stating that the proxy is revoked and bearing a date later than the date of the proxy to the Company’s Secretary at ShiftPixy, Inc., 4101 NW 25th Street, Miami, FL 33142. You may also revoke your proxy or change your vote by submitting another proxy by telephone or through the Internet in accordance with the instructions on the enclosed proxy card. You may also submit a later-dated proxy card relating to the same shares. If you voted by completing, signing, dating and returning the enclosed proxy card, you should retain a copy of the voter control number found on the proxy card in the event that you later decide to revoke your proxy or change your vote by telephone or through the Internet. Alternatively, your proxy may be revoked or changed by attending the Special Meeting and voting at the meeting. However, simply attending the Special Meeting without voting will not revoke or change your proxy. “Street name” holders of shares of our common stock should contact their bank, broker, trust or other nominee to obtain instructions as to how to revoke or change their proxies.
What is the difference between holding shares as a stockholder of record and as a beneficial owner?
Many of our stockholders hold their shares through a broker, bank or other nominee rather than directly in their own name. As summarized below, there are some distinctions between shares held of record and those owned beneficially.
Stockholder of Record
If your shares are registered directly in your name with our transfer agent, VStock Transfer LLC, you are considered, with respect to those shares, the stockholder of record. As the stockholder of record, you have the right to directly grant your voting proxy or to vote in person at the Special Meeting.
| 5 |
Beneficial Owner
If your shares are held in a stock brokerage account or by a bank or other nominee, you are considered the beneficial owner of shares held in street name, and these proxy materials are being forwarded to you by your broker, bank or nominee which is considered, with respect to those shares, the stockholder of record. As the beneficial owner, you have the right to direct your broker as to how to vote and are also invited to attend the Special Meeting. However, because you are not the stockholder of record, you may not vote these shares in person at the Special Meeting unless you obtain a signed proxy from the record holder giving you the right to vote the shares. If you do not provide the stockholder of record with voting instructions or otherwise obtain a signed proxy from the record holder giving you the right to vote the shares, broker non-votes may occur for the shares that you beneficially own. The effect of broker non-votes is more specifically described in “What vote is required to approve each proposal?” below.
What vote is required to approve each proposal?
Assuming that a quorum is present, the following votes will be required:
|
| ● | With respect to the Ratification Proposal, the affirmative vote of a majority of the votes cast by all stockholders present in person or represented by proxy at the Special Meeting and entitled to vote on the proposal is required to approve this proposal. Shares that are not represented at the Special Meeting, abstentions, if any, and, if this proposal is deemed to be “non-routine,” broker non-votes with respect to this proposal will not affect the outcome of the vote on this proposal. If this proposal is deemed to be “routine,” no broker non-votes will occur on this proposal. |
|
|
|
|
|
| ● | With respect to the Authorized Increase, the affirmative vote of a majority of the votes cast by all stockholders present in person or represented by proxy at the Special Meeting and entitled to vote on the proposal is required to approve this proposal. Shares that are not represented at the Special Meeting, abstentions, if any, and, if this proposal is deemed to be “non-routine,” broker non-votes with respect to this proposal will not affect the outcome of the vote on this proposal. If this proposal is deemed to be “routine,” no broker non-votes will occur on this proposal.
|
|
| ● | With respect to the Adjournment Proposal, the affirmative vote of a majority of the votes cast by all stockholders present in person or represented by proxy at the Special Meeting and entitled to vote on the proposal is required to approve this proposal. Shares that are not represented at the Special Meeting, abstentions, if any, and, if this proposal is deemed to be “non-routine,” broker non-votes with respect to this proposal will not affect the outcome of the vote on this proposal. If this proposal is deemed to be “routine,” no broker non-votes will occur on this proposal. |
Under the Wyoming Business Corporation Act, holders of the common stock will not have any dissenters’ rights of appraisal in connection with any of the matters to be voted on at the meeting.
As of the record date, Scott W. Absher, our President, Chief Executive Officer and Chairman of our Board, beneficially owned 4,750,277 shares of common stock, approximately 70.3 % of the issued and outstanding common stock. Scott W. Absher intends to vote all of his common stock in favor of the proposals being presented at the Special Meeting.
What is a “broker non-vote”?
