airt-20240905
0000353184false00003531842024-08-292024-09-050000353184us-gaap:CommonStockMember2024-08-292024-09-050000353184airt:CumulativeCapitalSecuritiesMember2024-08-292024-09-05


______________________________________________________________________________
UNITED STATES
SECURITIES AND EXCHANGE COMMISSION
WASHINGTON, DC 20549  
______________________________________________________________________________
FORM 8-K 
______________________________________________________________________________

CURRENT REPORT
Pursuant to Section 13 or 15(d) of the
Securities Exchange Act of 1934
Date of report (Date of earliest event reported): August 29, 2024
______________________________________________________________________________
AIR T, INC.
(Exact Name of Registrant as Specified in Charter)  
______________________________________________________________________________
Delaware 
001-35476
 
52-1206400
(State or Other Jurisdiction
of Incorporation)
 
(Commission
File Number)
 
(I.R.S. Employer
Identification No.)

11020 David Taylor Drive, Suite 305,
Charlotte, North Carolina 28262
(Address of Principal Executive Offices, and Zip Code)

________________(980) 595-2840__________________
Registrant’s Telephone Number, Including Area Code

Not applicable___
(Former Name or Former Address, if Changed Since Last Report)

Check the appropriate box below if the Form 8-K filing is intended to simultaneously satisfy the filing obligation of the registrant under any of the following provisions (see General Instruction A.2. below):

Written communication pursuant to Rule 425 under the Securities Act (17 CFR 230.425)
Soliciting material pursuant to Rule 14a-12 under the Exchange Act (17 CFR 240.14a-12)
Pre-commencement communication pursuant to Rule 14d-2(b) under the Exchange Act (17 CFR 240.14d-2(b))
Pre-commencement communication pursuant to Rule 13e-4(c) under the Exchange Act (17 CFR 240.13e-4(c))
Securities registered pursuant to Section 12(b) of the Act:
Title of each classTrading Symbol(s)Name of each exchange on which registered
Common StockAIRT
NASDAQ Capital Market
Alpha Income Preferred Securities (also referred to as 8% Cumulative Capital Securities) (“AIP”)AIRTP
NASDAQ Global Market
Check the appropriate box below if the Form 8-K filing is intended to simultaneously satisfy the filing obligation of the registrant under any of the following provisions (see General Instruction A.2. below):
Indicate by check mark whether the registrant is an emerging growth company as defined in Rule 405 of the Securities Act of 1933 (17 CFR §230.405) or Rule 12b-2 of the Securities Exchange Act of 1934 (17 CFR §240.12b-2).
Emerging growth company
If an emerging growth company, indicate by check mark if the registrant has elected not to use the extended transition period for complying with any new or revised financial accounting standards provided pursuant to Section 13(a) of the Exchange Act.



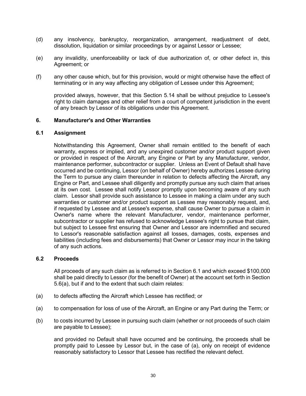
Item 1.01 Entry into a Material Definitive Agreement

On August 29, 2024, CASP Leasing I, LLC (“CASP”), a 95% owned subsidiary of Contrail Aviation Support, LLC (“Contrail”), entered into two purchase agreements to acquire two Airbus Model A321-111 aircraft. Upon completion of the purchase transactions, lease agreements for the lease of the aircrafts will become effective. The total transaction value for the purchases exceed $18,000,000.*

The acquisition of the aircraft as discussed above continues Contrail’s business of purchasing aircraft and/or aircraft engines for the purpose of leasing or disassembling them and selling them for parts. While the parties project a closing date in early September 2024, the closings may occur after this date and there is no assurance at this time that either closing or lease transaction will be completed.

The purchase and form of lease agreements with respect to the transactions are filed as Exhibits 10.1, 10.2, 10.3 and 10.4, which are incorporated herein by reference. Portions of each transaction exhibit have been omitted for confidential treatment.



Item 9.01 Financial Statements and Exhibits

(d) Exhibits

10.1
10.2
10.3
10.4
104Inline XBRL for the cover page of this Current Report on Form 8-K.

*Portions of the transaction exhibits have been omitted for confidential treatment.




SIGNATURES

Pursuant to the requirements of the Securities Exchange Act of 1934, the Company has duly caused this report to be signed on its behalf by the undersigned hereunto duly authorized.

Date: September 5, 2024

AIR T, INC.


By: /s/ Tracy Kennedy
Interim Principal Financial Officer




a101-aircraft1caspaurick
EXECUTION CERTAIN IDENTIFIED INFORMATION HAS BEEN EXCLUDED FROM THIS EXHIBIT BECAUSE IT IS BOTH (I) NOT MATERIAL AND (II) WOULD BE COMPETITIVELY HARMFUL IF PUBLICLY DISCLOSED. Purchase Agreement Airbus Model A321-111 aircraft manufacturer's serial number [*******] Dated August 29, 2024 Aurick One Limited Seller CASP Leasing I, LLC Buyer


 
Table of Contents Page 1. Definitions and Interpretation 1 2. Purchase of Aircraft. 4 3. Conditions to Closing 7 4. Taxes 9 5. Representations, Warranties and Covenants of Seller 10 6. Representations, Warranties and Covenants of Buyer 11 7. Indemnity 11 8. Assignment of Warranties 12 9. Notices 12 10. Governing Law 13 11. Confidentiality 14 12. Miscellaneous 14 EXHIBIT A – FORM OF ACCEPTANCE CERTIFICATE EXHIBIT B – DELIVERY CONDITIONS EXHIBIT C – FORM OF WARRANTY BILL OF SALE


 
This Purchase Agreement, dated August 29, 2024 (this “Agreement”), is between: (1) Aurick One Limited, an Irish limited liability company, having its principal place of business at The Mill Enterprise Hub, Newtown Link Road, Drogheda, Co. Louth, A92 CD3D, Ireland (“Seller”), and (2) CASP Leasing I, LLC, a Delaware limited liability company, having its principal place of business at 435 Investment Court, Verona, Wisconsin 53593-8788, U.S.A. (“Buyer”). WHERAS, Seller owns all legal and beneficial title to the airframe, engines, parts and technical records described in this Agreement and Buyer desires to purchase and Seller desires to sell such property on the terms and conditions set forth in this Agreement. NOW THEREFORE, in consideration of the foregoing and for other good and valuable consideration the receipt and sufficiency of which are hereby acknowledged, Seller and Buyer agree as follows: 1. Definitions and Interpretation 1.1 Definitions In addition to the terms and expressions defined elsewhere in this Agreement, the following terms and expressions shall have the following meanings: Acceptance Certificate the Acceptance Certificate signed by Buyer on the Delivery Date substantially in the form attached as Exhibit A. Affiliate as defined in the Lease. Aircraft the Airframe, Engines, Parts and the Technical Records. Additional Rent as defined in the Lease. After-Tax Basis on a basis such that any payment received or deemed to have been received by any Person shall be supplemented by a further amount paid to that Person, so that the recipient is held harmless on an after-tax basis from all taxes, penalties, fines, interest and other charges taking into account any related credits or deductions resulting from the receipt (actual or constructive) of such payments imposed by or under any Government Entity. Airframe the Airbus Model A321-111 airframe with manufacturer's serial number [*******], excluding the Engines or any engine from time to time installed on such airframe, (ii) any and all Parts attached to, incorporated in, installed on or appurtenant to such airframe. Applicable Law as defined in the Lease.


 
2 Basic Rent the monthly rent payments of (a) $[*******] per month in respect of the months of January, February and March of 2024 (assuming the Lease commenced on the Economic Closing Date) and (b) $[*******] per month in respect of the months from (and including) April 2024 through (and including) the month in which the Delivery Date occurs. Bulgarian Civil Authority the Directorate General Civil Aviation Administration at the Ministry of Transport and Communications of Bulgaria and/or its Director General, as appropriate. Business Day any day other than a Saturday, a Sunday or a day on which commercial banking institutions in New York, New York and Dublin, Ireland are authorized or required to be closed. Buyer Indemnitees Contrail Aviation Support, LLC, Seldon Partners and each of their respective directors, officers, servants, contractors, agents and employees. Certificate of Acceptance as defined in the Lease. Certificate of Delivery Condition as defined in the Lease. Commitment Fee as defined in the Lease. Delivery Conditions as set forth in Exhibit B attached hereto. Delivery Date the Scheduled Delivery Date or such other date to which Seller and Buyer shall agree in accordance with Section 2.2 on which Seller shall transfer the Aircraft to Buyer. Delivery Time the time on the Delivery Date at which Buyer accepts delivery of the Aircraft by executing and delivering to Seller the Acceptance Certificate. Dollars or “$” the legal currency of the United States of America. Economic Closing Date January 1, 2024. Engines each of the two CFM Model CFM56-5B1/P aircraft engines bearing manufacturer’s serial numbers [*******] and [*******], together with any and all Parts attached to, incorporated in, installed on or appurtenant to any such engine. Final Delivery Date as defined in the Lease. Government Entity as defined in the Lease.


 
3 Lease the Lease Agreement in respect of the Aircraft between Buyer and Lessee dated on or before the date of this Agreement. Lessee Electra Airways OOD, a company organized and existing under the laws of the Republic of Bulgaria, registered in the Commercial and NPLE Register under corporate number (EIK) 203506186, registered in the Bulgarian Registry of the Airlines Operating Chiefly on International Routes. Maintenance Records as defined in Section 2.6 herein. Net Purchase Price the Purchase Price adjusted as follows: (a) reduced by (i) an amount equal to all Basic Rent pertaining to the period from but excluding the Economic Closing Date and ending on and including the Delivery Date (including the Basic Rent due for the entire month in which the Delivery Date occurs) had the Lease commenced on the Economic Closing Date, and (ii) an amount equal to all Additional Rent pertaining to the period from but excluding the Economic Closing Date and ending on and including the Delivery Date had the Lease commenced on the Economic Closing Date; (b) increased by the daily amount of interest on the amount of the Purchase Price at a rate of (i) 6% (on an actual/360 day year basis) from but excluding the Economic Closing Date and ending on and including July 31, 2024; and (ii) 8% (on an actual/360 day year basis) from August 1, 2024 and ending on and including the Delivery Date; and (c) reduced by the amount of the Commitment Fee. Parts any and all appliances, parts, instruments, appurtenances, accessories, furnishings, seats that were previously installed on the Airframe and other equipment or components of whatever nature (other than complete Engines or engines) incorporated in, installed in, attached to or appurtenant to the Aircraft. Person as defined in the Lease. Purchase Price $[*******] Sales Taxes any sales, use, excise, transfer, gross receipts, value added or other similar taxes, fees or charges applied or assessed on the sale of the Aircraft under this Agreement.


 
4 Sale Documents this Agreement, the Acceptance Certificate, and the Warranty Bill of Sale. Scheduled Delivery Date August 30, 2024, or such later date as agreed by the parties. Security Interest as defined in the Lease. Technical Records all records, logs, manuals and other documentation and data with respect to the Aircraft in the possession of Seller in addition to the Maintenance Records. Warranty Bill of Sale the Warranty Bill of Sale signed by Seller on the Delivery Date covering the Aircraft substantially in the form attached as Exhibit C. 1.2 Interpretation (a) In this Agreement, unless the contrary intention is stated, a reference to: (i) each of "Seller", "Lessor", "Lessee", "Servicer", "Financing Party" or any other Person includes without prejudice to the provisions of this Agreement any successor in title to it and any permitted assignee; (ii) words importing the plural shall include the singular and vice versa; (iii) the term "including", when used in this Agreement, means "including without limitation" and "including but not limited to"; (iv) any document shall include that document as amended, novated or supplemented from time to time unless expressly stated to the contrary; (v) a law (1) includes any statute, decree, constitution, regulation, order, judgment or directive of any Government Entity; (2) includes any treaty, pact, compact or other agreement to which any Government Entity is a signatory or party; (3) includes any judicial or administrative interpretation or application thereof; and (4) is a reference to that provision as amended, substituted or re-enacted; and (vi) a "Section", "Schedule" or "Exhibit" is a reference to a section of, a schedule to or an exhibit to this Agreement. (b) The headings in this Agreement are to be ignored in construing this Agreement. 2. Purchase of Aircraft 2.1 Seller shall sell and deliver to Buyer and Buyer shall purchase and accept from Seller the Aircraft on the Delivery Date subject to the terms and conditions of this Agreement.


 
5 2.2 Closing The sale of the Aircraft shall occur on the Scheduled Delivery Date; however, if either Seller or Buyer is not ready to complete the sale or purchase on the Scheduled Delivery Date, then Seller or Buyer, respectively, shall be permitted to delay the Delivery Date one or more times by written notice to the other to a date not later than the Final Delivery Date. 2.3 Payment of Net Purchase Price (a) On the Scheduled Delivery Date, Buyer shall pay the Net Purchase Price for the Aircraft to Seller by wire transfer of the Net Purchase Price in immediately available funds to the following account of Seller: [*******] [*******] [*******] [*******] [*******] (b) All payments of the Net Purchase Price and other payments under this Agreement shall be made in Dollars and in immediately available funds for full credit on the date payment is due under this Agreement. 2.4 Title Transfer. Title to the Aircraft shall transfer from Seller to Buyer concurrently with the delivery by Buyer to Seller of the Acceptance Certificate and the receipt of the Net Purchase Price by the Seller. In addition, concurrent with the sale of the Aircraft by Seller to Buyer, the documents provided in Sections 3.1 and 3.2 shall be deemed delivered (unless such delivery is waived). The parties acknowledges and agree that immediately prior to the Delivery Time the Aircraft has been made available by the Seller for exclusive use by the Lessee and will be in the possession of the Lessee and that concurrent with the execution of the Acceptance Certificate, Lessee shall execute and the Certificate of Acceptance and all risk of loss and damage to the Aircraft shall transfer to Lessee pursuant to the Lease and subject to its terms and conditions, as well as that following the Delivery Date, the Buyer will continue to make the Aircraft available for exclusive use by the Lessee on the basis of the Lease. As soon as possible after the Delivery Date, the Lessee will deliver to Seller one original copy of the Certificate of Acceptance executed by the Lessee. 2.5 Condition Upon Delivery. The Aircraft shall be delivered to Buyer or its designee “AS IS, WHERE IS WITH ALL FAULTS” and SUBJECT TO EACH AND EVERY DISCLAIMER OF WARRANTY AND REPRESENTATION AS SET FORTH IN SECTION 7. Buyer shall be deemed to have unconditionally accepted each item of the Aircraft for all purposes under this Agreement upon the delivery by Buyer of the Acceptance Certificate to Seller. 2.6 Inspection. (a) Buyer will perform an inspection of the Aircraft and its Maintenance Records to confirm the Aircraft’s suitability for Buyer’s requirements. Such inspection (the “Pre-Purchase Inspection”) shall include: (i) physical inspection of the Aircraft consisting of a walk-around physical inspection of the Airframe and Engines including access to cabin, flight deck, cargo and equipment bays, with Engine/APU cowls opened; and


 
6 (ii) a review of the Maintenance Records including (A) current status reports (LLP status AD status, Non-Incident Statement etc.), (B) Last Done/Next Due report, (C) Engine Condition Monitoring report, and (D) technical records inventory list at the time of Seller’s purchase of the Aircraft and/or at the time of last delivery on lease or lease redelivery. (b) The Pre-Purchase Inspection shall be performed in the presence of Seller (or its nominee) at a location designated by Seller considering where the Aircraft will be in operation. (c) In the event that the Pre-Purchase Inspection reveals that the Aircraft does not comply with the Delivery Conditions, Buyer will provide a description of such noncompliance or damage (as the case may be) in writing to Seller and Seller shall have an opportunity to remedy such noncompliance or damage to Buyer’s satisfaction, prior to the Delivery Date (and, in any event, no later than the Final Delivery Date). (d) In the event that, at any time after completion of Pre-Purchase Inspection and before the Delivery Date, the Aircraft shall sustain damage of any kind or sort that would cost in excess of $100,000 to repair, Seller shall promptly notify Buyer of the same and Buyer shall have the right to reject the Aircraft or request Seller to rectify the damage (to the satisfaction of Buyer) prior to the Final Delivery Date provided that Seller, acting reasonably, shall have the right to refuse such rectification request. In either case, neither party shall have any further obligations to the other hereunder or under the Lease in respect of such Aircraft. 2.7 Termination. If the delivery of the Aircraft has not occurred by the Final Delivery Date for any reason whatsoever, the obligation of Seller to sell and of Buyer to purchase the Aircraft shall terminate, but the other obligations of Seller and Buyer under this Agreement, including under Section 2.9, shall remain unaffected. 2.8 Binding Obligations. This Agreement sets forth the binding obligation of Seller to sell the Aircraft and the binding obligation of Buyer to purchase the Aircraft. Before the Final Delivery Date (a) Seller shall cause each of the conditions set forth in Section 3.1 to be satisfied and shall take all other actions necessary to perform its obligations under the Sale Documents, and (b) Buyer shall cause each of the conditions set forth in Section 3.2 to be satisfied and shall take all other actions necessary to perform its obligations under the Sale Documents. 2.9 Damages and Remedies. (a) If the sale of the Aircraft does not occur before the Final Delivery Date as a result of (i) the failure of Seller to cause each of the conditions set forth in Section 3.1 to be satisfied or to perform any of its other obligations under the Sale Documents, and/or (ii) the failure of Lessee to cause each of the conditions set forth in Sections 3.1 and 3.2 of the Lease to be satisfied, then Buyer may by notice to Seller terminate its obligations to purchase the Aircraft from Seller. Buyer shall be entitled to exercise any and all rights and remedies, available by law, for Seller’s failure to perform its obligations under the Sale Documents.


 
7 (b) If the sale of the Aircraft does not occur before the Final Delivery Date as a result of the failure of Buyer to cause each of the conditions set forth in Section 3.2 to be satisfied or to perform any of its other obligations under the Sale Documents, then Seller may by notice to Buyer terminate its obligation to sell the Aircraft to Buyer. Seller shall be entitled to exercise any and all rights and remedies, available by law or in equity, for Buyer’s failure to perform its obligations under the Sale Documents. 3. Conditions to Closing 3.1 Buyer’s Closing Conditions. The obligation of Buyer to purchase the Aircraft at the Delivery Time is subject to the satisfaction by Seller or waiver by Buyer of each of the following conditions precedent: (a) each of the Sale Documents shall have been duly authorized, executed and delivered by Seller and shall be in full force and effect with respect to Seller and executed counterparts shall have been delivered to Buyer. (b) at the Delivery Time (i) the representations and warranties of Seller shall be true and accurate as though made on and as of such date, and (ii) nothing shall have occurred that will prevent Seller from performing its obligations under the Sale Documents. (c) Buyer shall have received a certificate, dated on the Delivery Date, from Seller signed by a duly authorized officer of Seller addressed to Buyer and certifying the following documents from Seller in form and substance satisfactory to Buyer: (i) a copy of resolutions of the Board of Directors of Seller, certified by a Director of Seller, duly authorizing the sale of the Aircraft by Seller under this Agreement and the execution, delivery and performance by Seller of the Sale Documents and each other document required to be executed and delivered by Seller; and (ii) certifying the authority and exhibiting specimen signatures of the individuals authorized to execute and deliver the Sale Documents. (d) Buyer shall have received: (i) copies of all bills of sale or other title transfer documents in respect of the Aircraft constituting or evidencing the successive transfers of title of the Aircraft from the manufacturer through to Seller; (ii) Incident/Accident Clearance Statements in respect of the airframe, engines, landing gear and APU from the current operator; (iii) copies of the priority search certificates of the International Registry in respect of the Airframe and each Engine; (iv) evidence of insurance required under the Lease;


 
8 (v) confirmation of the location of the Aircraft and that the Aircraft is (and will, throughout the duration of the closing be) located in Katowice, Poland, Dublin, Ireland or in international airspace; (e) satisfaction of all conditions precedent set forth in Sections 3.1 and 3.2 of the Lease (or their waiver or deferral by Buyer, as lessor); (f) Seller shall not be in default of its obligations under this Agreement or any Sale Document to which it is a party; (g) Buyer being satisfied that no Default or Event of Default (each as defined in the Lease) has occurred and is continuing; (h) evidence that all applicable documentation to be filed with the Bulgarian Civil Aviation Authority to reflect the transfer of ownership of the Aircraft and the leasing of the Aircraft pursuant to the Lease is in final form, executed and positioned for filing immediately following the Delivery Date; and in particular: (i) application for the approval of the lease transaction the Lease to be filed with the Bulgarian Civil Aviation Authority by the Lessee under the Lease; (ii) application for change of and the issuance of new certificate of registration of the Aircraft by keeping its current registration mark [*******] to evidence the Buyer as the owner to be filed with the Bulgarian Civil Authority by the Lessee ; and (iii) application for the amendment of the aircraft station license of the Aircraft to evidence the Buyer as the owner to be filed with the Bulgarian Civil Aviation Authority by the Lessee. (i) There shall have occurred no total loss of the Aircraft and no adverse change in the condition of the Aircraft subsequent to the completion of Buyer’s inspection of the Aircraft described in Section 2.6 of this Agreement. (j) There shall have occurred no material adverse change in the financial condition or operations of the Lessee subsequent to the date of this Agreement. (k) Evidence that the applications for deregistration of the following existing pledges on the Aircraft and the Engines have been filed with the respective Bulgarian authorities, as follows: (i) An aircraft pledge over the Aircraft and the Engines, established pursuant to an Aircraft Pledge Agreement dated 21 September 2023 the Seller as pledgor and NIGEL LIMITED as pledgee, registered with the Bulgarian Civil Aircraft Register as of 25 September 2023; (ii) A special pledge of the Engines pursuant to a Special Pledge Agreement on movable assets dated 21 September 2023, registered with the Bulgarian Central Register on Special Pledges on 21 September 2023 under reg. No. [*******].


 
9 3.2 Seller’s Closing Conditions. The obligation of Seller to sell the Aircraft to Buyer at the Delivery Time is subject to the satisfaction by Buyer or waiver by Seller of each of the following conditions precedent: (a) Each of the Sale Documents to which Buyer is a party shall have been duly authorized, executed and delivered by Buyer and shall be in full force and effect with respect to Buyer, and executed counterparts shall have been delivered to Seller. (b) At the Delivery Time (i) the representations and warranties of Buyer shall be true and accurate as though made on and as of such date, and (ii) nothing shall have occurred that will prevent Buyer from performing its obligations under the Sale Documents. (c) Buyer shall have paid the Net Purchase Price in accordance with Section 2.3. (d) Seller shall have received the following documents: (i) a copy of certified resolutions of Buyer, duly authorizing the purchase of the Aircraft under this Agreement, and the execution, delivery and performance by Buyer of the Sale Documents to which it is a party and each other document required to be executed and delivered by Buyer in accordance with the provisions of the Sale Documents; and (ii) an incumbency certificate of Buyer as to the individuals authorized to execute and deliver the Sale Documents to which it is party and each other document to be executed on behalf of Buyer in connection with the transactions contemplated by the Sale Documents, including the signatures of such persons. 4. Taxes 4.1 Liability for Sales Taxes. (a) The Purchase Price of the Aircraft does not include Sales Taxes that may be imposed by any Government Entity in any jurisdiction as a result of the sale of the Aircraft under this Agreement. (b) Seller shall be responsible for the payment of any and all Sales Taxes on the Aircraft. Upon demand of any Government Entity for payment of any Sales Taxes, Buyer shall promptly notify Seller and Seller shall pay such Sales Taxes; provided, that in the event that Buyer is required to pay any such Sales Taxes, Buyer shall invoice Seller for the amount of such Sales Taxes paid by Buyer and Seller shall reimburse Buyer on an After Tax Basis, for such amount within five Business Days of Seller’s receipt of such invoice. 4.2 Cooperation. Seller and Buyer shall cooperate and take all actions reasonably requested by the other that are not in contravention of any provision of the Sale Documents or Applicable Law to minimize the amount of any Sales Taxes applicable to this Agreement or the consummation of the transactions contemplated by this Agreement.


 
10 5. Representations and Warranties of Seller Seller represents and warrants on the date of this Agreement and as of the Delivery Date, and covenants, as follows: 5.1 Organization, Power and Authority. Seller is a duly formed and validly existing [limited liability company incorporated under the laws of Ireland] and has the corporate power and authority to carry on its business as presently conducted and to execute, deliver and perform its obligations under each of the Sale Documents to which it is a party, and each of such Sale Documents has been duly authorized by all necessary corporate action on the part of Seller and does not require any approval of the stockholders of Seller that has not been obtained. 5.2 Non-Contravention. The execution, delivery and performance of the Sale Documents to which Seller is a party and the consummation of the transactions contemplated by the Sale Documents will not contravene any Applicable Law binding on Seller or its property or result in any breach of, or constitute any default under, any indenture, mortgage, chattel mortgage, deed of trust, conditional sales contract, bank loan or credit agreement, corporate charter, by-law or other agreement or instrument to which Seller is a party or by which Seller or its properties may be bound or affected. 5.3 Enforceability. Each of the Sale Documents to which Seller is a party has been duly executed and delivered by Seller and, upon the due authorization, execution and delivery of such Sale Documents by the other parties to such Sale Documents, will constitute the legal, valid and binding agreement of Seller, enforceable against Seller in accordance with its terms, except as such enforceability may be limited by applicable bankruptcy, insolvency, reorganization, moratorium or other similar laws affecting creditors’ rights generally, or by equitable principles (regardless of whether enforcement is sought in a proceeding in equity or at law). 5.4 Warranty of Title. On the Delivery Date, Seller will be the sole legal and beneficial owner of the Aircraft, and Seller will transfer to Buyer good and marketable title to the Aircraft, free and clear of all Security Interests other than any Security Interest created by or through Buyer or any Permitted Lien (as defined in the Lease) and save for the Security Interests referred to in Section 3.1(k) above. 5.5 No Consent. The execution, delivery and performance by Seller of the Sale Documents do not require the consent, approval, order or authorization of, the giving of notice to, the registration with or the taking of any other action in respect of any Government Entity, except the filing for recordation with the appropriate aviation authority. 5.6 No Bankruptcy. No bankruptcy trustee, liquidator, examiner, receiver or similar officer has been appointed in respect of all or any part of the assets of Seller nor has any application been made to a court which is still pending for an order for, or any act, matter or thing been done which with the giving of notice, lapse of time or satisfaction of some other condition (or any combination thereof) will lead to, the appointment of any such officer or equivalent in any jurisdiction. 5.7 No Litigation. No litigation, arbitration or claim before any court, arbitrator, governmental or administrative agency or authority which would have a material adverse effect on the ability of Seller to observe or perform its respective obligations under this Agreement or


 
11 any other Sale Document to which it is a party is in progress, or to the knowledge of the relevant party, threatened against Seller. 5.8 No Loss or Damage. No total loss or damage of any kind or sort that would cost in excess of $100,000 to repair (and which has not been already repaired in accordance with Section 2.6(d)) has occurred to the Aircraft. 5.9 Lessee Operating Chiefly on International Routes. Lessee is registered in the Bulgarian Registry of Airlines Operating Chiefly on International Routes kept by the Bulgarian Civil Aviation Authority and is an international airline for Bulgarian VAT purposes. 6. Representations and Warranties of Buyer Buyer represents and warrants on the date of this Agreement and as of the Delivery Date, and covenants, as follows: 6.1 Organization, Power and Authority. Buyer is a duly organized and validly existing limited liability company in good standing under the laws of Delaware and has the power and authority to carry on its business as presently conducted and to execute, deliver and perform its obligations under the Sale Documents to which it is a party, and each of such Sale Documents has been duly authorized by all necessary company action on the part of Buyer and does not require any approval that has not been obtained. 6.2 Non-Contravention. The execution, delivery and performance of the Sale Documents to which Buyer is a party and the consummation of the transactions contemplated by the Sale Documents will not contravene any law binding on Buyer or result in any breach of, or constitute any default under, any indenture, mortgage, chattel mortgage, deed of trust, conditional sales contract, bank loan or credit agreement, certificate of formation, operating agreement or other agreement or instrument to which Buyer is a party or by which Buyer or its properties may be bound or affected. 6.3 Enforceability. Each of the Sale Documents to which Buyer is a party has been duly authorized, executed and delivered by Buyer and will constitute the legal, valid and binding agreement of Buyer, enforceable against Buyer in accordance with its terms, except as such enforceability may be limited by applicable bankruptcy, insolvency, reorganization, moratorium or other similar laws affecting creditors’ rights generally, or by equitable principles (regardless of whether enforcement is sought in a proceeding in equity or at law). 6.4 No Consent. The execution, delivery and performance by Buyer of the Sale Documents to which it is a party do not require the consent or approval of, the giving of notice to, the registration with or the taking of any other action in respect of any Government Entity. 7. Indemnity Seller agrees to defend, indemnify and hold harmless Buyer Indemnitee on an After-Tax Basis, from any and all costs, expenses, payments, charges, losses, demands, liabilities, claims, actions, proceedings, penalties, fines, damages, judgments, orders or other sanctions (“Losses”) which may be incurred by a Buyer Indemnitee and which arise directly or indirectly out of or in any way connected with the following:


 
12 (a) the ownership, maintenance, possession, control, use or operation of the Aircraft prior to the Delivery Time; or (b) the breach of the Seller’s obligations, representations and warranties hereunder, except, in each case, for Losses which result from the gross negligence or willful misconduct of a Buyer Indemnitee. 8. Assignment of Warranties Effective as of the Delivery Date, Seller irrevocably assigns to Buyer all of Seller’s rights under any applicable and active warranty (express or implied), service policy, maintenance or product agreement of any manufacturer, any maintenance and overhaul agency or any subcontractor, supplier or vendor of any item of the Aircraft to the extent that such rights are assignable and are not extinguished as a result of this Agreement or such assignment. From time to time upon the reasonable request of Buyer, Seller shall give notice to any such manufacturer, maintenance and overhaul agency, subcontractor, supplier or vendor of the assignment of such warranties or other agreements to Buyer and execute and deliver to Buyer such additional documents (at Buyer’s expense) as Buyer may reasonably request in order to effectuate or confirm the foregoing assignment. Seller shall enforce on Buyer’s behalf all such rights that are not assignable or would be extinguished as a result of this Agreement or such assignment, provided that Buyer shall pay the reasonable costs and expenses incurred by Seller in rendering such assistance. 9. Notices 9.1 Receipt of Notices. All notices and other communications given under or in connection with this Agreement shall be in writing and shall be deemed to have been received when delivered to the address specified in Section 9.2. 9.2 Address for Notices. All such notices, requests, demands and other communications shall be sent: (a) If to Seller: [*******] [*******] [*******] [*******] [*******] Attention: [*******] Email: [*******] Alternate Email: [*******] with a copy to: [*******] [*******] [*******] [*******] Attention: [*******]


 
13 Email: [*******] Alternate Email: [*******] Telephone: [*******] (b) If to Buyer: [*******] [*******] [*******] [*******] Attention: [*******] Email: [*******] Telephone: [*******] or to such other address or telefax number as shall have been notified by one party to the other in the manner set out in this Section 9.2. 10. Governing Law 10.1 Construction. THIS AGREEMENT SHALL BE GOVERNED BY AND CONSTRUED IN ACCORDANCE WITH THE LAWS OF THE STATE OF NEW YORK. 10.2 Jurisdiction. Each of Seller and Buyer expressly submits to the non-exclusive jurisdiction of the federal and state courts located in in the Borough of Manhattan, New York, State of New York (the “Agreed Courts”). Final judgment against Seller or Buyer rendered by any Agreed Court shall be conclusive and may be enforced in any other jurisdiction by suit on such judgment, a certified or true copy of which shall be conclusive evidence of the facts and of the amount of any indebtedness or liability of such party; provided, that Seller or Buyer may at its option bring suit or institute other judicial proceedings against the other party or the other party’s assets in the courts of any other jurisdiction where such other party or such assets may be found, to the extent permitted by the Applicable Law of such other jurisdiction. 10.3 Waiver of Objection to Venue. Each of Seller and Buyer irrevocably waives any claim or objection which it may now or hereafter have to the laying of venue of any suit, action or proceeding brought in any Agreed Court and further irrevocably waives any claim or objection that any such suit, action or proceeding brought in any Agreed Court has been brought in an inconvenient forum. 10.4 Waiver of Jury Trial. Each of Seller and Buyer waives any right to have a jury participate in resolving any dispute, whether sounding in contract, tort or otherwise, arising out of, connected with, related to or in connection with this Agreement or the transactions contemplated hereby. Instead, any dispute resolved in court will be resolved in a bench trial without a jury. 10.5 Expenses of Litigation. If any suit, action or proceeding is brought by Seller against Buyer or by Buyer against Seller and is decided by a court of competent jurisdiction, the party against which the decision is rendered shall indemnify the other for all damages, costs and expenses, including reasonable attorneys’ fees and expenses, arising in connection with such suit, action or proceeding.


 
14 11. Confidentiality 11.1 Confidential Material. The parties agree that the Purchase Price and all of the provisions in this Agreement relating to the calculation and payment thereof constitute commercially sensitive and proprietary information. The parties agree to keep all such information (“Confidential Material”) strictly confidential in accordance with the provisions of this Section 11.1. 11.2 Non-disclosure of Confidential Material. Each of the parties agrees it will not disclose such Confidential Material to any person or entity other than to their Affiliates and to the Boards of Directors or equivalent governing bodies, agents, employees, professional advisors of the foregoing in connection with the performance of services provided by them, in connection with the enforcement of any of the Sale Documents, any audit, as may otherwise be required by law, regulation or judicial process, or in the case of Buyer, to any prospective financing party or to a participant or assignee of all or any part of Buyer’s interest in the Aircraft. Any party disclosing Confidential Material to any person or entity as aforesaid shall use reasonable efforts to cause such person or entity receiving Confidential Material to agree to the terms of this letter as regards any disclosure by it of Confidential Material. In the case of disclosure of Confidential Material pursuant to judicial process, the party from whom disclosure is sought shall notify each other party of the demand for disclosure. Any party seeking to protect the Confidential Material from such disclosure may at its cost and expense take such action as it reasonably deems necessary to preserve the confidentiality of the Confidential Material, provided such action shall not subject the party from whom disclosure is sought to any risk, liability, penalty or cost (including fees and costs of counsel). 11.3 Exclusion for Tax Matters. In addition, notwithstanding anything to the contrary set forth herein, the obligations of confidentiality contained herein shall not apply to the U.S. federal or state tax structure or U.S. federal or state tax treatment of the transaction contemplated by this Agreement, and each party hereto (and any employee, representative, or agent of each party hereto) may disclose to any and all persons, without limitation of any kind, the U.S. federal and state tax structure and U.S. federal and state tax treatment of such transactions and all materials of any kind (including opinions or other tax analyses) relating to such U.S. federal and state tax treatment and U.S. federal and state tax structure. 12. Miscellaneous 12.1 Expenses. Each of Seller and Buyer shall bear its own expenses in connection with the negotiation, execution and delivery of the Sale Documents and the transactions contemplated by this Agreement to occur on the Delivery Date, save as set forth in Section 2.9(a). Seller will be responsible for all reasonable and properly documented costs associated with all necessary filings in the country of registration of the Aircraft and in the country of habitual base of the Aircraft required to reflect the transfer of title to the Aircraft contemplated by this Agreement, and the payment of all stamp duties and translation fees. 12.2 Successors and Assigns. This Agreement shall be binding upon and shall inure to the benefit of Seller and Buyer and their respective successors and permitted assigns. Neither Seller nor Buyer may assign its rights or obligations under this Agreement in whole or in part before the Delivery


 
15 Date without the prior written consent of the other party, which consent shall not unreasonably be withheld. 12.3 Modification, Amendments, Entire Agreement. The Sale Documents and their schedules and exhibits embody the entire agreement and understanding of Seller and Buyer with respect to the subject matter hereof and thereof, and, as of the date of this Agreement, terminate and supersede all prior or independent agreements and understandings between Seller, Buyer and their respective Affiliates covering the same subject matter. This Agreement shall not be modified or amended, and no right granted or created hereunder including the provisions of this Section 12.3 shall be waived orally or by implication, but only by writing signed by Seller and Buyer. 12.4 Survival. All representations, warranties and agreements of Seller and Buyer in the Sale Documents shall survive the sale of the Aircraft. 12.5 No Brokers. Each of Seller and Buyer represents and warrants that it has retained no brokers or finders who shall have any claim to compensation or costs or expenses with respect to the transactions contemplated by the Sale Documents. In the event that a claim is made by a broker or finder, the party responsible for the breach of this Section 12.5 shall indemnify the other for any damages, including reasonable attorneys’ fees and expenses, arising from such claim. 12.6 Waiver of Certain Rights. To the fullest extent permitted by Applicable Law, each of Seller and Buyer hereby agrees that no rights or remedies referred to in the U.N. Convention on Contracts for the International Sales of Goods shall be conferred upon either Buyer or Seller unless otherwise expressly granted in this Agreement. The U.N. Convention on Contracts for the International Sales of Goods is not applicable to this Agreement. 12.7 No Waiver of Enforcement. Any failure at any time of Seller or Buyer to enforce any provision of the Sale Documents shall not constitute a waiver of such provision or prejudice the right of either party to enforce such provision at any subsequent time. 12.8 Counterparts. This Agreement may be executed in counterparts, each of which shall constitute an original document. [signature page follows]


 
- signature page - IN WITNESS WHEREOF, Seller and Buyer have caused this Purchase Agreement to be executed by their duly authorized officers as of the date first above written. Aurick One Limited as Seller ________________________ By: Name: Title: ________________________ By: Name: Title: ________________________ By: Name: Title: CASP Leasing I, LLC as Buyer By: Contrail Aviation Support, LLC - Manager ________________________ By: Joseph G. Kuhn Title: CEO


 
EXHIBIT A Page 1 EXHIBIT A – FORM OF ACCEPTANCE CERTIFICATE Acceptance Certificate This Acceptance Certificate is delivered on the date set forth in paragraph 1 below by CASP Leasing I, LLC (“Buyer”) to Aurick One Limited (“Seller”) pursuant to a purchase agreement dated [ ], between Buyer and Seller in respect of one Airbus model A321-111 airframe bearing manufacturer’s serial number [*******] (the “Purchase Agreement”). Capitalized terms used but not defined in this Acceptance Certificate shall have the meaning given to such terms in the Purchase Agreement. Buyer hereby confirms to Seller that Buyer has at [hour]:[minute] [time zone] on this [ ] day of [ ] 2024, at [PLACE], accepted the following, in accordance with the provisions of the Purchase Agreement: (a) one Airbus Model A321-111 airframe bearing manufacturer’s serial number [*******]; (b) two CFM Model CFM56-5B1/P aircraft engines bearing manufacturer’s serial numbers [*******] and [*******]; (c) all Parts installed on, attached to, incorporated in or appurtenant to the Airframe and Engines; and (d) the Technical Records with respect to the Airframe, Engines and Parts set forth above. IN WITNESS WHEREOF, Buyer has duly executed this Acceptance Certificate this [ ] day of [ ] 2024. CASP Leasing I, LLC as Buyer By: Contrail Aviation Support, LLC, Manager ________________________ By: Joseph G. Kuhn Title: CEO


 
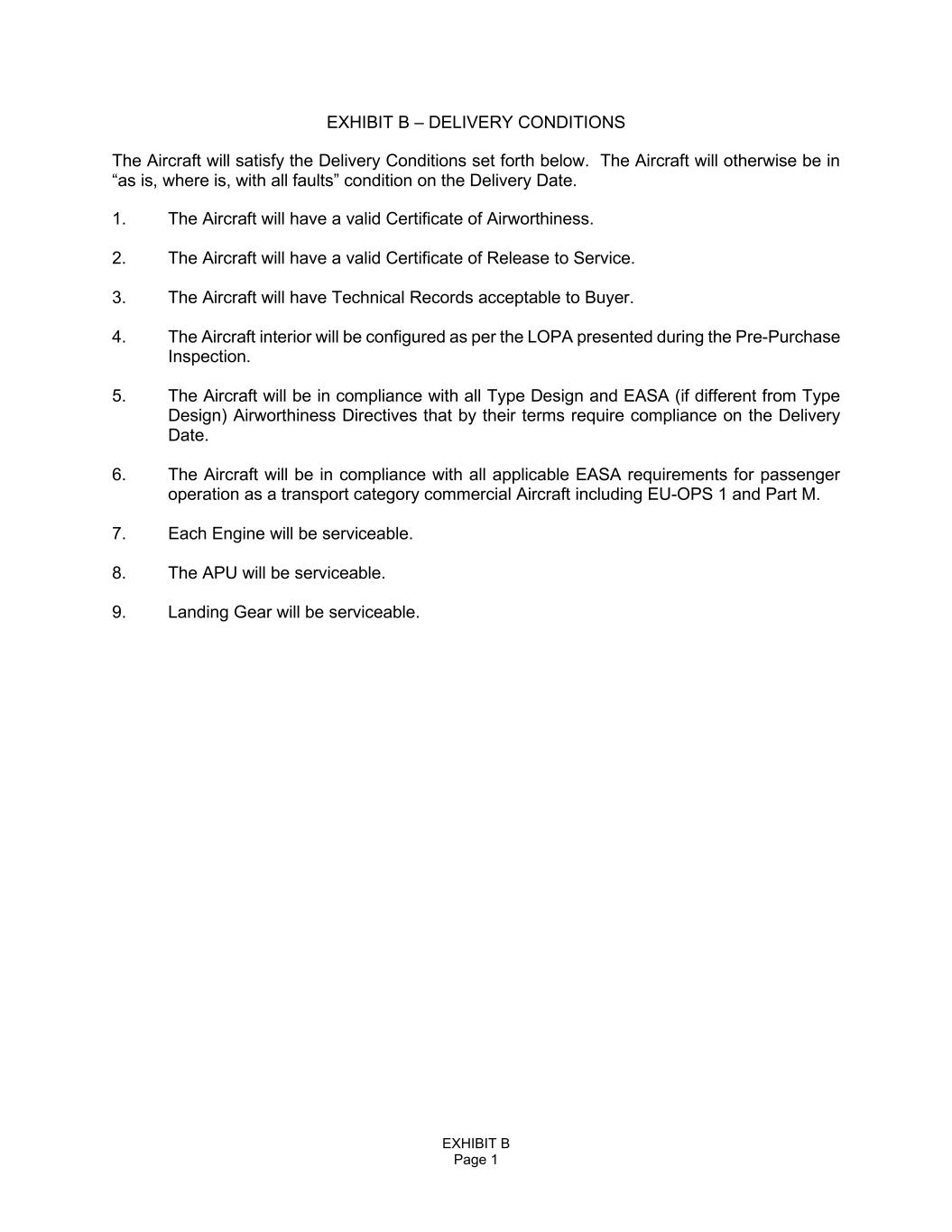
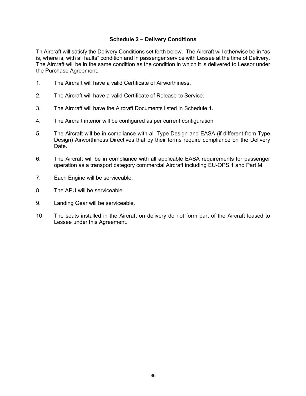
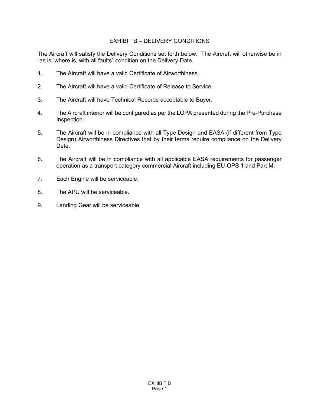
EXHIBIT B Page 1 EXHIBIT B – DELIVERY CONDITIONS The Aircraft will satisfy the Delivery Conditions set forth below. The Aircraft will otherwise be in “as is, where is, with all faults” condition on the Delivery Date. 1. The Aircraft will have a valid Certificate of Airworthiness. 2. The Aircraft will have a valid Certificate of Release to Service. 3. The Aircraft will have Technical Records acceptable to Buyer. 4. The Aircraft interior will be configured as per the LOPA presented during the Pre-Purchase Inspection. 5. The Aircraft will be in compliance with all Type Design and EASA (if different from Type Design) Airworthiness Directives that by their terms require compliance on the Delivery Date. 6. The Aircraft will be in compliance with all applicable EASA requirements for passenger operation as a transport category commercial Aircraft including EU-OPS 1 and Part M. 7. Each Engine will be serviceable. 8. The APU will be serviceable. 9. Landing Gear will be serviceable.


 
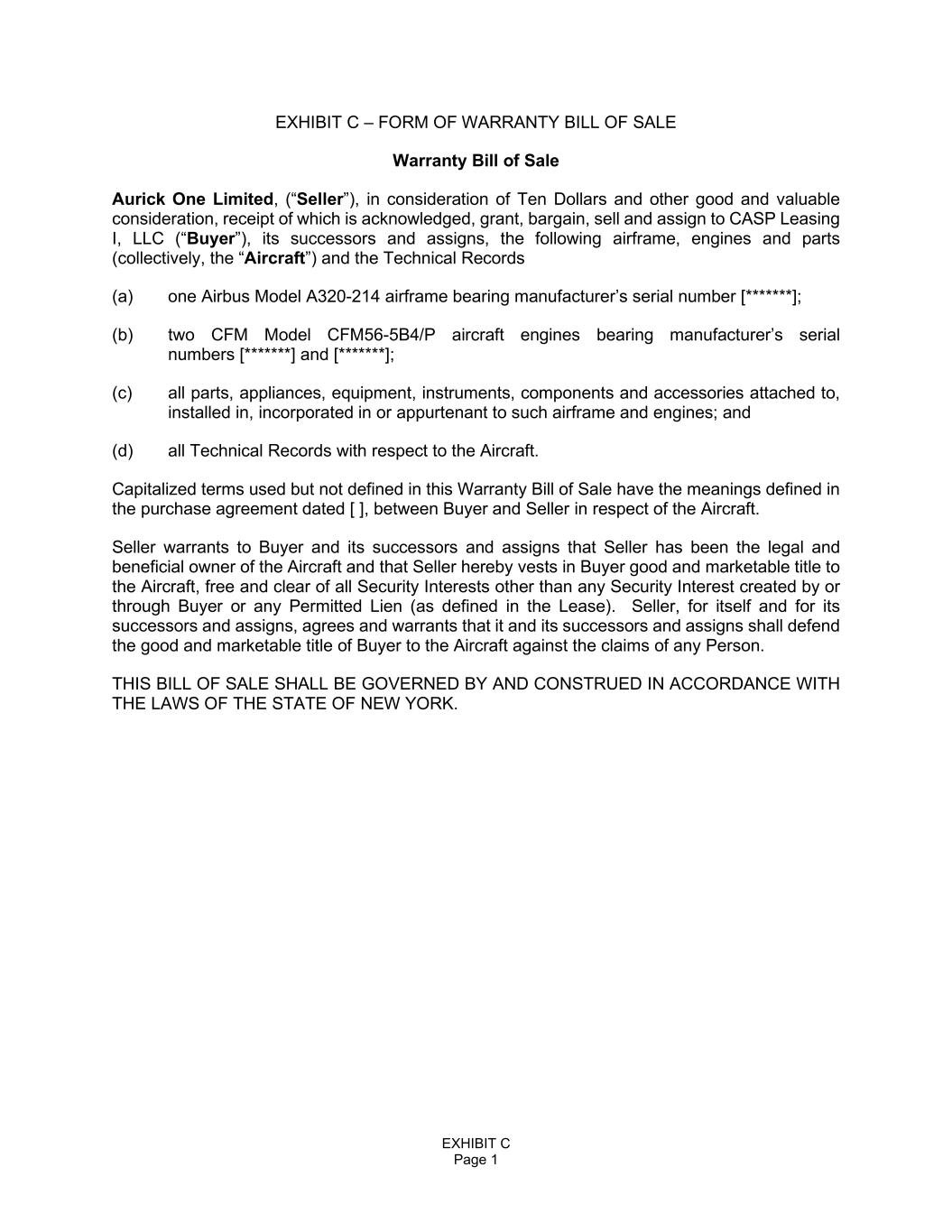
EXHIBIT C Page 1 EXHIBIT C – FORM OF WARRANTY BILL OF SALE Warranty Bill of Sale Aurick One Limited, (“Seller”), in consideration of Ten Dollars and other good and valuable consideration, receipt of which is acknowledged, grant, bargain, sell and assign to CASP Leasing I, LLC (“Buyer”), its successors and assigns, the following airframe, engines and parts (collectively, the “Aircraft”) and the Technical Records (a) one Airbus Model A321-111 airframe bearing manufacturer’s serial number [*******]; (b) two CFM Model CFM56-5B1/P aircraft engines bearing manufacturer’s serial numbers [*******] and [*******]; (c) all parts, appliances, equipment, instruments, components and accessories attached to, installed in, incorporated in or appurtenant to such airframe and engines; and (d) all Technical Records with respect to the Aircraft. Capitalized terms used but not defined in this Warranty Bill of Sale have the meanings defined in the purchase agreement dated [ ], between Buyer and Seller in respect of the Aircraft. Seller warrants to Buyer and its successors and assigns that Seller has been the legal and beneficial owner of the Aircraft and that Seller hereby vests in Buyer good and marketable title to the Aircraft, free and clear of all Security Interests other than any Security Interest created by or through Buyer or any Permitted Lien (as defined in the Lease). Seller, for itself and for its successors and assigns, agrees and warrants that it and its successors and assigns shall defend the good and marketable title of Buyer to the Aircraft against the claims of any Person. THIS BILL OF SALE SHALL BE GOVERNED BY AND CONSTRUED IN ACCORDANCE WITH THE LAWS OF THE STATE OF NEW YORK.


 
EXHIBIT C Page 2 IN WITNESS WHEREOF, Seller has duly executed and delivered this Warranty Bill of Sale this [ ] day of [ ], 2024. Aurick One Limited, as Seller By:________________________________ Name: Title: By:________________________________ Name: Title: By:________________________________ Name: Title: 29654614v2


 
a102-aircraft2caspaurick
EXECUTION CERTAIN IDENTIFIED INFORMATION HAS BEEN EXCLUDED FROM THIS EXHIBIT BECAUSE IT IS BOTH (I) NOT MATERIAL AND (II) WOULD BE COMPETITIVELY HARMFUL IF PUBLICLY DISCLOSED. Purchase Agreement Airbus Model A320-214 aircraft manufacturer's serial number [*******] Dated August 29, 2024 Aurick One Limited Seller CASP Leasing I, LLC Buyer


 
Table of Contents Page 1. Definitions and Interpretation 1 2. Purchase of Aircraft. 4 3. Conditions to Closing 7 4. Taxes 9 5. Representations, Warranties and Covenants of Seller 10 6. Representations, Warranties and Covenants of Buyer 11 7. Indemnity 11 8. Assignment of Warranties 12 9. Notices 12 10. Governing Law 13 11. Confidentiality 14 12. Miscellaneous 14 EXHIBIT A – FORM OF ACCEPTANCE CERTIFICATE EXHIBIT B – DELIVERY CONDITIONS EXHIBIT C – FORM OF WARRANTY BILL OF SALE


 
This Purchase Agreement, dated August 29, 2024 (this “Agreement”), is between: (1) Aurick One Limited, an Irish limited liability company, having its principal place of business at The Mill Enterprise Hub, Newtown Link Road, Drogheda, Co. Louth, A92 CD3D, Ireland (“Seller”), and (2) CASP Leasing I, LLC, a Delaware limited liability company, having its principal place of business at 435 Investment Court, Verona, Wisconsin 53593-8788, U.S.A. (“Buyer”). WHERAS, Seller owns all legal and beneficial title to the airframe, engines, parts and technical records described in this Agreement and Buyer desires to purchase and Seller desires to sell such property on the terms and conditions set forth in this Agreement. NOW THEREFORE, in consideration of the foregoing and for other good and valuable consideration the receipt and sufficiency of which are hereby acknowledged, Seller and Buyer agree as follows: 1. Definitions and Interpretation 1.1 Definitions In addition to the terms and expressions defined elsewhere in this Agreement, the following terms and expressions shall have the following meanings: Acceptance Certificate the Acceptance Certificate signed by Buyer on the Delivery Date substantially in the form attached as Exhibit A. Affiliate as defined in the Lease. Aircraft the Airframe, Engines, Parts and the Technical Records. Additional Rent as defined in the Lease. After-Tax Basis on a basis such that any payment received or deemed to have been received by any Person shall be supplemented by a further amount paid to that Person, so that the recipient is held harmless on an after-tax basis from all taxes, penalties, fines, interest and other charges taking into account any related credits or deductions resulting from the receipt (actual or constructive) of such payments imposed by or under any Government Entity. Airframe the Airbus Model A320-214 airframe with manufacturer's serial number [*******], excluding the Engines or any engine from time to time installed on such airframe, (ii) any and all Parts attached to, incorporated in, installed on or appurtenant to such airframe. Applicable Law as defined in the Lease.


 
2 Basic Rent the monthly rent payments of (a) $[*******] per month in respect of the months of January, February and March of 2024 (assuming the Lease commenced on the Economic Closing Date) and (b) $[*******] per month in respect of the months from (and including) April 2024 through (and including) the month in which the Delivery Date occurs. Bulgarian Civil Authority the Directorate General Civil Aviation Administration at the Ministry of Transport and Communications of Bulgaria and/or its Director General, as appropriate. Business Day any day other than a Saturday, a Sunday or a day on which commercial banking institutions in New York, New York and Dublin, Ireland are authorized or required to be closed. Buyer Indemnitees Contrail Aviation Support, LLC, Seldon Partners and each of their respective directors, officers, servants, contractors, agents and employees. Certificate of Acceptance as defined in the Lease. Certificate of Delivery Condition as defined in the Lease. Commitment Fee as defined in the Lease. Delivery Conditions as set forth in Exhibit B attached hereto. Delivery Date the Scheduled Delivery Date or such other date to which Seller and Buyer shall agree in accordance with Section 2.2 on which Seller shall transfer the Aircraft to Buyer. Delivery Time the time on the Delivery Date at which Buyer accepts delivery of the Aircraft by executing and delivering to Seller the Acceptance Certificate. Dollars or “$” the legal currency of the United States of America. Economic Closing Date January 1, 2024. Engines each of the two CFM Model CFM56-5B4/P aircraft engines bearing manufacturer’s serial numbers [*******] and [*******], together with any and all Parts attached to, incorporated in, installed on or appurtenant to any such engine. Final Delivery Date as defined in the Lease. Government Entity as defined in the Lease.


 
3 Lease the Lease Agreement in respect of the Aircraft between Buyer and Lessee dated on or before the date of this Agreement. Lessee Electra Airways OOD, a company organized and existing under the laws of the Republic of Bulgaria, registered in the Commercial and NPLE Register under corporate number (EIK) 203506186, registered in the Bulgarian Registry of the Airlines Operating Chiefly on International Routes. Maintenance Records as defined in Section 2.6 herein. Net Purchase Price the Purchase Price adjusted as follows: (a) reduced by (i) an amount equal to all Basic Rent pertaining to the period from but excluding the Economic Closing Date and ending on and including the Delivery Date (including the Basic Rent due for the entire month in which the Delivery Date occurs) had the Lease commenced on the Economic Closing Date, and (ii) an amount equal to all Additional Rent pertaining to the period from but excluding the Economic Closing Date and ending on and including the Delivery Date had the Lease commenced on the Economic Closing Date; (b) increased by the daily amount of interest on the amount of the Purchase Price at a rate of (i) 6% (on an actual/360 day year basis) from but excluding the Economic Closing Date and ending on and including July 31, 2024; and (ii) 8% (on an actual/360 day year basis) from August 1, 2024 and ending on and including the Delivery Date; and (c) reduced by the amount of the Commitment Fee. Parts any and all appliances, parts, instruments, appurtenances, accessories, furnishings, seats that were previously installed on the Airframe and other equipment or components of whatever nature (other than complete Engines or engines) incorporated in, installed in, attached to or appurtenant to the Aircraft. Person as defined in the Lease. Purchase Price $[*******] Sales Taxes any sales, use, excise, transfer, gross receipts, value added or other similar taxes, fees or charges applied or assessed on the sale of the Aircraft under this Agreement.


 
4 Sale Documents this Agreement, the Acceptance Certificate, and the Warranty Bill of Sale. Scheduled Delivery Date August 30, 2024, or such later date as agreed by the parties. Security Interest as defined in the Lease. Technical Records all records, logs, manuals and other documentation and data with respect to the Aircraft in the possession of Seller in addition to the Maintenance Records. Warranty Bill of Sale the Warranty Bill of Sale signed by Seller on the Delivery Date covering the Aircraft substantially in the form attached as Exhibit C. 1.2 Interpretation (a) In this Agreement, unless the contrary intention is stated, a reference to: (i) each of "Seller", "Lessor", "Lessee", "Servicer", "Financing Party" or any other Person includes without prejudice to the provisions of this Agreement any successor in title to it and any permitted assignee; (ii) words importing the plural shall include the singular and vice versa; (iii) the term "including", when used in this Agreement, means "including without limitation" and "including but not limited to"; (iv) any document shall include that document as amended, novated or supplemented from time to time unless expressly stated to the contrary; (v) a law (1) includes any statute, decree, constitution, regulation, order, judgment or directive of any Government Entity; (2) includes any treaty, pact, compact or other agreement to which any Government Entity is a signatory or party; (3) includes any judicial or administrative interpretation or application thereof; and (4) is a reference to that provision as amended, substituted or re-enacted; and (vi) a "Section", "Schedule" or "Exhibit" is a reference to a section of, a schedule to or an exhibit to this Agreement. (b) The headings in this Agreement are to be ignored in construing this Agreement. 2. Purchase of Aircraft 2.1 Seller shall sell and deliver to Buyer and Buyer shall purchase and accept from Seller the Aircraft on the Delivery Date subject to the terms and conditions of this Agreement.


 
5 2.2 Closing The sale of the Aircraft shall occur on the Scheduled Delivery Date; however, if either Seller or Buyer is not ready to complete the sale or purchase on the Scheduled Delivery Date, then Seller or Buyer, respectively, shall be permitted to delay the Delivery Date one or more times by written notice to the other to a date not later than the Final Delivery Date. 2.3 Payment of Net Purchase Price (a) On the Scheduled Delivery Date, Buyer shall pay the Net Purchase Price for the Aircraft to Seller by wire transfer of the Net Purchase Price in immediately available funds to the following account of Seller: [*******] [*******] [*******] [*******] [*******] (b) All payments of the Net Purchase Price and other payments under this Agreement shall be made in Dollars and in immediately available funds for full credit on the date payment is due under this Agreement. 2.4 Title Transfer. Title to the Aircraft shall transfer from Seller to Buyer concurrently with the delivery by Buyer to Seller of the Acceptance Certificate and the receipt of the Net Purchase Price by the Seller. In addition, concurrent with the sale of the Aircraft by Seller to Buyer, the documents provided in Sections 3.1 and 3.2 shall be deemed delivered (unless such delivery is waived). The parties acknowledges and agree that immediately prior to the Delivery Time the Aircraft has been made available by the Seller for exclusive use by the Lessee and will be in the possession of the Lessee and that concurrent with the execution of the Acceptance Certificate, Lessee shall execute and the Certificate of Acceptance and all risk of loss and damage to the Aircraft shall transfer to Lessee pursuant to the Lease and subject to its terms and conditions, as well as that following the Delivery Date, the Buyer will continue to make the Aircraft available for exclusive use by the Lessee on the basis of the Lease. As soon as possible after the Delivery Date, the Lessee will deliver to Seller one original copy of the Certificate of Acceptance executed by the Lessee. 2.5 Condition Upon Delivery. The Aircraft shall be delivered to Buyer or its designee “AS IS, WHERE IS WITH ALL FAULTS” and SUBJECT TO EACH AND EVERY DISCLAIMER OF WARRANTY AND REPRESENTATION AS SET FORTH IN SECTION 7. Buyer shall be deemed to have unconditionally accepted each item of the Aircraft for all purposes under this Agreement upon the delivery by Buyer of the Acceptance Certificate to Seller. 2.6 Inspection. (a) Buyer will perform an inspection of the Aircraft and its Maintenance Records to confirm the Aircraft’s suitability for Buyer’s requirements. Such inspection (the “Pre-Purchase Inspection”) shall include: (i) physical inspection of the Aircraft consisting of a walk-around physical inspection of the Airframe and Engines including access to cabin, flight deck, cargo and equipment bays, with Engine/APU cowls opened; and


 
6 (ii) a review of the Maintenance Records including (A) current status reports (LLP status AD status, Non-Incident Statement etc.), (B) Last Done/Next Due report, (C) Engine Condition Monitoring report, and (D) technical records inventory list at the time of Seller’s purchase of the Aircraft and/or at the time of last delivery on lease or lease redelivery. (b) The Pre-Purchase Inspection shall be performed in the presence of Seller (or its nominee) at a location designated by Seller considering where the Aircraft will be in operation. (c) In the event that the Pre-Purchase Inspection reveals that the Aircraft does not comply with the Delivery Conditions, Buyer will provide a description of such noncompliance or damage (as the case may be) in writing to Seller and Seller shall have an opportunity to remedy such noncompliance or damage to Buyer’s satisfaction, prior to the Delivery Date (and, in any event, no later than the Final Delivery Date). (d) In the event that, at any time after completion of Pre-Purchase Inspection and before the Delivery Date, the Aircraft shall sustain damage of any kind or sort that would cost in excess of $100,000 to repair, Seller shall promptly notify Buyer of the same and Buyer shall have the right to reject the Aircraft or request Seller to rectify the damage (to the satisfaction of Buyer) prior to the Final Delivery Date provided that Seller, acting reasonably, shall have the right to refuse such rectification request. In either case, neither party shall have any further obligations to the other hereunder or under the Lease in respect of such Aircraft. 2.7 Termination. If the delivery of the Aircraft has not occurred by the Final Delivery Date for any reason whatsoever, the obligation of Seller to sell and of Buyer to purchase the Aircraft shall terminate, but the other obligations of Seller and Buyer under this Agreement, including under Section 2.9, shall remain unaffected. 2.8 Binding Obligations. This Agreement sets forth the binding obligation of Seller to sell the Aircraft and the binding obligation of Buyer to purchase the Aircraft. Before the Final Delivery Date (a) Seller shall cause each of the conditions set forth in Section 3.1 to be satisfied and shall take all other actions necessary to perform its obligations under the Sale Documents, and (b) Buyer shall cause each of the conditions set forth in Section 3.2 to be satisfied and shall take all other actions necessary to perform its obligations under the Sale Documents. 2.9 Damages and Remedies. (a) If the sale of the Aircraft does not occur before the Final Delivery Date as a result of (i) the failure of Seller to cause each of the conditions set forth in Section 3.1 to be satisfied or to perform any of its other obligations under the Sale Documents, and/or (ii) the failure of Lessee to cause each of the conditions set forth in Sections 3.1 and 3.2 of the Lease to be satisfied, then Buyer may by notice to Seller terminate its obligations to purchase the Aircraft from Seller. Buyer shall be entitled to exercise any and all rights and remedies, available by law, for Seller’s failure to perform its obligations under the Sale Documents.


 
7 (b) If the sale of the Aircraft does not occur before the Final Delivery Date as a result of the failure of Buyer to cause each of the conditions set forth in Section 3.2 to be satisfied or to perform any of its other obligations under the Sale Documents, then Seller may by notice to Buyer terminate its obligation to sell the Aircraft to Buyer. Seller shall be entitled to exercise any and all rights and remedies, available by law or in equity, for Buyer’s failure to perform its obligations under the Sale Documents. 3. Conditions to Closing 3.1 Buyer’s Closing Conditions. The obligation of Buyer to purchase the Aircraft at the Delivery Time is subject to the satisfaction by Seller or waiver by Buyer of each of the following conditions precedent: (a) each of the Sale Documents shall have been duly authorized, executed and delivered by Seller and shall be in full force and effect with respect to Seller and executed counterparts shall have been delivered to Buyer. (b) at the Delivery Time (i) the representations and warranties of Seller shall be true and accurate as though made on and as of such date, and (ii) nothing shall have occurred that will prevent Seller from performing its obligations under the Sale Documents. (c) Buyer shall have received a certificate, dated on the Delivery Date, from Seller signed by a duly authorized officer of Seller addressed to Buyer and certifying the following documents from Seller in form and substance satisfactory to Buyer: (i) a copy of resolutions of the Board of Directors of Seller, certified by a Director of Seller, duly authorizing the sale of the Aircraft by Seller under this Agreement and the execution, delivery and performance by Seller of the Sale Documents and each other document required to be executed and delivered by Seller; and (ii) certifying the authority and exhibiting specimen signatures of the individuals authorized to execute and deliver the Sale Documents. (d) Buyer shall have received: (i) copies of all bills of sale or other title transfer documents in respect of the Aircraft constituting or evidencing the successive transfers of title of the Aircraft from the manufacturer through to Seller; (ii) Incident/Accident Clearance Statements in respect of the airframe, engines, landing gear and APU from the current operator; (iii) copies of the priority search certificates of the International Registry in respect of the Airframe and each Engine; (iv) evidence of insurance required under the Lease;


 
8 (v) confirmation of the location of the Aircraft and that the Aircraft is (and will, throughout the duration of the closing be) located in Katowice, Poland, Dublin, Ireland or in international airspace; (e) satisfaction of all conditions precedent set forth in Sections 3.1 and 3.2 of the Lease (or their waiver or deferral by Buyer, as lessor); (f) Seller shall not be in default of its obligations under this Agreement or any Sale Document to which it is a party; (g) Buyer being satisfied that no Default or Event of Default (each as defined in the Lease) has occurred and is continuing; (h) evidence that all applicable documentation to be filed with the Bulgarian Civil Aviation Authority to reflect the transfer of ownership of the Aircraft and the leasing of the Aircraft pursuant to the Lease is in final form, executed and positioned for filing immediately following the Delivery Date; and in particular: (i) application for the approval of the lease transaction the Lease to be filed with the Bulgarian Civil Aviation Authority by the Lessee under the Lease; (ii) application for change of and the issuance of new certificate of registration of the Aircraft by keeping its current registration mark [*******] to evidence the Buyer as the owner to be filed with the Bulgarian Civil Authority by the Lessee ; and (iii) application for the amendment of the aircraft station license of the Aircraft to evidence the Buyer as the owner to be filed with the Bulgarian Civil Aviation Authority by the Lessee. (i) There shall have occurred no total loss of the Aircraft and no adverse change in the condition of the Aircraft subsequent to the completion of Buyer’s inspection of the Aircraft described in Section 2.6 of this Agreement. (j) There shall have occurred no material adverse change in the financial condition or operations of the Lessee subsequent to the date of this Agreement. (k) Evidence that the applications for deregistration of the following existing pledges on the Aircraft and the Engines have been filed with the respective Bulgarian authorities, as follows: (i) An aircraft pledge over the Aircraft and the Engines, established pursuant to an Aircraft Pledge Agreement dated 21 September 2023 the Seller as pledgor and NIGEL LIMITED as pledgee, registered with the Bulgarian Civil Aircraft Register as of 25 September 2023; (ii) A special pledge of the Engines pursuant to a Special Pledge Agreement on movable assets dated 21 September 2023, registered with the Bulgarian Central Register on Special Pledges on 21 September 2023 under reg. No. [*******].


 
9 3.2 Seller’s Closing Conditions. The obligation of Seller to sell the Aircraft to Buyer at the Delivery Time is subject to the satisfaction by Buyer or waiver by Seller of each of the following conditions precedent: (a) Each of the Sale Documents to which Buyer is a party shall have been duly authorized, executed and delivered by Buyer and shall be in full force and effect with respect to Buyer, and executed counterparts shall have been delivered to Seller. (b) At the Delivery Time (i) the representations and warranties of Buyer shall be true and accurate as though made on and as of such date, and (ii) nothing shall have occurred that will prevent Buyer from performing its obligations under the Sale Documents. (c) Buyer shall have paid the Net Purchase Price in accordance with Section 2.3. (d) Seller shall have received the following documents: (i) a copy of certified resolutions of Buyer, duly authorizing the purchase of the Aircraft under this Agreement, and the execution, delivery and performance by Buyer of the Sale Documents to which it is a party and each other document required to be executed and delivered by Buyer in accordance with the provisions of the Sale Documents; and (ii) an incumbency certificate of Buyer as to the individuals authorized to execute and deliver the Sale Documents to which it is party and each other document to be executed on behalf of Buyer in connection with the transactions contemplated by the Sale Documents, including the signatures of such persons. 4. Taxes 4.1 Liability for Sales Taxes. (a) The Purchase Price of the Aircraft does not include Sales Taxes that may be imposed by any Government Entity in any jurisdiction as a result of the sale of the Aircraft under this Agreement. (b) Seller shall be responsible for the payment of any and all Sales Taxes on the Aircraft. Upon demand of any Government Entity for payment of any Sales Taxes, Buyer shall promptly notify Seller and Seller shall pay such Sales Taxes; provided, that in the event that Buyer is required to pay any such Sales Taxes, Buyer shall invoice Seller for the amount of such Sales Taxes paid by Buyer and Seller shall reimburse Buyer on an After Tax Basis, for such amount within five Business Days of Seller’s receipt of such invoice. 4.2 Cooperation. Seller and Buyer shall cooperate and take all actions reasonably requested by the other that are not in contravention of any provision of the Sale Documents or Applicable Law to minimize the amount of any Sales Taxes applicable to this Agreement or the consummation of the transactions contemplated by this Agreement.


 
10 5. Representations and Warranties of Seller Seller represents and warrants on the date of this Agreement and as of the Delivery Date, and covenants, as follows: 5.1 Organization, Power and Authority. Seller is a duly formed and validly existing [limited liability company incorporated under the laws of Ireland] and has the corporate power and authority to carry on its business as presently conducted and to execute, deliver and perform its obligations under each of the Sale Documents to which it is a party, and each of such Sale Documents has been duly authorized by all necessary corporate action on the part of Seller and does not require any approval of the stockholders of Seller that has not been obtained. 5.2 Non-Contravention. The execution, delivery and performance of the Sale Documents to which Seller is a party and the consummation of the transactions contemplated by the Sale Documents will not contravene any Applicable Law binding on Seller or its property or result in any breach of, or constitute any default under, any indenture, mortgage, chattel mortgage, deed of trust, conditional sales contract, bank loan or credit agreement, corporate charter, by-law or other agreement or instrument to which Seller is a party or by which Seller or its properties may be bound or affected. 5.3 Enforceability. Each of the Sale Documents to which Seller is a party has been duly executed and delivered by Seller and, upon the due authorization, execution and delivery of such Sale Documents by the other parties to such Sale Documents, will constitute the legal, valid and binding agreement of Seller, enforceable against Seller in accordance with its terms, except as such enforceability may be limited by applicable bankruptcy, insolvency, reorganization, moratorium or other similar laws affecting creditors’ rights generally, or by equitable principles (regardless of whether enforcement is sought in a proceeding in equity or at law). 5.4 Warranty of Title. On the Delivery Date, Seller will be the sole legal and beneficial owner of the Aircraft, and Seller will transfer to Buyer good and marketable title to the Aircraft, free and clear of all Security Interests other than any Security Interest created by or through Buyer or any Permitted Lien (as defined in the Lease) and save for the Security Interests referred to in Section 3.1(k) above. 5.5 No Consent. The execution, delivery and performance by Seller of the Sale Documents do not require the consent, approval, order or authorization of, the giving of notice to, the registration with or the taking of any other action in respect of any Government Entity, except the filing for recordation with the appropriate aviation authority. 5.6 No Bankruptcy. No bankruptcy trustee, liquidator, examiner, receiver or similar officer has been appointed in respect of all or any part of the assets of Seller nor has any application been made to a court which is still pending for an order for, or any act, matter or thing been done which with the giving of notice, lapse of time or satisfaction of some other condition (or any combination thereof) will lead to, the appointment of any such officer or equivalent in any jurisdiction. 5.7 No Litigation. No litigation, arbitration or claim before any court, arbitrator, governmental or administrative agency or authority which would have a material adverse effect on the ability of Seller to observe or perform its respective obligations under this Agreement or


 
11 any other Sale Document to which it is a party is in progress, or to the knowledge of the relevant party, threatened against Seller. 5.8 No Loss or Damage. No total loss or damage of any kind or sort that would cost in excess of $100,000 to repair (and which has not been already repaired in accordance with Section 2.6(d)) has occurred to the Aircraft. 5.9 Lessee Operating Chiefly on International Routes. Lessee is registered in the Bulgarian Registry of Airlines Operating Chiefly on International Routes kept by the Bulgarian Civil Aviation Authority and is an international airline for Bulgarian VAT purposes. 6. Representations and Warranties of Buyer Buyer represents and warrants on the date of this Agreement and as of the Delivery Date, and covenants, as follows: 6.1 Organization, Power and Authority. Buyer is a duly organized and validly existing limited liability company in good standing under the laws of Delaware and has the power and authority to carry on its business as presently conducted and to execute, deliver and perform its obligations under the Sale Documents to which it is a party, and each of such Sale Documents has been duly authorized by all necessary company action on the part of Buyer and does not require any approval that has not been obtained. 6.2 Non-Contravention. The execution, delivery and performance of the Sale Documents to which Buyer is a party and the consummation of the transactions contemplated by the Sale Documents will not contravene any law binding on Buyer or result in any breach of, or constitute any default under, any indenture, mortgage, chattel mortgage, deed of trust, conditional sales contract, bank loan or credit agreement, certificate of formation, operating agreement or other agreement or instrument to which Buyer is a party or by which Buyer or its properties may be bound or affected. 6.3 Enforceability. Each of the Sale Documents to which Buyer is a party has been duly authorized, executed and delivered by Buyer and will constitute the legal, valid and binding agreement of Buyer, enforceable against Buyer in accordance with its terms, except as such enforceability may be limited by applicable bankruptcy, insolvency, reorganization, moratorium or other similar laws affecting creditors’ rights generally, or by equitable principles (regardless of whether enforcement is sought in a proceeding in equity or at law). 6.4 No Consent. The execution, delivery and performance by Buyer of the Sale Documents to which it is a party do not require the consent or approval of, the giving of notice to, the registration with or the taking of any other action in respect of any Government Entity. 7. Indemnity Seller agrees to defend, indemnify and hold harmless Buyer Indemnitee on an After-Tax Basis, from any and all costs, expenses, payments, charges, losses, demands, liabilities, claims, actions, proceedings, penalties, fines, damages, judgments, orders or other sanctions (“Losses”) which may be incurred by a Buyer Indemnitee and which arise directly or indirectly out of or in any way connected with the following:


 
12 (a) the ownership, maintenance, possession, control, use or operation of the Aircraft prior to the Delivery Time; or (b) the breach of the Seller’s obligations, representations and warranties hereunder, except, in each case, for Losses which result from the gross negligence or willful misconduct of a Buyer Indemnitee. 8. Assignment of Warranties Effective as of the Delivery Date, Seller irrevocably assigns to Buyer all of Seller’s rights under any applicable and active warranty (express or implied), service policy, maintenance or product agreement of any manufacturer, any maintenance and overhaul agency or any subcontractor, supplier or vendor of any item of the Aircraft to the extent that such rights are assignable and are not extinguished as a result of this Agreement or such assignment. From time to time upon the reasonable request of Buyer, Seller shall give notice to any such manufacturer, maintenance and overhaul agency, subcontractor, supplier or vendor of the assignment of such warranties or other agreements to Buyer and execute and deliver to Buyer such additional documents (at Buyer’s expense) as Buyer may reasonably request in order to effectuate or confirm the foregoing assignment. Seller shall enforce on Buyer’s behalf all such rights that are not assignable or would be extinguished as a result of this Agreement or such assignment, provided that Buyer shall pay the reasonable costs and expenses incurred by Seller in rendering such assistance. 9. Notices 9.1 Receipt of Notices. All notices and other communications given under or in connection with this Agreement shall be in writing and shall be deemed to have been received when delivered to the address specified in Section 9.2. 9.2 Address for Notices. All such notices, requests, demands and other communications shall be sent: (a) If to Seller: [*******] [*******] [*******] [*******] [*******] Attention: [*******] Email: [*******] Alternate Email: [*******] with a copy to: [*******] [*******] [*******] [*******]


 
13 Attention: [*******] Email: [*******] Alternate Email: [*******] Telephone: [*******] (b) If to Buyer: [*******] [*******] [*******] [*******] Attention: [*******] Email: [*******] Telephone: [*******] or to such other address or telefax number as shall have been notified by one party to the other in the manner set out in this Section 9.2. 10. Governing Law 10.1 Construction. THIS AGREEMENT SHALL BE GOVERNED BY AND CONSTRUED IN ACCORDANCE WITH THE LAWS OF THE STATE OF NEW YORK. 10.2 Jurisdiction. Each of Seller and Buyer expressly submits to the non-exclusive jurisdiction of the federal and state courts located in in the Borough of Manhattan, New York, State of New York (the “Agreed Courts”). Final judgment against Seller or Buyer rendered by any Agreed Court shall be conclusive and may be enforced in any other jurisdiction by suit on such judgment, a certified or true copy of which shall be conclusive evidence of the facts and of the amount of any indebtedness or liability of such party; provided, that Seller or Buyer may at its option bring suit or institute other judicial proceedings against the other party or the other party’s assets in the courts of any other jurisdiction where such other party or such assets may be found, to the extent permitted by the Applicable Law of such other jurisdiction. 10.3 Waiver of Objection to Venue. Each of Seller and Buyer irrevocably waives any claim or objection which it may now or hereafter have to the laying of venue of any suit, action or proceeding brought in any Agreed Court and further irrevocably waives any claim or objection that any such suit, action or proceeding brought in any Agreed Court has been brought in an inconvenient forum. 10.4 Waiver of Jury Trial. Each of Seller and Buyer waives any right to have a jury participate in resolving any dispute, whether sounding in contract, tort or otherwise, arising out of, connected with, related to or in connection with this Agreement or the transactions contemplated hereby. Instead, any dispute resolved in court will be resolved in a bench trial without a jury. 10.5 Expenses of Litigation. If any suit, action or proceeding is brought by Seller against Buyer or by Buyer against Seller and is decided by a court of competent jurisdiction, the party against which the decision is rendered shall indemnify the other for all damages, costs and expenses, including reasonable attorneys’ fees and expenses, arising in connection with such suit, action or proceeding.


