SECURITIES AND EXCHANGE COMMISSION

Washington, DC 20549

 

FORM 6-K

 

REPORT OF FOREIGN PRIVATE ISSUER

PURSUANT TO RULE 13a-16 OR 15d-16

UNDER THE SECURITIES EXCHANGE ACT OF 1934

 

For the month of September, 2024

Commission File Number: 001-13382

 

KINROSS GOLD CORPORATION

(Translation of registrant's name into English)

 

17th Floor, 25 York Street,

Toronto, Ontario M5J 2V5

(Address of principal executive offices)

 

Indicate by check mark whether the registrant files or will file annual reports under cover of Form 20-F or Form 40F:

 

Form 20-F ¨       Form 40-F x

 

This Current Report on Form 6-K, dated September 10, 2024 is specifically incorporated by reference into Kinross Gold Corporation's Registration Statements on Form S-8 [Registration No. 333-262966 filed on February 24, 2022, Registration No. 333-217099 filed on April 3, 2017 and Registration Nos. 333-180824, 333-180823 and 333-180822 filed on April 19, 2012.]

 

 

 

 

 

 

Page 2

 

This report on Form 6-K is being furnished for the sole purpose of providing a copy of the Technical Report filed for Kinross Gold Corporation’s Great Bear Project, along with the required certificates and consents as filed on SEDAR, dated September 10, 2024.

 

 

INDEX

 

Table of Contents

 

SIGNATURES

EXHIBIT INDEX

 

99.1Technical Report dated September 10, 2024 with respect to the Great Bear Gold Project, Ontario, Canada (“Technical Report”).
99.2Certificate of Nicos Pfeiffer dated September 10, 2024 with respect to the Technical report as filed on SEDAR.
99.3Consent of Nicos Pfeiffer dated September 10, 2024 with respect to the Technical report as filed on SEDAR.
99.4Consent of Nicos Pfeiffer dated September 10, 2024 for the US filing of the Technical Report.
99.5Certificate of Graham Long dated September 10, 2024 with respect to the Technical report as filed on SEDAR.
99.6Consent of Graham Long dated September 10, 2024 with respect to the Technical report as filed on SEDAR.
99.7Consent of Graham Long dated September 10, 2024 for the US filing of the Technical Report.
99.8Certificate of Yves Breau dated September 10, 2024 with respect to the Technical report as filed on SEDAR.
99.9Consent of Yves Breau dated September 10, 2024 with respect to the Technical report as filed on SEDAR.
99.10Consent of Yves Breau dated September 10, 2024 for the US filing of the Technical Report.
99.11Certificate of Agung Prawasono dated September 10, 2024 with respect to the Technical report as filed on SEDAR.
99.12Consent of Agung Prawasono dated September 10, 2024 with respect to the Technical report as filed on SEDAR.
99.13Consent of Agung Prawasono dated September 10, 2024 for the US filing of the Technical Report.
99.14Certificate of Arkadius Tarigan dated September 10, 2024 with respect to the Technical report as filed on SEDAR.
99.15Consent of Arkadius Tarigan dated September 10, 2024 with respect to the Technical report as filed on SEDAR.
99.16Consent of Arkadius Tarigan dated September 10, 2024 for the US filing of the Technical Report.

 

 

 

 

Page 3

 

99.17Certificate of Jerry Ran dated September 10, 2024 with respect to the Technical report as filed on SEDAR.
99.18Consent of Jerry Ran dated September 10, 2024 with respect to the Technical report as filed on SEDAR.
99.19Consent of Jerry Ran dated September 10, 2024 for the US filing of the Technical Report.
99.20Certificate of Kevin van Warmerdam dated September 10, 2024 with respect to the Technical report as filed on SEDAR.
99.21Consent of Kevin van Warmerdam dated September 10, 2024 with respect to the Technical report as filed on SEDAR.
99.22Consent of Kevin van Warmerdam dated September 10, 2024 for the US filing of the Technical Report.
99.23Certificate of Dennis Renda dated September 10, 2024 with respect to the Technical report as filed on SEDAR.
99.24Consent of Dennis Renda dated September 10, 2024 with respect to the Technical report as filed on SEDAR.
99.25Consent of Dennis Renda dated September 10, 2024 for the US filing of the Technical Report.
99.26Certificate of Sheila Daniel dated September 10, 2024 with respect to the Technical report as filed on SEDAR.
99.27Consent of Sheila Daniel dated September 10, 2024 with respect to the Technical report as filed on SEDAR.
99.28Consent of Sheila Daniel dated September 10, 2024 for the US filing of the Technical Report.
99.29Certificate of Simon Gautrey dated September 10, 2024 with respect to the Technical report as filed on SEDAR.
99.30Consent of Simon Gautrey dated September 10, 2024 with respect to the Technical report as filed on SEDAR.
99.31Consent of Simon Gautrey dated September 10, 2024 for the US filing of the Technical Report.

 

 

 

 

 

 

 

 

 

 

 

 

 

 

 

 

Page 4

SIGNATURES

 

 

Pursuant to the requirements of Securities Exchange Act of 1934, the registrant has duly caused this report to be signed on its behalf by the undersigned, thereunto duly authorized.

 

  KINROSS GOLD CORPORATION
   
   
   
   
  Signed: //Lucas R. Crosby//
  Vice President, General Counsel – Corporate
  and Corporate Secretary

 

 

 

 

 

September 10, 2024

 

 

 

Exhibit 99.1

 

Great Bear Gold Project

Ontario, Canada

Voluntary National Instrument 43-101 Technical Report

Preliminary Economic Assessment

 

 

Prepared for:

Kinross Gold Corporation

 

Prepared by:

 

Nicos Pfeiffer, P.Geo.

Graham Long, P.Geo.

Yves Breau, P.Eng.

Agung Prawasono, P.Eng., PMP

Arkadius Tarigan, P.Eng.

Jerry Ran, P.Eng.

Kevin van Warmerdam, P.Eng.

Dennis Renda, P.Eng.

Sheila Daniel, P.Geo.

Simon Gautrey, P.Geo.

 

EffectiveDate:September 1, 2024
   
SignatureDate:September 10, 2024

 

 

 

 

Kinross Gold Corporation

Great Bear Gold Project

Ontario, Canada

NI 43-101 Technical Report

 

Contents

 

1. Summary 1
  1.1 Executive Summary 1
  1.2 Technical Summary 11
  1.3 Economic Analysis 22
       
2. Introduction 28
  2.1 Qualified Persons 29
  2.2 Sources of Information 30
  2.3 Effective Date 30
  2.4 List of Abbreviations 31
  2.5 List of Acronyms 32
       
3. Reliance on Other Experts 34
     
4. Property Description and Location 35
  4.1 Location 35
  4.2 Mineral Tenure 35
  4.3 Mineral Claim Ownership Details 38
  4.4 Environmental Liabilities and Other Significant Factors 40
  4.5 Permitting 40
  4.6 Other Liabilities 40
       
5. Accessibility, Climate, Local Resources, Infrastructure and Physiography 41
  5.1 Accessibility 41
  5.2 Climate 43
  5.3 Local Resources 43
  5.4 Infrastructure and Community Services 43
  5.5 Physiography and Environment 44
       
6. History 46
  6.1 88-4 Zone (Limb Zone) 51
  6.2 NS Zone (Hinge Zone) 51
  6.3 LP Zone 52
  6.4 Historic Drill Core Storage 52
  6.5 Production 53
       
7. Geological Setting 54
  7.1 Regional Geology 54
  7.2 Local Geology 60
  7.3 Project Geology 63
  7.4 Mineralization Styles and Target Areas 73
  7.5 Metamorphism and Alteration 81
  7.6 Structural Geology 83
       
8. Deposit Types 88
     
9. Exploration 89
     
10. Drilling 90
  10.1 Summary 90
  10.2 Kinross Drilling Programs: February 2022 to Present 92

 

TOC i

 

 

Kinross Gold Corporation

Great Bear Gold Project

Ontario, Canada

NI 43-101 Technical Report

 

11. Sample Preparation, Analyses, and Security 97
  11.1 Sample Security 97
  11.2 Sample Preparation and Analysis 97
  11.3 Quality Assurance and Quality Control 100
       
12. Data Verification 154
  12.1 Kinross-Commissioned Site Inspection (2021) 154
  12.2 QP Site Visit 154
  12.3 Kinross Assay Collection 154
  12.4 Assay Certificate Verification 155
  12.5 Density Certificate Verification 159
  12.6 QP Opinion 161
       
13. Mineral Processing and Metallurgical Testing 162
  13.1 Introduction 162
  13.1 Blue Coast Test Programs Results 162
  13.2 SGS Metallurgical Test Work 2023 and 2024 164
       
14. Mineral Resource Estimate 181
  14.1 Summary of Mineral Resources 181
  14.2 Resource Databases 182
  14.3 LP Zone Mineral Resource Estimate 188
  14.4 Hinge and Limb Zone Mineral Resource Estimate 221
       
15. Mineral Reserve Estimate 239
     
16. Mining Methods 240
  16.1 Introduction 240
  16.2 Geomechanics 240
  16.3 Hydrogeology 253
  16.4 Open Pit Mining 256
  16.5 Underground Mining 277
  16.6 Project LOM Plan – Open Pit and Underground 302
       
17. Recovery Methods 307
  17.1 Introduction 307
  17.2 Process Design Criteria 307
  17.3 Process Plant 310
  17.4 Process Description 312
       
18. Project Infrastructure 319
  18.1 Roads 319
  18.2 Utilities 321
  18.3 Fuel Facilities 322
  18.4 Buildings 323
  18.5 Tailings Management Facility 325
  18.6 Water Management 330
  18.7 Mine Rock and Overburden Stockpiles 330
       
19. Market Studies and Contracts 333
  19.1 Markets 333
  19.2 Contracts 333
       
20. Environmental Studies, Permitting, and Social or Community Impact 334
  20.1 Environmental Setting 334

 

TOC ii

 

 

Kinross Gold Corporation

Great Bear Gold Project

Ontario, Canada

NI 43-101 Technical Report

 

  20.2 Regulatory Framework 341
  20.3 Environmental Impacts and Mitigation 344
  20.4 Community Relations and Engagement 345
  20.5 Geochemistry Considerations 345
  20.6 Preliminary Closure Planning 348
       
21. Capital and Operating Costs 351
  21.1 Capital Costs 351
  21.2 Operating Costs 361
  21.3 Site Personnel 368
       
22. Economic Analysis 369
     
23. Adjacent Properties 382
     
24. Other Relevant Data and Information 383
  24.1 Project Implementation and Execution Plan 383
       
25. Interpretation and Conclusions 384
  25.1 Overall Project Development 384
  25.2 Geology and Mineral Resources 384
  25.3 Mine Design and Mining Methods 385
  25.4 Metallurgical Testing and Mineral Processing 386
  25.5 Infrastructure and Tailings Management 386
  25.6 Environment, Permitting, and Social Aspects 387
       
26. Recommendations 389
  26.1 Overall Project Development 389
  26.2 Geology and Mineral Resources 390
  26.3 Mine Design and Mining Methods 390
  26.4 Metallurgical Testing and Mineral Processing 391
  26.5 Infrastructure and Tailings Management 391
  26.6 Environment, Permitting, and Social Aspects 391
  26.7 Proposed Program and Budget 392
       
27. References 393
     
28. Date and Signature Page 397
     
29. Certificate of Qualified Person 399
  29.1 Nicos Pfeiffer 399
  29.2 Graham Long 401
  29.3 Yves Breau 402
  29.4 Agung Prawasono 404
  29.5 Arkadius Tarigan 406
  29.6 Jerry Ran 408
  29.7 Kevin van Warmerdam 410
  29.8 Dennis Renda 412
  29.9 Sheila Daniel 414
  29.10 Simon Gautrey 416
       
30. Appendix 1 418

 

TOC iii

 

 

Kinross Gold Corporation

Great Bear Gold Project

Ontario, Canada

NI 43-101 Technical Report

 

Tables

 

Table 1-1: After-tax NPV and IRR sensitivity results 3
Table 1-2: Preliminary budget for recommended actions 11
Table 1-3: Summary of Project Mineral Resources – April 2, 2024 15
Table 1-4: Summary of Project initial capital cost estimate 20
Table 1-5: Summary of sustaining capital cost estimates 21
Table 1-6: Summary of Project operating costs 21
Table 1-7: After-tax cash flow summary 25
Table 1-8: Summary of results of after-tax cash flow analysis 26
Table 1-9: After-tax NPV and IRR sensitivity results 26
Table 1-10: After-tax NPV sensitivity results discount rate variations 26
Table 2-1: Qualified persons and technical report section responsibilities 29
Table 6-1: Exploration history 1944 to February 2022 46
Table 6-2: Summary of historical diamond drilling (1944 to February 2022) 49
Table 7-1: Regional geology from Sanborn-Barrie et al., 2004a 58
Table 7-2: Property deformation history and associated mineralization, structure orientation, and comments by SRK 84
Table 10-1: Summary of Kinross diamond drilling (February 24, 2022 to April 2024) 90
Table 11-1: Summary of control samples – 2017 to 2019 103
Table 11-2: Summary of control sample results – 2017 to 2019 104
Table 11-3: Summary of control samples – 2020 – 2022 Great Bear drill programs 118
Table 11-4: Summary of CRMs for 2020 – 2022 Great Bear drill program 120
Table 11-5: Summary of control samples – 2022 Kinross drill program 125
Table 11-6: Summary of CRMs for 2022 Kinross drill program 127
Table 11-7: Summary of control samples – 2022 Kinross RC drill program 130
Table 11-8: Summary of CRMs for 2022 Kinross RC drilling program 132
Table 11-9: Summary of control samples – 2023 Kinross drill program 135
Table 11-10: Summary of CRMs for 2023 Kinross drill program 138
Table 11-11: Summary of control samples – 2024 Kinross drill program 145
Table 11-12: Summary of CRMs for 2023 Kinross drill program 147
Table 12-1: Summary of Compiled Assay Certificates 156
Table 12-2: Summary of assay certificate verification – July, 2024 158
Table 12-3: Summary of compiled density certificates 159
Table 13-1: Metallurgical development composites, quantitative analyses 169
Table 13-2: Variability composites, quantitative analyses 169
Table 13-3: Summary of comminution test results 170
Table 13-4: Summary of gold extraction results 171
Table 13-5: Whole ore cyanide leaching of the LP fault composites 176
Table 13-6: Gravity and 48-Hour cyanide leach tests 176
Table 13-7: Rougher flotation conditions 180
Table 14-1: Summary of Project Mineral Resources – April 2, 2024 181
Table 14-2: Confidence 3 and 4 holes excluded from the Mineral Resource database 184
Table 14-3: LP Zone Mineral Resource summary – April 2, 2024 189
Table 14-4: Uncapped composite statistics by domain 195
Table 14-5: Capped composite statistics by domain 196

 

TOC iv

 

 

Kinross Gold Corporation

Great Bear Gold Project

Ontario, Canada

NI 43-101 Technical Report

 

Table 14-6: Summary of variogram parameters by domain 199
Table 14-7: Block model extents and the block parameters 200
Table 14-8: Description of block model variables 201
Table 14-9: Variables using majority codes, averages, and weighted averages 201
Table 14-10: Average density values for each rock code 203
Table 14-11: Comparison of tonnes, grade, and ounces in common blocks between the ground truth and long-term models 214
Table 14-12: Kinross corporate guidance for reconciliation variance 214
Table 14-13: Comparison of 2022, 2023, and 2024 LP Zone Resource estimates 219
Table 14-14: Open pit Mineral Resource sensitivity – LP Zone 220
Table 14-15: Underground Mineral Resource sensitivity – LP Zone 221
Table 14-16: Hinge and Limb Zone Mineral Resource summary – April 2, 2024 222
Table 14-17: Capped and uncapped composite statistics by domain 228
Table 14-18: Block model variables description 231
Table 14-19: Ellipsoid search distances for each estimation domain 233
Table 14-20: Comparison of previously reported Mineral Resources at Hinge and Limb 237
Table 14-21: Underground Inferred Mineral Resource sensitivity - Hinge and Limb zones 238
Table 16-1: Far-field stresses considered for site 241
Table 16-2: Summary of testing performed 242
Table 16-3: Laboratory test results by rock type 243
Table 16-4: Summary of major and minor joint set orientations for the LP Zone area 244
Table 16-5: Summary of major and minor joint set orientations for the underground workings south of the LP Zone 245
Table 16-6: Rock mass classification by location/zone 246
Table 16-7: Recommended open pit slope criteria 246
Table 16-8: Recommendations for overburden slopes at the pit crest 247
Table 16-9: Stope dimension limits based on Mathews-Potvin stope stability analysis 249
Table 16-10: Estimated hangingwall and footwall dilution 250
Table 16-11: Summary of backfill strength estimations based on confined block mechanism limit equilibrium for single height stopes 252
Table 16-12: Preliminary ground support 253
Table 16-13: Parameters for cut-off grade calculations 257
Table 16-14: Optimization parameters for LP Central, LP Discovery, and LP Viggo mining areas 259
Table 16-15: Open pit design parameters 264
Table 16-16: Open pit mining inventory by pit phase 266
Table 16-17: Rock density assumptions 269
Table 16-18: Surface stockpile capacities and scheduled quantities 269
Table 16-19: Surface mobile equipment 270
Table 16-20: Open pit personnel 272
Table 16-21: Open pit LOM plan 275
Table 16-22: Underground total materials by zone 277
Table 16-23: COG parameters for stope optimizer inputs and evaluations 280
Table 16-24: Stope optimizer parameters 281
Table 16-25: Summary of dilution quantities by zone 281
Table 16-26: Lateral development parameters 285
Table 16-27: Vertical development parameters 285
Table 16-28: Underground mining mobile equipment requirements 288

 

TOC v

 

 

Kinross Gold Corporation

Great Bear Gold Project

Ontario, Canada

NI 43-101 Technical Report

 

Table 16-29: Mine stages 290
Table 16-30: Estimated main fan selection duty points 291
Table 16-31: Summary of backfill strength 293
Table 16-32: Strength targets and binder requirements 293
Table 16-33: Key parameters used in reticulation system design 295
Table 16-34: Production rates and scheduling parameters 299
Table 16-35: LOM backfill volume by backfill type 299
Table 16-36: Project LOM plan – mining and processing physicals 303
Table 17-1: Process design criteria 307
Table 18-1: Quaternary units 327
Table 20-1: Federal approvals anticipated to be required 342
Table 20-2: Provincial environmental approvals anticipated to be required 343
Table 21-1: Summary of initial Project capital cost estimate 352
Table 21-2: Summary of sustaining capital cost estimates 352
Table 21-3: TMF initial and sustaining capital costs 357
Table 21-4: Summary of sustaining capital cost estimate 360
Table 21-5: Total operating costs over life of Project 361
Table 21-6: LOM open pit mining operating costs 363
Table 21-7: LOM Underground mining operating costs 365
Table 21-8: LOM processing operating costs 366
Table 21-9: Key inputs for Process consumables 366
Table 21-10: Key inputs for process reagents 367
Table 21-11: LOM G&A operating costs 367
Table 21-12: Site workforce profile 368
Table 22-1: After-tax cash flow summary 375
Table 22-2: Summary of results of after-tax cash flow analysis 376
Table 22-3: After-tax NPV and IRR sensitivity results 378
Table 22-4: After-tax NPV sensitivity results discount rate variations 379
Table 24-1: Key milestone dates 383
Table 26-1: Preliminary budget for recommended actions 392
Table 30-1: Land tenure 418

 

Figures

 

Figure 1-1: Sensitivity of the after-tax NPV to selected economic variables 27
Figure 4-1: Location map 36
Figure 4-2: Land tenure for Great Bear Property 37
Figure 4-3: Royalty map 39
Figure 5-1: Property access 42
Figure 5-2: Low rolling topography, partially forested, with mature stands and younger growth of black spruce 44
Figure 6-1: Great Bear Project historical diamond drilling prior to Kinross’ acquisition on February 24, 2022 50
Figure 6-2: Historic drill core storage area; near Hinge and Limb zones 53
Figure 7-1: Regional setting of Great Bear Property within the Uchi Subprovince, on the south margin of the ca. 3 Ga North Caribou Terrane 55

 

TOC vi

 

 

Kinross Gold Corporation

Great Bear Gold Project

Ontario, Canada

NI 43-101 Technical Report

 

Figure 7-2: Regional Red Lake District geology with active and past producing mines 56
Figure 7-3: Property scale regional geology 57
Figure 7-4: Interpreted geology from drilling, prospecting, and geophysics 61
Figure 7-5: Schematic illustration of documented subaqueous felsic lava deposits 62
Figure 7-6: Schematic stratigraphy column for the Great Bear Project 64
Figure 7-7: Dry core sample of Sediments from BR-051 at 87.5 m 65
Figure 7-8: Dry core sample of Felsic Volcaniclastic from BR-046 at 87.5 m 65
Figure 7-9: Wet core sample of Felsic Volcanic from DNW-011 at 13.2 m 66
Figure 7-10: Dry core photo of Metasediments (2) from BR-065 at 264 m 66
Figure 7-11: Wet core photo of Metasediments (2) from DNW-011 at 133.15 m 67
Figure 7-12: Wet core photo of Felsic Volcanic (2) from DNW-011 at 141.45 m 67
Figure 7-13: Wet core photo of Metasediments (3) from DNW-011 136.3 m and BR-060 315 m 68
Figure 7-14: Wet core photo of Fragmental from BR-036 at 413 m to 420 m 69
Figure 7-15: Wet core photo of Fragmental from DL-018 at 112 m 70
Figure 7-16: Wet core photo of Mafic Volcanic – Fe-Tholeiite – Biotite Calcite Pillows from DL-018 at 136 m 70
Figure 7-17: Dry core photo of Argillite from DHZ-026 at 48 m 71
Figure 7-18: Wet core photo of Mafic Volcanic – High Mg-Tholeiite – Massive Basalt from DL-024 at 145.5 m 72
Figure 7-19: Dry core photo of Mafic Volcanic – High Fe-Tholeiite – Pillow Basalt from DL-024 at 25.0 m 72
Figure 7-20: Wet core photo of Ultramafic from DHZ-039 at 141 m 73
Figure 7-21: Wet core photo of Feldspar Porphyry Dyke from DHZ-001 at 244.3 m 73
Figure 7-22: Interpreted geology showing mineralization zones at the Project 74
Figure 7-23: Silica sulphide replacement style mineralization of the Limb Zone 75
Figure 7-24: Limb Zone with significant gold intercepts and MSO shapes looking northeast 76
Figure 7-25: Hinge Zone style vein from DHZ-014 at 184.5 m 77
Figure 7-26: Vertical section of Hinge Zone, looking northeast (± 7.5 m) with significant assays and MSO shapes 78
Figure 7-27: Plan view of gold values >2.3 g/t for the LP Zone with geology and LP subzones 80
Figure 7-28: Strong strained Felsic Volcanic with 5% to 10% fine-grained arsenopyrite and 1% fine visible gold in the foliation in BR-020 at 90.15 m 80
Figure 7-29: Visible gold in foliation hosted by strained porphyritic Felsic Volcanic from DNW-011 at 58.25 m 81
Figure 7-30: Recrystallized amphibole overprinting foliation (possible actinolite) and biotite alteration in contact with quartz vein (red line) 82
Figure 7-31: Property geology and structural interpretation showing the mafic domain and the felsic LP domain, a high strain corridor 85
Figure 7-32: Inclined view of SRK fault model with isotropic grade shells for Au 86
Figure 10-1: Location map of historical and Kinross drill hole collars 91
Figure 10-2: Drill logging table; 117 Forestry Road 95
Figure 10-3: Core cutting area; 117 Forestry Road 95
Figure 10-4: Strapped core boxes (by drill hole), temporary core storage at the 2 Industrial Park facility 96
Figure 11-1: Graphical representation of total samples submitted and failure rates at SGS versus ActLabs 105

 

TOC vii

 

 

Kinross Gold Corporation

Great Bear Gold Project

Ontario, Canada

NI 43-101 Technical Report

 

Figure 11-2: Control plot for BLK blank material (BL-10 and BLM combined); March 2018 to May 2019 106
Figure 11-3: Control plot for BL-10 blank material; May 2019 to December 2019 107
Figure 11-4: Control plot for BLM blank material; July 2019 to December 2019 107
Figure 11-5: Control plot for SRM GS12A 109
Figure 11-6: Control plot for SRM GS1P5Q 109
Figure 11-7: Control plot for SRM GS1P5R 109
Figure 11-8: Control plot for SRM GS2S 110
Figure 11-9: Control plot for SRM GS4H 110
Figure 11-10: Control plot for SRM GS5W (Fire Assay) 111
Figure 11-11: Control plot for SRM GS5W (Gravimetric Finish) 111
Figure 11-12: Control plot for SRM GSP5E 112
Figure 11-13: Control plot for SRM OREAS 209 112
Figure 11-14: Control plot for SRM OREAS 214 113
Figure 11-15: Control plot for SRM OREAS 221 113
Figure 11-16: Control plot for SRM OREAS 224 114
Figure 11-17: Control plot for SRM OREAS 228 114
Figure 11-18: Scatter plot for field duplicates 116
Figure 11-19: Control plot for coarse reject analyses from SGS, Actlabs and ALS Global 117
Figure 11-20: Control plot BLM 119
Figure 11-21: Control plot for BLK 119
Figure 11-22: Control plot for CDN-GS-1W 121
Figure 11-23: Control plot for CDN-GS-4H 121
Figure 11-24: Control plot for CDN-GS-P5E 122
Figure 11-25: Control plot for OREAS 221 122
Figure 11-26: Control plot for OREAS 226 123
Figure 11-27: Control plot for OREAS 232 123
Figure 11-28: Control plot for field duplicates; January 2020 to March 2021 124
Figure 11-29: Control plot for BLK 126
Figure 11-30: Control plot for BLK_PStone 126
Figure 11-31: Control plot for OREAS 230 128
Figure 11-32: Control plot for OREAS 233 128
Figure 11-33: Control plot for OREAS 238 129
Figure 11-34: Control plot for OREAS 240 129
Figure 11-35: Control plot for BLK 131
Figure 11-36: Control plot for CDN-GS-12B 132
Figure 11-37: Control plot for OREAS 211 133
Figure 11-38: Control plot for OREAS 233 133
Figure 11-39: Scatter plot for field duplicates 134
Figure 11-40: Control plot for BLK 136
Figure 11-41: Control plot for BLK_PStone 136
Figure 11-42: Control plot for BLM 137
Figure 11-43: Control plot for CDN-GS-12B 138
Figure 11-44: Control plot for OREAS 211 139
Figure 11-45: Control plot for OREAS 230 139
Figure 11-46: Control plot for OREAS 231 140
Figure 11-47: Control plot for OREAS 232 140

 

TOC viii

 

 

Kinross Gold Corporation

Great Bear Gold Project

Ontario, Canada

NI 43-101 Technical Report

 

Figure 11-48: Control plot for OREAS 233 141
Figure 11-49: Control plot for OREAS 237B 141
Figure 11-50: Control plot for OREAS 238B 142
Figure 11-51: Control plot for OREAS 240 142
Figure 11-52: Control plot for OREAS 243 143
Figure 11-53: Scatter plot for field duplicates 144
Figure 11-54: Control plot for BLM 146
Figure 11-55: Control plot for CDN-GS-12B 147
Figure 11-56: Control plot for OREAS 211 148
Figure 11-57: Control plot for OREAS 230 148
Figure 11-58: Control plot for OREAS 231 149
Figure 11-59: Control plot for OREAS 233 149
Figure 11-60: Control plot for OREAS 238B 150
Figure 11-61: Control plot for OREAS 240 150
Figure 11-62: Control plot for OREAS 240B 151
Figure 11-63: Control plot for OREAS 243 151
Figure 11-64: Scatter plot for field duplicates 152
Figure 12-1: Plan and section views of assay verification coverage relative to mineral resource database 157
Figure 12-2: Plan and section views of density verification coverage relative to drill hole database density table 160
Figure 13-1: Metallurgical sample locations from current and historical drill sites for the SGS test work program 166
Figure 13-2: Metallurgical LP samples C01 – C06 locations from current drill sites for the SGS test work program 167
Figure 13-3: Hinge and Limb samples C07 – C09 locations from current drill sites for the SGS test work program 168
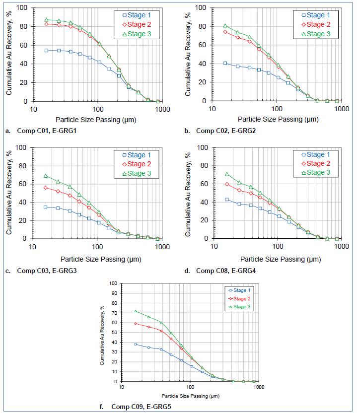
Figure 13-4: E-GRG results, grind size versus gold recovery 172
Figure 13-5: Stage by stage size fractional recovery of gold 173
Figure 13-6: Impact of cyanide concentration on gold recovery 175
Figure 13-7: Comparison of whole ore and gravity tailings leach extraction curves 177
Figure 13-8: Variability samples gravity tailing cyanide leach kinetics 178
Figure 14-1: Drill holes excluded in Mineral Resource estimation 183
Figure 14-2: LP Zone estimation domains, looking northwest 191
Figure 14-3: LP Zone estimation domains segmented by parallel east-west trending shear zones 192
Figure 14-4: LP Zone cumulative log histogram of assay sample lengths 193
Figure 14-5: LP Zone contact plots: transition from background domains to bulk domains (left) and bulk domains to high-grade domains (right) 194
Figure 14-6: LP Zone capping analysis – Domain 1 195
Figure 14-7: Directional variograms for LP Zone domain 1500 estimated using OK 198
Figure 14-8: Experimental variogram models 206
Figure 14-9: RC Drill Program Assays 207
Figure 14-10: LP Zone classification shells based on drill hole spacing 208
Figure 14-11: Swath plots in major block model direction Z 209
Figure 14-12: Swath plots in major block model direction X 210
Figure 14-13: Swath plots in major block model direction Y 210
Figure 14-14: Ground truth model (based on 8 m x 10 m RC grade control drilling) 212

 

TOC ix

 

 

Kinross Gold Corporation

Great Bear Gold Project

Ontario, Canada

NI 43-101 Technical Report

 

Figure 14-15: Comparison of ground truth model to long-term model grade tonnage curves 213
Figure 14-16: LP Zone resource open pit shell in 3D – Plan 216
Figure 14-17: LP Zone resource open pit shell in 3D – Section 216
Figure 14-18: LP Underground resource shapes 217
Figure 14-19: Lithological model section cutting the main Limb vein with the folded metasedimentary layer 223
Figure 14-20: Limb and Hinge zones - Histogram of assay sample lengths 224
Figure 14-21: Grade transitions – LMB_01 domain to background 225
Figure 14-22: Grade transitions – HNG_01 domain to background 226
Figure 14-23: LMB_01 domain capped and uncapped statistics 227
Figure 14-24: HNG_01 domain capped and uncapped statistics 228
Figure 14-25: Variogram model for LMB_01 domain estimated using OK 230
Figure 14-26: Octree block model setup in Leapfrog 231
Figure 14-27: Classification for Limb Zone looking northeast (left) and Hinge Zone looking northwest (right) 234
Figure 14-28: Underground Hinge and Limb resource shapes looking northwest 236
Figure 16-1: LP Central LG pit-by-pit tonnage and NPV 260
Figure 16-2: LP Discovery LG pit-by-pit tonnage and NPV 260
Figure 16-3: LP Viggo LG pit-by-pit tonnage and NPV 260
Figure 16-4: Cross-section of LP Central Pit phases 262
Figure 16-5: Plan view of ARD potential at LP Viggo 263
Figure 16-6: Cross-section of LP Viggo ultimate pit 264
Figure 16-7: Plan view of LP Central Phase 1 and LP Viggo contours at 5 m 265
Figure 16-8: Plan view of LP Central Phases 2 and 3 contours at 5 m 266
Figure 16-9: Open pit and stockpiles layout 268
Figure 16-10: Mine Rock Stockpile and Overburden Stockpile 1 cross-section 268
Figure 16-11: Progression of starting and ending position of the open pits 273
Figure 16-12: Plan view of main underground accesses 278
Figure 16-13: Longitudinal view of the LP Zone including LP Discovery, LP Central, LP East, and LP Viggo subzones 279
Figure 16-14: Estimated planned dilution 282
Figure 16-15: Estimated unplanned dilution (ELOS + backfill dilution) 282
Figure 16-16: Estimated total dilution (planned + unplanned) 283
Figure 16-17: Plan view of a typical level layout in the LP Zone 284
Figure 16-18: Ventilation sketch for LP Discovery, LP Central, and LP Viggo zones 289
Figure 16-19: Combined underground ventilation demand estimates for LOM 290
Figure 16-20: Annual backfill demand 292
Figure 16-21: Typical stope arrangement with top and bottom access 294
Figure 16-22: Underground workforce requirement by year 298
Figure 16-23: Underground annual production 300
Figure 16-24: Underground mine production by zone 300
Figure 16-25: Underground mineralized materials and waste production 301
Figure 16-26: Underground annual lateral development 301
Figure 16-27: Project LOM Plan – process plant feed 302
Figure 17-1: Proposed process flowsheet 309
Figure 17-2: Crusher building 310
Figure 17-3: Screenshot of the interior of the process plant 311

 

TOC x

 

 

Kinross Gold Corporation

Great Bear Gold Project

Ontario, Canada

NI 43-101 Technical Report

 

Figure 18-1: Site general arrangement 320
Figure 18-2: Paste backfill plant 324
Figure 18-3: Tailings Management Facility 329
Figure 20-1: Local watercourse and waterbodies 336
Figure 20-2: Watershed boundaries 337
Figure 22-1: LOM annual gold production 371
Figure 22-2: LOM annual gross revenue 372
Figure 22-3: Capital costs by year and area 373
Figure 22-4: Cumulative cash flow 377
Figure 22-5: Sensitivity of the after-tax NPV to selected economic variables 380
Figure 23-1: Location of the Great Bear Project and adjacent projects 382

 

TOC xi

 

 

Kinross Gold Corporation

Great Bear Gold Project

Ontario, Canada

NI 43-101 Technical Report

 

1.Summary

 

1.1Executive Summary

 

This Technical Report (the Technical Report or the Report) has been prepared by Kinross Gold Corporation (Kinross) to disclose the results of a Preliminary Economic Assessment (PEA) on the Great Bear gold project (the Project or the Property), located in northwest Ontario, Canada. Kinross acquired the Project as part of its acquisition of Great Bear Resources Ltd. (Great Bear) in February 2022. Great Bear is a wholly owned subsidiary of Kinross and owns a 100% interest in the Property.

 

The Project is a gold exploration property located within the Red Lake Mining District of Ontario, an area of historic gold mining and exploration. The Project is located approximately 24 km southeast of the town of Red Lake, Ontario and consists of 380 unpatented mining claims and seven mining leases, totalling 11,852 hectares (ha).

 

The PEA contemplates a combined open pit and underground mining scenario for the Project that provides approximately 10,000 tonnes per day (tpd) of plant feed to an on-site processing facility over a life-of-mine (LOM) of approximately 12 years.

 

This Technical Report conforms to National Instrument 43-101 Standards of Disclosure for Mineral Projects (NI 43-101) and is considered by Kinross and the Qualified Persons (QP) as meeting the requirements of a Preliminary Economic Assessment as defined in NI 43-101.

 

The economic analysis contained in this Technical Report is based, in part, on Inferred Mineral Resources, and is preliminary in nature. Inferred Mineral Resources are considered too geologically speculative to have the economic considerations applied to them that would enable them to be categorized as Mineral Reserves. There is no certainty that economic forecasts on which this PEA is based will be realized.

 

Costs prepared or quoted in Canadian dollars (CAD) have been converted to US dollars (USD) at an exchange rate of 0.74 USD to 1.00 CAD. All revenues and costs cited in this Report are expressed in first quarter 2024 USD unless stated otherwise.

 

Key Project Outcomes

 

The reader is advised that the results of the PEA summarized in this Report are intended to provide a preliminary view of the Project and potential design options. There is no guarantee that Inferred Mineral Resources can be converted to Indicated or Measured Mineral Resource categories and thus there is no guarantee that the Project outcomes described in this Report will be realized.

 

Page 1

 

 

Kinross Gold Corporation

Great Bear Gold Project

Ontario, Canada

NI 43-101 Technical Report

 

The following list summarizes the key results of this Technical Report and PEA of the Great Bear Project. All values listed are approximate.

 

·As of April 2, 2024, Mineral Resource estimates for the LP, Hinge, and Limb deposits consisting of Measured and Indicated (M&I) Mineral Resources totalling 30.3 million tonnes (Mt) grading 2.81 g/t Au and containing 2.7 million ounces (Moz) of gold and Inferred Mineral Resources totalling 25.5 Mt grading 4.74 g/t Au and containing 3.9 Moz of gold.

 

·At an assumed cash flow modelling gold price of $1,900/oz, the Project has after-tax Net Present Value (NPV) of $1,898 million at a discount rate of 5% and an after-tax Internal Rate of Return (IRR) of 24%.

 

·The PEA production schedule consists of 12 years of commercial process plant production. Open pit mining and corresponding initial stockpiling of mineralized material is scheduled to occur from Year -3 of the LOM plan, followed by the introduction of direct feed to the process plant beginning in Year 1 and continuing to the end of Year 8. Underground mining and corresponding initial stockpiling of mineralized material is scheduled to occur from Year -3 of the LOM plan, with processing of all underground mineralized material ending in Year 12 of the LOM plan.

 

·Steady-state annual processing rate: 10,000 tpd.

 

·LOM total plant feed: 44.6 Mt at 3.87 g/t Au.

 

·LOM average metallurgical recovery: 95.7%.

 

·Peak annual payable gold production of 601,000 oz, average annual payable gold production of 518,000 oz over the first eight years of commercial production, and LOM payable gold production of 5.3 Moz.

 

·Total initial Project capital cost of $1,429 million, including $248 million in capitalized mine development costs and construction capital of $1,181 million.

 

·Including capitalized mining costs, LOM sustaining capital costs totalling $1,034 million.

 

·LOM total unit operating cost: $70.26 per tonne processed including a net smelter return (NSR) royalty of 2%.

 

·LOM all-in sustaining unit cost (AISC): $812/oz Au.

 

·LOM gross revenue of $10,085 million and LOM after-tax cash flow of $3,392 million.

 

·Payback period (after-tax): 2.7 years.

 

·Peak total workforce of 1,098 workers and LOM average total workforce of 903.

 

Page 2

 

 

Kinross Gold Corporation

Great Bear Gold Project

Ontario, Canada

NI 43-101 Technical Report

 

·A Federal Impact Assessment process is underway for the Project.

 

·Growth capital of $97 million as a contribution to upgraded grid power supply.

 

·Reclamation and closure cost of $91 million.

 

·The Project’s after-tax NPV and after-tax IRR are sensitive to gold price as shown in Table 1-1.

 

Table 1-1: After-tax NPV and IRR sensitivity results

 

Gold Price   After-tax NPV at 5%   IRR 
(US$/oz)   (US$M)   (%) 
$1,500   $910    14.9%
$1,700   $1,416    19.9%
$1,900   $1,898    24.3%
$2,100   $2,371    28.3%
$2,300   $2,846    32.1%
$2,500   $3,314    35.5%

 

Conclusions

 

Based on the information presented in this Technical Report and the results of ongoing work on the Project, the QPs offer the following conclusions on the Project by area:

 

Overall Project Development

 

·Based on the current Mineral Resources, the Project shows sufficient economic potential to merit continued advanced studies.

 

·Project development activities will focus on continuing the drilling program, executing the Advanced Exploration (AEX) program, advancing permitting, environmental studies, and engineering, and closely collaborating with stakeholders.

 

Geology and Mineral Resources

 

·The Mineral Resources at the Property have been estimated for three zones, LP, Hinge, and Limb. As of April 2, 2024, Mineral Resources at the Project consist of:

 

oMeasured and Indicated (M&I) Mineral Resources: 30.3 Mt grading 2.81 g/t Au and containing 2.7 Moz of gold

 

oInferred Mineral Resources: 25.5 Mt grading 4.74 g/t Au and containing 3.9 Moz of gold

 

Page 3

 

 

Kinross Gold Corporation

Great Bear Gold Project

Ontario, Canada

NI 43-101 Technical Report

 

·Mineral Resources conform to Canadian Institute of Mining, Metallurgy and Petroleum (CIM) Definitions Standards for Mineral Resources and Mineral Reserves dated May 10, 2014 (CIM (2014) Definitions).

 

·The LP Zone remains the most attractive area for potential increases to Mineral Resources. Drilling programs for this zone continue to be prioritized because of its potential size and relatively high gold grades in the context of the Property.

 

·The preparation and analyses of the samples are adequate for this type of deposit and style of gold mineralization. The sample handling and chain of custody, as documented, meet standard industry practice.

 

·The quality assurance and quality control (QA/QC) programs are in accordance with standard industry practice and CIM Estimation of Mineral Resource & Mineral Reserve Best Practice Guidelines dated November 29, 2019 (MRMR Best Practice Guidelines). Great Bear and Kinross personnel have taken reasonable measures to ensure that the sample analyses completed are sufficiently accurate and precise. Based on the statistical analysis of the QA/QC results, the assay results are of sufficient quality to support Mineral Resource estimation.

 

·The drill core logging and database workflows and checks are appropriate and consistent with industry standards. The data used to support a Mineral Resource estimate are subject to validation using validated industry-standard software that automatically triggers data checks for a range of data entry errors. Verification checks on surveys, collar coordinates, lithology, and assay data are all conducted on a regular basis.

 

·Verification of the assay and density certificate data to the Mineral Resource database indicates that the Mineral Resource database data used in the Mineral Resource estimate faithfully reproduces the assay certificate information. In the QP’s opinion, the Mineral Resource database, including the density data, is of sufficient quality to support the Mineral Resource estimate.

 

·For all modelling and resource estimation work, only high confidence drill holes were used (Confidence 1 and 2). To the QP’s knowledge, there are no drilling, sampling, or recovery factors that could materially impact the accuracy and reliability of the results.

 

·The contained ounces in all zones are relatively insensitive to gold cut-off grades.

 

·The open pit and underground Mineral Resources were constrained within $1,400/oz gold and $1,500/oz gold optimized pit shells and $1,700/oz gold underground mineable shapes, respectively, and fulfill the CIM (2014) Definitions requirement of “reasonable prospects for eventual economic extraction” (RPEEE).

 

·Mineral Resource quantities have increased in the Inferred Mineral Resource category due to the results of exploration drilling targeting extensions at depth.

 

Page 4

 

 

Kinross Gold Corporation

Great Bear Gold Project

Ontario, Canada

NI 43-101 Technical Report

 

Mine Design and Mining Methods

 

·Mining is projected to take place using both open pit and underground mining methods.

 

·Based on the available data and knowledge of the study area, far-field stress information is considered suitable for the current level of study. Laboratory testing indicates a strong rock mass and the kinematics for all orientations of the pit walls are very favourable.

 

·Lateral water flow distribution and inflow variation over the LOM are unknown at this stage of the Project. The dewatering demand for each mining zone is based on assumed fractions of total inflow. Most inflows are expected in the upper zone of the underground mine (less than 500 m depth).

 

·The LP Zone contains three separate open pit mining areas known as LP Central, LP Discovery, and LP Viggo, with independent pit optimizations completed for each of these areas. After the completion of pit limit analysis and assessment versus underground mining, it was determined that only the open pits in the LP Central and LP Viggo areas are economically viable for open pit mining extraction.

 

·The LP Central pit shell was selected at a revenue (price) factor of 100% or US$1,400/oz. Due to the scarcity of non-potential acid generating (NPAG) material in other areas of the pits and the need for such material in sufficient quantities for construction purposes, the LP Viggo pit shell was selected at a price factor just above US$1,500/oz to increase the NPAG rock yield and the quantity of mineralized material in the LOM plan. As scheduled, the LP Viggo Pit will be excavated in approximately two years and will capture over 5 Mt of NPAG waste rock.

 

·In the opinion of the QPs, the current open pit and underground designs and LOM plans are reasonable for a PEA stage of study and will benefit from more technical data collection and testing to confirm design inputs, additional drilling to upgrade resources into higher confidence categories, and mine optimization activities.

 

Metallurgical Testing and Mineral Processing

 

·In comparison to the SGS hardness database, Hinge and Limb samples are hard materials whereas the LP mineralization falls in the range of moderately soft materials. Based on extended gravity recoverable gold (E-GRG) testing, the Project’s mineralization is amenable to industrial gravity separation processing.

 

·Flotation tests for sulphur and sulphide removal yielded positive results, removing an average of 88% of the total sulphur and 91% of the total sulphides from the final tailings. The final tailings sulphur and sulphide grades were less than 0.2% and 0.1%, respectively.

 

·The anticipated LOM gold recovery for the Project is 95.7%.

 

Page 5

 

 

Kinross Gold Corporation

Great Bear Gold Project

Ontario, Canada

NI 43-101 Technical Report

 

·As of the effective date of this Technical Report, the QP is not aware of any processing factors or deleterious elements that could have a significant effect on potential economic extraction.

 

Infrastructure and Tailings Management

 

·There is expected to be insufficient power available for production from the Hydro One grid between the time the exploration phase of the Project is complete and when grid infrastructure upgrades by Hydro One are completed. Other sources of power will be needed in the interim to meet the needs of the Project (the Bridging Period). During the Bridging Period, the total power requirement for the Project will be approximately 30 megawatts (MW). Of this, approximately 17 MW will be self generated on site by a natural gas (NG) line fuel source, while the existing Hydro One overhead transmission line is expected to contribute approximately 13 MW.

 

·Where possible, to improve the overall water use efficiency and minimize river water extraction, the Project contemplates industrial water use plus water from the Chukuni River to satisfy process and potable water requirements.

 

·Soft foundation conditions exist in the vicinity of several tailings containment and water control dams. Assumptions have been adopted for the conceptual design of this infrastructure and additional geotechnical studies are ongoing to optimize the design work and further mitigate geotechnical risks.

 

·A critical assumption in the Project’s water management plan is that the LP Viggo Pit will be mined out by the start of process plant production. This milestone will allow NPAG rock mined and stockpiled from the LP Viggo Pit to be used in the majority of the Project’s construction activities and allow for contact water and sulphide concentrate tailings to be managed within the mined-out LP Viggo Pit.

 

Environment, Permitting, and Social Aspects

 

·Pre-acquisition, Great Bear initiated multi-disciplinary baseline studies in 2021 and these studies are ongoing.

 

·The Project will require an impact assessment (IA) under the Impact Assessment Act and an Impact Statement is currently in preparation, with the plan to submit to the Impact Assessment Agency of Canada (IAAC) within legislated timelines.

 

·Lac Seul First Nation and Wabauskang First Nation have indicated an interest in completing an Anishinaabe-led Impact Assessment. Discussions are underway to determine the most efficient manner of integrating information across the Federal and Anishinaabe-led processes that are anticipated to proceed in parallel.

 

·A Ministry of Natural Resources and Forestry Class environmental assessment (EA) may be required for Resource Stewardship and Facility Development Projects; this will be confirmed through discussions with the Provincial regulator. A cooperation agreement is in place between the Province of Ontario and Government of Canada which will facilitate coordination to reduce duplication of effort in the IA and EA processes if needed.

 

Page 6

 

 

Kinross Gold Corporation

Great Bear Gold Project

Ontario, Canada

NI 43-101 Technical Report

 

·The Project will require several Provincial and Federal environmental approvals in addition to the IA and EA mentioned above.

 

·Kinross has been actively engaging with Indigenous communities and organizations including Lac Seul First Nation, Wabauskang First Nation, Asubpeeschoseewagong Netum Anishinabek (ANA), Grassy Narrows First Nation, and Métis Nations of Ontario / Northwest Métis Council (Region 1). These are the same communities listed in the IAAC draft Indigenous Engagement and Partnership Plan.

 

·Comprehensive geochemical studies for the Project are ongoing. This includes metal leaching and acid rock drainage (ML/ARD) assessment for all Project geologic materials including rock, tailings, and soils (overburden). The Project design considers the results of the test work to date, and includes but is not limited to, the collection of contact waters for management and treatment as needed. Another key management measure is that potentially acid generating tailings will be stored permanently in the mined-out LP Viggo Pit under a water cover to prevent oxidation.

 

·Water management planning is underway, and the Project has a conceptual plan for managing contact and non-contact water including additional treatment as appropriate.

 

·A Certified Closure Plan will be prepared for the Project in parallel with other approval processes for the Project as information is updated or becomes available. A conceptual closure plan and cost estimate were developed for the Project.

 

Recommendations

 

Based on the information presented in this Technical Report and the results of ongoing work on the Project, the QPs offer the following recommendations on the Project by area:

 

Overall Project Development

 

1.Study the Project with engineering partners and advance the Project through Kinross’ internal stage-gating process in support of permitting and Project development.

 

2.The LP, Hinge, and Limb zones continue to warrant follow-up drilling to:

 

i.improve the understanding of the extent of the deposits along strike and at depth.

 

ii.complete in-fill and definition drilling in support of upgrading resources into higher confidence categories, inform Mineral Reserve estimation, and help optimize mine designs, short and mid-range mine planning, and the Project’s LOM plan.

 

Page 7

 

 

Kinross Gold Corporation

Great Bear Gold Project

Ontario, Canada

NI 43-101 Technical Report

 

3.Concurrent with drilling programs, continue specific technical studies for the Project, including more advanced density, geotechnical, hydrogeologic, hydrologic, and metallurgical test work programs and environmental baseline studies to inform:

 

i.wet and dry overburden and rock quantity estimates.

 

ii.the ground and water conditions that are likely to be encountered during construction and operations.

 

iii.the optimal site layout and infrastructure designs for a combined open pit and underground operation.

 

iv.the expected metallurgical performance over the Project’s LOM.

 

v.permitting, closure, and related environmental, social, and governance (ESG) activities.

 

4.Execute the AEX program, which includes the establishment of an underground decline and underground mine development to facilitate exploration drilling from underground, test the depth of the deposits, as well as better define the deposits for more advanced Project planning and engineering work.

 

Geology and Mineral Resources

 

1.Continue updating geological mapping and geological models through further data collection and analysis programs.

 

2.Specific exploration recommendations for 2024 and beyond include continued diamond drilling for the purposes of:

 

i.Following down plunge extensions of mineralization in the LP Discovery, LP Central, and LP Viggo areas of the LP Zone and using directional drilling to optimize intercepts when testing targets below 1,000 metres (m) vertically below surface.

 

ii.Using directional drilling to test for depth extents on the steeply dipping Hinge and Limb zones.

 

iii.Continuing to follow up on surface geophysics targets that indicate complex folding in and around the Hinge and Limb deposit areas, testing along strike of the LP Zone beyond known mineralization at LP Discovery and LP Viggo, and testing the ground acquired in 2023 that extended the southern property boundary.

 

Page 8

 

 

Kinross Gold Corporation

Great Bear Gold Project

Ontario, Canada

NI 43-101 Technical Report

 

iv.Upgrading Inferred and Indicated Mineral Resources to higher confidence resource categories to inform advanced technical studies and support the preparation and disclosure of Mineral Reserve estimates.

 

Mine Design and Mining Methods

 

1.Complete geotechnical work including three-dimensional (3D) numerical stress modelling and related assessments to continue to optimize mine designs and mining sequences, refine external dilution assumptions, evaluate crown pillar dimensions, and confirm the siting of key infrastructure and fixed facilities.

 

2.Update and calibrate the groundwater model using the actual responses of the groundwater system to the AEX ramp development and additional data obtained from the drilling information.

 

3.Further optimize the transition and production ramp-up from the open pit and underground mines by including the latest Mineral Resource data and cost estimates.

 

4.Update open pit and underground mining equipment fleet selections and confirm the inputs and assumptions used to determine the underground haul truck fleet requirements.

 

Metallurgical Testing and Mineral Processing

 

1.Complete additional geometallurgical variability test work to better understand the expected variability of process plant feed and operating costs over the LOM.

 

2.Additional variability testing should include, at a minimum, crusher work index, semi-autogenous grinding (SAG) mill comminution, Bond ball mill work index, Bond abrasion index, gravity separation tests, and cyanide leaching of gravity tailings. Other variability test work that should be considered may include settling tests (leach feed, leach tails, and flotation tails), cyanide destruction tests, flotation tailings acid generation tests, and tailings rheology tests.

 

3.Evaluate the effect of chemical and mineralogical differences between the different zones in more detail; specifically, this will require more samples from the Hinge and Limb zones to be tested so that the metallurgical response of these zones can be adequately assessed and compared to the LP Zone.

 

4.Conduct carbon adsorption modelling to confirm the necessary retention time of leach slurry in the carbon adsorption circuit.

 

Page 9

 

 

Kinross Gold Corporation

Great Bear Gold Project

Ontario, Canada

NI 43-101 Technical Report

 

Infrastructure and Tailings Management

 

1.Complete more extensive geotechnical test work across the Project area on both overburden and bedrock materials, incorporating geophysics, drilling, and laboratory testing.

 

2.Complete an advanced evaluation of tailings desulphurization options/ technologies to confirm that the planned tailings desulphurization step will sufficiently improve tailings geochemical properties (i.e., acid generating and metal leaching potential), will validate the assumed geochemical assumptions, and effectively mitigate closure liabilities and closure costs.

 

3.Update freshwater pipeline and related infrastructure designs and cost estimates for freshwater abstraction from the Chukuni River.

 

4.Advance geotechnical and hydrogeological investigations adjacent to and along the proposed alignment of the TMF Pond Dam to support detailed design of the seepage cut-off measures and the modelling of groundwater seepage and groundwater capture.

 

Environment, Permitting, and Social Aspects

 

1.Continue baseline and other environmental studies for input into permitting and engineering studies.

 

2.Continue the geochemical studies currently underway to confirm the current understanding of potential acid generating material and how these will be managed.

 

3.Continue to advance the Impact Statement process and environmental permitting.

 

4.Continue to build relationships with local communities and Indigenous Nations, as well as support the Anishinaabe-led Impact Assessment.

 

Proposed Program and Budget

 

Table 1-2 summarizes preliminary budget estimates for carrying out several of the aforementioned recommendations. The recommendation activities proposed below will be developed in a phased approach. The continued progress of Advanced Exploration is the highest priority item.

 

Page 10

 

 

Kinross Gold Corporation

Great Bear Gold Project

Ontario, Canada

NI 43-101 Technical Report

 

Table 1-2: Preliminary budget for recommended actions

 

Activity  Detail  Estimated Cost
(US$ thousands)
 
Advanced exploration  Execute AEX program on surface and underground. Including 116,000 m of underground infill drilling and assaying   284,000 
Subtotal Advanced Exploration      284,000 
         
Surface in-fill and reverse circulation drilling  150,000 m @ US$173/m   26,000 
Subtotal Exploration      26,000 
         
Geotechnical studies  Including soils geotechnical drilling   4,000 
Metallurgical test work      1,000 
Environmental baseline and permitting  Federal and Provincial permitting   9,200 
Engineering studies  Continued studies and engineering including project team   17,400 
Contingency      2,400 
Subtotal Engineering & Permitting      34,000 
         
Total      344,000 

 

Notes: Totals may not sum due to rounding.

 

1.2Technical Summary

 

Property Description, Location and Land Tenure

 

The Project is located in northwest Ontario, Canada at latitude 50.8764°N and longitude 93.6398° (Universal Transverse Mercator (UTM) Zone 15N 455665E, 5633910N (NAD83)). Red Lake, the nearest municipality, is 24 km north-northwest of the Property. Red Lake consists of six small communities—Balmertown, Cochenour, Madsen, McKenzie Island, Red Lake, and Starratt-Olsenand is an enclave within the Unorganized Kenora District. Red Lake is 535 km northwest of Thunder Bay, Ontario and 250 km east of Winnipeg, Manitoba.

 

The Property consists of a contiguous block comprising 380 unpatented mining claims and seven mining leases, totalling 11,852 ha. Kinross’ wholly-owned subsidiary Great Bear owns 100% of the claims.

 

Page 11

 

 

Kinross Gold Corporation

Great Bear Gold Project

Ontario, Canada

NI 43-101 Technical Report

 

History

 

The first exploration work on the Property documented by Geology Ontario dates to 1944, with mapping/prospecting, diamond drilling, and geophysical work continuing to present.

 

Prior to acquisition by Kinross, a total of 974 diamond drill holes (DDH) for 390,227 m had been completed on the Property (historically named the Dixie Lake Property) between 1944 and February 2022. Other exploration activities included geological mapping, and airborne and ground-based geophysical and geochemical surveys.

 

Historically, the most significant drill programs on the Project were completed by Consolidated Silver Standard Mines Ltd. (1988), Teck Resources Ltd. (1989-1990), Alberta Star Mining Corp./Fronteer Development Group Joint Venture (2003-2004), Grandview Gold Inc. (2005-2011), and Great Bear Resources Ltd. (2017-2022). These programs focused on two main target areas historically identified as the 88-4 Zone and the NS Zone. These zones are currently known as the Limb Zone and Hinge Zone respectively. In 2019, Great Bear discovered and subsequently drill-tested the third and largest target on the Property, the LP Zone.

 

Geology and Mineralization

 

The Property lies within the Red Lake greenstone belt of the Uchi Subprovince of the Archean Superior Province of the Canadian Shield. The belt is one of the most prolific gold camps in Canada, with gold production over 29 million ounces (Moz) from multiple deposits, including the Campbell-Goldcorp (>23 Moz), Cochenor-Willans (1.2 Moz), and Madsen (2.4 Moz) mines.

 

Because of the overburden and lack of outcrop exposure throughout the Property, most of the previous geological interpretation was based on geophysics, limited regional scale mapping, and diamond drilling.

 

The Property area lies within a regional northwest-southeast trending belt of metavolcanic and metasedimentary rocks which are bounded by intrusive batholiths. The southwestern portion of the Property is within the mafic domain and consists of mafic volcanic flows (high Fe-tholeiites and high Mg-tholeiites) intercalated with argillite, siltstone, iron formation, and minor local felsic volcanics. The younger sequence of intermediate to mafic volcanic and volcanic derived sedimentary rocks is located at the centre of the Property and has a similar stratigraphy to the western and eastern portions of the Property. The felsic domain dominates the northeastern portion of the Property. It consists of porphyritic felsic flows (dacites) and volcaniclastics intercalated with sedimentary rocks. The sequence is interpreted as a deformed felsic flow-dome complex. The mafic domain is in contact with a largely felsic/sedimentary domain in the northeast portion of the Property.

 

Page 12

 

 

Kinross Gold Corporation

Great Bear Gold Project

Ontario, Canada

NI 43-101 Technical Report

 

Mafic volcanic dykes and sills are common throughout the Property, ranging from lamprophyre to gabbro/diorite. Intermediate felsic intrusive rocks are also noted throughout the region.

 

Three dominant styles of mineralization are observed within three target areas on the Property:

 

1.Silica-sulphide replacement – Limb Zone

 

Mineralization is associated with the rheological and geochemical contact between pillow basalt (Fe-tholeiites) and massive basalt and occurs as replacement of sediments, if present, or as silica flooding and quartz-calcite veining in the absence of sediments. Pyrrhotite (2% to 40%) is the dominant sulphide, with other sulphides including pyrite, arsenopyrite, chalcopyrite, minor sphalerite, and trace magnetite. Visible gold is not uncommon and, where observed, is associated with strong pyrrhotite and weaker arsenopyrite-pyrite mineralization. The zone is approximately 800 m long and has been drilled to a vertical depth exceeding 400 m. Mineralization plunges steeply northwest in a fold limb host dipping steeply to subvertically northeast.

 

2.Quartz veining – Hinge Zone

 

Mineralization is hosted by multiple lithologies including massive basalt (high Mg-tholeiite), argillite, and pillow basalt (high-Fe tholeiite). Individual veins are variable in width ranging from 1 cm to 5 m and can create zones up to 40 m. They are generally mineralized with fine-grained disseminated sulphides including pyrrhotite, pyrite, chalcopyrite, minor arsenopyrite, and trace sphalerite. Visible gold is very common ranging from trace to 5% as pin pricks, centimetre scale clusters, and fracture fill. The Hinge Zone is comprised of several subparallel anastomosing veins formed along the axial trace of a property wide D2 fold.

 

3.Disseminated gold within high strain – LP Zone

 

Mineralization occurs within a wide zone of high strain and increased metamorphic grade. The strain zone is very continuous for over 4 km and is slightly oblique to stratigraphy, intersecting multiple lithologies. The higher-grade gold mineralization appears to be controlled by the intersection of this strain zone and a metasediment unit. Recent drilling results indicate that it occurs within 50 m to 100 m of the metasedimentary/felsic volcanic contact. At least three gold mineralizing events have been recognized, including foliation parallel free gold in host rock, transposed quartz veins, and later quartz veins with visible gold that are slightly oblique to foliation.

 

Page 13

 

 

Kinross Gold Corporation

Great Bear Gold Project

Ontario, Canada

NI 43-101 Technical Report

 

Exploration

 

Due to overburden and lack of outcrop in the area, exploration targets were interpreted from geophysical and surface geochemical surveys. These exploration tools include airborne magnetic and electromagnetic (EM) surveys, ground magnetics, very low frequency electromagnetic (VLF-EM), horizontal loop/Max-Min EM, induced polarization (IP), soil, mobile metal ion (MMI), and rock sampling. Anomalies and conductors from the geophysical surveys predominantly coincide with iron formation, graphitic argillites, and sulphide-bearing (pyrite and/or pyrrhotite) argillites, or mafic volcanics. The geochemical surveys, which were typically completed over the geophysical surveys, were then used to vector in on the most prospective targets for diamond drilling.

 

Diamond drilling has been carried out since 1944 and totals 1,636 DDH for approximately 800,165 m. Of these, Kinross has drilled 620 DDH for approximately 428,876 m. In addition, Kinross has drilled a total of 433 reverse circulation (RC) holes for approximately 34,530 m.

 

The objective of the recent drill program since the initial year-end 2022 Mineral Resource estimate was five-fold:

 

1.Test the extents of known drill targets.

 

2.Expand economic mineralization to meet Inferred Mineral Resource classification status.

 

3.Carry out condemnation drilling to identify areas that may be used for capital development.

 

4.Continue drill testing the deep extension of the mineralization at a greater than one kilometre depth.

 

5.Assess underlying ground conditions and pit studies with geotechnical drilling.

 

Mineral Resources

 

Mineral Resources are stated in accordance with CIM (2014) Definitions as incorporated by reference into NI 43-101. Mineral Resources are estimated for the LP Zone and satellite Hinge and Limb zones and have an effective date of April 2, 2024 (Table 1-3).

 

Page 14

 

 

Kinross Gold Corporation

Great Bear Gold Project

Ontario, Canada

NI 43-101 Technical Report

 

Table 1-3: Summary of Project Mineral Resources – April 2, 2024

 

   Tonnes   Grade   Gold Ounces 
Classification   (000)   (g/t Au)   (000) 
Measured    1,556    3.04    152 
Indicated    28,711    2.80    2,586 
TOTAL M&I    30,267    2.81    2,738 
Inferred    25,480    4.74    3,884 

 

Notes:

 

1.Mineral Resources estimated according to CIM (2014) Definitions.

 

2.Mineral Resources estimated at a gold price of US$1,700 per ounce.

 

3.Open pit Mineral Resources are reported within optimized pit shells at a cut-off grade of 0.55 g/t Au.

 

4.Underground Mineral Resources are reported within underground reporting shapes at cut-off grades of 2.3 g/t Au for the LP Zone, 2.5 g/t Au for the Limb Zone, and 2.4 g/t for the Hinge Zone. An incremental cut-off grade of 1.7 g/t Au was used at the LP Zone for areas that do not require additional development.

 

5.Mineral Resources that are not Mineral Reserves do not have demonstrated economic viability.

 

6.Numbers may not add due to rounding.

 

The QP is not aware of any environmental, permitting, legal, title, taxation, socio-economic, marketing, political, or other relevant factors that could materially affect the Mineral Resource estimate.

 

For the LP Zone, Snowden Supervisor v 8.14.2 (Supervisor) was used for geostatistical analysis, Leapfrog Geo 2023.1.2 (Leapfrog) was used to generate estimation domains, and Vulcan 2023.2 (Vulcan) was used for compositing and estimation. The bulk estimation domains were interpolated by ordinary kriging (OK), while the high-grade estimation domains and background domain were interpolated using inverse distance cubed (ID3). Validation of the 2024 Great Bear LP Zone model against grade control data using the ground truth estimation showed a less than 5% difference at a 0.0 g/t Au cut-off grade in ounces of gold. The 2024 Great Bear LP Zone model classification criteria are based upon the geostatistical drill hole spacing analysis supported by historic exploration and deposit growth drilling, as well as the recent 2023 and 2024 drill campaign designed to upgrade unclassified material to Inferred status between the 500 m and 1,000 m depth at the LP Zone.

 

Great Bear’s Hinge and Limb zones are satellite deposits located approximately 750 m southwest of the main LP Zone. The resource inventory was built using Snowden Supervisor v8.14.3.1 for geostatistical analysis and Leapfrog Geo/Edge 2023.2 for geological and domain modelling, compositing, and estimation. The Limb Zone estimation domains comprise a mineralized zone within metasediments with silica and sulphide replacement hosted in the north limb of the fold. The Hinge Zone estimation domains encompass quartz veins within a tholeiitic basalt in the axial plane of the fold. The main vein at Limb was interpolated using OK and the remaining lenses, using ID3. The model classification criteria are based on drilling spacing analysis and vary between the zones given the differences in the mineralization and its continuity between the two.

 

Page 15

 

 

Kinross Gold Corporation

Great Bear Gold Project

Ontario, Canada

NI 43-101 Technical Report

 

Mine Design and Mining Methods

 

The PEA contemplates extraction of the deposits at Great Bear using a combination of conventional open pit and underground mining methods. Open pit and underground extraction are proposed to occur in parallel. Surface mining pre-production for construction purposes begins in Year -3. Plant feed will be stockpiled until the process plant begins commissioning in the second half of Year -1. Open pit operations will feed the process plant directly from the mine for eight years and continue with processing of stockpiles for an additional four years. The underground operations are planned to be a feed source for the process plant for approximately 12 years. The combined open pit and underground production is expected to sustain a processing rate of 10,000 tpd for approximately 12 years. Over the LOM, the Project is expected to produce a total of 44.7 Mt of mineralized material producing 5.3 Moz of gold and with an average annual gold production of 482 koz from Year 1 to Year 10.

 

Laboratory testing indicates a strong rock mass with a mean unconfined compressive strength (UCS) ranging between 128 MPa and 164 MPa in the main rock types. The open pits will expose overburden ranging from fine sand to glacio-lacustrine clays.

 

At the peak of the operation, the open pits are expected to generate approximately 9,000 tpd of plant feed. In total, the open pits extract approximately 24 Mt of mineralized material and 164 Mt of waste overburden and rock. The Project’s open pit designs include one pit phase at the LP Viggo zone and three pit phases at the LP Central zone. A combined semi-bulk and selective loading unit fleet was selected for the open pit operation.

 

The Project’s primary underground mining method is longhole open stoping with paste backfill and cemented rock fill (CRF), with sublevel intervals of 30 m, and average stope widths of approximately 4 m to 5 m and stope strike lengths of 25 m. Stope minimum mining widths range from 3.0 m to 3.7 m, based on a minimum vein width of 2.5 m, plus total unplanned dilution ranging from 0.5 m to 1.2 m. Mining recovery assumptions include a 95% extraction factor for typical stopes with top and bottom cuts.

 

The main access to the underground mine is planned to be through underground portals and twin declines. The main materials handling approach includes load haul dump (LHD) units and mine trucks on sublevels for haulage to the surface re-handling point.

 

First stope production is expected to begin in Year -1 and will continue for an additional 12 years with a peak production rate of approximately 6,000 tpd. Underground production over the LOM is estimated at 20.3 Mt of mineralized material with an average grade of 4.92 Au g/t, containing approximately 3.2 Moz of gold.

 

Page 16

 

 

Kinross Gold Corporation

Great Bear Gold Project

Ontario, Canada

NI 43-101 Technical Report

 

Mineral Processing and Metallurgical Testing

 

Previous to Kinross acquiring the Project, preliminary test work was conducted on composites from the LP, Hinge, and Limb zones of the Great Bear deposit to provide an initial understanding of gold dissolution using standard cyanidation methods. Additional cyanidation tests were conducted to evaluate the impacts of grind size, cyanide concentration, and lead nitrate addition on gold leaching.

 

Following Kinross’ acquisition of the Project, a more comprehensive test program was initiated that included a wide range of characterization tests comprised of chemical head analysis, mineralogy, gold deportment, comminution, and gold recovery testing.

 

Results from investigative test work led to the selection of a process comprising gravity separation followed by cyanidation of the gravity separation tailings. A grind size of P80 75 µm was selected for the flowsheet. Variability test work was conducted on the ten variability samples using the selected process, optimal conditions determined in optimization testing, and with a leach retention time of up to 48 hours. The variability test work indicated that leaching was largely complete after 24 hours, with only a small amount of additional gold extraction after 48 hours. A leach retention time of 40 hours was selected for the conceptual flowsheet. Overall gold extractions in the variability test work ranged from 88.2% to 96.9%, with gravity recovery ranging from 23.2% to 67.4%.

 

The process plant design assumes a processing rate of approximately 10,000 tpd. The proposed process flowsheet includes primary crushing, SAG and ball milling, pebble crushing, gravity concentration, cyanide leaching followed by carbon adsorption in a carbon-in-pulp (CIP) circuit, carbon elution, electrowinning, and smelting to produce doré bars. Tailings handling will consist of cyanide destruction, tailings desulphurization using flotation, tailings thickening, and conventional slurried tailings disposal. The concentrate from the desulphurization flotation circuit is planned to be sent to a sulphide concentrate management facility in the mined-out LP Viggo Pit, while the tailings from the desulphurization circuit will be dewatered and then pumped to a separate TMF. The Project design assumes a portion of the detoxified tailings will be pumped to a paste backfill plant for use as backfill in the underground mine.

 

Infrastructure and Tailings Management

 

Site access is provided through an existing forestry road (Tuzyk’s Road) that branches off Highway 105.

 

The main power supply for the Project is expected to come from the existing 115 kV overhead powerline from the Hydro One transmission powerline, with on-site distribution via a 34.5 kV distribution line. Pending grid infrastructure upgrades by Hydro One, the substation will be adapted to deliver full capacity for the operations phase. In the interim period (Bridging Phase), it is assumed that a thermal power plant installed at site will be supplied by a natural gas pipeline.

 

Page 17

 

 

Kinross Gold Corporation

Great Bear Gold Project

Ontario, Canada

NI 43-101 Technical Report

 

The Chukuni River is planned to be the primary source of fresh water for the Project, however, the Project is designed to recycle as much process water as possible.

 

The Project’s infrastructure design assumes a centralized Service and Administration Area (SAA) that includes an administration/dry building, a truck shop/truck wash building, emergency and security facilities, warehouses, and tire maintenance and fueling facilities. A paste backfill plant is contemplated, located on surface, southwest of the LP Central Pit. The Project design assumes an accommodations facility will be located adjacent to and east of Tuzyk’s Road to accommodate construction and operations demand.

 

Non-sulphide and concentrate tailings streams are expected to be stored in the TMF and the LP Viggo Pit facility, respectively. The TMF perimeter containment is proposed to be a series of granular dams which contain the tailings solids. Surface run-off and process water captured in the TMF Pond are planned to be contained to the south by the TMF Pond Dam. The TMF Pond Dam design incorporates a cut-off wall to reduce seepage through the dam fill and foundation. Seepage will be collected downstream of the TMF North, TMF West, and TMF Pond dams and pumped back into the TMF. Water in the TMF Pond is planned to be re-circulated to the process plant via a fixed intake or pumped to the WTP.

 

Surface water is planned to be managed using a series of channels, ponds, and pipelines and pumping infrastructure across the Project area.

 

NPAG rock mined and stockpiled from the LP Viggo Pit is expected to be used in the majority of the Project’s construction activities and allow for contact water and sulphide concentrate tailings to be managed within the mined-out LP Viggo Pit. The Project design assumes that surplus soil and rock will be stored in engineered stockpiles located to the north and northwest of the LP Central Pit.

 

Environment, Permitting, and Social Aspects

 

The Project will require federal review under the Impact Assessment Act and an Impact Statement is currently in preparation. A Provincial Class environmental assessment (EA) may be required; this will be confirmed through discussions with the Provincial regulator. The Project will also require several Provincial and Federal environmental approvals.

 

Kinross has actively engaged with Indigenous communities and organizations. Indigenous knowledge will also be used to inform Project design decisions, review alternatives methods, and to support development of mitigation measures for the Project as available. Lac Seul First Nation and Wabauskang First Nation have indicated an interest in completing an Anishinaabe-led Impact Assessment. Discussions are underway to determine the most efficient manner of integrating information across the Federal and Anishinaabe-led processes that are anticipated to proceed in parallel.

 

Page 18

 

 

Kinross Gold Corporation

Great Bear Gold Project

Ontario, Canada

NI 43-101 Technical Report

 

Multi-disciplinary baseline studies were initiated in 2021 and these are ongoing and will support environmental assessments and permitting. Some species at risk occur on the Property, i.e., little brown myotis and tri-coloured bat (endangered bat species), wolverine (threatened), and eastern whip-poor-will and bank swallow (threatened bird species).

 

Archaeology studies have been completed for the Project site and local vicinity and three locations have been identified for additional archaeological investigations in 2024. Proposed Project development currently avoids these locations and a surrounding 100 m buffer has been applied pending additional information and dialogue with local Indigenous communities. There are no known archaeological sites that will be directly or indirectly affected by the Project.

 

Comprehensive geochemical studies are underway for the Project and are ongoing. The Project design considers the results of the test work to date. Water management planning is also underway, and the Project has a conceptual plan for managing contact and non-contact water. Studies are ongoing to better define the tailings management facility water management strategy.

 

A Certified Closure Plan will be prepared for the Project in parallel with other approval processes for the Project as information is updated or becomes available. A conceptual closure plan and cost estimate have been developed for the Project.

 

Capital and Operating Costs

 

Capital cost estimates address the scope of the Project’s mine, 10,000 tpd processing facilities, site infrastructure and ancillary buildings, and include estimates of:

 

·Direct field costs to execute the Project, including construction, installation and commissioning of all structures, utilities, materials, and equipment.

 

·Indirect costs associated with design, construction, and commissioning.

 

·Provisions for contingency.

 

·Owner’s costs.

 

·Mining costs during Project construction.

 

Capital cost estimates are expressed in Q1 2024 US dollars with no allowances for escalation, currency fluctuation, or interest. Costs quoted in Canadian dollars were converted to US dollars at an exchange rate of 0.74 USD to 1.00 CAD.

 

Page 19

 

 

Kinross Gold Corporation

Great Bear Gold Project

Ontario, Canada

NI 43-101 Technical Report

 

As summarized in Table 1-4, the Project’s total Initial Capital Cost is estimated to be $1,429 million. This is comprised of $1,181 million in construction capital and $248 million in capitalized mine development costs before commercial production.

 

Table 1-4: Summary of Project initial capital cost estimate

 

Area  Description  Cost
(US$M)
 
Direct Capital Costs        
   Infrastructure   239 
   Underground Infrastructure   49 
   Power   47 
   Mine Equipment   85 
   Processing   217 
   Tailings Management Facility   52 
   Total Direct Costs   689 
   Indirects and Owner’s Cost   276 
   Contingency   216 
Total Construction Capital Cost      1,181 
   Capitalized Open Pit Mining   105 
   Capitalized Underground Development   143 
Total Capitalized Mine Development      248 
Total Initial Project Capital      1,429 

 

LOM sustaining capital costs have been estimated from Year 1 onward and are summarized in Table 1-5.

 

Page 20

 

 

Kinross Gold Corporation

Great Bear Gold Project

Ontario, Canada

NI 43-101 Technical Report

 

Table 1-5: Summary of sustaining capital cost estimates

 

Area  LOM Cost
(US$M)
 
Open Pit Fleet Sustaining   20 
Open Pit Mine Equipment   107 
Infrastructure   33 
Underground Mine Equipment   202 
Underground Infrastructure   144 
Processing   26 
Tailings Management Facility   21 
Capitalized Open Pit Mining   202 
Capitalized Underground Development   279 
Total Sustaining Capital   1,034 

 

The Project’s reclamation and closure costs total approximately $91 million over the LOM, distributed annually from the middle of the LOM (Year 6) until post-closure.

 

The estimated total and unit operating costs over the LOM are summarized in Table 1-6.

 

Table 1-6:      Summary of Project operating costs

 

Cost Area  LOM Total
(US$M)
   Unit Cost
(US$/t processed) 2
 
Open Pit Mining1   371    8.32 
Underground Mining1   1,395    31.26 
Processing   770    17.25 
General & Administrative   398    8.91 
Royalties, Charges & Other   202    4.52 
Total   3,136    70.26 
Tonnes Processed (Mt)        44.6 

 

Notes:

 

1.Average LOM open pit mining cost amounts to $3.59/open pit tonne mined including capitalized mine development; average LOM underground mining cost amounts to $68.70/underground plant feed tonne mined excluding capitalized mine development.

 

2.Mining costs are averaged over the total mineralized material fed to the process plant from open pit and underground.

 

Page 21

 

 

Kinross Gold Corporation

Great Bear Gold Project

Ontario, Canada

NI 43-101 Technical Report

 

1.3Economic Analysis

 

The economic analysis presented in this Technical Report contains forward-looking information regarding Mineral Resource estimates, commodity prices, exchange rates, proposed production plans, projected mining and metallurgical recoveries, costs, and Project schedule aspects and are subject to known and unknown risks, uncertainties, and other factors, many of which cannot be controlled or predicted and may cause actual results to differ materially from those presented. More details on the assumptions used and the factors applied when developing the forward-looking information, as well as certain risk factors that could cause actual results to differ materially from the forward-looking information are provided in the relevant sections of this Technical Report. The reader is cautioned that this Technical Report is based in part, on Inferred Mineral Resources, and the economic analysis presented is preliminary in nature. Inferred Mineral Resources are considered too geologically speculative to have economic considerations applied to them that would enable them to be categorized as Mineral Reserves. The QP notes that there is no certainty that the economic forecasts presented or the assumptions on which this Technical Report is based will be realized.

 

The economic analysis of the Project was carried out using a discounted cash flow approach on a pre-tax and after-tax basis, based on a long-term gold price of $1,900/oz in United States currency and cost estimates prepared in Canadian currency. An exchange rate of 0.74 USD per 1.00 CAD was assumed to convert CAD market price projections and particular components of the capital cost estimates into US Dollars (USD).

 

The IRR on the total investment that is presented in the economic analysis was calculated assuming 100% equity financing, except on financing for the open pit fleet, though Kinross may decide in the future to finance part of the Project with debt financing.

 

The after-tax NPV was calculated from the cash flows generated by the Project, assuming a discount rate of 5%.

 

An after-tax sensitivity analysis has been performed to assess the impact of variations in the Project’s economic assumptions, i.e., capital costs, exchange rate, gold price, gold head grade, metallurgical recoveries, and operating costs.

 

Economic Criteria

 

All values presented in this section are approximate.

 

Physicals

 

·Project Life:

 

Page 22

 

 

Kinross Gold Corporation

Great Bear Gold Project

Ontario, Canada

NI 43-101 Technical Report

 

oThree years of pre-commercial production mining for construction material and stockpiling of initial process plant feed

 

o12 years of commercial process plant production

 

oEight years of open pit mining

 

o12 years of underground mining

 

oFour years of open pit and underground stockpiles processing

 

·Open pit mining operations

 

oLOM Total Mined: 187.9 Mt

 

oLOM Total Plant Feed Mined: 24.3 Mt at 2.99 g/t of Au

 

oStripping Ratio: 6.7 (waste:plant feed)

 

oPeak Mining Rate (all materials): 26.2 Mtpa

 

·Underground mining operations

 

oLOM Total Mined: 28.1 Mt

 

oLOM Total Plant Feed Mined: 20.3 Mt at 4.92 g/t of Au

 

oPeak Mining Rate (plant feed): 2.2 Mtpa

 

·Processing

 

oAnnual Processing Rate: 10 ktpd

 

oLOM Total Plant Feed: 44.6 Mt at 3.87 g/t of Au

 

oLOM Contained Gold: 5.5 Moz

 

oLOM Average Metallurgical Recovery: 95.7%

 

oLOM Recovered Gold: 5.3 Moz

 

Revenue

 

·For this economic analysis, revenue is estimated based on a constant LOM gold price of $1,900/oz.

 

·To account for insurance, transportation, and refining charges, a constant unit cost of $3.35/oz Au was assumed over the LOM and is based on actual costs from other Kinross operations.

 

·LOM gross revenue of $10,085 million.

 

Page 23

 

 

Kinross Gold Corporation

Great Bear Gold Project

Ontario, Canada

NI 43-101 Technical Report

 

·LOM NSR revenue of $10,067 million, after accounting for insurance, transportation, and refining charges.

 

Capital Costs

 

·Total initial construction capital cost: $1,181 million, including $216 million in contingency.

 

·Total capitalized mine development costs prior to commercial production: $248 million.

 

·Total Initial Project Capital, including capital development: $1,429 million

 

·LOM sustaining capital costs: $1,034 million

 

·Total reclamation and closure costs: $91 million

 

·Growth capital for power supply transition: $97 million

 

Operating Costs

 

·LOM operating costs: $3,136 million, including $202 million in royalties and other charges and excluding $33 million in other one-time operating costs

 

·LOM unit operating cost: $70.26/t processed

 

·LOM unit cash cost: $594/oz Au

 

·LOM unit AISC: $812/oz Au

 

Taxation

 

·LOM total taxes paid of approximately $856 million.

 

Exclusions

 

The economic analysis does not consider the following components:

 

· Escalation or inflation over the LOM

 

·Financing costs excluding open pit financing

 

·Corporate overhead costs

 

·Advanced Exploration costs

 

·Any costs set out in or deriving from any Impact Benefit Agreement with Indigenous Nations

 

An after-tax cash flow summary is presented in Table 1-7. All costs are presented in Q1 2024 USD millions.

 

Page 24

 

 

 

Kinross Gold Corporation

Great Bear Gold Project

Ontario, Canada

NI 43-101 Technical Report

 

Table 1-7: After-tax cash flow summary

 

  US$ and
Metric
Units
  LOM Total
or
Average
Project Timeline Years      1  2  3  4  5  6  7  8  9  10  11  12  13  14  15  16  17  18  19  20  21 
Commercial Production Timeline Years      -4  -3  -2  -1  1  2  3  4  5  6  7  8  9  10  11  12  13  14  15  16  17 
Market Prices                                                                      
Exchange Rate CAD:USD   0.74x 0.74x 0.74x 0.74x 0.74x 0.74x 0.74x 0.74x 0.74x 0.74x 0.74x 0.74x 0.74x 0.74x 0.74x 0.74x 0.74x 0.74x 0.74x 0.74x 0.74x 0.74x
Gold US$/oz   1,900  1,900  1,900  1,900  1,900  1,900  1,900  1,900  1,900  1,900  1,900  1,900  1,900  1,900  1,900  1,900  1,900  1,900  1,900  1,900  1,900  1,900 
Physicals                                                                      
Open Pit                                                                      
Mineralized Material Mined kt   24,320  -  142  723  773  3,349  3,697  3,188  3,383  3,219  2,077  2,416  1,352  -  -  -  -  -  -  -  -  - 
Au Grade, Mined g/t   2.99  -  1.44  1.52  1.97  3.77  3.52  2.61  2.37  2.67  1.92  3.13  5.70  -  -  -  -  -  -  -  -  - 
Waste Mined kt   163,575  -  3,305  9,338  16,967  22,151  20,268  22,974  19,995  17,931  17,015  11,714  1,917  -  -  -  -  -  -  -  -  - 
Underground                                                                      
Mineralized Material Mined kt   20,306  -  8  138  548  827  1,280  1,430  1,860  1,860  2,190  2,196  2,190  2,190  1,915  1,275  402  -  -  -  -  - 
Au Grade, Mined g/t   4.92  -  3.47  3.79  4.95  4.39  5.18  5.11  5.06  5.20  5.17  5.74  4.35  4.05  5.16  4.93  3.74  -  -  -  -  - 
Total Development m   169,338  -  2,084  5,038  6,645  12,564  16,935  16,349  17,221  17,094  18,163  17,128  17,535  14,154  5,905  2,523  -  -  -  -  -  - 
Processing                                                                      
Total Mineralized Material Processed kt   44,627  -  -  -  1,196  3,433  3,650  3,660  3,650  3,650  3,650  3,660  3,650  3,650  3,650  3,660  3,468  -  -  -  -  - 
Au Grade, Processed g/t   3.87  -  -  -  3.99  4.57  4.79  4.40  4.37  4.64  4.09  5.31  4.81  2.85  3.15  2.23  1.04  -  -  -  -  - 
Contained Gold, Processed koz   5,549  -  -  -  154  505  563  518  513  545  480  625  564  335  370  262  116  -  -  -  -  - 
Average Recovery, Gold %   95.7% -  -  -  86.6% 95.2% 96.2% 96.1% 96.1% 96.2% 96.1% 96.3% 96.2% 95.7% 95.8% 95.4% 93.6% -  -  -  -  - 
Recovered Gold koz   5,309  -  -  -  133  481  541  498  493  524  461  601  543  320  355  250  109  -  -  -  -  - 
Payable Gold koz   5,308  -  -  -  133  480  541  498  493  524  461  601  543  320  355  250  109  -  -  -  -  - 
Revenue                                                                      
Gross Revenue US$ 000s   10,084,929  -  -  -  252,552  912,834  1,027,841  946,357  936,554  995,329  875,115  1,142,524  1,030,832  608,588  673,899  475,477  207,028  -  -  -  -  - 
Offsite Insurance / Transport / Refining US$ 000s   17,781  -  -  -  445  1,609  1,812  1,669  1,651  1,755  1,543  2,014  1,818  1,073  1,188  838  365  -  -  -  -  - 
Net Smelter Return US$ 000s   10,067,148  -  -  -  252,107  911,225  1,026,029  944,688  934,903  993,574  873,572  1,140,509  1,029,015  607,515  672,711  474,638  206,663  -  -  -  -  - 
Operating Expenditures                                                                      
Total Mining Cost US$ 000s   1,766,284  -  1,731  24,018  38,315  155,100  170,337  118,127  193,045  160,908  153,383  205,031  161,037  143,376  118,037  84,999  38,840  -  -  -  -  - 
Processing Cost US$ 000s   769,696  -  -  -  33,692  70,501  70,967  59,609  59,522  59,541  59,486  59,690  59,557  59,365  59,395  59,388  58,982  -  -  -  -  - 
G&A Cost US$ 000s   397,762  -  -  -  25,147  35,357  35,502  34,813  34,812  34,811  34,810  34,810  34,810  30,235  29,971  19,852  12,830  -  -  -  -  - 
Royalties and Charges US$ 000s   201,874  -  -  -  5,055  18,273  20,575  18,944  18,747  19,924  17,517  22,870  20,635  12,182  13,490  9,518  4,144  -  -  -  -  - 
Total Operating Costs US$ 000s   3,135,616  -  1,731  24,018  102,211  279,230  297,381  231,493  306,126  275,184  265,197  322,402  276,039  245,159  220,893  173,757  114,796  -  -  -  -  - 
Other Operating Costs US$ 000s   33,036  4,601  11,328  3,130  13,977  -  -  -  -  -  -  -  -  -  -  -  -  -  -  -  -  - 
Capital Expenditures                                                                      
Initial Capex US$ 000s   1,181,493  108,929  342,266  388,878  341,420  -  -  -  -  -  -  -  -  -  -  -  -  -  -  -  -  - 
Capitalized Mine Development US$ 000s   247,529  -  43,900  81,589  122,040  -  -  -  -  -  -  -  -  -  -  -  -  -  -  -  -  - 
Total Initial Capex and Cap. Mine Dev US$ 000s   1,429,022  108,929  386,165  470,468  463,460  -  -  -  -  -  -  -  -  -  -  -  -  -  -  -  -  - 
Growth Capital US$ 000s   96,667  -  -  -  -  53,704  42,963  -  -  -  -  -  -  -  -  -  -  -  -  -  -  - 
Sustaining Capital (Excluding Capitalized Mining) US$ 000s   553,373  -  -  -  -  120,317  76,750  69,658  52,668  48,491  38,366  44,652  41,696  37,677  13,188  6,414  3,496  -  -  -  -  - 
Capitalized Mine Development (Sustaining) US$ 000s   480,885  -  -  -  -  30,638  38,536  105,815  42,752  72,572  94,466  26,370  32,648  24,144  8,855  4,088  -  -  -  -  -  - 
Reclamation and Closure US$ 000s   90,740  -  -  -  -  -  -  -  -  -  7,349  7,349  7,349  8,386  8,386  1,037  -  15,974  14,974  9,702  5,117  5,117 
Changes in Working Capital US$ 000s   -  (8,953) (18,436) (2,859) 5,336  13,901  4,665  4,298  1,606  209  1,265  (1,224) (195) 517  1,234  95  (267) (1,191) -  -  -  - 
Cash Flow                                                                      
Pre-tax Cash Flow US$ 000s   4,247,810  (104,577) (380,788) (494,756) (332,877) 413,435  565,734  533,424  531,751  597,119  466,929  740,960  671,478  291,632  420,154  289,247  88,638  (14,783) (14,974) (9,702) (5,117) (5,117)
Cash Taxes US$ 000s   855,937  -  -  -  513  9,822  11,604  20,453  51,268  60,993  72,626  176,311  192,916  74,190  109,220  69,405  6,617  -  -  -  -  - 
After Tax Cash Flow US$ 000s   3,391,873  (104,577) (380,788) (494,756) (333,389) 403,613  554,130  512,971  480,483  536,126  394,303  564,649  478,562  217,442  310,934  219,842  82,020  (14,783) (14,974) (9,702) (5,117) (5,117)
Cumulative After Tax Cash Flow US$ 000s   -  (104,577) (485,365) (980,121) (1,313,511) (909,898) (355,768) 157,204  637,687  1,173,813  1,568,116  2,132,765  2,611,327  2,828,769  3,139,704  3,359,545  3,441,566  3,426,783  3,411,809  3,402,106  3,396,990  3,391,873 
Metrics                                                                      
NPV (5%) US$ 000s   1,898                                                                
IRR %   24.3%                                                               
Payback Period Years   2.7                                                                

 

Page 25

 

 

Kinross Gold Corporation

Great Bear Gold Project

Ontario, Canada

NI 43-101 Technical Report

 

Cash Flow Analysis Results

 

Table 1-8 summarizes the results of the after-tax cash flow analysis of the Project.

