UNITED STATES 

SECURITIES AND EXCHANGE COMMISSION 

Washington, D.C. 20549

 

FORM 6-K

 

Report of Foreign Private Issuer 

Pursuant to Rule 13a-16 or 15d-16 Under 

the Securities Exchange Act of 1934

 

September 13, 2024 

Commission File Number: 001-36614

 

Alibaba Group Holding Limited 

(Registrant’s name)

 

26/F Tower One, Times Square 

1 Matheson Street 

Causeway Bay 

Hong Kong S.A.R. 

People’s Republic of China 

(Address of principal executive offices)

 

Indicate by check mark whether the registrant files or will file annual reports under cover of Form 20-F or Form 40-F:

 

Form 20-F x Form 40-F ¨

 

 

  

 

 

 

EXPLANATORY NOTE

 

As an issuer listed on the Hong Kong Stock Exchange, we are required to submit with The Stock Exchange of Hong Kong Limited a next day disclosure return form in relation to the movements in our authorized issued shares or treasury shares as a result of or in connection with certain events (the “Next Day Disclosure Return”) pursuant to Rule 13.25A of the Hong Kong Listing Rules. We are furnishing our Next Day Disclosure Returns dated September 9, 2024, September 10, 2024, September 11, 2024, September 12, 2024 and September 13, 2024 as Exhibit 99.1, Exhibit 99.2, Exhibit 99.3, Exhibit 99.4 and Exhibit 99.5 of this Current Report on Form 6-K.

 

2 

 

 

EXHIBITS

 

Exhibit 99.1 – Next Day Disclosure Return with The Stock Exchange of Hong Kong Limited – Next Day Disclosure Return dated September 9, 2024

 

Exhibit 99.2 – Next Day Disclosure Return with The Stock Exchange of Hong Kong Limited – Next Day Disclosure Return dated September 10, 2024

 

Exhibit 99.3 – Next Day Disclosure Return with The Stock Exchange of Hong Kong Limited – Next Day Disclosure Return dated September 11, 2024

 

Exhibit 99.4 – Next Day Disclosure Return with The Stock Exchange of Hong Kong Limited – Next Day Disclosure Return dated September 12, 2024

 

Exhibit 99.5 – Next Day Disclosure Return with The Stock Exchange of Hong Kong Limited – Next Day Disclosure Return dated September 13, 2024

 

3 

 

 

SIGNATURES

 

Pursuant to the requirements of the Securities Exchange Act of 1934, the registrant has duly caused this report to be signed on its behalf by the undersigned, thereunto duly authorized.

 

  ALIBABA GROUP HOLDING LIMITED
     
Date: September 13, 2024 By: /s/Kevin Jinwei ZHANG
  Name: Kevin Jinwei ZHANG
  Title:

Company Secretary 

 

4 

 

Exhibit 99.1

GRAPHIC

FF305 Page 1 of 6 v 1.3.0 Next Day Disclosure Return (Equity issuer - changes in issued shares or treasury shares, share buybacks and/or on-market sales of treasury shares) Instrument: Equity issuer Status: New Submission Name of Issuer: Alibaba Group Holding Limited Date Submitted: 09 September 2024 Section I must be completed by a listed issuer where there has been a change in its issued shares or treasury shares which is discloseable pursuant to rule 13.25A of the Rules Governing the Listing of Securities on The Stock Exchange of Hong Kong Limited (the “Exchange”) (the “Main Board Rules”) or rule 17.27A of the Rules Governing the Listing of Securities on GEM of the Exchange (the “GEM Rules”). Section I 1. Class of shares Ordinary shares Type of shares Not applicable Listed on the Exchange Yes Stock code (if listed) 09988 Description Multi-counter stock code 89988 RMB Description A. Changes in issued shares or treasury shares Events Changes in issued shares (excluding treasury shares) Number of issued shares (excluding treasury shares) As a % of existing number of issued shares (excluding treasury shares) before the relevant event (Note 3) Changes in treasury shares Number of treasury shares Issue/ selling price per share (Note 4) Total number of issued shares Opening balance as at (Note 1) 06 September 2024 19,254,701,124 0 19,254,701,124 1). Other (please specify) Not Applicable Date of changes 06 September 2024 % Closing balance as at (Notes 5 and 6) 09 September 2024 19,254,701,124 0 19,254,701,124

GRAPHIC

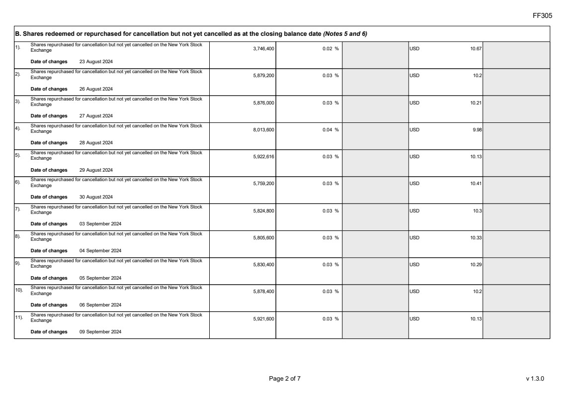
FF305 Page 2 of 6 v 1.3.0 B. Shares redeemed or repurchased for cancellation but not yet cancelled as at the closing balance date (Notes 5 and 6) 1). Shares repurchased for cancellation but not yet cancelled on the New York Stock Exchange Date of changes 23 August 2024 3,746,400 0.02 % USD 10.67 2). Shares repurchased for cancellation but not yet cancelled on the New York Stock Exchange Date of changes 26 August 2024 5,879,200 0.03 % USD 10.2 3). Shares repurchased for cancellation but not yet cancelled on the New York Stock Exchange Date of changes 27 August 2024 5,876,000 0.03 % USD 10.21 4). Shares repurchased for cancellation but not yet cancelled on the New York Stock Exchange Date of changes 28 August 2024 8,013,600 0.04 % USD 9.98 5). Shares repurchased for cancellation but not yet cancelled on the New York Stock Exchange Date of changes 29 August 2024 5,922,616 0.03 % USD 10.13 6). Shares repurchased for cancellation but not yet cancelled on the New York Stock Exchange Date of changes 30 August 2024 5,759,200 0.03 % USD 10.41 7). Shares repurchased for cancellation but not yet cancelled on the New York Stock Exchange Date of changes 03 September 2024 5,824,800 0.03 % USD 10.3 8). Shares repurchased for cancellation but not yet cancelled on the New York Stock Exchange Date of changes 04 September 2024 5,805,600 0.03 % USD 10.33 9). Shares repurchased for cancellation but not yet cancelled on the New York Stock Exchange Date of changes 05 September 2024 5,830,400 0.03 % USD 10.29 10). Shares repurchased for cancellation but not yet cancelled on the New York Stock Exchange Date of changes 06 September 2024 5,878,400 0.03 % USD 10.2