 
14 11. Confidentiality 11.1 Confidential Material. The parties agree that the Purchase Price and all of the provisions in this Agreement relating to the calculation and payment thereof constitute commercially sensitive and proprietary information. The parties agree to keep all such information (“Confidential Material”) strictly confidential in accordance with the provisions of this Section 11.1. 11.2 Non-disclosure of Confidential Material. Each of the parties agrees it will not disclose such Confidential Material to any person or entity other than to their Affiliates and to the Boards of Directors or equivalent governing bodies, agents, employees, professional advisors of the foregoing in connection with the performance of services provided by them, in connection with the enforcement of any of the Sale Documents, any audit, as may otherwise be required by law, regulation or judicial process, or in the case of Buyer, to any prospective financing party or to a participant or assignee of all or any part of Buyer’s interest in the Aircraft. Any party disclosing Confidential Material to any person or entity as aforesaid shall use reasonable efforts to cause such person or entity receiving Confidential Material to agree to the terms of this letter as regards any disclosure by it of Confidential Material. In the case of disclosure of Confidential Material pursuant to judicial process, the party from whom disclosure is sought shall notify each other party of the demand for disclosure. Any party seeking to protect the Confidential Material from such disclosure may at its cost and expense take such action as it reasonably deems necessary to preserve the confidentiality of the Confidential Material, provided such action shall not subject the party from whom disclosure is sought to any risk, liability, penalty or cost (including fees and costs of counsel). 11.3 Exclusion for Tax Matters. In addition, notwithstanding anything to the contrary set forth herein, the obligations of confidentiality contained herein shall not apply to the U.S. federal or state tax structure or U.S. federal or state tax treatment of the transaction contemplated by this Agreement, and each party hereto (and any employee, representative, or agent of each party hereto) may disclose to any and all persons, without limitation of any kind, the U.S. federal and state tax structure and U.S. federal and state tax treatment of such transactions and all materials of any kind (including opinions or other tax analyses) relating to such U.S. federal and state tax treatment and U.S. federal and state tax structure. 12. Miscellaneous 12.1 Expenses. Each of Seller and Buyer shall bear its own expenses in connection with the negotiation, execution and delivery of the Sale Documents and the transactions contemplated by this Agreement to occur on the Delivery Date, save as set forth in Section 2.9(a). Seller will be responsible for all reasonable and properly documented costs associated with all necessary filings in the country of registration of the Aircraft and in the country of habitual base of the Aircraft required to reflect the transfer of title to the Aircraft contemplated by this Agreement, and the payment of all stamp duties and translation fees. 12.2 Successors and Assigns. This Agreement shall be binding upon and shall inure to the benefit of Seller and Buyer and their respective successors and permitted assigns. Neither Seller nor Buyer may assign its rights or obligations under this Agreement in whole or in part before the Delivery


 
15 Date without the prior written consent of the other party, which consent shall not unreasonably be withheld. 12.3 Modification, Amendments, Entire Agreement. The Sale Documents and their schedules and exhibits embody the entire agreement and understanding of Seller and Buyer with respect to the subject matter hereof and thereof, and, as of the date of this Agreement, terminate and supersede all prior or independent agreements and understandings between Seller, Buyer and their respective Affiliates covering the same subject matter. This Agreement shall not be modified or amended, and no right granted or created hereunder including the provisions of this Section 12.3 shall be waived orally or by implication, but only by writing signed by Seller and Buyer. 12.4 Survival. All representations, warranties and agreements of Seller and Buyer in the Sale Documents shall survive the sale of the Aircraft. 12.5 No Brokers. Each of Seller and Buyer represents and warrants that it has retained no brokers or finders who shall have any claim to compensation or costs or expenses with respect to the transactions contemplated by the Sale Documents. In the event that a claim is made by a broker or finder, the party responsible for the breach of this Section 12.5 shall indemnify the other for any damages, including reasonable attorneys’ fees and expenses, arising from such claim. 12.6 Waiver of Certain Rights. To the fullest extent permitted by Applicable Law, each of Seller and Buyer hereby agrees that no rights or remedies referred to in the U.N. Convention on Contracts for the International Sales of Goods shall be conferred upon either Buyer or Seller unless otherwise expressly granted in this Agreement. The U.N. Convention on Contracts for the International Sales of Goods is not applicable to this Agreement. 12.7 No Waiver of Enforcement. Any failure at any time of Seller or Buyer to enforce any provision of the Sale Documents shall not constitute a waiver of such provision or prejudice the right of either party to enforce such provision at any subsequent time. 12.8 Counterparts. This Agreement may be executed in counterparts, each of which shall constitute an original document. [signature page follows]


 
- signature page - IN WITNESS WHEREOF, Seller and Buyer have caused this Purchase Agreement to be executed by their duly authorized officers as of the date first above written. Aurick One Limited as Seller ________________________ By: Name: Title: ________________________ By: Name: Title: ________________________ By: Name: Title: CASP Leasing I, LLC as Buyer By: Contrail Aviation Support, LLC - Manager ________________________ By: Joseph G. Kuhn Title: CEO


 
EXHIBIT A Page 1 EXHIBIT A – FORM OF ACCEPTANCE CERTIFICATE Acceptance Certificate This Acceptance Certificate is delivered on the date set forth in paragraph 1 below by CASP Leasing I, LLC (“Buyer”) to Aurick One Limited (“Seller”) pursuant to a purchase agreement dated [ ], between Buyer and Seller in respect of one Airbus model A320-214 airframe bearing manufacturer’s serial number [*******] (the “Purchase Agreement”). Capitalized terms used but not defined in this Acceptance Certificate shall have the meaning given to such terms in the Purchase Agreement. Buyer hereby confirms to Seller that Buyer has at [hour]:[minute] [time zone] on this [ ] day of [ ] 2024, at [PLACE], accepted the following, in accordance with the provisions of the Purchase Agreement: (a) one Airbus Model A320-214 airframe bearing manufacturer’s serial number [*******]; (b) two CFM Model CFM56-5B4/P aircraft engines bearing manufacturer’s serial numbers [*******] and [*******]; (c) all Parts installed on, attached to, incorporated in or appurtenant to the Airframe and Engines; and (d) the Technical Records with respect to the Airframe, Engines and Parts set forth above. IN WITNESS WHEREOF, Buyer has duly executed this Acceptance Certificate this [ ] day of [ ] 2024. CASP Leasing I, LLC as Buyer By: Contrail Aviation Support, LLC - Manager ______________________________ By: Joseph G. Kuhn Title: CEO


 
EXHIBIT B Page 1 EXHIBIT B – DELIVERY CONDITIONS The Aircraft will satisfy the Delivery Conditions set forth below. The Aircraft will otherwise be in “as is, where is, with all faults” condition on the Delivery Date. 1. The Aircraft will have a valid Certificate of Airworthiness. 2. The Aircraft will have a valid Certificate of Release to Service. 3. The Aircraft will have Technical Records acceptable to Buyer. 4. The Aircraft interior will be configured as per the LOPA presented during the Pre-Purchase Inspection. 5. The Aircraft will be in compliance with all Type Design and EASA (if different from Type Design) Airworthiness Directives that by their terms require compliance on the Delivery Date. 6. The Aircraft will be in compliance with all applicable EASA requirements for passenger operation as a transport category commercial Aircraft including EU-OPS 1 and Part M. 7. Each Engine will be serviceable. 8. The APU will be serviceable. 9. Landing Gear will be serviceable.


 
EXHIBIT C Page 1 EXHIBIT C – FORM OF WARRANTY BILL OF SALE Warranty Bill of Sale Aurick One Limited, (“Seller”), in consideration of Ten Dollars and other good and valuable consideration, receipt of which is acknowledged, grant, bargain, sell and assign to CASP Leasing I, LLC (“Buyer”), its successors and assigns, the following airframe, engines and parts (collectively, the “Aircraft”) and the Technical Records (a) one Airbus Model A320-214 airframe bearing manufacturer’s serial number [*******]; (b) two CFM Model CFM56-5B4/P aircraft engines bearing manufacturer’s serial numbers [*******] and [*******]; (c) all parts, appliances, equipment, instruments, components and accessories attached to, installed in, incorporated in or appurtenant to such airframe and engines; and (d) all Technical Records with respect to the Aircraft. Capitalized terms used but not defined in this Warranty Bill of Sale have the meanings defined in the purchase agreement dated [ ], between Buyer and Seller in respect of the Aircraft. Seller warrants to Buyer and its successors and assigns that Seller has been the legal and beneficial owner of the Aircraft and that Seller hereby vests in Buyer good and marketable title to the Aircraft, free and clear of all Security Interests other than any Security Interest created by or through Buyer or any Permitted Lien (as defined in the Lease). Seller, for itself and for its successors and assigns, agrees and warrants that it and its successors and assigns shall defend the good and marketable title of Buyer to the Aircraft against the claims of any Person. THIS BILL OF SALE SHALL BE GOVERNED BY AND CONSTRUED IN ACCORDANCE WITH THE LAWS OF THE STATE OF NEW YORK.


 
EXHIBIT C Page 2 IN WITNESS WHEREOF, Seller has duly executed and delivered this Warranty Bill of Sale this [ ] day of [ ], 2024. Aurick One Limited, as Seller By:________________________________ Name: Title: By:________________________________ Name: Title: By:________________________________ Name: Title: 29654617v2


 
a103-aircraft1caspelectr
EXECUTION CERTAIN IDENTIFIED INFORMATION HAS BEEN EXCLUDED FROM THIS EXHIBIT BECAUSE IT IS BOTH (I) NOT MATERIAL AND (II) WOULD BE COMPETITIVELY HARMFUL IF PUBLICLY DISCLOSED. Aircraft Lease Agreement Airbus Model A321-111 aircraft manufacturer's serial number [*******] Dated August 29, 2024 CASP Leasing I, LLC Lessor Electra Airways OOD Lessee


 
TABLE OF CONTENTS Page 1. Definitions and Interpretation ........................................................................................... 1 1.1 Definitions ............................................................................................................ 1 1.2 Interpretation ...................................................................................................... 18 2. Representations and Warranties ................................................................................... 19 2.1 Lessee's Representations and Warranties ......................................................... 19 2.2 Repetition .......................................................................................................... 19 2.3 Lessor's Representations and Warranties .......................................................... 19 2.4 Repetition .......................................................................................................... 19 3. Conditions Precedent .................................................................................................... 19 3.1 Lessor's Documentary Conditions Precedent ..................................................... 19 3.2 Lessor's Other Conditions Precedent ................................................................. 19 3.3 Lessor's Waiver ................................................................................................. 19 3.4 Lessee's Conditions Precedent .......................................................................... 20 3.5 Lessee's Waiver ................................................................................................. 20 3.6 Post-Closing Matters .......................................................................................... 20 4. Commencement and Disclaimers .................................................................................. 20 4.1 Agreement to Lease ........................................................................................... 20 4.2 Delivery .............................................................................................................. 20 4.3 Delayed Delivery ................................................................................................ 21 4.4 Lessor’s Obligation to Purchase and Lease the Aircraft ..................................... 21 4.5 Acceptance and Risk ......................................................................................... 21 4.6 Exclusion ........................................................................................................... 22 4.7 Lessee's Waiver ................................................................................................. 22 4.8 Lessee's Confirmation ........................................................................................ 23 4.9 Conclusive Proof ................................................................................................ 23 5. Payments ...................................................................................................................... 23 5.1 Commitment Fee ............................................................................................... 23 5.2 Rental Periods ................................................................................................... 23 5.3 Basic Rent ......................................................................................................... 23 5.4 Additional Rent .................................................................................................. 24 5.5 Charged Moneys................................................................................................ 25 5.6 Payments ........................................................................................................... 25 5.7 Gross up ............................................................................................................ 26 5.8 Taxation ............................................................................................................. 26 5.9 Value Added Tax ............................................................................................... 27 5.10 Information ......................................................................................................... 27 5.11 Taxation of Indemnity Payments ........................................................................ 28 5.12 Default Interest .................................................................................................. 28 5.13 Contest .............................................................................................................. 28 5.14 Absolute ............................................................................................................. 29 6. Manufacturer's and Other Warranties ............................................................................ 30 6.1 Assignment ........................................................................................................ 30 6.2 Proceeds ........................................................................................................... 30 6.3 Parts .................................................................................................................. 31 6.4 Agreement ......................................................................................................... 31 6.5 Lessee Warranties ............................................................................................. 31 6.6 Final Maintenance Performer Warranties ........................................................... 31


 
6.7 Agreed Maintenance Performers ....................................................................... 31 7. Lessor's Covenants ....................................................................................................... 32 7.1 Quiet Enjoyment ................................................................................................ 32 7.2 Lessor's Maintenance Contribution .................................................................... 32 7.3 Registration ........................................................................................................ 37 7.4 Lessor's Obligations Following Termination ....................................................... 37 7.5 AD Cost Sharing ................................................................................................ 37 8. Lessee's Covenants ...................................................................................................... 38 8.1 Duration ............................................................................................................. 38 8.2 Information ......................................................................................................... 38 8.3 Operation of the Aircraft ..................................................................................... 39 8.4 Taxes and Other Charges .................................................................................. 41 8.5 Possession ........................................................................................................ 41 8.6 Inspection .......................................................................................................... 43 8.7 Protection of Title ............................................................................................... 43 8.8 Business of Lessee ............................................................................................ 45 8.9 Records ............................................................................................................. 46 8.10 Registration and Filings...................................................................................... 46 8.11 Maintenance and Repair .................................................................................... 47 8.12 Removal of Engines and Parts ........................................................................... 48 8.13 Installation of Engines and Parts ........................................................................ 49 8.14 Non-Installed Engines and Parts ........................................................................ 50 8.15 Pooling of Engines and Parts ............................................................................. 51 8.16 Equipment Changes .......................................................................................... 52 8.17 Title to Parts ....................................................................................................... 52 8.18 Third Parties ...................................................................................................... 53 8.19 Non-Discrimination ............................................................................................. 53 8.20 Unserviceable Engine Replacement .................................................................. 53 8.21 APU and Landing Gear Replacement ................................................................ 54 9. Insurance ...................................................................................................................... 54 9.1 Insurances ......................................................................................................... 54 9.2 Requirements .................................................................................................... 55 9.3 Insurance Covenants ......................................................................................... 55 9.4 Renewal of Insurances ...................................................................................... 56 9.5 Failure to Insure ................................................................................................. 57 9.6 Continuing Insurance for Indemnity .................................................................... 57 9.7 Application of Insurance Proceeds ..................................................................... 57 9.8 Aggregate Limits ................................................................................................ 58 9.9 Form LSW555D Exclusions ............................................................................... 58 10. Indemnity ....................................................................................................................... 59 10.1 General .............................................................................................................. 59 10.2 Mitigation ........................................................................................................... 60 11. Events Of Loss .............................................................................................................. 60 11.1 Total Loss Before Delivery ................................................................................. 60 11.2 Total Loss After Delivery .................................................................................... 61 11.3 Engine Loss ....................................................................................................... 61 11.4 Damage or Incident Not Constituting a Total Loss ............................................. 62 11.5 Requisition ......................................................................................................... 62 12. Return Of Aircraft .......................................................................................................... 63 13. Default ........................................................................................................................... 63 13.1 Events ................................................................................................................ 63


 
13.2 Default Payments............................................................................................... 68 13.3 Cape Town Convention Remedies ..................................................................... 68 13.4 Waiver of Certain Rights .................................................................................... 69 14. Assignment, Transfer and Financing ............................................................................. 69 14.1 No Assignment by Lessee ................................................................................. 69 14.2 Owner and/or Lessor Assignment ...................................................................... 69 14.3 Financing Parties; Grants of Security Interests .................................................. 71 14.4 Sale and Leaseback by Lessor .......................................................................... 72 14.5 Cooperation; Acknowledgment .......................................................................... 72 14.6 Certain Protections for Lessee's Benefit ............................................................. 73 14.7 Advance Consent under Cape Town Convention ............................................... 73 15. Governing Law and Jurisdiction ..................................................................................... 73 15.1 Governing Law ................................................................................................... 73 15.2 Consent to Jurisdiction ....................................................................................... 73 15.3 Waiver of Jury Trial ............................................................................................ 74 15.4 Service of Process ............................................................................................. 74 15.5 Disclaimer of Consequential Damages .............................................................. 74 16. Miscellaneous ................................................................................................................ 74 16.1 Waivers, Remedies Cumulative ......................................................................... 74 16.2 Delegation.......................................................................................................... 74 16.3 Appropriation ..................................................................................................... 75 16.4 Currency Indemnity ............................................................................................ 75 16.5 Payment by Lessor ............................................................................................ 75 16.6 Severability ........................................................................................................ 75 16.7 Remedy ............................................................................................................. 76 16.8 Expenses ........................................................................................................... 76 16.9 Time of Essence ................................................................................................ 76 16.10 Notices ............................................................................................................... 76 16.11 Sole and Entire Agreement ................................................................................ 77 16.12 Rights of Indemnitees ........................................................................................ 77 16.13 Survival .............................................................................................................. 78 16.14 Counterparts ...................................................................................................... 78 16.15 English Language .............................................................................................. 78 16.16 Further Assurances ............................................................................................ 78 16.17 Confidentiality .................................................................................................... 78 Schedule 1 – Description of Aircraft .......................................................................................... 82 Schedule 2 – Delivery Conditions.............................................................................................. 86 Schedule 3 – Return Conditions ................................................................................................ 87 Schedule 4 – Insurance Requirements ..................................................................................... 90 Schedule 5 – Principal Economic Terms ................................................................................... 94 Schedule 6 – Representations and Warranties ......................................................................... 97 Schedule 7 – Conditions Precedent ........................................................................................ 102 Exhibit A – Form of Certificate of Acceptance ......................................................................... 106 Exhibit B – Form of Certificate of Delivery Condition ............................................................... 109 Exhibit C – Form of Deregistration Power of Attorney ............................................................. 116 Exhibit D – Form of Monthly Utilization and Status Report ...................................................... 121 Exhibit E – Form of Initial Technical Return Certificate ............................................................ 124 Exhibit F – Form of Final Return Certificate ............................................................................. 130 Exhibit G – Form of ATC/Airport Authority Letter ..................................................................... 136 Exhibit H – Form of EUROCONTROL Letter ........................................................................... 137 Exhibit I – Form of EU-ETS Letter ........................................................................................... 138


 
1 This Aircraft Lease Agreement, dated August 29, 2024 (this "Agreement"), is between: (1) CASP Leasing I, LLC, a Delaware limited liability company, having its principal place of business at 435 Investment Court, Verona, Wisconsin 53593-8788, U.S.A. ("Lessor"), and (2) Electra Airways OOD, a company organized and existing under the laws of the Republic of Bulgaria, having its principal place of business at 51, Aleksander Malinov Blvd., Metrocity Office Building, 5th Floor, Office A7, 1217 Sofia, Bulgaria ("Lessee"). WHEREAS, Lessor wishes to lease the Aircraft to Lessee and Lessee agrees to lease the Aircraft from Lessor, upon and subject to the covenants, terms and conditions set out in this Agreement. NOW, THEREFORE, in consideration of the foregoing and for other good and valuable consideration the receipt and sufficiency of which are hereby acknowledged, Lessor and Lessee agree as follows: 1. Definitions and Interpretation 1.1 Definitions In this Agreement the following expressions shall, unless the context otherwise requires, have the following respective meanings: Accounting Standard at the option of Lessee, either (a) generally accepted accounting principles as in effect from time to time in the State of Organization or (b) International Financial Reporting Standards (IFRS) and, in both cases, subject to changes in such principles from time to time, consistently applied in accordance with the past practices of Lessee. Actual Cost as it applies to any maintenance work, rectification of discrepancies on the Aircraft, or replacement of an Engine, means the actual cost of replacement parts and/or the cost of labor associated with such work, rectification or replacement at Lessee's in-house labor rates (if the work is performed by Lessee) or at the actual third party costs charged to Lessee (if the work is performed by third parties) and such amount shall (a) exclude the cost of maintenance or repairs covered by warranty or insurance claims, late charges, mark ups, shipping and handling charges, interest, customs duties, exchange fees or other similar amounts and (b) be reduced by the value of any OEM support programs or vendor rebates received by Lessee. AD any airworthiness directive or consignes de navigabilité issued by EASA or the Aviation Authority and applicable to the Airframe, any Engine, any Part or the Aircraft Documents.


 
2 Additional Rent collectively, Airframe Additional Rent, APU Additional Rent, Engine Additional Rent, Engine LLP Additional Rent and Landing Gear Additional Rent. Affiliate in relation to any Person, any other Person controlled directly or indirectly by that Person, any other Person that controls directly or indirectly that Person or any other Person under common control with that Person. For purposes of this definition, "control" of any Person means the power (whether directly or indirectly) to direct or cause the direction of the management and policies of the applicable Person whether through the ownership of a majority of the voting power of such Person or by contract or otherwise. Agreed Maintenance Performer Lessee, Elektra Trans Global OOD or any other reputable Manufacturer, airline or maintenance organization that is (a) experienced in maintaining aircraft and/or engines of the same type as the Aircraft and the Engines, (b) duly certified under FAA FAR Part 145 and/or under EASA Part 145, (c) duly certified by the Aviation Authority and (d) not excluded by Lessor pursuant to Section 6.7. Agreed Value as set forth in Schedule 5. Aircraft the Airframe, Engines, Parts and Aircraft Documents, as further described in Parts 1 and 2 of Schedule 1 and the Certificate of Delivery Condition, collectively (which term may also mean, as the context requires, the Airframe, any Engine, any Part, the Aircraft Documents or any part thereof, individually). The passenger seats installed on the Aircraft at Delivery belong to the Lessee or its Affiliate, are not part of the Aircraft for the purposes of this definition, and will not be leased by Lessor to Lessee. Aircraft Documents the manuals, documentation, data and records identified in or pursuant to Part 2 of Schedule 1, any other manuals, documentation, data and records provided to Lessee at Delivery in connection with the Aircraft (as described in the Certificate of Delivery Condition) and all additions, renewals, revisions and replacements to any of the foregoing made from time to time during the Term in accordance with this Agreement. Airframe the airframe described in Part 1 of Schedule 1 and the Certificate of Delivery Condition together with all Parts from time to time relating thereto (except Engines or engines). Airframe 6Y Additional Rent as defined in Section 5.4(a).


 
3 Airframe 12Y Additional Rate as defined in Section 5.4(a). Airframe 6Y Additional Rent Rate as set forth in Schedule 5. Airframe 12Y Additional Rent Rate as set forth in Schedule 5. Airframe Manufacturer Airbus S.A.S. Airframe 6Y Reimbursable Expenses as defined in Section 7.2(a)(i). Airframe 12Y Reimbursable Expenses as defined in Section 7.2(a)(iii). Airframe 6Y Structural Check “6-Years” block maintenance check inclusive of all MPD systems, structural and zonal inspections to be performed (i) no later than every 6 years or 72 months or (ii) such longer period as may from time to time be an escalated interval under the MPD, out of phase tasks required for the calendar time, Flight Hours and Cycles since new or last completion of such tasks in accordance with the Approved Maintenance Program in effect on the date when such check is carried out. Airframe 12Y Structural Check “12-Years” block maintenance check inclusive of all MPD systems, structural and zonal inspections to be performed (i) no later than every 12 years or 144 months or (ii) such longer period as may from time to time be an escalated interval under the MPD, out of phase tasks required for the calendar time, Flight Hours and Cycles since new or last completion of such tasks in accordance with the Approved Maintenance Program in effect on the date when such check is carried out. AMM the Airframe Manufacturer's aircraft maintenance manual, as updated and modified from time to time. Applicable Law all applicable (a) laws, treaties and international agreements of any national government, (b) laws of any state, province, territory, locality or other political subdivision of a national government and (c) rules, regulations, judgments, decrees, orders, injunctions, writs, directives, licenses and permits of any Government Entity or arbitration authority. Approved Maintenance Program the maintenance program of Lessee approved by the Aviation Authority and based upon and in compliance with the Airframe Manufacturer's MPD and the Engine Manufacturer's MPD, as the same may be updated, amended and otherwise modified


 
4 from time to time in accordance with this Agreement, and which encompasses scheduled maintenance, condition monitored maintenance and/or on-condition maintenance of the Airframe, Engines and Parts, including servicing, testing, preventative maintenance, repairs, structural inspections, system checks, overhauls, approved modifications, service bulletins, engineering orders, ADs, corrosion control, inspections and treatments. APU (a) the auxiliary power unit listed in the Certificate of Delivery Condition at Delivery, (b) any and all Parts, so long as such Parts are incorporated in, installed on or attached to such auxiliary power unit or so long as title to such Parts is vested in Owner in accordance with the terms of Section 8.17(b) after removal from such auxiliary power unit and (c) insofar as the same belong to Owner, all substitutions, replacements or renewals from time to time made in or to such auxiliary power unit or to any of the Parts referred to in clause (b) above, as required or permitted under this Agreement. APU Additional Rent as defined in Section 5.4(a). APU Additional Rent Rate as set forth in Schedule 5. APU Basic Shop Visit any shop visit involving the disassembly, cleaning, inspection and repair of an APU which corrects the condition that caused the removal, accomplishes a minimum of a medium repair to the power section in accordance with the latest published revision of the Manufacturer's workscope planning guide, and provides for a minimum interval of continued operation greater than or equal to the Manufacturer's mean time between shop visits. APU Hour each hour or part thereof (rounded up to one decimal place) that the APU is operated, whether for aircraft operations or testing. APU Reimbursable Expenses as defined in Section 7.2(e)(i). ATC/Airport Authority any air traffic control authority (including Eurocontrol) and any airport authority with jurisdiction over any aircraft operated by Lessee or any sublessee. Aviation Authority any and all Government Entities that, under the laws of the State of Registration, from time to time (a) have control or supervision of civil aviation; or (b) have jurisdiction over the registration, airworthiness or operation of, or matters relating to, the Aircraft.


 
5 Basic Rent all amounts payable pursuant to Section 5.3. Basic Rent Amount as set forth in Schedule 5. Business Day a day (other than a Saturday or Sunday) on which business of the nature required by this Agreement is carried out in New York, New York and the city in which Lessee's office listed in Section 16.10(b) is located. C Check a “C” block maintenance check inclusive of MPD systems, structural and zonal inspections to be performed (i) no later than every 24 months and 7,500 Flight Hours and 5,000 Cycles or (ii) such longer period as may from time to time be an escalated interval under the MPD, out of tasks required for the calendar time, Flight Hours and Cycles since new or last completion of such tasks and all lower level multiple maintenance tasks in accordance with the Approved Maintenance Program in effect on the date such check is carried out. Cape Town Convention the Cape Town Convention on International Interests in Mobile Equipment and the Aircraft Equipment Protocol thereto. Certificate of Acceptance a certificate in the form attached as Exhibit A to be completed and executed by Lessor and Lessee at the time of Delivery. Certificate of Delivery Condition a certificate in the form attached as Exhibit B to be completed and executed by Lessor and Lessee at or prior to the time of Delivery. Commitment Fee as set forth in Schedule 5. CPCP Lessee's Corrosion Prevention and Control Program that is a part of the Approved Maintenance Program. Cycle one takeoff and landing of the Airframe or, in the case of an Engine, of the airframe on which such Engine is installed. Damage Notification Threshold as set forth in Schedule 5. Default any event which with the giving of notice, lapse of time, determination of materiality or fulfillment of other condition or any combination of the foregoing would constitute an Event of Default. Delivery the delivery of the Aircraft to Lessee in accordance with the terms of this Agreement. Delivery Date the date on which Delivery takes place, which shall be the Scheduled Delivery Date or such other date on which delivery


 
6 of the Aircraft by Seller to Purchaser takes place in accordance with the Purchase Agreement. Delivery Location a location as agreed to by Lessor and Lessee (including international airspace at the discretion of Seller). Dollars and $ the lawful currency of the United States of America. EASA the European Union Aviation Safety Agency or any successor Government Entity succeeding to the functions thereof. Electronic Records Format an EASA or FAA-approved system in a searchable format by which any Aircraft Documents are stored and retrieved electronically. Engine whether or not installed on the Aircraft: (a) each engine listed in the Certificate of Delivery Condition; or (b) any engine which replaces an engine specified in subpart (a) above following an Engine Loss, in accordance with Section 11.3, and in each case includes all modules and Parts from time to time relating to that engine. Engine Additional Rent as defined in Section 5.4(a). Engine Additional Rent Rate as set forth in Schedule 5. Engine LLP Additional Rent as defined in Section 5.4(a). Engine LLP Additional Rent Rate as set forth in Schedule 5. Engine LLP Reimbursable Expenses as defined in Section 7.2(c)(i). Engine Loss the occurrence, with respect to an Engine, of one of the events set forth in clauses (a) through (d) of the definition of "Total Loss" as if references to the "Airframe" were to such "Engine". Engine Loss Date the relevant date determined in accordance with the definition of "Total Loss Date" as if that definition applied to an Engine Loss.


 
7 Engine Manufacturer CFM International, Inc. Engine Reimbursable Expenses as defined in Section 7.2(b)(i). Engine Shop Visit with respect to any Engine, any shop visit, as defined by the Engine Manufacturer, that is based on the Approved Maintenance Program of condition monitored and trend monitoring or performance deterioration, and in any case requiring disassembly, inspection and repair with at least a full workscope, as defined in the Engine Manufacturer’s workscope planning guide, of the core major module (HPC, combustor and HPT) of such Engine and that results in a minimum of 7,000 Cycles of operation remaining on each of the LLPs in such engine, restores performance, hardware condition and integrity to a level consistent with a continued operation of the Engine for 7,000 Cycles. Equipment Change any modification, alteration, addition to or removal from the Aircraft during the Term. ER Provider as defined in Section 8.9(b). Eurocontrol the European Organization for the Safety of Air Navigation. Event of Default an event specified in Section 13.1. Excluded Geographic Area any country, region or geographic area identified by Lessor to Lessee in writing where Lessor has determined, in its sole but reasonable discretion, that there is a material risk of detention, forfeiture, or loss, not adequately covered by both (i) the Insurances required under this Agreement and (ii) the contingent or other insurance policies held by Lessor. Lessor shall rely on the U.S. Department of Treasury’s Office of Foreign Assets Control in identifying such countries, regions or geographic areas as generally set forth in the following link: https://ofac.treasury.gov/sanctions-programs-and-country- information Expiry Date the later of the Scheduled Expiry Date or the Return date, or the date on which: (a) the Aircraft has been redelivered to Lessor in accordance with this Agreement and all obligations of Lessee have been satisfied; or (b) Lessor receives the Agreed Value following a Total Loss and any other amounts then due and owing in accordance with this Agreement.


 
8 FAA the Federal Aviation Administration of the U.S. Department of Transportation, or any successor Government Entity succeeding to the functions thereof. FAR Federal Aviation Regulations issued by the FAA. Final Delivery Date September 13, 2024, or such later date as agreed between Lessor and Lessee in writing. Final Inspection the inspection of the Aircraft by Lessor, or representatives appointed by Lessor, during any part of the inspections, checks and demonstration flights required pursuant to Schedule 3 or otherwise performed in connection with the Return. Final Maintenance Performer an Agreed Maintenance Performer with the necessary experience and regulatory authority approvals for the Aircraft type in order to perform the required redelivery maintenance on the Aircraft needed to meet the requirements of Schedule 3. Financial Indebtedness any indebtedness in respect of: (a) moneys borrowed; (b) any liability under any debenture, bond, note, loan stock, acceptance credit, documentary credit or other security; (c) the acquisition cost of any asset to the extent payable before or after the time of acquisition or possession; (d) the capitalized value (determined in accordance with accounting practices generally accepted in the United States of America) of obligations under finance leases (as applicable); or (e) any guarantee, indemnity or similar assurance against financial loss of any Person in respect of the above. Financing Document any loan agreement, credit agreement or similar agreement between Owner and/or Lessor and any Financing Party under which funds are advanced to Owner and/or Lessor or any Affiliate of Owner or Lessor and under which the obligations of Owner and/or Lessor or any Affiliate of Owner or Lessor to such Financing Parties relate to the Aircraft or the Operative Documents. Financing Parties collectively (a) such Persons as Lessor may from time to time notify to Lessee in writing as having a financial interest in the Aircraft (including, without limitation, those identified in the


 
9 Notice and Acknowledgment), (b) any Person that has advanced funds to Owner and/or Lessor or an Affiliate of Owner or Lessor pursuant to any Financing Document, (c) any Person that holds a Security Interest in the Aircraft or Owner's and/or Lessor's right, title and interest in any Operative Document to secure Owner's and/or Lessor's and/or any Affiliate's obligations under any Financing Document, (d) any agent, loan agent, trustee, security trustee, collateral trustee or similar Person acting pursuant to any Financing Document and (e) the successors and permitted assigns of such Persons. Financing Security Document any Financing Document whereby Owner and/or Lessor grants to a Financing Party a Security Interest in the Aircraft and/or in its right, title and interest in any Operative Document. Flight Charges all flight charges, route navigation charges, navigation service charges and all other fees, charges or Taxes payable for the use of or for services provided at any airport or otherwise payable to any airport, airport authority, navigation or flight authority or other similar entity or for any services provided in connection with the operation, landing or navigation of aircraft. Flight Hour each hour or part thereof (rounded up to one decimal place) elapsing from the moment the wheels of the Airframe leave the ground on takeoff until the moment the wheels of the Airframe next touch the ground or, in the case of an Engine, of the airframe on which such Engine is installed. Government Entity (a) any national, state or local government, political subdivision thereof or local jurisdiction therein; (b) any board, commission, department, division, instrumentality, court, agency or political subdivision thereof; and (c) any association, organization or institution of which any of the above is a member or to whose jurisdiction any thereof is subject or in whose activities any of the above is a participant. Habitual Base the State of Organization or, any European Union country, otherwise subject to the prior written consent of Lessor not to be unreasonably withheld, delayed or conditioned, any other state, province or country in which the Aircraft is for the time being habitually based. Hull Insurance Deductible as set forth in Schedule 5.


 
10 IATA the International Air Transport Association. IDERA an irrevocable de-registration and export request authorization in the form prescribed by the Cape Town Convention. Incident/Accident Clearance Statement a statement produced on Lessee's letterhead confirming that the Airframe, Engines, APU and Landing Gear have been deemed acceptable for continued operation, in a form required by Lessor and executed by Lessee's duly qualified quality assurance manager. Indemnitees Owner, Lessor, Servicer, each Financing Party, the respective successors and assigns of such Persons, and the shareholders, members, partners, Affiliates, directors, officers, managers, trustees, employees, agents and servants of such Persons. Insurances as defined in Section 9.1. Landing Gear the landing gear assemblies (nose, left main and right main, forestay and sidestay) of the Aircraft listed in the Certificate of Delivery Condition, and any landing gear assembly substituted therefor in accordance with this Agreement and title to which has passed to Owner in accordance with this Agreement. Landing Gear Additional Rent as defined in Section 5.4(a). Landing Gear Additional Rent Rate as set forth in Schedule 5. Landing Gear Overhaul an overhaul of the Landing Gear to full Manufacturer specification and operating condition (excluding any rotable components such as wheels, tires, brakes and consumable items). Landing Gear Reimbursable Expenses as defined in Section 7.2(d)(i). Lessee Installed Part any part installed on the Aircraft at Delivery title to which is held by Lessee, and any part installed on the Aircraft after Delivery not in replacement for a Part and not required under Applicable Law to be installed on the Aircraft, title to which is either held by Lessee (which title may be subject to a Security Interest in favor of an unrelated third party) or held by an unrelated third party (in the case in which such part is leased or conditionally sold to Lessee).


 
11 Lessor's Counsel Kambourov & Partners, counsel to Lessor in each of the State of Organization and the State of Registration. Lessor Lien (a) any Security Interest from time to time created by or arising through Owner, Lessor or any Financing Party in connection with the financing or refinancing of the Aircraft; (b) any other Security Interest in respect of the Aircraft that results from acts or omissions of, or claims against, Owner, Lessor or any Financing Party not related to the operation of the Aircraft or the transactions contemplated by or permitted under the Operative Documents; and (c) Security Interests in respect of the Aircraft for Non- Indemnified Taxes. LLP life limited Part. Major Checks any Airframe 6Y Structural Check, Airframe 12Y Structural Check, C Check, Engine Shop Visit, APU Basic Shop Visit and Landing Gear Overhaul. Mandatory Equipment Change an Equipment Change that is required by or performed to comply with an AD, Aviation Authority regulations or a Manufacturer's service bulletin. Manufacturer with respect to the Airframe, Engine or any Part of the Aircraft, the Airframe Manufacturer, Engine Manufacturer or manufacturer of such Part, respectively. Minimum Liability Coverage as set forth in Schedule 5. MPD for any Manufacturer, such Manufacturer's maintenance planning document or Engine Manufacturer's maintenance program/planning guide, as updated and modified from time to time. Non-Indemnified Taxes (a) Taxes imposed on a Tax Indemnitee as a direct result of activities of such Tax Indemnitee in the jurisdiction imposing the liability wholly unrelated to such Tax Indemnitee's dealings with Lessee pursuant to the Operative Documents or to the transactions contemplated by the Operative Documents or the use, maintenance or operation of the Aircraft by Lessee or any other Person or the presence or activities of Lessee or its Affiliates in the jurisdiction imposing such Taxes;


 
12 (b) Taxes imposed on the income, profits or gains of any Tax Indemnitee by (i) any federal Government Entity in the United States of America, (ii) any Government Entity in the jurisdictions where such Tax Indemnitee is incorporated, formed or organized or has its principal place of business or (iii) any Government Entity in any other jurisdiction where such Tax Indemnitee is liable for such Taxes and such liability has or would have arisen in the absence of the transactions contemplated by the Operative Documents; (c) Taxes imposed with respect to any period commencing or event occurring before Delivery or after Return and unrelated to any Tax Indemnitee's dealings with Lessee pursuant to the Operative Documents or to the transactions contemplated by the Operative Documents; (d) Taxes imposed as a direct result of the sale or other disposition of the Aircraft by a Tax Indemnitee, unless such sale or disposition occurs following an Event of Default or pursuant to the terms of the Operative Documents; and (e) Taxes imposed on a Tax Indemnitee to the extent caused by the fraud, gross negligence or willful misconduct of such Tax Indemnitee. Notice and Acknowledgment a notice and acknowledgment between Lessor and Lessee in such form as reasonably required by Lessor. OEM the original equipment manufacturer of a Part. Operative Documents this Agreement, any amendments to this Agreement entered into from time to time, the Certificate of Acceptance, the Certificate of Delivery Condition, the Power of Attorney, the IDERA, each Sale Document (as defined in the Purchase Agreement) and, if applicable, the Notice and Acknowledgment. Other Operative Documents any other operative or transaction document (howsoever defined) entered into in connection with, or relating to, any Related Agreements or the Purchase Agreement. Overdue Rate at any time and from time to time, 7.0% plus the base commercial lending rate as announced by Citibank, N.A., or the maximum rate permitted by Applicable Law, whichever is less.


 
13 Owner Lessor or such other Person as Lessor may from time to time notify Lessee in writing as being the owner of the Aircraft for the time being. Part whether or not installed on the Aircraft: (a) any appliance, part, component, module, navigation, avionic and communication equipment, computer, instrument, appurtenance, accessory, seat, furnishing and equipment of whatever nature (including the APU and Landing Gear but excluding a complete Engine) furnished with, installed on or appurtenant to the Airframe and Engines on Delivery; and (b) any other appliance, part, component, module, navigation, avionic and communication equipment, computer, instrument, appurtenance, accessory, furnishing or equipment of whatever nature (other than a complete Engine) title to which has, or should have, passed to Owner pursuant to this Agreement, but excludes any such items title to which has, or should have, passed to Lessee pursuant to Section 8.17(b) and any Lessee Installed Part. Permitted Lien (a) any Security Interest for Taxes not assessed or, if assessed, not yet due and payable, or being contested in good faith by appropriate proceedings; (b) any Security Interest of a repairer, mechanic, carrier, hangar keeper, unpaid seller or other similar lien arising in the ordinary course of business or by operation of law in respect of obligations which are not overdue in accordance with Applicable Law or are being contested in good faith by appropriate proceedings; and (c) any Lessor Lien; but only if, in the case of (a) and (b), (i) adequate reserves have been provided by Lessee for the payment of such Taxes or obligations in accordance with the Accounting Standard and (ii) such proceedings, or the continued existence of the Security Interest, do not give rise to any material risk of the sale, forfeiture or other loss of the Aircraft or any interest therein or of criminal liability on the part of Lessor, Owner or any Financing Party. Person any individual, corporation, partnership, limited liability company, limited liability partnership, joint venture,


 
14 association, joint stock company, trust, unincorporated organization or Government Entity. Power of Attorney an irrevocable power of attorney by Lessee in substantially the form attached as Exhibit C. PMA Part a non type-certificated Part whose design and/or manufacture has been accomplished by any entity other than the OEM and which has received parts manufacturer approval from an Aviation Authority. Prohibited Country any state, country or jurisdiction to which the export and/or operation of the Aircraft is prohibited or restricted under any Sanctions. Prohibited Person any Person: (a) with whom Owner, Lessor, Lessee or any Financing Party is prohibited or restricted by any Sanctions from engaging in trade or business; or (b) that is located, organized or resident in a Prohibited Country. Purchase Agreement the Purchase Agreement dated on or about the date hereof between Lessor, as Purchaser, and Seller, pursuant to which Lessor agreed to purchase the Aircraft from Seller, and following the perfection of which the title to the Aircraft is acquired by the Purchaser representing a condition precedent for commencing the leasing under Section 4.4 of the present Agreement. Purchaser Lessor QEC quick engine change, as defined by the applicable Manufacturer. Redelivery Check as defined in Schedule 3. Redelivery Location such location in Western Europe as is mutually acceptable to Lessor and Lessee. Reimbursable Expenses collectively, Airframe Reimbursable Expenses, APU Reimbursable Expenses, Engine Reimbursable Expenses, Engine LLP Reimbursable Expenses and Landing Gear Reimbursable Expenses. Related Agreements as defined in Section 13.1(e)(iv).


 
15 Rent collectively, Basic Rent, Additional Rent and Supplemental Rent. Rent Date the Delivery Date and the corresponding day of each calendar month during the Term or, for any calendar month that does not have a corresponding day, the last day of such calendar month. Rental Period each period ascertained in accordance with Section 5.2. Return the return of the Aircraft by Lessee to Lessor at the Redelivery Location in the condition and manner required by Section 12 and Schedule 3 and the other provisions of this Agreement. Return Certificate the final return certificate to be delivered by Lessor to Lessee pursuant to Schedule 3, substantially in the form attached as Exhibit F. Sanctions any economic, trade sanctions or export control, laws, regulations, embargoes, prohibitions or restrictive measures relating to doing business, investment, financing or exporting or otherwise making aircraft or other assets available (or any other activities similar to or connected with any of the foregoing) which are administered, enacted, enforced or imposed by the State of Registration, Habitual Base, United States of America, the United Kingdom, the United Nations Security Council, the European Union or any of its member states or any Government Entity of any of the foregoing. Scheduled Delivery Date August 15, 2024, or such other date mutually agreed by Lessor and Lessee up through the Final Delivery Date with at least three (3) Business Days’ notice to Lessee. Scheduled Expiry Date December 31, 2027. Secured Liabilities as defined in Section 5.5(b)(i). Security Interest any security interest, mortgage, charge, pledge, lien, encumbrance, claim, assignment, lease, hypothecation, right of set off or other agreement or arrangement having the effect of creating a security interest. Seller Aurick One Limited Servicer Lessor any other Person as Lessor may from time to time notify Lessee in writing as being a servicer, sub-servicer or manager on behalf of Lessor for matters relating to this Agreement, any other Operative Document and/or the Aircraft. SRM the Airframe Manufacturer's structural repair manual.


 
16 State of Organization the Republic of Bulgaria State of Registration the Republic of Bulgaria Subsidiary in relation to Lessee: (a) in relation to any reference to accounts, any company wholly or partially owned by Lessee and whose accounts are consolidated with the accounts of Lessee in accordance with accounting principles generally accepted under accounting standards of the State of Organization; and (b) for any other purpose, an entity from time to time: (i) of which Lessee has direct or indirect control or of which Lessee owns directly or indirectly more than 50% of the voting share capital; or (ii) which is a direct or indirect subsidiary of Lessee under the laws of the jurisdiction of its incorporation and “Subsidiaries” means all of them collectively. Supplemental Rent all amounts, liabilities and obligations (other than Basic Rent and Additional Rent) that Lessee is obligated to pay under this Agreement or any other Operative Document to Lessor or any other Person, including payment of deposits, indemnities and the Agreed Value. Tax Affiliate (a) in the case of a Person which is, or is treated as, a partnership or a disregarded entity in connection with any Tax, each partner, member or other beneficial owner of such Person; and (b) in the case of any partner, member or other beneficial owner of such Person which itself is, or is treated as, a partnership or a disregarded entity in connection with any Tax, each partner, member or other beneficial owner of such partnership or disregarded entity. Tax Indemnitees Owner, Lessor, Servicer, each Financing Party, the respective successors and assigns of such Persons and their respective Tax Affiliates. Taxes all present and future taxes, levies, imposts, duties or charges in the nature of taxes, whatsoever and wherever imposed, including customs duties, value added taxes or similar taxes and any franchise, transfer, sales, use, business, occupation, excise, personal property, stamp or other tax or duty imposed


 
17 by any national or local taxing or fiscal authority or agency, together with any withholding, penalties, additions to tax, fines or interest thereon or with respect thereto. Term the period commencing on the Delivery Date and ending on the Expiry Date or any later date pursuant to Paragraph 2(b) of Schedule 3. Third Party Engine any engine, title to which is either held by Lessee (which title may be subject to a Security Interest in favor of an unrelated third party) or held by an unrelated third party (in the case in which such engine is leased or conditionally sold to Lessee). Total Loss with respect to the Aircraft: (a) the actual, arranged or constructive total loss of the Aircraft (including any damage to the Aircraft which results in an insurance settlement on the basis of a total loss, or requisition for use or hire which results in an insurance settlement on the basis of a total loss); (b) the Aircraft being destroyed, damaged beyond repair or permanently rendered unfit for normal use for any reason whatsoever; (c) the requisition of title, or other compulsory acquisition, capture, seizure, deprivation, confiscation or detention for any reason of the Aircraft by the government of the State of Registration (whether de jure or de facto), but excluding requisition for use or hire not involving requisition of title; or (d) the hijacking, theft, disappearance, condemnation, confiscation, seizure or requisition for use or hire of the Aircraft which deprives any Person permitted by this Agreement to have possession and/or use of the Aircraft for the lesser of 60 consecutive days and the end of the Term. Total Loss Date (a) in the case of an actual total loss, the actual date on which the loss occurs or, if such date is unknown, the day on which the Aircraft was last heard of; (b) in the case of any of the events described in sub paragraph (a) of the definition of "Total Loss" (other than an actual total loss), the earlier of (i) 30 days after the date on which notice claiming such total loss is given to the relevant insurers and (ii) the date on which such loss is admitted or compromised by the insurers;


 
18 (c) in the case of any of the events described in sub paragraph (b) of the definition of "Total Loss", the date on which such destruction, damage or rendering unfit occurs; (d) in the case of any of the events described in sub paragraph (c) of the definition of "Total Loss", the date on which the relevant requisition of title or other compulsory acquisition, capture, seizure, deprivation, confiscation or detention occurs; and (e) in the case of any of the events described in sub paragraph (d) of the definition of "Total Loss", the expiry of a period the lesser of 60 consecutive days and the end of the Term as referred in such sub paragraph (d); and, in each case, the Total Loss shall be deemed to have occurred at noon Greenwich Mean Time on such date. Transfer as defined in Section 14.2. Voluntary Equipment Change an Equipment Change other than a Mandatory Equipment Change. 1.2 Interpretation (a) In this Agreement, unless the contrary intention is stated, a reference to: (i) each of "Owner", "Lessor", "Lessee", "Servicer", "Financing Party" or any other Person includes without prejudice to the provisions of this Agreement any successor in title to it and any permitted assignee; (ii) words importing the plural shall include the singular and vice versa; (iii) the term "including", when used in this Agreement, means "including without limitation" and "including but not limited to"; (iv) any document shall include that document as amended, novated or supplemented from time to time unless expressly stated to the contrary; (v) a law (1) includes any statute, decree, constitution, regulation, order, judgment or directive of any Government Entity; (2) includes any treaty, pact, compact or other agreement to which any Government Entity is a signatory or party; (3) includes any judicial or administrative interpretation or application thereof; and (4) is a reference to that provision as amended, substituted or re-enacted; and (vi) a "Section", "Schedule" or "Exhibit" is a reference to a section of, a schedule to or an exhibit to this Agreement.


 
19 (b) The headings in this Agreement are to be ignored in construing this Agreement. 2. Representations and Warranties 2.1 Lessee's Representations and Warranties Lessee makes in favor of Lessor the representations and warranties set forth in Schedule 6, Part A. 2.2 Repetition The representations and warranties in Schedule 6, Part A shall survive the execution of this Agreement and shall be deemed to be repeated by Lessee on Delivery with reference to the facts and circumstances then existing. The representations and warranties contained in Schedule 6, Part A paragraphs (a) through (m) shall be deemed to be repeated by Lessee on each Rent Date as if made with reference to the facts and circumstances then existing. 2.3 Lessor's Representations and Warranties Lessor makes in favor of Lessee the representations and warranties set forth in Schedule 6, Part B. 2.4 Repetition The representations and warranties in Schedule 6, Part B shall survive the execution of this Agreement and shall be deemed to be repeated by Lessor on Delivery as if made with reference to the facts and circumstances then existing. 3. Conditions Precedent 3.1 Lessor's Documentary Conditions Precedent Lessor's obligation to lease the Aircraft to Lessee under this Agreement is subject to the receipt by Lessor from Lessee of the documentary conditions precedent set forth in Schedule 7, Part A before Delivery in form and substance reasonably satisfactory to Lessor, provided, that it shall not be a condition precedent to the obligations of Lessor that any document be produced, or action taken, which is to be produced or taken by Lessor or any Person within its control: 3.2 Lessor's Other Conditions Precedent The obligation of Lessor to deliver and lease the Aircraft under this Agreement is also subject to the additional conditions precedent set forth in Schedule 7, Part B. 3.3 Lessor's Waiver The conditions specified in Sections 3.1 and 3.2 are for the sole benefit of Lessor and may only be waived or deferred in whole or in part and with or without conditions by Lessor. If any of those conditions are not satisfied and Lessor (in its absolute discretion) nonetheless agrees to deliver the Aircraft to Lessee, then Lessee shall ensure that those conditions


 
20 are fulfilled within one month after the Delivery Date (or such longer period as may be agreed) and Lessor may treat as an Event of Default the failure of Lessee to do so. 3.4 Lessee's Conditions Precedent Lessee's obligation to accept the Aircraft on lease from Lessor under this Agreement is subject to the following conditions precedent: (a) Representations and Warranties: the representations and warranties of Lessor under Section 2.4 are correct and would be correct if repeated on Delivery; and (b) Lessee’s Documentary Conditions Precedent: receipt by Lessee from Lessor of the documentary conditions precedent set forth in Schedule 7, Part C before Delivery in form and substance reasonably satisfactory to Lessee; and (c) Condition of the Aircraft: the Aircraft and Aircraft Documents shall be in the condition set forth in Schedule 2 3.5 Lessee's Waiver The conditions specified in Section 3.4 are for the sole benefit of Lessee and may only be waived or deferred in whole or in part and with or without conditions by Lessee. If any of those conditions are not satisfied on or before Delivery and Lessee (in its absolute discretion) nonetheless agrees to lease the Aircraft from Lessor, then Lessor shall ensure that those conditions are fulfilled within one month after the Delivery Date. 3.6 Post-Closing Matters Lessee shall, at its sole cost and expense, provide to Lessor promptly after the Delivery Date (and in any event no later than five Business Days after the Delivery Date) a copy of Lessee's air operator's certificate incorporating the Aircraft issued by the Aviation Authority. 4. Commencement and Disclaimers 4.1 Agreement to Lease (a) Lessor shall lease the Aircraft to Lessee and Lessee shall take the Aircraft on lease at the Delivery Location on the Delivery Date in accordance with the Operative Documents for the duration of the Term. (b) Lessor and Lessee intend and agree that this Agreement (i) purposes; and (ii) confers only a leasehold interest on Lessee in and to the Aircraft on and subject to the terms of this Agreement, and no ownership or other interest with respect to the Aircraft is provided to Lessee under this Agreement. 4.2 Delivery (a) Lessee's obligation to lease the Aircraft under Section 4.1 shall be subject to the delivery of the Aircraft to Lessee at the Delivery Location in accordance with the procedures described in Schedule 2. The date Purchaser purchases the Aircraft


 
21 from Seller at the Delivery Location shall be the Delivery Date for the Aircraft. Simultaneously with delivery of title to the Aircraft to Purchaser pursuant to the Purchase Agreement, Lessee will take delivery of the Aircraft pursuant to this Agreement. (b) Lessor and Lessee agree that Delivery Location will be chosen that does not give rise to any materially adverse tax exposure. No physical delivery of the Aircraft shall occur as the Aircraft will remain in the operational possession and control of Lessee. 4.3 Delayed Delivery (a) If the delivery of the Aircraft under this Agreement is delayed beyond the Scheduled Delivery Date, or the Aircraft suffers a Total Loss, and so long as such delay or failure does not arise solely and directly as a consequence of the gross negligence or willful misconduct of Lessor (including in its capacity as purchaser under the Purchase Agreement), Lessor shall not be responsible for any losses (including loss of profit), costs or expenses arising from or in connection with the delay or failure suffered or incurred by Lessee; (b) If the Aircraft suffers a Total Loss prior to Delivery, then either Lessor or Lessee may terminate this Agreement by giving written notice to the other, in which event neither Lessor nor Lessee shall have any further obligations under this Agreement except as set forth in Section 7.4; (c) if the Aircraft is not in the condition set forth in Schedule 2 on the Final Delivery Date or a later date as agreed between Lessor and Lessee, either Lessor or Lessee may terminate this Agreement by giving written notice to the other, in which event neither Lessor nor Lessee shall have any further obligations under this Agreement except as set forth in Section 7.4. 4.4 Lessor’s Obligation to Purchase and Lease the Aircraft Lessor's obligation to purchase the Aircraft under the Purchase Agreement and to lease the Aircraft under this Agreement, and therefore the commencement of the leasing, is subject to (i) satisfaction of each of the Lessor’s Documentary Conditions Precedent set forth in Section 3.1, (ii) satisfaction of the Lessor’s Other Conditions Precedent set forth in Section 3.2, (iii) acquisition of title to the Aircraft from the Seller and (iv) the Aircraft being tendered for delivery by the Seller under and in accordance with the terms and conditions of Purchase Agreement. 4.5 Acceptance and Risk (a) The Aircraft shall be delivered to, and shall be accepted by, Lessee at the Delivery Location on the Delivery Date immediately following satisfaction of the conditions precedent specified in Sections 3.1, 3.2 and 3.4 (or their waiver or deferral by the party entitled to grant such waiver or deferral). (b) Immediately following satisfaction of the conditions precedent specified in Sections 3.1, 3.2 and 3.4 (or their waiver or deferral by the party entitled to grant such waiver or deferral), Lessee and Lessor shall forthwith complete the annexes to the Certificate of Delivery


 
22 Condition, and Lessor and Lessee shall execute and deliver to each other the Certificate of Delivery Condition and the Certificate of Acceptance. Delivery of the executed Certificate of Acceptance to Lessor shall constitute "Delivery" for all purposes of this Agreement. (c) On and from Delivery, the Aircraft shall be in every respect at the sole risk of Lessee, which shall bear all risk of loss, theft, damage or destruction to the Aircraft from any cause whatsoever. (d) On or concurrent with Delivery, Lessee shall take all actions necessary to cause the Aircraft to remain registered with the Aviation Authority and permit the operation of the Aircraft by Lessee in its normal passenger and/or cargo operations, including, if required and to the extent it is applicable, causing this Agreement and the Certificate of Acceptance to be registered with the Aviation Authority. 4.6 Exclusion UPON EXECUTION OF THE CERTIFICATE OF ACCEPTANCE, THE AIRCRAFT IS ACCEPTED BY LESSEE "AS IS, WHERE IS WITH ALL FAULTS" (EXCEPT FOR THE DISCREPANCIES, IF ANY, LISTED IN ANNEX 2 OF THE CERTIFICATE OF DELIVERY CONDITION) AND LESSEE AGREES AND ACKNOWLEDGES THAT LESSOR SHALL HAVE NO LIABILITY IN RELATION TO, AND LESSOR HAS NOT AND SHALL NOT BE DEEMED TO HAVE MADE OR GIVEN, ANY CONDITIONS, WARRANTIES OR REPRESENTATIONS, EXPRESS OR IMPLIED, WITH RESPECT TO THE AIRCRAFT, INCLUDING IN RESPECT OF: (a) THE DESCRIPTION, AIRWORTHINESS, MERCHANTABILITY, FITNESS FOR ANY USE OR PURPOSE, VALUE, CONDITION, PERFORMANCE OR DESIGN OF THE AIRCRAFT OR ANY PART OR AS TO THE QUALITY OF THE MATERIAL OR WORKMANSHIP OR THE ABSENCE OF LATENT OR OTHER DEFECTS, WHETHER OR NOT DISCOVERABLE; OR (b) ANY OBLIGATION, LIABILITY, RIGHT, CLAIM OR REMEDY IN TORT, WHETHER OR NOT ARISING FROM LESSOR'S NEGLIGENCE, ACTUAL OR IMPUTED (BUT EXCLUDING ANY SUCH OBLIGATION, LIABILITY, RIGHT, CLAIM OR REMEDY IN TORT WHICH ARISES FROM LESSOR'S FRAUD, GROSS NEGLIGENCE OR WILFUL MISCONDUCT); OR (c) ANY OBLIGATION, LIABILITY, RIGHT, CLAIM OR REMEDY FOR LOSS OF OR DAMAGE TO THE AIRCRAFT OR FOR ANY LIABILITY OF LESSEE TO ANY THIRD PARTY. 4.7 Lessee's Waiver LESSEE HEREBY WAIVES, AS BETWEEN ITSELF AND LESSOR, ALL ITS RIGHTS IN RESPECT OF ANY CONDITION, WARRANTY OR REPRESENTATION, EXPRESS OR IMPLIED, ON THE PART OF LESSOR AND ALL CLAIMS AGAINST LESSOR HOWSOEVER AND WHENEVER ARISING AT ANY TIME IN RESPECT OF OR OUT OF THE CONDITION, OPERATION OR PERFORMANCE OF THE AIRCRAFT OR THIS AGREEMENT.


 
23 4.8 Lessee's Confirmation LESSEE CONFIRMS THAT IT IS FULLY AWARE OF THE PROVISIONS OF SECTIONS 4.5 AND 4.6 AND ACKNOWLEDGES THAT BASIC RENT, ADDITIONAL RENT AND ALL OTHER AMOUNTS PAYABLE BY LESSEE UNDER THIS AGREEMENT HAVE BEEN CALCULATED NOTWITHSTANDING ITS PROVISIONS. 4.9 Conclusive Proof DELIVERY BY LESSEE TO LESSOR OF THE CERTIFICATE OF ACCEPTANCE SHALL BE CONCLUSIVE PROOF AS BETWEEN LESSOR AND LESSEE (i) THAT LESSEE HAS EXAMINED AND INVESTIGATED THE AIRCRAFT, (ii) THAT THE AIRCRAFT AND THE AIRCRAFT DOCUMENTS ARE SATISFACTORY TO LESSEE IN ALL RESPECTS AND COMPLIED IN ALL RESPECTS WITH THE CONDITION REQUIRED AT DELIVERY UNDER SCHEDULE 2 OF THIS AGREEMENT (EXCEPT FOR THE DISCREPANCIES, IF ANY, LISTED IN ANNEX 2 OF THE CERTIFICATE OF DELIVERY CONDITION), (iii) THAT LESSEE HAS IRREVOCABLY AND UNCONDITIONALLY ACCEPTED THE AIRCRAFT FOR LEASE HEREUNDER WITHOUT ANY RESERVATIONS WHATSOEVER AND (iv) THAT LESSEE ACKNOWLEDGES THAT LESSOR HAS RELIED ON THE PROVISIONS OF THIS SECTION 4.8 IN DELIVERING THE AIRCRAFT AND THE AIRCRAFT DOCUMENTS TO LESSEE. 5. Payments 5.1 Commitment Fee On or prior to the Delivery Date, Lessee shall pay the Commitment Fee to Lessor by Purchaser deducting the full amount of the Commitment Fee from the purchase price due to Seller. Lessee acknowledges that the Commitment Fee constitutes consideration to Lessor for leasing the Aircraft to Lessee and upon payment irrevocably and unconditionally becomes the unencumbered property of Lessor, free of any claims or rights thereto by Lessee. 5.2 Rental Periods The first Rental Period shall commence on the Delivery Date, prorated for a partial month. Each subsequent Rental Period shall commence on the first Business Day of each month during the Term, and shall end on the day immediately preceding the first day of the next Rental Period, except that if a Rental Period would otherwise overrun the Expiry Date, it shall end on the Expiry Date. 5.3 Basic Rent (a) Time of Payment: For each Rental Period during the Term, Lessee shall pay to Lessor or its order Basic Rent in advance on each Rent Date. Lessee shall initiate payment adequately in advance of the Rent Date to ensure that Lessor receives the payment of Basic Rent on the Rent Date. (b) Amount: The Basic Rent payable in respect of each Rental Period shall be the Basic Rent Amount, except that if the final Rental Period contains less than 30 days, the amount of Basic Rent payable in respect of such final Rental Period shall be a pro rata amount of


 
24 the Basic Rent Amount obtained by dividing the Basic Rent Amount by 30 and multiplying the result by the number of days elapsed from, and including, the last Rent Date to, and including, the Expiry Date. Subject to the absence of any ongoing Default or Event of Default under this Agreement, during the Rental Periods from October 2024 through March 2025, Lessee shall remit fifty percent (50%) of the Basic Rent Amount, with the remaining fifty percent (50%) to be paid in equal monthly installments over six (6) months in the Rental Periods from April 2025 through September 2025, in addition to Lessee submitting the full Basic Rent Amount. This high-low payment structure shall be applicable throughout the Term and the payment amounts and dates shall be as set forth in the Table of Basic Rent Payments in Schedule 5. 5.4 Additional Rent (a) Amount: On the 10th day of each calendar month, Lessee will provide Lessor with a report of the previous month’s utilization of the Aircraft in a form satisfactory to Lessor. Lessee shall pay Additional Rent to Lessor in respect of utilization of the Aircraft in each calendar month (or portion thereof) during the Term on or before the 15th day following the end of that calendar month (but not later than the date of Return for the last full calendar month of the Term and the portion of the calendar month in which the Return occurs) as follows: (i) in respect of the Airframe, Lessee shall pay (A) the Airframe 6Y Additional Rent Rate for that calendar month ("Airframe 6Y Additional Rent"); (B) the Airframe 12Y Additional Rent Rate for that calendar month ("Airframe 12Y Additional Rent"); (i) in respect of each Engine, Lessee shall pay the Engine Additional Rent Rate for that calendar month ("Engine Additional Rent"); (ii) in respect of each Engine, Lessee shall pay the Engine LLP Additional Rent Rate for that calendar month ("Engine LLP Additional Rent"); (iii) in respect of the Landing Gear, Lessee shall pay the Landing Gear Additional Rent Rate for that calendar month ("Landing Gear Additional Rent"); and (iv) in respect of the APU, Lessee shall pay the APU Additional Rent Rate for that calendar month ("APU Additional Rent"). (b) Adjustment: The Additional Rent rates set forth in Section 5.4(a) shall be adjusted as follows: (i) the Airframe 6Y Additional Rent Rate, the Airframe 12Y Additional Rent Rate, the Engine Additional Rent Rate, the Landing Gear Additional Rent Rate and the APU Additional Rent Rate are based on January 2024 Dollars and each such rate as otherwise adjusted by this Section 5.4(b) shall be


 
25 escalated on January 1, 2025, and on January 1 of each year thereafter at an annual rate of 3%; and (ii) the Engine LLP Additional Rent Rate shall be escalated on January 1, 2025, and on January 1 of each year thereafter based on percentage changes in the then-current Engine Manufacturer's catalog list prices for Engine LLPs. 5.5 Charged Moneys (a) Lessee acknowledges that the Additional Rent constitutes additional Rent payable for the use of the Aircraft and shall irrevocably and unconditionally become the unencumbered property of Lessor upon payment thereof by Lessee, free of any claims or rights thereto by Lessee (except as expressly stated in this Agreement). (b) Notwithstanding the intent of Lessor and Lessee stated in Sections 5.1 and 5.5(a), if and to the extent that the Commitment Fee and/or the Additional Rent, or any part thereof, under any Applicable Law or otherwise, is determined to be security deposits or otherwise the property of Lessee or a debt owed to Lessee, or that Lessee shall have any interest in the Commitment Fee and/or the Additional Rent, then Sections 5.5(b)(i) and (ii) below shall apply to the Commitment Fee and/or the Additional Rent (as the case may be) (collectively, the "Charged Moneys"): (i) To the fullest extent permitted by law and by way of continuing security, Lessee grants a Security Interest in the Charged Moneys and all rights of Lessee to payment thereof, the debt represented thereby and all interest thereon and/or any and all interest of Lessee therein to Lessor by way of first priority Security Interest as security for Lessee's obligations and liabilities under the Operative Documents and any Other Operative Documents (the "Secured Liabilities"). Except as expressly permitted under this Agreement, Lessee shall not be entitled to payment of the Charged Moneys. Lessee shall not assign, transfer or otherwise dispose of all or part of its rights or interest in the Charged Moneys and Lessee shall enter into any additional documents and instruments necessary or reasonably requested by Lessor to evidence, create or perfect Lessor's rights to the Charged Moneys. (ii) If any Event of Default has occurred and is continuing, Lessor may immediately or at any time thereafter, without prior notice to Lessee, (1) offset all or any part of the Secured Liabilities against the liabilities of Lessor in respect of the Charged Moneys or (2) apply or appropriate the Charged Moneys in or towards the payment or discharge of the Secured Liabilities in such order as Lessor sees fit. Upon any offset or application of any portion of the Charged Moneys to the Secured Liabilities, Lessee shall immediately pay to Lessor an amount equal to the amount of the Charged Moneys so offset or applied. 5.6 Payments (a) All payments of Rent by Lessee to Lessor under this Agreement, irrespective of any rights of counterclaim or set-off, shall be made for value on the due date, for the full amount due, in Dollars to Lessor at the following account in same day funds:


 
26 [*******] [*******] [*******] [*******] [*******] [*******] [*******] [*******] [*******] Send payment detail to: [*******] or to such other account as Lessor may direct by at least five Business Days prior written notice. (b) If any Rent or other payment would otherwise become due on a day which is not a Business Day, it shall be due on the immediately preceding Business Day. 5.7 Gross up (a) All payments by Lessee under or in connection with the Operative Documents shall be made without offset or counterclaim, free and clear of and without deduction or withholding for or on account of any Taxes (other than Taxes that Lessee is compelled by law to deduct or withhold). (b) All Taxes (other than Non-Indemnified Taxes) in respect of payments under the Operative Documents shall be for the account of Lessee. (c) If Lessee is compelled by law to make payment to an Indemnitee under or in connection with the Operative Documents subject to any Tax related directly or indirectly to Lessor and/or Owner and such Indemnitee does not actually receive for its own benefit on the due date a net amount equal to the full amount provided for under the Operative Documents (other than Non-Indemnified Taxes that Lessee is compelled by law to deduct or withhold), Lessee shall pay all necessary additional amounts to ensure receipt by such Indemnitee of the full amount (other than Non-Indemnified Taxes that Lessee is compelled by law to deduct or withhold) provided for under the Operative Documents. 5.8 Taxation (a) Lessee shall on demand pay and indemnify each Tax Indemnitee against all Taxes (other than Non-Indemnified Taxes) levied or imposed against or upon such Tax Indemnitee and relating to or attributable to Lessee, the Operative Documents or the Aircraft directly or indirectly in connection with the importation, exportation, registration, ownership, leasing, subleasing, purchase, delivery, possession, use, operation, repair, maintenance, overhaul, transportation, landing, storage, presence or redelivery of the Aircraft or any part thereof or any rent, receipts, insurance proceeds, income or other amounts arising therefrom. (b) If any Tax Indemnitee shall, based upon its own reasonable interpretation of any relevant laws or regulations, realize any Tax savings (by way of refund, deduction, credit or otherwise) in respect of any amount with respect to which Lessee shall have made a


 
27 payment (or increased payment) pursuant to Section 5.7, 5.9 or 5.11 or shall have indemnified such Tax Indemnitee pursuant to Section 5.8(a), or in respect of the occurrence or transaction which gave rise to such payment or indemnification, and such Tax savings shall not have been taken into account previously in calculating any indemnity payment made by Lessee, then such Tax Indemnitee shall, to the extent that it can do so without prejudice to the retention of the relevant savings and subject to Lessee's obligations to repay such amount to such Tax Indemnitee if the relevant savings are subsequently disallowed or canceled, pay to Lessee such amount as such Tax Indemnitee shall in its opinion have concluded to be the amount of such Tax savings (together with, in the case of a refund, any interest received thereon); provided, that such Tax Indemnitee shall not be obliged to make any payment to Lessee pursuant to this Section 5.8(b) to the extent that the amount of any Tax savings in respect of which such payment is to be made would exceed the aggregate amount of all prior payments made by Lessee to, on behalf of or as indemnification of such Tax Indemnitee under this Agreement for Taxes less the amount of all prior payments made pursuant to this Section 5.8(b) in respect of such Tax savings. Lessee acknowledges that nothing contained in this Section 5.8(b) shall interfere with the right of any Tax Indemnitee to arrange its tax affairs in whatsoever proper manner it thinks fit (or give Lessee any right to investigate, or impose any obligation on any Tax Indemnitee to disclose, the same) and, in particular, no Tax Indemnitee shall be under any obligation to claim any Tax savings in priority to any other savings available to it; provided, that subject to the foregoing Lessor shall, and shall ensure that all Tax Indemnitees shall, use reasonable diligence to realize Tax savings as described above. 5.9 Value Added Tax (a) For purposes of this Section 5.9, "VAT" means value added tax and any goods and services, sales or turnover tax, imposition or levy of a similar nature, and "supply" includes anything on or in respect of which VAT is chargeable. (b) Lessee shall pay each Tax Indemnitee or the relevant taxing authority, as the case may be, the amount of any VAT chargeable in respect of any supply for VAT purposes under the Operative Documents. (c) Each amount stated as payable by Lessee under the Operative Documents is exclusive of VAT (if any), and if VAT is payable in respect of any amount payable by Lessee under the Operative Documents, Lessee shall pay all such VAT and shall indemnify each Tax Indemnitee against any claims for the same, and where appropriate Lessee shall increase the payments that would otherwise be required to be made under the Operative Documents so that such Tax Indemnitee is left in the same position as it would have been had no VAT been payable. Lessee shall provide evidence to Lessor, if available, in respect of payment of any VAT paid by Lessee with respect to the Operative Documents. 5.10 Information If Lessee is required by any Applicable Law, or by any third party, to deliver any report or return in connection with any Taxes, then Lessee shall duly complete the same and, in particular, shall not state therein that any Person other than Lessee is responsible for the use and operation of the Aircraft and for the Taxes (other than Non-Indemnified Taxes) arising therefrom, and Lessee shall, on request, supply a copy of the report or return to any Tax Indemnitee. If Lessee requires any information or cooperation from any Tax Indemnitee in order to satisfy its obligations as set forth above, such Tax Indemnitee shall


 
28 promptly furnish such information or cooperation as Lessee may reasonably request in writing, provided that such information is legally available, not subject to contractual or legal restrictions on its disclosure, and is within the power of such Tax Indemnitee to obtain. If actual notice is given by any taxing authority to Lessor that a report or return is required to be filed with respect to any Taxes (other than Non-Indemnified Taxes), Lessor shall promptly notify Lessee of such required report or return. 5.11 Taxation of Indemnity Payments (a) If and to the extent that any sums payable to any Tax Indemnitee by Lessee under the Operative Documents by way of indemnity are insufficient, by reason of any Taxes payable in respect of those sums, for such Tax Indemnitee to discharge the corresponding liability to the relevant third party (including any taxation authority), or to reimburse such Tax Indemnitee for the cost incurred by it to a third party (including any taxation authority), Lessee shall pay to such Tax Indemnitee such sum as shall, after the tax liability has been fully satisfied, leave such Tax Indemnitee with the same amount as it would have been entitled to receive in the absence of that liability. (b) If and to the extent that any sums constituting (directly or indirectly) an indemnity to any Tax Indemnitee but paid by Lessee to any Person other than such Tax Indemnitee are treated as taxable in the hands of such Tax Indemnitee, then Lessee shall pay to such Tax Indemnitee such sum as shall, after the tax liability has been fully satisfied, indemnify such Tax Indemnitee to the same extent as it would have been indemnified in the absence of such liability. 5.12 Default Interest If Lessee fails to pay any amount payable under the Operative Documents on the due date, Lessee shall pay on demand from time to time to Lessor interest (both before and after judgment) at the Overdue Rate on such amount from the due date to the day of payment in full by Lessee to Lessor. All such interest shall be compounded monthly and calculated on the basis of the actual number of days elapsed assuming a year of 360 days. 5.13 Contest If a written claim is made against any Tax Indemnitee for or with respect to any Taxes (other than Non-Indemnified Taxes), such Tax Indemnitee shall promptly notify Lessee. If reasonably requested by Lessee in writing within 30 days after such notification, but only so long as no Default has occurred and is continuing, such Tax Indemnitee shall, upon receipt of indemnity satisfactory to such Tax Indemnitee and at the expense of Lessee (including all costs, expenses, losses, legal and accountants' fees and disbursements, penalties and interest), in good faith contest or to the extent permissible by law allow Lessee to contest in Lessee's or such Tax Indemnitee's name, other than the Financing Parties, the validity, applicability or amount of such Taxes by either (x) resisting payment thereof if practicable and permitted by Applicable Law, or (y) if payment is made, using reasonable efforts to obtain a refund thereof in appropriate administrative and judicial proceedings and in the contest of any such claim by any Tax Indemnitee, such Tax Indemnitee shall apprise Lessee of all material developments with respect to such contest, shall forward copies of all material submissions made in such contest and shall materially comply in good faith with any reasonable request concerning the conduct of any such contest; provided, that no Tax Indemnitee shall be obliged to take any such action:


 
29 (a) that such Tax Indemnitee considers, in its reasonable discretion, may prejudice it; or (b) that such Tax Indemnitee reasonably considers does not have a reasonable prospect of success; or (c) for which Lessee has not made adequate provision to the reasonable satisfaction of such Tax Indemnitee in respect of the expense concerned; or (d) that gives rise to any material risk of the Aircraft or any interest of any Tax Indemnitee in the Aircraft being sold, forfeited or otherwise lost, or of criminal liability on the part of any Tax Indemnitee. If any Tax Indemnitee, in accordance with the foregoing, determines to pay such Taxes and seek a refund, Lessee shall either pay such Taxes on such Tax Indemnitee's behalf and pay such Tax Indemnitee any amount due with respect to such payment or shall promptly reimburse such Tax Indemnitee for such Taxes. If any Tax Indemnitee shall obtain a refund of all or any part of such Taxes paid by Lessee, such Tax Indemnitee shall pay Lessee the amount of such refund; provided, that such amount shall not be payable before such time as Lessee shall have made all payments or indemnities to any Tax Indemnitee then due with respect to Taxes and so long as no Default has occurred and is continuing. If in addition to such refund any Tax Indemnitee shall receive an amount representing interest, attorneys' fees or any other amount with respect to such refund, Lessee shall be paid that proportion of such interest, attorneys' fees or any other amount which is fairly attributable to the Taxes paid by Lessee prior to the receipt of such refund. No Tax Indemnitee shall enter into a settlement or other compromise with respect to, or otherwise concede, any claim by a taxing authority on account of Taxes being contested by Lessee pursuant to this Section 5.13 without the written consent of Lessee, which consent shall not be unreasonably withheld, unless either (x) a Default has occurred and is continuing or (y) such Tax Indemnitee waives its right to be indemnified by Lessee with respect to such claim (but not with respect to any future claims). 5.14 Absolute Lessee's obligations under this Agreement are absolute and unconditional irrespective of any contingency whatsoever, including: (a) any right of offset, counterclaim, recoupment, reduction, defense or other right which either party to this Agreement may have against the other; (b) any unavailability of the Aircraft for any reason, including a requisition of the Aircraft or any prohibition or interruption of, interference with or other restriction against Lessee's use, operation or possession of the Aircraft; (c) any lack or invalidity of title or any other defect in title, airworthiness, merchantability, fitness for any purpose, condition, design or operation of any kind or nature of the Aircraft for any particular use or trade, or for registration or documentation under the laws of any relevant jurisdiction, or any Total Loss in respect of or any damage to the Aircraft; (d) any insolvency, bankruptcy, reorganization, arrangement, readjustment of debt, dissolution, liquidation or similar proceedings by or against Lessor or Lessee;


 
30 (e) any invalidity, unenforceability or lack of due authorization of, or other defect in, this Agreement; or (f) any other cause which, but for this provision, would or might otherwise have the effect of terminating or in any way affecting any obligation of Lessee under this Agreement; provided always, however, that this Section 5.14 shall be without prejudice to Lessee's right to claim damages and other relief from a court of competent jurisdiction in the event of any breach by Lessor of its obligations under this Agreement. 6. Manufacturer's and Other Warranties 6.1 Assignment Notwithstanding this Agreement, Owner shall remain entitled to the benefit of each warranty, express or implied, and any unexpired customer and/or product support given or provided in respect of the Aircraft, any Engine or Part by any Manufacturer, vendor, maintenance performer, subcontractor or supplier. Unless an Event of Default shall have occurred and be continuing, Lessor (on behalf of Owner) hereby authorizes Lessee during the Term to pursue any claim thereunder in relation to defects affecting the Aircraft, any Engine or Part, and Lessee shall diligently and promptly pursue any such claim that arises at its own cost. Lessee shall notify Lessor promptly upon becoming aware of any such claim. Lessor shall provide such assistance to Lessee in making a claim under any such warranties or customer and/or product support as Lessee may reasonably request, and, if requested by Lessee and at Lessee's expense, shall cause Owner to pursue a claim in Owner's name where the relevant Manufacturer, vendor, maintenance performer, subcontractor or supplier has refused to acknowledge Lessee's right to pursue that claim, but subject to Lessee first ensuring that Owner and Lessor are indemnified and secured to Lessor's reasonable satisfaction against all losses, damages, costs, expenses and liabilities (including fees and disbursements) that Owner or Lessor may incur in the taking of any such actions. 6.2 Proceeds All proceeds of any such claim as is referred to in Section 6.1 and which exceed $100,000 shall be paid directly to Lessor (for the benefit of Owner) at the account set forth in Section 5.6(a), but if and to the extent that such claim relates: (a) to defects affecting the Aircraft which Lessee has rectified; or (a) to compensation for loss of use of the Aircraft, an Engine or any Part during the Term; or (b) to costs incurred by Lessee in pursuing such claim (whether or not proceeds of such claim are payable to Lessee); and provided no Default shall have occurred and be continuing, the proceeds shall be promptly paid to Lessee by Lessor but, in the case of (a), only on receipt of evidence reasonably satisfactory to Lessor that Lessee has rectified the relevant defect.