Banks and brokers acting as nominees are permitted to use discretionary voting authority to vote proxies for proposals that are deemed “routine” by the New York Stock Exchange, which means that they can submit a proxy or cast a ballot on behalf of stockholders who do not provide a specific voting instruction. Brokers and banks are not permitted to use discretionary voting authority to vote proxies for proposals that are deemed “non-routine” by the New York Stock Exchange. The determination of which proposals are deemed “routine” versus “non-routine” may not be made by the New York Stock Exchange until after the date on which this Proxy Statement has been mailed to you. As such, it is important that you provide voting instructions to your bank, broker or other nominee, if you wish to ensure that your shares are present and voted at the Special Meeting on all matters and if you wish to direct the voting of your shares on “routine” matters.
| 6 |
When there is at least one “routine” matter to be considered at a meeting, a broker “non-vote” occurs when a proposal is deemed “non-routine” and a nominee holding shares for a beneficial owner does not have discretionary voting authority with respect to the “non-routine” matter being considered and has not received instructions from the beneficial owner.
If such proposals are deemed to be “routine,” a bank or broker may be able to vote on such proposals even if it does not receive instructions from you, so long as it holds your shares in its name. If, however, such proposals are deemed by the New York Stock Exchange to be a “non-routine” matter, brokers will not be permitted to vote on such proposals if the broker has not received instructions from the beneficial owner.
Who will count the votes?
Eduardo Dominguez, the Company’s Chief Growth Officer, will serve as inspector of election at the Special Meeting and will tabulate and certify the votes.
Where can I find the voting results of the Special Meeting?
The preliminary voting results will be announced at the Special Meeting, and we will disclose final results in a Current Report on Form 8-K filed with the SEC within four business days of the Special Meeting.
How are we soliciting this proxy?
We are soliciting this proxy on behalf of our Board and will pay all expenses associated therewith. Some of our officers, directors and other employees also may, but without compensation other than their regular compensation, solicit proxies by further mailing or personal conversations, or by telephone, facsimile or other electronic means.
We will also, upon request, reimburse brokers and other persons holding stock in their names, or in the names of nominees, for their reasonable out-of-pocket expenses for forwarding proxy materials to the beneficial owners of the capital stock and to obtain proxies.
| 7 |
PROPOSAL NO. 1: THE RATIFICATION PROPOSAL
Background
August 2024 Offering
As reported on the Company’s Current Report on Form 8-K that the Company filed with the SEC on August 27, 2024, and which is incorporated herein by reference, on August 25, 2024, the Company entered into a placement agency agreement with A.G.P./Alliance Global Partners (the “AGP”) and a securities purchase agreement (the “Purchase Agreement”) with one investor pursuant to which the Company sold, in a best efforts public offering (the “August 2024 Offering”), an aggregate of (i) 745,000 shares (the “Shares”) of common stock, (ii) pre-funded warrants (the “Pre-Funded Warrants”) to purchase up to 1,658,847 shares of common stock and (iii) Series A common warrants to purchase up to 2,403,847 shares of Common Stock (the “Series A Common Warrants”) and Series B common warrants to purchase up to 2,403,847 shares of Common Stock (the “Series B Common Warrants” and together with the Series A Common Warrants, the “Common Warrants”).
The offering price for each share of Common Stock and accompanying Common Warrants was $1.04 per share or $1.0399 per Pre-funded Warrant and accompanying Common Warrants. The Pre-funded Warrants are exercisable immediately, may be exercised at any time until all of the Pre-funded Warrants are exercised in full, and have an exercise price of $0.0001. The Series A Common Warrants are exercisable upon receipt of shareholder approval and will have a term of five years from shareholder approval and have an exercise price of $1.04. The Series B Common Warrants are exercisable upon receipt of shareholder approval and will have a term of two years from shareholder approval and have an exercise price of $1.04.
The August 2024 Offering closed on August 27, 2024. The net proceeds of the August 2024 Offering were approximately $1.8 million, after deducting fees to AGP and other offering expenses payable by the Company and excluding the net proceeds, if any, from the exercise of the Warrants. The Company has used the net proceeds from the August 2024 Offering for working capital and general corporate purposes.
In connection with the August 2024 Offering, effective upon shareholder approval, pursuant to an amendment to common stock purchase warrants (the “Warrant Amendment”), the exercise price of an aggregate of 1,403,417 outstanding warrants the Company issued to an investor in July 2022, September 2022, July 2023, October 2023 and March 2024 will be reduced to $1.04 and the term of these warrants will be extended such that they will expire on the date that is five years following the date shareholder approval for the amendment is received.
The Company paid AGP, as compensation for the August 2024 Offering, a cash fee equal to 7.0% of the gross proceeds of the August 2024 Offering, and also reimbursed the Placement Agent for certain of its offering-related expenses.