GRAPHIC

FF305 Page 3 of 6 v 1.3.0 Confirmation Not applicable Notes to Section I: 1. Please insert the closing balance date of the last Next Day Disclosure Return published pursuant to Main Board Rule 13.25A / GEM Rule 17.27A or Monthly Return pursuant to Main Board Rule 13.25B / GEM Rule 17.27B, whichever is the later. 2. Please set out all changes in issued shares or treasury shares requiring disclosure pursuant to Main Board Rule 13.25A / GEM Rule 17.27A together with the relevant dates of changes. Each category will need to be disclosed individually with sufficient information to enable the user to identify the relevant category in the listed issuer's Monthly Return. For example, multiple issues of shares as a result of multiple exercises of share options under the same share option scheme or of multiple conversions under the same convertible note must be aggregated and disclosed as one category. However, if the issues resulted from exercises of share options under 2 share option schemes or conversions of 2 convertible notes, these must be disclosed as 2 separate categories. 3. The percentage change in the number of issued shares (excluding treasury shares) of the listed issuer is to be calculated by reference to the opening balance of the number of issued shares (excluding treasury shares) being disclosed in this Next Day Disclosure Return. 4. In the case of a share repurchase or redemption, the “issue/ selling price per share” shall be construed as “repurchase price per share” or “redemption price per share”. Where shares have been issued/ sold/ repurchased/ redeemed at more than one price per share, a volume-weighted average price per share should be given. 5. The closing balance date is the date of the last relevant event being disclosed. 6. For repurchase or redemption of shares, disclosure is required when the relevant event has occurred (subject to the provisions of Main Board Rules 10.06(4)(a), 13.25A and 13.31 / GEM Rules 13.13(1), 17.27A and 17.35), even if the repurchased or redeemed shares have not yet been cancelled. If repurchased or redeemed shares are to be cancelled upon settlement of such repurchase or redemption after the closing balance date, they shall remain part of the issued shares as at the closing balance date in Part A. Details of these repurchased or redeemed shares shall be disclosed in Part B. 7. Items (i) to (viii) are suggested forms of confirmation. The listed issuer may amend the item(s) that is/are not applicable to meet individual cases. 8. “Identical” means in this context: - the securities are of the same nominal value with the same amount called up or paid up; - they are entitled to dividend/interest at the same rate and for the same period, so that at the next ensuing distribution, the dividend/interest payable per unit will amount to exactly the same sum (gross and net); and - they carry the same rights as to unrestricted transfer, attendance and voting at meetings and rank pari passu in all other respects.

GRAPHIC

FF305 Page 4 of 6 v 1.3.0 Section II must also be completed by a listed issuer where it has made a repurchase of shares which is discloseable under Main Board Rule 10.06(4)(a) / GEM Rule 13.13(1). Repurchase report Section II 1. Class of shares Ordinary shares Type of shares Not applicable Listed on the Exchange Yes Stock code (if listed) 09988 Description Multi-counter stock code 89988 RMB Description A. Repurchase report Trading date Number of shares repurchased Method of repurchase (Note 1) Repurchase price per share or highest repurchase price per share $ Lowest repurchase price per share $ Aggregate price paid $ 1). 06 September 2024 5,878,400 On another stock exchange New York Stock Exchange USD 10.32 USD 10.15 USD 59,978,784.8 Total number of shares repurchased 5,878,400 Aggregate price paid $ USD 59,978,784.8 Number of shares repurchased for cancellation 5,878,400 Number of shares repurchased for holding as treasury shares 0 B. Additional information for issuer who has a primary listing on the Exchange 1). Date of the resolution granting the repurchase mandate 22 August 2024 2). Total number of shares which the issuer is authorised to repurchase under the repurchase mandate 1,874,327,393 3). Number of shares repurchased on the Exchange or another stock exchange under the repurchase mandate (a) 58,536,216 4). As a % of number of issued shares (excluding treasury shares) as at the date of the resolution granting the repurchase mandate (a) x 100 / number of issued shares (excluding treasury shares) as at the date of the resolution granting the repurchase mandate 0.3 % 5). Moratorium period for any issue of new shares, or sale or transfer of treasury shares after the share repurchase(s) set out in Part A (Note 2) Up to 09 October 2024

GRAPHIC

FF305 Page 5 of 6 v 1.3.0 We hereby confirm that the repurchases made on the Exchange (if any) set out in Part A above were made in accordance with the Main Board Rules and that there have been no material changes to the particulars contained in the Explanatory Statement dated 5 July 2024 which has been filed with the Exchange. We also confirm that any repurchases made on another stock exchange set out in Part A above were made in accordance with the domestic rules applying to repurchases on that other stock exchange. Notes to Section II: 1. Please state whether the repurchase was made on the Exchange, on another stock exchange (stating the name of the exchange), by private arrangement or by general offer. 2. Subject to the carve-out set out in Main Board Rule 10.06(3)(a)/ GEM Rule 13.12, an issuer may not (i) make a new issue of shares, or a sale or transfer of any treasury shares; or (ii) announce a proposed new issue of shares, or a sale or transfer of any treasury shares, for a period of 30 days after any purchase by it of shares, whether on the Exchange or otherwise, without the prior approval of the Exchange.