 

Table 1-8: Summary of results of after-tax cash flow analysis

 

Description  Unit  Value
After-tax Free Cash Flow  US$M  3,392 
NPV (@ 5% disc.)  US$M  1,898 
IRR  %  24.3 
Payback Period  years  2.7 

 

Sensitivity Analysis Results

 

The sensitivity of the Project’s after-tax NPV and IRR to gold price and discount rate is summarized in Table 1-9 and Table 1-10.

 

Table 1-9: After-tax NPV and IRR sensitivity results

 

Gold Price  After-tax NPV at 5%  IRR  
(US$/oz)   (US$M)   (%) 
1,500   910   14.9 
1,700   1,416   19.9 
1,900   1,898   24.3 
2,100   2,371   28.3 
2,300   2,846   32.1 
2,500   3,314   35.5 

 

Table 1-10: After-tax NPV sensitivity results discount rate variations

 

   Discount Rate 
   -   2.5%   5.0%   7.5%    10.0% 
NPV ($M)  3,392   2,542   1,898   1,405   1,025 

 

The sensitivity of the Project’s after-tax NPV to other key variables is depicted in Figure 1-1.

 

Page 26

 

 

Kinross Gold Corporation

Great Bear Gold Project

Ontario, Canada

NI 43-101 Technical Report

 

 

Figure 1-1: Sensitivity of the after-tax NPV to selected economic variables

 

Page 27

 

 

Kinross Gold Corporation

Great Bear Gold Project

Ontario, Canada

NI 43-101 Technical Report

 

2.Introduction

 

This Technical Report has been prepared by Kinross to disclose the results of a PEA on the Great Bear gold project, located in northwest Ontario, Canada. Kinross is engaged in gold mining and related activities, including exploration and acquisition of gold-bearing properties, the extraction and processing of gold-containing ore, and reclamation of gold mining properties and is listed on the Toronto Stock Exchange and New York Stock Exchange. Kinross acquired the Project as part of its acquisition of Great Bear in February 2022. Great Bear is a wholly-owned subsidiary of Kinross and owns a 100% interest in the Property.

 

The Project is a development stage property located within the Red Lake Mining District of Ontario, an area of historic gold mining and exploration. The Project is located approximately 24 km southeast of the town of Red Lake, Ontario and consists of 380 unpatented mining claims and seven mining leases, totalling 11,852 ha.

 

The PEA contemplates a combined open pit and underground mining scenario for the Project that provides approximately 10,000 tpd of plant feed to an on-site processing facility over a LOM of approximately 12 years.

 

This Technical Report conforms to National Instrument 43-101 Standards of Disclosure for Mineral Projects (NI 43-101) and is considered by Kinross as meeting the requirements of a PEA as defined in NI 43-101.

 

The economic analysis contained in this Technical Report is based, in part, on Inferred Mineral Resources, and is preliminary in nature. Inferred Mineral Resources are considered too geologically speculative to have the economic considerations applied to them that would enable them to be categorized as Mineral Reserves. There is no certainty that economic forecasts on which this PEA is based will be realized.

 

Page 28

 

 

Kinross Gold Corporation

Great Bear Gold Project

Ontario, Canada

NI 43-101 Technical Report

 

2.1Qualified Persons

 

The QPs responsible for the content presented in this Technical Report are listed in Table 2-1.

 

Table 2-1: Qualified persons and technical report section responsibilities

 

QP Name, Designation, Title   Organization   Site Visit
Dates
  Section Responsibility
Nicos Pfeiffer, P.Geo., Vice President, Geology & Technical Evaluations   Kinross   July 17, 2024   Overall preparation of the Technical Report, in particular Sections 2 to 5, 14, 15, 19, 23, and 24
             
Graham Long, P.Geo., Vice President, Exploration   Kinross   December 6-7, 2023   Sections 6 to 12
             
Yves Breau, P.Eng., Vice President, Metallurgy and Engineering   Kinross   July 24 to 25, 2024   Sections 13, 17, 18 (paste backfill plant), and 21 (processing operating costs)
             
Agung Prawasono, P.Eng., PMP, Senior Director, Mine Planning   Kinross   August 20 to 21, 2024   Sections 16 (OP mining related information) and 21 (OP capital and operating costs)
             
Arkadius Tarigan, P.Eng., Senior Director, Underground Mining   Kinross   July 24 to 25, 2024   Section 16 (UG mining related information) and Section 21 (underground capital and operating costs)
             
Jerry Ran, P.Eng., Director, Geotechnical   Kinross   July 23 to 25, 2024   Section 16 (Geomechanics)
             
Kevin van Warmerdam, P.Eng., Senior Director, Engineering   Kinross   July 24 to 25, 2024   Sections 18.1 Roads, 18.2 Utilities, 18.3 Fuel Facilities, 18.4 Buildings (except paste backfill plant), 21 (plant, site infrastructure, G&A, sustaining capital costs), and 22
             
Dennis Renda, P.Eng., Principal Geotechnical Engineer   WSP Canada Inc. (WSP)   August 8 to 10, 2022   Sections 18.5 TMF, 18.6 Water Management, 18.7 Mine Rock and Overburden Stockpiles, and 21 (TMF capital costs)
             
Sheila Daniel, P.Geo., Geoscientist Fellow and Mining Environmental Approvals Team Lead   WSP   August 8 to 10, 2023   Section 20
             
Simon Gautrey, P.Geo., Hydrogeologist Fellow and Mining Hydrogeology Lead   WSP   No site visit   Section 16.3 (Hydrogeology)
             
ALL QPs           Sections 1, 25, 26, and 27

 

Page 29

 

 

Kinross Gold Corporation

Great Bear Gold Project

Ontario, Canada

NI 43-101 Technical Report

 

2.2Sources of Information

 

The QPs visited the Project as indicated in Table 2-1. While at the Project site, the QPs held discussions with site technical personnel, and corresponding to their areas of responsibility, the QPs visited the proposed open pit site, drill rigs in the field, and core logging facility to review core and logging procedures; reviewed data collection and QA/QC procedures, geological interpretations, geological modelling, and resource estimation procedures; and reviewed existing infrastructure.

 

In addition to information obtained during the site visit, information used to support this Technical Report has been derived from the reports and documents listed in Section 27 References of this Technical Report.

 

2.3Effective Date

 

The effective date of the Mineral Resource estimate is April 2, 2024. The effective date of the Technical Report is September 1, 2024. There were no material changes to the information on the Project between the effective date and the signature date of the Technical Report.

 

Page 30

 

 

Kinross Gold Corporation

Great Bear Gold Project

Ontario, Canada

NI 43-101 Technical Report

 

2.4List of Abbreviations

 

Units of measurement used in this Technical Report conform to the metric system. All currency in this Technical Report is in US dollars (USD or US$) unless otherwise noted.

 

m micron   kPa kilopascal
°C degree Celsius   kWh/t kilowatt-hour per tonne
°F degree Fahrenheit   kW kilowatt
mg microgram   kWh kilowatt-hour
A Ampere   L litre
A annum   LFO Light Fuel Oil
Bbl barrels   L/s litres per second
Btu British thermal units   m metre
C$ Canadian dollars   M mega (million)
Cfm cubic feet per minute   m2 square metre
CIL carbon-in-leach   m3 cubic metre
Cm centimetre   min minute
cm2 square centimetre   MASL metres above sea level
D day   mm millimetre
dia. diameter   mph miles per hour
Dmt dry metric tonne   Mt/a million tonne per year
Dwt dead-weight ton   MTO Material take-off
Ft foot   MW megawatt
ft/s foot per second   MWe megawatt-electrical
ft2 square foot   m3/h cubic metres per hour
ft3 cubic foot   opt ounce per short ton
G Gram   oz Troy ounce (31.1035g)
G giga (billion)   PAU preassembly unit
Gal Imperial gallon   ppm part per million
g/L gram per litre   psig pound per square inch gauge
g/t gram per tonne   RL relative elevation
Gpm Imperial gallons per minute   s second
gr/ft3 grain per cubic foot   st short ton
gr/m3 grain per cubic metre   stpa short ton per year
Ha hectare   stpd short ton per day
HFO Heavy Fuel Oil   t metric tonne
Hp horsepower   t/a metric tonne per year
In inch   t/d metric tonne per day
in2 square inch   US$ United States dollar
J Joule   USg United States gallon
kcal kilocalorie   USgpm US gallon per minute
kg kilogram   V volt
km kilometre   WBS work breakdown structure
km/h kilometre per hour   wmt wet metric tonne
km2 square kilometer   yd3 cubic yard
ktpd thousand tonnes per day   yr year

 

Page 31

 

 

Kinross Gold Corporation

Great Bear Gold Project

Ontario, Canada

NI 43-101 Technical Report

 

2.5List of Acronyms

 

Acronym   Definition
AA   atomic absorption
AAS   atomic absorption spectrometry
AGP   AGP Mining Consultants
AISC   all-in sustaining unit cost
ANA   Asubpeeschoseewagong Netum Anishinabek (Grassy Narrows First Nation)
ARD   acid rock drainage
BCMC   Boundary Cell Mining Claims
CDNRL   CDN Resources Laboratories Ltd.
CIP   carbon-in-pulp
CND   cyanide destruction
CNWAD   weak acid dissociable cyanide
CRF   cemented rock fill
CRM   Certified Reference Materials
CV   coefficient of variation
DDH   diamond drill holes
EA   environmental assessment
E-GRG   extended gravity recoverable gold
ELOS   Equivalent Linear Overbreak Slough
EM   electromagnetic
FA-AA   fire assay with atomic absorption spectrometry finish
FA-GRAV   fire assay with gravimetric finish
G&A   general and administrative
GPS   global positioning system
IA   impact assessment
IAAC   Impact Assessment Agency of Canada
ICP-MS   Inductively coupled plasma mass spectrometry
ICP-OES   Inductively coupled plasma optical emission spectrometry
ID3   inverse distance cubed
IP   induced polarization
IRR   Internal Rate of Return
LG   Lerchs-Grossmann
LHD   load haul dump
LOM   life-of-mine
LUP   Land Use Permit
MCMC   Single Multi-Cell Mining Claims

 

Page 32

 

 

Kinross Gold Corporation

Great Bear Gold Project

Ontario, Canada

NI 43-101 Technical Report

 

Acronym   Definition
M&I   Measured + Indicated
MMI   Mobile Metal Ion
MNRF   Ministry of Natural Resources and Forestry
MOU   Memorandum of Understanding
MRS   Mine Rock Stockpiles
MSO   Mineable Shape Optimizer
NPV   Net Present Value
NSR   net smelter return
NPAG   non-potentially acid generating
OGS   Ontario Geological Survey
OK   ordinary kriging
OREAS   ORE Research & Exploration PL
PAG   potentially acid generating
PEA   Preliminary Economic Assessment
QP   Qualified Person
QA/QC   quality assurance/quality control
RC   reverse circulation
RPEEE   reasonable prospects for eventual economic extraction
RQD   rock quality designation
SAG   semi-autogenous grinding
SCMS   Single Cell Mining Claims
SD   standard deviation
SMC   semi-autogenous grinding mill comminution
TMF   tailings management facility
VLF-EM   very low frequency electromagnetics
VMS   volcanogenic massive sulphide
WSP   WSP Canada Inc.

 

Page 33

 

 

Kinross Gold Corporation

Great Bear Gold Project

Ontario, Canada

NI 43-101 Technical Report

 

3.Reliance on Other Experts

 

In the preparation of the Technical Report, the QPs relied on information provided by internal Kinross legal counsel on August 19, 2024 for the discussion of claim numbers, title types, anniversary dates and confirmation that the claims are in good standing as of the date of this Technical Report and as summarized in Sections 1, 4, and Appendix 1.

 

Page 34

 

 

Kinross Gold Corporation

Great Bear Gold Project

Ontario, Canada

NI 43-101 Technical Report

 

4.Property Description and Location

 

4.1Location

 

The Project is located in northwest Ontario, Canada (Figure 4-1) at latitude 50.8764°N and longitude 93.6398° (Universal Transverse Mercator (UTM) Zone 15N 455665E, 5633910N (NAD83)). Red Lake, the nearest municipality, is 24 km north-northwest of the Property. Red Lake consists of six small communities—Balmertown, Cochenour, Madsen, McKenzie Island, Red Lake, and Starratt-Olsen—and is an enclave within the Unorganized Kenora District. Red Lake is 535 km northwest of Thunder Bay, Ontario and 250 km east of Winnipeg, Manitoba.

 

4.2Mineral Tenure

 

The Property consists of a contiguous block comprising 380 unpatented mining claims and seven mining leases, totalling 11,852 ha, shown in Figure 4-2 and listed in Appendix 1 Table 30-1 of this Technical Report. Great Bear, Kinross’ wholly-owned subsidiary, owns 100% of the claims.

 

Of the 380 unpatented mining claims, 373 are termed as Single Cell Mining Claims (SCMC), meaning that the claim holder holds the entirety of the mining cell, and two are classified as Single Multi-Cell Mining Claims (MCMC), meaning that the claim holder holds the entirety of the cell claims. The remaining five unpatented claims are classified as Boundary Cell Mining Claims (BCMC), meaning that the claim is a partial cell and the cell is shared with another property owner. If, at any time, the other claim holder was to abandon or forfeit their portion of any of the BCMC, it would be converted to SCMC and the balance of the map cell would become part of the Property. The unpatented mining claims and mining leases which comprise the Property are currently in good standing and assessment work credits are sufficient to maintain that standing for several years. The government of Ontario requires expenditures of $400 per year per SCMC, prior to expiry, to keep the claims in good standing for the following year(s). BCMC require expenditures of $200 per year. The Assessment Report describing the work completed by the company must be submitted by the expiry date of the claims to which the work credit is to be applied.

 

The unpatented mining claims require a total exploration expenditure of C$161,200 per year. The annual lease rental cost for the seven mining leases is C$10,835.

 

Page 35

 

 

Kinross Gold Corporation

Great Bear Gold Project

Ontario, Canada

NI 43-101 Technical Report

 

 

Figure 4-1: Location map

 

Page 36

 

 

Kinross Gold Corporation

Great Bear Gold Project

Ontario, Canada

NI 43-101 Technical Report

 

 

Figure 4-2: Land tenure for Great Bear Property

 

Page 37

 

 

Kinross Gold Corporation

Mine

Country

NI 43-101 Technical Report

 

4.3Mineral Claim Ownership Details

 

In February 2022, Kinross completed the acquisition of Great Bear for approximately $1.4 billion. Great Bear Resources Ltd. owns 100% of the Great Bear Property.

 

The main Property is subject to a 2% net smelter return (NSR) royalty that was granted by Great Bear to Great Bear Royalties Corp. on January 31, 2020. In September 2022, Great Bear Royalties Corp. was acquired by a wholly-owned subsidiary of Royal Gold Inc. The remaining Property was acquired from BTU Metals Corp. (“BTU”) on February 22, 2023 and from Dixie Gold Inc. (“Dixie Gold”) on July 9, 2024. The BTU Property is subject to a cumulative total 4% NSR royalty, portions of which are owed to various different parties. The Dixie Gold Property is subject to a 2.5% NSR royalty and a 2% gross royalty, each owed to a different party. The royalty map is provided in Figure 4-3.

 

Legal access to the claims is available by public roads which cross the Property.

 

Page 38

 

 

Kinross Gold Corporation

Great Bear Gold Project

Ontario, Canada

NI 43-101 Technical Report

 

 

Figure 4-3: Royalty map

 

Page 39

 

 

Kinross Gold Corporation

Great Bear Gold Project

Ontario, Canada

NI 43-101 Technical Report

 

4.4Environmental Liabilities and Other Significant Factors

 

No known environmental liabilities exist on the Property from historical or present processing or operations. Comprehensive soil and water quality baseline tests commenced in 2022 and are continuing into 2023. There are areas that have been hydraulically and/or mechanically stripped to expose bedrock in the past, and several small trenching programs have taken place. These disturbed areas have been recorded by the Ontario Geological Survey (OGS) and are considered part of the legacy work of the Project area.

 

4.5Permitting

 

Great Bear holds an Exploration Permit valid until November 23, 2025. This permit is issued under the authority of section 78.3 of the Mining Act and the Exploration Plans and Exploration Permits Regulation (O. Reg. 308/12). The permit covers multiple zones of high-grade mineralization across the Property and grants the company the right to use mechanized drilling (assembled weight of the drill >150 kg).

 

Great Bear holds a Land Use Permit (LUP) for a weather station on a 0.25 ha area. The LUP came into effect on May 1, 2022 and is valid until April 30, 2027.

 

Great Bear has a Memorandum of Understanding (MoU) with the Ministry of Natural Resources and Forestry (MNRF) for a bridge that crosses Dixie Creek, situated on public land as defined in section 1 of the Public Lands Act (RSO, 1990, c. P.43). The agreement is valid from February 23, 2020 to February 23, 2025.

 

4.6Other Liabilities

 

The QP is not aware of any other factors or risks that would affect or limit access, title, or the right or ability to perform work on the Property.

 

Page 40

 

 

Kinross Gold Corporation

Great Bear Gold Project

Ontario, Canada

NI 43-101 Technical Report

 

5.Accessibility, Climate, Local Resources, Infrastructure and Physiography

 

5.1Accessibility

 

Access to the Property from Red Lake, Ontario is via Highway 105. From the highway turnoff, the claims are crossed by a network of all-season logging roads and seasonal trails built to service mineral exploration work (Figure 5-1). The southwestern portion of the claim is accessible by the Snake Falls Camp Road, where there is a small seasonal fishing camp.

 

Page 41

 

 

Kinross Gold Corporation

Great Bear Gold Project

Ontario, Canada

NI 43-101 Technical Report

 

 

Figure 5-1: Property access

 

Page 42

 

 

Kinross Gold Corporation

Great Bear Gold Project

Ontario, Canada

NI 43-101 Technical Report

 

5.2Climate

 

The climate is typically mid-continental. Summers are warm and humid, with frequent rain showers and thunderstorms. Winters are cold. Snow usually starts falling around late October or early November and starts melting around March. Temperatures in the summer average 18°C, dipping to an average of -10°C to -20°C in the winter, with extreme maximum reaching -45°C.

 

Total annual precipitation averages 6.3 cm. Snow accounts for approximately 29% of the precipitation. The summer months of June, July, August, and September account for more than half of the annual precipitation (51%). Snow normally starts in late September and ends in early June, and is usually deepest in January and February. Average snow depth in February is 48.0 cm.

 

Exploration activities can be conducted year-round on the Property. Seasonal exploration activities, such as mapping and field sampling, are best conducted from May to October when there is no snow cover. Ground geophysical and diamond drilling programs can be conducted year-round but are preferred between late October and mid-March, when the lakes, streams, and muskeg are typically frozen, as well as in the drier summer months from May through September. This allows for easy mobilization of the heavy machinery required for drilling operations.

 

5.3Local Resources

 

Water Supply

 

Water is abundant year-round on the Project and in the region. There are numerous lakes, rivers, and swamps on the Project and in the area. Seasonal temperature variations require that heating systems be used for water transportation systems (i.e., drilling hose line) during the winter and late fall.

 

Power

 

Hydroelectric power lines follow Highway 105 and cross the northeastern corner of the Property and run parallel to the northeastern boundary.

 

5.4Infrastructure and Community Services

 

Red Lake is the closest community to the Project. It has a population of 4,094 residents, according to Statistics Canada in 2022. There is a fully functional airport that receives daily flights from Winnipeg, Manitoba and Thunder Bay, Ontario, Canada. The district has produced more than 28 million ounces (Moz) of gold since 1949, from four principal mines, only one of which is still in operation (Evolution’s Red Lake Gold Mine). Gold mining and seasonal tourism activity provide a stable economic base and the town offers all necessary facilities in support of mineral exploration efforts. Supplies and experienced, highly trained field personnel are available from the surrounding area and local communities.

 

Page 43

 

 

Kinross Gold Corporation

Great Bear Gold Project

Ontario, Canada

NI 43-101 Technical Report

 

5.5Physiography and Environment

 

The regional topography features low, rolling hills with numerous small lakes and spruce bogs. On the Property, the terrain is gently sloping with an elevation range of 350 metres above sea level (MASL) to 460 MASL. There are a few streams, including Dixie Creek, that have mature, meandering courses. The Property is partially forested with mature stands and younger growth of black spruce, poplar, birch and jack pine, all typical species of the boreal forest (Figure 5-2).

 

 

Figure 5-2: Low rolling topography, partially forested, with mature stands and
younger growth of black spruce

 

Bedrock outcrops are largely located in the northwest and southeast corners of the Project, and where observed, they are typically glacially polished. In aid of prospecting activities, overburden has been stripped from some areas of the claims to expose the bedrock underneath. Overburden depth typically ranges from 5 m to 20 m and averages 15 m. Overburden has been observed to be as deep as 50 m in places.

 

Page 44

 

 

Kinross Gold Corporation

Great Bear Gold Project

Ontario, Canada

NI 43-101 Technical Report

 

In low lying areas of the Project, the overburden sequence is comprised of a surficial organic/topsoil layer (Holocene Unit) followed by the Glaciolacustrine Unit, which is underlain by glacial till (Moraine Unit) that rests directly on bedrock. The Glaciolacustrine Unit consists of two units: a medium to high plasticity silty clay to silt and clay (cohesive) and a silt to low-plasticity clayey silt (non-cohesive).

 

On higher ground, the overburden sequence is comprised of the organic/topsoil layer (Holocene Unit) with sand to silt and sand (Glaciofluvial Unit) and thin to no Glaciolacustrine Unit, followed by glacial till (Moraine Unit), which rests directly on bedrock.

 

Bedrock lithologies at the Project consist primarily of mafic to felsic volcanic rock intercalated with sedimentary (siltstone, argillite) and various intrusive rocks.

 

Page 45

 

 

 

Kinross Gold Corporation

Great Bear Gold Project

Ontario, Canada

NI 43-101 Technical Report

 

6.History

 

The first exploration work on the Property documented by Geology Ontario dates to 1944, with mapping/prospecting, diamond drilling, and geophysical work continuing to present.

 

Prior to acquisition by Kinross, a total of 974 diamond drill holes (DDH) for 390,227 m had been completed on the Property (historically named the Dixie Lake Property) between 1944 and February 2022. Other exploration activities included geological mapping, and airborne and ground-based geophysical and geochemical surveys. The exploration history prior to Kinross’ acquisition of Great Bear is summarized in Table 6-1.

 

Table 6-1: Exploration history 1944 to February 2022

 

Company Year(s) Description of Work Area/Target
Boyle 1944 Drilling, x-ray, metres unknown A-Zone (Main Zone)
Belgold Mines 1945 Prospecting Dixie Lake Property
Trenching A, B, C, D zones, Dixie Lake Property
Caravelle Consolidated 1969-1972 Mapping Dixie Lake Property
1969 Airborne, magnetic (Mag), electromagnetic (EM) – 1/8 mile line spacing. Dorothy Prospect – covers much of the Property
1972 Drilling 5 holes, 372.85 m Dixie Lake Property
Newmont Mining Corp. 1970 6 holes, 679.14 m Dixie Lake Property
Kerr Addison Mines Ltd 1975 3 DDH, 306 m; EM, 32 line-miles Mag survey Dixie Lake eastern central portion of the Property
Golden Terrace 1985 Airborne Mag, EM Dixie Lake Property
Mutual Resources 1988 3 trenches, rock sampling North, Main, and South showings, Dixie Lake Property
1988 Ground Mag, very low frequency electromagnetics (VLF-EM), Max-Min – 31-33 line-km Central part of the Dixie Lake Property
1989 1 drill hole, 216.5 m 88-4 Zone
Consolidated Silver Standard Mines Ltd. 1988 7 BQ (36.5 mm) drill holes, 465 m Dixie Lake Property, discovery of 88-4 Zone

 

Page 46

 

 

Kinross Gold Corporation

Great Bear Gold Project

Ontario, Canada

NI 43-101 Technical Report

 

Teck Resources Ltd./National Trust Co. 1989 Mapping Dixie Lake Property
1989 Ground Mag, VLF-EM – 217.5 line-km, 25 m stations on 100 m spaced lines Portions of Main and South Grids, Dixie Lake Property
1989 Diamond drilling, 28 BQ drill holes, 4,090 m Dixie Lake Property, 88-4 Zone
1990

Ground Mag, VLF-EM – 217.5 line-km, 25 m spacing

Extensive airborne survey

Three induced polarization (IP) test lines

Dixie Lake Property
1990 Diamond drilling, 12 BQ drill holes, 1,999.48 m Dixie Lake Property, 88-4 Zone, and other geophysical targets
Noranda 1990 Humus geochemistry, mapping, prospecting Western Dixie Property
1993 EM 27.85 LKM and 21.77 LKM MAG Survey, 2 DDH, 174.4 m Western Dixie Property
1994 Diamond drilling, 1 NQ (47.6 mm), 104.5 m, mapping, prospecting Central Dixie Lake, Bruce Lake area
Cross Lake Minerals Ltd 1997 IP Survey 21 km, trenching Dixie North
1998 IP Survey 39.2 km, trenching Dixie North, Dixie Northeast
Canadian Golden Dragon Resources Ltd. 1996 Humus geochemistry Selected areas around IP anomalies, Dixie Lake Property
1996-1997 IP – 153.6 line-km at 100 m to 200 m line spacing Large portion of Dixie Lake Property
1996 Diamond drilling, 12 NQ drill holes, 1,888 m Dixie Lake Property, 88-4 Zone
1997 Diamond drilling, 15 NQ drill holes, 2,566 m, testing IP anomalies Dixie Lake Property
Cross Lake Minerals Ltd. 1997 Diamond drilling, 5 NQ drill holes, 836 m Dixie Lake Property
Alberta Star Mining Corp./Fronteer Development Group 2003 Mobile Metal Ion (MMI) Survey Dixie Lake Property, centered on 88-4 Zone
2004 Ground Mag, diamond drilling, 12 drill holes, 4,370.9 m 88-4 Zone
Perry English 2004 Magnetic/Magnetometer Survey 43 LKM Dixie Lake, South of Byshe Area
2005 EM 27.4 line km, IP Survey 45.6 line km, line cutting Dixie Lake Area
Grandview Gold Inc./Fronteer 2003 Diamond drilling, 10 NQ drill holes, 2,185.5 m 88-4 Zone and one hole to the northwest of 88-4 Zone

 

Page 47

 

 

Kinross Gold Corporation

Great Bear Gold Project

Ontario, Canada

NI 43-101 Technical Report

 

Development Group 2004 MMI Survey, 927 samples, Ground Mag survey, 50 m line spacing Dixie Lake Property
Grandview Gold Inc. 2005 Diamond drilling, 16 NQ drill holes, 2,772 m 14 DDH west of 88-4 Zone, 2 DDH in 88-4 Zone
2006 Diamond drilling, 5 NQ drill holes, 1,033 m, MMI sampling 88-4 Zone
2007 Mapping Dixie Lake Property
2007 Diamond drilling, 18 NQ drill holes, 5,117 m 88-4 Zone, Main Zone, South Zone, NS Zone, C-Zone, MMI-East
2008 Diamond drilling, 3 NQ drill holes, 575.15 m NS Zone
2009 Diamond drilling, 7 NQ drill holes, 1,560 m MMI Zone, Main Zone, C-Zone, 88-4 Zone
2011 Diamond drilling, 8 NQ drill holes, 1,611 m MMI Zone, East Zone, Main Zone, C-Zone, 88-4 Zone
Larry Kenneth Herbert 2011-2012 Trenching, airborne Mag East of Dixie Lake – North within Property boundary
Laurentian Goldfields Ltd. 2010-2013 Airborne Magnetometer 7184 line km. Mapping and prospecting Dixie East
Great Bear Resources Inc. 2017-2022 Diamond drilling 770 NQ drill holes, 355,083 m, airborne Mag and SkyTEM, trenching, mapping, soil geochemistry, grab sampling Hinge and Limb zones, LP Zone

 

Due to overburden and lack of outcrop in the area, exploration targets were interpreted from geophysical and surface geochemical surveys. These exploration tools include airborne magnetic and EM surveys, ground magnetics, VLF-EM, horizontal loop/Max-Min EM, IP, soil, MMI, and rock sampling. Anomalies and conductors from the geophysical surveys predominantly coincide with iron formation, graphitic argillites, and sulphide-bearing (pyrite and/or pyrrhotite) argillites, or mafic volcanics. The geochemical surveys, which were typically completed over the geophysical surveys, were then used to vector in on the most prospective targets for diamond drilling.

 

Historically, the most significant drill programs on the Project were completed by Consolidated Silver Standard Mines Ltd. (Consolidated Silver Standard, 1988), Teck Resources Ltd. (Teck, 1989-1990), Alberta Star Mining Corp./Fronteer Development Group Joint Venture (Alberta Star/Fronteer JV, 2003-2004), Grandview Gold Inc. (Grandview, 2005-2011), and Great Bear (2017-2022). These programs focused on two main target areas historically identified as the 88-4 Zone and the NS Zone. These zones are currently known as the Limb Zone and Hinge Zone respectively. In 2019, Great Bear discovered and subsequently drill-tested the third and largest target on the Property, the LP Zone.

 

Page 48

 

 

Kinross Gold Corporation

Great Bear Gold Project

Ontario, Canada

NI 43-101 Technical Report

 

A summary of historical drilling on the Project is provided in Table 6-2 and historical drilling is illustrated in Figure 6-1.

 

Table 6-2: Summary of historical diamond drilling (1944 to February 2022)

 

Year Company Holes Metres
1944 Drilling, x-ray, metres unknown 8  
1945 Belgold Mines, metres unknown 4  
1950 Unknown 9 284.5
1970 New Mont Mining Corp., Caravelle Mines Ltd, Omar Exploration 9 927.5
1972 Caravelle Mines Ltd 2 124.6
1975 Kerr Addison Mines 3 306.0
1988 Consolidated Silver Standard 7 465.7
1989 Teck Exploration Ltd 28 4,090.6
1990 Teck Exploration Ltd 13 2216
1993 Noranda 2 174.4
1994 Noranda 1 104.5
1996 Canadian Golden Dragon 12 1,888.4
1997 Canadian Golden Dragon, Cross Lake Minerals 20 3,402.3
2003 Fronteer Development Group Inc 10 2,389.5
2004 Fronteer Development Group Inc 12 4,370.9
2005 Grandview Gold Inc/Grandcru Resources 20 3,371.6
2006 Grandview Gold Inc 5 1,033.3
2007 Grandview Gold Inc 18 5,117.0
2008 Grandview Gold Inc/Trueclaim Resources 6 1,706.1
2009 Grandview Gold Inc 7 1,559.5
2011 Grandview Gold Inc 8 1,611.3
2017 Great Bear Resources Ltd 9 1,093.0
2018 Great Bear Resources Ltd 70 16,578.6
2019 Great Bear Resources Ltd 164 68,869.0
2020 Great Bear Resources Ltd 192 110,673.5
2021 Great Bear Resources Ltd 305 138,253.1
Jan-Feb 2022 Great Bear Resources Ltd 30 19,616.1
TOTAL 974 390,227

 

Page 49

 

 

Kinross Gold Corporation

Great Bear Gold Project

Ontario, Canada

NI 43-101 Technical Report

 

 

Figure 6-1: Great Bear Project historical diamond drilling prior to Kinross’ acquisition on February 24, 2022

 

Page 50

 

 

Kinross Gold Corporation

Great Bear Gold Project

Ontario, Canada

NI 43-101 Technical Report

 

6.188-4 Zone (Limb Zone)

 

This zone was initially identified by Consolidated Silver Standard as a 700 m long geophysical response, characterized by a strong northwest trending EM conductor, with coincident magnetic and VLF-EM anomalies. In 1988, Consolidated Silver Standard drilled this geophysical anomaly and intersected 4.97 g/t Au over 4.2 m (DL-88-4) which led to the discovery of the 88-4 Zone (now known as the Limb Zone). This zone is defined by silica sulphide replacement +/- quartz veining at the contact between a high Fe-tholeiite and high Mg-tholeiite and associated argillite.

 

The Teck exploration program (1989-1990) concentrated on delineating the strike extents of the 88-4 Zone to approximately 200 m depth.

 

Teck produced the only published resource estimate for the Property which was completed on the 88-4 Zone (Janzen, 1989). The estimate used standard methodologies for the time, but this work pre-dates NI 43-101 guidelines and would not meet current standards as defined by the Canadian Institute of Mining, Metallurgy and Petroleum (CIM). This estimate is relevant only for historical interest. The QP has not completed sufficient work to classify the historical estimate as a current Mineral Resource and Kinross is not treating this estimate as a current Mineral Resource.

 

Great Bear continued to further delineate the Limb Zone through diamond drilling and extended the strike and dip extents of the mineralization with step-out drilling to a depth of 800 m below surface with 500 m of strike extent.

 

6.2NS Zone (Hinge Zone)

 

During 2007, Grandview was exploring the southeast extension of the 88-4 Zone and intersected high-grade mineralized quartz veining identified as the NS Zone. Unlike the 88-4 Zone, this mineralization consisted of relatively sulphide poor quartz veining hosted by mafic volcanics.

 

The discovery hole (DC-10-07) intersected 163.57 g/t Au over 0.46 m between 181.8 m and 182.3 m and 15.05 g/t Au over 2.0 m between 201.1 m and 203.1 m, which prompted further drilling on the zone. Additional results included 4.28 g/t Au over 6.35 m between 176.6 m and 183 m (DC-15-07) and 17.2 g/t Au over 2.2 m between 127.6 m and 129.8 m (DC-08-01R). Historic drilling at the NS Zone indicated that the mineralization was hosted by up to three massive white quartz veins with sub-vertical dip striking approximately east-west.

 

Great Bear continued to further delineate and expand the Hinge Zone through diamond drilling and directional drilling, and extended it to depths between 700 m and 1,000 m below surface. Recent deep hinge directional drilling has returned high-grade intervals, including 851 g/t Au over 0.5 m in hole DL-085C7 and 7.75 g/t Au over 6.75 m, including 76.4 g/t Au over 0.6 m, in hole DL-132.

 

Page 51

 

 

Kinross Gold Corporation

Great Bear Gold Project

Ontario, Canada

NI 43-101 Technical Report

 

6.3LP Zone

 

Following a reconnaissance drill campaign in early 2019, Great Bear completed follow-up drilling on its DNW-008 drill hole approximately two kilometres northwest from the Limb Zone. The reconnaissance program had an objective to test the east-west trending structures on the Property responsible for mineralization occurring in the mafic domain southeast of what is known today as the LP Zone. The LP discovery hole DNW-011 was planned a 50 m step back to undercut DNW-008 which returned 0.57 g/t Au over 33.5 m mineralization from its collar to 41.5 m depth. The discovery hole was drilled reporting multiple mineralized horizons including 155 g/t Au over 2.5 m between 57.5 m and 60.0 m, 12.33 g/t Au over 14 m between 75.0 m and 89.0 m, and 0.6 g/t Au over 71.6 m between 98.0 m and 169.6 m.

 

Mineralization consisted of fine gold disseminated throughout porphyritic felsic host rocks associated with increased albitization and silicification. Isolated quartz veining also hosted visible gold within this domain. Great Bear continued drilling along strike of the new mineralization and known stratigraphy stepping out over 1.5 km, and re-logging DC-12-07 and extending DL-03-10, which had been sparsely sampled. This led to the discovery of unsampled high-grade mineralization in DC-12-07 of 2.73 g/t Au over 8.5 m between 190.5 m and 199.0 m (Yuma). The approach of testing geology and mineralization along strike continued by stepping one kilometre east and drilling BR-020 resulting in 4.18 g/t Au over 53.7 m between 81.0 m and 134.7 m (Auro).

 

6.4Historic Drill Core Storage

 

On the Project site, historic drill core is stored close to the Hinge and Limb zones. The core boxes are stacked in criss-cross, covered with empty core boxes, and strapped (Figure 6-2). The site is overgrown, however, the boxes appear to be in good condition. Any permanent marker labels are faded but many of the boxes have etched aluminum tags with information including drill hole number, drill hole interval, and box number.

 

Kinross has reviewed and mapped these drill holes and plans to transport the core to its core storage area on the Property.

 

Page 52

 

 

Kinross Gold Corporation

Great Bear Gold Project

Ontario, Canada

NI 43-101 Technical Report

 

A picture containing tree, grass, outdoor, train

Description automatically generated

 

Source: AGP, 2021

 

Figure 6-2: Historic drill core storage area; near Hinge and Limb zones

 

6.5Production

 

There is no known production from the Property.

 

Page 53

 

 

Kinross Gold Corporation

Great Bear Gold Project

Ontario, Canada

NI 43-101 Technical Report

 

7.Geological Setting

 

7.1Regional Geology

 

The Property lies within the Red Lake greenstone belt of the Uchi Subprovince of the Archean Superior Province of the Canadian Shield (Figure 7-1 and Figure 7-2). The most comprehensive geological description of the belt is provided by Sanborn-Barrie et al. (2001; 2004a), compilations of Geological Survey of Canada (Open File 4256), and the Ontario Geological Survey (Preliminary Map P3460). The information in these publications is briefly summarized below.

 

The Red Lake greenstone belt has 300 Ma history of tectono-magmatic deformation with episodes of magmatism, sedimentation, and intense hydrothermal activity (Sanborn-Barrie et al., 2001).

 

The rocks of the Red Lake (east trending) and Birch-Confederation (north trending) greenstone belts of the Uchi Subprovince are interpreted to have evolved by eruption and deposition of volcanic sedimentary sequences on the active continental margin (the North Caribou Terrane, 3.0 to 2.7 Ga), followed by subduction related arc volcanism (Figure 7-1). Continental collision with the Winnipeg River Terrane at 2.71-2.7 Ga led to subsequent crustal thickening and metamorphism (Stott and Corfu, 1991; Sanborn-Barrie et al., 2000, 2001).

 

Page 54

 

 

Kinross Gold Corporation

Great Bear Gold Project

Ontario, Canada

NI 43-101 Technical Report

 

Map

Description automatically generated

 

Source: Thurston et al., 1991

 

Note. Dixie Property is the former name of the Great Bear Project.

 

Figure 7-1: Regional setting of Great Bear Property within the Uchi Subprovince, on the south margin of the ca. 3 Ga North Caribou Terrane

 

Page 55

 

 

Kinross Gold Corporation

Great Bear Gold Project

Ontario, Canada

NI 43-101 Technical Report

 

 

Source: Sanborn-Barrie et al., 2004a

 

Note. Dixie Property is the former name of the Great Bear Project.

 

Figure 7-2: Regional Red Lake District geology with active and past producing mines

 

The 1:250,000 GSC mapping of the East Uchi Subprovince (Sanborn-Barrie et al., 2004a) classified the Project into four main rock types (Figure 7-3 and Table 7-1). These include: an unknown affinity Archean mafic volcanic, an amphibole facies mafic volcanic, Confederation assemblage intermediate to felsic volcanic (possible McNeely assemblage), and undated tonalite/quartz monzonite to granodiorite intrusive rocks. There has been no age dating in this area to confirm the assemblage affinity interpretation.

 

Page 56

 

 

Kinross Gold Corporation

Great Bear Gold Project

Ontario, Canada

NI 43-101 Technical Report

 

 

Figure 7-3: Property scale regional geology

 

Page 57

 

 

Kinross Gold Corporation

Great Bear Gold Project

Ontario, Canada

NI 43-101 Technical Report

 

Table 7-1: Regional geology from Sanborn-Barrie et al., 2004a

 

Age/Assemblage
Affiliation
Rock Type Description
Un-subdivided Archean (4000-2500 Ma) Tonalite to Granodiorite Medium grained, variably foliated biotite, hornblende biotite tonalite, and associated rocks
Un-subdivided Mafic Volcanic Foliated, massive to pillowed basalt, amphibolite, and associated gabbroic rocks; lesser associated intermediate to felsic flows, tuff, and wacke
Un-subdivided Neoarchean
(2800-2500 Ma)
Quartz Monzonite to Granodiorite Variably foliated biotite quartz monzonite, granodiorite and granite; locally leucocratic and quartz and/or K-feldspar porphyritic
Confederation Assemblage
(2745-2735 Ma)
Amphibolite Amphibolite-facies mafic volcanic rocks locally pillowed east of Dixie Lake considered part of the Confederation assemblage, but sequence is not specified
Intermediate to Felsic Volcanic Dacitic to rhyodacite pyroclastic rocks associated epiclastic rocks (regionally interpreted as McNeely sequence)

 

Both greenstone belts in the Red Lake District are dominated by the Balmer and Confederation Lake assemblages (Sanborn-Barrie et al., 2004b), described as follows:

 

·Balmer assemblage (2989-2964 Ma)

 

Tholeiitic and komatiitic basalt, with minor felsic volcanic rocks, iron formation, and fine-grained clastic metasedimentary rocks. The assemblage is the host to the majority of Red Lake’s lode gold deposits.

 

·Confederation Lake assemblage (2750-2735 Ma)

 

Represented by three sequences: 1) McNeely calc-alkaline sequence (central Red Lake) consisting of intermediate to mafic volcanic rocks; 2) Heyson tholeiitic sequence (southeastern Red Lake) composed of felsic volcanics and interlayered with mafic flows, dacitic tuff, and plagioclase-phyric basaltic andesites; and 3) Graves sequence (northern Red Lake) consisting of basal polymictic conglomerate, intermediate pyroclastic rocks, syn-volcanic diorite, and tonalite.

 

Page 58

 

 

Kinross Gold Corporation

Great Bear Gold Project

Ontario, Canada

NI 43-101 Technical Report

 

Structure, Metamorphism, and Mineralization

 

Structure

 

The Red Lake area underwent a complex protracted deformation that culminated in the Kenoran Orogeny, which marks collision of the Northern Caribou and Winnipeg River Terranes (Sanborn-Barrie et al., 2004a). The east trending Red Lake and north trending Birch-Confederation greenstone belts that form the East Uchi Subprovince are characterized by steeply dipping panels of metamorphosed volcanic and sedimentary rocks. Early non-penetrative deformation (D0), which resulted in overturning and recumbent folding of Balmer assemblage rocks, is overprinted by two ductile deformation events (D1 and D2) recorded by two generations of folds and penetrative L-S fabrics throughout the belt. D1 fabrics and folds strike northerly, whereas D2 structures are east-northeast striking, except in the Cochenour-Campbell-Red Lake “mine trend”, where a high D2 strain zones strikes east-southeast. Subsequent brittle and semi-brittle structures occur at micro- to macro-scales and have both localized and offset gold mineralization (Dube et al., 2003b).

 

One of the macro-scale features, trending east-west from the Birch-Uchi belt in the east through the Property and then to the northwest, and traceable on high contrast anomalies of regional aeromagnetic data, is interpreted by Lee (2006) to represent a high strain zone.

 

Metamorphism

 

The regional metamorphic grade of the Red Lake and Birch-Uchi belts is characterized by mineral assemblages typical of greenschist facies metamorphism (Thompson, 2003). Amphibolite facies mineral assemblages that occur towards the margins of the greenstone belt, and are recognized by the presence of garnet and staurolite in metasedimentary rocks and by hornblende clinopyroxene in mafic rocks, are attributed to contact metamorphism with major plutons and minor intrusions.

 

Regional Mineralization

 

The Red Lake greenstone belt is one of the most prolific gold camps in Canada, with gold production over 29 million ounces (Moz) from multiple deposits, including the Campbell-Goldcorp (>23 Moz), Cochenor-Willans (1.2 Moz), and Madsen (2.4 Moz) mines (Armstrong et al., 2018). The largest and highest-grade gold deposits are hosted in the Balmer assemblage. According to Dube et al. (2003b), all gold mineralization is epigenetic and structurally controlled, occurring in veins, lenses, fractures, and hinge zones along contacts between rheologically distinct units.

 

The Birch-Uchi belt is a volcanogenic massive sulphide (VMS) camp, host to the past-producing South Bay Mine that yielded 1.6 million tons (Mst) of ore averaging 11.06% Zn, 1.8% Cu, and 2.12 oz/t Ag (Atkinson et al., 1990). The deposit is associated with an exhalative argillaceous chert unit and FIII-type spherulitic flows and porphyries of the Confederation assemblage (Agnew sequence). Although most of the volcanic assemblages of the Red Lake greenstone belt host small zinc, copper, and sulphide occurrences, the most prospective volcanic sequence for VMS mineralization, based on known sulphide mineralization, synvolcanic alteration, and correlation with the Birch-Uchi belt, is the tholeiitic Heyson sequence with its high-temperature FIII-type rhyolitic rocks and associated exhalative units (Parker, 1999).

 

Page 59

 

 

Kinross Gold Corporation

Great Bear Gold Project

Ontario, Canada

NI 43-101 Technical Report

 

The historic Griffith Mine, located approximately 10 km southeast of the Property, produced 22.8 Mst of iron ore pellets grading 66.7% Fe from 78.8 Mst of crude ore grading 23.9% magnetic iron (29-30% Fe). The mineralization consisted of tightly folded, banded iron formations within sediments of the English River Subprovince (Smith and Sanabria, 2012).

 

7.2Local Geology

 

Because of the overburden and lack of outcrop exposure throughout the Property, most of the previous geological interpretation was based on geophysics, limited regional scale mapping, and diamond drilling.

 

The Property area lies within a regional northwest-southeast trending belt of metavolcanic and metasedimentary rocks which are bounded by intrusive batholiths. The regional tectonostratigraphic assemblages of the East Uchi Subprovince (Sanborn-Barrie et al., 2004a) have recently been subdivided by Great Bear into new lithologies based on visual core logging, geochemistry, and petrology. The division between mafic and intermediate-felsic domain still exists.

 

The southwestern portion of the Property is within the mafic domain and consists of mafic volcanic flows (high Fe-tholeiites and high Mg-tholeiites) intercalated with argillite, siltstone, iron formation, and minor local felsic volcanics (Figure 7-4). The association of these rocks is interpreted to be the sequence formed in a marine setting, in proximity to active venting in pre-existing anoxic basins. The strong magnetic response associated within this sequence is related to horizons of iron formation and argillites.

 

Page 60

 

 

Kinross Gold Corporation

Great Bear Gold Project

Ontario, Canada

NI 43-101 Technical Report

 

 

Figure 7-4: Interpreted geology from drilling, prospecting, and geophysics

 

Page 61

 

 

Kinross Gold Corporation

Great Bear Gold Project

Ontario, Canada

NI 43-101 Technical Report

 

The younger sequence of intermediate to mafic volcanic and volcanic derived sedimentary rocks is located at the centre of the Property and has a similar stratigraphy to the western and eastern portions of the Property. However, these areas have a much higher proportion of felsic pyroclastic rocks in the strata. These are also interpreted to have been submarine flows. Basin development is characterized by relatively thin-bedded, silty argillite and common iron formation. The fine-grained volcanic facies suggest quiescent depositional conditions with subdued modification of the sedimentary sequences caused by volcanism.

 

The felsic domain dominates the northeastern portion of the Property. It consists of porphyritic felsic flows (dacites) and volcaniclastics intercalated with sedimentary rocks. The sequence is interpreted as a deformed felsic flow-dome complex (Figure 7-5).

 

 

 

Source: Submarine lava dome, based on the Gold Lake dome and flow complex (modified from Lambert et al., 1990). Illustration adopted from Sylvester et al. (1997) in de Wit & Ashwal (1997).

 

Figure 7-5: Schematic illustration of documented subaqueous felsic lava deposits

 

The mafic domain is in contact with a largely felsic/sedimentary domain in the northeast portion of the Property. The contact between the two domains is best described as gradational from mafic to sedimentary and felsic rocks and, where drilled, is marked by a highly strained sedimentary sequence.

 

Topping directions, determined from graded bedding using oriented core data, are generally fining towards the northeast.

 

Page 62

 

 

Kinross Gold Corporation

Great Bear Gold Project

Ontario, Canada

NI 43-101 Technical Report

 

Mafic volcanic dykes and sills are common throughout the Property, ranging from lamprophyre to gabbro/diorite (i.e., high level apophyses injected into and disrupting the stratigraphy). Intermediate felsic intrusive rocks are also noted throughout the region. Small intrusive bodies are mapped and have been intersected in both the historic and present drill campaigns.

 

7.3Project Geology

 

Lithological units have been identified and correlated across the Property and are represented as a schematic stratigraphic column in Figure 7-6. The stratigraphy is remarkably consistent throughout the drilled area. Well documented individual units from drill core are supported with litho-geochemical data and petrological descriptions.

 

Page 63

 

 

Kinross Gold Corporation

Great Bear Gold Project

Ontario, Canada

NI 43-101 Technical Report

 

 

 

Not to Scale

 

Figure 7-6: Schematic stratigraphy column for the Great Bear Project

 

Page 64

 

 

Kinross Gold Corporation

Great Bear Gold Project

Ontario, Canada

NI 43-101 Technical Report

 

The stratigraphic units are briefly described below:

 

·Sediments: Dark to light grey, thinly bedded (<5 cm), fine to medium grained with local argillite beds. Magnetic susceptibility is overall low, but localized high magnetic response is observed in areas with an increased content of argillite. Occasional graded beds are noted with fining direction to the northeast (Figure 7-7).

 

 

 

Figure 7-7: Dry core sample of Sediments from BR-051 at 87.5 m

 

·Felsic Volcaniclastic: A fine- to medium-grained, dark grey matrix with sporadic (<5%) less than 4 mm quartz and feldspar crystals. Rounded to angular heterolithic fragments (<5 cm wide) of leucocratic felsic volcanic and dark brown, fine-grained biotite rich fragments are observed. Fragments are often flattened, parallel to foliation (Figure 7-8). The unit is not magnetic and is moderately deformed, with sporadic weak to moderate biotite alteration.

 

 

 

Figure 7-8: Dry core sample of Felsic Volcaniclastic from BR-046 at 87.5 m

 

·Felsic Volcanic - Porphyritic: Medium-grained, porphyritic and moderately to strongly foliated. Phenocrysts consist of blue-grey quartz (5%) and up to 10% milky white to yellow feldspar crystals up to 4 mm in diameter. They are stretched out in the foliation and slightly augen shaped. The groundmass is dark grey, composed of very fine grained (<50 µm) interlocking plagioclase and quartz of uncertain proportions. Dark brown biotite (8%) occurs as foliation parallel streaks (Figure 7-9).

 

Page 65

 

 

 

Kinross Gold Corporation

Great Bear Gold Project

Ontario, Canada

NI 43-101 Technical Report

 

 

 

Figure 7-9: Wet core sample of Felsic Volcanic from DNW-011 at 13.2 m

 

·Metasediments (2): Massive to thinly bedded, carbonaceous sedimentary rocks. Dark brown to dark grey, fine grained, intensely foliated, biotite rich, overprinted with garnet, staurolite, and andalusite porphyroblasts. Garnets are pink, rounded, up to 4 mm; staurolite is dark yellow, up to 3 mm; and andalusite is light grey, up to 1 cm and angular. Foliation, defined by the alignment of biotite, partially wraps porphyroblasts (Figure 7-10 and Figure 7-11).

 

 

 

Figure 7-10: Dry core photo of Metasediments (2) from BR-065 at 264 m

 

Page 66

 

 

Kinross Gold Corporation

Great Bear Gold Project

Ontario, Canada

NI 43-101 Technical Report

 

A close up of a rock

Description automatically generated with low confidence

 

Figure 7-11: Wet core photo of Metasediments (2) from DNW-011 at 133.15 m

 

·Felsic Volcanic 2 - Aphyric: White to light grey, strongly deformed with a mottled appearance, this unit has a very fine grained to aphyric matrix, often translucent, with 1% to 7% plagioclase phenocrysts. The groundmass is comprised of very fine grained (<50 µm) plagioclase ± quartz. The plagioclase phenocrysts are partially stretched out in the foliation and overprinted by secondary albite, quartz, muscovite, calcite, and chlorite. Biotite content is less than 2% and partially chlorite altered (Figure 7-12).

 

A close-up of a rock

Description automatically generated with medium confidence

 

Note. Red circle indicates visible gold.

 

Figure 7-12: Wet core photo of Felsic Volcanic (2) from DNW-011 at 141.45 m

 

Page 67

 

 

Kinross Gold Corporation

Great Bear Gold Project

Ontario, Canada

NI 43-101 Technical Report

 

·Metasediments (3): Fine-grained, thin to moderately bedded, grey-brown to black banded sericite altered sedimentary rocks. The unit is moderately to strongly foliated and usually has a strong banded appearance due to bedding parallel sericite alteration. Contacts between bands can be sharp or gradational (Figure 7-13). They may represent transposed graded bedding. The darker layers are defined by very fine grained biotite, while the grey layers are denoted by greenish muscovite. A second foliation was noted in thin section defined by kinks in muscovite flakes which are strongly aligned in the dominant foliation.

 

A close-up of a guitar

Description automatically generated with low confidence

 

Figure 7-13: Wet core photo of Metasediments (3) from DNW-011 136.3 m and BR-060 315 m

 

·Fragmental: Highly strained unit consisting of rounded to subangular lithic fragments set in a dark green-grey fine-grained matrix, with moderate to strong sericite alteration (Figure 7-14). Heterolithic fragments are 0.5 cm to 10 cm in size, varying from fine-grained and massive to quartz-phyric with millimetre phenocrysts. The unit is strongly foliated and brecciated. This unit marks the contact between felsic and mafic domains.

 

Page 68

 

 

Kinross Gold Corporation

Great Bear Gold Project

Ontario, Canada

NI 43-101 Technical Report

 

 

Figure 7-14: Wet core photo of Fragmental from BR-036 at 413 m to 420 m

 

The mafic domain dominates the southwestern portion of the Property and primarily consists of high Fe-tholeiitic basalt (locally pillowed) and high Mg-tholeiitic basalt (massive) intercalated with argillites and siltstones.

 

·Mafic Volcanic - Fe-Tholeiite: This unit varies from massive to weak to strongly foliated pillow basalt. When strongly foliated, it has alternating bands of dark green hornblende with subsidiary bands of biotite, and light grey discontinuous wispy bands of calcite. In less strained zones, relic pillow selvages can be observed. Selvages are often centimetre-wide with strong chlorite and biotite alteration (Figure 7-15). Centimetre-size metamorphic pink garnet becomes more abundant towards the fragmental contact.

 

Page 69

 

 

Kinross Gold Corporation

Great Bear Gold Project

Ontario, Canada

NI 43-101 Technical Report

 

 

Figure 7-15: Wet core photo of Fragmental from DL-018 at 112 m

 

·Mafic Volcanic – Fe-Tholeiite – Biotite Calcite Pillows: This unit is dark green, fine grained with decimetre-scale pillows defined by calcite and biotite selvages. The unit contains fine-grained hornblende crystals mixed with biotite and layers of platy, elongated calcite. It is an Fe-tholeiite but is distinct from the unit described above in higher chalcopyrite concentration. That mineralization may account for a weak copper anomaly observed (Figure 7-16).

 

 

Figure 7-16: Wet core photo of Mafic Volcanic – Fe-Tholeiite – Biotite Calcite Pillows from DL-018 at 136 m

 

Page 70

 

 

Kinross Gold Corporation

Great Bear Gold Project

Ontario, Canada

NI 43-101 Technical Report

 

·Argillite: Fine-grained black to dark grey, highly deformed with folded and contorted bedding. Bedding is millimetre to less than 5 cm thick and averages approximately 1 cm (Figure 7-17).

 

 

Figure 7-17: Dry core photo of Argillite from DHZ-026 at 48 m

 

·Mafic Volcanic – Mg-Tholeiite – Massive Basalt: Dark green to grey, homogeneous, with no obvious pillow or flow breccia textures. The unit is moderately to strongly foliated. Amphiboles (approximately 5 mm clots) are common, set in a finer-grained quartz-feldspar-biotite groundmass. In a more intensely foliated rock, clots of amphibole are stretched and aligned into a foliation plane (Ross, 2018). These two amphibole forms indicate two separate amphibolite grade metamorphic events that outlasted deformation. The amphibole occurs as two minerals: hornblende and actinolite. The unit also contains minor biotite with weak chlorite and actinolite alteration and minor high-angle calcite veinlets (Figure 7-18).

 

Page 71

 

 

Kinross Gold Corporation

Great Bear Gold Project

Ontario, Canada

NI 43-101 Technical Report

 

 

Figure 7-18: Wet core photo of Mafic Volcanic – High Mg-Tholeiite – Massive Basalt from DL-024 at 145.5 m

 

·Mafic Volcanic – High Fe-Tholeiite – Pillowed Basalt: This unit is dark green, coarse grained, with strong amphibole recrystallization. There are clear pillow selvages defined by interstitial calcite and chlorite altered chill margins. It is weakly to moderately foliated. The foliation is partially overprinted by fine-grained clots of amphibole set in a fine-grained groundmass of quartz-albite (Figure 7-19).

 

 

Figure 7-19: Dry core photo of Mafic Volcanic – High Fe-Tholeiite – Pillow Basalt from DL-024 at 25.0 m

 

·Ultramafic: The ultramafic consists of fibrous talc (50% to 55%) intergrown with pale Mg-chlorite or possibly serpentine (10% to 15%), with granules of calcite overprinted by prismatic porphyroblasts of pale amphibole (Figure 7-20). The amphibole crystals occur oblique to foliation but are partially wrapped by it, indicating a late syn-deformation timing (Ross, 2019).

 

Page 72

 

 

Kinross Gold Corporation

Great Bear Gold Project

Ontario, Canada

NI 43-101 Technical Report

 

 

Figure 7-20: Wet core photo of Ultramafic from DHZ-039 at 141 m

 

·Feldspar Porphyry Dyke: The feldspar porphyry dyke is made up of 10% to 15% blocky plagioclase phenocrysts (<3 mm) set in a foliated quartz-plagioclase-biotite-calcite groundmass (Figure 7-21). The phenocrysts are unaltered. Pyrite is disseminated in the groundmass. The plagioclase is difficult to distinguish from the quartz in the groundmass due to the very fine grain size. Biotite content is 12% and is aligned in the foliation (Ross, 2019).

 

 

Figure 7-21: Wet core photo of Feldspar Porphyry Dyke from DHZ-001 at 244.3 m

 

7.4Mineralization Styles and Target Areas

 

Three dominant styles of mineralization are observed within three target areas on the Property (Figure 7-22):

 

1.Silica-sulphide replacement – Limb Zone

 

2.Quartz veining – Hinge Zone

 

3.Disseminated gold within high strain – LP Zone

 

Page 73

 

 

Kinross Gold Corporation

Great Bear Gold Project

Ontario, Canada

NI 43-101 Technical Report

 

 

Source: Great Bear, 2024

 

Figure 7-22: Interpreted geology showing mineralization zones at the Project

 

Page 74

 

 

Kinross Gold Corporation

Great Bear Gold Project

Ontario, Canada

NI 43-101 Technical Report

 

Silica Sulphide Replacement – Limb Zone

 

The silica sulphide replacement zones have been the focus of exploration at the Limb Zone (historically the 88-4 Zone target). This zone is associated with the rheological and geochemical contact between pillow basalt (Fe-tholeiites) and massive basalt (Mg-tholeiites). The contact is often marked by argillite/siltstones. Mineralization occurs as replacement of sediments, if present, or as silica flooding and quartz-calcite veining in the absence of sediments. Pyrrhotite is the dominant sulphide, with sulphides ranging in concentrations from 2% to 40% pyrrhotite, 2% to 15% pyrite, 1% to 4% arsenopyrite, 2% chalcopyrite, minor less than 2% sphalerite, and trace magnetite. Visible gold is not uncommon and, where observed, is associated with strong pyrrhotite and weaker arsenopyrite-pyrite mineralization (Figure 7-23). Higher-grade and more intense visible gold correlates well with a thinning or absence of sedimentary host rocks at the contact. An increase in silica flooding at the high Fe-tholeiite basalt and high Mg-tholeiite basalt contact is observed where sediments are thin or not deposited. Petrographic work by Ross (2004) identified the presence of gold-silver and lead-tellurides locally encapsulated within arsenopyrite. All native gold in the polished thin sections occurred as free gold crystals up to 50 microns in size.

 

 

Figure 7-23: Silica sulphide replacement style mineralization of the Limb Zone

 

Alteration and mineralization are strongly correlated with the sulphidized sedimentary layer, both commonly exhibiting very sharp contacts with unmineralized or unaltered host rock. A strong shear component is present within and adjacent to the mineralized zone. The zone is approximately 800 m long and has been drilled to a vertical depth exceeding 400 m (Figure 7-24). Mineralization plunges steeply northwest in a fold limb host dipping steeply to subvertically northeast. It is generally considered that the Limb Zone lies on the north limb of a property scale F2 fold.

 

Page 75

 

 

Kinross Gold Corporation

Great Bear Gold Project

Ontario, Canada

NI 43-101 Technical Report

 

 

Figure 7-24: Limb Zone with significant gold intercepts and MSO shapes looking northeast

 

Quartz Veining – Hinge Zone

 

Quartz veining has been observed throughout the Property and has been the main focus of exploration at the Hinge Zone. The quartz veining is hosted by multiple lithologies including massive basalt (high Mg-tholeiite), argillite, and pillow basalt (high-Fe tholeiite). Individual veins are variable in width ranging from 1 cm to 5 m and can create zones of up to 40 m. They are generally mineralized with fine-grained disseminated sulphides consisting of 1% to 3% pyrrhotite, 1% to 2% pyrite, 1% to 2% chalcopyrite, less than 1% arsenopyrite, and trace sphalerite. Visible gold is very common ranging from trace to 5% as pin pricks, centimetre scale clusters, and fracture fill (Figure 7-25).

 

Page 76

 

 

Kinross Gold Corporation

Great Bear Gold Project

Ontario, Canada

NI 43-101 Technical Report

 

These veins have a weak to strong, patchy to pervasive biotite and carbonate alteration halo ranging from several centimetres to approximately 2 m in width.

 

A picture containing text

Description automatically generated

 

Note. Cluster of visible gold above centre of pencil.

 

Figure 7-25: Hinge Zone style vein from DHZ-014 at 184.5 m

 

The Hinge Zone vein system is comprised of several sub-parallel anastomosing veins formed along the axial trace of a property wide D2 fold. The intersection between the fold and stratigraphy marks a plunge control on the higher grades within the veins (Figure 7-26).

 

Page 77

 

 

Kinross Gold Corporation

Great Bear Gold Project

Ontario, Canada

NI 43-101 Technical Report

 

 

Figure 7-26: Vertical section of Hinge Zone, looking northeast (± 7.5 m) with significant assays and MSO shapes

 

Page 78

 

 

Kinross Gold Corporation

Great Bear Gold Project

Ontario, Canada

NI 43-101 Technical Report

 

Disseminated Gold in High Strain Corridor – LP Zone

 

The LP Zone exhibits a style of mineralization which is not observed in other parts of the Red Lake greenstone belt. The zone is associated with a high degree of deformation, widespread alteration, and transposition of primary textures, as well as complete flattening of stratigraphy.

 

The LP Zone mineralization occurs within a wide zone of high strain and increased metamorphic grade. Up to 500 m wide, the strain zone is very continuous for over 4 km and is slightly oblique to stratigraphy, intersecting multiple lithologies including the porphyritic felsic volcanic, metasediment 2, felsic volcanic 2, and metasediment 3. The higher-grade gold mineralization appears to be controlled by the intersection of this strain zone and the metasediment 2 unit. Ongoing LP Zone drilling has demonstrated that most of the greater than 5.0 g/t Au intercepts and nearly all of the greater than 10 g/t Au intercepts drilled along the LP Zone to date occur within 50 m to 100 m of the metasedimentary/felsic volcanic contact (Figure 7-27).

 

Gangue mineralization is variable across the zone and locally ranges from 0% to any amount of the following: 1% to 15% disseminated pyrite, 1% to 10% arsenopyrite (blebby and matted), 1% to 5% red and yellow sphalerite, 1% to 5% pyrrhotite, 1% to 5% chalcopyrite, 1% to 5% galena, and 1% to 3% scheelite (Figure 7-28). The LP Zone has been further sub-divided into six subzones named, from northwest to southeast, Discovery, Bruma, Yuma, Yauro, Auro, and Viggo.

 

At least three gold mineralizing events have been recognized, including foliation parallel free gold in host rock, transposed quartz veins, and later quartz veins with visible gold that are slightly oblique to foliation (Figure 7-29).

 

Page 79

 

 

Kinross Gold Corporation

Great Bear Gold Project

Ontario, Canada

NI 43-101 Technical Report

 

 

Figure 7-27: Plan view of gold values >2.3 g/t for the LP Zone with geology and LP subzones

 

 

Figure 7-28: Strong strained Felsic Volcanic with 5% to 10% fine-grained arsenopyrite and 1% fine visible gold in the foliation in BR-020 at 90.15 m

 

Page 80

 

 

Kinross Gold Corporation

Great Bear Gold Project

Ontario, Canada

NI 43-101 Technical Report

 

 

Figure 7-29: Visible gold in foliation hosted by strained porphyritic Felsic Volcanic from DNW-011 at 58.25 m

 

7.5Metamorphism and Alteration

 

This package of rock preserves a greenschist to amphibolite grade metamorphic assemblage with only minor amounts of retrograde chlorite-epidote ± sericite alteration related to younger cross-cutting calcite veinlets and micro fractures. The dominant amphibole minerals present in the area local to the Limb, Hinge, and LP Zones is hornblende with subordinate actinolite. There is evidence of two foliation forming events occurring at amphibolite grade metamorphic conditions, with these high-grade conditions outlasting the deformation and allowing the amphibole to recrystallize and partially overprint foliation (Figure 7-30).

 

Page 81

 

 

Kinross Gold Corporation

Great Bear Gold Project

Ontario, Canada

NI 43-101 Technical Report

 

 

Figure 7-30: Recrystallized amphibole overprinting foliation (possible actinolite) and biotite alteration in contact with quartz vein (red line)

 

The Limb Zone exhibits greenschist to lower amphibolite grade metamorphism. The silica sulphide replacement alteration of the Limb Zone consists of dark grey, fine-grained silica replacing and flooding argillite and siltstones at the high Fe-tholeiite and high Mg-tholeiite contact. The alteration is fairly discrete and contained within the mineralization corridor. Weak carbonate quartz alteration is observed as a late-stage veining event in wall rocks.

 

Metamorphic grade at the Hinge Zone is upper greenschist to lower amphibolite, consisting of minor late-stage amphibole growth. Alteration of quartz veining at the Hinge Zone consists of pervasive to patchy, dark brown, fine-grained biotite extending into the host rock for up to 2 m.

 

Metamorphic grade of the LP Zone, by contrast to the Hinge Zone and Limb Zone, is mainly amphibolite to upper greenschist facies. The felsic-intermediate units preserve an amphibolite grade metamorphic assemblage of albite, biotite, muscovite, and garnet with the sedimentary units containing garnet and staurolite (Ross, 2019). The LP Zone alteration is variable throughout its extent but can generally be described as strong to pervasive albitization and silicification of the felsic volcanic units and sericite/muscovite alteration of the metasediment units. The sericite/muscovite alteration can be banded (bedding parallel) or completely pervasive. Locally, there is patchy biotite, but it does not appear to be associated with gold mineralizing events. Within the metasediments, coarser grained diffuse cordierite crystals (andalusite according to Ross, 2020) have no association with sulphides or visible gold.

 

Page 82

 

 

Kinross Gold Corporation

Great Bear Gold Project

Ontario, Canada

NI 43-101 Technical Report

 

7.6Structural Geology

 

In 2023 and 2024, SRK Consulting Ltd. (SRK) completed a structural analysis on the Property. Those results are summarized below.

 

The Property is divided into two main structural domains: the southwest and northeast domains characterized by mafic country rock and intermediate intrusions (the mafic domain), and a central zone characterized by sedimentary and felsic intrusive rocks exhibiting high strain and mylonitic textures (the LP domain; occasionally referred to as the LP Fault or LP Zone by other authors) (Figure 7-31).

 

Deformation history for the Project area has been interpreted from airborne magnetic data, drill hole logs for alteration, lithology, geochemistry, gold, rock quality designation (RQD), structures, and oriented core, along with Televiewer data, core photos, and outcrop mapping.

 

SRK has identified six deformation events on the Property (Table 7-2) that broadly align with the regional deformation history as proposed by Sanborn-Barrie et al., 2000, 2001, Dube et al., 2003, and act as updated interpretations to those found in Adamova, 2021, and Kinross, 2023. Along with characterizing the local deformation history, SRK generated a 3D model of select planar features from each deformation event where data allows (Figure 7-32).

 

Page 83

 

 

Kinross Gold Corporation

Great Bear Gold Project

Ontario, Canada

NI 43-101 Technical Report

 

Table 7-2: Property deformation history and associated mineralization, structure orientation, and comments by SRK

 

 

Page 84

 

 

Kinross Gold Corporation

Great Bear Gold Project

Ontario, Canada

NI 43-101 Technical Report

 

 

Figure 7-31: Property geology and structural interpretation showing the mafic domain and the felsic LP domain, a high strain corridor

 

Page 85

 

 

 

Kinross Gold Corporation

Great Bear Gold Project

Ontario, Canada

NI 43-101 Technical Report

 

A colorful graphics on a white background

Description automatically generated

 

Source: SRK, 2024.

 

Note. Faults: Purple – D1-3; Green – D4; Yellow – D5; Red – D6. Au grade shells: Light blue: >0.2 g/t; Green: >0.5 g/t; Yellow: >1.0 g/t; Orange: > 2.0 g/t; Red: > 4.0 g/t; Magenta: >10.0 g/t.

 

Figure 7-32: Inclined view of SRK fault model with isotropic grade shells for Au

 

The updated deformation history of the Project area is as follows:

 

·D1: Early compression and uplift of the greenstone belt after the collision of the Caribou and Winnipeg River terranes. There is no penetrative foliation fabric (S1) for this deformation event preserved in the rocks.

 

·D2: Progressive strain, tilting, and continued uplift and folding, this deformation is marked by a penetrative foliation fabric (S2). Rocks develop a stretch lineation (L2), and mineralized veins are emplaced along weaknesses during D2 deformation in both the LP and mafic domains. Earliest deformation event associated with mineralization at the Project. Bedding cleavage relationships observed in the Limb and Hinge zones indicate that the folds verge to the northeast and plunge steeply to the northwest.

 

Page 86

 

 

Kinross Gold Corporation

Great Bear Gold Project

Ontario, Canada

NI 43-101 Technical Report

 

·D3: High-strain ductile deformation overprints but does not transpose S2 foliation. Mafic dykes emplaced cross-cutting S2 foliation exhibit development of S3 foliation. Mineralized veins emplaced oblique to S2 foliation. Z- and s-folds present.

 

·D4: Brittle-ductile deformation characterized by steeply dipping WNW-trending dextral faults with associated z-folds and laminated, mineralized quartz veins. D4 shear zones transpose the S2 and S3 fabrics locally to and dextrally offset rock units within the LP and mafic domains.

 

·D5: Post-mineralization brittle deformation characterized by a well-developed foliation, moderate to strong flattening, isoclinal z-folds, rare isoclinal s-folds, and SE- to ESE-dipping and NW-to NNE-striking faults. D5 faults are typically narrow and difficult to discern in core only rarely exhibiting damage zones or reduced RQD. Occasional conjugate pairs of narrow faults are observed.

 

·D6: Post-mineralization brittle deformation characterized by a well-developed foliation and moderate to strong flattening. Faults are ENE- to E-dipping and NNW- to rarely N-striking. In magnetic data, D6 faults appear to transect the entire study area typically as narrow faults that offset marker horizons or show rotation of fabrics with apparent dextral offset. D6 faults are typically narrow and difficult to discern in core only rarely exhibiting damage zones or reduced RQD. One D6 fault is associated with a wide zone of low RQD.

 

The LP Fault was first identified by the Lithoprobe project and reported by Zeng and Calvert (2006), who believed that it may represent a re-activated deep crustal fault which remained active throughout D2 and D3 deformation events. Rocks within the LP domain (including mafic dykes) exhibit a very high degree of strain often showing mylonitic textures. These same dykes in the mafic domain show lesser strain. Within the LP domain, Au grade appears to be correlated with increasing strain, and while examples of high-grade gold in lower strain rock do exist, they appear to be associated with late, cross-cutting quartz veins and/or fractures.

 

Mineralization within the mafic domain occurs as veins oriented axial planar to major D2 folds and as replacement style mineralization in meta-sediments along the limb of D2 folds.

 

Page 87

 

 

Kinross Gold Corporation

Great Bear Gold Project

Ontario, Canada

NI 43-101 Technical Report

 

8.Deposit Types

 

The Great Bear deposit is an Archean mesothermal gold deposit. The prolific Red Lake greenstone belt in Canada hosts numerous high-grade Archean mesothermal gold deposits that have produced more than 28 Moz of gold (Armstrong et al., 2018). The major gold deposits such as the Red Lake, Campbell, and Cochenour-Willans Mines are hosted by the Balmer assemblage and considered as shear-hosted vein-type deposits (Sanborn-Barrie et al., 2000). Madsen is a stratabound, replacement-style disseminated vein-type gold deposit that is hosted by a calc-silicate altered carbonatized mafic volcanic near the margin of a batholith (Dube et al., 2000). Within the Confederation greenstone belt, South Bay is a VMS deposit with bimodal mafic to felsic subaqueous volcanic stratigraphy (Stott and Corfu, 1991).

 

The Red Lake camp produced gold from the following principal types of mineralization (Lee, 2006):

 

·Carbonate veins consisting of ferroan dolomite and minor quartz with disseminated arsenopyrite and native gold;

 

·Quartz-arsenopyrite replacement zones occurring as irregular sheets and lenses within mafic volcanics;

 

·Sulphide replacement bodies composed of disseminated pyrite and pyrrhotite occurring in the mafic volcanics;

 

·Of lesser importance, quartz veins containing free gold associated with small scale shear zones within intermediate to felsic intrusive.

 

Gold mineralization styles on the Property include:

 

·Silica-sulphide replacement of meta-sediments along the limb of D2 folds (Limb Zone)

 

·Quartz veining in mafic volcanics oriented axial planar to D2 folds (Hinge Zone)

 

·Shear hosted; disseminated gold within high strain zones (LP Zone)

 

Page 88

 

 

Kinross Gold Corporation

Great Bear Gold Project

Ontario, Canada

NI 43-101 Technical Report

 

9.Exploration

 

Exploration work prior to Project acquisition by Kinross is described in Section 6, History. All exploration work completed by Kinross between February 2022 and April 2024 was drilling and is described in Section 10, Drilling.

 

Page 89

 

 

Kinross Gold Corporation

Great Bear Gold Project

Ontario, Canada

NI 43-101 Technical Report

 
10.Drilling

 

10.1Summary

 

This section provides details of the Kinross February 2022 to April 2024 drilling programs.

 

To date, a total of 1,594 diamond drill holes for approximately 819,103 m and a total of 433 reverse circulation (RC) holes for approximately 34,530 m have been completed on the Project.

 

Drilling carried out by Kinross’ predecessors is described in Section 6, History and illustrated in Figure 6-1. Kinross drilling is presented in Table 10-1 and shown in Figure 10-1.

 

Table 10-1: Summary of Kinross diamond drilling (February 24, 2022 to April 2024)

 

Year  Holes   Metres 
2022   318    210,939.6 
2023   244    180,363.6 
2024   58    37,572.4 
TOTAL   620    428,875.6 

 

Source: Kinross, 2024

 

Drill hole locations are illustrated in Figure 10-1. To the QP’s knowledge, there are no drilling, sampling, or recovery factors that could materially impact the accuracy and reliability of the resulting drill data.

 

Page 90

 

 

Kinross Gold Corporation

Great Bear Gold Project

Ontario, Canada

NI 43-101 Technical Report

 

 

Figure 10-1: Location map of historical and Kinross drill hole collars

 

Page 91

 

 

Kinross Gold Corporation

Great Bear Gold Project

Ontario, Canada

NI 43-101 Technical Report

 
10.2Kinross Drilling Programs: February 2022 to Present

 

Diamond drill holes were drilled with NQ (47.6 mm) rods and core bits. Holes were both continuously and selectively sampled, and sample lengths were between 0.5 m and 1.5 m long. The sample intervals were selected based on lithology, alteration, mineralization, or structures.

 

The objective of the Kinross 2023 drill program was five-fold:

 

1.Test the extents of known drill targets.

 

2.Expand economic mineralization to meet Inferred Mineral Resource classification status.

 

3.Carry out condemnation drilling to identify areas that may be used for capital development.

 

4.Continue drill testing the deep extension of the mineralization at a greater than one kilometre depth.

 

5.Assess underlying ground conditions and pit studies with geotechnical drilling.

 

In addition, an RC drill program was completed by Kinross from March 2022 to July 2022. A total of 433 holes were drilled for a total of 34,530 m. All RC holes were drilled with a 171 mm diameter drill bit. Holes were under compression to ensure samples were dry. Samples were taken continuously in rock over 2 m intervals targeting 10 kg for each sample. The objective of RC drilling was to provide data for a ground truth block model.

 

Where possible, best efforts were made to calculate true widths of zones. In established vein zones such as the Hinge and Limb zones, true widths were calculated by intersecting the drill hole intercept with the vein geometry. In the LP Zone, true widths were calculated from the orientation of the estimation domains. These values range from 75% to 95% of true width and reported on a hole-by-hole basis.

 

Drilling Procedures

 

Chibougamau Diamond Drilling Ltd. and Hy-Tech Drilling Ltd. were contracted for the Kinross 2023 drill campaign. The drills were skid mounted diamond core drills and were capable of drilling a range of depths up to approximately 2,000 m. All holes drilled at the Project used NQ tools and rods. Drill holes were cased in HQ (63.5 mm) diameter core and reduced to NQ for the remainder of the drill hole. Casing is left in the hole and Kinross drill hole collars are capped by an aluminum screw cap that is punched with the drill hole number with a threaded rod and a metal tag welded at the top. Quality assurance was implemented by performing regular drill rig visits to ensure that drill crews used adequate care in handling and boxing the core. Drillers placed core in wooden boxes with depth markers demarcating the end of every drill run (up to 3 m). Boxes were covered and transported to the core facility in Red Lake twice a day after morning and evening rig checks.

 

Page 92

 

 

Kinross Gold Corporation

Great Bear Gold Project

Ontario, Canada

NI 43-101 Technical Report

 

In mid-2023, a directional drilling program was initiated on the Project. TECH Directional Services Inc. (TECH) demonstrated the ability to create branches from parent diamond drill holes and steer diamond drill heads to precisely predefined target locations. Kinross implemented this program to remove the uncertainty of unknown and unplanned deviations at such depths, to better define and increase the Inferred Resources at optimal drill spacing.

 

All drill holes completed in all programs were initially set up by a geologist, using a handheld Garmin GPS60 unit. At the completion of diamond drill holes, casing was left in the hole and capped by an aluminum screw cap that is punched with the drill hole number, with a threaded rod, and labelled metal tag welded at the top. The drill hole number on some of the red flags is still legible. Some drill hole casings use a red cap covering the top of the casing. The cap included the drill hole ID stamped onto a large metal flag for winter safety. At the completion of the program, the drill holes were surveyed with a differential global positioning system (GPS) and this information was added to the “Header” as the final UTM location in the drill hole database.

 

Kinross conducted downhole surveys of the drill holes using a Reflex Gyro, a non-magnetic north seeking tool. In diamond drill holes, the first measurement was taken just past the casing at approximately 10 m, with additional readings taken every 10 m thereafter, and again at the end of the hole. In RC drill holes, the first measurement was taken just past the casing at approximately 5 m, with readings taken every 5 m thereafter, and again at the end of the hole. Kinross selected the non-magnetic, north seeking Gyro tool after review of historical drilling, which revealed significant erroneous downhole survey measurements due to excessively magnetic rocks. These errors were addressed by assigning confidence values to the historical holes which excluded some from the Mineral Resource database, as described in Section 14.

 

Oriented core measurements were taken for all drill programs with the exception of the RC drill program. Measurements were taken at the end of each run (3 m) or when the core tube was pulled. Drillers used a Reflex ACT III RD Orientation Instrument to obtain the measurements.

 

As a result of competent bedrock and reliable drilling practices, drill core recovery rates were more than 98% in both Kinross and historical drilling for the duration of the Project.

 

Page 93

 

 

Kinross Gold Corporation

Great Bear Gold Project

Ontario, Canada

NI 43-101 Technical Report

 

Drill Core Logging and Sampling

 

The following describes Kinross’ approach to diamond drill core analysis:

 

·The drill core is collected at the end of each shift and brought to the core logging facility in Red Lake.

 

·The core is geotechnically logged: orientation marks are measured; magnetic susceptibility and specific gravity values are recorded by the geotechnician. All data is recorded electronically on a tablet.

 

·If any errors in blocking or box numbers are found, they are reported to the geologist. These errors are then reported to the drill supervisor so they can be corrected at the drill.

 

·The drill holes are then logged by the geologist. Data including lithological type, alteration, structural elements, and sulphide content is recorded electronically on a tablet in Logger software for the first nine months of the year, and in acQuire for the remainder of the year. All data is recorded electronically and backed up automatically.

 

·Wet and dry core is photographed for every box then labelled by hole ID and metreage.

 

Kinross maintains two logging and sampling facilities in Red Lake. The first facility is situated approximately 2.5 km northwest of Red Lake at 117 Forestry Road. This facility is a refurbished sawmill with a large warehouse split into a logging area and a core cutting area. Two ATCO trailers installed outside serve as an administration and exploration office at this site. The core logging and sampling facilities are kept clean and regularly maintained. Figure 10-2 and Figure 10-3 show examples of the core logging tables and core cutting area, respectively.

 

The second facility is housed in three rented buildings in Red Lake, located at 2 Industrial Park Road and 19 Young Street, and a garage. These facilities were the original logging and sampling facilities when Great Bear initiated its drilling programs. There is a large yard where core boxes are temporarily stored before being sent to the core storage/core laydown yard on the Property. This facility is the staging area for shipping samples (from both facilities). It is secured by a lock and is located next to Gardewine North, the transport company used to ship samples to Activation Laboratories Ltd. (Actlabs) in Thunder Bay.

 

Page 94

 

 

Kinross Gold Corporation

Great Bear Gold Project

Ontario, Canada

NI 43-101 Technical Report

 

 

Source: AGP, 2021

 

Figure 10-2: Drill logging table; 117 Forestry Road

 

 

 

Source: AGP, 2021

 

Figure 10-3: Core cutting area; 117 Forestry Road

 

Page 95

 

 

Kinross Gold Corporation

Great Bear Gold Project

Ontario, Canada

NI 43-101 Technical Report

 

Drill Core Storage

 

Drill core from the field is kept within secured logging facilities with access only for Kinross personnel.

 

Once the drill core is sampled, the core boxes are stacked crosswise and strapped together for security. The core boxes are held temporarily at the 2 Industrial Park Road facility (Figure 10-4) until transported to covered racks at the core storage area (core laydown area) on the Project site (Figure 10-4). Coarse rejects have also been transported to this area for storage.

 

 

 

Source: AGP, 2021

 

Figure 10-4: Strapped core boxes (by drill hole), temporary core storage
at the 2 Industrial Park facility

 

Page 96

 

 

Kinross Gold Corporation

Great Bear Gold Project

Ontario, Canada

NI 43-101 Technical Report

 
11.Sample Preparation, Analyses, and Security

 

11.1Sample Security

 

All samples are stored in Great Bear’s (now Kinross) secure core logging facilities. The logging facilities are kept locked and are only accessible to Kinross personnel.

 

Prior to shipping, the samples are manifested on the respective shipping forms. Samples are collected in standard plastic rock sample bags and stapled closed. The sample bags are placed in rice bags, which in turn are placed in plastic bins. The bins are covered with plywood and a numbered security seal is applied. Kinross personnel load the bins onto the transport trucks, operated by Red Lake based freight company Gardewine. Paper copies of the forms are sent along with the samples and a digital copy is sent to the laboratory via email. A digital copy of the forms is retained by Kinross.

 

Samples are shipped every Monday, Wednesday, and Friday.

 

11.2Sample Preparation and Analysis

 

Pre-2017

 

Limited information is available concerning the sampling, preparation, and handling methods employed by various early operators of the Dixie Lake property, but it appears that all companies followed industry standard practices of their times.

 

Information available for pre-2017 sample preparation and analysis is summarized below by year:

 

·1988 - The core samples were analyzed by Chemex. Analytical certificates indicate that the samples were analyzed for gold by fire assay and atomic absorption spectroscopy (AAS) and silver by AAS.

 

·1989 – 1990 – core split and analyzed for gold by fire assay or AAS and selected sections were also analyzed for copper, silver, lead, and zinc by AAS. Analyses were conducted by Accurassay Laboratories in Red Lake, Ontario.

 

·1996 – 1997 - NQ core – mineralized sections sampled, core samples were analyzed for gold by fire assay with atomic absorption and 32 elements by inductively coupled plasma (ICP). Analyses were performed by Chemex Labs Ltd. of North Vancouver, British Columbia.

 

·2003-2004 – BQ (36.5 mm) core, samples were selected by the geologist on the basis of lithology, mineralogy, and the intensity of alteration. In most cases, sampling intervals were approximately 1.0 m to 1.5 m long or less. Core was split; in 2004 was cut using a diamond saw, with half-core submitted for assay. All samples were bagged, labelled, and shipped by company personnel and Gardwine North, a local trucking company, to ALS-Chemex. For sample preparation, ALS-Chemex used industry-standard crushing, grinding, and pulverizing procedures with appropriate attention to security of samples, avoidance of contamination, and homogeneity of the material being treated. Samples were then analyzed for gold by fire assay and AAS, using a 50 g sample weight, and for 34 elements using aqua-regia acid digestion and ICP analyses.

 

Page 97

 

 

Kinross Gold Corporation

Great Bear Gold Project

Ontario, Canada

NI 43-101 Technical Report

 

·2005 - All samples for assay were half ‘split’, bagged, labelled, and shipped to ALS-Chemex in Thunder Bay, Ontario via Gardwine trucking, Red Lake, for sample preparation using industry-standard crushing, grinding, and pulverizing procedures. Subsequently, these samples were sent to the Chemex Laboratory in North Vancouver for analysis. All samples were assayed for gold by fire assay with AAS and gravimetric finish and for 34 elements by aqua regia acid digestion and ICP, using a 30 g sample weight.

 

·2006 - All samples for assay were half ‘split’ and shipped to ALS-Chemex in Thunder Bay for sample preparation using industry standard crushing, grinding, and pulverizing procedures. This involved crushing to 70% < 2 mm, splitting with riffle splitter, and pulverizing the split to 85% < 75 μm. Subsequently, these samples were sent to the ALS-Chemex Laboratory in North Vancouver, BC for analysis. All samples were assayed for gold using fire assay with AAS finish on all samples and gravimetric finish on those with AAS measurements greater than 10 ppm Au. A 34 element analysis was also completed with aqua regia acid digestion and ICP, using a 30 g nominal sample weight.

 

·2007 – Samples were selected, split by diamond saw, sealed, secured, and personally delivered to the SGS laboratory in Red Lake. Sample preparation (PRP 89) and gold analysis by fire assay atomic absorption (FAA303) or gravimetric finish (FAG303) were performed in Red Lake. Additional 32 element geochemistry by aqua regia digestion followed by ICP-atomic emission spectroscopy [ICP-AES] (ICP12B) was performed by SGS in Toronto. Quality control is maintained by the insertion of a blank and standard sample approximately every 25 samples.

 

·2008-2009 - Sampling was conducted based on lithological, alteration and mineral variations, in most cases, over a width of 0.3 m to 2.0 m. All samples for assay were half ‘splits’. All samples were bagged, labelled, and delivered to SGS Laboratories in Red Lake for gold assay (fire assay).

 

·2012 - Core was logged on site and taken to a core cutting facility in Red Lake, owned by Mike Desmeules of Ackewance Exploration and Services. All core was photographed and stored on site. Samples were cut and bagged at a core cutting facility. Samples were sealed with temporary storage in a locked container on site, prior to shipment to Accurassay Laboratories in Thunder Bay, using Gardewine North The core sample was dry crushed (< 5 kg sample) to 90% -8 mesh (2mm) using jaw crushers (preparation code ALP1). The sample was then split (500 g) and pulverized to 90% -150 mesh (106 µm) using ring mill pulverizers. Silica abrasive was used to clean between each sample. A 30 g subsample of gold was analyzed with fire assay and AAS finish that has a detection limit of 5 ppb (analytical code ALFA1).

 

Page 98

 

 

Kinross Gold Corporation

Great Bear Gold Project

Ontario, Canada

NI 43-101 Technical Report

 

2017-2024

 

Great Bear has used several laboratories to perform its assay analyses on core and rock samples:

 

·Activation Laboratories Ltd. (Actlabs), in Thunder Bay, from September 2017 to present.

 

·AGAT Laboratories Ltd. (AGAT), in Thunder Bay, for check assays from 2022 to present.

 

·SGS Ltd. (SGS), in Red Lake, from July 4, 2018, to December 31, 2019.

 

·ALS Global (ALS), for check assays in 2017 to 2019 and RC samples in 2022.

 

All assaying laboratories servicing Great Bear and Kinross samples are independent laboratories with ISO/IEC 17025:2017 accreditation from the International Organization for Standardization and Standards Council of Canada.

 

All pulp material is stored at Kam River Storage Ltd. in Thunder Bay and coarse reject material is either shipped back to site in Red Lake or disposed of after the 180 day laboratory storage period.

 

Descriptions of the sample preparation and analyses conducted at the currently used laboratories Actlabs and AGAT are presented below.

 

Actlabs

 

Upon receipt at Actlabs in Thunder Bay, the entire sample is weighed (kg) and recorded (prep code RX10). The samples (<7 kg) are crushed up to 80% passing 2 mm, mechanically split to obtain a representative sample (250 g), and then pulverized to at least 95% -105 microns (µm). All the steel mills used in this process are mild steel and do not introduce Cr or Ni contamination (prep code RX1).

 

All samples were subject to near total digestion, using four acid digestion, and were analyzed for 36 elements by inductively coupled plasma mass spectrometry (ICP-MS) (Actlabs Code: 8-4).