The Proposal
Our Board has determined it is advisable, and in the best interests of the Company and its stockholders, for us to ratify the August 2024 Offering. Accordingly, stockholders are asked to adopt and approve the Ratification Proposal.
Purpose and Rationale for the Ratification
Pursuant to Section 4.17 of the Purchase Agreement, to the extent required under the applicable rules and regulations of the Nasdaq Capital Market, the Company shall hold an annual or special meeting of stockholders within forty-five (45) days following the closing date for the purpose of obtaining stockholder approval, with the recommendation of the Company’s Board of Directors that such proposals are approved, and the Company shall solicit proxies from its stockholders in connection therewith in the same manner as all other management proposals in such proxy statement and all management-appointed proxyholders shall vote their proxies in favor of such proposals. If the Company does not obtain stockholder approval at the first meeting, the Company shall call a meeting every forty-five (45) days thereafter to seek Stockholder Approval until the earlier of the stockholder approval date or the Common Warrants are no longer outstanding.
In connection with the August 2024 Offering, effective upon shareholder approval, pursuant to the Warrant Amendment, the exercise price of an aggregate of 1,403,417 outstanding warrants the Company issued to an investor in July 2022, September 2022, July 2023, October 2023 and March 2024 will be reduced to $1.04 and the term of these warrants will be extended such that they will expire on the date that is five years following the date shareholder approval for the amendment is received.
Further, the Series A and Series B Common Warrants that are issued with Common Stock and Pre-Funded warrants cannot be exercised until the Company obtains shareholder approval.
Required Vote and Recommendation
In accordance with our Articles, Bylaws and Wyoming law, approval and adoption of the Ratification Proposal requires the affirmative vote of a majority of the votes cast by all stockholders present in person or represented by proxy at the Special Meeting and entitled to vote on the proposal. Abstentions and broker non-votes, if any, with respect to this proposal are not counted as votes cast and will not affect the outcome of this proposal.
In addition to the shares held by Scott W. Absher, approval of the Ratification Proposal will require the affirmative vote of no additional shares of common stock held by the public.
OUR BOARD RECOMMENDS A VOTE “FOR” THE RATIFICATION PROPOSAL
| 8 |
PROPOSAL NO. 2: TO INCREASE THE NUMBER OF AUTHORIZED SHARES
Our Board of Directors has unanimously adopted a resolution approving an amendment to our Certificate of Incorporation (i) to increase the authorized number of shares of Common Stock from 750,000,000 shares to 3,000,000,000 shares, par value of $0.0001 per share (the “Increase in Authorized Common Shares”) and (ii) to increase the authorized number of shares of Preferred Stock from 50,000,000 shares to 500,000,000 shares, par value of $0.0001 per share (the “Increase in Authorized Preferred Shares”), (together, the “Increase in Authorized Shares”). Approval of the Increase in Authorized Shares will grant the Board the authority, without further action by the stockholders, to carry out the amendment to the Certificate of Incorporation after the date stockholder approval for the amendment is obtained.
If the stockholders approve the proposed amendment, the Company will file a Certificate of Amendment to the Amended and Restated Articles of Incorporation to amend and replace Article FOURTH, in its entirety, to read as follows: “The Corporation will have the authority to issue 3,000,000,000 Common Shares with $0.0001 Par Value. The Corporation will also have the authority to issue 500,000,000 shares of Preferred Stock, $0.0001 par value. The authorized but unissued Common and/or Preferred Stock of the Corporation may be issued from time to time without prior approval by the stockholders. The Common and/or Preferred Stock may be issued for such consideration as may be fixed from time to time by the Board of Directors. The Board of Directors may issue such shares of Common and/or Preferred Stock in one or more series, with such voting powers, designations, preferences and rights or qualifications, limitations or res thereof as shall be stated in one or more resolutions any such Stock”.
Background
As of September [*], 2024, the Company’s authorized capital stock consisted of 750,000,000 shares of Common Stock, par value $0.0001 per share, of which 7,500,686 shares of Common Stock were issued and outstanding and 50,000,000 shares of Preferred Stock, par value $0.0001, of which none are issued and outstanding.