 
31 6.3 Parts Except to the extent Lessor otherwise agrees in a particular case, Lessee shall procure that any part provided by any Manufacturer, vendor, maintenance performer, subcontractor or supplier as a replacement for a defective Part pursuant to the terms of any warranty or customer and/or product support arrangement complies with Section 8.13(a), is installed on the Aircraft promptly and that title thereto vests in Owner in accordance with Section 8.17(a). 6.4 Agreement To the extent any warranties or customer and/or product support relating to the Aircraft are made available under an agreement between any Manufacturer, vendor, maintenance performer, subcontractor or supplier and Lessee, this Section 6 is subject to that agreement. However, Lessee shall: (a) pay the proceeds of any claim thereunder in excess of $100,000 to Lessor (for the benefit of Owner) at the account set forth in Section 5.6(a) to be applied pursuant to Section 6.2 and, pending such payment, shall hold the claim and the proceeds in trust for Lessor (for the benefit of Owner); and (b) take all such steps as are necessary and requested by Lessor at the end of the Term to ensure the benefit of any of those warranties or customer and/or product support which have not expired are vested in Owner. 6.5 Lessee Warranties Lessee acknowledges that during the Term it might contract with Manufacturers and/or Agreed Maintenance Performers to maintain, provide and service the Airframe, Engines and Parts. At Return, Lessee shall irrevocably assign to Owner all of Lessee's rights regarding the Aircraft under any warranty (express or implied), service policy, maintenance agreement or product support agreement provided by any such Manufacturer and/or Agreed Maintenance Performer to the extent that such rights are assignable. After Return, (i) Lessee shall provide such assistance to Owner and/or Lessor in making a claim under any such warranty, service policy, maintenance agreement or product support agreement as Owner and/or Lessor may reasonably request and (ii) Lessee shall promptly enforce on Owner's behalf, at Owner’s cost, all such rights that are not assignable. 6.6 Final Maintenance Performer Warranties Lessee shall use best efforts to cause its maintenance contract with the Final Maintenance Performer to contain a provision reasonably satisfactory in form and substance to Lessor, expressly stating that all warranties (express or implied) (if any) and product support (if any) is made for the benefit of Owner and its assigns and may be relied upon and enforced directly by Owner and its assigns without the involvement of Lessee. 6.7 Agreed Maintenance Performers Lessor may exclude any maintenance organization (other than Lessee or Elektra Trans Global OOD) from being an "Agreed Maintenance Performer" on reasonable grounds. If


 
32 Lessor wishes to exclude a maintenance organization from being an Agreed Maintenance Performer, Lessor shall discuss such request with Lessee, both parties acting reasonably. At the request of Lessee, Lessor shall consult in good faith with Lessee regarding any organizations excluded by Lessor pursuant to this Section. 7. Lessor's Covenants 7.1 Quiet Enjoyment Provided no Event of Default shall have occurred and be continuing, Lessor shall not interfere with the quiet use, possession and enjoyment of the Aircraft by Lessee in accordance with the terms of this Agreement throughout the Term, but the exercise by Lessor of its rights under or in respect of this Agreement shall not constitute such an interference. 7.2 Lessor's Maintenance Contribution (a) Airframe Reimbursable Expenses: (i) Lessee's Actual Cost incurred in completing an Airframe 6Y Structural Check on the Airframe during the Term, including all routine and non-routine Airframe 6Y Structural Check tasks (or the equivalent thereof), but not including the cost of repairs caused by Lessee’s faulty maintenance or installation, improper operations, abuse, neglect or misuse or the cost of modifications, interior reconfiguration, the accomplishment of ADs and any overhaul of time controlled components accomplished during the Airframe 6Y Structural Check except such as are part of the tasks included at such Airframe 6Y Structural Check interval, shall constitute "Airframe 6Y Reimbursable Expenses". (ii) Upon the completion of an Airframe 6Y Structural Check on the Airframe during the Term, Lessee shall, within four months of such accomplishment, present written evidence to Lessor as to the completion of such Airframe 6Y Structural Check and the amount of the Airframe 6Y Reimbursable Expenses for approval by Lessor. Such evidence shall include a full hardcopy or digital copy of the entire maintenance event and a list of all routine and non-routine work cards with corresponding references to the MPD and an itemized labor and materials report. Upon receipt of such written evidence, and provided there then exists no Event of Default, Lessor shall pay to Lessee (in the case where Lessee performed the work or upon proof that Lessee has paid the independent repair facility that performed such work) or to the independent repair facility performing such work if directed in writing by Lessee and upon receipt of written confirmation from such repair facility that it shall apply such payments solely against the costs due for such Airframe 6Y Structural Check, an amount equal to the lesser of (1) the Airframe 6Y Reimbursable Expenses or (2) an amount equal to (x) all Airframe 6Y Additional Rent previously paid by Lessee under this Agreement as of the date of completion of the Airframe 6Y Structural Check, minus (y) all previous payments by Lessor under this Section 7.2(a)(ii).


 
33 (iii) Lessee's Actual Cost incurred in completing an Airframe 12Y Structural Check on the Airframe during the Term, including all routine and non-routine Airframe 12Y Structural Check tasks (or the equivalent thereof), but not including the cost of repairs caused by Lessee’s faulty maintenance or installation, improper operations, abuse, neglect or misuse or the cost of modifications, interior reconfiguration, the accomplishment of ADs and any overhaul of time controlled components accomplished during the Airframe 12Y Structural Check except such as are part of the tasks included at such Airframe 12Y Structural Check interval, shall constitute "Airframe 12Y Reimbursable Expenses". (iv) Upon the completion of an Airframe 12Y Structural Check on the Airframe during the Term, Lessee shall, within four months of such accomplishment, present written evidence satisfactory to Lessor as to the completion of such Airframe 12Y Structural Check, the workscope of such Airframe 12Y Structural Check and the amount of the Airframe 12Y Reimbursable Expenses for approval by Lessor. Such evidence shall include a full hardcopy or digital copy of the entire maintenance event and a list of all routine and non-routine work cards with corresponding references to the MPD and an itemized labor and materials report. Upon receipt of such written evidence, and provided there then exists no Default or Event of Default, Lessor shall pay to Lessee (in the case where Lessee performed the work or upon proof that Lessee has paid the independent repair facility that performed such work) or to the independent repair facility performing such work if directed in writing by Lessee and upon receipt of written confirmation from such repair facility that it shall apply such payments solely against the costs due for such Airframe 12Y Structural Check, an amount equal to the lesser of (1) the Airframe 12Y Reimbursable Expenses or (2) an amount equal to (x) all Airframe 12Y Additional Rent previously paid by Lessee under this Agreement as of the date of completion of the Airframe 12Y Structural Check, minus (y) all previous payments by Lessor under this Section 7.2(a)(iv). (b) Engine Reimbursable Expenses: (i) Lessee's Actual Cost incurred in completing an Engine Shop Visit of an Engine during the Term in accordance with the Approved Maintenance Program, excluding any cost to the extent incurred in respect of foreign object damage, ingestion, accident, Lessee’s faulty maintenance or installation, abuse, neglect or misuse, elective parts replacement (except to the extent ordinarily accomplished during such maintenance or overhaul) which is reimbursable by a claim under the Engine Manufacturer's warranties or by insurance (but including deductibles for purposes of this provision), shall constitute "Engine Reimbursable Expenses". For the avoidance of doubt, Engine Reimbursable Expenses shall not include any late charges, mark ups, interest, freight charges, handling fees or similar charges associated with the export, import or shipping of such Engine. (ii) Upon accomplishment of any Engine Shop Visit for an Engine during the Term, Lessee shall, within four months of such accomplishment, present written evidence satisfactory to Lessor as to the completion of such Engine


 
34 Shop Visit and the amount of Engine Reimbursable Expenses for approval by Lessor. Such evidence shall include a full hardcopy or digital copy of the entire maintenance event and a description of the reason for removal, a shop tear down report, a shop findings report, a full description of the workscope of the Engine Shop Visit and complete LLP records for such Engine both prior to and after the Engine Shop Visit. Both the invoice supplied by the Engine repair facility and that submitted by Lessee to Lessor with respect to such Engine shall state whether or not credits were provided due to life remaining on any Parts removed from such Engine and the amount of any such credits shall be itemized. Upon receipt of such written evidence, and provided there then exists no Default or Event of Default, Lessor shall pay to Lessee (in the case where Lessee performed the work or upon proof that Lessee has paid the independent repair facility that performed such work) or to the independent repair facility performing such work if directed in writing by Lessee and upon receipt of written confirmation from such repair facility that it shall apply such payments solely against the costs due for such Engine Shop Visit, an amount equal to the lesser of (1) the Engine Reimbursable Expenses with respect to such Engine or (2) an amount equal to (x) all Engine Additional Rent previously paid by Lessee with respect to such Engine pursuant to this Agreement as of the date of completion of the Engine Shop Visit, minus (y) all previous payments by Lessor under this Section 7.2(b)(ii) with respect to such Engine (the "Net Available Engine Additional Rent"). (c) Engine LLP Reimbursable Expenses: (i) During the performance of an Engine Shop Visit for an Engine during the Term in accordance with the Approved Maintenance Program, in the event Lessee is obligated to replace an Engine LLP (the "Replaced LLP") in accordance with the Approved Maintenance Program, excluding any replacements caused by foreign object damage, ingestion, Lessee’s faulty maintenance or installation, , abuse, neglect, misuse, elective parts replacement (except to the extent ordinarily accomplished during such maintenance) or covered by Manufacturer's service bulletins or which is reimbursable by a claim under the Manufacturer's warranties or by insurance (but including deductibles for purposes of this provision), Lessee's Actual Cost to purchase a replacement Engine LLP (the "Replacement LLP") shall constitute "Engine LLP Reimbursable Expenses". For the avoidance of doubt, Engine LLP Reimbursable Expenses shall not include any late charges, mark ups, interest, handling fees or similar charges associated with the purchase, import or shipping of such Replacement LLP, or any labor associated with the removal or replacement of such Replaced LLP or Replacement LLP. (ii) Upon accomplishment of any Engine Shop Visit for an Engine during the Term, Lessee shall, within four months of such accomplishment, deliver written evidence satisfactory to Lessor as to the amount of Engine LLP Reimbursable Expenses for each Replacement LLP in accordance with the preceding Section 7.2(c)(i). Upon receipt of such written evidence, and provided there then exists no Default or Event of Default, Lessor shall pay to Lessee (in the case where Lessee performed the work or upon proof that


 
35 Lessee has paid the independent repair facility that performed such work) or to the independent repair facility performing such work if directed in writing by Lessee and upon receipt of written confirmation from such repair facility that it shall apply such payments solely against the costs due for such Engine Shop Visit, an amount equal to the lesser of (1) the Engine LLP Reimbursable Expenses with respect to such Replacement LLP or (2) all Engine LLP Additional Rent previously paid by Lessee with respect to such Engine LLP as of the date of completion of the Engine Shop Visit minus all previous payments by Lessor under this Section 7.2(c)(ii) with respect to such Engine LLP. (d) Landing Gear Reimbursable Expenses: (i) Lessee's Actual Cost incurred in completing a Landing Gear Overhaul during the Term in accordance with the Approved Maintenance Program, excluding a Landing Gear Overhaul caused by Lessee’s faulty maintenance or installation, abuse, neglect or misuse or covered by Manufacturer's service bulletins or which is reimbursable by a claim under the Manufacturer's warranties or by insurance (but including deductibles for purposes of this provision), shall constitute "Landing Gear Reimbursable Expenses". (ii) Upon accomplishment of a Landing Gear Overhaul during the Term in accordance with the Approved Maintenance Program, Lessee shall, within four months of such accomplishment, present written evidence satisfactory to Lessor as to the completion of such Landing Gear Overhaul, including a full hardcopy or digital copy of the entire maintenance event, and the amount of Landing Gear Reimbursable Expenses for approval by Lessor. Upon receipt of such written evidence, and provided there then exists no Default or Event of Default, Lessor shall pay to Lessee (in the case where Lessee performed the work or upon proof that Lessee has paid the independent repair facility that performed such work) or to the independent repair facility performing such work if directed in writing by Lessee and upon receipt of written confirmation from such repair facility that it shall apply such payments solely against the costs due for such Landing Gear Overhaul, an amount equal to the lesser of (1) the Landing Gear Reimbursable Expenses or (2) an amount equal to (x) all Landing Gear Additional Rent previously paid by Lessee pursuant to this Agreement as of the date of completion of the Landing Gear Overhaul, minus (y) all previous payments by Lessor under this Section 7.2(d)(ii). (e) APU Reimbursable Expenses: (i) Lessee's Actual Cost incurred in completing an APU Basic Shop Visit of the APU during the Term in accordance with the Approved Maintenance Program, but excluding any APU Basic Shop Visit caused by foreign object damage, ingestion, Lessee’s faulty maintenance or installation, abuse, neglect, misuse, elective parts replacement (except to the extent ordinarily accomplished during such APU Basic Shop Visit), the cost of modifications, the accomplishment of Manufacturer's service bulletins or ADs, or costs


 
36 which are reimbursable by claim under the Manufacturer's warranties or by insurance, shall constitute "APU Reimbursable Expenses". (ii) Upon accomplishment of any APU Basic Shop Visit of the APU during the Term in accordance with the Approved Maintenance Program, Lessee shall, within four months of such accomplishment, present written evidence satisfactory to Lessor as to the completion of such APU Basic Shop Visit, including a full hardcopy or digital copy of the entire maintenance event, and the amount of APU Reimbursable Expenses for approval by Lessor. Upon receipt of such written evidence, and provided there then exists no Default or Event of Default, Lessor shall pay to Lessee (in the case where Lessee performed the work or upon proof that Lessee has paid the independent repair facility that performed such work) or to the independent repair facility performing such work if directed in writing by Lessee and upon receipt of written confirmation from such repair facility that it shall apply such payments solely against the costs due for such APU Basic Shop Visit, an amount equal to the lesser of (1) the APU Reimbursable Expenses or (2) an amount equal to (x) all APU Additional Rent previously paid by Lessee for the APU pursuant to this Agreement as of the date of completion of the APU Basic Shop Visit, minus (y) all previous payments by Lessor under this Section 7.2(e)(ii). (f) Additional Provisions: (i) Subject to the remaining provisions of this Agreement and, in particular, to Sections 8.20 and 8.21 below, Lessee acknowledges that Lessee is required to pay the full cost of and to perform (or cause to be performed) any check, shop visit, overhaul or other maintenance required by the Approved Maintenance Program, whether or not Lessor is required to make any payments pursuant to this Section 7.2, and any costs incurred by Lessee in performing any such check, shop visit, overhaul or other maintenance required by the Approved Maintenance Program shall be solely for Lessee's account. (ii) Lessor’s obligation to make maintenance contribution will be subject to Lessor having approved, in writing, the maintenance performer (provided it is not an Agreed Maintenance Performer) and all applicable workscopes for the related maintenance work prior to the commencement thereof. Lessee will provide Lessor with the maintenance performer’s identity and the planned work scope, which shall be aligned with the requirements of the Approved Maintenance Program, for any such maintenance work no later than thirty (30) days prior to the scheduled commencement of the maintenance event. Lessor and Lessee agree and understand that no maintenance work that would require maintenance contribution is expected during the Term, but this understanding shall not reduce or prejudice Lessor’s obligations to make maintenance contributions as set out above. (iii) As soon as practicable after receipt of a claim for payment of Reimbursable Expenses, and in any event within thirty (30) days, Lessor shall (1) notify Lessee in writing of any portion of such claim to which it reasonably objects or for which it requires additional supporting documentation and (2) pay all


 
37 portions of such claim to which it does not reasonably object or need additional documentation. 7.3 Registration Lessor shall, at Lessee's cost, take all actions reasonably requested by Lessee to enable Lessee to perform its obligations under Section 8.10 regarding the registration of the Aircraft with the Aviation Authority. 7.4 Lessor's Obligations Following Termination So long as no Default has occurred and is continuing, within five Business Days of: (a) termination of this Agreement before Delivery pursuant to Section 4.3(b), 4.3(c), or 11.1; or (b) Return; or (c) receipt by Lessor of the Agreed Value following a Total Loss and all other amounts due under Section 11.2; or in any such case at such later time as Lessee has irrevocably paid to Lessor all amounts that are then outstanding under this Agreement, Lessor shall pay to Lessee an amount equal to that portion of the Commitment Fee that has not been previously applied (as provided for in any Operative Document), without interest. 7.5 AD Cost Sharing Any prior or subsequent workscopes involving AD Cost sharing shall be approved by both parties. Within 30 days of Lessee submitting a claim accompanied by reasonably acceptable evidence, Lessor shall contribute to Lessee's cost of terminating any single AD issued by EASA in accordance with the following formula: LC = (AC – $[*******]) × [1 – (MR ÷ LT)], where "LC" means Lessor's contribution; "AC" means Lessee's actual cost of replacement parts plus the cost of the associated labor at Lessee's in-house labor rates (if the work is performed by Lessee) or at the actual third party costs charged to Lessee (if the work is performed by third parties), and such amount shall (a) exclude the cost of maintenance or repairs covered by warranty or insurance claims, late charges, mark ups, shipping and handling charges, interest, customs duties, exchange fees or other similar amounts and (b) be reduced by the value of any OEM support programs or vendor rebates received by Lessee; "MR" means the number of months from (a) Lessee's completion of the AD on a terminating action basis until (b) the later of the Expiry Date or the Return date; and "LT" means the number of months in the Term.


 
38 8. Lessee's Covenants 8.1 Duration The undertakings in Sections 8, 12 and Schedule 3 shall: (a) except as otherwise stated, be performed at the expense of Lessee; and (b) remain in force until redelivery of the Aircraft to Lessor in accordance with this Agreement. 8.2 Information Lessee shall: (a) furnish to Lessor: (i) upon request, within 45 days after the last day of each half fiscal year of Lessee, unaudited consolidated six-monthly financial statements of Lessee prepared for such period, in English, including a consolidated balance sheet of Lessee and its Subsidiaries as of the last day of such period and consolidated statements of income and retained earnings for such fiscal period and for the year to date and, on a comparative basis, figures for the corresponding periods of the immediately preceding fiscal year, all in reasonable detail; (ii) upon request, as soon as available but not in any event later than 120 days after the last day of each fiscal year of Lessee, audited financial statements of Lessee prepared for such year, in English, including a consolidated balance sheet of Lessee and its Subsidiaries as of the last day of such year, consolidated statements of income and retained earnings of Lessee and its Subsidiaries for such fiscal year, and consolidated statements of cash flows of Lessee and its Subsidiaries for such fiscal year and in all cases on a comparative basis figures for the immediately preceding fiscal year, all in reasonable detail, each prepared in accordance with the Accounting Standard and certified without qualification by independent certified accountants as fairly presenting the financial position and the results of operations of Lessee and its Subsidiaries at the end of and for such fiscal year and as having been prepared in accordance with the Accounting Standard; (iii) in lieu of delivering to Lessor the financial statements referred to in Sections 8.2(a)(i) and (ii) above, Lessee may cause such financial statements to be made publicly available on the internet within the time periods set forth in Sections 8.2(a)(i) and (ii) above at an address identified to Lessor in writing; (iv) at the same time as it is issued to the creditors of Lessee, a copy of each notice or circular issued to Lessee's creditors as a group; and


 
39 (v) on request from time to time such other information regarding Lessee’s operation of the Aircraft as Lessor may reasonably request, including copies of all statements of account of any Government Entity or other Person in respect of any Flight Charges for the Aircraft; (b) on request, inform Lessor as to the current location of the Airframe and Engines, the serial number and owner of any engine installed on the Airframe and the serial number, registration mark and owner of any airframe on which an Engine is installed; (c) promptly furnish to Lessor all information that Lessor from time to time reasonably requests regarding the Aircraft, any Engine or any Part and its use, location and condition, including the hours available on the Aircraft and any Engine until the next scheduled check, inspection, overhaul or shop visit, as the case may be; (d) on request, furnish to Lessor evidence reasonably satisfactory to Lessor that all Taxes and charges incurred by Lessee with respect to the Aircraft have been paid and discharged in full or will be paid and discharged in accordance with standard business terms; (e) provide to Lessor, within ten days following the end of each calendar month during the Term, a monthly report on the Aircraft in the form set out in Exhibit D or such other form as Lessee may select providing substantially the same information; (f) promptly notify Lessor of: (i) any Total Loss, any Engine Loss, any theft of the Airframe or any Engine, any damage to the Aircraft if the potential cost of repair may reasonably be expected to exceed the Damage Notification Threshold or any modification to the Aircraft if the potential cost may reasonably be expected to exceed the Damage Notification Threshold; (ii) any claim or other occurrence likely to give rise to a claim under the Insurances (but, in the case of hull claims only, in excess of the Damage Notification Threshold) and details of any negotiations with the insurance brokers over any such claim; (iii) any litigation, arbitration or administrative proceedings that are pending or, to Lessee's knowledge, threatened against Lessee which, if adversely determined, could reasonably be expected to have a material adverse effect on the financial condition of Lessee or on the ability of Lessee to perform its obligations under the Operative Documents; and (iv) as soon as any officer of Lessee obtains knowledge thereof, any Default or Event of Default. 8.3 Operation of the Aircraft Lessee shall: (a) comply with all Applicable Law in force in any country or jurisdiction in which the Aircraft is being operated which is applicable to the Aircraft or the use and operation of the Aircraft;


 
40 (b) not use the Aircraft in any manner contrary to any requirements of the Aviation Authority or any applicable Manufacturer, contrary to any rule or regulation of the Aviation Authority or for any purpose for which the Aircraft is not designed or reasonably suitable; (c) ensure that the crew and engineers employed by it in connection with the operation and maintenance of the Aircraft have the qualifications and hold the licenses required by the Aviation Authority and Applicable Law; (d) use the Aircraft solely in commercial or other operations for which Lessee is duly authorized by the Aviation Authority and Applicable Law; (e) not knowingly use the Aircraft (or use the Aircraft when Lessee ought reasonably to have known that it was being so used) for the carriage of: (i) whole animals, living or dead, except in the cargo compartments according to IATA regulations, and except domestic pet animals carried in a suitable container to prevent the escape of any liquid and to ensure the welfare of the animal; (i) acids, toxic chemicals, mercury, other corrosive materials, explosives, nuclear fuels, nuclear wastes or any nuclear assemblies or components, except for dangerous goods in accordance with Lessee’s dangerous goods permits or as permitted for cargo aircraft under the "Restriction of Goods" schedule issued by IATA from time to time and provided that all the requirements for packaging or otherwise described therein are fulfilled; (ii) any other goods, materials or items of cargo which could reasonably be expected to cause damage to the Aircraft and which would not be adequately covered by the Insurances; or (iii) any illegal item or substance; (f) not utilize the Aircraft for purposes of training, qualifying or re-confirming the status of cockpit personnel except for the benefit of Lessee's cockpit personnel, and then only if the use of the Aircraft for such purpose is not disproportionate to the use for such purpose of other aircraft of the same type operated by Lessee; (g) obtain and maintain in full force all certificates, licenses, permits and authorizations required for the use and operation of the Aircraft for the time being, and for the making of payments required by, and the compliance by Lessee with its other obligations under, this Agreement; (h) not change the location of the Habitual Base of the Aircraft without the prior written consent of Lessor not to be unreasonable withheld or conditioned; and (i) not (other than for bona fide safety reasons) operate, or permit to be operated, the Aircraft to, from or in any Excluded Geographic Area nor any Prohibited Country, in violation of Sanctions or in a manner that would cause Lessor, Owner, Servicer or Financing Parties (provided their identity has been notified by Lessor to Lessee in writing) to breach Sanctions.


 
41 8.4 Taxes and Other Charges As between Lessor and Lessee, Lessee shall be responsible for all fees, expenses, charges and other costs related to the use, operation and maintenance of the Aircraft, and shall promptly pay: (a) all license and registration fees, Taxes, Flight Charges and other amounts of any nature imposed by any Government Entity that are imposed on Lessee or for which Lessee is responsible under the Operative Documents with respect to the Aircraft, including any amounts in respect of the delivery, leasing, possession, use, operation, or return of the Aircraft; (b) all rent, fees, charges, Taxes imposed on Lessee and other amounts in respect of any premises where the Aircraft or any Part thereof is located from time to time during the Term; and (c) all sums due by Lessee to any relevant ATC/Airport Authority in respect of all aircraft (including the Aircraft) operated by Lessee before such sums become overdue, except to the extent that such payment is being contested in good faith by appropriate proceedings in accordance with Section 5.13. 8.5 Possession Lessee shall not sublease or otherwise part with possession of the Aircraft, the Engines or any Part, except that Lessee may part with possession: (a) provided that no Default shall have occurred and be continuing, and only with respect to the Aircraft as a whole, pursuant to a dry sublease but only upon prior written consent to such sublease by Lessor (the granting of which being at Lessor’s sole discretion including in relation to any change in the State of Registration of the Aircraft), it being understood that any such sublease shall be in accordance with such terms and conditions as Lessor may impose if it grants such consent and that such consent shall in any event be conditioned on the following: (i) the sublessee covenants not to do anything which would prejudice identified Indemnitee’s interests, rights and benefits in the Aircraft or the Insurances, (ii) the sublease agreement shall be in form and substance satisfactory to Lessor, and shall (A) contain such terms and provisions as shall ensure that the sublessee shall not take any action which would contravene the provisions of the Agreement; and (B) prohibit any further subleasing of the Aircraft, (iii) the rights and interests of each Indemnitee in respect of the Aircraft or under this Agreement, the other Operative Documents and the Financing Documents and the right to repossess the Aircraft in the case of any Event of Default will not be adversely affected by the subleasing,


 
42 (iv) nothing shall affect the perfection of the interests of the Indemnitees in respect of the Aircraft or under this Agreement, the other Operative Documents or the Financing Documents, (v) the rights of the sublessee under the sublease agreement shall be expressly subject and subordinate to this Agreement, the other Operative Documents, the Financing Documents and to the respective rights, title and interest of Lessor, Owner and the Financing Parties, in the Aircraft and the subleasing of the Aircraft under the sublease agreement shall terminate simultaneously upon the termination of leasing of the Aircraft under this Agreement (and in no case shall the subleasing extend beyond the Expiry Date), (vi) the sublessee shall redeliver the Aircraft to Lessor upon notification from Lessor that an Event of Default has occurred and that, as a result thereof, Lessor has terminated the leasing of the Aircraft pursuant to this Agreement, (vii) Lessee shall remain fully liable and responsible for performing, and procuring the observance of and compliance with, all of its obligations under this Agreement (it being accepted by Lessor that performance by the sublessee of any obligation under this Agreement shall be equivalent to performance of that obligation by Lessee), (viii) the sublessee is not a Prohibited Person, (i) the sublease agreement shall be assigned to Lessor or a Financing Party (as designated in writing to Lessee by Lessor) as security pursuant to a security assignment agreement in a form satisfactory to Lessor, (ii) if applicable, Lessee shall cause the respective interests created by the sublease and Lessee’s assignment of the sublease to be registered as “international interests” under the Cape Town Convention and shall obtain an IDERA in favor of Lessor (or any other party designated by Lessor) from the sublessee, (iii) sublessee shall be required to provide to Lessor an Incident/Accident Clearance Statement in respect of the period of the subleasing, (iv) Lessee shall not relinquish possession of any hard copy of any Aircraft Document without written permission of Lessor, and (v) Lessee shall reimburse and indemnify each of Lessor, Owner and each Financing Party on demand for all reasonable out-of-pocket expenses (including the fees of external counsel) incurred in connection with the review by each such Person of any sublease proposal or agreement (whether or not Lessor’s consent to the sublease is ultimately given) and the implementation of any sublease. (b) with respect to the Aircraft, the Engines or any Part, to the applicable Manufacturers for testing or similar purposes, or to an Agreed Maintenance Performer for service, repair, maintenance or overhaul work or for alterations, modifications or additions to the extent required or permitted by this Agreement;


 
43 (c) with respect to an Engine or Part, as expressly permitted by this Agreement; (d) provided that no Default shall have occurred and be continuing, with respect to the Aircraft, pursuant to an ACMI (aircraft, crew, maintenance and insurance) or "wet" lease or charter of the Aircraft in which operational control of the Aircraft remains with Lessee at all times (each a "Wet Lease"), provided (i) the term of such Wet Lease, including extensions, does not extend, nor is capable of being extended, beyond the Scheduled Expiry Date, (ii) the Aircraft remains registered with the Aviation Authority, (iii) the Aircraft shall be maintained, insured and otherwise operated in accordance with the provisions of this Agreement and no possessory rights whatsoever shall be granted to the wet lessee pursuant to or in connection with the Wet Lease, and (iv) the wet lessee is not a Prohibited Person; and (e) with respect to the Aircraft, pursuant to a code sharing arrangement so long as operational control of the Aircraft remains with Lessee at all times. 8.6 Inspection (a) Lessor, any Financing Party and any Person designated in writing by Lessor or any Financing Party may visit on an annual basis, inspect and survey the Aircraft, any Engine or any Part and for such purpose may, subject to any applicable Aviation Authority regulation and the insurances, travel on the flight deck as observer. Lessor, any Financing Party or any designee shall not be restricted during such inspection from inspecting behind any panels, bays or doors on the Aircraft already opened as part of a check or maintenance work or from inspecting any part of the Aircraft. (b) Lessee shall have no responsibility for the costs and expenses of Lessor and any Financing Party in connection with any such visit, inspection or survey unless an Event of Default has occurred and is continuing or the visit, inspection or survey discloses that Lessee is in breach of its material obligations under this Agreement, in which case such costs and expenses shall be paid by Lessee on demand. (c) Lessor shall: (i) have no duty to make, or liability arising out of, any such visit, inspection or survey; and (ii) so long as no Default has occurred and is continuing, not exercise such right more often than annually and not other than on reasonable notice and so as not to unreasonably disrupt the maintenance or operation of the Aircraft. 8.7 Protection of Title Lessee acknowledges that title to the Aircraft shall at all times be and remain solely and exclusively vested in Owner and that the Operative Documents constitute for all purposes, including tax purposes, an agreement by Lessor to lease the Aircraft to Lessee and, accordingly, Lessee shall: (a) not do or knowingly permit to be done or omit or knowingly permit to be omitted to be done any act or thing which might reasonably be expected to jeopardize the respective rights, title and interest of any Financing Party if the identity and interest of such Financing Party has been notified in writing to Lessee by Lessor as mortgagee of the Aircraft and assignee


 
44 of this Agreement or Owner as owner of the Aircraft and Lessor as lessor under this Agreement, or the validity, enforceability or priority of any Financing Security Document notice of which has been given to Lessee or which would be likely to expose Owner, Lessor or any Financing Party whose identity has been notified in writing to Lessee to any criminal or civil liability; (b) on all occasions when the ownership of the Aircraft, any Engine or any Part is relevant, make clear to third parties that title is held by Owner and is subject to any Financing Security Document notice of which has been given to Lessee; (c) not at any time: (i) represent or hold out Owner, Lessor or any Financing Party as carrying goods or passengers on the Aircraft or as being in any way connected or associated with any operation or carriage (whether for hire or reward or gratuitously) which may be undertaken by Lessee; or (ii) pledge the credit of Owner, Lessor or any Financing Party; (d) ensure that there is always affixed, and not removed or in any way obscured, a fireproof plate (having dimensions of not less than 6 in. x 4 in.) in a reasonably prominent position on the Aircraft with the following legend: "This Aircraft (MSN [*******]) is owned by CASP Leasing I, LLC" or such other legend as requested by Lessor in writing from time to time; (e) ensure that there is always affixed on each Engine, and not removed or in any way obscured, a fireproof plate in a prominent position near such Engine's data plate with the following legend: "This Engine (ESN [Insert esn]) is owned by CASP Leasing I, LLC" or such other legend as requested by Lessor in writing from time to time; (f) not create or permit to exist any Security Interest upon the Aircraft, any Engine or any Part, except Permitted Liens and shall promptly take, or cause to be taken, such actions as may be necessary to discharge any such Security Interest (other than Permitted Liens) that may at any time arise, exist or be levied upon the Aircraft, any Engine or Part; (g) not do or permit to be done anything which may reasonably be expected to expose the Aircraft, any Engine or any Part to penalty, forfeiture, impounding, detention, appropriation, damage or destruction and, without prejudice to the foregoing, if any such penalty, forfeiture, impounding, detention, appropriation, damage or destruction occurs, give Lessor notice and use its best reasonable efforts to procure the immediate release of the Aircraft, such Engine or such Part, as the case may be; (h) not abandon the Aircraft, any Engine or any Part; (i) pay and discharge or cause to be paid and discharged when due and payable or make adequate provision by way of security or otherwise for all debts, damages, claims and


 
45 liabilities which have given or might reasonably be expected to give rise to a Security Interest over or affecting the Aircraft, any Engine or any Part; and (j) not attempt, or hold itself out as having any power, to sell, lease or otherwise dispose of the Aircraft, any Engine or any Part other than as expressly permitted by this Agreement. 8.8 Business of Lessee Lessee shall: (a) not make any substantial change in the nature of the business in which it is engaged if such change could reasonably be expected to have a material adverse effect on the financial condition of Lessee or on the ability of Lessee to perform its obligations under the Operative Documents; (b) preserve its corporate existence, and shall not merge or consolidate with any Person, or sell all or substantially all of its assets to any Person, unless the successor Person resulting from such merger or consolidation or purchasing all or substantially all of Lessee's assets (in each event, the "Successor"): (i) is a Person incorporated, formed or organized under the laws of the State of Organization, any state or province of the United States of America or the Dominion of Canada, a member of the European Union, the United Kingdom, Israel, or another jurisdiction consented to in writing by Lessor (such consent not to be unreasonably withheld); (ii) has a net worth immediately after such merger, consolidation or purchase of Lessee's assets that is not less than Lessee's net worth immediately prior to such transaction; (iii) is authorized under Applicable Law to perform Lessee's obligations under the Operative Documents to the same extent as Lessee; (iv) delivers to Lessor an agreement in form and substance reasonably satisfactory to Lessor containing an assumption by the Successor of Lessee's representations and warranties under this Agreement, together with the due and punctual performance of all of Lessee's obligations under the Operative Documents; and (v) delivers to Lessor an opinion of counsel reasonably satisfactory in form and substance to Lessor covering the Operative Documents and the agreement referred to in Section 8.8(b)(iv) above; and (c) not at any time be a Prohibited Person or be owned (whether in whole or in part) or controlled by or acting directly or indirectly on behalf of or for the benefit of a Prohibited Person, nor shall any officer, director, manager, employee or Affiliate of Lessee be a Prohibited Person.


 
46 8.9 Records Lessee shall procure that accurate, complete and current records of all flights made by, and all maintenance, repairs, replacements, removals, modifications, alterations and additions carried out on or made to, the Aircraft during the Term (including, in relation to each Engine or Part subsequently installed, before its installation) are kept in English, and shall keep the records in such manner as the Aviation Authority, EASA and the FAA may from time to time require. In addition, all Airframe and Engine LLPs installed or replaced during the Term shall have documentation substantiating traceability "back to birth" to confirm current accumulated Flight Hours and Cycles and any repairs performed on the Aircraft shall have documentation substantiating the processes and all materials used in performing the repairs and such documentation shall include material certification. All such records and documentation shall form part of the Aircraft Documents. 8.10 Registration and Filings (a) Lessee shall at its cost maintain the registration of the Aircraft with the Aviation Authority reflecting (so far as permitted by Applicable Law) the interests of Owner and any Financing Party notified in writing by Lessor to Lessee and not do or suffer to be done anything which might reasonably be expected to adversely affect that registration; (b) Lessee shall do all acts and things (including making any filing or registration with the Aviation Authority or any other Government Entity) and execute and deliver all documents (including any amendment of this Agreement) as may be required by Lessor: (i) following any change or proposed change in the ownership or financing of the Aircraft or in the manner of securing Owner's or Lessor's obligations to the Financing Parties, at Lessor’s cost; (ii) following any modification of the Aircraft, any Engine or any Part or the permanent replacement of any Engine or Part in accordance with this Agreement, so as to ensure that the respective rights of Owner, Lessor and any Financing Party under this Agreement apply with the same effect as before, at Lessee’s cost; or (iii) to establish, maintain, preserve, perfect and protect the respective rights of Owner, Lessor and any Financing Party under this Agreement and in and to the Aircraft, at Lessor’s cost; and (c) without limitation to the generality of Section 8.10(b) above, if at any time in the State of Registration there shall be, or be brought into force, any legislative or other provisions giving effect to the Geneva Convention of 1948 or the Cape Town Convention or otherwise relating to the recognition of rights in aircraft, or if at any time the Cape Town Convention is brought into force or made applicable in any country where Lessee is "situated" for purposes of the Cape Town Convention, do and join with Lessor in doing all such acts and executing and delivering all such documents as may be necessary or advisable to perfect Owner's and Lessor's respective title and interests in, and the interests of any Financing Party in, the Aircraft and the Operative Documents in accordance with such legislative or other provisions. Lessee hereby irrevocably consents to the registration of this Agreement as an "international interest" under the Cape Town Convention.


 
47 8.11 Maintenance and Repair Lessee shall: (a) keep the Aircraft airworthy in all respects and in good repair and condition, and carry out all maintenance in accordance with the Approved Maintenance Program; (b) maintain the Aircraft in accordance with the EASA requirements and all rules and regulations of the Aviation Authority as are applicable to passenger aircraft of the same type as the Aircraft, and maintain the Aircraft so as to comply at all times with the type certificate specification and data sheets for the Aircraft; (c) maintain the Aircraft in accordance with the Approved Maintenance Program through Agreed Maintenance Performers and perform (at the respective intervals provided in the Approved Maintenance Program) all Major Checks and lesser checks, and in respect of each Major Check, (i) Lessor shall be notified by Lessee reasonably in advance of the commencement of the Major Check, including as to the Agreed Maintenance Performer and for Lessor's review of the workscope, (ii) Lessor shall be entitled to have representatives present during the performance of the Major Check to review all aspects of such performance, including the workscope thereof and (iii) if required by the Agreed Maintenance Performer, Lessee shall give written authorization to the Agreed Maintenance Performer granting Lessor and its representatives full access to the Major Check and all documents and correspondence generated during and as a result of the Major Check, subject to the Agreed Maintenance Performer’s rules and procedures. (d) advise Lessor in writing of all material changes to the Approved Maintenance Program with Lessor retaining its right to review any introduced changes that may have impact on Major Checks interval and definition and amend the related associated Additional Rent Rate accordingly; (e) comply with all mandatory inspection and modification requirements, ADs and similar requirements applicable to the Aircraft, any Engine or Part having a compliance date on or before the Expiry Date and that are required by the Aviation Authority or EASA; (f) comply with all Applicable Law and the regulations of the Aviation Authority and any other Government Entities with jurisdiction over Lessee or the Aircraft, any Engine or Part that relate to the maintenance, condition, use or operation of the Aircraft or require any modification or alteration to the Aircraft, any Engine or Part; (g) maintain in good standing a certificate of airworthiness for the Aircraft in the appropriate category for the nature of the operations of the Aircraft issued by the Aviation Authority, and provide a copy to Lessor at any time on request; (h) if required by the Aviation Authority, maintain a current certification as to maintenance issued by or on behalf of the Aviation Authority in respect of the Aircraft and provide a copy to Lessor at any time on request; (i) perform each Engine Shop Visit (or cause each Engine Shop Visit to be performed) consistent with the Engine Manufacturer's recommendations set forth in the MPD, including in respect of the determination of target run times and the documentation of critical and critical influencing Parts;


 
48 (j) maintain the Engines and the APU as set forth in the respective Manufacturer's maintenance manual; (k) not enter into any engine maintenance cost per flight hour, power by the hour or similar agreement with the Engine Manufacturer or any other engine maintenance facility or organization with respect to any Engine without Lessor's prior written consent, not to be unreasonably withheld; (l) procure promptly the replacement of any Part which has become time, cycle or calendar expired, lost, stolen, seized, confiscated, destroyed, damaged beyond repair, unserviceable or permanently rendered unfit for use, with a part complying with the conditions set out in Section 8.13(a); (m) accomplish all repairs, modifications and alterations in accordance with the SRM or, if the repair, modification or alteration is outside the scope of the SRM, as recommended in writing by the applicable Manufacturer and shall incorporate into the Approved Maintenance Program any applicable instruction from such Manufacturer for continued airworthiness following such repair, modification or alteration; (n) provide Lessor with a written summary of all sampling programs involving or affecting the Aircraft; (o) ensure that (i) each Major Check and other overhaul is accomplished in accordance with the respective Manufacturer's recommendations and using maintenance and quality control procedures approved by the Aviation Authority and (ii) each Agreed Maintenance Performer provides a complete record of all work performed during the course of such Major Check or other overhaul that demonstrates accomplishment in accordance with Aviation Authority and EASA requirements; (p) comply with the provisions of Section 11.4 in connection with any damage or incident involving the Aircraft; and (q) use reasonable endeavours to ensure that no Engine remains in unserviceable condition for greater than 120 consecutive days, subject to the availability of maintenance slots, force majeure affecting any maintenance provider, and other issues outside Lessee’s control. 8.12 Removal of Engines and Parts Lessee shall ensure that no Engine or Part installed on the Aircraft is at any time removed from the Aircraft other than: (a) when the removal is of a Part that is an obsolete item and is in accordance with the Approved Maintenance Program; (b) in accordance with Section 8.14(c) or Section 8.15; (c) during the course of maintaining, servicing, repairing, overhauling or testing the Engine or Part or the Aircraft, as the case may be; or (d) for the purpose of making Equipment Changes, as are permitted under this Agreement;


 
49 and in each case title to such Engine or Part shall at all times remain vested in Owner and the interests of any Financing Party shall be protected to the same extent as if the Engine or Part remained installed on the Aircraft notwithstanding such removal from the Aircraft, except in the case of (x) a removal of a Part as described by subpart (a) above or (y) a transfer of title to a Part to Lessee in accordance with Section 8.17(b). 8.13 Installation of Engines and Parts (a) If a Part is removed from the Aircraft for any of the reasons set forth in Section 8.12 (except in the case of a removal as described by Section 8.12(a)): (i) Lessee shall promptly install a part in place of such Part that (1) is in as good operating condition as such Part, (2) inspections, overhauls and shop visits, is of the same or a more advanced make and model and is of the same interchangeable modification status as such Part, and (3) has attached to it a current airworthiness release certificate issued by the manufacturer or approved vendor indicating that the part is new, serviceable repaired or overhauled (with Lessee retaining all such certificates); and (ii) in the case of a part that is replacing a Part in the Landing Gear, APU or an Engine, the part is an OEM Part, unless Lessee has obtained Lessor's prior written approval to install a non-OEM Part, which approval, if given, shall be given only for the installation of PMA Parts manufactured in accordance with FAR Part 21.303 (or its EASA equivalent) that are consumable parts such as brackets, gaskets and seals (it being understood that the installation of stationary or high energy rotating PMA Parts in the Engine or APU gas path shall not be approved by Lessor), and any proposed repair to an OEM Part or PMA Part in the Landing Gear, APU or an Engine that has been approved by an FAA Designated Engineering Representative (or its EASA equivalent) must also be approved by Lessor in writing prior to performance of the repair. (b) In the case of the removal of a Part from the Aircraft for any of the reasons set forth in Section 8.12, and if no Default has occurred and is continuing, Lessee may install a part on the Aircraft as a temporary replacement for such removed Part, notwithstanding the provisions of Section 8.13(a), if: (i) there is not available to Lessee a replacement part that complies with the requirements of Section 8.13(a); (ii) it would result in an unreasonable disruption of the operation of the Aircraft or the business of Lessee to ground the Aircraft until a part that complies with Section 8.13(a) becomes available for installation on the Aircraft; and (iii) as soon as practicable after installation of the same on the Aircraft but, in any event, no later than the earlier of (1) 90 days after such installation and (2) the Expiry Date, Lessee removes any such part and replaces it with the Part replaced by it or by a part that complies with Section 8.13(a). (c) If no Default has occurred and is continuing, Lessee may install a Third Party Engine or Lessee Installed Part on the Airframe if:


 
50 (i) the terms of any lease, conditional sale agreement or security agreement, as the case may be, covering such Third Party Engine or Lessee Installed Part will not have the effect of prejudicing the respective title and interests of Owner, Lessor and the Financing Parties in and to the Aircraft (including its Engines and Parts) or the interests of the Financing Parties in respect thereof under any Financing Security Document; (ii) the secured party, lessor or conditional vendor, as the case may be, of such Third Party Engine or Lessee Installed Part has confirmed and acknowledged in writing (which confirmation and acknowledgment may be contained in the lease, conditional sale agreement or security agreement covering such Third Party Engine or Lessee Installed Part, as applicable) to Owner and Lessor that it shall respect the respective rights, title and interests of Owner, Lessor and the Financing Parties in and to the Aircraft (including its Engines and Parts) and that it shall not seek to exercise any rights whatsoever in relation thereto, and Lessee so agrees to the extent that title is held by it; and (iii) in the case of a Third Party Engine, before the Expiry Date Lessee removes any such Third Party Engine and replaces it with the Engine replaced by it. (d) Lessor agrees, for the benefit of any mortgagee, conditional vendor or holder of any other Security Interest in any Third Party Engine installed on the Airframe, that Lessor shall not claim any title to or interest in any such Third Party Engine as the result of such Third Party Engine being installed on the Airframe; provided, that the agreement by Lessor set forth in this Section 8.13(d) is subject to Lessor's rights to take possession of the Aircraft under Section 13.2(c)(i) and/or to require Lessee to redeliver the Aircraft under Section 13.2(c)(ii) with such Third Party Engine installed. 8.14 Non-Installed Engines and Parts (a) Lessee shall ensure that any Engine or Part that is not installed on the Airframe (or any other airframe, to the extent permitted by this Agreement) is, except as expressly permitted by this Agreement, maintained, properly and safely stored and kept free from Security Interests (other than Permitted Liens), with insurance thereon complying with the requirements of this Agreement. (b) Lessee shall notify Lessor whenever an Engine is removed from the Aircraft and, from time to time, upon request use its best efforts to procure that any Person to whom possession of an Engine is given acknowledges in writing to Lessor, in form and substance satisfactory to Lessor, that such Person shall respect the respective interests of Owner, Lessor and the Financing Parties in such Engine and shall not seek to exercise any rights whatsoever in relation to such Engine. (c) Lessee may, if no Default has occurred and is continuing, install any Engine on an airframe and any Part on an airframe or engine: (i) owned and operated by Lessee free from Security Interests, other than Permitted Liens;


 
51 (ii) leased to or hired by Lessee pursuant to a lease or conditional sale agreement on a long term basis and on terms whereby Lessee has full operational control of that airframe or engine; or (iii) acquired or financed by Lessee and operated by Lessee, whether in connection with a lease, conditional sale agreement or Security Interest, on terms such that ownership of that airframe or engine, as the case may be, is vested in or held by any other Person; provided, that in the case of (ii) and (iii): (A) the terms of any such lease, conditional sale agreement or Security Interest shall not have the effect of prejudicing the respective title and interests of Owner and Lessor in and to that Engine or Part or the interest of any Financing Party in respect thereof under any Financing Security Document; (B) the lessor under such lease, the seller under such conditional sale agreement or the secured party of such Security Interest, as the case may be, has confirmed and acknowledged in writing, in form and substance satisfactory to Lessor, that it shall respect the respective rights, title and interests of Owner, Lessor and any Financing Party to and in that Engine or Part and that it shall not seek to exercise any rights whatsoever in relation thereto; and (C) Lessee shall have delivered to Lessor evidence satisfactory to Lessor of the matters set forth in clauses (A) and (B) above, which may be by written confirmation, in form and substance satisfactory to Lessor, from the applicable lessor, seller or secured party, or by Lessee providing a copy (certified as being true, correct and complete by Lessee) of the applicable provisions of the applicable lease, conditional sale agreement or security agreement. 8.15 Pooling of Engines and Parts Lessor acknowledges and accepts that Lessee has entered into a Parts Pool Agreement relating to rotables with Lufthansa. The parts received from the Lufthansa pool shall not have been altered by DER. Title to such parts replaced upon installation shall be vested in the Lessor. Lessee shall not enter into nor permit any further pooling agreement or arrangement in respect of an Engine or Part without the prior written consent of Lessor except, so long as no Default has occurred and is continuing, for pooling agreements or arrangements satisfying the following conditions: (a) Lessee has entered into the pooling agreement or arrangement in the ordinary course of its airline business; (b) the other parties to the pooling agreement or arrangement are reputable, solvent commercial air carriers or the Manufacturers or regular suppliers of the Engine or Part (or other reputable, solvent organizations whose business includes the administration of and participation in such pooling agreements or arrangements);


 
52 (c) the Engine or Part is leased, let on hire or otherwise made available by Lessee on terms conferring no more than a contractual right in personam against Lessee and not a right in rem against such Engine or Part; (d) in the case of an Engine, the pooling agreement or arrangement does not permit the transfer of title to such Engine; and (e) the pooling agreement or arrangement either provides that Owner or Lessor (or any Financing Party designated by Lessor) shall be the loss payee in respect of any loss or damage to the Engine or Part, or provides for Owner to acquire title to a replacement engine or part (if the Engine or Part is destroyed) that satisfies the conditions set forth in Section 11.3(a) (in the case of a replacement engine) or Section 8.13(a)(in the case of a replacement part). 8.16 Equipment Changes (a) Lessor acknowledges that title to the passenger seats in the Aircraft will remain at all times with Lessee and that Lessee may from time to time remove or replace the passenger seats without Lessor’s consent. (b) Lessee shall not make any Voluntary Equipment Change expected to cost in excess of $150,000 or that deviates from the Aircraft's original type design or configuration without the prior written consent of Lessor, which consent shall not be unreasonably withheld. (c) Lessor may review Lessee's proposed designs, plans, engineering drawings and diagrams, and flight and maintenance manual revisions for any proposed Equipment Change. If requested by Lessor, Lessee shall furnish Lessor (at Lessee's expense) with such documents in final form and any other documents required by Applicable Law as a result of an Equipment Change. All Equipment Changes made to the Aircraft shall be properly documented in the Aircraft Documents and be fully approved per EASA requirements. (d) Lessee shall not make any Voluntary Equipment Change that has the effect of diminishing or impairing the value, utility, condition or airworthiness of the Aircraft or invalidating any warranty applicable to the Aircraft. (e) All permanent or structural Equipment Changes, all Mandatory Equipment Changes and all Voluntary Equipment Changes shall, upon installation, become a part of the Aircraft and the property of Lessor. At Lessor's request, all Voluntary Equipment Changes shall be removed from the Aircraft before return of the Aircraft to Lessor and the Aircraft shall be restored to its condition prior to that Equipment Change, and upon such removal and restoration shall revert to become the property of Lessee; provided, that Lessee may not remove a Voluntary Equipment Change without Lessor's consent during the continuation of a Default. 8.17 Title to Parts (a) Title to each part installed on the Aircraft, whether by way of replacement of a Part, as the result of an Equipment Change or otherwise (except for a Lessee Installed Part or a part installed as a temporary replacement part pursuant to Section 8.13(b)) shall on installation, without further act, vest in Owner subject to this Agreement and free and clear of all


 
53 Security Interests (except for Lessor Liens). Lessee shall at its own expense take all such steps and execute, and procure the execution of, all such instruments that are necessary under Applicable Law to ensure that title so passes to Owner and is subject to the Security Interests created by any Financing Security Document. At any time when requested by Lessor, Lessee shall provide evidence to Lessor's reasonable satisfaction (including the provision, if required, to Lessor of one or more legal opinions) that title has so passed to Owner and is subject to the Security Interests created by any Financing Security Document. (b) Any Part at any time removed from the Aircraft shall remain the property of Owner until a replacement has been made in accordance with Section 8.13(a) of this Agreement and until title to that replacement has passed, in accordance with Section 8.17(a) and Applicable Law, to Owner subject to this Agreement and free of all Security Interests (except for Lessor Liens), whereupon title to the removed Part shall, if no Default has occurred and is continuing, pass to Lessee free of Lessor Liens. (c) If any Lessee Installed Part is not removed prior to Return, then upon Return, title to such Lessee Installed Part shall, without further act, vest in Owner free and clear of all Security Interests. Lessee shall at its own expense take all such steps and execute, and procure the execution of, all such instruments that are necessary to ensure that title so passes to Owner. 8.18 Third Parties Lessee shall procure that no Person or sublessee having possession of the Aircraft during the Term shall act in any manner inconsistent with Lessee's obligations under this Agreement. 8.19 Non-Discrimination (a) Lessee shall not discriminate against the Aircraft in its use, maintenance or operation of the Aircraft compared to similar aircraft owned or operated by Lessee, and Lessee shall service, repair, maintain and overhaul the Aircraft so as to keep the Aircraft maintained in the same manner and with the same care as used by Lessee with similar aircraft owned or operated by Lessee. (b) Subject to a sublease permitted pursuant to Section 8.5, Lessee shall not discriminate and shall operate the Aircraft in the same manner as any other aircraft in its fleet until delivery to the Redelivery Location immediately prior to the Final Inspection. (c) Lessee shall perform (or cause to be performed) normal progressive maintenance on the Aircraft throughout the Term, and no unusual maintenance procedures or cessation of maintenance shall occur during the one year period prior to the Expiry Date. 8.20 Unserviceable Engine Replacement Notwithstanding the provisions of Section 7.2(f) and this Section 8, in the event that an Engine becomes unserviceable for any reason (other than due to Lessee’s gross negligence or willful misconduct or foreign object damage), Lessee shall return the Engine to Lessor in an unserviceable condition to ETG’s facility in Varna, Bulgaria. Lessee shall lease or otherwise provide from its own inventory a spare engine at Lessee’s sole cost for


 
54 the remainder of the Term and notwithstanding Section 5.4, will no longer be obligated to pay Engine Additional Rent and Engine LLP Additional Rent for the unserviceable Engine commencing with the day immediately following the date on which the Engine became unserviceable. Furthermore, Lessor shall reduce the Basic Rent Amount by an amount reflecting Lessee’s Actual Cost to procure a replacement engine, with such cost reduction capped at $50,000 per month per removed unserviceable Engine. In the alternative, Lessor shall have the option to provide to Lessee, at Lessor’s cost and expense, a replacement engine (acceptable to Lessee at its sole discretion) with expected life remaining to last on-wing for the duration of the Term. In such case, the Basic Rent Amount payable by Lessee for the Aircraft, the Engine Additional and Engine LLP Additional Rent shall remain the same and Lessee’s obligation to pay these amounts shall continue. In case the replacement engine suffers a foreign object damage (FOD) event or an insurance-related repairable event and during the repair of the damages due to such event Lessee identifies further repairs to other parts of the replacement engine that need to be performed, the engine module percentages set opposite that engine module as listed in the table immediately below shall apply. Engine Module Engine Module Percentage Fan / Booster 15% High Pressure Compressor 25% Combustor 8% High Pressure Turbine 27% Low Pressure Turbine / Accessory GearBox 25% 8.21 APU and Landing Gear Replacement In the event of a Major Check coming due for either the APU or any of the Landing Gear, Lessor, in its sole discretion, shall have the option to supply a replacement APU or landing gear in exchange for the APU or Landing Gear on the Airframe that is in need of an APU Basic Shop Visit or Landing Gear Overhaul. Any replacement APU or Landing Gear shall be of the same (or improved) make and model as the APU or Landing Gear being replaced, suitable for installation on the Aircraft in serviceable condition and having expected life remaining to last on-wing for the duration of the Term. Provided such replacement occurs during the Term, the return conditions set forth in Schedule 3 attached hereto will be amended accordingly to ensure that the replacement APU or Landing Gear will meet the redelivery requirements without further necessary maintenance. 9. Insurance 9.1 Insurances Lessee shall maintain in full force and effect during the Term insurances in respect of the Aircraft in form and substance reasonably satisfactory to Lessor (the "Insurances") through such brokers and with such insurers and having such deductibles and being subject to such exclusions as are usual and customary in the leading international


 
55 insurance markets for international air carriers operating aircraft of the same type as the Aircraft and who are similarly situated as Lessee. The Insurances shall be effected on a direct basis with insurers who normally participate in aviation insurances and led by reputable insurers. 9.2 Requirements Lessor's requirements as of the date of this Agreement as to Insurances are as specified in this Section 9 and in Schedule 4. Except for the amount of the Agreed Value, the Minimum Liability Coverage and the deductible under Lessee's hull and war risk insurance policies, Lessor may from time to time stipulate such other requirements for the Insurances as Lessor reasonably considers necessary to ensure that the scope and level of cover is maintained in accordance with the then prevailing industry practice in relation to aircraft of the same type as the Aircraft and in relation to air carriers similarly situated as Lessee. In the event that Lessor makes any such stipulation, Lessor shall notify Lessee accordingly and Lessor and/or its brokers shall then consult in good faith with Lessee and Lessee's brokers (as for the time being approved by Lessor) with regard to such stipulation. Following the consultation, if Lessor confirms that the stipulation should be made, Lessee shall then comply with the stipulated requirements. 9.3 Insurance Covenants Lessee shall: (a) ensure that all legal requirements as to insurance of the Aircraft, any Engine or any Part that may from time to time be imposed by the laws of the State of Registration or any jurisdiction to, from or over which the Aircraft may be flown, in so far as they affect or concern the operation of the Aircraft, are complied with and, in particular, those requirements compliance with which is necessary to ensure that: (i) the Aircraft does not become subject to detention or forfeiture; (ii) the Insurances remain valid and in full force and effect; and (iii) the interests of the Indemnitees in respect of the Insurances and the Aircraft, any Engine or any Part are not thereby prejudiced; (b) not use, cause or permit the Aircraft, any Engine or any Part to be used for any purpose or in any manner not covered by the Insurances or outside any geographical limit imposed by the Insurances; (c) comply with the terms and conditions of each policy of the Insurances and not do, consent or agree to any act or omission that: (i) invalidates or may reasonably be expected to invalidate the Insurances; (ii) renders or may reasonably be expected to render void or voidable the whole or any part of any of the Insurances; or (iii) brings any particular liability within the scope of an exclusion or exception to the Insurances;


 
56 (d) not take out without the prior written approval of Lessor any insurance in respect of the Aircraft other than those of the type required under this Agreement unless relating solely to business interruption, engine break-down or deductible buy-down risk and, in each such case, when such insurance does not prejudice the Insurances required under this Agreement or the recovery by Owner, Lessor and/or any Financing Party (as the case may be) thereunder; provided, that Lessee may take out hull "all risks" and hull war and allied perils insurance in respect of the Aircraft in excess of the Agreed Value, but only to the extent that (i) such excess insurance does not exceed 10% of the Agreed Value and (ii) such excess insurance does not prejudice the Insurances required under this Agreement or the recovery by Owner, Lessor and/or any Financing Party (as the case may be) thereunder; (e) provide to Lessor copies of those documents evidencing the Insurances which Lessor may reasonably request, including, without limitation, certificates of insurance, certificates of reinsurance, insurance brokers' undertakings, and reinsurance broker's undertakings; (f) procure that all certificates of insurance, certificates of reinsurance, insurance brokers' undertakings and reinsurance brokers' undertakings that are provided to Lessor from time to time are in form and substance reasonably satisfactory to Lessor; (g) on request, provide to Lessor evidence that the Insurance premiums have been paid; (h) not make any modification or alteration to the Insurances material and adverse to the interests of any of the Indemnitees; (i) be responsible for any deductible under the Insurances; and (j) provide any other insurance related information, or assistance, in respect of the Insurances as Lessor may reasonably request. 9.4 Renewal of Insurances Lessee shall commence renewal procedures no later than 30 days prior to the expiration of any of the Insurances and provide to Lessor: (a) if requested by Lessor, a written status report of renewal negotiations 14 days prior to each expiration date; and (b) prior to each expiration date, a certificate of insurance and broker's letter of undertaking substantially in the form delivered to Lessor on the Delivery Date describing the renewal coverage and confirming the insurers' agreement to the specified insurance requirements of this Agreement, provided, however, that in the event that the certificate of insurance and broker's letter of undertaking are not provided to Lessor prior to an expiration date, Lessee shall procure that Lessee's insurance broker and reinsurance broker (if applicable) notify Lessor prior to such expiration date that Lessee's insurances have been renewed on terms no less favorable to Lessor than the prior coverage and Lessee shall provide the applicable certificate of insurance and broker's letter of undertaking to Lessor no later than seven (7) days after such expiration date.


 
57 9.5 Failure to Insure If Lessee fails to maintain the Insurances in compliance with this Agreement: (a) Lessee shall immediately ground the Aircraft and shall keep it grounded until such time as the Insurances shall again be in full force and effect. (b) Lessee shall immediately notify Lessor of such non-compliance and provide Lessor with a description of all steps that Lessee is taking or proposes to take in order to remedy such non-compliance. (c) Each of the Indemnitees shall be entitled but not obligated (without prejudice to any other rights of Lessor under this Agreement): (i) to pay the premiums due or to effect and maintain insurances satisfactory to it or otherwise remedy Lessee's failure in such manner (including to effect and maintain an "owner's interest" policy) as it considers appropriate, and any sums so expended by it shall become immediately due and payable by Lessee to Lessor on demand (such demand being made as soon as reasonably practicable following the incurring of such expenditure), together with interest thereon at the Overdue Rate from the date of expenditure by it up to the date of reimbursement by Lessee (before and after any judgment); and (ii) at any time while such failure is continuing to require the Aircraft to remain at any airport or to proceed to and remain at any airport designated by it until the failure is remedied to its reasonable satisfaction. 9.6 Continuing Insurance for Indemnity (a) Lessee shall effect and maintain insurance after the date of a Transfer and after the Expiry Date with respect to its liability under the indemnities in Section 10 for two years, providing for each Indemnitee (as existing immediately prior to such Transfer or the Expiry Date, as applicable) to be named as an additional insured either in accordance with customary market practice or pursuant to the provisions of the airline finance/lease contract Endorsement AVN 99 if the Insurances incorporate the terms of AVN 67C. (b) Lessee's obligation under this Section 9.6 shall not be affected by Lessee ceasing to be lessee of the Aircraft or any of the Indemnitees ceasing to have any interest in respect of the Aircraft, and upon a Transfer pursuant to Section 14.2, Lessee shall continue to name each Indemnitee (as existing immediately prior to such Transfer) as an additional insured under the insurance policies described by Section 1(d) of Schedule 4 for two years after the date of the Transfer. 9.7 Application of Insurance Proceeds As between Lessor and Lessee, and except to the extent otherwise required pursuant to the provisions of the airline finance/lease contract Endorsements AVN 67C and AVN 67C (Hull War) or any successor endorsements, if applicable:


 
58 (a) All insurance payments, up to the Agreed Value, received as the result of a Total Loss occurring during the Term shall be paid to Owner (unless or until Lessor notifies Lessee that said payments should be made to a specified Financing Party). (b) Any payment(s) of insurance proceeds in respect of any damage or loss to the Aircraft, any Engine or any Part occurring during the Term not constituting a Total Loss in an aggregate amount greater than the Damage Notification Threshold shall be paid to Owner (unless or until Lessor notifies Lessee that said payments should be made to a specified Financing Party) and applied in payment (or to reimburse Lessee) for repairs or replacement property upon Lessor being reasonably satisfied that the repairs or replacement have been or are being effected in accordance with this Agreement. Any payment of insurance proceeds in amounts less than the Damage Notification Threshold may be paid by the insurer directly to Lessee. Any balance remaining (after application of proceeds in respect of repairs or replacement) shall be paid to or may be retained by Lessee. (c) All insurance proceeds in respect of third party liability shall be paid to the relevant third party. (d) Notwithstanding the provisions of Sections 9.7(a) and (b), if at the time of the payment of any insurance proceeds as described by Sections 9.7(a) and (b) a Default has occurred and is continuing, all such proceeds shall be paid to or retained by Owner (unless or until Lessor notifies Lessee that said payments should be made to a Financing Party) to be applied toward payment of any amounts that may be or become payable by Lessee in such order as Owner and Lessor see fit. In the event that Lessee remedies any such Default to the reasonable satisfaction of Lessor, then Lessor shall procure that all such insurance proceeds then held by Owner, Lessor or any Financing Party, as the case may be, in excess of the amounts (if any) applied by Owner, Lessor or any Financing Party, as the case may be, in accordance with this Section 9.7(d) shall be paid promptly to Lessee. 9.8 Aggregate Limits If any of the Insurances is subject to an aggregate annual or other periodic limit, and, by reason of any claims made thereunder during the course of the applicable period in respect of any property subject to such policy, the aggregate amount of coverage available thereunder in respect of the balance of such applicable period shall have been reduced: (a) Lessee shall forthwith notify Lessor of the amount of any such claim; and (b) Lessee shall not operate the Aircraft during the balance of such period either (i) without the prior written consent of Lessor or (ii) until Lessee has increased the aggregate limit under the relevant policy for such period to such amount as Lessor may reasonably require. 9.9 Form LSW555D Exclusions In this Section 9.9, the term "Uninsured Risks" shall mean the matters set out in the exclusions to form LSW555D (or any successor provision approved by Lessor) for chemical or biological weapons, "dirty bombs" and electromagnetic pulse weapons. If cover in respect of the Uninsured Risks is, or becomes, available in the leading international insurance markets at commercially reasonable rates (having reference to the


 
59 extent to which such cover is commonly taken by international air carriers) Lessee shall, if requested by Lessor, obtain and maintain, or cause to be obtained and maintained, insurance cover for the Uninsured Risks to the fullest extent available in the leading international insurance markets. 10. Indemnity 10.1 General (a) Lessee shall defend, indemnify and hold harmless each of the Indemnitees for, from and against any and all claims, proceedings, losses, liabilities, suits, judgments, costs, expenses, penalties or fines (each a "Claim") regardless of when the same is made or incurred, whether during or after the Term (but not before): (i) that may at any time be suffered or incurred directly or indirectly as a result of or connected with possession, repossession, inspection, testing, delivery, performance, management, registration, deregistration, control, maintenance, condition, service, repair, overhaul, storage, leasing, subleasing, use, operation or return of the Aircraft, any Engine or Part (whether in the air or on the ground) whether or not the Claim may be attributable to any defect in the Aircraft, any Engine or any Part or to its design, testing, use or otherwise, and regardless of when the same arises or whether it arises out of or is attributable to any act or omission, negligent or otherwise, of any Indemnitee; (ii) that arise out of any act or omission that invalidates or that renders voidable any of the Insurances; or (iii) that may at any time be suffered or incurred as a consequence of any design, article or material in the Aircraft, any Engine or any Part or its operation or use constituting an infringement of patent, copyright, trademark, design or other proprietary right or a breach of any obligation of confidentiality owed to any Person. (b) Notwithstanding the provisions of Section 10.1(a), Lessee shall not have to indemnify an Indemnitee for any Claim to the extent that: (i) it arises directly as a result of the fraud, willful misconduct or gross negligence of any Indemnitee that needs to be substantiated by Lessee; (ii) it arises directly as a result of the breach by Lessor of its covenant of quiet enjoyment as set forth in Section 7.1; (iii) it arises directly as a result of a breach by any Indemnitee of its express obligations under any Operative Document or as a result of a representation or warranty given by such Indemnitee in an Operative Document not being true and correct at the date when, or when deemed to have been, given or made; (iv) it constitutes a cost or expense that is expressly required to be borne by Lessor in accordance with another provision of this Agreement;


 
60 (v) it represents a Tax or loss of tax benefits (Lessee's liabilities for which, including exclusions, are set out in Sections 5.7, 5.8, 5.9 and 5.11); (vi) it results solely from any disposition not caused by Lessee of all or any part of Owner's or Lessor's rights, title or interest in or to the Aircraft or under this Agreement, unless such disposition occurs as a consequence of an Event of Default; or (vii) it is attributable to an event occurring after the Expiry Date unless the Claim results from or arises out of an act or omission by Lessee, or any circumstance existing, during the Term. 10.2 Mitigation (a) Lessor shall notify Lessee in writing as soon as reasonably practicable after it becomes aware of any circumstances that would, or would reasonably be expected to, become the subject of a claim for indemnification pursuant to Section 10.1, provided, however, that failure to give such notice shall not terminate any of the rights of Indemnitees under this Section 10. Lessor (and any other Indemnitee seeking indemnification, as the case may be) and Lessee shall then consult with one another in good faith in order to determine what action (if any) may reasonably be taken to avoid or mitigate such Claim. Unless a Default has occurred and is continuing, Lessee shall have the right to take all reasonable action (on behalf and, if necessary, in the name of Lessor or such other Indemnitee other than the Financing Parties) in order to resist, defend or settle (provided such settlement is accompanied by payment) any Claim, provided that Lessee shall not be entitled to take any such action unless adequate provision, reasonably satisfactory to Lessor and such other Indemnitee other than the Financing Parties, shall have been made in respect of the Claim and the costs thereof. Lessee or, if the Claim is covered by Lessee's Insurances, Lessee's insurers shall be entitled to select any counsel to represent it or them, Lessor and such other Indemnitee other than the Financing Parties in connection with any such action, subject to the approval of Lessor and such other Indemnitee, and any action taken by Lessee shall be on a full indemnity basis in respect of Lessor and such other Indemnitee other than the Financing Parties. (b) Any sums paid by Lessee to Lessor or any Indemnitee in respect of any Claim pursuant to Section 10.1 shall be paid subject to the condition that, in the event that Lessor or such Indemnitee is subsequently reimbursed in respect of that Claim by any other Person, Lessor or such Indemnitee shall, provided no Default shall have occurred and be continuing, promptly pay to Lessee an amount equal to the sum paid to it by Lessee, including any interest on such amount to the extent attributable thereto and received by Lessor or such Indemnitee, less any Tax payable by Lessor or such Indemnitee in respect of such reimbursement. 11. Events Of Loss 11.1 Total Loss Before Delivery If a Total Loss of the Aircraft occurs before Delivery, this Agreement shall immediately terminate and neither party shall have any further obligation or liability under this Agreement except as expressly stated herein.


