(State or other jurisdiction of incorporation) | (Commission File Number) | (IRS Employer Identification No.) | ||||||
(Address of principal executive offices) | (Zip Code) | ||||||||||
| Written communications pursuant to Rule 425 under the Securities Act (17 CFR 230.425) | ||||||||
| Soliciting material pursuant to Rule 14a-12 under the Exchange Act (17 CFR 240.14a-12) | ||||||||
| Pre-commencement communications pursuant to Rule 14d-2(b) under the Exchange Act (17 CFR 240.14d-2(b)) | ||||||||
| Pre-commencement communications pursuant to Rule 13e-4(c) under the Exchange Act (17 CFR 240.13e-4(c)) | ||||||||
Title of each class | Trading Symbol(s) | Name of each exchange on which registered | ||||||||||||
| Exhibit No. | Description | |||||||
Press Release dated August 8, 2024 for the quarter ended June 30, 2024. | ||||||||
Supplemental Information Package for the quarter ended June 30, 2024. | ||||||||
| 104 | Cover Page Interactive Data File (embedded within the Inline XBRL document) | |||||||
| AMERICOLD REALTY TRUST, INC. | ||||||||
| By: | /s/ Jay Wells | |||||||
| Name: Jay Wells | ||||||||
| Title: Chief Financial Officer and Executive Vice President | ||||||||
| As of | As of | As of | |||||||||
| August 8, 2024 | May 9, 2024 | February 22, 2024 | |||||||||
| Warehouse segment same store revenue growth (constant currency) | 2.0% - 4.0% | 2.5% - 5.5% | 2.5% - 5.5% | ||||||||
| Warehouse segment same store NOI growth (constant currency) | 900 - 1000 bps higher than associated revenue | 700 - 750 bps higher than associated revenue | 400 - 450 bps higher than associated revenue | ||||||||
| Warehouse segment non-same store NOI | $(7)M - $1M | $(7)M - $1M | $(3)M - $9M | ||||||||
| Transportation and Managed segment NOI | $42M - $47M | $42M - $47M | $45M - $50M | ||||||||
Total selling, general and administrative expense (inclusive of share-based compensation expense of $23M - $25M and $5M - $7M of Orion amortization) | $247M - $261M | $247M - $261M | $247M - $261M | ||||||||
| Interest expense | $133M - $141M | $135M - $143M | $141M - $149M | ||||||||
| Current income tax expense | $7M - $10M | $9M - $12M | $9M - $12M | ||||||||
| Deferred income tax benefit | $6M - $8M | $6M - $8M | $6M - $8M | ||||||||
| Non real estate depreciation and amortization expense | $133M - $141M | $127M - $135M | $127M - $135M | ||||||||
| Total maintenance capital expenditures | $80M - $90M | $80M - $90M | $80M - $90M | ||||||||
Development starts (1) | $200M - $300M | $200M - $300M | $200M - $300M | ||||||||
| AFFO per share | $1.44 - $1.50 | $1.38 - $1.46 | $1.32 - $1.42 | ||||||||
| Assumed FX rates | 1 ARS = 0.0011 USD 1 AUS = 0.6614 USD 1 BRL = 0.0170 USD 1 CAD = 0.7330 USD 1 EUR = 1.079 USD 1 GBP = 1.2680 USD 1 NZD = 0.6113 USD 1 PLN = 0.2498 USD | 1 ARS = 0.0012 USD 1 AUS = 0.6576 USD 1 BRL = 0.1925 USD 1 CAD = 0.7401 USD 1 EUR = 1.0857 USD 1 GBP = 1.2684 USD 1 NZD = 0.6128 USD 1 PLN = 0.2507 USD | 1 ARS = 0.0012 USD 1 AUS = 0.6615 USD 1 BRL = 0.2016 USD 1 CAD = 0.7438 USD 1 EUR = 1.0914 USD 1 GBP = 1.2662 USD 1 NZD = 0.6168 USD 1 PLN = 0.2520 USD | ||||||||
| Three Months Ended June 30, | Change | ||||||||||||||||||||||||||||
| Dollars and units in thousands, except per pallet data | 2024 Actual | 2024 Constant Currency(1) | 2023 Actual | Actual | Constant Currency | ||||||||||||||||||||||||