At this time, all of the authorized Preferred Stock are designated Class A Preferred Stock. On September 6, 2024, the Company issued to its Chief Executive Officer a conditional Option (the “Option”) to acquire up to 5,302,277 shares of Class A Preferred Stock to compensate its Chief Executive Officer for sacrifices made by him for the Company at his personal expense to regain compliance with the continued listing requirements of Nasdaq in October 2023. The Option is exercisable (a) only following the next succeeding reverse stock split, if any, of the Company’s Common Stock, (b) only one time, and (c) by submission of a notice of exercise and tender to the Company of the par value per share applicable to each of the shares of the Company’s Preferred Class A Stock for which the Option has been exercised.
The terms of any Preferred Stock that is to be issued, including dividend and interest rights, conversion prices, voting rights, redemption prices, maturity dates, and similar matters, will be determined by our Board if and when the Board designates a specific series of preferred stock in accordance with the Amended and Restated Articles of Incorporation.
Rights of Additional Authorized Shares of Stock
The additional shares of Common Stock or Preferred Stock resulting from the Increase in Authorized Shares, if and when issued, would be part of the existing class of Common Stock and Preferred Stock and would have rights and privileges identical to our Common Stock and Preferred Stock currently outstanding.
Potential Advantages of the Increase in Authorized Shares
Our Board believes that the authorized number of shares of Common Stock should be increased to provide sufficient shares of Common Stock for such corporate purposes as may be determined by our Board to be necessary or desirable. We do not have any plans, arrangements, or understandings for the remaining portion of the authorized but unissued shares of Common Stock that will be available following the Increase in Authorized Common Shares. However, the Company expects to continue to need additional external financing to provide additional working capital and to use for the contemplated staffing acquisitions.
| 9 |
Once authorized, the additional shares of Common Stock may be issued with approval of our Board but without further approval of our stockholders, unless applicable law, rule or regulation requires stockholder approval.
Our Board’s objective in approving the Amendment to increase the number of authorized shares of our Preferred Stock is to provide maximum flexibility with respect to future financing transactions and/or contemplated staffing companies acquisitions given our Staffing rollout strategy. The increase of our authorized shares of Preferred Stock will not have any immediate effect on the rights of existing stockholders. If the Amendment is adopted, and our Amended and Restated Articles of Incorporation are amended, our Board would be able to issue the additional shares of authorized Preferred Stock with such designations, preferences and relative, participating, optional, conversion or other special rights (if any) of such series and the qualifications, limitations or restrictions (if any) thereof, as the Board may in the future establish by resolution or resolutions and by filing a certificate pursuant to the Wyoming Business Corporate Act (a “Preferred Stock Designation”), from time to time providing for the issuance of such Preferred Stock.
The additional Shares of Preferred Stock may be used for various purposes without further stockholder approval. These purposes may include, but are not limited to, raising capital; providing equity incentives to employees, officers or directors; establishing strategic relationships with other companies; expanding our business through the acquisition of other businesses or assets; and other purposes. Such issuances would occur without further action or approval of our stockholders and would be subject to and limited by any rules or listing requirements of The Nasdaq Capital Market or of any other applicable rules or regulations. We do not currently have any plans, agreements, commitments or understandings with respect to the issuance of the additional shares, or the currently authorized but unissued shares, of Preferred Stock.
Potential Disadvantages of the Increase in Authorized Shares
Future issuances of shares could have a dilutive effect on the earnings per share, book value per share, voting power and percentage interest of holdings of current shareholders. In addition, the availability of additional shares of stock for issuance could, under certain circumstances, discourage or make more difficult efforts to obtain control of the Company, as further discussed below.
Procedure for Effecting the Increase in Authorized Shares
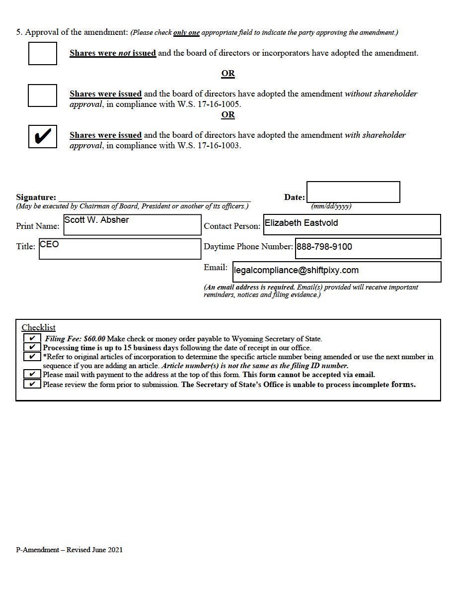
If this proposal is approved by our stockholders, our Board will cause the Increase in Authorized Shares to be implemented by filing an amendment to our Certificate of Incorporation with the Secretary of State of the State of Wyoming. The Increase in Authorized Shares will become effective on the date that it is filed.