 
61 11.2 Total Loss After Delivery (a) If a Total Loss of the Aircraft occurs after Delivery, Lessee shall pay the Agreed Value to Owner (or any Financing Party designated by Lessor) on the earlier of: (i) the date of receipt of the insurance proceeds payable as a result of the Total Loss, or (ii) 90 days after the Total Loss Date (the "Settlement Date"), in either case unless the Aircraft is restored to Owner, Lessor or Lessee within that period (or, in the case of a Total Loss coming within paragraph (c) of the definition of Total Loss and involving the loss of Owner's title to the Aircraft, if both the Aircraft and Owner's title thereto are restored to Owner and/or Lessor or, in the case of the Aircraft, to Lessee). (b) The receipt by Owner (or any Financing Party designated by Lessor) of the insurance proceeds in respect of the Total Loss on or prior to the Settlement Date shall discharge Lessee from its obligation to pay the Agreed Value pursuant to this Section 11.2, provided such proceeds are not less than the Agreed Value. In the event that the insurance proceeds are paid initially to Lessee and not to Owner (or any Financing Party designated by Lessor), they may be retained by Lessee if Lessee shall have paid the Agreed Value to Owner (or any Financing Party designated by Lessor); otherwise Lessee shall pay the Agreed Value to Owner (or any Financing Party designated by Lessor) not later than the next Business Day following receipt by Lessee of such proceeds. In the event that Lessee pays the Agreed Value to Owner (or any Financing Party designated by Lessor) in full in accordance with this Section 11.2, Lessor shall cause Owner (or any applicable Financing Party) to promptly assign to Lessee its rights under the Insurances to receive the insurance proceeds in respect of the Total Loss to the extent that such proceeds have not been paid to Lessee. (c) Subject to the rights of any insurers or other third parties, upon irrevocable payment in full to Owner (or any Financing Party designated by Lessor) of the Agreed Value and all other amounts that are payable to Lessor under the Operative Documents, Owner shall without recourse or warranty (except as to the absence of Lessor Liens), and without further act, be deemed to have transferred to Lessee all of Owner's rights to any Engines or Parts not installed when the Total Loss occurred (or to any Engines or Parts that survived the Total Loss), all on an "as is where is" basis, and Lessor shall cause Owner to, at Lessee's expense, execute and deliver such bills of sale and other documents and instruments as Lessee may reasonably request to evidence (on the public record or otherwise) the transfer and the vesting of Owner's rights in such Engines and Parts in Lessee, free and clear of all rights of Owner and any Lessor Liens. 11.3 Engine Loss (a) Upon the occurrence of an Engine Loss in circumstances in which there has not also occurred a Total Loss (including, for the avoidance of doubt, at a time when the Engine is not installed on the Airframe), Lessee shall give Lessor written notice promptly upon becoming aware of the same and shall, within 60 days after the Engine Loss Date, convey or cause to be conveyed to Owner, as replacement for such Engine, title to a replacement engine that (1) is an engine of the same model as, or an improved or advanced version


 
62 of, the lost Engine (provided, in the case of an improved or advanced version, it can be installed and operated on the Airframe without modification of the Airframe or the engine, whether or not the other installed Engine is also such an improved or advanced version), (2) is in the same or better operating condition, has substantially similar hours available until the next scheduled checks, inspections, overhauls and shop visits and has the same or greater value and utility as the lost Engine had immediately prior to the Engine Loss (assuming the lost Engine was, immediately prior to the Engine Loss, in the condition required by this Agreement), (3) has attached to it a current airworthiness release certificate issued by the Engine Manufacturer or an approved vendor indicating that the engine is new, serviceable or overhauled (with Lessee retaining all such certificates) and (4) is accompanied by documentation establishing traceability "back to birth" for all installed life limited parts. Lessee shall at its own expense take all such steps and execute, and procure the execution of, a warranty bill of sale covering such replacement engine, a supplement to this Agreement adding such replacement engine to the Aircraft and all such other agreements and instruments that are necessary to ensure that title to such Engine passes to Owner and is subject to the Security Interests created by any Financing Security Document and such replacement engine becomes an "Engine", all according to Applicable Law. At any time when requested by Lessor, Lessee shall provide evidence to Lessor's reasonable satisfaction (including the provision, if required, to Lessor of one of more legal opinions) that title has so passed to Owner and is subject to the Security Interests created by any Financing Security Document. (b) Upon compliance with the foregoing title transfer provisions, the leasing of the replaced Engine that suffered the Engine Loss shall cease and title to such replaced Engine shall (subject to any salvage rights of insurers) vest in Lessee free of Lessor Liens. If Owner, Lessor or any Financing Party subsequently receives any insurance proceeds relating to such Engine Loss, Lessor shall promptly remit such proceeds, or cause such proceeds to be remitted, to Lessee. (c) No Engine Loss with respect to any Engine that is replaced in accordance with the provisions of this Section 11.3 shall result in any increase or decrease in Basic Rent, Additional Rent or the Agreed Value. 11.4 Damage or Incident Not Constituting a Total Loss Following the occurrence of any damage to the Aircraft, any Engine or any Part that does not constitute a Total Loss or an Engine Loss and where either (i) the potential cost of repair may reasonably be expected to exceed the Damage Notification Threshold or (ii) Lessor notifies Lessee in writing that Lessor reasonably believes the damage will permanently affect the value of the Aircraft, Lessee shall take the following actions: (a) Lessee shall consult with, and comply with, all reasonable instructions of Lessor with respect to the accomplishment of repairs; (b) Lessee shall obtain Lessor's consent prior to agreeing upon any repair workscope or seeking Manufacturer approval in connection with any such repairs; and 11.5 Requisition During any requisition for use or hire of the Aircraft, any Engine or Part that does not constitute a Total Loss:


 
63 (a) the Basic Rent, Additional Rent and Supplemental Rent payable under this Agreement shall not be suspended or abated either in whole or in part, and Lessee shall not be released from any of its other obligations under this Agreement (other than operational obligations with which Lessee is unable to comply solely by virtue of the requisition); (b) so long as no Default has occurred and is continuing, Lessee shall be entitled to any compensation payable by the requisitioning authority in respect of the Term; (c) Lessee shall, as soon as practicable after the end of any such requisition (with the Term being extended if and to the extent that the period of requisition continues beyond the Scheduled Expiry Date), cause the Aircraft to be put into the condition required by this Agreement; and (d) Lessor shall be entitled to all compensation payable by the requisitioning authority in respect of any change in the structure, state or condition of the Aircraft arising during the period of requisition, and Lessor shall apply such compensation in reimbursing Lessee for the cost of complying with its obligations under this Agreement in respect of any such change; provided, that, if any Default has occurred and is continuing, Lessor may apply the compensation in or towards settlement of any amounts owing by Lessee under this Agreement. 12. Return Of Aircraft On the Expiry Date or termination of the leasing of the Aircraft under this Agreement, Lessee shall, unless a Total Loss has occurred, at its expense, return the Aircraft and Aircraft Documents to Lessor at the Redelivery Location in accordance with the procedures described in Schedule 3 and in a condition complying with Schedule 3, free and clear of all Security Interests and Permitted Liens (other than Lessor Liens). If it becomes unlawful for Lessee or Lessor to perform any of its material obligations under the Operative Documents, or any of the Operative Documents becomes wholly or partially invalid or unenforceable, then the affected party shall, as soon as reasonably practicable, notify the other party of such illegality. The parties shall then consult in good faith in order to restructure the transactions contemplated by this Agreement and the other Operative Documents in order to avoid or mitigate such illegality, and will, if possible, enter into substitute arrangements which are valid, legal and enforceable and which have the same commercial effect as this Agreement and the other Operative Documents. If no appropriate restructuring is possible, either party may, by notice in writing to the other, terminate the leasing of the Aircraft under this Agreement, such termination to take effect on the latest date on which Lessor or Lessee, as the case may be, may continue such leasing without being in breach of any law, and Lessee shall forthwith redeliver the Aircraft to Lessor subject to redelivery procedures set forth in this Agreement. 13. Default 13.1 Events Each of the following events shall constitute an Event of Default and shall be deemed a material breach and a repudiation of this Agreement by Lessee:


 
64 (a) Non-payment: Lessee (i) fails to pay the Agreed Value and all other amounts required under Section 11.2 on the Settlement Date, (ii) fails to make any payment of Basic Rent or Additional Rent within three Business Days after the date on which such payment is due or (iii) fails to pay any other amount payable by it under this Agreement or any other Operative Document within five Business Days after written notice from Lessor that such amount is due; (b) Material Covenants: Lessee (i) fails to return the Aircraft to Lessor in accordance with Section 12 and Schedule 3, (ii) fails to maintain in full force and effect any insurance required to be maintained under Section 9, (iii) transfers possession of the Airframe or any Engine or Aircraft Documents to another Person other than as permitted by this Agreement or (iv) operates the Aircraft to, from, over or in any Excluded Geographic Area (unless such operation to, from, over or in an Excluded Geographic Area is an emergency landing due to mechanical issues or an in-flight emergency) or any Prohibited Country in violation of Sanctions or in a manner that would cause Lessor, Owner, Servicer or Financing Parties (provided the identity of such has been notified to Lessee) to breach Sanctions; (c) Breach: Lessee fails to comply with any other provision of this Agreement or any other Operative Document and, if such failure is, in the reasonable opinion of Lessor, capable of remedy, the failure continues for 14 days after written notice from Lessor to Lessee, provided, that if such failure cannot reasonably be remedied within such 14 day period and Lessee is diligently undertaking all necessary remedial action, the 14 day period shall be extended for a further 14 days; (d) Representation: any representation or warranty made (or deemed to be repeated) by Lessee in the Operative Documents or in any document or certificate furnished to Lessor pursuant to or in connection with the Operative Documents is or proves to have been incorrect in any material respect when made or deemed to be repeated, is not corrected within 14 days of Lessor giving written notice to Lessee requiring such correction, and Lessee's ability to comply with its obligations under the Operative Documents, and/or Owner's or Lessor's respective rights, title and interests to and in the Aircraft and/or under the Operative Documents, are thereby materially and adversely affected; (e) Cross Default: (i) any Financial Indebtedness of Lessee that exceeds $1,000,000 is not paid when due and any applicable grace period shall have expired; (ii) the security for any Financial Indebtedness of Lessee that exceeds $1,000,000 is enforced; (iii) any lease, conditional sale, installment sale or forward purchase agreement of Lessee or any of its Affiliates in respect of an aircraft is terminated as a consequence of an event of default or termination event (however described); or an event of default (however described) occurs under any lease, conditional sale, installment sale, forward purchase agreement or any other agreement between (x) Lessor or any of its Affiliates (or any Person for whom Lessor or any of its Affiliates acts as lease manager or servicer, in connection with any such agreement) and (y) Lessee or any of its Affiliates (collectively, the "Related Agreements");


 
65 (f) Approvals: any consent, authorization, license, certificate or approval of or registration with or declaration to any Government Entity in connection with this Agreement, including: (i) any authorization required by Lessee of, or in connection with, the execution, delivery, validity, enforceability or admissibility in evidence of the Operative Documents or the performance by Lessee of its obligations under the Operative Documents; or (ii) any airline license, air transport license, franchise, concession, permit, certificate, right or privilege required by Lessee for the conduct of its business, is modified, withheld, revoked, suspended, canceled, withdrawn, terminated or not renewed, or otherwise ceases to be in full force and is not reissued, reinstated or renewed within 15 days, provided however that any such modification, withholding, revocation, suspension, cancellation, withdrawal, termination or non-renewal shall only constitute an Event of Default if it could have a material adverse effect on the financial condition of Lessee or on the ability of Lessee to perform its obligations under the Operative Documents or on Lessor's or Owner's respective rights, title and interest to and in the Aircraft or under the Operative Documents; (g) Insolvency: (i) Lessee is, or is deemed for the purposes of any Applicable Law to be, unable to pay its debts as they fall due or to be insolvent; or (ii) Lessee suspends making payments on all or any class of its debts or announces an intention to do so, or a moratorium is declared in respect of any of its indebtedness; (h) Bankruptcy and Similar Proceedings: (i) Lessee shall consent to the appointment of a receiver, trustee or liquidator for itself or for a substantial part of its property; (ii) Lessee shall admit in writing its inability to pay its debts generally as they become due, or Lessee shall make a general assignment for the benefit of creditors; (iii) Lessee shall file a voluntary petition in bankruptcy or a voluntary petition or answer seeking reorganization in a proceeding under any laws dealing with bankruptcy, insolvency, moratorium or creditors' rights generally (any or all of which are hereinafter referred to as "Bankruptcy Laws"), or an answer admitting the material allegations of a petition filed against Lessee in any such proceeding, or Lessee shall by voluntary petition or answer consent to or fail to oppose the seeking of relief under the provisions of any Bankruptcy Laws; (iv) any order, judgment or decree is entered by a court of competent jurisdiction appointing a receiver, trustee or liquidator of Lessee or a substantial part of its property, or ordering a substantial part of Lessee's property to be


 
66 sequestered, is instituted or done with the consent of Lessee or, if instituted by another Person, the order, judgment or decree is not dismissed, remedied or relinquished within 30 days; (v) a petition against Lessee in a proceeding under any Bankruptcy Laws shall be filed and shall not be withdrawn or dismissed within 30 days thereafter, or if, under the provisions of any Bankruptcy Laws that may apply to Lessee, any court of competent jurisdiction shall assume jurisdiction, custody or control of Lessee or of any substantial part of its property; or (vi) any step, voluntary or otherwise, (including petition, proposal, or convening a meeting or any other scheme of arrangement under Applicable Law) is taken with a view to a composition, assignment, restructuring or arrangement with any creditors of, or the reorganization, rehabilitation, administration, liquidation, or dissolution of, Lessee, any Operative Documents or any other insolvency proceedings involving Lessee; (i) Other Jurisdiction: there occurs in relation to Lessee any event anywhere which, in the reasonable opinion of Lessor, corresponds with any of those mentioned in Section 13.1(h); (j) Suspension of Business: Lessee suspends or ceases to carry on (or threatens to suspend or cease to carry on) all or a substantial part of its business; (k) Disposal: Lessee disposes or threatens to dispose of all or a material part of its assets, whether by one or a series of transactions, related or not, other than (i) pursuant to a merger or consolidation as referred to in, and subject to, Section 8.8(b) or (ii) for the purpose of any other reorganization or amalgamation the terms of which have received the previous consent in writing of Lessor; (l) Rights: the existence, validity, enforceability or priority of the rights of Owner as owner and Lessor as lessor in respect of the Aircraft or the rights of any Financing Party as mortgagee of the Aircraft or assignee of this Agreement are challenged by Lessee or any other Person claiming by or through Lessee (but for the avoidance of doubt this clause (l) shall not apply to any dispute under the Purchase Agreement); (m) Change of Ownership: any single Person or group of Persons acquire control, directly or indirectly, of Lessee without the previous consent in writing of Lessor (which consent shall not be unreasonably withheld, conditioned or delayed)unless Lessor is of the reasonable opinion that such acquisition of control shall have a materially adverse effect on Lessee's ability to perform its obligations under the Operative Documents or Lessor's or Owner's respective rights, title and interest in and to the Aircraft or under the Operative Documents), not including (i) individuals or other Persons that are currently in control of Lessee or (ii) a partnership or trust set up for the benefit of individuals identified in clause (i); (n) Delivery: Lessee fails to accept delivery of the Aircraft when validly tendered pursuant to this Agreement by Lessor; (o) Adverse Change: any event or series of events occurs which could have a material adverse effect on the financial condition of Lessee or on the ability of Lessee to perform its obligations under the Operative Documents or to have a prejudicial effect on Owner's,


 
67 Lessor's or any Financing Party's respective rights, title and/or interests in and to the Aircraft or under the Operative Documents; or (p) Nationalization: all or a material part of the undertakings, rights, assets or revenues of, or shares or other ownership interests in, Lessee are seized, nationalized, expropriated or compulsorily acquired by or under the authority of any Government Entity. If an Event of Default occurs, and for as long as it shall continue, Lessor may at its option (and without prejudice to any of its other rights under this Agreement or that may arise by operation of Applicable Law), at any time thereafter: (a) by notice to Lessee (unless giving of such notice is prevented or prohibited by Applicable Law, in which case no such notice shall be required) with immediate effect terminate the leasing of the Aircraft (but without prejudice to the continuing obligations of Lessee under this Agreement), whereupon all rights of Lessee under this Agreement shall cease; and/or (b) subject to Section 15.2, proceed by appropriate legal action or actions to enforce performance of this Agreement or to recover damages for the breach of this Agreement; and/or (c) either: (i) take possession of the Aircraft, for which purpose Lessor may enter any premises belonging to, occupied by or under the control of Lessee (for which purpose Lessee hereby grants to Lessor an irrevocable license to the extent permitted by Applicable Law) where the Aircraft may be located, or cause the Aircraft to be redelivered to Lessor at the Redelivery Location (or such other location as Lessor may require), and Lessor is hereby irrevocably authorized and empowered, to the extent permitted by Applicable Law, to direct pilots of Lessee or other pilots to fly the Aircraft to that airport and shall have all the powers and authorizations necessary for taking such action; or (ii) by serving notice, require Lessee to redeliver the Aircraft to Lessor at the Redelivery Location (or such other location as Lessor may require) in the condition required by Section 12 and Schedule 3; and/or (d) sell, lease or otherwise deal with the Aircraft in such manner as Lessor in its absolute discretion considers appropriate; and/or (e) oblige Lessee to take all steps necessary to deregister the Aircraft from the aircraft registry of the State of Registration and export the Aircraft from the country where the Aircraft is for the time being registered or situated and any other steps necessary to enable the Aircraft to be redelivered to Lessor in accordance with this Agreement. Lessee hereby irrevocably and by way of security for its obligations under the Operative Documents authorizes and empowers Lessor as its attorney-in-fact and agent (such agency being coupled with an interest), in Lessor's own name or in the name of Lessee, to execute and deliver any documentation and to do any act or thing required in connection with the foregoing.


 
68 13.2 Default Payments If an Event of Default occurs, in addition to any loss, damage or other amount available under Applicable Law, Lessee shall indemnify and pay to Owner and Lessor on demand against any loss (including loss of profit), damage, expense, cost or liability that Owner or Lessor may sustain or incur directly or indirectly as a result, including: (a) all Basic Rent, Additional Rent and Supplemental Rent which are then due and unpaid or which become due prior to Lessor's recovery of possession of the Aircraft; (b) any loss (calculated on an after-tax basis) suffered by Lessor because of Lessor's inability to place the Aircraft on lease with another lessee on terms as favorable to Lessor as the terms of this Agreement or because whatever use, if any, to which Lessor is able to put the Aircraft upon its return to Lessor, or the funds arising upon a sale or other disposition of the Aircraft, is not as profitable (calculated on an after-tax basis) to Lessor as this Agreement would have been but for such Event of Default; (c) any cost or expense incurred in connection with the exercise by Lessor of its remedies under this Agreement, including costs incurred in respect of repossession, insurance, legal services, consulting services, storage and preservation, repair and remarketing of the Aircraft to third parties; (d) any amount of principal, interest, fees or other sums paid or payable on account of funds borrowed in order to carry any amount unpaid by Lessee; (e) any loss, cost, expense or liability incurred by Lessor owing to Lessee's failure to redeliver the Aircraft on the date, at the place and in the condition required by this Agreement, including an amount equal to the costs incurred (or likely to be incurred) by Lessor for maintenance and/or modifications as necessary to put the Aircraft into such condition and an amount sufficient to fully compensate Lessor for loss of bargain if such failure results in the cancellation of a pending sale or lease of the Aircraft; (f) any additional amount as may be necessary to place Lessor in the same economic position, on an after-tax basis, as Lessor would have been in if Lessee had properly and fully performed each of its obligations under this Agreement. 13.3 Cape Town Convention Remedies For purposes of the Cape Town Convention (if applicable), Lessor and Lessee acknowledge and agree that: (a) each Event of Default shall constitute a "default" for the purposes of Article 11 of the Cape Town Convention; and (b) upon the occurrence of any Event of Default: (i) Lessor shall be afforded all speedy and other relief, rights and remedies set forth in the Cape Town Convention as a result of such Event of Default; (ii) all of the rights set forth in Section 13.2 shall be deemed "additional remedies" for the purposes of Article 12 of the Cape Town Convention; and


 
69 (iii) Lessor may exercise any or all of its rights under Articles 8, 10 and 13(1) of the Cape Town Convention and any other rights expressed to be available to creditors under the Cape Town Convention. 13.4 Waiver of Certain Rights To the fullest extent permitted by Applicable Law, each of Lessor and Lessee hereby agrees that no rights or remedies referred to in the U.N. Convention on Contracts for the International Sales of Goods shall be conferred upon either Lessor or Lessee unless otherwise expressly granted in this Agreement. The U.N. Convention on Contracts for the International Sales of Goods is not applicable to this Agreement. 14. Assignment, Transfer and Financing 14.1 No Assignment by Lessee Lessee shall not assign any of its right, title, interests, duties, obligations or liabilities in, to or under the Operative Documents, or create or permit to exist any Security Interest (other than Permitted Liens) over any of its rights under the Operative Documents, and any such purported assignment or grant of a Security Interest shall be void ab initio and of no force or effect. Without limiting the foregoing, if any assignment prohibited under the foregoing sentence shall be valid by operation of any non-waivable provision of Applicable Law, Lessee shall nevertheless remain fully liable for the payment and performance of all of Lessee's obligations to be paid and performed hereunder as fully and to the same extent as if such assignment had not been effected, without prejudice to the obligations of the assignee. 14.2 Owner and/or Lessor Assignment (a) Owner and/or Lessor may sell, assign or transfer all of their respective rights under the Operative Documents together with all their respective rights in the Aircraft (a "Transfer") to another Person (a "Transferee") and Owner and/or Lessor (as the case may be) shall, other than in the case of an assignment for security purposes, have no further obligation under the Operative Documents following a Transfer but, notwithstanding any Transfer, shall remain entitled to the benefit of each indemnity under this Agreement. (b) In connection with any Transfer by Lessor (other than an assignment for security purposes), the following conditions shall apply: (i) Lessor shall give Lessee written notice of such Transfer at least 10 days before the date of such Transfer, specifying the name, address and tax jurisdiction of the expected Transferee; (ii) the Transferee shall either (A) be an Affiliate of Owner or Lessor or (B) be a Person reasonably experienced in aircraft leasing (or the Transferee's rights and powers under this Agreement shall be exercised or serviced on its behalf pursuant to a management or servicing agreement by a Person having such experience); (iii) the Transferee shall not be an airline or the Affiliate of an airline or a competitor or the Affiliate of a competitor of Lessee;


 
70 (iv) Lessee shall be satisfied that, pursuant to Applicable Law at the time of the transfer, Lessor will have no greater payment obligations, will not be subject to any increased cost, obligation or liability (financial or otherwise and including as to Tax) and will not suffer any diminution of any of its rights or remedies under this Agreement or the Operative Documents as a result of such assignment or transfer than Lessee would have had without such transfer; (v) the Transferee shall demonstrate, to Lessee’s reasonable satisfaction, that it has a net worth of no less than 8,000,000 (eight million) USD or that its obligations under the Operative Documents are guaranteed by a Person whose net worth is no less than 8,000,000 (eight million) USD; (vi) such Transfer shall not result in a change of State of Registration (unless otherwise agreed with Lessee); and (vii) on the Transfer date, Lessor and the Transferee shall enter into an agreement or agreements in which the Transferee confirms that it shall be deemed a party to this Agreement and agrees to be bound by all the terms of this Agreement, including, in particular, the covenant of quiet enjoyment, and to undertake all of the obligations of, Lessor contained in this Agreement arising on or after the time of the Transfer or due but not performed on the date of the Transfer. (c) Upon any Transfer by Lessor (other than an assignment for security purposes), the Transferee shall be deemed Lessor for all purposes of this Agreement, each reference in this Agreement to "Lessor" shall thereafter be deemed for all purposes to refer to the Transferee, and the transferor shall be relieved of all obligations of "Lessor" under this Agreement arising on or after the time of such Transfer. (d) Lessee shall at the time of any Transfer, at the written request of Lessor and with Lessor reimbursing Lessee for Lessee's reasonable and properly documented out-of-pocket costs and expenses: (i) execute and deliver to Lessor and to such Transferee an agreement, in form and substance satisfactory to Lessor, Lessee and such Transferee, dated the date of such Transfer, acknowledging such Transfer, and, in the case of a Transfer by Lessor, agreeing to pay all or such portion of the Basic Rent, Additional Rent and other payments under this Agreement to such Transferee (or its designee) as such Transferee shall direct and agreeing that such Transferee shall be entitled to rely on all representations and warranties made by Lessee in the Operative Documents or in any certificate or document furnished by Lessee in connection with the Operative Documents as though such Transferee was the original "Lessor" hereunder; (ii) deliver to Lessor and to such Transferee a certificate, signed by a duly authorized officer of Lessee, dated the date of such Transfer, to the effect that (A) no Event of Default has occurred and is continuing or, if one is then continuing, describing such Event of Default and (B) the representations and warranties set forth in Section 2.1 are true and correct as of such date;


 
71 (iii) cause to be delivered to Lessor and such Transferee certificates of insurance and broker's letters of undertaking substantially in the form delivered to Lessor on the Delivery Date, detailing the coverage and confirming the insurers' agreement to the specified insurance requirements of this Agreement and listing Owner, Lessor and such Transferee as additional insureds and Owner, such Transferee or any Financing Party designated by Transferee (as the case may be) as loss payee; (iv) deliver to Lessor and to such Transferee an opinion of Lessee's counsel (which may be Lessee's General Counsel), addressed to Lessor and such Transferee to the effect that the agreement referred to in Section 14.2(d)(i) has been duly authorized and executed by Lessee and constitutes the legal, valid and binding obligation of Lessee, enforceable against Lessee in accordance with its terms (subject to customary exceptions), and to the effect that such Transferee may rely on the opinion delivered by such counsel or its predecessor counsel in connection with the Operative Documents on the Delivery Date with the same force and effect as if such Transferee was an original addressee of such opinion when given; (v) deliver to Lessor and such Transferee information as to the location of the Airframe and Engines at all times requested by Lessor in order to permit the Transfer to take place at a time and on a date so as to eliminate or minimize any Taxes applicable to the Transfer; (vi) deliver to such Transferee an Incident/Accident Clearance Statement; (vii) execute and deliver to such Transferee an IDERA (if applicable) in favor of such Transferee; (viii) take any actions as are reasonably requested by Lessor to effect, perfect, record or implement the Transfer and execute and/or provide such other documents as Owner, Lessor or such Transferee may reasonably request; and (ix) ensure that the fireproof plates installed on the Aircraft and Engines are replaced by new fireproof plates reflecting either (A) the name of each of Owner and Transferee, in the case of an assignment for security purposes or (B) the name of Transferee, in the case of a Transfer by Owner not involving an assignment for security purposes. 14.3 Financing Parties; Grants of Security Interests (a) On or before the Delivery Date, and from time to time thereafter, Lessor shall advise Lessee in writing of any Financing Parties, any Financing Documents requiring any such Financing Parties to be named as additional insureds hereunder and any Financing Security Documents providing to any such Financing Parties a Security Interest in the Aircraft or Owner's or Lessor's right, title and interest in any Operative Documents. (b) Each of Owner and Lessor shall be entitled at any time after Delivery to grant a Security Interest in the Aircraft or its respective rights, title and interests in any Operative Document, including a Security Interest in replacement of or with a priority senior, equal


 
72 or subordinate to any previous grant of a Security Interest. In the case of any such grant, Lessee shall promptly, at the written request of Lessor and with Lessor reimbursing Lessee for Lessee's reasonable and properly documented out-of-pocket costs and expenses: (i) execute and deliver to Lessor the Notice and Acknowledgment acknowledging the new Financing Security Documents and the new Financing Parties; (ii) sign in its capacity as operator of the Aircraft and deliver to Lessor any Bulgarian-law pledge agreement over the Aircraft entered into between Owner and a third party for the purposes of perfection of such pledge under the Bulgarian Civil Aviation Act; (iii) deliver to Lessor and any new Financing Parties a certificate, signed by a duly authorized officer of Lessee, dated the date of the grant, to the effect that (1) no Event of Default has occurred and is continuing or, if one is then continuing, describing such Event of Default and (2) the representations and warranties set forth in Section 2.1 are true and correct as of such date; (iv) cause to be delivered to Lessor certificates of insurance and broker's letters of undertaking substantially in the form delivered to Lessor on the Delivery Date, detailing the coverage and confirming the insurers' agreement to the specified insurance requirements of this Agreement and adding the additional Financing Parties as additional insureds and, if requested by Lessor, as loss payees; and (v) take any actions as are reasonably requested by Lessor to effect, perfect, record or implement such grant and execute and/or provide such other documents as Lessor may reasonably request. 14.4 Sale and Leaseback by Lessor In addition to the Transfers and grants of Security Interests as contemplated by Sections 14.2 and 14.3, Lessor shall be entitled to transfer its right, title and interests in and to the Aircraft to any Person and lease the Aircraft from such Person (a "Head Lessor"), and in such event Lessor shall retain its rights and obligations as "Lessor" under this Agreement. In the event of such a sale and leaseback by Lessor, (a) Lessor shall be entitled to assign its rights in this Agreement to such Head Lessor as security for its obligations under the head lease, (b) the Head Lessor shall be entitled to grant to one or more purchase money lenders, or to an agent or trustee on behalf of such lenders, a Security Interest covering the Aircraft and/or the Operative Documents, (c) Lessee shall take such actions and execute and deliver such documents as described in Sections 14.2(d) and 14.3(b) and (d) Lessee shall cooperate with Lessor to amend the Operative Documents, including an amendment to include the Head Lessor and such secured parties as additional insureds and "Indemnitees" for purposes of this Agreement, as Lessor may reasonably request. 14.5 Cooperation; Acknowledgment Lessee shall cooperate with, and provide all reasonable assistance to, Owner, Lessor, any applicable Financing Party and any Transferee in connection with any Transfer or


 
73 grant of a Security Interest as contemplated by Sections 14.2 and 14.3. Lessee acknowledges that any Transferee shall in turn have the rights of, and be subject to the conditions to, Transfer and grants of Security Interests set forth above in this Section 14. 14.6 Certain Protections for Lessee's Benefit At the time of any grant of a Security Interest or any transfer to a Head Lessor as contemplated by Sections 14.3 or 14.4, Lessor shall obtain for the benefit of Lessee an acknowledgment from each Financing Party holding a Security Interest in this Agreement and/or such Head Lessor (as the case may be) that, so long as no Event of Default has occurred and is continuing, such Financing Party or Head Lessor (as the case may be) shall not interfere with the quiet use, possession and enjoyment of the Aircraft by Lessee. No Transfer shall cause or result in any increase in or additional obligations (including with respect to Taxes) of Lessee under this Agreement based on the laws in effect at the time of such Transfer. 14.7 Advance Consent under Cape Town Convention For purposes of Article 33(1) of the Cape Town Convention (and Article XV of the Aircraft Equipment Protocol thereto), Lessee hereby consents in advance to the transfer of "associated rights" and the "related international interest" (in each case, as such terms are used in the Cape Town Convention) in respect of any Transfer or grant of a Security Interest as contemplated by Sections 14.2 and 14.3. For the avoidance of doubt, no additional consent by Lessee shall be required in connection with any such transfer of "associated rights" and the "related international interest". 15. Governing Law and Jurisdiction 15.1 Governing Law This Agreement and each other Operative Document shall in all respects, including all matters of construction, validity and performance, be governed by and construed in accordance with the laws of the State of New York. 15.2 Consent to Jurisdiction (a) Lessor and Lessee hereby irrevocably agree to submit to the non-exclusive jurisdiction of the United States District Court for the Southern District of New York and the Supreme Court of the State of New York located in the Borough of Manhattan, County of New York (the "Agreed Courts") in the event of any claims or disputes arising under this Agreement. Such submission to jurisdiction shall not be construed so as to limit the right of either party to take proceedings against the other in whatever jurisdiction shall to it seem fit nor shall the taking of proceedings in any one or more jurisdictions preclude the taking of proceedings in any other jurisdiction, whether concurrently or not. (b) A final judgment against Lessor, in any suit in an Agreed Court, or against Lessee, in any suit in an Agreed Court or in any other court in any jurisdiction where jurisdiction over Lessee or any of its assets can be obtained or where the Aircraft may be located, shall be conclusive and may be enforced in any other jurisdiction by suit on the judgment or as otherwise permitted by Applicable Law, a certified or true copy of which shall be conclusive


 
74 evidence of the facts and of the amount of any indebtedness or liability of Lessor or Lessee. (c) Each of Lessor and Lessee hereby irrevocably waives any objection which it may now or hereafter have to the laying of venue in any suit, action or proceeding brought in any Agreed Court, and irrevocably waives any claim that any such suit, action or proceeding brought in any Agreed Court has been brought in an inconvenient forum. 15.3 Waiver of Jury Trial LESSEE AND LESSOR HEREBY WAIVE TRIAL BY JURY IN ANY JUDICIAL PROCEEDING TO WHICH THEY ARE PARTIES INVOLVING, DIRECTLY OR INDIRECTLY, ANY MATTER ARISING OUT OF OR RELATING TO THIS AGREEMENT. 15.4 Service of Process (a) Without prejudice to any other mode of service, Lessee (i) appoints Cogency Global in New York, New York as its agent for service of process relating to any proceedings before the Agreed Courts in connection with this Agreement and any other Operative Document and shall maintain such process agent (or such other process agent in such jurisdiction acceptable to Lessor acting reasonably, as Lessee may notify to Lessor in writing prior to the appointment of such other process agent) and (ii) agrees that failure by a process agent to notify Lessee of the process shall not invalidate the proceedings concerned. (b) Without prejudice to any other mode of service, each of Lessor and Lessee consents to the service of process relating to any proceedings involving, directly or indirectly, any matter arising out of or relating to this Agreement by U.S. Postal Service registered mail (prepaid, return receipt requested) of a copy of the process to Lessor's or Lessee's respective address identified in Section 16.10(b). 15.5 Disclaimer of Consequential Damages Lessee acknowledges and agrees that it shall not be entitled to recover, and hereby disclaims and waives any right that it may otherwise have to recover, reduced or lost profits, reduced or lost revenue, or any other consequential, incidental, special, indirect or punitive damages as a result of any breach or alleged breach by Lessor of its obligations under this Agreement. 16. Miscellaneous 16.1 Waivers, Remedies Cumulative The rights of Lessor or Lessee under this Agreement may be exercised as often as necessary, are cumulative and not exclusive of that party's rights under any Applicable Law and may be waived only in writing and specifically. Delay in exercising or non- exercise of any such right is not a waiver of that right. 16.2 Delegation Lessor may delegate to any suitably qualified Person or Persons all or any of the trusts, powers or discretions vested in it by this Agreement and any such delegation may be


 
75 made upon such terms and conditions and subject to such regulations as Lessor in its absolute discretion thinks fit. 16.3 Appropriation If any sum paid or recovered in respect of the liabilities of Lessee under this Agreement or any Related Agreement is less than the amount then due, Lessor may apply that sum to amounts due under this Agreement or any Related Agreement in such proportions and order and generally in such manner as Lessor may determine. 16.4 Currency Indemnity (a) If Lessor receives an amount in respect of Lessee's liability under this Agreement or if such liability is converted into a claim, proof, judgment or order in a currency other than the currency in which the amount is expressed to be payable under this Agreement (the "contractual currency"): (i) Lessee shall indemnify Lessor, as an independent obligation, against any loss arising out of or as a result of such conversion; (ii) if the amount received by Lessor, when converted into the contractual currency (at the market rate at which Lessor is able on the relevant date to purchase the contractual currency in New York City with that other currency) is less than the amount owed in the contractual currency, Lessee shall, forthwith on demand, pay to Lessor an amount in the contractual currency equal to the deficit; and (iii) Lessee shall pay to Lessor on demand any exchange costs and Taxes payable in connection with the conversion. (b) Lessee waives, to the extent permitted by Applicable Law, any right it may have in any jurisdiction to pay any amount under this Agreement in a currency other than that in which it is expressed to be payable. 16.5 Payment by Lessor Lessor shall not be obligated to pay any amounts to Lessee under this Agreement so long as a Default exists under this Agreement until such Default has been cured. 16.6 Severability If a provision of this Agreement is or becomes illegal, invalid or unenforceable in any jurisdiction, that shall not affect: (a) the legality, validity or enforceability in that jurisdiction of any other provision of this Agreement; or (b) the legality, validity or enforceability in any other jurisdiction of that or any other provision of this Agreement.


 
76 16.7 Remedy If Lessee fails to comply with any provision of this Agreement, Lessor may, without being in any way obliged to do so or responsible for so doing and without prejudice to the ability of Lessor to treat the non-compliance as a Default, effect compliance on behalf of Lessee, whereupon Lessee shall become liable to pay immediately any sums expended by Lessor together with all costs and expenses (including reasonable legal costs) incurred in connection therewith. 16.8 Expenses (a) Lessor and Lessee shall each bear their respective expenses (including legal, professional and out-of-pocket expenses) incurred or payable in connection with the negotiation, preparation and execution of the Operative Documents, except that Lessee shall be solely responsible for (i) all registration and filing fees in connection with the registration of the Aircraft in the State of Registration (but not the registration of any Financing Security Documents or the interests of any Financing Parties), and (ii) all fees in connection with the filing and translation of any Operative Document or related document. (b) Lessee shall pay to Lessor on demand all reasonable expenses (including legal, professional and out-of-pocket expenses) incurred or payable by Lessor in connection with the granting of any waiver or consent under this Agreement. (c) Lessee shall pay to Lessor on demand all expenses (including legal, survey and other costs) payable or incurred by Lessor in contemplation of, or otherwise in connection with, the enforcement of or preservation of any of Lessor's rights under the Operative Documents, or in respect of the repossession of the Aircraft. 16.9 Time of Essence The time stipulated in this Agreement for all payments payable by Lessee to Lessor and for the performance of Lessee's other obligations under this Agreement that are due on a specified or determinable date shall be of the essence of this Agreement (subject always to any applicable grace period). 16.10 Notices (a) All notices and other communications given under or in connection with this Agreement shall be in writing (including email), in English, and shall be deemed to be received in accordance with the following: (i) if by post or courier, when delivered to the address specified in Section 16.10(b), or (ii) if by email, upon receipt of such email (and if two email addresses were specified in Section 16.10(b), then receipt at either such email address shall be sufficient), provided that if a bounce back email indicating that such addresses are not valid is received by sender from all the email addresses specified in Section 16.10(b), then upon receipt by any owner, shareholder or employee of Lessor or Lessee (as the case may be) holding a position of manager or above.


 
77 (b) All such notices, requests, demands and other communications shall be sent: (i) to Lessor at: [*******] [*******] [*******] [*******] Attention: [*******] Telephone: [*******] E-mail: [*******] (ii) to Lessee at: [*******] [*******] [*******] [*******] [*******] Attention: [*******] Telephone: [*******] E-mail: [*******] with a copy to: [*******] [*******] [*******] Attention: [*******] Telephone: [*******] E-mail: [*******] or to such other address or e-mail address as shall have been notified by one party to the other in the manner set out in this Section 16.10. 16.11 Sole and Entire Agreement This Agreement is the sole and entire agreement between Lessor and Lessee in relation to the leasing of the Aircraft, and supersedes all previous agreements in relation to that leasing. The terms and conditions of this Agreement can only be varied by an instrument in writing executed by both parties or by their duly authorized representatives. 16.12 Rights of Indemnitees All rights expressed to be granted to each Indemnitee under this Agreement (other than any Financing Party) are given to Lessor as agent for and on behalf of that Indemnitee.


 
78 16.13 Survival All indemnities and any specifically stated written express obligations of Lessee which arise or are attributable to circumstances occurring during the Term shall survive and remain in full force and effect notwithstanding (a) the expiration, termination or discharge, for any reason except Lessor’s breach, of this Agreement or any other Operative Document, (b) the termination or cancellation of the leasing of the Aircraft hereunder, (c) the repudiation by Lessee or Lessor of this Agreement, (d) the Expiry Date and (e) any breach by Lessee or Lessor of the terms of this Agreement or any other Operative Document. 16.14 Counterparts This Agreement may be executed in one or more counterparts, each of which shall constitute an original and, when taken together, all of which shall constitute one and the same Agreement. 16.15 English Language All documents delivered to Lessor pursuant to this Agreement shall be in English or, if not in English, shall be accompanied by a certified English translation. If there is any inconsistency between the English version of this Agreement and any version in any other language, the English version shall prevail. 16.16 Further Assurances Lessee shall promptly and duly execute and deliver to Lessor such further documents and assurances and take such further action as Lessor may from time to time reasonably request in order to carry out more effectively the intent and purpose of the Operative Documents and to establish and protect Owner's title to the Aircraft, the Security Interest of any Financing Party, the interests of any Transferee and Lessor's rights and remedies created or intended to be created under the Operative Documents. 16.17 Confidentiality Neither Lessor nor Lessee shall, without the other's prior written consent, communicate or disclose the terms of the Operative Documents or any information or documents furnished pursuant to the Operative Documents (except to the extent that the same are within the public domain) to any third party (other than, in each case only to the extent necessary, Owner, Servicer, any Affiliate of Lessor, any Financing Party, any prospective Transferee, any material investor in Lessee or creditor of Lessee, any Head Lessor, the respective external legal advisors, auditors, other professional advisors, insurance brokers or underwriters of Owner, Servicer, Lessor, Lessee and any of the other aforementioned Persons, and the Airframe Manufacturer and Engine Manufacturer, so long as in each case such Person is subject to a duty of confidentiality or maintains a practice of confidentiality consistent with the terms of this Section 16.17); provided, that disclosure shall be permitted, to the extent required: (a) pursuant to an order of any court of competent jurisdiction;


 
79 (b) pursuant to any procedure for discovery of documents in any proceedings before any such court; (c) by Applicable Law; (d) for enforcement by either party hereto of its rights and remedies under the Operative Documents; or (e) in order to perfect any assignment of any assignable warranties. [signature page follows]


 
80 IN WITNESS WHEREOF Lessor and Lessee have executed this Aircraft Lease Agreement on the date shown at the beginning of this Agreement. Electra Airways OOD By:________________________________ Name: Title:


 
81 CASP LEASING I, LLC By: Contrail Aviation Support, LLC – Manager ________________________________ By: Joseph G. Kuhn Title: CEO


 
82 Schedule 1 – Description of Aircraft Part 1 - Aircraft Specification IDENTIFICATION Aircraft Model: AIRBUS MODEL A321-111 Serial Number: [*******] Date of Manufacture: 7th December 1999 WEIGHT DATA Maximum Taxi Weight: 89,400 kgs Maximum Takeoff Weight: 89,000 kgs Maximum Landing Weight: 75,500 kgs Maximum Zero Fuel Weight: 71,500 kgs CONFIGURATION Passenger Seats Types: Recaro BL3520 ENGINES Manufacturer CFM International, Inc. Model CFM56-5B1/P Serial Nos: [*******] and [*******] APU Manufacturer: APIC Model: APS 3200 Serial No: [*******]


 
83 Schedule 1 – Description Of Aircraft Part 2 - Aircraft Documents Individual Aircraft and Engine Records: AIRCRAFT CERTIFICATES • Copy of Certificate of Airworthiness - latest issue • Copy of Current Aircraft Registration • Copy of Noise Certificate (included in Aircraft Flight Manual) • Certificate of Airworthiness for Export • Certificate of deregistration (end of lease) • Copy of the Radio License • Copy of the burn certificates (other than pax seats) AIRCRAFT MAINTENANCE STATUS • Certified current Time in Service (Flight Hours & Cycles) status covering Aircraft, Engines, APU and Landing Gear • Certified Aircraft Maintenance History. • Certified status of Airframe/Appliances Airworthiness Directives & supporting Dirty Fingerprint file • Certified Minor/Major Modification status & supporting Dirty Fingerprint file • Certified Engineering Order status & supporting Dirty Fingerprint file • Copy of All Supplemental Type Certificates, approvals and supporting data (not limited to ICA, Supplements, Drawings) applied to the aircraft. • Certified inventory of installed Hard-Time Components & supporting Dirty Fingerprint file • Certified inventory of installed OCCM equipment & supporting Dirty Fingerprint file for component installed during final 24 months of the Lease Term • Certified Summary of the approved maintenance program/ Last Done Next Due (including all MPD, SSI, CPCP, CMR and ALI applicable tasks) & supporting Dirty Fingerprint file • Certified Structural Repairs / Dent & Buckle status & supporting Dirty Fingerprint file • List of deferred maintenance items (if applicable) • Operator’s Accident and Incident Statement covering Aircraft, Engines, APU and Landing Gear • Operator’s Oil & Fluid Statement covering Aircraft, Engines, APU and Landing Gear. • Flight Data Recorder and Cockpit Voice Recorder Report • Aircraft Technical Logs • Copy of latest applicable LOPA, EEL and Loose Equipment List • Manufacturer Original Delivery Documentation • Certified Engine Maintenance/Movement History • Certified status of Airworthiness Directives of each Engine & supporting Dirty Fingerprint file • Certified status of Manufacturer Service Bulletin and Modification Status & supporting Dirty Fingerprint file


 
84 • Certified Engine LLP Listing of each Engine and back to birth traceability • Certified LRU listing of each engine & supporting Dirty Fingerprint file, if not already and well identified within Airframe OCCM listing • Certified status of the Manufacturer Service Bulletin and Modification Status of each Engine. • Condition Monitoring Report (last 3 months) of each Engine. • Certified Thrust Rating statement, if not included into the Engine Maintenance/Movement History • Certified Manufacturer Deviation Status/Statement listing any incorporated approved deviation from AMM/ESM • Manufacturer Original Delivery Documentation • Certified APU Maintenance/Movement History • Certified status of Airworthiness Directives of each Engine & supporting Dirty Fingerprint file • Certified status of Manufacturer Service Bulletin and Modification Status & supporting Dirty Fingerprint file • Certified LLP Listings for APU and back to birth traceability. • Certified LRU listing of each engine & supporting Dirty Fingerprint file, if not already and well identified within Airframe OCCM listing • Manufacturer Original Delivery Documentation. • Certified Landing Gear Maintenance/Movement History for each Landing Gear • Certified LLP Listings for each Landing Gear and back to birth traceability • Aircraft Original Manufacturer Records MAINTENANCE RECORDS • Copies of all C Check packages performed • A Checks - Last complete cycle of A-Checks • C Checks - Last complete cycle of C-Checks • All Shop Visit Report(s) of each Engine, not limited to Engine Shop Release Minipack • Last Weight Report • Last Compass Swing Report • Last Borescope Report and a video copy (if available) of each Engine • Last Engine Ground Run / MPA Run • All Shop Visit Report (OH) of each Landing Gear • Last APU Borescope Inspection Report and video (if available) • All APU Shop Visit Report MANUALS • Equipment List and CDL • WDM updated Weight and Balance Manual including Supplement • Airplane Flight Manual, updated to latest revision standard • Flight Crew Operating Manual • Emergency Equipment Location • Aircraft Minimum to latest revision standard (soft copy or CD Rom acceptable)


 
85 • Aircraft Maintenance Manual updated to latest revision standard (soft copy or CD Rom acceptable) • IPC updated to latest revision standard (soft copy or CD Rom acceptable) • SSM (Schematics) updated to latest revision standard (soft copy or CD Rom acceptable) • SRM updated to latest revision standard (soft copy or CD Rom acceptable) • Copy of latest Airframe Manufacturer MPD and Lessee approved Aircraft Maintenance Program • Galleys Component Maintenance Manuals


 
86 Schedule 2 – Delivery Conditions Th Aircraft will satisfy the Delivery Conditions set forth below. The Aircraft will otherwise be in “as is, where is, with all faults” condition and in passenger service with Lessee at the time of Delivery. The Aircraft will be in the same condition as the condition in which it is delivered to Lessor under the Purchase Agreement. 1. The Aircraft will have a valid Certificate of Airworthiness. 2. The Aircraft will have a valid Certificate of Release to Service. 3. The Aircraft will have the Aircraft Documents listed in Schedule 1. 4. The Aircraft interior will be configured as per current configuration. 5. The Aircraft will be in compliance with all Type Design and EASA (if different from Type Design) Airworthiness Directives that by their terms require compliance on the Delivery Date. 6. The Aircraft will be in compliance with all applicable EASA requirements for passenger operation as a transport category commercial Aircraft including EU-OPS 1 and Part M. 7. Each Engine will be serviceable. 8. The APU will be serviceable. 9. Landing Gear will be serviceable. 10. The seats installed in the Aircraft on delivery do not form part of the Aircraft leased to Lessee under this Agreement.


 
87 Schedule 3 – Return Conditions 1. The Aircraft will be returned by Lessee to Lessor in at least as good of operating condition, ordinary wear and tear excepted, as on the Delivery Date. At the time of Return, the Aircraft will conform to the following standards: (a) The Aircraft will have a valid Certificate of Release to Service and be serviceable with all Engines (as applicable, except to the extent the provisions of Section 8.20 apply), Parts, and systems fully functional and operating within AMM limits. (b) All defects, pilot reports and deferred maintenance items due within a period of 30 days, 50 Flight Hours and 10 Cycles after the Scheduled Expiry Date shall have been cleared on a terminating action basis. The Aircraft shall (i) be free of dents or damage in excess of Manufacturer’s limitations and (ii) have no loose, missing or pulled fasteners. Temporary repairs are permitted, any repeat inspections will be cleared for a period of 30 days, 50 Flight Hours and 10 Cycles after the Scheduled Expiry Date. (c) The Aircraft shall be free of fluid leaks in excess of AMM limits. (d) The Aircraft will be clean inside and outside and serviceable by international commercial airline standards. (e) All galleys and lavatories shall be clean and will be serviceable in accordance with the AMM. (f) The Aircraft Documents will be acceptable to Lessor and in the English language. (g) The Aircraft will be redelivered with no seats installed. (h) Lessee shall have accomplished on the Aircraft after removal from active service all maintenance due per the MPD and/or the Approved Maintenance Program, including component, parts and emergency equipment on the Scheduled Expiry Date and cleared for a period of 30 days, 50 Flight Hours and 10 Cycles after the Scheduled Expiry Date. (i) The Aircraft will be in compliance with all EASA Airworthiness Directives that by their terms require compliance on the Scheduled Expiry Date and are cleared for a period of 30 days, 50 Flight Hours and 10 Cycles after the Scheduled Expiry Date. (j) The Aircraft will be in compliance with all applicable EASA requirements for passenger operation as a transport category commercial Aircraft including EU- OPS 1 and Part M. (k) The Aircraft will have a valid ARC and an Export Certificate of Airworthiness, or such other form of documentation for the export of aircraft used by the current state of registration. (l) The Aircraft paint shall be as-is.


 
88 (m) The MTOW of the Aircraft will be the same as on the Delivery Date. (n) The Landing Gear shall be serviceable. (o) All Airframe hard-time and life-limited components installed on the Aircraft will have an EASA Form One, FAA Form 8130-3 or equivalent and be cleared for a period of 30 days, 50 Flight Hours and 10 Cycles after the Scheduled Expiry Date. The documentation for hard-time and life-limited components will also confirm, in accordance with the Aviation Authority’s requirements, the history and hours/cycles since new of those components. All on-condition and condition- monitored components changed during the Term will be serviceable and those changed during the final 24 month of Term will have an EASA Form One, FAA Form 8130-3 or equivalent. (p) The APU will be serviceable. (q) All Parts shall be serviceable or appropriately deferred. There will be no deferred defects due for a period of 30 days, 50 Flight Hours and 10 Cycles after the Scheduled Expiry Date. 2. Additional Return Requirements: (a) Lessor's Final Inspection. (i) Immediately prior to the end of the Term, Lessor will, at Lessor’s cost, perform an inspection (the “Return Inspection”) of the Aircraft to determine satisfactory compliance with the Return Conditions. (ii) The Return Inspection will be a walk-around physical inspection of the Aircraft and will also include (i) a review of the Aircraft Documents, (ii) Engine external inspections including nacelle structures and thrust reversers and (iii) all other inspections determined by Lessor to be necessary to confirm conformance with the Return Conditions, with inspection access limited to the opening of quick access /servicing panels only. For the avoidance of doubt, Lessor will not be entitled to carry out any borescope inspections or MPA runs as part of the Return Inspection, and there shall be no redelivery acceptance flight. (iii) After the satisfactory completion of the Return Inspection, Lessor will execute an initial technical return certificate substantially in the form of Exhibit E to confirm that the Aircraft and Aircraft Documents are in the Return Condition and meet all requirements for Return, and that the Aircraft will be deemed to be satisfactorily redelivered to Lessor immediately following completion of the inspections in (iv) below, regardless of their outcome. (iv) Following execution of the initial technical return certificate, Lessee will perform a full borescope inspection and perform a maximum power assurance (MPA) run on all Engines at Lessee’s cost.


 
89 (v) Once the borescope inspection and MPA runs are completed, Lessor will immediately issue a final Return Certificate substantially in the form of Exhibit F, regardless of the serviceability of the Engines, or any findings resulting from the borescope inspection or MPA runs. (b) Rectification and Non-Compliance. To the extent that, on the date on which Return is scheduled, the Aircraft and Aircraft Documents do not comply with the return condition set forth in this Schedule 3, then (a) Lessee shall rectify the non- compliance as quickly as possible, (b) the Term shall be extended until the date on which the non-compliance has been rectified and the Aircraft has been returned to Lessor in the condition set forth in this Schedule 3, (c) during such extension of the Term, Lessee shall not operate the Aircraft and (d) during such extension of the Term, Lessee shall pay Basic Rent weekly in advance, on a per diem basis, at a rate that is (i) the Basic Rent Amount (as in effect immediately prior to the date on which Return is scheduled) for the first 30 days; (ii) 120% of the Basic Rent Amount for days 31 through 60; and (iii) 150% of the Basic Rent Amount for day 61 and thereafter.


 
90 Schedule 4 – Insurance Requirements 1. The Insurances required to be maintained are as follows: (a) HULL "ALL RISKS" of loss or damage while flying and on the ground with respect to the Aircraft for the Agreed Value and with a deductible not exceeding the Hull Insurance Deductible; (b) HULL WAR AND ALLIED PERILS, covering those war risks excluded from the Hull "All Risks" Policy to the extent such coverage is available in the leading international insurance markets, including coverage for confiscation and requisition by the State of Registration, for the Agreed Value (with form LSW555D exclusions being acceptable except to the extent that coverage in respect of such exclusions is commercially available in the leading international insurance markets); (c) "ALL RISKS" AVIATION SPARES INSURANCE (INCLUDING WAR AND ALLIED RISK except when on the ground or in transit other than by air or sea) on all Engines and Parts when not installed on the Aircraft (to the extent not covered under the Aircraft hull insurances described in paragraphs (a) and (b) above), including Engine test and running risks, in an amount equal to replacement value; and (d) AIRCRAFT THIRD PARTY, BODILY INJURY/PROPERTY DAMAGE, PASSENGER, BAGGAGE, CARGO AND MAIL AND AIRLINE GENERAL THIRD PARTY (INCLUDING PRODUCTS) LEGAL LIABILITY for a combined single limit (Bodily Injury/Property Damage) of an amount not less than the Minimum Liability Coverage for the time being in respect of any one occurrence (but, in respect of products liability, this limit may be an aggregate limit for any and all losses occurring during the currency of the policy, and in respect of liability arising out of personal injury, the limit (within the said combined single limit) may be $25,000,000 in respect of any one offence and in the aggregate, and cargo and mail legal liability may be subject to a limit of $1,000,000 any one occurrence); War and Allied Risks are also to be covered under the Policy to the extent available in the leading international insurance markets. The Minimum Liability Coverage may be adjusted upwards from time to time by agreement to such an amount as reasonably requested by Lessor. If Lessee disputes these amounts, the matter can be determined by consulting with three different internationally recognized insurance brokers as to what the industry standard may be at the time and taking the average of the responses provided by those three brokers. 2. All required hull and spares insurance specified in Sections 1(a), 1(b) and 1(c) above, so far as it relates to the Aircraft, shall: (a) provide that any loss shall be settled with Lessee (who shall in any such case consult in advance with Lessor in regard thereto), and any claim that becomes payable on the basis of a Total Loss shall be paid in Dollars to Lessor (unless or until Lessor notifies Lessee that said payments should be made to a Financing Party) as loss payee up to the Agreed Value, and loss proceeds in excess of the Agreed Value shall be payable to Lessee, with any other claim being payable as may be necessary for the repair of the damage to which it relates; (b) if separate Hull "All Risks" and "War Risks" insurances are arranged, include a 50/50 provision in the terms of Lloyd's endorsement AVS103 or its equivalent; and


 
91 (c) confirm that the Insurers are not entitled to replace the Aircraft in the event of a Total Loss. 3. All required hull insurance specified in Sections 1(a) and 1(b) above, so far as it relates to the Aircraft, shall provide that at any time while an engine, other than an Engine, is installed on the Aircraft either (i) the Agreed Value shall automatically be increased by the agreed value of such engine or (ii) separate hull insurance on such engine shall attach, so that, in each case, Lessor shall receive the full Agreed Value in the event of a Total Loss, notwithstanding any amount that would be payable to the owner of such engine in connection with such Total Loss. 4. All required liability insurances specified in Section 1(d) above shall: (a) include the Indemnitees as additional insureds for their respective rights and interests, but the coverage provided shall not include claims arising out of their legal liability as manufacturer, repairer or servicing agent of the Aircraft or any Engine or Part; (b) include a severability of interest clause; (c) contain a provision confirming that the policy is primary without right of contribution and that the liability of the insurers shall not be affected by any other insurance of which any Indemnitee or Lessee have the benefit; and (d) accept and insure the indemnity provisions of this Agreement to the extent of the risks covered by the relevant policy or policies. 5. All Insurances specified in Sections 1(a) through (d) above shall: (a) be in accordance with normal industry practice of Persons operating similar aircraft in similar circumstances; (b) provide coverage on a worldwide basis subject to those territorial exclusions which are usual and customary for airlines similarly situated as Lessee, and in the case of War Risks and Allied Perils coverage which are advised to and approved by Lessor, such approval not to be unreasonably withheld; (c) acknowledge that the insurers are aware that the Aircraft is owned by Lessor and is subject to this Agreement; (d) provide that, in relation to the interests of each of the additional insureds, the Insurances shall not be invalidated by any act or omission of the Insured which results in a breach of any terms, conditions or warranty of the policies; (e) provide that the Insurers shall waive any rights of recourse and/or subrogation against each additional insured to the same extent that Lessee has waived or has no rights of recovery against such additional insured in the Lease; (f) provide that the additional insureds shall have no obligation or responsibility for the payment of any premiums (but reserve the right to pay the same should any of them elect to do so) and that the Insurers shall waive any right of offset or counterclaim against the respective additional insureds other than for outstanding premiums in respect of the Aircraft, any Engine or Part;


 
92 (g) provide that, except in the case of any provision for cancellation or automatic termination specified in the policies or endorsements thereof, the Insurances can only be canceled or materially altered in a manner adverse to the additional insureds by giving at least 30 days written notice to Lessor and each Financing Party, except in the case of war risks, for which seven days written notice shall be given; and (h) include a services of suit clause. 6. Where any provision of this Schedule 4 conflicts with the provisions of the airline finance/lease contract endorsements AVN 67C, AVN 67C (Hull War), and AVN 99 (Tail Cover Continuing Liability) or any successor endorsements, the provisions of AVN 67C, AVN 67C (Hull War) and AVN 99 (Tail Cover Continuing Liability), respectively, or any successor endorsements shall apply to the exclusion of the provisions of this Schedule 4. For purposes of each of AVN 67C, AVN 67C (Hull War), and AVN 99 (Tail Cover Continuing Liability), the "Designated Contract Party" shall be Lessor or such other Person as Lessor may designate from time to time. If AVN 67C is not accepted by Lessee's insurers, after being requested by Lessee, Lessee shall maintain the Insurances so as to incorporate the terms and conditions of AVN 67B and all references in this Agreement to AVN 67C (other than the reference in Section 9.6(a) of this Agreement) shall be construed as references to AVN 67B. 7. All Reinsurances shall: (a) be on the same terms as the Insurances and shall include the provisions of this Schedule; (b) provide that, notwithstanding any bankruptcy, insolvency, liquidation, dissolution or similar proceedings of or affecting the reinsured, the reinsurers' liability shall be to make such payment as would have fallen due under the relevant policy of reinsurance if the reinsured had (immediately before such bankruptcy, insolvency, liquidation, dissolution or similar proceedings) discharged its obligations in full under the original insurance policies in respect of which the relevant policy of reinsurance has been effected; and (c) contain a "cut-through" clause in the following form (or such other form as is reasonably satisfactory to Lessor): "The Reinsurers and the Reinsured hereby agree that in the event of any valid claim arising hereunder, the Reinsurers shall in lieu of payment to the Reinsured, its successors in interest and assigns, pay to the party identified as loss payee under the original insurance effected by the Insured that portion of any loss due for which the Reinsurers would otherwise be liable to pay the Reinsured (subject to proof of loss), it being understood and agreed that any such payment by the Reinsurers shall fully discharge and release the Reinsurers from any and all further liability in connection therewith. To provide for payment to be made notwithstanding (a) any bankruptcy, insolvency, liquidation or dissolution of the Reinsured and/or (b) the fact that the Reinsured has made no payment under the original insurances. The Reinsurers reserve the right to set off against any claim payable under the Reinsurance policy in accordance with this Clause any outstanding premiums (applicable to the Equipment involved in the Loss) covered by the original


 
93 insurance. Such set off shall first be applied to any financial interest of the Insured in the Equipment involved. If Reinsurers exercise their right to set off any outstanding premium, upon subsequent receipt by Reinsurers of such outstanding premium, Reinsurers hereby agree to refund the set off premium to the Contract Party(ies). Any payment due under this Clause shall not contravene any law, statute or decree of the Government of Lessee's jurisdiction." 8. For insurance coverage that includes the AVN 67C endorsement (or the substantive equivalent), the Contract Parties (and their respective addresses) and the Contracts that should be identified in the insurance/reinsurance certificates are set forth in the Notice and Acknowledgment. 9. Any certificates or undertakings issued by any insurance broker in connection with the Insurances shall accurately evidence the Insurances and shall not contain any waivers or disclaimers of liability in respect of the information contained in such certificates or undertakings.


 
94 Schedule 5 – Principal Economic Terms Agreed Value $[*******] Airframe 6Y Additional Rent Rate $[*******] per month, as adjusted from time to time pursuant to Section 5.4(b). Airframe 12Y Additional Rent Rate $[*******] per month as adjusted from time to time pursuant to Section 5.4(b). APU Additional Rent Rate $[*******] per APU Hour, as adjusted from time to time pursuant to Section 5.4(b). Basic Rent Amount $[*******] per Rental Period. Commitment Fee $[*******] Damage Notification Threshold $[*******] Engine Additional Rent Rate $[*******] per Flight Hour, as adjusted from time to time pursuant to Section 5.4(b) and which shall be determined monthly as set forth in the table immediately below. Flight Hour/Cycle Proposed Rate 1.0 $[*******] 1.5 $[*******] 2.0 $[*******] 2.5 $[*******] 3.0 $[*******] 3.5 $[*******] Engine LLP Additional Rent Rate $[*******] per Cycle operated by such Engine as adjusted from time to time pursuant to Section 5.4(b). Hull Insurance Deductible $[*******] Landing Gear Additional Rent Rate $[*******] per month, as adjusted from time to time pursuant to Section 5.4(b). Minimum Liability Coverage $750,000,000 each occurrence.


 
95 Table of Basic Rent Payments The amounts set out below for the period from 1 January 2024 to 31 July 2024 are notional payments only and are stated here only for the purposes of adjustments to be made under the Purchase Agreement. 1-Jan-24 $[*******] 1-Feb-24 $[*******] 1-Mar-24 $[*******] 1-Apr-24 $[*******] 1-May-24 $[*******] 1-June-24 $[*******] 1-July-24 $[*******] Rental Period Month Basic Rent Amount 1 Aug 2024 $[*******] 2 Sep 2024 $[*******] 3 Oct 2024 $[*******] 4 Nov 2024 $[*******] 5 Dec 2024 $[*******] 6 Jan 2025 $[*******] 7 Feb 2025 $[*******] 8 Mar 2025 $[*******] 9 Apr 2025 $[*******] 10 May 2025 $[*******] 11 Jun 2025 $[*******] 12 Jul 2025 $[*******] 13 Aug 2025 $[*******] 14 Sep 2025 $[*******] 15 Oct 2025 $[*******] 16 Nov 2025 $[*******] 17 Dec 2025 $[*******] 18 Jan 2026 $[*******] 19 Feb 2026 $[*******] 20 Mar 2026 $[*******] 21 Apr 2026 $[*******] 22 May 2026 $[*******] 23 Jun 2026 $[*******] 24 Jul 2026 $[*******] 25 Aug 2026 $[*******] 26 Sep 2026 $[*******] 27 Oct 2026 $[*******]


 
96 28 Nov 2026 $[*******] 29 Dec 2026 $[*******] 30 Jan 2027 $[*******] 31 Feb 2027 $[*******] 32 Mar 2027 $[*******] 33 Apr 2027 $[*******] 34 May 2027 $[*******] 35 Jun 2027 $[*******] 36 Jul 2027 $[*******] 37 Aug 2027 $[*******] 38 Sep 2027 $[*******] 39 Oct 2027 $[*******] 40 Nov 2027 $[*******] 41 Dec 2027 $[*******]


 
97 Schedule 6 – Representations and Warranties Part A - Representations and Warranties of Lessee (a) Status: Lessee is a limited liability company duly organized, validly existing and in good standing under the laws of the State of Organization, has the corporate power to own its assets and carry on its business as it is being conducted, is (or shall at the relevant time be) the holder of all necessary air transportation licenses required in connection therewith and with the use and operation of the Aircraft, and is an international airline for Bulgarian VAT purposes; (b) Power and Authority: Lessee has the power to enter into and perform, and has taken all necessary corporate action to authorize the entry into, performance and delivery of, each of the Operative Documents and the transactions contemplated by the Operative Documents; (c) Execution and Delivery: Lessee has duly executed and delivered this Agreement, and on or before Delivery shall have duly executed and delivered each of the Operative Documents to which Lessee is a party; (d) Legal Validity: each of the Operative Documents to which Lessee is a party constitutes Lessee's legal, valid and binding agreement, enforceable against Lessee in accordance with its terms subject to bankruptcy, insolvency and other laws affecting creditor's rights generally; (e) Non-conflict: the entry into and performance by Lessee of, and the transactions contemplated by, the Operative Documents to which Lessee is a party do not and shall not: (iii) conflict with any Applicable Law binding on Lessee; (iv) conflict with the constitutional documents of Lessee; or (v) conflict with or result in default under any document which is binding upon Lessee or any of its assets, or result in the creation of any Security Interest over any of its assets, other than Permitted Liens; (f) Authorization: all authorizations, consents and registrations required by, and all notifications to be given by, Lessee in connection with the entry into, performance, validity and enforceability of, the Operative Documents and the transactions contemplated by the Operative Documents have been (or shall on or before Delivery have been) obtained, effected, applied for or given (as appropriate) and are (or shall on their being obtained or effected be) in full force and effect; (g) No Immunity: (i) Lessee is subject to civil and commercial law with respect to its obligations under the Operative Documents; and


 
98 (ii) neither Lessee nor any of its assets is entitled to any right of immunity and the entry into and performance of the Operative Documents by Lessee constitute private and commercial acts; (h) Financial Statements: the audited financial statements of Lessee and its Subsidiaries most recently delivered to Lessor: (i) have been prepared in accordance with the Accounting Standard; and (ii) fairly present the consolidated financial condition of Lessee and its Subsidiaries as at the date to which they were drawn up and the consolidated results of operations of Lessee and its Subsidiaries for the periods covered by such statements; (i) Prohibited Countries: Lessee does not hold a contract or other obligation to, and does not, operate the Aircraft to, from or in any Excluded Geographic Area nor any Prohibited Country in violation of Sanctions or in a manner that would cause Lessor, Owner, Servicer or Financing Parties to breach Sanctions; (j) Prohibited Persons: neither Lessee nor any Affiliate of Lessee, nor any of Lessee's or Affiliate of Lessee's officers, directors, managers, or employees is: (i) a Prohibited Person; or (ii) owned (whether in whole or in part) or controlled by or acting directly or indirectly on behalf of or for the benefit of a Prohibited Person. (k) Pari Passu: the obligations of Lessee under the Operative Documents rank at least pari passu with all other present and future unsecured and unsubordinated obligations (including contingent obligations) of Lessee, with the exception of such obligations as are mandatorily preferred by law and not by virtue of any contract; (l) Choice of Law: the choice by Lessee of the laws of the State of New York to govern this Agreement as set out in Section 15.1 and the submission by Lessee to the non-exclusive jurisdiction of the courts as set out in Section 15.2 are valid and binding; and (m) Allowances: Lessee acknowledges that it is not the owner of the Aircraft, and Lessee has not claimed and shall not claim any capital or depreciation allowances in respect of the Aircraft. (n) No Default: (i) no Default has occurred and is continuing or might reasonably be expected to result from the entry into or performance of any of the Operative Documents; and (ii) no event has occurred and is continuing that constitutes, or with the giving of notice, lapse of time, determination of materiality or fulfillment of any other applicable condition, or any combination of the foregoing, might constitute, a material default under any document that is binding on Lessee or any assets of Lessee.


 
99 (o) Registration: (i) it is not necessary or advisable under the laws of the State of Organization, the State of Registration or the Habitual Base in order to ensure the validity, effectiveness and enforceability of the Operative Documents or to establish, create, perfect or protect the respective interests of Owner, Lessor or any Financing Party in the Aircraft that any instrument relating to the Operative Documents, other than the instruments referred to in Schedule 7, Part A, letter (e)/Filings and Registrations, be filed, registered or recorded or that any other action be taken or, if any such filings, registrations, recordings or other actions are necessary, the same have been effected or shall have been effected on or before Delivery; and (ii) under all Applicable Law, including the laws of the State of Organization, the State of Registration and the Habitual Base, the respective interests of Owner, Lessor and any Financing Party in the Aircraft have been or will be as soon as possible after the Delivery be fully established, created, perfected and protected and this Agreement shall have priority in all respects over the claims of all creditors of Lessee, with the exception of such claims as are mandatorily preferred by law and not by virtue of any contract. (p) Litigation: no litigation, arbitration or administrative proceedings are pending or, to Lessee's knowledge, threatened against Lessee that, if adversely determined, could reasonably be expected to have a material adverse effect on the financial condition of Lessee or on the ability of Lessee to perform its obligations under the Operative Documents; (q) Taxes: Lessee has delivered all necessary returns and payments due to all tax authorities having jurisdiction over Lessee, including those in the State of Organization, the State of Registration and the Habitual Base; (r) Material Adverse Change: no material adverse change in the financial condition of Lessee or in the ability of Lessee to perform its obligations under the Operative Documents has occurred since the date of the financial statements most recently provided to Lessor on or before the Delivery Date; (s) Information: the financial and other information furnished by Lessee in connection with the Operative Documents does not contain any untrue statement of material fact or omit to state any fact the omission of which makes the statements therein, in light of the circumstances under which they were made, materially misleading, and does not omit to disclose any material matter. All forecasts and opinions contained in the financial and other information furnished by Lessee in connection with the Operative Documents were honestly made on reasonable grounds after due and careful inquiry by Lessee; and (t) Air Traffic Control: Lessee is not in default in the payment of any sums due by Lessee to any ATC/Airport Authority in respect of any aircraft operated by Lessee. (u) EUROCONTROL: Lessee is not in default in the payment of any sums due by Lessee to the European Organisation for the Safety of Air Navigation (EUROCONROL) in respect of any aircraft operated by Lessee.