| TOTAL WAREHOUSE SEGMENT | |||||||||||||||||||||||||||||
| Number of total warehouses | 235 | 237 | n/a | n/a | |||||||||||||||||||||||||
| Rent and storage | $ | 267,671 | $ | 273,751 | $ | 275,183 | (2.7) | % | (0.5) | % | |||||||||||||||||||
| Warehouse services | 332,716 | 337,351 | 305,987 | 8.7 | % | 10.3 | % | ||||||||||||||||||||||
| Total revenue | $ | 600,387 | $ | 611,102 | $ | 581,170 | 3.3 | % | 5.2 | % | |||||||||||||||||||
| Global Warehouse contribution (NOI) | $ | 204,531 | $ | 208,100 | $ | 172,842 | 18.3 | % | 20.4 | % | |||||||||||||||||||
| Global Warehouse margin | 34.1 | % | 34.1 | % | 29.7 | % | 433 bps | 431 bps | |||||||||||||||||||||
| Global Warehouse rent and storage metrics: | |||||||||||||||||||||||||||||
| Average economic occupied pallets | 4,311 | n/a | 4,580 | (5.9) | % | n/a | |||||||||||||||||||||||
| Average physical occupied pallets | 3,740 | n/a | 4,187 | (10.7) | % | n/a | |||||||||||||||||||||||
| Average physical pallet positions | 5,519 | n/a | 5,424 | 1.8 | % | n/a | |||||||||||||||||||||||
| Economic occupancy percentage | 78.1 | % | n/a | 84.4 | % | -634 bps | n/a | ||||||||||||||||||||||
| Physical occupancy percentage | 67.8 | % | n/a | 77.2 | % | -943 bps | n/a | ||||||||||||||||||||||
| Total rent and storage revenue per average economic occupied pallet | $ | 62.09 | $ | 63.50 | $ | 60.08 | 3.3 | % | 5.7 | % | |||||||||||||||||||
| Total rent and storage revenue per average physical occupied pallet | $ | 71.57 | $ | 73.20 | $ | 65.72 | 8.9 | % | 11.4 | % | |||||||||||||||||||
| Global Warehouse services metrics: | |||||||||||||||||||||||||||||
| Throughput pallets | 9,024 | n/a | 9,118 | (1.0) | % | n/a | |||||||||||||||||||||||
| Total warehouse services revenue per throughput pallet | $ | 36.87 | $ | 37.38 | $ | 33.56 | 9.9 | % | 11.4 | % | |||||||||||||||||||
| SAME STORE WAREHOUSE | |||||||||||||||||||||||||||||
| Number of same store warehouses | 226 | 226 | n/a | n/a | |||||||||||||||||||||||||
| Global Warehouse same store revenue: | |||||||||||||||||||||||||||||
| Rent and storage | $ | 257,924 | $ | 263,984 | $ | 264,134 | (2.4) | % | (0.1) | % | |||||||||||||||||||
| Warehouse services | 324,767 | 329,372 | 299,417 | 8.5 | % | 10.0 | % | ||||||||||||||||||||||
| Total same store revenue | $ | 582,691 | $ | 593,356 | $ | 563,551 | 3.4 | % | 5.3 | % | |||||||||||||||||||
| Global Warehouse same store contribution (NOI) | $ | 206,604 | $ | 210,247 | $ | 176,205 | 17.3 | % | 19.3 | % | |||||||||||||||||||
| Global Warehouse same store margin | 35.5 | % | 35.4 | % | 31.3 | % | 419 bps | 417 bps | |||||||||||||||||||||
| Global Warehouse same store rent and storage metrics: | |||||||||||||||||||||||||||||
| Average economic occupied pallets | 4,165 | n/a | 4,468 | (6.8) | % | n/a | |||||||||||||||||||||||
| Average physical occupied pallets | 3,615 | n/a | 4,099 | (11.8) | % | n/a | |||||||||||||||||||||||
| Average physical pallet positions | 5,245 | n/a | 5,277 | (0.6) | % | n/a | |||||||||||||||||||||||
| Economic occupancy percentage | 79.4 | % | n/a | 84.7 | % | -526 bps | n/a | ||||||||||||||||||||||
| Physical occupancy percentage | 68.9 | % | n/a | 77.7 | % | -875 bps | n/a | ||||||||||||||||||||||
| Same store rent and storage revenue per average economic occupied pallet | $ | 61.94 | $ | 63.38 | $ | 59.12 | 4.8 | % | 7.2 | % | |||||||||||||||||||