Discretionary Authority of the Board to Abandon the Increase in Authorized Shares
The Board reserves the right to abandon the Increase in Authorized Shares without further action by our stockholders at any time before the effectiveness of the amendment to the Certificate of Incorporation, even if the Increase in Authorized Shares has been authorized by our stockholders at the Special Meeting. By voting in favor of the Increase in Authorized Shares, you are expressly also authorizing our Board to determine not to proceed with, and abandon, the Increase in Authorized Shares if it should so decide.
Appendix Relating to the Increase in Authorized Shares
The form of the amendment to our Certificate of Incorporation relating to this proposal, which we would file with the Secretary of State of the State of Wyoming to effect the Increase in Authorized Common Shares, is attached to this proxy statement as Appendix A.
| 10 |
Article 4 of our Amended and Restated Articles of Incorporation is proposed to be amended in its entirety to read as follows: “The Corporation will have the authority to issue 3,000,000,000 Common Shares with $0.0001 Par Value. The Corporation will also have the authority to issue 500,000,000 shares of Preferred Stock, $0.0001 par value. The authorized but unissued Common and/or Preferred Stock of the Corporation may be issued from time to time without prior approval by the stockholders. The Common and/or Preferred Stock may be issued for such consideration as may be fixed from time to time by the Board of Directors. The Board of Directors may issue such shares of Common and/or Preferred Stock in one or more series, with such voting powers, designations, preferences and rights or qualifications, limitations or res thereof as shall be stated in one or more resolutions any such Stock.”
Anti-Takeover Effects
Although the Increase in Authorized Shares is not motivated by anti-takeover concerns and is not considered by our Board to be an anti-takeover measure, the availability of additional authorized shares could enable the Board to issue shares defensively in response to a takeover attempt or to make an attempt to gain control of our company more difficult or time-consuming. For example, shares of Common Stock or Preferred Stock could be issued to purchasers who might side with management in opposing a takeover bid that the Board determines is not in the best interests of our stockholders, thus diluting the ownership and voting rights of the person seeking to obtain control of our company. In certain circumstances, the issuance of Common Stock or Preferred Stock without further action by the stockholders may have the effect of delaying or preventing a change in control of the company, may discourage bids for our Common Stock or Preferred Stock at a premium over the prevailing market price and may adversely affect the market price of our Common Stock. As a result, increasing the authorized number of shares of our Common Stock or Preferred Stock could render more difficult and less likely a hostile takeover of our company by a third-party, or a tender offer or proxy contest, assumption of control by a holder of a large block of our stock, and the possible removal of our incumbent management. We are not aware of any proposed attempt to take over the company or of any present attempt to acquire a large block of our Common Stock or Preferred Stock.
Required Vote and Recommendation
In accordance with our Articles, Bylaws and Wyoming law, approval and adoption of the Ratification Proposal requires the affirmative vote of a majority of the votes cast by all stockholders present in person or represented by proxy at the Special Meeting and entitled to vote on the proposal. Abstentions and broker non-votes, if any, with respect to this proposal are not counted as votes cast and will not affect the outcome of this proposal.
In addition to the shares held by Scott W. Absher, approval of the Ratification Proposal will require the affirmative vote of no additional shares of common stock held by the public.
THE BOARD OF DIRECTORS UNANIMOUSLY RECOMMENDS A VOTE “FOR” THE APPROVAL OF THE INCREASE IN AUTHORIZED SHARES.
| 11 |
PROPOSAL NO. 3: APPROVAL OF THE ADJOURNMENT OF THE SPECIAL MEETING TO THE
EXTENT THERE ARE INSUFFICIENT PROXIES AT THE MEETING TO APPROVE ANY ONE OR MORE OF THE FOREGOING PROPOSALS.
Adjournment of the Special Meeting
In the event that the number of shares of common stock present or represented by proxy at the Special Meeting and voting “FOR” the adoption of any one or more of the foregoing proposals are insufficient to approve any such proposal, we may move to adjourn the Special Meeting in order to enable us to solicit additional proxies in favor of the adoption of any such proposal. In that event, we may ask stockholders to vote only upon the Adjournment Proposal. If the adjournment is for more than thirty (30) days, a notice of the adjourned meeting shall be given to each stockholder of record entitled to vote at the meeting.