GRAPHIC

FF305 Page 6 of 6 v 1.3.0 Section III must also be completed by a listed issuer where it has made a sale of treasury shares on the Exchange or any other stock exchange on which the issuer is listed which is discloseable under Main Board Rule 10.06B / GEM Rule 13.14B. Report of on-market sale of treasury shares Not applicable Submitted by: Kevin Jinwei ZHANG (Name) Title: Secretary (Director, Secretary or other Duly Authorised Officer)

Exhibit 99.2

GRAPHIC

FF305 Page 1 of 6 v 1.3.0 Next Day Disclosure Return (Equity issuer - changes in issued shares or treasury shares, share buybacks and/or on-market sales of treasury shares) Instrument: Equity issuer Status: New Submission Name of Issuer: Alibaba Group Holding Limited Date Submitted: 10 September 2024 Section I must be completed by a listed issuer where there has been a change in its issued shares or treasury shares which is discloseable pursuant to rule 13.25A of the Rules Governing the Listing of Securities on The Stock Exchange of Hong Kong Limited (the “Exchange”) (the “Main Board Rules”) or rule 17.27A of the Rules Governing the Listing of Securities on GEM of the Exchange (the “GEM Rules”). Section I 1. Class of shares Ordinary shares Type of shares Not applicable Listed on the Exchange Yes Stock code (if listed) 09988 Description Multi-counter stock code 89988 RMB Description A. Changes in issued shares or treasury shares Events Changes in issued shares (excluding treasury shares) Number of issued shares (excluding treasury shares) As a % of existing number of issued shares (excluding treasury shares) before the relevant event (Note 3) Changes in treasury shares Number of treasury shares Issue/ selling price per share (Note 4) Total number of issued shares Opening balance as at (Note 1) 09 September 2024 19,254,701,124 0 19,254,701,124 1). Other (please specify) Not Applicable Date of changes 09 September 2024 % Closing balance as at (Notes 5 and 6) 10 September 2024 19,254,701,124 0 19,254,701,124

GRAPHIC

FF305 Page 2 of 6 v 1.3.0 B. Shares redeemed or repurchased for cancellation but not yet cancelled as at the closing balance date (Notes 5 and 6) 1). Shares repurchased for cancellation but not yet cancelled on the New York Stock Exchange Date of changes 23 August 2024 3,746,400 0.02 % USD 10.67 2). Shares repurchased for cancellation but not yet cancelled on the New York Stock Exchange Date of changes 26 August 2024 5,879,200 0.03 % USD 10.2 3). Shares repurchased for cancellation but not yet cancelled on the New York Stock Exchange Date of changes 27 August 2024 5,876,000 0.03 % USD 10.21 4). Shares repurchased for cancellation but not yet cancelled on the New York Stock Exchange Date of changes 28 August 2024 8,013,600 0.04 % USD 9.98 5). Shares repurchased for cancellation but not yet cancelled on the New York Stock Exchange Date of changes 29 August 2024 5,922,616 0.03 % USD 10.13 6). Shares repurchased for cancellation but not yet cancelled on the New York Stock Exchange Date of changes 30 August 2024 5,759,200 0.03 % USD 10.41 7). Shares repurchased for cancellation but not yet cancelled on the New York Stock Exchange Date of changes 03 September 2024 5,824,800 0.03 % USD 10.3 8). Shares repurchased for cancellation but not yet cancelled on the New York Stock Exchange Date of changes 04 September 2024 5,805,600 0.03 % USD 10.33 9). Shares repurchased for cancellation but not yet cancelled on the New York Stock Exchange Date of changes 05 September 2024 5,830,400 0.03 % USD 10.29 10). Shares repurchased for cancellation but not yet cancelled on the New York Stock Exchange Date of changes 06 September 2024 5,878,400 0.03 % USD 10.2 11). Shares repurchased for cancellation but not yet cancelled on the New York Stock Exchange Date of changes 09 September 2024 5,921,600 0.03 % USD 10.13

GRAPHIC

FF305 Page 3 of 6 v 1.3.0 Confirmation Not applicable Notes to Section I: 1. Please insert the closing balance date of the last Next Day Disclosure Return published pursuant to Main Board Rule 13.25A / GEM Rule 17.27A or Monthly Return pursuant to Main Board Rule 13.25B / GEM Rule 17.27B, whichever is the later. 2. Please set out all changes in issued shares or treasury shares requiring disclosure pursuant to Main Board Rule 13.25A / GEM Rule 17.27A together with the relevant dates of changes. Each category will need to be disclosed individually with sufficient information to enable the user to identify the relevant category in the listed issuer's Monthly Return. For example, multiple issues of shares as a result of multiple exercises of share options under the same share option scheme or of multiple conversions under the same convertible note must be aggregated and disclosed as one category. However, if the issues resulted from exercises of share options under 2 share option schemes or conversions of 2 convertible notes, these must be disclosed as 2 separate categories. 3. The percentage change in the number of issued shares (excluding treasury shares) of the listed issuer is to be calculated by reference to the opening balance of the number of issued shares (excluding treasury shares) being disclosed in this Next Day Disclosure Return. 4. In the case of a share repurchase or redemption, the “issue/ selling price per share” shall be construed as “repurchase price per share” or “redemption price per share”. Where shares have been issued/ sold/ repurchased/ redeemed at more than one price per share, a volume-weighted average price per share should be given. 5. The closing balance date is the date of the last relevant event being disclosed. 6. For repurchase or redemption of shares, disclosure is required when the relevant event has occurred (subject to the provisions of Main Board Rules 10.06(4)(a), 13.25A and 13.31 / GEM Rules 13.13(1), 17.27A and 17.35), even if the repurchased or redeemed shares have not yet been cancelled. If repurchased or redeemed shares are to be cancelled upon settlement of such repurchase or redemption after the closing balance date, they shall remain part of the issued shares as at the closing balance date in Part A. Details of these repurchased or redeemed shares shall be disclosed in Part B. 7. Items (i) to (viii) are suggested forms of confirmation. The listed issuer may amend the item(s) that is/are not applicable to meet individual cases. 8. “Identical” means in this context: - the securities are of the same nominal value with the same amount called up or paid up; - they are entitled to dividend/interest at the same rate and for the same period, so that at the next ensuing distribution, the dividend/interest payable per unit will amount to exactly the same sum (gross and net); and - they carry the same rights as to unrestricted transfer, attendance and voting at meetings and rank pari passu in all other respects.