| Same store rent and storage revenue per average physical occupied pallet | $ | 71.34 | $ | 73.02 | $ | 64.44 | 10.7 | % | 13.3 | % | |||||||||||||||||||
| Global Warehouse same store services metrics: | |||||||||||||||||||||||||||||
| Throughput pallets | 8,717 | n/a | 8,873 | (1.8) | % | n/a | |||||||||||||||||||||||
| Same store warehouse services revenue per throughput pallet | $ | 37.26 | $ | 37.79 | $ | 33.74 | 10.4 | % | 12.0 | % | |||||||||||||||||||
| Three Months Ended June 30, | Change | ||||||||||||||||||||||||||||
| Dollars and units in thousands, except per pallet data | 2024 Actual | 2024 Constant Currency(1) | 2023 Actual | Actual | Constant Currency | ||||||||||||||||||||||||
| NON-SAME STORE WAREHOUSE | |||||||||||||||||||||||||||||
Number of non-same store warehouses(2) | 9 | 11 | n/a | n/a | |||||||||||||||||||||||||
| Global Warehouse non-same store revenue: | |||||||||||||||||||||||||||||
| Rent and storage | $ | 9,747 | $ | 9,767 | $ | 11,049 | n/r | n/r | |||||||||||||||||||||
| Warehouse services | 7,949 | 7,979 | 6,570 | n/r | n/r | ||||||||||||||||||||||||
| Total non-same store revenue | $ | 17,696 | $ | 17,746 | $ | 17,619 | n/r | n/r | |||||||||||||||||||||
| Global Warehouse non-same store contribution (NOI) | $ | (2,073) | $ | (2,147) | $ | (3,363) | n/r | n/r | |||||||||||||||||||||
| Global Warehouse non-same store margin | (11.7) | % | (12.1) | % | (19.1) | % | n/r | n/r | |||||||||||||||||||||
| Global Warehouse non-same store rent and storage metrics: | |||||||||||||||||||||||||||||
| Average economic occupied pallets | 146 | n/a | 112 | n/r | n/a | ||||||||||||||||||||||||
| Average physical occupied pallets | 125 | n/a | 88 | n/r | n/a | ||||||||||||||||||||||||
| Average physical pallet positions | 274 | n/a | 147 | n/r | n/a | ||||||||||||||||||||||||
| Economic occupancy percentage | 53.3 | % | n/a | 76.2 | % | n/r | n/a | ||||||||||||||||||||||
| Physical occupancy percentage | 45.6 | % | n/a | 59.9 | % | n/r | n/a | ||||||||||||||||||||||
| Non-same store rent and storage revenue per average economic occupied pallet | $ | 66.76 | $ | 66.90 | $ | 98.65 | n/r | n/r | |||||||||||||||||||||
| Non-same store rent and storage revenue per average physical occupied pallet | $ | 77.98 | $ | 78.14 | $ | 125.56 | n/r | n/r | |||||||||||||||||||||
| Global Warehouse non-same store services metrics: | |||||||||||||||||||||||||||||
| Throughput pallets | 307 | n/a | 245 | n/r | n/a | ||||||||||||||||||||||||
| Non-same store warehouse services revenue per throughput pallet | $ | 25.89 | $ | 25.99 | $ | 26.82 | n/r | n/r | |||||||||||||||||||||
| Six Months Ended June 30, | Change | ||||||||||||||||||||||||||||
| Dollars in thousands | 2024 Actual | 2024 Constant Currency(1) | 2023 Actual | Actual | Constant currency | ||||||||||||||||||||||||
| TOTAL WAREHOUSE SEGMENT | |||||||||||||||||||||||||||||
| Number of total warehouses | 235 | 237 | n/a | n/a | |||||||||||||||||||||||||
| Global Warehouse revenue: | |||||||||||||||||||||||||||||
| Rent and storage | $ | 537,095 | $ | 548,390 | $ | 546,591 | (1.7) | % | 0.3 | % | |||||||||||||||||||
| Warehouse services | 661,002 | 669,779 | 629,631 | 5.0 | % | 6.4 | % | ||||||||||||||||||||||