Required Vote and Recommendation
In accordance with our Articles, Bylaws and Wyoming law, approval and adoption of the Adjournment Proposal requires the affirmative vote of a majority of the votes cast by all stockholders present in person or represented by proxy at the Special Meeting and entitled to vote on the proposal. Abstentions and broker non-votes, if any, with respect to this proposal are not counted as votes cast and will not affect the outcome of this proposal.
In addition to the shares held by Scott W. Absher, approval of the Adjournment Proposal will require the affirmative vote of no additional shares of common stock held by the public.
OUR BOARD RECOMMENDS A VOTE “FOR” THE ADJOURNMENT PROPOSAL
| 12 |
BENEFICIAL OWNERSHIP OF PRINCIPAL STOCKHOLDERS AND MANAGEMENT AND RELATED STOCKHOLDER MATTERS
The following table sets forth certain information, as of September [●], 2024, with respect to the beneficial ownership of the outstanding common stock by (i) any holder of more than five (5%) percent; (ii) each of our executive officers and directors; and (iii) our directors and executive officers as a group.
We have determined beneficial ownership in accordance with the rules of the SEC. These rules generally attribute beneficial ownership of securities to persons who possess sole or shared voting power or investment power with respect to those securities. The table lists applicable percentage ownership based on [●] shares of common stock outstanding as of September [●], 2024. In addition, under SEC rules, beneficial ownership of common stock includes shares of our common stock issuable pursuant to the conversion or exercise of securities that are either immediately exercisable or convertible into common stock or exercisable or convertible into common stock within 60 days of September [●], 2024. These shares are deemed to be outstanding and beneficially owned by the person holding those securities for the purpose of computing the percentage ownership of that person, but they are not treated as outstanding for the purpose of computing the percentage ownership of any other person. Unless otherwise indicated, the persons identified in this table have sole voting and investment power with respect to all shares shown as beneficially owned by them, subject to applicable community property laws. Except as otherwise noted below, the address for persons listed in the table is c/o ShiftPixy, Inc., 4101 NW 25th Street, Miami, FL 33142.
|
|
| Shares of |
|
|
| |||
|
|
| Common |
| Percentage |
| |||
|
|
| Stock |
| of |
| |||
|
|
| Beneficially |
| Common |
| |||
| Name and Address of Beneficial Owner |
| Owned |
|
| Stock |
| ||
| Current Named Executive Officers and Directors: |
|
|
|
|
|
| ||
| Scott W. Absher – Chief Executive Officer and Chairman |
|
| 4,750,277 |
|
| [●] | % | |
| Patrice Launay – Chief Financial Officer |
|
| - |
|
|
| - |
|
| Martin Scott – Director |
|
| - |
|
|
| - |
|
| Whitney J. White – Director |
|
| 1 |
|
| * |
| |
| Christopher Sebes – Director |
|
| - |
|
|
| - |
|
| All Directors and Executive Officers as a group (5 persons) |
|
| 4,750,278 |
|
| [●] | % | |
* Less than 1%.
| 13 |
HOUSEHOLDING OF SPECIAL MEETING MATERIALS
Some banks, brokers and other nominee record holders may be participating in the practice of “householding” proxy statements. This means that only one copy of this Proxy Statement may have been sent to multiple stockholders in the same household. We will promptly deliver a separate copy of this Proxy Statement to any stockholder upon written or oral request to: ShiftPixy, Inc., at 4101 NW 25th Street, Miami, FL 33131 or by phone at (888) 798-9100. Any stockholder who wants to receive a separate copy of this Proxy Statement, or of our proxy statements or annual reports in the future, or any stockholder who is receiving multiple copies and would like to receive only one copy per household, should contact the stockholder’s bank, broker, or other nominee record holder, or the stockholder may contact us at the address and phone number above.
OTHER MATTERS
Management and the Board of the Company know of no matters to be brought before the Special Meeting other than as set forth herein.
REGARDLESS OF WHETHER YOU PLAN TO ATTEND THE SPECIAL MEETING, PLEASE READ THE PROXY STATEMENT AND THEN SUBMIT A PROXY TO VOTE BY INTERNET, TELEPHONE OR MAIL AS PROMPTLY AS POSSIBLE TO ENSURE THAT YOUR SHARES ARE REPRESENTED AT THE SPECIAL MEETING.
|
| BY ORDER OF THE BOARD OF DIRECTORS, |
|
|
|
|
|
| Miami, Florida |
|
|
| September [●], 2024 | Scott W. Absher President, Chief Executive Officer and Chairman of the Board of Directors |
|
| 14 |
Appendix A
| 15 |
| 16 |
| 17 |
| 18 |