 
100 (v) EU-ETS: Lessee is in continuous compliance with with any and all obligations to the extent such are applicable to its operations in respect of both (i) EU Directive EC/2008/101 regarding the European Union Emissions Trading Scheme and its application to aviation and all amendments and related implementing legislation (EU-ETS Legislation); and (ii) ICAO Assembly Resolution A.39-3 introducing the Carbon Offsetting and Reduction Scheme for International Aviation, Annex 16 – Environmental Protection Volume IV, the Environmental Technical Manual - Volume IV, and all related implementation elements, amendments, and implementing measures (CORSIA Instruments). Lessee shall ensure that Lessee and any sublessee, as applicable (and not Lessor or Owner) is notified to the relevant authorities as being the operator of the Aircraft whenever applicable in connection with the EU-ETS Legislation and/or the CORSIA Instruments.


 
101 Part B - Representations and Warranties of Lessor (a) Status: Lessor is duly formed and validly existing under the laws of the United States of America and has the corporate power to own its assets and carry on its business as it is being conducted; (b) Power and Authority: Lessor has the power and authority to enter into and perform, and has taken all necessary corporate action to authorize the entry into, performance and delivery of, the Operative Documents and the transactions contemplated by the Operative Documents; (c) Enforceability: each of the Operative Documents constitutes Lessor's legal, valid and binding agreement, enforceable against Lessor in accordance with its terms subject to bankruptcy, insolvency and other laws affecting creditor's rights generally; (d) Non-conflict: the entry into and performance by Lessor of, and the transactions contemplated by, the Operative Documents do not and shall not: (i) conflict with any Applicable Law binding on Lessor; (ii) conflict with the organizational documents of Lessor; or (iii) conflict with or result in a default under any document that is binding upon Lessor or any of its assets; (e) Authorization: so far as concerns the obligations of Lessor, all authorizations, consents, registrations and notifications required in connection with the entry into, performance, validity and enforceability of, and the transactions contemplated by, the Operative Documents by Lessor have been (or shall on or before Delivery have been) obtained or effected (as appropriate) and are (or shall on their being obtained or effected be) in full force and effect; (f) No Immunity: (i) Lessor is subject to civil and commercial law with respect to its obligations under the Operative Documents; and (ii) neither Lessor nor any of its assets is entitled to any right of immunity and the entry into and performance of the Operative Documents by Lessor constitute private and commercial acts; and (g) Right to Lease: on the Delivery Date, Lessor shall have the right to lease the Aircraft to Lessee under this Agreement.


 
102 Schedule 7 – Conditions Precedent Part A - Documentary Conditions Precedent of Lessor (a) Constitutional Documents: a copy of the constitutional documents of Lessee, together with an English translation thereof; (b) Resolutions: a true copy of a resolution of the general meeting of the shareholders (or the equivalent) of Lessee approving the terms of, and the transactions contemplated by, the Operative Documents to which it is a party, resolving that it enter into the Operative Documents to which it is a party, and authorizing a specified individual or individuals to execute the Operative Documents to which it is a party and accept delivery of the Aircraft on its behalf; (c) Operative Documents: a copy of each of the Operative Documents, duly executed and, if necessary, notarized by Lessee, including the chattel paper original counterpart of this Agreement; (d) Approvals: evidence of the issuance of, or the application for, each approval, license and consent which may be required in relation to, or in connection with, the performance by Lessee of its obligations under the Operative Documents, including evidence that the Aircraft has been released for "free circulation" within the European Union under the European customs code; (e) Filings and Registrations: evidence that an application for approval of this Agreement has been filed with the Aviation Authority , the Aircraft has been validly registered under the laws of the State of Registration and that all filings, registrations, recordings and other actions (including the registration of any "international interest" in accordance with the Cape Town Convention, if applicable) have been taken or made that are necessary or advisable to ensure the validity, effectiveness and enforceability of the Operative Documents and to protect the respective title and interests of Owner and Lessor in the Aircraft and the Operative Documents, and, in particular: (i) an application for approval of this Agreement submitted to the Aviation Authority evidencing that this Agreement has been filed for approval with the Aviation Authority; (ii) an application submitted to the Aviation Authority for issuance of new certificate of registration (удостоверение за регистрация) of the Aircraft for the purposes of evidencing the Lessor as an Owner of the Aircraft; (iii) an application submitted to the Aviation Authority for issuance of new aircraft station license (разрешително за радиостанции на въздухоплавателно средство) for the purposes of evidencing the Lessor as an Owner of the Aircraft. (f) IDERA: if the Cape Town Convention has been brought into force or made applicable in the State of Registration or any country where Lessee is "situated" for purposes of the Cape Town Convention, an IDERA;


 
103 (g) Licenses: copies of Lessee's air transport license, air operator's certificate and all other licenses, certificates and permits required by Lessee in relation to, or in connection with, the operation of the Aircraft; (h) Certificate: a certificate of a duly authorized officer of Lessee: (iii) setting out a specimen of each signature of an officer of Lessee referred to in (b) above; and (iv) certifying that each copy of a document specified in Section (a) and (b) above is correct, complete and in full force and effect; (i) Insurances: certificates of insurance, certificates of reinsurance, insurance brokers' undertakings and reinsurance broker's undertakings, in each case reasonably satisfactory to Lessor, to demonstrating compliance with the provisions of this Agreement as to insurances on and after Delivery; (j) ATC/Airport Authority Letters: letters from Lessee substantially in the form of Exhibit G of the present Agreement and addressed to any ATC/Airport Authority designated by Lessor pursuant to which Lessee authorizes such authority to issue to Lessor, upon Lessor's request from time to time, a statement of account of all sums due by Lessee to such authority in respect of the Aircraft; (k) EUROCONTROL Letter: letter from Lessee substantially in the form of Exhibit H of the present Agreement and addressed to the European Organisation for the Safety of Air Navigation (EUROCONTROL) pursuant to which Lessee authorizes EUROCONTROL to issue to Lessor, upon Lessor's request from time to time, a statement of account of all sums due by Lessee to EUROCONTROL in respect of all aircraft (including the Aircraft) operated by Lessee; (l) EU-ETS Letters: letters from Lessee substantially in the form of Exhibit I of the present Agreement and addressed to any and/or all governmental entities in the European Union charged with administering any EU ETS Legislation as defined in Schedule 6, item (v) of this Agreement and designated by Lessor pursuant to which Lessee authorizes such government entities to issue to Lessor, upon Lessor's request from time to time, a statement of account of all sums due by Lessee to such authority and, in particular, any obligations due from but unperformed by the Lessee under the EU ETS legislation. (m) Acceptance by Process Agent: a letter from the process agent appointed by Lessee pursuant to Section 15.4(a) accepting its appointment; (n) Approved Maintenance Program: a copy of the Approved Maintenance Program; and (o) General: such other documents as Lessor may reasonably request, provided that Lessor gives reasonable time to Lessee to produce such documents.


 
104 Part B - Other Conditions Precedent of Lessor (a) Representations and Warranties: the representations and warranties of Lessee under Schedule 6 Part A are correct and would be correct if repeated on Delivery; (b) Change of Laws: no change shall have occurred after the date of this Agreement in any Applicable Law or in the interpretation thereof that would make it illegal for Lessee to perform any of its obligations under this Agreement or any of the other Operative Documents to which it is a party or would make any Operative Document unenforceable in whole or in part; (c) Payments: all payments due to Lessor under this Agreement on or before Delivery, including the Basic Rent due on the Delivery Date and the Commitment Fee (to be paid by Purchaser deducting this amount from the purchase price due to Seller under the Purchase Agreement), shall have been received by Lessor; (d) Purchase Agreement: the Aircraft shall be tendered for delivery by Seller under and in accordance with the Purchase Agreement and all conditions precedent under the Purchase Agreement to be satisfied by Seller have been either satisfied or waived/deferred by Purchaser; and (e) Title: Seller shall have transferred good and marketable title to the Aircraft to Lessor free and clear of all Security Interests, except for this Agreement or except as provided for in the Purchase Agreement. Part C - Documentary Conditions Precedent of Lessee (a) Constitutional Documents: a copy of the constitutional documents of Lessor, together with an English translation thereof; (b) Resolutions: a true copy of a resolution of the board of directors (or the equivalent) of Lessor approving the terms of, and the transactions contemplated by, the Operative Documents to which it is a party, resolving that it enter into the Operative Documents to which it is a party, and authorizing a specified individual or individuals to execute the Operative Documents to which it is a party and tender delivery of the Aircraft on its behalf; (c) Operative Documents: a copy of each of the Operative Documents, duly executed and, if necessary, notarized by Lessor, including the chattel paper original counterpart of this Agreement; (d) Approvals: evidence of the issuance of each approval, license and consent which may be required in relation to, or in connection with, the performance by Lessor of its obligations under the Operative Documents; (e) Certificate: a certificate of a duly authorized officer of Lessor: (i) setting out a specimen of each signature of an officer of Lessor referred to in (b) above; and


 
105 (ii) certifying that each copy of a document specified in Section (a) and (b) above is correct, complete and in full force and effect; (f) Acceptance by Process Agent: a letter from the process agent appointed by Lessor pursuant to Section 15.4(a) accepting its appointment; (g) Lessor Tax Residency: A copy of a certificate of tax residency confirming that Lessor is resident in U.S.A. for tax purposes. (h) Quiet enjoyment undertaking: If applicable, an undertaking of quiet enjoyment to Lessee in substantially the same terms as Lessor’s covenant set out in Section 7.1 from any Financing Party holding title to or a Security Interest over the Aircraft or this Agreement. (i) General: such other documents as Lessee may reasonably request, provided that Lessee gives reasonable time to Lessor to produce such documents.


 
106 Exhibit A – Form of Certificate of Acceptance Certificate of Acceptance This Certificate of Acceptance is delivered on the date set forth in paragraph 1 below by Electra Airways OOD ("Lessee") to CASP Leasing I, LLC ("Lessor") pursuant to Lease Agreement [*******], dated [______], 2024, between Lessor and Lessee (the "Agreement"). Capitalized terms used but not defined in this Certificate of Acceptance shall have the meaning given to such terms in the Agreement. 1. Details of Acceptance. Lessee hereby confirms to Lessor that Lessee has at [__] G.M.T. on this [__] day of [__] 2024, at [__], accepted the following, in accordance with the provisions of the Agreement. (a) one Airbus Model A321-111 airframe, bearing manufacturer's serial number [*******] and Bulgarian registration mark [*******]; (b) two CFM International, Inc. Model / CFM56-5B1P engines, bearing manufacturer's serial numbers [*******] and [*******]; (c) all Parts installed on, attached to or appurtenant to the Airframe and Engines; and (d) the Aircraft Documents. 2. Lessee's Confirmation. Lessee confirms to Lessor that as of the time indicated above: (a) Lessee's representations and warranties contained in Sections 2.1 and 2.2 of the Agreement are hereby repeated; (b) the Aircraft is insured as required by the Agreement; and (c) there have been affixed to the Aircraft and the Engines the fireproof notices required by the Agreement. 3. Lessor's Confirmation. Lessor confirms to Lessee that, as of the time indicated above, Lessor's representations and warranties contained in Section 2.3 of the Agreement are hereby repeated. 4. Lease Information. Lessor and Lessee agree and confirm the following as of the date of this Certificate of Acceptance: (a) the date of this Certificate of Acceptance is the "Delivery Date" for purposes of the Agreement; and (b) the Additional Rent rates as of the Delivery Date are as follows: (i) Airframe Additional Rent Rate: $[__] per [__]; (ii) Engine Additional Rent Rate: $[__] per [__]; (iii) Engine LLP Additional Rent Rate: $[__] per [__];


 
107 (iv) Landing Gear Additional Rent Rate: $[__] per [__]; and (v) APU Additional Rent Rate: $[__] per [__]. * * *


 
108 IN WITNESS WHEREOF Lessor and Lessee have executed this Certificate of Acceptance on the date set forth in paragraph 1 of this Certificate of Acceptance. SIGNED on behalf of Electra Airways OOD By:_________________________ Name: Title: SIGNED on behalf of CASP Leasing I, LLC By: Contrail Aviation Support, LLC - Manager _________________________ By: Joseph G. Kuhn Title: CEO


 
109 Exhibit B – Form of Certificate of Delivery Condition Certificate of Delivery Condition This Certificate of Delivery Condition is delivered on [__], 2024 by Electra Airways OOD (the "Lessee") to CASP Leasing I, LLC ("Lessor") pursuant to Lease Agreement [*******], dated [____], 2024, between Lessor and Lessee (the "Agreement"). Capitalized terms used but not defined in this Certificate of Delivery Condition shall have the meaning given to such terms in the Agreement. 1. Aircraft Technical Acceptance. Lessee hereby confirms to Lessor that, for purposes of the Agreement, Lessee technically accepts the Airbus Model A321-111 airframe bearing manufacturer's serial number [*******] and Bulgarian registration mark [*******], together with the two CFM International, Inc. Model CFM56-5B1/P aircraft engines bearing manufacturer's serial numbers [*******] and [*******], all Parts installed on, attached to or appurtenant to the Airframe and Engines, as set forth on Annexes 4 and 6, and the Aircraft Documents, as set forth on Annex 5, and Lessor and Lessee agree that the information set forth in Annexes 1 and 3 for such Airframe, Engines and Parts is correct. 2. Correction of Discrepancies. Lessor and Lessee agree that the items (if any) listed on the attached Annex 2 (the "Discrepancies") shall be corrected as set forth on the attached Annex 2. 3. Confirmation of Delivery Condition and Estoppel. Lessee agrees and confirms to Lessor that as of the date hereof: (a) the Aircraft and Aircraft Documents comply in all respects with the condition required at Delivery under Schedule 2 of the Agreement, except for the Discrepancies (if any), and Lessee is hereby estopped from claiming later to the contrary; and (b) Lessor is, and Lessee acknowledges that Lessor is, relying upon the foregoing agreements and confirmations in delivering the Aircraft and Aircraft Documents to Lessee. IN WITNESS WHEREOF Lessor and Lessee have executed this Certificate of Delivery Condition on the date set forth at the beginning of this Certificate. SIGNED on behalf of Electra Airways OOD By:________________________ Name: Title: SIGNED on behalf of CASP Leasing I, LLC By: Contrail Aviation Support, LLC - Manager _ _______________________ By: Joseph G. Kuhn Title: CEO


 
110 ANNEX 1 STATUS OF AIRCRAFT AIRFRAME: Date Hours Cycles Current: Last "C" Check: Last Airframe 6Y Structural Check: Last Airframe 12 Structural Check: ENGINES: Position/ Serial Number Current Last Shop /Visit: Hours Cycles Date Hours Cycles 1. 2. APU: Current Last Overhaul: Serial Number Hours Cycles Date Hours Cycles LANDING GEAR: Current Last Overhaul: Position Serial Number Hours Cycles Date Hours Cycles Nose: Right Main: Left Main: Fuel on board at Delivery: [__] (circle one) pounds /kilograms ([__]) gallons)


 
111 ANNEX 2 DISCREPANCIES Description of Discrepancy Agreed Corrective Action 1. 1. 2. 2.


 
112 ANNEX 3 ENGINE LLPs Part Description Cycles for Engine [esn1] Cycles for Engine [esn2]


 
113 ANNEX 4 LOOSE EQUIPMENT AND ACCESSORIES [TO BE INSERTED BY TECHNICAL REPRESENTATIVE]


 
114 ANNEX 5 AIRCRAFT DOCUMENTS [TO BE INSERTED BY TECHNICAL REPRESENTATIVE]


 
115 ANNEX 6 AIRCRAFT STATUS – AVIONICS INVENTORY [TO BE INSERTED BY TECHNICAL REPRESENTATIVE]


 
116 Exhibit C – Form of Deregistration Power of Attorney Irrevocable Power of Attorney С настоящото неотменимо пълномощно, „Електра Еъруейс“ ООД, дружество, учредено и съществуващо според законите на Република България, вписано в българския Търговски регистър и регистър на юридическите лица с нестопанска цел с единен идентификационен код (ЕИК) 203506186, със седалище и адрес на управление: бул. „Александър Малинов“ № 51, етаж 3, офис А2-3, район „Младост“, София 1712, Република България, представлявано от Стефан Трифонов Трифонов, ЕГН 6703240444, в качеството на управител и законен представител (заедно със своите правоприемници, наричано тук и по-долу „Лизингополучател“), с настоящото определя и упълномощава [ИМЕ НА ЛИЗИНГОДАТЕЛЯ], дружество, учредено и съществуващо според законите на [ЮРИСДИКЦИЯ НА ЛИЗИНГОДАТЕЛЯ], вписано в [РЕГИСТЪР НА ЛИЗИНГОДАТЕЛЯ], със седалище и адрес на управление [адрес на Лизингодателя] („Лизингодател“), действащ самостоятелно и без упълномощаване от което и да е друго лице, като истинен и законен пълномощник на Лизингополучателя, като Лизингодателят има право да извършва всяко едно от посочените по-долу действия от името на и за сметка на Лизингополучателя по отношение на въздухоплавателно средство Еърбъс, модел 321-111, сериен номер на производителя (MSN) [*******], регистрационен знак [*******], включително двигателите и която и да е и всички части, монтирани на или принадлежащи към корпуса на въздухоплавателното средство (наричани заедно „Въздухоплавателно средство“), отдадено под формата на лизинг от Лизингодателя по силата на договор за лизинг [msn] от дата [дата на лизинга] между Лизингодателя и Лизингополучателя („Лизинг“) By this Irrevocable Power of Attorney, Electra Airways OOD, a company incorporated and existing under the laws of the Republic of Bulgaria, registered with the Bulgarian Commercial Register and Register of Non- Profit Legal Entities with unified identification code (UIC) 203506186 and having its registered office at 51, Alexander Malinov Boulevard, floor 3, office A2-3, Mladost District, Sofia 1712, Republic of Bulgaria, represented by Stefan Trifonov Trifonov, Personal number 6703240444, in the capacity as managing director and legal representative (together with its successors and assigns, hereinafter referred to as the "Lessee"), hereby irrevocably nominates and appoints [NAME OF LESSOR], a company incorporated and existing under the laws of [LESSOR’S JURISDICTION], registered with [LESSOR’S COMPANY REGISTER] with registration number [LESSOR’S REGISTRATION NUMBER] having its principal place of business at [Address of Lessor] ("Lessor"), acting alone and without the authorization of any other person, to be Lessee's true and lawful attorney-in-fact so that Lessor may take any of the following actions in the name of and for Lessee with respect to the aircraft Airbus Model 321-111 airframe bearing manufacturer's serial no. (MSN) [*******] and [__] registration mark [*******], including the engines and any and all parts installed on or appurtenant to such airframe (collectively, the "Aircraft"), leased by Lessor to Lessee pursuant to Lease Agreement [msn], dated [date of Lease], between Lessor and Lessee (the "Lease"):


 
117 1. При упражняване на правата на Лизингодателя по Лизинга да си възстанови владението на Въздухоплавателното средство от Лизингополучателя след прекратяване на Лизинга поради Случай на неизпълнение или поради друга причина, Лизингодателят има право да предприема всички действия и да упражни от името и за сметка на Лизингополучателя и да подписва каквито и да е и всякакви документи, заявления и инструенти, които може да се изискват по което и да е време, за да (a) осъществи връщане на владението на Въздухоплавателното средство на Лизингодателя, (б) осъществи дерегистрацията на Въздухоплавателното средство от регистъра на гражданските въздухоплавателни средства, поддържан от Главна дирекция „Гражданска въздухоплавателна администрация“ при българското Министерство на транспорта и съобщенията („Гражданска въздухоплавателна администрация“), (в) получи който и да е документ (независимо дали с естеството на експортен лиценз, удостоверение за въздухоплавателна годност за експорт и други), които се изисквата с цел отмяна на регистрацията на Въздухоплавателното средство при Гражданската въздухоплавателна администрация и/или осигуряване на износа на Въздухоплавателното средство от Република България и (г) износ на Въздухоплавателното средство след изтичането на Лизинга. 1. In the exercise of the rights of Lessor under the Lease to recover the Aircraft from Lessee after termination of the Lease due to an Event of Default under the Lease or for termination of the Lease for any other reason, Lessor may take all action, and may execute in Lessee's name and for and on behalf of Lessee any and all documents, applications and instruments, that may at any time be required in order to (a) cause the Aircraft to be repossessed by Lessor, (b) cause the Aircraft to be deregistered from the register of aircraft maintained by the Directorate General “Civil Aviation Administration” with the Bulgarian Ministry of Transport and Communications (the "Civil Aviation Administration"), (c) obtain any document (whether in the nature of an export license, certificate of airworthiness for export or otherwise) that is required for the purpose of canceling the registration of the Aircraft with the Civil Aviation Administration and/or securing the export of the Aircraft from the Republic of Bulgaria and (d) export the Aircraft after the expiration of the Lease. 2. По силата на Лизинга Лизингополучателят поддържа застраховка и презастраховка, покриваща Въздухоплавателното средство срещу всички рискове и риск от война и Лизингодателят е посочен като бенефициер по такива застрахователни и презастрахователни полици в случай случай на пълна загуба или конструктивна пълна загуба на Въздухоплавателното средство, в случай на вреда по Въздухоплавателното средство на стойност, надвишаваща 100 000 щатски 2. Pursuant to the Lease, Lessee is maintaining all risk hull and war risk insurance and reinsurance covering the Aircraft, and Lessor has been named loss payee on such insurance and reinsurance policies in the event of a total loss or constructive total loss of the Aircraft, in the event of damage to the Aircraft in excess of $100,000 or in the event of damage to the Aircraft while an "Event of Default" under the Lease has occurred and is continuing. Lessor may take all action, and may execute in Lessee's name and for and on behalf of Lessee any and all documents,


 
118 долара или в случай на вреда по самолета, докато е настъпил и продължава да е налице случай на неизпълнение по Лизинга. Лизингодателят има право да предприема всички действия и да подписва от името на Лизингополучателя който и да е всички документи, заявления и инструменти, включително да подписва от името на Лизингополучателя подходяща форма на освобождаване от отговорност, която може да се изисква по което и да е време, с цел Лизингодателят да получава застрахователни постъпления или да коригира или да урежда каквато и да е претенция по такива застрахователни полици. applications and instruments, including executing on behalf of Lessee an appropriate form of discharge and release, that may at any time be required in order for Lessor to collect such insurance proceeds or to adjust or settle any claim under such insurance policies. 3. При упражняване на правата, посочени в параграфи 1 и 2 по-горе, Лизингодателят има право да предприема всякакви такива други действия и да подписва всякакви такива други документи, каквито Лизингодотелят счете за необходими или уместни по негова абсолютна самостоятелна преценка. Във връзка с такива документи или във връзка с които и да е регистрации или завеждания, на които такива документи са предмет, Лизингодателят има право да представлява Лизингополучателя предмет и да подава който и да е такъв документ, заявление или инструмент пред които и да е компетентни органи, държавни институции и агенции (включително, но не само Гражданска въздухоплавателна администрация), както е необходимо, с цел постигане на горецитираните цели. 3. In the exercise of the rights listed in paragraphs 1 and 2, Lessor may take all such other actions and sign all such other documents as Lessor considers necessary or appropriate in its absolute sole discretion. In connection with such documents, or in connection with any registrations or filings to which such documents are subject, Lessor may represent Lessee before and submit any such document, application or instrument to any applicable authorities, government department and agencies (including without limitation, the Civil Aviation Authority) as shall be necessary to achieve the aforementioned purposes. 4. Лизингополучателят по всяко време ще обезщетява Лизингодателя за всички разходи, претенции, разноски и задължения, които са законосъобразно и разумно поети от Лизингодателя във връзка с това неотменимо пълномощно и, при поискване, ще ратифицира и потвърждава всичко, което Лизингодателят е извършил или е подсигурил да се 4. Lessee shall at all times indemnify Lessor against all costs, claims, expenses and liabilities lawfully and reasonably incurred by such Lessor in connection with this Irrevocable Power of Attorney and, upon request, shall ratify and confirm whatever Lessor reasonably does or causes to be done by virtue of this Irrevocable Power of Attorney.


 
119 извърши по силата на това неотменимо пълномощно. 5. С настоящото Лизингополучателят предоставя на Лизингополучателя пълните правомощия и овластяване да преупълномощава и да определя на свое място един или повече пълномощник (ци), които да упражняват вместо него като пълномощник (ци) на Лизингополучателя което и да е и всички правомощия и овластявания, предоставени на Лизингодателя по силата на това неотменимо пълномощно и да оттегля което и да е такова преупълномощаване по което и да е време и да преупълномощава или овластява който и да е друг или други такива пълномощник или пълномощници на мястото на такъв пълномощник или пълномощници, каквито Лизингодателят по което и да е време прецени за уместни. 5. Lessee hereby grants to Lessor the full power and authority to substitute and appoint in its place one or more attorney or attorneys to exercise for it as attorney or attorneys of Lessee any or all the powers and authorities conferred on Lessor by this Irrevocable Power of Attorney, and to revoke any such appointment from time to time and to substitute or appoint any other or others in the place of such attorney or attorneys, all as Lessor shall from time to time deem appropriate. Което и да е физическо лице, юридическо лице, търговско дружество, институция, орган или агенция, което се осланя на това неотменимо пълномощно, не трябва и няма да прави каквото и да е определяне или да изисква каквото и да е съдебно решение за това дали е настъпил „Случай на неизпълнение“ по лизинга или дали Лизингът е бил прекратен. С настоящото Лизингополучателят се отказва от каквито и да било претенции срещу (i) което и да е лице, което действа по инструкциите дадени от Лизингодателя или от определено от него лице по силата на това неотменимо пълномощно или (ii) което и да е лице, което е определено от Лизингодателя, или служител на Лизингодателя, да дава инструкции по това неотменимо пълномощно. Лизингополучателят ще обезщетява и ще пази от увреждане което и да лице, юридическо лице, търговско дружество, институция, орган или агенция, която действа, като се позовава на това неотменимо пълномощно и по силата на инструкции, дадени от Лизингодателя или от определено от него лице. Any person, legal entity, company, institution, authority or agency relying upon this Irrevocable Power of Attorney need not and shall not make any determination or require any court judgment as to whether an "Event of Default" has occurred under the Lease or whether the Lease has been terminated. Lessee hereby waives any claims against (i) any person acting on the instructions given by Lessor or its designee pursuant to this Irrevocable Power of Attorney and (ii) any person designated by Lessor or an officer of Lessor to give instructions pursuant to this Irrevocable Power of Attorney. Lessee shall indemnify and hold harmless any person, legal entity, company, institution, authority or agency that may act in reliance upon this Irrevocable Power of Attorney and pursuant to instructions given by Lessor or its designee.


 
120 Това неотменимо пълномощно се издава като обезпечение от Лизингополучателя за изпълнението на неговите задължения по Лизинга. Това неотменимо пълномощно е неотменимо и съчетано с правен интерес. С настоящото Лизингополучателят декларира, гарантира и се задължава, че това неотменимо пълномощно е предоставено неотменимо на Лизингодателя и конституира законосъобразно, действително и неометимо задължения, което е изпълняемо срещу Лизингополучателя в съответствие с неговите условия. This Irrevocable Power of Attorney is given as security by Lessee for the performance of its obligations under the Lease. This Irrevocable Power of Attorney is irrevocable and coupled with an interest. Lessee hereby represents, warrants and covenants that this Irrevocable Power of Attorney is irrevocably granted to Lessor, and constitutes the legal, valid and irrevocably binding obligation of Lessee, enforceable against Lessee in accordance with its terms. Това неотменимо пълномощно се подчинява на законодателството на [_]. This Irrevocable Power of Attorney shall be governed by the laws of [__]. В ПОТВЪРЖДЕНИЕ НА ГОРНОТО, „ЕЛЕКТРА ЕЪРУЕЙС“ ООД подписва и предоставя това неотменимо пълномощно на [__] 2024г. IN WITNESS WHEREOF, Electra Airways OOD has executed and delivered this Irrevocable Power of Attorney this [__] day of [__] 20[__]. „Електра Еъруейс“ ООД / Еlectra Airways OOD От/By:________________________ Име/Name: Качество/Title:


 
121 Exhibit D – Form of Monthly Utilization and Status Report Monthly Aircraft Utilization & Status Report Month Ending [__] Lessee: [__] Contact Name: [__] Contact Phone: [__]; E-mail [__] A/C TYPE: A/C SERIAL #: REGIS. #: CALENDAR HOURS (1) CYCLES AIRCRAFT TOTAL FLIGHT HOURS AND CYCLES AT START OF THIS MONTH (TT/TC) AIRCRAFT FLIGHT HOURS AND CYCLES FLOWN DURING THIS MONTH ----- AIRCRAFT TOTAL FLIGHT HOURS AND CYCLES AT END OF THIS MONTH (TT/TC) DATE / HOURS / CYCLES @ ACCOMP OF LAST C CHECK OR SIMILAR CHECK INTERVALS FOR C CHECK OR SIMILAR CHECK DATE/HOURS/CYCLES AT LAST 8 YR, 10 YR, or 12 YR CHECK ----- ----- ----- TYPE OF CHECK 8, 10, OR 12 YEAR: ENGINE TYPE: ENG SERIAL #: THRUST RATING (Lbs): CURRENT LOCATION (A/C & Position, In Shop, Spare, etc) See Note (2): IF IN SHOP, NAME OF SHOP: CALENDAR HOURS (1) CYCLES ENGINE FLIGHT HOURS AND CYCLES AT START OF THIS MONTH (TT/TC) ENGINE FLIGHT HOURS & CYCLES FLOWN DURING THIS MONTH ENGINE FLIGHT HOURS AND CYCLES AT END OF THIS MONTH (TT/TC) ENG. LIMITER NAME & CYCLES REMAINING -"Fan Disk" or "LPT various" etc.): ENGINE DATE, FLIGHT HOURS, CYCLES AT LAST SHOP VISIT ENGINE DATE OF NEXT PLANNED REMOVAL CURRENT LOCATION (A/C & Position, In Shop, Spare, etc.) See Note (2): ----- ----- ENGINE TYPE: ENG SERIAL #: THRUST RATING (Lbs): CURRENT LOCATION (A/C & Position, In Shop, Spare, etc) See Note (2): IF IN SHOP, NAME OF SHOP: CALENDAR HOURS (1) CYCLES ENGINE FLIGHT HOURS AND CYCLES AT START OF THIS MONTH (TT/TC) ENGINE FLIGHT HOURS & CYCLES FLOWN DURING THIS MONTH


 
122 ENGINE FLIGHT HOURS AND CYCLES AT END OF THIS MONTH (TT/TC) ENG. LIMITER NAME & CYCLES REMAINING -"Fan Disk" or "LPT various" etc.): ENGINE DATE, FLIGHT HOURS, CYCLES AT LAST SHOP VISIT ENGINE DATE OF NEXT PLANNED REMOVAL CURRENT LOCATION (A/C & Position, In Shop, Spare, etc) See Note (2): ----- ----- APU MFR: APU MODEL: ORIGINALLY DELIVERED APU SERIAL NUMBER CURRENTLY INSTALLED APU SERIAL NUMBER (If not original) Is APU utilization is reported in APU or Airframe Flight hours as required under the lease: HOURS (1) CYCLES TOTAL HOURS AND CYCLES AT START OF THIS MONTH (TT/TC)(Original APU Only) HOURS & CYCLES USED DURING THIS MONTH (Original APU Only) TOTAL HOURS AND CYCLES AT END OF THIS MONTH (TT/TC)(Original APU Only) ENGINE DATE, FLIGHT HOURS, CYCLES AT LAST SHOP VISIT NOTE: PROVIDE MONTHLY UTILIZATION FOR ORIGINAL APU ONLY LANDING GEAR CALENDAR HOURS (1) CYCLES NOSE GEAR FLIGHT HRS & CYCLES DURING THIS MONTH ----- SERIAL # GEAR DATE ,FLIGHT HOURS, CYCLES AT LAST OVH ____________ A/C DATE, FLIGHT HOURS, CYCLES AT LAST INSTALL OVERHAUL INTERVAL ----- LH MAIN GEAR FLIGHT HRS & CYCLES DURING THIS MONTH ----- SERIAL # GEAR DATE ,FLIGHT HOURS, CYCLES AT LAST OVH ____________ A/C DATE, FLIGHT HOURS, CYCLES AT LAST INSTALL OVERHAUL INTERVAL ----- RH MAIN GEAR FLIGHT HRS & CYCLES DURING THIS MONTH ----- SERIAL # GEAR DATE ,FLIGHT HOURS, CYCLES AT LAST OVH ____________ A/C DATE, FLIGHT HOURS, CYCLES AT LAST INSTALL OVERHAUL INTERVAL ----- # 1 THRUST REVERSER TR SERIAL # ORIGINAL POSITION CURRENT LOCATION (A/C & Position, In Shop, Spare, etc) IF IN SHOP, NAME OF SHOP: DATE HOURS (1) CYCLES AIRFRAME FLIGHT HOURS & CYCLES FLOWN DURING THIS MONTH -----


 
123 AIRFRAME TOTAL FLIGHT HOURS & CYCLES AT LAST TR INSTALL. ----- DATE, FLIGHT HOURS, CYCLES AT LAST OVERHAUL ----- # 2 THRUST REVERSER TR SERIAL # ORIGINAL POSITION CURRENT LOCATION (A/C & Position, In Shop, Spare, etc) IF IN SHOP, NAME OF SHOP: DATE HOURS (1) CYCLES AIRFRAME FLIGHT HOURS & CYCLES FLOWN DURING THIS MONTH ----- AIRFRAME TOTAL FLIGHT HOURS & CYCLES AT LAST TR INSTALL. ----- DATE, FLIGHT HOURS, CYCLES AT LAST OVERHAUL ----- Notes: (1) List Hours in Hours + Minutes format for this portion of the report where applicable. (2) Record Engine data for only the engines owned by Lessor whether or not installed on this aircraft. If this engine goes into the shop, provide TT, TC and date of removal. Also provide engine disk sheets & last workscope whenever an engine comes out of a shop visit. (3) Please advise any routine checks ("C" Type & above), A.D.'s and Service Bulletins performed during the month, as well as details of any repairs accomplished which were beyond SRM limits. . (4) Also advise any Airframe Maintenance Checks (C type & above), Engine scheduled shop visits or landing gear or APU overhauls or replacements scheduled to be performed within the next 12 months. (1) List Hours in Hours + Minutes format for this portion of the report where applicable.


 
124 Exhibit E – Form of Initial Technical Return Certificate Initial Technical Return Certificate This Initial Technical Return Certificate ("Technical Return Certificate") is delivered on the date set forth in paragraph 1 below by CASP Leasing I, LLC ("Lessor") to Electra Airways OOD ("Lessee") pursuant to the Aircraft Lease Agreement, dated [____] 2024, between Lessor and Lessee (the "Agreement"). Capitalized terms used but not defined in this Technical Return Certificate shall have the meanings given to such terms in the Agreement. Lessor hereby confirms to Lessee that Lessor has at [__] G.M.T. on this [__] day of [__] 2024, at [__], technically accepted the following: (a) one Airbus Model A321-111 airframe, bearing manufacturer's serial number [*******] and Bulgarian registration mark [*******]; (b) two CFM International, Inc. Model CFM56-5B1/P engines, bearing manufacturer's serial numbers [*******] and [*******]; and (c) all Parts installed on, attached to or appurtenant to the Airframe and Engines, as set forth on Annexes 3 and 5, and the Aircraft Documents, as set forth on Annex 4, and Lessor and Lessee agree that the information set forth in Annexes 1 and 2 for such Airframe, Engines and Parts is correct. Lessor and Lessee hereby confirm that on the date and time hereof the Aircraft, with the status described in Annex 1 hereto, was duly technically accepted by Lessor. IN WITNESS WHEREOF, the parties hereto have caused this Technical Return Certificate for MSN [*******] to be executed in their respective corporate names by their duly authorized representatives as of the day and year first above written. Electra Airways OOD CASP Leasing I, LLC (Lessee) (Lessor) By: Contrail Aviation Support, LLC - Manager By: ____________________ _______________________ Name: By: Joseph G. Kuhn Title: Title: CEO


 
125 ANNEX 1 STATUS OF AIRCRAFT AIRFRAME: Date Hours Cycles Current: Last "C" Check: Last [__] Check: Last [__] Check: ENGINES: Position/ Serial Number Current Last Shop /Visit: Hours Cycles Date Hours Cycles 1. 2. APU: Current Last Overhaul: Serial Number Hours Cycles Date Hours Cycles LANDING GEAR: Current Last Overhaul: Position Serial Number Hours Cycles Date Hours Cycles Nose: Right Main: Left Main: Fuel on board at Return: [__] (circle one) pounds /kilograms ([__]) gallons)


 
126 ANNEX 2 ENGINE LLPs Part Description Cycles for Engine [esn1] Cycles for Engine [esn2]


 
127 ANNEX 3 LOOSE EQUIPMENT AND ACCESSORIES [TO BE INSERTED BY TECHNICAL REPRESENTATIVE]


 
128 ANNEX 4 AIRCRAFT DOCUMENTS [TO BE INSERTED BY TECHNICAL REPRESENTATIVE]


 
129 ANNEX 5 AIRCRAFT STATUS – AVIONICS INVENTORY [TO BE INSERTED BY TECHNICAL REPRESENTATIVE]


 
130 Exhibit F – Form of Final Return Certificate Final Return Certificate This Final Return Certificate ("Return Certificate") is delivered on the date set forth in paragraph 1 below by CASP Leasing I, LLC ("Lessor") to Electra Airways OOD ("Lessee") pursuant to Aircraft Lease Agreement dated [_____] 2024, between Lessor and Lessee (the "Agreement"). Capitalized terms used but not defined in this Return Certificate shall have the meanings given to such terms in the Agreement. Lessor hereby confirms to Lessee that Lessor has at [__] G.M.T. on this [__] day of [__] 2024, at [__], accepted the following: (d) one Airbus Model A321-111 airframe, bearing manufacturer's serial number [*******] and Bulgarian registration mark [*******]; (e) two CFM International, Inc. Model CFM International, Inc. engines, bearing manufacturer's serial numbers [*******] and [*******]; and (f) all Parts installed on, attached to or appurtenant to the Airframe and Engines, as set forth on Annexes 3 and 5, and the Aircraft Documents, as set forth on Annex 4, and Lessor and Lessee agree that the information set forth in Annexes 1 and 2 for such Airframe, Engines and Parts is correct; and thereupon the leasing of such property under the Agreement was terminated. Lessor and Lessee hereby confirm that on the date and time hereof the Aircraft, with the status described in Annex 1 hereto, was duly accepted by Lessor. IN WITNESS WHEREOF, the parties hereto have caused this Return Certificate for MSN [*******] to be executed in their respective corporate names by their duly authorized representatives as of the day and year first above written. Electra Airways OOD CASP Leasing I, LLC (Lessee) (Lessor) By: Contrail Aviation Support, LLC - Manager By: ____________________ _______________________ Name: By: Joseph G. Kuhn Title: Title: CEO


 
131 ANNEX 1 STATUS OF AIRCRAFT AIRFRAME: Date Hours Cycles Current: Last "C" Check: Last [__] Check: Last [__] Check: ENGINES: Position/ Serial Number Current Last Shop /Visit: Hours Cycles Date Hours Cycles 1. 2. APU: Current Last Overhaul: Serial Number Hours Cycles Date Hours Cycles LANDING GEAR: Current Last Overhaul: Position Serial Number Hours Cycles Date Hours Cycles Nose: Right Main: Left Main: Fuel on board at Return: [__] (circle one) pounds /kilograms ([__]) gallons)


 
132 ANNEX 2 ENGINE LLPs Part Description Cycles for Engine [esn1] Cycles for Engine [esn2]


 
133 ANNEX 3 LOOSE EQUIPMENT AND ACCESSORIES [TO BE INSERTED BY TECHNICAL REPRESENTATIVE]


 
134 ANNEX 4 AIRCRAFT DOCUMENTS [TO BE INSERTED BY TECHNICAL REPRESENTATIVE]


 
135 ANNEX 5 AIRCRAFT STATUS – AVIONICS INVENTORY [TO BE INSERTED BY TECHNICAL REPRESENTATIVE]


 
136 Exhibit G – Form of ATC/Airport Authority Letter FROM: Electra Airways OOD, [address and company registration information] TO [ANY AIR TRAFFIC CONTROL AUTHORITY AS DESIGNATED BY LESSOR] ________________ 2024 Dear Sir/Madam, Authorization Letter One (1) Airbus Model A321-111 aircraft bearing manufacturer's serial number [*******] and Bulgarian registration mark [*******] (the “Aircraft”) We have leased the Aircraft in accordance with a lease agreement dated […] (as amended and novated from time to time) between us and CASP LEASING I, LLC, established under the laws of the State of Delaware, U.S.A. having its seat address at 435 Investment Court, Verona, Wisconsin 53593-8788, U.S.A (the “Lessor”). We hereby authorize you to provide the Lessor (hereby represented by […]) with a general statement of account in relation to air navigation charges incurred by us and due to the Air Traffic Control Authority. Access to the statement(s) of account will be provided in accordance with the procedures established by the Air Traffic Control Authority. The authorization contained in this letter may only be revoked or amended by a written instruction signed by us and the Lessor. Yours faithfully, ___________________________ For and on behalf of Electra Airways OOD Name: Title:


 
137 Exhibit H – Form of EUROCONTROL Letter FROM: Electra Airways OOD [address and company registration information] TO: EUROCONTROL Director CRCO Rue de la Fusée, 96, 1130 Brussels Belgium crco.cat.head@eurocontrol.int ________________ 2024 Dear Sir/Madam, Authorization Letter One (1) Airbus Model A321-111 aircraft bearing manufacturer's serial number [*******] and Bulgarian registration mark [*******] (the “Aircraft”) We have leased the Aircraft in accordance with a lease agreement dated […] (as amended and novated from time to time) between us and CASP LEASING I, LLC, established under the laws of the State of Delaware, U.S.A. having its seat address at 435 Investment Court, Verona, Wisconsin 53593-8788, U.S.A, U.S.A. (the “Lessor”). We hereby authorize you to provide the Lessor (hereby represented by […]) with a general statement of account in relation to air navigation charges incurred by us and due to EUROCONTROL. Access to the statement(s) of account will be provided in accordance with the procedures established by EUROCONTROL. The authorization contained in this letter may only be revoked or amended by a written instruction signed by us and the Lessor. Yours faithfully, ___________________________ For and on behalf of Electra Airways OOD Name: Title:


 
138 Exhibit I – Form of EU-ETS Letter FROM: Electra Airways OOD [address and company registration information] TO: [All governmental entities in the European Union charged with administering any EU ETS applicable to Lessee and the Aircraft] ________________ 2024 EMISSIONS TRADING SCHEMES AUTHORIZATION LETTER Dear Sir/Madam, Pursuant to a lease agreement dated […] (as amended and novated from time to time) between us (as “Lessee”) and CASP LEASING I, LLC, established under the laws of the State of Delaware, USA having its seat address at 435 Investment Court, Verona, Wisconsin 53593- 8788, U.S.A (as “Lessor”), we have leased one (1) Airbus Model A321-111 aircraft bearing manufacturer's serial number [*******] and Bulgarian registration mark [*******] (the “Aircraft”). We wish to enable the Lessor to monitor the performance by us of our obligations under the Emissions Trading Schemes established in the European Union (EU ETS). We hereby unconditionally authorise you, on request by the Lessor, from time to time, to provide the Lessor with particulars of any obligations due from but unperformed by us under the EU ETS. The authorization contained herein shall only be revoked or amended upon receipt by you of a written instruction signed by us and the Lessor requesting such revocation. Yours faithfully, ___________________________ For and on behalf of Electra Airways OOD Name: Title: 29654615v2


 
a104-aircraft2caspelectr
EXECUTION CERTAIN IDENTIFIED INFORMATION HAS BEEN EXCLUDED FROM THIS EXHIBIT BECAUSE IT IS BOTH (I) NOT MATERIAL AND (II) WOULD BE COMPETITIVELY HARMFUL IF PUBLICLY DISCLOSED. Aircraft Lease Agreement Airbus Model A320-214 aircraft manufacturer's serial number [*******] Dated August 29, 2024 CASP Leasing I, LLC Lessor Electra Airways OOD Lessee


 
TABLE OF CONTENTS Page 1. Definitions and Interpretation ........................................................................................... 1 1.1 Definitions ............................................................................................................ 1 1.2 Interpretation ...................................................................................................... 18 2. Representations and Warranties ................................................................................... 19 2.1 Lessee's Representations and Warranties ......................................................... 19 2.2 Repetition .......................................................................................................... 19 2.3 Lessor's Representations and Warranties .......................................................... 19 2.4 Repetition .......................................................................................................... 19 3. Conditions Precedent .................................................................................................... 19 3.1 Lessor's Documentary Conditions Precedent ..................................................... 19 3.2 Lessor's Other Conditions Precedent ................................................................. 19 3.3 Lessor's Waiver ................................................................................................. 19 3.4 Lessee's Conditions Precedent .......................................................................... 20 3.5 Lessee's Waiver ................................................................................................. 20 3.6 Post-Closing Matters .......................................................................................... 20 4. Commencement and Disclaimers .................................................................................. 20 4.1 Agreement to Lease ........................................................................................... 20 4.2 Delivery .............................................................................................................. 20 4.3 Delayed Delivery ................................................................................................ 21 4.4 Lessor’s Obligation to Purchase and Lease the Aircraft ..................................... 21 4.5 Acceptance and Risk ......................................................................................... 21 4.6 Exclusion ........................................................................................................... 22 4.7 Lessee's Waiver ................................................................................................. 22 4.8 Lessee's Confirmation ........................................................................................ 23 4.9 Conclusive Proof ................................................................................................ 23 5. Payments ...................................................................................................................... 23 5.1 Commitment Fee ............................................................................................... 23 5.2 Rental Periods ................................................................................................... 23 5.3 Basic Rent ......................................................................................................... 23 5.4 Additional Rent .................................................................................................. 24 5.5 Charged Moneys................................................................................................ 25 5.6 Payments ........................................................................................................... 25 5.7 Gross up ............................................................................................................ 26 5.8 Taxation ............................................................................................................. 26 5.9 Value Added Tax ............................................................................................... 27 5.10 Information ......................................................................................................... 27 5.11 Taxation of Indemnity Payments ........................................................................ 28 5.12 Default Interest .................................................................................................. 28 5.13 Contest .............................................................................................................. 28 5.14 Absolute ............................................................................................................. 29 6. Manufacturer's and Other Warranties ............................................................................ 30 6.1 Assignment ........................................................................................................ 30 6.2 Proceeds ........................................................................................................... 30 6.3 Parts .................................................................................................................. 31 6.4 Agreement ......................................................................................................... 31 6.5 Lessee Warranties ............................................................................................. 31 6.6 Final Maintenance Performer Warranties ........................................................... 31


 
6.7 Agreed Maintenance Performers ....................................................................... 31 7. Lessor's Covenants ....................................................................................................... 32 7.1 Quiet Enjoyment ................................................................................................ 32 7.2 Lessor's Maintenance Contribution .................................................................... 32 7.3 Registration ........................................................................................................ 37 7.4 Lessor's Obligations Following Termination ....................................................... 37 7.5 AD Cost Sharing ................................................................................................ 37 8. Lessee's Covenants ...................................................................................................... 38 8.1 Duration ............................................................................................................. 38 8.2 Information ......................................................................................................... 38 8.3 Operation of the Aircraft ..................................................................................... 39 8.4 Taxes and Other Charges .................................................................................. 41 8.5 Possession ........................................................................................................ 41 8.6 Inspection .......................................................................................................... 43 8.7 Protection of Title ............................................................................................... 43 8.8 Business of Lessee ............................................................................................ 45 8.9 Records ............................................................................................................. 46 8.10 Registration and Filings...................................................................................... 46 8.11 Maintenance and Repair .................................................................................... 47 8.12 Removal of Engines and Parts ........................................................................... 48 8.13 Installation of Engines and Parts ........................................................................ 49 8.14 Non-Installed Engines and Parts ........................................................................ 50 8.15 Pooling of Engines and Parts ............................................................................. 51 8.16 Equipment Changes .......................................................................................... 52 8.17 Title to Parts ....................................................................................................... 52 8.18 Third Parties ...................................................................................................... 53 8.19 Non-Discrimination ............................................................................................. 53 8.20 Unserviceable Engine Replacement .................................................................. 53 8.21 APU and Landing Gear Replacement ................................................................ 54 9. Insurance ...................................................................................................................... 54 9.1 Insurances ......................................................................................................... 54 9.2 Requirements .................................................................................................... 55 9.3 Insurance Covenants ......................................................................................... 55 9.4 Renewal of Insurances ...................................................................................... 56 9.5 Failure to Insure ................................................................................................. 57 9.6 Continuing Insurance for Indemnity .................................................................... 57 9.7 Application of Insurance Proceeds ..................................................................... 57 9.8 Aggregate Limits ................................................................................................ 58 9.9 Form LSW555D Exclusions ............................................................................... 58 10. Indemnity ....................................................................................................................... 59 10.1 General .............................................................................................................. 59 10.2 Mitigation ........................................................................................................... 60 11. Events Of Loss .............................................................................................................. 60 11.1 Total Loss Before Delivery ................................................................................. 60 11.2 Total Loss After Delivery .................................................................................... 61 11.3 Engine Loss ....................................................................................................... 61 11.4 Damage or Incident Not Constituting a Total Loss ............................................. 62 11.5 Requisition ......................................................................................................... 62 12. Return Of Aircraft .......................................................................................................... 63 13. Default ........................................................................................................................... 63 13.1 Events ................................................................................................................ 63


 
13.2 Default Payments............................................................................................... 68 13.3 Cape Town Convention Remedies ..................................................................... 68 13.4 Waiver of Certain Rights .................................................................................... 69 14. Assignment, Transfer and Financing ............................................................................. 69 14.1 No Assignment by Lessee ................................................................................. 69 14.2 Owner and/or Lessor Assignment ...................................................................... 69 14.3 Financing Parties; Grants of Security Interests .................................................. 71 14.4 Sale and Leaseback by Lessor .......................................................................... 72 14.5 Cooperation; Acknowledgment .......................................................................... 72 14.6 Certain Protections for Lessee's Benefit ............................................................. 73 14.7 Advance Consent under Cape Town Convention ............................................... 73 15. Governing Law and Jurisdiction ..................................................................................... 73 15.1 Governing Law ................................................................................................... 73 15.2 Consent to Jurisdiction ....................................................................................... 73 15.3 Waiver of Jury Trial ............................................................................................ 74 15.4 Service of Process ............................................................................................. 74 15.5 Disclaimer of Consequential Damages .............................................................. 74 16. Miscellaneous ................................................................................................................ 74 16.1 Waivers, Remedies Cumulative ......................................................................... 74 16.2 Delegation.......................................................................................................... 74 16.3 Appropriation ..................................................................................................... 75 16.4 Currency Indemnity ............................................................................................ 75 16.5 Payment by Lessor ............................................................................................ 75 16.6 Severability ........................................................................................................ 75 16.7 Remedy ............................................................................................................. 76 16.8 Expenses ........................................................................................................... 76 16.9 Time of Essence ................................................................................................ 76 16.10 Notices ............................................................................................................... 76 16.11 Sole and Entire Agreement ................................................................................ 77 16.12 Rights of Indemnitees ........................................................................................ 77 16.13 Survival .............................................................................................................. 78 16.14 Counterparts ...................................................................................................... 78 16.15 English Language .............................................................................................. 78 16.16 Further Assurances ............................................................................................ 78 16.17 Confidentiality .................................................................................................... 78 Schedule 1 – Description of Aircraft .......................................................................................... 82 Schedule 2 – Delivery Conditions.............................................................................................. 86 Schedule 3 – Return Conditions ................................................................................................ 87 Schedule 4 – Insurance Requirements ..................................................................................... 90 Schedule 5 – Principal Economic Terms ................................................................................... 94 Schedule 6 – Representations and Warranties ......................................................................... 97 Schedule 7 – Conditions Precedent ........................................................................................ 102 Exhibit A – Form of Certificate of Acceptance ......................................................................... 106 Exhibit B – Form of Certificate of Delivery Condition ............................................................... 109 Exhibit C – Form of Deregistration Power of Attorney ............................................................. 116 Exhibit D – Form of Monthly Utilization and Status Report ...................................................... 121 Exhibit E – Form of Initial Technical Return Certificate ............................................................ 124 Exhibit F – Form of Final Return Certificate ............................................................................. 130 Exhibit G – Form of ATC/Airport Authority Letter ..................................................................... 136 Exhibit H – Form of EUROCONTROL Letter ........................................................................... 137 Exhibit I – Form of EU-ETS Letter ........................................................................................... 138


 
1 This Aircraft Lease Agreement, dated August 29, 2024 (this "Agreement"), is between: (1) CASP Leasing I, LLC, a Delaware limited liability company, having its principal place of business at 435 Investment Court, Verona, Wisconsin 53593-8788, U.S.A. ("Lessor"), and (2) Electra Airways OOD, a company organized and existing under the laws of the Republic of Bulgaria, having its principal place of business at 51, Aleksander Malinov Blvd., Metrocity Office Building, 5th Floor, Office A7, 1217 Sofia, Bulgaria ("Lessee"). WHEREAS, Lessor wishes to lease the Aircraft to Lessee and Lessee agrees to lease the Aircraft from Lessor, upon and subject to the covenants, terms and conditions set out in this Agreement. NOW, THEREFORE, in consideration of the foregoing and for other good and valuable consideration the receipt and sufficiency of which are hereby acknowledged, Lessor and Lessee agree as follows: 1. Definitions and Interpretation 1.1 Definitions In this Agreement the following expressions shall, unless the context otherwise requires, have the following respective meanings: Accounting Standard at the option of Lessee, either (a) generally accepted accounting principles as in effect from time to time in the State of Organization or (b) International Financial Reporting Standards (IFRS) and, in both cases, subject to changes in such principles from time to time, consistently applied in accordance with the past practices of Lessee. Actual Cost as it applies to any maintenance work, rectification of discrepancies on the Aircraft, or replacement of an Engine, means the actual cost of replacement parts and/or the cost of labor associated with such work, rectification or replacement at Lessee's in-house labor rates (if the work is performed by Lessee) or at the actual third party costs charged to Lessee (if the work is performed by third parties) and such amount shall (a) exclude the cost of maintenance or repairs covered by warranty or insurance claims, late charges, mark ups, shipping and handling charges, interest, customs duties, exchange fees or other similar amounts and (b) be reduced by the value of any OEM support programs or vendor rebates received by Lessee. AD any airworthiness directive or consignes de navigabilité issued by EASA or the Aviation Authority and applicable to the Airframe, any Engine, any Part or the Aircraft Documents.


 
2 Additional Rent collectively, Airframe Additional Rent, APU Additional Rent, Engine Additional Rent, Engine LLP Additional Rent and Landing Gear Additional Rent. Affiliate in relation to any Person, any other Person controlled directly or indirectly by that Person, any other Person that controls directly or indirectly that Person or any other Person under common control with that Person. For purposes of this definition, "control" of any Person means the power (whether directly or indirectly) to direct or cause the direction of the management and policies of the applicable Person whether through the ownership of a majority of the voting power of such Person or by contract or otherwise. Agreed Maintenance Performer Lessee, Elektra Trans Global OOD or any other reputable Manufacturer, airline or maintenance organization that is (a) experienced in maintaining aircraft and/or engines of the same type as the Aircraft and the Engines, (b) duly certified under FAA FAR Part 145 and/or under EASA Part 145, (c) duly certified by the Aviation Authority and (d) not excluded by Lessor pursuant to Section 6.7. Agreed Value as set forth in Schedule 5. Aircraft the Airframe, Engines, Parts and Aircraft Documents, as further described in Parts 1 and 2 of Schedule 1 and the Certificate of Delivery Condition, collectively (which term may also mean, as the context requires, the Airframe, any Engine, any Part, the Aircraft Documents or any part thereof, individually). The passenger seats installed on the Aircraft at Delivery belong to the Lessee or its Affiliate, are not part of the Aircraft for the purposes of this definition, and will not be leased by Lessor to Lessee. Aircraft Documents the manuals, documentation, data and records identified in or pursuant to Part 2 of Schedule 1, any other manuals, documentation, data and records provided to Lessee at Delivery in connection with the Aircraft (as described in the Certificate of Delivery Condition) and all additions, renewals, revisions and replacements to any of the foregoing made from time to time during the Term in accordance with this Agreement. Airframe the airframe described in Part 1 of Schedule 1 and the Certificate of Delivery Condition together with all Parts from time to time relating thereto (except Engines or engines). Airframe 6Y Additional Rent as defined in Section 5.4(a).


 
3 Airframe 12Y Additional Rate as defined in Section 5.4(a). Airframe 6Y Additional Rent Rate as set forth in Schedule 5. Airframe 12Y Additional Rent Rate as set forth in Schedule 5. Airframe Manufacturer Airbus S.A.S. Airframe 6Y Reimbursable Expenses as defined in Section 7.2(a)(i). Airframe 12Y Reimbursable Expenses as defined in Section 7.2(a)(iii). Airframe 6Y Structural Check “6-Years” block maintenance check inclusive of all MPD systems, structural and zonal inspections to be performed (i) no later than every 6 years or 72 months or (ii) such longer period as may from time to time be an escalated interval under the MPD, out of phase tasks required for the calendar time, Flight Hours and Cycles since new or last completion of such tasks in accordance with the Approved Maintenance Program in effect on the date when such check is carried out. Airframe 12Y Structural Check “12-Years” block maintenance check inclusive of all MPD systems, structural and zonal inspections to be performed (i) no later than every 12 years or 144 months or (ii) such longer period as may from time to time be an escalated interval under the MPD, out of phase tasks required for the calendar time, Flight Hours and Cycles since new or last completion of such tasks in accordance with the Approved Maintenance Program in effect on the date when such check is carried out. AMM the Airframe Manufacturer's aircraft maintenance manual, as updated and modified from time to time. Applicable Law all applicable (a) laws, treaties and international agreements of any national government, (b) laws of any state, province, territory, locality or other political subdivision of a national government and (c) rules, regulations, judgments, decrees, orders, injunctions, writs, directives, licenses and permits of any Government Entity or arbitration authority. Approved Maintenance Program the maintenance program of Lessee approved by the Aviation Authority and based upon and in compliance with the Airframe Manufacturer's MPD and the Engine Manufacturer's MPD, as the same may be updated, amended and otherwise modified


 
4 from time to time in accordance with this Agreement, and which encompasses scheduled maintenance, condition monitored maintenance and/or on-condition maintenance of the Airframe, Engines and Parts, including servicing, testing, preventative maintenance, repairs, structural inspections, system checks, overhauls, approved modifications, service bulletins, engineering orders, ADs, corrosion control, inspections and treatments. APU (a) the auxiliary power unit listed in the Certificate of Delivery Condition at Delivery, (b) any and all Parts, so long as such Parts are incorporated in, installed on or attached to such auxiliary power unit or so long as title to such Parts is vested in Owner in accordance with the terms of Section 8.17(b) after removal from such auxiliary power unit and (c) insofar as the same belong to Owner, all substitutions, replacements or renewals from time to time made in or to such auxiliary power unit or to any of the Parts referred to in clause (b) above, as required or permitted under this Agreement. APU Additional Rent as defined in Section 5.4(a). APU Additional Rent Rate as set forth in Schedule 5. APU Basic Shop Visit any shop visit involving the disassembly, cleaning, inspection and repair of an APU which corrects the condition that caused the removal, accomplishes a minimum of a medium repair to the power section in accordance with the latest published revision of the Manufacturer's workscope planning guide, and provides for a minimum interval of continued operation greater than or equal to the Manufacturer's mean time between shop visits. APU Hour each hour or part thereof (rounded up to one decimal place) that the APU is operated, whether for aircraft operations or testing. APU Reimbursable Expenses as defined in Section 7.2(e)(i). ATC/Airport Authority any air traffic control authority (including Eurocontrol) and any airport authority with jurisdiction over any aircraft operated by Lessee or any sublessee. Aviation Authority any and all Government Entities that, under the laws of the State of Registration, from time to time (a) have control or supervision of civil aviation; or (b) have jurisdiction over the registration, airworthiness or operation of, or matters relating to, the Aircraft.


 
5 Basic Rent all amounts payable pursuant to Section 5.3. Basic Rent Amount as set forth in Schedule 5. Business Day a day (other than a Saturday or Sunday) on which business of the nature required by this Agreement is carried out in New York, New York and the city in which Lessee's office listed in Section 16.10(b) is located. C Check a “C” block maintenance check inclusive of MPD systems, structural and zonal inspections to be performed (i) no later than every 24 months and 7,500 Flight Hours and 5,000 Cycles or (ii) such longer period as may from time to time be an escalated interval under the MPD, out of tasks required for the calendar time, Flight Hours and Cycles since new or last completion of such tasks and all lower level multiple maintenance tasks in accordance with the Approved Maintenance Program in effect on the date such check is carried out. Cape Town Convention the Cape Town Convention on International Interests in Mobile Equipment and the Aircraft Equipment Protocol thereto. Certificate of Acceptance a certificate in the form attached as Exhibit A to be completed and executed by Lessor and Lessee at the time of Delivery. Certificate of Delivery Condition a certificate in the form attached as Exhibit B to be completed and executed by Lessor and Lessee at or prior to the time of Delivery. Commitment Fee as set forth in Schedule 5. CPCP Lessee's Corrosion Prevention and Control Program that is a part of the Approved Maintenance Program. Cycle one takeoff and landing of the Airframe or, in the case of an Engine, of the airframe on which such Engine is installed. Damage Notification Threshold as set forth in Schedule 5. Default any event which with the giving of notice, lapse of time, determination of materiality or fulfillment of other condition or any combination of the foregoing would constitute an Event of Default. Delivery the delivery of the Aircraft to Lessee in accordance with the terms of this Agreement. Delivery Date the date on which Delivery takes place, which shall be the Scheduled Delivery Date or such other date on which delivery


 
6 of the Aircraft by Seller to Purchaser takes place in accordance with the Purchase Agreement. Delivery Location a location as agreed to by Lessor and Lessee (including international airspace at the discretion of Seller). Dollars and $ the lawful currency of the United States of America. EASA the European Union Aviation Safety Agency or any successor Government Entity succeeding to the functions thereof. Electronic Records Format an EASA or FAA-approved system in a searchable format by which any Aircraft Documents are stored and retrieved electronically. Engine whether or not installed on the Aircraft: (a) each engine listed in the Certificate of Delivery Condition; or (b) any engine which replaces an engine specified in subpart (a) above following an Engine Loss, in accordance with Section 11.3, and in each case includes all modules and Parts from time to time relating to that engine. Engine Additional Rent as defined in Section 5.4(a). Engine Additional Rent Rate as set forth in Schedule 5. Engine LLP Additional Rent as defined in Section 5.4(a). Engine LLP Additional Rent Rate as set forth in Schedule 5. Engine LLP Reimbursable Expenses as defined in Section 7.2(c)(i). Engine Loss the occurrence, with respect to an Engine, of one of the events set forth in clauses (a) through (d) of the definition of "Total Loss" as if references to the "Airframe" were to such "Engine". Engine Loss Date the relevant date determined in accordance with the definition of "Total Loss Date" as if that definition applied to an Engine Loss.


 
7 Engine Manufacturer CFM International, Inc. Engine Reimbursable Expenses as defined in Section 7.2(b)(i). Engine Shop Visit with respect to any Engine, any shop visit, as defined by the Engine Manufacturer, that is based on the Approved Maintenance Program of condition monitored and trend monitoring or performance deterioration, and in any case requiring disassembly, inspection and repair with at least a full workscope, as defined in the Engine Manufacturer’s workscope planning guide, of the core major module (HPC, combustor and HPT) of such Engine and that results in a minimum of 7,000 Cycles of operation remaining on each of the LLPs in such engine, restores performance, hardware condition and integrity to a level consistent with a continued operation of the Engine for 7,000 Cycles. Equipment Change any modification, alteration, addition to or removal from the Aircraft during the Term. ER Provider as defined in Section 8.9(b). Eurocontrol the European Organization for the Safety of Air Navigation. Event of Default an event specified in Section 13.1. Excluded Geographic Area any country, region or geographic area identified by Lessor to Lessee in writing where Lessor has determined, in its sole but reasonable discretion, that there is a material risk of detention, forfeiture, or loss, not adequately covered by both (i) the Insurances required under this Agreement and (ii) the contingent or other insurance policies held by Lessor. Lessor shall rely on the U.S. Department of Treasury’s Office of Foreign Assets Control in identifying such countries, regions or geographic areas as generally set forth in the following link: https://ofac.treasury.gov/sanctions-programs-and-country- information Expiry Date the later of the Scheduled Expiry Date or the Return date, or the date on which: (a) the Aircraft has been redelivered to Lessor in accordance with this Agreement and all obligations of Lessee have been satisfied; or (b) Lessor receives the Agreed Value following a Total Loss and any other amounts then due and owing in accordance with this Agreement.


 
8 FAA the Federal Aviation Administration of the U.S. Department of Transportation, or any successor Government Entity succeeding to the functions thereof. FAR Federal Aviation Regulations issued by the FAA. Final Delivery Date September 13, 2024, or such later date as agreed between Lessor and Lessee in writing. Final Inspection the inspection of the Aircraft by Lessor, or representatives appointed by Lessor, during any part of the inspections, checks and demonstration flights required pursuant to Schedule 3 or otherwise performed in connection with the Return. Final Maintenance Performer an Agreed Maintenance Performer with the necessary experience and regulatory authority approvals for the Aircraft type in order to perform the required redelivery maintenance on the Aircraft needed to meet the requirements of Schedule 3. Financial Indebtedness any indebtedness in respect of: (a) moneys borrowed; (b) any liability under any debenture, bond, note, loan stock, acceptance credit, documentary credit or other security; (c) the acquisition cost of any asset to the extent payable before or after the time of acquisition or possession; (d) the capitalized value (determined in accordance with accounting practices generally accepted in the United States of America) of obligations under finance leases (as applicable); or (e) any guarantee, indemnity or similar assurance against financial loss of any Person in respect of the above. Financing Document any loan agreement, credit agreement or similar agreement between Owner and/or Lessor and any Financing Party under which funds are advanced to Owner and/or Lessor or any Affiliate of Owner or Lessor and under which the obligations of Owner and/or Lessor or any Affiliate of Owner or Lessor to such Financing Parties relate to the Aircraft or the Operative Documents. Financing Parties collectively (a) such Persons as Lessor may from time to time notify to Lessee in writing as having a financial interest in the Aircraft (including, without limitation, those identified in the


 
9 Notice and Acknowledgment), (b) any Person that has advanced funds to Owner and/or Lessor or an Affiliate of Owner or Lessor pursuant to any Financing Document, (c) any Person that holds a Security Interest in the Aircraft or Owner's and/or Lessor's right, title and interest in any Operative Document to secure Owner's and/or Lessor's and/or any Affiliate's obligations under any Financing Document, (d) any agent, loan agent, trustee, security trustee, collateral trustee or similar Person acting pursuant to any Financing Document and (e) the successors and permitted assigns of such Persons. Financing Security Document any Financing Document whereby Owner and/or Lessor grants to a Financing Party a Security Interest in the Aircraft and/or in its right, title and interest in any Operative Document. Flight Charges all flight charges, route navigation charges, navigation service charges and all other fees, charges or Taxes payable for the use of or for services provided at any airport or otherwise payable to any airport, airport authority, navigation or flight authority or other similar entity or for any services provided in connection with the operation, landing or navigation of aircraft. Flight Hour each hour or part thereof (rounded up to one decimal place) elapsing from the moment the wheels of the Airframe leave the ground on takeoff until the moment the wheels of the Airframe next touch the ground or, in the case of an Engine, of the airframe on which such Engine is installed. Government Entity (a) any national, state or local government, political subdivision thereof or local jurisdiction therein; (b) any board, commission, department, division, instrumentality, court, agency or political subdivision thereof; and (c) any association, organization or institution of which any of the above is a member or to whose jurisdiction any thereof is subject or in whose activities any of the above is a participant. Habitual Base the State of Organization or, any European Union country, otherwise subject to the prior written consent of Lessor not to be unreasonably withheld, delayed or conditioned, any other state, province or country in which the Aircraft is for the time being habitually based. Hull Insurance Deductible as set forth in Schedule 5.


 
10 IATA the International Air Transport Association. IDERA an irrevocable de-registration and export request authorization in the form prescribed by the Cape Town Convention. Incident/Accident Clearance Statement a statement produced on Lessee's letterhead confirming that the Airframe, Engines, APU and Landing Gear have been deemed acceptable for continued operation, in a form required by Lessor and executed by Lessee's duly qualified quality assurance manager. Indemnitees Owner, Lessor, Servicer, each Financing Party, the respective successors and assigns of such Persons, and the shareholders, members, partners, Affiliates, directors, officers, managers, trustees, employees, agents and servants of such Persons. Insurances as defined in Section 9.1. Landing Gear the landing gear assemblies (nose, left main and right main, forestay and sidestay) of the Aircraft listed in the Certificate of Delivery Condition, and any landing gear assembly substituted therefor in accordance with this Agreement and title to which has passed to Owner in accordance with this Agreement. Landing Gear Additional Rent as defined in Section 5.4(a). Landing Gear Additional Rent Rate as set forth in Schedule 5. Landing Gear Overhaul an overhaul of the Landing Gear to full Manufacturer specification and operating condition (excluding any rotable components such as wheels, tires, brakes and consumable items). Landing Gear Reimbursable Expenses as defined in Section 7.2(d)(i). Lessee Installed Part any part installed on the Aircraft at Delivery title to which is held by Lessee, and any part installed on the Aircraft after Delivery not in replacement for a Part and not required under Applicable Law to be installed on the Aircraft, title to which is either held by Lessee (which title may be subject to a Security Interest in favor of an unrelated third party) or held by an unrelated third party (in the case in which such part is leased or conditionally sold to Lessee).


 
11 Lessor's Counsel Kambourov & Partners, counsel to Lessor in each of the State of Organization and the State of Registration. Lessor Lien (a) any Security Interest from time to time created by or arising through Owner, Lessor or any Financing Party in connection with the financing or refinancing of the Aircraft; (b) any other Security Interest in respect of the Aircraft that results from acts or omissions of, or claims against, Owner, Lessor or any Financing Party not related to the operation of the Aircraft or the transactions contemplated by or permitted under the Operative Documents; and (c) Security Interests in respect of the Aircraft for Non- Indemnified Taxes. LLP life limited Part. Major Checks any Airframe 6Y Structural Check, Airframe 12Y Structural Check, C Check, Engine Shop Visit, APU Basic Shop Visit and Landing Gear Overhaul. Mandatory Equipment Change an Equipment Change that is required by or performed to comply with an AD, Aviation Authority regulations or a Manufacturer's service bulletin. Manufacturer with respect to the Airframe, Engine or any Part of the Aircraft, the Airframe Manufacturer, Engine Manufacturer or manufacturer of such Part, respectively. Minimum Liability Coverage as set forth in Schedule 5. MPD for any Manufacturer, such Manufacturer's maintenance planning document or Engine Manufacturer's maintenance program/planning guide, as updated and modified from time to time. Non-Indemnified Taxes (a) Taxes imposed on a Tax Indemnitee as a direct result of activities of such Tax Indemnitee in the jurisdiction imposing the liability wholly unrelated to such Tax Indemnitee's dealings with Lessee pursuant to the Operative Documents or to the transactions contemplated by the Operative Documents or the use, maintenance or operation of the Aircraft by Lessee or any other Person or the presence or activities of Lessee or its Affiliates in the jurisdiction imposing such Taxes;


 
12 (b) Taxes imposed on the income, profits or gains of any Tax Indemnitee by (i) any federal Government Entity in the United States of America, (ii) any Government Entity in the jurisdictions where such Tax Indemnitee is incorporated, formed or organized or has its principal place of business or (iii) any Government Entity in any other jurisdiction where such Tax Indemnitee is liable for such Taxes and such liability has or would have arisen in the absence of the transactions contemplated by the Operative Documents; (c) Taxes imposed with respect to any period commencing or event occurring before Delivery or after Return and unrelated to any Tax Indemnitee's dealings with Lessee pursuant to the Operative Documents or to the transactions contemplated by the Operative Documents; (d) Taxes imposed as a direct result of the sale or other disposition of the Aircraft by a Tax Indemnitee, unless such sale or disposition occurs following an Event of Default or pursuant to the terms of the Operative Documents; and (e) Taxes imposed on a Tax Indemnitee to the extent caused by the fraud, gross negligence or willful misconduct of such Tax Indemnitee. Notice and Acknowledgment a notice and acknowledgment between Lessor and Lessee in such form as reasonably required by Lessor. OEM the original equipment manufacturer of a Part. Operative Documents this Agreement, any amendments to this Agreement entered into from time to time, the Certificate of Acceptance, the Certificate of Delivery Condition, the Power of Attorney, the IDERA, each Sale Document (as defined in the Purchase Agreement) and, if applicable, the Notice and Acknowledgment. Other Operative Documents any other operative or transaction document (howsoever defined) entered into in connection with, or relating to, any Related Agreements or the Purchase Agreement. Overdue Rate at any time and from time to time, 7.0% plus the base commercial lending rate as announced by Citibank, N.A., or the maximum rate permitted by Applicable Law, whichever is less.