GRAPHIC

FF305 Page 4 of 6 v 1.3.0 Section II must also be completed by a listed issuer where it has made a repurchase of shares which is discloseable under Main Board Rule 10.06(4)(a) / GEM Rule 13.13(1). Repurchase report Section II 1. Class of shares Ordinary shares Type of shares Not applicable Listed on the Exchange Yes Stock code (if listed) 09988 Description Multi-counter stock code 89988 RMB Description A. Repurchase report Trading date Number of shares repurchased Method of repurchase (Note 1) Repurchase price per share or highest repurchase price per share $ Lowest repurchase price per share $ Aggregate price paid $ 1). 09 September 2024 5,921,600 On another stock exchange New York Stock Exchange USD 10.2 USD 10.04 USD 59,983,809.46 Total number of shares repurchased 5,921,600 Aggregate price paid $ USD 59,983,809.46 Number of shares repurchased for cancellation 5,921,600 Number of shares repurchased for holding as treasury shares 0 B. Additional information for issuer who has a primary listing on the Exchange 1). Date of the resolution granting the repurchase mandate 22 August 2024 2). Total number of shares which the issuer is authorised to repurchase under the repurchase mandate 1,874,327,393 3). Number of shares repurchased on the Exchange or another stock exchange under the repurchase mandate (a) 64,457,816 4). As a % of number of issued shares (excluding treasury shares) as at the date of the resolution granting the repurchase mandate (a) x 100 / number of issued shares (excluding treasury shares) as at the date of the resolution granting the repurchase mandate 0.33 % 5). Moratorium period for any issue of new shares, or sale or transfer of treasury shares after the share repurchase(s) set out in Part A (Note 2) Up to 10 October 2024

GRAPHIC

FF305 Page 5 of 6 v 1.3.0 We hereby confirm that the repurchases made on the Exchange (if any) set out in Part A above were made in accordance with the Main Board Rules and that there have been no material changes to the particulars contained in the Explanatory Statement dated 5 July 2024 which has been filed with the Exchange. We also confirm that any repurchases made on another stock exchange set out in Part A above were made in accordance with the domestic rules applying to repurchases on that other stock exchange. Notes to Section II: 1. Please state whether the repurchase was made on the Exchange, on another stock exchange (stating the name of the exchange), by private arrangement or by general offer. 2. Subject to the carve-out set out in Main Board Rule 10.06(3)(a)/ GEM Rule 13.12, an issuer may not (i) make a new issue of shares, or a sale or transfer of any treasury shares; or (ii) announce a proposed new issue of shares, or a sale or transfer of any treasury shares, for a period of 30 days after any purchase by it of shares, whether on the Exchange or otherwise, without the prior approval of the Exchange.

GRAPHIC

FF305 Page 6 of 6 v 1.3.0 Section III must also be completed by a listed issuer where it has made a sale of treasury shares on the Exchange or any other stock exchange on which the issuer is listed which is discloseable under Main Board Rule 10.06B / GEM Rule 13.14B. Report of on-market sale of treasury shares Not applicable Submitted by: Kevin Jinwei ZHANG (Name) Title: Secretary (Director, Secretary or other Duly Authorised Officer)

Exhibit 99.3
 

GRAPHIC

FF305 Next Day Disclosure Return (Equity issuer - changes in issued shares or treasury shares, share buybacks and/or on-market sales of treasury shares) Instrument: Equity issuer Status: New Submission Name of Issuer: Alibaba Group Holding Limited Date Submitted: 11 September 2024 Section I must be completed by a listed issuer where there has been a change in its issued shares or treasury shares which is discloseable pursuant to rule 13.25A of the Rules Governing the Listing of Securities on The Stock Exchange of Hong Kong Limited (the “Exchange”) (the “Main Board Rules”) or rule 17.27A of the Rules Governing the Listing of Securities on GEM of the Exchange (the “GEM Rules”). Page 1 of 7 v 1.3.0 Section I 1. Class of shares Ordinary shares Type of shares Not applicable Listed on the Exchange Yes Stock code (if listed) 09988 Description Multi-counter stock code 89988 RMB Description A. Changes in issued shares or treasury shares Events Changes in issued shares (excluding treasury shares) Changes in treasury shares Issue/ selling price per share (Note 4) Total number of issued Number of issued shares shares (excluding treasury shares) As a % of existing number of issued shares (excluding treasury shares) before the relevant event (Note 3) Number of treasury shares Opening balance as at (Note 1) 10 September 2024 19,254,701,124 0 19,254,701,124 1). Other (please specify) Not Applicable Date of changes 10 September 2024 % Closing balance as at (Notes 5 and 6) 11 September 2024 19,254,701,124 0 19,254,701,124

GRAPHIC

FF305 Page 2 of 7 v 1.3.0 B. Shares redeemed or repurchased for cancellation but not yet cancelled as at the closing balance date (Notes 5 and 6) 1). Shares repurchased for cancellation but not yet cancelled on the New York Stock Exchange Date of changes 23 August 2024 3,746,400 0.02 % USD 10.67 2). Shares repurchased for cancellation but not yet cancelled on the New York Stock Exchange Date of changes 26 August 2024 5,879,200 0.03 % USD 10.2 3). Shares repurchased for cancellation but not yet cancelled on the New York Stock Exchange Date of changes 27 August 2024 5,876,000 0.03 % USD 10.21 4). Shares repurchased for cancellation but not yet cancelled on the New York Stock Exchange Date of changes 28 August 2024 8,013,600 0.04 % USD 9.98 5). Shares repurchased for cancellation but not yet cancelled on the New York Stock Exchange Date of changes 29 August 2024 5,922,616 0.03 % USD 10.13 6). Shares repurchased for cancellation but not yet cancelled on the New York Stock Exchange Date of changes 30 August 2024 5,759,200 0.03 % USD 10.41 7). Shares repurchased for cancellation but not yet cancelled on the New York Stock Exchange Date of changes 03 September 2024 5,824,800 0.03 % USD 10.3 8). Shares repurchased for cancellation but not yet cancelled on the New York Stock Exchange Date of changes 04 September 2024 5,805,600 0.03 % USD 10.33 9). Shares repurchased for cancellation but not yet cancelled on the New York Stock Exchange Date of changes 05 September 2024 5,830,400 0.03 % USD 10.29 10). Shares repurchased for cancellation but not yet cancelled on the New York Stock Exchange Date of changes 06 September 2024 5,878,400 0.03 % USD 10.2 11). Shares repurchased for cancellation but not yet cancelled on the New York Stock Exchange Date of changes 09 September 2024 5,921,600 0.03 % USD 10.13