 

The samples were assayed for gold by fire assay (50 g) with an atomic absorption (AA) finish (Actlabs Code: 1A2B-50). Sample results above the 10 ppm Au over limit were re-assayed using a gravimetric finish (Actlabs Code: 1A3). Samples with highly variable gold results, or that contained visible gold, had a 1,000 g split taken and sieved to 149 µm, and a metallic screen assay performed (Actlabs Code: 1A4).

 

Page 99

 

 

Kinross Gold Corporation

Great Bear Gold Project

Ontario, Canada

NI 43-101 Technical Report

 

In 2023, density measurements were also completed by Actlabs.

 

The Actlabs analytical codes and description are summarized as follows.

 

·1A2B-50 (Au Fire Assay – AA, 50 g sample)

 

·1A3 (Au Fire Assay – Gravimetric, 50 g sample, over limit)

 

·1F2 (Au Fire Assay – AA, 30 g sample)

 

·8-4 (4 Acid ICP-OES, 0.5 g sample, over limit)

 

·1A4 (Au Fire Assay - Metallic Screen, 500 g sample)

 

·RX16 (Density measurement)

 

AGAT

 

Upon receipt of pulp sample material at AGAT in Thunder Bay, the samples are entered into AGAT’s LIMS system and visually inspected. Random sieve tests are performed to ensure samples are pulverized to at least 95% -105 microns (µm) and then assayed for gold by fire assay (50g) with an AA finish (AGAT Code: 202-551). Sample results above the 10 ppm gold over limit were re-assayed using a gravimetric finish (AGAT Code: 202-564).

 

The AGAT analytical codes and description are summarized as follows.

 

·202-551 (Au Fire Assay – AA, 50 g sample)

 

·202-564 (Au Fire Assay – Gravimetric, 50 g sample, over limit)

 

11.3Quality Assurance and Quality Control

 

Great Bear and Kinross have carried out a quality assurance/quality control (QA/QC) program on all its drill core sampling since 2017, consisting of the insertion and analysis of blanks, Certified Reference Materials (CRM or standards), and duplicate samples to monitor the precision and accuracy or the reliability of the assay results from its drilling and sampling program. This is in addition to the quality control samples that are inserted by the assay laboratory and consist of blanks, standards, and duplicates.

 

When a QC sample fails, re-runs of all samples before and after the QC failure up to the next QC sample are requested. The geologist is notified of the re-runs and the samples affected and, when assays are received, of the results and any outcomes. Once assays are imported into the database, the geologists review them and may also request further investigation if the result is not as expected.

 

Page 100

 

 

Kinross Gold Corporation

Great Bear Gold Project

Ontario, Canada

NI 43-101 Technical Report

 

Quarterly visits to the various laboratories to conduct a “mini audit” are also part of the QA/QC program. During the visit, employees are observed to ensure that laboratory policies and procedures are being followed. The equipment is also inspected to ensure that it is well maintained and in good working order, and any issues (i.e., cracks in riffle splitters, dents/cracks in the crusher or pulverizer pans, etc.) are brought to the attention of the manager.

 

The assay certificates received from the laboratory undergo a QA/QC check for any potential errors, to ensure the assays being imported into the acQuire database are correct. On a quarterly basis, the data in the database are checked against the assay certificates to ensure consistency.

 

Monthly reports are generated, which outline any studies that have been conducted; charts, graphs, recommendations, and results are compiled for all the laboratories the mine uses for QA/QC. These reports include charts and graphs of QC samples and laboratory duplicates, explanation of QC failures, and identification of errors and their resolution.

 

QA/QC – Prior to 2017

 

No description of QA/QC methods is available for exploration and drilling programs prior to 2003. From 2003 to 2017, the following QA/QC samples were inserted in sample batches:

 

·2003-2004 - three standards were included with samples from each drill hole. Two samples from each drill hole were selected for duplicate analysis on corresponding quarter core sections.

 

·2005 - Blanks were inserted every 20 samples. Standards was inserted every 20 samples.

 

·2006 - One blank and one standard were inserted into each batch of 10 samples.

 

·2007 - One blank and one standard were inserted approximately every 25 samples.

 

·2008-2009 – Standards, blanks, and duplicate samples were inserted by SGS laboratories into batches of 20 samples.

 

·2012 - The approximate QA/QC sample insertion pattern was approximately two to four samples to maintain some randomness.

 

Page 101

 

 

Kinross Gold Corporation

Great Bear Gold Project

Ontario, Canada

NI 43-101 Technical Report

 

QA/QC – 2017 to 2019 by Great Bear

 

The following has been modified from Adamova (2021). Kinross has reviewed the 2017-2019 QA/QC data with accompanying report and the QP is of the opinion that the assay results are accurate and reliable and suitable for Mineral Resource estimation.

 

Between 2017 to 2019, a total of 9,454 QA/QC samples, consisting of two types of blanks and 14 different CRMs, were inserted into the drill core sample stream nominally every 30 samples.

 

When selecting control sample types, Great Bear’s approach was to insert a blank, a standard representing low grade (approximately 1 g/t Au to 2 g/t Au), a standard representing mid-grade (approximately 3 g/t Au to 5 g/t Au), and a high-grade standard which should trigger a gravimetric analysis at greater than 10 g/t Au. CRMs were used to completion and if unable to obtain more of the same standard, Great Bear replaced it with a standard with the same approximate gold grade.

 

Table 11-1 provides a summary of control samples for blanks and CRMs.

 

Page 102

 

 

Kinross Gold Corporation

Great Bear Gold Project

Ontario, Canada

NI 43-101 Technical Report

 

Table 11-1: Summary of control samples – 2017 to 2019

 

Description  2017 - 2019   Comments
Total Number of Samples   83,574    
Number of Control Samples   9,454 (11.3%)    
Distribution        
Blanks   4,726 (5.7%)    
BLM   1,701   Actlabs + SGS
BLK   1,591   Actlabs + SGS
BM-10   1,436   Actlabs + SGS
Standards (CRMs)   4,726 (5.7%)    
CDN-GS12A   102   Actlabs + SGS
CDN-GS1P5Q   748   SGS
CDN-GS1P5R   824   Actlabs + SGS
CDN-GS2S   474   SGS
CDN-GS4H   467   Actlabs + SGS
CDN-GS5W   350   SGS
CDN-GSP5E   659   Actlabs + SGS
OREAS 209   360   Actlabs + SGS
OREAS 214   109   SGS
OREAS 215   30   Actlabs
OREAS 221   400   Actlabs + SGS
OREAS 224   171   SGS
OREAS 228   32   Actlabs

 

Note. Summation errors may occur due to rounding.

 

Blank material that returns assays greater than 10 ppb Au is considered in the warning range. CRMs that return assays of ± 3 standard deviations (SD) from the certified value are considered outside the tolerable limits.

 

Sources of error in QA/QC samples can occur from data entry errors, sample mix-ups before, during or after shipping, switched samples at the laboratory, errors in the standard itself, and laboratory assaying errors.

 

Every QA/QC failure is followed up by the database manager in an attempt to recognize the most likely cause. Multiple failures on a single certificate and gradual migration of values over time are the two most likely causes for re-running certificates and batches. In general, single errors and outliers will be recognized as a warning but will not trigger re-assaying.

 

Page 103

 

 

Kinross Gold Corporation

Great Bear Gold Project

Ontario, Canada

NI 43-101 Technical Report

 

Table 11-2 shows a summary of the QA/QC control samples results for drilling programs between 2017 and 2019. These results are further broken down by laboratory where the sample analysis was completed. Figure 11-1 presents a graphical comparison of QA/QC results for control samples between 2017 and 2019.

 

Table 11-2: Summary of control sample results – 2017 to 2019

 

    Total
Count
   % Failures   Actlabs
Count
   Actlabs
% Failures
   SGS
Count
   SGS
% Failures
 
Blanks 
BL10    1,701    2    323    1    1,378    3 
BLK    1,591    5    193    0    1,398    6 
BLM    1,436    1    331    1    1,105    2 
CRMs
CDN-GS12A    102    6    23    4    79    7 
CDN-GS1P5Q    748    17    -    -    748    17 
CDN-GS1P5R    824    6    206    5    618    6 
CDN-GS2S    474    14    -    -    474    14 
CDN-GS4H    467    8    211    1    256    13 
CDN-GS5W    350    5    -    -    350    5 
CDN-GSP5E    659    5    207    7    452    4 
OREAS 209    360    14    50    0    310    17 
OREAS 214    109    20    -    -    109    20 
OREAS 215    30    0    30    0    -    - 
OREAS 221    400    9    72    3    328    10 
OREAS 224    171    14    -    -    171    14 
OREAS 228    32    3    32    3    -    - 

 

Note. Summation errors may occur due to rounding.

 

Page 104

 

 

Kinross Gold Corporation

Great Bear Gold Project

Ontario, Canada

NI 43-101 Technical Report

 

 

Source: Adamova, 2021

 

Figure 11-1: Graphical representation of total samples submitted and failure rates at SGS versus ActLabs

 

Blanks

 

From 2017 to May 2019, two types of blank reference material were combined under the label BLK. The two types of blank materials were:

 

·BL-10: a commercially available ¾ inch unmineralized limestone marble gravel, purchased from a local hardware store

 

·BLM: a certified blank purchased from CDN Resources Laboratories Ltd. (CDNRL).

 

From June 2019, the two types of blank material were differentiated from each other in the database as “BL-10”, from CDNRL, and the commercial marble material as “BLM”.

 

Blanks are used to monitor the laboratory’s cleanliness between samples and provide a benchmark by which to monitor contamination. Generally, 100 g of the blank material was inserted into the sample series nominally every 20 samples and/or after an obvious mineralized interval. A blank failure was defined as having an assay value greater than 0.01 ppm Au.

 

Page 105

 

 

  Kinross Gold Corporation
Great Bear Gold Project
Ontario, Canada
NI 43-101 Technical Report

 

Sample batches were not re-run due to blank failures unless significant contamination is found. Failure of a blank sample may be due to contamination and, for this reason, any re-assaying of samples is completed on the sample batch. Typically, the sample range, including the last passed blank to the next passed blank, is re-analyzed if contamination is suspected. Figure 11-2 to Figure 11-4 present control plots of blank material for BLK, BL-10 and BLM, by laboratory. The red bars depict the warning limit of 0.01 g/t Au.

 

 

Source: Adamova, 2021

 

Figure 11-2: Control plot for BLK blank material (BL-10 and BLM combined); March 2018 to May 2019

 

Page 106

 

 

  Kinross Gold Corporation
Great Bear Gold Project
Ontario, Canada
NI 43-101 Technical Report

 

 

 

Source: Adamova, 2021

 

Figure 11-3: Control plot for BL-10 blank material; May 2019 to December 2019

 

 

 

Source: Adamova, 2021

 

Figure 11-4: Control plot for BLM blank material; July 2019 to December 2019

 

Page 107

 

 

  Kinross Gold Corporation
Great Bear Gold Project
Ontario, Canada
NI 43-101 Technical Report

 

Standards

 

Commercial CRMs, or standards, are used to test the precision and accuracy of gold assays and to monitor the consistency of the laboratory’s performance. The standards were purchased in pre-measured individual packets weighing approximately 100 g and were sourced from ORE Research & Exploration PL (OREAS) and CDNRL. The CRMs were randomly inserted into the sample sequences, nominally every 20 to 30 samples.

 

A CRM outside of the acceptable tolerance levels was defined by analytical values that were greater than 3SD above or below the expected certified gold value. The results of the standard were reviewed in the context of the results of the batch, and the assay laboratory was notified of the CRM failure if deemed appropriate. In the event of a standard outside the tolerance limits, 10 samples above and 10 below the failed standard within a laboratory defined batch were selected for re-analysis. In cases where the standard failures occurred in “unmineralized” rock (generally in zones returning < 0.10 g/t Au) no action was taken but a note was made in the QA/QC sample tracking spreadsheet. Extreme outliers were often determined to be a result of the incorrect standard sample being inserted into the sample stream or errors in the sample data entry; these samples have been corrected in the database.

 

Figure 11-5 to Figure 11-17 represent the control plots for each standard used in the 2017, 2018, and 2019 drill programs. The red solid lines denote the upper and lower tolerance levels of three standard deviations. Typically, only two or three different CRMs are used during any given time. The CRMs have overlapping insertion dates between 2017 and 2019 (Adamova, 2021).

 

 

Source: Adamova, 2021

 

Page 108

 

 

  Kinross Gold Corporation
Great Bear Gold Project
Ontario, Canada
NI 43-101 Technical Report

 

Figure 11-5: Control plot for SRM GS12A

 

 

 

Source: Adamova, 2021

 

Figure 11-6: Control plot for SRM GS1P5Q

 

 

Source: Adamova, 2021

 

Figure 11-7: Control plot for SRM GS1P5R

 

Page 109

 

 

  Kinross Gold Corporation
Great Bear Gold Project
Ontario, Canada
NI 43-101 Technical Report

 

 

 

Source: Adamova, 2021

 

Figure 11-8: Control plot for SRM GS2S

 

 

Source: Adamova, 2021

 

Figure 11-9: Control plot for SRM GS4H

 

Page 110

 

 

  Kinross Gold Corporation
Great Bear Gold Project
Ontario, Canada
NI 43-101 Technical Report

 

 

 

Source: Adamova, 2021

 

Figure 11-10: Control plot for SRM GS5W (Fire Assay)

 

 

Source: Adamova, 2021

 

Figure 11-11: Control plot for SRM GS5W (Gravimetric Finish)

 

Page 111

 

 

  Kinross Gold Corporation
Great Bear Gold Project
Ontario, Canada
NI 43-101 Technical Report

 

 

 

Source: Adamova, 2021

 

Figure 11-12: Control plot for SRM GSP5E

 

 

Source: Adamova, 2021

 

Figure 11-13: Control plot for SRM OREAS 209

 

Page 112

 

 

  Kinross Gold Corporation
Great Bear Gold Project
Ontario, Canada
NI 43-101 Technical Report

 

 

 

Source: Adamova, 2021

 

Figure 11-14: Control plot for SRM OREAS 214

 

 

Source: Adamova, 2021

 

Figure 11-15: Control plot for SRM OREAS 221

 

Page 113

 

 

  Kinross Gold Corporation
Great Bear Gold Project
Ontario, Canada
NI 43-101 Technical Report

 

 

Source: Adamova, 2021

 

Figure 11-16: Control plot for SRM OREAS 224

 

 

Source: Adamova, 2021

 

Figure 11-17: Control plot for SRM OREAS 228

 

Page 114

 

 

  Kinross Gold Corporation
Great Bear Gold Project
Ontario, Canada
NI 43-101 Technical Report

 

Field Duplicates

 

Field duplicate samples are used to monitor sample batches for potential sample mix-ups and monitor the data variability as a function of both laboratory error and sample homogeneity.

 

The duplicate samples were produced by quartering the half core sample into two quarter splits, with one sample recorded as the “original” sample and the other, the duplicate. Field duplicates were inserted every 40 to 60 samples.

 

Given the highly variable and nuggety nature of the mineralization, the field duplicates may produce assay samples that vary considerably. Thus, the results of the field duplicates do not fail, but highlight the variability of the different styles of mineralization. If the duplicate was selected from unmineralized rock and contained significant gold values, the sample was selected for re-assay using the coarse reject material.

 

Figure 11-18 presents the scatter plot for the results of the field duplicates.

 

Page 115

 

 

  Kinross Gold Corporation
Great Bear Gold Project
Ontario, Canada
NI 43-101 Technical Report

 

 

 

Figure 11-18: Scatter plot for field duplicates

 

Check Assays

 

Approximately 5% of gold bearing samples were sent for check assays to a different analytical laboratory. Check assays were completed on both pulps of the original sample and coarse rejects. A total of 179 samples were selected from drill holes BR-024, BR-035, and BR-050.

 

Figure 11-19 presents the comparison of gold assays of original assays and coarse rejects for the 179 samples that were initially assayed at SGS and were sent to both Actlabs and ALS for check analyses.

 

Page 116

 

 

  Kinross Gold Corporation
Great Bear Gold Project
Ontario, Canada
NI 43-101 Technical Report

 

 

 

Source: Adamova, 2021

 

Figure 11-19: Control plot for coarse reject analyses from SGS, Actlabs and ALS Global

 

Duplicate sampling of cut core and check assays preformed at Actlabs and ALS did not reveal any bias in assay results for Great Bear’s exploration programs.

 

QA/QC – 2020 to February 2022 by Great Bear

 

Between January 2020 and February 2022, Great Bear followed the same QA/QC procedures and insertion rates for the control samples used in its 2017 to 2019 drill programs.

 

Eight of the thirteen CRMs were discontinued and six new CRMs were used during the 2020-2022 drilling programs.

 

Page 117

 

 

  Kinross Gold Corporation
Great Bear Gold Project
Ontario, Canada
NI 43-101 Technical Report

 

Table 11-3 summarizes the blanks and CRMs used in the 2020-2022 drill programs.

 

Table 11-3: Summary of control samples – 2020 – 2022 Great Bear drill programs

 

Description  2020 – 2022  Comments
Total Number of Samples  245,460   
Number of Control Samples  25,613 (10.4%)   
Distribution      
Blanks  12,670 (5.1%)   
BLK  9,215   
BLM  1,707  to Sep 2020
BL-10  1,748  to Sep 2020
Standards (CRMs)  12,943 (5.3%)   
CDN-GS-12A  102  to Jul 2020
CDN-GS-12B  332   
CDN-GS-1P5R  562  to Aug 2020
CDN-GS-1W  962  to Oct 2020
CDN-GS-4H  514   to May 2020
CDN-GS-P5E  1,499  to Oct 2020
OREAS 216b  1,135   
OREAS 221  1,093  to Feb 2021
OREAS 226  3,257   
OREAS 232  3.305   
OREAS 238  182   

 

Blanks

 

Similar to 2019, Great Bear employed the two types of blank reference materials: BL-10 and BLM. Starting from August 2020, and on the recommendation of ASL, the certified blank exclusively used by Great Bear was the coarse silica material from OREAS (BLK).

 

Generally, 100 g of the blank material was inserted into the sample series nominally every 20 samples and/or after an obvious mineralized interval. A blank failure was defined as having an assay value greater than 0.025 ppm Au, which is equivalent to five times the detection limit of the Au FA-AA analytical method.

 

Figure 11-20 and Figure 11-21 present the control plots of blank material for BLM and BLK, respectively. The failure rate from all three blank samples was 0.1% during the period (only 13 failures out of 12,670 blank samples inserted).

 

Page 118

 

 

  Kinross Gold Corporation
Great Bear Gold Project
Ontario, Canada
NI 43-101 Technical Report

 

 

 

Figure 11-20: Control plot BLM

 

 

Figure 11-21: Control plot for BLK

 

Page 119

 

 

  Kinross Gold Corporation
Great Bear Gold Project
Ontario, Canada
NI 43-101 Technical Report

 

Standards

 

In 2020 to 2022, Great Bear followed the same QA/QC procedures used in its previous drill programs. The CRMs were inserted into the sample sequences, nominally every 20 to 30 samples.

 

Table 11-4 presents a summary of results for CRMs used between January 2020 and February 2022. Figure 11-22 to Figure 11-27 present the control plots for selected CRMs used during this period.

 

Table 11-4: Summary of CRMs for 2020 – 2022 Great Bear drill program

 

CRM Name  Assay
Lab.
  Method  Count   Certified
Value
Au
(g/t)
   Standard
Deviation
Au
(g/t)
   Average
Assay
Au
(g/t)
   No. of
Failures
   %
Failures
 
CDN-GS-12A  Actlabs  FA-GRAV   102    12.31    0.27    12.38    8    7.8%
CDN-GS-12B  Actlabs  FA-GRAV   332    11.88    0.285    11.99    17    5.1%
CDN-GS-1P5R  Actlabs  FA-AA   562    1.81    0.07    1.80    22    3.9%
CDN-GS-1W  Actlabs  FA-AA   962    1.063    0.038    1.047    55    5.7%
CDN-GS-4H  Actlabs  FA-AA   514    5.01    0.15    5.01    16    3.1%
CDN-GS-P5E  Actlabs  FA-AA   1,499    0.655    0.031    0.640    102    6.8%
OREAS 216b  Actlabs  FA-AA   1,135    6.66    0.158    6.76    7    0.6%
OREAS 221  Actlabs  FA-AA   1,093    1.062    0.036    1.057    9    0.8%
OREAS 226  Actlabs  FA-AA   3,257    5.45    0.126    5.46    52    1.6%
OREAS 232  Actlabs  FA-AA   3,305    0.902    0.023    0.901    39    1.2%
OREAS 238  Actlabs  FA-AA   182    3.03    0.080    3.06    9    4.9%
Total & Avg     All   12,943                   336    2.6%

 

Note. FA-AA – fire assay AAS finish, FA-GRAV –fire assay gravimetric finish.

 

Page 120

 

 

  Kinross Gold Corporation
Great Bear Gold Project
Ontario, Canada
NI 43-101 Technical Report

 

 

 

Figure 11-22: Control plot for CDN-GS-1W

 

 

Figure 11-23: Control plot for CDN-GS-4H

 

Page 121

 

 

  Kinross Gold Corporation
Great Bear Gold Project
Ontario, Canada
NI 43-101 Technical Report

 

 

 

Figure 11-24: Control plot for CDN-GS-P5E

 

 

Figure 11-25: Control plot for OREAS 221

 

Page 122

 

 

  Kinross Gold Corporation
Great Bear Gold Project
Ontario, Canada
NI 43-101 Technical Report

 

 

 

Figure 11-26: Control plot for OREAS 226

 

 

Figure 11-27: Control plot for OREAS 232

 

Page 123

 

 

  Kinross Gold Corporation
Great Bear Gold Project
Ontario, Canada
NI 43-101 Technical Report

 

Field Duplicates

 

A similar procedure was followed during 2020 to February 2022 to those used in 2017 to 2019. Field duplicates were inserted every 40 to 60 samples.

 

Figure 11-28 presents the scatter plot for the results of the field duplicates completed between January 2020 and March 2021. Field duplicate samples did not reveal any bias in assay results for Great Bear’s 2020-2021 exploration programs.

 

 

Figure 11-28: Control plot for field duplicates; January 2020 to March 2021

 

QA/QC – March to December 2022 by Kinross

 

Between March and December 2022, Kinross followed the same QA/QC procedures and insertion rates for the control samples used by Great Bear in its previous drilling programs.

 

Page 124

 

 

  Kinross Gold Corporation
Great Bear Gold Project
Ontario, Canada
NI 43-101 Technical Report

 

Six of the eleven CRMs were discontinued and five new CRMs were used during the 2022 Kinross drill program.

 

Table 11-5 summarizes the blanks and CRMs used in the 2022 sampling program.

 

Table 11-5: Summary of control samples – 2022 Kinross drill program

 

Description  2022  Comments
Total Number of Samples  134,291   
Number of Control Samples  14,224 (10.6%)   
Distribution      
Blanks  7,084 (5.3%)   
BLK  6,268   
BLK_PStone  816  from Oct 2022
Standards (CRMs)  7.140 (5.3%)   
CDN-GS-12B  76   
OREAS 211  1,116   
OREAS 216B  715  to Jul 2022
OREAS 226  5  to May 2022
OREAS 230  1,103   
OREAS 232  1,266   
OREAS 233  502   
OREAS 237B  179   
OREAS 238  1,149   
OREAS 240  1,029   

 

Blanks

 

During 2022, Kinross continued using the certified coarse silica blank from OREAS (BLK) and employed one additional blank reference material (BLK_PStone) in October 2022.

 

Generally, 250 g of the blank material was inserted into the sample series nominally every 20 samples and/or after an obvious mineralized interval or if visible gold was noted. A blank failure was defined as having an assay value greater than 0.025 ppm Au.

 

Figure 11-29 and Figure 11-30 present the control plots of blank material for BLK and BLK_PStone, respectively.

 

Page 125

 

 

 

  Kinross Gold Corporation
Great Bear Gold Project
Ontario, Canada
NI 43-101 Technical Report

 

 

 

Figure 11-29: Control plot for BLK

 

 

Figure 11-30: Control plot for BLK_PStone

 

Page 126

 

 

  Kinross Gold Corporation
Great Bear Gold Project
Ontario, Canada
NI 43-101 Technical Report

 

During the 2022 Kinross drill program, the failure rate from all blank samples was 0.2% (only 12 failures out of 7,084 blank samples inserted).

 

Standards

 

For the 2022 drill program, Kinross followed the QA/QC procedures used by Great Bear in its previous drill programs. The CRMs are inserted into the sample sequences, nominally every 20 samples.

 

Table 11-6 presents a summary of results for CRMs used between March and December 2022. Figure 11-31 to Figure 11-34 present the control plots for CRMs used during this period.

 

Table 11-6: Summary of CRMs for 2022 Kinross drill program

 

CRM Name  Assay
Lab.
  Method  Count   Certified
Value
Au
(g/t)
   Standard
Deviation
Au
(g/t)
   Average
Assay
Au
(g/t)
   No. of
Failures
   %
Failures
 
GS12B  Actlabs  FA-GRAV   76    11.88    0.285    11.92    2    2.6 
OR211  Actlabs  FA-AA   1,116    0.768    0.027    0.758    17    1.5 
OR216B  Actlabs  FA-AA   715    6.66    0.158    6.73    17    2.4 
OR226  Actlabs  FA-AA   5    5.45    0.126    5.37    0    0.0 
OR230  Actlabs  FA-AA   1,103    0.337    0.013    0.332    19    1.7 
OR232  Actlabs  FA-AA   1,266    0.902    0.023    0.899    19    1.5 
OR233  Actlabs  FA-AA   502    1.05    0.029    1.05    9    1.8 
OR237B  Actlabs  FA-AA   179    2.26    0.067    2.28    7    3.9 
OR238  Actlabs  FA-AA   1,149    3.03    0.080    3.04    23    2.0 
OR240  Actlabs  FA-AA   1,029    5.51    0.139    5.53    18    1.7 
Total & Avg     All   7,140                   131    1.8 

 

Note. FA-AA – fire assay AAS finish, FA-GRAV – fire assay gravimetric finish.

 

Page 127

 

 

  Kinross Gold Corporation
Great Bear Gold Project
Ontario, Canada
NI 43-101 Technical Report

 

 

 

Figure 11-31: Control plot for OREAS 230

 

 

Figure 11-32: Control plot for OREAS 233

 

Page 128

 

 

  Kinross Gold Corporation
Great Bear Gold Project
Ontario, Canada
NI 43-101 Technical Report

 

 

 

Figure 11-33: Control plot for OREAS 238

 

 

Figure 11-34: Control plot for OREAS 240

 

Page 129

 

 

  Kinross Gold Corporation
Great Bear Gold Project
Ontario, Canada
NI 43-101 Technical Report

 

QA/QC – 2022 RC Drilling by Kinross

 

During the 2022 RC drill program, Kinross applied similar QA/QC procedures and insertion rates for the control samples to the diamond drill samples.

 

Table 11-7 summarizes the blanks and CRMs used in the 2022 Kinross RC drill program.

 

Table 11-7: Summary of control samples – 2022 Kinross RC drill program

 

Description  2022   Comments
Total Number of Samples   14,273    
Number of Control Samples   2,081 (14.6)%   
Distribution        
Blanks   427 (3.0)%   
BLK   427    
Standards (CRMs)   1,654 (11.6)%   
CDN-GS-12B   117    
OREAS 211   274    
OREAS 216B   66   to Jul 2022
OREAS 230   308    
OREAS 232   106   to Jul 2022
OREAS 233   178    
OREAS 238   281    
OREAS 240   187    
OREAS 243   137    

 

Blanks

 

Similar to 2020, Kinross employed one blank reference material (BLK) in the sample stream. The blank failure rate for the RC program was relatively high at 6.3%. This was due mainly to the powdery nature of the RC samples that created a cloud of dust when poured into the crusher. This was identified at the early stage of the RC drill program and proactive measures, such as longer and more rigorous cleaning of the crusher by compressed air between each sample, were implemented.

 

Figure 11-35 presents the control plot of blank material (BLK) inserted during the 2022 Kinross RC drill program.

 

Page 130

 

 

  Kinross Gold Corporation
Great Bear Gold Project
Ontario, Canada
NI 43-101 Technical Report

 

 

Figure 11-35: Control plot for BLK

 

Standards

 

For the 2022 Kinross RC drill program, the CRMs were inserted into the sample sequences nominally every 10 samples.

 

Table 11-8 presents a summary of results for CRMs used for the 2022 Kinross RC drill program. Figure 11-36 to Figure 11-38 present the control plots for CRMs used for this program.

 

Page 131

 

 

  Kinross Gold Corporation
Great Bear Gold Project
Ontario, Canada
NI 43-101 Technical Report

 

Table 11-8: Summary of CRMs for 2022 Kinross RC drilling program

 

CRM Name  Assay
Lab.
  Method  Count   Certified
Value
Au
(g/t)
   Standard
Deviation
Au
(g/t)
   Average
Assay
Au
(g/t)
   No. of
Failures
   %
Failures
 
CDN-GS-12B  ALS  FA-GRAV   117    11.88    0.285    11.88    7    6.0 
OREAS 211  ALS  FA-AA   274    0.768    0.027    0.766    5    1.8 
OREAS 216B  ALS  FA-AA   66    6.66    0.158    6.66    2    3.0 
OREAS 230  ALS  FA-AA   308    0.337    0.013    0.335    3    1.0 
OREAS 232  ALS  FA-AA   106    0.902    0.062    0.904    1    0.9 
OREAS 233  ALS  FA-AA   178    1.05    0.029    1.06    2    1.1 
OREAS 238  ALS  FA-AA   281    3.03    0.080    3.03    7    2.5 
OREAS 240  ALS  FA-AA   187    5.51    0.139    5.46    9    4.8 
OREAS 243  ALS  FA-AA   137    12.39    0.306    12.53    4    2.9 
Total & Avg     All   1,654                   40    2.4 

 

Note. FA-AA – fire assay AAS finish, FA-GRAV – fire assay gravimetric finish.

 

 

Figure 11-36: Control plot for CDN-GS-12B

 

Page 132

 

 

  Kinross Gold Corporation
Great Bear Gold Project
Ontario, Canada
NI 43-101 Technical Report

 

 

 

Figure 11-37: Control plot for OREAS 211

 

 

Figure 11-38: Control plot for OREAS 233

 

Page 133

 

 

  Kinross Gold Corporation
Great Bear Gold Project
Ontario, Canada
NI 43-101 Technical Report

 

Field Duplicates

 

Figure 11-39 presents the scatter plot for the results of the field duplicates collected from the RC drill program. Field duplicate assays from the 2022 RC drill program showed typical scatteredness of the nuggety gold mineralization but did not reveal any bias.

 

 

Figure 11-39: Scatter plot for field duplicates

 

QA/QC – January to December 2023 by Kinross

 

Between January and December 2023, Kinross followed the same QA/QC procedures and insertion rates for the control samples used previously by Great Bear and more recently in its own drilling programs.

 

Six of the eleven CRMs were discontinued and five new CRMs were used during the 2023 Kinross drill program.

 

Page 134

 

 

  Kinross Gold Corporation
Great Bear Gold Project
Ontario, Canada
NI 43-101 Technical Report

 

Table 11-9 summarizes the blanks and CRMs used in the 2023 sampling program.

 

Table 11-9: Summary of control samples – 2023 Kinross drill program

 

Description  2023 
Total Number of Samples   164,543 
Number of Control Samples   19,028 (11.6)%
Distribution     
Blanks   9,364 (5.7)%
BLK   25 
BLK_PStone   4,380 
BLM   4,959 
Standards (CRMs)   9,664 (5.9)%
CDN-GS-12B   346 
OREAS 211   1,860 
OREAS 216B   6 
OREAS 230   1,816 
OREAS 231   28 
OREAS 232   85 
OREAS 233   1,833 
OREAS 237B   314 
OREAS 238B   1,476 
OREAS 240   1,758 
OREAS 243   142 

 

Blanks

 

During 2023, Kinross continued using the certified coarse silica blank from OREAS (BLK) and blank reference material (BLK_PStone) and employed one additional blank reference material BLM (barren white marble) in January 2023.

 

Generally, 250 g of the blank material was inserted into the sample series nominally every 20 samples and/or after an obvious mineralized interval or if visible gold was noted. A blank failure was defined as having an assay value greater than 0.025 ppm Au.

 

Figure 11-40, Figure 11-41, and Figure 11-42 present the control plots of blank material for BLK, BLK_PStone, and BLM respectively.

 

Page 135

 

 

  Kinross Gold Corporation
Great Bear Gold Project
Ontario, Canada
NI 43-101 Technical Report

 

 

 

Figure 11-40: Control plot for BLK

 

 

Figure 11-41: Control plot for BLK_PStone

 

Page 136

 

 

  Kinross Gold Corporation
Great Bear Gold Project
Ontario, Canada
NI 43-101 Technical Report

 

 

 

Figure 11-42: Control plot for BLM

 

During the 2023 Kinross drill program, the failure rate from all blank samples was 0.1% (only nine failures out of 9,364 samples inserted).

 

Standards

 

For the 2023 drill program, Kinross followed the QA/QC procedures used in the previous drill programs. The CRMs are inserted into the sample sequences, nominally every 20 samples.

 

Table 11-10 presents a summary of results for CRMs used in 2023. Figure 11-43 to Figure 11-52 present the control plots for CRMs used during this period.

 

Page 137

 

 

  Kinross Gold Corporation
Great Bear Gold Project
Ontario, Canada
NI 43-101 Technical Report

 

Table 11-10: Summary of CRMs for 2023 Kinross drill program

 

CRM
Name
  Assay
Lab.
  Method  Count   Certified
Value
Au (g/t)
   Standard
Deviation
Au (g/t)
   Average
Assay
Au (g/t)
   No. of
Failures
   %
Failures
 
GS12B  Actlabs  FA-GRAV   346    11.88    0.285    11.95    3    0.9 
OR211  Actlabs  FA-AA   1,860    0.768    0.027    0.759    13    0.7 
OR230  Actlabs  FA-AA   1,816    0.336    0.009    0.332    18    1 
OR231  Actlabs  FA-AA   28    0.542    0.015    0.540    1    3.6 
OR232  Actlabs  FA-AA   85    0.902    0.023    0.889    0    0.0 
OR216B  Actlabs  FA-AA   6    6.66    0.158    6.75    0    0.0 
OR233  Actlabs  FA-AA   1,833    1.05    0.029    1.049    22    1.2 
OR237B  Actlabs  FA-AA   314    2.26    0.067    2.252    11    3.5 
OR238B  Actlabs  FA-AA   1,476    3.08    0.085    3.129    41    2.8 
OR240  Actlabs  FA-AA   1,758    5.51    0.139    5.56    24    1.4 
OR243  Actlabs  FA-GRAV   142    12.39    0.306    12.54    5    3.5 
Total & Avg     All   9,664                   138    1.4 

 

Note. FA-AA – fire assay AAS finish, FA-GRAV – fire assay gravimetric finish.

 

 

Figure 11-43: Control plot for CDN-GS-12B

 

Page 138

 

 

  Kinross Gold Corporation
Great Bear Gold Project
Ontario, Canada
NI 43-101 Technical Report

 

 

Figure 11-44: Control plot for OREAS 211

 

 

Figure 11-45: Control plot for OREAS 230

 

Page 139

 

 

  Kinross Gold Corporation
Great Bear Gold Project
Ontario, Canada
NI 43-101 Technical Report

 

 

 

Figure 11-46: Control plot for OREAS 231

 

 

Figure 11-47: Control plot for OREAS 232

 

Page 140

 

 

  Kinross Gold Corporation
Great Bear Gold Project
Ontario, Canada
NI 43-101 Technical Report

 

 

 

Figure 11-48: Control plot for OREAS 233

 

 

Figure 11-49: Control plot for OREAS 237B

 

Page 141

 

 

  Kinross Gold Corporation
Great Bear Gold Project
Ontario, Canada
NI 43-101 Technical Report

 

 

 

Figure 11-50: Control plot for OREAS 238B

 

 

Figure 11-51: Control plot for OREAS 240

 

Page 142

 

 

  Kinross Gold Corporation
Great Bear Gold Project
Ontario, Canada
NI 43-101 Technical Report

 

 

Figure 11-52: Control plot for OREAS 243

 

During the 2023 Kinross drill program, the failure rate from all CRMs was 1.4% (138 failures out of 9,664 samples inserted).

 

Field Duplicates

 

The procedure changed in 2023, where a minimum of 3% of samples within a mineralized zone is to be duplicated. Field duplicates were inserted every 20 samples within a zone of interest and up to the discretion of the logging geologist. A geologist can also insert a duplicate at any time.

 

Figure 11-53 represents a scatter plot for the results of the field duplicates completed in 2023. Field duplicate samples did not reveal any bias in assay results for Great Bear’s 2023 exploration programs.

 

Page 143

 

 

  Kinross Gold Corporation
Great Bear Gold Project
Ontario, Canada
NI 43-101 Technical Report

 

 

 

Figure 11-53: Scatter plot for field duplicates

 

QA/QC – January to April 2024 by Kinross

 

Between January and April 2024, Kinross followed the same QA/QC procedures and insertion rates for the control samples used previously by Great Bear and more recently in its own drilling programs.

 

Three CRMs were discontinued, and one new CRM was used during the 2024 Kinross drill program.

 

Table 11-11 summarizes the blanks and CRMs used in the 2024 sampling program.

 

Page 144

 

 

  Kinross Gold Corporation
Great Bear Gold Project
Ontario, Canada
NI 43-101 Technical Report

 

Table 11-11: Summary of control samples – 2024 Kinross drill program

 

Description  2024 
Total Number of Samples   32,910 
Number of Control Samples   3,727 (11.3)%
Distribution     
Blanks   1,829 (5.6)%
BLM   1,829 
Standards (CRMs)   1,898 (5.8)%
CDN-GS-12B   346 
OREAS 211   1,860 
OREAS 230   1,816 
OREAS 231   28 
OREAS 233   1,833 
OREAS 238B   1,476 
OREAS 240   1,758 
OREAS 240B     
OREAS 243   142 

 

Blanks

 

During 2023, Kinross discontinued using the coarse silica blank from OREAS (BLK) and blank reference material (BLK_PStone) and continued using blank reference material BLM (barren white marble).

 

Generally, 250 g of the blank material was inserted into the sample series nominally every 20 samples and/or after an obvious mineralized interval or if visible gold was noted. A blank failure was defined as having an assay value greater than 0.025 ppm Au.

 

Figure 11-54 presents the control plots of coarse blank material BLM.

 

Page 145

 

 

 

Kinross Gold Corporation

Great Bear Gold Project

Ontario, Canada

NI 43-101 Technical Report

 

 

Figure 11-54: Control plot for BLM

 

During the January to April 2024 Kinross drill program, the failure rate from all blank samples was 0% (0 failures out of 1,829 blank samples inserted).

 

Standards

 

For the 2024 drill program, Kinross followed the QA/QC procedures used in its previous drill programs. The CRMs are inserted into the sample sequences, nominally every 20 samples.

 

Table 11-12 presents a summary of results for CRMs used in 2024. Figure 11-55 to Figure 11-63 present the control plots for CRMs used during this period.

 

Page 146

 

 

Kinross Gold Corporation

Great Bear Gold Project

Ontario, Canada

NI 43-101 Technical Report

 

Table 11-12: Summary of CRMs for 2023 Kinross drill program

  

CRM Name  Assay
Lab.
  Method  Count   Certified
Value
Au (g/t)
   Standard
Deviation
Au (g/t)
   Average
Assay
Au (g/t)
   No. of
Failures
   %
Failures
 
GS12B  Actlabs  FA-GRAV   16    11.88    0.285    12.15    0    0%
OR211  Actlabs  FA-AA   426    0.768    0.027    0.762    3    0.7%
OR230  Actlabs  FA-AA   380    0.336    0.009    0.333    1    0.3%
OR231  Actlabs  FA-AA   14    0.542    0.015    0.543    0    0%
OR233  Actlabs  FA-AA   382    1.05    0.029    1.05    3    0.8%
OR238B  Actlabs  FA-AA   347    3.08    0.085    3.12    4    1.2%
OR240  Actlabs  FA-AA   239    5.51    0.139    5.56    1    0.4%
OR240B  Actlabs  FA-AA   21    5.65    0.143    5.64    0    0%
OR243  Actlabs  FA-GRAV   73    12.39    0.306    12.53    1    1.4%
Total & Avg     All   3,727                   13    0.3%

 

Note. FA-AA – fire assay AAS finish, FA-GRAV – fire assay gravimetric finish.

 

 

Figure 11-55: Control plot for CDN-GS-12B

 

Page 147

 

 

Kinross Gold Corporation

Great Bear Gold Project

Ontario, Canada

NI 43-101 Technical Report

 

  

Figure 11-56: Control plot for OREAS 211

 

 

Figure 11-57: Control plot for OREAS 230

 

Page 148

 

 

Kinross Gold Corporation

Great Bear Gold Project

Ontario, Canada

NI 43-101 Technical Report

  

 

Figure 11-58: Control plot for OREAS 231

 

 

Figure 11-59: Control plot for OREAS 233

 

Page 149

 

 

Kinross Gold Corporation

Great Bear Gold Project

Ontario, Canada

NI 43-101 Technical Report

 

 

Figure 11-60: Control plot for OREAS 238B

 

 

Figure 11-61: Control plot for OREAS 240

  

Page 150

 

 

Kinross Gold Corporation

Great Bear Gold Project

Ontario, Canada

NI 43-101 Technical Report

 

 

Figure 11-62: Control plot for OREAS 240B

 

 

Figure 11-63: Control plot for OREAS 243

 

Page 151

 

 

Kinross Gold Corporation

Great Bear Gold Project

Ontario, Canada

NI 43-101 Technical Report

 

Field Duplicates

 

A similar procedure was followed in 2024 to that used in 2023. Field duplicates were inserted every 20 samples within a zone of interest and up to the discretion of the logging geologist. A geologist can also insert a duplicate at any time.

 

Figure 11-64 represents a scatter plot for the results of the field duplicates completed in 2024. Field duplicate samples did not reveal any bias in assay results for Great Bear’s 2024 exploration programs.

 

 

Figure 11-64: Scatter plot for field duplicates

 

QP Opinion

 

The QP is of the opinion that the preparation and analyses of the samples are adequate for this type of deposit and style of gold mineralization and that the sample handling and chain of custody, as documented, meet standard industry practice.

 

Page 152

 

 

Kinross Gold Corporation

Great Bear Gold Project

Ontario, Canada

NI 43-101 Technical Report

 

The QP has reviewed the QA/QC programs and is of the opinion that it is in accordance with standard industry practice and CIM Estimation of Mineral Resource & Mineral Reserve Best Practice Guidelines (CIM, 2019). Great Bear and Kinross personnel have taken reasonable measures to ensure that the sample analysis completed is sufficiently accurate and precise and that based on the statistical analysis of the QA/QC results, the assay results are accurate and reliable and suitable for Mineral Resource estimation.

 

Page 153

 

  

Kinross Gold Corporation

Great Bear Gold Project

Ontario, Canada

NI 43-101 Technical Report

 

12.Data Verification

  

12.1Kinross-Commissioned Site Inspection (2021)

 

Kinross commissioned a consulting company, AGP Mining Consultants (AGP), to inspect the site and review the data collection and handling procedures of Great Bear’s near-complete 2021 drilling program. Accompanied on the site visit by two Kinross project geologists from July 12 to 15, 2021, the AGP reviewer (1) located and verified 60 drill hole collars at the Hinge, Limb, and LP Zones to withing four metres of the database values using a handheld GPS device; (2) selected eleven mineralized core intervals and found that they compared well with the drill logs.; and (3) resampled and supervised cutting and assay of six quarter-core intervals and found that five less than the primary assay, but were in the range of the degree of variability of the Property.

 

12.2QP Site Visit

 

The QP for this section last visited the Project on December 6-7, 2023. During his site visit, the QP held meetings and discussions with site staff and performed various checks and reviews of site activities, including

 

·Review of drill core logging and sampling workflows at the core logging facilities

 

·Discussion of alteration, structure, and lithological interpretation with the site geologists who were logging the core

 

·Discussion of the assaying procedures, and turn-around times at the assay labs

 

·Review of the geologic model

 

·Meetings with site and project leaders, including with the Exploration Manager to discuss the progress of the drilling program and budget progress

 

12.3Kinross Assay Collection

 

Technical information in this report has been derived from exploration programs conducted by Kinross, and from the existing reports and data collected by previous exploration companies.

 

In September 2022, Kinross transferred the drill hole data from Logger to acQuire database. Drill hole assays and survey data were reimported from the original certificates to ensure that accurate information is stored in the database. The data was compared between Logger and acQuire to verify the data was migrated correctly.

 

Page 154

 

 

Kinross Gold Corporation

Great Bear Gold Project

Ontario, Canada

NI 43-101 Technical Report

 

Kinross staff routinely check for any errors or potential issues in the database, including:

 

·Sample length issues

 

·Maximum and minimum

 

·Negative values

 

·Detection limit/Zero values

 

·Borehole deviations

 

·Gaps

 

·Overlaps

 

·Drill hole collar versus topography

 

·Laboratory certificate versus database values

 

The QP is the Vice President, Exploration for Kinross. The QP has visited the site multiple times and reviewed all the procedures for collection and handling of the data from the Kinross drilling program, which includes but is not limited to the following.

 

·Historical drill hole collar coordinates

 

·Core handling and storage procedures

 

·Core logging and sampling procedures

 

·QA/QC sample insertion procedure

 

·Sample packing and shipment procedures

 

12.4Assay Certificate Verification

 

For 2024, Kinross commissioned SLR Consulting (Canada) Ltd. (SLR) to perform an assay certificate verification exercise on the Project’s compiled assay certificate file against the Mineral Resource database.

 

Kinross compiled assay certificates into PDF and companion CSV files spanning 2009 to 2022 and provided them to SLR for comparison with the Mineral Resource database. There were several different groups of files:

 

·Different formats for SGS (2018 and 2019) and Actlabs (2017, 2018, 2019, 2020, 2023, 2024), which changed in minor ways from year to year.

 

·Actlabs assay certificate files included three formats for 2023 and 2024: gold assay files, multi-element files, and density files.

 

Page 155

 

 

Kinross Gold Corporation

Great Bear Gold Project

Ontario, Canada

NI 43-101 Technical Report

 

A summary of the compiled gold certificate assays is shown in Table 12-1.

 

Table 12-1: Summary of Compiled Assay Certificates

 

Year  Laboratory  Files (Count)   Samples (Count) 
2017  Actlabs   9    1,201 
2018  Actlabs   28    5,049 
2018  SGS   173    13,308 
2019  Actlabs   77    13,234 
2019  SGS   951    63,162 
2020  Actlabs   48    8,690 
2023  Actlabs   1,685    185,494 
2024  Actlabs   382    36,530 
Total      3,353    326,668 

 

Source: SLR, 2024

 

To perform the verification exercise, SLR developed a Python script for each year and laboratory, to iterate through the CSV files, write file name, year, and laboratory, and then output a treated file with common field names to a master folder. SLR discarded several files that did not read correctly. Read and output results were then merged to a master table using another Python script. Once merged to one large CSV table, the merged certificate table and the Mineral Resource database (with year assigned to each assay from the hole completion date in the collar table) were fed into an SQLite database. SLR then wrote SQL code to create tables and views reviewing the population of certificate assays where sample ID and year matched in both the merged certificate table and the Mineral Resource database assay table.

 

For the gold assays, SLR imported a verification table of matched SampleIDs into Leapfrog and compared its coverage to the drilling in the Mineral Resource database. The 2017 to 2024 SampleIDs provide even coverage of the database’s spatial extents (Figure 12-1) and they account for approximately 50% of all the assays in the Project volume.

 

SLR also carried out spot checks on historical drill holes without assay certificates but with assay information in the appendices of a number of PDF reports. SLR found no errors.

 

Page 156

 

 

Kinross Gold Corporation

Great Bear Gold Project

Ontario, Canada

NI 43-101 Technical Report

 

 

 

Source: SLR, 2024

 

Note. Grey traces are holes without assay certificate data.

 

Figure 12-1: Plan and section views of assay verification coverage relative to mineral resource database

 

Page 157

 

 

Kinross Gold Corporation

Great Bear Gold Project

Ontario, Canada

NI 43-101 Technical Report

 

Table 12-2 presents the results of SLR’s Au certificate assay matching exercise. Overall, SLR’s methodology matched certificate data to approximately 36.9% of the sample IDs in the Mineral Resource database (approximately 234,908 certificate SampleID matches out of 636,532 assays in the Mineral Resource database). Performance of assay value matches was excellent: approximately 99.1% of the values in the Mineral Resource database matched those of the compiled certificates.

 

SLR notes that while this technique captures most of the assay certificate information and directly compares it to the Mineral Resource assay database, there are currently some limitations to this process. For instance, the technique does not supersede assays with re-analyses in other certificates. Also, due to the changing format of assay information from year to year, SLR notes that it was unable to capture the date information for all of the assay certificates, and that internal laboratory duplicates may have also been captured from the same file.

 

Most of the discrepancies were accounted for by sample upper detection limits (UDL), re-analyses, and slightly different values assigned at the lower detection limits (LDLs) in the database. If the 477 unmatched UDL samples and the UDL are ignored, the assumed match rate would be approximately 99.4%.

 

Table 12-2: Summary of assay certificate verification – July, 2024

 

Element  Au 
Units   g/t 
Database Count   636,532 
Certificate Count   329,214 
Cert-DB SampleID Matches   234,908 
SampleID Matches (%)   36.90%
Cert-DB Assay Matches   232,818 
Assay Matches (%)   99.10%
Diffs > LDL Count   1,421 
Threshold   0.1 
Diff > Threshold Count   476 
Diff > Threshold %   0.20%

 

Notes:

 

1.Table represents only the matches achieved with the methodology.
2.Unexplained differences may be re-assays from other certificates.
3.Matches are only by Sample ID and Year.
4.Only the gold certificates were compiled.
5.436 over limit (> 10.0 g/t Au) re-samples were not compared as they were re-assayed in other files.

 

Page 158

 

 

Kinross Gold Corporation

Great Bear Gold Project

Ontario, Canada

NI 43-101 Technical Report

 

12.5Density Certificate Verification

  

For 2024, SLR compiled 47,879 bulk density samples from 2,681 CSV assay certificates (most with companion original PDF files) spanning 2020 through 2024. All from Actlabs, the compiled density certificates contained either one or two density assay measurements per sample. Of these compiled measurements, there were 41,809 matching SampleIDs. A summary of the compiled gold certificate assays is shown in Table 12-3.

 

Table 12-3: Summary of compiled density certificates

 

Year  Laboratory  Files
(Count)
   Samples
(Count)
 
2020  Actlabs   36    562 
2021  Actlabs   388    10,663 
2022  Actlabs   637    16,533 
2023  Actlabs   1,348    12,425 
2024  Actlabs   269    1,464 
Total   2,678    41,647 

 

Limitations in the SampleID matching work included confounding of file read operations by periodic changes in report formats. Format changes were compensated by iterative compilation; modifying Python code to progressively access more certificate measurements until the vast majority were read. Four CSV files were discarded as they were ASCII versions of PostScript. SLR noted 3,039 samples where the year of the certificate did not match the year in the DHDB table, probably because of SLR’s technique in applying ‘year’ to the DH density table, since the collar table end dates were incomplete.

 

Notably, 6,921 samples (all in 2021) used the first density field instead of the second. SLR does not know the methodology used to discern which sample was preferable. To eliminate false mismatches, SLR considers matches successful if the result in the database matched either of the fields in the certificate. Only seven DHDB samples had no corresponding density match in either certificate field. The QP considers this to be an excellent result overall.

 

SLR compared the unweighted average density by modelled rock type to the matched sample IDs in the compiled certificate information. SLR noted that the difference between the drill database and certificate value average per rock type was generally less than three percent. SLR was of the opinion that the density database accurately reflected the content of the assay certificates.

 

Page 159

 

 

Kinross Gold Corporation

Great Bear Gold Project

Ontario, Canada

NI 43-101 Technical Report

 

The 2019 to 2024 density samples provide even coverage of the database’s spatial extents (Figure 12-1) and they spatially cover approximately 50% of all the drilling in the Project volume, similar to gold coverage but with reasonably more intermittent sampling. Pre-2019 density measurements are not included in the density database, but the data appear to provide sufficient coverage for determining average grades by domain.

 

 

 

Source: SLR, 2024

 

Note. Grey traces are holes without assay certificate data.

 

Figure 12-2: Plan and section views of density verification coverage relative to drill hole database density table

 

Page 160

 

 

Kinross Gold Corporation

Great Bear Gold Project

Ontario, Canada

NI 43-101 Technical Report

 

12.6QP Opinion

 

Drilling Data Acquisition and Validation

 

The QP is of the opinion that logging and database workflows and checks are appropriate and consistent with industry standards. The data used to support a Mineral Resource estimate are subject to validation, using validated industry-standard software that automatically triggers data checks for a range of data entry errors. Verification checks on surveys, collar coordinates, lithology, and assay data are all conducted on a regular basis.

 

In light of his visit to the Property to oversee the exploration work, the QP is of the opinion that the results of the independent sampling, collar pickups, and logging checks have demonstrated the presence of gold mineralization on the Property, and that the sample descriptions, sampling procedures, and data entry are being conducted in accordance with industry standards.

 

Assay Certificate Verification

 

The QP has reviewed SLR’s methodology and results in comparison of the assay certificate data to the Mineral Resource database and concludes that the Mineral Resource database reproduces the assay information faithfully and that the Mineral Resource database is of sufficient quality to support the Mineral Resource estimate.

 

Density Certificate Verification

 

The QP has reviewed SLR’s methodology and results in comparison of the density certificate data to the project density database and concludes that the database reproduces the certificate information faithfully and that the density database is of sufficient quality to support the Mineral Resource estimate.

 

Page 161

 

 

Kinross Gold Corporation

Great Bear Gold Project

Ontario, Canada

NI 43-101 Technical Report

 

13.Mineral Processing and Metallurgical Testing

  

13.1Introduction

 

Kinross acquired Great Bear in 2022 following metallurgical test work performed at Blue Coast Research Ltd (Blue Coast Research) in 2020 and 2021. The two test work programs were designed to provide an initial understanding of gold dissolution using standard cyanidation methods on composites from the LP, Hinge, and Limb zones of the Great Bear deposit. Additional cyanidation tests were conducted to evaluate the impacts of grind size, cyanide concentration, and lead nitrate addition on gold leaching.

 

Following the acquisition, Kinross retained SGS Canada Inc. (SGS) to perform a more comprehensive test program (SGS Project 19288-01). This program was completed in June 2023 and evaluation included a wide range of characterization tests comprised of detailed chemical head analysis, mineralogy, gold deportment, comminution, and ore sorting. Gold recovery testing incorporates a brief investigation of the heap leaching option and a detailed examination of milling circuit options including gravity separation, flotation, cyanide leaching, and cyanide detoxification. A solid/liquid separation test work program covering thickening, rheology and filtration was also included.

 

Following the test work program completed at SGS in 2023 (SGS Project 19288-01) another campaign at SGS was completed in 2024 (SGS Project 19288-02). SGS project 19288-02 was completed on the same set of composites, however, it was supplemental, aimed to produce process tailings to study cyanide detoxification and desulphurization by flotation.

 

As of the effective date of this Technical Report, the QP is not aware of any processing factors or deleterious elements that could have a significant effect on potential economic extraction.

 

13.1Blue Coast Test Programs Results

 

Blue Coast Research completed two preliminary metallurgical test work programs on the Project (then Dixie Project) in 2020 and 2021.

 

Sampling Program

 

In 2020, three composites were selected by representatives from Great Bear. Each composite weighed approximately 20 kg and was comprised of drill core and/or assay rejects. The three composites are listed below:

 

·Hinge Zone Comp – a single composite from the Hinge Zone.

 

Page 162

 

 

Kinross Gold Corporation

Great Bear Gold Project

Ontario, Canada

NI 43-101 Technical Report

 

·Dixie Limb (DL) Argillite Comp – a composite comprised of argillite rock type, within the Limb Zone.

  

·DL High Sulphide Comp – a composite that consists of higher sulphide material within the Limb Zone. The samples were all noted as being from the silica sulphide replacement rock type.

 

In 2021, five composites from the LP fault zone were submitted by Great Bear for testing. Four of the five composites were designed to represent variations in grade across the deposit, while the fifth composite was selected to evaluate the impact that higher arsenic zones may have on gold recovery. The composites were:

 

·LP Fault High Arsenic Comp – a composite selected to represent the LP material containing elevated quantities of arsenopyrite.

 

·LP Fault 8-10 Comp – a composite with an expected grade of 8 g/t to 10 g/t Au.

 

·LP Fault 3.5 Comp – a composite with an expected grade of 3.5 g/t Au.

 

·LP Fault 1.5 Comp – a composite with an expected grade of 1.5 g/t Au.

 

·LP Fault 0.5 Comp – a composite with an expected grade of 0.5 g/t Au.

 

Leaching

 

A total of 22 bottle roll cyanidation tests were conducted on the composites. The following leach conditions were used as a baseline, with some tests conducted at different grind sizes and the addition point of lead nitrate changed (or excluded), to assess the effect on extraction:

 

·Residence time: 48-hour bottle

 

·Pulp density: 40% solids

 

·Cyanide concentration maintained: 1.0 g/L

 

·pH was maintained: 10.5 and 11 with the addition of lime

 

·Primary grind size: 80% passing 75 μm

 

·Lead nitrate addition: 250 g/t

 

Page 163

 

 

Kinross Gold Corporation

Great Bear Gold Project

Ontario, Canada

NI 43-101 Technical Report

 

Test Work Conclusions

 

The following conclusions were noted from the Blue Coast Research test work programs:

 

·Gold from each composite was readily cyanide soluble with extraction during standard cyanide leach tests averaging 96% for the LP fault zone composites. Hinge and Limb composites average extraction was 96% and 95%, respectively

 

·The addition of lead nitrate did not improve overall leach recovery from the LP material. Lead nitrate addition improved extraction kinetics from the highest-grade composite only. Extraction kinetics from all other composites were unaffected by the addition of lead nitrate.

 

·Pre-treatment with lead nitrate prior to the addition of cyanide did not result in any additional gold recovery compared to when lead nitrate was added just prior to cyanide.

 

·Grinding to 75 μm appeared to improve gold recovery slightly compared to primary grinds of approximately P80=125 μm.

 

13.2SGS Metallurgical Test Work 2023 and 2024

 

Sampling Program

 

The method of preparing composite samples for the test work was based on grades and the need to obtain composites representative of the three mineralized zones of the Great Bear deposit, namely the LP Zone, Hinge Zone, and Limb Zone. The samples were predominantly NQ half drill core from all three mineralized zones of the Great Bear deposit, apart from two LP samples, which were PQ whole drill core. The NQ half drill core was from drilling programs executed prior to Kinross’ acquisition of the Project. The two PQ whole drill core consisted of fresh drill core from holes BRP002 and BRP001 drilled after the Kinross acquisition in 2022.

 

Nine composite samples representative of the deposit were designed from the drill core collected to represent the three different zones of the deposit. However, due to limited sample availability, a single composite was generated from the Limb drill core collected. The nine composites are listed below:

 

·C01: LP composite made up of BRP002 selected PQ whole core intervals

 

·C02: LP composite made up of BRP001 selected PQ whole core intervals

 

·C03 to C06: LP composite made up of selected NQ half core intervals

 

·C07 and C08: Hinge composite made up of selected NQ half core intervals

 

·C09: Limb composite made up of selected NQ half core intervals

 

Page 164

 

 

Kinross Gold Corporation

Great Bear Gold Project

Ontario, Canada

NI 43-101 Technical Report

 

Additionally, ten variability samples were selected from PQ core. Samples V01 and V02 were each prepared from contiguous two-metre lengths of PQ whole core from different drill holes, while V03 to V10 were prepared using half NQ core. Each variability sample represented a continuous length of drill core. Drill cores were weighed by SGS and compared to the list provided by Kinross, indicating the material that was shipped. Sample inventory was confirmed with Kinross before proceeding with sample preparation. These composite samples are listed below:

 

·V01: LP composite made up of selected PQ full core interval

 

·V02: LP composite made up of selected PQ full core interval

 

·V03-V09: LP composite made up of selected NQ half core

 

·V10: Limb composite made up of selected NQ half core

 

Figure 13-1 depicts the locations of the drill holes from where metallurgical samples for the two test work programs were retrieved. Figure 13-2 shows metallurgical sample locations in the LP Zone and Figure 13-3, metallurgical sample locations in the Hinge and Limb zones.

 

Page 165

 

 

Kinross Gold Corporation

Great Bear Gold Project

Ontario, Canada

NI 43-101 Technical Report

 

 

Figure 13-1: Metallurgical sample locations from current and historical drill sites for the SGS test work program

 

Page 166

 

 

Kinross Gold Corporation

Great Bear Gold Project

Ontario, Canada

NI 43-101 Technical Report

 

 

Note. See Figure 13-1 for the location of the LP Zone within the Property.

 

Figure 13-2: Metallurgical LP samples C01 – C06 locations from current drill sites for the SGS test work program

 

Page 167

 

 

Kinross Gold Corporation

Great Bear Gold Project

Ontario, Canada

NI 43-101 Technical Report

 

 

Note. See Figure 13-1 for the location of the Hinge and Limb zones within the Property.

 

Figure 13-3: Hinge and Limb samples C07 – C09 locations from current drill sites for the SGS test work program

 

Page 168

 

 

Kinross Gold Corporation

Great Bear Gold Project

Ontario, Canada

NI 43-101 Technical Report

 

Head Assays

 

All composites (C01-C09, and V01-V10) were subjected to broad spectrum chemical head analysis at SGS. Summarized quantitative analyses are presented in Table 13-1 and Table 13-2.

 

Table 13-1: Metallurgical development composites, quantitative analyses

 

   LP Fault   Hinge   Limb 
Element  C01   C02   C03   C04   C05   C06   C07   C08   C09 
1 Au, g/t   3.24    2.57    1.05    0.79    1.77    1.47    9.94    4.54    3.80 
2 Au, g/t   2.08    3.29    2.03    1.97    2.64    3.72    4.25    4.36    9.73 
3 Au, g/t   2.24    2.71    2.26    1.35    2.54    4.16    8.14    4.50    5.62 
4 Ag, g/t   0.6    1.7    <0.8    <0.9    <0.9    <0.8    4 <0.5    4 0.5    4 0.7 
                                              
S(t), %   0.69    2.85    1.22    1.89    0.62    1.30    0.44    0.49    4.11 
S=, %   0.62    2.44    1.12    1.84    0.56    1.19    0.39    0.45    3.74 
C(t), %   0.21    0.07    0.24    0.28    0.45    0.45    1.05    1.20    2.18 
C(g), %   <0.05    <0.05    <0.05    <0.05    <0.05    <0.05    <0.05    <0.05    0.22 

 

Notes:

 

1.Weighted average based on assays provided by Kinross.
2.From screened metallics analysis on ~1 kg samples.
3.Average from SGS recovery test work.
4.Not included in the program scope but analyzed as part of a mineralogy study.

 

Table 13-2: Variability composites, quantitative analyses

 

   LP Fault   Limb 
Element  V01   V02   V03   V04   V05   V06   V07   V08   V09   V10 
1 Au, g/t   1.81    5.36    0.42    0.58    0.55    2.13    2.08    0.73    5.35    1.15 
2 Au, g/t   2.26    0.84    0.47    0.75    0.37    2.48    3.92    0.43    4.14    0.92 
3 Au, g/t   1.97    0.52    0.39    0.71    0.44    1.74    3.55    0.47    3.75    0.94 
2 Ag, g/t   <1.0    <1.6    <0.5    0.7    <0.5    0.7    0.7    <0.5    0.8    <0.5 
S, %   1.05    2.00    0.46    1.33    0.67    1.43    0.78    1.01    0.74    2.37 
S=, %   0.92    2.08    0.47    1.34    0.66    1.32    0.84    0.99    0.73    2.14 
C(t), %   0.33    0.07    0.32    0.41    0.43    0.31    0.76    0.37    0.41    1.61 
C(g), %   <0.05    <0.05    <0.05    <0.05    <0.05    <0.05    <0.05    <0.05    <0.05    0.11 

 

Notes:

 

1.Weighted average based on assays provided by Kinross.
2.From screened metallics analysis on ~1 kg samples.
3.Average from SGS recovery testwork.

 

Page 169

 

 

Kinross Gold Corporation

Great Bear Gold Project

Ontario, Canada

NI 43-101 Technical Report

 

Five samples, C01, C02, C03 (LP Fault deposit), C08 (Hinge deposit), and C09 (Limb deposit), were submitted to the SGS Advanced Mineralogy Facility (Lakefield site), for bulk mineralogy and gold deportment studies. Native gold (i.e., Au/Ag alloy, with Au≥75%) was noted as the predominant gold mineral in all of those composites, representing between 87.3% (C03) and approximately 100% (C01 and C09) of the total gold by mass. A few other gold minerals, e.g., electrum (Au/Ag alloy, with 50%≤Au≤75%), kustelite (Au/Ag alloy, with 50%≤Ag≤75%), and Au-Ag-Te minerals (e.g., petzite and calaverite) were also observed and account for the remaining gold.

 

Comminution

 

Selected samples were subjected to comminution tests for Bond low-energy impact work index (CWI), SAG mill comminution (SMC), Bond abrasion index (Ai), Bond rod mill work index (RWI), and Bond ball mill work index (BWI) testing, while variability samples were subjected to SMC and BWI testing only. A summary of the comminution test work results is presented in Table 13-3.

 

Table 13-3: Summary of comminution test results

 

             Bond Indices 
Sample    Relative   JK Parameters   CWI   RWI   BWI   Mib   Ai 
Name    Density   A x b 1   ta   SCSE   (kWh/t)   (kWh/t)   (kWh/t)   (kWh/t)   (g) 
C01     2.77    37.1    0.35    10.39    17.0    11.5    11.3    14.8    0.323 
C02     2.79    33.5    0.31    11.0    20.40    12.8    11.9    15.8    0.269 
C03     2.72    --    --    --    --    --    13.0    18.6    -- 
C04     2.74    --    --    --    --    --    --    --    -- 
C05     2.73    --    --    --    --    --    --    --    -- 
C06     2.73    --    --    --    --    --    --    --    -- 
C07     2.87    --    --    --    --    --    15.7    23.4    0.506 
C08     2.94    --    --    --    --    15.2    14.3    21.1    0.544 
C09     2.93    --    --    --    --    15.8    15.0    22.2    0.440 

 

Notes:

 

1.A x b from SMC Test. SCSE – Semi-autogenous Grinding Circuit Specific Energy

 

In comparison to the SGS hardness database, Hinge and Limb samples are hard materials whereas the LP mineralization falls in the range of moderately soft materials.

 

Physical characteristics testing was conducted as part of comminution characteristics testing. Average rock densities of 2.75 g/cm3 and 2.91 g/cm3 were calculated for LP and Hinge samples, respectively. Only one Limb sample has been tested and gave a rock density of 2.93 g/cm3.

 

Page 170

 

 

Kinross Gold Corporation

Great Bear Gold Project

Ontario, Canada

NI 43-101 Technical Report

 

Gold Recovery

 

The test work program for gold extraction included an evaluation of unit recovery processes including gravity separation and direct cyanide leaching of the gravity tailing.

 

Cyanide leaching of gravity separation tailings yielded exceptional gold recoveries (gravity + CN Leach) at grind size P80’s ranging from approximately 50 µm to approximately 130 µm, for all samples tested. Grind size P80’s from approximately 75 µm to approximately 100 µm yielded optimal metallurgy, with approximately 97% gold extraction (including gravity recovery) in tests on LP Fault (P80 average = 73 µm), Hinge (P80 average = 85 µm), and Limb (P80 average = 81 µm). Coarser grinding to 95 µm to 100 µm (P80) resulted in some recovery loss for all deposits, amounting to approximately 1% loss for LP Fault (97.1% to 96.0%) and approximately 3% for the Hinge (97.2% to 94.5%) and Limb (97.0% to 94.1%) samples. Cyanide concentrations ranging from approximately 0.5 g/L to 1 g/L gave similar gold extractions in the 48-hour leach tests completed. Summarized recovery/extraction data is presented in Table 13-4.

 

Table 13-4: Summary of gold extraction results

 

Metallurgical Results  LP Fault Deposit   Hinge Deposit   Limb Deposit 
(Optimal Conditions)  C01-C06 1   C07, C08 2   C09 3 
Gravity Separation + Tailing Cyanide Leach               
Grind P80, µm   95    ~100    ~100 
Gold Recovery, %   96.0    94.5    94.1 
Grind P80, µm   73    85    81 
Gold Recovery, %   97.1    97.2    97.0 

 

Notes:

 

1.LP Fault data is the average of two tests completed on each of the six composites, at each of the two P80's indicated.
2.Hinge data is the average of two tests completed on each of the two composites, at each of the two P80's indicated.
3.Limb data is the average of two tests completed on the C09 composites, at each of the two P80's indicated.

 

Extended Gravity Recoverable Gold Tests (E-GRG)

 

The data generated in the E-GRG test provides an indication of the amenability of an ore to gravity concentration as a function of particle size distribution (grind size) in the ore and the relative size of the gravity recoverable gold particles. Figure 13-4 and Figure 13-5 summarize the E-GRG results.

 

Page 171

 

 

Kinross Gold Corporation

Great Bear Gold Project

Ontario, Canada

NI 43-101 Technical Report

 

All composites performed well, with GRG numbers ranging from approximately 69% (C03) to approximately 87% (C01). At an average Stage 1 particle size P80 of 561 µm, approximately 42% of the contained gold reported to the gravity concentrate. The data confirms the amenability of the Great Bear material to industrial gravity separation processing.

 

 

Figure 13-4: E-GRG results, grind size versus gold recovery

 

Page 172

 

 

Kinross Gold Corporation

Great Bear Gold Project

Ontario, Canada

NI 43-101 Technical Report

 

 

Figure 13-5: Stage by stage size fractional recovery of gold

 

Page 173

 

 

Kinross Gold Corporation

Great Bear Gold Project

Ontario, Canada

NI 43-101 Technical Report

 

Cyanide Leaching

 

Bottle roll cyanide leach tests were completed on gravity tailings that represented each of the nine metallurgical development (C0#) composites, the variability samples gravity tailings, and whole ore that represented the selected metallurgical development composites. The C0# tests examined the effects of grind size, leach retention time, and cyanide concentration on gold extraction. Grinds of 150 µm to 50 µm (P80) were evaluated. Tests on the V0# samples used the conditions developed in the C0# composite tests. Subsequent test series briefly examined whole ore leaching (C0# composites) and extended leach retention time for several previously leached tailings samples.

 

Cyanide Leaching of Gravity Separation Tailings

 

The initial conditions applied to the C0# composites gravity tailings were as follows:

 

·Feed Mass = 1 kg gravity separation tailing

 

·Pulp Density = 50% solids (w/w)

 

·Pulp pH = 10.5 - 11.0 (maintained with CaO)

 

·Cyanide Concentration = 1.0 g/L NaCN (maintained)

 

·Dissolved Oxygen = approximately 8 mg/L (maintained with sparged air at 1 L/min)

 

·Retention Time = 48 hours, with kinetic solution samples assayed for Au after 6, 24 and 48 hours.

 

The combined gravity separation and cyanide leach gold recoveries were excellent. The average gold extraction from the LP Fault composites was approximately 96% or higher at average grind P80’s of approximately 100 µm or finer. The average leach tailings grade was the same, at 0.07 g/t Au for both 73 µm P80 (average of 12 tests) and 51 µm P80 (average of six tests), which indicates that there is no measurable benefit to grinding finer than approximately 73 µm.

 

The gold remaining in the gravity tailings was readily cyanide leachable, as indicated by the low grades of the leach tailings and typically reproducible assayed gold grades. Additional gold extraction between 24 and 48 hours was approximately 3% (average of the 40 LP Fault tests), confirming the highly leach amenable nature of the gold present in the gravity tailing.

 

The average overall metallurgical performance of the Hinge composites showed a more distinct trend indicating higher gold extraction with finer grinding between 100 µm and 56 µm P80, where the average gold extractions were 94.4% and 98.3%, respectively.

 

Page 174

 

 

Kinross Gold Corporation

Great Bear Gold Project

Ontario, Canada

NI 43-101 Technical Report

 

The limited number of tests completed on the Limb material indicated that high gold extractions were achievable at grind P80 ranging from 150 µm (95.4% extraction) to 50 µm (97.8% extraction).

  

The Effect of Cyanide Concentration

 

The tests presented and discussed above were conducted at 1 g/L NaCN, maintained throughout the duration of the test. Subsequent tests examined the impact of cyanide concentrations from 0.25 g/L to 0.75 g/L NaCN on gold extraction at a grind size target P80 of 75 µm. All other test conditions were the same as applied in the tests detailed above. The overall gravity and cyanide leach gold extractions are plotted against cyanide concentration in Figure 13-6.

 

Comparing the data from the LP Fault tests (average indicated by pale green solid icons), there was no improvement in gold extraction with cyanide dosages greater than 0.5 g/L NaCN. Some extraction improvement is implied in the data from the Hinge and Limb tests with concentrations greater than 0.5 g/L NaCN.

 

 

Figure 13-6: Impact of cyanide concentration on gold recovery

 

While cyanide dosages of less than 1 g/L NaCN gave slower initial extraction kinetics in the case of the LP Fault composites, 0.25 g/L dosage tests gold extractions lagged even after 48 hours in all cases. After 48 hours, the 0.5 g/L NaCN tests generated approximately the same gold extraction values as the 0.75 g/L or 1 g/L tests. Based on the data, a 0.5 g/L NaCN concentration was selected as semi-optimal and applied in most of the remaining test work.

 

Additional tests were completed in order to study the impact of a gravity circuit by completing additional whole ore leach tests . The 96-hour whole ore leach results are presented in Table 13-5. The test conditions were the same as those listed for the 48-hour gravity and cyanide leach tests, which are included for comparison in Table 13-6. Both sets of tests had 0.5 g/L of NaCN (maintained).

 

Page 175

 

 

Kinross Gold Corporation

Great Bear Gold Project

Ontario, Canada

NI 43-101 Technical Report

 

Table 13-5: Whole ore cyanide leaching of the LP fault composites

 

   CN  Grind
Size
  Reagents
(kg/t of CN Feed)
  Au Extraction/Recovery Percentage  Leach  Head Grade
   Test  (P80  Added  Consumed  (Hours)  Residue  (Au (g/t))
Comp  No.  (µm))  NaCN  CaO  NaCN  CaO  6  8  24  48  72  96 

(Au (g/t))

  Calc  Direct
C01  CN93  74  1.26  1.17  0.97  1.14  24  28  79  91  89  95.8  0.07  1.55  2.08
C02  CN94  74  1.21  1.01  0.90  0.98  37  47  91  97  93  94.1  0.16  2.61  3.29
C03  CN95  82  1.27  0.96  0.95  0.92  29  37  79  91  95  96.1  0.08  2.07  2.03
C04  CN96  74  1.13  0.96  0.72  0.93  46  54  90  94  96  96.6  0.06  1.75  1.97
C05  CN97  77  1.10  1.05  0.76  1.03  24  30  77  93  92  96.3  0.09  2.31  2.64
C06  CN98  73  1.35  1.08  0.99  1.03  33  41  92  98  98  96.5  0.15  4.09  3.72

 

Table 13-6: Gravity and 48-Hour cyanide leach tests

 

         Grind  Regents
(kg/t of CN Feed)
  Au Extraction/Recovery (%)     Head Grade (Au (g/t))
   Grav  CN  Size              Overall  Leach  CN  Grav   
   Test  Test  (P80  Added  Consumed  CN Unit (Hours)  Grav  Grav  Residue  Test  Test   
Comp  No.  No.  (µm))  NaCN  CaO  NaCN  CaO  6  24  48  Sep  and CN  (Au (g/t))  (Calc)  (Calc)  Direct
C01  G10  CN53  75  0.95  0.74  0.59  0.72  45  90  93.9  75.5  98.5  0.03  0.49  2.21  2.08
C02  G11  CN56  70  0.91  0.82  0.60  0.81  55  98  94.9  29.5  96.4  0.08  1.57  2.36  3.29
C03  G12  CN59  74  1.01  0.60  0.64  0.58  52  95  94.1  50.3  97.1  0.07  1.10  2.20  2.03
C04  G13  CN62  71  1.64  0.73  1.30  0.73  48  99  97.0  4.2  97.1  0.06  2.01  1.37  1.97
C05  G14  CN65  66  0.73  0.69  0.41  0.65  51  96  94.8  60.7  97.9  0.05  0.95  2.62  2.64
C06  G15  CN68  64  0.88  0.64  0.53  0.63  39  98  97.9  29.7  98.5  0.07  3.37  3.98  3.72

 

Page 176

 

 

Kinross Gold Corporation

Great Bear Gold Project

Ontario, Canada

NI 43-101 Technical Report

 

The kinetic data are plotted for both sets of tests in Figure 13-7. The dashed lines represent the gravity and tailings cyanide leach flowsheet (see Table 13-6), while whole ore data (see Table 13-5) is illustrated by solid curves. The thick pale red and green lines indicate the relative averages of the gravity and leach, and whole ore leach data, respectively.

 

 

Figure 13-7: Comparison of whole ore and gravity tailings leach extraction curves

 

The advantage of gravity separation prior to cyanide leaching is clear. Extraction continued well beyond 48 hours in most of the whole ore tests.

 

Variability Samples Cyanide Leach Test Work

 

Two cyanide leach tests were completed on each of the 10 variability composites gravity tailings. The initial series of 10 tests was completed applying the conditions indicated in the following list while the second series was essentially the same except with additional kinetic subsamples assayed in order to generate a more defined extraction profile:

 

·Feed Mass = 1 kg gravity separation tailing

 

·Pulp Density = 50% solids (w/w)

 

·Pulp pH = 10.5 - 11.0 (maintained with CaO)

 

Page 177

 

 

Kinross Gold Corporation

Great Bear Gold Project

Ontario, Canada

NI 43-101 Technical Report

 

·Cyanide Concentration = 0.5 g/L NaCN (maintained)

 

·Dissolved Oxygen = approximately 8 mg/L (maintained with sparged air at 1 L/min)

 

·Retention Time = 48 hours with kinetic solution samples assayed for Au-Ag.

 

·Series one kinetics at 6, 24 and 48 hours.

 

·Series two at 6, 12, 24, 30, 35, 40 and 48 hours.

 

The results from both test series are in Figure 13-8.

 

The curves represent the data from the detailed kinetics tests (CN108-CN117) while the icons refer to the test with only 0, 6, 24, and 48-hour kinetic data. The time = 0 hours data refer to gravity separation gold recovery.

 

 

Figure 13-8: Variability samples gravity tailing cyanide leach kinetics

 

The average leach residue grade of 0.06 g/t Au indicates limited potential for recovery improvement beyond 48 hours. However, the thick pale grey curve, which represents the average gold recoveries from the detailed kinetics tests (solid and dashed curves), demonstrates a reasonable overall recovery trajectory.

 

Page 178

 

 

Kinross Gold Corporation

Great Bear Gold Project

Ontario, Canada

NI 43-101 Technical Report

 

Cyanide Destruction with SO2/Air

 

In the program, 14 batch bulk cyanide destruction (CND) tests were conducted using the tailings from the cyanidation tests.

 

The cyanide pulp was placed in a stirred reactor. Air was added and the pulp was well agitated. The pH of the sample was lowered to 9.0 with sulphuric acid and aerated. The required amount of copper sulphate (CuSO4) was added and SO2 was pumped to the reactor as sodium metabisulphite (Na2S2O5) solution. The air flow rate and agitation rate were adjusted to obtain higher than 4 mg/L dissolved oxygen. The pulp was maintained at the required pH by the addition of lime slurry. Samples were taken during the test and analyzed for CNWAD using the picric acid method. The oxidation reduction potential (ORP) was monitored and recorded. Tests were conducted at approximately 50% solids (w/w). The target pH was approximately 8.5. All tests were conducted at room temperature.

 

Flotation Test Work for Tailings Desulphurization

 

Tailings generated from the Great Bear composites were determined to be acid generating (WSP, 2023). As a result of this, a flotation stage was added following cyanide destruction to desulphurize the tailings.

 

Nine flotation tests were carried out with the objective of removing sulphides in tailings after cyanide destruction with the objective of rendering the tailings non-potentially acid generating. The particle size of the initial feed was maintained (P80 of 75 µm). Reagent selection was typical for relatively low sulphide ores and included collectors such as potassium amyl xanthate (PAX) and Solvay dithiophosphate AERO 208, with methyl isobutyl carbinol (MIBC) being applied as a frother. The generalized flotation conditions applied are listed in Table 13-7.

 

Flotation tests for sulphur and sulphide (S=) removal yielded positive results, removing an average of 88% of the total sulphur and 91% of the total sulphides from the final tailings. The final tailings sulphur and sulphide grades were less than 0.2% and 0.1%, respectively.

 

Page 179

 

 

Kinross Gold Corporation

Great Bear Gold Project

Ontario, Canada

NI 43-101 Technical Report

 

Table 13-7: Rougher flotation conditions

 

   Reagents added
(g/t)
 
Stage  PAX
1%
   Aero208
100%
   MIBC
100%
   CuSO4
10%
 
Conditioning                  150 
Rougher 1   20    8    14      
Rougher 2   12    8    14      
Rougher 3   12    12    14      
Total   44    28    42    150 
Flotation Cell   10,000 g 
Speed (rpm)   1,800 
Pulp Density   35% Solids 

 

Page 180

 

 

Kinross Gold Corporation

Great Bear Gold Project

Ontario, Canada

NI 43-101 Technical Report

 

14.Mineral Resource Estimate

 

14.1Summary of Mineral Resources

 

Mineral Resources are stated in accordance with Canadian Institute of Mining, Metallurgy and Petroleum (CIM) Definition Standards for Mineral Resources and Mineral Reserves dated May 10, 2014 (CIM (2014) Definitions) as incorporated by reference into NI 43-101. Mineral Resources are estimated for the LP Zone and satellite Hinge and Limb zones and have an effective date of April 2, 2024 (Table 14-1).

 

Table 14-1: Summary of Project Mineral Resources – April 2, 2024

 

   Tonnes   Grade   Gold Ounces 
Classification  (000)   (g/t Au)   (000) 
Measured   1,556    3.04    152 
Indicated   28,711    2.80    2,586 
TOTAL M&I   30,267    2.81    2,738 
Inferred   25,480    4.74    3,884 

 

Notes:

 

1.Mineral Resources estimated according to CIM (2014) Definitions.
2.Mineral Resources estimated at a gold price of US$1,700 per ounce.
3.Open pit Mineral Resources are reported within optimized pit shells at a cut-off grade of 0.55 g/t Au.
4.Underground Mineral Resources are reported within underground reporting shapes at cut-off grades of 2.3 g/t Au for the LP Zone, 2.5 g/t Au for the Limb Zone, and 2.4 g/t for the Hinge Zone. An incremental cut-off grade of 1.7 g/t Au was used at the LP Zone for areas that do not require additional development.
5.Mineral Resources that are not Mineral Reserves do not have demonstrated economic viability.
6.Numbers may not add due to rounding.

 

The QP is not aware of any environmental, permitting, legal, title, taxation, socio-economic, marketing, political, or other relevant factors that could materially affect the Mineral Resource estimate.

 

Page 181

 

 

Kinross Gold Corporation

Great Bear Gold Project

Ontario, Canada

NI 43-101 Technical Report

 

14.2Resource Databases

 

The database cut-off and export date for the LP resource estimation was April 2, 2024. A total of 1,404 high-confidence drill holes totalling 825,176 m of drill core and 639,406 raw assay samples were exported from acQuire to be used in the estimate.

 

The database cut-off and export date for the Hinge and Limb resource estimation was November 20, 2023. The database was exported from acQuire and consists of:

 

·515 drill holes, totalling 289,816 m.

 

·199,271 assay samples exported from acQuire.

 

Historical data that did not have collar positions and survey data were removed from the resource database.

 

Since these database cut-off dates, Kinross has drilled 78 holes totalling 102,738 m at LP and 8 holes totalling 8,450 m at Hinge and Limb. The QP has reviewed the new drilling in context of the Mineral Resource modelling and concludes that there is no material change to the Mineral Resource estimate.

 

Only diamond drill core drilled from surface was considered in this estimate and no combined data types (RC, channel, trench, etc.) were used in the resource estimate.

 

All diamond drill holes were drilled with NQ sized drill bits. The Reflex ACT III core orientation tool was used to orient 100% of the drill core at site. Drill core is split for sampling leaving the orientation line behind in the unsampled core.

 

In deposit areas where recent closely spaced drilling was carried out with the purpose of upgrading resource classifications, whole core sampling accounts for approximately 5% of the total core drilled.

 

Confidence values were assigned to all drill holes, including historic drill holes, based on whether the drill hole collar was found and surveyed with a differential GPS (DGPS), whether the hole had downhole surveys carried out, and if that downhole survey was conducted using a non-magnetic device. For all modelling and estimation work, only high confidence drill holes were used (Confidence 1 and 2). The Mineral Resource database includes all Kinross and historic exploration diamond drill holes and geotechnical drill holes that were sampled following Kinross’ QA/QC procedures, have a Confidence of 1 or 2 (able to be downhole surveyed using a gyro and the collar coordinates were taken using a DGPS). Only drill holes classified as Confidence 1 or 2 were used in the estimate. The holes excluded from the Mineral Resource estimate are illustrated in Figure 14-1 (collars shown in red) and listed in Table 14-2.