 
13 Owner Lessor or such other Person as Lessor may from time to time notify Lessee in writing as being the owner of the Aircraft for the time being. Part whether or not installed on the Aircraft: (a) any appliance, part, component, module, navigation, avionic and communication equipment, computer, instrument, appurtenance, accessory, seat, furnishing and equipment of whatever nature (including the APU and Landing Gear but excluding a complete Engine) furnished with, installed on or appurtenant to the Airframe and Engines on Delivery; and (b) any other appliance, part, component, module, navigation, avionic and communication equipment, computer, instrument, appurtenance, accessory, furnishing or equipment of whatever nature (other than a complete Engine) title to which has, or should have, passed to Owner pursuant to this Agreement, but excludes any such items title to which has, or should have, passed to Lessee pursuant to Section 8.17(b) and any Lessee Installed Part. Permitted Lien (a) any Security Interest for Taxes not assessed or, if assessed, not yet due and payable, or being contested in good faith by appropriate proceedings; (b) any Security Interest of a repairer, mechanic, carrier, hangar keeper, unpaid seller or other similar lien arising in the ordinary course of business or by operation of law in respect of obligations which are not overdue in accordance with Applicable Law or are being contested in good faith by appropriate proceedings; and (c) any Lessor Lien; but only if, in the case of (a) and (b), (i) adequate reserves have been provided by Lessee for the payment of such Taxes or obligations in accordance with the Accounting Standard and (ii) such proceedings, or the continued existence of the Security Interest, do not give rise to any material risk of the sale, forfeiture or other loss of the Aircraft or any interest therein or of criminal liability on the part of Lessor, Owner or any Financing Party. Person any individual, corporation, partnership, limited liability company, limited liability partnership, joint venture,


 
14 association, joint stock company, trust, unincorporated organization or Government Entity. Power of Attorney an irrevocable power of attorney by Lessee in substantially the form attached as Exhibit C. PMA Part a non type-certificated Part whose design and/or manufacture has been accomplished by any entity other than the OEM and which has received parts manufacturer approval from an Aviation Authority. Prohibited Country any state, country or jurisdiction to which the export and/or operation of the Aircraft is prohibited or restricted under any Sanctions. Prohibited Person any Person: (a) with whom Owner, Lessor, Lessee or any Financing Party is prohibited or restricted by any Sanctions from engaging in trade or business; or (b) that is located, organized or resident in a Prohibited Country. Purchase Agreement the Purchase Agreement dated on or about the date hereof between Lessor, as Purchaser, and Seller, pursuant to which Lessor agreed to purchase the Aircraft from Seller, and following the perfection of which the title to the Aircraft is acquired by the Purchaser representing a condition precedent for commencing the leasing under Section 4.4 of the present Agreement. Purchaser Lessor QEC quick engine change, as defined by the applicable Manufacturer. Redelivery Check as defined in Schedule 3. Redelivery Location such location in Western Europe as is mutually acceptable to Lessor and Lessee. Reimbursable Expenses collectively, Airframe Reimbursable Expenses, APU Reimbursable Expenses, Engine Reimbursable Expenses, Engine LLP Reimbursable Expenses and Landing Gear Reimbursable Expenses. Related Agreements as defined in Section 13.1(e)(iv).


 
15 Rent collectively, Basic Rent, Additional Rent and Supplemental Rent. Rent Date the Delivery Date and the corresponding day of each calendar month during the Term or, for any calendar month that does not have a corresponding day, the last day of such calendar month. Rental Period each period ascertained in accordance with Section 5.2. Return the return of the Aircraft by Lessee to Lessor at the Redelivery Location in the condition and manner required by Section 12 and Schedule 3 and the other provisions of this Agreement. Return Certificate the final return certificate to be delivered by Lessor to Lessee pursuant to Schedule 3, substantially in the form attached as Exhibit F. Sanctions any economic, trade sanctions or export control, laws, regulations, embargoes, prohibitions or restrictive measures relating to doing business, investment, financing or exporting or otherwise making aircraft or other assets available (or any other activities similar to or connected with any of the foregoing) which are administered, enacted, enforced or imposed by the State of Registration, Habitual Base, United States of America, the United Kingdom, the United Nations Security Council, the European Union or any of its member states or any Government Entity of any of the foregoing. Scheduled Delivery Date August 15, 2024, or such other date mutually agreed by Lessor and Lessee up through the Final Delivery Date with at least three (3) Business Days’ notice to Lessee. Scheduled Expiry Date December 31, 2027. Secured Liabilities as defined in Section 5.5(b)(i). Security Interest any security interest, mortgage, charge, pledge, lien, encumbrance, claim, assignment, lease, hypothecation, right of set off or other agreement or arrangement having the effect of creating a security interest. Seller Aurick One Limited Servicer Lessor any other Person as Lessor may from time to time notify Lessee in writing as being a servicer, sub-servicer or manager on behalf of Lessor for matters relating to this Agreement, any other Operative Document and/or the Aircraft. SRM the Airframe Manufacturer's structural repair manual.


 
16 State of Organization the Republic of Bulgaria State of Registration the Republic of Bulgaria Subsidiary in relation to Lessee: (a) in relation to any reference to accounts, any company wholly or partially owned by Lessee and whose accounts are consolidated with the accounts of Lessee in accordance with accounting principles generally accepted under accounting standards of the State of Organization; and (b) for any other purpose, an entity from time to time: (i) of which Lessee has direct or indirect control or of which Lessee owns directly or indirectly more than 50% of the voting share capital; or (ii) which is a direct or indirect subsidiary of Lessee under the laws of the jurisdiction of its incorporation and “Subsidiaries” means all of them collectively. Supplemental Rent all amounts, liabilities and obligations (other than Basic Rent and Additional Rent) that Lessee is obligated to pay under this Agreement or any other Operative Document to Lessor or any other Person, including payment of deposits, indemnities and the Agreed Value. Tax Affiliate (a) in the case of a Person which is, or is treated as, a partnership or a disregarded entity in connection with any Tax, each partner, member or other beneficial owner of such Person; and (b) in the case of any partner, member or other beneficial owner of such Person which itself is, or is treated as, a partnership or a disregarded entity in connection with any Tax, each partner, member or other beneficial owner of such partnership or disregarded entity. Tax Indemnitees Owner, Lessor, Servicer, each Financing Party, the respective successors and assigns of such Persons and their respective Tax Affiliates. Taxes all present and future taxes, levies, imposts, duties or charges in the nature of taxes, whatsoever and wherever imposed, including customs duties, value added taxes or similar taxes and any franchise, transfer, sales, use, business, occupation, excise, personal property, stamp or other tax or duty imposed


 
17 by any national or local taxing or fiscal authority or agency, together with any withholding, penalties, additions to tax, fines or interest thereon or with respect thereto. Term the period commencing on the Delivery Date and ending on the Expiry Date or any later date pursuant to Paragraph 2(b) of Schedule 3. Third Party Engine any engine, title to which is either held by Lessee (which title may be subject to a Security Interest in favor of an unrelated third party) or held by an unrelated third party (in the case in which such engine is leased or conditionally sold to Lessee). Total Loss with respect to the Aircraft: (a) the actual, arranged or constructive total loss of the Aircraft (including any damage to the Aircraft which results in an insurance settlement on the basis of a total loss, or requisition for use or hire which results in an insurance settlement on the basis of a total loss); (b) the Aircraft being destroyed, damaged beyond repair or permanently rendered unfit for normal use for any reason whatsoever; (c) the requisition of title, or other compulsory acquisition, capture, seizure, deprivation, confiscation or detention for any reason of the Aircraft by the government of the State of Registration (whether de jure or de facto), but excluding requisition for use or hire not involving requisition of title; or (d) the hijacking, theft, disappearance, condemnation, confiscation, seizure or requisition for use or hire of the Aircraft which deprives any Person permitted by this Agreement to have possession and/or use of the Aircraft for the lesser of 60 consecutive days and the end of the Term. Total Loss Date (a) in the case of an actual total loss, the actual date on which the loss occurs or, if such date is unknown, the day on which the Aircraft was last heard of; (b) in the case of any of the events described in sub paragraph (a) of the definition of "Total Loss" (other than an actual total loss), the earlier of (i) 30 days after the date on which notice claiming such total loss is given to the relevant insurers and (ii) the date on which such loss is admitted or compromised by the insurers;


 
18 (c) in the case of any of the events described in sub paragraph (b) of the definition of "Total Loss", the date on which such destruction, damage or rendering unfit occurs; (d) in the case of any of the events described in sub paragraph (c) of the definition of "Total Loss", the date on which the relevant requisition of title or other compulsory acquisition, capture, seizure, deprivation, confiscation or detention occurs; and (e) in the case of any of the events described in sub paragraph (d) of the definition of "Total Loss", the expiry of a period the lesser of 60 consecutive days and the end of the Term as referred in such sub paragraph (d); and, in each case, the Total Loss shall be deemed to have occurred at noon Greenwich Mean Time on such date. Transfer as defined in Section 14.2. Voluntary Equipment Change an Equipment Change other than a Mandatory Equipment Change. 1.2 Interpretation (a) In this Agreement, unless the contrary intention is stated, a reference to: (i) each of "Owner", "Lessor", "Lessee", "Servicer", "Financing Party" or any other Person includes without prejudice to the provisions of this Agreement any successor in title to it and any permitted assignee; (ii) words importing the plural shall include the singular and vice versa; (iii) the term "including", when used in this Agreement, means "including without limitation" and "including but not limited to"; (iv) any document shall include that document as amended, novated or supplemented from time to time unless expressly stated to the contrary; (v) a law (1) includes any statute, decree, constitution, regulation, order, judgment or directive of any Government Entity; (2) includes any treaty, pact, compact or other agreement to which any Government Entity is a signatory or party; (3) includes any judicial or administrative interpretation or application thereof; and (4) is a reference to that provision as amended, substituted or re-enacted; and (vi) a "Section", "Schedule" or "Exhibit" is a reference to a section of, a schedule to or an exhibit to this Agreement.


 
19 (b) The headings in this Agreement are to be ignored in construing this Agreement. 2. Representations and Warranties 2.1 Lessee's Representations and Warranties Lessee makes in favor of Lessor the representations and warranties set forth in Schedule 6, Part A. 2.2 Repetition The representations and warranties in Schedule 6, Part A shall survive the execution of this Agreement and shall be deemed to be repeated by Lessee on Delivery with reference to the facts and circumstances then existing. The representations and warranties contained in Schedule 6, Part A paragraphs (a) through (m) shall be deemed to be repeated by Lessee on each Rent Date as if made with reference to the facts and circumstances then existing. 2.3 Lessor's Representations and Warranties Lessor makes in favor of Lessee the representations and warranties set forth in Schedule 6, Part B. 2.4 Repetition The representations and warranties in Schedule 6, Part B shall survive the execution of this Agreement and shall be deemed to be repeated by Lessor on Delivery as if made with reference to the facts and circumstances then existing. 3. Conditions Precedent 3.1 Lessor's Documentary Conditions Precedent Lessor's obligation to lease the Aircraft to Lessee under this Agreement is subject to the receipt by Lessor from Lessee of the documentary conditions precedent set forth in Schedule 7, Part A before Delivery in form and substance reasonably satisfactory to Lessor, provided, that it shall not be a condition precedent to the obligations of Lessor that any document be produced, or action taken, which is to be produced or taken by Lessor or any Person within its control: 3.2 Lessor's Other Conditions Precedent The obligation of Lessor to deliver and lease the Aircraft under this Agreement is also subject to the additional conditions precedent set forth in Schedule 7, Part B. 3.3 Lessor's Waiver The conditions specified in Sections 3.1 and 3.2 are for the sole benefit of Lessor and may only be waived or deferred in whole or in part and with or without conditions by Lessor. If any of those conditions are not satisfied and Lessor (in its absolute discretion) nonetheless agrees to deliver the Aircraft to Lessee, then Lessee shall ensure that those conditions


 
20 are fulfilled within one month after the Delivery Date (or such longer period as may be agreed) and Lessor may treat as an Event of Default the failure of Lessee to do so. 3.4 Lessee's Conditions Precedent Lessee's obligation to accept the Aircraft on lease from Lessor under this Agreement is subject to the following conditions precedent: (a) Representations and Warranties: the representations and warranties of Lessor under Section 2.4 are correct and would be correct if repeated on Delivery; and (b) Lessee’s Documentary Conditions Precedent: receipt by Lessee from Lessor of the documentary conditions precedent set forth in Schedule 7, Part C before Delivery in form and substance reasonably satisfactory to Lessee; and (c) Condition of the Aircraft: the Aircraft and Aircraft Documents shall be in the condition set forth in Schedule 2 3.5 Lessee's Waiver The conditions specified in Section 3.4 are for the sole benefit of Lessee and may only be waived or deferred in whole or in part and with or without conditions by Lessee. If any of those conditions are not satisfied on or before Delivery and Lessee (in its absolute discretion) nonetheless agrees to lease the Aircraft from Lessor, then Lessor shall ensure that those conditions are fulfilled within one month after the Delivery Date. 3.6 Post-Closing Matters Lessee shall, at its sole cost and expense, provide to Lessor promptly after the Delivery Date (and in any event no later than five Business Days after the Delivery Date) a copy of Lessee's air operator's certificate incorporating the Aircraft issued by the Aviation Authority. 4. Commencement and Disclaimers 4.1 Agreement to Lease (a) Lessor shall lease the Aircraft to Lessee and Lessee shall take the Aircraft on lease at the Delivery Location on the Delivery Date in accordance with the Operative Documents for the duration of the Term. (b) Lessor and Lessee intend and agree that this Agreement (i) purposes; and (ii) confers only a leasehold interest on Lessee in and to the Aircraft on and subject to the terms of this Agreement, and no ownership or other interest with respect to the Aircraft is provided to Lessee under this Agreement. 4.2 Delivery (a) Lessee's obligation to lease the Aircraft under Section 4.1 shall be subject to the delivery of the Aircraft to Lessee at the Delivery Location in accordance with the procedures described in Schedule 2. The date Purchaser purchases the Aircraft


 
21 from Seller at the Delivery Location shall be the Delivery Date for the Aircraft. Simultaneously with delivery of title to the Aircraft to Purchaser pursuant to the Purchase Agreement, Lessee will take delivery of the Aircraft pursuant to this Agreement. (b) Lessor and Lessee agree that Delivery Location will be chosen that does not give rise to any materially adverse tax exposure. No physical delivery of the Aircraft shall occur as the Aircraft will remain in the operational possession and control of Lessee. 4.3 Delayed Delivery (a) If the delivery of the Aircraft under this Agreement is delayed beyond the Scheduled Delivery Date, or the Aircraft suffers a Total Loss, and so long as such delay or failure does not arise solely and directly as a consequence of the gross negligence or willful misconduct of Lessor (including in its capacity as purchaser under the Purchase Agreement), Lessor shall not be responsible for any losses (including loss of profit), costs or expenses arising from or in connection with the delay or failure suffered or incurred by Lessee; (b) If the Aircraft suffers a Total Loss prior to Delivery, then either Lessor or Lessee may terminate this Agreement by giving written notice to the other, in which event neither Lessor nor Lessee shall have any further obligations under this Agreement except as set forth in Section 7.4; (c) if the Aircraft is not in the condition set forth in Schedule 2 on the Final Delivery Date or a later date as agreed between Lessor and Lessee, either Lessor or Lessee may terminate this Agreement by giving written notice to the other, in which event neither Lessor nor Lessee shall have any further obligations under this Agreement except as set forth in Section 7.4. 4.4 Lessor’s Obligation to Purchase and Lease the Aircraft Lessor's obligation to purchase the Aircraft under the Purchase Agreement and to lease the Aircraft under this Agreement, and therefore the commencement of the leasing, is subject to (i) satisfaction of each of the Lessor’s Documentary Conditions Precedent set forth in Section 3.1, (ii) satisfaction of the Lessor’s Other Conditions Precedent set forth in Section 3.2, (iii) acquisition of title to the Aircraft from the Seller and (iv) the Aircraft being tendered for delivery by the Seller under and in accordance with the terms and conditions of Purchase Agreement. 4.5 Acceptance and Risk (a) The Aircraft shall be delivered to, and shall be accepted by, Lessee at the Delivery Location on the Delivery Date immediately following satisfaction of the conditions precedent specified in Sections 3.1, 3.2 and 3.4 (or their waiver or deferral by the party entitled to grant such waiver or deferral). (b) Immediately following satisfaction of the conditions precedent specified in Sections 3.1, 3.2 and 3.4 (or their waiver or deferral by the party entitled to grant such waiver or deferral), Lessee and Lessor shall forthwith complete the annexes to the Certificate of Delivery


 
22 Condition, and Lessor and Lessee shall execute and deliver to each other the Certificate of Delivery Condition and the Certificate of Acceptance. Delivery of the executed Certificate of Acceptance to Lessor shall constitute "Delivery" for all purposes of this Agreement. (c) On and from Delivery, the Aircraft shall be in every respect at the sole risk of Lessee, which shall bear all risk of loss, theft, damage or destruction to the Aircraft from any cause whatsoever. (d) On or concurrent with Delivery, Lessee shall take all actions necessary to cause the Aircraft to remain registered with the Aviation Authority and permit the operation of the Aircraft by Lessee in its normal passenger and/or cargo operations, including, if required and to the extent it is applicable, causing this Agreement and the Certificate of Acceptance to be registered with the Aviation Authority. 4.6 Exclusion UPON EXECUTION OF THE CERTIFICATE OF ACCEPTANCE, THE AIRCRAFT IS ACCEPTED BY LESSEE "AS IS, WHERE IS WITH ALL FAULTS" (EXCEPT FOR THE DISCREPANCIES, IF ANY, LISTED IN ANNEX 2 OF THE CERTIFICATE OF DELIVERY CONDITION) AND LESSEE AGREES AND ACKNOWLEDGES THAT LESSOR SHALL HAVE NO LIABILITY IN RELATION TO, AND LESSOR HAS NOT AND SHALL NOT BE DEEMED TO HAVE MADE OR GIVEN, ANY CONDITIONS, WARRANTIES OR REPRESENTATIONS, EXPRESS OR IMPLIED, WITH RESPECT TO THE AIRCRAFT, INCLUDING IN RESPECT OF: (a) THE DESCRIPTION, AIRWORTHINESS, MERCHANTABILITY, FITNESS FOR ANY USE OR PURPOSE, VALUE, CONDITION, PERFORMANCE OR DESIGN OF THE AIRCRAFT OR ANY PART OR AS TO THE QUALITY OF THE MATERIAL OR WORKMANSHIP OR THE ABSENCE OF LATENT OR OTHER DEFECTS, WHETHER OR NOT DISCOVERABLE; OR (b) ANY OBLIGATION, LIABILITY, RIGHT, CLAIM OR REMEDY IN TORT, WHETHER OR NOT ARISING FROM LESSOR'S NEGLIGENCE, ACTUAL OR IMPUTED (BUT EXCLUDING ANY SUCH OBLIGATION, LIABILITY, RIGHT, CLAIM OR REMEDY IN TORT WHICH ARISES FROM LESSOR'S FRAUD, GROSS NEGLIGENCE OR WILFUL MISCONDUCT); OR (c) ANY OBLIGATION, LIABILITY, RIGHT, CLAIM OR REMEDY FOR LOSS OF OR DAMAGE TO THE AIRCRAFT OR FOR ANY LIABILITY OF LESSEE TO ANY THIRD PARTY. 4.7 Lessee's Waiver LESSEE HEREBY WAIVES, AS BETWEEN ITSELF AND LESSOR, ALL ITS RIGHTS IN RESPECT OF ANY CONDITION, WARRANTY OR REPRESENTATION, EXPRESS OR IMPLIED, ON THE PART OF LESSOR AND ALL CLAIMS AGAINST LESSOR HOWSOEVER AND WHENEVER ARISING AT ANY TIME IN RESPECT OF OR OUT OF THE CONDITION, OPERATION OR PERFORMANCE OF THE AIRCRAFT OR THIS AGREEMENT.


 
23 4.8 Lessee's Confirmation LESSEE CONFIRMS THAT IT IS FULLY AWARE OF THE PROVISIONS OF SECTIONS 4.5 AND 4.6 AND ACKNOWLEDGES THAT BASIC RENT, ADDITIONAL RENT AND ALL OTHER AMOUNTS PAYABLE BY LESSEE UNDER THIS AGREEMENT HAVE BEEN CALCULATED NOTWITHSTANDING ITS PROVISIONS. 4.9 Conclusive Proof DELIVERY BY LESSEE TO LESSOR OF THE CERTIFICATE OF ACCEPTANCE SHALL BE CONCLUSIVE PROOF AS BETWEEN LESSOR AND LESSEE (i) THAT LESSEE HAS EXAMINED AND INVESTIGATED THE AIRCRAFT, (ii) THAT THE AIRCRAFT AND THE AIRCRAFT DOCUMENTS ARE SATISFACTORY TO LESSEE IN ALL RESPECTS AND COMPLIED IN ALL RESPECTS WITH THE CONDITION REQUIRED AT DELIVERY UNDER SCHEDULE 2 OF THIS AGREEMENT (EXCEPT FOR THE DISCREPANCIES, IF ANY, LISTED IN ANNEX 2 OF THE CERTIFICATE OF DELIVERY CONDITION), (iii) THAT LESSEE HAS IRREVOCABLY AND UNCONDITIONALLY ACCEPTED THE AIRCRAFT FOR LEASE HEREUNDER WITHOUT ANY RESERVATIONS WHATSOEVER AND (iv) THAT LESSEE ACKNOWLEDGES THAT LESSOR HAS RELIED ON THE PROVISIONS OF THIS SECTION 4.8 IN DELIVERING THE AIRCRAFT AND THE AIRCRAFT DOCUMENTS TO LESSEE. 5. Payments 5.1 Commitment Fee On or prior to the Delivery Date, Lessee shall pay the Commitment Fee to Lessor by Purchaser deducting the full amount of the Commitment Fee from the purchase price due to Seller. Lessee acknowledges that the Commitment Fee constitutes consideration to Lessor for leasing the Aircraft to Lessee and upon payment irrevocably and unconditionally becomes the unencumbered property of Lessor, free of any claims or rights thereto by Lessee. 5.2 Rental Periods The first Rental Period shall commence on the Delivery Date, prorated for a partial month. Each subsequent Rental Period shall commence on the first Business Day of each month during the Term, and shall end on the day immediately preceding the first day of the next Rental Period, except that if a Rental Period would otherwise overrun the Expiry Date, it shall end on the Expiry Date. 5.3 Basic Rent (a) Time of Payment: For each Rental Period during the Term, Lessee shall pay to Lessor or its order Basic Rent in advance on each Rent Date. Lessee shall initiate payment adequately in advance of the Rent Date to ensure that Lessor receives the payment of Basic Rent on the Rent Date. (b) Amount: The Basic Rent payable in respect of each Rental Period shall be the Basic Rent Amount, except that if the final Rental Period contains less than 30 days, the amount of Basic Rent payable in respect of such final Rental Period shall be a pro rata amount of


 
24 the Basic Rent Amount obtained by dividing the Basic Rent Amount by 30 and multiplying the result by the number of days elapsed from, and including, the last Rent Date to, and including, the Expiry Date. Subject to the absence of any ongoing Default or Event of Default under this Agreement, during the Rental Periods from October 2024 through March 2025, Lessee shall remit fifty percent (50%) of the Basic Rent Amount, with the remaining fifty percent (50%) to be paid in equal monthly installments over six (6) months in the Rental Periods from April 2025 through September 2025, in addition to Lessee submitting the full Basic Rent Amount. This high-low payment structure shall be applicable throughout the Term and the payment amounts and dates shall be as set forth in the Table of Basic Rent Payments in Schedule 5. 5.4 Additional Rent (a) Amount: On the 10th day of each calendar month, Lessee will provide Lessor with a report of the previous month’s utilization of the Aircraft in a form satisfactory to Lessor. Lessee shall pay Additional Rent to Lessor in respect of utilization of the Aircraft in each calendar month (or portion thereof) during the Term on or before the 15th day following the end of that calendar month (but not later than the date of Return for the last full calendar month of the Term and the portion of the calendar month in which the Return occurs) as follows: (i) in respect of the Airframe, Lessee shall pay (A) the Airframe 6Y Additional Rent Rate for that calendar month ("Airframe 6Y Additional Rent"); (B) the Airframe 12Y Additional Rent Rate for that calendar month ("Airframe 12Y Additional Rent"); (i) in respect of each Engine, Lessee shall pay the Engine Additional Rent Rate for that calendar month ("Engine Additional Rent"); (ii) in respect of each Engine, Lessee shall pay the Engine LLP Additional Rent Rate for that calendar month ("Engine LLP Additional Rent"); (iii) in respect of the Landing Gear, Lessee shall pay the Landing Gear Additional Rent Rate for that calendar month ("Landing Gear Additional Rent"); and (iv) in respect of the APU, Lessee shall pay the APU Additional Rent Rate for that calendar month ("APU Additional Rent"). (b) Adjustment: The Additional Rent rates set forth in Section 5.4(a) shall be adjusted as follows: (i) the Airframe 6Y Additional Rent Rate, the Airframe 12Y Additional Rent Rate, the Engine Additional Rent Rate, the Landing Gear Additional Rent Rate and the APU Additional Rent Rate are based on January 2024 Dollars and each such rate as otherwise adjusted by this Section 5.4(b) shall be


 
25 escalated on January 1, 2025, and on January 1 of each year thereafter at an annual rate of 3%; and (ii) the Engine LLP Additional Rent Rate shall be escalated on January 1, 2025, and on January 1 of each year thereafter based on percentage changes in the then-current Engine Manufacturer's catalog list prices for Engine LLPs. 5.5 Charged Moneys (a) Lessee acknowledges that the Additional Rent constitutes additional Rent payable for the use of the Aircraft and shall irrevocably and unconditionally become the unencumbered property of Lessor upon payment thereof by Lessee, free of any claims or rights thereto by Lessee (except as expressly stated in this Agreement). (b) Notwithstanding the intent of Lessor and Lessee stated in Sections 5.1 and 5.5(a), if and to the extent that the Commitment Fee and/or the Additional Rent, or any part thereof, under any Applicable Law or otherwise, is determined to be security deposits or otherwise the property of Lessee or a debt owed to Lessee, or that Lessee shall have any interest in the Commitment Fee and/or the Additional Rent, then Sections 5.5(b)(i) and (ii) below shall apply to the Commitment Fee and/or the Additional Rent (as the case may be) (collectively, the "Charged Moneys"): (i) To the fullest extent permitted by law and by way of continuing security, Lessee grants a Security Interest in the Charged Moneys and all rights of Lessee to payment thereof, the debt represented thereby and all interest thereon and/or any and all interest of Lessee therein to Lessor by way of first priority Security Interest as security for Lessee's obligations and liabilities under the Operative Documents and any Other Operative Documents (the "Secured Liabilities"). Except as expressly permitted under this Agreement, Lessee shall not be entitled to payment of the Charged Moneys. Lessee shall not assign, transfer or otherwise dispose of all or part of its rights or interest in the Charged Moneys and Lessee shall enter into any additional documents and instruments necessary or reasonably requested by Lessor to evidence, create or perfect Lessor's rights to the Charged Moneys. (ii) If any Event of Default has occurred and is continuing, Lessor may immediately or at any time thereafter, without prior notice to Lessee, (1) offset all or any part of the Secured Liabilities against the liabilities of Lessor in respect of the Charged Moneys or (2) apply or appropriate the Charged Moneys in or towards the payment or discharge of the Secured Liabilities in such order as Lessor sees fit. Upon any offset or application of any portion of the Charged Moneys to the Secured Liabilities, Lessee shall immediately pay to Lessor an amount equal to the amount of the Charged Moneys so offset or applied. 5.6 Payments (a) All payments of Rent by Lessee to Lessor under this Agreement, irrespective of any rights of counterclaim or set-off, shall be made for value on the due date, for the full amount due, in Dollars to Lessor at the following account in same day funds:


 
26 [*******] [*******] [*******] [*******] [*******] [*******] [*******] [*******] [*******] [*******] [*******] or to such other account as Lessor may direct by at least five Business Days prior written notice. (b) If any Rent or other payment would otherwise become due on a day which is not a Business Day, it shall be due on the immediately preceding Business Day. 5.7 Gross up (a) All payments by Lessee under or in connection with the Operative Documents shall be made without offset or counterclaim, free and clear of and without deduction or withholding for or on account of any Taxes (other than Taxes that Lessee is compelled by law to deduct or withhold). (b) All Taxes (other than Non-Indemnified Taxes) in respect of payments under the Operative Documents shall be for the account of Lessee. (c) If Lessee is compelled by law to make payment to an Indemnitee under or in connection with the Operative Documents subject to any Tax related directly or indirectly to Lessor and/or Owner and such Indemnitee does not actually receive for its own benefit on the due date a net amount equal to the full amount provided for under the Operative Documents (other than Non-Indemnified Taxes that Lessee is compelled by law to deduct or withhold), Lessee shall pay all necessary additional amounts to ensure receipt by such Indemnitee of the full amount (other than Non-Indemnified Taxes that Lessee is compelled by law to deduct or withhold) provided for under the Operative Documents. 5.8 Taxation (a) Lessee shall on demand pay and indemnify each Tax Indemnitee against all Taxes (other than Non-Indemnified Taxes) levied or imposed against or upon such Tax Indemnitee and relating to or attributable to Lessee, the Operative Documents or the Aircraft directly or indirectly in connection with the importation, exportation, registration, ownership, leasing, subleasing, purchase, delivery, possession, use, operation, repair, maintenance, overhaul, transportation, landing, storage, presence or redelivery of the Aircraft or any part thereof or any rent, receipts, insurance proceeds, income or other amounts arising therefrom. (b) If any Tax Indemnitee shall, based upon its own reasonable interpretation of any relevant laws or regulations, realize any Tax savings (by way of refund, deduction, credit or


 
27 otherwise) in respect of any amount with respect to which Lessee shall have made a payment (or increased payment) pursuant to Section 5.7, 5.9 or 5.11 or shall have indemnified such Tax Indemnitee pursuant to Section 5.8(a), or in respect of the occurrence or transaction which gave rise to such payment or indemnification, and such Tax savings shall not have been taken into account previously in calculating any indemnity payment made by Lessee, then such Tax Indemnitee shall, to the extent that it can do so without prejudice to the retention of the relevant savings and subject to Lessee's obligations to repay such amount to such Tax Indemnitee if the relevant savings are subsequently disallowed or canceled, pay to Lessee such amount as such Tax Indemnitee shall in its opinion have concluded to be the amount of such Tax savings (together with, in the case of a refund, any interest received thereon); provided, that such Tax Indemnitee shall not be obliged to make any payment to Lessee pursuant to this Section 5.8(b) to the extent that the amount of any Tax savings in respect of which such payment is to be made would exceed the aggregate amount of all prior payments made by Lessee to, on behalf of or as indemnification of such Tax Indemnitee under this Agreement for Taxes less the amount of all prior payments made pursuant to this Section 5.8(b) in respect of such Tax savings. Lessee acknowledges that nothing contained in this Section 5.8(b) shall interfere with the right of any Tax Indemnitee to arrange its tax affairs in whatsoever proper manner it thinks fit (or give Lessee any right to investigate, or impose any obligation on any Tax Indemnitee to disclose, the same) and, in particular, no Tax Indemnitee shall be under any obligation to claim any Tax savings in priority to any other savings available to it; provided, that subject to the foregoing Lessor shall, and shall ensure that all Tax Indemnitees shall, use reasonable diligence to realize Tax savings as described above. 5.9 Value Added Tax (a) For purposes of this Section 5.9, "VAT" means value added tax and any goods and services, sales or turnover tax, imposition or levy of a similar nature, and "supply" includes anything on or in respect of which VAT is chargeable. (b) Lessee shall pay each Tax Indemnitee or the relevant taxing authority, as the case may be, the amount of any VAT chargeable in respect of any supply for VAT purposes under the Operative Documents. (c) Each amount stated as payable by Lessee under the Operative Documents is exclusive of VAT (if any), and if VAT is payable in respect of any amount payable by Lessee under the Operative Documents, Lessee shall pay all such VAT and shall indemnify each Tax Indemnitee against any claims for the same, and where appropriate Lessee shall increase the payments that would otherwise be required to be made under the Operative Documents so that such Tax Indemnitee is left in the same position as it would have been had no VAT been payable. Lessee shall provide evidence to Lessor, if available, in respect of payment of any VAT paid by Lessee with respect to the Operative Documents. 5.10 Information If Lessee is required by any Applicable Law, or by any third party, to deliver any report or return in connection with any Taxes, then Lessee shall duly complete the same and, in particular, shall not state therein that any Person other than Lessee is responsible for the use and operation of the Aircraft and for the Taxes (other than Non-Indemnified Taxes) arising therefrom, and Lessee shall, on request, supply a copy of the report or return to any Tax Indemnitee. If Lessee requires any information or cooperation from any Tax


 
28 Indemnitee in order to satisfy its obligations as set forth above, such Tax Indemnitee shall promptly furnish such information or cooperation as Lessee may reasonably request in writing, provided that such information is legally available, not subject to contractual or legal restrictions on its disclosure, and is within the power of such Tax Indemnitee to obtain. If actual notice is given by any taxing authority to Lessor that a report or return is required to be filed with respect to any Taxes (other than Non-Indemnified Taxes), Lessor shall promptly notify Lessee of such required report or return. 5.11 Taxation of Indemnity Payments (a) If and to the extent that any sums payable to any Tax Indemnitee by Lessee under the Operative Documents by way of indemnity are insufficient, by reason of any Taxes payable in respect of those sums, for such Tax Indemnitee to discharge the corresponding liability to the relevant third party (including any taxation authority), or to reimburse such Tax Indemnitee for the cost incurred by it to a third party (including any taxation authority), Lessee shall pay to such Tax Indemnitee such sum as shall, after the tax liability has been fully satisfied, leave such Tax Indemnitee with the same amount as it would have been entitled to receive in the absence of that liability. (b) If and to the extent that any sums constituting (directly or indirectly) an indemnity to any Tax Indemnitee but paid by Lessee to any Person other than such Tax Indemnitee are treated as taxable in the hands of such Tax Indemnitee, then Lessee shall pay to such Tax Indemnitee such sum as shall, after the tax liability has been fully satisfied, indemnify such Tax Indemnitee to the same extent as it would have been indemnified in the absence of such liability. 5.12 Default Interest If Lessee fails to pay any amount payable under the Operative Documents on the due date, Lessee shall pay on demand from time to time to Lessor interest (both before and after judgment) at the Overdue Rate on such amount from the due date to the day of payment in full by Lessee to Lessor. All such interest shall be compounded monthly and calculated on the basis of the actual number of days elapsed assuming a year of 360 days. 5.13 Contest If a written claim is made against any Tax Indemnitee for or with respect to any Taxes (other than Non-Indemnified Taxes), such Tax Indemnitee shall promptly notify Lessee. If reasonably requested by Lessee in writing within 30 days after such notification, but only so long as no Default has occurred and is continuing, such Tax Indemnitee shall, upon receipt of indemnity satisfactory to such Tax Indemnitee and at the expense of Lessee (including all costs, expenses, losses, legal and accountants' fees and disbursements, penalties and interest), in good faith contest or to the extent permissible by law allow Lessee to contest in Lessee's or such Tax Indemnitee's name, other than the Financing Parties, the validity, applicability or amount of such Taxes by either (x) resisting payment thereof if practicable and permitted by Applicable Law, or (y) if payment is made, using reasonable efforts to obtain a refund thereof in appropriate administrative and judicial proceedings and in the contest of any such claim by any Tax Indemnitee, such Tax Indemnitee shall apprise Lessee of all material developments with respect to such contest, shall forward copies of all material submissions made in such contest and shall materially


 
29 comply in good faith with any reasonable request concerning the conduct of any such contest; provided, that no Tax Indemnitee shall be obliged to take any such action: (a) that such Tax Indemnitee considers, in its reasonable discretion, may prejudice it; or (b) that such Tax Indemnitee reasonably considers does not have a reasonable prospect of success; or (c) for which Lessee has not made adequate provision to the reasonable satisfaction of such Tax Indemnitee in respect of the expense concerned; or (d) that gives rise to any material risk of the Aircraft or any interest of any Tax Indemnitee in the Aircraft being sold, forfeited or otherwise lost, or of criminal liability on the part of any Tax Indemnitee. If any Tax Indemnitee, in accordance with the foregoing, determines to pay such Taxes and seek a refund, Lessee shall either pay such Taxes on such Tax Indemnitee's behalf and pay such Tax Indemnitee any amount due with respect to such payment or shall promptly reimburse such Tax Indemnitee for such Taxes. If any Tax Indemnitee shall obtain a refund of all or any part of such Taxes paid by Lessee, such Tax Indemnitee shall pay Lessee the amount of such refund; provided, that such amount shall not be payable before such time as Lessee shall have made all payments or indemnities to any Tax Indemnitee then due with respect to Taxes and so long as no Default has occurred and is continuing. If in addition to such refund any Tax Indemnitee shall receive an amount representing interest, attorneys' fees or any other amount with respect to such refund, Lessee shall be paid that proportion of such interest, attorneys' fees or any other amount which is fairly attributable to the Taxes paid by Lessee prior to the receipt of such refund. No Tax Indemnitee shall enter into a settlement or other compromise with respect to, or otherwise concede, any claim by a taxing authority on account of Taxes being contested by Lessee pursuant to this Section 5.13 without the written consent of Lessee, which consent shall not be unreasonably withheld, unless either (x) a Default has occurred and is continuing or (y) such Tax Indemnitee waives its right to be indemnified by Lessee with respect to such claim (but not with respect to any future claims). 5.14 Absolute Lessee's obligations under this Agreement are absolute and unconditional irrespective of any contingency whatsoever, including: (a) any right of offset, counterclaim, recoupment, reduction, defense or other right which either party to this Agreement may have against the other; (b) any unavailability of the Aircraft for any reason, including a requisition of the Aircraft or any prohibition or interruption of, interference with or other restriction against Lessee's use, operation or possession of the Aircraft; (c) any lack or invalidity of title or any other defect in title, airworthiness, merchantability, fitness for any purpose, condition, design or operation of any kind or nature of the Aircraft for any particular use or trade, or for registration or documentation under the laws of any relevant jurisdiction, or any Total Loss in respect of or any damage to the Aircraft;


 
30 (d) any insolvency, bankruptcy, reorganization, arrangement, readjustment of debt, dissolution, liquidation or similar proceedings by or against Lessor or Lessee; (e) any invalidity, unenforceability or lack of due authorization of, or other defect in, this Agreement; or (f) any other cause which, but for this provision, would or might otherwise have the effect of terminating or in any way affecting any obligation of Lessee under this Agreement; provided always, however, that this Section 5.14 shall be without prejudice to Lessee's right to claim damages and other relief from a court of competent jurisdiction in the event of any breach by Lessor of its obligations under this Agreement. 6. Manufacturer's and Other Warranties 6.1 Assignment Notwithstanding this Agreement, Owner shall remain entitled to the benefit of each warranty, express or implied, and any unexpired customer and/or product support given or provided in respect of the Aircraft, any Engine or Part by any Manufacturer, vendor, maintenance performer, subcontractor or supplier. Unless an Event of Default shall have occurred and be continuing, Lessor (on behalf of Owner) hereby authorizes Lessee during the Term to pursue any claim thereunder in relation to defects affecting the Aircraft, any Engine or Part, and Lessee shall diligently and promptly pursue any such claim that arises at its own cost. Lessee shall notify Lessor promptly upon becoming aware of any such claim. Lessor shall provide such assistance to Lessee in making a claim under any such warranties or customer and/or product support as Lessee may reasonably request, and, if requested by Lessee and at Lessee's expense, shall cause Owner to pursue a claim in Owner's name where the relevant Manufacturer, vendor, maintenance performer, subcontractor or supplier has refused to acknowledge Lessee's right to pursue that claim, but subject to Lessee first ensuring that Owner and Lessor are indemnified and secured to Lessor's reasonable satisfaction against all losses, damages, costs, expenses and liabilities (including fees and disbursements) that Owner or Lessor may incur in the taking of any such actions. 6.2 Proceeds All proceeds of any such claim as is referred to in Section 6.1 and which exceed $100,000 shall be paid directly to Lessor (for the benefit of Owner) at the account set forth in Section 5.6(a), but if and to the extent that such claim relates: (a) to defects affecting the Aircraft which Lessee has rectified; or (a) to compensation for loss of use of the Aircraft, an Engine or any Part during the Term; or (b) to costs incurred by Lessee in pursuing such claim (whether or not proceeds of such claim are payable to Lessee); and provided no Default shall have occurred and be continuing, the proceeds shall be promptly paid to Lessee by Lessor but, in the case of (a), only on receipt of evidence reasonably satisfactory to Lessor that Lessee has rectified the relevant defect.


 
31 6.3 Parts Except to the extent Lessor otherwise agrees in a particular case, Lessee shall procure that any part provided by any Manufacturer, vendor, maintenance performer, subcontractor or supplier as a replacement for a defective Part pursuant to the terms of any warranty or customer and/or product support arrangement complies with Section 8.13(a), is installed on the Aircraft promptly and that title thereto vests in Owner in accordance with Section 8.17(a). 6.4 Agreement To the extent any warranties or customer and/or product support relating to the Aircraft are made available under an agreement between any Manufacturer, vendor, maintenance performer, subcontractor or supplier and Lessee, this Section 6 is subject to that agreement. However, Lessee shall: (a) pay the proceeds of any claim thereunder in excess of $100,000 to Lessor (for the benefit of Owner) at the account set forth in Section 5.6(a) to be applied pursuant to Section 6.2 and, pending such payment, shall hold the claim and the proceeds in trust for Lessor (for the benefit of Owner); and (b) take all such steps as are necessary and requested by Lessor at the end of the Term to ensure the benefit of any of those warranties or customer and/or product support which have not expired are vested in Owner. 6.5 Lessee Warranties Lessee acknowledges that during the Term it might contract with Manufacturers and/or Agreed Maintenance Performers to maintain, provide and service the Airframe, Engines and Parts. At Return, Lessee shall irrevocably assign to Owner all of Lessee's rights regarding the Aircraft under any warranty (express or implied), service policy, maintenance agreement or product support agreement provided by any such Manufacturer and/or Agreed Maintenance Performer to the extent that such rights are assignable. After Return, (i) Lessee shall provide such assistance to Owner and/or Lessor in making a claim under any such warranty, service policy, maintenance agreement or product support agreement as Owner and/or Lessor may reasonably request and (ii) Lessee shall promptly enforce on Owner's behalf, at Owner’s cost, all such rights that are not assignable. 6.6 Final Maintenance Performer Warranties Lessee shall use best efforts to cause its maintenance contract with the Final Maintenance Performer to contain a provision reasonably satisfactory in form and substance to Lessor, expressly stating that all warranties (express or implied) (if any) and product support (if any) is made for the benefit of Owner and its assigns and may be relied upon and enforced directly by Owner and its assigns without the involvement of Lessee. 6.7 Agreed Maintenance Performers Lessor may exclude any maintenance organization (other than Lessee or Elektra Trans Global OOD) from being an "Agreed Maintenance Performer" on reasonable grounds. If


 
32 Lessor wishes to exclude a maintenance organization from being an Agreed Maintenance Performer, Lessor shall discuss such request with Lessee, both parties acting reasonably. At the request of Lessee, Lessor shall consult in good faith with Lessee regarding any organizations excluded by Lessor pursuant to this Section. 7. Lessor's Covenants 7.1 Quiet Enjoyment Provided no Event of Default shall have occurred and be continuing, Lessor shall not interfere with the quiet use, possession and enjoyment of the Aircraft by Lessee in accordance with the terms of this Agreement throughout the Term, but the exercise by Lessor of its rights under or in respect of this Agreement shall not constitute such an interference. 7.2 Lessor's Maintenance Contribution (a) Airframe Reimbursable Expenses: (i) Lessee's Actual Cost incurred in completing an Airframe 6Y Structural Check on the Airframe during the Term, including all routine and non-routine Airframe 6Y Structural Check tasks (or the equivalent thereof), but not including the cost of repairs caused by Lessee’s faulty maintenance or installation, improper operations, abuse, neglect or misuse or the cost of modifications, interior reconfiguration, the accomplishment of ADs and any overhaul of time controlled components accomplished during the Airframe 6Y Structural Check except such as are part of the tasks included at such Airframe 6Y Structural Check interval, shall constitute "Airframe 6Y Reimbursable Expenses". (ii) Upon the completion of an Airframe 6Y Structural Check on the Airframe during the Term, Lessee shall, within four months of such accomplishment, present written evidence to Lessor as to the completion of such Airframe 6Y Structural Check and the amount of the Airframe 6Y Reimbursable Expenses for approval by Lessor. Such evidence shall include a full hardcopy or digital copy of the entire maintenance event and a list of all routine and non-routine work cards with corresponding references to the MPD and an itemized labor and materials report. Upon receipt of such written evidence, and provided there then exists no Event of Default, Lessor shall pay to Lessee (in the case where Lessee performed the work or upon proof that Lessee has paid the independent repair facility that performed such work) or to the independent repair facility performing such work if directed in writing by Lessee and upon receipt of written confirmation from such repair facility that it shall apply such payments solely against the costs due for such Airframe 6Y Structural Check, an amount equal to the lesser of (1) the Airframe 6Y Reimbursable Expenses or (2) an amount equal to (x) all Airframe 6Y Additional Rent previously paid by Lessee under this Agreement as of the date of completion of the Airframe 6Y Structural Check, minus (y) all previous payments by Lessor under this Section 7.2(a)(ii).


 
33 (iii) Lessee's Actual Cost incurred in completing an Airframe 12Y Structural Check on the Airframe during the Term, including all routine and non-routine Airframe 12Y Structural Check tasks (or the equivalent thereof), but not including the cost of repairs caused by Lessee’s faulty maintenance or installation, improper operations, abuse, neglect or misuse or the cost of modifications, interior reconfiguration, the accomplishment of ADs and any overhaul of time controlled components accomplished during the Airframe 12Y Structural Check except such as are part of the tasks included at such Airframe 12Y Structural Check interval, shall constitute "Airframe 12Y Reimbursable Expenses". (iv) Upon the completion of an Airframe 12Y Structural Check on the Airframe during the Term, Lessee shall, within four months of such accomplishment, present written evidence satisfactory to Lessor as to the completion of such Airframe 12Y Structural Check, the workscope of such Airframe 12Y Structural Check and the amount of the Airframe 12Y Reimbursable Expenses for approval by Lessor. Such evidence shall include a full hardcopy or digital copy of the entire maintenance event and a list of all routine and non-routine work cards with corresponding references to the MPD and an itemized labor and materials report. Upon receipt of such written evidence, and provided there then exists no Default or Event of Default, Lessor shall pay to Lessee (in the case where Lessee performed the work or upon proof that Lessee has paid the independent repair facility that performed such work) or to the independent repair facility performing such work if directed in writing by Lessee and upon receipt of written confirmation from such repair facility that it shall apply such payments solely against the costs due for such Airframe 12Y Structural Check, an amount equal to the lesser of (1) the Airframe 12Y Reimbursable Expenses or (2) an amount equal to (x) all Airframe 12Y Additional Rent previously paid by Lessee under this Agreement as of the date of completion of the Airframe 12Y Structural Check, minus (y) all previous payments by Lessor under this Section 7.2(a)(iv). (b) Engine Reimbursable Expenses: (i) Lessee's Actual Cost incurred in completing an Engine Shop Visit of an Engine during the Term in accordance with the Approved Maintenance Program, excluding any cost to the extent incurred in respect of foreign object damage, ingestion, accident, Lessee’s faulty maintenance or installation, abuse, neglect or misuse, elective parts replacement (except to the extent ordinarily accomplished during such maintenance or overhaul) which is reimbursable by a claim under the Engine Manufacturer's warranties or by insurance (but including deductibles for purposes of this provision), shall constitute "Engine Reimbursable Expenses". For the avoidance of doubt, Engine Reimbursable Expenses shall not include any late charges, mark ups, interest, freight charges, handling fees or similar charges associated with the export, import or shipping of such Engine. (ii) Upon accomplishment of any Engine Shop Visit for an Engine during the Term, Lessee shall, within four months of such accomplishment, present written evidence satisfactory to Lessor as to the completion of such Engine


 
34 Shop Visit and the amount of Engine Reimbursable Expenses for approval by Lessor. Such evidence shall include a full hardcopy or digital copy of the entire maintenance event and a description of the reason for removal, a shop tear down report, a shop findings report, a full description of the workscope of the Engine Shop Visit and complete LLP records for such Engine both prior to and after the Engine Shop Visit. Both the invoice supplied by the Engine repair facility and that submitted by Lessee to Lessor with respect to such Engine shall state whether or not credits were provided due to life remaining on any Parts removed from such Engine and the amount of any such credits shall be itemized. Upon receipt of such written evidence, and provided there then exists no Default or Event of Default, Lessor shall pay to Lessee (in the case where Lessee performed the work or upon proof that Lessee has paid the independent repair facility that performed such work) or to the independent repair facility performing such work if directed in writing by Lessee and upon receipt of written confirmation from such repair facility that it shall apply such payments solely against the costs due for such Engine Shop Visit, an amount equal to the lesser of (1) the Engine Reimbursable Expenses with respect to such Engine or (2) an amount equal to (x) all Engine Additional Rent previously paid by Lessee with respect to such Engine pursuant to this Agreement as of the date of completion of the Engine Shop Visit, minus (y) all previous payments by Lessor under this Section 7.2(b)(ii) with respect to such Engine (the "Net Available Engine Additional Rent"). (c) Engine LLP Reimbursable Expenses: (i) During the performance of an Engine Shop Visit for an Engine during the Term in accordance with the Approved Maintenance Program, in the event Lessee is obligated to replace an Engine LLP (the "Replaced LLP") in accordance with the Approved Maintenance Program, excluding any replacements caused by foreign object damage, ingestion, Lessee’s faulty maintenance or installation, , abuse, neglect, misuse, elective parts replacement (except to the extent ordinarily accomplished during such maintenance) or covered by Manufacturer's service bulletins or which is reimbursable by a claim under the Manufacturer's warranties or by insurance (but including deductibles for purposes of this provision), Lessee's Actual Cost to purchase a replacement Engine LLP (the "Replacement LLP") shall constitute "Engine LLP Reimbursable Expenses". For the avoidance of doubt, Engine LLP Reimbursable Expenses shall not include any late charges, mark ups, interest, handling fees or similar charges associated with the purchase, import or shipping of such Replacement LLP, or any labor associated with the removal or replacement of such Replaced LLP or Replacement LLP. (ii) Upon accomplishment of any Engine Shop Visit for an Engine during the Term, Lessee shall, within four months of such accomplishment, deliver written evidence satisfactory to Lessor as to the amount of Engine LLP Reimbursable Expenses for each Replacement LLP in accordance with the preceding Section 7.2(c)(i). Upon receipt of such written evidence, and provided there then exists no Default or Event of Default, Lessor shall pay to Lessee (in the case where Lessee performed the work or upon proof that


 
35 Lessee has paid the independent repair facility that performed such work) or to the independent repair facility performing such work if directed in writing by Lessee and upon receipt of written confirmation from such repair facility that it shall apply such payments solely against the costs due for such Engine Shop Visit, an amount equal to the lesser of (1) the Engine LLP Reimbursable Expenses with respect to such Replacement LLP or (2) all Engine LLP Additional Rent previously paid by Lessee with respect to such Engine LLP as of the date of completion of the Engine Shop Visit minus all previous payments by Lessor under this Section 7.2(c)(ii) with respect to such Engine LLP. (d) Landing Gear Reimbursable Expenses: (i) Lessee's Actual Cost incurred in completing a Landing Gear Overhaul during the Term in accordance with the Approved Maintenance Program, excluding a Landing Gear Overhaul caused by Lessee’s faulty maintenance or installation, abuse, neglect or misuse or covered by Manufacturer's service bulletins or which is reimbursable by a claim under the Manufacturer's warranties or by insurance (but including deductibles for purposes of this provision), shall constitute "Landing Gear Reimbursable Expenses". (ii) Upon accomplishment of a Landing Gear Overhaul during the Term in accordance with the Approved Maintenance Program, Lessee shall, within four months of such accomplishment, present written evidence satisfactory to Lessor as to the completion of such Landing Gear Overhaul, including a full hardcopy or digital copy of the entire maintenance event, and the amount of Landing Gear Reimbursable Expenses for approval by Lessor. Upon receipt of such written evidence, and provided there then exists no Default or Event of Default, Lessor shall pay to Lessee (in the case where Lessee performed the work or upon proof that Lessee has paid the independent repair facility that performed such work) or to the independent repair facility performing such work if directed in writing by Lessee and upon receipt of written confirmation from such repair facility that it shall apply such payments solely against the costs due for such Landing Gear Overhaul, an amount equal to the lesser of (1) the Landing Gear Reimbursable Expenses or (2) an amount equal to (x) all Landing Gear Additional Rent previously paid by Lessee pursuant to this Agreement as of the date of completion of the Landing Gear Overhaul, minus (y) all previous payments by Lessor under this Section 7.2(d)(ii). (e) APU Reimbursable Expenses: (i) Lessee's Actual Cost incurred in completing an APU Basic Shop Visit of the APU during the Term in accordance with the Approved Maintenance Program, but excluding any APU Basic Shop Visit caused by foreign object damage, ingestion, Lessee’s faulty maintenance or installation, abuse, neglect, misuse, elective parts replacement (except to the extent ordinarily accomplished during such APU Basic Shop Visit), the cost of modifications, the accomplishment of Manufacturer's service bulletins or ADs, or costs


 
36 which are reimbursable by claim under the Manufacturer's warranties or by insurance, shall constitute "APU Reimbursable Expenses". (ii) Upon accomplishment of any APU Basic Shop Visit of the APU during the Term in accordance with the Approved Maintenance Program, Lessee shall, within four months of such accomplishment, present written evidence satisfactory to Lessor as to the completion of such APU Basic Shop Visit, including a full hardcopy or digital copy of the entire maintenance event, and the amount of APU Reimbursable Expenses for approval by Lessor. Upon receipt of such written evidence, and provided there then exists no Default or Event of Default, Lessor shall pay to Lessee (in the case where Lessee performed the work or upon proof that Lessee has paid the independent repair facility that performed such work) or to the independent repair facility performing such work if directed in writing by Lessee and upon receipt of written confirmation from such repair facility that it shall apply such payments solely against the costs due for such APU Basic Shop Visit, an amount equal to the lesser of (1) the APU Reimbursable Expenses or (2) an amount equal to (x) all APU Additional Rent previously paid by Lessee for the APU pursuant to this Agreement as of the date of completion of the APU Basic Shop Visit, minus (y) all previous payments by Lessor under this Section 7.2(e)(ii). (f) Additional Provisions: (i) Subject to the remaining provisions of this Agreement and, in particular, to Sections 8.20 and 8.21 below, Lessee acknowledges that Lessee is required to pay the full cost of and to perform (or cause to be performed) any check, shop visit, overhaul or other maintenance required by the Approved Maintenance Program, whether or not Lessor is required to make any payments pursuant to this Section 7.2, and any costs incurred by Lessee in performing any such check, shop visit, overhaul or other maintenance required by the Approved Maintenance Program shall be solely for Lessee's account. (ii) Lessor’s obligation to make maintenance contribution will be subject to Lessor having approved, in writing, the maintenance performer (provided it is not an Agreed Maintenance Performer) and all applicable workscopes for the related maintenance work prior to the commencement thereof. Lessee will provide Lessor with the maintenance performer’s identity and the planned work scope, which shall be aligned with the requirements of the Approved Maintenance Program, for any such maintenance work no later than thirty (30) days prior to the scheduled commencement of the maintenance event. Lessor and Lessee agree and understand that no maintenance work that would require maintenance contribution is expected during the Term, but this understanding shall not reduce or prejudice Lessor’s obligations to make maintenance contributions as set out above. (iii) As soon as practicable after receipt of a claim for payment of Reimbursable Expenses, and in any event within thirty (30) days, Lessor shall (1) notify Lessee in writing of any portion of such claim to which it reasonably objects or for which it requires additional supporting documentation and (2) pay all


 
37 portions of such claim to which it does not reasonably object or need additional documentation. 7.3 Registration Lessor shall, at Lessee's cost, take all actions reasonably requested by Lessee to enable Lessee to perform its obligations under Section 8.10 regarding the registration of the Aircraft with the Aviation Authority. 7.4 Lessor's Obligations Following Termination So long as no Default has occurred and is continuing, within five Business Days of: (a) termination of this Agreement before Delivery pursuant to Section 4.3(b), 4.3(c), or 11.1; or (b) Return; or (c) receipt by Lessor of the Agreed Value following a Total Loss and all other amounts due under Section 11.2; or in any such case at such later time as Lessee has irrevocably paid to Lessor all amounts that are then outstanding under this Agreement, Lessor shall pay to Lessee an amount equal to that portion of the Commitment Fee that has not been previously applied (as provided for in any Operative Document), without interest. 7.5 AD Cost Sharing Any prior or subsequent workscopes involving AD Cost sharing shall be approved by both parties. Within 30 days of Lessee submitting a claim accompanied by reasonably acceptable evidence, Lessor shall contribute to Lessee's cost of terminating any single AD issued by EASA in accordance with the following formula: LC = (AC – $[*******]) × [1 – (MR ÷ LT)], where "LC" means Lessor's contribution; "AC" means Lessee's actual cost of replacement parts plus the cost of the associated labor at Lessee's in-house labor rates (if the work is performed by Lessee) or at the actual third party costs charged to Lessee (if the work is performed by third parties), and such amount shall (a) exclude the cost of maintenance or repairs covered by warranty or insurance claims, late charges, mark ups, shipping and handling charges, interest, customs duties, exchange fees or other similar amounts and (b) be reduced by the value of any OEM support programs or vendor rebates received by Lessee; "MR" means the number of months from (a) Lessee's completion of the AD on a terminating action basis until (b) the later of the Expiry Date or the Return date; and "LT" means the number of months in the Term.


 
38 8. Lessee's Covenants 8.1 Duration The undertakings in Sections 8, 12 and Schedule 3 shall: (a) except as otherwise stated, be performed at the expense of Lessee; and (b) remain in force until redelivery of the Aircraft to Lessor in accordance with this Agreement. 8.2 Information Lessee shall: (a) furnish to Lessor: (i) upon request, within 45 days after the last day of each half fiscal year of Lessee, unaudited consolidated six-monthly financial statements of Lessee prepared for such period, in English, including a consolidated balance sheet of Lessee and its Subsidiaries as of the last day of such period and consolidated statements of income and retained earnings for such fiscal period and for the year to date and, on a comparative basis, figures for the corresponding periods of the immediately preceding fiscal year, all in reasonable detail; (ii) upon request, as soon as available but not in any event later than 120 days after the last day of each fiscal year of Lessee, audited financial statements of Lessee prepared for such year, in English, including a consolidated balance sheet of Lessee and its Subsidiaries as of the last day of such year, consolidated statements of income and retained earnings of Lessee and its Subsidiaries for such fiscal year, and consolidated statements of cash flows of Lessee and its Subsidiaries for such fiscal year and in all cases on a comparative basis figures for the immediately preceding fiscal year, all in reasonable detail, each prepared in accordance with the Accounting Standard and certified without qualification by independent certified accountants as fairly presenting the financial position and the results of operations of Lessee and its Subsidiaries at the end of and for such fiscal year and as having been prepared in accordance with the Accounting Standard; (iii) in lieu of delivering to Lessor the financial statements referred to in Sections 8.2(a)(i) and (ii) above, Lessee may cause such financial statements to be made publicly available on the internet within the time periods set forth in Sections 8.2(a)(i) and (ii) above at an address identified to Lessor in writing; (iv) at the same time as it is issued to the creditors of Lessee, a copy of each notice or circular issued to Lessee's creditors as a group; and


 
39 (v) on request from time to time such other information regarding Lessee’s operation of the Aircraft as Lessor may reasonably request, including copies of all statements of account of any Government Entity or other Person in respect of any Flight Charges for the Aircraft; (b) on request, inform Lessor as to the current location of the Airframe and Engines, the serial number and owner of any engine installed on the Airframe and the serial number, registration mark and owner of any airframe on which an Engine is installed; (c) promptly furnish to Lessor all information that Lessor from time to time reasonably requests regarding the Aircraft, any Engine or any Part and its use, location and condition, including the hours available on the Aircraft and any Engine until the next scheduled check, inspection, overhaul or shop visit, as the case may be; (d) on request, furnish to Lessor evidence reasonably satisfactory to Lessor that all Taxes and charges incurred by Lessee with respect to the Aircraft have been paid and discharged in full or will be paid and discharged in accordance with standard business terms; (e) provide to Lessor, within ten days following the end of each calendar month during the Term, a monthly report on the Aircraft in the form set out in Exhibit D or such other form as Lessee may select providing substantially the same information; (f) promptly notify Lessor of: (i) any Total Loss, any Engine Loss, any theft of the Airframe or any Engine, any damage to the Aircraft if the potential cost of repair may reasonably be expected to exceed the Damage Notification Threshold or any modification to the Aircraft if the potential cost may reasonably be expected to exceed the Damage Notification Threshold; (ii) any claim or other occurrence likely to give rise to a claim under the Insurances (but, in the case of hull claims only, in excess of the Damage Notification Threshold) and details of any negotiations with the insurance brokers over any such claim; (iii) any litigation, arbitration or administrative proceedings that are pending or, to Lessee's knowledge, threatened against Lessee which, if adversely determined, could reasonably be expected to have a material adverse effect on the financial condition of Lessee or on the ability of Lessee to perform its obligations under the Operative Documents; and (iv) as soon as any officer of Lessee obtains knowledge thereof, any Default or Event of Default. 8.3 Operation of the Aircraft Lessee shall: (a) comply with all Applicable Law in force in any country or jurisdiction in which the Aircraft is being operated which is applicable to the Aircraft or the use and operation of the Aircraft;


 
40 (b) not use the Aircraft in any manner contrary to any requirements of the Aviation Authority or any applicable Manufacturer, contrary to any rule or regulation of the Aviation Authority or for any purpose for which the Aircraft is not designed or reasonably suitable; (c) ensure that the crew and engineers employed by it in connection with the operation and maintenance of the Aircraft have the qualifications and hold the licenses required by the Aviation Authority and Applicable Law; (d) use the Aircraft solely in commercial or other operations for which Lessee is duly authorized by the Aviation Authority and Applicable Law; (e) not knowingly use the Aircraft (or use the Aircraft when Lessee ought reasonably to have known that it was being so used) for the carriage of: (i) whole animals, living or dead, except in the cargo compartments according to IATA regulations, and except domestic pet animals carried in a suitable container to prevent the escape of any liquid and to ensure the welfare of the animal; (i) acids, toxic chemicals, mercury, other corrosive materials, explosives, nuclear fuels, nuclear wastes or any nuclear assemblies or components, except for dangerous goods in accordance with Lessee’s dangerous goods permits or as permitted for cargo aircraft under the "Restriction of Goods" schedule issued by IATA from time to time and provided that all the requirements for packaging or otherwise described therein are fulfilled; (ii) any other goods, materials or items of cargo which could reasonably be expected to cause damage to the Aircraft and which would not be adequately covered by the Insurances; or (iii) any illegal item or substance; (f) not utilize the Aircraft for purposes of training, qualifying or re-confirming the status of cockpit personnel except for the benefit of Lessee's cockpit personnel, and then only if the use of the Aircraft for such purpose is not disproportionate to the use for such purpose of other aircraft of the same type operated by Lessee; (g) obtain and maintain in full force all certificates, licenses, permits and authorizations required for the use and operation of the Aircraft for the time being, and for the making of payments required by, and the compliance by Lessee with its other obligations under, this Agreement; (h) not change the location of the Habitual Base of the Aircraft without the prior written consent of Lessor not to be unreasonable withheld or conditioned; and (i) not (other than for bona fide safety reasons) operate, or permit to be operated, the Aircraft to, from or in any Excluded Geographic Area nor any Prohibited Country, in violation of Sanctions or in a manner that would cause Lessor, Owner, Servicer or Financing Parties (provided their identity has been notified by Lessor to Lessee in writing) to breach Sanctions.


 
41 8.4 Taxes and Other Charges As between Lessor and Lessee, Lessee shall be responsible for all fees, expenses, charges and other costs related to the use, operation and maintenance of the Aircraft, and shall promptly pay: (a) all license and registration fees, Taxes, Flight Charges and other amounts of any nature imposed by any Government Entity that are imposed on Lessee or for which Lessee is responsible under the Operative Documents with respect to the Aircraft, including any amounts in respect of the delivery, leasing, possession, use, operation, or return of the Aircraft; (b) all rent, fees, charges, Taxes imposed on Lessee and other amounts in respect of any premises where the Aircraft or any Part thereof is located from time to time during the Term; and (c) all sums due by Lessee to any relevant ATC/Airport Authority in respect of all aircraft (including the Aircraft) operated by Lessee before such sums become overdue, except to the extent that such payment is being contested in good faith by appropriate proceedings in accordance with Section 5.13. 8.5 Possession Lessee shall not sublease or otherwise part with possession of the Aircraft, the Engines or any Part, except that Lessee may part with possession: (a) provided that no Default shall have occurred and be continuing, and only with respect to the Aircraft as a whole, pursuant to a dry sublease but only upon prior written consent to such sublease by Lessor (the granting of which being at Lessor’s sole discretion including in relation to any change in the State of Registration of the Aircraft), it being understood that any such sublease shall be in accordance with such terms and conditions as Lessor may impose if it grants such consent and that such consent shall in any event be conditioned on the following: (i) the sublessee covenants not to do anything which would prejudice identified Indemnitee’s interests, rights and benefits in the Aircraft or the Insurances, (ii) the sublease agreement shall be in form and substance satisfactory to Lessor, and shall (A) contain such terms and provisions as shall ensure that the sublessee shall not take any action which would contravene the provisions of the Agreement; and (B) prohibit any further subleasing of the Aircraft, (iii) the rights and interests of each Indemnitee in respect of the Aircraft or under this Agreement, the other Operative Documents and the Financing Documents and the right to repossess the Aircraft in the case of any Event of Default will not be adversely affected by the subleasing,


 
42 (iv) nothing shall affect the perfection of the interests of the Indemnitees in respect of the Aircraft or under this Agreement, the other Operative Documents or the Financing Documents, (v) the rights of the sublessee under the sublease agreement shall be expressly subject and subordinate to this Agreement, the other Operative Documents, the Financing Documents and to the respective rights, title and interest of Lessor, Owner and the Financing Parties, in the Aircraft and the subleasing of the Aircraft under the sublease agreement shall terminate simultaneously upon the termination of leasing of the Aircraft under this Agreement (and in no case shall the subleasing extend beyond the Expiry Date), (vi) the sublessee shall redeliver the Aircraft to Lessor upon notification from Lessor that an Event of Default has occurred and that, as a result thereof, Lessor has terminated the leasing of the Aircraft pursuant to this Agreement, (vii) Lessee shall remain fully liable and responsible for performing, and procuring the observance of and compliance with, all of its obligations under this Agreement (it being accepted by Lessor that performance by the sublessee of any obligation under this Agreement shall be equivalent to performance of that obligation by Lessee), (viii) the sublessee is not a Prohibited Person, (i) the sublease agreement shall be assigned to Lessor or a Financing Party (as designated in writing to Lessee by Lessor) as security pursuant to a security assignment agreement in a form satisfactory to Lessor, (ii) if applicable, Lessee shall cause the respective interests created by the sublease and Lessee’s assignment of the sublease to be registered as “international interests” under the Cape Town Convention and shall obtain an IDERA in favor of Lessor (or any other party designated by Lessor) from the sublessee, (iii) sublessee shall be required to provide to Lessor an Incident/Accident Clearance Statement in respect of the period of the subleasing, (iv) Lessee shall not relinquish possession of any hard copy of any Aircraft Document without written permission of Lessor, and (v) Lessee shall reimburse and indemnify each of Lessor, Owner and each Financing Party on demand for all reasonable out-of-pocket expenses (including the fees of external counsel) incurred in connection with the review by each such Person of any sublease proposal or agreement (whether or not Lessor’s consent to the sublease is ultimately given) and the implementation of any sublease. (b) with respect to the Aircraft, the Engines or any Part, to the applicable Manufacturers for testing or similar purposes, or to an Agreed Maintenance Performer for service, repair, maintenance or overhaul work or for alterations, modifications or additions to the extent required or permitted by this Agreement;


 
43 (c) with respect to an Engine or Part, as expressly permitted by this Agreement; (d) provided that no Default shall have occurred and be continuing, with respect to the Aircraft, pursuant to an ACMI (aircraft, crew, maintenance and insurance) or "wet" lease or charter of the Aircraft in which operational control of the Aircraft remains with Lessee at all times (each a "Wet Lease"), provided (i) the term of such Wet Lease, including extensions, does not extend, nor is capable of being extended, beyond the Scheduled Expiry Date, (ii) the Aircraft remains registered with the Aviation Authority, (iii) the Aircraft shall be maintained, insured and otherwise operated in accordance with the provisions of this Agreement and no possessory rights whatsoever shall be granted to the wet lessee pursuant to or in connection with the Wet Lease, and (iv) the wet lessee is not a Prohibited Person; and (e) with respect to the Aircraft, pursuant to a code sharing arrangement so long as operational control of the Aircraft remains with Lessee at all times. 8.6 Inspection (a) Lessor, any Financing Party and any Person designated in writing by Lessor or any Financing Party may visit on an annual basis, inspect and survey the Aircraft, any Engine or any Part and for such purpose may, subject to any applicable Aviation Authority regulation and the insurances, travel on the flight deck as observer. Lessor, any Financing Party or any designee shall not be restricted during such inspection from inspecting behind any panels, bays or doors on the Aircraft already opened as part of a check or maintenance work or from inspecting any part of the Aircraft. (b) Lessee shall have no responsibility for the costs and expenses of Lessor and any Financing Party in connection with any such visit, inspection or survey unless an Event of Default has occurred and is continuing or the visit, inspection or survey discloses that Lessee is in breach of its material obligations under this Agreement, in which case such costs and expenses shall be paid by Lessee on demand. (c) Lessor shall: (i) have no duty to make, or liability arising out of, any such visit, inspection or survey; and (ii) so long as no Default has occurred and is continuing, not exercise such right more often than annually and not other than on reasonable notice and so as not to unreasonably disrupt the maintenance or operation of the Aircraft. 8.7 Protection of Title Lessee acknowledges that title to the Aircraft shall at all times be and remain solely and exclusively vested in Owner and that the Operative Documents constitute for all purposes, including tax purposes, an agreement by Lessor to lease the Aircraft to Lessee and, accordingly, Lessee shall: (a) not do or knowingly permit to be done or omit or knowingly permit to be omitted to be done any act or thing which might reasonably be expected to jeopardize the respective rights, title and interest of any Financing Party if the identity and interest of such Financing Party has been notified in writing to Lessee by Lessor as mortgagee of the Aircraft and assignee


 
44 of this Agreement or Owner as owner of the Aircraft and Lessor as lessor under this Agreement, or the validity, enforceability or priority of any Financing Security Document notice of which has been given to Lessee or which would be likely to expose Owner, Lessor or any Financing Party whose identity has been notified in writing to Lessee to any criminal or civil liability; (b) on all occasions when the ownership of the Aircraft, any Engine or any Part is relevant, make clear to third parties that title is held by Owner and is subject to any Financing Security Document notice of which has been given to Lessee; (c) not at any time: (i) represent or hold out Owner, Lessor or any Financing Party as carrying goods or passengers on the Aircraft or as being in any way connected or associated with any operation or carriage (whether for hire or reward or gratuitously) which may be undertaken by Lessee; or (ii) pledge the credit of Owner, Lessor or any Financing Party; (d) ensure that there is always affixed, and not removed or in any way obscured, a fireproof plate (having dimensions of not less than 6 in. x 4 in.) in a reasonably prominent position on the Aircraft with the following legend: "This Aircraft (MSN [*******]) is owned by CASP Leasing I, LLC" or such other legend as requested by Lessor in writing from time to time; (e) ensure that there is always affixed on each Engine, and not removed or in any way obscured, a fireproof plate in a prominent position near such Engine's data plate with the following legend: "This Engine (ESN [Insert esn]) is owned by CASP Leasing I, LLC" or such other legend as requested by Lessor in writing from time to time; (f) not create or permit to exist any Security Interest upon the Aircraft, any Engine or any Part, except Permitted Liens and shall promptly take, or cause to be taken, such actions as may be necessary to discharge any such Security Interest (other than Permitted Liens) that may at any time arise, exist or be levied upon the Aircraft, any Engine or Part; (g) not do or permit to be done anything which may reasonably be expected to expose the Aircraft, any Engine or any Part to penalty, forfeiture, impounding, detention, appropriation, damage or destruction and, without prejudice to the foregoing, if any such penalty, forfeiture, impounding, detention, appropriation, damage or destruction occurs, give Lessor notice and use its best reasonable efforts to procure the immediate release of the Aircraft, such Engine or such Part, as the case may be; (h) not abandon the Aircraft, any Engine or any Part; (i) pay and discharge or cause to be paid and discharged when due and payable or make adequate provision by way of security or otherwise for all debts, damages, claims and


 
45 liabilities which have given or might reasonably be expected to give rise to a Security Interest over or affecting the Aircraft, any Engine or any Part; and (j) not attempt, or hold itself out as having any power, to sell, lease or otherwise dispose of the Aircraft, any Engine or any Part other than as expressly permitted by this Agreement. 8.8 Business of Lessee Lessee shall: (a) not make any substantial change in the nature of the business in which it is engaged if such change could reasonably be expected to have a material adverse effect on the financial condition of Lessee or on the ability of Lessee to perform its obligations under the Operative Documents; (b) preserve its corporate existence, and shall not merge or consolidate with any Person, or sell all or substantially all of its assets to any Person, unless the successor Person resulting from such merger or consolidation or purchasing all or substantially all of Lessee's assets (in each event, the "Successor"): (i) is a Person incorporated, formed or organized under the laws of the State of Organization, any state or province of the United States of America or the Dominion of Canada, a member of the European Union, the United Kingdom, Israel, or another jurisdiction consented to in writing by Lessor (such consent not to be unreasonably withheld); (ii) has a net worth immediately after such merger, consolidation or purchase of Lessee's assets that is not less than Lessee's net worth immediately prior to such transaction; (iii) is authorized under Applicable Law to perform Lessee's obligations under the Operative Documents to the same extent as Lessee; (iv) delivers to Lessor an agreement in form and substance reasonably satisfactory to Lessor containing an assumption by the Successor of Lessee's representations and warranties under this Agreement, together with the due and punctual performance of all of Lessee's obligations under the Operative Documents; and (v) delivers to Lessor an opinion of counsel reasonably satisfactory in form and substance to Lessor covering the Operative Documents and the agreement referred to in Section 8.8(b)(iv) above; and (c) not at any time be a Prohibited Person or be owned (whether in whole or in part) or controlled by or acting directly or indirectly on behalf of or for the benefit of a Prohibited Person, nor shall any officer, director, manager, employee or Affiliate of Lessee be a Prohibited Person.