GRAPHIC

FF305 Page 3 of 7 v 1.3.0 12). Shares repurchased for cancellation but not yet cancelled on the New York Stock Exchange Date of changes 10 September 2024 5,756,000 0.03 % USD 10.42

GRAPHIC

FF305 Confirmation Not applicable Notes to Section I: 1. Please insert the closing balance date of the last Next Day Disclosure Return published pursuant to Main Board Rule 13.25A / GEM Rule 17.27A or Monthly Return pursuant to Main Board Rule 13.25B / GEM Rule 17.27B, whichever is the later. 2. Please set out all changes in issued shares or treasury shares requiring disclosure pursuant to Main Board Rule 13.25A / GEM Rule 17.27A together with the relevant dates of changes. Each category will need to be disclosed individually with sufficient information to enable the user to identify the relevant category in the listed issuer's Monthly Return. For example, multiple issues of shares as a result of multiple exercises of share options under the same share option scheme or of multiple conversions under the same convertible note must be aggregated and disclosed as one category. However, if the issues resulted from exercises of share options under 2 share option schemes or conversions of 2 convertible notes, these must be disclosed as 2 separate categories. 3. The percentage change in the number of issued shares (excluding treasury shares) of the listed issuer is to be calculated by reference to the opening balance of the number of issued shares (excluding treasury shares) being disclosed in this Next Day Disclosure Return. 4. In the case of a share repurchase or redemption, the “issue/ selling price per share” shall be construed as “repurchase price per share” or “redemption price per share”. Where shares have been issued/ sold/ repurchased/ redeemed at more than one price per share, a volume-weighted average price per share should be given. 5. The closing balance date is the date of the last relevant event being disclosed. 6. For repurchase or redemption of shares, disclosure is required when the relevant event has occurred (subject to the provisions of Main Board Rules 10.06(4)(a), 13.25A and 13.31 / GEM Rules 13.13(1), 17.27A and 17.35), even if the repurchased or redeemed shares have not yet been cancelled. If repurchased or redeemed shares are to be cancelled upon settlement of such repurchase or redemption after the closing balance date, they shall remain part of the issued shares as at the closing balance date in Part A. Details of these repurchased or redeemed shares shall be disclosed in Part B. 7. Items (i) to (viii) are suggested forms of confirmation. The listed issuer may amend the item(s) that is/are not applicable to meet individual cases. 8. “Identical” means in this context: - - the securities are of the same nominal value with the same amount called up or paid up; they are entitled to dividend/interest at the same rate and for the same period, so that at the next ensuing distribution, the dividend/interest payable per unit will exactly the same sum (gross and net); and they carry the same rights as to unrestricted transfer, attendance and voting at meetings and rank pari passu in all other respects. amount to - Page 4 of 7 v 1.3.0

GRAPHIC

FF305 Section II must also be completed by a listed issuer where it has made a repurchase of shares which is discloseable under Main Board Rule 10.06(4)(a) / GEM Rule 13.13(1). Repurchase report Section II 1. Class of shares Ordinary shares Type of shares Not applicable Listed on the Exchange Yes Stock code (if listed) 09988 Description Multi-counter stock code 89988 RMB Description A. Repurchase report Repurchase price per share or highest repurchase price per share $ Number of shares repurchased Method of repurchase (Note 1) Lowest repurchase price per share $ Trading date Aggregate price paid $ 1). 10 September 2024 5,756,000 On another stock exchange USD 10.53 USD 10.34 USD 59,981,908.95 New York Stock Exchange Total number of shares repurchased 5,756,000 Aggregate price paid $ USD 59,981,908.95 Number of shares repurchased for cancellation 5,756,000 Number of shares repurchased for holding as treasury shares 0 B. Additional information for issuer who has a primary listing on the Exchange 1). Date of the resolution granting the repurchase mandate 22 August 2024 2). Total number of shares which the issuer is authorised to repurchase under the repurchase mandate 1,874,327,393 3). Number of shares repurchased on the Exchange or another stock exchange under the repurchase mandate (a) 70,213,816 0.36 % 4). As a % of number of issued shares (excluding treasury shares) as at the date of the resolution granting the repurchase mandate (a) x 100 / number of issued shares (excluding treasury shares) as at the date of the resolution granting the repurchase mandate Up to 11 October 2024 5). Moratorium period for any issue of new shares, or sale or transfer of treasury shares after the share repurchase(s) set out in Part A (Note 2) Page 5 of 7 v 1.3.0

GRAPHIC

FF305 Notes to Section II: 1. Please state whether the repurchase was made on the Exchange, on another stock exchange (stating the name of the exchange), by private arrangement or by general offer. 2. Subject to the carve-out set out in Main Board Rule 10.06(3)(a)/ GEM Rule 13.12, an issuer may not (i) make a new issue of shares, or a sale or transfer of any treasury shares; or (ii) announce a proposed new issue of shares, or a sale or transfer of any treasury shares, for a period of 30 days after any purchase by it of shares, whether on the Exchange or otherwise, without the prior approval of the Exchange. Page 6 of 7 v 1.3.0 We hereby confirm that the repurchases made on the Exchange (if any) set out in Part A above were made in accordance with the Main Board Rules and that there have been no material changes to the particulars contained in the Explanatory Statement dated 5 July 2024 which has been filed with the Exchange. We also confirm that any repurchases made on another stock exchange set out in Part A above were made in accordance with the domestic rules applying to repurchases on that other stock exchange.