 

Page 182

 

 

Kinross Gold Corporation

Great Bear Gold Project

Ontario, Canada

NI 43-101 Technical Report

 

 

Figure 14-1: Drill holes excluded in Mineral Resource estimation

 

Page 183

 

 

 

Kinross Gold Corporation

Great Bear Gold Project

Ontario, Canada

NI 43-101 Technical Report

 

Table 14-2: Confidence 3 and 4 holes excluded from the Mineral Resource database

 

HoleID  Easting  Northing  Elevation  Depth  Confidence  Start Date
B-1  456211.87  5633337.23  365.98  177.1  4  5/1/1970
B-2  456092.15  5633001.72  365.85  37.9  4  5/1/1970
B-2A  456092.15  5633001.72  365.85  33.2  4  5/1/1970
BTU-19-01  459468  5630429  360  170  3  7/10/2019
BTU-19-02  457271  5631609  360  204  3  7/18/2019
BTU-19-03  457670  5631321  360  206.5  3  8/3/2019
BTU-19-04  458494  5631064  360  230  3  8/5/2019
BTU-19-05  458553  5631329  360  152  3  8/7/2019
BTU-19-06  454780  5631735  360  125  3  8/12/2019
BTU-19-07  454797  5631592  360  131.8  3  8/15/2019
BTU-19-08  462013  5632039  360  293  3  8/18/2019
BTU-19-09  461723  5631537  360  221  3  8/22/2019
BTU-19-10  461723  5631537  360  221  3  8/26/2019
BTU-19-18  460851  5630097  360  24.5  4  10/31/2019
BTU-20-34  460635  5630295  360  258  3  2/20/2020
BTU-20-36  454810  5630202  360  275  3  3/12/2020
BTU-20-37  454800  5630577  360  176  3  3/13/2020
BTU-20-38  460868  5632009  360  301  3  3/17/2020
BTU-20-39  461401  5632100  360  316  3  3/20/2020
BTU-20-40  461641  5632107  360  350  3  3/22/2020
BTU-20-44  455119  5630667  360  201  3  10/3/2020
BTU-20-45  455295  5630377  360  102  3  10/5/2020
BTU-20-46  455395  5630212  360  252  3  10/6/2020
BTU-20-48  456353  5630967  360  213  3  10/11/2020
BTU-20-49  456275  5631095  360  150  3  10/14/2020
BTU-20-50  457189  5631070  360  156  3  11/25/2020
BTU-20-51  456924  5630791  360  255  3  12/5/2020
BTU-20-52  456804  5630600  360  261  3  12/1/2020
BTU-20-53  457201  5631048  360  186  3  11/27/2020
BTU-20-54  456059  5630656  360  162  3  11/29/2020
BTU-21-56  460896  5631670  360  54  4  2/14/2021
BTU-21-56A  460896  5631670  360  107  4  2/20/2021
BTU-21-56B  460896  5631670  360  96  4  2/23/2021
BTU-21-57  460874  5631632  360  250  4  2/25/2021
BTU-21-58  461651  5631407  360  273  4  3/24/2021
BTU-21-59  461586  5631302  360  304.5  4  3/29/2021
BTU-21-60  460813  5631538  360  273  4  4/2/2021
BTU-21-61  460737  5631416  360  301  4  4/6/2021

 

Page 184

 

 

Kinross Gold Corporation

Great Bear Gold Project

Ontario, Canada

NI 43-101 Technical Report

 

HoleID  Easting  Northing  Elevation  Depth  Confidence  Start Date
BTU-21-62  461300  5630819  360  358  4  4/14/2021
BTU-21-63  460895  5630154  360  383.3  4  4/30/2021
BTU-21-64  459236  5630692  360  326.6  4  5/11/2021
BTU-21-65  459605  5630759  360  379.05  4  5/13/2021
BTU-21-76  457548  5630939  360  251  4  11/26/2021
BTU-22-78  459838  5631653  360  279  3  4/5/2022
BTU-22-79  459800  5631610  360  357  3  4/10/2022
BTU-22-80  459932  5631450  360  303  3  4/13/2022
BTU-22-81  460074  5630890  360  360  3  4/17/2022
C-2  453997.7821  5630263.521  360  121.65  4  5/1/1970
C-3  454673.89  5631526.76  376.93  85.79  4  5/1/1970
C-4  455302.42  5632122.68  395.72  106.7  4  5/1/1970
CG-97-13  456739.33  5633275.15  348.68  312  4  1/18/1997
CG-97-14  459447.15  5634484.13  356.97  132  4  1/21/1997
CG-97-15  459264.58  5634574.14  358.87  129  4  1/22/1997
CG-97-16  458836.08  5634005.52  356.97  150  4  1/27/1997
CG-97-17  458995.81  5633885.14  349.15  126  4  1/28/1997
CG-97-18  458646.26  5634085.95  366.78  174  4  1/29/1997
CG-97-19  458691.4  5634145.84  355.81  126  4  1/30/1997
CG-97-20  457872.9  5634721.3  369.97  177  4  1/31/1997
CG-97-21  456457.73  5634337.51  360.48  150  3  2/4/1997
CG-97-22  457000.65  5635059.3  374.21  150  4  2/5/1997
CG-97-24  456474.21  5632811.66  374.25  275  4  2/9/1997
CG-97-25  457878.94  5633067.67  377.52  141  4  2/11/1997
CG-97-26  459075.82  5633060.18  362.47  200.3  4  2/13/1997
CG-97-27  456356.42  5631961.16  371.65  129  4  2/15/1997
DC-04-07  456244  5633194  373.35  362  4  6/10/2007
DC-09-07  456508.84  5632834.98  376  251  4  7/13/2007
DHZ-001  456510  5633196  369  267  3  3/16/2018
DL_2005_05  456663  5633278  349.74  139.3  4  10/28/2005
DL_2005_08  456376  5633575  369.45  130.1  4  10/14/2005
DL_2005_10  456623  5633229  360.77  169.8  4  10/26/2005
DL_2005_12  456410  5633549  366.32  151.2  4  10/18/2005
DL-001  456359  5633577  369.53  162  3  7/13/2017
DL-002  456359  5633577  369.53  141  3  7/15/2017
DL-003  456511  5633403  353.04  75  3  7/16/2017
DL-03-01  456642.77  5633357.45  351.9  180  3  10/1/2003
DL-03-02  456645.6  5633404.7  355.08  300  3  10/1/2003
DL-03-03  456670.6  5633359.86  354.76  258  3  10/1/2003
DL-03-04  456626.09  5633501.86  350.92  372  3  10/1/2003

 

Page 185

 

 

Kinross Gold Corporation

Great Bear Gold Project

Ontario, Canada

NI 43-101 Technical Report

 

HoleID  Easting  Northing  Elevation  Depth  Confidence  Start Date
DL-03-05  456626.09  5633501.86  350.92  309  3  10/1/2003
DL-03-06  456508  5633400  353.37  90  4  11/1/2003
DL-03-07  456444.17  5633489.1  363.55  144  3  11/1/2003
DL-03-08  456536.5  5633438.71  350.59  135  3  11/1/2003
DL-03-09  456368.73  5633624.46  367.76  225  4  11/1/2003
DL-04-01  456560  5633481  353.52  202.69  4  3/1/2004
DL-04-02  456560  5633481  353.52  230.1  4  3/1/2004
DL-09-01  456648  5633127  369.82  252  4  6/1/2009
DL-09-02  456607  5633156  368.29  180  4  6/1/2009
DL-09-02A  456614.17  5633171.5  367  78.5  4  6/9/2009
DL-09-03  456623  5633229  360.77  249  4  6/1/2009
DL-09-04  456592  5633357  349.33  177  4  6/1/2009
DL-09-05  456592  5633357  349.33  324  4  6/1/2009
DL-11-02  456511  5633403  353.04  90.53  4  7/1/2011
DL-11-05  456359  5633577  369.53  285.6  4  7/1/2011
DL-133  456884.498  5633892.014  358.911  63  3  11/26/2022
DL-75-1  461290  5632924  350  91.46  4  3/20/1975
DL-75-2  461514  5632834  350  114.6  4  3/23/1975
DL-75-3  462308  5632272  350  100  4  4/1/1975
DL-88-1  456205.12  5633322.29  366.91  50  4  12/10/1988
DL-88-2  456205.12  5633322.29  366.91  90.22  4  12/11/1988
DL-88-3  456205.12  5633322.29  366.91  76.2  4  12/12/1988
DL-88-4  456532.05  5633276.65  365.19  96  4  12/13/1988
DL-88-5  456227.95  5633246.24  376.14  38.4  4  12/16/1988
DL-88-6  456309.21  5633186.25  367.07  60.66  4  12/16/1988
DL-88-7  456299.09  5633131.27  366.81  54.25  4  12/17/1988
DL-89-1  454960  5635424  397.7  29  4  7/13/1989
DL-89-10  454815  5635575  398  160.63  4  8/2/1989
DL-89-11  456534.07  5633439.72  350.75  157.6  3  8/14/1989
DL-89-14  456428.62  5633470.07  363.25  90.5  3  8/18/1989
DL-89-18  456481.1  5633538.26  363.96  215.5  4  8/28/1989
DL-89-19  456675.25  5633300.91  348.58  236.83  3  9/1/1989
DL-89-22  456334.19  5633587.25  369.8  147.83  4  9/26/1989
DL-89-24  456688.47  5633068.36  372.29  167.64  4  9/29/1989
DL-89-25  456486.77  5633199.95  369.09  143.9  4  10/2/1989
DL-89-26  456353.58  5633324.33  360.04  105.8  4  10/4/1989
DL-89-29  456362  5633625  368.65  218.7  4  6/17/2019
DL-89-3  456506.81  5633323.89  358.91  72.2  3  7/20/1989
DL-89-32  456144.93  5633507.87  368.97  87.48  4  2/9/1990
DL-89-34  455827.54  5634081.48  364.05  71.9  3  2/18/1990

 

Page 186

 

 

Kinross Gold Corporation

Great Bear Gold Project

Ontario, Canada

NI 43-101 Technical Report

 

HoleID  Easting  Northing  Elevation  Depth  Confidence  Start Date
DL-89-35  455926  5634189  369.58  93  4  2/20/1990
DL-89-36  455958.5  5634486.16  378.75  102.41  4  2/22/1990
DL-89-37  457035.23  5633111.22  365.3  93.3  4  2/24/1990
DL-89-38  456204.4  5633834  352.08  95.7  3  8/11/1990
DL-89-39  456378.44  5633735.1  358.2  345.6  4  8/13/1990
DL-89-40  456291  5633824  349.5  129.3  4  8/18/1989
DL-89-6  456573.01  5633081.29  367.53  209.4  4  7/25/1989
DL-89-7  456779.53  5633105.98  366.27  41.75  4  7/28/1989
DL-89-7A  456856.53  5633209.66  366.36  114.9  4  7/29/1989
DL-89-8  456349.91  5633444.82  364.24  96.9  4  7/31/1989
DL-89-9  456503.62  5633398.56  353.55  66.1  4  8/1/1989
DL-96-01  456571.47  5633369.68  351.1  84.4  3  4/29/1996
DL-96-02  456571.47  5633369.68  351.1  114  3  4/30/1996
DL-96-03  456571.47  5633369.68  351.1  116  3  5/1/1996
DL-96-04  456548.76  5633419.15  353.29  108  3  5/2/1996
DL-96-05  456548.76  5633419.15  353.29  128  3  5/3/1996
DL-96-06  456517.45  5633453.29  353.44  114  3  5/4/1996
DL-96-07  456533.3  5633439.02  350.79  114  3  5/5/1996
DL-96-08  456534.29  5633398.92  353.53  108  3  5/6/1996
DL-96-10  455900.53  5633145.68  366.6  96  4  6/8/1996
DL-96-11  456983.37  5633064.29  368.21  204  4  5/6/1996
DL-96-12  456740.04  5633550.28  355.01  510  4  5/6/1996
DN-05-01  454647  5635715  398.5  186  3  5/30/2005
DN-05-02A  454907  5635271  393  120.2  4  6/7/2005
DN-05-04  455496  5635069  378.87  146.3  4  6/12/2005
DN-05-05  455420  5635007  379  146.3  4  6/15/2005
DSL-001  456486  5633131  367.03  198  3  3/21/2018
E-1  457856.7  5633325.98  348.89  130.75  4  5/1/1970
F-1  458571.2  5632738.61  364.16  92.05  4  5/1/1970
G-1  459050.5  5632378.19  364.2  169.77  4  5/1/1970
K-1  456140.88  5632554.92  367.47  94.2  4  5/1/1970
N-93-1  465188  5631615  347  27.4  4  11/23/1993
N-93-2  465187  5631860  347  147  4  11/26/1993
P-94-4  459139  5632317  406.23  104.5  4  4/23/1994
P-97-1  453504  5635186  400  198  4  1/11/1997
P-97-2  452879  5635236  395.9  177  4  1/14/1997
P-97-3  454833.84  5636616.5  417.12  150  4  1/16/1997
P-97-4  458883.18  5634838  367.6  135  4  1/24/1997
P-97-5  458594.28  5635284.5  393.5  176  4  1/25/1997

 

Page 187

 

 

Kinross Gold Corporation

Great Bear Gold Project

Ontario, Canada

NI 43-101 Technical Report

 

HoleID  Easting  Northing  Elevation  Depth  Confidence  Start Date
SN08-001  457911  5636086  413  303  4  11/27/2008
SN08-002  461151  5636063  413  342  4  12/1/2008
SN08-003  461068  5635865  407  486  4  12/1/2008
Unknown-1  457418.38  5632529.12  370.47  18.29  4  1/1/1950
Unknown-2  457413.98  5632522.57  369.24  16.16  4  1/1/1950
Unknown-3  457386.07  5632526.38  371.42  15.24  4  1/1/1950
Unknown-4  457368  5632557.6  378.51  29.88  4  1/1/1950
Unknown-5  457369.26  5632550.25  376.03  30.49  4  1/1/1950
Unknown-6  457374.64  5632537.77  373.58  45.4  4  1/1/1950
Unknown-7  457397.5  5632526.38  370.37  41.4  4  1/1/1950
Unknown-7B  457376.61  5632478.42  365.23  47.03  4  1/1/1950
Unknown-8  457385.17  5632485.7  365.99  40.63  4  1/1/1950
W-2  457346  5633208  353.3  68.88  4  6/1/1972
W-3  458454.2  5633071.55  351.17  55.77  4  7/6/1972

 

14.3LP Zone Mineral Resource Estimate

 

Summary

 

Snowden Supervisor v 8.14.2 (Supervisor) was used for geostatistical analysis, Leapfrog Geo 2023.1.2 (Leapfrog) was used to generate estimation domains, and Vulcan 2023.2 (Vulcan) was used for compositing and estimation. The bulk estimation domains were interpolated by ordinary kriging (OK), while the high-grade estimation domains and background domain were interpolated using inverse distance cubed (ID3). Validation of the 2024 Great Bear LP Zone model (2024_05_LP_Resource.bmf) against grade control data using the ground truth estimation showed a less than 5% difference at a 0.0 g/t Au cut-off grade in ounces of gold.

 

The 2024 Great Bear LP Zone model classification criteria are based upon the geostatistical drill hole spacing analysis supported by historic exploration and deposit growth drilling, as well as the recent 2023 and 2024 drill campaign designed to upgrade unclassified material to Inferred status between the 500 m to 1,000 m depth at the LP Zone. The open pit and underground Mineral Resource estimates for the LP Zone are summarized in Table 14-3.

 

Page 188

 

 

Kinross Gold Corporation

Great Bear Gold Project

Ontario, Canada

NI 43-101 Technical Report

 

Table 14-3: LP Zone Mineral Resource summary – April 2, 2024

 

Zone       Classification   Tonnes   Grade   Gold Ounces
      (000)   (g/t Au)   (000)
    OP   Measured   1,556   3.04   152
      Indicated   28,711   2.80   2,586
      TOTAL M&I   30,267   2.81   2,738
LP Zone     Inferred   2,349   1.53   115
    UG   Measured   0   0.0   0
      Indicated   0   0.0   0
      TOTAL M&I   0   0.0   0
      Inferred   21,406   5.18   3,562

 

Notes:

 

1.Mineral Resources estimated according to CIM (2014) Definitions.

2.Mineral Resources estimated at a gold price of US$1,700 per ounce.

3.Open pit Mineral Resources are estimated at a cut-off grade of 0.55 g/t Au.

4.Underground Mineral Resources are estimated at a cut-off grade of 2.3 g/t Au with an incremental cut-off grade of 1.7 g/t Au used for areas that do not require development.

5.Mineral Resources that are not Mineral Reserves do not have demonstrated economic viability.

6.Numbers may not add due to rounding.

 

Geological Model and Estimation Domains

 

Geologic logging and geostatistical analysis indicate that two broad grade populations exist in the mineralized rock. The first is a low-grade population that is made up of many spatially continuous samples. This population has been modelled as broad, continuous domains that are referred to as the bulk domains. The second population is substantially higher grade and more limited in extent, falling completely within the bulk domains. This population has been modelled as limited strike, high-grade cores within the bulk domains and are referred to as the high-grade domains.

 

Current understanding suggests that the overburden on the Property is unmineralized and therefore all estimation domains are terminated on the lower contact of the overburden model.

 

Gold in the bulk and high-grade domains is predominantly found within the E31 (felsic volcaniclastics) rock unit within approximately 50 m to 100 m of the metasediment 2 contact. The E32 (fine-grained felsic volcaniclastics), metasedimentary, and fragmental (felsic volcaniclastics with fragments) rock units are observed to contain minor gold mineralization, however, this mineralization is generally less continuous and lower grade than the mineralization found in E31. Both bulk and high-grade domains were built considering these constraints and, where possible, follow the metasediment 2 contact rather than cross it (Figure 14-2).

 

Page 189

 

 

Kinross Gold Corporation

Great Bear Gold Project

Ontario, Canada

NI 43-101 Technical Report

 

The current understanding of the structural geology in the LP Zone is that two shear zones act as discontinuities to both mineralization and lithology. The LP_Shear and Yauro_Shear crosscut the mineralization in approximately east-west striking, sub-vertical planes between Auro and Yauro, and Yauro and Yuma respectively. Estimation domains are truncated on these shear zones (Figure 14-3).

 

Page 190

 

 

Kinross Gold Corporation

Great Bear Gold Project

Ontario, Canada

NI 43-101 Technical Report

 

 

 

Figure 14-2: LP Zone estimation domains, looking northwest

 

Page 191

 

 

Kinross Gold Corporation

Great Bear Gold Project

Ontario, Canada

NI 43-101 Technical Report

 

 

Figure 14-3: LP Zone estimation domains segmented by parallel east-west trending shear zones

 

Compositing

 

Sample intervals are predominantly one metre in length, with 68% of the samples equal to or less than one metre in length (Figure 14-4). The dominant block size for the model is 5 m x 1 m x 5 m to support underground mine planning. A composite size of one metre was selected as it does not excessively split samples, while sufficiently representing the block dimensions.

 

Page 192

 

 

Kinross Gold Corporation

Great Bear Gold Project

Ontario, Canada

NI 43-101 Technical Report

 

 

Figure 14-4: LP Zone cumulative log histogram of assay sample lengths

 

The contacts between mineralization domains and background domains were determined to be hard boundaries. To maintain this relationship, run-length composites were generated in Vulcan, breaking on estimation domains. Remnant short intervals were then distributed back over the composites of the domain. The composites were flagged by estimation domain during the compositing process.

 

Exploratory Data Analysis

 

The composite database flagged by estimation domain was exported to .csv and imported to Supervisor for further evaluation.

 

Page 193

 

 

Kinross Gold Corporation

Great Bear Gold Project

Ontario, Canada

NI 43-101 Technical Report

 

Statistics

 

Contact Analysis

 

As the high-grade domains are internal to the bulk domains, two contact analysis plots were run on composites to determine whether a soft or hard boundary should be implemented between domains including:

 

·High-grade and bulk domains

 

·Bulk domains and background domains

 

The contact analysis indicated that a hard boundary was appropriate both between the high-grade and bulk domains and the bulk and background domains (Figure 14-5).

 

 

Figure 14-5: LP Zone contact plots: transition from background domains to bulk domains (left) and bulk domains to high-grade domains (right)

 

Capping

 

Capping was reviewed based on the mineralization domains. Each of the domains was capped independently. Background mineralization was also analyzed and capped. Figure 14-6 presents a log histogram, log probability plot, and capped and uncapped statistics.

 

Page 194

 

 

 

 Kinross Gold Corporation
Great Bear Gold Project
Ontario, Canada
NI 43-101 Technical Report

 

 

Figure 14-6: LP Zone capping analysis – Domain 1

 

Uncapped and capped statistical analyses for composite data by domain are shown below in Table 14-4 and Table 14-5, respectively.

 

Table 14-4: Uncapped composite statistics by domain

 

Domain   Samples   Uncapped
Mean
(g/t Au)
   Uncapped
Median
(g/t Au)
   Uncapped
SD
(g/t Au)
   Uncapped
CV
   Minimum
(g/t Au)
   Maximum
(g/t Au)
 
1    1,260    8.58    1.508    27.98    3.26    0.006    565.74 
2    2,781    2.64    0.520    12.27    4.65    0.003    331.68 
3    1,346    2.99    0.350    9.92    3.32    0.006    157.00 
4    339    4.47    0.879    13.26    2.96    0.012    195.62 
5    494    3.74    0.596    13.16    3.52    0.010    209.63 
6    735    4.35    0.698    34.21    7.87    0.003    899.31 
7    339    2.28    0.761    5.95    2.61    0.003    78.98 
8    1,356    1.36    0.744    2.54    1.87    0.006    39.57 
9    376    2.09    0.987    6.36    3.04    0.025    91.25 
10    159    5.82    1.093    32.33    5.55    0.004    395.72 
11    124    3.04    0.128    11.14    3.67    0.005    84.69 
12    220    3.23    0.670    11.16    3.46    0.003    141.86 
1000    5,525    0.51    0.107    2.27    4.41    0.002    76.68 
1100    1,395    0.38    0.079    1.19    5.04    0.002    63.67 
1200    1,562    0.73    0.077    5.13    6.99    0.002    180.62 
1300    1,727    0.63    0.059    3.84    6.10    0.002    84.08 
1400    2,074    0.32    0.056    1.21    3.80    0.002    27.04 
1500    9,567    0.26    0.062    1.54    5.83    0.002    89.40 

 

Page 195

 

 

 Kinross Gold Corporation
Great Bear Gold Project
Ontario, Canada
NI 43-101 Technical Report

 

Domain   Samples   Uncapped
Mean
(g/t Au)
   Uncapped
Median
(g/t Au)
   Uncapped
SD
(g/t Au)
   Uncapped
CV
   Minimum
(g/t Au)
   Maximum
(g/t Au)
 
1600    3,166    0.25    0.022    1.77    7.11    0.002    51.37 
1700    3,274    0.37    0.099    1.32    3.51    0.002    39.55 
1800    1,150    0.24    0.056    0.68    2.83    0.002    12.02 
1900    57    0.81    0.636    0.75    0.92    0.007    4.93 
2000    10,237    0.37    0.120    2.18    5.87    0.002    100.27 
2100    3,858    0.21    0.084    0.78    3.68    0.002    29.65 
2200    1,944    0.15    0.041    1.40    9.31    0.002    54.62 
2300    5,780    0.34    0.067    1.99    5.80    0.002    90.92 
2400    3,183    0.25    0.024    2.47    9.90    0.002    109.63 
3000    18,647    0.36    0.156    1.33    3.70    0.002    103.34 
3100    5,977    0.27    0.065    1.00    3.73    0.002    28.31 
3200    3,005    0.28    0.041    1.61    5.82    0.002    53.53 
3300    4,844    0.10    0.023    0.38    3.89    0.002    9.85 
3400    4,532    0.12    0.011    0.82    6.78    0.002    40.35 
4000    3,164    0.29    0.039    2.97    10.37    0.002    146.00 
9999    588,181    0.04    0.005    1.52    35.73    0.002    962.48 

 

Table 14-5: Capped composite statistics by domain

 

Domain   Capping Value
(g/t Au)
   Capped Mean
(g/t Au)
   Capped SD
(g/t Au)
   Capped CV 
1    120    7.39    17.6    2.38 
2    90    2.38    7.75    3.26 
3    70    2.83    8.23    2.91 
4    75    4.12    9.09    2.21 
5    40    3.00    7.03    2.34 
6    50    2.98    7.37    2.48 
7    35    2.11    4.19    1.99 
8    35    1.35    2.49    1.84 
9    50    1.93    4.33    2.25 
10    35    3.17    6.40    2.02 
11    20    1.85    4.24    2.29 
12    10    1.86    2.78    1.49 
1000    50    0.51    2.02    3.99 
1100    15    0.34    0.96    2.80 

 

Page 196

 

 

 Kinross Gold Corporation
Great Bear Gold Project
Ontario, Canada
NI 43-101 Technical Report

 

Domain   Capping Value
(g/t Au)
   Capped Mean
(g/t Au)
   Capped SD
(g/t Au)
   Capped CV 
1200    55    0.65    2.68    4.13 
1300    60    0.61    3.55    5.78 
1400    20    0.31    1.09    3.49 
1500    45    0.26    1.29    4.97 
1600    30    0.23    1.37    5.89 
1700    15    0.36    0.95    2.67 
1800    10    0.24    0.65    2.73 
1900    5    0.81    0.75    0.92 
2000    75    0.37    2.03    5.53 
2100    9    0.20    0.56    2.77 
2200    5    0.11    0.35    3.15 
2300    50    0.33    1.72    5.13 
2400    20    0.21    0.98    4.80 
3000    30    0.35    0.92    2.62 
3100    20    0.26    0.92    3.48 
3200    25    0.26    1.24    4.74 
3300    10    0.10    0.38    3.89 
3400    10    0.11    0.53    4.71 
4000    15    0.29    2.97    10.37 
9999    12.5    0.04    0.28    7.77 

 

Variography

 

Only the bulk domains were estimated using OK. Each bulk domain had independent variography completed. The capped composite files, flagged by estimation domains, were imported into Supervisor and used to calculate the variograms and model the experimental variograms for each domain (e.g., Figure 14-7). Table 14-6 presents the breakdown of variogram parameters and directions.

 

Page 197

 

 

 Kinross Gold Corporation
Great Bear Gold Project
Ontario, Canada
NI 43-101 Technical Report

 

 

Figure 14-7: Directional variograms for LP Zone domain 1500 estimated using OK

 

Page 198

 

 

 Kinross Gold Corporation
Great Bear Gold Project
Ontario, Canada
NI 43-101 Technical Report

 

Table 14-6: Summary of variogram parameters by domain

 

                  Ranges in the Variogram
Directions (m)
    Orientations of the Variogram
Directions (Vulcan)(
°)
 
Domain     Nugget     Sill
Differential
    Major
Axis
    Semi-
major
Axis
    Minor
Axis
    Bearing     Plunge     Dip  
1000     0.057       0.8654       44       33       23     352.4     -63.2     159.6  
      0.0775       208       185       28    
1100     0.071       0.8333       79       69       3     341.9     -65.2     144.6  
      0.0958       434       109       32    
1200     0.035       0.9436       71       53       3     1.3     -74.2     162.0  
      0.0211       402       131       20    
1300     0.033       0.8053       96       36       3     340.7     -72.0     147.1  
      0.1618       535       411       22    
1400     0.075       0.8624       145       32       19     356.3     -74.2     162.0  
      0.063       503       113       20    
1500     0.132       0.8096       57       39       13     356.3     -74.2     162.0  
      0.0588       913       526       14    
1600     0.062       0.7801       74       20       4     340.7     -72.0     147.1  
      0.1583       476       234       67    
1700     0.023       0.7562       148       153       42     334.6     -75.9     135.4  
      0.2209       941       486       73    
1800     0.0001       0.8303       65       47       2     345.7     -72.0     147.1  
      0.1696       526       145       13    
1900     0.177       0.6848       135       87       4     356.3     -74.2     162.0  
      0.1381       541       305       107    
2000     0.072       0.885       54       39       3     320.4     -65.2     128.1  
      0.0427       453       453       47    
2100     0.043       0.8477       92       47       3     350.7     -72.0     147.1  
      0.1089       534       271       41    
2200     0.039       0.6558       91       91       3     345.7     -72.0     147.1  
      0.3057       542       406       56    
2300     0.063       0.8764       73       51       3     333.2     -62.0     136.8  
      0.0607       690       249       44    
2400     0.137       0.8376       35       35       3     339.0     -68.9     136.0  
      0.0258       526       408       14    
3000     0.034       0.8991       39       29       3     316.7     -49.0     105.3  
      0.0673       683       441       28    
3100     0.028       0.8456       82       73       3     0.0     -75.9     135.4  
      0.1262       324       243       15    

 

Page 199

 

 

 Kinross Gold Corporation
Great Bear Gold Project
Ontario, Canada
NI 43-101 Technical Report

 

                  Ranges in the Variogram
Directions (m)
    Orientations of the Variogram
Directions (Vulcan)(
°)
 
Domain     Nugget     Sill
Differential
    Major
Axis
    Semi-
major
Axis
    Minor
Axis
    Bearing     Plunge     Dip  
3200     0.041       0.8295       52       18       3     5.7     -72.0     147.1  
      0.13       179       114       20    
3300     0.03       0.5923       63       31       3     13.3     -78.8     153.7  
      0.3781       447       390       9    
3400     0.033       0.8755       96       65       3     40     -85     180  
      0.0914       683       583       12    
4000     0.048       0.9063       71       67       4     345.7     -72.0     147.1  
      0.0454       397       356       16    

 

Variogram orientations were visually confirmed in Vulcan by plotting the orientations and reviewing them with the estimation domains.

 

Dynamic Anisotropy

 

The morphology of the mineralized body is curviplanar in nature. To capture the appropriate variogram and search ellipse directions within domains that exhibit significant changes in orientation, dynamic anisotropy was used. A centre plane was generated in Leapfrog for each of the domains and transferred from Leapfrog to Vulcan to generate an anisotropy model to assign to the block model.

 

Block Modelling

 

Model Setup

 

The block model is a Vulcan extended model with a parent cell size of 50 m x 50 m x 50 m and sub-block cell size of 5 m x 1 m x 5 m. The block model extents are presented in Table 14-7.

 

Table 14-7: Block model extents and the block parameters

 

    Base Point
(lower left corner)
    Block Extents
(m)
    Block Size
(m)
    Rotation
(
°)
    X     Y     Z     X     Y     Z     X     Y     Z     Bearing   Dip   Plunge
Parent   454,558.257     5,634,381.488     -1,440     4,450     1,750     1,850       50       50       50     117.2°    
Sub-cell                             5       1       5        

 

Once the block model was constructed, it was flagged using the Leapfrog rock model, overburden model, estimation domains, and classification solids. The block fraction below topography was assigned using the high-resolution light detection and ranging (LiDAR) survey topography model (22_GBear_DEM_1m.00t).

 

Page 200

 

 

 Kinross Gold Corporation
Great Bear Gold Project
Ontario, Canada
NI 43-101 Technical Report

 

The 2024 Great Bear LP Zone block model variables, variable type, and defaults are listed in Table 14-8.

 

Table 14-8: Description of block model variables

 

Variable   Type   Default   Description
au_cap_hy_final   Double   0   Final gold grade estimate
class   Int   4   Classification domain
domain   Int   9999   Estimation domain
rock   Int   99   Rock code
sg   Double   2.715   Density (g/cm3)
topo   Double   0   Fraction of block below topo (0 = entirely above, 1 = entirely below)
as_final   Double   0   Final arsenic estimation
ca_final   Double   0   Final calcium estimation
s_final   Double   0   Final sulfur estimation
ard_class   Int       Acid Rock Drainage classification based on WSP parameters
wsp_rock   Int       Grouped rock codes for WSP ARD calculation

 

A regularized model was generated from the 2024 Great Bear LP Zone block model for open pit mine planning purposes. The re-blocked model has a single block size scheme of 10 m x 5 m x 5 m. The criteria used to combine data from multiple blocks to create one re-blocked block are listed in Table 14-9.

 

Table 14-9: Variables using majority codes, averages, and weighted averages

 

Variable   Accumulation Type   Weighting
au_cap_hy_final   Weighted average   Tonnes
class   Majority   -
domain   Majority   -
rock   Majority   -
sg   Average   -
as_final   Weighted average   Tonnes
ca_final   Weighted average   Tonnes
s_final   Weighted average   Tonnes

 

Page 201

 

 

 Kinross Gold Corporation
Great Bear Gold Project
Ontario, Canada
NI 43-101 Technical Report

 

The topo and rock fields were then re-assigned and class was re-calculated.

 

Bulk Density

 

A density database was exported as part of the resource data export from acQuire. The database contained 48,208 density measurements from diamond drill core taken by the analyzing assay laboratory. The rock codes from the geological model were assigned to the density samples and average density values were calculated for each rock code, after accounting for statistical outliers as shown in Table 14-10. Those average densities were then flagged into the block model by rock code.

 

In 2023, an overburden density study was completed for the Property. As currently there is not enough data to model separate overburden material layers and apply discrete densities, an average density of 1.92 g/cm3 was calculated for the overburden. This is a minor increase to the 1.9 g/cm3 from previous models.

 

Page 202

 

 

 Kinross Gold Corporation
Great Bear Gold Project
Ontario, Canada
NI 43-101 Technical Report

 

Table 14-10: Average density values for each rock code

 

Rock   Density
Above Topography   0 t/m3
Overburden     1.92 t/m3
Biotite_Calcite_Pillows_E1PBT     2.96 t/m3
Calc-Alk_Basalt_Undifferentiated_Arrow     2.996 t/m3
Dacite_BR_Disc     2.85 t/m3
Dyke 1     2.793 t/m3
E31     2.715 t/m3
E31_01     2.715 t/m3
E31_02     2.715 t/m3
E31_Vuggy     2.676 t/m3
E31M_magnetic_Combined     2.72 t/m3
E32_Fine_grained_felsic_combined     2.673 t/m3
Felsic_porphyry_dyke_combined     2.71 t/m3
Fragmental_1_Combined     2.729 t/m3
Fragmental_2_E3F2     2.695 t/m3
Gabbro_BK_Limb     2.793 t/m3
Granite     2.793 t/m3
High_Fe_Tholeiite_Combined     2.794 t/m3
High_Mg_Dyke_combined     2.974 t/m3
High_Mg_Tholeiitic_basalt_Combined     2.974 t/m3
High_Mg_Tholeiitic_Basalt_Massive_E1M     2.974 t/m3
High_Mg_Tholeiitic_Basalt_Viggo     2.974 t/m3
Metasediment1_MS1     2.736 t/m3
Metasediment2_MS2_combined     2.768 t/m3
Metasediment3_MS3     2.726 t/m3
Rhyolite_combined     2.73 t/m3
Sediment_combined     2.78 t/m3
Sericite_schist_Combined     2.709 t/m3
Talcy_Ultramafic_Dyke_Combined     2.83 t/m3
Tonalite_Combined     2.83 t/m3
Ultramafic_dyke_02_Br_disc     2.83 t/m3
Ultramafic_dyke_03_Br_disc     2.83 t/m3
Ultramafic_dyke_Combined     2.83 t/m3
Amphibole_Schist_Viggo     2.69 t/m3
Barren Dykes     2.69 t/m3

 

Page 203

 

 

 Kinross Gold Corporation
Great Bear Gold Project
Ontario, Canada
NI 43-101 Technical Report

 

Estimation

 

The 2024 Great Bear LP Zone model was built and estimated using Vulcan software. The bulk estimation domains were estimated using OK, while the high-grade and background estimation domains were estimated using ID3. The estimate uses a two-pass strategy in the bulk and high-grade estimation domains with a 200 m x 150 m x 50 m ellipse for pass 1, and a 100 m x 75 m x 25 m ellipse for pass 2. The background estimation domain uses a single pass estimation strategy with a 250 m x 120 m x 40 m ellipse. Multiple estimates were run flexing inclusion of high-yield restriction and high-yield restriction thresholds, capping levels, estimation methodology (OK versus ID3), and minimum and maximum samples included to align with the ground truth model.

 

High-grade Domains

 

The block model estimation was ID3 with the following implementation strategy:

 

1.5 m x 1 m x 5 m block discretization.

 

2.A two-pass search strategy was used, with a pass one ellipse distance of 200 m x 150 m x 50 m and pass two ellipse distance of 100 m x 75 m x 25 m.

 

3.Pass one required a minimum of three and maximum of eight samples. Pass two required a minimum of two and maximum of eight samples.

 

4.Pass one and two both required a maximum of two samples per drill hole.

 

5.Capping was applied during the estimation process in Vulcan.

 

6.Hard boundaries were used for all domains.

 

7.Dynamic anisotropy block model variables were used for search ellipse orientations.

 

8.For pass one, no high-yield restriction was applied. For pass two, high-yield restriction was applied as follows:

 

oIndividual grade thresholds by domain, 50% of pass two search radii.

 

Bulk Domains

 

The block model estimation was OK with the following implementation strategy:

 

1.5 m x 1 m x 5 m block discretization.

 

2.A two-pass search strategy was used, with a pass one ellipsoid distance of 200 m x 150 m x 50 m and pass two ellipsoid distance of 100 m x 75 m x 25 m.

 

Page 204

 

 

 

 

 Kinross Gold Corporation
Great Bear Gold Project
Ontario, Canada
NI 43-101 Technical Report

 

3.Pass one required a minimum of three and maximum of 16 samples. Pass two required a minimum of two and maximum of 16 samples.

 

4.Pass one and two both required a maximum of two samples per drill hole.

 

5.Capping was applied during the estimation process in Vulcan.

 

6.Hard boundaries were used for all domains.

 

7.Dynamic anisotropy block model variables were used for search ellipsoid and variogram orientations.

 

8.In pass one, no high-yield restriction was applied. In pass two, high-yield restriction was applied as follows:

 

oIndividual grade thresholds by domain, 50% of pass two search radii.

 

Background Mineralization

 

The block model estimation was ID3 with the following implementation strategy:

 

1.5 m x 1 m x 5 m block discretization.

 

2.A single pass search strategy was used, the ellipse used was 250 m x 120 m x 40 m diameter.

 

3.A minimum of three and maximum of eight samples were used.

 

4.A maximum of two samples per drill hole were used.

 

5.Capping was applied during the estimation process in Vulcan.

 

6.Hard boundaries were used for all domains.

 

7.Dynamic anisotropy block model variables were used for search ellipse orientation.

 

8.In pass one, no high-yield restriction was applied. In pass two, high-yield restriction was applied as follows:

 

oIndividual grade thresholds by domain, 50% of pass two search radii.

 

Classification

 

A drill hole spacing analysis was carried out using the variograms for the major bulk and high-grade domains. A normalized gamma of 0.8 (80% of the sill) corresponds approximately with a 50 m range while a normalized gamma of 0.9 (90% of the sill) corresponds approximately with a 75 m range across those experimental variogram models. From a classification perspective, these ranges were considered as the drill spacing criteria to be used for assigning the Indicated and Inferred classifications in the 2024 Great Bear LP Zone model. Blocks within 10 m of the densely spaced RC drill program were classified as Measured. The experimental variogram models of the Auro domain with callouts for the 80% and 90% ranges are illustrated in Figure 14-8. At this time, any Measured or Indicated material that falls outside of the optimized resource pits is downgraded to Inferred.

 

Page 205

 

 

 Kinross Gold Corporation
Great Bear Gold Project
Ontario, Canada
NI 43-101 Technical Report

 

 

Figure 14-8: Experimental variogram models

 

The RC program drilling supports initial drill hole classification analysis and indicates that there is continuity in the high-grade gold population at 50 m and reasonable continuity at 75 m (Figure 14-9).

 

Page 206

 

 

 Kinross Gold Corporation
Great Bear Gold Project
Ontario, Canada
NI 43-101 Technical Report

 

 

Figure 14-9: RC Drill Program Assays

 

Classification shells for Indicated and Inferred were built around drill hole traces in Leapfrog (Figure 14-10). Buffers around traces were set at 25 m radius for Indicated and 37.5 m diameter for Inferred. The shells outline areas with drill densities for Indicated and Inferred meeting the spacing criteria to create a coherent mass, which was then used to flag the model in Vulcan.

 

Page 207

 

 

 Kinross Gold Corporation
Great Bear Gold Project
Ontario, Canada
NI 43-101 Technical Report

 

 

Figure 14-10: LP Zone classification shells based on drill hole spacing

 

Page 208

 

 

 Kinross Gold Corporation
Great Bear Gold Project
Ontario, Canada
NI 43-101 Technical Report

 

Validation

 

Swath plots were constructed to review estimation results in the major block model directions Z, X, and Y (Figure 14-11, Figure 14-12, and Figure 14-13, respectively) for the gold estimate compared to a nearest neighbour (NN) estimate which replicates declustered raw composite data. Overall, in areas of dense data, the estimates replicate raw data very well.

 

 

Figure 14-11: Swath plots in major block model direction Z

 

Page 209

 

 

 Kinross Gold Corporation
Great Bear Gold Project
Ontario, Canada
NI 43-101 Technical Report

 

 

Figure 14-12: Swath plots in major block model direction X

 

 

Figure 14-13: Swath plots in major block model direction Y

 

Page 210

 

 

 Kinross Gold Corporation
Great Bear Gold Project
Ontario, Canada
NI 43-101 Technical Report

 

Ground Truth Model Validation

 

A ground truth variable was estimated in the 2024 Great Bear LP Zone model. The estimate was independent of the resource gold variable and used only the tightly spaced (8 m x 10 m) RC grade control drilling. The resource estimate did not use the RC data, which allowed for an independent check of the resource estimation to validate results.

 

The RC drill pattern covered a volume equivalent to approximately a quarter of a year of expected production from the open pit to a depth of approximately three benches (Figure 14-14). The location selected included a combination of high grade, low grade, and waste. No estimation domains were used due to the data density within this model. The ground truth model applied a single cap across all drill holes at 50 g/t Au. A dynamic anisotropy plane was modelled to contour the estimate search ellipse and estimates were kept local with a 15 m x 10 m x 5 m search radius. No high-yield restriction was applied. The interpolation method used was ID3.

 

Comparisons to the Great Bear ground truth model were run to validate the 2024 Great Bear LP Zone model. A grade tonnage curve (Figure 14-15) shows that the ground truth model has slightly higher grades with equal tonnes at lower cut-off grades, with the difference becoming slightly more pronounced at higher cut-off grades where the ground truth model has lower tonnes and a higher grade. A comparison of tonnes, grades, and ounces between the two models at various cut-off grades is shown in Table 14-11, with Table 14-12 providing Kinross corporate guidance for reconciliation variance.

 

Page 211

 

 

 Kinross Gold Corporation
Great Bear Gold Project
Ontario, Canada
NI 43-101 Technical Report

 

 

Figure 14-14: Ground truth model (based on 8 m x 10 m RC grade control drilling)

 

Page 212

 

 

 Kinross Gold Corporation
Great Bear Gold Project
Ontario, Canada
NI 43-101 Technical Report

 

 

Figure 14-15: Comparison of ground truth model to long-term model grade tonnage curves

 

Page 213

 

 

 Kinross Gold Corporation
Great Bear Gold Project
Ontario, Canada
NI 43-101 Technical Report

 

Table 14-11: Comparison of tonnes, grade, and ounces in common blocks between the ground truth and long-term models

  

Cut-off Grade   Percent Difference1 
(g/t)   Tonnes   Grade   Metal 
 0.0    0%   -5%   -5%
 0.5    -10%   1%   -9%
 3.0    -4%   -5%   -9%

 

Notes:

 

1.Values show relative difference of the long-term model to the ground truth model such that negative values indicate that the long-term model contains less than the ground truth model (e.g., a -10% Tonnes indicate the long-term model has 10% less tonnes than the ground truth model at the same cut-off grade).

 

Table 14-12: Kinross corporate guidance for reconciliation variance

 

KPIs   Month   Quarter   Year 
F1    ±25%   ±15%   ±10%
F2    ±10%   ±7.5%   ±5%
F3    ±25%   ±15%   ±10%

 

Mineral Resource Reporting

 

Mineral Resources are reported as per the Mineral Resource estimation methodologies and classification criteria detailed in this Technical Report. The open pit and underground resources, as of April 2, 2024, were constrained with open pit resource shells and underground mineable shapes, respectively, to fulfill the CIM (2014) Definitions requirement of “reasonable prospects for eventual economic extraction” (RPEEE).

 

Open Pit Shell and Cut-off Grade

 

The Kinross QP prepared an optimized open pit shell to constrain the block model for resource reporting purposes. The pit shell was generated within Datamine Studio NPV Scheduler software (NPVS) using the Lerchs-Grossmann (LG) algorithm. That part of the block model that falls within the preliminary pit shell was considered to have RPEEE and is reported as a Mineral Resource at a specified cut-off grade. The QP confirmed that most of the blocks above the cut-off grade located in the resource pit shell show good continuity (Figure 14-15).

 

The LP Zone pit resource shell was selected at an input gold price of US$1,700/oz for both volume and cut-off grade. Two sections of the LP Zone have been considered for open pit resource; including LP Central and LP Viggo areas.

 

Page 214

 

 

 Kinross Gold Corporation
Great Bear Gold Project
Ontario, Canada
NI 43-101 Technical Report

 

Assumptions used in the preliminary LG pit shell analysis were:

 

·Gold price: US$1,700/oz (C$2,295/oz)

 

·Exchange rate: US$0.74 = C$1.00

 

·Pit slope angles:

 

oOverburden 0-7m Thick: 15.0°

 

oOverburden 7-12m Thick: 14.8°

 

oOverburden 12-20m Thick: 11.3°

 

oOverburden 20m+ Thick: 11.5°

 

oHard Rock: 45°.

 

·Process recovery of gold: 95.7% overall

 

·Mining cost for waste: C$4.50 per tonne

 

·Mining cost for mineralized material: C$4.50 per tonne

 

·Processing cost: C$24.83 per tonne

 

·General and administrative (G&A) costs: C$13.13 per tonne

 

The LG zone analysis produced a pit discard cut-off grade of 0.55 g/t Au.

 

Process recovery of gold was calculated based on a feed grade recovery formula. The mining cost was derived from a base unit cost of C$4.01 per tonne and incremental vertical bench (10 m) cost of C$0.060 per tonne per bench below overburden-bedrock interface reference.

 

The 3D model shell plan and section of the LP Zone open pit is shown in Figure 14-16 and Figure 14-17, respectively.

 

Page 215

 

 

 Kinross Gold Corporation
Great Bear Gold Project
Ontario, Canada
NI 43-101 Technical Report

 

 

Figure 14-16: LP Zone resource open pit shell in 3D – Plan

 

 

Figure 14-17: LP Zone resource open pit shell in 3D – Section

 

Underground Reporting and Cut-off Grade

 

Underground Mineral Resources are reported within underground reporting shapes generated using the Mineable Shape Optimizer (MSO) tool and defined using a minimum stope thickness of 2.5 m, limited to areas of continuous mineralization. A cut-off grade of 2.3 Au g/t was used for the LP Zone underground. All blocks within the underground constraining shapes have been included within the Mineral Resource estimate, and underground reporting shapes are presented in Figure 14-18. Underground resource is reported using US$1,700 MSOs up to the open pit resource shell. It was assumed that the crown pillars to surface and underneath the pits can be recovered. No surface water bodies are present in the breakthrough areas. Stope panel shapes that were considered too isolated or small to be reasonably accessed and extracted were excluded from the resource.

 

Page 216

 

 

 Kinross Gold Corporation
Great Bear Gold Project
Ontario, Canada
NI 43-101 Technical Report

 

The underground Mineral Resource cut-off grade was calculated with the gold price and full operating costs including mining, processing, and G&A. The cut-off grade has been calculated based on longitudinal longhole stoping mining method with cemented backfilling, with underground extraction concurrent with the open pit mining.

 

Assumptions used to estimate the underground cut-off grade were:

 

·Gold price: US$1,700/oz (C$2,295/oz)

 

·Exchange rate: US$0.74 = C$1.00

 

·Process recovery of gold: 96.2%

 

·Mining cost: C$95.99 per tonne

 

·Processing cost: C$23.54 per tonne

 

·G&A costs: C$14.62 per tonne

 

It has been assumed that the mineralization occurring as intermediate pillars along strike can be accessed by the same infrastructure, and therefore recovered at a lower cost than the rest of the resource. For this material a reduced incremental cut-off grade of 1.7 Au g/t was calculated by removing the operating development costs. This reduced cut-off material accounts for approximately 4.7% of the total resource ounces.

 

 

Figure 14-18: LP Underground resource shapes

 

Page 217

 

 

 Kinross Gold Corporation
Great Bear Gold Project
Ontario, Canada
NI 43-101 Technical Report

 

Comparison to Previous Models

 

The 2022 Great Bear LP Zone model, released by Kinross, was the first resource model to be completed for the zone. In early 2024, Kinross released the 2023 Great Bear LP Zone Resource model and a mid-year resource update was completed in 2024. The model comparisons for relevant classifications are shown below in Table 14-13.

 

The changes since the previous LP Mineral Resource estimate are a result of the combined effect of exploration drilling targeting depth extension and infill drilling intended to upgrade resource classification in both the underground and open pit.

 

Page 218

 

 

 Kinross Gold Corporation
Great Bear Gold Project
Ontario, Canada
NI 43-101 Technical Report

 

Table 14-13: Comparison of 2022, 2023, and 2024 LP Zone Resource estimates

 

      2022 Great Bear LP Zone
December 31, 20221
   2023 Great Bear LP Zone
December 31, 20232
   2024 Great Bear LP Zone April
 2, 20243
 
Zone  Classification   Tonnes
(000)
   Grade
(g/t Au)
   Ounces
(000)
   Tonnes
(000)
   Grade
(g/t Au)
   Ounces
(000)
   Tonnes
(000)
   Grade
(g/t Au)
   Ounces
(000)
 
   Measured   -    -    -    1,839    2.56    152    1,556    3.04    152 
   Indicated   33,110    2.57    2,737    31,029    2.67    2,661    28,711    2.80    2,586 
LP Open Pit  TOTAL M&I   33,110    2.57    2,737    32,867    2.66    2,813    30,267    2.81    2,738 
   Inferred   8,400    2.24    606    3,416    1.15    127    2,349    1.53    115 
   Measured   0    0    0    0    0    0    0    0    0 
   Indicated   0    0    0    0    0    0    0    0    0 
LP Underground4  TOTAL M&I   0    0    0    0    0    0    0    0    0 
   Inferred   10,585    4.54    1,547    17,550    5.29    2,982    21,406    5.18    3,562 
   Measured   0    0    0    1,839    2.56    152    1,556    3.04    152 
   Indicated   33,110    2.57    2,737    31,029    2.67    2,661    28,711    2.80    2,586 
Total  TOTAL M&I   33,110    2.57    2,737    32,867    2.66    2,813    30,267    2.81    2,738 
   Inferred   18,985    3.53    2,153    20,966    4.61    3,109    23,755    4.81    3,677 

 

Notes:

 

1.Mineral Resources were estimated within a US$1,400 per ounce optimized pit shell, with a gold sales price of US$1,700 per ounce applied, which resulted in a cut-off grade of 0.50 g/t Au.

2.Mineral Resources estimated at a gold price of US$1,700 per ounce. Open pit Mineral Resources were reported within optimized pit shells at a cut-off grade of 0.50 g/t Au.

3.Mineral Resources estimated at a gold price of US$1,700 per ounce. Open pit Mineral Resources are reported within optimized pit shells at a cut-off grade of 0.55 g/t Au.

4.Underground Resources estimated outside the open pit Mineral Resources, at a gold price of US$1,700 within stope panel shapes designed assuming longhole open stoping mining method.

5.Mineral Resources that are not Mineral Reserves do not have demonstrated economic viability.

 

Page 219

 

 

 Kinross Gold Corporation
Great Bear Gold Project
Ontario, Canada
NI 43-101 Technical Report

 

LP Zone Open Pit Mineral Resource Sensitivity

  

The cut-off grade (CoG) sensitivity of the open pit Measured, Indicated, and Inferred Mineral Resource estimates for the LP Zone is summarized in Table 14-14. The QP notes that the contained ounces are relatively insensitive to gold cut-off grades.

 

Table 14-14: Open pit Mineral Resource sensitivity – LP Zone

 
MEASURED  CoG
(g/t Au)
   Tonnes
(000)
   Grade
(g/t Au)
   Gold Ounces
(000)
 
    0.55    1,556    3.04    152 
    0.6    1,469    3.19    150 
    0.7    1,347    3.42    148 
    0.8    1,260    3.60    146 
    0.9    1,176    3.80    144 
Open Pit Measured   1.0    1,102    3.99    141 
    1.1    1,036    4.18    139 
    1.2    969    4.39    137 
    1.3    918    4.56    135 
    1.4    867    4.75    132 
    1.5    822    4.93    130 

 

INDICATED   CoG
(g/t Au)
    Tonnes
(000)
    Grade
(g/t Au)
    Gold Ounces
(000)
 
      0.55       28,711       2.80       2,586  
      0.6       26,878       2.95       2,552  
      0.7       24,017       3.23       2,493  
      0.8       21,821       3.48       2,440  
      0.9       19,983       3.72       2,390  
Open Pit Indicated     1.0       18,486       3.94       2,344  
      1.1       17,138       4.17       2,299  
      1.2       15,970       4.39       2,255  
      1.3       14,934       4.61       2,214  
      1.4       14,020       4.82       2,174  
      1.5       13,180       5.04       2,135  

 

Page 220

 

 

 Kinross Gold Corporation
Great Bear Gold Project
Ontario, Canada
NI 43-101 Technical Report

 

INFERRED  CoG
(g/t Au)
   Tonnes
(000)
   Grade
(g/t Au)
   Gold Ounces
(000)
 
    0.55    2,349    1.53    115 
    0.6    2,208    1.59    113 
    0.7    1,984    1.69    108 
    0.8    1,792    1.79    103 
    0.9    1,619    1.90    99 
Open Pit Inferred   1.0    1,463    2.00    94 
    1.1    1,315    2.10    89 
    1.2    1,191    2.20    84 
    1.3    1,077    2.30    80 
    1.4    965    2.41    75 
    1.5    871    2.52    71 

 

LP Zone Underground Mineral Resource Sensitivity

 

The cut-off grade sensitivity of the underground Mineral Resource estimates for the LP Zone is summarized in Table 14-15. Only Inferred Resource has been estimated for the underground LP Zone.

 

Table 14-15: Underground Mineral Resource sensitivity – LP Zone

 

INFERRED   CoG
(g/t Au)
   Tonnes
(000)
   Grade
(g/t Au)
   Gold Ounces
(000)
 
     2.3    21,406    5.18    3,562 
     2.5    17,529    5.85    3,296 
     3.0    14,335    6.54    3,014 
Underground Inferred    3.5    11,781    7.26    2,748 
     4.0    9,869    7.94    2,518 
     4.5    8,390    8.59    2,317 
     5.0    7,107    9.28    2,122 

 

14.4Hinge and Limb Zone Mineral Resource Estimate

 

Summary

 

Great Bear’s Hinge and Limb zones are satellite deposits located approximately 750 m southwest of the main LP Zone. The resource inventory was built using Snowden Supervisor v8.14.3.1 for geostatistical analysis and Leapfrog Geo/Edge 2023.2 for geological and domain modelling, compositing, and estimation. The Limb Zone estimation domains comprise a mineralized zone within metasediments with silica and sulphide replacement hosted in the north limb of the fold. The Hinge Zone estimation domains encompass quartz veins within a tholeiitic basalt in the axial plane of the fold. The main vein at Limb was interpolated using OK and the remaining lenses, using ID3.

 

Page 221

 

 

 Kinross Gold Corporation
Great Bear Gold Project
Ontario, Canada
NI 43-101 Technical Report

 

The model classification criteria are based on drilling spacing analysis and vary between the zones given the differences in the mineralization and its continuity between the two. The Mineral Resource estimate for the Hinge and Limb zones is summarized in Table 14-16.

 

Table 14-16: Hinge and Limb Zone Mineral Resource summary – April 2, 2024

 

          Tonnes   Grade   Gold Ounces 
Zone      Classification  (000)   (g/t Au)   (000) 
       Measured   0    0    0 
        Indicated   0    0    0 
Hinge Zone   UG   TOTAL M&I   0    0    0 
        Inferred   344    6.49    72 
        Measured   0    0    0 
        Indicated   0    0    0 
Limb Zone   UG   TOTAL M&I   0    0    0 
        Inferred   1,381    3.03    135 
        Measured   0    0    0 
        Indicated   0    0    0 
Total   UG   TOTAL M&I   0    0    0 
        Inferred   1,725    3.72    206 

 

Notes:

 

1.Mineral Resources estimated according to CIM (2014) Definitions.

2.Mineral Resources estimated at a gold price of US$1,700 per ounce.

3.Underground Mineral Resources are estimated at cut-off grades of 2.4 g/t for the Hinge Zone and 2.5 g/t Au for the Limb Zone.

4.Mineral Resources are reported within underground panel shapes for longhole open stoping mining method.

5.Mineral Resources that are not Mineral Reserves do not have demonstrated economic viability.

6.Numbers may not add due to rounding.

 

Geological Model and Estimation Domains

 

The Limb Zone estimation domains comprise a continuous mineralized zone within metasediments, occurring between high Fe tholeiite and calc-alkaline basalt in the north limb of the fold (Figure 14-19). The Hinge estimation domains comprise quartz veins within high Fe tholeiitic basalt in the axial plane of the fold. A total of five estimation domains were built for Limb, 24 estimation domains were built for Hinge, and two estimation domains were built for Arrow.

 

Page 222

 

 

 Kinross Gold Corporation
Great Bear Gold Project
Ontario, Canada
NI 43-101 Technical Report

 

The current understanding of the deposit suggests that the overburden on the Property is unmineralized, and therefore all estimation domains are terminated on the lower contact of the overburden model.

 

 

Figure 14-19: Lithological model section cutting the main Limb vein with the folded metasedimentary layer

 

Compositing

 

The sample intervals are predominantly 0.5 m in length and 90% of the samples are equal to or less than one metre in length (Figure 14-20). The minimum block size in the octree block model is 0.625 m x 0.625 m x 1 m to support underground planning. A composite size of one metre was selected, as it covers the majority of the sample length while representing the block dimensions well at both Limb and Hinge.

 

Page 223

 

  

 Kinross Gold Corporation
Great Bear Gold Project
Ontario, Canada
NI 43-101 Technical Report

 

 

Figure 14-20: Limb and Hinge zones - Histogram of assay sample lengths

 

The contacts between mineralization domains and background host rock were determined to be hard boundaries. The composites were generated in Leapfrog inside estimation domains, then flagged with the corresponding domain code. Remnant, short intervals were then added to the previous interval.

 

Page 224

 

 

 

Kinross Gold Corporation

Great Bear Gold Project

Ontario, Canada

NI 43-101 Technical Report

 

Exploratory Data Analysis

 

Exploratory Data Analysis was performed in both Leapfrog and Supervisor software. The composite database flagged by the estimation domains was exported to .csv and imported to Supervisor for further evaluation.

 

Statistics

 

Contact Analysis

 

The contact analysis shows that hard boundaries are appropriate, and the estimation data should be constrained by the domains. Grade transitions from Limb LMB_01 domain to background and from Hinge HNG_01 domain to background are shown in Figure 14-21 and Figure 14-22, respectively.

 

 

 

Figure 14-21: Grade transitions – LMB_01 domain to background

 

Page 225

 

 

Kinross Gold Corporation

Great Bear Gold Project

Ontario, Canada

NI 43-101 Technical Report

 

 

 

Figure 14-22: Grade transitions – HNG_01 domain to background

 

Capping

 

Capping was carried out on a domain-by-domain basis and analyzed in four different graphs. The uncapped and capped statistics are shown to the right of the graphs in Figure 14-23 for Limb and Figure 14-24 for Hinge and summarized in Table 14-17 for both zones. Each domain was capped independently.

 

Page 226

 

 

Kinross Gold Corporation

Great Bear Gold Project

Ontario, Canada

NI 43-101 Technical Report

 

 

Figure 14-23: LMB_01 domain capped and uncapped statistics

 

Page 227

 

 

Kinross Gold Corporation

Great Bear Gold Project

Ontario, Canada

NI 43-101 Technical Report

 

 

Figure 14-24: HNG_01 domain capped and uncapped statistics 

 

Table 14-17: Capped and uncapped composite statistics by domain

 

    Uncapped  Capped 
Domain  Samples   Mean
(g/t Au)
  Median
(g/t Au)
  SD
(g/t Au)
  CV  Min
(g/t Au)
  Max
(g/t Au)
  Capping
Value
(g/t Au)
  Mean
(g/t Au)
  SD
(g/t Au)
  CV 
ARW_01   6   2.12   0.55   3.44   1.63   0.397   9.81   -   -   -   - 
ARW_02   14   3.83   0.54   8.31   2.17   0.049   32.66   -   -   -   - 
LMB_01   1,116   2.77   1.53   6.08   2.2   0.003   117.02   46   2.65   4.32   1.63 
LMB_02   30   1.15   0.81   1.31   1.13   0.006   6.02   -   -   -   - 
LMB_03   93   1.01   0.32   1.49   1.48   0.003   7.91   -   -   -   - 
LMB_05   17   3.19   0.42   7.17   2.25   0.003   30.20   10   2.00   3.14   1.57 
LMB_06   90   2.37   1.39   3.23   1.36   0.004   25.61   -   -   -   - 
HNG_01   128   7.27   1.04   20.56   2.83   0.003   174.77   50   5.58   11.29   2.02 
HNG_02   80   3.26   1.37   6.67   2.05   0.006   51.13   25   2.93   4.65   1.59 
HNG_03   56   2.41   0.72   6.26   2.59   0.006   41.21   -   -   -   - 
HNG_04   15   1.83   1.31   1.77   0.97   0.003   6.60   -   -   -   - 
HNG_05    9   13.19   7.51   16.18   1.23   0.003   56.82   -   -   -   - 
HNG_06   25   14.21   0.86   27.80   1.96   0.003   120.62   40   9.50   13.87   1.46 

 

Page 228

 

 

Kinross Gold Corporation

Great Bear Gold Project

Ontario, Canada

NI 43-101 Technical Report

 

      Uncapped     Capped  
Domain     Samples      Mean
(g/t Au)
    Median
(g/t Au)
    SD
(g/t Au)
    CV     Min
(g/t Au)
    Max
(g/t Au)
    Capping
Value
(g/t Au)
    Mean
(g/t Au)
    SD
(g/t Au)
    CV  
HNG_07   9   1.93   1.59   1.44   0.74   0.115   5.18   -   -   -   - 
HNG_08   82   26.18   1.89   100.20   3.83   0.003   863.70   130   15.48   29.86   1.93 
HNG_09   72   5.02   0.72   11.99   2.39   0.005   58.40   30   3.97   7.97   2.01 
HNG_10   7   6.23   1.07   9.40   1.51   0.556   28.45   -   -   -   - 
HNG_12   47   1.95   0.74   4.56   2.34   0.025   31.26   -   -   -   - 
HNG_13   9   1.40   0.86   1.13   0.81   0.114   3.88   -   -   -   - 
HNG_14   14   10.14   1.02   15.48   1.53   0.10   57.80   26   7.87   9.50   1.21 
HNG_15    13   4.05   0.59   6.99   1.73   0.13   25.60   -   -   -   - 
HNG_16    9   0.97   0.49   1.30   1.33   0.003   4.15   -   -   -   - 
HNG_17    27   3.81   0.56   7.87   2.07   0.003   33.95   -   -   -   - 
HNG_18    18   56.38   1.18   207.20   3.68   0.162   908.00   76   10.16   23.19   2.28 
HNG_19    37   5.34   1.68   9.62   1.80   0.003   42.41   -   -   -   - 
HNG_20   14   3.03   0.98   4.18   1.38   0.144   15.50   -   -   -   - 
HNG_21   9   0.64   0.33   0.75   1.17   0.12   2.69   -   -   -   - 
HNG_22   6   2.05   0.63   3.44   1.68   0.13   9.72   -   -   -   - 
HNG_23   18   2.03   0.93   3.09   1.53   0.019   13.10   -   -   -   - 
HNG_24   16   4.60   1.23   7.28   1.58   0.033   27.30   -   -   -   - 
HNG_25   3   3.01   2.14   1.56   0.52   0.95   4.73   -   -   -   - 

 

High-yield Restriction

 

High-yield restriction was applied to most Hinge and Limb domains to control the effect of high-grade samples on the estimation. The high-yield cut-off applied to all domains was 20 g/t Au. Grades above the cut-off were capped to 20 g/t Au beyond 25%-50% of the search ellipse ranges dependent upon the domain population and size. See the Block Modelling section below for a list of domains that employed high-yield restriction.

 

Variography

 

The variograms were modelled in both Supervisor and Leapfrog, which produced very similar results. Only the main Limb domain (code LMB_01) was estimated using OK (Figure 14-25).

 

Page 229

 

 

Kinross Gold Corporation

Great Bear Gold Project

Ontario, Canada

NI 43-101 Technical Report

 

 

Figure 14-25: Variogram model for LMB_01 domain estimated using OK

 

Dynamic Anisotropy

 

Dynamic anisotropy was applied during the estimation in Leapfrog Edge due to the curviplanar nature of the veins. The wireframes were used to calculate the orientation of search ellipses for each block.

 

Block Modelling

 

Model Setup

 

The block model was built in Leapfrog and the octree option was chosen in order to have small blocks to better fill the wireframes, replicate the solids volume, and minimize dilution in the optimization (Figure 14-26).

 

Page 230

 

 

Kinross Gold Corporation

Great Bear Gold Project

Ontario, Canada

NI 43-101 Technical Report

 

 

Figure 14-26: Octree block model setup in Leapfrog

 

A list of variables and their descriptions is presented in Table 14-18.

 

Table 14-18: Block model variables description

 

Variable   Description
Auppm   Final gold grade estimate
Density   Density assigned by lithology and estimation domain
Domain   Estimation domain codes
Class   Classification domains
Litho   Lithology codes
Topo   Above and below topography code

 

Page 231

 

 

Kinross Gold Corporation

Great Bear Gold Project

Ontario, Canada

NI 43-101 Technical Report

 

Bulk Density

 

The cores were sampled for specific gravity analysis, and they are well spatially distributed throughout the deposit. A descriptive statistic was made for each rock code assigned from the geological model and an average density was assigned to lithology and estimation domains.

 

In 2023, an overburden density study was completed for the Property. As currently there is not enough data to model separate overburden material layers and apply discrete densities, an average density of 1.92 g/cm3 was calculated for the overburden. This is a minor increase to the 1.9 g/cm3 used in a prior internal engineering study.

 

·Above Topography = 0

 

·Overburden = 1.92 t/m3

 

·Limb Domains = 2.9 t/m3

 

·Hinge Domains = 2.78 t/m3

 

·Rhyolite = 2.79 t/m3

 

·Metasediment = 2.8 t/m3

 

·Basalt = 2.89 t/m3

 

·Gabbro = 2.89 t/m3

 

·Ultramafic Dyke = 2.99 t/m3

 

Estimation

 

The main Limb Zone estimation domain (code LMB_01) was estimated using OK, while all the other veins from Limb and Hinge were estimated using ID3. The estimate employs a two-pass strategy using the same search distance, varying the minimum number of samples (five samples in the first pass and one sample in the second pass). Both passes used a maximum of two samples per drill hole. High-grade restriction was used in domains LMB_01, LMB_02, LMB_06, HNG_01, HNG_02, HNG_03, HNG_05, HNG_06, HNG_08, HNG_09, HNG_10, HNG_12, HNG_14, HNG_15, HNG_17, HNG_18, HNG_19, HNG_20, HNG_23, HNG_24, and ARW_02 to avoid spreading high grade in areas with sparse drilling support. Table 14-19 lists search distances for each estimation domain.

 

Page 232

 

 

Kinross Gold Corporation

Great Bear Gold Project

Ontario, Canada

NI 43-101 Technical Report

 

Table 14-19: Ellipsoid search distances for each estimation domain

 

       Search Distance
(m)
     
Domain    Maximum   Intermediate   Minimum 
LMB_01     200    100   20 
LMB_02     100    50   10 
LMB_03     150    75   15 
LMB_05     100    50   10 
LMB_06     100    50   10 
HNG_01     80    50   10 
HNG_02     60    40   10 
HNG_03     60    40   10 
HNG_04     60    40   10 
HNG_05     60    40   10 
HNG_06     60    40   10 
HNG_07     60    40   10 
HNG_08     60    40   10 
HNG_09     60    40   10 
HNG_10     120    80   10 
HNG_12     60    40   20 
HNG_13     120    80   10 
HNG_14     120    80   10 
HNG_15     120    80   10 
HNG_16     120    80   10 
HNG_17     120    80   10 
HNG_18     120    80   20 
HNG_19     120    80   20 
HNG_20     180    120   30 
HNG_21     120    80   10 
HNG_22     120    80   10 
HNG_23     180    120   30 
HNG_24     60    40   10 
HNG_25     180    120   30 
ARW_01     200    100   20 
ARW_02     200    150   30 

 

Page 233

 

 

Kinross Gold Corporation

Great Bear Gold Project

Ontario, Canada

NI 43-101 Technical Report

 

Classification

 

All Inferred material is estimated in pass 1, which estimates blocks using at least five samples and a minimum of three drill holes. A drilling spacing of 75 m for Limb and 50 m for Hinge were also considered, as well as the mineralization continuity. The material that does not fit the specification above (including blocks estimated in pass 1) is coded as unclassified material (Figure 14-27).

 

 

 

Figure 14-27: Classification for Limb Zone looking northeast (left) and Hinge Zone looking northwest (right)

 

Validation

 

Swath plots in the X, Y, and Z directions were used to validate the Au estimation on the Limb and Hinge domains comparing them to the declustered data as an NN interpolator. Overall, the Inferred blocks show the same trends as the declustered data, with some discrepancies due to the use of high-grade restriction on the OK and ID3 estimators.

 

Page 234

 

 

Kinross Gold Corporation

Great Bear Gold Project

Ontario, Canada

NI 43-101 Technical Report

 

Mineral Resource Reporting

 

Mineral Resources are reported as per the Mineral Resource estimation methodologies and classification criteria detailed in this Technical Report. The underground resources, as of April 2, 2024, were constrained with underground mineable shapes in order to fulfill the RPEEE requirement of the CIM (2014) Definitions.

 

Underground Reporting and Cut-Off Grade

 

Underground Mineral Resources are reported within underground reporting shapes generated using the MSO tool and defined using a minimum stope thickness of 2.0 m, limited to areas of continuous mineralization. The cut-off grades were 2.4 g/t Au for the Hinge Zone and 2.5 g/t Au for the Limb Zone. All blocks within the underground constraining shapes have been included within the Mineral Resource estimate, and underground reporting shapes are presented in Figure 14-28. It was assumed that the surface crown pillars can be recovered. No open pit operation has been assumed for the Hinge or Limb zones. No surface water bodies are present in the breakthrough areas. Stope panel shapes that were considered too isolated or small to be reasonably accessed and extracted were excluded from the resource.

 

The underground Mineral Resource cut-off grades were calculated with the gold price and full operating costs including mining, processing, and G&A. The cut-off grades have been calculated based on the proposed longitudinal longhole stoping mining method with cemented backfilling, with underground extraction concurrent with the open pit mining.

 

Assumptions used to estimate the underground cut-off grades were:

 

·Gold price: US$1,700/oz (C$2,295/oz)

 

·Exchange rate: US$0.74 = C$1.00

 

·Process recovery of gold: 93.0% for Limb and 94.2% for Hinge

 

·Mining cost: C$95.99 per tonne

 

·Processing cost per tonne: C$23.54 for Limb and Hinge

 

·G&A costs: C$14.62 per tonne

 

Page 235

 

 

Kinross Gold Corporation

Great Bear Gold Project

Ontario, Canada

NI 43-101 Technical Report

 

 

Figure 14-28: Underground Hinge and Limb resource shapes looking northwest

 

Comparison to Previous Models

 

In early 2023, Kinross released the 2022 Great Bear Resource Model. This was the first resource to be completed for the Property and included the Hinge and Limb zones. In early 2024, Kinross released the 2023 Great Bear Resource Model, updating the resource at the LP Zone as well as the Hinge and Limb zones. A mid-year resource update was completed in 2024. The model comparisons for relevant classifications at Hinge and Limb are shown below in Table 14-20.

 

Resource figures have progressively increased because of the additional exploration drilling that successfully targeted depth extensions.

 

Page 236

 

 

Kinross Gold Corporation

Great Bear Gold Project

Ontario, Canada

NI 43-101 Technical Report

 

Table 14-20: Comparison of previously reported Mineral Resources at Hinge and Limb

 

    2022 Kinross H&L Resource1  2023 Kinross H&L Resource2  2024 Kinross H&L Zone PEA
Resource3
 
Zone  Classification  Tonnes
(000)
  Grade
(g/t Au)
  Ounces
(000)
  Tonnes
(000)
  Grade
(g/t Au)
  Ounces
(000)
  Tonnes
(000)
  Grade
(g/t Au)
  Ounces
(000)
 
Hinge Underground  Measured   0   0   0   0   0   0   0   0   0 
   Indicated   0   0   0   0   0   0   0   0   0 
   TOTAL M&I   0   0   0   0   0   0   0   0   0 
   Inferred   263   5.93   50   344   6.49   72   344   6.49   72 
Limb Underground  Measured   0   0   0   0   0   0   0   0   0 
   Indicated   0   0   0   0   0   0   0   0   0 
   TOTAL M&I   0   0   0   0   0   0   0   0   0 
   Inferred   788   3.44   87   1,381   3.03   135   1,381   3.03   135 
Total  Measured   0   0   0   0   0   0   0   0   0 
   Indicated   0   0   0   0   0   0   0   0   0 
   TOTAL M&I   0   0   0   0   0   0   0   0   0 
   Inferred   1,052   4.07   138   1,725   3.72   206   1,725   3.72   206 

 

Notes

 

1.Mineral Resources were estimated at a gold price of US$1,700 within stope panel shapes designed assuming longhole open stoping mining method with a cut-off grade of 2.3 g/t Au at Hinge and 2.5 g/t Au at Limb.
2.Mineral Resources were estimated at a gold price of US$1,700 within stope panel shapes designed assuming longhole open stoping mining method with a cut-off grade of 2.4 g/t Au at Hinge and 2.5 g/t Au at Limb.
3.Mineral Resources were estimated at a gold price of US$1,700 within stope panel shapes designed assuming longhole open stoping mining method with a cut-off grade of 2.4 g/t Au at Hinge and 2.5 g/t Au at Limb.

 

Page 237

 

 

 

Kinross Gold Corporation

Great Bear Gold Project

Ontario, Canada

NI 43-101 Technical Report

 

Underground Mineral Resource Sensitivity

 

The cut-off grade sensitivity of the underground Mineral Resource estimate for the Hinge and Limb zones is summarized in Table 14-21. The QP notes that the contained ounces are relatively insensitive to gold cut-off grades.

 

Table 14-21: Underground Inferred Mineral Resource sensitivity - Hinge and Limb zones

 

  CoG
(g/t Au)
  Tonnes
(000)
  Grade
(g/t Au)
  Gold Ounces
(000)
  2.3   1,348   4.19   181
  2.5   1,265   4.30   175
  3.0   867   5.02   140
Underground Inferred 3.5   550   6.04   107
  4.0   399   6.93   89
  4.5   295   7.86   75
  5.0   244   8.51   67

 

Page 238

 

 

Kinross Gold Corporation

Great Bear Gold Project

Ontario, Canada

NI 43-101 Technical Report

 

15.Mineral Reserve Estimate

 

The are no Mineral Reserves estimated for the Project at this time.

 

Page 239

 

 

Kinross Gold Corporation

Great Bear Gold Project

Ontario, Canada

NI 43-101 Technical Report

 

16.Mining Methods

 

16.1Introduction

 

The Project design assumes that the deposits at Great Bear will be extracted using a combination of open pit and underground mining methods operating 24 hours per days, seven days per week, 365 days per year. Open pit and underground extraction are scheduled to occur in parallel with production commencing in Year -1 after surface mining pre-production for construction purposes begins in Year -3.

 

The Project design assumes that plant feed will be stockpiled until the process plant begins commissioning in the second half of Year -1 and open pit operations will feed the process plant directly from the mine for eight years and continue with processing of stockpiles for an additional four years. Excluding the pre-production period, the underground operations are expected to be a feed source for the process plant for approximately 12 years.

 

The various open pit and underground mining aspects, assumptions, and estimates for the Project are summarized in the following subsections.

 

16.2Geomechanics

 

WSP was engaged by Kinross to perform the rock mass characterization for the Project and to prepare geotechnical designs for the open pit and underground mines commensurate with a PEA stage of study. To this end, WSP performed a review of all available geomechanics information and undertook a field and laboratory geotechnical investigation program of oriented core drilling and geophysics between July and October 2022. The subsections that follow summarize WSP’s analyses and designs based on available data.

 

Intact Rock and Rock Mass Properties and Geotechnical Conditions

 

The details of the rock properties and geotechnical conditions are described in the following subsections. The areas reviewed by WSP are divided into the LP Zone, which contains the open pits as well as stope blocks beneath the pits, and the Hinge and Limb zones for underground mining.

 

In-situ Stress Conditions

 

No in-situ stress measurements have been taken at the Project, however, other stress measurements have been taken for other mines in the Red Lake area. Based on the available data and WSP’s knowledge of the study area, the far-field stresses summarized in Table 16-1 were considered suitable for the Project and current level of study and the values are in agreement with stress measurements taken by other mines in the area.

 

Page 240

 

 

Kinross Gold Corporation

Great Bear Gold Project

Ontario, Canada

NI 43-101 Technical Report

 

Table 16-1: Far-field stresses considered for site

 

Principal Stress   Orientation
(trend/plunge)
  Magnitude
(MPa)
Major Horizontal Stress (SH)   090° / 00°   2 * SV
Minor Horizontal Stress (Sh)   000° / 00°   1.5 * SV
Vertical Stress (SV)   000° / 90°   0.028 MPa * depth (m)

 

Rock Mass Geomechanical Domains

 

Based on a review of the geology of the study area, the lithologic units were grouped into a total of six geotechnical units based on similar lithology and rock mass strength, which are Mafics, Metasediments, Felsic Volcanics, Fragmentals, Dykes and Vuggy.

 

In general, the rock mass of the LP Zone resides in the Felsic domain, consisting of Fragmentals, Felsic Volcanics, and Metasediments, whereas the underground access, Hinge and Limb zones are located within the Mafic units.

 

Available Geotechnical Data

 

Available data for the site included a database of exploration holes collected by the owners of the site. For the exploration drilling, RQD and structure orientations were recorded and made available for use by WSP. In addition, the structural and lithological models were provided by Kinross and used by WSP in the study.

 

A geotechnical investigation program was designed and supervised by WSP and completed in 2022. The program contained 28 holes totalling 6,659 m of oriented cores. Fifteen of these holes (4,488 m) targeted the LP Zone for the open pit and underground workings (LP Central and LP Discovery zones). The remaining 13 holes (2,171 m) targeted the underground development areas for the Hinge and Limb zones, the portals location, decline alignment, ventilation raise, and spiral ramp locations. Point load testing was conducted at regular intervals along the core.

 

The geotechnical program was followed by a 3,650 m acoustic televiewer (ATV) program covering some of the oriented core holes, as well as a selection of open exploration boreholes to fill in gaps in the coverage. A laboratory testing program was also conducted using samples collected during the field program, with the number of tests summarized in Table 16-2.

 

Page 241

 

 

Kinross Gold Corporation

Great Bear Gold Project

Ontario, Canada

NI 43-101 Technical Report

 

Table 16-2: Summary of testing performed

 

Test Type   Number of Tests
Unconfined Compressive Strength (UCS)   82
Unconfined Compressive Strength with Elastic Properties (UCS-E)   17
Brazilian Tensile Strength (BTS)   44
Triaxial Test (TCS)   48
Direct Shear (DS)   14
Point Load Tests   409

 

Intact Rock Properties

 

Laboratory testing indicates a strong rock mass with a mean unconfined compressive strength (UCS) ranging between 128 MPa and 164 MPa in the main rock types. Testing in the Dykes and Fragmentals indicated a UCS of 101 MPa and 228 MPa, respectively, based on two samples each. The distribution of testing by rock type are presented in Table 16-3.

 

Page 242

 

 

Kinross Gold Corporation

Great Bear Gold Project

Ontario, Canada

NI 43-101 Technical Report

 

Table 16-3: Laboratory test results by rock type

 

Rock Type   Type of Test   No. of Tests   Average
Mafics   UCS (MPa)   40   159.4
  BTS (MPa)   14   10.9
  Young’s Modulus (GPa)   5   88.8
  Poisson’s Ratio   5   0.30
  Density (t/m3)   66   3.01
Metasediments   UCS (MPa)   11   143.3
  BTS (MPa)   7   6.8
  Young’s Modulus (GPa)   4   69.7
  Poisson’s Ratio   4   0.31
  Density (t/m3)   24   2.72
Felsic Volcanics   UCS (MPa)   44   154.0
  BTS (MPa)   22   9.7
  Young’s Modulus (GPa)   7   67.3
  Poisson’s Ratio   7   0.25
  Density (t/m3)   93   2.72
Fragmentals   UCS (MPa)   2   227.8
  BTS (MPa)   1   5.3
  Young’s Modulus (GPa)   -   -
  Poisson’s Ratio   -   -
  Density (t/m3)   6   2.72
Dykes   UCS (MPa)   2   101.1
  BTS (MPa)   -   -
  Young’s Modulus (GPa)   1   67.3
  Poisson’s Ratio   1   0.34
  Density (t/m3)   2   2.93

 

Faults

 

Large-scale faulting was identified in the proposed LP Central Pit location. Two of these faults strike east-northeast with a subvertical to steep dip to the north and correspond to primarily ductile deformation of the rock mass. A later-stage fault characterized by brittle deformation and localized gouge was also identified, striking north-northwest and dipping steeply to the northeast.

 

Page 243

 

 

Kinross Gold Corporation

Great Bear Gold Project

Ontario, Canada

NI 43-101 Technical Report

 

Rock Mass Jointing

 

Jointing in the rock mass was considered based on location, with the site divided into two main areas: the LP Zone, including the proposed pit locations and underground workings, and the underground workings south of the LP Zone.

 

For the LP Zone, there was some variation in the orientation and intensity of structure across the site. The LP Central Pit was divided into North and South domains, with the South Domain incorporating the LP Viggo Pit. The LP Discovery area was considered separately. The main structural orientations for the LP Zone are presented in Table 16-4.

 

Table 16-4: Summary of major and minor joint set orientations for the LP Zone area

 

   LP Central Pit North   LP Central Pit South & LP Viggo Pit   LP Discovery Pit 
Set  Dip/Dip
Direction
   Average
Spacing
(m)
   Dip/Dip
Direction
   Average
Spacing
(m)
   Dip/Dip
Direction
   Average
Spacing
(m)
 
FO (major)   81°/019°    1.63    80°/004°    1.38    86°/037°    1.92 
JS1(major)   09°/133°    1.97    15°/145°    3.73    15°/135°    2.43 
JS1a (minor)   -    -    -    -    21°/296°    - 
JS2 (minor)   -    -    46°/352°    -    -    - 
JS3 (minor)   -    -    48°/195°    -    -    - 
FOa (major)   81°/061°    -    -    -    90°/257°    - 
FOb (minor)                       89°/355°    - 

 

For the Underground Workings area south of the LP Zone, the structural orientations for the Portals Area, the Decline Area, and the Ventilation Raise and Spiral Ramp Area are presented in Table 16-5. The overall orientations considering all the data are also shown.

 

Page 244

 

 

Kinross Gold Corporation

Great Bear Gold Project

Ontario, Canada

NI 43-101 Technical Report

 

Table 16-5: Summary of major and minor joint set orientations for the underground workings south of the LP Zone

 

   Portals Area   Decline Area   Ventilation Raise
and Spiral Ramp
Area
   Overall 
Set  Dip
(°)
   Dip
Direction
(°)
   Dip
(°)
   Dip
Direction
(°)
   Dip
(°)
   Dip
Direction
(°)
   Dip
(°)
   Dip
Direction
(°)
 
FO (major)   75    045    80    039    73    013    77    025 
JS1 (major)   04    013    03    019    11    156    07    142 
JS2 (major)   -    -    -    -    65    072    67    070 
JS1a (minor)   -    -    40    016    -    -    34    022 
JS1b (minor)   -    -    -    -    45    292    41    291 

 

The jointing at the site is dominated by the presence of the steeply north to northwest dipping foliation and a complementary flat lying set. A third set dipping moderately steeply to the north or northeast is also present in various areas across the site. Minor sets are also present and appear to be subsets of the main joint sets.

 

Comparison of the main discontinuity orientations shows that there is some minor rotation in the foliation set across the site. The JS2 set is more prominent south of the LP Zone, but it is also observed as a minor set in the Central Pit South domain.

 

Rock Mass Classification

 

Rock mass classification was performed using the information collected during the oriented core program. The rock mass classification results are presented in Table 16-6 based on the 33rd and 50th percentile, representing a lower bound and average, respectively.

 

Page 245

 

 

Kinross Gold Corporation

Great Bear Gold Project

Ontario, Canada

NI 43-101 Technical Report

 

Table 16-6: Rock mass classification by location/zone

 

   RQD   Q’   RMR89   GSI 
Location  33rd
percentile
   50th
percentile
   33rd
percentile
   50th
percentile
   33rd
percentile
   50th
percentile
   33rd
percentile
   50th
percentile
 
Portals   98    96    9.4    10.8    71    72    66    67 
Vent. Raise/Spiral Ramp   99    96    9.7    10.9    73    76    66    68 
Decline   98    95    8.3    9.0    71    71    66    67 
LP Discovery   100    98    23.5    27.7    76    77    71    73 
LP Central North   100    98    23.6    26.9    74    76    69    71 
LP Central South   100    98    29.2    33.3    79    83    74    78 

 

Open Pit Geomechanics

 

Pit slope stability was assessed using kinematics and limit equilibrium methods using the preliminary pit shells provided by Kinross. To assess the kinematics, the pit slopes were subdivided based on orientation and each wall segment was evaluated for planar, wedge, and toppling failure for bench- and inter-ramp scales based on the discontinuity orientations for the geotechnical domains. For each wall orientation, the failure mechanism controlling each segment was identified and used to determine the bench face angle (BFA). The bench width was determined using the Modified Ritchey Criteria, which gives a 7.5 m and 8.5 m bench width for 10 m single height and 20 m double height benches, respectively.

 

The kinematics for all orientations of the pit walls are very favourable, resulting in a recommended BFA of 75° regardless of the wall orientation. The corresponding inter-ramp slope angles for single and double benches are shown in Table 16-7. All slope designs assume pre-split and buffer blasting for the final walls to minimize vibration and wall damage due to production blasting.

 

Table 16-7: Recommended open pit slope criteria

 

Single Bench (10 m)  Double Bench (20 m)         
BFA
(°)
  Bench
Width
(m)
   Inter-
Ramp
Angle
(°)
   BFA
(°)
   Bench
Width
(m)
   Inter-
Ramp
Angle
(°)
   Max.
Interramp
Height
(m)
   Geotech
Berm
Width
(m)
 
75   7.5    44.5    75    8.5    55.3    120    15 

 

Limit equilibrium modelling was performed on 2D sections representing the pit walls at their highest point, and the slope angle was varied based on reasonable ranges of inter-ramp and overall slope angles. In all rock types, and considering the potential for saturated and seismic conditions, the Factor of Safety (FoS) exceeded 3, well above the FoS guidelines recommended by Read and Stacey (2009) of 1.3 for static and 1.05 for pseudo dynamic conditions.

 

Page 246

 

 

Kinross Gold Corporation

Great Bear Gold Project

Ontario, Canada

NI 43-101 Technical Report

 

Slopes in Overburden

 

The planned open pits will expose overburden ranging from fine sand to glacio-lacustrine clays. For the purpose of mine planning and pit shell development, the material types were not differentiated. Slopes in overburden at the pit crest will depend on the thickness of the overburden and the materials present, as summarized in Table 16-8. For steeper slopes, it will be important to control the phreatic surface of groundwater. Where indicated, horizontal drains or other means will be required to maintain the groundwater surface approximately three metres below the slope face, however, horizontal drains would only be useful in granular materials such as sands.

 

For thicker overburden slopes where steeper slopes are required, a 10 m to 20 m wide rock buttress (berm) should be constructed to support the slope starting at the bedrock contact. A wide bench is also recommended at the bedrock surface to allow for remedial work in the event of soil movement, and to permit construction of a buttress, if necessary.

 

Table 16-8: Recommendations for overburden slopes at the pit crest

 

Total
Overburden
Thickness
(m)
  Slopes
without a
Berm
  Slope with a
Berm
   Berm
Width
(m)
   Slope
Dewatering
  Catch Bench
Width
(m)
 
20 to 40  8H:1V   4H:1V    20   Not required1   152  
12 to 20  6H:1V   4H:1V    10   Not required1   152 
7 to 12  3H:1V   -    -   Yes (horizontal drains)   203 
0 to 7  3H:1V   -    -   Yes (horizontal drains)   103 

 

Notes:

 

1.Assumes a granular berm is installed.
2.Assumes berm is constructed with 4H:1V slopes.
3.Assumes no berm is constructed.

 

Surface and Groundwater in Slopes

 

The rock mass is expected to be tight with very little groundwater flow through the rock mass. Dewatering of the pit slopes in rock is not expected to be required, and gravity drainage is expected to be sufficient.

 

Page 247

 

 

 

Kinross Gold Corporation

Great Bear Gold Project

Ontario, Canada

NI 43-101 Technical Report

 

In-pit water should be directed to sumps at the pit bottom, on geotechnical benches, or in pre-determined areas from which it can be pumped to surface. The capacity of the system should be sufficient to keep the pit dry during freshet and high rainfall events.

  

Surface water should be directed away from the pit slopes.

 

Underground Geomechanics

 

The mining method proposed for the Project is longhole open stoping with backfill. The sublevel interval is 30 m, and the average stope width (hangingwall to footwall) is 4 m to 5 m, although widths up to 20 m are possible. The following analyses are based on these dimensions and the rock properties presented above.

 

For stoping, the site is broken into three main areas: the LP Zone, the Hinge Zone, and the Limb Zone. The LP Zone is further subdivided into the LP Central North, LP Central South, and LP Discovery zones.

 

Stope Dimensions

 

Stope dimension limits were determined for each zone. Upper and lower portions for some of the mining zones were determined based on elevation as follows:

 

LP Central Upper: 375 m to - 205 m RL
  Lower: - 280 m to - 480 m RL
LP East and Viggo:   375 m to - 280 m RL
Hinge and Limb: Upper: 375 m to -125 m RL
  Lower: -300 m to - 525 m RL
LP Discovery:   375 m to - 205 m RL

 

The stope dimension limits are indicated in Table 16-9.

 

Page 248

 

 

Kinross Gold Corporation

Great Bear Gold Project

Ontario, Canada

NI 43-101 Technical Report

 

Table 16-9: Stope dimension limits based on Mathews-Potvin stope stability analysis

 

Zone   Zone
(by Elevation)
  Dip
Direction1
  Sublevel
Spacing2,5
(m)
    Unsupported
Strike Length2,4
(m)
    Supported Strike
Length2,3,4
(m)
 
LP Central   Upper Zone   NE     30       33       69  
  Lower Zone   NE     30       19       39  
LP East and LP Viggo   -   NE     30       23       55  
LP Discovery   -   NE     30       33       71  
Limb    Upper Zone   NE     30       32       71  
  Lower Zone   NE     30       18       51  
Hinge    Upper Zone   N     30       22       54  
  Lower Zone   N     30       15       43  

 

Notes:

 

1.Dip direction refers to the orientation of the hangingwall and footwall.
2.Unsupported and Supported Strike Lengths refer to cable bolt support for the hangingwall and footwall surfaces.
3.For the Upper Zones of Central (North and South) and the Limb – cable bolting of backs is not required for a strike length of up to 25 m and an ore width of up to 6 m; for the Lower Zones cable bolt support will be required for all stope backs.
4.Bolded values indicate the 30 m sublevel spacing and a 25 m strike length; where values are bolded in the Supported Strike Length column, hangingwall cable support is anticipated.

 

A strike length of 25 m was selected for underground stoping operations. In some cases, achieving this strike length will require cable bolt support for the hangingwall. This support consists of cable bolt rings installed from the overcut of each stope to prevent unraveling of the hangingwall and limiting the extent of potential hangingwall failure from the stope below.

 

Stope widths are on average 5 m for most zones, although locally widths up to 15 m to 20 m are possible. For stope backs less than 6 m, local ground support will be sufficient, however, for spans greater than 6 m, cable bolt support for the backs will be required.

 

Estimated Dilution

 

The estimated hangingwall and footwall dilution for each zone is presented in Table 16-10.

 

Page 249

 

 

Kinross Gold Corporation

Great Bear Gold Project

Ontario, Canada

NI 43-101 Technical Report

 

Table 16-10: Estimated hangingwall and footwall dilution

 

Mining Zone  Sector  ELOS by
Section1
(m)
   Average Stope
Width2
(m)
   Average
Dilution
(%)
 
LP Central – Upper Zone  HW
FW
   0.25    6.0    4.2 
LP Central – Lower Zone  HW
FW
   0.40    6.0    6.7 
LP East and LP Viggo  HW
FW
   0.25    6.0    4.2 
LP Discovery  HW
FW
   0.25    4.0    6.2 
Hinge and Limb - Upper Zone  HW
FW
   0.25    4.0    6.2 
Hinge and Limb – Lower Zone  HW
FW
   0.45    8.0    5.6 

 

Notes:

 

1.ELOS = Equivalent Linear Overbreak Slough. Dilution assumes a 30 m sublevel spacing (plus a 4.5 m development drift height), for a typical 25 m stope strike length. Should alternate strike lengths be selected, the average dilution percentage may change.
2.Stope widths are estimated based on the range of widths of mining blocks provided by Great Bear for the PEA study

 

There will also be some dilution associated with mining with backfill. For floors, this dilution is typically 0.1 m to 0.2 m. For narrow vein stopes, dilution from the sidewalls in backfill is typically 0.25 m.

 

Pillar Dimensions

 

Crown pillar dimensions were assessed using the Scaled Span method and the average stope span. A minimum FoS of 2 was considered for stability. The recommended minimum crown pillar thicknesses are as follows:

 

·20 m for a diluted horizontal stope width up to 6 m.

 

·30 m for a diluted horizontal stope width up to 8 m.

 

A detailed assessment of crown pillar thicknesses for each zone is recommended, particularly where they are overlain by water or thick overburden.

 

Page 250

 

 

Kinross Gold Corporation

Great Bear Gold Project

Ontario, Canada

NI 43-101 Technical Report

 

Rib pillars should be sized to maintain a 1:1 ratio of diluted stope width to pillar thickness. With increasing depth, it may be necessary to reduce the width of the rib pillars to prevent stored stress and the risk of rockbursting.

