aamc-202408270001555074false00015550742024-08-272024-08-27
UNITED STATES
SECURITIES AND EXCHANGE COMMISSION
WASHINGTON, D.C. 20549
FORM 8-K
CURRENT REPORT
Pursuant to Section 13 or 15(d) of the Securities Exchange Act of 1934
Date of Report (Date of earliest event reported): August 27, 2024
ALTISOURCE ASSET MANAGEMENT CORPORATION
(Exact name of Registrant as specified in its charter)
| | | | | | | | | | | | | | |
| U.S. Virgin Islands | | 001-36063 | | 66-0783125 |
| (State or other jurisdiction of incorporation or organization) | | (Commission File Number) | | (I.R.S. Employer Identification No.) |
5020 Anchor's Way, Suite 2
Christiansted, U.S. Virgin Islands 00820
(Address of principal executive offices including zip code)
(340) 208-2626
(Registrant’s telephone number, including area code)
5100 Tamarind Reef
Christiansted, U.S. Virgin Islands 00820
(Former address)
Check the appropriate box below if the Form 8-K filing is intended to simultaneously satisfy the filing obligation of the registrant under any of the following provisions:
☐ Written communications pursuant to Rule 425 under the Securities Act (17 CFR 230.425)
☐ Soliciting material pursuant to Rule 14a-12 under the Exchange Act (17 CFR 240.14a-12)
☐ Pre-commencement communications pursuant to Rule 14d-2(b) under the Exchange Act (17 CFR 240.14d-2(b))
☐ Pre-commencement communications pursuant to Rule 13e-4(c) under the Exchange Act (17 CFR 240.13e-4(c))
Securities registered pursuant to Section 12(b) of the Act:
| | | | | | | | |
Title of each class | Trading Symbol(s) | Name of each exchange on which registered |
| Common stock, par value $0.01 per share | AAMC | NYSE American LLC |
Indicate by check mark whether the registrant is an emerging growth company as defined in Rule 405 of the Securities Act of 1933 (§230.405 of this chapter) or Rule 12b-2 of the Securities Exchange Act of 1934 (§240.12b-2 of this chapter):
Emerging growth company
☐
If an emerging growth company, indicate by check mark if the registrant has elected not to use the extended transition period for complying with any new or revised financial accounting standards provided pursuant to Section 13(a) of the Exchange Act.
☐
Item 1.01 Entry into a Material Definitive Agreement.
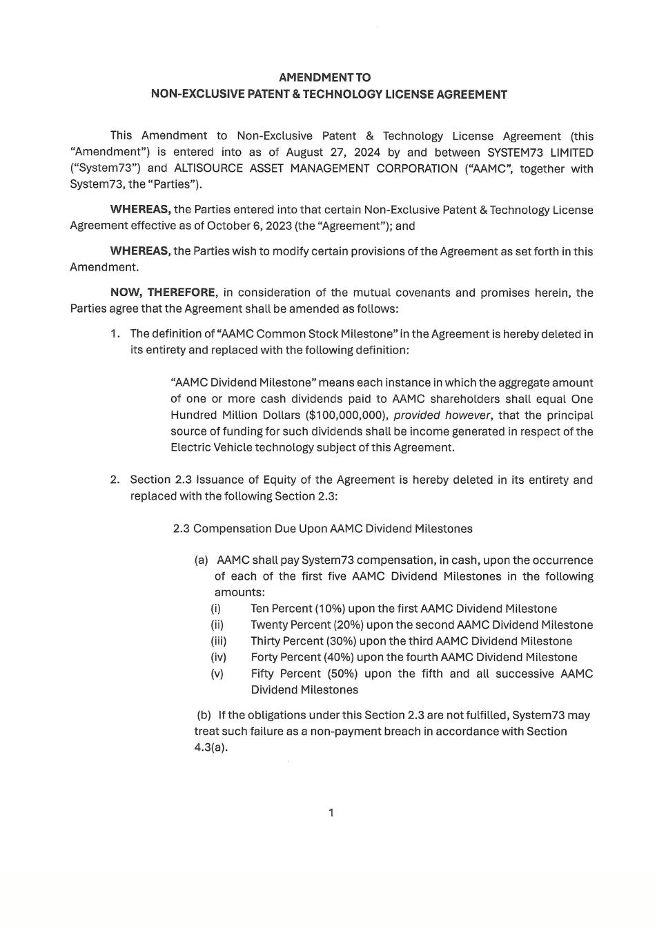
On August 27, 2024, Altisource Asset Management Corporation (the “Company”) entered into an amendment (the “Amendment”) to the non-exclusive patent and technology licensing agreement dated October 6, 2023 between System73 Limited and the Company (the “System73 Agreement”). The Amendment served to add the term “AAMC Dividend Milestone” and to amend other provisions so that any compensation earned by System73 Limited is based on the amount of cash dividends that may later be payable to Company shareholders and that are attributable to income generated by the electric vehicle technology that is the subject of the Agreement. The Amendment also amended certain conditions under which the Agreement could be terminated and certain obligations of the parties upon a termination of the Agreement.
The foregoing description of the Amendment is qualified in its entirety by reference to the Amendment, which is filed hereto as Exhibit 10.15 which is incorporated herein by reference.
Item 9.01 Financial Statements and Exhibits
(d) Exhibits
| | | | | | | | |
Exhibit No. | | Description |
| | Amendment to non-exclusive patent and technology license agreement. |
| 104 | | Cover Page Interactive Data File (embedded within the Inline XBRL document). |
SIGNATURES
Pursuant to the requirements of Section 13 or 15(d) of the Securities Exchange Act of 1934, as amended, the registrant has duly caused this report to be signed on its behalf by the undersigned, thereunto duly authorized.
| | | | | | | | |
| | Altisource Asset Management Corporation |
August 27, 2024 | By: | /s/ Michael DelGiacco |
| | Michael DelGiacco Senior Vice President and Chief Financial Officer |
amendmenttonon-exclusive