| Total revenue | $ | 1,198,097 | $ | 1,218,169 | $ | 1,176,222 | 1.9 | % | 3.6 | % | |||||||||||||||||||
| Global Warehouse contribution (NOI) | $ | 401,662 | $ | 408,064 | $ | 347,669 | 15.5 | % | 17.4 | % | |||||||||||||||||||
| Global Warehouse margin | 33.5 | % | 33.5 | % | 29.6 | % | 397 bps | 394 bps | |||||||||||||||||||||
| Units in thousands except per pallet data | |||||||||||||||||||||||||||||
| Global Warehouse rent and storage metrics: | |||||||||||||||||||||||||||||
| Average economic occupied pallets | 4,353 | n/a | 4,566 | (4.7) | % | n/a | |||||||||||||||||||||||
| Average physical occupied pallets | 3,775 | n/a | 4,188 | (9.9) | % | n/a | |||||||||||||||||||||||
| Average physical pallet positions | 5,525 | n/a | 5,421 | 1.9 | % | n/a | |||||||||||||||||||||||
| Economic occupancy percentage | 78.8 | % | n/a | 84.2 | % | -544 bps | n/a | ||||||||||||||||||||||
| Physical occupancy percentage | 68.3 | % | n/a | 77.3 | % | -893 bps | n/a | ||||||||||||||||||||||
| Total rent and storage revenue per average economic occupied pallet | $ | 123.39 | $ | 125.98 | $ | 119.70 | 3.1 | % | 5.2 | % | |||||||||||||||||||
| Total rent and storage revenue per average physical occupied pallet | $ | 142.28 | $ | 145.27 | $ | 130.50 | 9.0 | % | 11.3 | % | |||||||||||||||||||
| Global Warehouse services metrics: | |||||||||||||||||||||||||||||
| Throughput pallets | 18,075 | n/a | 18,770 | (3.7) | % | n/a | |||||||||||||||||||||||
| Total warehouse services revenue per throughput pallet | $ | 36.57 | $ | 37.06 | $ | 33.54 | 9.0 | % | 10.5 | % | |||||||||||||||||||
| SAME STORE WAREHOUSE | |||||||||||||||||||||||||||||
| Number of same store warehouses | 226 | 226 | n/a | n/a | |||||||||||||||||||||||||
| Global Warehouse same store revenue: | |||||||||||||||||||||||||||||
| Rent and storage | $ | 514,220 | $ | 525,434 | $ | 528,184 | (2.6) | % | (0.5) | % | |||||||||||||||||||
| Warehouse services | 645,183 | 653,819 | 616,395 | 4.7 | % | 6.1 | % | ||||||||||||||||||||||
| Total same store revenue | $ | 1,159,403 | $ | 1,179,253 | $ | 1,144,579 | 1.3 | % | 3.0 | % | |||||||||||||||||||
| Global Warehouse same store contribution (NOI) | $ | 407,187 | $ | 413,633 | $ | 360,924 | 12.8 | % | 14.6 | % | |||||||||||||||||||
| Global Warehouse same store margin | 35.1 | % | 35.1 | % | 31.5 | % | 359 bps | 354 bps | |||||||||||||||||||||
| Units in thousands except per pallet data | |||||||||||||||||||||||||||||
| Global Warehouse same store rent and storage metrics: | |||||||||||||||||||||||||||||
| Average economic occupied pallets | 4,204 | n/a | 4,460 | (5.7) | % | n/a | |||||||||||||||||||||||
| Average physical occupied pallets | 3,649 | n/a | 4,103 | (11.1) | % | n/a | |||||||||||||||||||||||
| Average physical pallet positions | 5,245 | n/a | 5,277 | (0.6) | % | n/a | |||||||||||||||||||||||
| Economic occupancy percentage | 80.2 | % | n/a | 84.5 | % | -437 bps | n/a | ||||||||||||||||||||||
| Physical occupancy percentage | 69.6 | % | n/a | 77.8 | % | -818 bps | n/a | ||||||||||||||||||||||
| Same store rent and storage revenue per average economic occupied pallet | $ | 122.34 | $ | 124.98 | $ | 118.42 | 3.3 | % | 5.5 | % | |||||||||||||||||||
| Same store rent and storage revenue per average physical occupied pallet | $ | 140.94 | $ | 143.99 | $ | 128.73 | 9.5 | % | 11.9 | % | |||||||||||||||||||