 

Inter-lens pillars should be greater than 5 m, where possible. For these situations it is recommended that the footwall stope be mined first with the hangingwall stope mined following backfilling of the footwall. If cemented rock or cemented paste fill is used then the potential exists to mine the hangingwall lens to within a few metres of the footwall lens provided the fill strength is adequate, however, it may be prudent to mine the two lenses together in this case if the economics allows.

 

Stand-off Distances – Main Accesses

 

For larger more permanent ramp systems a minimum distance of 50 m away from immediate influences of stoping is typically used, however, as noted above these offsets depend on surrounding extraction ratios and stresses so these values are considered a starting point only. Underground workshops, refuges and crusher stations should be located even further, often 100 m to 200 m from mining activity, however, in practice this is not always possible. Full assessment of offsets specific to the site will be determined via 3D numerical stress modelling in future stages of study.

 

Sill Pillar Mining

 

Caution should be taken when mining sill pillars, especially at increasing depth as sills tend to concentrate stress. Fill should be designed to provide sufficient strength, and the mining direction should be selected to minimize stress concentrations and formation of smaller isolated pillars.

 

Backfill Strength Requirements

 

Backfill strength requirements were assessed using a slight variation of the confined sliding block formulation based on the limit equilibrium analysis presented by Mitchell et al (1992). All analyses were performed based on the expected backfill characteristics and stope plan distribution provided by Kinross.

 

The FoS required for the backfill is a function of the depth of the stope and the type of backfill used. A FoS from 1.5 to 2.0 was considered suitable for the paste backfill and FoS from 2 to 3 was considered suitable for cemented rockfill, for upper and lower zones, respectively. A higher FoS is considered for cemented rockfill to account for segregation in the fill during placement, resulting in inconsistent fill strength throughout the pour. Stopes at lower elevations (i.e. greater depth) were also required to meet higher Factors of Safety, due to higher stresses in the latter years of production. For this assessment, “Lower” generally refers to stopes below -300 m RL.

 

Page 251

 

 

Kinross Gold Corporation

Great Bear Gold Project

Ontario, Canada

NI 43-101 Technical Report

 

The backfill strength estimations for both paste and cemented rockfill are presented in Table 16-11 for single height (i.e., 30 m) stopes.

 

Table 16-11: Summary of backfill strength estimations based on confined block mechanism limit equilibrium for single height stopes

 

Parameter  Paste  Cemented Rockfill (CRF)
Depths Considered  Upper  Lower  Upper  Lower
Lift Height, H (m)  30
Width, W (m) - Strike Length  25
FS  1.5  2.0  2.0  3.0
Required UCS (kPa)1  118 to 186  157 to 248  131 to 187  175 to 249

 

Notes:

 

1.A minimum backfill UCS of 175 kPa is recommended to prevent liquefaction due to blasting or seismic events.

 

Seismic Conditions

 

Given the planned depth of the underground workings in the current PEA mining scenario, the risk of seismic activity is expected to be low, however, the rock mass is stiff and strong, and consequently, can be considered brittle. In WSP’s experience, the onset of seismic activity can commence at depths below 650 m, although high extraction ratios can increase the potential for seismic activity at shallower depths.

 

To fully evaluate seismic risk, 3D numerical analysis will be required at the next stage of study.

 

Ground Support

 

Table 16-12 summarizes preliminary ground support estimates based on rock mass quality, rock structure, and development dimensions.

 

Page 252

 

 

Kinross Gold Corporation

Great Bear Gold Project

Ontario, Canada

NI 43-101 Technical Report

 

Table 16-12: Preliminary ground support

 

 

Support Class I

Q => 4 or RMR => 56

Good Quality Rock

Support Class II

1 <= Q < 4 or 44 <= RMR < 56

Poor/Fair Quality Rock

Support Class III

Q < 1 or RMR < 44

V. Poor Quality Rock

Backs 2.4 m resin grouted rebar on a 1.2 m X 1.2 m pattern 2.4 m resin grouted rebar on a 1.2 m X 1.2 m pattern 2.4 m resin grouted rebar on a 1.2 m X 1.2 m pattern
Walls 1.8m resin grouted rebar on 1.2 m X 1.2 m pattern starting 1.5 m above floor 1.8 m resin grouted rebar on 1.2 m x 1.2 m pattern starting 1.5 m above floor 1.8 m resin grouted rebar on 1.2m x 1.2 m pattern starting 1.5 m above floor
Screen #6 gauge weld mesh screen to 1.35 m above floor #6 gauge weld mesh screen to 1.35 m above floor #6 gauge weld mesh screen to 1.35 m above floor
Shotcrete No shotcrete required 5 cm to 6 cm of shotcrete required 6 cm to 9 cm of shotcrete required

 

Intersections and areas with large spans will require additional ground support beyond the recommendations presented in Table 16-12, i.e., single- or double-strand cable bolts. Cable bolt spacing and lengths will need to be determined on a case-by-case basis.

 

For long-term or permanent installations and areas deemed to be acid generating, resin-grouted rebar is recommended for the backs and sidewalls. For semi-permanent development, mechanical anchors or split sets (i.e., type SS-39) can be considered for the side-walls, however, resin-grouted rebar is still recommended for the back. For temporary installations, mechanical bolts may be sufficient but pull testing will be required to verify.

 

16.3Hydrogeology

 

The hydrogeologic system at the Project is typical of the Red Lake area in northwestern Ontario. The bedrock is crystalline, generally only exposed on surface near topographic highs, and of such low permeability, that with the exception of a few fractured intervals, does not form aquifers capable of producing useful quantities of water. Where present, overburden is generally composed of four units: sand or silty sand till, glaciofluvial sand and gravel, glaciolacustrine deposits (clay and silt), and organic deposits. The silt rich till is most frequently found as the overburden unit above bedrock and is generally thicker above bedrock lows. The glaciofluvial sands are found in discontinuous, often linear deposits that cross over both bedrock highs and till sediments. The glaciofluvial sediments form important groundwater recharge areas and can be significant aquifers in areas where they are below the water table. The glaciolacustrine clay and silt layer is found as the near surface unit in the relatively low-lying areas and where present forms a significant aquitard restricting the vertical movement of groundwater. The glaciolacustrine layer may have a cover of up to several metres of organics in areas of poor drainage. None of the above units are expected to provide sufficient water to supply operations.

 

Page 253

 

 

Kinross Gold Corporation

Great Bear Gold Project

Ontario, Canada

NI 43-101 Technical Report

 

Local surface water bodies include Dixie Creek, small tributaries of Dixie Creek and several local ponds and lakes. The majority of the ponds and lakes, Dixie Creek, and the lower reaches of tributary creeks lie over glaciolacustrine sediments, which are expected to limit groundwater-surface water interaction. Groundwater-surface water interaction is anticipated to be concentrated in the upper to middle reaches of several tributary creeks that extend into glaciofluvial sand areas and in a few areas near the open pits where Dixie Creek flows over bedrock and till.

 

Hydrogeologic studies have been completed to characterize groundwater conditions in the areas of proposed facilities, focusing on the Project’s open pit and underground mining areas, the TMF, and to assess groundwater control requirements for operations. In the QP’s opinion, the level of hydrogeological work completed is considered to be extensive for the PEA stage of study.

 

As part of assessing the hydrogeologic aspects of the Project, the following information was reviewed:

 

·Early plans for the underground workings and two open pits

 

·Maps and conceptual details for the main site infrastructure (rock and overburden stockpiles, tailings facilities, water management ponds, water treatment and discharge locations)

 

·Water supply requirements

 

Rock that is potentially metal leaching or acid generating will not be used for roads, construction pads, or dam construction, and only thickened, desulphurized tailings will be placed in the TMF. The sulphide concentrate tailings will be discharged sub-aqueously and permanently stored under a water cover in the partially flooded LP Viggo Pit. The balance of the LOM tailings volume is planned for placement in the underground mine as a component of the paste backfill.

 

To simulate changes in the groundwater system as a result of the proposed development, a numerical groundwater model has been developed for the Project. This model predicts groundwater inflows into the open pit and underground workings. The dewatering required for the Project may also reduce flows within Dixie Creek, and supplementing creek flows maybe required.

 

Page 254

 

 

Kinross Gold Corporation

Great Bear Gold Project

Ontario, Canada

NI 43-101 Technical Report

 

The groundwater flow model also predicts quantities of seepage from the main site facilities during the late stages of operations and into closure and has been used to inform the placement of certain mine facilities with consideration of long-term environmental liabilities and to make an early assessment of the usefulness of groundwater containment measures. The seepage modelling indicates that most groundwater seepage from the Mine Rock Stockpile (MRS) and underground can be captured within the open pits during operation. Groundwater flow modelling was also used to demonstrate that groundwater control measures around the TMF, such as cut-off walls and capture wells, should be effective at preventing the release of most of the groundwater seepage from the TMF from reaching the environment.

 

The following conclusions and recommendations have been developed with respect to the current understanding of the hydrogeology of the site and the proposed Project infrastructure:

 

·The Project’s fresh water supply requirements are greater than can be reasonably expected to be provided by wells completed in nearby aquifers.

 

·Update freshwater pipeline and related infrastructure designs, cost estimates, and permit applications for additional freshwater taking from the Chukuni River in the event that temporary supplementation of flows into Dixie Creek are required.

 

·Groundwater inflows to both the open pits and underground can be managed by pumping from sumps, although standard groundwater control measures such as horizontal drains may be needed at select locations around the open pit. Groundwater inflows can be expected to be concentrated at or near to the bedrock-overburden interface, or from a few faults in the deeper bedrock.

 

·To help minimize groundwater inflows into the planned underground workings, continue the existing program of grouting former exploration drill holes. Particular attention should be paid to grouting all drill holes near the LP Viggo Pit and drill holes that intercept or pass near both a planned open pit and planned underground workings.

 

·A cut-off wall in the foundation of the TMF Pond Dam is proposed to mitigate foundation seepage, however, additional water control measures may be required downstream of the TMF Pond Dam seepage cut-off wall to provide more robust protection against uncontrolled release of mining impacted water to the environment and provide improved operational flexibility. Advancing site specific investigations at the TMF Pond and further analyses are recommended (and planned) to refine the design of the seepage control to acceptable levels.

 

·Additional perimeter ditches and pump stations for the other TMF dams may be required to help control the release of groundwater seepage from the TMF. Further site investigation and analysis are recommended (and planned for the next stage of study) to refine the seepage collection design.

 

·Calibrate the groundwater model using the actual responses of the groundwater system to the AEX ramp development.

 

Page 255

 

 

Kinross Gold Corporation

Great Bear Gold Project

Ontario, Canada

NI 43-101 Technical Report

 

16.4Open Pit Mining

 

Mining Method

 

At the peak of the operation, the planned open pits generate approximately 9,000 tpd of plant feed, including “marginal” mineralized material. In total, the open pits contain approximately 24 Mt of mineralized material and 164 Mt of waste overburden and rock.

 

The primary crusher and process plant will be located to the northwest of the open pits, with mineralized material to be hauled either directly to the primary crusher, or to one of the various run-of-mine (ROM) and low-grade stockpiles. The short-term plant feed schedule will be optimized based on material available from both the open pit and underground operations.

 

Steady-state open pit mining operations are expected to be carried out by Kinross employees using conventional truck and shovel methods consisting of the following activities:

 

·Drilling performed by conventional production drills

 

·Blasting using a combination of emulsion and ammonium nitrate and fuel oil (ANFO) explosive agents and down-hole delay initiation systems

 

·Loading and hauling operations performed by hydraulic shovels and excavators, front-end loaders (FEL), and rigid frame haulage trucks

 

·Support equipment, including excavators, dozers, graders, water trucks, and other light vehicles.

 

Mine Design

 

The Project’s open pit designs include one pit phase at the LP Viggo zone and three pit phases at the LP Central zone, allowing for the balance of waste stripping and mining over an eleven-year production period.

 

Cut-off Grade

 

Marginal and breakeven cut-off grade (MCOG and BCOG, respectively) values were populated in the Project’s resource models. The BCOG used during pit optimization considers the full mining cost when determining the final pit limits. The MCOG assumes that an economic pit has been defined and that the mining costs are sunk costs. During scheduling, the MCOG is used to determine if a block is waste, whereas the BCOG is employed to determine whether the block should be sent to the process plant (via the primary crusher) or the long-term (low-grade) stockpiles. Due to the relatively high gold grades in the deposit, all open pit mining periods are optimized such that only grade bins well above the BCOG are sent directly to the process plant.

 

Page 256

 

 

Kinross Gold Corporation

Great Bear Gold Project

Ontario, Canada

NI 43-101 Technical Report

 

Cut-off grades were determined based on the physical and economic parameters presented in Table 16-13.

 

Table 16-13: Parameters for cut-off grade calculations

 

Parameter  Unit  BCOG   MCOG 
Gold Price  USD/oz   1,400    1,400 
Metallurgical Recovery  %   93    91 
Processing Rate  tpd   10,000    10,000 
Mining Operating Costs  USD/t milled   3.70    - 
Processing Operating Costs  USD/t milled   22.10    18.50 
Sustaining Capital Costs  USD/t milled   1.80    1.80 
Site General Costs  USD millions/year   35.5    14.2 
Refining & Selling Costs (including payable fraction)  USD/oz   3.80    3.80 
Reclamation Costs  USD/oz   4.20    4.20 
Royalty on NSR  %   2    2 
COG  g/t Au   0.9    0.6 

 

Notes:

 

1.NSR is Net Smelter Return.
2.Metallurgical recovery is represented at each respective COG, not the LOM metallurgical recovery.
3.Processing operating costs account for all operating and maintenance costs, desulphurization of tailings material, and mining rehandle costs. Grade control operating costs (RC drilling and related charges) allocated to BCOG material.
4.Process sustaining capital costs account for process plant sustaining capital and tailings facility sustaining capital costs.
5.MCOG site general costs assumed at 40% of costs in production period, when open pit operations have ramped down and the underground operation cannot fill the plant to capacity.
6.Refining and selling costs include insurance, transport, and metal payability of 99.98%.
7.Reclamation costs are allocated for the open pit and are based on benchmarking of similar operations in the area.
8.Most values have been rounded to the nearest decimal place.

 

Both the MCOG and BCOG consider a rehandling unit cost pursuant to Kinross corporate guidelines, such that all mineralized material will enter a ROM stockpile before being processed. Resource classifications of Measured, Indicated, and Inferred are considered for mineralized material in the LOM plan. Although the assumed site general costs are 40% of the estimated annual maximum, the mineralized material available at the end of the LOM is approximately 25% of the total process plant feed and, therefore, a lower MCOG during this period could be considered at the next stage of study.

 

Page 257

 

 

Kinross Gold Corporation

Great Bear Gold Project

Ontario, Canada

NI 43-101 Technical Report

 

Dilution and Mining Recovery

 

Several trade-off studies determined that the optimal selective mining unit (SMU) for open pit extraction is 10 m x 5 m x 5 m. To maximize productivity and minimize dilution and mining losses, a combined semi-bulk and selective loading unit fleet of 15 m3 front shovels with 11 m3 and 7 m3 backhoe excavators were selected for the open pit operation. Where possible, benches will be mined in two cuts, such that drilling, blasting, and waste mining can be performed at 10 m bench heights, and selective mining can occur at 5 m split bench heights.

 

The LP block model was re-blocked to 10 m by 5 m by 5 m from a sub-block model with a minimum block size of 5 m by 1 m by 5 m. Further to re-blocking, block skin dilution was applied to account for inefficiencies during drilling, blasting, and mining. Within the re-blocked model, dilution of approximately 30% is included at 0.2 g/t relative to the sub-block model. The skin diluted model contains additional dilution of 4% at 0.5 g/t and a mining recovery of approximately 98%. The re-blocked and skin diluted model was used to report production for the LOM.

 

Open Pit Optimization

 

The Great Bear LP Zone contains three separate open pit mining areas known as LP Central, LP Discovery, and LP Viggo, with independent pit optimizations completed for each of these areas. After the completion of pit limit analysis, it was determined that only the open pits in the LP Central and LP Viggo areas are economically viable for open pit mining extraction.

 

Pit optimizations were run at incremental gold prices to generate a set of Lerchs-Grossmann (LG) pit shells up to US$1,750/oz; gold prices above US$1,400/oz were used to understand pit growth at higher gold prices. LG pit shells guide the selection and design of final pits and the pushbacks leading to the final pits.

 

Open pit optimization was informed by WSP’s geotechnical recommendations and was completed to constrain the Project’s Mineral Resources and inform pit designs, phasing, and the open pit LOM plan. All categories of resource (Measured, Indicated, and Inferred) were considered in the open pit optimization runs. Economic pit limits were established using NPVS to optimize value from the LG pits.

 

In addition to the parameters outlined above, the parameters listed in Table 16-14 were used to generate optimal pit geometries.

 

Page 258

 

 

Kinross Gold Corporation

Great Bear Gold Project

Ontario, Canada

NI 43-101 Technical Report

 

Table 16-14: Optimization parameters for LP Central, LP Discovery, and LP Viggo mining areas

 

Parameter  Unit  Value
Gold Price  USD/oz  1,400
Resource Classification     MI&I
Processing Rate  tpd  10,000
Total Processing Cost (including G&A)  USD/t milled  33.60
Total Mining Cost  USD/t mined  3.70
Pit Slopes  degrees  Table 16-7 and Table 16-8
Annual Discount Rate  %  5
Pit Limit Constraints  m  Dixie Creek 120m Offset
Minimum Mining Width  m  30

 

A pit optimization constraint was applied to maintain a minimum open pit mining offset of 120 m from the Dixie Creek waterline, which is directly south of the LP Zone pit areas.

 

Prior to the final pit limits analysis, LG nested shell pushback selection, and pit designs, interim pit limits analyses were run to determine the optimal pit size in conjunction with the transition to underground mining. The transition to underground mining was evaluated as follows: if any block in the resource block model is to be extracted by open pit methods, the value of the block must cover all open pit stripping costs as well as the potential economic benefit of the same block mined by the proposed underground mining method. Open pit and underground block model values differ principally due to mining costs, dilution, and capital investments. In evaluating the open pit-underground transition, an underground mining cost of US$90 per tonne mined was assumed, including consideration for development capital. Underground stopes were designed outside of the open pit design to avoid double counting of mineralized material.

 

The selection of ultimate pit limit shells was informed by the nested pit-by-pit analysis presented in Figure 16-1 to Figure 16-3 below, as well as the analysis of the open pit-underground transition.

 

The LP Central pit shell was selected at a price factor of 100% (US$1,400/oz). The LP Viggo pit shell was selected at a price above US$1,400/oz, due to the scarcity of NPAG material in other areas of the pits and the need for such material for construction purposes (e.g., TMF, roads, etc.). Figure 16-1 illustrates that any potential LP Discovery pit shell is negative in terms of NPV up to US$1,750/oz, and therefore the LOM plan does not consider a pit in this area.

 

Page 259

 

 

Kinross Gold Corporation

Great Bear Gold Project

Ontario, Canada

NI 43-101 Technical Report

 

As resource and cost estimates are refined at the next stage of study, the QP recommends the completion of additional trade-off exercises evaluating the transition from open pit to underground mining methods.

 

 

Figure 16-1: LP Central LG pit-by-pit tonnage and NPV

 

 

Figure 16-2: LP Discovery LG pit-by-pit tonnage and NPV

 

 

Figure 16-3: LP Viggo LG pit-by-pit tonnage and NPV

 

Page 260

 

 

Kinross Gold Corporation

Great Bear Gold Project

Ontario, Canada

NI 43-101 Technical Report

 

Pit Design

 

The economic LG shells generated using Datamine’s NPVS software served as the starting point for the preparation of final pit designs. The pit limits were determined from the application of a US$1,400/oz gold price and the parameters discussed above to all categories of Mineral Resources. An economic model was created within the NPVS program, and the final pit limits were generated using the industry-standard LG algorithm.

 

In addition to the aforementioned parameters and constraints, open pit design configurations are based on considerations that include:

 

·minimum haul road widths and maximum effective grades for operation with the planned fleet

 

·bench heights that can be safely managed with the planned loading fleet

 

·minimum bench mining widths for practical mining with the planned loading and haulage fleets

 

·pit exits that are close to material destinations (waste stockpiles and the primary crusher).

 

Each pit phase was analyzed in relation to its strip ratio, overall resource extraction, and high-level cashflow results. Pit phases were selected based on the least amount of material required to accrue maximum economic value. Final pit designs were prepared using Datamine’s Studio OP software.

 

Significant changes between pit shells were investigated in more detail to determine the minimum bench mining width from the preceding pit shell. Although the loading and haulage fleets can accommodate lesser widths, generally pushbacks were designed to maintain a minimum bench mining width between 80 m to 100 m to avoid congestion on the benches and safety concerns.

 

The pit design criteria selected for the Project are based on a conventional surface mine operation, 171 mm blasthole production drills, 15 m3 hydraulic front shovels, 7 m3 to 11 m3 hydraulic excavators, and haulage by a mixed fleet of 135 tonne and 90 tonne payload hauling units.

 

LP Central

 

The pit design for the LP Central area was carried out with the objective of minimizing strip ratios early in the mine life to achieve a short payback period. A total of three pit phases are used to access the deposit in the LP Central area, with the first phase maximizing mineralized material and feed grade to the process plant, while de-risking underground mining production.

 

Page 261

 

 

Kinross Gold Corporation

Great Bear Gold Project

Ontario, Canada

NI 43-101 Technical Report

 

A cross-section view of the LP Central Pit phases is presented in Figure 16-4.

 

 

 

Figure 16-4: Cross-section of LP Central Pit phases

 

LP Viggo

 

Early acid rock drainage (ARD) studies by WSP indicate that the Project is likely to have a high ratio of potentially acid generating (PAG) waste rock. Sourcing sufficient quantities of NPAG waste rock for construction purposes became an important consideration during open pit design activities. The lithology of the LP Viggo area and its relatively clean split between NPAG and PAG material (Figure 16-5) made it a preferred source of NPAG material during early Project development.

 

Page 262

 

 

Kinross Gold Corporation

Great Bear Gold Project

Ontario, Canada

NI 43-101 Technical Report

 

 

Figure 16-5: Plan view of ARD potential at LP Viggo

 

As the economic ultimate pit shell for LP Viggo was only around 5 Mt to 6 Mt in total mass, a pit shell just above US$1,500/oz was selected for the LP Viggo Pit design to increase the NPAG rock yield and the quantity of mineralized material in the LOM plan. As scheduled, the LP Viggo Pit will be excavated in approximately 2.5 years and will capture over 5 Mt of NPAG waste rock. A cross-section view of the LP Viggo Pit is presented in Figure 16-6.

 

Page 263

 

 

Kinross Gold Corporation

Great Bear Gold Project

Ontario, Canada

NI 43-101 Technical Report

 

 

Figure 16-6: Cross-section of LP Viggo ultimate pit

 

All Pits

 

In addition to the pit slope criteria outlined in Table 16-14, other critical open pit design parameters such as bench height, haul ramp width and gradient, and mining width are presented in Table 16-15.

 

Table 16-15: Open pit design parameters

 

Design Attribute  Unit  Value
Bench height  m  10
Benches (between berms)  #  1 (overburden), 2 (rock)
Haul ramp width  m  30
Typical ramp gradient  %  10
Minimum pushback width  m  120

 

Haul ramps in the pits are designed to a width of 30 m to allow for two-way traffic, at a maximum gradient of 10%. Intersections and switchback curves were designed assuming flat gradients. Ramp exits were placed to minimize haulage time and distance to the main haul road north of the pits. The final benches of some pit phases will use single lane ramps of 21 m in width.

 

Page 264

 

  

Kinross Gold Corporation

Great Bear Gold Project

Ontario, Canada

NI 43-101 Technical Report

 

 

Figure 16-7: Plan view of LP Central Phase 1 and LP Viggo contours at 5 m

 

Page 265

 

 

Kinross Gold Corporation

Great Bear Gold Project

Ontario, Canada

NI 43-101 Technical Report

 

 

 

Figure 16-8: Plan view of LP Central Phases 2 and 3 contours at 5 m

 

Open Pit Mining Inventory

 

The open pit LOM plan is drawn from the mining inventory presented in Table 16-16 and is based on an August 2023 topography update and starting surface.

 

Table 16-16: Open pit mining inventory by pit phase

 

LP Pit Phase  Mineralized
Material (kt)
   Diluted Au
Grade
(g/t)
   Contained
Au
(koz)
   Waste (kt)   Total
Material
(kt)
 
LP Central Phase 1   8,16    3.64    955    54,486    62,649 
LP Central Phase 2   10,374    2.37    791    50,735    61,109 
LP Central Phase 3   4,515    3.61    524    43,741    48,255 
LP Viggo Phase 1   1,268    1.62    66    14,612    15,881 
All Pits   24,320    2.99    2,337    163,575    187,895 

 

Page 266

 

 

Kinross Gold Corporation

Great Bear Gold Project

Ontario, Canada

NI 43-101 Technical Report

 

Mine Infrastructure

 

Haul Roads

 

Several Project areas have been designated for the placement of maintenance facilities, office facilities, fuel storage, parts lay-downs, powder magazines, and warehouses. Two-way surface haulage roads are designed for 25 m of running surface, and 33 m with berms included.

 

Mineralized material will be hauled out of the LP Central and LP Viggo pits using mining mobile equipment and material that is not economic will be hauled to the appropriate stockpile located north of the LP Central Pit. Mineralized material will be hauled either directly to the primary crusher, to the ROM pad adjacent to the primary crusher, or to one of two low-grade stockpiles located northwest of the LP Central pits.

 

Mine Rock Storage Facilities and Stockpiles

 

Early in the Project life, the open pit LOM plan requires a significant amount of mining to source clean NPAG material for construction purposes. Overburden and mined rock will be stored in separate facilities to enhance stability and support closure activities. The Mine Rock Stockpile (MRS) is dedicated to the disposal of PAG and metal leaching NPAG (ML/NPAG) rock, including all underground waste rock remaining at surface. Clean NPAG material will be used for either construction purposes or sent to the interim NPAG rock stockpile adjacent to the MRS. Overburden stripped from the pit areas will be allocated to one of two overburden stockpiles.

 

Generally, on-surface mine rock stockpiles are located tight to the open pit limits to minimize haulage distances. Site preparation will include the removal of organics and loosely consolidated overburden in the MRS footprints. MRS locations are depicted in Figure 16-9.

 

Page 267

 

 

 

Kinross Gold Corporation

Great Bear Gold Project

Ontario, Canada

NI 43-101 Technical Report

 

 

Figure 16-9: Open pit and stockpiles layout

 

The geotechnical design parameters for broken mine rock are based on the results of the geotechnical analyses and recommendations summarized in Section 0.

 

A cross-section of the major mine rock and overburden stockpiles can be found in Figure 16-10.

 

 

Figure 16-10: Mine Rock Stockpile and Overburden Stockpile 1 cross-section

 

Page 268

 

 

Kinross Gold Corporation

Great Bear Gold Project

Ontario, Canada

NI 43-101 Technical Report

 

Table 16-17 summarizes the assumed swell factors, moisture content, and stockpile placement factors used to estimate the design capacity of the stockpiles. Excluding plant feed stockpiles, Table 16-18 summarizes the main surface stockpile capacities and their respective scheduled tonnages.

 

Table 16-17: Rock density assumptions

 

Rock Type  Average In-Situ
Density
  Swell
Factor
   Humidity
Factor
   Placed
Factor
   Placed
Density
Overburden  1.92 t/m3   25%   5%   10%  1.77 t/m3
Bedrock  2.71 t/m3   35%   3%   10%  2.27 t/m3

 

Table 16-18: Surface stockpile capacities and scheduled quantities

 

Stockpile  Capacity
(Mm3)
   Capacity
(000 t)
   Scheduled
(000 t)
 
Mine Rock Stockpile   77.1    177,057    127,310 
Clean NPAG Stockpile   4.1    9,420    8,874 
Overburden Stockpile 1   12.3    21,047    17,689 
Overburden Stockpile 2   3.1    5,396    5,396 

 

Mined rock quantities include the haulage of approximately 11 Mt of clean NPAG waste rock to the TMF area for TMF dam construction.

 

Dewatering

 

Surface water run-off in the open pits is planned to be managed via a combination of ditching, collection ponds, and in-pit sumps. Generally, all water collected in sumps will be pumped to a collection pond and sent to the WTP prior to release into the environment.

 

Based on initial hydraulic modelling, water inflow is expected to be around 3,500 m3/day and pit dewatering systems have been designed to handle some open pit spatial variance.

 

Explosives Storage

 

Explosives agents will include ammonium nitrate fuel oil (ANFO) and emulsion explosives coupled with downhole delay initiation systems. An external contractor is envisioned for managing the storage and production of explosives.

 

All applications for permits required for the transportation, storage, and use of explosives are submitted directly by the designated explosives contractor for the Project directly to Natural Resources Canada (NRCAN).

 

Page 269

 

 

Kinross Gold Corporation

Great Bear Gold Project

Ontario, Canada

NI 43-101 Technical Report

 

Additional information regarding supporting mine infrastructure is presented in Section 18.

 

Surface Mobile Equipment

 

The open pits are planned to be mined using Kinross-owned heavy mining equipment, with local mining contractor support for a portion of the first year of pre-production mining. Fleet selection was largely influenced by the need to limit dilution and resource loss during extraction.

 

The primary loading fleet is expected to consist of 15 m3 front shovels for waste stripping and bulk mineralized material mining, 11 m3 hydraulic excavators for selective to semi-bulk mining and resource contact clean-up, and 7 m3 hydraulic excavators for selective contact cleaning and scaling/auxiliary mining. The primary loading fleet will be supported by front end loaders (FELs) for both rehandling and flexible mining support. Due to the mixed primary loading fleet selection, a mixed hauling fleet of 135 and 90 tonne haul trucks has been selected to facilitate payload matching.

 

The operation assumes that both rotary production and top-hammer pre-split drills will be required. Production drills will be capable of drilling 152 mm to 251 mm blastholes on a first-pass length of 10 m with standard masts. Pre-split drills will be capable of drilling 114 mm to 203 mm blastholes.

 

Fragmentation requirements were used to determine the drill hole pattern size (i.e., burden and spacing) and estimate the metres of drilling required to achieve planned mining rates. Drill operating hours were based on drill penetration rates, which are estimated from benchmarking data from the other operations with similar equipment fleets.

 

The mining equipment list shown in Table 16-19 is an estimate of the type and units of equipment that will be required to carry out surface mining operations at Great Bear. Rehandling the underground stockpile to the primary crusher has been accounted for in the equipment requirements. Given the stage of study, assumed equipment models are presented.

 

Table 16-19: Surface mobile equipment

 

Equipment Type  Model (Assumed)  Maximum Units 
Haul Truck  CAT 785D   14 
   CAT 777   7 
Hydraulic Front Shovel  CAT 6030   2 
Hydraulic Excavator  CAT 6020B   2 
   CAT 6015   1 

 

Page 270

 

 

Kinross Gold Corporation

Great Bear Gold Project

Ontario, Canada

NI 43-101 Technical Report

 

Equipment Type  Model (Assumed)  Maximum Units 
Front End Loader  CAT 993   2 
   CAT 992   1 
Production Drill  Sandvik DR410i   5 
Pre-split Drill  Sandvik DR65   2 
Track Dozer  CAT D10   3 
   CAT D8   2 
   CAT D6   3 
Auxiliary Excavator  CAT 374   3 
Wheel Dozer  CAT 834 RTD   2 
Wheel Loader  CAT 962   3 
   CAT 988   1 
Grader  CAT 16H   3 
   CAT 150 AWD   2 
Explosives Truck      2 
Blasting Accessories Truck      2 
Water Truck      2 
Fuel and Lube Truck      2 
Shuttle Bus      12 
Light Vehicles      30 
Light Plants      25 
Soil Compactor      2 
Emergency Vehicles      2 
Maintenance Truck  Medium Duty   4 
   Flatbed   3 
Mobile Crane  150 tonne   1 
   60 tonne   1 
Tow Haul      1 
Forklift      3 
Portable Welder      10 
Portable Heater      5 
Skid Steer      3 
Telescopic Handler      3 

 

Page 271

 

 

Kinross Gold Corporation

Great Bear Gold Project

Ontario, Canada

NI 43-101 Technical Report

 

Mining Personnel

 

Key mining operations personnel include workers in equipment operation, mine maintenance, mine supervision, and technical services. Generally, the mining personnel strategy will synergize responsibilities between the open pit and underground mining roles.

 

Open pit mining operations will operate both day and night shifts, with an assumed seven days of on-site work (12 hours per shift) followed by seven days of off-site rest for most positions. Most mine operations and maintenance roles are planned for work on both day shift (DS) and night shift (NS).

 

Table 16-20: Open pit personnel

 

   Personnel 
LOM Average   260 
Y1-Y8 Average   343 
Peak Year   374 

 

LOM Plan – Open Pits

 

The Project’s open pit LOM plan has been optimized to excavate the LP Zone in four phases:

 

1.LP Viggo Pit as a source plant feed and clean NPAG waste rock for construction purposes.

 

2.LP Central Phase 1 mining for a high resource yield to build up stockpiles for plant feed during underground production ramp-up.

 

3.LP Central Phase 2 mining to balance waste stripping with plant feed from LP Central Phase 1.

 

4.LP Central Phase 3 mining to balance waste stripping with plant feed from LP Central Phase 2 pit and defer high-strip ratio pit phases to the end of the mine life.

 

The open pit LOM plan has been optimized to achieve the highest NPV possible within the applicable operating constraints. The open pit mining schedule was developed using Hexagon’s MinePlan Schedule Optimizer (MPSO) to both confirm strategic direction provided by Datamine’s NPVS and to create more detailed, tactical mining plans with optimized loading and hauling hours.

 

The conceptual, end-of-period progression of the LP Zone pits is presented in Figure 16-11.

 

Page 272

 

 

Kinross Gold Corporation

Great Bear Gold Project

Ontario, Canada

NI 43-101 Technical Report

 

 

Figure 16-11: Progression of starting and ending position of the open pits

 

Pre-production (Years -3 to -1): LP Viggo mining is prioritized to extract high ratios of NPAG waste rock for site construction and early TMF work. Approximately 1 Mt of mineralized material is added to plant feed stockpiles. The LP Central Phase 1 stripping begins as LP Viggo Pit reaches its ultimate design depth.

 

Commissioning and Operations Ramp-up (Years -1 to 1): The process plant begins commissioning Year -1 and ramps-up to full throughput (10,000 tpd) in the following 18 months. LP Viggo Pit mining finishes and LP Central Phase 1 mining supplements underground plant feed in first half of year and becomes the primary feed source in Year 1.

 

Production and Operations Steady-State (Years 1 to 7): After LP Central Phase 1 reaches ultimate design depth, the LP Central West Pushback begins waste stripping to balance equipment usage and cycles times and prepare for plant feed requirements. Equipment purchases peak in Year 7. The LP Central East Pushback begins overburden stripping in Year 4, after LP Central Phase 1 mining is completed in Year 3.

 

Page 273

 

 

Kinross Gold Corporation

Great Bear Gold Project

Ontario, Canada

NI 43-101 Technical Report

 

Decommissioning and Active Closure (Years 7 to 12): Pit production and equipment requirements slow as phases are completed and pit depths are reached, reducing tonnage per bench. Equipment continues to be used for stockpile rehandling to feed the process plant (marginal stockpiles are depleted in Year 12) and clay rehandling to the Mine Rock Stockpile (MRS) for capping during active closure.

 

The mine production plan by year is presented in Table 16-21.

 

Page 274

 

 

Kinross Gold Corporation

Great Bear Gold Project

Ontario, Canada

NI 43-101 Technical Report

 

Table 16-21: Open pit LOM plan

 

Description  LOM   Year
-3
   Year
-2
   Year
-1
   Year
1
   Year
2
   Year
3
   Year
4
   Year
5
   Year
6
   Year
7
   Year
8
   Year
9
   Year
10
   Year
11
   Year
12
 
Plant Feed Mined (kt)                                                                 
Open Pit                                                                 
LP Viggo   1,268   142   723   403   -   -   -   -   -   -   -   -   -   -   -   - 
LP Central PH1   8,163   -   -   370   3,349   3,687   757   -   -   -   -   -   -   -   -   - 
LP Central PH2   10,374   -   -   -   -   9   2,431   3,332   2,929   1,672   -   -   -   -   -   - 
LP Central PH3   4,514   -   -   -   -   -   -   51   290   405   2,416   1,352   -   -   -   - 
Total Open Pit   24,320   142   723   773   3,349   3,697   3,188   3,383   3,219   2,077   2,416   1,352   -   -   -   - 
                                                                  
Mined to Plant (kt)                                                                 
Open Pit                                                                 
LP Viggo   19   -   -   19   -   -   -   -   -   -   -   -   -   -   -   - 
LP Central PH1   5,500   -   -   95   2,606   2,363   435   -   -   -   -   -   -   -   -   - 
LP Central PH2   6,102   -   -   -   -   7   1,490   1,782   1,715   1,108   -   -   -   -   -   - 
LP Central PH3   2,545   -   -   -   -   -   -   8   75   134   1,355   973   -   -   -   - 
Total Open Pit   14,166   -   -   114   2,606   2,370   1,925   1,790   1,790   1,242   1,355   973   -   -   -   - 
                                                                  
Stockpile to Plant (kt)                                                                 
Open Pit                                                                 
LP Viggo   1,249   -   -   381   -   -   150   -   -   49   24   98   165   119   128   136 
LP Central PH1   2,663   -   -   7   -   -   155   -   -   21   10   42   273   414   710   1,032 
LP Central PH2   4,272   -   -   -   -   -   -   -   -   143   71   291   765   847   1,003   1,152 
LP Central PH3   1,969   -   -   -   -   -   -   -   -   6   4   56   257   355   544   747 
Total Open Pit   10,154   -   -   388   -   -   305   -   -   218   109   487   1,460   1,735   2,385   3,066 
                                                                  
Waste Mined (kt)                                                                 
Open Pit                                                                 
LP Viggo   14,612   3,305   9,338   1,969   -   -   -   -   -   -   -   -   -   -   -   - 

 

Page 275

 

 

Kinross Gold Corporation

Great Bear Gold Project

Ontario, Canada

NI 43-101 Technical Report

 

Description  LOM   Year
-3
   Year
-2
   Year
-1
   Year
1
   Year
2
   Year
3
   Year
4
   Year
5
   Year
6
   Year
7
   Year
8
   Year
9
   Year
10
   Year
11
   Year
12
 
LP Central PH1   54,486   -   -   14,998   22,151   15,696   1,642   -   -   -   -   -   -   -   -   - 
LP Central PH2   50,735   -   -   -   -   4,572   21,332   16,846   6,721   1,264   -   -   -   -   -   - 
LP Central PH3   43,741   -   -   -   -   -   -   3,149   11,210   15,751   11,714   1,917   -   -   -   - 
Total Open Pit   163,575   3,305   9,338   16,967   22,151   20,268   22,974   19,995   17,931   17,015   11,714   1,917   -   -   -   - 
                                                                  
Waste to Plant Feed Ratio                                                                 
Open Pit                                                                 
LP Viggo   11.5   23.3   12.9   4.9   -   -   -   -   -   -   -   -   -   -   -   - 
LP Central PH1   6.7   -   -   40.6   6.6   4.3   2.2   -   -   -   -   -   -   -   -   - 
LP Central PH2   4.9   -   -   -   -   502.0   8.8   5.1   2.3   0.8   -   -   -   -   -   - 
LP Central PH3   9.7   -   -   -   -   -   -   61.9   38.6   38.9   4.8   1.4   -   -   -   - 
Total Open Pit   6.7   23.3   12.9   22.0   6.6   5.5   7.2   5.9   5.6   8.2   4.8   1.4   -   -   -   - 
                                                                  
Contained Au Mined (koz)                                                                 
Open Pit                                                                 
LP Viggo   66   7   35   24   -   -   -   -   -   -   -   -   -   -   -   - 
LP Central PH1   955   -   -   25   406   418   106   -   -   -   -   -   -   -   -   - 
LP Central PH2   791   -   -   -   -   0   162   256   266   107   -   -   -   -   -   - 
LP Central PH3   524   -   -   -   -   -   -   2   10   21   243   248   -   -   -   - 
Total Open Pit   2,337   7   35   49   406   418   268   258   276   128   243   248   -   -   -   - 

 

Page 276

 

 

 

Kinross Gold Corporation

Great Bear Gold Project

Ontario, Canada

NI 43-101 Technical Report

 

16.5Underground Mining

 

Mining Method

 

The Project’s underground mine consists of three main zones: LP Central, LP Discovery and LP Viggo. LP Central contains most of the mining inventory (Table 16-22) and is further divided into two subzones: LP Central and LP East.

 

The main underground mining method selected for the Project is longitudinal longhole stoping with paste backfilling. Transverse longhole stoping is anticipated for a minor portion (< 3%) of the LP East zone that has sufficient thickness suitable for this stoping approach.

 

Longitudinal longhole stoping was selected for the Project as this method allows extraction of lenses along the strike of the deposits and maximizes the underground development footprint in mineralized material. In longitudinal stoping, top cut and bottom/undercut drifts are typically developed from the main ramp or a footwall drift and extended to the economic extents of the mineralization.

 

Mining areas are subdivided into mining horizons, with each horizon consisting of up to seven sublevels. The maximum stope geometry is designed at 30 m in height and 25 m in length. In each horizon, stopes are extracted following a bottom-up sequence. Within a sublevel, once the top and bottom cuts are completed, a slot will be developed by raise bore, followed by production drilling and blasting. The 25 m stope length will be slashed in multiple blasts of three to five rings each (7 m to 12 m in length). Once fully extracted, stopes will be backfilled, and the cycle repeated for the next stope. Mining in the sublevel above can be initiated once the level below has been retreated at sufficient length towards the access.

 

Table 16-22: Underground total materials by zone

 

Underground Zones   Mineralized
Material
(kt)
    Diluted Au
Grade
(g/t)
    Contained
Au
(koz)
    Waste
(kt)
    Total
Material
(kt)
 
LP Central   17,611    5.03    2,850    5,736    23,347 
LP Discovery   1,786    3.61    208    1,055    2,841 
LP Viggo   910    5.28    155    494    1,404 
Declines                  518    518 
All Underground   20,307    4.92    3,212    7,803    28,110 

 

Page 277

 

 

Kinross Gold Corporation

Great Bear Gold Project

Ontario, Canada

NI 43-101 Technical Report

 

Mine Design

 

Underground Mine Access

 

The main access to the mine is proposed to be via twin underground portals and twin declines. The declines are designed at 5.2 m W x 5.8 m H in section, 1.3 km in length, and will terminate approximately 190 m below surface.

 

The northern decline will be extended to the starting point of the LP Central main ramp and continue further to access the LP East and LP Viggo zones. The main access to the LP Discovery zone is via a ramp spur off the northern decline, 200 m from the portal. Each zone is designed to have a main ramp to access the sublevels.

 

The exploration drift located in LP Central at -210 MASL is planned to be connected to LP East to provide a lower access between the two zones. It is expected that the only connection from LP Viggo and LP Discovery zones to the LP Central zone will be through the main declines.

 

 

Source: Kinross, 2024

 

Figure 16-12: Plan view of main underground accesses

 

Page 278

 

 

Kinross Gold Corporation

Great Bear Gold Project

Ontario, Canada

NI 43-101 Technical Report

 

Mine Layout

 

Mining areas were divided into multiple horizons that encompass several production levels for mine design and sequencing purposes. Figure 16-13 is colour coded to show the layout of the various mining horizons.

 

 

Source: Kinross, 2024

 

Figure 16-13: Longitudinal view of the LP Zone including LP Discovery, LP Central, LP East, and LP Viggo subzones

 

Stope Design Methodology and Cut-off Grades

 

Stopes were designed using the Deswik Stope Optimizer (SO) tool based on the geomechanics and ground control guidance from WSP, deposit characteristics, and underground cut-off grades. Mine development and required supporting infrastructure were designed to arrive at a preliminary mineable inventory. Stope panel shapes were further refined and stoping areas were evaluated for economics, safety, and practicality prior to finalizing the underground mineable inventory and LOM plan.

 

The initial stoping in situ cut-off grades used for the SO economic evaluation were 3.1 g/t and 2.4 g/t for the BCOG and MCOG, respectively. The stoping BCOG considers all operating and sustaining capital costs. The inputs to the stoping MCOG are equal to the stoping BCOG inputs, minus the operating and sustaining development costs. Table 16-23 presents the parameters and assumptions used to determine the underground cut-off grades.

 

Page 279

 

 

Kinross Gold Corporation

Great Bear Gold Project

Ontario, Canada

NI 43-101 Technical Report

 

Table 16-23: COG parameters for stope optimizer inputs and evaluations

 

Parameter  Units  Value 
Gold Price  USD/troy ounce   1,700 
Metallurgical Recovery  %   96.2 
Mine Operating Expenses        
Lateral Development  USD/Lat Dev metre   5,900 
Stoping Production and Other Mine Operating  USD/t mined   54.10 
Processing Cost  USD/t processed   17.40 
General and Administration Costs (OP and UG Operation)  USD/t processed   10.80 
Selling Costs (refining, Transport, Insurance, Payable Fraction)  USD/troy ounce   3.80 
Royalties  %   2.0 
Reclamation  USD/troy ounce   2.70 
Sustaining Capital        
Lateral Development  USD/Lat Dev metre   6,400 
Vertical Development  USD/Vertical metre   7,200 
Other Sustaining Capital  USD/t milled   17.60 

 

In addition, a COG of 0.8 g/t Au was applied to lateral development to identify broken material that would generate profit by sending it to the process plant instead of to the waste rock dumps. This cut-off is estimated based on BCOG minus mining and sustaining costs.

 

An in-situ cut-off grade was calculated to input in SO, along with other parameters such as stope dimensions, minimum stope width, stope walls angles, etc. The calculated cut-off grade accounts for the average unplanned dilution factors as per the geomechanical recommendations.

 

Stope minimum mining widths of 3.0 m to 3.7 m were used based on a minimum vein width of 2.5 m, plus total unplanned dilution ranging from 0.5 m to 1.2 m. Table 16-24 presents the parameters used in the SO evaluation. Approximately 30% of the mineable underground inventory tonnage is derived from stopes with vein widths between 2.5 m to 3.5 m in width.

 

Page 280

 

 

Kinross Gold Corporation

Great Bear Gold Project

Ontario, Canada

NI 43-101 Technical Report

 

Table 16-24:Stope optimizer parameters

 

Parameter  Units  Value 
Stope Dip Angles  degrees   55 - 90 
Default Stope Strike Angle  degrees   27.2 
Stope Height  m   30 
Stope Length (Along Strike)  m   25 
Min Stope Width (In-situ)  m   2.5 
Min Pillar between Parallel Stopes  m   5 
Geological Control Wireframes      Yes 

 

Considering their required development, and other mining costs, each stope was evaluated individually and as a group by level or areas to ensure all stopes included in the LOM plan and mineable inventory generate positive economics.

 

Dilution and Mining Recovery

 

Stope dilution was calculated using Equivalent Linear Over Slough (ELOS) parameters derived from WSP’s geomechanics assessment. The tonnes of overbreak dilution expected from the stope walls was calculated for each geomechanical domain. Depending on the stoping method, an additional 1% to 4% dilution was added for stopes with walls exposed to backfill.

 

To quantify the overbreak diluting grade, three dimensional representations of the ELOS “skins” were prepared for a sample of several production levels. The ELOS solids were generated by using the SO tool to interrogate the dilution solids against the resource block model. The average diluting grade obtained from this exercise was approximately 0.75 g/t Au.

 

For development excavations, an overbreak dilution factor of 10% with zero diluting grade was applied.

 

Table 16-25: Summary of dilution quantities by zone

 

Zone  ELOS
HW
(m)
   ELOS
FW
(m)
   ELOS
Total
(m)
   ELOS
Tonnes
(t)
   Backfill
Dilution
(%)
 
LP Discovery   0.25    0.25    0.50    1,018    0-1%
LP-Upper   0.25    0.24    0.49    992    0-4%
LP-Lower   0.5    0.7    1.20    2,430    0-1%
LP Viggo   0.23    0.27    0.50    1,006    0-1%

 

Page 281

 

 

Kinross Gold Corporation

Great Bear Gold Project

Ontario, Canada

NI 43-101 Technical Report

 

The average planned and unplanned dilution are 28% and 21% respectively. Figure 16-14, Figure 16-15, and Figure 16-16 show long sections of the mine design with planned, unplanned, and total dilution percentages, respectively.

 

 

Source: Kinross, 2024

 

Figure 16-14: Estimated planned dilution

 

 

Source: Kinross, 2024

 

Figure 16-15: Estimated unplanned dilution (ELOS + backfill dilution)

 

Page 282

 

 

Kinross Gold Corporation

Great Bear Gold Project

Ontario, Canada

NI 43-101 Technical Report

 

 

Source: Kinross, 2024

 

Figure 16-16: Estimated total dilution (planned + unplanned)

 

Due to inherent physical constraints and operating conditions, some mineralized material planned for extraction is expected to be left in place. The dominant factors affecting the mining recovery are stope layout and locations, width, and mining equipment constraints. Mining recovery assumptions were 95% for typical stopes with top and bottom cuts, 90% for stopes with bottom cut only, and 85% for sill pillar and crown pillar stopes.

 

LP Central and LP East

 

The LP Central and LP East zones consist of the largest and highest-grade mineralization in the Great Bear complex. The zones extend approximately 2 km along strike and have as many as six parallel mining lenses in some areas. The declines are designed to target development of these LP zones as early as possible. LP Central and LP East will have their own internal access ramp system connected to the main declines. Vertical development for handling mine production was designed to reduce tramming distance for load-haul-dump (LHD) units and improve truck productivity. Some levels require footwall drive excavations to allow for multiple entries to the stopes and provide common infrastructure for ventilation, services, and in-fill drilling.

 

The interlevel ramp system follows the deposit geometry to provide access to the sublevels. Underground facilities are located along the level accesses and include a refuge station, battery charging station, escapeway, sump, and electrical substation. Figure 16-17 shows a typical level layout for the LP Zone.

 

Page 283

 

 

Kinross Gold Corporation

Great Bear Gold Project

Ontario, Canada

NI 43-101 Technical Report

 

 

Source: Kinross, 2024

 

Figure 16-17: Plan view of a typical level layout in the LP Zone

 

LP Discovery Zone

 

Mineralization in the LP Discovery zone is the least continuous and lowest grade among all zones. Minimizing development intensity was a primary driver in the mine design for this zone. Retreating to a single center access was deemed reasonable for this zone given the relatively small footprint and creates fewer areas where ground stresses can concentrate. Mine production from LP Discovery is scheduled late in the underground LOM plan. Mineralized material from this zone will be loaded by LHDs into trucks and delivered directly to the surface re-handling point via the declines.

 

LP Viggo Zone

 

The LP Viggo Zone is the smallest underground mining zone with a vertical extension of approximately 240 m or eight sublevels. The zone is composed mainly of a continuous lens with higher grades than the LP Discovery zone. Access to LP Viggo is planned to be via an extension of the northern twin decline. A main ramp is located at the west side of the zone from which an entry to each sublevel will be established. A single-entry point to the stopes without footwall drift was designed given that LP Viggo mineralization has strike length of approximately 450 m and a relatively low planned production rate of 800 tpd. Mineralized material from the zone will be dumped by LHDs into a materials handling raise and loaded into trucks in the level entrance and hauled to surface via the decline.

 

Development Design

 

All lateral development, except the ramps, was designed at a 0% gradient. Ramps were designed with a turning radius of 20 m and gradients of 15%. Grade breaks were added at intersections with level entrances. Table 16-26 shows various lateral development profiles included in the mine design.

 

Page 284

 

 

Kinross Gold Corporation

Great Bear Gold Project

Ontario, Canada

NI 43-101 Technical Report

 

Table 16-26: Lateral development parameters

 

Development Type  Code  Width
(m)
   Height
(m)
   Minimum Length
(m)
Stope Access  SAC   4.5    4.5   20
Main Ramp  RMP   5.2    5.8   As needed
Stope Undercut  SUC   4.5    4.5   As needed
Footwall Drive  FWD   5.1    5.1   As needed
Raise Access  RAC   6.0    6.0   20
Sump  SMP   6.0    5.1   18
Electrical Substation  SUB   7.5    5.1   15
Charging Bay  CHG   4.9    7.3   20
Magazine  MAG   9    5.3   22
Refuge Station  RFG   5.1    5.1   6
Lubricant Bay  LUB   8    5.3   20
Remuck Bay  RMK   5.1    5.1   20
Exploration Drive  EXP   5.1    5.1   As needed
Garage  GAR   13.5    9.5   As needed
Level Access  LVA   5.10    5.10   As needed
Diamond Drill Bay  DDB   5.1    5.1   15
Truck Loadout  TLO   5.1    6.0   30

 

Vertical development types and dimensions are listed in Table 16-27. Vertical development was designed for excavation using raise boring or similar methods.

 

Table 16-27: Vertical development parameters

 

Development Type  Code  Diameter
(m)
 
Fresh Air Raise  FAR   4.0 – 5.0 
Return Air Raise  RAR   4.0 – 5.0 
Materials Handling Raise  OPS   3.0 
Escapeway  EGR   1.0 
Finger Raise  FGR   2.4 

 

Mine services, including ventilation ducting, development drill electrical cables, process water, dewatering, and compressed air lines, will be advanced as part of the development cycle. Utilities, such as the communications system backbone and substation electrical feeds will be installed as required out of cycle. Wherever possible, boreholes will be used between levels to minimize the length of piping and utility cable required.

 

Page 285

 

 

Kinross Gold Corporation

Great Bear Gold Project

Ontario, Canada

NI 43-101 Technical Report

 

The stand-off distance between footwall development and stopes is 20 m. An additional 60 m stand-off is used between footwall development and ramps. The minimum pillar distance between lateral and vertical development is five metres.

 

Mine Infrastructure and Equipment

 

Materials Handling System

 

The material handling system selected for the underground mine is truck haulage. LHDs (14 t) were selected for loading mine trucks (54 t) in designated loading bays on sublevels for haulage to the surface re-handling point. In the LP Central, several ore passes are designed for material transfer to reduce truck loading times. Sublevels will connect to the ore pass raises through finger raises which will be equipped with a grizzly. A remote-control operated truck chute will be installed at the truck load-out areas to load mine trucks which will deliver materials to the surface re-handling point.

 

Surface haul trucks are proposed for transporting mineralized material from the surface re-handling point to the primary crusher located at the process plant.

 

Mining Mobile Equipment

 

In addition to the stope and development design dimensions, productivity, flexibility, and safety are the main drivers behind the underground mining equipment selection. The main fleet consists of 14-t capacity LHDs and 54 t capacity trucks.

 

A trade-off study was completed to evaluate diesel versus battery powered LHDs and trucks. Based on the current technology available and the characteristics of the mine, the equipment selection includes the use of battery powered LHDs and diesel-powered trucks. The Project’s equipment selection and replacement strategy will be revisited as battery-electric technology progresses.

 

The total fleet requirement was calculated using a time usage model where productive hours per shift are estimated, differentiating the engine hours from the operating time for each unit of equipment. This approach provided a baseline for estimating consumables for each equipment unit. In combination with equipment productivities, the mining physicals from the LOM plan drive the annual mobile equipment requirements and purchasing schedules. The overall mobile equipment schedule also includes requirements for rebuilds and replacement units.

 

Page 286

 

 

Kinross Gold Corporation

Great Bear Gold Project

Ontario, Canada

NI 43-101 Technical Report

 

The mobile equipment list proposed for the Project includes rebuilds and replacements over the LOM and is listed in Table 16-28. At this stage of study, equipment manufacturers and models are presented for the purpose of establishing suitable equipment capacities/productivities for use in calculations, and for estimation of capital and operating costs.

 

It is anticipated that pre-production development until the end of Year -1 will be executed by a mining contractor and it is assumed that the mining contractor will supply and maintain the mobile equipment required to perform the work within their scope. To reduce power demand during the ramp-up years, it is assumed that all equipment will be diesel-powered until Year 4.

 

Page 287

 

 

Kinross Gold Corporation

Great Bear Gold Project

Ontario, Canada

NI 43-101 Technical Report

 

Table 16-28: Underground mining mobile equipment requirements

 

Equipment Type  Model (Assumed)  Initial
Purchase
   Rebuild   Replacement 
Jumbo, Two-boom  Epiroc Boomer M20 S   5    5    4 
Bolter  Epiroc Boltec M10   9    9    8 
Explosives Loader (Development)  MacLean AC3 (ANFO)   4    6    3 
Explosives Loader (Production)  MacLean EC3 (emulsion)   4    7    3 
LHD – 14 t (Diesel)  Epiroc ST14   3    -    - 
LHD – 14 t (BEV)  Epiroc ST14 SG   7    12    5 
Truck – 54 t (Diesel)  Epiroc MT54   11    17    5 
Scissor Truck  MacLean Scissor Lift SL3   5    5    - 
Shotcrete Sprayer  MacLean Shotcrete Sprayer SS5   3    4    1 
Concrete Agitator  MacLean Transmixer TM3   4    6    2 
Boom Truck  MacLean BT2   4    6    3 
Cable Bolt Hole Drill  Epiroc Cabletec M   2    2    1 
Grader  MacLean GR5   3    4    2 
Mobile Rockbreaker  MacLean Rockbreaker RB3   2    1    - 
Blockholer  MacLean Blockholer BH3   2    1    - 
Rough Terrain Forklift  Minemaster MM430   6    10    4 
Sludge Truck  Normet Utimec LF 1000 Water (sludge pump)   3    3    - 
Fuel/Lube Truck  MacLean FL3   3    4    2 
Bus (20 Passengers)  MacLean PC3   3    4    2 
Light Vehicles for Personnel Transportation  Toyota Landcruiser   16    30    12 
Raisebore – 5 ft Reamer  Epiroc Easer L   3    4    2 
Production Drill  Epiroc Simba E70 S ITH   4    4    4 

 

Page 288

 

 

Kinross Gold Corporation

Great Bear Gold Project

Ontario, Canada

NI 43-101 Technical Report

 

Ventilation System

 

The ventilation design assumes that fresh air will be supplied via the twin declines and intake raises located at the LP Central and LP Discovery zones. The fresh air from declines and intake raise at LP Central will be distributed to the LP Central, LP East, and LP Viggo zones through internal ramps, internal raises and the twin decline extension. Exhaust air will return to surface though the two exhaust raises located in LP Central and one exhaust raise in the LP East. The LP Discovery zone ventilation system is designed to rely on dedicated intake and exhaust raises. All the main ventilation raises are designed at 5.0 m diameter, except for 4.0 m diameter internal raises in LP East, the LP “satellite”, and LP Viggo.

 

Figure 16-18 shows the ventilation conceptual design for the different mineralization zones, with fresh and return air circuits.

 

 

Figure 16-18: Ventilation sketch for LP Discovery, LP Central, and LP Viggo zones

 

Figure 16-19 shows the estimated annual airflow by zone. Airflow quantity is estimated based on the minimum requirement of 0.06 m3/s/kW of diesel engines in combination with infrastructure area and other operational considerations. For the LP Discovery and LP Viggo zones a minimum ventilation requirement was used to ensure that all active areas of the workings are ventilated, even during periods of limited production. The peak ventilation airflow demand of 1,000 m3/s is anticipated by Year 6.

 

Page 289

 

 

Kinross Gold Corporation

Great Bear Gold Project

Ontario, Canada

NI 43-101 Technical Report

 

 

Figure 16-19: Combined underground ventilation demand estimates for LOM

 

Ventilation Stages and Main Fans

 

Major ventilation milestones were identified based on the LOM plan, timing of development by zone, and significant changes in production rates. Five key stages were defined and assessed with ventilation circuit simulations. The stages are shown in Table 16-29.

 

Table 16-29: Mine stages

 

Stage  Description  Project
Year
   Stoping Production Rate
(tpd, approximate)
 
Stage 0  Connection of RAR 1   -2    380 
Stage 1  LP Central and LP East   5    5,100 
Stage 2  LP Central, LP East, LP Viggo and LP Discovery   9    6,000 
Stage 3  LP Central and LP Discovery   10    4,940 
Stage 4  LP Central and LP Discovery, end LOM   12    1,000 

 

Airflow distribution will be managed by several main fan installations located on the surface. The first installation will be the twin decline system located at the South Decline Portal, which will support early development. The remaining surface fans will be at exhaust stations equipped with two parallel fans at each location. Fresh air raises from surface and the main declines will be equipped with intake air heaters. The characteristics and commissioning schedule for the main ventilation installations are presented in Table 16-30.

 

Page 290

 

 

Kinross Gold Corporation

Great Bear Gold Project

Ontario, Canada

NI 43-101 Technical Report

 

Table 16-30: Estimated main fan selection duty points

 

Main Fans  Airflow per Fan
(m
3/s)
   Fan Static Pressure
(kPa)
   Fan Power Demand
(kW) - Combined
 
RAR 1 (LP Central) Fans   160    2.48    1,060 
RAR 2 (LP Viggo) Fans   150    2.38    475 
RAR 3 (LP Central) Fans   132    2.94    1,040 
RAR 4 (LP Discovery) Fans   200    1.88    500 
OP exhaust Fan   100    1.92    256 
LP Central Booster (RAR 1) Fans   165    2.90    1,220 
LP Central Booster (RAR 3) Fans   150    2.90    1,150 
South Decline   170    0.40    100 
North Decline   170    0.04    100 
FAR 1 (LP Central)   190    0.40    200 
FAR 2 (LP Discovery)   190    0.4    100 

 

Backfill

 

Paste backfill accounts for approximately 84% of the backfill used in the underground LOM plan and is produced using engineered tailings from the process plant. The backfilling plan allows for approximately 7% of all stoping voids to be filled with ROM waste rock and another 7% to be left unfilled. Waste rock required for backfilling will be hauled directly from underground development areas to the stopes. It is assumed that the balance of the underground waste rock generated by mining activities will be trucked to the surface MRS areas.

 

Prior to commissioning of the paste plant, Cemented Rock Fill (CRF) from a contractor-supplied mobile CRF unit is contemplated for backfill supply. This system may be used in the future if there is any area located outside of the coverage of the paste plant network.

 

The proposed underground paste system consists of a 150 m3/h paste fill plant and underground distribution system. The average utilization of the plant is estimated at 54% and will be sufficient to support peak mineralized materials production of 6,000 tpd. The paste system includes the paste plant facilities and the ancillary equipment required to deliver the product to the underground stopes such as a high-rate thickener, disc filter, initial reticulation piping, and paste pumps. It is anticipated that a paste booster pump will be required for the LP Viggo and LP Discovery zones. Figure 16-20 shows the annual backfill demand.

 

Page 291

 

 

Kinross Gold Corporation

Great Bear Gold Project

Ontario, Canada

NI 43-101 Technical Report

 

 

Source: Kinross, 2024

 

Figure 16-20: Annual backfill demand

 

Backfill Strength Requirements

 

Backfill strength requirements were assessed using a variation of the confined sliding block formulation based on the limit equilibrium analysis presented by Mitchell et al (1992). All analyses were performed based on the expected backfill characteristics and stope designs.

 

The backfill strength estimates for paste and CRF are presented in Table 16-31 for single height (i.e., 30 m) stopes. A minimum backfill UCS of 175 kPa will be targeted to prevent liquefaction due to blasting or seismic events.

 

Page 292

 

 

Kinross Gold Corporation

Great Bear Gold Project

Ontario, Canada

NI 43-101 Technical Report

 

Table 16-31: Summary of backfill strength

 

Parameter  Paste   Cemented Rockfill (CRF) 
Depths Considered   Upper    Lower    Upper    Lower 
Stope Height (m)  30 
Stope Strike Length (m)  25 
FS   1.5    2.0    2.0    3.0 
Required UCS (kPa)1   118 to 186    157 to 248    131 to 187    175 to 249 

 

Binder Content

 

Cement binder accounts for 45% of the paste fill operating costs. Based on the initial tests performed, all stopes will be paste filled using a minimum binder content of approximately 2.3%. Table 16-32 shows the strength targets and corresponding binder requirements for both paste and CRF.

 

Table 16-32: Strength targets and binder requirements

 

Backfill Method  High Strength Target
(>28 Days)
   Lower Strength
Target (14 Days)
   Average Binder
Content
(%)
 
Paste Fill Strength Target (kPa)   1,000    325    2.5%
Paste Fill Binder Content (%)   4.0%   2.25%     
CRF Strength Target (kPa)   1,110    360    5.0%
CRF Binder Content (%)   5.0%   5.0%     

 

As some of the stopes are relatively narrow, the paste fill rate of rise is relatively fast and can be above the bulkhead within hours increasing the load on the bulkhead rapidly. To minimize operational risks during the filling process, a plug and pour filling strategy is envisioned. The lower portion of the plug (approximately 3 m above the bulkhead) will be poured at high strength and allowed to cure for a minimum of 24 hours, followed by the remaining paste pour at lower strength.

 

Figure 16-21 shows the typical paste backfill arrangement for a stope with top and bottom access.

 

Page 293

 

 

Kinross Gold Corporation

Great Bear Gold Project

Ontario, Canada

NI 43-101 Technical Report

 

 

Figure 16-21: Typical stope arrangement with top and bottom access

 

Backfill Delivery

 

The paste backfill plant is positioned adjacent to the LP Central open pit. This location sits vertically above the main declines and was selected based on proximity to the LP Central zone and consideration of other surface infrastructure such as waterways and open pits. An area of 85 m x 40 m has been allocated to the paste plant infrastructure.

 

For the paste plant, modern vacuum disc filters have been selected. Although the throughput of the paste plant is high, the filtration rate of the tailings is considered above average. A single 1,000 t silo will provide binder storage for approximately five days of usage at the nominal operating rate.

 

Paste will be delivered by gravity to the LP Central mining areas while a paste pump is expected to be required for delivery to the LP Discovery and LP Viggo zones. From the mixer, paste will be discharged to a 170 m long borehole drilled at approximately 80 degrees and fed underground. A second parallel paste hole will be installed as a spare. From the initial underground delivery points, paste fill reticulation will run along lateral development to active stoping areas. Underground paste reticulation will also include interlevel boreholes through designated paste cut-outs located throughout the mining areas. Table 16-33 shows the key parameters considered in the paste system design.

 

Page 294

 

 

Kinross Gold Corporation

Great Bear Gold Project

Ontario, Canada

NI 43-101 Technical Report

 

Table 16-33: Key parameters used in reticulation system design

 

Parameter  Value   Unit
Solids Specific Gravity (SG)   2.70    
Solids Content   72.5   % weight
Paste Bulk Density   1.85   t/m3
Flow Rate   150   m3/h
Flow Velocity Range   1.0 – 2.0   m/s
Design Temperature Range   30   °C
Friction Loss Range   3.0 – 8.0   kPa/m

 

During the first three years of operation, it is estimated that approximately 185,000 m3 of CRF will be required. To reduce the associated upfront capital costs, CRF production and delivery are expected to be outsourced to a contractor.

 

Underground Maintenance Facilities

 

The main equipment maintenance shops have been designed in the LP Central area near the main exploration drift at approximately 575 m depth. It is proposed that the surface shop for initial development will be maintained to service equipment for the LP Discovery zone and facilitate major maintenance for all underground equipment. Equipment from LP Viggo and LP East will access the underground equipment shop via the decline and LP Central ramp.

 

Fuel and lube bays are located throughout the mine in all zones. Lube bays will be accessible from each zone’s ramps and can be decommissioned as the mine advances.

 

Power Distribution and Battery Infrastructure

 

The main substation for the underground mine is planned to be located at the portal complex and power will be delivered at a voltage of 13.8 kV from the portal to underground switchgear with armored cables along the main declines. Power will be distributed to a mine power center (MPC) located on each sublevel and stepped down to 600V to feed mine equipment.

 

As mining progresses, MPCs can be relocated from inactive horizons to new areas.

 

An LHD charging station is proposed for every two to three sublevels. These chargers will be dedicated to the LHDs operating on the level. They may also be used to charge components for mobile equipment with on board batteries.

 

Page 295

 

 

Kinross Gold Corporation

Great Bear Gold Project

Ontario, Canada

NI 43-101 Technical Report

 

Dewatering

 

The underground dewatering system design is based on water inflow estimates from hydrology and hydrogeological modelling. This modelling considered the impact of concurrent surface and underground operations. The dewatering design considers pump sizes, pump selection, reticulation routing, pipe sizing and water settling options.

 

Lateral flow distribution and inflow variation over the LOM is unknown at this stage of the Project. Therefore, the dewatering demand for each mining zone was based on assumed fraction of total inflow. Most inflows are expected in the upper zone of the underground mine (< 500 m depth).

 

A cascading pumping system is assumed for discharging water from underground to surface. The system will contain level sumps located at the entrance to sublevels, intermediate sumps located every five to six levels, and main sumps located in the main interlevel ramps. Water collected in levels sumps will be pumped or drained by 6” to 8” diameter drain holes to intermediate sumps. Intermediate sumps with 37 kW to 90 kW pumps will deliver water to main sumps. Staged pumping to surface will be performed from the main sumps, each equipped with two 90 kW pumps to handle up to 160 m3/h of flow and 130 m of head.

 

Compressed Air

 

Compressed air will be used by production drills, shotcrete sprayers, and a back-up airline for refuge chambers. A main compressor station is contemplated that would be located on surface at the portal complex. A permanent compressed air line would be installed in the decline during the initial development phase.

 

The compressor system is designed for a peak requirement of approximately 7,000 m3/h. The paste plant and equipment maintenance shop will have dedicated compressor units. Development drills, explosive charging units and various other equipment will be equipped with onboard compressors to support their duties.

 

Explosives Storage

 

Three explosive magazines are included in the mine design, distributed throughout the underground mine. The first will be at approximately 70 m depth and accessed from the north main decline. This magazine will be used for development of the initial decline, the upper parts of the LP Zone, and the LP Discovery zone. The second and third magazines will be located in the LP Central zone at approximately 460 m and 850 m depths, respectively. Magazines will be developed on levels after production is complete to minimize exposure to explosives. Detonator storage will be located adjacent to the explosive magazines and designed according to Ontario regulations.

 

Page 296

 

 

 

Kinross Gold Corporation

Great Bear Gold Project

Ontario, Canada

NI 43-101 Technical Report

 

Communications

 

The proposed site local area network (LAN) will provide service to the various areas around the site with fibre optic cables. Multiple networks will provide service for process control, automation, information technology including Wi-Fi system, energy management, and fire detection.

 

The proposed fibre optic network will also provide connectivity to the LTE system on surface and underground. LTE coverage underground will be provided by a distributed antenna system (DAS) using radiating cables installed in the main access ramps and drifts. Coverage to other areas will be provided by Wi-Fi access points connected with Category 6A or coaxial cables.

 

The proposed site monitoring system will integrate different technologies with connection to the fibre optic network or wirelessly through the LTE or Wi-Fi systems. The system will allow notifications such as text messages, pre-recorded voice messages, local alarms, and video displays, to both remote users and operators in the Local Control Room.

 

Each portable refuge station will have an emergency communication system with a direct link to surface.

 

Secondary Egress and Refuge Stations

 

Portable refuge stations will be installed and moved as levels begin and cease production. Because of the spatial extents of the mining levels, refuge stations will be installed on each level to reduce distances from working areas.

 

Additional information regarding supporting mine infrastructure is presented in Section 18.

 

Mining Personnel

 

The underground operations management team is expected to include an operations manager and superintendents for each operational area (i.e. development, production, construction and backfill, planning, maintenance and logistics).

 

The total underground mining labour requirement during peak operations is estimated at approximately 500 people, consisting of approximately 70% and 30% direct and indirect labour, respectively. Figure 16-22 illustrates the expected underground workforce requirement by year.

 

Page 297

 

 

Kinross Gold Corporation

Great Bear Gold Project

Ontario, Canada

NI 43-101 Technical Report

 

 

Figure 16-22: Underground workforce requirement by year

 

LOM Plan – Underground

 

Development and Production Scheduling Parameters

 

The underground LOM plan was prepared using Deswik® design and scheduling software to define extraction sequences from 3D development and stoping designs. Productivities for the different mining activities were calculated using a first principles approach based on estimated equipment and labour utilization rates. The underground LOM plan was developed using an iterative process, and considers several aspects such as cash flow, capital cost timing, safe extraction, interaction with the open pit, availability of auxiliary infrastructure, mine ventilation, and geomechanics. The main productivities used in the underground LOM planning tasks are presented in Table 16-34.

 

Page 298

 

 

Kinross Gold Corporation

Great Bear Gold Project

Ontario, Canada

NI 43-101 Technical Report

 

Table 16-34: Production rates and scheduling parameters

 

Activity  Rate or Duration
(Per Unit)
Lateral Development (Main Decline)  4 m/d
Raisebore – 3 m diameter  4 m/d
Slot Raise (Raisebore)  6 m/d
Production Drilling  160 m/d
Re-Drilling Delays  2 days
Loading and Blasting  4 days
Stope Mucking  1,300 tpd
Backfill Barricade and Preparation  4 days
Cemented Rockfill (CRF) Backfill  500 tpd
Pastefill  4,000 tpd
Pastefill/CRF Cure for Adjacent Slot  7 days

 

Backfilling activities were represented during the scheduling process, including the corresponding placement rates and curing times. Table 16-35 shows the total backfill demand for each backfill type.

 

Table 16-35: LOM backfill volume by backfill type

 

Backfill Type  Volume
(m3 x 1,000)3)
   Percent of Total Fill
(%)
 
Paste Fill   6,352.9    84 
CRF   184.3    2 
Rock Fill   517.1    7 
Unfilled   517.1    7 
Total Mined   7,571.3    100 

 

Underground mine development is planned to start in Year -3, after the necessary permits, power, and other critical infrastructure are in place. Underground mine development is designed to continue from the targets identified for bulk sampling and early production. First stope production is expected to begin in Year -1 and will continue for approximately 12 years with a peak production rate of approximately 6,000 tpd. Mineralized material that is mined from Year -3 to second half of Year -1 will be stockpiled on the surface until the process plant is commissioned.

 

Page 299

 

 

Kinross Gold Corporation

Great Bear Gold Project

Ontario, Canada

NI 43-101 Technical Report

 

Underground production over the LOM is estimated at 20.3 Mt of mineralized material with an average grade of 4.9 Au g/t, containing 3.2 Moz of gold. This includes 3.6 Mt of mineralized material from development activities and 16.7 Mt from stoping activities. Figure 16-23, Figure 16-24 and Figure 16-24 show the scheduled annual production tonnes and grades, production by mining zone and total materials mined respectively.

 

 

Source: Kinross, 2024

 

Figure 16-23: Underground annual production

 

 

Source: Kinross, 2024

 

Figure 16-24: Underground mine production by zone

 

Page 300

 

 

Kinross Gold Corporation

Great Bear Gold Project

Ontario, Canada

NI 43-101 Technical Report

 

 

Source: Kinross, 2024

 

Figure 16-25: Underground mineralized materials and waste production

 

The LOM lateral development requirement is approximately 160 km. This includes the capital and operating development required to access and prepare all production areas included in the mineable inventory. The peak lateral development rate is 17.5 km/year, which is required for one year to sustain the planned production rates. Figure 16-26 shows the annual lateral development over the LOM plan.

 

 

Source: Kinross, 2024

 

Figure 16-26: Underground annual lateral development

 

Page 301

 

 

Kinross Gold Corporation

Great Bear Gold Project

Ontario, Canada

NI 43-101 Technical Report

 

16.6Project LOM Plan – Open Pit and Underground

 

The Project’s combined open pit and underground mining operations are expected to support a peak processing rate of approximately 10,000 tpd for most of the Project’s life.

 

The open pits are expected to provide direct plant feed from Year 1 to Year 8, while underground plant feed is planned to begin in Year -1 and continue until the end of the mine life. Several stockpile facilities will be required and stockpiled plant feed will form a higher percentage of overall plant feed towards the end of the mine life.

 

Over the LOM, the Project is forecast to produce a total of approximately 5.3 Moz of gold with an average annual gold production of approximately 431 koz from Year 1 to Year 12, with approximately 518 koz of average annual gold production for the first eight years. The ramp-up year to commercial production (Year -1) is excluded from the average production values. Figure 16-27 shows the combined LOM plan for the Project’s open pit and underground operations.

 

 

Figure 16-27: Project LOM Plan – process plant feed

 

Page 302

 

 

Kinross Gold Corporation

Great Bear Gold Project

Ontario, Canada

NI 43-101 Technical Report

 

Table 16-36: Project LOM plan – mining and processing physicals

 

Description  LOM   Year
-3
   Year
-2
   Year
-1
   Year
1
   Year
2
   Year
3
   Year
4
   Year
5
   Year
6
   Year
7
   Year
8
   Year
9
   Year
10
   Year
11
   Year
12
 
Plant Feed Mined (kt)                                                                
Open Pit                                                                
LP Viggo  1,268   142   723   403   -   -   -   -   -   -   -   -   -   -   -   - 
LP Central PH1  8,163   -   -   370   3,349   3,687   757   -   -   -   -   -   -   -   -   - 
LP Central PH2  10,374   -   -   -   -   9   2,431   3,332   2,929   1,672   -   -   -   -   -   - 
LP Central PH3  4,514   -   -   -   -   -   -   51   290   405   2,416   1,352   -   -   -   - 
Total Open Pit  24,320   142   723   773   3,349   3,697   3,188   3,383   3,219   2,077   2,416   1,352   -   -   -   - 
Underground                                                                
LP Central  17,611   8   138   548   827   1,280   1,430   1,850   1,787   1,995   1,860   1,614   1,656   1,601   779   239 
LP Discovery  1,786   -   -   -   -   -   -   -   -   1   63   309   445   309   496   163 
LP Viggo  910   -   -   -   -   -   -   9   73   194   273   267   89   5   -   - 
Total Underground  20,307   8   138   548   827   1,280   1,430   1,860   1,860   2,190   2,196   2,190   2,190   1,915   1,275   402 
Grand Total  44,627   150   862   1,320   4,176   4,976   4,618   5,243   5,079   4,267   4,612   3,542   2,190   1,915   1,275   402 
                                                                 
Waste Mined (kt)                                                                
Open Pit                                                                
LP Viggo  14,612   3,305   9,338   1,969   -   -   -   -   -   -   -   -   -   -   -   - 
LP Central PH1  54,486   -   -   14,998   22,151   15,696   1,642   -   -   -   -   -   -   -   -   - 
LP Central PH2  50,735   -   -   -   -   4,572   21,332   16,846   6,721   1,264   -   -   -   -   -   - 
LP Central PH3  43,741   -   -   -   -   -   -   3,149   11,210   15,751   11,714   1,917   -   -   -   - 
Total Open Pit  163,575   3,305   9,338   16,967   22,151   20,268   22,974   19,995   17,931   17,015   11,714   1,917   -   -   -   - 
Underground                                                                
Remains on Surface  6,775   435   239   88   555   595   858   733   614   720   617   736   444   141   -   - 
Total Underground  6,775   435   239   88   555   595   858   733   614   720   617   736   444   141   -   - 
Grand Total  170,349   3,740   9,577   17,054   22,706   20,863   23,832   20,729   18,545   17,735   12,331   2,653   444   141   -   - 

 

Page 303

 

 

Kinross Gold Corporation

Great Bear Gold Project

Ontario, Canada

NI 43-101 Technical Report

 

Description  LOM   Year
-3
   Year
-2
   Year
-1
   Year
1
   Year
2
   Year
3
   Year
4
   Year
5
   Year
6
   Year
7
   Year
8
   Year
9
   Year
10
   Year
11
   Year
12
 
Contained Au Mined (koz)                                                                
Open Pit                                                                
LP Viggo  66   7   35   24   -   -   -   -   -   -   -   -   -   -   -   - 
LP Central PH1  955   -   -   25   406   418   106   -   -   -   -   -   -   -   -   - 
LP Central PH2  791   -   -   -   -   0   162   256   266   107   -   -   -   -   -   - 
LP Central PH3  524   -   -   -   -   -   -   2   10   21   243   248   -   -   -   - 
Total Open Pit  2,337   7   35   49   406   418   268   258   276   128   243   248   -   -   -   - 
Underground                                                                
LP Central  2,850   1   17   87   117   213   235   302   299   338   335   236   229   279   137   26 
LP Discovery  208   -   -   -   -   -   -   -   -   0   5   31   47   38   65   22 
LP Viggo  155   -   -   -   -   -   -   1   12   26   66   39   10   1   -   - 
Total Underground  3,212   1   17   87   117   213   235   303   311   364   405   306   285   318   202   48 
Grand Total  5,549   7   52   136   522   632   503   561   587   492   649   554   285   318   202   48 
                                                                 
Process Plant Feed (kt)                                                                
Open Pit                                                                
LP Viggo  1,268   -   -   400   -   -   150   -   -   49   24   98   165   119   128   136 
LP Central PH1  8,163   -   -   102   2,606   2,363   590   -   -   21   10   42   273   414   710   1,032 
LP Central PH2  10,374   -   -   -   -   7   1,490   1,782   1,715   1,251   71   291   765   847   1,003   1,152 
LP Central PH3  4,514   -   -   -   -   -   -   8   75   140   1,359   1,029   257   355   544   747 
Total Open Pit  24,320   -   -   502   2,606   2,370   2,230   1,790   1,790   1,460   1,464   1,460   1,460   1,735   2,385   3,066 
Underground                                                                
LP Central  17,611   -   -   694   827   1,280   1,430   1,850   1,787   1,995   1,860   1,614   1,656   1,601   779   239 
LP Discovery  1,786   -   -   -   -   -   -   -   -   1   63   309   445   309   496   163 
LP Viggo  910   -   -   -   -   -   -   9   73   194   273   267   89   5   -   - 
Total Underground  20,307   -   -   694   827   1,280   1,430   1,860   1,860   2,190   2,196   2,190   2,190   1,915   1,275   402 
Grand Total  44,627   -   -   1,196   3,433   3,650   3,660   3,650   3,650   3,650   3,660   3,650   3,650   3,650   3,660   3,468 

 

Page 304

 

 

Kinross Gold Corporation

Great Bear Gold Project

Ontario, Canada

NI 43-101 Technical Report

 

Description  LOM   Year
-3
   Year
-2
   Year
-1
   Year
1
   Year
2
   Year
3
   Year
4
   Year
5
   Year
6
   Year
7
   Year
8
   Year
9
   Year
10
   Year
11
   Year
12
 
Contained Au to Plant (koz)                                                                
Open Pit                                                                
LP Viggo  66   -   -   33   -   -   9   -   -   2   1   4   6   4   3   3 
LP Central PH1  955   -   -   15   388   349   138   -   -   1   0   2   9   13   18   23 
LP Central PH2  791   -   -   -   -   0   136   210   229   98   3   12   26   26   26   26 
LP Central PH3  524   -   -   -   -   -   -   0   5   15   215   240   8   11   14   17 
Total Open Pit  2,337   -   -   49   388   349   283   210   234   116   220   258   49   52   61   68 
Underground                                                                
LP Central  2,850   -   -   105   117   213   235   302   299   338   335   236   229   279   137   26 
LP Discovery  208   -   -   -   -   -   -   -   -   0   5   31   47   38   65   22 
LP Viggo  155   -   -   -   -   -   -   1   12   26   66   39   10   1   -   - 
Total Underground  3,212   -   -   105   117   213   235   303   311   364   405   306   285   318   202   48 
Grand Total  5,549   -   -   154   505   563   518   513   545   480   625   564   335   370   262   116 
                                                                 
Head Grade (g/t Au)                                                                
Open Pit                                                                
LP Viggo  1.62   -   -   2.60   -   -   1.96   -   -   1.30   1.30   1.30   1.16   0.95   0.82   0.70 
LP Central PH1  3.64   -   -   4.63   4.63   4.59   7.27   -   -   1.26   1.26   1.26   0.99   0.94   0.77   0.69 
LP Central PH2  2.37   -   -   -   -   1.48   2.84   3.66   4.15   2.44   1.27   1.27   1.07   0.94   0.81   0.69 
LP Central PH3  3.61   -   -   -   -   -   -   1.88   1.89   3.27   4.93   7.26   1.00   0.93   0.77   0.69 
Total Open Pit  2.99   -   -   3.01   4.63   4.58   3.95   3.65   4.06   2.46   4.67   5.50   1.05   0.94   0.79   0.69 
Underground                                                                
LP Central  5.03   -   -   4.70   4.39   5.18   5.11   5.08   5.21   5.27   5.60   4.55   4.29   5.42   5.48   3.40 
LP Discovery  3.61   -   -   -   -   -   -   -   -   0.88   2.28   3.11   3.26   3.87   4.06   4.24 
LP Viggo  5.28   -   -   -   -   -   -   1.90   5.07   4.21   7.50   4.59   3.54   3.54   -   - 
Total Underground  4.92   -   -   4.70   4.39   5.18   5.11   5.06   5.20   5.17   5.74   4.35   4.05   5.16   4.93   3.74 
Grand Total  3.87   -   -   3.99   4.57   4.79   4.40   4.37   4.64   4.09   5.31   4.81   2.85   3.15   2.23   1.04 

 

Page 305

 

 

Kinross Gold Corporation

Great Bear Gold Project

Ontario, Canada

NI 43-101 Technical Report

 

Description  LOM   Year
-3
   Year
-2
   Year
-1
   Year
1
   Year
2
   Year
3
   Year
4
   Year
5
   Year
6
   Year
7
   Year
8
   Year
9
   Year
10
   Year
11
   Year
12
 
Metallurgical Recovery                                                                
Grand Total  95.7%  -   -   86.6%  95.2%  96.2%  96.1%  96.1%  96.2%  96.1%  96.3%  96.2%  95.7%  95.8%  95.4%  93.6%
                                                                 
Recovered Au (koz)                                                                
Open Pit                                                                
LP Viggo  60   -   -   29   -   -   9   -   -   2   1   4   6   3   3   3 
LP Central PH1  911   -   -   13   370   335   133   -   -   1   0   2   8   12   16   21 
LP Central PH2  755   -   -   -   -   0   130   201   220   94   3   11   25   24   24   24 
LP Central PH3  503   -   -   -   -   -   -   0   4   14   207   232   8   10   13   15 
Total Open Pit  2,230   -   -   42   370   336   272   202   224   110   211   248   46   49   56   63 
Underground                                                                
LP Central  2,732   -   -   91   111   205   226   291   288   325   322   227   220   268   132   25 
LP Discovery  199   -   -   -   -   -   -   -   -   0   4   30   45   37   62   21 
LP Viggo  149   -   -   -   -   -   -   1   11   25   63   38   10   1   -   - 
Total Underground  3,080   -   -   91   111   205   226   291   300   350   390   294   274   306   194   46 
Grand Total  5,309   -   -   133   481   541   498   493   524   461   601   543   320   355   250   109 

 

Page 306

 

 

Kinross Gold Corporation

Great Bear Gold Project

Ontario, Canada

NI 43-101 Technical Report

 

17.Recovery Methods

 

17.1Introduction

 

The proposed process plant has been designed to process approximately 10,000 tpd of mineralized material over most of the Project’s mine life. The conceptual process flowsheet is based on metallurgical test work results described in Section 13 of the Report and the resulting derived process design criteria. The proposed process flowsheet includes primary crushing, semi-autogenous grinding (SAG) and ball milling, pebble crushing, gravity concentration, cyanide leaching followed by carbon-in-pulp adsorption (CIP), elution, electrowinning, and smelting to produce gold doré. Tailings handling consists of cyanide destruction, tailings desulphurization using froth flotation, and tailings thickening.

 

The key design criteria for equipment selection are suitable for the process duty as defined in the process design criteria, equipment reliability, and ease of maintenance. The plant layout provides access to all equipment for proper operation, maintenance, and constructability.

 

17.2Process Design Criteria

 

The plant design is based on a Project life of at least 20 years and materials and equipment standards to support typical availabilities, maintenance requirements, and operating costs. The design can accommodate nominal operational throughput requirements, with allowances for capacity increases to respond to upsets and variability.

 

Table 17-1 summarizes the process design criteria that were established after a review of the available metallurgical test work results and comparable industry benchmarks. The proposed process flowsheet is illustrated in Figure 17-1.

 

Table 17-1: Process design criteria

 

Description  Units   Value   Reference / Source
Gold Feed Grade (Design)   g/t    7.25   Kinross
Silver Feed Grade (Design)   g/t    2.00   Kinross
Operating Days per Year   d    365   DRA/Kinross
Crusher Utilization   %    70   DRA/Kinross
Concentrator Utilization   %    92   DRA/Kinross
Crusher and Concentrator Throughput   t/d    10,000   Kinross
Capacity (nominal)   Mt/y    3.65   Kinross

 

Page 307

 

 

Kinross Gold Corporation

Great Bear Gold Project

Ontario, Canada

NI 43-101 Technical Report

 

Description  Units   Value   Reference / Source
Gold Recovery (Design)   %    95.9   Weighted test work results (SGS)
Silver Recovery (Design)   %    52   Weighted test work results (SGS)
Material Specific Gravity of Plant Material   -    2.83   Weighted test work results (SGS)
Bond Crusher Work Index (Design)   kWh/t    19.9   LP Fault test work (SGS)
Bond Ball Mill Work Index (Design)   kWh/t    12.0   Weighted test work results (SGS)
Bond Abrasion Index (Design)   g    0.282   Weighted test work results (SGS)
JK Resistance to Impact (Axb) (Design)   Axb    31.8   Weighted test work results (SGS)
Crusher and Concentrator Design Factor   %    15   DRA/Kinross
Grinding Circuit Particle Size (Leach Feed) (P80, nominal)   µm    75   Test work (SGS)
Crushed Material Stockpile Capacity (Total)   t    30,000   DRA
Design Gravity Gold Recovery   %    51   FLS Model
Elution Carbon Batch Size   t    10   Calculated

 

Page 308

 

 

Kinross Gold Corporation

Great Bear Gold Project

Ontario, Canada

NI 43-101 Technical Report

 

 

 

Figure 17-1: Proposed process flowsheet

 

Page 309

 

 

Kinross Gold Corporation

Great Bear Gold Project

Ontario, Canada

NI 43-101 Technical Report

 

17.3Process Plant

 

The process plant design consists of three main buildings: the crusher building, stockpile cover, and the process plant building.