 
46 8.9 Records Lessee shall procure that accurate, complete and current records of all flights made by, and all maintenance, repairs, replacements, removals, modifications, alterations and additions carried out on or made to, the Aircraft during the Term (including, in relation to each Engine or Part subsequently installed, before its installation) are kept in English, and shall keep the records in such manner as the Aviation Authority, EASA and the FAA may from time to time require. In addition, all Airframe and Engine LLPs installed or replaced during the Term shall have documentation substantiating traceability "back to birth" to confirm current accumulated Flight Hours and Cycles and any repairs performed on the Aircraft shall have documentation substantiating the processes and all materials used in performing the repairs and such documentation shall include material certification. All such records and documentation shall form part of the Aircraft Documents. 8.10 Registration and Filings (a) Lessee shall at its cost maintain the registration of the Aircraft with the Aviation Authority reflecting (so far as permitted by Applicable Law) the interests of Owner and any Financing Party notified in writing by Lessor to Lessee and not do or suffer to be done anything which might reasonably be expected to adversely affect that registration; (b) Lessee shall do all acts and things (including making any filing or registration with the Aviation Authority or any other Government Entity) and execute and deliver all documents (including any amendment of this Agreement) as may be required by Lessor: (i) following any change or proposed change in the ownership or financing of the Aircraft or in the manner of securing Owner's or Lessor's obligations to the Financing Parties, at Lessor’s cost; (ii) following any modification of the Aircraft, any Engine or any Part or the permanent replacement of any Engine or Part in accordance with this Agreement, so as to ensure that the respective rights of Owner, Lessor and any Financing Party under this Agreement apply with the same effect as before, at Lessee’s cost; or (iii) to establish, maintain, preserve, perfect and protect the respective rights of Owner, Lessor and any Financing Party under this Agreement and in and to the Aircraft, at Lessor’s cost; and (c) without limitation to the generality of Section 8.10(b) above, if at any time in the State of Registration there shall be, or be brought into force, any legislative or other provisions giving effect to the Geneva Convention of 1948 or the Cape Town Convention or otherwise relating to the recognition of rights in aircraft, or if at any time the Cape Town Convention is brought into force or made applicable in any country where Lessee is "situated" for purposes of the Cape Town Convention, do and join with Lessor in doing all such acts and executing and delivering all such documents as may be necessary or advisable to perfect Owner's and Lessor's respective title and interests in, and the interests of any Financing Party in, the Aircraft and the Operative Documents in accordance with such legislative or other provisions. Lessee hereby irrevocably consents to the registration of this Agreement as an "international interest" under the Cape Town Convention.


 
47 8.11 Maintenance and Repair Lessee shall: (a) keep the Aircraft airworthy in all respects and in good repair and condition, and carry out all maintenance in accordance with the Approved Maintenance Program; (b) maintain the Aircraft in accordance with the EASA requirements and all rules and regulations of the Aviation Authority as are applicable to passenger aircraft of the same type as the Aircraft, and maintain the Aircraft so as to comply at all times with the type certificate specification and data sheets for the Aircraft; (c) maintain the Aircraft in accordance with the Approved Maintenance Program through Agreed Maintenance Performers and perform (at the respective intervals provided in the Approved Maintenance Program) all Major Checks and lesser checks, and in respect of each Major Check, (i) Lessor shall be notified by Lessee reasonably in advance of the commencement of the Major Check, including as to the Agreed Maintenance Performer and for Lessor's review of the workscope, (ii) Lessor shall be entitled to have representatives present during the performance of the Major Check to review all aspects of such performance, including the workscope thereof and (iii) if required by the Agreed Maintenance Performer, Lessee shall give written authorization to the Agreed Maintenance Performer granting Lessor and its representatives full access to the Major Check and all documents and correspondence generated during and as a result of the Major Check, subject to the Agreed Maintenance Performer’s rules and procedures. (d) advise Lessor in writing of all material changes to the Approved Maintenance Program with Lessor retaining its right to review any introduced changes that may have impact on Major Checks interval and definition and amend the related associated Additional Rent Rate accordingly; (e) comply with all mandatory inspection and modification requirements, ADs and similar requirements applicable to the Aircraft, any Engine or Part having a compliance date on or before the Expiry Date and that are required by the Aviation Authority or EASA; (f) comply with all Applicable Law and the regulations of the Aviation Authority and any other Government Entities with jurisdiction over Lessee or the Aircraft, any Engine or Part that relate to the maintenance, condition, use or operation of the Aircraft or require any modification or alteration to the Aircraft, any Engine or Part; (g) maintain in good standing a certificate of airworthiness for the Aircraft in the appropriate category for the nature of the operations of the Aircraft issued by the Aviation Authority, and provide a copy to Lessor at any time on request; (h) if required by the Aviation Authority, maintain a current certification as to maintenance issued by or on behalf of the Aviation Authority in respect of the Aircraft and provide a copy to Lessor at any time on request; (i) perform each Engine Shop Visit (or cause each Engine Shop Visit to be performed) consistent with the Engine Manufacturer's recommendations set forth in the MPD, including in respect of the determination of target run times and the documentation of critical and critical influencing Parts;


 
48 (j) maintain the Engines and the APU as set forth in the respective Manufacturer's maintenance manual; (k) not enter into any engine maintenance cost per flight hour, power by the hour or similar agreement with the Engine Manufacturer or any other engine maintenance facility or organization with respect to any Engine without Lessor's prior written consent, not to be unreasonably withheld; (l) procure promptly the replacement of any Part which has become time, cycle or calendar expired, lost, stolen, seized, confiscated, destroyed, damaged beyond repair, unserviceable or permanently rendered unfit for use, with a part complying with the conditions set out in Section 8.13(a); (m) accomplish all repairs, modifications and alterations in accordance with the SRM or, if the repair, modification or alteration is outside the scope of the SRM, as recommended in writing by the applicable Manufacturer and shall incorporate into the Approved Maintenance Program any applicable instruction from such Manufacturer for continued airworthiness following such repair, modification or alteration; (n) provide Lessor with a written summary of all sampling programs involving or affecting the Aircraft; (o) ensure that (i) each Major Check and other overhaul is accomplished in accordance with the respective Manufacturer's recommendations and using maintenance and quality control procedures approved by the Aviation Authority and (ii) each Agreed Maintenance Performer provides a complete record of all work performed during the course of such Major Check or other overhaul that demonstrates accomplishment in accordance with Aviation Authority and EASA requirements; (p) comply with the provisions of Section 11.4 in connection with any damage or incident involving the Aircraft; and (q) use reasonable endeavours to ensure that no Engine remains in unserviceable condition for greater than 120 consecutive days, subject to the availability of maintenance slots, force majeure affecting any maintenance provider, and other issues outside Lessee’s control. 8.12 Removal of Engines and Parts Lessee shall ensure that no Engine or Part installed on the Aircraft is at any time removed from the Aircraft other than: (a) when the removal is of a Part that is an obsolete item and is in accordance with the Approved Maintenance Program; (b) in accordance with Section 8.14(c) or Section 8.15; (c) during the course of maintaining, servicing, repairing, overhauling or testing the Engine or Part or the Aircraft, as the case may be; or (d) for the purpose of making Equipment Changes, as are permitted under this Agreement;


 
49 and in each case title to such Engine or Part shall at all times remain vested in Owner and the interests of any Financing Party shall be protected to the same extent as if the Engine or Part remained installed on the Aircraft notwithstanding such removal from the Aircraft, except in the case of (x) a removal of a Part as described by subpart (a) above or (y) a transfer of title to a Part to Lessee in accordance with Section 8.17(b). 8.13 Installation of Engines and Parts (a) If a Part is removed from the Aircraft for any of the reasons set forth in Section 8.12 (except in the case of a removal as described by Section 8.12(a)): (i) Lessee shall promptly install a part in place of such Part that (1) is in as good operating condition as such Part, (2) inspections, overhauls and shop visits, is of the same or a more advanced make and model and is of the same interchangeable modification status as such Part, and (3) has attached to it a current airworthiness release certificate issued by the manufacturer or approved vendor indicating that the part is new, serviceable repaired or overhauled (with Lessee retaining all such certificates); and (ii) in the case of a part that is replacing a Part in the Landing Gear, APU or an Engine, the part is an OEM Part, unless Lessee has obtained Lessor's prior written approval to install a non-OEM Part, which approval, if given, shall be given only for the installation of PMA Parts manufactured in accordance with FAR Part 21.303 (or its EASA equivalent) that are consumable parts such as brackets, gaskets and seals (it being understood that the installation of stationary or high energy rotating PMA Parts in the Engine or APU gas path shall not be approved by Lessor), and any proposed repair to an OEM Part or PMA Part in the Landing Gear, APU or an Engine that has been approved by an FAA Designated Engineering Representative (or its EASA equivalent) must also be approved by Lessor in writing prior to performance of the repair. (b) In the case of the removal of a Part from the Aircraft for any of the reasons set forth in Section 8.12, and if no Default has occurred and is continuing, Lessee may install a part on the Aircraft as a temporary replacement for such removed Part, notwithstanding the provisions of Section 8.13(a), if: (i) there is not available to Lessee a replacement part that complies with the requirements of Section 8.13(a); (ii) it would result in an unreasonable disruption of the operation of the Aircraft or the business of Lessee to ground the Aircraft until a part that complies with Section 8.13(a) becomes available for installation on the Aircraft; and (iii) as soon as practicable after installation of the same on the Aircraft but, in any event, no later than the earlier of (1) 90 days after such installation and (2) the Expiry Date, Lessee removes any such part and replaces it with the Part replaced by it or by a part that complies with Section 8.13(a). (c) If no Default has occurred and is continuing, Lessee may install a Third Party Engine or Lessee Installed Part on the Airframe if:


 
50 (i) the terms of any lease, conditional sale agreement or security agreement, as the case may be, covering such Third Party Engine or Lessee Installed Part will not have the effect of prejudicing the respective title and interests of Owner, Lessor and the Financing Parties in and to the Aircraft (including its Engines and Parts) or the interests of the Financing Parties in respect thereof under any Financing Security Document; (ii) the secured party, lessor or conditional vendor, as the case may be, of such Third Party Engine or Lessee Installed Part has confirmed and acknowledged in writing (which confirmation and acknowledgment may be contained in the lease, conditional sale agreement or security agreement covering such Third Party Engine or Lessee Installed Part, as applicable) to Owner and Lessor that it shall respect the respective rights, title and interests of Owner, Lessor and the Financing Parties in and to the Aircraft (including its Engines and Parts) and that it shall not seek to exercise any rights whatsoever in relation thereto, and Lessee so agrees to the extent that title is held by it; and (iii) in the case of a Third Party Engine, before the Expiry Date Lessee removes any such Third Party Engine and replaces it with the Engine replaced by it. (d) Lessor agrees, for the benefit of any mortgagee, conditional vendor or holder of any other Security Interest in any Third Party Engine installed on the Airframe, that Lessor shall not claim any title to or interest in any such Third Party Engine as the result of such Third Party Engine being installed on the Airframe; provided, that the agreement by Lessor set forth in this Section 8.13(d) is subject to Lessor's rights to take possession of the Aircraft under Section 13.2(c)(i) and/or to require Lessee to redeliver the Aircraft under Section 13.2(c)(ii) with such Third Party Engine installed. 8.14 Non-Installed Engines and Parts (a) Lessee shall ensure that any Engine or Part that is not installed on the Airframe (or any other airframe, to the extent permitted by this Agreement) is, except as expressly permitted by this Agreement, maintained, properly and safely stored and kept free from Security Interests (other than Permitted Liens), with insurance thereon complying with the requirements of this Agreement. (b) Lessee shall notify Lessor whenever an Engine is removed from the Aircraft and, from time to time, upon request use its best efforts to procure that any Person to whom possession of an Engine is given acknowledges in writing to Lessor, in form and substance satisfactory to Lessor, that such Person shall respect the respective interests of Owner, Lessor and the Financing Parties in such Engine and shall not seek to exercise any rights whatsoever in relation to such Engine. (c) Lessee may, if no Default has occurred and is continuing, install any Engine on an airframe and any Part on an airframe or engine: (i) owned and operated by Lessee free from Security Interests, other than Permitted Liens;


 
51 (ii) leased to or hired by Lessee pursuant to a lease or conditional sale agreement on a long term basis and on terms whereby Lessee has full operational control of that airframe or engine; or (iii) acquired or financed by Lessee and operated by Lessee, whether in connection with a lease, conditional sale agreement or Security Interest, on terms such that ownership of that airframe or engine, as the case may be, is vested in or held by any other Person; provided, that in the case of (ii) and (iii): (A) the terms of any such lease, conditional sale agreement or Security Interest shall not have the effect of prejudicing the respective title and interests of Owner and Lessor in and to that Engine or Part or the interest of any Financing Party in respect thereof under any Financing Security Document; (B) the lessor under such lease, the seller under such conditional sale agreement or the secured party of such Security Interest, as the case may be, has confirmed and acknowledged in writing, in form and substance satisfactory to Lessor, that it shall respect the respective rights, title and interests of Owner, Lessor and any Financing Party to and in that Engine or Part and that it shall not seek to exercise any rights whatsoever in relation thereto; and (C) Lessee shall have delivered to Lessor evidence satisfactory to Lessor of the matters set forth in clauses (A) and (B) above, which may be by written confirmation, in form and substance satisfactory to Lessor, from the applicable lessor, seller or secured party, or by Lessee providing a copy (certified as being true, correct and complete by Lessee) of the applicable provisions of the applicable lease, conditional sale agreement or security agreement. 8.15 Pooling of Engines and Parts Lessor acknowledges and accepts that Lessee has entered into a Parts Pool Agreement relating to rotables with Lufthansa. The parts received from the Lufthansa pool shall not have been altered by DER. Title to such parts replaced upon installation shall be vested in the Lessor. Lessee shall not enter into nor permit any further pooling agreement or arrangement in respect of an Engine or Part without the prior written consent of Lessor except, so long as no Default has occurred and is continuing, for pooling agreements or arrangements satisfying the following conditions: (a) Lessee has entered into the pooling agreement or arrangement in the ordinary course of its airline business; (b) the other parties to the pooling agreement or arrangement are reputable, solvent commercial air carriers or the Manufacturers or regular suppliers of the Engine or Part (or other reputable, solvent organizations whose business includes the administration of and participation in such pooling agreements or arrangements);


 
52 (c) the Engine or Part is leased, let on hire or otherwise made available by Lessee on terms conferring no more than a contractual right in personam against Lessee and not a right in rem against such Engine or Part; (d) in the case of an Engine, the pooling agreement or arrangement does not permit the transfer of title to such Engine; and (e) the pooling agreement or arrangement either provides that Owner or Lessor (or any Financing Party designated by Lessor) shall be the loss payee in respect of any loss or damage to the Engine or Part, or provides for Owner to acquire title to a replacement engine or part (if the Engine or Part is destroyed) that satisfies the conditions set forth in Section 11.3(a) (in the case of a replacement engine) or Section 8.13(a)(in the case of a replacement part). 8.16 Equipment Changes (a) Lessor acknowledges that title to the passenger seats in the Aircraft will remain at all times with Lessee and that Lessee may from time to time remove or replace the passenger seats without Lessor’s consent. (b) Lessee shall not make any Voluntary Equipment Change expected to cost in excess of $150,000 or that deviates from the Aircraft's original type design or configuration without the prior written consent of Lessor, which consent shall not be unreasonably withheld. (c) Lessor may review Lessee's proposed designs, plans, engineering drawings and diagrams, and flight and maintenance manual revisions for any proposed Equipment Change. If requested by Lessor, Lessee shall furnish Lessor (at Lessee's expense) with such documents in final form and any other documents required by Applicable Law as a result of an Equipment Change. All Equipment Changes made to the Aircraft shall be properly documented in the Aircraft Documents and be fully approved per EASA requirements. (d) Lessee shall not make any Voluntary Equipment Change that has the effect of diminishing or impairing the value, utility, condition or airworthiness of the Aircraft or invalidating any warranty applicable to the Aircraft. (e) All permanent or structural Equipment Changes, all Mandatory Equipment Changes and all Voluntary Equipment Changes shall, upon installation, become a part of the Aircraft and the property of Lessor. At Lessor's request, all Voluntary Equipment Changes shall be removed from the Aircraft before return of the Aircraft to Lessor and the Aircraft shall be restored to its condition prior to that Equipment Change, and upon such removal and restoration shall revert to become the property of Lessee; provided, that Lessee may not remove a Voluntary Equipment Change without Lessor's consent during the continuation of a Default. 8.17 Title to Parts (a) Title to each part installed on the Aircraft, whether by way of replacement of a Part, as the result of an Equipment Change or otherwise (except for a Lessee Installed Part or a part installed as a temporary replacement part pursuant to Section 8.13(b)) shall on installation, without further act, vest in Owner subject to this Agreement and free and clear of all


 
53 Security Interests (except for Lessor Liens). Lessee shall at its own expense take all such steps and execute, and procure the execution of, all such instruments that are necessary under Applicable Law to ensure that title so passes to Owner and is subject to the Security Interests created by any Financing Security Document. At any time when requested by Lessor, Lessee shall provide evidence to Lessor's reasonable satisfaction (including the provision, if required, to Lessor of one or more legal opinions) that title has so passed to Owner and is subject to the Security Interests created by any Financing Security Document. (b) Any Part at any time removed from the Aircraft shall remain the property of Owner until a replacement has been made in accordance with Section 8.13(a) of this Agreement and until title to that replacement has passed, in accordance with Section 8.17(a) and Applicable Law, to Owner subject to this Agreement and free of all Security Interests (except for Lessor Liens), whereupon title to the removed Part shall, if no Default has occurred and is continuing, pass to Lessee free of Lessor Liens. (c) If any Lessee Installed Part is not removed prior to Return, then upon Return, title to such Lessee Installed Part shall, without further act, vest in Owner free and clear of all Security Interests. Lessee shall at its own expense take all such steps and execute, and procure the execution of, all such instruments that are necessary to ensure that title so passes to Owner. 8.18 Third Parties Lessee shall procure that no Person or sublessee having possession of the Aircraft during the Term shall act in any manner inconsistent with Lessee's obligations under this Agreement. 8.19 Non-Discrimination (a) Lessee shall not discriminate against the Aircraft in its use, maintenance or operation of the Aircraft compared to similar aircraft owned or operated by Lessee, and Lessee shall service, repair, maintain and overhaul the Aircraft so as to keep the Aircraft maintained in the same manner and with the same care as used by Lessee with similar aircraft owned or operated by Lessee. (b) Subject to a sublease permitted pursuant to Section 8.5, Lessee shall not discriminate and shall operate the Aircraft in the same manner as any other aircraft in its fleet until delivery to the Redelivery Location immediately prior to the Final Inspection. (c) Lessee shall perform (or cause to be performed) normal progressive maintenance on the Aircraft throughout the Term, and no unusual maintenance procedures or cessation of maintenance shall occur during the one year period prior to the Expiry Date. 8.20 Unserviceable Engine Replacement Notwithstanding the provisions of Section 7.2(f) and this Section 8, in the event that an Engine becomes unserviceable for any reason (other than due to Lessee’s gross negligence or willful misconduct or foreign object damage), Lessee shall return the Engine to Lessor in an unserviceable condition to ETG’s facility in Varna, Bulgaria. Lessee shall lease or otherwise provide from its own inventory a spare engine at Lessee’s sole cost for


 
54 the remainder of the Term and notwithstanding Section 5.4, will no longer be obligated to pay Engine Additional Rent and Engine LLP Additional Rent for the unserviceable Engine commencing with the day immediately following the date on which the Engine became unserviceable. Furthermore, Lessor shall reduce the Basic Rent Amount by an amount reflecting Lessee’s Actual Cost to procure a replacement engine, with such cost reduction capped at $50,000 per month per removed unserviceable Engine. In the alternative, Lessor shall have the option to provide to Lessee, at Lessor’s cost and expense, a replacement engine (acceptable to Lessee at its sole discretion) with expected life remaining to last on-wing for the duration of the Term. In such case, the Basic Rent Amount payable by Lessee for the Aircraft, the Engine Additional and Engine LLP Additional Rent shall remain the same and Lessee’s obligation to pay these amounts shall continue. In case the replacement engine suffers a foreign object damage (FOD) event or an insurance-related repairable event and during the repair of the damages due to such event Lessee identifies further repairs to other parts of the replacement engine that need to be performed, the engine module percentages set opposite that engine module as listed in the table immediately below shall apply. Engine Module Engine Module Percentage Fan / Booster 15% High Pressure Compressor 25% Combustor 8% High Pressure Turbine 27% Low Pressure Turbine / Accessory GearBox 25% 8.21 APU and Landing Gear Replacement In the event of a Major Check coming due for either the APU or any of the Landing Gear, Lessor, in its sole discretion, shall have the option to supply a replacement APU or landing gear in exchange for the APU or Landing Gear on the Airframe that is in need of an APU Basic Shop Visit or Landing Gear Overhaul. Any replacement APU or Landing Gear shall be of the same (or improved) make and model as the APU or Landing Gear being replaced, suitable for installation on the Aircraft in serviceable condition and having expected life remaining to last on-wing for the duration of the Term. Provided such replacement occurs during the Term, the return conditions set forth in Schedule 3 attached hereto will be amended accordingly to ensure that the replacement APU or Landing Gear will meet the redelivery requirements without further necessary maintenance. 9. Insurance 9.1 Insurances Lessee shall maintain in full force and effect during the Term insurances in respect of the Aircraft in form and substance reasonably satisfactory to Lessor (the "Insurances") through such brokers and with such insurers and having such deductibles and being subject to such exclusions as are usual and customary in the leading international


 
55 insurance markets for international air carriers operating aircraft of the same type as the Aircraft and who are similarly situated as Lessee. The Insurances shall be effected on a direct basis with insurers who normally participate in aviation insurances and led by reputable insurers. 9.2 Requirements Lessor's requirements as of the date of this Agreement as to Insurances are as specified in this Section 9 and in Schedule 4. Except for the amount of the Agreed Value, the Minimum Liability Coverage and the deductible under Lessee's hull and war risk insurance policies, Lessor may from time to time stipulate such other requirements for the Insurances as Lessor reasonably considers necessary to ensure that the scope and level of cover is maintained in accordance with the then prevailing industry practice in relation to aircraft of the same type as the Aircraft and in relation to air carriers similarly situated as Lessee. In the event that Lessor makes any such stipulation, Lessor shall notify Lessee accordingly and Lessor and/or its brokers shall then consult in good faith with Lessee and Lessee's brokers (as for the time being approved by Lessor) with regard to such stipulation. Following the consultation, if Lessor confirms that the stipulation should be made, Lessee shall then comply with the stipulated requirements. 9.3 Insurance Covenants Lessee shall: (a) ensure that all legal requirements as to insurance of the Aircraft, any Engine or any Part that may from time to time be imposed by the laws of the State of Registration or any jurisdiction to, from or over which the Aircraft may be flown, in so far as they affect or concern the operation of the Aircraft, are complied with and, in particular, those requirements compliance with which is necessary to ensure that: (i) the Aircraft does not become subject to detention or forfeiture; (ii) the Insurances remain valid and in full force and effect; and (iii) the interests of the Indemnitees in respect of the Insurances and the Aircraft, any Engine or any Part are not thereby prejudiced; (b) not use, cause or permit the Aircraft, any Engine or any Part to be used for any purpose or in any manner not covered by the Insurances or outside any geographical limit imposed by the Insurances; (c) comply with the terms and conditions of each policy of the Insurances and not do, consent or agree to any act or omission that: (i) invalidates or may reasonably be expected to invalidate the Insurances; (ii) renders or may reasonably be expected to render void or voidable the whole or any part of any of the Insurances; or (iii) brings any particular liability within the scope of an exclusion or exception to the Insurances;


 
56 (d) not take out without the prior written approval of Lessor any insurance in respect of the Aircraft other than those of the type required under this Agreement unless relating solely to business interruption, engine break-down or deductible buy-down risk and, in each such case, when such insurance does not prejudice the Insurances required under this Agreement or the recovery by Owner, Lessor and/or any Financing Party (as the case may be) thereunder; provided, that Lessee may take out hull "all risks" and hull war and allied perils insurance in respect of the Aircraft in excess of the Agreed Value, but only to the extent that (i) such excess insurance does not exceed 10% of the Agreed Value and (ii) such excess insurance does not prejudice the Insurances required under this Agreement or the recovery by Owner, Lessor and/or any Financing Party (as the case may be) thereunder; (e) provide to Lessor copies of those documents evidencing the Insurances which Lessor may reasonably request, including, without limitation, certificates of insurance, certificates of reinsurance, insurance brokers' undertakings, and reinsurance broker's undertakings; (f) procure that all certificates of insurance, certificates of reinsurance, insurance brokers' undertakings and reinsurance brokers' undertakings that are provided to Lessor from time to time are in form and substance reasonably satisfactory to Lessor; (g) on request, provide to Lessor evidence that the Insurance premiums have been paid; (h) not make any modification or alteration to the Insurances material and adverse to the interests of any of the Indemnitees; (i) be responsible for any deductible under the Insurances; and (j) provide any other insurance related information, or assistance, in respect of the Insurances as Lessor may reasonably request. 9.4 Renewal of Insurances Lessee shall commence renewal procedures no later than 30 days prior to the expiration of any of the Insurances and provide to Lessor: (a) if requested by Lessor, a written status report of renewal negotiations 14 days prior to each expiration date; and (b) prior to each expiration date, a certificate of insurance and broker's letter of undertaking substantially in the form delivered to Lessor on the Delivery Date describing the renewal coverage and confirming the insurers' agreement to the specified insurance requirements of this Agreement, provided, however, that in the event that the certificate of insurance and broker's letter of undertaking are not provided to Lessor prior to an expiration date, Lessee shall procure that Lessee's insurance broker and reinsurance broker (if applicable) notify Lessor prior to such expiration date that Lessee's insurances have been renewed on terms no less favorable to Lessor than the prior coverage and Lessee shall provide the applicable certificate of insurance and broker's letter of undertaking to Lessor no later than seven (7) days after such expiration date.


 
57 9.5 Failure to Insure If Lessee fails to maintain the Insurances in compliance with this Agreement: (a) Lessee shall immediately ground the Aircraft and shall keep it grounded until such time as the Insurances shall again be in full force and effect. (b) Lessee shall immediately notify Lessor of such non-compliance and provide Lessor with a description of all steps that Lessee is taking or proposes to take in order to remedy such non-compliance. (c) Each of the Indemnitees shall be entitled but not obligated (without prejudice to any other rights of Lessor under this Agreement): (i) to pay the premiums due or to effect and maintain insurances satisfactory to it or otherwise remedy Lessee's failure in such manner (including to effect and maintain an "owner's interest" policy) as it considers appropriate, and any sums so expended by it shall become immediately due and payable by Lessee to Lessor on demand (such demand being made as soon as reasonably practicable following the incurring of such expenditure), together with interest thereon at the Overdue Rate from the date of expenditure by it up to the date of reimbursement by Lessee (before and after any judgment); and (ii) at any time while such failure is continuing to require the Aircraft to remain at any airport or to proceed to and remain at any airport designated by it until the failure is remedied to its reasonable satisfaction. 9.6 Continuing Insurance for Indemnity (a) Lessee shall effect and maintain insurance after the date of a Transfer and after the Expiry Date with respect to its liability under the indemnities in Section 10 for two years, providing for each Indemnitee (as existing immediately prior to such Transfer or the Expiry Date, as applicable) to be named as an additional insured either in accordance with customary market practice or pursuant to the provisions of the airline finance/lease contract Endorsement AVN 99 if the Insurances incorporate the terms of AVN 67C. (b) Lessee's obligation under this Section 9.6 shall not be affected by Lessee ceasing to be lessee of the Aircraft or any of the Indemnitees ceasing to have any interest in respect of the Aircraft, and upon a Transfer pursuant to Section 14.2, Lessee shall continue to name each Indemnitee (as existing immediately prior to such Transfer) as an additional insured under the insurance policies described by Section 1(d) of Schedule 4 for two years after the date of the Transfer. 9.7 Application of Insurance Proceeds As between Lessor and Lessee, and except to the extent otherwise required pursuant to the provisions of the airline finance/lease contract Endorsements AVN 67C and AVN 67C (Hull War) or any successor endorsements, if applicable:


 
58 (a) All insurance payments, up to the Agreed Value, received as the result of a Total Loss occurring during the Term shall be paid to Owner (unless or until Lessor notifies Lessee that said payments should be made to a specified Financing Party). (b) Any payment(s) of insurance proceeds in respect of any damage or loss to the Aircraft, any Engine or any Part occurring during the Term not constituting a Total Loss in an aggregate amount greater than the Damage Notification Threshold shall be paid to Owner (unless or until Lessor notifies Lessee that said payments should be made to a specified Financing Party) and applied in payment (or to reimburse Lessee) for repairs or replacement property upon Lessor being reasonably satisfied that the repairs or replacement have been or are being effected in accordance with this Agreement. Any payment of insurance proceeds in amounts less than the Damage Notification Threshold may be paid by the insurer directly to Lessee. Any balance remaining (after application of proceeds in respect of repairs or replacement) shall be paid to or may be retained by Lessee. (c) All insurance proceeds in respect of third party liability shall be paid to the relevant third party. (d) Notwithstanding the provisions of Sections 9.7(a) and (b), if at the time of the payment of any insurance proceeds as described by Sections 9.7(a) and (b) a Default has occurred and is continuing, all such proceeds shall be paid to or retained by Owner (unless or until Lessor notifies Lessee that said payments should be made to a Financing Party) to be applied toward payment of any amounts that may be or become payable by Lessee in such order as Owner and Lessor see fit. In the event that Lessee remedies any such Default to the reasonable satisfaction of Lessor, then Lessor shall procure that all such insurance proceeds then held by Owner, Lessor or any Financing Party, as the case may be, in excess of the amounts (if any) applied by Owner, Lessor or any Financing Party, as the case may be, in accordance with this Section 9.7(d) shall be paid promptly to Lessee. 9.8 Aggregate Limits If any of the Insurances is subject to an aggregate annual or other periodic limit, and, by reason of any claims made thereunder during the course of the applicable period in respect of any property subject to such policy, the aggregate amount of coverage available thereunder in respect of the balance of such applicable period shall have been reduced: (a) Lessee shall forthwith notify Lessor of the amount of any such claim; and (b) Lessee shall not operate the Aircraft during the balance of such period either (i) without the prior written consent of Lessor or (ii) until Lessee has increased the aggregate limit under the relevant policy for such period to such amount as Lessor may reasonably require. 9.9 Form LSW555D Exclusions In this Section 9.9, the term "Uninsured Risks" shall mean the matters set out in the exclusions to form LSW555D (or any successor provision approved by Lessor) for chemical or biological weapons, "dirty bombs" and electromagnetic pulse weapons. If cover in respect of the Uninsured Risks is, or becomes, available in the leading international insurance markets at commercially reasonable rates (having reference to the


 
59 extent to which such cover is commonly taken by international air carriers) Lessee shall, if requested by Lessor, obtain and maintain, or cause to be obtained and maintained, insurance cover for the Uninsured Risks to the fullest extent available in the leading international insurance markets. 10. Indemnity 10.1 General (a) Lessee shall defend, indemnify and hold harmless each of the Indemnitees for, from and against any and all claims, proceedings, losses, liabilities, suits, judgments, costs, expenses, penalties or fines (each a "Claim") regardless of when the same is made or incurred, whether during or after the Term (but not before): (i) that may at any time be suffered or incurred directly or indirectly as a result of or connected with possession, repossession, inspection, testing, delivery, performance, management, registration, deregistration, control, maintenance, condition, service, repair, overhaul, storage, leasing, subleasing, use, operation or return of the Aircraft, any Engine or Part (whether in the air or on the ground) whether or not the Claim may be attributable to any defect in the Aircraft, any Engine or any Part or to its design, testing, use or otherwise, and regardless of when the same arises or whether it arises out of or is attributable to any act or omission, negligent or otherwise, of any Indemnitee; (ii) that arise out of any act or omission that invalidates or that renders voidable any of the Insurances; or (iii) that may at any time be suffered or incurred as a consequence of any design, article or material in the Aircraft, any Engine or any Part or its operation or use constituting an infringement of patent, copyright, trademark, design or other proprietary right or a breach of any obligation of confidentiality owed to any Person. (b) Notwithstanding the provisions of Section 10.1(a), Lessee shall not have to indemnify an Indemnitee for any Claim to the extent that: (i) it arises directly as a result of the fraud, willful misconduct or gross negligence of any Indemnitee that needs to be substantiated by Lessee; (ii) it arises directly as a result of the breach by Lessor of its covenant of quiet enjoyment as set forth in Section 7.1; (iii) it arises directly as a result of a breach by any Indemnitee of its express obligations under any Operative Document or as a result of a representation or warranty given by such Indemnitee in an Operative Document not being true and correct at the date when, or when deemed to have been, given or made; (iv) it constitutes a cost or expense that is expressly required to be borne by Lessor in accordance with another provision of this Agreement;


 
60 (v) it represents a Tax or loss of tax benefits (Lessee's liabilities for which, including exclusions, are set out in Sections 5.7, 5.8, 5.9 and 5.11); (vi) it results solely from any disposition not caused by Lessee of all or any part of Owner's or Lessor's rights, title or interest in or to the Aircraft or under this Agreement, unless such disposition occurs as a consequence of an Event of Default; or (vii) it is attributable to an event occurring after the Expiry Date unless the Claim results from or arises out of an act or omission by Lessee, or any circumstance existing, during the Term. 10.2 Mitigation (a) Lessor shall notify Lessee in writing as soon as reasonably practicable after it becomes aware of any circumstances that would, or would reasonably be expected to, become the subject of a claim for indemnification pursuant to Section 10.1, provided, however, that failure to give such notice shall not terminate any of the rights of Indemnitees under this Section 10. Lessor (and any other Indemnitee seeking indemnification, as the case may be) and Lessee shall then consult with one another in good faith in order to determine what action (if any) may reasonably be taken to avoid or mitigate such Claim. Unless a Default has occurred and is continuing, Lessee shall have the right to take all reasonable action (on behalf and, if necessary, in the name of Lessor or such other Indemnitee other than the Financing Parties) in order to resist, defend or settle (provided such settlement is accompanied by payment) any Claim, provided that Lessee shall not be entitled to take any such action unless adequate provision, reasonably satisfactory to Lessor and such other Indemnitee other than the Financing Parties, shall have been made in respect of the Claim and the costs thereof. Lessee or, if the Claim is covered by Lessee's Insurances, Lessee's insurers shall be entitled to select any counsel to represent it or them, Lessor and such other Indemnitee other than the Financing Parties in connection with any such action, subject to the approval of Lessor and such other Indemnitee, and any action taken by Lessee shall be on a full indemnity basis in respect of Lessor and such other Indemnitee other than the Financing Parties. (b) Any sums paid by Lessee to Lessor or any Indemnitee in respect of any Claim pursuant to Section 10.1 shall be paid subject to the condition that, in the event that Lessor or such Indemnitee is subsequently reimbursed in respect of that Claim by any other Person, Lessor or such Indemnitee shall, provided no Default shall have occurred and be continuing, promptly pay to Lessee an amount equal to the sum paid to it by Lessee, including any interest on such amount to the extent attributable thereto and received by Lessor or such Indemnitee, less any Tax payable by Lessor or such Indemnitee in respect of such reimbursement. 11. Events Of Loss 11.1 Total Loss Before Delivery If a Total Loss of the Aircraft occurs before Delivery, this Agreement shall immediately terminate and neither party shall have any further obligation or liability under this Agreement except as expressly stated herein.


 
61 11.2 Total Loss After Delivery (a) If a Total Loss of the Aircraft occurs after Delivery, Lessee shall pay the Agreed Value to Owner (or any Financing Party designated by Lessor) on the earlier of: (i) the date of receipt of the insurance proceeds payable as a result of the Total Loss, or (ii) 90 days after the Total Loss Date (the "Settlement Date"), in either case unless the Aircraft is restored to Owner, Lessor or Lessee within that period (or, in the case of a Total Loss coming within paragraph (c) of the definition of Total Loss and involving the loss of Owner's title to the Aircraft, if both the Aircraft and Owner's title thereto are restored to Owner and/or Lessor or, in the case of the Aircraft, to Lessee). (b) The receipt by Owner (or any Financing Party designated by Lessor) of the insurance proceeds in respect of the Total Loss on or prior to the Settlement Date shall discharge Lessee from its obligation to pay the Agreed Value pursuant to this Section 11.2, provided such proceeds are not less than the Agreed Value. In the event that the insurance proceeds are paid initially to Lessee and not to Owner (or any Financing Party designated by Lessor), they may be retained by Lessee if Lessee shall have paid the Agreed Value to Owner (or any Financing Party designated by Lessor); otherwise Lessee shall pay the Agreed Value to Owner (or any Financing Party designated by Lessor) not later than the next Business Day following receipt by Lessee of such proceeds. In the event that Lessee pays the Agreed Value to Owner (or any Financing Party designated by Lessor) in full in accordance with this Section 11.2, Lessor shall cause Owner (or any applicable Financing Party) to promptly assign to Lessee its rights under the Insurances to receive the insurance proceeds in respect of the Total Loss to the extent that such proceeds have not been paid to Lessee. (c) Subject to the rights of any insurers or other third parties, upon irrevocable payment in full to Owner (or any Financing Party designated by Lessor) of the Agreed Value and all other amounts that are payable to Lessor under the Operative Documents, Owner shall without recourse or warranty (except as to the absence of Lessor Liens), and without further act, be deemed to have transferred to Lessee all of Owner's rights to any Engines or Parts not installed when the Total Loss occurred (or to any Engines or Parts that survived the Total Loss), all on an "as is where is" basis, and Lessor shall cause Owner to, at Lessee's expense, execute and deliver such bills of sale and other documents and instruments as Lessee may reasonably request to evidence (on the public record or otherwise) the transfer and the vesting of Owner's rights in such Engines and Parts in Lessee, free and clear of all rights of Owner and any Lessor Liens. 11.3 Engine Loss (a) Upon the occurrence of an Engine Loss in circumstances in which there has not also occurred a Total Loss (including, for the avoidance of doubt, at a time when the Engine is not installed on the Airframe), Lessee shall give Lessor written notice promptly upon becoming aware of the same and shall, within 60 days after the Engine Loss Date, convey or cause to be conveyed to Owner, as replacement for such Engine, title to a replacement engine that (1) is an engine of the same model as, or an improved or advanced version


 
62 of, the lost Engine (provided, in the case of an improved or advanced version, it can be installed and operated on the Airframe without modification of the Airframe or the engine, whether or not the other installed Engine is also such an improved or advanced version), (2) is in the same or better operating condition, has substantially similar hours available until the next scheduled checks, inspections, overhauls and shop visits and has the same or greater value and utility as the lost Engine had immediately prior to the Engine Loss (assuming the lost Engine was, immediately prior to the Engine Loss, in the condition required by this Agreement), (3) has attached to it a current airworthiness release certificate issued by the Engine Manufacturer or an approved vendor indicating that the engine is new, serviceable or overhauled (with Lessee retaining all such certificates) and (4) is accompanied by documentation establishing traceability "back to birth" for all installed life limited parts. Lessee shall at its own expense take all such steps and execute, and procure the execution of, a warranty bill of sale covering such replacement engine, a supplement to this Agreement adding such replacement engine to the Aircraft and all such other agreements and instruments that are necessary to ensure that title to such Engine passes to Owner and is subject to the Security Interests created by any Financing Security Document and such replacement engine becomes an "Engine", all according to Applicable Law. At any time when requested by Lessor, Lessee shall provide evidence to Lessor's reasonable satisfaction (including the provision, if required, to Lessor of one of more legal opinions) that title has so passed to Owner and is subject to the Security Interests created by any Financing Security Document. (b) Upon compliance with the foregoing title transfer provisions, the leasing of the replaced Engine that suffered the Engine Loss shall cease and title to such replaced Engine shall (subject to any salvage rights of insurers) vest in Lessee free of Lessor Liens. If Owner, Lessor or any Financing Party subsequently receives any insurance proceeds relating to such Engine Loss, Lessor shall promptly remit such proceeds, or cause such proceeds to be remitted, to Lessee. (c) No Engine Loss with respect to any Engine that is replaced in accordance with the provisions of this Section 11.3 shall result in any increase or decrease in Basic Rent, Additional Rent or the Agreed Value. 11.4 Damage or Incident Not Constituting a Total Loss Following the occurrence of any damage to the Aircraft, any Engine or any Part that does not constitute a Total Loss or an Engine Loss and where either (i) the potential cost of repair may reasonably be expected to exceed the Damage Notification Threshold or (ii) Lessor notifies Lessee in writing that Lessor reasonably believes the damage will permanently affect the value of the Aircraft, Lessee shall take the following actions: (a) Lessee shall consult with, and comply with, all reasonable instructions of Lessor with respect to the accomplishment of repairs; (b) Lessee shall obtain Lessor's consent prior to agreeing upon any repair workscope or seeking Manufacturer approval in connection with any such repairs; and 11.5 Requisition During any requisition for use or hire of the Aircraft, any Engine or Part that does not constitute a Total Loss:


 
63 (a) the Basic Rent, Additional Rent and Supplemental Rent payable under this Agreement shall not be suspended or abated either in whole or in part, and Lessee shall not be released from any of its other obligations under this Agreement (other than operational obligations with which Lessee is unable to comply solely by virtue of the requisition); (b) so long as no Default has occurred and is continuing, Lessee shall be entitled to any compensation payable by the requisitioning authority in respect of the Term; (c) Lessee shall, as soon as practicable after the end of any such requisition (with the Term being extended if and to the extent that the period of requisition continues beyond the Scheduled Expiry Date), cause the Aircraft to be put into the condition required by this Agreement; and (d) Lessor shall be entitled to all compensation payable by the requisitioning authority in respect of any change in the structure, state or condition of the Aircraft arising during the period of requisition, and Lessor shall apply such compensation in reimbursing Lessee for the cost of complying with its obligations under this Agreement in respect of any such change; provided, that, if any Default has occurred and is continuing, Lessor may apply the compensation in or towards settlement of any amounts owing by Lessee under this Agreement. 12. Return Of Aircraft On the Expiry Date or termination of the leasing of the Aircraft under this Agreement, Lessee shall, unless a Total Loss has occurred, at its expense, return the Aircraft and Aircraft Documents to Lessor at the Redelivery Location in accordance with the procedures described in Schedule 3 and in a condition complying with Schedule 3, free and clear of all Security Interests and Permitted Liens (other than Lessor Liens). If it becomes unlawful for Lessee or Lessor to perform any of its material obligations under the Operative Documents, or any of the Operative Documents becomes wholly or partially invalid or unenforceable, then the affected party shall, as soon as reasonably practicable, notify the other party of such illegality. The parties shall then consult in good faith in order to restructure the transactions contemplated by this Agreement and the other Operative Documents in order to avoid or mitigate such illegality, and will, if possible, enter into substitute arrangements which are valid, legal and enforceable and which have the same commercial effect as this Agreement and the other Operative Documents. If no appropriate restructuring is possible, either party may, by notice in writing to the other, terminate the leasing of the Aircraft under this Agreement, such termination to take effect on the latest date on which Lessor or Lessee, as the case may be, may continue such leasing without being in breach of any law, and Lessee shall forthwith redeliver the Aircraft to Lessor subject to redelivery procedures set forth in this Agreement. 13. Default 13.1 Events Each of the following events shall constitute an Event of Default and shall be deemed a material breach and a repudiation of this Agreement by Lessee:


 
64 (a) Non-payment: Lessee (i) fails to pay the Agreed Value and all other amounts required under Section 11.2 on the Settlement Date, (ii) fails to make any payment of Basic Rent or Additional Rent within three Business Days after the date on which such payment is due or (iii) fails to pay any other amount payable by it under this Agreement or any other Operative Document within five Business Days after written notice from Lessor that such amount is due; (b) Material Covenants: Lessee (i) fails to return the Aircraft to Lessor in accordance with Section 12 and Schedule 3, (ii) fails to maintain in full force and effect any insurance required to be maintained under Section 9, (iii) transfers possession of the Airframe or any Engine or Aircraft Documents to another Person other than as permitted by this Agreement or (iv) operates the Aircraft to, from, over or in any Excluded Geographic Area (unless such operation to, from, over or in an Excluded Geographic Area is an emergency landing due to mechanical issues or an in-flight emergency) or any Prohibited Country in violation of Sanctions or in a manner that would cause Lessor, Owner, Servicer or Financing Parties (provided the identity of such has been notified to Lessee) to breach Sanctions; (c) Breach: Lessee fails to comply with any other provision of this Agreement or any other Operative Document and, if such failure is, in the reasonable opinion of Lessor, capable of remedy, the failure continues for 14 days after written notice from Lessor to Lessee, provided, that if such failure cannot reasonably be remedied within such 14 day period and Lessee is diligently undertaking all necessary remedial action, the 14 day period shall be extended for a further 14 days; (d) Representation: any representation or warranty made (or deemed to be repeated) by Lessee in the Operative Documents or in any document or certificate furnished to Lessor pursuant to or in connection with the Operative Documents is or proves to have been incorrect in any material respect when made or deemed to be repeated, is not corrected within 14 days of Lessor giving written notice to Lessee requiring such correction, and Lessee's ability to comply with its obligations under the Operative Documents, and/or Owner's or Lessor's respective rights, title and interests to and in the Aircraft and/or under the Operative Documents, are thereby materially and adversely affected; (e) Cross Default: (i) any Financial Indebtedness of Lessee that exceeds $1,000,000 is not paid when due and any applicable grace period shall have expired; (ii) the security for any Financial Indebtedness of Lessee that exceeds $1,000,000 is enforced; (iii) any lease, conditional sale, installment sale or forward purchase agreement of Lessee or any of its Affiliates in respect of an aircraft is terminated as a consequence of an event of default or termination event (however described); or an event of default (however described) occurs under any lease, conditional sale, installment sale, forward purchase agreement or any other agreement between (x) Lessor or any of its Affiliates (or any Person for whom Lessor or any of its Affiliates acts as lease manager or servicer, in connection with any such agreement) and (y) Lessee or any of its Affiliates (collectively, the "Related Agreements");


 
65 (f) Approvals: any consent, authorization, license, certificate or approval of or registration with or declaration to any Government Entity in connection with this Agreement, including: (i) any authorization required by Lessee of, or in connection with, the execution, delivery, validity, enforceability or admissibility in evidence of the Operative Documents or the performance by Lessee of its obligations under the Operative Documents; or (ii) any airline license, air transport license, franchise, concession, permit, certificate, right or privilege required by Lessee for the conduct of its business, is modified, withheld, revoked, suspended, canceled, withdrawn, terminated or not renewed, or otherwise ceases to be in full force and is not reissued, reinstated or renewed within 15 days, provided however that any such modification, withholding, revocation, suspension, cancellation, withdrawal, termination or non-renewal shall only constitute an Event of Default if it could have a material adverse effect on the financial condition of Lessee or on the ability of Lessee to perform its obligations under the Operative Documents or on Lessor's or Owner's respective rights, title and interest to and in the Aircraft or under the Operative Documents; (g) Insolvency: (i) Lessee is, or is deemed for the purposes of any Applicable Law to be, unable to pay its debts as they fall due or to be insolvent; or (ii) Lessee suspends making payments on all or any class of its debts or announces an intention to do so, or a moratorium is declared in respect of any of its indebtedness; (h) Bankruptcy and Similar Proceedings: (i) Lessee shall consent to the appointment of a receiver, trustee or liquidator for itself or for a substantial part of its property; (ii) Lessee shall admit in writing its inability to pay its debts generally as they become due, or Lessee shall make a general assignment for the benefit of creditors; (iii) Lessee shall file a voluntary petition in bankruptcy or a voluntary petition or answer seeking reorganization in a proceeding under any laws dealing with bankruptcy, insolvency, moratorium or creditors' rights generally (any or all of which are hereinafter referred to as "Bankruptcy Laws"), or an answer admitting the material allegations of a petition filed against Lessee in any such proceeding, or Lessee shall by voluntary petition or answer consent to or fail to oppose the seeking of relief under the provisions of any Bankruptcy Laws; (iv) any order, judgment or decree is entered by a court of competent jurisdiction appointing a receiver, trustee or liquidator of Lessee or a substantial part of its property, or ordering a substantial part of Lessee's property to be


 
66 sequestered, is instituted or done with the consent of Lessee or, if instituted by another Person, the order, judgment or decree is not dismissed, remedied or relinquished within 30 days; (v) a petition against Lessee in a proceeding under any Bankruptcy Laws shall be filed and shall not be withdrawn or dismissed within 30 days thereafter, or if, under the provisions of any Bankruptcy Laws that may apply to Lessee, any court of competent jurisdiction shall assume jurisdiction, custody or control of Lessee or of any substantial part of its property; or (vi) any step, voluntary or otherwise, (including petition, proposal, or convening a meeting or any other scheme of arrangement under Applicable Law) is taken with a view to a composition, assignment, restructuring or arrangement with any creditors of, or the reorganization, rehabilitation, administration, liquidation, or dissolution of, Lessee, any Operative Documents or any other insolvency proceedings involving Lessee; (i) Other Jurisdiction: there occurs in relation to Lessee any event anywhere which, in the reasonable opinion of Lessor, corresponds with any of those mentioned in Section 13.1(h); (j) Suspension of Business: Lessee suspends or ceases to carry on (or threatens to suspend or cease to carry on) all or a substantial part of its business; (k) Disposal: Lessee disposes or threatens to dispose of all or a material part of its assets, whether by one or a series of transactions, related or not, other than (i) pursuant to a merger or consolidation as referred to in, and subject to, Section 8.8(b) or (ii) for the purpose of any other reorganization or amalgamation the terms of which have received the previous consent in writing of Lessor; (l) Rights: the existence, validity, enforceability or priority of the rights of Owner as owner and Lessor as lessor in respect of the Aircraft or the rights of any Financing Party as mortgagee of the Aircraft or assignee of this Agreement are challenged by Lessee or any other Person claiming by or through Lessee (but for the avoidance of doubt this clause (l) shall not apply to any dispute under the Purchase Agreement); (m) Change of Ownership: any single Person or group of Persons acquire control, directly or indirectly, of Lessee without the previous consent in writing of Lessor (which consent shall not be unreasonably withheld, conditioned or delayed)unless Lessor is of the reasonable opinion that such acquisition of control shall have a materially adverse effect on Lessee's ability to perform its obligations under the Operative Documents or Lessor's or Owner's respective rights, title and interest in and to the Aircraft or under the Operative Documents), not including (i) individuals or other Persons that are currently in control of Lessee or (ii) a partnership or trust set up for the benefit of individuals identified in clause (i); (n) Delivery: Lessee fails to accept delivery of the Aircraft when validly tendered pursuant to this Agreement by Lessor; (o) Adverse Change: any event or series of events occurs which could have a material adverse effect on the financial condition of Lessee or on the ability of Lessee to perform its obligations under the Operative Documents or to have a prejudicial effect on Owner's,


 
67 Lessor's or any Financing Party's respective rights, title and/or interests in and to the Aircraft or under the Operative Documents; or (p) Nationalization: all or a material part of the undertakings, rights, assets or revenues of, or shares or other ownership interests in, Lessee are seized, nationalized, expropriated or compulsorily acquired by or under the authority of any Government Entity. If an Event of Default occurs, and for as long as it shall continue, Lessor may at its option (and without prejudice to any of its other rights under this Agreement or that may arise by operation of Applicable Law), at any time thereafter: (a) by notice to Lessee (unless giving of such notice is prevented or prohibited by Applicable Law, in which case no such notice shall be required) with immediate effect terminate the leasing of the Aircraft (but without prejudice to the continuing obligations of Lessee under this Agreement), whereupon all rights of Lessee under this Agreement shall cease; and/or (b) subject to Section 15.2, proceed by appropriate legal action or actions to enforce performance of this Agreement or to recover damages for the breach of this Agreement; and/or (c) either: (i) take possession of the Aircraft, for which purpose Lessor may enter any premises belonging to, occupied by or under the control of Lessee (for which purpose Lessee hereby grants to Lessor an irrevocable license to the extent permitted by Applicable Law) where the Aircraft may be located, or cause the Aircraft to be redelivered to Lessor at the Redelivery Location (or such other location as Lessor may require), and Lessor is hereby irrevocably authorized and empowered, to the extent permitted by Applicable Law, to direct pilots of Lessee or other pilots to fly the Aircraft to that airport and shall have all the powers and authorizations necessary for taking such action; or (ii) by serving notice, require Lessee to redeliver the Aircraft to Lessor at the Redelivery Location (or such other location as Lessor may require) in the condition required by Section 12 and Schedule 3; and/or (d) sell, lease or otherwise deal with the Aircraft in such manner as Lessor in its absolute discretion considers appropriate; and/or (e) oblige Lessee to take all steps necessary to deregister the Aircraft from the aircraft registry of the State of Registration and export the Aircraft from the country where the Aircraft is for the time being registered or situated and any other steps necessary to enable the Aircraft to be redelivered to Lessor in accordance with this Agreement. Lessee hereby irrevocably and by way of security for its obligations under the Operative Documents authorizes and empowers Lessor as its attorney-in-fact and agent (such agency being coupled with an interest), in Lessor's own name or in the name of Lessee, to execute and deliver any documentation and to do any act or thing required in connection with the foregoing.


 
68 13.2 Default Payments If an Event of Default occurs, in addition to any loss, damage or other amount available under Applicable Law, Lessee shall indemnify and pay to Owner and Lessor on demand against any loss (including loss of profit), damage, expense, cost or liability that Owner or Lessor may sustain or incur directly or indirectly as a result, including: (a) all Basic Rent, Additional Rent and Supplemental Rent which are then due and unpaid or which become due prior to Lessor's recovery of possession of the Aircraft; (b) any loss (calculated on an after-tax basis) suffered by Lessor because of Lessor's inability to place the Aircraft on lease with another lessee on terms as favorable to Lessor as the terms of this Agreement or because whatever use, if any, to which Lessor is able to put the Aircraft upon its return to Lessor, or the funds arising upon a sale or other disposition of the Aircraft, is not as profitable (calculated on an after-tax basis) to Lessor as this Agreement would have been but for such Event of Default; (c) any cost or expense incurred in connection with the exercise by Lessor of its remedies under this Agreement, including costs incurred in respect of repossession, insurance, legal services, consulting services, storage and preservation, repair and remarketing of the Aircraft to third parties; (d) any amount of principal, interest, fees or other sums paid or payable on account of funds borrowed in order to carry any amount unpaid by Lessee; (e) any loss, cost, expense or liability incurred by Lessor owing to Lessee's failure to redeliver the Aircraft on the date, at the place and in the condition required by this Agreement, including an amount equal to the costs incurred (or likely to be incurred) by Lessor for maintenance and/or modifications as necessary to put the Aircraft into such condition and an amount sufficient to fully compensate Lessor for loss of bargain if such failure results in the cancellation of a pending sale or lease of the Aircraft; (f) any additional amount as may be necessary to place Lessor in the same economic position, on an after-tax basis, as Lessor would have been in if Lessee had properly and fully performed each of its obligations under this Agreement. 13.3 Cape Town Convention Remedies For purposes of the Cape Town Convention (if applicable), Lessor and Lessee acknowledge and agree that: (a) each Event of Default shall constitute a "default" for the purposes of Article 11 of the Cape Town Convention; and (b) upon the occurrence of any Event of Default: (i) Lessor shall be afforded all speedy and other relief, rights and remedies set forth in the Cape Town Convention as a result of such Event of Default; (ii) all of the rights set forth in Section 13.2 shall be deemed "additional remedies" for the purposes of Article 12 of the Cape Town Convention; and


 
69 (iii) Lessor may exercise any or all of its rights under Articles 8, 10 and 13(1) of the Cape Town Convention and any other rights expressed to be available to creditors under the Cape Town Convention. 13.4 Waiver of Certain Rights To the fullest extent permitted by Applicable Law, each of Lessor and Lessee hereby agrees that no rights or remedies referred to in the U.N. Convention on Contracts for the International Sales of Goods shall be conferred upon either Lessor or Lessee unless otherwise expressly granted in this Agreement. The U.N. Convention on Contracts for the International Sales of Goods is not applicable to this Agreement. 14. Assignment, Transfer and Financing 14.1 No Assignment by Lessee Lessee shall not assign any of its right, title, interests, duties, obligations or liabilities in, to or under the Operative Documents, or create or permit to exist any Security Interest (other than Permitted Liens) over any of its rights under the Operative Documents, and any such purported assignment or grant of a Security Interest shall be void ab initio and of no force or effect. Without limiting the foregoing, if any assignment prohibited under the foregoing sentence shall be valid by operation of any non-waivable provision of Applicable Law, Lessee shall nevertheless remain fully liable for the payment and performance of all of Lessee's obligations to be paid and performed hereunder as fully and to the same extent as if such assignment had not been effected, without prejudice to the obligations of the assignee. 14.2 Owner and/or Lessor Assignment (a) Owner and/or Lessor may sell, assign or transfer all of their respective rights under the Operative Documents together with all their respective rights in the Aircraft (a "Transfer") to another Person (a "Transferee") and Owner and/or Lessor (as the case may be) shall, other than in the case of an assignment for security purposes, have no further obligation under the Operative Documents following a Transfer but, notwithstanding any Transfer, shall remain entitled to the benefit of each indemnity under this Agreement. (b) In connection with any Transfer by Lessor (other than an assignment for security purposes), the following conditions shall apply: (i) Lessor shall give Lessee written notice of such Transfer at least 10 days before the date of such Transfer, specifying the name, address and tax jurisdiction of the expected Transferee; (ii) the Transferee shall either (A) be an Affiliate of Owner or Lessor or (B) be a Person reasonably experienced in aircraft leasing (or the Transferee's rights and powers under this Agreement shall be exercised or serviced on its behalf pursuant to a management or servicing agreement by a Person having such experience); (iii) the Transferee shall not be an airline or the Affiliate of an airline or a competitor or the Affiliate of a competitor of Lessee;


 
70 (iv) Lessee shall be satisfied that, pursuant to Applicable Law at the time of the transfer, Lessor will have no greater payment obligations, will not be subject to any increased cost, obligation or liability (financial or otherwise and including as to Tax) and will not suffer any diminution of any of its rights or remedies under this Agreement or the Operative Documents as a result of such assignment or transfer than Lessee would have had without such transfer; (v) the Transferee shall demonstrate, to Lessee’s reasonable satisfaction, that it has a net worth of no less than 8,000,000 (eight million) USD or that its obligations under the Operative Documents are guaranteed by a Person whose net worth is no less than 8,000,000 (eight million) USD; (vi) such Transfer shall not result in a change of State of Registration (unless otherwise agreed with Lessee); and (vii) on the Transfer date, Lessor and the Transferee shall enter into an agreement or agreements in which the Transferee confirms that it shall be deemed a party to this Agreement and agrees to be bound by all the terms of this Agreement, including, in particular, the covenant of quiet enjoyment, and to undertake all of the obligations of, Lessor contained in this Agreement arising on or after the time of the Transfer or due but not performed on the date of the Transfer. (c) Upon any Transfer by Lessor (other than an assignment for security purposes), the Transferee shall be deemed Lessor for all purposes of this Agreement, each reference in this Agreement to "Lessor" shall thereafter be deemed for all purposes to refer to the Transferee, and the transferor shall be relieved of all obligations of "Lessor" under this Agreement arising on or after the time of such Transfer. (d) Lessee shall at the time of any Transfer, at the written request of Lessor and with Lessor reimbursing Lessee for Lessee's reasonable and properly documented out-of-pocket costs and expenses: (i) execute and deliver to Lessor and to such Transferee an agreement, in form and substance satisfactory to Lessor, Lessee and such Transferee, dated the date of such Transfer, acknowledging such Transfer, and, in the case of a Transfer by Lessor, agreeing to pay all or such portion of the Basic Rent, Additional Rent and other payments under this Agreement to such Transferee (or its designee) as such Transferee shall direct and agreeing that such Transferee shall be entitled to rely on all representations and warranties made by Lessee in the Operative Documents or in any certificate or document furnished by Lessee in connection with the Operative Documents as though such Transferee was the original "Lessor" hereunder; (ii) deliver to Lessor and to such Transferee a certificate, signed by a duly authorized officer of Lessee, dated the date of such Transfer, to the effect that (A) no Event of Default has occurred and is continuing or, if one is then continuing, describing such Event of Default and (B) the representations and warranties set forth in Section 2.1 are true and correct as of such date;


 
71 (iii) cause to be delivered to Lessor and such Transferee certificates of insurance and broker's letters of undertaking substantially in the form delivered to Lessor on the Delivery Date, detailing the coverage and confirming the insurers' agreement to the specified insurance requirements of this Agreement and listing Owner, Lessor and such Transferee as additional insureds and Owner, such Transferee or any Financing Party designated by Transferee (as the case may be) as loss payee; (iv) deliver to Lessor and to such Transferee an opinion of Lessee's counsel (which may be Lessee's General Counsel), addressed to Lessor and such Transferee to the effect that the agreement referred to in Section 14.2(d)(i) has been duly authorized and executed by Lessee and constitutes the legal, valid and binding obligation of Lessee, enforceable against Lessee in accordance with its terms (subject to customary exceptions), and to the effect that such Transferee may rely on the opinion delivered by such counsel or its predecessor counsel in connection with the Operative Documents on the Delivery Date with the same force and effect as if such Transferee was an original addressee of such opinion when given; (v) deliver to Lessor and such Transferee information as to the location of the Airframe and Engines at all times requested by Lessor in order to permit the Transfer to take place at a time and on a date so as to eliminate or minimize any Taxes applicable to the Transfer; (vi) deliver to such Transferee an Incident/Accident Clearance Statement; (vii) execute and deliver to such Transferee an IDERA (if applicable) in favor of such Transferee; (viii) take any actions as are reasonably requested by Lessor to effect, perfect, record or implement the Transfer and execute and/or provide such other documents as Owner, Lessor or such Transferee may reasonably request; and (ix) ensure that the fireproof plates installed on the Aircraft and Engines are replaced by new fireproof plates reflecting either (A) the name of each of Owner and Transferee, in the case of an assignment for security purposes or (B) the name of Transferee, in the case of a Transfer by Owner not involving an assignment for security purposes. 14.3 Financing Parties; Grants of Security Interests (a) On or before the Delivery Date, and from time to time thereafter, Lessor shall advise Lessee in writing of any Financing Parties, any Financing Documents requiring any such Financing Parties to be named as additional insureds hereunder and any Financing Security Documents providing to any such Financing Parties a Security Interest in the Aircraft or Owner's or Lessor's right, title and interest in any Operative Documents. (b) Each of Owner and Lessor shall be entitled at any time after Delivery to grant a Security Interest in the Aircraft or its respective rights, title and interests in any Operative Document, including a Security Interest in replacement of or with a priority senior, equal


 
72 or subordinate to any previous grant of a Security Interest. In the case of any such grant, Lessee shall promptly, at the written request of Lessor and with Lessor reimbursing Lessee for Lessee's reasonable and properly documented out-of-pocket costs and expenses: (i) execute and deliver to Lessor the Notice and Acknowledgment acknowledging the new Financing Security Documents and the new Financing Parties; (ii) sign in its capacity as operator of the Aircraft and deliver to Lessor any Bulgarian-law pledge agreement over the Aircraft entered into between Owner and a third party for the purposes of perfection of such pledge under the Bulgarian Civil Aviation Act; (iii) deliver to Lessor and any new Financing Parties a certificate, signed by a duly authorized officer of Lessee, dated the date of the grant, to the effect that (1) no Event of Default has occurred and is continuing or, if one is then continuing, describing such Event of Default and (2) the representations and warranties set forth in Section 2.1 are true and correct as of such date; (iv) cause to be delivered to Lessor certificates of insurance and broker's letters of undertaking substantially in the form delivered to Lessor on the Delivery Date, detailing the coverage and confirming the insurers' agreement to the specified insurance requirements of this Agreement and adding the additional Financing Parties as additional insureds and, if requested by Lessor, as loss payees; and (v) take any actions as are reasonably requested by Lessor to effect, perfect, record or implement such grant and execute and/or provide such other documents as Lessor may reasonably request. 14.4 Sale and Leaseback by Lessor In addition to the Transfers and grants of Security Interests as contemplated by Sections 14.2 and 14.3, Lessor shall be entitled to transfer its right, title and interests in and to the Aircraft to any Person and lease the Aircraft from such Person (a "Head Lessor"), and in such event Lessor shall retain its rights and obligations as "Lessor" under this Agreement. In the event of such a sale and leaseback by Lessor, (a) Lessor shall be entitled to assign its rights in this Agreement to such Head Lessor as security for its obligations under the head lease, (b) the Head Lessor shall be entitled to grant to one or more purchase money lenders, or to an agent or trustee on behalf of such lenders, a Security Interest covering the Aircraft and/or the Operative Documents, (c) Lessee shall take such actions and execute and deliver such documents as described in Sections 14.2(d) and 14.3(b) and (d) Lessee shall cooperate with Lessor to amend the Operative Documents, including an amendment to include the Head Lessor and such secured parties as additional insureds and "Indemnitees" for purposes of this Agreement, as Lessor may reasonably request. 14.5 Cooperation; Acknowledgment Lessee shall cooperate with, and provide all reasonable assistance to, Owner, Lessor, any applicable Financing Party and any Transferee in connection with any Transfer or


 
73 grant of a Security Interest as contemplated by Sections 14.2 and 14.3. Lessee acknowledges that any Transferee shall in turn have the rights of, and be subject to the conditions to, Transfer and grants of Security Interests set forth above in this Section 14. 14.6 Certain Protections for Lessee's Benefit At the time of any grant of a Security Interest or any transfer to a Head Lessor as contemplated by Sections 14.3 or 14.4, Lessor shall obtain for the benefit of Lessee an acknowledgment from each Financing Party holding a Security Interest in this Agreement and/or such Head Lessor (as the case may be) that, so long as no Event of Default has occurred and is continuing, such Financing Party or Head Lessor (as the case may be) shall not interfere with the quiet use, possession and enjoyment of the Aircraft by Lessee. No Transfer shall cause or result in any increase in or additional obligations (including with respect to Taxes) of Lessee under this Agreement based on the laws in effect at the time of such Transfer. 14.7 Advance Consent under Cape Town Convention For purposes of Article 33(1) of the Cape Town Convention (and Article XV of the Aircraft Equipment Protocol thereto), Lessee hereby consents in advance to the transfer of "associated rights" and the "related international interest" (in each case, as such terms are used in the Cape Town Convention) in respect of any Transfer or grant of a Security Interest as contemplated by Sections 14.2 and 14.3. For the avoidance of doubt, no additional consent by Lessee shall be required in connection with any such transfer of "associated rights" and the "related international interest". 15. Governing Law and Jurisdiction 15.1 Governing Law This Agreement and each other Operative Document shall in all respects, including all matters of construction, validity and performance, be governed by and construed in accordance with the laws of the State of New York. 15.2 Consent to Jurisdiction (a) Lessor and Lessee hereby irrevocably agree to submit to the non-exclusive jurisdiction of the United States District Court for the Southern District of New York and the Supreme Court of the State of New York located in the Borough of Manhattan, County of New York (the "Agreed Courts") in the event of any claims or disputes arising under this Agreement. Such submission to jurisdiction shall not be construed so as to limit the right of either party to take proceedings against the other in whatever jurisdiction shall to it seem fit nor shall the taking of proceedings in any one or more jurisdictions preclude the taking of proceedings in any other jurisdiction, whether concurrently or not. (b) A final judgment against Lessor, in any suit in an Agreed Court, or against Lessee, in any suit in an Agreed Court or in any other court in any jurisdiction where jurisdiction over Lessee or any of its assets can be obtained or where the Aircraft may be located, shall be conclusive and may be enforced in any other jurisdiction by suit on the judgment or as otherwise permitted by Applicable Law, a certified or true copy of which shall be conclusive


 
74 evidence of the facts and of the amount of any indebtedness or liability of Lessor or Lessee. (c) Each of Lessor and Lessee hereby irrevocably waives any objection which it may now or hereafter have to the laying of venue in any suit, action or proceeding brought in any Agreed Court, and irrevocably waives any claim that any such suit, action or proceeding brought in any Agreed Court has been brought in an inconvenient forum. 15.3 Waiver of Jury Trial LESSEE AND LESSOR HEREBY WAIVE TRIAL BY JURY IN ANY JUDICIAL PROCEEDING TO WHICH THEY ARE PARTIES INVOLVING, DIRECTLY OR INDIRECTLY, ANY MATTER ARISING OUT OF OR RELATING TO THIS AGREEMENT. 15.4 Service of Process (a) Without prejudice to any other mode of service, Lessee (i) appoints Cogency Global in New York, New York as its agent for service of process relating to any proceedings before the Agreed Courts in connection with this Agreement and any other Operative Document and shall maintain such process agent (or such other process agent in such jurisdiction acceptable to Lessor acting reasonably, as Lessee may notify to Lessor in writing prior to the appointment of such other process agent) and (ii) agrees that failure by a process agent to notify Lessee of the process shall not invalidate the proceedings concerned. (b) Without prejudice to any other mode of service, each of Lessor and Lessee consents to the service of process relating to any proceedings involving, directly or indirectly, any matter arising out of or relating to this Agreement by U.S. Postal Service registered mail (prepaid, return receipt requested) of a copy of the process to Lessor's or Lessee's respective address identified in Section 16.10(b). 15.5 Disclaimer of Consequential Damages Lessee acknowledges and agrees that it shall not be entitled to recover, and hereby disclaims and waives any right that it may otherwise have to recover, reduced or lost profits, reduced or lost revenue, or any other consequential, incidental, special, indirect or punitive damages as a result of any breach or alleged breach by Lessor of its obligations under this Agreement. 16. Miscellaneous 16.1 Waivers, Remedies Cumulative The rights of Lessor or Lessee under this Agreement may be exercised as often as necessary, are cumulative and not exclusive of that party's rights under any Applicable Law and may be waived only in writing and specifically. Delay in exercising or non- exercise of any such right is not a waiver of that right. 16.2 Delegation Lessor may delegate to any suitably qualified Person or Persons all or any of the trusts, powers or discretions vested in it by this Agreement and any such delegation may be


 
75 made upon such terms and conditions and subject to such regulations as Lessor in its absolute discretion thinks fit. 16.3 Appropriation If any sum paid or recovered in respect of the liabilities of Lessee under this Agreement or any Related Agreement is less than the amount then due, Lessor may apply that sum to amounts due under this Agreement or any Related Agreement in such proportions and order and generally in such manner as Lessor may determine. 16.4 Currency Indemnity (a) If Lessor receives an amount in respect of Lessee's liability under this Agreement or if such liability is converted into a claim, proof, judgment or order in a currency other than the currency in which the amount is expressed to be payable under this Agreement (the "contractual currency"): (i) Lessee shall indemnify Lessor, as an independent obligation, against any loss arising out of or as a result of such conversion; (ii) if the amount received by Lessor, when converted into the contractual currency (at the market rate at which Lessor is able on the relevant date to purchase the contractual currency in New York City with that other currency) is less than the amount owed in the contractual currency, Lessee shall, forthwith on demand, pay to Lessor an amount in the contractual currency equal to the deficit; and (iii) Lessee shall pay to Lessor on demand any exchange costs and Taxes payable in connection with the conversion. (b) Lessee waives, to the extent permitted by Applicable Law, any right it may have in any jurisdiction to pay any amount under this Agreement in a currency other than that in which it is expressed to be payable. 16.5 Payment by Lessor Lessor shall not be obligated to pay any amounts to Lessee under this Agreement so long as a Default exists under this Agreement until such Default has been cured. 16.6 Severability If a provision of this Agreement is or becomes illegal, invalid or unenforceable in any jurisdiction, that shall not affect: (a) the legality, validity or enforceability in that jurisdiction of any other provision of this Agreement; or (b) the legality, validity or enforceability in any other jurisdiction of that or any other provision of this Agreement.


 
76 16.7 Remedy If Lessee fails to comply with any provision of this Agreement, Lessor may, without being in any way obliged to do so or responsible for so doing and without prejudice to the ability of Lessor to treat the non-compliance as a Default, effect compliance on behalf of Lessee, whereupon Lessee shall become liable to pay immediately any sums expended by Lessor together with all costs and expenses (including reasonable legal costs) incurred in connection therewith. 16.8 Expenses (a) Lessor and Lessee shall each bear their respective expenses (including legal, professional and out-of-pocket expenses) incurred or payable in connection with the negotiation, preparation and execution of the Operative Documents, except that Lessee shall be solely responsible for (i) all registration and filing fees in connection with the registration of the Aircraft in the State of Registration (but not the registration of any Financing Security Documents or the interests of any Financing Parties), and (ii) all fees in connection with the filing and translation of any Operative Document or related document. (b) Lessee shall pay to Lessor on demand all reasonable expenses (including legal, professional and out-of-pocket expenses) incurred or payable by Lessor in connection with the granting of any waiver or consent under this Agreement. (c) Lessee shall pay to Lessor on demand all expenses (including legal, survey and other costs) payable or incurred by Lessor in contemplation of, or otherwise in connection with, the enforcement of or preservation of any of Lessor's rights under the Operative Documents, or in respect of the repossession of the Aircraft. 16.9 Time of Essence The time stipulated in this Agreement for all payments payable by Lessee to Lessor and for the performance of Lessee's other obligations under this Agreement that are due on a specified or determinable date shall be of the essence of this Agreement (subject always to any applicable grace period). 16.10 Notices (a) All notices and other communications given under or in connection with this Agreement shall be in writing (including email), in English, and shall be deemed to be received in accordance with the following: (i) if by post or courier, when delivered to the address specified in Section 16.10(b), or (ii) if by email, upon receipt of such email (and if two email addresses were specified in Section 16.10(b), then receipt at either such email address shall be sufficient), provided that if a bounce back email indicating that such addresses are not valid is received by sender from all the email addresses specified in Section 16.10(b), then upon receipt by any owner, shareholder or employee of Lessor or Lessee (as the case may be) holding a position of manager or above.


 
77 (b) All such notices, requests, demands and other communications shall be sent: (i) to Lessor at: [*******] [*******] [*******] [*******] Attention: [*******] Telephone: [*******] E-mail: [*******] (ii) to Lessee at: [*******] [*******] [*******] [*******] [*******] Attention: [*******] Telephone: [*******] E-mail: [*******] with a copy to: [*******] [*******] [*******] Attention: [*******] Telephone: [*******] E-mail: [*******] or to such other address or e-mail address as shall have been notified by one party to the other in the manner set out in this Section 16.10. 16.11 Sole and Entire Agreement This Agreement is the sole and entire agreement between Lessor and Lessee in relation to the leasing of the Aircraft, and supersedes all previous agreements in relation to that leasing. The terms and conditions of this Agreement can only be varied by an instrument in writing executed by both parties or by their duly authorized representatives. 16.12 Rights of Indemnitees All rights expressed to be granted to each Indemnitee under this Agreement (other than any Financing Party) are given to Lessor as agent for and on behalf of that Indemnitee.