| Global Warehouse same store services metrics: | |||||||||||||||||||||||||||||
| Throughput pallets | 17,398 | n/a | 18,269 | (4.8) | % | n/a | |||||||||||||||||||||||
| Same store warehouse services revenue per throughput pallet | $ | 37.08 | $ | 37.58 | $ | 33.74 | 9.9 | % | 11.4 | % | |||||||||||||||||||
| Six Months Ended June 30, | Change | ||||||||||||||||||||||||||||
| Dollars in thousands | 2024 Actual | 2024 Constant Currency(1) | 2023 Actual | Actual | Constant currency | ||||||||||||||||||||||||
| NON-SAME STORE WAREHOUSE | |||||||||||||||||||||||||||||
Number of non-same store warehouses(2) | 9 | 11 | |||||||||||||||||||||||||||
| Global Warehouse non-same store revenue: | |||||||||||||||||||||||||||||
| Rent and storage | $ | 22,875 | $ | 22,956 | $ | 18,407 | n/r | n/r | |||||||||||||||||||||
| Warehouse services | 15,819 | 15,960 | 13,236 | n/r | n/r | ||||||||||||||||||||||||
| Total non-same store revenue | $ | 38,694 | $ | 38,916 | $ | 31,643 | n/r | n/r | |||||||||||||||||||||
| Global Warehouse non-same store contribution (NOI) | $ | (5,525) | $ | (5,569) | $ | (13,255) | n/r | n/r | |||||||||||||||||||||
| Global Warehouse non-same store margin | (14.3) | % | (14.3) | % | (41.9) | % | n/r | n/r | |||||||||||||||||||||
| Units in thousands except per pallet data | |||||||||||||||||||||||||||||
| Global Warehouse non-same store rent and storage metrics: | |||||||||||||||||||||||||||||
| Average economic occupied pallets | 149 | n/a | 106 | n/r | n/a | ||||||||||||||||||||||||
| Average physical occupied pallets | 126 | n/a | 85 | n/r | n/a | ||||||||||||||||||||||||
| Average physical pallet positions | 280 | n/a | 144 | n/r | n/a | ||||||||||||||||||||||||
| Economic occupancy percentage | 53.2 | % | n/a | 73.6 | % | n/r | n/a | ||||||||||||||||||||||
| Physical occupancy percentage | 45.0 | % | n/a | 59.0 | % | n/r | n/a | ||||||||||||||||||||||
| Non-same store rent and storage revenue per average economic occupied pallet | $ | 153.52 | $ | 154.07 | $ | 173.65 | n/r | n/r | |||||||||||||||||||||
| Non-same store rent and storage revenue per average physical occupied pallet | $ | 181.55 | $ | 182.19 | $ | 216.55 | n/r | n/r | |||||||||||||||||||||
| Global Warehouse non-same store services metrics: | |||||||||||||||||||||||||||||
| Throughput pallets | 677 | n/a | 501 | n/r | n/a | ||||||||||||||||||||||||
| Non-same store warehouse services revenue per throughput pallet | $ | 23.37 | $ | 23.57 | $ | 26.42 | n/r | n/r | |||||||||||||||||||||
| Americold Realty Trust, Inc. and Subsidiaries | |||||||||||
| Condensed Consolidated Balance Sheets (Unaudited) | |||||||||||
| (In thousands, except shares and per share amounts) | |||||||||||
| June 30, 2024 | December 31, 2023 | ||||||||||
| Assets | |||||||||||
| Property, buildings, and equipment: | |||||||||||
| Land | $ | 816,949 | $ | 820,831 | |||||||
| Buildings and improvements | 4,458,632 | 4,464,359 | |||||||||
| Machinery and equipment | 1,575,540 | 1,565,431 | |||||||||
| Assets under construction | 510,085 | 452,312 | |||||||||
| 7,361,206 | 7,302,933 | ||||||||||
| Accumulated depreciation | (2,330,672) | (2,196,196) | |||||||||
| Property, buildings, and equipment – net | 5,030,534 | 5,106,737 | |||||||||
| Operating leases - net | 231,822 | 247,302 | |||||||||
| Financing leases - net | 105,770 | 105,164 | |||||||||