 

Crushing Facilities

 

The crushing area will include an elevated pad for tipping into the primary crusher feed bin. The crusher building encloses the feed bin except for the open side of the building to allow for trucks to tip ROM material into the bin. In addition to the feed bin, the building will house the rock breaker, apron feeder, jaw crusher, and crusher control room (Figure 17-2). An overhead crane will be installed to maintain equipment. A dust collector will be installed to ensure adequate dust management in this area. The building will also house the tail section of the sacrificial conveyor under the jaw crusher, which transfers the crushed material to the stockpile feed conveyor.

 

 

 

Figure 17-2: Crusher building

 

Stockpile Facilities

 

The stockpile area design includes a pad for storage of approximately 30 kt of crushed plant feed material and will decouple the crushing circuit from the grinding circuit. The crushed stockpile will be built up using a static feed conveyor, creating a round stockpile which will be covered using a geodesic dome of similar shape that will provide protection from the elements as well as reducing dust emissions from the stockpile.

 

Page 310

 

 

Kinross Gold Corporation

Great Bear Gold Project

Ontario, Canada

NI 43-101 Technical Report

 

The crushed stockpile is designed to have a live capacity of approximately 8 kt, and when required, loaders will move material towards the centre of the stockpile. Under the stockpile, a reclaim tunnel will contain three apron feeders which pull the material out of the stockpile and onto the SAG mill feed conveyor.

 

Plant Interior

 

The proposed process plant building design consists of major processing circuits such as the grinding circuit, gravity circuit, CIP circuit, elution circuit, and gold room (Figure 17-3).

 

The grinding area will contain the SAG mill, ball mill, cyclone cluster, gravity concentrators and intensive leach reactor. The SAG mill discharge screen also feeds the oversize from the SAG mill to a pebble crusher circuit, downstream of the 30 kt stockpile.

 

The interior design assumes that the gold room will be situated within the process building with its own concrete walls around its perimeter for security purposes. Security measures and equipment will be installed in this area as well as in the gravity circuit areas.

 

 

 

Figure 17-3: Screenshot of the interior of the process plant

 

Page 311

 

 

Kinross Gold Corporation

Great Bear Gold Project

Ontario, Canada

NI 43-101 Technical Report

 

Plant Exterior

 

The exterior design assumes that thickeners, leach tanks, cyanide destruction tanks, process water tanks and desulphurization circuits will be located outside of the process building. Certain areas will be enclosed to protect from cold climates such as the underside and drives of the thickeners, the mechanical equipment on the leach tanks and a building around the desulphurization circuit.

 

Modular e-rooms will be located at various locations around the process plant based on the electrical loads in each area.

 

An office complex will be located immediately adjacent to the process plant.

 

Reagents Storage

 

A reagent storage building will be located south of the process plant and service as the long-term storage for reagents used in the process plant.

 

Assay Laboratory

 

An assay lab will be located to the east of the reagent storage building to perform sample preparation, fire assays, atomic absorption and cyanide analysis. The lab facility will support the needs of the mining, processing, and environmental operations.

 

17.4Process Description

 

An overview of the process description is provided below and is based on the metallurgical test work and design criteria discussed in prior sections of this report.

 

Primary Crushing and Crushed Material Stockpile

 

The ROM mineralized material will be transported to the primary crusher using mine trucks. The primary crusher design includes a feed bin equipped with a static grizzly to separate oversized material. Any materials that do not pass through the grizzly will be broken down using a rock breaker. The mineralized material will be withdrawn from the feed bin using an apron feeder, which will then feed a vibrating grizzly screen ahead of the primary jaw crusher. The grizzly screen oversize will feed the jaw crusher. The grizzly screen undersize, jaw crusher product, and apron feeder fines chute material will be combined and conveyed to a crushed material stockpile.

 

The crushed material stockpile will provide a buffer between the crushing and milling circuits. The stockpile’s live and total capacities will be approximately 8 kt and 30 kt, respectively. The mineralized material will be withdrawn from the stockpile using three (3) variable speed apron feeders placed below the pile in a reclaim tunnel. The apron feeders will transfer the material onto the SAG mill feed conveyor. To protect the material from the elements and for dust control, the stockpile will be covered.

 

Page 312

 

 

Kinross Gold Corporation

Great Bear Gold Project

Ontario, Canada

NI 43-101 Technical Report

 

Grinding Circuit

 

The proposed grinding circuit will reduce the size of the crushed material to the required particle size for effective gold extraction. The grinding circuit will consist of a SAG mill, which will operate in closed circuit with a vibrating discharge screen and pebble crusher. The ball mill is planned to operate within a closed-circuit classification system with a hydrocyclone cluster.

 

The oversize material that is screened out by the SAG mill discharge screen will be conveyed to the pebble crusher, where it will be crushed before being returned to SAG mill feed via the SAG mill feed conveyor.

 

The SAG mill discharge screen undersize, ball mill discharge, and gravity concentrator tails are designed to discharge to the cyclone feed pump box before being pumped to the cyclone cluster for size classification. The coarse material or cyclone underflow reports back to the ball mill with a portion being diverted to the gravity concentration circuit. The fine material, or cyclone overflow, flows via gravity to the trash screen before being sent to the pre-leach thickener.

 

Gravity Concentration and Intensive Leach

 

A portion of the material in the cyclone underflow will be diverted to the gravity concentration circuit for coarse gold particle recovery. The two parallel gravity concentrators are designed to be preceded by two vibrating scalping screens to remove oversize particles (+2 mm). Any oversized particles will be returned to the ball mill feed chute. The undersize material will flow by gravity to the gravity concentrators for processing.

 

The batch gravity concentrators use centrifugal force and fluidizing water to create a high-density concentrate stream and a tailings stream. The gravity concentrate collected will be flushed into the intensive cyanide leach reactor, while the gravity tailings will be returned to the cyclone feed pump box.

 

The intensive cyanide leach reactor is planned to operate as a batch process and will use high cyanide concentration solutions and mixing to dissolve the free gold particles recovered from the gravity circuit. The leached gold in solution recovered from the leach reactor will be pumped to a dedicated electrowinning cell for gold recovery. The intensive leach tailings will be rinsed and pumped to the cyclone feed pump box.

 

Pre-Leach Thickening, Leaching, and Carbon- In- Pulp

 

The ball mill cyclone overflow stream is designed to flow by gravity to the two pre-leach thickener trash screens to remove any debris, wood, plastic, or other foreign material from the slurry. The 25 m diameter pre-leach thickener will thicken the slurry from 26 to 50% solids by weight. The underflow will be pumped to the leach tanks, and the overflow will be sent to the process water tank for further use in the process.

 

Page 313

 

 

Kinross Gold Corporation

Great Bear Gold Project

Ontario, Canada

NI 43-101 Technical Report

 

The thickener underflow will be pumped to the first leach tank of five in series, each having dimensions of 18 m diameter by 19 m high for the dissolution of gold and silver into solution. The cyanidation leach process will be accomplished using air and cyanide in an alkaline leach environment. The leach tanks are designed to provide approximately 40 hours of leaching residence time prior to the CIP tanks.

 

The CIP circuit is designed as a conventional cascade circuit. The slurry containing the gold-bearing solution will pass through a series of tanks with dimensions of 9.1 m diameter by 11.4 m high. The carbon will be added to the last CIP tank and will be transferred (pumped) countercurrent to the slurry flow. Carbon will be held in the tanks by interstage screens that will allow the slurry to pass.

 

During carbon transfers, loaded carbon from the first CIP tank will be separated from the slurry by pumping from the tank to the loaded carbon screen to separate the carbon from the slurry. The loaded carbon will then be transported to a loaded carbon collection column and then sent to the elution circuit for gold desorption and refining.

 

The slurry from the final CIP tank will be directed to two carbon safety screens to recover fine carbon and will be pumped to the CIP tailings thickener, cyanide destruction tanks, and desulphurization flotation tank cells.

 

Elution, Regeneration, and Gold Room

 

The proposed gold desorption circuit includes: acid washing and rinsing, elution, electrowinning, and carbon regeneration. Loaded carbon will be transferred from the loaded carbon collection column to the acid wash column. The carbon will be washed in a dilute hydrochloric acid solution and then rinsed with caustic solution and water, sequentially. This process will help to prevent the buildup of scale or inorganic compounds on the carbon. Additionally, it will enhance the gold adsorption and desorption kinetics. The washed loaded carbon will then be transferred to the elution column for gold desorption.

 

The proposed elution design will use the Pressure Zadra process and will involve heating the eluate solution containing sodium cyanide and sodium hydroxide. The solution will be recirculated through the elution column and electrowinning cells for electrowinning. As the process continues, gold and silver will be electrolytically reduced and plated onto stainless steel mesh cathodes as a sludge. The solution will continue to circulate through the cells until the eluate gold concentration is reduced to below 5 ppm gold.

 

Page 314

 

 

Kinross Gold Corporation

Great Bear Gold Project

Ontario, Canada

NI 43-101 Technical Report

 

Once elution is complete, the carbon will be rinsed and transferred to the carbon dewatering screen to be dewatered and transferred into the carbon regeneration kiln feed hopper. The regenerated carbon will discharge from the kiln and be quenched in water. The carbon fines will be removed from the regenerated carbon by a carbon sizing screen and will be collected in a carbon centre well. The regenerated and sized carbon will be returned to the CIP circuit via the regenerated carbon tank. Fresh make-up carbon will be introduced into the carbon attrition tank where it will be agitated in water and discharged onto the carbon sizing screen. Carbon fines will be collected with a small carbon fines recovery system comprising a carbon centre well, pump, and filter. The regenerated and fresh carbon will be sent to the regenerated carbon tank to be pumped back to the last CIP tank via a carbon transfer pump.

 

The cathodes will be removed from the electrowinning cells and washed using a high-pressure washer. The sludge will be collected and pumped to the sludge filter press and then a drying oven. The dried sludge will be weighed and mixed with fluxing agents before being smelted in the barring furnace. Once smelted, the furnace contents will be poured into doré bars and transferred to the vault after they have cooled, been cleaned, and weighed.

 

Tailings Dewatering, Cyanide Destruction, and Desulphurization Flotation

 

Tailings from the CIP discharge pump box will be directed to a 25 m diameter CIP tailings thickener to allow for recycling of reagents within the plant via the thickener overflow stream. The slurry will be thickened from 50% to 60% solids by weight. The CIP tailings thickener underflow will then be pumped to the cyanide destruction tanks where it will be diluted with reclaim water that is devoid of cyanide back down to the required 50% solids. The cyanide destruction process will involve the use of two cyanide destruction tanks in parallel with dimensions of 7.5 m diameter by 8.5 m height to provide the necessary one-hour retention time. Cyanide destruction will use the SO2/air process, with sodium metabisulphite (SMBS) used as the source of SO2.

 

The process design assumes that detoxified tailings will be pumped to three 200 m3 tank cells in series (called the “desulphurization flotation cells”) to remove sulphides and render the tailings non-potentially acid generating (NPAG). The concentrate from the desulphurization flotation circuit will be sent to a sulphide concentrate management facility (LP Viggo Pit), while the tailings from the desulphurization circuit will be dewatered using a 25 m diameter flotation tailings thickener to achieve a pulp density of 35% to 60% solids by weight. The desulphurized, thickened tailings will then be pumped to a separate tailings management facility (TMF).

 

A portion of the detoxified tailings is planned to be pumped to the paste backfill plant via a separate slurry pipeline to backfill the underground mine. A return pipeline has been allowed for to transport slurry and/or water.

 

Page 315

 

 

Kinross Gold Corporation

Great Bear Gold Project

Ontario, Canada

NI 43-101 Technical Report

 

Reclaim water will be collected from the flotation tailings thickener and mixed with water pumped from the TMF to the reclaim water tank.

 

Utilities and Reagents

 

Reagents

 

This section describes the various reagents expected to be used during mineral processing:

 

Sodium Cyanide

 

Sodium cyanide is used as the leaching agent for the process. It will be received as solid briquettes in isotainers and stored on site. Water will be circulated through the isotainer to dissolve the sodium cyanide and transfer it to the distribution tank. The sodium cyanide solution will be pumped to the process via sodium cyanide distribution pumps. The solution will have a weight concentration (w/w) of 27%. The principles and standards of practice for the transport to site and on-site handling of cyanide will be in accordance with the guidelines set out in the International Cyanide Management Code (ICMC).

 

Quick Lime

 

Quick lime is used as a pH modifier during leaching and cyanide destruction. It will be delivered by truck and transferred to a storage silo. The lime will be slaked in a ball mill-style slaker and then transferred to the distribution tank. The lime slurry is pumped to the pre-leach thickener, leach tanks and cyanide destruction tanks.

 

Granulated Activated Carbon

 

Granulated activated carbon, typically 6 mesh x12 mesh, is received in bulk bags. It is used as the adsorbent agent for the CIP circuit. It is added to the circuit via the carbon attrition tank.

 

Flocculant

 

The flocculant is received in bulk bags. The flocculant will be mixed in batches. It is first educted with air or water into the mixing tank where it is thoroughly mixed with water before being transferred to the distribution tank. Dosing pumps will pump the solution to the thickener feed wells. The flocculant solution is diluted at the dosing pump discharges.

 

Sodium Hydroxide

 

Sodium hydroxide is used to raise the pH inhibiting the conversion of sodium cyanide to hydrogen cyanide gas within the elution process, and as a pH modifier in the intensive leach reactor (ILR). A tanker truck will transport 50% w/w sodium hydroxide solution to the processing plant. Upon arrival, sodium hydroxide solution will be transferred to the sodium hydroxide tank. The sodium hydroxide will be pumped to the elution and ILR circuits via a distribution pump.

 

Page 316

 

 

Kinross Gold Corporation

Great Bear Gold Project

Ontario, Canada

NI 43-101 Technical Report

 

Hydrochloric Acid

 

A tanker truck will transport 33% w/w hydrochloric acid solution to the processing plant. Upon arrival, the acid will be transferred to the hydrochloric acid tank. The acid will be pumped to the acid mix tank, where it is mixed with water to a 3% concentration (acid added to water). The dilute acid solution will then be used to feed the acid wash column.

 

Sodium Metabisulphite

 

SMBS will be received in bulk bags, mixed with water in the mixing tank, and then transferred to the storage tank. SMBS will be piped to the cyanide destruction tanks.

 

Copper Sulphate

 

Copper sulphate is used as part of the cyanide destruction process. Received in bulk bags, copper sulphate will be mixed with water in batches in the mixing tank and then transferred to the distribution tank. The solution is then pumped to the cyanide destruction tanks and the desulphurization flotation circuit (if required).

 

Anti-Scalant

 

An allowance is made for anti-scalant in the plant. It will be received in tote bins and dosing pumps will be used where needed.

 

Calcium Chloride

 

An allowance is made for a calcium chloride system to provide an anti-freezing effect in the crushed material storage dome. It will be received in tanker trucks as a solution.

 

Flotation Reagents

 

The flotation reagents MIBC, PAX, and AERO208 will be added to the desulphurization flotation circuit as frother, collector, and promoter, respectively, via metering pumps. The three reagents will be received in liquid form in tote bins that will connect directly to the metering pump skid.

 

Water Services

 

The primary source of fresh make-up water for the site will be the Chukuni River. Fresh make-up water will be used for gland seal services, reagent preparation, fire suppression and other areas if required. Reclaim water from the TMF will satisfy most of the water requirements for the process plant (aside from internal water recycle loops provided by the thickeners).

 

Page 317

 

 

Kinross Gold Corporation

Great Bear Gold Project

Ontario, Canada

NI 43-101 Technical Report

 

Three main water tanks will be used in processing operations: the process water tank for cyanide-containing water, the reclaim water tank for receiving reclaim water from the flotation tailings thickener and the TMF, and the fresh/gland/fire water tank for fresh water. Each tank is fitted with duty and standby water pumps for distribution.

 

The process plant will be equipped with fire suppression distribution piping and sprinklers.

 

Air Services

 

The process facilities will include air compressors to provide plant air and instrument air to the crushing and process plant areas. The compressors for crushing will have an on-board air drier while a dedicated air drier will be provided for instrument air. Dedicated air receivers will be installed for both plant air and instrument air.

 

To supply air to the leaching circuit, cyanide destruction circuit, and the desulphurization flotation circuit, three sets of dedicated air blowers will be provided.

 

The crushing areas will have dust systems in place to collect any dust generated, including dust from crushers and apron feeder transfer points.

 

Natural Gas

 

An Enbridge natural gas pipeline runs along Highway 105 adjacent to the Project. A branch line and reducing station will be connected to the main line to supply natural gas for the Project. For the first several years of the Project, a significant portion of the electricity will be generated on-site using natural gas-powered generators. Natural gas will also be used to heat the process plant buildings and fuel the elution heaters and carbon regeneration kiln.

 

Laboratory Services

 

An assay and metallurgical lab will be constructed and equipped to perform sample preparation and assays, including fire assays, atomic absorption, and cyanide analysis. The facility will support the process plant’s metallurgical test work requirements as well as certain mining, environmental, and water monitoring test work. Certain metallurgical and environmental samples will be sent off-site to external laboratories for confirmatory testing.

 

LOM Plan – Processing

 

For details on the mineral processing LOM plan, please see Section 16.6.

 

Page 318

 

 

Kinross Gold Corporation

Great Bear Gold Project

Ontario, Canada

NI 43-101 Technical Report

 

18.Project Infrastructure

 

The infrastructure for the Project is designed to support the operation of a 10,000 tpd processing plant and production from underground and open pit mines, operating 24 hours per day, seven days per week, over approximately 12 years. The various infrastructure components for the Project are summarized in the following sub-sections and the proposed site general arrangement is presented in Figure 18-1.

 

18.1Roads

 

Access Roads

 

Site access is provided through an existing forestry road (Tuzyk’s Road) that branches off Highway 105. The road generally runs north to south through the site, and will provide access to the accommodation facilities, the process plant, the water treatment plant, the underground portals, and other infrastructure areas. Secondary access roads branch off Tuzyk’s Road to other facilities, such as the TMF, main electrical substation, power station, magazine storage, and paste plant. Tertiary access branch off the secondary access and provide access to auxiliary facilities, aggregate sources, and overburden stockpiles.

 

Mine Haul Roads

 

Mine haul roads will be constructed to support the movement of personnel, materials and equipment, and mine production to and from:

 

·the underground portals

 

·the LP Viggo and LP Central open pits

 

·the ROM pad, located adjacent to the primary crusher

 

·the various mining stockpiles (PAG, NPAG, overburden, and low-grade process plant feed)

 

·the Truck Shop/Truck Wash and ready line

 

Mine haul roads and service roads will be constructed to accommodate collection channels for surface water management.

 

Additional details pertaining to the design of mine haul roads are presented in Section 16.

 

Page 319

 

 

Kinross Gold Corporation

Great Bear Gold Project

Ontario, Canada

NI 43-101 Technical Report

 

 

 

Figure 18-1: Site general arrangement

 

Page 320

 

 

Kinross Gold Corporation

Great Bear Gold Project

Ontario, Canada

NI 43-101 Technical Report

 

18.2Utilities

 

Power

 

The main power supply for the Project is expected to come from an existing 115 kV overhead power line, which is part of the Hydro One E2R transmission line through the North side of the Project. A substation is planned to connect to this transmission line to supply power to the Project.

 

Power is expected to be distributed throughout the site via 34.5 kV overhead powerlines and underground power will be fed from surface at 13.8 kV from the portal substation.

 

On-site Power Generation

 

There is expected to be insufficient power available for production from the Hydro One grid between the time the exploration phase of the Project is complete and when grid infrastructure upgrades by Hydro One are completed. Other sources of power will be needed in the interim to meet the needs of the Project (the “Bridging Period”). During the Bridging Period, the total power requirement for the Project will be approximately 30 megawatts (MW). Of this, approximately 17 MW will be self generated on site by a natural gas (NG) line fuel source, while the existing Hydro One overhead transmission line will contribute approximately 13 MW.

 

Emergency Generation

 

Emergency power will be provided at key locations via diesel fired generators located at the accommodation facilities, the Electrical Substation (to support the process plant), and the Service and Administration Area (SAA).

 

Communications

 

The Project will implement a communications system to ensure reliable connectivity for all operational needs. Redundant connectivity to the public Internet will be achieved through a combination of fibre optic cable, cellular service, and satellite communications. This multi-technology approach ensures continuous and stable access to the Internet, mitigating the risk of service disruptions.

 

On-site communications will leverage a blend of fibre optic rings and wireless point-to-point (P2P) or point-to-multipoint (P2M) links to interconnect all facilities efficiently. For the underground operations, network connectivity will be extended using a combination of fibre optic cables, coaxial cables, radiating cables, and wireless connections. This integrated communications infrastructure is designed to support both routine operational requirements and emergency response scenarios, ensuring seamless data, voice, and video communications across the entire site.

 

Page 321

 

 

Kinross Gold Corporation

Great Bear Gold Project

Ontario, Canada

NI 43-101 Technical Report

 

Site telephony will primarily use Voice over Internet Protocol (VoIP) technology to provide reliable and high-quality voice communication. In addition, underground emergency phone services will use analog lines to ensure continuous availability of communication in case of power outages or other disruptions to the digital network.

 

Water

 

Water Supply

 

The Chukuni River is expected to be used as the primary source of fresh water for the Project. The Project’s fresh water supply requirements will be met by using recycled industrial water plus water from the Chukuni River to satisfy process and potable water requirements. A centralized potable water system will be fed from a well water near the accommodations facilities.

 

Water Treatment

 

The Water Treatment Plant (WTP) will be sited close to the underground portal on the west side of Tuzyk’s Road.

 

Fire Water

 

Fire water supply will be from:

 

·Treated water from the Effluent Treatment Plant (ETP) and transferred to utility water storage day tanks at the SAA.

 

·The freshwater tank in the process plant

 

·Treated water from the WTP water pond located at the underground portals area.

 

Natural Gas

 

An Enbridge natural gas pipeline runs along Highway 105 adjacent to the Project. A branch line and reducing station will be connected to the main line to supply natural gas for the Project and will be distributed to surface infrastructure.

 

18.3Fuel Facilities

 

The main fueling station will be located at the SAA with a satellite station located at the portal area and that fuel will be delivered to the site via trucks.

 

The sizing of the tanks will be based on the fuel demand estimate calculated for the applicable mobile equipment. Tanks will be sized for three-day nominal storage and two days operational volume.

 

Page 322

 

 

Kinross Gold Corporation

Great Bear Gold Project

Ontario, Canada

NI 43-101 Technical Report

 

18.4Buildings

 

Service and Administration Area

 

The Project’s infrastructure design assumes a centralized Service and Administration Area (SAA) adjacent to Tuzyk’s Road. The facilities to be located at the SAA include:

 

·Administration/Dry Building

 

·Truck Shop/Truck Wash Building

 

ofour truck bays suitable

 

obays for light vehicles

 

otruck wash bay

 

oancillary facilities

 

·Emergency Facilities (medical and fire)

 

·Security Gatehouse

 

·Warm and Cold Storage Buildings (warehouses)

 

·Tire Repair Pad and Shed

 

·Fueling Station

 

The Administration/Dry Building will house a medic facility, a mine dry, meeting rooms and offices, and will accommodate site management, administration, technical services, and training personnel.

 

The Truck Shop/Truck Wash is designed to accommodate Lefour repair bays, wash bay, light vehicle shop, offices, machine shop, electrical room, lunchroom, and washrooms.

 

The Warm and Cold Storage buildings are designed to be functionally independent.

 

Paste Backfill Plant

 

The paste backfill plant design location is on surface, southwest of the LP Central Open Pit. This location is above the main declines and was selected based on its proximity to the LP Central deposit and central position relative to the overall site footprint. The footprint of the backfill plant is approximately 85 m by 40 m. The design assumes a 50 m long x by 40 m wide by 20 m high pre-engineered building housing all major equipment such as the disc filter, mixer, and control room. A thickener and modular e-room will be located adjacent to the paste plant building, within the 85 m by 40 m footprint (Figure 18-2).

 

Page 323

 

 

Kinross Gold Corporation

Great Bear Gold Project

Ontario, Canada

NI 43-101 Technical Report

 

 

 

Figure 18-2: Paste backfill plant

 

Details pertaining to the design of underground backfill infrastructure are presented in Section 16.

 

Accommodations

 

The accommodation facility (permanent camp) design location is adjacent to Tuzyk’s Road. The facility is designed to accommodate approximately 300 permanent personnel during the operations phase and approximately 600 personnel during construction. Facilities will include sleeping rooms, kitchen/dining complex, water and sewage, potable water, recreation and administration areas and fire water utilities. The Project envisions having as many people live in the local communities of Red Lake and Ear Falls as possible.

 

Page 324

 

 

Kinross Gold Corporation

Great Bear Gold Project

Ontario, Canada

NI 43-101 Technical Report

 

Security

 

The infrastructure design includes security gatehouses located at the process plant, the portals area, and the SAA.

 

Explosives Storage Facilities

 

The surface explosives storage facilities and their locations were selected to ensure compliance with applicable regulations and with consideration of their location relative to open pit mining operations. The emulsion storage facility will be a pre-engineered metal building while high explosives and accessories will be stored in modular buildings at the explosives magazine.

 

Details pertaining to the design of underground explosives storage facilities are presented in Section 16.

 

18.5Tailings Management Facility

 

Introduction

 

The Project envisions process plant feed from both open pit and underground production sources at a maximum plant processing rate of approximately 10,000 tpd. It is assumed that processing operations will include the use of gravity and cyanidation with a CIP process to recover gold and that CIP tailings will go through cyanide destruction prior to feeding the paste fill plant and flotation to desulphurize the tailings (i.e., reduce the amount of sulphur present in the tailings stored on surface).

 

The gold extraction process is expected to result in the following three tailings streams: non-sulphide tailings, sulphide tailings, and sulphide concentrate tailings. The sulphide tailings will be sent underground and used as the primary constituent of the paste backfill. The non-sulphide and concentrate tailings streams are expected to be stored in management facilities on-surface and at the following estimated tonnages:

 

·LOM tailings production: 44.7 Mt.

 

oLOM paste backfill tailings returned to underground: 8.3 Mt.

 

oLOM non-sulphide tailings: 34.2 Mt.

 

oLOM sulphide concentrate tailings: 2.2 Mt.

 

The Project’s tailings management designs assume that non-sulphide tailings will be pumped approximately 3 km to the TMF. High-density thickened tailings will be sub-aerially discharged from the TMF North Dam for permanent storage in the TMF between three perimeter containment dams.

 

Page 325

 

 

Kinross Gold Corporation

Great Bear Gold Project

Ontario, Canada

NI 43-101 Technical Report

 

Geotechnical Studies

 

Geotechnical investigations have been advancing to better understand the Project’s infrastructure foundation conditions. Preliminary results from geotechnical field programs have been supplemented with surficial geology maps published by Prest (1982), Ford (1982) and Sharpe and Russell (1996).

 

The Project area has been heavily influenced by glaciation. Higher ground in the northern half of the Property is predominantly underlain by moraine and glaciofluvial deposits, with some bedrock outcrops. The bedrock outcrops are most prevalent along the topographically high ground bordering the north side of the proposed TMF. The TMF footprint is situated in a small basin underlain by glaciolacustrine and glaciofluvial deposits. An area of peat occurs along the southeast portion of the TMF with peat thicknesses of up to 5 m.

 

A sinuous ridge runs in a northeast to southwest direction southeast of the TMF that is on the order of 5 m to 15 m high. Several sand and gravel exploitation leases are situated on this feature that is mapped as an ice contact deposit and interpreted to be an esker. South of the esker, the southern half of the Property is characterized by lower lying ground predominantly underlain by glaciolacustrine deposits. This portion of the Property includes some areas of peat, especially around Rice Lake and along portions of Dixie Creek. Some isolated areas of elevated ground are present, likely underlain by glaciofluvial or moraine materials. Bedrock outcrops are rare in the southern half of the Property.

 

Geological units encountered on the Project are presented in Table 18-1. These units are subdivisions of the Quaternary stratigraphy, proposed to assist with geotechnical characterization of the soil units. These geological units generally align with the surficial units identified on the published Quaternary geology maps for this area.

 

Page 326

 

 

 

Kinross Gold Corporation

Great Bear Gold Project

Ontario, Canada

NI 43-101 Technical Report

 

Table 18-1: Quaternary units

 

Unit  Description
    
Holocene  Peat and organic clay; minor alluvium and lacustrine deposits from current day creeks and lakes. May include organic clay or marl below the peat at some locations. The uppermost Quaternary deposits where present.
    
Glaciolacustrine Shoreline  Sand and silt: glaciolacustrine shoreline/beach deposits consisting primarily of sand but also silt at some locations. Also possibly gravel and cobble beaches.
    
Glaciolacustrine Upper  Clay: deep water deposits, often varved with varying silt content.
    
Glaciolacustrine Lower  Silt:  shallow water deposits from early glacial lake, occurs below the clay rich glaciolacustrine deposits; can include sand beds and/or clay laminae.
    
Glaciofluvial  Sand and Gravel: Outwash deposits that likely formed in subaqueous fans and similar environments. Also includes ice contact and subglacial deposits such as eskers. Where exposed on the ground surface, these deposits may have been modified by glacial lake wave action.
    
Moraine  Glacial Till: Sand till or silty sand till with abundant gravel and boulders and a low clay content.  Typically, the oldest and lowermost Quaternary deposit in this area. Extensive throughout the site.
    
Bedrock  Archean bedrock - including metavolcanics, meta sediments, and plutonic rocks.

 

Notes:

 

1.The units in the table are listed in the general chronological order from youngest to oldest, however, some of the glacial units were likely deposited concurrently at different locations, therefore there is overlap in age of some of the units.

 

Conceptual Design

 

A conceptual arrangement of the TMF at its ultimate configuration is presented in Figure 18-3.

 

The TMF perimeter containment is proposed to be a series of granular dams which contain the tailings solids and the tailings discharge pipeline will be raised progressively on the TMF North Dam as the perimeters dams are raised to provide containment. The tailings beach has been designed to slope to the southeast, allowing surface run-off and process water to be captured in the TMF Pond which will be contained to the south by the TMF Pond Dam, which will transect an existing small water body. The TMF Pond Dam design incorporates a cut-off wall to reduce seepage through the dam fill and foundation. Seepage will be collected downstream of the TMF North, TMF West, and TMF Pond dams and pumped back into the TMF. Water in the TMF Pond will be re-circulated to the process plant via a fixed intake or pumped to the WTP.

 

Page 327

 

 

Kinross Gold Corporation

Great Bear Gold Project

Ontario, Canada

NI 43-101 Technical Report

 

The presence of a soft foundation at the TMF South Dam is expected to require flat design slopes (i.e., 10H:1V). The North and West perimeter dams are expected to have more favorable foundations which can support steeper slopes (i.e., 2H:1V and 3H:1V, respectively). The tailings deposition plan was developed in a manner that reduces the ultimate height of the TMF South Dam to the extent possible, thus reducing the dam fill requirements for the longest dam which has the flattest slopes.

 

The proposed TMF design includes provisions for ditches and wet wells located downstream of the TMF North and West Dams. Seepage collection provisions downstream of the TMF Pond Dam (and cut-off wall) are expected to include a wet well installed deep in the foundation to maintain a hydraulic gradient towards the well.

 

The tailings management designs assume that sulphide concentrate tailings will be pumped as a slurry to the LP Viggo Pit and sub-aqueously discharged and permanently stored under a water cover to mitigate the development of ML/ARD.

 

Water entering the LP Viggo Pit from the sulphide concentrate tailings slurry is expected to be combined with surface run-off from stockpile areas and used as supplemental process water on site or combined with excess water from the TMF Pond and sent to the WTP before being discharged at an approved location.

 

Page 328

 

 

Kinross Gold Corporation

Great Bear Gold Project

Ontario, Canada

NI 43-101 Technical Report

 

 

 

Figure 18-3: Tailings Management Facility

 

Page 329

 

 

Kinross Gold Corporation

Great Bear Gold Project

Ontario, Canada

NI 43-101 Technical Report

 

18.6Water Management

 

Surface water management is expected to include the use channels, ponds, and pumping infrastructure across the Project area. Infrastructure designs take advantage of gravity drainage to the extent possible. Channels and ponds are split into infrastructure designed to manage contact versus non-contact water.

 

Contact Water Management

 

The management of contact water includes the use of the following infrastructure: Collection Channels 1 and 2, Collection Water Pond, and Sumps 1 and 2 around the open pit.

 

A critical assumption in the Project’s water management plan is that the LP Viggo Pit will be mined out prior to commissioning of the process plant. This milestone will allow for contact water and sulphide concentrate tailings to be managed within the mined-out LP Viggo Pit.

 

Collection Channels 1 and 2 will be located downstream of the MRS and Overburden Stockpile 1. This will allow surface run-off and seepage to gravity drain into the collection channels and then flow into the LP Viggo Pit.

 

The Collection Water Pond will be located downstream of Overburden Stockpile 2. The location of the Collection Water Pond will facilitate gravity drainage of surface run-off and seepage into this pond. Contact water collected in the pond will be pumped to Collection Channel 1 and then flow into the LP Viggo Pit.

 

Surface run-off upstream of the open pits will be captured by sumps. Contact water collected in these sumps will be pumped to Collection Channel 1 and flow into the LP Viggo Pit.

 

Non-Contact Water Management

 

Non-contact water is planned to be managed with diversion channels and ponds.

 

Additional non-contact water diversion opportunities will continue to be evaluated with a goal of diverting as much water as possible.

 

18.7Mine Rock and Overburden Stockpiles

 

Over the course of the mine life, it is estimated that the following tonnages of rock and overburden will be removed from the LP Central Pit, the LP Viggo Pit, and the underground mine, and will need to be managed on surface:

 

·23 Mt of overburden soil

 

Page 330

 

 

Kinross Gold Corporation

Great Bear Gold Project

Ontario, Canada

NI 43-101 Technical Report

 

·147 Mt of rock

 

Suitable soil and NPAG rock will be used for construction requirements. Surplus soil and rock will be stored in engineered stockpiles located to the north and northwest of the LP Central Pit. These stockpiles are referred to as the Mine Rock Stockpile (MRS) and Overburden Stockpiles 1 and 2.

 

The rock and soil contained in the stockpiles, along with the foundations they overprint are expected to have different engineering properties. These properties have been considered in the stability and management of the stockpiles, as discussed below.

 

Mine Rock Stockpile

 

A portion of the MRS is expected to overprint fine grained glaciolacustrine material and a portion will overprint coarse grained fluvial material. The stability of the stockpile overprinting fine grain soil will be influenced by the foundation properties under short term loading conditions with excess pore pressures in the glaciolacustrine foundation.

 

To improve the understanding of actual pore water pressures during MRS development, instrumentation of the foundation is recommended to control the rate of MRS development in areas of the stockpile that overprint fine grained glaciolacustrine materials. To meet the required FoS, a slope of 7H:1V has been adopted for the current MRS design where the stockpile overprints fine grained glaciolacustrine materials.

 

The stability of the MRS overprinting coarse grained fluvial material will be controlled by the geometry of the stockpile. To support closure requirements and achieve the required FoS, a slope of 3H:1V has been adopted for the MRS where the stockpile overprints coarse grained fluvial material1.

 

Slope recommendations will be modified as advanced geotechnical characterization and analysis are completed and the understanding of site conditions improves.

 

Overburden Stockpile 1 and 2

 

With the proposed site layout, the overburden stockpiles will overprint fine grained glaciolacustrine material and be constructed from multiple soil units excavated from the LP Central and LP Viggo pits. The stability of the overburden stockpiles is expected to be influenced by the glaciolacustrine fill and foundation materials under short term loading conditions with excess pore water pressures.

 

 

 

1 Ongoing geochemical test results indicate that 70% of LP Zone samples (which represent most of the mined volume) are potentially acid generating (PAG). Current project plans include progressive construction of a low permeability cover over the MRS to manage oxygen and water ingress into the PAG rock.

 

Page 331

 

 

Kinross Gold Corporation

Great Bear Gold Project

Ontario, Canada

NI 43-101 Technical Report

 

Instrumentation in the fill and foundation is recommended to monitor and control the rate of stockpile development above fine grained glaciolacustrine materials and better understand actual excess pore water pressures during construction. To avoid impacting overall stockpile stability, extremely wet soil should be limited to the middle of the stockpiles and contained with granular berms constructed of glacial till. At this stage of study, a slope of 10H:1V has been adopted for the overburden stockpiles with a 25 m height limit.

 

Slope recommendations will be modified as advanced geotechnical characterization and analysis are completed and the understanding of site conditions improves.

 

Page 332

 

 

Kinross Gold Corporation

Great Bear Gold Project

Ontario, Canada

NI 43-101 Technical Report

 

19.Market Studies and Contracts

 

19.1Markets

 

Kinross has not completed any formal marketing studies regarding the gold production from the Project. The principal commodity at the Project is gold doré. This type of product is freely traded at prices that are widely known and prospects for sale of any production are virtually assured.

 

Gold production is expected to be sold on the spot market. Terms and conditions included as part of the sales contracts are expected to be typical of similar contracts for the sale of gold doré production throughout the world. Kinross has a good understanding of the gold market and has an existing trading network that can be leveraged.

 

Mineral Resources were estimated at a gold price of US$1,700/oz. As of late June 2024, Kinross’ median analyst consensus long-term gold price was approximately US$2,181/oz. As of June 28, 2024, Kinross’ trailing two-year gold price was approximately US$1,953/oz. A constant gold price of US$1,900/oz and a constant exchange rate of 0.74 USD per 1.00 CAD have been assumed in the economic analysis completed for the Preliminary Economic Assessment presented in this Report.

 

19.2Contracts

 

Kinross typically establishes refining agreements with third parties for refining of doré production. Kinross’s bullion is sold on the spot market or as doré, by marketing experts retained in-house by Kinross. The terms contained within the refining contracts and sales contracts are typical and consistent with standard industry practice and are similar to contracts for the supply of bullion and doré elsewhere in the world.

 

Page 333

 

 

Kinross Gold Corporation

Great Bear Gold Project

Ontario, Canada

NI 43-101 Technical Report

 

20.Environmental Studies, Permitting, and Social or Community Impact

 

20.1Environmental Setting

 

The Great Bear Project site is located approximately 23 kilometres (km) southeast of Red Lake in northern Ontario. The Project site is located within the traditional territories of Lac Seul First Nation and Wabauskang First Nation. Kinross and its predecessors have been conducting environmental investigations on the Project site since 2018, with greatest efforts and focus during 2022 and 2023. The design of the environmental investigations which are ongoing are intended to meet the anticipated regulatory requirements. A larger area has been investigated than the anticipated area of influence of the Project on the physical and natural environment to gather sufficient background information for future comparison.

 

Indigenous knowledge will also be used to inform Project design decisions, review alternatives methods and to support development of mitigation measures for the Project as available. WSP understands that Kinross has been providing funding for Indigenous knowledge studies by Lac Seul First Nation and Wabauskang First Nation. Documentation regarding the results of these studies have not been made available to date, although the communities have been open to identifying land use conflicts (if any) to Kinross. Members of the Lac Seul First Nation and Wabauskang First Nation have been offered and have participated in some of the environmental baseline field programs to date.

 

The text that follows has been prepared by WSP based on baseline investigations in progress by WSP as well as information received from Northern Bioscience (2023a,b), Northwest Archaeological Assessments (2023) and Wood (2023), as noted.

 

Atmospheric Environment

 

The nearest Environment and Climate Change Canada climate station for which long-term, current records are available, is RED LAKE A located approximately 18 km to the north-northwest. For the 1981 to 2020 climate normals, daily average temperatures range from a low of -18.3 degrees Celsius in January to a high of 18.1 degrees Celsius in July. The mean annual precipitation for Red Lake is 686 millimetres. May to September is typically the wettest period.

 

The nearest major anthropogenic sources of air and noise emissions are the commercial aggregate operations on Tuzyk's Road. There are currently no appreciable continuous emissions currently from the Project site, although there may be periodic emissions associated with exploration and the advanced exploration program once approved. Baseline air quality may be influenced by industrial activities in Red Lake northwest of the Property, traffic along Highway 105, long-range air emissions and natural sources.

 

Page 334

 

 

Kinross Gold Corporation

Great Bear Gold Project

Ontario, Canada

NI 43-101 Technical Report

 

Surface Water and Groundwater

 

The Project is located primarily within the watershed of the Dixie Creek and associated tributaries (Figure 20-1). Dixie Creek crosses the southern portion of the Property and flows into the Chukuni River to the east. The Chukuni River is a relatively large water system that flows into Pakwash Lake. In addition to the Chukuni River, Pakwash Lake receives inflows from the Trout Lake River, Lac Seul and Cedar River (Figure 20-2). Pakwash Lake discharges into the English River system through the Manitou Falls generating station.

 

Page 335

 

 

Kinross Gold Corporation

Great Bear Gold Project

Ontario, Canada

NI 43-101 Technical Report

 

 

 

 

Figure 20-1: Local watercourse and waterbodies

 

Page 336

 

 

Kinross Gold Corporation

Great Bear Gold Project

Ontario, Canada

NI 43-101 Technical Report

 

 

 

Figure 20-2: Watershed boundaries

 

Page 337

 

 

Kinross Gold Corporation

Great Bear Gold Project

Ontario, Canada

NI 43-101 Technical Report

 

Surface water quality sampling has been completed over a number of years to characterize existing conditions of lakes, rivers and streams in the area around the Project and is ongoing. The surface water quality of monitored waterbodies is typical of northern Ontario and as expected based on regional geology. Several of the small streams feeding Dixie Creek, Chukuni River and local unnamed waterbodies are naturally tea-stained.

 

The local geology consists of organic soils, glaciolacustrine clays, glaciofluvial sands and silty sand tills, over an undulating bedrock surface. The main local aquifer is formed by the more permeable sections of sand till and glaciofluvial / glaciolacustrine sands. The bedrock is generally tight with some potential for limited groundwater flow in the upper fractured bedrock and a few deep structures. Where present the fine grained materials form an aquitard that cap the sand aquifer, preventing groundwater interaction between the sand aquifer and most local creeks in low lying areas.

 

Baseline groundwater investigations are continuing to provide information on groundwater flow, hydraulic gradient, hydraulic conductivity and groundwater quality. Both overburden and bedrock groundwater wells have been installed. Groundwater quality is circumneutral to slightly alkaline, with high hardness, low chloride concentrations and moderate to high conductivity. Concentrations of dissolved metals and metalloids are as expected for wells sampled in northern Ontario.

 

Terrestrial Environment

 

Coniferous and mixed forests cover the majority of Great Bear Property excluding locations of recent forest harvesting activity. Thicket swamps, fens and open wetlands are also present along the shores of unnamed waterbodies, Dixie Creek and other riparian habitats. Unnamed Waterbody 1 and Unnamed Waterbody 6 contain wild rice marshes.

 

Terrestrial investigations have been completed by Northern Bioscience (2023a,b). Based on aerial surveys, trail camera monitoring and other fieldwork to date common wildlife species in the Project area include moose, black bear, grey wolf, coyote, Canada lynx, American marten, fisher and snowshoe hare. Beaver, muskrat, American mink and river otter are found within and along waterbodies. At least 144 species of birds have been observed in or near the Property with common boreal bird species predominating. A small number of reptile and amphibian species are present in the locale.

 

With respect to species at risk, the Great Bear Property is used by little brown myotis and tri-colored bat (endangered bat species) and wolverine (threatened). There is no evidence of current use by the boreal caribou a threatened species, although the Property is located within the Sydney Range. Eastern whip-poor-will have been detected to the northwest and southwest of the Project footprint, and bank swallow has been observed on the Property and within or near the Project footprint (threatened bird species).

 

Page 338

 

 

Kinross Gold Corporation

Great Bear Gold Project

Ontario, Canada

NI 43-101 Technical Report

 

Aquatic Environment

 

Multi-season, multi-year field studies have been completed to determine existing conditions within the waterbodies in the area of the Project. Locations sampled as part of the fish and fish habitat assessment program to date include but are not limited to: Dixie Creek, Chukuni River, Genessee Lake and unnamed inland waterbodies.

 

The fish communities within these locations represent cool to coldwater species typical of northern Ontario. No fish species at risk were expected or encountered during these studies.

 

Beaver activity has shaped the landscape and has created online ponded habitat within many of the inland tributaries which support forage fish. The studies to date show that northern pike are the most abundant top predatory species within the Dixie Creek drainage, although the Chukuni River is known to support walleye. The Project area is not known to support trout species, however, the Chukuni River, Pakwash Lake and Dixie Lake support lake whitefish. Lake whitefish are known to migrate upstream from Pakwash Lake into the Chukuni River to spawn each fall.

 

Cultural Environment

 

Indigenous Peoples have been active across northwestern Ontario since prior to the arrival of Europeans. Major waterways in the region have been used as historic travel and trade routes by Indigenous communities and Euro-Canadian travelers. Stage 1 and Stage 2 archaeology studies have been completed for the Project site and local vicinity in accordance with Provincial standards by Northwest Archaeology Assessments (2023). Three locations have been identified for additional Stage 3 archaeological investigations in 2024. Proposed Project development currently avoid these locations and a surrounding 100 m buffer has been applied pending additional information and dialogue with local Indigenous communities. There are no known archaeological sites that will be directly or indirectly affected by the Project.

 

There are no historic buildings or facilities on the Project site.

 

Social Environment

 

The Project site is located in the unorganized territory, District of Kenora in northwestern Ontario. The Crown Land Use Policy Atlas identifies the Project site as within land use code G2514 (Red Lake – General Use Area) which encourage mineral exploration and development with some limitations. The Project site is within the Red Lake Forest Management Unit and is subject to the Red Lake Forest Management Plan. The area supports recreational activities by locals and tourists, and there are several fly-in cabins and outfitter lodges. There are also four traplines that cross the Property. There are no Federal or Provincial parks near the Project site. The closest is Pakwash Provincial Park located approximately 10 km away from the Project site.

 

Page 339

 

 

Kinross Gold Corporation

Great Bear Gold Project

Ontario, Canada

NI 43-101 Technical Report

 

A brief description of nearby communities is provided below:

 

·Red Lake: one of the largest municipalities in the Kenora District and is composed of the Golden Township, Red Lake Township and the Unorganized Territory. The Town of Red Lake is located approximately 23 km northwest of the site (31 km by road). The total population of Red Lake was 4,094 according to the 2021 Canadian Census. The median age in Red Lake was 38 years and 65% of the population was between the ages of 15 to 64 years. Land use in Red Lake is primarily rural with five serviced townsites: Red Lake, Balmertown, Cochenour, Madsen and McKenzie Island; and three non-serviced residential settlements: Starratt-Olsen, Flat Lake and McMarmac.

 

·Ear Falls: the Township of Ear Falls located approximately 37 km southeast of the site (49 km by road) consists of an urban portion north of the English River, at the crossing of Highway 105 and Highway 804, and rural areas. The Township had a total population of 924 according to the 2021 Census. According to that Census, the median age in Ear Falls was 44 years. The rural areas of Ear Falls contain both residences and cottages along Lac Seul and the English River occupied both seasonally and year-round.

 

·Lac Seul First Nation: the First Nation had 3,708 members as of December 2022. Approximately 73% of the population lives off-Reserve (CIRNAC 2023a). Lac Seul First Nation Reserve is located approximately 101 km east of the Project site. The median age on Reserve in Lac Seul First Nation was 26 years. Lac Seul First Nation has four communities: Kejick Bay, Canoe River and Whitefish Bay (located on the north shores of the Lac Seul watershed) and Frenchman’s Head (on the Lost Lake in the English River System), having modern infrastructure and facilities.

 

·Wabauskang First Nation: has a total registered population of 377 as of December 2022, with 62% of the population living off-Reserve (CIRNAC 2023b). The Reserve is located cross country approximately 56 km southeast of the Project site. According to the 2021 Census, the median age on Reserve was 30 years.

 

·Asubpeeschoseewagong Netum Anishinabek (Grassy Narrows First Nation): has a registered population of approximately 1,606 members as of December 2022, with 60% of the population living on-Reserve (CIRNAC 2023c). The Grassy Narrows First Nation Reserve is located approximately 77 km southwest of the site (and approximately 145 km downstream). According to the 2021 Census, the median age on Reserve was 28 years.

 

·Métis Nation of Ontario: the Project site is located within Region 1 as defined by the Métis Nation of Ontario. Demographic information specific to Northwest Métis Council (Region 1) is currently unavailable. There were 350 self-identifying Métis people in the Municipality of Red Lake in 2021 and in the Township of Ear Falls in 2021, there were 90 self-identifying Métis people (Statistics Canada 2023).

 

Page 340

 

 

Kinross Gold Corporation

Great Bear Gold Project

Ontario, Canada

NI 43-101 Technical Report

 

Economic Environment

 

The largest industry in the Kenora District is health care and social assistance. Other primary industries in the district include public administration, retail trade, educational services, construction, accommodation and food services, and transportation and warehousing (Statistics Canada 2023). There is a long history of mining in the Red Lake area, and it is one of largest high-grade gold camps in North America. Mining has been nearly continuous since the 1920's with 29 producing mines. There is currently one operating mine in Red Lake, Red Lake Gold Mines (Evolution Mining) and one suspended mine (Madsen Gold Mine, West Red Lake Gold Mines). There is also active mineral exploration in the region.

 

20.2Regulatory Framework

 

Federal Impact Assessment

 

Most mining projects in Canada are reviewed under one or more impact assessment / environmental assessment (IA/EA) processes whereby design choices, environmental impacts and proposed mitigation measures are compared and reviewed to determine how best to proceed through the environmental approvals and permitting stages. A Notice of Opinion was issued by the Impact Assessment Agency of Canada (IAAC) on March 22, 2024 that an IA is warranted for the Great Bear Project. Key steps to follow in the processing include:

 

·Issuance of Tailored Impact Statement Guidelines by IAAC (draft Guidelines were issued on May 8, 2024)

 

·Preparation of an Impact Statement by Kinross

 

·Review of the Impact Statement by regulators, Indigenous communities, and the public

 

·Preparation of an IA by IAAC assessing the potential impacts of the Project

 

·Review of documentation and determination by the Minister of Environment and Climate Change Canada as to whether the Project can proceed.

 

·An Impact Statement is currently being prepared for the Project and is planned to be submitted to IAAC within the required timeline.

 

Lac Seul First Nation and Wabauskang First Nation have also indicated an interest in completing an Anishinaabe-led Impact Assessment. Discussions are underway to determine the most efficient manner of integrating information across the Federal and Anishinaabe-led processes that are anticipated to proceed in parallel.

 

Page 341

 

 

Kinross Gold Corporation

Great Bear Gold Project

Ontario, Canada

NI 43-101 Technical Report

 

Federal Environmental Approvals

 

The Project may require Federal approvals related to the Fisheries Act and Canadian Navigable Waters Act and Explosives Act, pending additional regulatory guidance. Table 20-1 provides a preliminary list of Federal environmental approvals that may potentially be required for the Project. Others may arise through consultation with Federal agencies.

 

Table 20-1: Federal approvals anticipated to be required

 

Approval and Regulatory Instrument   Description / Facility
     

Schedule 2 Listing

Metal and Diamond Mining Effluent Regulations, Fisheries Act

 

·     Storage of potentially deleterious mineral waste (such as tailings and mine rock) covering minor tributaries that are frequented by fish

·      An alternative assessment for mineral waste disposal in the prescribed format is expected to be required along with an approved fish habitat compensation plan

Authorization for Harmful Alteration, Disruption or Destruction of Fish Habitat or Death of Fish by means other than Fishing

Fisheries Act

 

·     For direct impacts to fish habitat if needed, and indirect impacts to fish habitat including flow reductions

·     An approved fisheries offset plan will be required

Approval under the Navigation Protection Program

Canadian Navigable Waters Act

  ·     Alteration of navigable waters and crossing of navigable waters with infrastructure if present

Aeronautical Obstruction Clearance Canadian Aviation Regulations

Aeronautics Act (1)

  ·     Marking and lighting for structures that could interfere with aeronautical navigation

Licence for Magazine and/or Factory

Explosives Act

 

·      A licence may be required for one or more explosive magazines

·      Approval may also be required for an explosive factory

 

Note(s):

 

1.NAV CANADA which is a private, not-for-profit company that provides civil air navigation services. Land use clearance may also be required for the construction of tall structures, use of cranes, high-voltage equipment and blasting.

 

Page 342

 

 

Kinross Gold Corporation

Great Bear Gold Project

Ontario, Canada

NI 43-101 Technical Report

 

Provincial Environmental Assessment

 

Ontario has an EA process administered by the Ministry of Environment, Conservation and Parks that is intended as a planning and decision-making process to promote environmentally responsible decision-making. The purpose of the Environmental Assessment Act is to provide for the protection, conservation and wise management of Ontario’s environment, broadly defined to include the natural, social, economic, cultural and built environments. A streamlined EA process is available in Ontario for specified types of undertakings that are considered to have predictable and mitigable environmental effects. Completion of a Ministry of Natural Resources and Forestry, Class EA for Resource Stewardship and Facility Development Projects, may be required for the Great Bear Project. This will be confirmed through regulatory discussions with the Province.

 

The same body of knowledge is commonly used to meet both Federal and Provincial process needs. It is anticipated that the Federal IA process will be coordinated with any Provincial EA requirements to reduce duplication of effort in both document preparation and consultation efforts, as encouraged by both levels of government. A cooperation agreement is in place between the Province of Ontario and Government of Canada which will facilitate this approach to completing the different IA/EA requirements.

 

Provincial Environmental Approvals

 

Table 20-2 provides a preliminary listing of the Provincial environmental approvals that have been identified by WSP as expected to be required to construct, operate and close the Project based on available design information.

 

Table 20-2: Provincial environmental approvals anticipated to be required

 

Approval   Description / Facility

Closure Plan

Mining Act

 

·      Progressive reclamation and final closure of the Project site

·      Construction of dams above the high water mark of watercourses

Environmental Compliance Approval(s)

- Industrial Sewage Works

Ontario Water Resources Act (1)

 

·      Approval for the design and operation of a water management / treatment system for mine water and contact water, and discharge of the treated effluent to the environment

·      Approval for landfill leachate system (if applicable)

Environmental Compliance Approval

- Air and Noise

Environmental Protection Act (1)

  ·      Approval for the release of air emissions and noise, such as from the processing facility and ventilation facilities

Permit(s) to Take Water

Ontario Water Resources Act (1)

 

·     Dewatering of construction excavations, underground mine workings and open pits

·     Other water takings of groundwater or surface water more than 50,000 litres per day

 

Page 343

 

 

Kinross Gold Corporation

Great Bear Gold Project

Ontario, Canada

NI 43-101 Technical Report

 

Approval   Description / Facility

Overall Benefit Permit(s) for Species at Risk

Endangered Species Act

  ·      Approval for Project-related effects to a protected species in return for providing an overall benefit to the species in Ontario (may be required for Boreal Caribou, Wolverine, Species at Risk bats and potentially other terrestrial Species at Risk)

Work Permit(s) or Letter(s) of Authority

Public Lands Act or Lakes and Rivers Improvement Act

  ·      Required for work / construction on Crown land, anticipated to only be required for construction below the high water mark of watercourses and waterbodies, but also potentially for future transmission line

Aggregate Permit(s) / Licence(s)

Aggregate Resources Act

  ·      Approval for purposeful (i.e., not incidental) extraction of aggregate for construction purposes

Land Use Permit(s)

Public Lands Act

  ·      Provides land tenure for facilities located on Crown land not governed by the Mining Act, potentially including a water intake on the Chukuni River

Forest Resource License(s) and Authority to Haul

Crown Forest Sustainability Act

  ·      Annual approval to cut merchantable timber where ownership is retained by the Crown, such as for site development

Licence(s) to Collect Fish for Scientific Purposes

Fish and Wildlife Conservation Act

 

·      Required for fish collection and transfer during construction

·      Destruction of beaver dams if needed

Clearance Letter(s)

Heritage Act

  ·      Confirms appropriate archaeological and/or cultural heritage studies and mitigation have been completed if required, for activity at the location to proceed

Leave to Construct, Ontario Energy Board

Ontario Energy Board Act 

  ·      Construction of a transmission line if longer than 2 km

 

Note(s):

 

2.Provincial approvals are in progress for an Advanced Exploration Program. Some of these approvals may be amended for the Great Bear Project, rather than new approvals being issued (determined by the Ministry). This may result in an expedited regulatory review process as certain aspects may have already been negotiated (such as effluent discharge criteria).

 

Municipal Approvals

 

Municipal environmental approvals will not be needed as the Great Bear Project is located outside of municipal boundaries.

 

20.3Environmental Impacts and Mitigation

 

Planning for the Project from an environmental perspective is well advanced. The potential environmental effects associated with the construction, operation and closure phases of the Great Bear Project will be detailed in the Impact Statement currently in preparation. The Impact Statement will also include an assessment of potential effects from malfunctions and accidents. A follow up and monitoring program will be included that will confirm the predicted effects.

 

Page 344

 

 

Kinross Gold Corporation

Great Bear Gold Project

Ontario, Canada

NI 43-101 Technical Report

 

20.4Community Relations and Engagement

 

Local Communities

 

Kinross indicates that they engage with stakeholders in a manner that is tailored to their interests and has been communicating Project information by various means to date including: presentations to and within local municipalities, Project update meetings and information sharing by mail and email regarding proposed activities and works.

 

Kinross intends to continue to engage with stakeholders as the Project progresses, to gather information on the current capacity / services of local municipalities and townships, and to determine potential impacts (positive and negative) of the Project on the interests of stakeholders that may be affected. Community feedback mechanisms to allow stakeholder concerns to be heard and resolved promptly following a transparent, efficient procedure are to be established.

 

Local Indigenous Communities

 

Kinross is committed to regular, open dialogue and meaningful engagement with local Indigenous communities and their designated representatives through all phases of the Project. Kinross has been actively engaging with Indigenous communities and organizations including: Lac Seul First Nation, Wabauskang First Nation, Asubpeeschoseewagong Netum Anishinabek (ANA) and Métis Nations of Ontario / Northwest Métis Council (Region 1). These are the same communities listed in the Impact Assessment Agency of Canada draft Indigenous Engagement and Partnership Plan.

 

20.5Geochemistry Considerations

 

Comprehensive geochemical studies are underway for the Project and are ongoing. This includes metal leaching and acid rock drainage assessment for all Project geologic materials including rock, tailings, and soils (overburden).

 

Testing of Project rock has been carried out on representative drill core samples from the LP Zone which represents most of the mine volume, and two smaller mineralized zones known as the Hinge Zone and the Limb Zone. The sampling focused on characterizing key rock types associated with each mineralized zone:

 

·Testing has been undertaken or is underway for approximately 900 drill core samples to date.

 

Page 345

 

 

Kinross Gold Corporation

Great Bear Gold Project

Ontario, Canada

NI 43-101 Technical Report

 

·Static test results are currently available for 284 samples representing the mine volume and results for an additional 444 drill core samples collected as part of infill programs are in progress.

 

·An additional 183 drill core samples representative of the advanced exploration program rock were also tested.

 

The results to date indicated that approximately 70% of the samples from the LP Zone were potentially acid generating (PAG) with the remainder being non-potentially acid generating (NPAG). Approximately 60% of the samples from the Hinge Zone and 96% of the samples from the Limb Zone were NPAG. The remaining samples from these zones were PAG. Most of the samples associated with the advanced exploration program were NPAG (62% of the samples).

 

An additional 3,000 samples are being collected from the mine volume for static testing to supplement results from the above programs. Results from these geochemical characterization studies will be applied to the Kinross mine block model which contains geochemical multi-element laboratory scan data. The block model will be used to identify volumes of PAG, NPAG and metal leaching rock for environmental and mine planning.

 

A robust kinetic testing program is currently in progress. Multiple testing approaches are being used and will continue to be used to characterize the rock including:

 

·35 laboratory humidity cell tests are in progress to assess the rates of sulphide oxidation and metal release, and lag times to acid onset for PAG samples. 27 of the tests were initiated in 2023 which have operated for 40 weeks and testing is ongoing. Eight of the tests were initiated in 2024.

 

·15 field leach barrel tests prepared with drill core have been monitored at the Great Bear site since 2023. The purpose of the tests is to evaluate sulphide oxidation rates and metal release under field conditions. Additional barrel tests are planned to be constructed in 2024 to supplement the existing program.

 

·30 mine rock column tests (trickle leach columns) were initiated in 2023 and operated for 26 weeks to estimate drainage water quality from mine rock under non-acidic pH drainage conditions and evaluate the metal leaching potential of NPAG rock. Additional column testing is planned to supplement the initial tests.

 

·As part of the above kinetic testing programs, detailed mineralogical assessment (including quantitative mineralogy and microprobe analysis) was conducted on 53 samples to support the interpretation of sulphide mineralogy, metal leaching, and ARD potential.

 

Page 346

 

 

 

Kinross Gold Corporation

Great Bear Gold Project

Ontario, Canada

NI 43-101 Technical Report

 

Initial results of the kinetic testing program indicated that the lag time to acidification for the bulk of the PAG mine rock is on the order of one to several decades. A very small portion of the PAG mine rock has very low neutralization potential contents and elevated sulphide concentrations that could become acid generating within six months to one year after exposure. Most of the samples which exhibit these characteristics are metasediment rock and a few of the less abundant rock types. These rock types can be segregated from the other rock types present in the AEX volume. Testing results have indicated that metal release rates were relatively low for the bulk of the mine rock, however isolated materials with higher solid phase metal contents may leach metals at neutral pH, including arsenic, cadmium, selenium and zinc. Mercury was below analytical detection limits in the test leachates and does not appear to be a concern. The Project design fully considers the results of the test work to date, and includes but is not limited to, the collection of contact waters for management and treatment as needed.

 

During mine development and operations, confirmatory sampling and analyses to assess metal leaching / acid rock drainage will be completed in accordance with a mine rock management and monitoring plan to be developed. Samples will be collected for analysis and compared against a mine rock classification to confirm means of management and storage location. Rock classified as PAG and/or metal leaching will be managed over the short and long term to minimize potential environmental risks. Rock that is classified as NPAG/non-metal leaching may be used in construction on site.

 

Tailings geochemical characterization programs are continuing. Current Project plans include the use of flotation to generate NPAG and PAG tailings for focused management. Static testing has been conducted on all tailings samples produced as part of metallurgical test work, including seven NPAG flotation tailing samples and nine PAG sulphide concentrate tailing samples.

 

Static testing indicated that the flotation tailings have a low sulphur content and generally low metal concentrations and are NPAG. The sulphide concentrate tailings were confirmed to be PAG and are expected to have a rapid acid onset time (several months to less than one year) and be metal leaching prior to acidification. The LP Viggo Pit will be developed during the construction phase with ore stockpiled on surface to allow for re-use for tailings and water management. The PAG tailings will be stored permanently in the mined-out LP Viggo Pit under a water cover to prevent oxidation.

 

Kinetic testing has been initiated for both the NPAG and PAG tailings. This includes four NPAG tailings humidity cell tests and one PAG tailings subaqueous column test. Supernatant water from metallurgical bench scale testing is being collected and tested to characterize the quality of process water associated with the NPAG and PAG tailings.

 

Overburden (e.g., surficial soils) samples from around the Project site have been collected and tested to assess the geochemical characteristics of these materials and inform any management needs. To date 116 soil samples representing a variety of soil types have been submitted for analysis. Static testing results are currently available for 30 soil samples and indicated that the samples were NPAG and have a generally low metal content. Static testing is underway for the additional 86 samples. Kinetic testing has been initiated to confirm the metal leaching potential of the overburden samples.

 

Page 347

 

 

Kinross Gold Corporation

Great Bear Gold Project

Ontario, Canada

NI 43-101 Technical Report

 

20.6Preliminary Closure Planning

 

Closure Plan

 

Closure of the Great Bear Project will be governed primarily by the Ontario Mining Act and its associated Regulations and Codes. The Act requires that a Closure Plan be certified by qualified professionals prior to disturbance associated with the mining project being initiated, and that financial assurance be provided to the Provincial Crown (government) before any substantive development takes place to ensure that funds are in place to carry out the described activities.

 

The Certified Closure Plan will be prepared in parallel with other approval processes for the Great Bear Project as information is available. Submission of a Certified Closure Plan is not expected to be accepted by the Province until after the Federal IA process is successfully completed based on experience with the previous regulation. The Closure Plan is proposed to be Certified and formally submitted to the Ministry of Mines immediately after this process is complete.

 

Progressive Reclamation

 

Progressively reclaiming facilities and site features where practical is considered a best practice and reduces the amount of work required at final closure and can shorten the period of final closure. Progressive reclamation also provides opportunities to collect useful knowledge to improve final reclamation success, particularly with respect to cover designs and revegetation methods. Some potential opportunities include:

 

·Re-using the depleted LP Viggo Pit for storage of concentrate tailings and water management (Viggo management facility)

 

·Re-use of mine rock and potentially other material as backfill underground

 

·Recontouring and revegetation of disturbed areas from exploration, advanced exploration and construction phases that are not needed during operations

 

·Progressive reclamation of the final open pit slopes in overburden including reshaping, revegetation and erosion protection may be completed

 

·Progressive closure of the mine rock stockpiles.

 

Page 348

 

 

Kinross Gold Corporation

Great Bear Gold Project

Ontario, Canada

NI 43-101 Technical Report

 

Final Closure

 

The overall objective of closure is to rehabilitate the affected lands of the Great Bear Project to a naturalized and productive condition when mining ceases. The rehabilitation and decommissioning / closure objectives for the Great Bear Project include:

 

·Rehabilitate the affected landscape to a safe and stable condition

 

·Ensure site runoff meets applicable regulatory criteria

 

·Re-establish natural drainage

 

·Establish a self-sustaining vegetative cover

 

·Support future use of the land once operations cease.

 

The Project site will be revegetated, potentially as a combination of active seeding and passive revegetation once decommissioning is complete. The underground mine and LP Central Pit will be closed and secured in accordance with the Mine Rehabilitation Code of Ontario. No long-term discharge from the underground workings is expected from any location. A pit lake will be created over time in the LP Central Pit. Once the pit lake is at its final level and the water quality meets regulatory requirements and is protective of the environment, the pit lake will be allowed to overflow by gravity through constructed channel(s), likely to Dixie Creek.

 

Reclamation measures are being designed for long term physical and chemical stability, including to mitigate acid rock drainage / metal leaching concerns as needed. Covers will be designed and placed over the mine waste facilities as needed prior to revegetation. The LP Viggo tailings management facility will fill with water to eventually form a pit lake. Pit lake water quality will be monitored during filling and managed, which may include treatment, as needed. Once the water quality meets regulatory requirements, the pit lake will be allowed to overflow by gravity through a constructed channel, either directly to Dixie Creek or potentially via the LP Central Pit lake.

 

Final Closure Schedule

 

Final closure will be completed in three phases. The initial active closure phase of the Great Bear Project will take up to approximately five years after operations cease. Once the main decommissioning is complete, the site will transition to the passive closure phase, while the open pit and LP Viggo management facility fill with water. It is anticipated that the open pits will take decades to flood during the passive closure phase, unless actively filled. The Great Bear Project site will be held in care and maintenance until pit lakes levels are stable and water quality is appropriate for discharge to Dixie Creek. At that time the pit lakes will be connected to Dixie Creek and reclamation of the site will be completed.

 

Page 349

 

 

Kinross Gold Corporation

Great Bear Gold Project

Ontario, Canada

NI 43-101 Technical Report

 

Final Closure Costs

 

A conceptual closure cost estimate was developed for the Project and is presented in Sections 21 and 22 of this report. The costing assumes long term site water management and treatment is not required based on the planned progressive approach to site design and closure, including for acid rock drainage and metal leaching management.

 

Page 350

 

 

Kinross Gold Corporation

Great Bear Gold Project

Ontario, Canada

NI 43-101 Technical Report

 

21.Capital and Operating Costs

 

21.1Capital Costs

 

Capital cost estimates address the scope of the Project’s mine, 10,000 tpd processing facilities, site infrastructure and ancillary buildings, and include estimates of:

 

·Direct field costs to execute the Project, including construction, installation and commissioning of all structures, utilities, materials, and equipment.

 

·Indirect costs associated with design, construction, and commissioning.

 

·Provisions for contingency.

 

·Owner’s costs.

 

·Mining costs during Project construction.

 

Capital cost estimates are expressed in Q1 2024 US dollars with no allowances for escalation, currency fluctuation, or interest. Costs quoted in Canadian dollars were converted to US dollars at an exchange rate of 0.74 USD to 1.00 CAD.

 

The Project’s total Initial Capital Cost, summarized in Table 21-1, is estimated to be $1,429 million. This includes a Construction Capital Cost of $1,181 million and $248 million of capitalized mine development before commercial production.

 

Page 351

 

 

Kinross Gold Corporation

Great Bear Gold Project

Ontario, Canada

NI 43-101 Technical Report

 

Table 21-1: Summary of initial Project capital cost estimate

 

Area  Description  Cost
(US$M)
 
Direct Capital Costs        
   Infrastructure   239 
   Underground Infrastructure   49 
   Power   47 
   Mine Equipment   85 
   Processing   217 
   Tailings Management Facility   52 
   Total Direct Costs   689 
   Indirects and Owners Cost   276 
   Contingency   216 
Total Construction Capital Cost      1,181 
   Capitalized Open Pit Mining   105 
   Capitalized Underground Development   143 
Total Capitalized Mine Development      248 
Total Initial Project Capital      1,429 

 

LOM sustaining capital costs have been estimated from Year 1 onwards and are summarized in Table 21-2. This includes all capitalized spend during the production period and should be reviewed in conjunction with the Project’s operating cost estimates and economic analysis.

 

Table 21-2: Summary of sustaining capital cost estimates

 

Area  LOM Cost
(US$M)
 
Open Pit Fleet Sustaining   20 
Open Pit Mine Equipment   107 
Infrastructure   33 
Underground Mine Equipment   202 
Underground Infrastructure   144 
Processing   26 
Tailings Management Facility   21 
Capitalized Open Pit Mining   202 
Capitalized Underground Development   279 
Total Sustaining Capital   1,034 

 

Page 352

 

 

Kinross Gold Corporation

Great Bear Gold Project

Ontario, Canada

NI 43-101 Technical Report

 

As a part of the larger power supply strategy to the Project, the long-term objective is to obtain enough power supply from the Ontario grid to avoid the need for natural gas usage. To secure the necessary supply of electricity, Kinross estimates it will need to make a capital contribution to the transmission infrastructure of approximately $97 million and this amount has been allocated as growth capital in Project Years 1 and 2.

 

Scope and Structure of Capital Cost Estimate

 

The total Initial Project Capital cost estimate includes costs from the start of detailed engineering through to commissioning of the process plant and excludes costs associated with the AEX program. Operating costs during ramp-up in Year -1 are considered capital costs until commercial production occurs in Year 1 whereafter costs are either captured as operating costs or sustaining capital costs.

 

The total Initial Project Capital estimate generally meets the American Association of Cost Engineers (AACE) Class 4 Estimate with an expected accuracy of +25%/-20% of the final Project cost.

 

Exclusions

 

The following items were excluded from the capital cost estimates:

 

·Project development costs incurred to date, including study and permitting costs

 

·Advanced Exploration and Early Exploration costs

 

·Cost escalation beyond Q1 2024

 

Basis of Estimate

 

The total Initial Project Capital cost estimate is based on information from several sources including Kinross and consultants WSP, Worley, and DRA.

 

The total Initial Project Capital estimate was developed based on information obtained from design drawings, outline specifications, Material Takeoffs (MTOs), quotes, and factoring where appropriate. Costing for the major equipment was developed based on supplier quotations. Quotes were obtained in H2 2023 or Q1 2024.

 

Direct Capital Costs

 

Infrastructure

 

The site infrastructure capital costs were estimated based on conceptual and preliminary level engineering designs to define material take-offs and factors. Quantities by commodity were developed with documents to support build-up feeding this estimate. Site infrastructure covers the main office, truck maintenance facilities, roads, water treatment, stockpiles and all other infrastructure required for the Project. The total Direct Capital cost for Infrastructure is approximately $239 million.

 

Page 353

 

 

Kinross Gold Corporation

Great Bear Gold Project

Ontario, Canada

NI 43-101 Technical Report

 

Key facilities included in this estimate are:

 

·Truck maintenance shop facility and wash bay

 

·Office and other ancillary facilities

 

·Warehouse and other storage facilities

 

·Accommodation facilities for operations and construction

 

·Laydown and stockpiles

 

·Water treatment plant and water management facilities (including diversions, sumps, ditching)

 

·Haul roads and site roads

 

·Chukuni effluent treatment pipeline and tailings pipeline

 

·Site utilities (compressed air, fire water, natural gas distribution)

 

·Fish habitat compensation

 

The cost estimating methodology relied on budgetary quotes, recent inquiries for similar scopes, and in-house database.

 

Budget quotations were obtained for the bulk earthworks.

 

Underground Infrastructure

 

The underground infrastructure capital costs were estimated based on conceptual and preliminary level engineering designs to define material take-offs and factors. Quantities by commodity were developed with documents to support build-up feeding this estimate. The underground LOM plan informed the timeline and facility quantities.

 

Total Direct Capital cost for underground infrastructure is approximately $49 million.

 

Key facilities included in this estimate are:

 

·Paste backfill plant

 

·Ventilation fans, heaters on surface and underground ventilation equipment (fans, bulkheads, doors and regulators)

 

·Refuge stations

 

Page 354

 

 

Kinross Gold Corporation

Great Bear Gold Project

Ontario, Canada

NI 43-101 Technical Report

 

·Portable mine power centres

 

·Underground utilities, including compressed air

 

·Dewatering infrastructure (pumps, sumps, piping)

 

The cost estimating methodology relied on budgetary quotes for mechanical equipment, recent inquiries for similar scopes, and in-house database pricing for bulk materials. The paste backfill plant is the major cost item in this area.

 

During the Initial Project Capital period, the underground development will be executed by a mining contractor and it is assumed that the installation of underground utilities will be completed at the mining contractor’s equipment and labour rates.

 

Power

 

An electrical equipment list was prepared for electrical equipment in the power plant, substations, and other electrical distribution. The key cost items include:

 

·Natural gas generators to allow for “Bridging phase” generation (eight generators at 3.33 MW each)

 

·Site-wide medium voltage distribution lines

 

·Substations at key infrastructure areas

 

Hybrid power supply via a combination of the existing grid power supply and natural gas generation is planned for the startup of the Project until enough power supply is available from the regional grid. The total Direct Capital cost for this area is approximately $47 million.

 

Mining Equipment

 

Open Pit Mobile Equipment

 

Open pit mobile equipment costs reflect all mobile equipment required on surface, including rehandle and site services throughout site. Most of the mobile equipment is based on budgetary quotes from H2 2023 from major mining equipment manufacturers and includes freight, assembly and commissioning allowances.

 

Most of the initial mining fleet is planned to be financed. A 20% down payment is assumed to be paid during the initial capital period as well as interest incurred. Approximately $88 million is financed and is built into the sustaining capital profile plus interest payments.

 

Page 355

 

 

Kinross Gold Corporation

Great Bear Gold Project

Ontario, Canada

NI 43-101 Technical Report

 

Underground Mobile Equipment

 

The underground mobile equipment fleet costs are derived from the underground LOM plan starting in Year 1 when Kinross plans to take over mining activities from the underground mining contractor. Down payments for the equipment fleet are included in the initial capital cost, with the remaining balance allocated to sustaining capital costs. Kinross is considering the use of more Battery Electric Vehicles (BEVs) pending power supply updates. Mobile equipment costs were based on budgetary quotes shipped to site.

 

Process Plant

 

The design of the process plant was largely based on Kinross and external engineering. The cost estimate includes the equipment and materials and direct labour costs to construct the processing plant, crushers, conveyor and pipelines. The tailings pipeline costs have been included in the Infrastructure cost area. The following sections provide the basis for the capital cost of constructing the process infrastructure. Total Direct Capital cost of this area is $217 million.

 

Design Growth Allowances

 

Design growth allowances for mechanical and electrical equipment were applied to the cost of the equipment to cover minor changes in design and provisions for costing.

 

Mechanical Equipment

 

Offshore supplied equipment was quoted as Free on Board (FOB) port of embarkation. The purchase cost of mechanical equipment was a mix of budgetary quotations, in-house database information, and allowances.

 

Bulk Earthworks

 

Bulk earthworks rates were a combination of in-house database pricing and contractor quotes. Quantities were derived from MTOs.

 

Architectural / Building

 

Budgetary quotes were obtained for the mills, flotation, CIP, dome stockpile and reagent buildings. For other buildings, a general area unit cost was applied.

 

Other Disciplines

 

Structural steel, electrical instrumentation and controls makes up the remaining disciplines, with a combination of budgetary quotes for the electrical equipment and in-house database pricing for other items.

 

Page 356

 

 

Kinross Gold Corporation

Great Bear Gold Project

Ontario, Canada

NI 43-101 Technical Report

 

Tailings Management Facility

 

Earthworks costs for constructing the TMF are split into initial capital costs and sustaining capital costs. The initial capital cost estimate includes the first stage of construction, to provide two years of tailings storage capacity, while the operation is ramping up. The sustaining capital cost estimate includes dam raises and seepage / spillway updates during operations as the TMF capacity increases.

 

The total initial and sustaining capital costs for the TMF earthworks are estimated to be $52.3 million and $21.1 million respectively and is summarized in Table 21-3.

 

Table 21-3: TMF initial and sustaining capital costs

 

Description  Initial Capital Cost
(US$M)
   Sustaining Capital Cost
(US$M)
   Total Cost
(US$M)
 
TMF   32.0    17.7    49.7 
TMF Pond   19.2    0.0    19.2 
TMF Spillways   0.7    2.9    3.6 
TMF Seepage Collection   0.4    0.5    0.9 
Total   52.3    21.1    73.4 

 

Notes:

 

1.The capital cost estimate for the TMF does not include the following items: tailings thickeners and delivery system, pumping stations and pipelines, earthworks for pumping stations or thickening plant, water management/treatment infrastructure and reclamation costs.

 

The earthwork costs for the TMF in Table 21-3 have generally been prepared following a deterministic estimating methodology where the properties are known and are able to be defined (i.e., measurement of units multiplied by unit costs or factors). Estimated material quantities are based on a series of drawings and unit costs have been developed based on judgement, past project performance reference data, historical productivities, in addition to estimated production calculations from HCSS HeavyBid™ estimating software and other productivity data.

 

Capitalized Mine Development

 

Capitalized Open Pit Development

 

Based on the open pit LOM plan, open pit mining starts during the construction phase with the mining of the LP Viggo Pit and then the LP Central Pit. The LP Viggo Pit is a key source of construction rock and waste rock mined during this period is capitalized. Some of the rock mined during this period will be used for haul roads and site establishment. In Years -3 to -2, open pit mining is planned to be carried out by a mining contractor, specifically the overburden stripping, and will transition to an owner-operated fleet in the second half of Year -2. Capitalized open pit mining costs were based on equipment schedules, material movement quantities, and include the costs of operating and maintaining the equipment.

 

Page 357

 

 

Kinross Gold Corporation

Great Bear Gold Project

Ontario, Canada

NI 43-101 Technical Report

 

Capitalized Underground Development

 

Underground mine development costs were derived from the underground LOM plan physicals. Costs include any mass excavation or cut-outs as well as vertical and horizontal development during the pre-production period. Estimated costs for the capital development during this period are based on an all-in contractor mining rate, sourced from multiple quotes, with a transition to owner-operated mining post commercial production.

 

Indirect Capital Costs

 

The total Indirect Capital cost for the Project is estimated to be $276 million and includes both Indirect and Owner’s costs.

 

Indirect Capital Costs

 

Indirect capital costs for the Project are estimated at $234 million and include all costs needed to carry out the detailed engineering, procurement, and construction management (EPCM) services and include cost estimates for the following key areas:

 

·Temporary construction facilities and construction support services

 

·Accommodation facilities and catering costs during the construction period

 

·Workforce transportation costs

 

·Commissioning support and vendor construction costs

 

·Freight, duties and taxes

 

·Spare parts and first fills

 

Indirect Capital costs were calculated using various sources including the project execution schedule, labour curve, and benchmarking versus other Ontario projects. EPCM makes up the bulk of the indirect capital costs and reflects a hybrid contractor and owner execution model.

 

Owner’s Costs

 

A budget of $42 million for Owner’s costs was based on an estimate using planned labour required. These costs are primarily personnel costs during detailed engineering and labour costs during construction. Costs associated with the mining operations team during the construction period are included in capitalized mining costs. Additional costs for hiring and recruitment of personnel have been included in Project’s cash flow model.

 

Page 358

 

 

Kinross Gold Corporation

Great Bear Gold Project

Ontario, Canada

NI 43-101 Technical Report

 

Contingency

 

Contingency is an allowance included in the capital cost estimate that is expected to be spent to cover unforeseeable items within the scope of the estimate. Contingency does not account for escalation, inflation, or project exclusions.

 

The contingency amount totals approximately $216 million or 22% of the Initial Project Capital, excluding capitalized mining development.

 

Sustaining Capital Costs

 

Sustaining costs include the following:

 

·Purchase of mining fleets to maintain 10,000 tpd processing rate over the LOM (open pit and underground)

 

·Open pit equipment leasing payments.

 

·Annual TMF build-out costs

 

·Surface infrastructure additions and utilities allowances

 

·Processing sustaining costs for capitalized maintenance

 

·Underground infrastructure to maintain production based on the LOM plan

 

·Underground mine development costs

 

·Open pit capitalized stripping costs

 

As shown in Table 21-4, LOM sustaining capital costs are estimated at $1,034 million.

 

Page 359

 

 

Kinross Gold Corporation

Great Bear Gold Project

Ontario, Canada

NI 43-101 Technical Report

 

Table 21-4: Summary of sustaining capital cost estimate

 

Area  LOM Cost
(US$M)
 
Open Pit Fleet Sustaining   20 
Open Pit Mine Equipment   107 
Infrastructure   33 
Underground Mine Equipment   202 
Underground Infrastructure   144 
Processing   26 
Tailings Management Facility   21 
Capitalized Open Pit Mining   202 
Capitalized Underground Development   279 
Total Sustaining Capital   1,034 

 

Open Pit Sustaining

 

An annual allowance, based on $/tonne mined, has been included to reflect maintenance required.

 

Open Pit Mobile Equipment

 

Most of the open pit mobile equipment capital costs relate to the repayment of the assumed financed mining fleet and assumes a five-year period. Additional open pit mobile equipment is purchased outright and these costs are relatively minor.

 

Infrastructure

 

Allowance for ammonia treatment plant and small site infrastructure upgrades and utilities as project develops.

 

Underground Mobile Equipment

 

Underground mining equipment is assumed to be purchased outright, rebuilt, and replaced based on the underground schedule. Costs were based on budgetary quotes received in H2 2023.

 

Underground Infrastructure

 

Includes annual allowances as the underground mining sequence develops for electrical, dewatering, infrastructure, ventilation and other sustaining capital purchases.

 

Page 360

 

 

Kinross Gold Corporation

Great Bear Gold Project

Ontario, Canada

NI 43-101 Technical Report

 

Processing

 

An annual allowance, based on a unit cost per tonne processed has been included to reflect preventative maintenance and capital spares.

 

Tailings Management Facility

 

Based on the overall LOM plan, several tailings raises are planned to ensure adequate storage volumes while managing sustaining capital costs.

 

Growth Capital

 

The long-term power supply strategy for the Project is to obtain enough power supply from the Ontario power grid to avoid self-generation and the use of natural gas. To secure the necessary grid power supply, Kinross estimates it will need to make a capital contribution of approximately $97 million that has been included in the total Initial Project Capital cost as growth capital. The final contribution amount will be defined in future phases as the power strategy develops.

 

21.2Operating Costs

 

Operating Cost Summary

 

Total operating costs over the LOM are estimated to be $3,136 million (Table 21-5). Operating costs, excluding capitalized open pit waste stripping and capitalized underground mine development, are below in Table 21-5.

 

Table 21-5: Total operating costs over life of Project

 

Cost Area  Total
(US$M)
   Unit Cost
(US$/t processed)2
   Percent of Total
(%)
 
Open Pit Mining1   371    8.32    12 
Underground Mining1   1,395    31.26    44 
Processing   770    17.25    25 
General & Administrative   398    8.91    13 
Royalties, Charges & Other   202    4.52    6 
Total   3,136    70.26    100 
Tonnes Processed (Mt)        44.6      

 

Notes:

 

1.Average LOM open pit mining cost amounts to $3.59/open pit tonne mined including capitalized mine development; average LOM underground mining cost amounts to $68.70/underground mill feed tonne mined excluding capitalized mine development.

 

2.Mining costs are averaged over the total mineralized material fed to the process plant from open pit and underground.

 

Page 361

 

 

Kinross Gold Corporation

Great Bear Gold Project

Ontario, Canada

NI 43-101 Technical Report

 

Operating Cost Basis of Estimate

 

The operating cost estimates were developed in H2 2023 and assume constant Q1 2024 dollars. Estimates have an accuracy of +/- 25%. All operating costs were estimated in Canadian Dollars and converted to USD for presentation. The operating cost estimates are based on budget quotations, in-house benchmarking of operating sites, other Ontario project benchmarks, and allowances.

 

The operating cost estimates are based on the open pit and underground LOM plans and the LOM processing plan. Operating costs are primarily activity based.

 

Assumptions and Exclusions

 

The following items were assumed:

 

·All equipment and materials will be new.

 

·Labour rate build-up is based on internal benchmarks and nearby operating mines.

 

·Equipment commissioning costs are captured in capital cost estimates.

 

·Costs from Year -3 to Year -1 (pre-commercial production) that generate stockpiled material to be processed later in the mine life are included as operating costs.

 

·Costs associated with mining waste material from Year -3 to Year -1 are capitalized.

 

·No contingency or cost escalations have been applied.

 

·Diesel price is US$1.10 per litre and reflects current carbon pricing.

 

·Power price is assumed to be dependent on the Project period: hybrid pricing (grid and natural gas generation) from Year -3 to Year 2 is assumed to be US$0.12 per kWh and grid power pricing (Year 3 onward) is assumed to be US$0.09 per kWh.

 

·Transportation, World Gold Council Fee, and NSR (2%) costs are included in the operating cost estimates.

 

·Start-up operations, hiring and recruitment costs are included in Other Operating Costs.

 

Open Pit Mining Costs

 

Unit open pit mining costs over the LOM are estimated to average $8.32/t processed.

 

Mining quantities were derived from first principles and mine-phased planning to achieve the planned production rates. Mining excavation estimates were based on geological studies, mine models, drawings, and sketches. Fuel consumption was estimated from vendor-supplied data for each type of equipment and equipment utilization factors, based upon calculated cycle times. Labour costs reflect both salaried and hourly mine personnel, which were applied to the mine staffing plan to estimate. The majority of the operating costs were derived from other Kinross operating sites as well as benchmarking with other operations in Ontario.

 

Page 362

 

 

Kinross Gold Corporation

Great Bear Gold Project

Ontario, Canada

NI 43-101 Technical Report

 

Total open pit mining costs consider the following:

 

·Diesel equipment operating over the life of mine

 

·Pre-split drilling to optimize geotechnical stability and slope angles.

 

·Mining labour includes Technical Services

 

·Rehandle costs at the crusher as well as run-of-mine feed that will be temporarily stockpiled at the ROM stockpile and fed into the crusher

 

·Owner mining and owner maintenance occurs throughout the life of mine

 

·An allowance is included for grade control drilling via reverse circulation methods

 

Table 21-6: LOM open pit mining operating costs

 

Cost Area  Total
(US$M)
   Unit Cost
(US$/t
Mined)
   Unit Cost
(US$/t
Processed)1
   Percent of
Total
(%)
 
Loading   88    0.47         13 
Hauling   249    1.33         37 
Drilling   61    0.32         9 
Blasting   74    0.39         11 
Support & Overhead   202    1.08         30 
Total2   674    3.59    27.71    100 
Less Capitalized Mining Cost   (303)               
Total Open Pit Operating Cost   371         15.27      

 

Nores:

 

1 Tonnes processed represents only the open pit process plant feed tonnes (24.3 Mt).

2 Total open pit mining cost is estimated based on total tonnes and then capitalized tonnes are allocated out.

 

·Open pit mining consumables:

 

oDiesel price of $1.10/L

 

oExplosives powder factors of between 0.30 kg/t and 0.35 kg/t are used for bedrock as per similar mines in Ontario

 

oProduction drilling hours based on 20 m/hr productivity as per similar mines in Ontario

 

Page 363

 

 

Kinross Gold Corporation

Great Bear Gold Project

Ontario, Canada

NI 43-101 Technical Report

 

Underground Mining Costs

 

Underground mining operating costs are summarized in Table 21-7. Mining quantities were based on the mine design and the underground LOM plan physicals to achieve the planned production rates. These quantities are used as the basis for the estimates of mining equipment hours and mining labour. Fuel and electrical power consumption for equipment were estimated from vendor-supplied data and equipment operating hours estimates.

 

Total underground mining costs consider the following:

 

·Longitudinal longhole open-stoping as primary mining method.

 

·Costs for all stope cycles from development, drill and blast, to loading and hauling materials from underground to surface re-handling point and final delivery of materials to the primary crusher by the open pit mining fleet.

 

·Backfill costs include filling materials preparation and mixing, plant operating costs, underground installation and maintenance of the paste backfill distribution, and underground filling activities. Paste backfill assumed for the majority of the life of mine except a year prior to commercial production where CRF will be used.

 

·Energy costs including electrical power required for services and utilities, fixed facilities, ventilation and natural gas required for air heater.

 

·Direct and indirect labour including Technical Services.

 

·Owner mining and owner maintenance from Year 1 to the end of mine life.

 

·Grade control definition drilling to improve deposit delineation and optimize the underground LOM plan.

 

Page 364

 

 

Kinross Gold Corporation

Great Bear Gold Project

Ontario, Canada

NI 43-101 Technical Report

 

Table 21-7: LOM Underground mining operating costs

 

Cost Area  Total
(US$M)
   Unit Cost
(US$/t Mined) 1
   Percent of Total
(%)
 
Development (Operating only)   275    13.5    20 
Stoping   211    10.4    15 
Backfilling   161    8.0    12 
Haulage   228    11.2    16 
Maintenance   72    3.6    5 
Indirect Labour   236    11.6    17 
Other   212    10.4    15 
Total Operating Cost   1,395    68.7    100 
Capitalized Mine Development   422    20.8      

 

Note: 1 Denominator is underground tonnes of plant feed

 

·Underground pit mining consumables:

 

oDiesel price of $1.10/L

 

oBackfill dry cement of $326/t

 

oElectrical annual power demand of 62,290 MWh/year

 

Lateral development:

 

·Includes drifting required for direct access to the bottom and top cuts of the stopes. All other development such as ramp, level access and infrastructure, and footwall drives are categorized as capital costs.