 
78 16.13 Survival All indemnities and any specifically stated written express obligations of Lessee which arise or are attributable to circumstances occurring during the Term shall survive and remain in full force and effect notwithstanding (a) the expiration, termination or discharge, for any reason except Lessor’s breach, of this Agreement or any other Operative Document, (b) the termination or cancellation of the leasing of the Aircraft hereunder, (c) the repudiation by Lessee or Lessor of this Agreement, (d) the Expiry Date and (e) any breach by Lessee or Lessor of the terms of this Agreement or any other Operative Document. 16.14 Counterparts This Agreement may be executed in one or more counterparts, each of which shall constitute an original and, when taken together, all of which shall constitute one and the same Agreement. 16.15 English Language All documents delivered to Lessor pursuant to this Agreement shall be in English or, if not in English, shall be accompanied by a certified English translation. If there is any inconsistency between the English version of this Agreement and any version in any other language, the English version shall prevail. 16.16 Further Assurances Lessee shall promptly and duly execute and deliver to Lessor such further documents and assurances and take such further action as Lessor may from time to time reasonably request in order to carry out more effectively the intent and purpose of the Operative Documents and to establish and protect Owner's title to the Aircraft, the Security Interest of any Financing Party, the interests of any Transferee and Lessor's rights and remedies created or intended to be created under the Operative Documents. 16.17 Confidentiality Neither Lessor nor Lessee shall, without the other's prior written consent, communicate or disclose the terms of the Operative Documents or any information or documents furnished pursuant to the Operative Documents (except to the extent that the same are within the public domain) to any third party (other than, in each case only to the extent necessary, Owner, Servicer, any Affiliate of Lessor, any Financing Party, any prospective Transferee, any material investor in Lessee or creditor of Lessee, any Head Lessor, the respective external legal advisors, auditors, other professional advisors, insurance brokers or underwriters of Owner, Servicer, Lessor, Lessee and any of the other aforementioned Persons, and the Airframe Manufacturer and Engine Manufacturer, so long as in each case such Person is subject to a duty of confidentiality or maintains a practice of confidentiality consistent with the terms of this Section 16.17); provided, that disclosure shall be permitted, to the extent required: (a) pursuant to an order of any court of competent jurisdiction;


 
79 (b) pursuant to any procedure for discovery of documents in any proceedings before any such court; (c) by Applicable Law; (d) for enforcement by either party hereto of its rights and remedies under the Operative Documents; or (e) in order to perfect any assignment of any assignable warranties. [signature page follows]


 
80 IN WITNESS WHEREOF Lessor and Lessee have executed this Aircraft Lease Agreement on the date shown at the beginning of this Agreement. Electra Airways OOD By:________________________________ Name: Title:


 
81 CASP LEASING I, LLC By: Contrail Aviation Support, LLC - Manager ________________________________ By: Joseph G. Kuhn Title: CEO


 
82 Schedule 1 – Description of Aircraft Part 1 - Aircraft Specification IDENTIFICATION Aircraft Model: AIRBUS MODEL A320-214 Serial Number: [*******] Date of Manufacture: 27th August 2001 WEIGHT DATA Maximum Taxi Weight: 77,400 kgs Maximum Takeoff Weight: 77,000 kgs Maximum Landing Weight: 66,000 kgs Maximum Zero Fuel Weight: 62,500 kgs CONFIGURATION Passenger Seats Types: Acro Series 9 ENGINES Manufacturer CFM International, Inc. Model CFM56-5B4/P Serial Nos: [*******] and [*******] APU Manufacturer: Honeywell Model: GTCP131-9A Serial No: [*******]


 
83 Schedule 1 – Description Of Aircraft Part 2 - Aircraft Documents Individual Aircraft and Engine Records: AIRCRAFT CERTIFICATES • Copy of Certificate of Airworthiness - latest issue • Copy of Current Aircraft Registration • Copy of Noise Certificate (included in Aircraft Flight Manual) • Certificate of Airworthiness for Export • Certificate of deregistration (end of lease) • Copy of the Radio License • Copy of the burn certificates (other than pax seats) AIRCRAFT MAINTENANCE STATUS • Certified current Time in Service (Flight Hours & Cycles) status covering Aircraft, Engines, APU and Landing Gear • Certified Aircraft Maintenance History. • Certified status of Airframe/Appliances Airworthiness Directives & supporting Dirty Fingerprint file • Certified Minor/Major Modification status & supporting Dirty Fingerprint file • Certified Engineering Order status & supporting Dirty Fingerprint file • Copy of All Supplemental Type Certificates, approvals and supporting data (not limited to ICA, Supplements, Drawings) applied to the aircraft. • Certified inventory of installed Hard-Time Components & supporting Dirty Fingerprint file • Certified inventory of installed OCCM equipment & supporting Dirty Fingerprint file for component installed during final 24 months of the Lease Term • Certified Summary of the approved maintenance program/ Last Done Next Due (including all MPD, SSI, CPCP, CMR and ALI applicable tasks) & supporting Dirty Fingerprint file • Certified Structural Repairs / Dent & Buckle status & supporting Dirty Fingerprint file • List of deferred maintenance items (if applicable) • Operator’s Accident and Incident Statement covering Aircraft, Engines, APU and Landing Gear • Operator’s Oil & Fluid Statement covering Aircraft, Engines, APU and Landing Gear. • Flight Data Recorder and Cockpit Voice Recorder Report • Aircraft Technical Logs • Copy of latest applicable LOPA, EEL and Loose Equipment List • Manufacturer Original Delivery Documentation • Certified Engine Maintenance/Movement History • Certified status of Airworthiness Directives of each Engine & supporting Dirty Fingerprint file • Certified status of Manufacturer Service Bulletin and Modification Status & supporting Dirty Fingerprint file


 
84 • Certified Engine LLP Listing of each Engine and back to birth traceability • Certified LRU listing of each engine & supporting Dirty Fingerprint file, if not already and well identified within Airframe OCCM listing • Certified status of the Manufacturer Service Bulletin and Modification Status of each Engine. • Condition Monitoring Report (last 3 months) of each Engine. • Certified Thrust Rating statement, if not included into the Engine Maintenance/Movement History • Certified Manufacturer Deviation Status/Statement listing any incorporated approved deviation from AMM/ESM • Manufacturer Original Delivery Documentation • Certified APU Maintenance/Movement History • Certified status of Airworthiness Directives of each Engine & supporting Dirty Fingerprint file • Certified status of Manufacturer Service Bulletin and Modification Status & supporting Dirty Fingerprint file • Certified LLP Listings for APU and back to birth traceability. • Certified LRU listing of each engine & supporting Dirty Fingerprint file, if not already and well identified within Airframe OCCM listing • Manufacturer Original Delivery Documentation. • Certified Landing Gear Maintenance/Movement History for each Landing Gear • Certified LLP Listings for each Landing Gear and back to birth traceability • Aircraft Original Manufacturer Records MAINTENANCE RECORDS • Copies of all C Check packages performed • A Checks - Last complete cycle of A-Checks • C Checks - Last complete cycle of C-Checks • All Shop Visit Report(s) of each Engine, not limited to Engine Shop Release Minipack • Last Weight Report • Last Compass Swing Report • Last Borescope Report and a video copy (if available) of each Engine • Last Engine Ground Run / MPA Run • All Shop Visit Report (OH) of each Landing Gear • Last APU Borescope Inspection Report and video (if available) • All APU Shop Visit Report MANUALS • Equipment List and CDL • WDM updated Weight and Balance Manual including Supplement • Airplane Flight Manual, updated to latest revision standard • Flight Crew Operating Manual • Emergency Equipment Location • Aircraft Minimum to latest revision standard (soft copy or CD Rom acceptable)


 
85 • Aircraft Maintenance Manual updated to latest revision standard (soft copy or CD Rom acceptable) • IPC updated to latest revision standard (soft copy or CD Rom acceptable) • SSM (Schematics) updated to latest revision standard (soft copy or CD Rom acceptable) • SRM updated to latest revision standard (soft copy or CD Rom acceptable) • Copy of latest Airframe Manufacturer MPD and Lessee approved Aircraft Maintenance Program • Galleys Component Maintenance Manuals


 
86 Schedule 2 – Delivery Conditions Th Aircraft will satisfy the Delivery Conditions set forth below. The Aircraft will otherwise be in “as is, where is, with all faults” condition and in passenger service with Lessee at the time of Delivery. The Aircraft will be in the same condition as the condition in which it is delivered to Lessor under the Purchase Agreement. 1. The Aircraft will have a valid Certificate of Airworthiness. 2. The Aircraft will have a valid Certificate of Release to Service. 3. The Aircraft will have the Aircraft Documents listed in Schedule 1. 4. The Aircraft interior will be configured as per current configuration. 5. The Aircraft will be in compliance with all Type Design and EASA (if different from Type Design) Airworthiness Directives that by their terms require compliance on the Delivery Date. 6. The Aircraft will be in compliance with all applicable EASA requirements for passenger operation as a transport category commercial Aircraft including EU-OPS 1 and Part M. 7. Each Engine will be serviceable. 8. The APU will be serviceable. 9. Landing Gear will be serviceable. 10. The seats installed in the Aircraft on delivery do not form part of the Aircraft leased to Lessee under this Agreement.


 
87 Schedule 3 – Return Conditions 1. The Aircraft will be returned by Lessee to Lessor in at least as good of operating condition, ordinary wear and tear excepted, as on the Delivery Date. At the time of Return, the Aircraft will conform to the following standards: (a) The Aircraft will have a valid Certificate of Release to Service and be serviceable with all Engines (as applicable, except to the extent the provisions of Section 8.20 apply), Parts, and systems fully functional and operating within AMM limits. (b) All defects, pilot reports and deferred maintenance items due within a period of 30 days, 50 Flight Hours and 10 Cycles after the Scheduled Expiry Date shall have been cleared on a terminating action basis. The Aircraft shall (i) be free of dents or damage in excess of Manufacturer’s limitations and (ii) have no loose, missing or pulled fasteners. Temporary repairs are permitted, any repeat inspections will be cleared for a period of 30 days, 50 Flight Hours and 10 Cycles after the Scheduled Expiry Date. (c) The Aircraft shall be free of fluid leaks in excess of AMM limits. (d) The Aircraft will be clean inside and outside and serviceable by international commercial airline standards. (e) All galleys and lavatories shall be clean and will be serviceable in accordance with the AMM. (f) The Aircraft Documents will be acceptable to Lessor and in the English language. (g) The Aircraft will be redelivered with no seats installed. (h) Lessee shall have accomplished on the Aircraft after removal from active service all maintenance due per the MPD and/or the Approved Maintenance Program, including component, parts and emergency equipment on the Scheduled Expiry Date and cleared for a period of 30 days, 50 Flight Hours and 10 Cycles after the Scheduled Expiry Date. (i) The Aircraft will be in compliance with all EASA Airworthiness Directives that by their terms require compliance on the Scheduled Expiry Date and are cleared for a period of 30 days, 50 Flight Hours and 10 Cycles after the Scheduled Expiry Date. (j) The Aircraft will be in compliance with all applicable EASA requirements for passenger operation as a transport category commercial Aircraft including EU- OPS 1 and Part M. (k) The Aircraft will have a valid ARC and an Export Certificate of Airworthiness, or such other form of documentation for the export of aircraft used by the current state of registration. (l) The Aircraft paint shall be as-is.


 
88 (m) The MTOW of the Aircraft will be the same as on the Delivery Date. (n) The Landing Gear shall be serviceable. (o) All Airframe hard-time and life-limited components installed on the Aircraft will have an EASA Form One, FAA Form 8130-3 or equivalent and be cleared for a period of 30 days, 50 Flight Hours and 10 Cycles after the Scheduled Expiry Date. The documentation for hard-time and life-limited components will also confirm, in accordance with the Aviation Authority’s requirements, the history and hours/cycles since new of those components. All on-condition and condition- monitored components changed during the Term will be serviceable and those changed during the final 24 month of Term will have an EASA Form One, FAA Form 8130-3 or equivalent. (p) The APU will be serviceable. (q) All Parts shall be serviceable or appropriately deferred. There will be no deferred defects due for a period of 30 days, 50 Flight Hours and 10 Cycles after the Scheduled Expiry Date. 2. Additional Return Requirements: (a) Lessor's Final Inspection. (i) Immediately prior to the end of the Term, Lessor will, at Lessor’s cost, perform an inspection (the “Return Inspection”) of the Aircraft to determine satisfactory compliance with the Return Conditions. (ii) The Return Inspection will be a walk-around physical inspection of the Aircraft and will also include (i) a review of the Aircraft Documents, (ii) Engine external inspections including nacelle structures and thrust reversers and (iii) all other inspections determined by Lessor to be necessary to confirm conformance with the Return Conditions, with inspection access limited to the opening of quick access /servicing panels only. For the avoidance of doubt, Lessor will not be entitled to carry out any borescope inspections or MPA runs as part of the Return Inspection, and there shall be no redelivery acceptance flight. (iii) After the satisfactory completion of the Return Inspection, Lessor will execute an initial technical return certificate substantially in the form of Exhibit E to confirm that the Aircraft and Aircraft Documents are in the Return Condition and meet all requirements for Return, and that the Aircraft will be deemed to be satisfactorily redelivered to Lessor immediately following completion of the inspections in (iv) below, regardless of their outcome. (iv) Following execution of the initial technical return certificate, Lessee will perform a full borescope inspection and perform a maximum power assurance (MPA) run on all Engines at Lessee’s cost.


 
89 (v) Once the borescope inspection and MPA runs are completed, Lessor will immediately issue a final Return Certificate substantially in the form of Exhibit F, regardless of the serviceability of the Engines, or any findings resulting from the borescope inspection or MPA runs. (b) Rectification and Non-Compliance. To the extent that, on the date on which Return is scheduled, the Aircraft and Aircraft Documents do not comply with the return condition set forth in this Schedule 3, then (a) Lessee shall rectify the non- compliance as quickly as possible, (b) the Term shall be extended until the date on which the non-compliance has been rectified and the Aircraft has been returned to Lessor in the condition set forth in this Schedule 3, (c) during such extension of the Term, Lessee shall not operate the Aircraft and (d) during such extension of the Term, Lessee shall pay Basic Rent weekly in advance, on a per diem basis, at a rate that is (i) the Basic Rent Amount (as in effect immediately prior to the date on which Return is scheduled) for the first 30 days; (ii) 120% of the Basic Rent Amount for days 31 through 60; and (iii) 150% of the Basic Rent Amount for day 61 and thereafter.


 
90 Schedule 4 – Insurance Requirements 1. The Insurances required to be maintained are as follows: (a) HULL "ALL RISKS" of loss or damage while flying and on the ground with respect to the Aircraft for the Agreed Value and with a deductible not exceeding the Hull Insurance Deductible; (b) HULL WAR AND ALLIED PERILS, covering those war risks excluded from the Hull "All Risks" Policy to the extent such coverage is available in the leading international insurance markets, including coverage for confiscation and requisition by the State of Registration, for the Agreed Value (with form LSW555D exclusions being acceptable except to the extent that coverage in respect of such exclusions is commercially available in the leading international insurance markets); (c) "ALL RISKS" AVIATION SPARES INSURANCE (INCLUDING WAR AND ALLIED RISK except when on the ground or in transit other than by air or sea) on all Engines and Parts when not installed on the Aircraft (to the extent not covered under the Aircraft hull insurances described in paragraphs (a) and (b) above), including Engine test and running risks, in an amount equal to replacement value; and (d) AIRCRAFT THIRD PARTY, BODILY INJURY/PROPERTY DAMAGE, PASSENGER, BAGGAGE, CARGO AND MAIL AND AIRLINE GENERAL THIRD PARTY (INCLUDING PRODUCTS) LEGAL LIABILITY for a combined single limit (Bodily Injury/Property Damage) of an amount not less than the Minimum Liability Coverage for the time being in respect of any one occurrence (but, in respect of products liability, this limit may be an aggregate limit for any and all losses occurring during the currency of the policy, and in respect of liability arising out of personal injury, the limit (within the said combined single limit) may be $25,000,000 in respect of any one offence and in the aggregate, and cargo and mail legal liability may be subject to a limit of $1,000,000 any one occurrence); War and Allied Risks are also to be covered under the Policy to the extent available in the leading international insurance markets. The Minimum Liability Coverage may be adjusted upwards from time to time by agreement to such an amount as reasonably requested by Lessor. If Lessee disputes these amounts, the matter can be determined by consulting with three different internationally recognized insurance brokers as to what the industry standard may be at the time and taking the average of the responses provided by those three brokers. 2. All required hull and spares insurance specified in Sections 1(a), 1(b) and 1(c) above, so far as it relates to the Aircraft, shall: (a) provide that any loss shall be settled with Lessee (who shall in any such case consult in advance with Lessor in regard thereto), and any claim that becomes payable on the basis of a Total Loss shall be paid in Dollars to Lessor (unless or until Lessor notifies Lessee that said payments should be made to a Financing Party) as loss payee up to the Agreed Value, and loss proceeds in excess of the Agreed Value shall be payable to Lessee, with any other claim being payable as may be necessary for the repair of the damage to which it relates; (b) if separate Hull "All Risks" and "War Risks" insurances are arranged, include a 50/50 provision in the terms of Lloyd's endorsement AVS103 or its equivalent; and


 
91 (c) confirm that the Insurers are not entitled to replace the Aircraft in the event of a Total Loss. 3. All required hull insurance specified in Sections 1(a) and 1(b) above, so far as it relates to the Aircraft, shall provide that at any time while an engine, other than an Engine, is installed on the Aircraft either (i) the Agreed Value shall automatically be increased by the agreed value of such engine or (ii) separate hull insurance on such engine shall attach, so that, in each case, Lessor shall receive the full Agreed Value in the event of a Total Loss, notwithstanding any amount that would be payable to the owner of such engine in connection with such Total Loss. 4. All required liability insurances specified in Section 1(d) above shall: (a) include the Indemnitees as additional insureds for their respective rights and interests, but the coverage provided shall not include claims arising out of their legal liability as manufacturer, repairer or servicing agent of the Aircraft or any Engine or Part; (b) include a severability of interest clause; (c) contain a provision confirming that the policy is primary without right of contribution and that the liability of the insurers shall not be affected by any other insurance of which any Indemnitee or Lessee have the benefit; and (d) accept and insure the indemnity provisions of this Agreement to the extent of the risks covered by the relevant policy or policies. 5. All Insurances specified in Sections 1(a) through (d) above shall: (a) be in accordance with normal industry practice of Persons operating similar aircraft in similar circumstances; (b) provide coverage on a worldwide basis subject to those territorial exclusions which are usual and customary for airlines similarly situated as Lessee, and in the case of War Risks and Allied Perils coverage which are advised to and approved by Lessor, such approval not to be unreasonably withheld; (c) acknowledge that the insurers are aware that the Aircraft is owned by Lessor and is subject to this Agreement; (d) provide that, in relation to the interests of each of the additional insureds, the Insurances shall not be invalidated by any act or omission of the Insured which results in a breach of any terms, conditions or warranty of the policies; (e) provide that the Insurers shall waive any rights of recourse and/or subrogation against each additional insured to the same extent that Lessee has waived or has no rights of recovery against such additional insured in the Lease; (f) provide that the additional insureds shall have no obligation or responsibility for the payment of any premiums (but reserve the right to pay the same should any of them elect to do so) and that the Insurers shall waive any right of offset or counterclaim against the respective additional insureds other than for outstanding premiums in respect of the Aircraft, any Engine or Part;


 
92 (g) provide that, except in the case of any provision for cancellation or automatic termination specified in the policies or endorsements thereof, the Insurances can only be canceled or materially altered in a manner adverse to the additional insureds by giving at least 30 days written notice to Lessor and each Financing Party, except in the case of war risks, for which seven days written notice shall be given; and (h) include a services of suit clause. 6. Where any provision of this Schedule 4 conflicts with the provisions of the airline finance/lease contract endorsements AVN 67C, AVN 67C (Hull War), and AVN 99 (Tail Cover Continuing Liability) or any successor endorsements, the provisions of AVN 67C, AVN 67C (Hull War) and AVN 99 (Tail Cover Continuing Liability), respectively, or any successor endorsements shall apply to the exclusion of the provisions of this Schedule 4. For purposes of each of AVN 67C, AVN 67C (Hull War), and AVN 99 (Tail Cover Continuing Liability), the "Designated Contract Party" shall be Lessor or such other Person as Lessor may designate from time to time. If AVN 67C is not accepted by Lessee's insurers, after being requested by Lessee, Lessee shall maintain the Insurances so as to incorporate the terms and conditions of AVN 67B and all references in this Agreement to AVN 67C (other than the reference in Section 9.6(a) of this Agreement) shall be construed as references to AVN 67B. 7. All Reinsurances shall: (a) be on the same terms as the Insurances and shall include the provisions of this Schedule; (b) provide that, notwithstanding any bankruptcy, insolvency, liquidation, dissolution or similar proceedings of or affecting the reinsured, the reinsurers' liability shall be to make such payment as would have fallen due under the relevant policy of reinsurance if the reinsured had (immediately before such bankruptcy, insolvency, liquidation, dissolution or similar proceedings) discharged its obligations in full under the original insurance policies in respect of which the relevant policy of reinsurance has been effected; and (c) contain a "cut-through" clause in the following form (or such other form as is reasonably satisfactory to Lessor): "The Reinsurers and the Reinsured hereby agree that in the event of any valid claim arising hereunder, the Reinsurers shall in lieu of payment to the Reinsured, its successors in interest and assigns, pay to the party identified as loss payee under the original insurance effected by the Insured that portion of any loss due for which the Reinsurers would otherwise be liable to pay the Reinsured (subject to proof of loss), it being understood and agreed that any such payment by the Reinsurers shall fully discharge and release the Reinsurers from any and all further liability in connection therewith. To provide for payment to be made notwithstanding (a) any bankruptcy, insolvency, liquidation or dissolution of the Reinsured and/or (b) the fact that the Reinsured has made no payment under the original insurances. The Reinsurers reserve the right to set off against any claim payable under the Reinsurance policy in accordance with this Clause any outstanding premiums (applicable to the Equipment involved in the Loss) covered by the original


 
93 insurance. Such set off shall first be applied to any financial interest of the Insured in the Equipment involved. If Reinsurers exercise their right to set off any outstanding premium, upon subsequent receipt by Reinsurers of such outstanding premium, Reinsurers hereby agree to refund the set off premium to the Contract Party(ies). Any payment due under this Clause shall not contravene any law, statute or decree of the Government of Lessee's jurisdiction." 8. For insurance coverage that includes the AVN 67C endorsement (or the substantive equivalent), the Contract Parties (and their respective addresses) and the Contracts that should be identified in the insurance/reinsurance certificates are set forth in the Notice and Acknowledgment. 9. Any certificates or undertakings issued by any insurance broker in connection with the Insurances shall accurately evidence the Insurances and shall not contain any waivers or disclaimers of liability in respect of the information contained in such certificates or undertakings.


 
94 Schedule 5 – Principal Economic Terms Agreed Value $[*******] Airframe 6Y Additional Rent Rate $[*******] per month, as adjusted from time to time pursuant to Section 5.4(b). Airframe 12Y Additional Rent Rate $[*******] per month as adjusted from time to time pursuant to Section 5.4(b). APU Additional Rent Rate $[*******] per APU Hour, as adjusted from time to time pursuant to Section 5.4(b). Basic Rent Amount $[*******] per Rental Period. Commitment Fee $[*******] Damage Notification Threshold $[*******] Engine Additional Rent Rate $[*******] per Flight Hour, as adjusted from time to time pursuant to Section 5.4(b) and which shall be determined monthly as set forth in the table immediately below. Flight Hour/Cycle Proposed Rate 1.0 $[*******] 1.5 $[*******] 2.0 $[*******] 2.5 $[*******] 3.0 $[*******] 3.5 $[*******] Engine LLP Additional Rent Rate $[*******] per Cycle operated by such Engine as adjusted from time to time pursuant to Section 5.4(b). Hull Insurance Deductible $[*******] Landing Gear Additional Rent Rate $[*******] per month, as adjusted from time to time pursuant to Section 5.4(b). Minimum Liability Coverage $750,000,000 each occurrence.


 
95 Table of Basic Rent Payments The amounts set out below for the period from 1 January 2024 to 31 July 2024 are notional payments only and are stated here only for the purposes of adjustments to be made under the Purchase Agreement. 1-Jan-24 $[*******] 1-Feb-24 $[*******] 1-Mar-24 $[*******] 1-Apr-24 $[*******] 1-May-24 $[*******] 1-June-24 $[*******] 1-July-24 $[*******] Rental Period Month Basic Rent Amount 1 Aug 2024 $[*******] 2 Sep 2024 $[*******] 3 Oct 2024 $[*******] 4 Nov 2024 $[*******] 5 Dec 2024 $[*******] 6 Jan 2025 $[*******] 7 Feb 2025 $[*******] 8 Mar 2025 $[*******] 9 Apr 2025 $[*******] 10 May 2025 $[*******] 11 Jun 2025 $[*******] 12 Jul 2025 $[*******] 13 Aug 2025 $[*******] 14 Sep 2025 $[*******] 15 Oct 2025 $[*******] 16 Nov 2025 $[*******] 17 Dec 2025 $[*******] 18 Jan 2026 $[*******] 19 Feb 2026 $[*******] 20 Mar 2026 $[*******] 21 Apr 2026 $[*******] 22 May 2026 $[*******] 23 Jun 2026 $[*******] 24 Jul 2026 $[*******] 25 Aug 2026 $[*******] 26 Sep 2026 $[*******] 27 Oct 2026 $[*******]


 
96 28 Nov 2026 $[*******] 29 Dec 2026 $[*******] 30 Jan 2027 $[*******] 31 Feb 2027 $[*******] 32 Mar 2027 $[*******] 33 Apr 2027 $[*******] 34 May 2027 $[*******] 35 Jun 2027 $[*******] 36 Jul 2027 $[*******] 37 Aug 2027 $[*******] 38 Sep 2027 $[*******] 39 Oct 2027 $[*******] 40 Nov 2027 $[*******] 41 Dec 2027 $[*******]


 
97 Schedule 6 – Representations and Warranties Part A - Representations and Warranties of Lessee (a) Status: Lessee is a limited liability company duly organized, validly existing and in good standing under the laws of the State of Organization, has the corporate power to own its assets and carry on its business as it is being conducted, is (or shall at the relevant time be) the holder of all necessary air transportation licenses required in connection therewith and with the use and operation of the Aircraft, and is an international airline for Bulgarian VAT purposes; (b) Power and Authority: Lessee has the power to enter into and perform, and has taken all necessary corporate action to authorize the entry into, performance and delivery of, each of the Operative Documents and the transactions contemplated by the Operative Documents; (c) Execution and Delivery: Lessee has duly executed and delivered this Agreement, and on or before Delivery shall have duly executed and delivered each of the Operative Documents to which Lessee is a party; (d) Legal Validity: each of the Operative Documents to which Lessee is a party constitutes Lessee's legal, valid and binding agreement, enforceable against Lessee in accordance with its terms subject to bankruptcy, insolvency and other laws affecting creditor's rights generally; (e) Non-conflict: the entry into and performance by Lessee of, and the transactions contemplated by, the Operative Documents to which Lessee is a party do not and shall not: (iii) conflict with any Applicable Law binding on Lessee; (iv) conflict with the constitutional documents of Lessee; or (v) conflict with or result in default under any document which is binding upon Lessee or any of its assets, or result in the creation of any Security Interest over any of its assets, other than Permitted Liens; (f) Authorization: all authorizations, consents and registrations required by, and all notifications to be given by, Lessee in connection with the entry into, performance, validity and enforceability of, the Operative Documents and the transactions contemplated by the Operative Documents have been (or shall on or before Delivery have been) obtained, effected, applied for or given (as appropriate) and are (or shall on their being obtained or effected be) in full force and effect; (g) No Immunity: (i) Lessee is subject to civil and commercial law with respect to its obligations under the Operative Documents; and


 
98 (ii) neither Lessee nor any of its assets is entitled to any right of immunity and the entry into and performance of the Operative Documents by Lessee constitute private and commercial acts; (h) Financial Statements: the audited financial statements of Lessee and its Subsidiaries most recently delivered to Lessor: (i) have been prepared in accordance with the Accounting Standard; and (ii) fairly present the consolidated financial condition of Lessee and its Subsidiaries as at the date to which they were drawn up and the consolidated results of operations of Lessee and its Subsidiaries for the periods covered by such statements; (i) Prohibited Countries: Lessee does not hold a contract or other obligation to, and does not, operate the Aircraft to, from or in any Excluded Geographic Area nor any Prohibited Country in violation of Sanctions or in a manner that would cause Lessor, Owner, Servicer or Financing Parties to breach Sanctions; (j) Prohibited Persons: neither Lessee nor any Affiliate of Lessee, nor any of Lessee's or Affiliate of Lessee's officers, directors, managers, or employees is: (i) a Prohibited Person; or (ii) owned (whether in whole or in part) or controlled by or acting directly or indirectly on behalf of or for the benefit of a Prohibited Person. (k) Pari Passu: the obligations of Lessee under the Operative Documents rank at least pari passu with all other present and future unsecured and unsubordinated obligations (including contingent obligations) of Lessee, with the exception of such obligations as are mandatorily preferred by law and not by virtue of any contract; (l) Choice of Law: the choice by Lessee of the laws of the State of New York to govern this Agreement as set out in Section 15.1 and the submission by Lessee to the non-exclusive jurisdiction of the courts as set out in Section 15.2 are valid and binding; and (m) Allowances: Lessee acknowledges that it is not the owner of the Aircraft, and Lessee has not claimed and shall not claim any capital or depreciation allowances in respect of the Aircraft. (n) No Default: (i) no Default has occurred and is continuing or might reasonably be expected to result from the entry into or performance of any of the Operative Documents; and (ii) no event has occurred and is continuing that constitutes, or with the giving of notice, lapse of time, determination of materiality or fulfillment of any other applicable condition, or any combination of the foregoing, might constitute, a material default under any document that is binding on Lessee or any assets of Lessee.


 
99 (o) Registration: (i) it is not necessary or advisable under the laws of the State of Organization, the State of Registration or the Habitual Base in order to ensure the validity, effectiveness and enforceability of the Operative Documents or to establish, create, perfect or protect the respective interests of Owner, Lessor or any Financing Party in the Aircraft that any instrument relating to the Operative Documents, other than the instruments referred to in Schedule 7, Part A, letter (e)/Filings and Registrations, be filed, registered or recorded or that any other action be taken or, if any such filings, registrations, recordings or other actions are necessary, the same have been effected or shall have been effected on or before Delivery; and (ii) under all Applicable Law, including the laws of the State of Organization, the State of Registration and the Habitual Base, the respective interests of Owner, Lessor and any Financing Party in the Aircraft have been or will be as soon as possible after the Delivery be fully established, created, perfected and protected and this Agreement shall have priority in all respects over the claims of all creditors of Lessee, with the exception of such claims as are mandatorily preferred by law and not by virtue of any contract. (p) Litigation: no litigation, arbitration or administrative proceedings are pending or, to Lessee's knowledge, threatened against Lessee that, if adversely determined, could reasonably be expected to have a material adverse effect on the financial condition of Lessee or on the ability of Lessee to perform its obligations under the Operative Documents; (q) Taxes: Lessee has delivered all necessary returns and payments due to all tax authorities having jurisdiction over Lessee, including those in the State of Organization, the State of Registration and the Habitual Base; (r) Material Adverse Change: no material adverse change in the financial condition of Lessee or in the ability of Lessee to perform its obligations under the Operative Documents has occurred since the date of the financial statements most recently provided to Lessor on or before the Delivery Date; (s) Information: the financial and other information furnished by Lessee in connection with the Operative Documents does not contain any untrue statement of material fact or omit to state any fact the omission of which makes the statements therein, in light of the circumstances under which they were made, materially misleading, and does not omit to disclose any material matter. All forecasts and opinions contained in the financial and other information furnished by Lessee in connection with the Operative Documents were honestly made on reasonable grounds after due and careful inquiry by Lessee; and (t) Air Traffic Control: Lessee is not in default in the payment of any sums due by Lessee to any ATC/Airport Authority in respect of any aircraft operated by Lessee. (u) EUROCONTROL: Lessee is not in default in the payment of any sums due by Lessee to the European Organisation for the Safety of Air Navigation (EUROCONROL) in respect of any aircraft operated by Lessee.


 
100 (v) EU-ETS: Lessee is in continuous compliance with with any and all obligations to the extent such are applicable to its operations in respect of both (i) EU Directive EC/2008/101 regarding the European Union Emissions Trading Scheme and its application to aviation and all amendments and related implementing legislation (EU-ETS Legislation); and (ii) ICAO Assembly Resolution A.39-3 introducing the Carbon Offsetting and Reduction Scheme for International Aviation, Annex 16 – Environmental Protection Volume IV, the Environmental Technical Manual - Volume IV, and all related implementation elements, amendments, and implementing measures (CORSIA Instruments). Lessee shall ensure that Lessee and any sublessee, as applicable (and not Lessor or Owner) is notified to the relevant authorities as being the operator of the Aircraft whenever applicable in connection with the EU-ETS Legislation and/or the CORSIA Instruments.


 
101 Part B - Representations and Warranties of Lessor (a) Status: Lessor is duly formed and validly existing under the laws of the United States of America and has the corporate power to own its assets and carry on its business as it is being conducted; (b) Power and Authority: Lessor has the power and authority to enter into and perform, and has taken all necessary corporate action to authorize the entry into, performance and delivery of, the Operative Documents and the transactions contemplated by the Operative Documents; (c) Enforceability: each of the Operative Documents constitutes Lessor's legal, valid and binding agreement, enforceable against Lessor in accordance with its terms subject to bankruptcy, insolvency and other laws affecting creditor's rights generally; (d) Non-conflict: the entry into and performance by Lessor of, and the transactions contemplated by, the Operative Documents do not and shall not: (i) conflict with any Applicable Law binding on Lessor; (ii) conflict with the organizational documents of Lessor; or (iii) conflict with or result in a default under any document that is binding upon Lessor or any of its assets; (e) Authorization: so far as concerns the obligations of Lessor, all authorizations, consents, registrations and notifications required in connection with the entry into, performance, validity and enforceability of, and the transactions contemplated by, the Operative Documents by Lessor have been (or shall on or before Delivery have been) obtained or effected (as appropriate) and are (or shall on their being obtained or effected be) in full force and effect; (f) No Immunity: (i) Lessor is subject to civil and commercial law with respect to its obligations under the Operative Documents; and (ii) neither Lessor nor any of its assets is entitled to any right of immunity and the entry into and performance of the Operative Documents by Lessor constitute private and commercial acts; and (g) Right to Lease: on the Delivery Date, Lessor shall have the right to lease the Aircraft to Lessee under this Agreement.


 
102 Schedule 7 – Conditions Precedent Part A - Documentary Conditions Precedent of Lessor (a) Constitutional Documents: a copy of the constitutional documents of Lessee, together with an English translation thereof; (b) Resolutions: a true copy of a resolution of the general meeting of the shareholders (or the equivalent) of Lessee approving the terms of, and the transactions contemplated by, the Operative Documents to which it is a party, resolving that it enter into the Operative Documents to which it is a party, and authorizing a specified individual or individuals to execute the Operative Documents to which it is a party and accept delivery of the Aircraft on its behalf; (c) Operative Documents: a copy of each of the Operative Documents, duly executed and, if necessary, notarized by Lessee, including the chattel paper original counterpart of this Agreement; (d) Approvals: evidence of the issuance of, or the application for, each approval, license and consent which may be required in relation to, or in connection with, the performance by Lessee of its obligations under the Operative Documents, including evidence that the Aircraft has been released for "free circulation" within the European Union under the European customs code; (e) Filings and Registrations: evidence that an application for approval of this Agreement has been filed with the Aviation Authority , the Aircraft has been validly registered under the laws of the State of Registration and that all filings, registrations, recordings and other actions (including the registration of any "international interest" in accordance with the Cape Town Convention, if applicable) have been taken or made that are necessary or advisable to ensure the validity, effectiveness and enforceability of the Operative Documents and to protect the respective title and interests of Owner and Lessor in the Aircraft and the Operative Documents, and, in particular: (i) an application for approval of this Agreement submitted to the Aviation Authority evidencing that this Agreement has been filed for approval with the Aviation Authority; (ii) an application submitted to the Aviation Authority for issuance of new certificate of registration (удостоверение за регистрация) of the Aircraft for the purposes of evidencing the Lessor as an Owner of the Aircraft; (iii) an application submitted to the Aviation Authority for issuance of new aircraft station license (разрешително за радиостанции на въздухоплавателно средство) for the purposes of evidencing the Lessor as an Owner of the Aircraft. (f) IDERA: if the Cape Town Convention has been brought into force or made applicable in the State of Registration or any country where Lessee is "situated" for purposes of the Cape Town Convention, an IDERA;


 
103 (g) Licenses: copies of Lessee's air transport license, air operator's certificate and all other licenses, certificates and permits required by Lessee in relation to, or in connection with, the operation of the Aircraft; (h) Certificate: a certificate of a duly authorized officer of Lessee: (iii) setting out a specimen of each signature of an officer of Lessee referred to in (b) above; and (iv) certifying that each copy of a document specified in Section (a) and (b) above is correct, complete and in full force and effect; (i) Insurances: certificates of insurance, certificates of reinsurance, insurance brokers' undertakings and reinsurance broker's undertakings, in each case reasonably satisfactory to Lessor, to demonstrating compliance with the provisions of this Agreement as to insurances on and after Delivery; (j) ATC/Airport Authority Letters: letters from Lessee substantially in the form of Exhibit G of the present Agreement and addressed to any ATC/Airport Authority designated by Lessor pursuant to which Lessee authorizes such authority to issue to Lessor, upon Lessor's request from time to time, a statement of account of all sums due by Lessee to such authority in respect of the Aircraft; (k) EUROCONTROL Letter: letter from Lessee substantially in the form of Exhibit H of the present Agreement and addressed to the European Organisation for the Safety of Air Navigation (EUROCONTROL) pursuant to which Lessee authorizes EUROCONTROL to issue to Lessor, upon Lessor's request from time to time, a statement of account of all sums due by Lessee to EUROCONTROL in respect of all aircraft (including the Aircraft) operated by Lessee; (l) EU-ETS Letters: letters from Lessee substantially in the form of Exhibit I of the present Agreement and addressed to any and/or all governmental entities in the European Union charged with administering any EU ETS Legislation as defined in Schedule 6, item (v) of this Agreement and designated by Lessor pursuant to which Lessee authorizes such government entities to issue to Lessor, upon Lessor's request from time to time, a statement of account of all sums due by Lessee to such authority and, in particular, any obligations due from but unperformed by the Lessee under the EU ETS legislation. (m) Acceptance by Process Agent: a letter from the process agent appointed by Lessee pursuant to Section 15.4(a) accepting its appointment; (n) Approved Maintenance Program: a copy of the Approved Maintenance Program; and (o) General: such other documents as Lessor may reasonably request, provided that Lessor gives reasonable time to Lessee to produce such documents.


 
104 Part B - Other Conditions Precedent of Lessor (a) Representations and Warranties: the representations and warranties of Lessee under Schedule 6 Part A are correct and would be correct if repeated on Delivery; (b) Change of Laws: no change shall have occurred after the date of this Agreement in any Applicable Law or in the interpretation thereof that would make it illegal for Lessee to perform any of its obligations under this Agreement or any of the other Operative Documents to which it is a party or would make any Operative Document unenforceable in whole or in part; (c) Payments: all payments due to Lessor under this Agreement on or before Delivery, including the Basic Rent due on the Delivery Date and the Commitment Fee (to be paid by Purchaser deducting this amount from the purchase price due to Seller under the Purchase Agreement), shall have been received by Lessor; (d) Purchase Agreement: the Aircraft shall be tendered for delivery by Seller under and in accordance with the Purchase Agreement and all conditions precedent under the Purchase Agreement to be satisfied by Seller have been either satisfied or waived/deferred by Purchaser; and (e) Title: Seller shall have transferred good and marketable title to the Aircraft to Lessor free and clear of all Security Interests, except for this Agreement or except as provided for in the Purchase Agreement. Part C - Documentary Conditions Precedent of Lessee (a) Constitutional Documents: a copy of the constitutional documents of Lessor, together with an English translation thereof; (b) Resolutions: a true copy of a resolution of the board of directors (or the equivalent) of Lessor approving the terms of, and the transactions contemplated by, the Operative Documents to which it is a party, resolving that it enter into the Operative Documents to which it is a party, and authorizing a specified individual or individuals to execute the Operative Documents to which it is a party and tender delivery of the Aircraft on its behalf; (c) Operative Documents: a copy of each of the Operative Documents, duly executed and, if necessary, notarized by Lessor, including the chattel paper original counterpart of this Agreement; (d) Approvals: evidence of the issuance of each approval, license and consent which may be required in relation to, or in connection with, the performance by Lessor of its obligations under the Operative Documents; (e) Certificate: a certificate of a duly authorized officer of Lessor: (i) setting out a specimen of each signature of an officer of Lessor referred to in (b) above; and


 
105 (ii) certifying that each copy of a document specified in Section (a) and (b) above is correct, complete and in full force and effect; (f) Acceptance by Process Agent: a letter from the process agent appointed by Lessor pursuant to Section 15.4(a) accepting its appointment; (g) Lessor Tax Residency: A copy of a certificate of tax residency confirming that Lessor is resident in U.S.A. for tax purposes. (h) Quiet enjoyment undertaking: If applicable, an undertaking of quiet enjoyment to Lessee in substantially the same terms as Lessor’s covenant set out in Section 7.1 from any Financing Party holding title to or a Security Interest over the Aircraft or this Agreement. (i) General: such other documents as Lessee may reasonably request, provided that Lessee gives reasonable time to Lessor to produce such documents.


 
106 Exhibit A – Form of Certificate of Acceptance Certificate of Acceptance This Certificate of Acceptance is delivered on the date set forth in paragraph 1 below by Electra Airways OOD ("Lessee") to CASP Leasing I, LLC ("Lessor") pursuant to Lease Agreement [*******], dated [______], 2024, between Lessor and Lessee (the "Agreement"). Capitalized terms used but not defined in this Certificate of Acceptance shall have the meaning given to such terms in the Agreement. 1. Details of Acceptance. Lessee hereby confirms to Lessor that Lessee has at [__] G.M.T. on this [__] day of [__] 2024, at [__], accepted the following, in accordance with the provisions of the Agreement. (a) one Airbus Model A320-214 airframe, bearing manufacturer's serial number [*******] and Bulgarian registration mark [*******]; (b) two CFM International, Inc. Model CFM56-5B4/P engines, bearing manufacturer's serial numbers [*******] and [*******]; (c) all Parts installed on, attached to or appurtenant to the Airframe and Engines; and (d) the Aircraft Documents. 2. Lessee's Confirmation. Lessee confirms to Lessor that as of the time indicated above: (a) Lessee's representations and warranties contained in Sections 2.1 and 2.2 of the Agreement are hereby repeated; (b) the Aircraft is insured as required by the Agreement; and (c) there have been affixed to the Aircraft and the Engines the fireproof notices required by the Agreement. 3. Lessor's Confirmation. Lessor confirms to Lessee that, as of the time indicated above, Lessor's representations and warranties contained in Section 2.3 of the Agreement are hereby repeated. 4. Lease Information. Lessor and Lessee agree and confirm the following as of the date of this Certificate of Acceptance: (a) the date of this Certificate of Acceptance is the "Delivery Date" for purposes of the Agreement; and (b) the Additional Rent rates as of the Delivery Date are as follows: (i) Airframe Additional Rent Rate: $[__] per [__]; (ii) Engine Additional Rent Rate: $[__] per [__]; (iii) Engine LLP Additional Rent Rate: $[__] per [__];


 
107 (iv) Landing Gear Additional Rent Rate: $[__] per [__]; and (v) APU Additional Rent Rate: $[__] per [__]. * * *


 
108 IN WITNESS WHEREOF Lessor and Lessee have executed this Certificate of Acceptance on the date set forth in paragraph 1 of this Certificate of Acceptance. SIGNED on behalf of Electra Airways OOD By:_________________________ Name: Title: SIGNED on behalf of CASP Leasing I, LLC By: Contrail Aviation Support, LLC - Manager _________________________ By: Joseph G. Kuhn Title: CEO


 
109 Exhibit B – Form of Certificate of Delivery Condition Certificate of Delivery Condition This Certificate of Delivery Condition is delivered on [__], 2024 by Electra Airways OOD (the "Lessee") to CASP Leasing I, LLC ("Lessor") pursuant to Lease Agreement [*******], dated [____],2024, between Lessor and Lessee (the "Agreement"). Capitalized terms used but not defined in this Certificate of Delivery Condition shall have the meaning given to such terms in the Agreement. 1. Aircraft Technical Acceptance. Lessee hereby confirms to Lessor that, for purposes of the Agreement, Lessee technically accepts the Airbus Model A320-214 airframe bearing manufacturer's serial number [*******] and Bulgarian registration mark [*******], together with the two CFM International, Inc. Model CFM56-5B4/P aircraft engines bearing manufacturer's serial numbers [*******] and [*******], all Parts installed on, attached to or appurtenant to the Airframe and Engines, as set forth on Annexes 4 and 6, and the Aircraft Documents, as set forth on Annex 5, and Lessor and Lessee agree that the information set forth in Annexes 1 and 3 for such Airframe, Engines and Parts is correct. 2. Correction of Discrepancies. Lessor and Lessee agree that the items (if any) listed on the attached Annex 2 (the "Discrepancies") shall be corrected as set forth on the attached Annex 2. 3. Confirmation of Delivery Condition and Estoppel. Lessee agrees and confirms to Lessor that as of the date hereof: (a) the Aircraft and Aircraft Documents comply in all respects with the condition required at Delivery under Schedule 2 of the Agreement, except for the Discrepancies (if any), and Lessee is hereby estopped from claiming later to the contrary; and (b) Lessor is, and Lessee acknowledges that Lessor is, relying upon the foregoing agreements and confirmations in delivering the Aircraft and Aircraft Documents to Lessee. IN WITNESS WHEREOF Lessor and Lessee have executed this Certificate of Delivery Condition on the date set forth at the beginning of this Certificate. SIGNED on behalf of Electra Airways OOD By:________________________ Name: Title: SIGNED on behalf of CASP Leasing I, LLC By: Contrail Aviation Support, LLC - Manager ________________________ By: Joseph G. Kuhn Title: CEO


 
110 ANNEX 1 STATUS OF AIRCRAFT AIRFRAME: Date Hours Cycles Current: Last "C" Check: Last Airframe 6Y Structural Check: Last Airframe 12 Structural Check: ENGINES: Position/ Serial Number Current Last Shop /Visit: Hours Cycles Date Hours Cycles 1. 2. APU: Current Last Overhaul: Serial Number Hours Cycles Date Hours Cycles LANDING GEAR: Current Last Overhaul: Position Serial Number Hours Cycles Date Hours Cycles Nose: Right Main: Left Main: Fuel on board at Delivery: [__] (circle one) pounds /kilograms ([__]) gallons)


 
111 ANNEX 2 DISCREPANCIES Description of Discrepancy Agreed Corrective Action 1. 1. 2. 2.


 
112 ANNEX 3 ENGINE LLPs Part Description Cycles for Engine [esn1] Cycles for Engine [esn2]


 
113 ANNEX 4 LOOSE EQUIPMENT AND ACCESSORIES [TO BE INSERTED BY TECHNICAL REPRESENTATIVE]


 
114 ANNEX 5 AIRCRAFT DOCUMENTS [TO BE INSERTED BY TECHNICAL REPRESENTATIVE]


 
115 ANNEX 6 AIRCRAFT STATUS – AVIONICS INVENTORY [TO BE INSERTED BY TECHNICAL REPRESENTATIVE]


 
116 Exhibit C – Form of Deregistration Power of Attorney Irrevocable Power of Attorney С настоящото неотменимо пълномощно, „Електра Еъруейс“ ООД, дружество, учредено и съществуващо според законите на Република България, вписано в българския Търговски регистър и регистър на юридическите лица с нестопанска цел с единен идентификационен код (ЕИК) 203506186, със седалище и адрес на управление: бул. „Александър Малинов“ № 51, етаж 3, офис А2-3, район „Младост“, София 1712, Република България, представлявано от Стефан Трифонов Трифонов, ЕГН 6703240444, в качеството на управител и законен представител (заедно със своите правоприемници, наричано тук и по-долу „Лизингополучател“), с настоящото определя и упълномощава [ИМЕ НА ЛИЗИНГОДАТЕЛЯ], дружество, учредено и съществуващо според законите на [ЮРИСДИКЦИЯ НА ЛИЗИНГОДАТЕЛЯ], вписано в [РЕГИСТЪР НА ЛИЗИНГОДАТЕЛЯ], със седалище и адрес на управление [адрес на Лизингодателя] („Лизингодател“), действащ самостоятелно и без упълномощаване от което и да е друго лице, като истинен и законен пълномощник на Лизингополучателя, като Лизингодателят има право да извършва всяко едно от посочените по-долу действия от името на и за сметка на Лизингополучателя по отношение на въздухоплавателно средство Еърбъс, модел 320-214, сериен номер на производителя (MSN) [*******], регистрационен знак [*******], включително двигателите и която и да е и всички части, монтирани на или принадлежащи към корпуса на въздухоплавателното средство (наричани заедно „Въздухоплавателно средство“), отдадено под формата на лизинг от Лизингодателя по силата на договор за лизинг [msn] от дата [дата на лизинга] между Лизингодателя и Лизингополучателя („Лизинг“) By this Irrevocable Power of Attorney, Electra Airways OOD, a company incorporated and existing under the laws of the Republic of Bulgaria, registered with the Bulgarian Commercial Register and Register of Non- Profit Legal Entities with unified identification code (UIC) 203506186 and having its registered office at 51, Alexander Malinov Boulevard, floor 3, office A2-3, Mladost District, Sofia 1712, Republic of Bulgaria, represented by Stefan Trifonov Trifonov, Personal number 6703240444, in the capacity as managing director and legal representative (together with its successors and assigns, hereinafter referred to as the "Lessee"), hereby irrevocably nominates and appoints [NAME OF LESSOR], a company incorporated and existing under the laws of [LESSOR’S JURISDICTION], registered with [LESSOR’S COMPANY REGISTER] with registration number [LESSOR’S REGISTRATION NUMBER] having its principal place of business at [Address of Lessor] ("Lessor"), acting alone and without the authorization of any other person, to be Lessee's true and lawful attorney-in-fact so that Lessor may take any of the following actions in the name of and for Lessee with respect to the aircraft Airbus Model 320-214 airframe bearing manufacturer's serial no. (MSN) [*******] and [__] registration mark [*******], including the engines and any and all parts installed on or appurtenant to such airframe (collectively, the "Aircraft"), leased by Lessor to Lessee pursuant to Lease Agreement [msn], dated [date of Lease], between Lessor and Lessee (the "Lease"):


 
117 1. При упражняване на правата на Лизингодателя по Лизинга да си възстанови владението на Въздухоплавателното средство от Лизингополучателя след прекратяване на Лизинга поради Случай на неизпълнение или поради друга причина, Лизингодателят има право да предприема всички действия и да упражни от името и за сметка на Лизингополучателя и да подписва каквито и да е и всякакви документи, заявления и инструенти, които може да се изискват по което и да е време, за да (a) осъществи връщане на владението на Въздухоплавателното средство на Лизингодателя, (б) осъществи дерегистрацията на Въздухоплавателното средство от регистъра на гражданските въздухоплавателни средства, поддържан от Главна дирекция „Гражданска въздухоплавателна администрация“ при българското Министерство на транспорта и съобщенията („Гражданска въздухоплавателна администрация“), (в) получи който и да е документ (независимо дали с естеството на експортен лиценз, удостоверение за въздухоплавателна годност за експорт и други), които се изисквата с цел отмяна на регистрацията на Въздухоплавателното средство при Гражданската въздухоплавателна администрация и/или осигуряване на износа на Въздухоплавателното средство от Република България и (г) износ на Въздухоплавателното средство след изтичането на Лизинга. 1. In the exercise of the rights of Lessor under the Lease to recover the Aircraft from Lessee after termination of the Lease due to an Event of Default under the Lease or for termination of the Lease for any other reason, Lessor may take all action, and may execute in Lessee's name and for and on behalf of Lessee any and all documents, applications and instruments, that may at any time be required in order to (a) cause the Aircraft to be repossessed by Lessor, (b) cause the Aircraft to be deregistered from the register of aircraft maintained by the Directorate General “Civil Aviation Administration” with the Bulgarian Ministry of Transport and Communications (the "Civil Aviation Administration"), (c) obtain any document (whether in the nature of an export license, certificate of airworthiness for export or otherwise) that is required for the purpose of canceling the registration of the Aircraft with the Civil Aviation Administration and/or securing the export of the Aircraft from the Republic of Bulgaria and (d) export the Aircraft after the expiration of the Lease. 2. По силата на Лизинга Лизингополучателят поддържа застраховка и презастраховка, покриваща Въздухоплавателното средство срещу всички рискове и риск от война и Лизингодателят е посочен като бенефициер по такива застрахователни и презастрахователни полици в случай случай на пълна загуба или конструктивна пълна загуба на Въздухоплавателното средство, в случай на вреда по Въздухоплавателното средство на стойност, надвишаваща 100 000 щатски 2. Pursuant to the Lease, Lessee is maintaining all risk hull and war risk insurance and reinsurance covering the Aircraft, and Lessor has been named loss payee on such insurance and reinsurance policies in the event of a total loss or constructive total loss of the Aircraft, in the event of damage to the Aircraft in excess of $100,000 or in the event of damage to the Aircraft while an "Event of Default" under the Lease has occurred and is continuing. Lessor may take all action, and may execute in Lessee's name and for and on behalf of Lessee any and all documents,


 
118 долара или в случай на вреда по самолета, докато е настъпил и продължава да е налице случай на неизпълнение по Лизинга. Лизингодателят има право да предприема всички действия и да подписва от името на Лизингополучателя който и да е всички документи, заявления и инструменти, включително да подписва от името на Лизингополучателя подходяща форма на освобождаване от отговорност, която може да се изисква по което и да е време, с цел Лизингодателят да получава застрахователни постъпления или да коригира или да урежда каквато и да е претенция по такива застрахователни полици. applications and instruments, including executing on behalf of Lessee an appropriate form of discharge and release, that may at any time be required in order for Lessor to collect such insurance proceeds or to adjust or settle any claim under such insurance policies. 3. При упражняване на правата, посочени в параграфи 1 и 2 по-горе, Лизингодателят има право да предприема всякакви такива други действия и да подписва всякакви такива други документи, каквито Лизингодотелят счете за необходими или уместни по негова абсолютна самостоятелна преценка. Във връзка с такива документи или във връзка с които и да е регистрации или завеждания, на които такива документи са предмет, Лизингодателят има право да представлява Лизингополучателя предмет и да подава който и да е такъв документ, заявление или инструмент пред които и да е компетентни органи, държавни институции и агенции (включително, но не само Гражданска въздухоплавателна администрация), както е необходимо, с цел постигане на горецитираните цели. 3. In the exercise of the rights listed in paragraphs 1 and 2, Lessor may take all such other actions and sign all such other documents as Lessor considers necessary or appropriate in its absolute sole discretion. In connection with such documents, or in connection with any registrations or filings to which such documents are subject, Lessor may represent Lessee before and submit any such document, application or instrument to any applicable authorities, government department and agencies (including without limitation, the Civil Aviation Authority) as shall be necessary to achieve the aforementioned purposes. 4. Лизингополучателят по всяко време ще обезщетява Лизингодателя за всички разходи, претенции, разноски и задължения, които са законосъобразно и разумно поети от Лизингодателя във връзка с това неотменимо пълномощно и, при поискване, ще ратифицира и потвърждава всичко, което Лизингодателят е извършил или е подсигурил да се 4. Lessee shall at all times indemnify Lessor against all costs, claims, expenses and liabilities lawfully and reasonably incurred by such Lessor in connection with this Irrevocable Power of Attorney and, upon request, shall ratify and confirm whatever Lessor reasonably does or causes to be done by virtue of this Irrevocable Power of Attorney.


 
119 извърши по силата на това неотменимо пълномощно. 5. С настоящото Лизингополучателят предоставя на Лизингополучателя пълните правомощия и овластяване да преупълномощава и да определя на свое място един или повече пълномощник (ци), които да упражняват вместо него като пълномощник (ци) на Лизингополучателя което и да е и всички правомощия и овластявания, предоставени на Лизингодателя по силата на това неотменимо пълномощно и да оттегля което и да е такова преупълномощаване по което и да е време и да преупълномощава или овластява който и да е друг или други такива пълномощник или пълномощници на мястото на такъв пълномощник или пълномощници, каквито Лизингодателят по което и да е време прецени за уместни. 5. Lessee hereby grants to Lessor the full power and authority to substitute and appoint in its place one or more attorney or attorneys to exercise for it as attorney or attorneys of Lessee any or all the powers and authorities conferred on Lessor by this Irrevocable Power of Attorney, and to revoke any such appointment from time to time and to substitute or appoint any other or others in the place of such attorney or attorneys, all as Lessor shall from time to time deem appropriate. Което и да е физическо лице, юридическо лице, търговско дружество, институция, орган или агенция, което се осланя на това неотменимо пълномощно, не трябва и няма да прави каквото и да е определяне или да изисква каквото и да е съдебно решение за това дали е настъпил „Случай на неизпълнение“ по лизинга или дали Лизингът е бил прекратен. С настоящото Лизингополучателят се отказва от каквито и да било претенции срещу (i) което и да е лице, което действа по инструкциите дадени от Лизингодателя или от определено от него лице по силата на това неотменимо пълномощно или (ii) което и да е лице, което е определено от Лизингодателя, или служител на Лизингодателя, да дава инструкции по това неотменимо пълномощно. Лизингополучателят ще обезщетява и ще пази от увреждане което и да лице, юридическо лице, търговско дружество, институция, орган или агенция, която действа, като се позовава на това неотменимо пълномощно и по силата на инструкции, дадени от Лизингодателя или от определено от него лице. Any person, legal entity, company, institution, authority or agency relying upon this Irrevocable Power of Attorney need not and shall not make any determination or require any court judgment as to whether an "Event of Default" has occurred under the Lease or whether the Lease has been terminated. Lessee hereby waives any claims against (i) any person acting on the instructions given by Lessor or its designee pursuant to this Irrevocable Power of Attorney and (ii) any person designated by Lessor or an officer of Lessor to give instructions pursuant to this Irrevocable Power of Attorney. Lessee shall indemnify and hold harmless any person, legal entity, company, institution, authority or agency that may act in reliance upon this Irrevocable Power of Attorney and pursuant to instructions given by Lessor or its designee.


 
120 Това неотменимо пълномощно се издава като обезпечение от Лизингополучателя за изпълнението на неговите задължения по Лизинга. Това неотменимо пълномощно е неотменимо и съчетано с правен интерес. С настоящото Лизингополучателят декларира, гарантира и се задължава, че това неотменимо пълномощно е предоставено неотменимо на Лизингодателя и конституира законосъобразно, действително и неометимо задължения, което е изпълняемо срещу Лизингополучателя в съответствие с неговите условия. This Irrevocable Power of Attorney is given as security by Lessee for the performance of its obligations under the Lease. This Irrevocable Power of Attorney is irrevocable and coupled with an interest. Lessee hereby represents, warrants and covenants that this Irrevocable Power of Attorney is irrevocably granted to Lessor, and constitutes the legal, valid and irrevocably binding obligation of Lessee, enforceable against Lessee in accordance with its terms. Това неотменимо пълномощно се подчинява на законодателството на [_]. This Irrevocable Power of Attorney shall be governed by the laws of [__]. В ПОТВЪРЖДЕНИЕ НА ГОРНОТО, „ЕЛЕКТРА ЕЪРУЕЙС“ ООД подписва и предоставя това неотменимо пълномощно на [__] 2024г. IN WITNESS WHEREOF, Electra Airways OOD has executed and delivered this Irrevocable Power of Attorney this [__] day of [__] 20[__]. „Електра Еъруейс“ ООД / Еlectra Airways OOD От/By:________________________ Име/Name: Качество/Title:


 
121 Exhibit D – Form of Monthly Utilization and Status Report Monthly Aircraft Utilization & Status Report Month Ending [__] Lessee: [__] Contact Name: [__] Contact Phone: [__]; E-mail [__] A/C TYPE: A/C SERIAL #: REGIS. #: CALENDAR HOURS (1) CYCLES AIRCRAFT TOTAL FLIGHT HOURS AND CYCLES AT START OF THIS MONTH (TT/TC) AIRCRAFT FLIGHT HOURS AND CYCLES FLOWN DURING THIS MONTH ----- AIRCRAFT TOTAL FLIGHT HOURS AND CYCLES AT END OF THIS MONTH (TT/TC) DATE / HOURS / CYCLES @ ACCOMP OF LAST C CHECK OR SIMILAR CHECK INTERVALS FOR C CHECK OR SIMILAR CHECK DATE/HOURS/CYCLES AT LAST 8 YR, 10 YR, or 12 YR CHECK ----- ----- ----- TYPE OF CHECK 8, 10, OR 12 YEAR: ENGINE TYPE: ENG SERIAL #: THRUST RATING (Lbs): CURRENT LOCATION (A/C & Position, In Shop, Spare, etc) See Note (2): IF IN SHOP, NAME OF SHOP: CALENDAR HOURS (1) CYCLES ENGINE FLIGHT HOURS AND CYCLES AT START OF THIS MONTH (TT/TC) ENGINE FLIGHT HOURS & CYCLES FLOWN DURING THIS MONTH ENGINE FLIGHT HOURS AND CYCLES AT END OF THIS MONTH (TT/TC) ENG. LIMITER NAME & CYCLES REMAINING -"Fan Disk" or "LPT various" etc.): ENGINE DATE, FLIGHT HOURS, CYCLES AT LAST SHOP VISIT ENGINE DATE OF NEXT PLANNED REMOVAL CURRENT LOCATION (A/C & Position, In Shop, Spare, etc.) See Note (2): ----- ----- ENGINE TYPE: ENG SERIAL #: THRUST RATING (Lbs): CURRENT LOCATION (A/C & Position, In Shop, Spare, etc) See Note (2): IF IN SHOP, NAME OF SHOP: CALENDAR HOURS (1) CYCLES ENGINE FLIGHT HOURS AND CYCLES AT START OF THIS MONTH (TT/TC) ENGINE FLIGHT HOURS & CYCLES FLOWN DURING THIS MONTH


 
122 ENGINE FLIGHT HOURS AND CYCLES AT END OF THIS MONTH (TT/TC) ENG. LIMITER NAME & CYCLES REMAINING -"Fan Disk" or "LPT various" etc.): ENGINE DATE, FLIGHT HOURS, CYCLES AT LAST SHOP VISIT ENGINE DATE OF NEXT PLANNED REMOVAL CURRENT LOCATION (A/C & Position, In Shop, Spare, etc) See Note (2): ----- ----- APU MFR: APU MODEL: ORIGINALLY DELIVERED APU SERIAL NUMBER CURRENTLY INSTALLED APU SERIAL NUMBER (If not original) Is APU utilization is reported in APU or Airframe Flight hours as required under the lease: HOURS (1) CYCLES TOTAL HOURS AND CYCLES AT START OF THIS MONTH (TT/TC)(Original APU Only) HOURS & CYCLES USED DURING THIS MONTH (Original APU Only) TOTAL HOURS AND CYCLES AT END OF THIS MONTH (TT/TC)(Original APU Only) ENGINE DATE, FLIGHT HOURS, CYCLES AT LAST SHOP VISIT NOTE: PROVIDE MONTHLY UTILIZATION FOR ORIGINAL APU ONLY LANDING GEAR CALENDAR HOURS (1) CYCLES NOSE GEAR FLIGHT HRS & CYCLES DURING THIS MONTH ----- SERIAL # GEAR DATE ,FLIGHT HOURS, CYCLES AT LAST OVH ____________ A/C DATE, FLIGHT HOURS, CYCLES AT LAST INSTALL OVERHAUL INTERVAL ----- LH MAIN GEAR FLIGHT HRS & CYCLES DURING THIS MONTH ----- SERIAL # GEAR DATE ,FLIGHT HOURS, CYCLES AT LAST OVH ____________ A/C DATE, FLIGHT HOURS, CYCLES AT LAST INSTALL OVERHAUL INTERVAL ----- RH MAIN GEAR FLIGHT HRS & CYCLES DURING THIS MONTH ----- SERIAL # GEAR DATE ,FLIGHT HOURS, CYCLES AT LAST OVH ____________ A/C DATE, FLIGHT HOURS, CYCLES AT LAST INSTALL OVERHAUL INTERVAL ----- # 1 THRUST REVERSER TR SERIAL # ORIGINAL POSITION CURRENT LOCATION (A/C & Position, In Shop, Spare, etc) IF IN SHOP, NAME OF SHOP: DATE HOURS (1) CYCLES AIRFRAME FLIGHT HOURS & CYCLES FLOWN DURING THIS MONTH -----


 
123 AIRFRAME TOTAL FLIGHT HOURS & CYCLES AT LAST TR INSTALL. ----- DATE, FLIGHT HOURS, CYCLES AT LAST OVERHAUL ----- # 2 THRUST REVERSER TR SERIAL # ORIGINAL POSITION CURRENT LOCATION (A/C & Position, In Shop, Spare, etc) IF IN SHOP, NAME OF SHOP: DATE HOURS (1) CYCLES AIRFRAME FLIGHT HOURS & CYCLES FLOWN DURING THIS MONTH ----- AIRFRAME TOTAL FLIGHT HOURS & CYCLES AT LAST TR INSTALL. ----- DATE, FLIGHT HOURS, CYCLES AT LAST OVERHAUL ----- Notes: (1) List Hours in Hours + Minutes format for this portion of the report where applicable. (2) Record Engine data for only the engines owned by Lessor whether or not installed on this aircraft. If this engine goes into the shop, provide TT, TC and date of removal. Also provide engine disk sheets & last workscope whenever an engine comes out of a shop visit. (3) Please advise any routine checks ("C" Type & above), A.D.'s and Service Bulletins performed during the month, as well as details of any repairs accomplished which were beyond SRM limits. . (4) Also advise any Airframe Maintenance Checks (C type & above), Engine scheduled shop visits or landing gear or APU overhauls or replacements scheduled to be performed within the next 12 months. (1) List Hours in Hours + Minutes format for this portion of the report where applicable.


 
124 Exhibit E – Form of Initial Technical Return Certificate Initial Technical Return Certificate This Initial Technical Return Certificate ("Technical Return Certificate") is delivered on the date set forth in paragraph 1 below by CASP Leasing I, LLC ("Lessor") to Electra Airways OOD ("Lessee") pursuant to the Aircraft Lease Agreement, dated [____] 2024, between Lessor and Lessee (the "Agreement"). Capitalized terms used but not defined in this Technical Return Certificate shall have the meanings given to such terms in the Agreement. Lessor hereby confirms to Lessee that Lessor has at [__] G.M.T. on this [__] day of [__] 2024, at [__], technically accepted the following: (a) one Airbus Model A320-214 airframe, bearing manufacturer's serial number [*******] and Bulgarian registration mark [*******]; (b) two CFM International, Inc. Model CFM56-5B4/P engines, bearing manufacturer's serial numbers [*******] and [*******]; and (c) all Parts installed on, attached to or appurtenant to the Airframe and Engines, as set forth on Annexes 3 and 5, and the Aircraft Documents, as set forth on Annex 4, and Lessor and Lessee agree that the information set forth in Annexes 1 and 2 for such Airframe, Engines and Parts is correct. Lessor and Lessee hereby confirm that on the date and time hereof the Aircraft, with the status described in Annex 1 hereto, was duly technically accepted by Lessor. IN WITNESS WHEREOF, the parties hereto have caused this Technical Return Certificate for MSN [*******] to be executed in their respective corporate names by their duly authorized representatives as of the day and year first above written. Electra Airways OOD CASP Leasing I, LLC (Lessee) (Lessor) By: Contrail Aviation Support, LLC - Manager By: ____________________ _______________________ Name: By: Joseph G. Kuhn Title: Title: CEO


 
125 ANNEX 1 STATUS OF AIRCRAFT AIRFRAME: Date Hours Cycles Current: Last "C" Check: Last [__] Check: Last [__] Check: ENGINES: Position/ Serial Number Current Last Shop /Visit: Hours Cycles Date Hours Cycles 1. 2. APU: Current Last Overhaul: Serial Number Hours Cycles Date Hours Cycles LANDING GEAR: Current Last Overhaul: Position Serial Number Hours Cycles Date Hours Cycles Nose: Right Main: Left Main: Fuel on board at Return: [__] (circle one) pounds /kilograms ([__]) gallons)


 
126 ANNEX 2 ENGINE LLPs Part Description Cycles for Engine [esn1] Cycles for Engine [esn2]


 
127 ANNEX 3 LOOSE EQUIPMENT AND ACCESSORIES [TO BE INSERTED BY TECHNICAL REPRESENTATIVE]


 
128 ANNEX 4 AIRCRAFT DOCUMENTS [TO BE INSERTED BY TECHNICAL REPRESENTATIVE]


 
129 ANNEX 5 AIRCRAFT STATUS – AVIONICS INVENTORY [TO BE INSERTED BY TECHNICAL REPRESENTATIVE]


 
130 Exhibit F – Form of Final Return Certificate Final Return Certificate This Final Return Certificate ("Return Certificate") is delivered on the date set forth in paragraph 1 below by CASP Leasing I, LLC ("Lessor") to Electra Airways OOD ("Lessee") pursuant to Aircraft Lease Agreement dated [_____] 2024, between Lessor and Lessee (the "Agreement"). Capitalized terms used but not defined in this Return Certificate shall have the meanings given to such terms in the Agreement. Lessor hereby confirms to Lessee that Lessor has at [__] G.M.T. on this [__] day of [__] 2024, at [__], accepted the following: (d) one Airbus Model A320-214 airframe, bearing manufacturer's serial number [*******] and Bulgarian registration mark [*******]; (e) two CFM International, Inc. Model CFM International, Inc. engines, bearing manufacturer's serial numbers [*******] and [*******]; and (f) all Parts installed on, attached to or appurtenant to the Airframe and Engines, as set forth on Annexes 3 and 5, and the Aircraft Documents, as set forth on Annex 4, and Lessor and Lessee agree that the information set forth in Annexes 1 and 2 for such Airframe, Engines and Parts is correct; and thereupon the leasing of such property under the Agreement was terminated. Lessor and Lessee hereby confirm that on the date and time hereof the Aircraft, with the status described in Annex 1 hereto, was duly accepted by Lessor. IN WITNESS WHEREOF, the parties hereto have caused this Return Certificate for MSN [*******] to be executed in their respective corporate names by their duly authorized representatives as of the day and year first above written. Electra Airways OOD CASP Leasing I, LLC (Lessee) (Lessor) By: Contrail Aviation Support, LLC - Manager By: ____________________ _______________________ Name: By: Joseph G. Kuhn Title: Title: CEO


 
131 ANNEX 1 STATUS OF AIRCRAFT AIRFRAME: Date Hours Cycles Current: Last "C" Check: Last [__] Check: Last [__] Check: ENGINES: Position/ Serial Number Current Last Shop /Visit: Hours Cycles Date Hours Cycles 1. 2. APU: Current Last Overhaul: Serial Number Hours Cycles Date Hours Cycles LANDING GEAR: Current Last Overhaul: Position Serial Number Hours Cycles Date Hours Cycles Nose: Right Main: Left Main: Fuel on board at Return: [__] (circle one) pounds /kilograms ([__]) gallons)


 
132 ANNEX 2 ENGINE LLPs Part Description Cycles for Engine [esn1] Cycles for Engine [esn2]


 
133 ANNEX 3 LOOSE EQUIPMENT AND ACCESSORIES [TO BE INSERTED BY TECHNICAL REPRESENTATIVE]


 
134 ANNEX 4 AIRCRAFT DOCUMENTS [TO BE INSERTED BY TECHNICAL REPRESENTATIVE]


 
135 ANNEX 5 AIRCRAFT STATUS – AVIONICS INVENTORY [TO BE INSERTED BY TECHNICAL REPRESENTATIVE]


 
136 Exhibit G – Form of ATC/Airport Authority Letter FROM: Electra Airways OOD, [address and company registration information] TO [ANY AIR TRAFFIC CONTROL AUTHORITY AS DESIGNATED BY LESSOR] ________________ 2024 Dear Sir/Madam, Authorization Letter One (1) Airbus Model A320-214 aircraft bearing manufacturer's serial number [*******] and Bulgarian registration mark [*******] (the “Aircraft”) We have leased the Aircraft in accordance with a lease agreement dated […] (as amended and novated from time to time) between us and CASP LEASING I, LLC, established under the laws of the State of Delaware, U.S.A. having its seat address at 435 Investment Court, Verona, Wisconsin 53593-8788, U.S.A (the “Lessor”). We hereby authorize you to provide the Lessor (hereby represented by […]) with a general statement of account in relation to air navigation charges incurred by us and due to the Air Traffic Control Authority. Access to the statement(s) of account will be provided in accordance with the procedures established by the Air Traffic Control Authority. The authorization contained in this letter may only be revoked or amended by a written instruction signed by us and the Lessor. Yours faithfully, ___________________________ For and on behalf of Electra Airways OOD Name: Title:


 
137 Exhibit H – Form of EUROCONTROL Letter FROM: Electra Airways OOD [address and company registration information] TO: EUROCONTROL Director CRCO Rue de la Fusée, 96, 1130 Brussels Belgium crco.cat.head@eurocontrol.int ________________ 2024 Dear Sir/Madam, Authorization Letter One (1) Airbus Model A320-214 aircraft bearing manufacturer's serial number [*******] and Bulgarian registration mark [*******] (the “Aircraft”) We have leased the Aircraft in accordance with a lease agreement dated […] (as amended and novated from time to time) between us and CASP LEASING I, LLC, established under the laws of the State of Delaware, U.S.A. having its seat address at 435 Investment Court, Verona, Wisconsin 53593-8788, U.S.A, U.S.A. (the “Lessor”). We hereby authorize you to provide the Lessor (hereby represented by […]) with a general statement of account in relation to air navigation charges incurred by us and due to EUROCONTROL. Access to the statement(s) of account will be provided in accordance with the procedures established by EUROCONTROL. The authorization contained in this letter may only be revoked or amended by a written instruction signed by us and the Lessor. Yours faithfully, ___________________________ For and on behalf of Electra Airways OOD Name: Title:


 
138 Exhibit I – Form of EU-ETS Letter FROM: Electra Airways OOD [address and company registration information] TO: [All governmental entities in the European Union charged with administering any EU ETS applicable to Lessee and the Aircraft] ________________ 2024 EMISSIONS TRADING SCHEMES AUTHORIZATION LETTER Dear Sir/Madam, Pursuant to a lease agreement dated […] (as amended and novated from time to time) between us (as “Lessee”) and CASP LEASING I, LLC, established under the laws of the State of Delaware, USA having its seat address at 435 Investment Court, Verona, Wisconsin 53593- 8788, U.S.A (as “Lessor”), we have leased one (1) Airbus Model A320-214 aircraft bearing manufacturer's serial number [*******] and Bulgarian registration mark [*******] (the “Aircraft”). We wish to enable the Lessor to monitor the performance by us of our obligations under the Emissions Trading Schemes established in the European Union (EU ETS). We hereby unconditionally authorise you, on request by the Lessor, from time to time, to provide the Lessor with particulars of any obligations due from but unperformed by us under the EU ETS. The authorization contained herein shall only be revoked or amended upon receipt by you of a written instruction signed by us and the Lessor requesting such revocation. Yours faithfully, ___________________________ For and on behalf of Electra Airways OOD Name: Title: 29654616v2