| Cash, cash equivalents, and restricted cash | 44,198 | 60,392 | |||||||||
Accounts receivable – net of allowance of $21,672 and $21,647 at June 30, 2024 and December 31, 2023, respectively | 429,080 | 426,048 | |||||||||
| Identifiable intangible assets – net | 874,788 | 897,414 | |||||||||
| Goodwill | 790,612 | 794,004 | |||||||||
| Investments in and advances to partially owned entities | 41,481 | 38,113 | |||||||||
| Other assets | 254,168 | 194,078 | |||||||||
| Total assets | $ | 7,802,453 | $ | 7,869,252 | |||||||
| Liabilities and equity | |||||||||||
| Liabilities: | |||||||||||
| Borrowings under revolving line of credit | $ | 619,636 | $ | 392,156 | |||||||
| Accounts payable and accrued expenses | 570,818 | 568,764 | |||||||||
Senior unsecured notes and term loans – net of deferred financing costs of $9,254 and $10,578, in the aggregate, at June 30, 2024 and December 31, 2023, respectively | 2,574,022 | 2,601,122 | |||||||||
| Sale-leaseback financing obligations | 81,201 | 161,937 | |||||||||
| Financing lease obligations | 95,768 | 97,177 | |||||||||
| Operating lease obligations | 226,764 | 240,251 | |||||||||
| Unearned revenue | 27,290 | 28,379 | |||||||||
| Deferred tax liability - net | 129,512 | 135,797 | |||||||||
| Other liabilities | 7,854 | 9,082 | |||||||||
| Total liabilities | 4,332,865 | 4,234,665 | |||||||||
| Equity | |||||||||||
| Stockholders' equity | |||||||||||
Common stock, $0.01 par value per share – 500,000,000 authorized shares; 284,079,137 and 283,699,120 shares issued and outstanding at June 30, 2024 and December 31, 2023, respectively | 2,840 | 2,837 | |||||||||
| Paid-in capital | 5,635,353 | 5,625,907 | |||||||||
| Accumulated deficit and distributions in excess of net earnings | (2,176,035) | (1,995,975) | |||||||||
| Accumulated other comprehensive income (loss) | (14,313) | (16,640) | |||||||||
| Total stockholders’ equity | 3,447,845 | 3,616,129 | |||||||||
| Noncontrolling interests | 21,743 | 18,458 | |||||||||
| Total equity | 3,469,588 | 3,634,587 | |||||||||
| Total liabilities and equity | $ | 7,802,453 | $ | 7,869,252 | |||||||
| Americold Realty Trust, Inc. and Subsidiaries | |||||||||||||||||||||||
| Condensed Consolidated Statements of Operations (Unaudited) | |||||||||||||||||||||||
| (In thousands, except per share amounts) | |||||||||||||||||||||||
| Three Months Ended June 30, | Six Months Ended June 30, | ||||||||||||||||||||||
| 2024 | 2023 | 2024 | 2023 | ||||||||||||||||||||
| Revenues: | |||||||||||||||||||||||
| Rent, storage, and warehouse services | $ | 600,387 | $ | 581,170 | $ | 1,198,097 | $ | 1,176,222 | |||||||||||||||
| Transportation services | 50,637 | 58,072 | 107,490 | 126,150 | |||||||||||||||||||
| Third-party managed services | 9,931 | 10,368 | 20,348 | 23,727 | |||||||||||||||||||
| Total revenues | 660,955 | 649,610 | 1,325,935 | 1,326,099 | |||||||||||||||||||
| Operating expenses: | |||||||||||||||||||||||
| Rent, storage, and warehouse services cost of operations | 395,856 | 408,328 | 796,435 | 828,553 | |||||||||||||||||||
| Transportation services cost of operations | 41,787 | 48,263 | 87,118 | 104,681 | |||||||||||||||||||
| Third-party managed services cost of operations | 7,829 | 8,968 | 16,063 | 21,248 | |||||||||||||||||||