 

·Lateral development costs include materials, consumables, equipment, and direct labour required to complete the development cycle. It includes standard recommended ground support and allowances for shotcrete applications. Hauling costs are excluded and pooled under haulage costs.

 

Processing Operating Costs

 

Unit processing operating costs over the LOM are estimated to average $17.25/t processed (Table 21-8). Costs were estimated using process design criteria, benchmarking from other operations, reagent costs, and input from processing consultants.

 

Page 365

 

 

Kinross Gold Corporation

Great Bear Gold Project

Ontario, Canada

NI 43-101 Technical Report

 

Table 21-8: LOM processing operating costs

 

Cost Area  Total
(US$M)
   Unit Cost
(US$/t Processed)
   Percent of Total
(%)
 
Labour   111    2.49    14 
Power   176    3,93    23 
Reagents   190    4.27    25 
Consumables   145    3.24    19 
Maintenance   66    1.48    9 
Laboratory   5    0.10    1 
Other   77    1.73    10 
Total   770    17.25    100 

 

Budgetary quotes were compiled from vendors active in the Ontario market to provide reagent pricing in Canadian dollars where possible, which was then converted to USD.

 

Other operating costs relate to unplanned maintenance, extra consumable usable, technology and other unexpected cost.

 

Freight was assumed as 5% of the cost of reagents, when freight had not been provided inclusive in the reagent cost.

 

Wear parts and maintenance cost allocations were calculated using a factor of 7.5% of the value of purchased equipment, applied annually to project the cost of replacing mechanical equipment due to normal wear and tear.

 

Electrical power loads were developed based on the electrical load list. The processing energy usage is approximately 41.9 kWh/t processed.

 

Key inputs for process consumables and reagents are shown in Table 21-9 and Table 21-10, respectively.

 

Table 21-9: Key inputs for Process consumables

 

  Unit Consumption 
Item  Unit  Value 
SAG Mill Grinding Media  g/t feed   790 
Ball Mill Grinding Media  g/t feed   805 
SAG Mill Liners  kg/t   0.124 
Ball Mill Liners  kg/t   0.126 
Natural Gas for Heating  m3/year   706,312 

 

Page 366

 

 

 

Kinross Gold Corporation

Great Bear Gold Project

Ontario, Canada

NI 43-101 Technical Report

 

Table 21-10: Key inputs for process reagents

 

   Unit Consumption
Item  Unit  Value 
Sodium Cyanide, Pure NaCN (Leach)  kg/t feed   0.65 
Quick Lime 85% CaO (Leach)  kg/t feed   0.84 
Flocculant  g/t feed   45 
SMBS  kg/t feed   0.67 
Quick Lime 85% CaO (CND)  kg/t feed   0.46 
Copper Sulphate (CND)  g/t feed   42 
Frother-MIBC  g/t feed   45 
Collector-PAX  g/t feed   50 
Promoter-Aero 208  g/t feed   32 
Copper Sulphate (Flotation)  g/t feed   150 
Hydrochloric acid, 33% HCL Solution  g/t feed   41 
Sodium Hydroxide, Pure NaOH  g/t feed   138 
Sodium cyanide, Pure NaCN (Elution)  g/t feed   7 

 

General and Administrative Cost

 

The unit LOM G&A operating cost is estimated to be $8.91/t processed as summarized in Table 21-11. G&A operating costs have been estimated considering that the towns of Red Lake and Ear Falls are located close to the Project and northwestern Ontario has a robust contractor supply network. Annual G&A operating costs are in line with benchmarking of other projects and operating mines in northwestern Ontario.

 

G&A cost estimates include:

 

·Property tax and insurance

 

·Site administration personnel not included in the mining and processing teams

 

·Accommodation and catering costs, and rotational costs, with the assumption that some of the operations staff will be housed in the site accommodations facilities

 

Table 21-11: LOM G&A operating costs

 

Cost Area  Total
(US$M)
   Average Annual G&A
(Years 1 to 5)
(US$M)
   Unit Cost
(US$/t Processed)
 
Total   398    35.0    8.91 

 

Page 367

 

 

Kinross Gold Corporation

Great Bear Gold Project

Ontario, Canada

NI 43-101 Technical Report

 

Royalties and Other Charges

 

There is a 2% NSR on the property, as well as a World Gold Council Fee of $0.10 per ounce produced.

 

21.3Site Personnel

 

The Project’s LOM labour estimates are based on the LOM plans and labour demand by area. Table 21-12 summarizes the LOM average and peak workforce demand estimates, assuming as much local hiring as possible.

 

Table 21-12: Site workforce profile

 

Area  LOM Average   Peak Year 
Open Pit   260    374 
Underground   423    501 
Processing   97    97 
Site Administration   123    126 
Total   903    1,098 

 

Page 368

 

 

Kinross Gold Corporation

Great Bear Gold Project

Ontario, Canada

NI 43-101 Technical Report

 

22.Economic Analysis

 

The economic analysis presented in this Technical Report contains forward-looking information regarding Mineral Resource estimates, commodity prices, exchange rates, proposed production plans, projected mining and metallurgical recoveries, costs, and Project schedule aspects and are subject to known and unknown risks, uncertainties, and other factors, many of which cannot be controlled or predicted and may cause actual results to differ materially from those presented. More details on the assumptions used and the factors applied when developing the forward-looking information, as well as certain risk factors that could cause actual results to differ materially from the forward-looking information are provided in the relevant sections of this Technical Report. The reader is cautioned that this Technical Report is based in part, on Inferred Mineral Resources, and the economic analysis presented is preliminary in nature. Inferred Mineral Resources are considered too geologically speculative to have economic considerations applied to them that would enable them to be categorized as Mineral Reserves. The QP notes that there is no certainty that the economic forecasts presented or the assumptions on which this Technical Report is based will be realized.

 

The economic analysis of the Project was carried out using a discounted cash flow approach on a pre-tax and after-tax basis, based on a long-term gold price of $1,900/oz in United States currency and cost estimates prepared in Canadian currency.

 

An exchange rate of 0.74 USD per 1.00 CAD was assumed to convert CAD market price projections and particular components of the capital cost estimates into US Dollars (USD).

 

The QP notes that all costs presented in this report are expressed in first quarter 2024 US dollars.

 

The Internal Rate of Return (IRR) on the total investment that is presented in the economic analysis was calculated assuming 100% equity financing, except on financing for the open pit fleet, though Kinross may decide in the future to finance part of the Project with debt financing.

 

The after-tax NPV was calculated from the cash flows generated by the Project, assuming a discount rate of 5%.

 

An after-tax sensitivity analysis has been performed to assess the impact of variations in the Project’s economic assumptions, i.e., capital costs, exchange rate, gold price, gold head grade, metallurgical recoveries, and operating costs.

 

Page 369

 

 

Kinross Gold Corporation

Great Bear Gold Project

Ontario, Canada

NI 43-101 Technical Report

 

Economic Criteria

 

All values presented in this section are approximate.

 

Physicals

 

·Project Life:

 

oThree years of pre-commercial production mining for construction material and stockpiling of initial process plant feed

 

o12 years of commercial process plant production

 

oEight years of open pit mining

 

o12 years of underground mining

 

oFour years of open pit and underground stockpiles processing

 

·Open pit mining operations

 

  o LOM Total Mined: 187.9 Mt

 

oLOM Total Plant Feed Mined: 24.3 Mt at 2.99 g/t of Au

 

  o Stripping Ratio: 6.7 (waste:plant feed)

 

oPeak Mining Rate (all materials): 26.2 Mtpa

 

·Underground mining operations

 

  o LOM Total Mined: 28.1 Mt

 

oLOM Total Plant Feed Mined: 20.3 Mt at 4.92 g/t of Au

 

oPeak Mining Rate (plant feed): 2.2 Mtpa

 

·Processing

 

  o Annual Processing Rate: 10 ktpd

 

  o LOM Total Plant Feed: 44.6 Mt at 3.87 g/t of Au

 

  o LOM Contained Gold: 5.5 Moz

 

oLOM Average Metallurgical Recovery: 95.7%

 

  o LOM Recovered Gold: 5.3 Moz

 

Page 370

 

 

Kinross Gold Corporation

Great Bear Gold Project

Ontario, Canada

NI 43-101 Technical Report

 

Figure 22-1 shows annual production over the LOM.

 

 

Figure 22-1: LOM annual gold production

 

Revenue

 

·For this economic analysis, revenue is estimated based on a constant LOM gold price of $1,900/oz.

 

·To account for insurance, transportation, and refining charges, a constant unit cost of $3.35/oz Au was assumed over the LOM and is based on actual costs from other Kinross operations.

 

·LOM gross revenue of $10,085 million.

 

·LOM NSR revenue of $10,067 million, after accounting for insurance, transportation, and refining charges.

 

·Annual gross revenue over the LOM is shown in Figure 22-2.

 

Page 371

 

 

Kinross Gold Corporation

Great Bear Gold Project

Ontario, Canada

NI 43-101 Technical Report

 

 

Figure 22-2: LOM annual gross revenue

 

Capital Costs

 

·Total initial construction capital cost: $1,181 million, including $216 million in contingency.

 

·Total capitalized mine development costs prior to commercial production: $248 million.

 

·Total Initial Capital, including capital development: $1,429 million.

 

·LOM sustaining capital costs: $1,034 million.

 

Page 372

 

 

Kinross Gold Corporation

Great Bear Gold Project

Ontario, Canada

NI 43-101 Technical Report

 

Figure 22-3 shows LOM capital costs by year and area.

 

 

Figure 22-3: Capital costs by year and area

 

Growth Capital

 

·As a part of the larger power supply strategy to Great Bear, the objective is to obtain enough power supply from the Ontario grid long term to avoid self-generation and the use of Natural Gas. To secure this supply, it is estimated that Kinross will need to make a capital contribution. A total of $97 million has been carried in Growth Capital. The final contribution amount will be defined in future phases as the power strategy develops.

 

Reclamation and Closure

 

Reclamation and closure costs total approximately $91 million over the LOM, distributed annually from the middle of the LOM (Year 6) until post-closure to reflect some early progressive closure where possible. The cost estimates are based on reasonable closure costs and were benchmarked against other projects in Ontario. The closure cost estimate excludes allowances for contingency.

 

Operating Costs

 

·LOM operating costs: $3,136 million, including $202 million in royalties and other charges and excluding $33 million in other one-time operating costs

 

·LOM unit operating cost: $70.26/t processed

 

·LOM unit cash cost: $594/oz Au

 

·LOM unit All-In Sustaining Cost (AISC): $812/oz Au

 

Page 373

 

 

Kinross Gold Corporation

Great Bear Gold Project

Ontario, Canada

NI 43-101 Technical Report

 

Taxation

 

·Income tax is payable to the Federal Government of Canada, pursuant to the Income Tax Act (Canada). The applicable Federal income tax rate is 15% of taxable income.

 

·Income tax is payable to the Province of Ontario at a tax rate of 10% of taxable income. Ontario income tax is administered by the Canada Revenue Agency and, since 2008, Ontario’s definition of taxable income is fully harmonized with the Federal definition.

 

·Ontario Mining Tax (OMT) is levied at a rate of 10% on taxable profit in excess of C$500,000 derived from mining operations in Ontario. OMT is deductible in calculating Federal income tax and a similar resource allowance is available as a deduction in calculating Ontario income tax. OMT is not affected by harmonization, accordingly, it is administered provincially by Ontario.

 

·LOM total taxes paid of approximately $856 million.

 

Exclusions

 

The economic analysis does not consider the following components:

 

·Escalation or inflation over the LOM

 

·Financing costs excluding open pit financing

 

·Corporate overhead costs

 

·Advanced Exploration costs

 

·Any costs set out in or deriving from any Impact Benefit Agreement with Indigenous Nations

 

An after-tax cash flow summary is presented in Table 22-1. All costs are presented in Q1 2024 USD millions.

 

Page 374

 

 

Kinross Gold Corporation

Great Bear Gold Project

Ontario, Canada

NI 43-101 Technical Report

 

Table 22-1: After-tax cash flow summary

 

   US$ and
Metric
Units
   LOM Total
or Average
                                                                                    
Project Timeline  Years     1   2   3   4   5   6   7   8   9   10   11   12   13   14   15   16   17   18   19   20   21 
Commercial Production Timeline  Years     -4   -3   -2   -1   1   2   3   4   5   6   7   8   9   10   11   12   13   14   15   16   17 
Market Prices                                                                                          
Exchange Rate  CAD:USD  0.74x 0.74x  0.74x  0.74x  0.74x  0.74x  0.74x  0.74x  0.74x  0.74x  0.74x  0.74x  0.74x  0.74x  0.74x  0.74x  0.74x  0.74x  0.74x  0.74x  0.74x  0.74x
Gold  US$/oz  1,900  1,900   1,900   1,900   1,900   1,900   1,900   1,900   1,900   1,900   1,900   1,900   1,900   1,900   1,900   1,900   1,900   1,900   1,900   1,900   1,900   1,900 
Physicals                                                                                          
Open Pit                                                                                          
Mineralized Material Mined  kt  24,320  -   142   723   773   3,349   3,697   3,188   3,383   3,219   2,077   2,416   1,352   -   -   -   -   -   -   -   -   - 
Au Grade, Mined  g/t  2.99  -   1.44   1.52   1.97   3.77   3.52   2.61   2.37   2.67   1.92   3.13   5.70   -   -   -   -   -   -   -   -   - 
Waste Mined  kt  163,575  -   3,305   9,338   16,967   22,151   20,268   22,974   19,995   17,931   17,015   11,714   1,917   -   -   -   -   -   -   -   -   - 
Underground                                                                                          
Mineralized Material Mined  kt  20,306  -   8   138   548   827   1,280   1,430   1,860   1,860   2,190   2,196   2,190   2,190   1,915   1,275   402   -   -   -   -   - 
Au Grade, Mined  g/t  4.92  -   3.47   3.79   4.95   4.39   5.18   5.11   5.06   5.20   5.17   5.74   4.35   4.05   5.16   4.93   3.74   -   -   -   -   - 
Total Development  m  169,338  -   2,084   5,038   6,645   12,564   16,935   16,349   17,221   17,094   18,163   17,128   17,535   14,154   5,905   2,523   -   -   -   -   -   - 
Processing                                                                                          
Total Mineralized Material Processed  kt  44,627  -   -   -   1,196   3,433   3,650   3,660   3,650   3,650   3,650   3,660   3,650   3,650   3,650   3,660   3,468   -   -   -   -   - 
Au Grade, Processed  g/t  3.87  -   -   -   3.99   4.57   4.79   4.40   4.37   4.64   4.09   5.31   4.81   2.85   3.15   2.23   1.04   -   -   -   -   - 
Contained Gold, Processed  koz  5,549  -   -   -   154   505   563   518   513   545   480   625   564   335   370   262   116   -   -   -   -   - 
Average Recovery, Gold  %  95.7% -   -   -   86.6%  95.2%  96.2%  96.1%  96.1%  96.2%  96.1%  96.3%  96.2%  95.7%  95.8%  95.4%  93.6%  -   -   -   -   - 
Recovered Gold  koz  5,309  -   -   -   133   481   541   498   493   524   461   601   543   320   355   250   109   -   -   -   -   - 
Payable Gold  koz  5,308  -   -   -   133   480   541   498   493   524   461   601   543   320   355   250   109   -   -   -   -   - 
Revenue                                                                                          
Gross Revenue  US$ 000s  10,084,929  -   -   -   252,552   912,834   1,027,841   946,357   936,554   995,329   875,115   1,142,524   1,030,832   608,588   673,899   475,477   207,028   -   -   -   -   - 
Offsite Insurance / Transport / Refining  US$ 000s  17,781  -   -   -   445   1,609   1,812   1,669   1,651   1,755   1,543   2,014   1,818   1,073   1,188   838   365   -   -   -   -   - 
Net Smelter Return  US$ 000s  10,067,148  -   -   -   252,107   911,225   1,026,029   944,688   934,903   993,574   873,572   1,140,509   1,029,015   607,515   672,711   474,638   206,663   -   -   -   -   - 
Operating Expenditures                                                                                          
Total Mining Cost  US$ 000s  1,766,284  -   1,731   24,018   38,315   155,100   170,337   118,127   193,045   160,908   153,383   205,031   161,037   143,376   118,037   84,999   38,840   -   -   -   -   - 
Processing Cost  US$ 000s  769,696  -   -   -   33,692   70,501   70,967   59,609   59,522   59,541   59,486   59,690   59,557   59,365   59,395   59,388   58,982   -   -   -   -   - 
G&A Cost  US$ 000s  397,762  -   -   -   25,147   35,357   35,502   34,813   34,812   34,811   34,810   34,810   34,810   30,235   29,971   19,852   12,830   -   -   -   -   - 
Royalties and Charges  US$ 000s  201,874  -   -   -   5,055   18,273   20,575   18,944   18,747   19,924   17,517   22,870   20,635   12,182   13,490   9,518   4,144   -   -   -   -   - 
Total Operating Costs  US$ 000s  3,135,616  -   1,731   24,018   102,211   279,230   297,381   231,493   306,126   275,184   265,197   322,402   276,039   245,159   220,893   173,757   114,796   -   -   -   -   - 
Other Operating Costs  US$ 000s  33,036  4,601   11,328   3,130   13,977   -   -   -   -   -   -   -   -   -   -   -   -   -   -   -   -   - 
Capital Expenditures                                                                                          
Initial Capex  US$ 000s  1,181,493  108,929   342,266   388,878   341,420   -   -   -   -   -   -   -   -   -   -   -   -   -   -   -   -   - 
Capitalized Mine Development  US$ 000s  247,529  -   43,900   81,589   122,040   -   -   -   -   -   -   -   -   -   -   -   -   -   -   -   -   - 
Total Initial Capex and Cap. Mine Dev  US$ 000s  1,429,022  108,929   386,165   470,468   463,460   -   -   -   -   -   -   -   -   -   -   -   -   -   -   -   -   - 
Growth Capital  US$ 000s  96,667  -   -   -   -   53,704   42,963   -   -   -   -   -   -   -   -   -   -   -   -   -   -   - 
Sustaining Capital (Excluding Capitalized Mining)  US$ 000s  553,373  -   -   -   -   120,317   76,750   69,658   52,668   48,491   38,366   44,652   41,696   37,677   13,188   6,414   3,496   -   -   -   -   - 
Capitalized Mine Development (Sustaining)  US$ 000s  480,885  -   -   -   -   30,638   38,536   105,815   42,752   72,572   94,466   26,370   32,648   24,144   8,855   4,088   -   -   -   -   -   - 
Reclamation and Closure  US$ 000s  90,740  -   -   -   -   -   -   -   -   -   7,349   7,349   7,349   8,386   8,386   1,037   -   15,974   14,974   9,702   5,117   5,117 
Changes in Working Capital  US$ 000s  -  (8,953)  (18,436)  (2,859)  5,336   13,901   4,665   4,298   1,606   209   1,265   (1,224)  (195)  517   1,234   95   (267)  (1,191)  -   -   -   - 
Cash Flow                                                                                          
Pre-tax Cash Flow  US$ 000s  4,247,810  (104,577)  (380,788)  (494,756)  (332,877)  413,435   565,734   533,424   531,751   597,119   466,929   740,960   671,478   291,632   420,154   289,247   88,638   (14,783)  (14,974)  (9,702)  (5,117)  (5,117)
Cash Taxes  US$ 000s  855,937  -   -   -   513   9,822   11,604   20,453   51,268   60,993   72,626   176,311   192,916   74,190   109,220   69,405   6,617   -   -   -   -   - 
After Tax Cash Flow  US$ 000s  3,391,873  (104,577)  (380,788)  (494,756)  (333,389)  403,613   554,130   512,971   480,483   536,126   394,303   564,649   478,562   217,442   310,934   219,842   82,020   (14,783)  (14,974)  (9,702)  (5,117)  (5,117)
Cumulative After Tax Cash Flow  US$ 000s  -  (104,577)  (485,365)  (980,121)  (1,313,511)  (909,898)  (355,768)  157,204   637,687   1,173,813   1,568,116   2,132,765   2,611,327   2,828,769   3,139,704   3,359,545   3,441,566   3,426,783   3,411,809   3,402,106   3,396,990   3,391,873 
Metrics                                                                                          
NPV (5%)  US$ 000s  1,898                                                                                    
IRR  %  24.3%                                                                                   
Payback Period  Years  2.7                                                                                    

 

Page 375

 

 

Kinross Gold Corporation

Great Bear Gold Project

Ontario, Canada

NI 43-101 Technical Report

 

Cash Flow Analysis

 

The Project’s cash flow results have been determined using the discounted cash flow method by considering annual processed tonnages and the head grades of plant feed material. The aforementioned assumptions and estimates for metallurgical recovery, gold price, operating costs, refining and transportation charges, royalties, and capital expenditures were considered in the economic analysis.

 

Cash flows have been discounted to the start of Year -4, as this is the anticipated timing for project sanction. The discount rate used in this Technical Report is 5%, which is commonly used to evaluate gold projects.

 

The payback period is calculated as the time required to achieve positive cumulative undiscounted cash flow from the commercial production date at the start of Year 1.

 

Results

 

·The Project’s after-tax NPV at a 5% discount rate is $1,898 million.

 

·The LOM total cash cost is $594/oz Au, derived from mining, processing, on-site G&A, refining, doré transportation and insurance, royalties, and owner’s other costs per ounce payable.

 

·The AISC is $812/oz Au, derived from total cash costs plus sustaining capital (including interest on equipment financing), and accretion and amortization on the property.

 

Table 22-2 summarizes the results of the after-tax cash flow analysis of the Project and Figure 22-4 shows both pre-tax and after-tax cumulative cash flow results.

 

Table 22-2: Summary of results of after-tax cash flow analysis

 

Description  Unit   Value 
After-tax Free Cash Flow  US$M    3,392 
NPV (@ 5% disc.)  US$M    1,898 
IRR  %    24.3 
Payback Period  years    2.7 

 

Page 376

 

 

Kinross Gold Corporation

Great Bear Gold Project

Ontario, Canada

NI 43-101 Technical Report

 

 

Figure 22-4: Cumulative cash flow

 

Sensitivity Analysis

 

Project risks can be identified in both economic and non-economic terms. Key economic risks were examined by running cash flow sensitivities on the following variables and examining the impact on the Project’s after-tax NPV and IRR.

 

·Gold price

 

·Exchange rate

 

·Initial capital costs

 

·Operating costs

 

·Head grade

 

·Metallurgical recovery

 

·Discount rate.

 

The results of the sensitivity analysis are summarized in Table 22-3 and Table 22-4.

 

Page 377

 

 

Kinross Gold Corporation

Great Bear Gold Project

Ontario, Canada

NI 43-101 Technical Report

 

Table 22-3: After-tax NPV and IRR sensitivity results

 

    Gold Price   After-tax NPV at 5%   IRR 
Variance   (US$/oz)   (US$M)   (%) 
 (21)%  $1,500   $910    14.9%
 (11)%  $1,700   $1,416    19.9%
 -   $1,900   $1,898    24.3%
 11%  $2,100   $2,371    28.3%
 21%  $2,300   $2,846    32.1%
 32%  $2,500   $3,314    35.5%

 

    Exchange Rate   After-tax NPV at 5%   IRR 
    CAD:USD   (US$M)   (%) 
 (19)%   0.60x  $2,363    32.0%
 (6)%   0.70x  $2,031    26.3%
 -    0.74x  $1,898    24.3%
 8%   0.80x  $1,699    21.5%
 22%   0.90x  $1,362    17.4%

 

    Initial Construction Capital Cost   After-tax NPV at 5%   IRR 
    (US$M)   (US$M)   (%) 
 (30)%  $827   $2,190    33.2%
 (15)%  $1,004   $2,043    28.2%
 -   $1,181   $1,898    24.3%
 15%  $1,359   $1,749    21.1%
 30%  $1,536   $1,602    18.5%

 

    Underground Operating Cost   After-tax NPV at 5%   IRR 
    (US$M)   (US$M)   (%) 
 (30)%  $1,272   $2,151    26.8%
 (15)%  $1,544   $2,024    25.5%
 -   $1,817   $1,898    24.3%
 15%  $2,089   $1,770    23.0%
 30%  $2,362   $1,640    21.7%

 

    Open Pit Operating Cost   After-tax NPV at 5%   IRR 
    (US$M)   (US$M)   (%) 
 (30)%  $472   $2,004    25.6%
 (15)%  $573   $1,951    24.9%
 -   $674   $1,898    24.3%
 15%  $775   $1,845    23.6%
 30%  $876   $1,790    22.9%

 

Page 378

 

 

Kinross Gold Corporation

Great Bear Gold Project

Ontario, Canada

NI 43-101 Technical Report

 

    Head Grade   After-tax NPV at 5%   IRR 
    (g/t Au)   (US$M)   (%) 
 (30)%   2.71   $407    9.8%
 (15)%   3.29   $1,209    17.9%
 -    3.87   $1,898    24.3%
 15%   4.45   $2,571    29.9%
 30%   5.03   $3,241    35.0%

 

    Metallurgical Recovery (Gold)   After-tax NPV at 5%   IRR 
    (%)   (US$M)   (%) 
 (2.00)%   93.67%  $1,803    24.1%
 (1.00)%   94.67%  $1,851    24.2%
 -    95.67%  $1,898    24.3%
 1.00%   96.67%  $1,944    24.4%
 2.00%   97.67%  $1,991    24.5%

 

Table 22-4: After-tax NPV sensitivity results discount rate variations

 

   Discount Rate 
   -   2.5%   5.0%   7.5%   10.0% 
NPV (US$M)  $3,392   $2,542   $1,898   $1,405   $1,025 

 

A graphical representation of select variables of the sensitivity analysis is depicted in Figure 22-5 for the Project’s NPV.

 

Based on the parameters selected for evaluation and reasonable ranges for their values, the sensitivity analysis reveals that variations in gold price have the most significant influence on Project NPV. After gold price, the Project NPV was most impacted by changes in USD:CAD exchange rates, followed by changes in initial construction capital cost, underground mining operating cost, and open pit mining operating cost. The Project’s NPV remains positive over the range of values tested.

 

Page 379

 

 

Kinross Gold Corporation

Great Bear Gold Project

Ontario, Canada

NI 43-101 Technical Report

 

 

Figure 22-5: Sensitivity of the after-tax NPV to selected economic variables

 

Page 380

 

 

Kinross Gold Corporation

Great Bear Gold Project

Ontario, Canada

NI 43-101 Technical Report

 

23.Adjacent Properties

 

There is significant historic and present gold production in the Red Lake mining camp. The entire Red Lake/Birch-Uchi greenstone belt continues to be explored by major and junior mining companies. Significant mining, preproduction, and greenfields exploration programs are taking place proximal to the Project (Figure 23-1).

 

The Project lies approximately 24 km southeast of Evolution Mining Limited’s Red Lake Gold Mine complex. The Red Lake Gold Mine complex is situated within the Red Lake Greenstone Belt and comprised of the historic, Campbell, Dickenson and Red Lake Mines which have produced approximately 24 million ounces of gold between 1948 and 2021 (Malegus, 2022).

 

West Red Lake Gold Mines the owners of the 47 km2 claims that encompass the Madsen Mine project located 15 km northwest of the Great Bear Project, is actively working on putting the former producer back into production. The historic Madsen and Starratt Olsen Mines combined, produced 2.6 Moz (Malegus, 2022).

 

A total of 25 junior companies and individual prospectors are significant claimholders in the Project area. A number of these claimholders are conducting current exploration programs. BTU Metals Corp. owns 19,723 ha directly south of the Great Bear property boundary. They have completed various exploration activities including till sampling, ground/airborne geophysical surveys, and diamond drilling.

 

The QP has compiled this information from publicly available data but has not personally verified data from adjacent properties. Results from neighbouring properties, verified or not, may not necessarily be indicative of the mineralization on the Project.

 

Page 381

 

 

Kinross Gold Corporation

Great Bear Gold Project

Ontario, Canada

NI 43-101 Technical Report

 

 

Figure 23-1: Location of the Great Bear Project and adjacent projects

 

Page 382

 

 

Kinross Gold Corporation

Great Bear Gold Project

Ontario, Canada

NI 43-101 Technical Report

 

24.Other Relevant Data and Information

 

24.1Project Implementation and Execution Plan

 

The Project is planned to comprise an open pit and underground mine facility with the process plant site located close by on the same property.

 

Key Project execution milestone dates are presented in Table 24-1. The milestones are preliminary and cover the period from the publication of this report up to an assumed start of production at the Project.

 

Upon publication of this report, Kinross will continue to focus on the Project’s drilling program, executing the AEX program, advancing permitting, environmental studies, and engineering, and closely collaborating with stakeholders.

 

The development schedule will be updated as more detailed information becomes available. The Project’s critical path is driven by the permitting process and is currently ongoing via the Federal Impact Statement process.

 

Table 24-1: Key milestone dates

 

Key Milestones  Key Milestone Dates
Federal Permitting Process  Ongoing
Long Lead Procurement and Detailed Engineering  -Y4
Main Permits Received  -Y3
Construction Commencement  -Y3
First Plant Feed  -Y1
Commercial Production  Y1

 

Required permits include environmental, compliance, and construction permits. The permitting timeline is based on typical regulatory durations of key activities and the current Impact Assessment Act in Canada. Under the Federal Impact Assessment Act, a panel review may be requested. If a panel review is requested and granted, the permitting timeline would need to be adjusted.

 

For the purpose of this Report, construction is assumed to commence in Year -3. Construction activities include all mine, processing plant, and support infrastructure and utilities systems. In the event of a positive construction decision by Kinross, sufficient execution planning will be undertaken by the Project team for procurement of long lead items, so as not to delay progress.

 

Page 383

 

 

Kinross Gold Corporation

Great Bear Gold Project

Ontario, Canada

NI 43-101 Technical Report

 

25.Interpretation and Conclusions

 

Based on the information presented in this Technical Report and the results of ongoing work on the Project, the QPs offer the following conclusions on the Project by area:

 

25.1Overall Project Development

 

·Based on the current Mineral Resources, the Project shows sufficient economic potential to merit continued advanced studies.

 

·Project development activities will focus on continuing the drilling program, executing the AEX program, advancing permitting, environmental studies, and engineering, and closely collaborating with stakeholders.

 

25.2Geology and Mineral Resources

 

·The Mineral Resources at the Property have been estimated for three zones, LP, Hinge, and Limb. As of April 2, 2024, Mineral Resources at the Project consist of:

 

oM&I Mineral Resources: 30.3 Mt grading 2.81 g/t Au and containing 2.7 Moz of gold

 

oInferred Mineral Resources: 25.5 Mt grading 4.74 g/t Au and containing 3.9 Moz of gold

 

·Mineral Resources conform to CIM (2014) Definitions.

 

·The LP Zone remains the most attractive area for potential increases to Mineral Resources. Drilling programs for this zone continue to be prioritized because of its potential size and relatively high gold grades in the context of the Property.

 

·The preparation and analyses of the samples are adequate for this type of deposit and style of gold mineralization. The sample handling and chain of custody, as documented, meet standard industry practice.

 

·The QA/QC programs are in accordance with standard industry practice and CIM Estimation of Mineral Resource & Mineral Reserve Best Practice Guidelines dated November 29, 2019 (MRMR Best Practice Guidelines). Great Bear and Kinross personnel have taken reasonable measures to ensure that the sample analyses completed are sufficiently accurate and precise. Based on the statistical analysis of the QA/QC results, the assay results are of sufficient quality to support Mineral Resource estimation.

 

·The drill core logging and database workflows and checks are appropriate and consistent with industry standards. The data used to support a Mineral Resource estimate are subject to validation using validated industry-standard software that automatically triggers data checks for a range of data entry errors. Verification checks on surveys, collar coordinates, lithology, and assay data are all conducted on a regular basis.

 

Page 384

 

 

Kinross Gold Corporation

Great Bear Gold Project

Ontario, Canada

NI 43-101 Technical Report

 

·Verification of the assay and density certificate data to the Mineral Resource database indicates that the Mineral Resource database data used in the Mineral Resource estimate faithfully reproduces the assay certificate information. In the QP’s opinion, the Mineral Resource database, including the density data, is of sufficient quality to support the Mineral Resource estimate.

 

·For all modelling and resource estimation work, only high confidence drill holes were used (Confidence 1 and 2). To the QP’s knowledge, there are no drilling, sampling, or recovery factors that could materially impact the accuracy and reliability of the results.

 

·The contained ounces in all zones are relatively insensitive to gold cut-off grades.

 

·The open pit and underground resources were constrained within $1,400/oz gold and $1,500/oz gold optimized pit shells and $1,700/oz gold underground mineable shapes, respectively, and fulfill the CIM (2014) Definitions requirement of “reasonable prospects for eventual economic extraction” (RPEEE).

 

·Mineral Resource quantities have increased in the Inferred Mineral Resource category due to the results of exploration drilling targeting extensions at depth.

 

25.3Mine Design and Mining Methods

 

·Mining is projected to take place using both open pit and underground mining methods.

 

·Based on the available data and knowledge of the study area, far-field stress information is considered suitable for the current level of study. Laboratory testing indicates a strong rock mass and the kinematics for all orientations of the pit walls are very favourable.

 

·Lateral water flow distribution and inflow variation over the LOM is unknown at this stage of the Project. The dewatering demand for each mining zone is based on assumed fractions of total inflow. Most inflows are expected in the upper zone of the underground mine (less than 500 m depth).

 

·The LP Zone contains three separate open pit mining areas known as LP Central, LP Discovery, and LP Viggo, with independent pit optimizations completed for each of these areas. After the completion of pit limit analysis and assessment versus. underground mining, it was determined that only the open pits in the LP Central and LP Viggo areas are economically viable for open pit mining extraction.

 

Page 385

 

 

Kinross Gold Corporation

Great Bear Gold Project

Ontario, Canada

NI 43-101 Technical Report

 

·The LP Central pit shell was selected at a revenue (price) factor of 100% or US$1,400/oz. Due to the scarcity of NPAG material in other areas of the pits and the need for such material in sufficient quantities for construction purposes, the LP Viggo pit shell was selected at a price factor just above US$1,500/oz to increase the NPAG rock yield and the quantity of mineralized material in the LOM plan. As scheduled, the LP Viggo Pit will be excavated in approximately two years and will capture over 5 Mt of NPAG waste rock.

 

·In the opinion of the QPs, the current open pit and underground designs and LOM plans are reasonable for a PEA stage of study and will benefit from more technical data collection and testing to confirm design inputs, additional drilling to upgrade resources into higher confidence categories, and mine optimization activities.

 

25.4Metallurgical Testing and Mineral Processing

 

·In comparison to the SGS hardness database, Hinge and Limb samples are hard materials whereas the LP mineralization falls in the range of moderately soft materials. Based on extended gravity recoverable gold (E-GRG) testing, the Project’s mineralization is amenable to industrial gravity separation processing.

 

·Flotation tests for sulphur and sulphide removal yielded positive results, removing an average of 88% of the total sulphur and 91% of the total sulphides from the final tailings. The final tailings sulphur and sulphide grades were less than 0.2% and 0.1%, respectively.

 

·The anticipated LOM gold recovery for the Project is approximately 95.7%.

 

·As of the effective date of this Technical Report, the QP is not aware of any processing factors or deleterious elements that could have a significant effect on potential economic extraction.

 

25.5Infrastructure and Tailings Management

 

·There is expected to be insufficient power available for production from the Hydro One grid between the time the exploration phase of the Project is complete and when grid infrastructure upgrades by Hydro One are completed. Other sources of power will be needed in the interim to meet the needs of the Project (the Bridging Period). During the Bridging Period, the total power requirement for the Project will be approximately 30 MW. Of this, approximately 17 MW will be self generated on site by a natural gas (NG) line fuel source, while the existing Hydro One overhead transmission line is expected to contribute approximately 13 MW.

 

·Where possible, to improve the overall water use efficiency and minimize river water taking, the Project contemplates industrial water use plus water from the Chukuni River to satisfy process and potable water requirements.

 

·Soft foundation conditions exist in the vicinity of several tailings containment and water control dams. Assumptions have been adopted for the conceptual design of this infrastructure and additional geotechnical studies are ongoing to optimize the design work and further mitigate geotechnical risks.

 

Page 386

 

 

 

Kinross Gold Corporation

Great Bear Gold Project

Ontario, Canada

NI 43-101 Technical Report

 

·A critical assumption in the Project’s water management plan is that the LP Viggo Pit will be mined out by the start of process plant production. This milestone will allow NPAG rock mined and stockpiled from the LP Viggo Pit to be used in the majority of the Project’s construction activities and allow for contact water and sulphide concentrate tailings to be managed within the mined-out LP Viggo Pit.

 

25.6Environment, Permitting, and Social Aspects

 

·Pre-acquisition, Great Bear initiated multi-disciplinary baseline studies in 2021 and these studies are ongoing.

 

·The Project will require an impact assessment (IA) under the Impact Assessment Act and an Impact Statement is currently in preparation, with the plan to submit to the Impact Assessment Agency of Canada (IAAC).

 

·Lac Seul First Nation and Wabauskang First Nation have indicated an interest in completing an Anishinaabe-led Impact Assessment. Discussions are underway to determine the most efficient manner of integrating information across the Federal and Anishinaabe-led processes that are anticipated to proceed in parallel.

 

·A Ministry of Natural Resources and Forestry Class EA may be required for Resource Stewardship and Facility Development Projects; this will be confirmed through discussions with the Provincial regulator. A cooperation agreement is in place between the Province of Ontario and Government of Canada which will facilitate coordination to reduce duplication of effort in the IA and Class EA processes if needed.

 

·The Project will require several Provincial and Federal environmental approvals in addition to the IA and EA mentioned above.

 

·Kinross has been actively engaging with Indigenous communities and organizations including Lac Seul First Nation, Wabauskang First Nation, Asubpeeschoseewagong Netum Anishinabek (ANA), Grassy Narrows First Nation, and Métis Nations of Ontario / Northwest Métis Council (Region 1). These are the same communities listed in the IAAC draft Indigenous Engagement and Partnership Plan.

 

·Comprehensive geochemical studies for the Project are ongoing. This includes metal leaching and acid rock drainage (ML/ARD) assessment for all Project geologic materials including rock, tailings, and soils (overburden). The Project design considers the results of the test work to date, and includes but is not limited to, the collection of contact waters for management and treatment as needed. Another key management measure is that potentially acid generating tailings will be stored permanently in the mined-out LP Viggo Pit under a water cover to prevent oxidation.

 

·Water management planning is underway, and the Project has a conceptual plan for managing contact and non-contact water including additional treatment as appropriate.

 

Page 387

 

 

Kinross Gold Corporation

Great Bear Gold Project

Ontario, Canada

NI 43-101 Technical Report

 

·A Certified Closure Plan will be prepared for the Project in parallel with other approval processes for the Project as information is updated or becomes available. A conceptual closure plan and cost estimate were developed for the Project.

 

Page 388

 

 

Kinross Gold Corporation

Great Bear Gold Project

Ontario, Canada

NI 43-101 Technical Report

 

26.Recommendations

 

Based on the information presented in this Technical Report and the results of ongoing work on the Project, the QPs offer the following recommendations on the Project by area:

 

26.1Overall Project Development

 

1.Study the Project with engineering partners and advance the Project through Kinross’ internal stage-gating process in support of permitting and Project development.

 

2.The LP, Hinge, and Limb zones continue to warrant follow-up drilling to:

 

i.improve the understanding of the extent of the deposits along strike and at depth.

 

ii.complete in-fill and definition drilling in support of upgrading resources into higher confidence categories, inform Mineral Reserve estimation, and help optimize mine designs, short and mid-range mine planning, and the Project’s LOM plan.

 

3.Concurrent with drilling programs, continue specific technical studies for the Project, including more advanced density, geotechnical, hydrogeologic, hydrologic, and metallurgical test work programs and environmental baseline studies to inform:

 

i.wet and dry overburden and rock quantity estimates.

 

ii.the ground and water conditions that are likely to be encountered during construction and operations.

 

iii.the optimal site layout and infrastructure designs for a combined open pit and underground operation.

 

iv.the expected metallurgical performance over the Project’s LOM.

 

v.permitting, closure, and related environmental, social, and governance (ESG) activities.

 

4.Execute the AEX program, which includes the establishment of an underground decline and underground mine development to facilitate exploration drilling from underground, test the depth of the deposits, as well as better define the deposits for more advanced Project planning and engineering work.

 

Page 389

 

 

Kinross Gold Corporation

Great Bear Gold Project

Ontario, Canada

NI 43-101 Technical Report

 

26.2Geology and Mineral Resources

 

1.Continue updating geological mapping and geological models through further data collection and analysis programs.

 

2.Specific exploration recommendations for 2024 and beyond include continued diamond drilling for the purposes of:

 

i.Following down plunge extensions of mineralization in the LP Discovery, LP Central, and LP Viggo areas of the LP Zone and using directional drilling to optimize intercepts when testing targets below 1,000 m vertically below surface.

 

ii.Using directional drilling to test for depth extents on the steeply dipping Hinge and Limb zones.

 

iii.Continuing to follow up on surface geophysics targets that indicate complex folding in and around the Hinge and Limb deposit areas, testing along strike of the LP Zone beyond known mineralization at LP Discovery and LP Viggo, and testing the ground acquired in 2023 that extended the southern property boundary.

 

iv.Upgrading Inferred and Indicated Mineral Resources to higher confidence resource categories to inform advanced technical studies and support the preparation and disclosure of Mineral Reserve estimates.

 

26.3Mine Design and Mining Methods

 

1.Complete geotechnical work including 3D numerical stress modelling and related assessments to continue to optimize mine designs and mining sequences, refine external dilution assumptions, evaluate crown pillar dimensions, and confirm the siting of key infrastructure and fixed facilities.

 

2.Update and calibrate the groundwater model using the actual responses of the groundwater system to the AEX ramp development and additional data obtained from the drilling information.

 

3.Further optimize the transition and production ramp-up from the open pit and underground mines by including the latest Mineral Resource data and cost estimates.

 

4.Update open pit and underground mining equipment fleet selections and confirm the inputs and assumptions used to determine the underground haul truck fleet requirements.

 

Page 390

 

 

Kinross Gold Corporation

Great Bear Gold Project

Ontario, Canada

NI 43-101 Technical Report

 

26.4Metallurgical Testing and Mineral Processing

 

1.Complete additional geometallurgical variability test work to better understand the expected variability of process plant feed and operating costs over the LOM.

 

2.Additional variability testing should include, at a minimum, crusher work index, SAG mill comminution, Bond ball mill work index, Bond abrasion index, gravity separation tests, and cyanide leaching of gravity tailings. Other variability test work that should be considered may include settling tests (leach feed, leach tails, and flotation tails), cyanide destruction tests, flotation tailings acid generation tests, and tailings rheology tests.

 

3.Evaluate the effect of chemical and mineralogical differences between the different zones in more detail; specifically, this will require more samples from the Hinge and Limb zones to be tested so that the metallurgical response of these zones can be adequately assessed and compared to the LP Zone.

 

4.Conduct carbon adsorption modelling to confirm the necessary retention time of leach slurry in the carbon adsorption circuit.

 

26.5Infrastructure and Tailings Management

 

1.Complete more extensive geotechnical test work across the Project area on both overburden and bedrock materials, incorporating geophysics, drilling, and laboratory testing.

 

2.Complete an advanced evaluation of tailings desulphurization options/ technologies to confirm that the planned tailings desulphurization step will sufficiently improve tailings geochemical properties (i.e., acid generating and metal leaching potential), will validate the assumed geochemical assumptions, and effectively mitigate closure liabilities and closure costs.

 

3.Update freshwater pipeline and related infrastructure designs and cost estimates for freshwater abstraction from the Chukuni River.

 

4.Advance geotechnical and hydrogeological investigations adjacent to and along the proposed alignment of the TMF Pond Dam to support detailed design of the seepage cut-off measures and the modelling of groundwater seepage and groundwater capture.

 

26.6Environment, Permitting, and Social Aspects

 

1.Continue baseline and other environmental studies for input into permitting and engineering studies.

 

Page 391

 

 

Kinross Gold Corporation

Great Bear Gold Project

Ontario, Canada

NI 43-101 Technical Report

  

2.Continue the geochemical studies currently underway to confirm the current understanding of potential acid generating material and how these will be managed.

 

3.Continue to advance the Impact Statement process and environmental permitting.

 

4.Continue to build relationships with local communities and Indigenous Nations, as well as support the Anishinaabe-led Impact Assessment.

 

26.7Proposed Program and Budget

 

Table 26-1 summarizes preliminary budget estimates for carrying out several of the aforementioned recommendations. The recommendation activities proposed below will be developed in a phased approach. The continued progress of Advanced Exploration is the highest priority item.

 

Table 26-1: Preliminary budget for recommended actions

 

Activity  Detail  Estimated Cost
(US$ thousands)
 
Advanced exploration  Execute AEX program on surface and underground including 116,000 m of underground in-fill drilling and assaying   284,000 
Subtotal Advanced Exploration      284,000 
         
Surface in-fill and reverse circulation drilling  150,000 m @ US$173/m   26,000 
Subtotal Surface Exploration      26,000 
         
Geotechnical studies  Including soils geotechnical drilling   4,000 
Metallurgical test work      1,000 
Environmental baseline and permitting  Federal and Provincial permitting   9,200 
Engineering studies  Continued studies and engineering including project team   17,400 
Contingency      2,400 
Subtotal Engineering & Permitting      34,000 
         
Total      344,000 

 

Notes: Totals may not sum due to rounding.

 

Page 392

 

 

Kinross Gold Corporation

Great Bear Gold Project

Ontario, Canada

NI 43-101 Technical Report

 

27.References

 

Adamova, A., 2021. Technical Report on the Dixie Property, Red Lake, Ontario, a report prepared for Great Bear Resources Ltd., with an effective date of January 1, 2020, amended on April 6, 2021.

 

Armstrong B., Kolb, M., Hmidi, N., 2018. Red Lake Operations Ontario, Canada NI 43-101 Technical Report (published on SEDAR).

 

Atkinson B.T., Parker J.R., and Storey C.C., 1990. Red Lake Resident Geologist’s District—1989; in Report of Activities 1991, Resident Geologists, Ontario Geological Survey, Miscellaneous Paper 147, pp. 41-68.

 

Canadian Institute of Mining, Metallurgy and Petroleum (CIM). 2014. CIM Definition Standards for Mineral Resources and Mineral Reserves, adopted by the CIM Council on May 10, 2014.

 

CIM. 2019. CIM Estimation of Mineral Resources & Mineral Reserves Best Practice Guidelines, adopted by the CIM Council on November 29, 2019.

 

Crown-Indigenous Relations and Northern Affairs Canada (CIRNAC). 2023a. Registered Population - Lac Seul First Nation. Retrieved February 10, 2023 from https://fnp-ppn.aadnc-aandc.gc.ca/fnp/Main/Search/FNRegPopulation.aspx?BAND_NUMBER=205&lang=eng.

 

Crown-Indigenous Relations and Northern Affairs Canada (CIRNAC). 2023b. First Nation Profiles - Wabauskang First Nation. Retrieved February 10, 2023 from https://fnp-ppn.aadnc-aandc.gc.ca/fnp/Main/Search/FNRegPopulation.aspx?BAND_NUMBER=156&lang=eng.

 

Crown-Indigenous Relations and Northern Affairs Canada (CIRNAC). 2023c. First Nation Profiles - Grassy Narrows First Nation. Retrieved February 10, 2023 from https://fnp-ppn.aadnc-aandc.gc.ca/fnp/Main/Search/FNRegPopulation.aspx?BAND_NUMBER=149&lang=eng.

 

Dube et al., 2003a. Geology of the Archean Goldcorp High-Grade Zone, Red Lake Mine, Ontario: implications for exploration and potential analogy with the Timmins camp; Abstract: CIMM Mining Industry Conference; Montreal 2003.

 

Page 393

 

 

Kinross Gold Corporation

Great Bear Gold Project

Ontario, Canada

NI 43-101 Technical Report

 

Dube et al., 2003b. Gold mineralization within the Red Lake mine trend: example from the Cochenour-Willians mine area, Red Lake, Ontario, with new key information from the Red Lake mine and potential analogy with the Timmins camp; Geological Survey of Canada Current Research, 2003C-21, 15 p.

 

Ford, M.J., 1982. Quaternary Geology of the Pakwash Area, Kenora District (Patricia Portion): Ontario Geological Survey, Map P.2572, Geological Series-Preliminary Map, Scale 1:50,000. Geology 1981.

 

Janzen, J.M. 1989. Report on the 1989 Exploration Program on the Dixie Lake Property Red Lake, Ontario. Teck Exploration Ltd. Report NB1102.

 

Kinross Gold Corporation, 2023. Great Bear Gold Project, Ontario, Canada. National Instrument 43-101 Technical Report. Effective date: December 31, 2022. Issue Date: February 13, 2023.

 

Lambert, M B; Burbidge, G; Jefferson, C W; Beaumont-smith, C; Lustwerk, R., 1990. Stratigraphy, Facies and Structure in Volcanic and Sedimentary Rocks of the Archean Back River Volcanic Complex, N.W.T. Current Research, Part C, Geological Survey of Canada, Paper 90-IC: 151–165.

 

Lee, C., 2006. Independent Technical Report on the Dixie Lake Project, Red Lake, Ontario. Fronteer Development Group 43-101 report prepared by SRK (published on SEDAR).

 

Northern Bioscience. 2023a. Great Bear Project DRAFT Preliminary Terrestrial Baseline Report.

 

Northern Bioscience. 2023b. Personal communication, Rob Foster regarding Great Bear Project terrestrial baseline work in progress.

 

Northwest Archaeological Assessments. 2023. Stage 1 Archaeological Assessment, Proposed Kinross Gold Corporation Dixie Lake Mining Property, Unorganized Territory, District of Kenora.

 

Parker, J.R. 1999. Exploration potential for volcanogenic massive sulphide deposits (VMS) in the Red Lake greenstone belt; in Summary of Field Work and Other Activities, Ontario Geological Survey, Open File Report 6000, pp.19-1 to 19-24.

 

Prest, V. K., 1982. Quaternary Geology of the Madsen Area, Kenora District (Patricia Portion): Ontario Geological Survey, Map P.2484, Geological Series-Preliminary Map, Scale 1:50,000. Geology 1978, 1979, 1980.

 

Page 394

 

 

Kinross Gold Corporation

Great Bear Gold Project

Ontario, Canada

NI 43-101 Technical Report

 

Read, J., and Stacey, P., 2009. Guidelines for open pit slope design. CSIRO, a Balkema Book, 496p.

 

Ross, K., 2004. Petrographic Report of Five Samples from the Dixie Lake Project, Red Lake District, Ontario. Panterra Geoservices Inc. Unpublished.

 

Ross, K., 2018. Petrographic Report on the Dixie Gold Project, Red Lake District, Ontario. Panterra Geoservices Inc. Unpublished.

 

Ross, K., 2019. Petrographic Report on the Dixie Gold Project, Red Lake District, Ontario. Panterra Geoservices Inc. Unpublished.

 

Ross, K., 2020. Petrographic Report on the Dixie Gold Project, Red Lake District, Ontario. Panterra Geoservices Inc. Unpublished.

 

Sanborn-Barrie, M., Skulski, T., and Parker, J., and Dube, B., 2000. Integrated regional analysis of the Red Lake greenstone belt and its mineral deposits, western Superior Province, Ontario; Geological Survey of Canada, Current Research 2001-C18, 16 p.

 

Sanborn-Barrie, M., Skulski, T., and Parker, J., 2001. Three hundred million years of tectonic history recorded in the Red Lake greenstone belt, Ontario; Geological Survey of Canada, Current Research 2001-C19, 29 p.

 

Sanborn-Barrie, M., Rogers, N., Skulski, T., Parker, J., McNicoll, V., and Devaney, J., 2004a. Geology and Tectonostratigraphic Assemblages, East Uchi Subprovince, Red Lake and Birch-Uchi belts, Ontario; Geological Survey of Canada, open File 4256; Ontario Geological Survey, Preliminary Map P. 3460, scale 1:250,000.

 

Sanborn-Barrie, M., Skulski, T., and Parker, J., 2004b. Geology, Red Lake greenstone belt, western Superior Province, Ontario, 1:50,000 map sheet; Geological Survey of Canada Open File 4594.

 

Sharpe, D.R., and Russell, H.A.J., 1996. Quaternary Geology of the Red Lake / Confederation Lake Area. Geological Survey of Canada, Open File 2876. Map scale 1:100,000.

 

Smith and Sanabria, 2012. 2011 Technical Drilling Report on the Griffith Iron Project. Northern Iron Corporation. Published as an assessment report, 2012.

 

SRK, 2024. Great Bear Structural Study, Geological Observations and 3D Geological Modelling. SRK Consulting Ltd. Unpublished.

 

Page 395

 

 

Kinross Gold Corporation

Great Bear Gold Project

Ontario, Canada

NI 43-101 Technical Report

 

Statistics Canada. 2023. Census Profile - District of Kenora, Wabauskang 21, Lac Seul 28, English River 21, Red Lake, and Ear Falls. Retrieved 2022 from https://www12.statcan.gc.ca/census-recensement/2021.

 

Stott, G.M., and Corfu, F., 1991. Uchi Sub-province, in Geology of Ontario, Ontario Geological Survey, Special Volume 4, Pt. 1, pp. 145-236, ed. Thurston P. C. et al.

 

Sylvester, P. J.; Harper, G. D.; Byerly, G. R.; Thurston, P. C., 1997. Volcanic Aspects. In De Wit, Maarten J.; Ashwal, Lewis D. (eds.). Greenstone belts. Oxford: Clarendon Press. pp. 55–90.

 

Thompson P., 2003. Toward a new metamorphic framework for gold exploration in the Red Lake greenstone belt. Ontario Geological Survey Open File report 6122, 51 p.

 

Thurston, P.C., Osmani, I.A., and Stone, D., 1991. Northwestern Superior Province: Review and terrane analysis; in Geology of Ontario, Ontario Geological Survey, Special Volume 4, Part 1, pp. 81-144.

 

Wood. 2023. Personal communication, Carlos Yoong regarding Great Bear Project sound and vibration baseline work in progress.

 

WSP Canada Inc., 2013. Tailings - Initial Humidity Cell Results, Great Bear Project, December 2023.

 

Zeng F. and Calvert, A.J., 2006. Imaging the upper part of the Red Lake greenstone belt. Northwestern Ontario, with 3D traveltime tomography. Canadian Journal of Earth Sciences 43 (7), pp. 849-863.

 

Page 396

 

 

Kinross Gold Corporation

Great Bear Gold Project

Ontario, Canada

NI 43-101 Technical Report

 

28.Date and Signature Page

 

This Technical Report entitled “Great Bear Gold Project Ontario, Canada - Voluntary National Instrument 43-101 Technical Report” with an effective date of September 1, 2024 was prepared by the following authors:

 

(Signed and Sealed) Nicos Pfeiffer

 

Nicos Pfeiffer, P.Geo.
Vice President, Geology & Technical Evaluations
September 10, 2024

 

(Signed and Sealed) Graham Long

 

Graham Long, P.Geo.
Vice President, Exploration
September 10, 2024

 

(Signed and Sealed) Yves Breau

 

Yves Breau, P.Eng.
Vice President, Metallurgy & Engineering
September 10, 2024

 

(Signed and Sealed) Agung Prawasono

 

Agung Prawasono, P.Eng.
Senior Director, Mine Planning
September 10, 2024

 

(Signed and Sealed) Arkadius Tarigan

 

Arkadius Tarigan, P.Eng.
Senior Director, Underground Mining
September 10, 2024

 

Page 397

 

 

Kinross Gold Corporation

Great Bear Gold Project

Ontario, Canada

NI 43-101 Technical Report

 

(Signed and Sealed) Jerry Ran

 

Jerry Ran, P.Eng.
Director, Geotechnical
September 10, 2024

 

(Signed and Sealed) Kevin van Warmerdam

 

Kevin van Warmerdam, P.Eng.
Senior Director, Engineering
September 10, 2024

 

(Signed and Sealed) Dennis Renda

 

Dennis Renda, P.Eng.
Principal Geotechnical Engineer
WSP Canada Inc.
September 10, 2024

 

(Signed and Sealed) Sheila Daniel

 

Sheila Daniel, P.Geo.
Geoscientist Fellow
Mining Environmental Approvals Team Lead
WSP Canada Inc.
September 10, 2024

 

(Signed and Sealed) Simon Gautrey

 

Simon Gautrey, P.Geo.
Hydrogeologist Fellow and Mining Hydrogeology Lead
WSP Canada Inc.
September 10, 2024

 

Page 398

 

 

Kinross Gold Corporation

Great Bear Gold Project

Ontario, Canada

NI 43-101 Technical Report

 

29.Certificate of Qualified Person

 

29.1Nicos Pfeiffer

 

I, Nicos Pfeiffer, P.Geo., as an author of this report entitled “Great Bear Gold Project Ontario, Canada - Voluntary National Instrument 43-101 Technical Report” with an effective date of September 1, 2024, prepared for Kinross Gold Corporation, do hereby certify that:

 

1)I am Vice President, Geology & Technical Evaluations and Company QP with Kinross Gold Corp. of 25 York Street, 17th floor Toronto On.

 

2)I am a graduate of Carleton University, Ottawa, Ontario in 2009 with an Honours B.Sc. Earth Science.

 

3)I am registered as a Professional Geologist in the Province of Ontario (Reg# 2354). I have over 15 years of mining industry experience. My relevant experience for the purpose of the Technical Report is:

 

·Domestic and international experience in both underground and open pit operational geology roles as well as exploration and resource estimation.

 

·Experience leading multi-disciplinary technical teams in both a corporate and operational capacity.

 

4)I have read the definition of "qualified person" set out in National Instrument 43-101 (NI 43-101) and certify that by reason of my education, affiliation with a professional association (as defined in NI 43-101) and past relevant work experience, I fulfill the requirements to be a "qualified person" for the purposes of NI 43-101.

 

5)I last visited the Great Bear Project on July 17, 2024.

 

6)I am responsible for overall preparation of the Technical Report, in particular, Sections 2 to 5, 14, 15, 19, 23, 24, and related disclosure in Sections 1, 25, 26, and 27.

 

7)I am not independent of the Issuer applying the test set out in Section 1.5 of NI 43-101.

 

8)I have had prior involvement with the property that is the subject of the Technical Report.

 

9)I have read NI 43-101, and the Technical Report has been prepared in compliance with NI 43-101 and Form 43-101F1.

 

Page 399

 

 

Kinross Gold Corporation

Great Bear Gold Project

Ontario, Canada

NI 43-101 Technical Report

 

10)At the effective date of the Technical Report, to the best of my knowledge, information, and belief, the Technical Report for which I am responsible contains all scientific and technical information that is required to be disclosed to make the Technical Report not misleading.

 

Dated this 10th day of September, 2024

 

(Signed and Sealed) Nicos Pfeiffer

 

Nicos Pfeiffer, P.Geo.

 

Page 400

 

 

Kinross Gold Corporation

Great Bear Gold Project

Ontario, Canada

NI 43-101 Technical Report

 

29.2Graham Long

 

I, Graham Long, P.Geo., as an author of this report entitled “Great Bear Gold Project Ontario, Canada - Voluntary National Instrument 43-101 Technical Report” with an effective date of September 1, 2024, prepared for Kinross Gold Corporation, do hereby certify that:

 

1)I am Vice President, Exploration with Kinross Gold Corp. of 25 York Street, Toronto ON.

 

2)I am a graduate of Concordia University, Montréal, Québec, in 1988 with a B.Sc. Specialization in Geology.

 

3)I have over 36 years of mining exploration experience. My experience covers both domestic and international work in exploring for orebodies from surface and underground. I have experience in both open pit and underground mining.

 

4)I have read the definition of "qualified person" set out in National Instrument 43-101 (NI 43-101) and certify that by reason of my education, affiliation with a professional association (as defined in NI 43-101) and past relevant work experience, I fulfill the requirements to be a "qualified person" for the purposes of NI 43-101.

 

5)I last visited the Great Bear Project on December 6-7, 2023.

 

6)I am responsible for Sections 6 to 12 and related disclosure in Sections 1, 25, 26, and 27 of the Technical Report.

 

7)I am not independent of the Issuer applying the test set out in Section 1.5 of NI 43-101.

 

8)I have had prior involvement with the property that is the subject of the Technical Report.

 

9)I have read NI 43-101, and the Technical Report has been prepared in compliance with NI 43-101 and Form 43-101F1.

 

10)At the effective date of the Technical Report, to the best of my knowledge, information, and belief, the sections of the Technical Report for which I am responsible contain all scientific and technical information that is required to be disclosed to make the Technical Report not misleading.

 

Dated this 10th day of September, 2024

 

(Signed and Sealed) Graham Long

 

Graham Long, P.Geo.

 

Page 401

 

 

Kinross Gold Corporation

Great Bear Gold Project

Ontario, Canada

NI 43-101 Technical Report

 

29.3Yves Breau

 

I, Yves Breau, P.Eng., as an author of this report entitled “Great Bear Gold Project Ontario, Canada - Voluntary National Instrument 43-101 Technical Report” with an effective date of September 1, 2024, prepared for Kinross Gold Corporation, do hereby certify that:

 

1)I am Vice President, Metallurgy & Engineering with Kinross Gold Corporation, of 25 York Street, 17th Floor, Toronto, Ontario, M5J 2V5.

 

2)I am a graduate of University of Laval, Québec City in 1997 with a B.Sc. in Materials and Metallurgy Engineering.

 

3)I am registered as a Professional Engineer in the Province of Ontario (Reg.# 100194755). I have worked as an engineer for a total of 26 years since my graduation. My relevant experience for the purpose of the Technical Report is:

 

·My work experience has included multiple operations roles from metallurgist to process manager and multiple mining company corporate roles from manager to Vice-President.

 

·In my roles in operations and corporate, I have completed many studies related to gold mineral processing.

 

4)I have read the definition of “qualified person” set out in National Instrument 43-101 (NI 43-101) and certify that by reason of my education, affiliation with a professional association (as defined in NI 43-101) and past relevant work experience, I fulfill the requirements to be a “qualified person” for the purposes of NI 43-101.

 

5)I visited the Great Bear Project on July 24 to 25, 2024.

 

6)I am responsible for Sections 13, 17, the portion of Section 18 that covers backfill plant, the portion of Section 21 that covers processing operating costs, and related disclosure in Sections 1, 25, 26, and 27 of the Technical Report.

 

7)I am not independent of the Issuer applying the test set out in Section 1.5 of NI 43-101.

 

8)I have had prior involvement with the property that is the subject of the Technical Report.

 

9)I have read NI 43-101, and the Technical Report has been prepared in compliance with NI 43-101 and Form 43-101F1.

 

 

Page 402

 

 

Kinross Gold Corporation

Great Bear Gold Project

Ontario, Canada

NI 43-101 Technical Report

 

10)At the effective date of the Technical Report, to the best of my knowledge, information, and belief, the sections of the Technical Report for which I am responsible contain all scientific and technical information that is required to be disclosed to make the Technical Report not misleading.

 

Dated this 10th day of September, 2024

 

(Signed and Sealed) Yves Breau

 

Yves Breau, P.Eng.

 

Page 403

 

 

Kinross Gold Corporation

Great Bear Gold Project

Ontario, Canada

NI 43-101 Technical Report

 

29.4Agung Prawasono

 

I, Agung Prawasono, P.Eng., PMP, as an author of this report entitled “Great Bear Gold Project Ontario, Canada - Voluntary National Instrument 43-101 Technical Report” with an effective date of September 1, 2024, prepared for Kinross Gold Corporation, do hereby certify that:

 

1)I am a Senior Director, Mine Planning with Kinross Gold Corporation, of 25 York Street, 17th Floor, Toronto, Ontario M5J 2V5.

 

2)I am a graduate of UPN “Veteran” Yogyakarta, Indonesia in 1999 with a Bachelor of Engineering Degree in Mining Engineering program.

 

3)I am registered as a Professional Engineer in the Province of Ontario (Reg.#100533117). I have worked as a mining engineer for a total of 25 years since my graduation. My relevant experience for the purpose of the Technical Report is 25 years’ experience in resource optimization related works that includes mine designs and mine planning for precious and base metal operations and projects in Indonesia, India, Africa, North America and South America.

 

4)I have read the definition of “qualified person” set out in National Instrument 43-101 (NI 43-101) and certify that by reason of my education, affiliation with a professional association (as defined in NI 43-101) and past relevant work experience, I fulfill the requirements to be a “qualified person” for the purposes of NI 43-101.

 

5)I visited the Great Bear Project on August 20 to 21, 2024.

 

6)I am responsible for portions of Section 16 that cover the open pit mining method and open pit LOM plan, portions of Section 21 that cover open pit mining capital and operating costs, and related disclosure in Sections 1, 25, 26, and 27 of the Technical Report.

 

7)I am not independent of the Issuer applying the test set out in Section 1.5 of NI 43-101.

 

8)I have been actively involved since February of 2022 on the project that is the subject of the Technical Report.

 

9)I have read NI 43-101, and the Technical Report has been prepared in compliance with NI 43-101 and Form 43-101F1.

 

10)At the effective date of the Technical Report, to the best of my knowledge, information, and belief, the sections of the Technical Report for which I am responsible contain all scientific and technical information that is required to be disclosed to make the Technical Report not misleading.

 

Page 404

 

 

Kinross Gold Corporation

Great Bear Gold Project

Ontario, Canada

NI 43-101 Technical Report

 

Dated this 10th day of September, 2024

 

(Signed and Sealed) Agung Prawasono

 

Agung Prawasono, P.Eng., PMP

 

Page 405

 

 

Kinross Gold Corporation

Great Bear Gold Project

Ontario, Canada

NI 43-101 Technical Report

 

29.5Arkadius Tarigan

 

Arkadius Tarigan, P.Eng., as an author of this report entitled “Great Bear Gold Project Ontario, Canada - Voluntary National Instrument 43-101 Technical Report” with an effective date of September 1, 2024, prepared for Kinross Gold Corporation, do hereby certify that:

 

1)I am a Senior Director, Underground Mining with Kinross Gold Corporation, of 25 York Street, 17th Floor, Toronto, Ontario, M5J 2V5.

 

2)I am a graduate of UPN “Veteran” Yogyakarta in 1998 with BSc. degree in Mining Engineering and University of Utah, Salt Lake City in 2006 with an MSc. degree in Mining Engineering.

 

3)I am registered as a Professional Engineer in the Province of Ontario (Reg.# 100526678). I have worked as an engineer for a total of 22 years since my graduation. My relevant experience for the purpose of the Technical Report is:

 

·Experience in Mineral Reserves estimation and Mine Planning for multiple underground mines/projects and mining methods.

 

·Experience as a study manager and mining lead for various underground mine studies at various stages and experience in leading multi-disciplinary technical and operational teams at site for underground projects’ execution.

 

4)I have read the definition of “qualified person” set out in National Instrument 43-101 (NI 43-101) and certify that by reason of my education, affiliation with a professional association (as defined in NI 43-101) and past relevant work experience, I fulfill the requirements to be a “qualified person” for the purposes of NI 43-101.

 

5)I visited the Great Bear Project on July 24-25, 2024.

 

1)I am responsible for portions of Section 16 that cover the underground mining method and underground LOM plan, portions of Section 21 that cover underground mining capital and operating costs, and related disclosure in Sections 1, 25, 26, and 27 of the Technical Report.

 

6)I am not independent of the Issuer applying the test set out in Section 1.5 of NI 43-101.

 

7)I have had prior involvement with the property that is the subject of the Technical Report.

 

8)I have read NI 43-101, and the Technical Report has been prepared in compliance with NI 43-101 and Form 43-101F1.

 

Page 406

 

 

Kinross Gold Corporation

Great Bear Gold Project

Ontario, Canada

NI 43-101 Technical Report

 

9)At the effective date of the Technical Report, to the best of my knowledge, information, and belief, the sections of the Technical Report for which I am responsible contain all scientific and technical information that is required to be disclosed to make the Technical Report not misleading.

 

Dated this 10th day of September, 2024

 

(Signed and Sealed) Arkadius Tarigan

 

Arkadius Tarigan, P.Eng.

 

Page 407

 

 

Kinross Gold Corporation

Great Bear Gold Project

Ontario, Canada

NI 43-101 Technical Report

 

29.6Jerry Ran

 

I, Jerry Ran, P.Eng., as an author of this report entitled “Great Bear Gold Project Ontario, Canada - Voluntary National Instrument 43-101 Technical Report” with an effective date of September 1, 2024, prepared for Kinross Gold Corporation, do hereby certify that:

 

1)I am Director, Geotechnical with Kinross Gold Corporation, of 25 York Street, 17th Floor, Toronto, Ontario, M5J 2V5.

 

2)I am a graduate of the Northeastern University, China in 1982 with a B.Sc. degree in Mining Engineering.

 

3)I am registered as a Professional Engineer in the Province of Ontario (Reg.# 100046725). I have worked as a registered engineer for a total of 25 years since my graduation. My relevant experience for the purpose of the Technical Report is:

 

·Application of geomechanics to design of open pit slopes and underground mine excavations

 

·Collection and analysis of geomechanical data for open-pit and underground mine design

 

4)I have read the definition of “qualified person” set out in National Instrument 43-101 (NI 43-101) and certify that by reason of my education, affiliation with a professional association (as defined in NI 43-101) and past relevant work experience, I fulfill the requirements to be a “qualified person” for the purposes of NI 43-101.

 

5)I visited the Great Bear Project on July 23-25, 2024.

 

6)I am responsible for the portion of Section 16 that covers Geomechanics and related disclosure in Sections 1, 25, 26, and 27 of the Technical Report.

 

7)I am not independent of the Issuer applying the test set out in Section 1.5 of NI 43-101.

 

8)I have had prior involvement with the property that is the subject of the Technical Report.

 

9)I have read NI 43-101, and the Technical Report has been prepared in compliance with NI 43-101 and Form 43-101F1.

 

10)At the effective date of the Technical Report, to the best of my knowledge, information, and belief, the sections of the Technical Report for which I am responsible contain all scientific and technical information that is required to be disclosed to make the Technical Report not misleading.

 

Page 408

 

 

Kinross Gold Corporation

Great Bear Gold Project

Ontario, Canada

NI 43-101 Technical Report

 

Dated this 10th day of September, 2024

 

(Signed and Sealed) Jerry Ran

 

Jerry Ran, P.Eng.

 

Page 409

 

 

Kinross Gold Corporation

Great Bear Gold Project

Ontario, Canada

NI 43-101 Technical Report

 

29.7Kevin van Warmerdam

 

I, Kevin van Warmerdam, P.Eng., as an author of this report entitled “Great Bear Gold Project Ontario, Canada - Voluntary National Instrument 43-101 Technical Report” with an effective date of September 1, 2024, prepared for Kinross Gold Corporation, do hereby certify that:

 

1)I am Senior Director, Engineering with Kinross Gold Corporation, of 25 York Street, 17th Floor, Toronto, Ontario, M5J 2V5.

 

2)I am a graduate of Queen’s University, Kingston, Ontario in 2008 with a B.A.Sc. degree in Mechanical Engineering. I am a graduate of the Schulich School of Business, Toronto, Ontario in 2016 with an MBA.

 

3)I am registered as a Professional Engineer in the Province of Ontario (Reg.# 100133956). I have worked as an engineer for a total of 16 years since my graduation. My relevant experience for the purpose of the Technical Report is:

 

·My work experience has included involvement in and leadership of many gold projects ranging from early-stage studies to detailed execution including detailed design, construction, commissioning, and ramp-up.

 

·I have developed and owned detailed financial models for gold project valuations as well as led or peer reviewed project economic analysis work by others.

 

4)I have read the definition of “qualified person” set out in National Instrument 43-101 (NI 43-101) and certify that by reason of my education, affiliation with a professional association (as defined in NI 43-101) and past relevant work experience, I fulfill the requirements to be a “qualified person” for the purposes of NI 43-101.

 

5)I visited the Great Bear Project on July 24 to 25, 2024.

 

6)I am responsible for Sections 18.1 Roads, 18.2 Utilities, 18.3 Fuel Facilities, 18.4 Buildings (except paste backfill plant), 21 (plant, site infrastructure, G&A, sustaining capital costs), 22, and related disclosure in Sections 1, 25, 26, and 27 of the Technical Report.

 

7)I am not independent of the Issuer applying the test set out in Section 1.5 of NI 43-101.

 

8)I have had prior involvement with the property that is the subject of the Technical Report.

 

9)I have read NI 43-101, and the Technical Report has been prepared in compliance with NI 43-101 and Form 43-101F1.

 

Page 410

 

 

Kinross Gold Corporation

Great Bear Gold Project

Ontario, Canada

NI 43-101 Technical Report

 

10)At the effective date of the Technical Report, to the best of my knowledge, information, and belief, the sections of the Technical Report for which I am responsible contains all scientific and technical information that is required to be disclosed to make the Technical Report not misleading.

 

Dated this 10th day of September, 2024

 

(Signed and Sealed) Kevin van Warmerdam

 

Kevin van Warmerdam, P.Eng,

 

Page 411

 

 

Kinross Gold Corporation

Great Bear Gold Project

Ontario, Canada

NI 43-101 Technical Report

 

29.8Dennis Renda

 

I, Dennis Renda, P.Eng., as an author of this report entitled “Great Bear Gold Project Ontario, Canada - Voluntary National Instrument 43-101 Technical Report” with an effective date of September 1, 2024, prepared for Kinross Gold Corporation, do hereby certify that:

 

1)I am a Principal Geotechnical Engineer with WSP Canada Inc., of 6925 Century Avenue, Suite 600, Mississauga, ON Canada L5N 7K2.

 

2)I am a graduate of Lakehead University, Thunder Bay, in 2005 with a B.Eng. in Civil Engineering.

 

3)I am registered as a Professional Engineer in the Province of Ontario (Licence/File # 100102319). I have practiced my profession for nineteen years since my graduation. My relevant experience for the purpose of the Technical Report is:

 

·I have been working in mine waste consulting for nineteen years and during that time provided support for engineering reports in similar geologic settings in Ontario.

 

4)I have read the definition of “qualified person” set out in National Instrument 43-101 (NI 43-101) and certify that by reason of my education, affiliation with a professional association (as defined in NI 43-101) and past relevant work experience, I fulfill the requirements to be a “qualified person” for the purposes of NI 43-101.

 

5)I visited the Great Bear Project on August 8 to 10, 2022.

 

6)I am responsible for Sections 18.5 (TMF), 18.6 (Water Management), 18.7 (Mine Rock and Overburden Stockpiles), 21.1 (TMF capital costs), and related disclosure in Sections 1, 25, 26, and 27 of the Technical Report.

 

7)I am independent of the Issuer applying the test set out in Section 1.5 of NI 43-101.

 

8)I have been actively involved with the property that is the subject of the Technical Report since July of 2022.

 

9)I have read NI 43-101, and the Technical Report has been prepared in compliance with NI 43-101 and Form 43-101F1.

 

10)At the effective date of the Technical Report, to the best of my knowledge, information, and belief, the sections of the Technical Report for which I am responsible contains all scientific and technical information that is required to be disclosed to make the Technical Report not misleading.

 

Page 412

 

 

Kinross Gold Corporation

Great Bear Gold Project

Ontario, Canada

NI 43-101 Technical Report

 

Dated this 10th day of September, 2024

 

(Signed and Sealed) Dennis Renda

 

Dennis Renda, P.Eng.

 

Page 413

 

 

Kinross Gold Corporation

Great Bear Gold Project

Ontario, Canada

NI 43-101 Technical Report

 

29.9Sheila Daniel

 

I, Sheila Daniel, P.Geo., as an author of this report entitled “Great Bear Gold Project Ontario, Canada - Voluntary National Instrument 43-101 Technical Report” with an effective date of September 1, 2024, prepared for Kinross Gold Corporation, do hereby certify that:

 

1)I am Geoscientist Fellow and Mining Environmental Approvals Team Lead with WSP Canada Inc., of 6925 Century Avenue, Suite 600, Mississauga, ON Canada L5N 7K2.

 

2)I am a graduate of McMaster University in 1990 with a M.Sc., and from the University of Western Ontario in 1988 with a B.Sc. (Honours).

 

3)I am registered as a Professional Geoscientist with Professional Geoscientists Ontario (Membership #0151). I have worked as a geoscientist for a total of 34 years since my graduation. My relevant experience for the purpose of the Technical Report is:

 

·I have been directly involved in mining environmental consulting, including support for engineering reports, and environmental assessments and approvals for a large number of Ontario mining projects.

 

4)I have read the definition of “qualified person” set out in National Instrument 43-101 (NI 43-101) and certify that by reason of my education, affiliation with a professional association (as defined in NI 43-101) and past relevant work experience, I fulfill the requirements to be a “qualified person” for the purposes of NI 43-101.

 

5)I visited the Great Bear Project on August 8 to 10, 2023.

 

6)I am responsible for Section 20 and related disclosure in Sections 1, 25, 26, and 27 of the Technical Report.

 

7)I am independent of the Issuer applying the test set out in Section 1.5 of NI 43-101.

 

8)I have been actively involved with the property that is the subject of the Technical Report since October 2022.

 

9)I have read NI 43-101, and the Technical Report has been prepared in compliance with NI 43-101 and Form 43-101F1.

 

10)At the effective date of the Technical Report, to the best of my knowledge, information, and belief, the sections of the Technical Report for which I am responsible contains all scientific and technical information that is required to be disclosed to make the Technical Report not misleading.

 

Page 414

 

 

Kinross Gold Corporation

Great Bear Gold Project

Ontario, Canada

NI 43-101 Technical Report

 

Dated this 10th day of September, 2024

 

(Signed and Sealed) Sheila Daniel

 

Sheila Daniel, P.Geo.

 

Page 415

 

 

Kinross Gold Corporation

Great Bear Gold Project

Ontario, Canada

NI 43-101 Technical Report

 

29.10Simon Gautrey

 

I, Simon Gautrey, P.Geo., as an author of this report entitled “Great Bear Gold Project Ontario, Canada - Voluntary National Instrument 43-101 Technical Report” with an effective date of September 1, 2024, prepared for Kinross Gold Corporation, do hereby certify that:

 

1)I am a Hydrogeologist Fellow and Mining Hydrogeology Lead with WSP Canada Inc., of 6925 Century Avenue, Suite 600, Mississauga, ON Canada L5N.

 

2)I am a graduate of Concordia University, Montreal, in 1992 with a B.Sc. in Geology and of the University of Waterloo, Waterloo, 1996 with a M.Sc. in Hydrogeology.

 

3)I am registered as a Professional Geoscientist in the Province of Ontario (Reg.# 0461). I have worked as a hydrogeologist for a total of 28 years since my graduation. My relevant experience for the purpose of the Technical Report is:

 

·I have been directly involved in mine hydrogeology consulting, including support for engineering reports, and environmental assessments and approvals for a significant number of Ontario mining projects in similar geologic settings.

 

4)I have read the definition of “qualified person” set out in National Instrument 43-101 (NI 43-101) and certify that by reason of my education, affiliation with a professional association (as defined in NI 43-101) and past relevant work experience, I fulfill the requirements to be a “qualified person” for the purposes of NI 43-101.

 

5)I have not visited the Great Bear Project.

 

6)I am responsible for the portion of Section 16.3 that covers hydrogeology and related disclosure in Sections 1, 25, 26, and 27 of the Technical Report.

 

7)I am independent of the Issuer applying the test set out in Section 1.5 of NI 43-101.

 

8)I have been actively involved in hydrogeological work on the property that is the subject of the Technical Report since 2022.

 

9)I have read NI 43-101, and the Technical Report has been prepared in compliance with NI 43-101 and Form 43-101F1.

 

10)At the effective date of the Technical Report, to the best of my knowledge, information, and belief, the sections of the Technical Report for which I am responsible contains all scientific and technical information that is required to be disclosed to make the Technical Report not misleading.

 

Page 416

 

 

Kinross Gold Corporation

Great Bear Gold Project

Ontario, Canada

NI 43-101 Technical Report

 

Dated this 10th day of September, 2024

 

(Signed and Sealed) Simon Gautrey

 

Simon Gautrey, P.Geo.

 

Page 417

 

 

 

Kinross Gold Corporation

Great Bear Gold Project

Ontario, Canada

NI 43-101 Technical Report

 

30.Appendix 1

 

Table 30-1: Land tenure

 

N.  Tenure
Number
  Title
Type
  Tenure
Status
  Issue Date  Anniversary
Date
  Holder
1  LEA-110123  Lease  Active   1/1/2024  12/31/2044  (100%) GREAT BEAR RESOURCES LTD.
2  LEA-110124  Lease  Active   1/1/2024  12/31/2044  (100%) GREAT BEAR RESOURCES LTD.
3  LEA-110126  Lease  Active   1/1/2024  12/31/2044  (100%) GREAT BEAR RESOURCES LTD.
4  LEA-110127  Lease  Active   1/1/2024  12/31/2044  (100%) GREAT BEAR RESOURCES LTD.
5  LEA-110128  Lease  Active   1/1/2024  12/31/2044  (100%) GREAT BEAR RESOURCES LTD.
6  LEA-110129  Lease  Active   1/1/2024  12/31/2044  (100%) GREAT BEAR RESOURCES LTD.
7  LEA-110142  Lease  Active   1/1/2024  12/31/2044  (100%) GREAT BEAR RESOURCES LTD.
8  100220  SCMC  Active   4/10/2018  3/26/2028  (100%) GREAT BEAR RESOURCES LTD.
9  101530  SCMC  Active   4/10/2018  8/3/2028  (100%) GREAT BEAR RESOURCES LTD.
10  101612  SCMC  Active   4/10/2018  8/3/2028  (100%) GREAT BEAR RESOURCES LTD.
11  101722  SCMC  Active   4/10/2018  12/18/2028  (100%) GREAT BEAR RESOURCES LTD.
12  101829  SCMC  Active   4/10/2018  5/16/2028  (100%) GREAT BEAR RESOURCES LTD.
13  101895  SCMC  Active   4/10/2018  8/4/2028  (100%) GREAT BEAR RESOURCES LTD.
14  102583  SCMC  Active   4/10/2018  2/11/2028  (100%) GREAT BEAR RESOURCES LTD.
15  102589  SCMC  Active   4/10/2018  12/18/2028  (100%) GREAT BEAR RESOURCES LTD.
16  102595  SCMC  Active   4/10/2018  3/23/2028  (100%) GREAT BEAR RESOURCES LTD.
17  103070  SCMC  Active   4/10/2018  8/4/2028  (100%) GREAT BEAR RESOURCES LTD.
18  112520  SCMC  Active   4/10/2018  8/3/2028  (100%) GREAT BEAR RESOURCES LTD.
19  113713  SCMC  Active   4/10/2018  8/3/2028  (100%) GREAT BEAR RESOURCES LTD.
20  114024  SCMC  Active   4/10/2018  8/3/2028  (100%) GREAT BEAR RESOURCES LTD.

 

Page 418

 

 

Kinross Gold Corporation

Great Bear Gold Project

Ontario, Canada

NI 43-101 Technical Report

 

N.  Tenure
Number
  Title
Type
  Tenure
Status
  Issue Date  Anniversary
Date
  Holder
21  114025  SCMC  Active   4/10/2018  8/3/2028  (100%) GREAT BEAR RESOURCES LTD.
22  114064  SCMC  Active   4/10/2018  8/3/2028  (100%) GREAT BEAR RESOURCES LTD.
23  114065  SCMC  Active   4/10/2018  8/3/2028  (100%) GREAT BEAR RESOURCES LTD.
24  114070  SCMC  Active   4/10/2018  8/3/2028  (100%) GREAT BEAR RESOURCES LTD.
25  114071  SCMC  Active   4/10/2018  8/3/2028  (100%) GREAT BEAR RESOURCES LTD.
26  114072  SCMC  Active   4/10/2018  8/3/2028  (100%) GREAT BEAR RESOURCES LTD.
27  114286  SCMC  Active   4/10/2018  8/3/2028  (100%) GREAT BEAR RESOURCES LTD.
28  114299  SCMC  Active   4/10/2018  8/3/2028  (100%) GREAT BEAR RESOURCES LTD.
29  114300  SCMC  Active   4/10/2018  3/23/2028  (100%) GREAT BEAR RESOURCES LTD.
30  114304  SCMC  Active   4/10/2018  8/3/2028  (100%) GREAT BEAR RESOURCES LTD.
31  114996  SCMC  Active   4/10/2018  3/26/2028  (100%) GREAT BEAR RESOURCES LTD.
32  116114  SCMC  Active   4/10/2018  8/3/2028  (100%) GREAT BEAR RESOURCES LTD.
33  116858  SCMC  Active   4/10/2018  8/3/2028  (100%) GREAT BEAR RESOURCES LTD.
34  117411  SCMC  Active   4/10/2018  8/3/2028  (100%) GREAT BEAR RESOURCES LTD.
35  117462  SCMC  Active   4/10/2018  8/3/2028  (100%) GREAT BEAR RESOURCES LTD.
36  117896  SCMC  Active   4/10/2018  2/11/2028  (100%) GREAT BEAR RESOURCES LTD.
37  118161  SCMC  Active   4/10/2018  8/4/2028  (100%) GREAT BEAR RESOURCES LTD.
38  118232  SCMC  Active   4/10/2018  8/3/2028  (100%) GREAT BEAR RESOURCES LTD.
39  121662  SCMC  Active   4/10/2018  8/3/2028  (100%) GREAT BEAR RESOURCES LTD.
40  121663  SCMC  Active   4/10/2018  8/3/2028  (100%) GREAT BEAR RESOURCES LTD.
41  121774  SCMC  Active   4/10/2018  8/3/2028  (100%) GREAT BEAR RESOURCES LTD.
42  123771  SCMC  Active   4/10/2018  3/23/2028  (100%) GREAT BEAR RESOURCES LTD.
43  123795  SCMC  Active   4/10/2018  2/11/2028  (100%) GREAT BEAR RESOURCES LTD.

 

Page 419

 

 

Kinross Gold Corporation

Great Bear Gold Project

Ontario, Canada

NI 43-101 Technical Report

 

N.  Tenure
Number
  Title
Type
  Tenure
Status
  Issue Date  Anniversary
Date
  Holder
44  125191  SCMC  Active   4/10/2018  8/4/2028  (100%) GREAT BEAR RESOURCES LTD.
45  126417  SCMC  Active   4/10/2018  8/3/2028  (100%) GREAT BEAR RESOURCES LTD.
46  126995  SCMC  Active   4/10/2018  3/26/2028  (100%) GREAT BEAR RESOURCES LTD.
47  126996  SCMC  Active   4/10/2018  3/26/2028  (100%) GREAT BEAR RESOURCES LTD.
48  127704  SCMC  Active   4/10/2018  8/3/2028  (100%) GREAT BEAR RESOURCES LTD.
49  128876  SCMC  Active   4/10/2018  2/5/2028  (100%) GREAT BEAR RESOURCES LTD.
50  130582  SCMC  Active   4/10/2018  8/3/2028  (100%) GREAT BEAR RESOURCES LTD.
51  131296  SCMC  Active   4/10/2018  8/3/2028  (100%) GREAT BEAR RESOURCES LTD.
52  131305  SCMC  Active   4/10/2018  8/3/2028  (100%) GREAT BEAR RESOURCES LTD.
53  132557  SCMC  Active   4/10/2018  8/3/2028  (100%) GREAT BEAR RESOURCES LTD.
54  138480  SCMC  Active   4/10/2018  8/3/2028  (100%) GREAT BEAR RESOURCES LTD.
55  143920  SCMC  Active   4/10/2018  8/3/2028  (100%) GREAT BEAR RESOURCES LTD.
56  144682  SCMC  Active   4/10/2018  3/26/2028  (100%) GREAT BEAR RESOURCES LTD.
57  144683  SCMC  Active   4/10/2018  3/26/2028  (100%) GREAT BEAR RESOURCES LTD.
58  146647  SCMC  Active   4/10/2018  8/3/2028  (100%) GREAT BEAR RESOURCES LTD.
59  146648  SCMC  Active   4/10/2018  8/3/2028  (100%) GREAT BEAR RESOURCES LTD.
60  146649  SCMC  Active   4/10/2018  8/3/2028  (100%) GREAT BEAR RESOURCES LTD.
61  147364  SCMC  Active   4/10/2018  8/3/2028  (100%) GREAT BEAR RESOURCES LTD.
62  147882  SCMC  Active   4/10/2018  8/3/2028  (100%) GREAT BEAR RESOURCES LTD.
63  147888  SCMC  Active   4/10/2018  8/3/2028  (100%) GREAT BEAR RESOURCES LTD.
64  151235  SCMC  Active   4/10/2018  4/28/2028  (100%) GREAT BEAR RESOURCES LTD.
65  151438  SCMC  Active   4/10/2018  8/3/2028  (100%) GREAT BEAR RESOURCES LTD.
66  151443  SCMC  Active   4/10/2018  8/3/2028  (100%) GREAT BEAR RESOURCES LTD.