GRAPHIC

FF305 Section III must also be completed by a listed issuer where it has made a sale of treasury shares on the Exchange or any other stock exchange on which the issuer is listed which is discloseable under Main Board Rule 10.06B / GEM Rule 13.14B. Report of on-market sale of treasury shares Not applicable Kevin Jinwei ZHANG Submitted by: (Name) Secretary Title: (Director, Secretary or other Duly Authorised Officer) Page 7 of 7 v 1.3.0

Exhibit 99.4

GRAPHIC

FF305 Next Day Disclosure Return (Equity issuer - changes in issued shares or treasury shares, share buybacks and/or on-market sales of treasury shares) Instrument: Equity issuer Status: New Submission Name of Issuer: Alibaba Group Holding Limited Date Submitted: 12 September 2024 Section I must be completed by a listed issuer where there has been a change in its issued shares or treasury shares which is discloseable pursuant to rule 13.25A of the Rules Governing the Listing of Securities on The Stock Exchange of Hong Kong Limited (the “Exchange”) (the “Main Board Rules”) or rule 17.27A of the Rules Governing the Listing of Securities on GEM of the Exchange (the “GEM Rules”). Page 1 of 7 v 1.3.0 Section I 1. Class of shares Ordinary shares Type of shares Not applicable Listed on the Exchange Yes Stock code (if listed) 09988 Description Multi-counter stock code 89988 RMB Description A. Changes in issued shares or treasury shares Events Changes in issued shares (excluding treasury shares) Changes in treasury shares Issue/ selling price per share (Note 4) Total number of issued Number of issued shares shares (excluding treasury shares) As a % of existing number of issued shares (excluding treasury shares) before the relevant event (Note 3) Number of treasury shares Opening balance as at (Note 1) 11 September 2024 19,254,701,124 0 19,254,701,124 1). Other (please specify) Not Applicable Date of changes 11 September 2024 % Closing balance as at (Notes 5 and 6) 12 September 2024 19,254,701,124 0 19,254,701,124

GRAPHIC

FF305 Page 2 of 7 v 1.3.0 B. Shares redeemed or repurchased for cancellation but not yet cancelled as at the closing balance date (Notes 5 and 6) 1). Shares repurchased for cancellation but not yet cancelled on the New York Stock Exchange Date of changes 23 August 2024 3,746,400 0.02 % USD 10.67 2). Shares repurchased for cancellation but not yet cancelled on the New York Stock Exchange Date of changes 26 August 2024 5,879,200 0.03 % USD 10.2 3). Shares repurchased for cancellation but not yet cancelled on the New York Stock Exchange Date of changes 27 August 2024 5,876,000 0.03 % USD 10.21 4). Shares repurchased for cancellation but not yet cancelled on the New York Stock Exchange Date of changes 28 August 2024 8,013,600 0.04 % USD 9.98 5). Shares repurchased for cancellation but not yet cancelled on the New York Stock Exchange Date of changes 29 August 2024 5,922,616 0.03 % USD 10.13 6). Shares repurchased for cancellation but not yet cancelled on the New York Stock Exchange Date of changes 30 August 2024 5,759,200 0.03 % USD 10.41 7). Shares repurchased for cancellation but not yet cancelled on the New York Stock Exchange Date of changes 03 September 2024 5,824,800 0.03 % USD 10.3 8). Shares repurchased for cancellation but not yet cancelled on the New York Stock Exchange Date of changes 04 September 2024 5,805,600 0.03 % USD 10.33 9). Shares repurchased for cancellation but not yet cancelled on the New York Stock Exchange Date of changes 05 September 2024 5,830,400 0.03 % USD 10.29 10). Shares repurchased for cancellation but not yet cancelled on the New York Stock Exchange Date of changes 06 September 2024 5,878,400 0.03 % USD 10.2 11). Shares repurchased for cancellation but not yet cancelled on the New York Stock Exchange Date of changes 09 September 2024 5,921,600 0.03 % USD 10.13

GRAPHIC

FF305 Page 3 of 7 v 1.3.0 12). Shares repurchased for cancellation but not yet cancelled on the New York Stock Exchange Date of changes 10 September 2024 5,756,000 0.03 % USD 10.42 13). Shares repurchased for cancellation but not yet cancelled on the New York Stock Exchange Date of changes 11 September 2024 5,690,400 0.03 % USD 10.54

GRAPHIC

FF305 Confirmation Not applicable Notes to Section I: 1. Please insert the closing balance date of the last Next Day Disclosure Return published pursuant to Main Board Rule 13.25A / GEM Rule 17.27A or Monthly Return pursuant to Main Board Rule 13.25B / GEM Rule 17.27B, whichever is the later. 2. Please set out all changes in issued shares or treasury shares requiring disclosure pursuant to Main Board Rule 13.25A / GEM Rule 17.27A together with the relevant dates of changes. Each category will need to be disclosed individually with sufficient information to enable the user to identify the relevant category in the listed issuer's Monthly Return. For example, multiple issues of shares as a result of multiple exercises of share options under the same share option scheme or of multiple conversions under the same convertible note must be aggregated and disclosed as one category. However, if the issues resulted from exercises of share options under 2 share option schemes or conversions of 2 convertible notes, these must be disclosed as 2 separate categories. 3. The percentage change in the number of issued shares (excluding treasury shares) of the listed issuer is to be calculated by reference to the opening balance of the number of issued shares (excluding treasury shares) being disclosed in this Next Day Disclosure Return. 4. In the case of a share repurchase or redemption, the “issue/ selling price per share” shall be construed as “repurchase price per share” or “redemption price per share”. Where shares have been issued/ sold/ repurchased/ redeemed at more than one price per share, a volume-weighted average price per share should be given. 5. The closing balance date is the date of the last relevant event being disclosed. 6. For repurchase or redemption of shares, disclosure is required when the relevant event has occurred (subject to the provisions of Main Board Rules 10.06(4)(a), 13.25A and 13.31 / GEM Rules 13.13(1), 17.27A and 17.35), even if the repurchased or redeemed shares have not yet been cancelled. If repurchased or redeemed shares are to be cancelled upon settlement of such repurchase or redemption after the closing balance date, they shall remain part of the issued shares as at the closing balance date in Part A. Details of these repurchased or redeemed shares shall be disclosed in Part B. 7. Items (i) to (viii) are suggested forms of confirmation. The listed issuer may amend the item(s) that is/are not applicable to meet individual cases. 8. “Identical” means in this context: - - the securities are of the same nominal value with the same amount called up or paid up; they are entitled to dividend/interest at the same rate and for the same period, so that at the next ensuing distribution, the dividend/interest payable per unit will exactly the same sum (gross and net); and they carry the same rights as to unrestricted transfer, attendance and voting at meetings and rank pari passu in all other respects. amount to - Page 4 of 7 v 1.3.0

GRAPHIC

FF305 Section II must also be completed by a listed issuer where it has made a repurchase of shares which is discloseable under Main Board Rule 10.06(4)(a) / GEM Rule 13.13(1). Repurchase report Section II 1. Class of shares Ordinary shares Type of shares Not applicable Listed on the Exchange Yes Stock code (if listed) 09988 Description Multi-counter stock code 89988 RMB Description A. Repurchase report Repurchase price per share or highest repurchase price per share $ Number of shares repurchased Method of repurchase (Note 1) Lowest repurchase price per share $ Trading date Aggregate price paid $ 1). 11 September 2024 5,690,400 On another stock exchange USD 10.6 USD 10.44 USD 59,984,071.26 New York Stock Exchange Total number of shares repurchased 5,690,400 Aggregate price paid $ USD 59,984,071.26 Number of shares repurchased for cancellation 5,690,400 Number of shares repurchased for holding as treasury shares 0 B. Additional information for issuer who has a primary listing on the Exchange 1). Date of the resolution granting the repurchase mandate 22 August 2024 2). Total number of shares which the issuer is authorised to repurchase under the repurchase mandate 1,874,327,393 3). Number of shares repurchased on the Exchange or another stock exchange under the repurchase mandate (a) 75,904,216 4). As a % of number of issued shares (excluding treasury shares) as at the date of the resolution granting the repurchase mandate 0.39 % (a) x 100 / number of issued shares (excluding treasury shares) as at the date of the resolution granting the repurchase mandate Up to 12 October 2024 5). Moratorium period for any issue of new shares, or sale or transfer of treasury shares after the share repurchase(s) set out in Part A (Note 2) Page 5 of 7 v 1.3.0

GRAPHIC

FF305 Notes to Section II: 1. Please state whether the repurchase was made on the Exchange, on another stock exchange (stating the name of the exchange), by private arrangement or by general offer. 2. Subject to the carve-out set out in Main Board Rule 10.06(3)(a)/ GEM Rule 13.12, an issuer may not (i) make a new issue of shares, or a sale or transfer of any treasury shares; or (ii) announce a proposed new issue of shares, or a sale or transfer of any treasury shares, for a period of 30 days after any purchase by it of shares, whether on the Exchange or otherwise, without the prior approval of the Exchange. Page 6 of 7 v 1.3.0 We hereby confirm that the repurchases made on the Exchange (if any) set out in Part A above were made in accordance with the Main Board Rules and that there have been no material changes to the particulars contained in the Explanatory Statement dated 5 July 2024 which has been filed with the Exchange. We also confirm that any repurchases made on another stock exchange set out in Part A above were made in accordance with the domestic rules applying to repurchases on that other stock exchange.

GRAPHIC

FF305 Section III must also be completed by a listed issuer where it has made a sale of treasury shares on the Exchange or any other stock exchange on which the issuer is listed which is discloseable under Main Board Rule 10.06B / GEM Rule 13.14B. Report of on-market sale of treasury shares Not applicable Submitted by: Kevin Jinwei ZHANG (Name) Secretary Title: (Director, Secretary or other Duly Authorised Officer) Page 7 of 7 v 1.3.0

Exhibit 99.5

GRAPHIC

FF305 Next Day Disclosure Return (Equity issuer - changes in issued shares or treasury shares, share buybacks and/or on-market sales of treasury shares) Instrument: Equity issuer Status: New Submission Name of Issuer: Alibaba Group Holding Limited Date Submitted: 13 September 2024 Section I must be completed by a listed issuer where there has been a change in its issued shares or treasury shares which is discloseable pursuant to rule 13.25A of the Rules Governing the Listing of Securities on The Stock Exchange of Hong Kong Limited (the “Exchange”) (the “Main Board Rules”) or rule 17.27A of the Rules Governing the Listing of Securities on GEM of the Exchange (the “GEM Rules”). Page 1 of 6 v 1.3.0 Section I 1. Class of shares Ordinary shares Type of shares Not applicable Listed on the Exchange Yes Stock code (if listed) 09988 Description Multi-counter stock code 89988 RMB Description A. Changes in issued shares or treasury shares Events Changes in issued shares (excluding treasury shares) Changes in treasury shares Issue/ selling price per share (Note 4) Total number of issued Number of issued shares shares (excluding treasury shares) As a % of existing number of issued shares (excluding treasury shares) before the relevant event (Note 3) Number of treasury shares Opening balance as at (Note 1) 12 September 2024 19,254,701,124 0 19,254,701,124 1). Issue of new shares or transfer of treasury shares in respect of share awards or options granted to a director of the issuer under a share scheme - new shares involved Issue of shares to a director for his RSU vesting under the 2014 Post-IPO Equity Incentive Plan Date of changes 13 September 2024 320,000 0.002 % USD 0