 

Page 420

 

 

Kinross Gold Corporation

Great Bear Gold Project

Ontario, Canada

NI 43-101 Technical Report

 

N.  Tenure
Number
  Title
Type
  Tenure
Status
  Issue Date  Anniversary
Date
  Holder
67  152265  SCMC  Active   4/10/2018  12/15/2028  (100%) GREAT BEAR RESOURCES LTD.
68  152281  SCMC  Active   4/10/2018  4/18/2028  (100%) GREAT BEAR RESOURCES LTD.
69  152310  SCMC  Active   4/10/2018  2/11/2028  (100%) GREAT BEAR RESOURCES LTD.
70  155096  SCMC  Active   4/10/2018  8/3/2028  (100%) GREAT BEAR RESOURCES LTD.
71  155097  SCMC  Active   4/10/2018  8/3/2028  (100%) GREAT BEAR RESOURCES LTD.
72  155098  SCMC  Active   4/10/2018  8/3/2028  (100%) GREAT BEAR RESOURCES LTD.
73  155648  SCMC  Active   4/10/2018  8/3/2028  (100%) GREAT BEAR RESOURCES LTD.
74  160392  SCMC  Active   4/10/2018  3/23/2028  (100%) GREAT BEAR RESOURCES LTD.
75  160649  SCMC  Active   4/10/2018  8/3/2028  (100%) GREAT BEAR RESOURCES LTD.
76  160650  SCMC  Active   4/10/2018  8/3/2028  (100%) GREAT BEAR RESOURCES LTD.
77  160652  SCMC  Active   4/10/2018  8/3/2028  (100%) GREAT BEAR RESOURCES LTD.
78  160653  SCMC  Active   4/10/2018  8/3/2028  (100%) GREAT BEAR RESOURCES LTD.
79  160654  SCMC  Active   4/10/2018  8/3/2028  (100%) GREAT BEAR RESOURCES LTD.
80  160690  SCMC  Active   4/10/2018  8/3/2028  (100%) GREAT BEAR RESOURCES LTD.
81  160695  SCMC  Active   4/10/2018  8/3/2028  (100%) GREAT BEAR RESOURCES LTD.
82  160898  SCMC  Active   4/10/2018  8/3/2028  (100%) GREAT BEAR RESOURCES LTD.
83  160939  SCMC  Active   4/10/2018  2/5/2028  (100%) GREAT BEAR RESOURCES LTD.
84  161432  SCMC  Active   4/10/2018  3/23/2028  (100%) GREAT BEAR RESOURCES LTD.
85  161434  SCMC  Active   4/10/2018  8/3/2028  (100%) GREAT BEAR RESOURCES LTD.
86  162005  SCMC  Active   4/10/2018  8/3/2028  (100%) GREAT BEAR RESOURCES LTD.
87  162006  SCMC  Active   4/10/2018  8/3/2028  (100%) GREAT BEAR RESOURCES LTD.
88  162792  SCMC  Active   4/10/2018  8/3/2028  (100%) GREAT BEAR RESOURCES LTD.
89  162793  SCMC  Active   4/10/2018  8/3/2028  (100%) GREAT BEAR RESOURCES LTD.

 

Page 421

 

 

Kinross Gold Corporation

Great Bear Gold Project

Ontario, Canada

NI 43-101 Technical Report

 

N.  Tenure
Number
  Title
Type
  Tenure
Status
  Issue Date  Anniversary
Date
  Holder
90  165478  SCMC  Active   4/10/2018  8/3/2028  (100%) GREAT BEAR RESOURCES LTD.
91  166020  SCMC  Active   4/10/2018  8/3/2028  (100%) GREAT BEAR RESOURCES LTD.
92  166024  SCMC  Active   4/10/2018  8/3/2028  (100%) GREAT BEAR RESOURCES LTD.
93  166308  SCMC  Active   4/10/2018  8/3/2028  (100%) GREAT BEAR RESOURCES LTD.
94  166309  SCMC  Active   4/10/2018  8/3/2028  (100%) GREAT BEAR RESOURCES LTD.
95  166310  SCMC  Active   4/10/2018  8/3/2028  (100%) GREAT BEAR RESOURCES LTD.
96  166311  SCMC  Active   4/10/2018  8/3/2028  (100%) GREAT BEAR RESOURCES LTD.
97  166752  SCMC  Active   4/10/2018  8/3/2028  (100%) GREAT BEAR RESOURCES LTD.
98  166757  SCMC  Active   4/10/2018  8/3/2028  (100%) GREAT BEAR RESOURCES LTD.
99  166894  SCMC  Active   4/10/2018  8/3/2028  (100%) GREAT BEAR RESOURCES LTD.
100  166895  SCMC  Active   4/10/2018  8/3/2028  (100%) GREAT BEAR RESOURCES LTD.
101  166896  SCMC  Active   4/10/2018  8/3/2028  (100%) GREAT BEAR RESOURCES LTD.
102  166983  SCMC  Active   4/10/2018  3/23/2028  (100%) GREAT BEAR RESOURCES LTD.
103  167506  SCMC  Active   4/10/2018  8/3/2028  (100%) GREAT BEAR RESOURCES LTD.
104  168914  SCMC  Active   4/10/2018  2/11/2028  (100%) GREAT BEAR RESOURCES LTD.
105  170893  SCMC  Active   4/10/2018  8/3/2028  (100%) GREAT BEAR RESOURCES LTD.
106  171031  SCMC  Active   4/10/2018  8/4/2028  (100%) GREAT BEAR RESOURCES LTD.
107  172297  SCMC  Active   4/10/2018  8/3/2028  (100%) GREAT BEAR RESOURCES LTD.
108  173077  SCMC  Active   4/10/2018  8/3/2028  (100%) GREAT BEAR RESOURCES LTD.
109  173190  SCMC  Active   4/10/2018  8/3/2028  (100%) GREAT BEAR RESOURCES LTD.
110  173746  SCMC  Active   4/10/2018  8/4/2028  (100%) GREAT BEAR RESOURCES LTD.
111  174543  SCMC  Active   4/10/2018  8/3/2028  (100%) GREAT BEAR RESOURCES LTD.
112  174544  SCMC  Active   4/10/2018  8/3/2028  (100%) GREAT BEAR RESOURCES LTD.

 

Page 422

 

 

Kinross Gold Corporation

Great Bear Gold Project

Ontario, Canada

NI 43-101 Technical Report

 

N.  Tenure
Number
  Title
Type
  Tenure
Status
  Issue Date  Anniversary
Date
  Holder
113  179661  SCMC  Active   4/10/2018  8/3/2028  (100%) GREAT BEAR RESOURCES LTD.
114  179662  SCMC  Active   4/10/2018  8/3/2028  (100%) GREAT BEAR RESOURCES LTD.
115  179912  SCMC  Active   4/10/2018  3/23/2028  (100%) GREAT BEAR RESOURCES LTD.
116  179913  SCMC  Active   4/10/2018  3/23/2028  (100%) GREAT BEAR RESOURCES LTD.
117  180349  SCMC  Active   4/10/2018  3/23/2028  (100%) GREAT BEAR RESOURCES LTD.
118  187834  SCMC  Active   4/10/2018  4/28/2028  (100%) GREAT BEAR RESOURCES LTD.
119  189773  SCMC  Active   4/10/2018  8/3/2028  (100%) GREAT BEAR RESOURCES LTD.
120  189774  SCMC  Active   4/10/2018  8/3/2028  (100%) GREAT BEAR RESOURCES LTD.
121  190510  SCMC  Active   4/10/2018  8/3/2028  (100%) GREAT BEAR RESOURCES LTD.
122  194754  SCMC  Active   4/10/2018  8/3/2028  (100%) GREAT BEAR RESOURCES LTD.
123  194758  SCMC  Active   4/10/2018  8/3/2028  (100%) GREAT BEAR RESOURCES LTD.
124  194796  SCMC  Active   4/10/2018  8/3/2028  (100%) GREAT BEAR RESOURCES LTD.
125  194797  SCMC  Active   4/10/2018  8/3/2028  (100%) GREAT BEAR RESOURCES LTD.
126  194798  SCMC  Active   4/10/2018  8/3/2028  (100%) GREAT BEAR RESOURCES LTD.
127  194799  SCMC  Active   4/10/2018  8/3/2028  (100%) GREAT BEAR RESOURCES LTD.
128  195647  SCMC  Active   4/10/2018  8/3/2028  (100%) GREAT BEAR RESOURCES LTD.
129  195648  SCMC  Active   4/10/2018  8/3/2028  (100%) GREAT BEAR RESOURCES LTD.
130  196043  SCMC  Active   4/10/2018  8/3/2028  (100%) GREAT BEAR RESOURCES LTD.
131  196617  SCMC  Active   4/10/2018  9/8/2028  (100%) GREAT BEAR RESOURCES LTD.
132  196768  SCMC  Active   4/10/2018  8/3/2028  (100%) GREAT BEAR RESOURCES LTD.
133  196769  SCMC  Active   4/10/2018  8/3/2028  (100%) GREAT BEAR RESOURCES LTD.
134  196929  SCMC  Active   4/10/2018  12/18/2028  (100%) GREAT BEAR RESOURCES LTD.
135  198305  SCMC  Active   4/10/2018  4/18/2028  (100%) GREAT BEAR RESOURCES LTD.

 

Page 423

 

 

Kinross Gold Corporation

Great Bear Gold Project

Ontario, Canada

NI 43-101 Technical Report

 
N.  Tenure
Number
  Title
Type
  Tenure
Status
  Issue Date  Anniversary
Date
  Holder
136  203461  SCMC  Active   4/10/2018  2/5/2028  (100%) GREAT BEAR RESOURCES LTD.
137  204777  SCMC  Active   4/10/2018  8/3/2028  (100%) GREAT BEAR RESOURCES LTD.
138  205694  SCMC  Active   4/10/2018  12/15/2028  (100%) GREAT BEAR RESOURCES LTD.
139  206378  SCMC  Active   4/10/2018  3/23/2028  (100%) GREAT BEAR RESOURCES LTD.
140  206957  SCMC  Active   4/10/2018  8/3/2028  (100%) GREAT BEAR RESOURCES LTD.
141  209018  SCMC  Active   4/10/2018  8/3/2028  (100%) GREAT BEAR RESOURCES LTD.
142  210168  SCMC  Active   4/10/2018  3/26/2028  (100%) GREAT BEAR RESOURCES LTD.
143  210169  SCMC  Active   4/10/2018  3/26/2028  (100%) GREAT BEAR RESOURCES LTD.
144  211554  SCMC  Active   4/10/2018  1/5/2028  (100%) GREAT BEAR RESOURCES LTD.
145  213301  SCMC  Active   4/10/2018  8/3/2028  (100%) GREAT BEAR RESOURCES LTD.
146  213302  SCMC  Active   4/10/2018  8/3/2028  (100%) GREAT BEAR RESOURCES LTD.
147  213342  SCMC  Active   4/10/2018  8/3/2028  (100%) GREAT BEAR RESOURCES LTD.
148  213343  SCMC  Active   4/10/2018  8/3/2028  (100%) GREAT BEAR RESOURCES LTD.
149  214064  SCMC  Active   4/10/2018  8/3/2028  (100%) GREAT BEAR RESOURCES LTD.
150  214243  SCMC  Active   4/10/2018  8/3/2028  (100%) GREAT BEAR RESOURCES LTD.
151  214244  SCMC  Active   4/10/2018  8/3/2028  (100%) GREAT BEAR RESOURCES LTD.
152  214245  SCMC  Active   4/10/2018  8/3/2028  (100%) GREAT BEAR RESOURCES LTD.
153  214884  SCMC  Active   4/10/2018  2/5/2028  (100%) GREAT BEAR RESOURCES LTD.
154  214885  SCMC  Active   4/10/2018  2/5/2028  (100%) GREAT BEAR RESOURCES LTD.
155  214978  SCMC  Active   4/10/2018  2/11/2028  (100%) GREAT BEAR RESOURCES LTD.
156  215002  SCMC  Active   4/10/2018  8/3/2028  (100%) GREAT BEAR RESOURCES LTD.
157  215076  SCMC  Active   4/10/2018  8/3/2028  (100%) GREAT BEAR RESOURCES LTD.
158  215583  SCMC  Active   4/10/2018  8/3/2028  (100%) GREAT BEAR RESOURCES LTD.

 

Page 424

 

 

Kinross Gold Corporation

Great Bear Gold Project

Ontario, Canada

NI 43-101 Technical Report

 
N.  Tenure
Number
  Title
Type
  Tenure
Status
  Issue Date  Anniversary
Date
  Holder
159  215600  SCMC  Active   4/10/2018  8/3/2028  (100%) GREAT BEAR RESOURCES LTD.
160  215601  SCMC  Active   4/10/2018  3/23/2028  (100%) GREAT BEAR RESOURCES LTD.
161  215602  SCMC  Active   4/10/2018  3/23/2028  (100%) GREAT BEAR RESOURCES LTD.
162  215603  SCMC  Active   4/10/2018  3/23/2028  (100%) GREAT BEAR RESOURCES LTD.
163  215604  SCMC  Active   4/10/2018  8/3/2028  (100%) GREAT BEAR RESOURCES LTD.
164  215696  SCMC  Active   4/10/2018  3/23/2028  (100%) GREAT BEAR RESOURCES LTD.
165  216179  SCMC  Active   4/10/2018  8/3/2028  (100%) GREAT BEAR RESOURCES LTD.
166  216889  SCMC  Active   4/10/2018  8/3/2028  (100%) GREAT BEAR RESOURCES LTD.
167  217081  SCMC  Active   4/10/2018  3/23/2028  (100%) GREAT BEAR RESOURCES LTD.
168  217770  SCMC  Active   4/10/2018  3/23/2028  (100%) GREAT BEAR RESOURCES LTD.
169  219093  SCMC  Active   4/10/2018  8/3/2028  (100%) GREAT BEAR RESOURCES LTD.
170  219094  SCMC  Active   4/10/2018  8/4/2028  (100%) GREAT BEAR RESOURCES LTD.
171  219753  SCMC  Active   4/10/2018  8/4/2028  (100%) GREAT BEAR RESOURCES LTD.
172  219754  SCMC  Active   4/10/2018  8/4/2028  (100%) GREAT BEAR RESOURCES LTD.
173  219756  SCMC  Active   4/10/2018  8/4/2028  (100%) GREAT BEAR RESOURCES LTD.
174  220491  SCMC  Active   4/10/2018  8/3/2028  (100%) GREAT BEAR RESOURCES LTD.
175  220492  SCMC  Active   4/10/2018  8/3/2028  (100%) GREAT BEAR RESOURCES LTD.
176  220493  SCMC  Active   4/10/2018  8/3/2028  (100%) GREAT BEAR RESOURCES LTD.
177  222219  SCMC  Active   4/10/2018  3/26/2028  (100%) GREAT BEAR RESOURCES LTD.
178  222220  SCMC  Active   4/10/2018  3/26/2028  (100%) GREAT BEAR RESOURCES LTD.
179  225358  SCMC  Active   4/10/2018  8/3/2028  (100%) GREAT BEAR RESOURCES LTD.
180  225399  SCMC  Active   4/10/2018  8/3/2028  (100%) GREAT BEAR RESOURCES LTD.
181  225400  SCMC  Active   4/10/2018  8/3/2028  (100%) GREAT BEAR RESOURCES LTD.

 

Page 425

 

 

Kinross Gold Corporation

Great Bear Gold Project

Ontario, Canada

NI 43-101 Technical Report

 

N.  Tenure
Number
  Title
Type
  Tenure
Status
  Issue Date  Anniversary
Date
  Holder
182  227046  SCMC  Active   4/10/2018  8/3/2028  (100%) GREAT BEAR RESOURCES LTD.
183  227692  SCMC  Active   4/10/2018  8/4/2028  (100%) GREAT BEAR RESOURCES LTD.
184  228423  SCMC  Active   4/10/2018  8/3/2028  (100%) GREAT BEAR RESOURCES LTD.
185  230862  SCMC  Active   4/10/2018  1/5/2028  (100%) GREAT BEAR RESOURCES LTD.
186  231499  SCMC  Active   4/10/2018  8/3/2028  (100%) GREAT BEAR RESOURCES LTD.
187  232022  SCMC  Active   4/10/2018  8/3/2028  (100%) GREAT BEAR RESOURCES LTD.
188  232023  SCMC  Active   4/10/2018  8/3/2028  (100%) GREAT BEAR RESOURCES LTD.
189  232026  SCMC  Active   4/10/2018  8/3/2028  (100%) GREAT BEAR RESOURCES LTD.
190  232749  SCMC  Active   4/10/2018  8/3/2028  (100%) GREAT BEAR RESOURCES LTD.
191  233525  SCMC  Active   4/10/2018  8/3/2028  (100%) GREAT BEAR RESOURCES LTD.
192  235614  SCMC  Active   4/10/2018  12/15/2028  (100%) GREAT BEAR RESOURCES LTD.
193  240469  SCMC  Active   4/10/2018  8/3/2028  (100%) GREAT BEAR RESOURCES LTD.
194  249285  SCMC  Active   4/10/2018  8/3/2028  (100%) GREAT BEAR RESOURCES LTD.
195  249300  SCMC  Active   4/10/2018  8/3/2028  (100%) GREAT BEAR RESOURCES LTD.
196  249354  SCMC  Active   4/10/2018  8/3/2028  (100%) GREAT BEAR RESOURCES LTD.
197  250047  SCMC  Active   4/10/2018  8/3/2028  (100%) GREAT BEAR RESOURCES LTD.
198  250588  SCMC  Active   4/10/2018  8/3/2028  (100%) GREAT BEAR RESOURCES LTD.
199  250589  SCMC  Active   4/10/2018  8/3/2028  (100%) GREAT BEAR RESOURCES LTD.
200  251392  SCMC  Active   4/10/2018  8/3/2028  (100%) GREAT BEAR RESOURCES LTD.
201  254522  SCMC  Active   4/10/2018  4/28/2028  (100%) GREAT BEAR RESOURCES LTD.
202  257281  SCMC  Active   4/10/2018  8/3/2028  (100%) GREAT BEAR RESOURCES LTD.
203  257283  SCMC  Active   4/10/2018  8/3/2028  (100%) GREAT BEAR RESOURCES LTD.
204  258186  SCMC  Active   4/10/2018  3/26/2028  (100%) GREAT BEAR RESOURCES LTD.

 

Page 426

 

 

Kinross Gold Corporation

Great Bear Gold Project

Ontario, Canada

NI 43-101 Technical Report

 

N.  Tenure
Number
  Title
Type
  Tenure
Status
  Issue Date  Anniversary
Date
  Holder
205  258187  SCMC  Active   4/10/2018  3/26/2028  (100%) GREAT BEAR RESOURCES LTD.
206  261312  SCMC  Active   4/10/2018  8/3/2028  (100%) GREAT BEAR RESOURCES LTD.
207  261313  SCMC  Active   4/10/2018  8/3/2028  (100%) GREAT BEAR RESOURCES LTD.
208  262023  SCMC  Active   4/10/2018  8/3/2028  (100%) GREAT BEAR RESOURCES LTD.
209  262024  SCMC  Active   4/10/2018  8/3/2028  (100%) GREAT BEAR RESOURCES LTD.
210  262043  SCMC  Active   4/10/2018  8/3/2028  (100%) GREAT BEAR RESOURCES LTD.
211  262162  SCMC  Active   4/10/2018  2/11/2028  (100%) GREAT BEAR RESOURCES LTD.
212  262202  SCMC  Active   4/10/2018  8/3/2028  (100%) GREAT BEAR RESOURCES LTD.
213  262203  SCMC  Active   4/10/2018  8/3/2028  (100%) GREAT BEAR RESOURCES LTD.
214  262204  SCMC  Active   4/10/2018  8/3/2028  (100%) GREAT BEAR RESOURCES LTD.
215  262284  SCMC  Active   4/10/2018  3/26/2028  (100%) GREAT BEAR RESOURCES LTD.
216  262797  SCMC  Active   4/10/2018  8/3/2028  (100%) GREAT BEAR RESOURCES LTD.
217  262798  SCMC  Active   4/10/2018  8/3/2028  (100%) GREAT BEAR RESOURCES LTD.
218  262800  SCMC  Active   4/10/2018  8/3/2028  (100%) GREAT BEAR RESOURCES LTD.
219  262808  SCMC  Active   4/10/2018  8/3/2028  (100%) GREAT BEAR RESOURCES LTD.
220  266297  SCMC  Active   4/10/2018  8/3/2028  (100%) GREAT BEAR RESOURCES LTD.
221  266890  SCMC  Active   4/10/2018  8/3/2028  (100%) GREAT BEAR RESOURCES LTD.
222  266891  SCMC  Active   4/10/2018  8/3/2028  (100%) GREAT BEAR RESOURCES LTD.
223  266892  SCMC  Active   4/10/2018  8/3/2028  (100%) GREAT BEAR RESOURCES LTD.
224  268725  SCMC  Active   4/10/2018  8/3/2028  (100%) GREAT BEAR RESOURCES LTD.
225  268759  SCMC  Active   4/10/2018  8/3/2028  (100%) GREAT BEAR RESOURCES LTD.
226  268761  SCMC  Active   4/10/2018  8/3/2028  (100%) GREAT BEAR RESOURCES LTD.
227  268762  SCMC  Active   4/10/2018  8/3/2028  (100%) GREAT BEAR RESOURCES LTD.

 

Page 427

 

 

Kinross Gold Corporation

Great Bear Gold Project

Ontario, Canada

NI 43-101 Technical Report

 
N.  Tenure
Number
  Title
Type
  Tenure
Status
  Issue Date  Anniversary
Date
  Holder
228  269493  SCMC  Active   4/10/2018  8/3/2028  (100%) GREAT BEAR RESOURCES LTD.
229  269495  SCMC  Active   4/10/2018  8/3/2028  (100%) GREAT BEAR RESOURCES LTD.
230  269657  SCMC  Active   4/10/2018  8/3/2028  (100%) GREAT BEAR RESOURCES LTD.
231  270090  SCMC  Active   4/10/2018  8/3/2028  (100%) GREAT BEAR RESOURCES LTD.
232  270240  SCMC  Active   4/10/2018  3/26/2028  (100%) GREAT BEAR RESOURCES LTD.
233  270256  SCMC  Active   4/10/2018  8/3/2028  (100%) GREAT BEAR RESOURCES LTD.
234  270257  SCMC  Active   4/10/2018  8/3/2028  (100%) GREAT BEAR RESOURCES LTD.
235  270305  SCMC  Active   4/10/2018  2/5/2028  (100%) GREAT BEAR RESOURCES LTD.
236  270578  SCMC  Active   4/10/2018  9/8/2028  (100%) GREAT BEAR RESOURCES LTD.
237  270786  SCMC  Active   4/10/2018  8/3/2028  (100%) GREAT BEAR RESOURCES LTD.
238  270873  SCMC  Active   4/10/2018  3/23/2028  (100%) GREAT BEAR RESOURCES LTD.
239  274264  SCMC  Active   4/10/2018  8/3/2028  (100%) GREAT BEAR RESOURCES LTD.
240  274386  SCMC  Active   4/10/2018  8/3/2028  (100%) GREAT BEAR RESOURCES LTD.
241  274387  SCMC  Active   4/10/2018  8/3/2028  (100%) GREAT BEAR RESOURCES LTD.
242  275648  SCMC  Active   4/10/2018  8/3/2028  (100%) GREAT BEAR RESOURCES LTD.
243  276181  SCMC  Active   4/10/2018  3/26/2028  (100%) GREAT BEAR RESOURCES LTD.
244  276608  SCMC  Active   4/10/2018  8/3/2028  (100%) GREAT BEAR RESOURCES LTD.
245  276609  SCMC  Active   4/10/2018  8/3/2028  (100%) GREAT BEAR RESOURCES LTD.
246  282263  SCMC  Active   4/10/2018  8/3/2028  (100%) GREAT BEAR RESOURCES LTD.
247  282264  SCMC  Active   4/10/2018  8/3/2028  (100%) GREAT BEAR RESOURCES LTD.
248  282351  SCMC  Active   4/10/2018  8/3/2028  (100%) GREAT BEAR RESOURCES LTD.
249  282352  SCMC  Active   4/10/2018  8/3/2028  (100%) GREAT BEAR RESOURCES LTD.
250  282975  SCMC  Active   4/10/2018  3/23/2028  (100%) GREAT BEAR RESOURCES LTD.

 

Page 428

 

 

Kinross Gold Corporation

Great Bear Gold Project

Ontario, Canada

NI 43-101 Technical Report

 
N.  Tenure
Number
  Title
Type
  Tenure
Status
  Issue Date  Anniversary
Date
  Holder
251  282980  SCMC  Active   4/10/2018  3/23/2028  (100%) GREAT BEAR RESOURCES LTD.
252  284362  SCMC  Active   4/10/2018  3/23/2028  (100%) GREAT BEAR RESOURCES LTD.
253  285022  SCMC  Active   4/10/2018  3/23/2028  (100%) GREAT BEAR RESOURCES LTD.
254  287704  SCMC  Active   4/10/2018  8/3/2028  (100%) GREAT BEAR RESOURCES LTD.
255  289641  SCMC  Active   4/10/2018  8/3/2028  (100%) GREAT BEAR RESOURCES LTD.
256  289642  SCMC  Active   4/10/2018  8/3/2028  (100%) GREAT BEAR RESOURCES LTD.
257  289643  SCMC  Active   4/10/2018  8/3/2028  (100%) GREAT BEAR RESOURCES LTD.
258  289644  SCMC  Active   4/10/2018  8/3/2028  (100%) GREAT BEAR RESOURCES LTD.
259  289645  SCMC  Active   4/10/2018  8/3/2028  (100%) GREAT BEAR RESOURCES LTD.
260  292355  SCMC  Active   4/10/2018  2/11/2028  (100%) GREAT BEAR RESOURCES LTD.
261  293160  SCMC  Active   4/10/2018  8/4/2028  (100%) GREAT BEAR RESOURCES LTD.
262  293784  SCMC  Active   4/10/2018  8/3/2028  (100%) GREAT BEAR RESOURCES LTD.
263  293812  SCMC  Active   4/10/2018  8/4/2028  (100%) GREAT BEAR RESOURCES LTD.
264  295081  SCMC  Active   4/10/2018  8/3/2028  (100%) GREAT BEAR RESOURCES LTD.
265  295082  SCMC  Active   4/10/2018  8/3/2028  (100%) GREAT BEAR RESOURCES LTD.
266  300610  SCMC  Active   4/10/2018  8/3/2028  (100%) GREAT BEAR RESOURCES LTD.
267  309145  SCMC  Active   4/10/2018  8/3/2028  (100%) GREAT BEAR RESOURCES LTD.
268  309190  SCMC  Active   4/10/2018  8/3/2028  (100%) GREAT BEAR RESOURCES LTD.
269  309191  SCMC  Active   4/10/2018  8/3/2028  (100%) GREAT BEAR RESOURCES LTD.
270  309192  SCMC  Active   4/10/2018  8/3/2028  (100%) GREAT BEAR RESOURCES LTD.
271  309916  SCMC  Active   4/10/2018  8/3/2028  (100%) GREAT BEAR RESOURCES LTD.
272  309927  SCMC  Active   4/10/2018  8/3/2028  (100%) GREAT BEAR RESOURCES LTD.
273  312130  SCMC  Active   4/10/2018  3/26/2028  (100%) GREAT BEAR RESOURCES LTD.

 

Page 429

 

 

Kinross Gold Corporation

Great Bear Gold Project

Ontario, Canada

NI 43-101 Technical Report

 

N.  Tenure
Number
  Title
Type
  Tenure
Status
  Issue Date  Anniversary
Date
  Holder
274  315879  SCMC  Active   4/10/2018  8/3/2028  (100%) GREAT BEAR RESOURCES LTD.
275  315880  SCMC  Active   4/10/2018  8/3/2028  (100%) GREAT BEAR RESOURCES LTD.
276  315914  SCMC  Active   4/10/2018  8/3/2028  (100%) GREAT BEAR RESOURCES LTD.
277  315917  SCMC  Active   4/10/2018  8/3/2028  (100%) GREAT BEAR RESOURCES LTD.
278  316626  SCMC  Active   4/10/2018  8/3/2028  (100%) GREAT BEAR RESOURCES LTD.
279  316627  SCMC  Active   4/10/2018  8/3/2028  (100%) GREAT BEAR RESOURCES LTD.
280  316642  SCMC  Active   4/10/2018  8/3/2028  (100%) GREAT BEAR RESOURCES LTD.
281  316643  SCMC  Active   4/10/2018  3/23/2028  (100%) GREAT BEAR RESOURCES LTD.
282  317890  SCMC  Active   4/10/2018  8/3/2028  (100%) GREAT BEAR RESOURCES LTD.
283  322398  SCMC  Active   4/10/2018  8/4/2028  (100%) GREAT BEAR RESOURCES LTD.
284  322399  SCMC  Active   4/10/2018  8/3/2028  (100%) GREAT BEAR RESOURCES LTD.
285  323006  SCMC  Active   4/10/2018  8/3/2028  (100%) GREAT BEAR RESOURCES LTD.
286  325968  SCMC  Active   4/10/2018  8/3/2028  (100%) GREAT BEAR RESOURCES LTD.
287  326180  SCMC  Active   4/10/2018  8/4/2028  (100%) GREAT BEAR RESOURCES LTD.
288  326847  SCMC  Active   4/10/2018  9/8/2028  (100%) GREAT BEAR RESOURCES LTD.
289  328677  SCMC  Active   4/10/2018  8/3/2028  (100%) GREAT BEAR RESOURCES LTD.
290  328803  SCMC  Active   4/10/2018  2/11/2028  (100%) GREAT BEAR RESOURCES LTD.
291  329566  SCMC  Active   4/10/2018  12/18/2028  (100%) GREAT BEAR RESOURCES LTD.
292  329567  SCMC  Active   4/10/2018  12/18/2028  (100%) GREAT BEAR RESOURCES LTD.
293  329568  SCMC  Active   4/10/2018  12/18/2028  (100%) GREAT BEAR RESOURCES LTD.
294  330731  SCMC  Active   4/10/2018  8/3/2028  (100%) GREAT BEAR RESOURCES LTD.
295  330951  SCMC  Active   4/10/2018  3/23/2028  (100%) GREAT BEAR RESOURCES LTD.
296  332188  SCMC  Active   4/10/2018  8/3/2028  (100%) GREAT BEAR RESOURCES LTD.

 

Page 430

 

 

Kinross Gold Corporation

Great Bear Gold Project

Ontario, Canada

NI 43-101 Technical Report

 

N.  Tenure
Number
  Title
Type
  Tenure
Status
  Issue Date  Anniversary
Date
  Holder
297  332190  SCMC  Active   4/10/2018  8/3/2028  (100%) GREAT BEAR RESOURCES LTD.
298  332450  SCMC  Active   4/10/2018  8/3/2028  (100%) GREAT BEAR RESOURCES LTD.
299  336134  SCMC  Active   4/10/2018  8/3/2028  (100%) GREAT BEAR RESOURCES LTD.
300  340662  SCMC  Active   4/10/2018  2/11/2028  (100%) GREAT BEAR RESOURCES LTD.
301  341289  SCMC  Active   4/10/2018  8/3/2028  (100%) GREAT BEAR RESOURCES LTD.
302  341917  SCMC  Active   4/10/2018  12/18/2028  (100%) GREAT BEAR RESOURCES LTD.
303  341918  SCMC  Active   4/10/2018  12/18/2028  (100%) GREAT BEAR RESOURCES LTD.
304  345290  SCMC  Active   4/10/2018  8/3/2028  (100%) GREAT BEAR RESOURCES LTD.
305  345391  SCMC  Active   4/10/2018  8/3/2028  (100%) GREAT BEAR RESOURCES LTD.
306  345392  SCMC  Active   4/10/2018  8/3/2028  (100%) GREAT BEAR RESOURCES LTD.
307  514303  SCMC  Active   4/11/2018  4/11/2028  (100%) GREAT BEAR RESOURCES LTD.
308  514304  SCMC  Active   4/11/2018  4/11/2028  (100%) GREAT BEAR RESOURCES LTD.
309  514305  SCMC  Active   4/11/2018  4/11/2028  (100%) GREAT BEAR RESOURCES LTD.
310  514306  SCMC  Active   4/11/2018  4/11/2028  (100%) GREAT BEAR RESOURCES LTD.
311  514307  SCMC  Active   4/11/2018  4/11/2028  (100%) GREAT BEAR RESOURCES LTD.
312  514308  SCMC  Active   4/11/2018  4/11/2028  (100%) GREAT BEAR RESOURCES LTD.
313  514309  SCMC  Active   4/11/2018  4/11/2028  (100%) GREAT BEAR RESOURCES LTD.
314  514310  SCMC  Active   4/11/2018  4/11/2028  (100%) GREAT BEAR RESOURCES LTD.
315  514311  SCMC  Active   4/11/2018  4/11/2028  (100%) GREAT BEAR RESOURCES LTD.
316  514312  SCMC  Active   4/11/2018  4/11/2028  (100%) GREAT BEAR RESOURCES LTD.
317  521876  SCMC  Active   5/22/2018  5/22/2028  (100%) GREAT BEAR RESOURCES LTD.
318  521877  SCMC  Active   5/22/2018  5/22/2028  (100%) GREAT BEAR RESOURCES LTD.
319  521878  SCMC  Active   5/22/2018  5/22/2028  (100%) GREAT BEAR RESOURCES LTD.

 

Page 431

 

 

Kinross Gold Corporation

Great Bear Gold Project

Ontario, Canada

NI 43-101 Technical Report

 

N.  Tenure
Number
  Title
Type
  Tenure
Status
  Issue Date  Anniversary
Date
  Holder
320  521883  SCMC  Active   5/22/2018  5/22/2028  (100%) GREAT BEAR RESOURCES LTD.
321  521884  SCMC  Active   5/22/2018  5/22/2028  (100%) GREAT BEAR RESOURCES LTD.
322  521886  SCMC  Active   5/22/2018  5/22/2028  (100%) GREAT BEAR RESOURCES LTD.
323  521888  SCMC  Active   5/22/2018  5/22/2028  (100%) GREAT BEAR RESOURCES LTD.
324  521889  SCMC  Active   5/22/2018  5/22/2028  (100%) GREAT BEAR RESOURCES LTD.
325  521893  SCMC  Active   5/22/2018  5/22/2028  (100%) GREAT BEAR RESOURCES LTD.
326  521894  SCMC  Active   5/22/2018  5/22/2028  (100%) GREAT BEAR RESOURCES LTD.
327  521895  SCMC  Active   5/22/2018  5/22/2028  (100%) GREAT BEAR RESOURCES LTD.
328  521896  SCMC  Active   5/22/2018  5/22/2028  (100%) GREAT BEAR RESOURCES LTD.
329  521897  SCMC  Active   5/22/2018  5/22/2028  (100%) GREAT BEAR RESOURCES LTD.
330  521898  SCMC  Active   5/22/2018  5/22/2028  (100%) GREAT BEAR RESOURCES LTD.
331  521899  SCMC  Active   5/22/2018  5/22/2028  (100%) GREAT BEAR RESOURCES LTD.
332  521900  SCMC  Active   5/22/2018  5/22/2028  (100%) GREAT BEAR RESOURCES LTD.
333  521901  SCMC  Active   5/22/2018  5/22/2028  (100%) GREAT BEAR RESOURCES LTD.
334  521902  SCMC  Active   5/22/2018  5/22/2028  (100%) GREAT BEAR RESOURCES LTD.
335  521903  SCMC  Active   5/22/2018  5/22/2028  (100%) GREAT BEAR RESOURCES LTD.
336  521904  SCMC  Active   5/22/2018  5/22/2028  (100%) GREAT BEAR RESOURCES LTD.
337  521905  SCMC  Active   5/22/2018  5/22/2028  (100%) GREAT BEAR RESOURCES LTD.
338  521906  SCMC  Active   5/22/2018  5/22/2028  (100%) GREAT BEAR RESOURCES LTD.
339  521907  SCMC  Active   5/22/2018  5/22/2028  (100%) GREAT BEAR RESOURCES LTD.
340  521908  SCMC  Active   5/22/2018  5/22/2028  (100%) GREAT BEAR RESOURCES LTD.
341  521909  SCMC  Active   5/22/2018  5/22/2028  (100%) GREAT BEAR RESOURCES LTD.
342  521910  SCMC  Active   5/22/2018  5/22/2028  (100%) GREAT BEAR RESOURCES LTD.

 

Page 432

 

 

Kinross Gold Corporation

Great Bear Gold Project

Ontario, Canada

NI 43-101 Technical Report

 
N.  Tenure
Number
  Title
Type
  Tenure
Status
  Issue Date  Anniversary
Date
  Holder
343  521911  SCMC  Active   5/22/2018  5/22/2028  (100%) GREAT BEAR RESOURCES LTD.
344  521912  SCMC  Active   5/22/2018  5/22/2028  (100%) GREAT BEAR RESOURCES LTD.
345  521913  SCMC  Active   5/22/2018  5/22/2028  (100%) GREAT BEAR RESOURCES LTD.
346  521914  SCMC  Active   5/22/2018  5/22/2028  (100%) GREAT BEAR RESOURCES LTD.
347  521915  SCMC  Active   5/22/2018  5/22/2028  (100%) GREAT BEAR RESOURCES LTD.
348  527704  SCMC  Active   8/20/2018  8/20/2028  (100%) GREAT BEAR RESOURCES LTD.
349  527756  SCMC  Active   8/23/2018  8/23/2028  (100%) GREAT BEAR RESOURCES LTD.
350  528258  SCMC  Active   8/23/2018  8/23/2030  (100%) GREAT BEAR RESOURCES LTD.
351  528263  SCMC  Active   8/23/2018  8/23/2030  (100%) GREAT BEAR RESOURCES LTD.
352  528523  SCMC  Active   8/23/2018  8/23/2030  (100%) GREAT BEAR RESOURCES LTD.
353  528551  SCMC  Active   8/23/2018  8/23/2030  (100%) GREAT BEAR RESOURCES LTD.
354  868664  SCMC  Active   11/27/2023  3/23/2028  (100%) GREAT BEAR RESOURCES LTD.
355  868665  SCMC  Active   11/27/2023  12/18/2028  (100%) GREAT BEAR RESOURCES LTD.
356  868784  SCMC  Active   11/27/2023  8/3/2028  (100%) GREAT BEAR RESOURCES LTD.
357  868785  SCMC  Active   11/27/2023  9/8/2028  (100%) GREAT BEAR RESOURCES LTD.
358  868786  SCMC  Active   11/27/2023  9/8/2028  (100%) GREAT BEAR RESOURCES LTD.
359  868787  SCMC  Active   11/27/2023  8/3/2028  (100%) GREAT BEAR RESOURCES LTD.
360  868788  SCMC  Active   11/27/2023  9/8/2028  (100%) GREAT BEAR RESOURCES LTD.
361  868789  SCMC  Active   11/27/2023  2/8/2028  (100%) GREAT BEAR RESOURCES LTD.
362  868790  SCMC  Active   11/27/2023  9/8/2028  (100%) GREAT BEAR RESOURCES LTD.
363  868791  SCMC  Active   11/27/2023  2/8/2028  (100%) GREAT BEAR RESOURCES LTD.
364  868792  SCMC  Active   11/27/2023  8/3/2028  (100%) GREAT BEAR RESOURCES LTD.
365  868793  SCMC  Active   11/27/2023  9/8/2028  (100%) GREAT BEAR RESOURCES LTD.

 

Page 433

 

 

Kinross Gold Corporation

Great Bear Gold Project

Ontario, Canada

NI 43-101 Technical Report

 

N.  Tenure
Number
  Title
Type
  Tenure
Status
  Issue Date  Anniversary
Date
  Holder
366  868794  SCMC  Active   11/27/2023  9/8/2028  (100%) GREAT BEAR RESOURCES LTD.
367  868795  SCMC  Active   11/27/2023  8/3/2028  (100%) GREAT BEAR RESOURCES LTD.
368  868796  SCMC  Active   11/27/2023  8/4/2028  (100%) GREAT BEAR RESOURCES LTD.
369  868797  SCMC  Active   11/27/2023  8/4/2028  (100%) GREAT BEAR RESOURCES LTD.
370  868798  SCMC  Active   11/27/2023  9/8/2028  (100%) GREAT BEAR RESOURCES LTD.
371  868799  SCMC  Active   11/27/2023  9/13/2028  (100%) GREAT BEAR RESOURCES LTD.
372  868800  SCMC  Active   11/27/2023  9/8/2028  (100%) GREAT BEAR RESOURCES LTD.
373  868801  SCMC  Active   11/27/2023  9/8/2028  (100%) GREAT BEAR RESOURCES LTD.
374  868802  SCMC  Active   11/27/2023  2/8/2028  (100%) GREAT BEAR RESOURCES LTD.
375  868803  SCMC  Active   11/27/2023  4/28/2028  (100%) GREAT BEAR RESOURCES LTD.
376  868804  SCMC  Active   11/27/2023  8/4/2028  (100%) GREAT BEAR RESOURCES LTD.
377  868805  MCMC  Active   11/27/2023  4/28/2028  (100%) GREAT BEAR RESOURCES LTD.
378  868806  MCMC  Active   11/27/2023  9/8/2028  (100%) GREAT BEAR RESOURCES LTD.
379  868807  BCMC  Active   11/27/2023  8/3/2028  (100%) GREAT BEAR RESOURCES LTD.
380  868808  BCMC  Active   11/27/2023  8/3/2028  (100%) GREAT BEAR RESOURCES LTD.
381  868809  BCMC  Active   11/27/2023  8/4/2028  (100%) GREAT BEAR RESOURCES LTD.
382  868810  BCMC  Active   11/27/2023  8/4/2028  (100%) GREAT BEAR RESOURCES LTD.
383  868811  BCMC  Active   11/27/2023  8/3/2028  (100%) GREAT BEAR RESOURCES LTD.
384  868812  SCMC  Active   11/27/2023  8/3/2028  (100%) GREAT BEAR RESOURCES LTD.
385  868813  SCMC  Active   11/27/2023  9/13/2028  (100%) GREAT BEAR RESOURCES LTD.
386  868814  SCMC  Active   11/27/2023  8/3/2028  (100%) GREAT BEAR RESOURCES LTD.
387  868815  SCMC  Active   11/27/2023  8/4/2028  (100%) GREAT BEAR RESOURCES LTD.

 

Page 434

 

 

Exhibit 99.2

 

  Kinross Gold Corporation
Great Bear Gold Project
Ontario, Canada
NI 43-101 Technical Report

 

Nicos Pfeiffer

 

I, Nicos Pfeiffer, P.Geo., as an author of this report entitled “Great Bear Gold Project Ontario, Canada - Voluntary National Instrument 43-101 Technical Report” with an effective date of September 1, 2024, prepared for Kinross Gold Corporation, do hereby certify that:

 

1)I am Vice President, Geology & Technical Evaluations and Company QP with Kinross Gold Corp. of 25 York Street, 17th floor Toronto On.

 

2)I am a graduate of Carleton University, Ottawa, Ontario in 2009 with an Honours B.Sc. Earth Science.

 

3)I am registered as a Professional Geologist in the Province of Ontario (Reg# 2354). I have over 15 years of mining industry experience. My relevant experience for the purpose of the Technical Report is:

 

·Domestic and international experience in both underground and open pit operational geology roles as well as exploration and resource estimation.

 

·Experience leading multi-disciplinary technical teams in both a corporate and operational capacity.

 

4)I have read the definition of "qualified person" set out in National Instrument 43-101 (NI 43-101) and certify that by reason of my education, affiliation with a professional association (as defined in NI 43-101) and past relevant work experience, I fulfill the requirements to be a "qualified person" for the purposes of NI 43-101.

 

5)I last visited the Great Bear Project on July 17, 2024.

 

6)I am responsible for overall preparation of the Technical Report, in particular, Sections 2 to 5, 14, 15, 19, 23, 24, and related disclosure in Sections 1, 25, 26, and 27.

 

7)I am not independent of the Issuer applying the test set out in Section 1.5 of NI 43-101.

 

8)I have had prior involvement with the property that is the subject of the Technical Report.

 

9)I have read NI 43-101, and the Technical Report has been prepared in compliance with NI 43-101 and Form 43-101F1.

 

10)At the effective date of the Technical Report, to the best of my knowledge, information, and belief, the Technical Report for which I am responsible contains all scientific and technical information that is required to be disclosed to make the Technical Report not misleading.

 

 

 

 

  Kinross Gold Corporation
Great Bear Gold Project
Ontario, Canada
NI 43-101 Technical Report

 

Dated this 10th day of September, 2024

 

(Signed and Sealed) Nicos Pfeiffer

 

Nicos Pfeiffer, P.Geo.

 

 

 

 

Exhibit 99.3

 

September 10, 2024

 

Consent of Qualified Person

 

TO: Ontario Securities Commission

 

AND TO: British Columbia Securities Commission

Alberta Securities Commission

Financial and Consumer Affairs Authority of Saskatchewan

Manitoba Securities Commission

Autorité des marchés financiers

New Brunswick Financial and Consumer Services Commission

Nova Scotia Securities Commission

Office of the Superintendent of Securities, Prince Edward Island

Office of the Superintendent of Securities, Service Newfoundland and Labrador

(collectively, the “Canadian Securities Commissions”)

 

Re: Voluntary Filing of Technical Report by Kinross Gold Corporation

 

Reference is made to the technical report titled “Great Bear Gold Project, Ontario, Canada – Voluntary National Instrument 43-101 Technical Report”, with an effective date of September 1, 2024, prepared for Kinross Gold Corporation and dated September 10, 2024 (the Technical Report). The property that is the subject of the Technical Report is not currently a property material to Kinross Gold Corporation, and the filing is therefore on a voluntary basis.

 

Pursuant to Section 8.3 of National Instrument 43-101 – Standards of Disclosure for Mineral Projects, I, Nicos Pfeiffer, P.Geo., do hereby consent to the public filing of the Technical Report by Kinross Gold Corporation with the Canadian Securities Commissions and to the use of extracts from, or the summary of, the Technical Report in the news release of Kinross Gold Corporation dated September 10, 2024 (the News Release).

 

I also certify that I have read the News Release and that it fairly and accurately represents the information in the Technical Report.

 

(Signed) Nicos Pfeiffer

 

Nicos Pfeiffer, P.Geo.

Vice President, Geology & Technical Evaluations

Kinross Gold Corporation

 

 

 

 

Exhibit 99.4

 

CONSENT OF NICOS PFEIFFER

 

TO BEING NAMED AS A QUALIFIED PERSON

 

September 10, 2024

 

I hereby consent to the inclusions of the “Great Bear Gold Project, Ontario, Canada – Voluntary National Instrument 43-101 Technical Report” (“Technical Report”), effective date September 1, 2024 in the report on Form 6-K dated September 10, 2024 to be filed by Kinross Gold Corporation.

 

I also hereby consent to the incorporation by reference of the Technical Report into the Registration Statements on Form S-8 (Registration No. 333-262966 filed on February 24, 2022, Registration No. 333-217099 filed on April 3, 2017 and Registration Nos. 333-180824, 333-180823 and 333-180822 filed on April 19, 2012).

 

Sincerely,

 

/s/ Nicos Pfeiffer  
   
Nicos Pfeiffer, P.Geo.  

 

 

 

 

Exhibit 99.5

 

  Kinross Gold Corporation
Great Bear Gold Project
Ontario, Canada
NI 43-101 Technical Report

 

Graham Long

 

I, Graham Long, P.Geo., as an author of this report entitled “Great Bear Gold Project Ontario, Canada - Voluntary National Instrument 43-101 Technical Report” with an effective date of September 1, 2024, prepared for Kinross Gold Corporation, do hereby certify that:

 

1)I am Vice President, Exploration with Kinross Gold Corp. of 25 York Street, Toronto ON.

 

2)I am a graduate of Concordia University, Montréal, Québec, in 1988 with a B.Sc. Specialization in Geology.

 

3)I have over 36 years of mining exploration experience. My experience covers both domestic and international work in exploring for orebodies from surface and underground. I have experience in both open pit and underground mining.

 

4)I have read the definition of "qualified person" set out in National Instrument 43-101 (NI 43-101) and certify that by reason of my education, affiliation with a professional association (as defined in NI 43-101) and past relevant work experience, I fulfill the requirements to be a "qualified person" for the purposes of NI 43-101.

 

5)I last visited the Great Bear Project on December 6-7, 2023.

 

6)I am responsible for Sections 6 to 12 and related disclosure in Sections 1, 25, 26, and 27 of the Technical Report.

 

7)I am not independent of the Issuer applying the test set out in Section 1.5 of NI 43-101.

 

8)I have had prior involvement with the property that is the subject of the Technical Report.

 

9)I have read NI 43-101, and the Technical Report has been prepared in compliance with NI 43-101 and Form 43-101F1.

 

10)At the effective date of the Technical Report, to the best of my knowledge, information, and belief, the sections of the Technical Report for which I am responsible contain all scientific and technical information that is required to be disclosed to make the Technical Report not misleading.

 

Dated this 10th day of September, 2024

 

(Signed and Sealed) Graham Long

 

Graham Long, P.Geo.

 

 

 

 

Exhibit 99.6

 

September 10, 2024

 

Consent of Qualified Person

 

TO: Ontario Securities Commission

 

AND TO: British Columbia Securities Commission

Alberta Securities Commission

Financial and Consumer Affairs Authority of Saskatchewan

Manitoba Securities Commission

Autorité des marchés financiers

New Brunswick Financial and Consumer Services Commission

Nova Scotia Securities Commission

Office of the Superintendent of Securities, Prince Edward Island

Office of the Superintendent of Securities, Service Newfoundland and Labrador

(collectively, the “Canadian Securities Commissions”)

 

Re: Voluntary Filing of Technical Report by Kinross Gold Corporation

 

Reference is made to the technical report titled “Great Bear Gold Project, Ontario, Canada – Voluntary National Instrument 43-101 Technical Report”, with an effective date of September 1, 2024, prepared for Kinross Gold Corporation and dated September 10, 2024 (the Technical Report). The property that is the subject of the Technical Report is not currently a property material to Kinross Gold Corporation, and the filing is therefore on a voluntary basis.

 

Pursuant to Section 8.3 of National Instrument 43-101 – Standards of Disclosure for Mineral Projects, I, Graham Long, P.Geo., do hereby consent to the public filing of the Technical Report by Kinross Gold Corporation with the Canadian Securities Commissions and to the use of extracts from, or the summary of, the Technical Report in the news release of Kinross Gold Corporation dated September 10, 2024 (the News Release).

 

I also certify that I have read the News Release and that it fairly and accurately represents the information in the Technical Report.

 

(Signed) Graham Long

 

Graham Long, P.Geo.

Vice President, Exploration

Kinross Gold Corporation

 

 

 

 

Exhibit 99.7

 

CONSENT OF GRAHAM LONG

 

TO BEING NAMED AS A QUALIFIED PERSON

 

September 10, 2024

 

I hereby consent to the inclusions of the “Great Bear Gold Project, Ontario, Canada – Voluntary National Instrument 43-101 Technical Report” (“Technical Report”), effective date September 1, 2024 in the report on Form 6-K dated September 10, 2024 to be filed by Kinross Gold Corporation.

 

I also hereby consent to the incorporation by reference of the Technical Report into the Registration Statements on Form S-8 (Registration No. 333-262966 filed on February 24, 2022, Registration No. 333-217099 filed on April 3, 2017 and Registration Nos. 333-180824, 333-180823 and 333-180822 filed on April 19, 2012).

 

Sincerely,

 

/s/ Graham Long  
   
Graham Long, P.Geo.  

 

 

 

 

Exhibit 99.8

 

  Kinross Gold Corporation
Great Bear Gold Project
Ontario, Canada
NI 43-101 Technical Report

 

Yves Breau

 

I, Yves Breau, P.Eng., as an author of this report entitled “Great Bear Gold Project Ontario, Canada - Voluntary National Instrument 43-101 Technical Report” with an effective date of September 1, 2024, prepared for Kinross Gold Corporation, do hereby certify that:

 

1)I am Vice President, Metallurgy & Engineering with Kinross Gold Corporation, of 25 York Street, 17th Floor, Toronto, Ontario, M5J 2V5.

 

2)I am a graduate of University of Laval, Québec City in 1997 with a B.Sc. in Materials and Metallurgy Engineering.

 

3)I am registered as a Professional Engineer in the Province of Ontario (Reg.# 100194755). I have worked as an engineer for a total of 26 years since my graduation. My relevant experience for the purpose of the Technical Report is:

 

·My work experience has included multiple operations roles from metallurgist to process manager and multiple mining company corporate roles from manager to Vice-President.

 

·In my roles in operations and corporate, I have completed many studies related to gold mineral processing.

 

4)I have read the definition of “qualified person” set out in National Instrument 43-101 (NI 43-101) and certify that by reason of my education, affiliation with a professional association (as defined in NI 43-101) and past relevant work experience, I fulfill the requirements to be a “qualified person” for the purposes of NI 43-101.

 

5)I visited the Great Bear Project on July 24 to 25, 2024.

 

6)I am responsible for Sections 13, 17, the portion of Section 18 that covers backfill plant, the portion of Section 21 that covers processing operating costs, and related disclosure in Sections 1, 25, 26, and 27 of the Technical Report.

 

7)I am not independent of the Issuer applying the test set out in Section 1.5 of NI 43-101.

 

8)I have had prior involvement with the property that is the subject of the Technical Report.

 

9)I have read NI 43-101, and the Technical Report has been prepared in compliance with NI 43-101 and Form 43-101F1.

 

10)At the effective date of the Technical Report, to the best of my knowledge, information, and belief, the sections of the Technical Report for which I am responsible contain all scientific and technical information that is required to be disclosed to make the Technical Report not misleading.

 

 

 

 

  Kinross Gold Corporation
Great Bear Gold Project
Ontario, Canada
NI 43-101 Technical Report

 

Dated this 10th day of September, 2024

 

(Signed and Sealed) Yves Breau

 

Yves Breau, P.Eng.

 

 

 

 

Exhibit 99.9

 

September 10, 2024

 

Consent of Qualified Person

 

TO: Ontario Securities Commission

 

AND TO: British Columbia Securities Commission

Alberta Securities Commission

Financial and Consumer Affairs Authority of Saskatchewan

Manitoba Securities Commission

Autorité des marchés financiers

New Brunswick Financial and Consumer Services Commission

Nova Scotia Securities Commission

Office of the Superintendent of Securities, Prince Edward Island

Office of the Superintendent of Securities, Service Newfoundland and Labrador

(collectively, the “Canadian Securities Commissions”)

 

Re: Voluntary Filing of Technical Report by Kinross Gold Corporation

 

Reference is made to the technical report titled “Great Bear Gold Project, Ontario, Canada – Voluntary National Instrument 43-101 Technical Report”, with an effective date of September 1, 2024, prepared for Kinross Gold Corporation and dated September 10, 2024 (the Technical Report). The property that is the subject of the Technical Report is not currently a property material to Kinross Gold Corporation, and the filing is therefore on a voluntary basis.

 

Pursuant to Section 8.3 of National Instrument 43-101 – Standards of Disclosure for Mineral Projects, I, Yves Breau, P.Eng., do hereby consent to the public filing of the Technical Report by Kinross Gold Corporation with the Canadian Securities Commissions and to the use of extracts from, or the summary of, the Technical Report in the news release of Kinross Gold Corporation dated September 10, 2024 (the News Release).

 

I also certify that I have read the News Release and that it fairly and accurately represents the information in the Technical Report.

 

(Signed) Yves Breau

 

Yves Breau, P.Eng.

Vice President, Metallurgy & Engineering

Kinross Gold Corporation

 

 

 

 

Exhibit 99.10

 

CONSENT OF YVES BREAU

 

TO BEING NAMED AS A QUALIFIED PERSON

 

September 10, 2024

 

I hereby consent to the inclusions of the “Great Bear Gold Project, Ontario, Canada – Voluntary National Instrument 43-101 Technical Report” (“Technical Report”), effective date September 1, 2024 in the report on Form 6-K dated September 10, 2024 to be filed by Kinross Gold Corporation.

 

I also hereby consent to the incorporation by reference of the Technical Report into the Registration Statements on Form S-8 (Registration No. 333-262966 filed on February 24, 2022, Registration No. 333-217099 filed on April 3, 2017 and Registration Nos. 333-180824, 333-180823 and 333-180822 filed on April 19, 2012).

 

Sincerely,

 

/s/ Yves Breau  
   
Yves Breau, P.Eng.  

 

 

 

 

Exhibit 99.11

 

  Kinross Gold Corporation
Great Bear Gold Project
Ontario, Canada
NI 43-101 Technical Report

 

Agung Prawasono

 

I, Agung Prawasono, P.Eng., PMP, as an author of this report entitled “Great Bear Gold Project Ontario, Canada - Voluntary National Instrument 43-101 Technical Report” with an effective date of September 1, 2024, prepared for Kinross Gold Corporation, do hereby certify that:

 

1)I am a Senior Director, Mine Planning with Kinross Gold Corporation, of 25 York Street, 17th Floor, Toronto, Ontario M5J 2V5.

 

2)I am a graduate of UPN “Veteran” Yogyakarta, Indonesia in 1999 with a Bachelor of Engineering Degree in Mining Engineering program.

 

3)I am registered as a Professional Engineer in the Province of Ontario (Reg.#100533117). I have worked as a mining engineer for a total of 25 years since my graduation. My relevant experience for the purpose of the Technical Report is 25 years’ experience in resource optimization related works that includes mine designs and mine planning for precious and base metal operations and projects in Indonesia, India, Africa, North America and South America.

 

4)I have read the definition of “qualified person” set out in National Instrument 43-101 (NI 43-101) and certify that by reason of my education, affiliation with a professional association (as defined in NI 43-101) and past relevant work experience, I fulfill the requirements to be a “qualified person” for the purposes of NI 43-101.

 

5)I visited the Great Bear Project on August 20 to 21, 2024.

 

6)I am responsible for portions of Section 16 that cover the open pit mining method and open pit LOM plan, portions of Section 21 that cover open pit mining capital and operating costs, and related disclosure in Sections 1, 25, 26, and 27 of the Technical Report.

 

7)I am not independent of the Issuer applying the test set out in Section 1.5 of NI 43-101.

 

8)I have been actively involved since February of 2022 on the project that is the subject of the Technical Report.

 

9)I have read NI 43-101, and the Technical Report has been prepared in compliance with NI 43-101 and Form 43-101F1.

 

10)At the effective date of the Technical Report, to the best of my knowledge, information, and belief, the sections of the Technical Report for which I am responsible contain all scientific and technical information that is required to be disclosed to make the Technical Report not misleading.

 

 

 

 

  Kinross Gold Corporation
Great Bear Gold Project
Ontario, Canada
NI 43-101 Technical Report

 

Dated this 10th day of September, 2024

 

(Signed and Sealed) Agung Prawasono

 

Agung Prawasono, P.Eng., PMP

 

 

 

 

Exhibit 99.12

 

September 10, 2024

 

Consent of Qualified Person

 

TO: Ontario Securities Commission

 

AND TO: British Columbia Securities Commission

Alberta Securities Commission

Financial and Consumer Affairs Authority of Saskatchewan

Manitoba Securities Commission

Autorité des marchés financiers

New Brunswick Financial and Consumer Services Commission

Nova Scotia Securities Commission

Office of the Superintendent of Securities, Prince Edward Island

Office of the Superintendent of Securities, Service Newfoundland and Labrador

(collectively, the “Canadian Securities Commissions”)

 

Re: Voluntary Filing of Technical Report by Kinross Gold Corporation

 

Reference is made to the technical report titled “Great Bear Gold Project, Ontario, Canada – Voluntary National Instrument 43-101 Technical Report”, with an effective date of September 1, 2024, prepared for Kinross Gold Corporation and dated September 10, 2024 (the Technical Report). The property that is the subject of the Technical Report is not currently a property material to Kinross Gold Corporation, and the filing is therefore on a voluntary basis.

 

Pursuant to Section 8.3 of National Instrument 43-101 – Standards of Disclosure for Mineral Projects, I, Agung Prawasono, P.Eng., PMP, do hereby consent to the public filing of the Technical Report by Kinross Gold Corporation with the Canadian Securities Commissions and to the use of extracts from, or the summary of, the Technical Report in the news release of Kinross Gold Corporation dated September 10, 2024 (the News Release).

 

I also certify that I have read the News Release and that it fairly and accurately represents the information in the Technical Report.

 

(Signed) Agung Prawasono

 

Agung Prawasono, P.Eng., PMP

Senior Director, Mine Planning

Kinross Gold Corporation

 

 

 

 

Exhibit 99.13

 

CONSENT OF AGUNG PRAWASONO

 

TO BEING NAMED AS A QUALIFIED PERSON

 

September 10, 2024

 

I hereby consent to the inclusions of the “Great Bear Gold Project, Ontario, Canada – Voluntary National Instrument 43-101 Technical Report” (“Technical Report”), effective date September 1, 2024 in the report on Form 6-K dated September 10, 2024 to be filed by Kinross Gold Corporation.

 

I also hereby consent to the incorporation by reference of the Technical Report into the Registration Statements on Form S-8 (Registration No. 333-262966 filed on February 24, 2022, Registration No. 333-217099 filed on April 3, 2017 and Registration Nos. 333-180824, 333-180823 and 333-180822 filed on April 19, 2012).

 

Sincerely,

 

/s/ Agung Prawasono  
   
Agung Prawasono, P.Eng., PMP  

 

 

 

 

Exhibit 99.14

 

  Kinross Gold Corporation
Great Bear Gold Project
Ontario, Canada
NI 43-101 Technical Report

 

Arkadius Tarigan

 

Arkadius Tarigan, P.Eng., as an author of this report entitled “Great Bear Gold Project Ontario, Canada - Voluntary National Instrument 43-101 Technical Report” with an effective date of September 1, 2024, prepared for Kinross Gold Corporation, do hereby certify that:

 

1)I am a Senior Director, Underground Mining with Kinross Gold Corporation, of 25 York Street, 17th Floor, Toronto, Ontario, M5J 2V5.

 

2)I am a graduate of UPN “Veteran” Yogyakarta in 1998 with BSc. degree in Mining Engineering and University of Utah, Salt Lake City in 2006 with an MSc. degree in Mining Engineering.

 

3)I am registered as a Professional Engineer in the Province of Ontario (Reg.# 100526678). I have worked as an engineer for a total of 22 years since my graduation. My relevant experience for the purpose of the Technical Report is:

 

·Experience in Mineral Reserves estimation and Mine Planning for multiple underground mines/projects and mining methods.

 

·Experience as a study manager and mining lead for various underground mine studies at various stages and experience in leading multi-disciplinary technical and operational teams at site for underground projects’ execution.

 

4)I have read the definition of “qualified person” set out in National Instrument 43-101 (NI 43-101) and certify that by reason of my education, affiliation with a professional association (as defined in NI 43-101) and past relevant work experience, I fulfill the requirements to be a “qualified person” for the purposes of NI 43-101.

 

5)I visited the Great Bear Project on July 24-25, 2024.

 

1)I am responsible for portions of Section 16 that cover the underground mining method and underground LOM plan, portions of Section 21 that cover underground mining capital and operating costs, and related disclosure in Sections 1, 25, 26, and 27 of the Technical Report.

 

6)I am not independent of the Issuer applying the test set out in Section 1.5 of NI 43-101.

 

7)I have had prior involvement with the property that is the subject of the Technical Report.

 

8)I have read NI 43-101, and the Technical Report has been prepared in compliance with NI 43-101 and Form 43-101F1.

 

 

 

 

  Kinross Gold Corporation
Great Bear Gold Project
Ontario, Canada
NI 43-101 Technical Report

 

9)At the effective date of the Technical Report, to the best of my knowledge, information, and belief, the sections of the Technical Report for which I am responsible contain all scientific and technical information that is required to be disclosed to make the Technical Report not misleading.

 

Dated this 10th day of September, 2024

 

(Signed and Sealed) Arkadius Tarigan

 

Arkadius Tarigan, P.Eng.

 

 

 

 

Exhibit 99.15

 

September 10, 2024

 

Consent of Qualified Person

 

TO: Ontario Securities Commission

 

AND TO: British Columbia Securities Commission

Alberta Securities Commission

Financial and Consumer Affairs Authority of Saskatchewan

Manitoba Securities Commission

Autorité des marchés financiers

New Brunswick Financial and Consumer Services Commission

Nova Scotia Securities Commission

Office of the Superintendent of Securities, Prince Edward Island

Office of the Superintendent of Securities, Service Newfoundland and Labrador

(collectively, the “Canadian Securities Commissions”)

 

Re: Voluntary Filing of Technical Report by Kinross Gold Corporation

 

Reference is made to the technical report titled “Great Bear Gold Project, Ontario, Canada – Voluntary National Instrument 43-101 Technical Report”, with an effective date of September 1, 2024, prepared for Kinross Gold Corporation and dated September 10, 2024 (the Technical Report). The property that is the subject of the Technical Report is not currently a property material to Kinross Gold Corporation, and the filing is therefore on a voluntary basis.

 

Pursuant to Section 8.3 of National Instrument 43-101 – Standards of Disclosure for Mineral Projects, I, Arkadius Tarigan, P.Eng., do hereby consent to the public filing of the Technical Report by Kinross Gold Corporation with the Canadian Securities Commissions and to the use of extracts from, or the summary of, the Technical Report in the news release of Kinross Gold Corporation dated September 10, 2024 (the News Release).

 

I also certify that I have read the News Release and that it fairly and accurately represents the information in the Technical Report.

 

(Signed) Arkadius Tarigan

 

Arkadius Tarigan, P.Eng.

Senior Director, Underground Mining

Kinross Gold Corporation

 

 

 

 

Exhibit 99.16

 

CONSENT OF ARKADIUS TARIGAN

 

TO BEING NAMED AS A QUALIFIED PERSON

 

September 10, 2024

 

I hereby consent to the inclusions of the “Great Bear Gold Project, Ontario, Canada – Voluntary National Instrument 43-101 Technical Report” (“Technical Report”), effective date September 1, 2024 in the report on Form 6-K dated September 10, 2024 to be filed by Kinross Gold Corporation.

 

I also hereby consent to the incorporation by reference of the Technical Report into the Registration Statements on Form S-8 (Registration No. 333-262966 filed on February 24, 2022, Registration No. 333-217099 filed on April 3, 2017 and Registration Nos. 333-180824, 333-180823 and 333-180822 filed on April 19, 2012).

 

Sincerely,

 

/s/ Arkadius Tarigan  
   
Arkadius Tarigan, P.Eng.  

 

 

 

Exhibit 99.17

 

Kinross Gold Corporation
Great Bear Gold Project
Ontario, Canada
NI 43-101 Technical Report

 

Jerry Ran

 

I, Jerry Ran, P.Eng., as an author of this report entitled “Great Bear Gold Project Ontario, Canada - Voluntary National Instrument 43-101 Technical Report” with an effective date of September 1, 2024, prepared for Kinross Gold Corporation, do hereby certify that:

 

1)I am Director, Geotechnical with Kinross Gold Corporation, of 25 York Street, 17th Floor, Toronto, Ontario, M5J 2V5.

 

2)I am a graduate of the Northeastern University, China in 1982 with a B.Sc. degree in Mining Engineering.

 

3)I am registered as a Professional Engineer in the Province of Ontario (Reg.# 100046725). I have worked as a registered engineer for a total of 25 years since my graduation. My relevant experience for the purpose of the Technical Report is:

 

·Application of geomechanics to design of open pit slopes and underground mine excavations

 

·Collection and analysis of geomechanical data for open-pit and underground mine design

 

4)I have read the definition of “qualified person” set out in National Instrument 43-101 (NI 43-101) and certify that by reason of my education, affiliation with a professional association (as defined in NI 43-101) and past relevant work experience, I fulfill the requirements to be a “qualified person” for the purposes of NI 43-101.

 

5)I visited the Great Bear Project on July 23-25, 2024.

 

6)I am responsible for the portion of Section 16 that covers Geomechanics and related disclosure in Sections 1, 25, 26, and 27 of the Technical Report.

 

7)I am not independent of the Issuer applying the test set out in Section 1.5 of NI 43-101.

 

8)I have had prior involvement with the property that is the subject of the Technical Report.

 

9)I have read NI 43-101, and the Technical Report has been prepared in compliance with NI 43-101 and Form 43-101F1.

 

10)At the effective date of the Technical Report, to the best of my knowledge, information, and belief, the sections of the Technical Report for which I am responsible contain all scientific and technical information that is required to be disclosed to make the Technical Report not misleading.

 

 

 

 

Kinross Gold Corporation
Great Bear Gold Project
Ontario, Canada
NI 43-101 Technical Report

 

Dated this 10th day of September, 2024

 

(Signed and Sealed) Jerry Ran

 

Jerry Ran, P.Eng.

 

 

Exhibit 99.18

 

September 10, 2024

 

Consent of Qualified Person

 

TO: Ontario Securities Commission
   
AND TO:

British Columbia Securities Commission

Alberta Securities Commission

Financial and Consumer Affairs Authority of Saskatchewan

Manitoba Securities Commission

Autorité des marchés financiers

New Brunswick Financial and Consumer Services Commission

Nova Scotia Securities Commission

Office of the Superintendent of Securities, Prince Edward Island

Office of the Superintendent of Securities, Service Newfoundland and Labrador

(collectively, the “Canadian Securities Commissions”)

 

Re: Voluntary Filing of Technical Report by Kinross Gold Corporation

 

Reference is made to the technical report titled “Great Bear Gold Project, Ontario, Canada – Voluntary National Instrument 43-101 Technical Report”, with an effective date of September 1, 2024, prepared for Kinross Gold Corporation and dated September 10, 2024 (the Technical Report). The property that is the subject of the Technical Report is not currently a property material to Kinross Gold Corporation, and the filing is therefore on a voluntary basis.

 

Pursuant to Section 8.3 of National Instrument 43-101 – Standards of Disclosure for Mineral Projects, I, Jerry Ran, P.Eng., do hereby consent to the public filing of the Technical Report by Kinross Gold Corporation with the Canadian Securities Commissions and to the use of extracts from, or the summary of, the Technical Report in the news release of Kinross Gold Corporation dated September 10, 2024 (the News Release).

 

I also certify that I have read the News Release and that it fairly and accurately represents the information in the Technical Report.

 

(Signed) Jerry Ran

 

Jerry Ran, P.Eng.

Director, Geotechnical

Kinross Gold Corporation

 

 

 

Exhibit 99.19

 

CONSENT OF JERRY RAN

 

TO BEING NAMED AS A QUALIFIED PERSON

 

September 10, 2024

 

I hereby consent to the inclusions of the “Great Bear Gold Project, Ontario, Canada – Voluntary National Instrument 43-101 Technical Report” (“Technical Report”), effective date September 1, 2024 in the report on Form 6-K dated September 10, 2024 to be filed by Kinross Gold Corporation.

 

I also hereby consent to the incorporation by reference of the Technical Report into the Registration Statements on Form S-8 (Registration No. 333-262966 filed on February 24, 2022, Registration No. 333-217099 filed on April 3, 2017 and Registration Nos. 333-180824, 333-180823 and 333-180822 filed on April 19, 2012).

 

Sincerely,

 

/s/ Jerry Ran

 

Jerry Ran, P.Eng.

 

 

 

Exhibit 99.20

 

Kinross Gold Corporation

Great Bear Gold Project

Ontario, Canada

NI 43-101 Technical Report

 

Kevin van Warmerdam

 

I, Kevin van Warmerdam, P.Eng., as an author of this report entitled “Great Bear Gold Project Ontario, Canada - Voluntary National Instrument 43-101 Technical Report” with an effective date of September 1, 2024, prepared for Kinross Gold Corporation, do hereby certify that:

 

1)I am Senior Director, Engineering with Kinross Gold Corporation, of 25 York Street, 17th Floor, Toronto, Ontario, M5J 2V5.

 

2)I am a graduate of Queen’s University, Kingston, Ontario in 2008 with a B.A.Sc. degree in Mechanical Engineering. I am a graduate of the Schulich School of Business, Toronto, Ontario in 2016 with an MBA.

 

3)I am registered as a Professional Engineer in the Province of Ontario (Reg.# 100133956). I have worked as an engineer for a total of 16 years since my graduation. My relevant experience for the purpose of the Technical Report is:

 

·My work experience has included involvement in and leadership of many gold projects ranging from early-stage studies to detailed execution including detailed design, construction, commissioning, and ramp-up.

 

·I have developed and owned detailed financial models for gold project valuations as well as led or peer reviewed project economic analysis work by others.

 

4)I have read the definition of “qualified person” set out in National Instrument 43-101 (NI 43-101) and certify that by reason of my education, affiliation with a professional association (as defined in NI 43-101) and past relevant work experience, I fulfill the requirements to be a “qualified person” for the purposes of NI 43-101.

 

5)I visited the Great Bear Project on July 24 to 25, 2024.

 

6)I am responsible for Sections 18.1 Roads, 18.2 Utilities, 18.3 Fuel Facilities, 18.4 Buildings (except paste backfill plant), 21 (plant, site infrastructure, G&A, sustaining capital costs), 22, and related disclosure in Sections 1, 25, 26, and 27 of the Technical Report.

 

7)I am not independent of the Issuer applying the test set out in Section 1.5 of NI 43-101.

 

8)I have had prior involvement with the property that is the subject of the Technical Report.

 

9)I have read NI 43-101, and the Technical Report has been prepared in compliance with NI 43-101 and Form 43-101F1.

 

 

 

 

Kinross Gold Corporation

Great Bear Gold Project

Ontario, Canada

NI 43-101 Technical Report

 

10)At the effective date of the Technical Report, to the best of my knowledge, information, and belief, the sections of the Technical Report for which I am responsible contains all scientific and technical information that is required to be disclosed to make the Technical Report not misleading.

 

Dated this 10th day of September, 2024

 

(Signed and Sealed) Kevin van Warmerdam

 

Kevin van Warmerdam, P.Eng,

 

 

 

Exhibit 99.21

 

September 10, 2024

 

Consent of Qualified Person

 

TO: Ontario Securities Commission
   
AND TO:

British Columbia Securities Commission

Alberta Securities Commission

Financial and Consumer Affairs Authority of Saskatchewan

Manitoba Securities Commission

Autorité des marchés financiers

New Brunswick Financial and Consumer Services Commission

Nova Scotia Securities Commission

Office of the Superintendent of Securities, Prince Edward Island

Office of the Superintendent of Securities, Service Newfoundland and Labrador

(collectively, the “Canadian Securities Commissions”)

 

Re: Voluntary Filing of Technical Report by Kinross Gold Corporation

 

Reference is made to the technical report titled “Great Bear Gold Project, Ontario, Canada – Voluntary National Instrument 43-101 Technical Report”, with an effective date of September 1, 2024, prepared for Kinross Gold Corporation and dated September 10, 2024 (the Technical Report). The property that is the subject of the Technical Report is not currently a property material to Kinross Gold Corporation, and the filing is therefore on a voluntary basis.

 

Pursuant to Section 8.3 of National Instrument 43-101 – Standards of Disclosure for Mineral Projects, I, Kevin van Warmerdam, P.Eng., do hereby consent to the public filing of the Technical Report by Kinross Gold Corporation with the Canadian Securities Commissions and to the use of extracts from, or the summary of, the Technical Report in the news release of Kinross Gold Corporation dated September 10, 2024 (the News Release).

 

I also certify that I have read the News Release and that it fairly and accurately represents the information in the Technical Report.

 

(Signed) Kevin van Warmerdam

 

Kevin van Warmerdam, P.Eng.

Senior Director, Engineering

Kinross Gold Corporation

 

 

 

Exhibit 99.22

 

CONSENT OF KEVIN VAN WARMERDAM

 

TO BEING NAMED AS A QUALIFIED PERSON

 

September 10, 2024

 

I hereby consent to the inclusions of the “Great Bear Gold Project, Ontario, Canada – Voluntary National Instrument 43-101 Technical Report” (“Technical Report”), effective date September 1, 2024 in the report on Form 6-K dated September 10, 2024 to be filed by Kinross Gold Corporation.

 

I also hereby consent to the incorporation by reference of the Technical Report into the Registration Statements on Form S-8 (Registration No. 333-262966 filed on February 24, 2022, Registration No. 333-217099 filed on April 3, 2017 and Registration Nos. 333-180824, 333-180823 and 333-180822 filed on April 19, 2012).

 

Sincerely,

 

/s/ Kevin van Warmerdam

 

Kevin van Warmerdam, P.Eng.

 

 

 

Exhibit 99.23

 

 

Kinross Gold Corporation

Great Bear Gold Project

Ontario, Canada

NI 43-101 Technical Report

 

Dennis Renda

 

I, Dennis Renda, P.Eng., as an author of this report entitled “Great Bear Gold Project Ontario, Canada - Voluntary National Instrument 43-101 Technical Report” with an effective date of September 1, 2024, prepared for Kinross Gold Corporation, do hereby certify that:

 

1)I am a Principal Geotechnical Engineer with WSP Canada Inc., of 6925 Century Avenue, Suite 600, Mississauga, ON Canada L5N 7K2.

 

2)I am a graduate of Lakehead University, Thunder Bay, in 2005 with a B.Eng. in Civil Engineering.

 

3)I am registered as a Professional Engineer in the Province of Ontario (Licence/File # 100102319). I have practiced my profession for nineteen years since my graduation. My relevant experience for the purpose of the Technical Report is:

 

·I have been working in mine waste consulting for nineteen years and during that time provided support for engineering reports in similar geologic settings in Ontario.

 

4)I have read the definition of “qualified person” set out in National Instrument 43-101 (NI 43-101) and certify that by reason of my education, affiliation with a professional association (as defined in NI 43-101) and past relevant work experience, I fulfill the requirements to be a “qualified person” for the purposes of NI 43-101.

 

5)I visited the Great Bear Project on August 8 to 10, 2022.

 

6)I am responsible for Sections 18.5 (TMF), 18.6 (Water Management), 18.7 (Mine Rock and Overburden Stockpiles), 21.1 (TMF capital costs), and related disclosure in Sections 1, 25, 26, and 27 of the Technical Report.

 

7)I am independent of the Issuer applying the test set out in Section 1.5 of NI 43-101.

 

8)I have been actively involved with the property that is the subject of the Technical Report since July of 2022.

 

9)I have read NI 43-101, and the Technical Report has been prepared in compliance with NI 43-101 and Form 43-101F1.

 

10)At the effective date of the Technical Report, to the best of my knowledge, information, and belief, the sections of the Technical Report for which I am responsible contains all scientific and technical information that is required to be disclosed to make the Technical Report not misleading.

 

 

 

 

 

Kinross Gold Corporation

Great Bear Gold Project

Ontario, Canada

NI 43-101 Technical Report

 

Dated this 10th day of September, 2024

 

(Signed and Sealed) Dennis Renda

 

Dennis Renda, P.Eng.

 

 

 

Exhibit 99.24

 

September 10, 2024

 

Consent of Qualified Person

 

TO: Ontario Securities Commission
   
AND TO:

British Columbia Securities Commission

Alberta Securities Commission

Financial and Consumer Affairs Authority of Saskatchewan

Manitoba Securities Commission

Autorité des marchés financiers

New Brunswick Financial and Consumer Services Commission

Nova Scotia Securities Commission

Office of the Superintendent of Securities, Prince Edward Island

Office of the Superintendent of Securities, Service Newfoundland and

Labrador

(collectively, the “Canadian Securities Commissions”)

 

Re: Voluntary Filing of Technical Report by Kinross Gold Corporation

 

Reference is made to the technical report titled “Great Bear Gold Project, Ontario, Canada – Voluntary National Instrument 43-101 Technical Report”, with an effective date of September 1, 2024, prepared for Kinross Gold Corporation and dated September 10, 2024 (the Technical Report). The property that is the subject of the Technical Report is not currently a property material to Kinross Gold Corporation, and the filing is therefore on a voluntary basis.

 

Pursuant to Section 8.3 of National Instrument 43-101 – Standards of Disclosure for Mineral Projects, I, Dennis Renda, P.Eng., do hereby consent to the public filing of the Technical Report by Kinross Gold Corporation with the Canadian Securities Commissions and to the use of extracts from, or the summary of, the Technical Report in the news release of Kinross Gold Corporation dated September 10, 2024 (the News Release).

 

I also certify that I have read the News Release and that it fairly and accurately represents the information in the Technical Report.

 

(Signed) Dennis Renda

 

Dennis Renda, P.Eng.

Principal Geotechnical Engineer

WSP Canada Inc.

 

 

 

Exhibit 99.25

 

CONSENT OF DENNIS RENDA

 

TO BEING NAMED AS A QUALIFIED PERSON

 

September 10, 2024

 

I hereby consent to the inclusions of the “Great Bear Gold Project, Ontario, Canada – Voluntary National Instrument 43-101 Technical Report” (“Technical Report”), effective date September 1, 2024 in the report on Form 6-K dated September 10, 2024 to be filed by Kinross Gold Corporation.

 

I also hereby consent to the incorporation by reference of the Technical Report into the Registration Statements on Form S-8 (Registration No. 333-262966 filed on February 24, 2022, Registration No. 333-217099 filed on April 3, 2017 and Registration Nos. 333-180824, 333-180823 and 333-180822 filed on April 19, 2012).

 

Sincerely,

 

/s/ Dennis Renda

 

Dennis Renda, P.Eng.

 

 

 

Exhibit 99.26

 

Kinross Gold Corporation

Great Bear Gold Project

Ontario, Canada

NI 43-101 Technical Report

 

Sheila Daniel

 

I, Sheila Daniel, P.Geo., as an author of this report entitled “Great Bear Gold Project Ontario, Canada - Voluntary National Instrument 43-101 Technical Report” with an effective date of September 1, 2024, prepared for Kinross Gold Corporation, do hereby certify that:

 

1)I am Geoscientist Fellow and Mining Environmental Approvals Team Lead with WSP Canada Inc., of 6925 Century Avenue, Suite 600, Mississauga, ON Canada L5N 7K2.

 

2)I am a graduate of McMaster University in 1990 with a M.Sc., and from the University of Western Ontario in 1988 with a B.Sc. (Honours).

 

3)I am registered as a Professional Geoscientist with Professional Geoscientists Ontario (Membership #0151). I have worked as a geoscientist for a total of 34 years since my graduation. My relevant experience for the purpose of the Technical Report is:

 

·I have been directly involved in mining environmental consulting, including support for engineering reports, and environmental assessments and approvals for a large number of Ontario mining projects.

 

4)I have read the definition of “qualified person” set out in National Instrument 43-101 (NI 43-101) and certify that by reason of my education, affiliation with a professional association (as defined in NI 43-101) and past relevant work experience, I fulfill the requirements to be a “qualified person” for the purposes of NI 43-101.

 

5)I visited the Great Bear Project on August 8 to 10, 2023.

 

6)I am responsible for Section 20 and related disclosure in Sections 1, 25, 26, and 27 of the Technical Report.

 

7)I am independent of the Issuer applying the test set out in Section 1.5 of NI 43-101.

 

8)I have been actively involved with the property that is the subject of the Technical Report since October 2022.

 

9)I have read NI 43-101, and the Technical Report has been prepared in compliance with NI 43-101 and Form 43-101F1.

 

10)At the effective date of the Technical Report, to the best of my knowledge, information, and belief, the sections of the Technical Report for which I am responsible contains all scientific and technical information that is required to be disclosed to make the Technical Report not misleading.

 

 

 

 

Kinross Gold Corporation

Great Bear Gold Project

Ontario, Canada

NI 43-101 Technical Report

 

Dated this 10th day of September, 2024

 

(Signed and Sealed) Sheila Daniel

 

Sheila Daniel, P.Geo.

 

 

 

Exhibit 99.27

 

September 10, 2024

 

Consent of Qualified Person

 

TO: Ontario Securities Commission
   
AND TO:

British Columbia Securities Commission

Alberta Securities Commission

Financial and Consumer Affairs Authority of Saskatchewan

Manitoba Securities Commission

Autorité des marchés financiers

New Brunswick Financial and Consumer Services Commission

Nova Scotia Securities Commission

Office of the Superintendent of Securities, Prince Edward Island

Office of the Superintendent of Securities, Service Newfoundland and

Labrador

(collectively, the “Canadian Securities Commissions”)

 

Re: Voluntary Filing of Technical Report by Kinross Gold Corporation

 

Reference is made to the technical report titled “Great Bear Gold Project, Ontario, Canada – Voluntary National Instrument 43-101 Technical Report”, with an effective date of September 1, 2024, prepared for Kinross Gold Corporation and dated September 10, 2024 (the Technical Report). The property that is the subject of the Technical Report is not currently a property material to Kinross Gold Corporation, and the filing is therefore on a voluntary basis.

 

Pursuant to Section 8.3 of National Instrument 43-101 – Standards of Disclosure for Mineral Projects, I, Sheila Daniel, P.Geo., do hereby consent to the public filing of the Technical Report by Kinross Gold Corporation with the Canadian Securities Commissions and to the use of extracts from, or the summary of, the Technical Report in the news release of Kinross Gold Corporation dated September 10, 2024 (the News Release).

 

I also certify that I have read the News Release and that it fairly and accurately represents the information in the Technical Report.

 

(Signed) Sheila Daniel

 

Sheila Daniel, P.Geo.

Geoscientist Fellow and Mining Environmental Approvals Team Lead

WSP Canada Inc.

 

 

 

Exhibit 99.28

 

CONSENT OF SHEILA DANIEL

 

TO BEING NAMED AS A QUALIFIED PERSON

 

September 10, 2024

 

I hereby consent to the inclusions of the “Great Bear Gold Project, Ontario, Canada – Voluntary National Instrument 43-101 Technical Report” (“Technical Report”), effective date September 1, 2024 in the report on Form 6-K dated September 10, 2024 to be filed by Kinross Gold Corporation.

 

I also hereby consent to the incorporation by reference of the Technical Report into the Registration Statements on Form S-8 (Registration No. 333-262966 filed on February 24, 2022, Registration No. 333-217099 filed on April 3, 2017 and Registration Nos. 333-180824, 333-180823 and 333-180822 filed on April 19, 2012).

 

Sincerely,

 

/s/ Sheila Daniel

 

Sheila Daniel, P.Geo.

 

 

 

Exhibit 99.29

 

 

Kinross Gold Corporation

Great Bear Gold Project

Ontario, Canada

NI 43-101 Technical Report

 

Simon Gautrey

 

I, Simon Gautrey, P.Geo., as an author of this report entitled “Great Bear Gold Project Ontario, Canada - Voluntary National Instrument 43-101 Technical Report” with an effective date of September 1, 2024, prepared for Kinross Gold Corporation, do hereby certify that:

 

1)I am a Hydrogeologist Fellow and Mining Hydrogeology Lead with WSP Canada Inc., of 6925 Century Avenue, Suite 600, Mississauga, ON Canada L5N.

 

2)I am a graduate of Concordia University, Montreal, in 1992 with a B.Sc. in Geology and of the University of Waterloo, Waterloo, 1996 with a M.Sc. in Hydrogeology.

 

3)I am registered as a Professional Geoscientist in the Province of Ontario (Reg.# 0461). I have worked as a hydrogeologist for a total of 28 years since my graduation. My relevant experience for the purpose of the Technical Report is:

 

·I have been directly involved in mine hydrogeology consulting, including support for engineering reports, and environmental assessments and approvals for a significant number of Ontario mining projects in similar geologic settings.

 

4)I have read the definition of “qualified person” set out in National Instrument 43-101 (NI 43-101) and certify that by reason of my education, affiliation with a professional association (as defined in NI 43-101) and past relevant work experience, I fulfill the requirements to be a “qualified person” for the purposes of NI 43-101.

 

5)I have not visited the Great Bear Project.

 

6)I am responsible for the portion of Section 16.3 that covers hydrogeology and related disclosure in Sections 1, 25, 26, and 27 of the Technical Report.

 

7)I am independent of the Issuer applying the test set out in Section 1.5 of NI 43-101.

 

8)I have been actively involved in hydrogeological work on the property that is the subject of the Technical Report since 2022.

 

9)I have read NI 43-101, and the Technical Report has been prepared in compliance with NI 43-101 and Form 43-101F1.

 

10)At the effective date of the Technical Report, to the best of my knowledge, information, and belief, the sections of the Technical Report for which I am responsible contains all scientific and technical information that is required to be disclosed to make the Technical Report not misleading.

 

 

 

 

 

Kinross Gold Corporation

Great Bear Gold Project

Ontario, Canada

NI 43-101 Technical Report

 

Dated this 10th day of September, 2024

 

(Signed and Sealed) Simon Gautrey

 

Simon Gautrey, P.Geo.

 

 

 

Exhibit 99.30

 

September 10, 2024

 

Consent of Qualified Person

 

TO: Ontario Securities Commission
   
AND TO:

British Columbia Securities Commission

Alberta Securities Commission

Financial and Consumer Affairs Authority of Saskatchewan

Manitoba Securities Commission

Autorité des marchés financiers

New Brunswick Financial and Consumer Services Commission

Nova Scotia Securities Commission

Office of the Superintendent of Securities, Prince Edward Island

Office of the Superintendent of Securities, Service Newfoundland and

Labrador

(collectively, the “Canadian Securities Commissions”)

 

Re: Voluntary Filing of Technical Report by Kinross Gold Corporation

 

Reference is made to the technical report titled “Great Bear Gold Project, Ontario, Canada – Voluntary National Instrument 43-101 Technical Report”, with an effective date of September 1, 2024, prepared for Kinross Gold Corporation and dated September 10, 2024 (the Technical Report). The property that is the subject of the Technical Report is not currently a property material to Kinross Gold Corporation, and the filing is therefore on a voluntary basis.

 

Pursuant to Section 8.3 of National Instrument 43-101 – Standards of Disclosure for Mineral Projects, I, Simon Gautrey, P.Geo., do hereby consent to the public filing of the Technical Report by Kinross Gold Corporation with the Canadian Securities Commissions and to the use of extracts from, or the summary of, the Technical Report in the news release of Kinross Gold Corporation dated September 10, 2024 (the News Release).

 

I also certify that I have read the News Release and that it fairly and accurately represents the information in the Technical Report.

 

(Signed) Simon Gautrey

 

Simon Gautrey, P.Geo.

Hydrogeologist Fellow and Mining Hydrogeology Lead

WSP Canada Inc.

 

 

 

Exhibit 99.31

 

CONSENT OF SIMON GAUTREY

 

TO BEING NAMED AS A QUALIFIED PERSON

 

September 10, 2024

 

I hereby consent to the inclusions of the “Great Bear Gold Project, Ontario, Canada – Voluntary National Instrument 43-101 Technical Report” (“Technical Report”), effective date September 1, 2024 in the report on Form 6-K dated September 10, 2024 to be filed by Kinross Gold Corporation.

 

I also hereby consent to the incorporation by reference of the Technical Report into the Registration Statements on Form S-8 (Registration No. 333-262966 filed on February 24, 2022, Registration No. 333-217099 filed on April 3, 2017 and Registration Nos. 333-180824, 333-180823 and 333-180822 filed on April 19, 2012).

 

Sincerely,

 

/s/ Simon Gautrey

 

Simon Gautrey, P.Geo.

 

 

 

ght: 0; margin-bottom: 0pt; text-align: left">