GRAPHIC

FF305 Page 2 of 6 v 1.3.0 2). Repurchase of shares (shares repurchased and cancelled) Shares repurchased on 23, 26, 27, 28, 29, 30 August 2024 and 3, 4, 5, 6, 9, 10, 11 September on the New York Stock Exchange and cancelled on 13 September 2024 Date of changes 13 September 2024 -75,904,216 0.394 % USD 10.27 Closing balance as at (Notes 5 and 6) 13 September 2024 19,179,116,908 0 19,179,116,908 B. Shares redeemed or repurchased for cancellation but not yet cancelled as at the closing balance date (Notes 5 and 6) 1). Shares repurchased for cancellation but not yet cancelled on the New York Stock Exchange Date of changes 12 September 2024 3,748,000 0.02 % USD 10.67

GRAPHIC

FF305 Confirmation Not applicable Notes to Section I: 1. Please insert the closing balance date of the last Next Day Disclosure Return published pursuant to Main Board Rule 13.25A / GEM Rule 17.27A or Monthly Return pursuant to Main Board Rule 13.25B / GEM Rule 17.27B, whichever is the later. 2. Please set out all changes in issued shares or treasury shares requiring disclosure pursuant to Main Board Rule 13.25A / GEM Rule 17.27A together with the relevant dates of changes. Each category will need to be disclosed individually with sufficient information to enable the user to identify the relevant category in the listed issuer's Monthly Return. For example, multiple issues of shares as a result of multiple exercises of share options under the same share option scheme or of multiple conversions under the same convertible note must be aggregated and disclosed as one category. However, if the issues resulted from exercises of share options under 2 share option schemes or conversions of 2 convertible notes, these must be disclosed as 2 separate categories. 3. The percentage change in the number of issued shares (excluding treasury shares) of the listed issuer is to be calculated by reference to the opening balance of the number of issued shares (excluding treasury shares) being disclosed in this Next Day Disclosure Return. 4. In the case of a share repurchase or redemption, the “issue/ selling price per share” shall be construed as “repurchase price per share” or “redemption price per share”. Where shares have been issued/ sold/ repurchased/ redeemed at more than one price per share, a volume-weighted average price per share should be given. 5. The closing balance date is the date of the last relevant event being disclosed. 6. For repurchase or redemption of shares, disclosure is required when the relevant event has occurred (subject to the provisions of Main Board Rules 10.06(4)(a), 13.25A and 13.31 / GEM Rules 13.13(1), 17.27A and 17.35), even if the repurchased or redeemed shares have not yet been cancelled. If repurchased or redeemed shares are to be cancelled upon settlement of such repurchase or redemption after the closing balance date, they shall remain part of the issued shares as at the closing balance date in Part A. Details of these repurchased or redeemed shares shall be disclosed in Part B. 7. Items (i) to (viii) are suggested forms of confirmation. The listed issuer may amend the item(s) that is/are not applicable to meet individual cases. 8. “Identical” means in this context: - - the securities are of the same nominal value with the same amount called up or paid up; they are entitled to dividend/interest at the same rate and for the same period, so that at the next ensuing distribution, the dividend/interest payable per unit will exactly the same sum (gross and net); and they carry the same rights as to unrestricted transfer, attendance and voting at meetings and rank pari passu in all other respects. amount to - Page 3 of 6 v 1.3.0

GRAPHIC

FF305 Section II must also be completed by a listed issuer where it has made a repurchase of shares which is discloseable under Main Board Rule 10.06(4)(a) / GEM Rule 13.13(1). Repurchase report Section II 1. Class of shares Ordinary shares Type of shares Not applicable Listed on the Exchange Yes Stock code (if listed) 09988 Description Multi-counter stock code 89988 RMB Description A. Repurchase report Repurchase price per share or highest repurchase price per share $ Number of shares repurchased Method of repurchase (Note 1) Lowest repurchase price per share $ Trading date Aggregate price paid $ 1). 12 September 2024 3,748,000 On another stock exchange USD 10.71 USD 10.63 USD 39,987,084.05 New York Stock Exchange Total number of shares repurchased 3,748,000 Aggregate price paid $ USD 39,987,084.05 Number of shares repurchased for cancellation 3,748,000 Number of shares repurchased for holding as treasury shares 0 B. Additional information for issuer who has a primary listing on the Exchange 1). Date of the resolution granting the repurchase mandate 22 August 2024 2). Total number of shares which the issuer is authorised to repurchase under the repurchase mandate 1,874,327,393 3). Number of shares repurchased on the Exchange or another stock exchange under the repurchase mandate (a) 79,652,216 4). As a % of number of issued shares (excluding treasury shares) as at the date of the resolution granting the repurchase mandate 0.41 % (a) x 100 / number of issued shares (excluding treasury shares) as at the date of the resolution granting the repurchase mandate Up to 13 October 2024 5). Moratorium period for any issue of new shares, or sale or transfer of treasury shares after the share repurchase(s) set out in Part A (Note 2) Page 4 of 6 v 1.3.0

GRAPHIC

FF305 Notes to Section II: 1. Please state whether the repurchase was made on the Exchange, on another stock exchange (stating the name of the exchange), by private arrangement or by general offer. 2. Subject to the carve-out set out in Main Board Rule 10.06(3)(a)/ GEM Rule 13.12, an issuer may not (i) make a new issue of shares, or a sale or transfer of any treasury shares; or (ii) announce a proposed new issue of shares, or a sale or transfer of any treasury shares, for a period of 30 days after any purchase by it of shares, whether on the Exchange or otherwise, without the prior approval of the Exchange. Page 5 of 6 v 1.3.0 We hereby confirm that the repurchases made on the Exchange (if any) set out in Part A above were made in accordance with the Main Board Rules and that there have been no material changes to the particulars contained in the Explanatory Statement dated 5 July 2024 which has been filed with the Exchange. We also confirm that any repurchases made on another stock exchange set out in Part A above were made in accordance with the domestic rules applying to repurchases on that other stock exchange.

GRAPHIC

FF305 Section III must also be completed by a listed issuer where it has made a sale of treasury shares on the Exchange or any other stock exchange on which the issuer is listed which is discloseable under Main Board Rule 10.06B / GEM Rule 13.14B. Report of on-market sale of treasury shares Not applicable Submitted by: Kevin Jinwei ZHANG (Name) Secretary Title: (Director, Secretary or other Duly Authorised Officer) Page 6 of 6 v 1.3.0