| Depreciation and amortization | 89,649 | 84,892 | 181,744 | 169,916 | |||||||||||||||||||
| Selling, general, and administrative | 59,453 | 53,785 | 124,879 | 116,640 | |||||||||||||||||||
| Acquisition, cyber incident, and other, net | 3,013 | 27,235 | 18,011 | 34,382 | |||||||||||||||||||
| Gain from sale of real estate | — | (2,528) | (3,514) | (2,337) | |||||||||||||||||||
| Total operating expenses | 597,587 | 628,943 | 1,220,736 | 1,273,083 | |||||||||||||||||||
| Operating income | 63,368 | 20,667 | 105,199 | 53,016 | |||||||||||||||||||
| Other income (expense): | |||||||||||||||||||||||
| Interest expense | (33,180) | (36,431) | (66,610) | (70,854) | |||||||||||||||||||
| Loss on debt extinguishment and termination of derivative instruments | (110,682) | (627) | (115,864) | (1,172) | |||||||||||||||||||
| Loss from investments in partially owned entities | (1,034) | (709) | (1,983) | (1,357) | |||||||||||||||||||
| Loss on put option | — | (56,576) | — | (56,576) | |||||||||||||||||||
| Impairment of related party loan receivable | — | (21,972) | — | (21,972) | |||||||||||||||||||
| Other, net | 14,623 | (415) | 24,149 | 1,018 | |||||||||||||||||||
| Loss from continuing operations before income taxes | (66,905) | (96,063) | (55,109) | (97,897) | |||||||||||||||||||
| Income tax (expense) benefit: | |||||||||||||||||||||||
| Current income tax | (1,857) | (1,923) | (3,232) | (3,900) | |||||||||||||||||||
| Deferred income tax | 4,353 | 1,459 | 3,734 | 5,080 | |||||||||||||||||||
| Total income tax benefit (expense) | 2,496 | (464) | 502 | 1,180 | |||||||||||||||||||
| Net Loss | |||||||||||||||||||||||
| Net loss from continuing operations | (64,409) | (96,527) | (54,607) | (96,717) | |||||||||||||||||||
| Net loss from discontinued operations | — | (8,275) | — | (10,656) | |||||||||||||||||||
| Net loss | $ | (64,409) | $ | (104,802) | $ | (54,607) | $ | (107,373) | |||||||||||||||
| Net loss attributable to noncontrolling interests | (300) | (78) | (238) | (87) | |||||||||||||||||||
| Net loss attributable to Americold Realty Trust, Inc. | $ | (64,109) | $ | (104,724) | $ | (54,369) | $ | (107,286) | |||||||||||||||
| Weighted average common stock outstanding – basic | 284,683 | 270,462 | 284,664 | 270,387 | |||||||||||||||||||
| Weighted average common stock outstanding – diluted | 284,683 | 270,462 | 284,664 | 270,387 | |||||||||||||||||||
| Net loss per common share from continuing operations - basic | $ | (0.23) | $ | (0.36) | $ | (0.19) | $ | (0.36) | |||||||||||||||
| Net loss per common share from discontinued operations - basic | — | (0.03) | — | $ | (0.04) | ||||||||||||||||||
| Basic loss per share | $ | (0.23) | $ | (0.39) | $ | (0.19) | $ | (0.40) | |||||||||||||||
| Net loss per common share from continuing operations - diluted | $ | (0.23) | $ | (0.36) | $ | (0.19) | $ | (0.36) | |||||||||||||||
| Net loss per common share from discontinued operations - diluted | — | $ | (0.03) | $ | — | $ | (0.04) | ||||||||||||||||
| Diluted loss per share | $ | (0.23) | $ | (0.39) | $ | (0.19) | $ | (0.40) | |||||||||||||||
| Reconciliation of Net (Loss) Income to NAREIT FFO, Core FFO, and Adjusted FFO | |||||||||||||||||||||||
| (In thousands, except per share amounts) | |||||||||||||||||||||||
| Three Months Ended | YTD | ||||||||||||||||||||||
| Q2 24 | Q1 24 | Q4 23 | Q3 23 | Q2 23 | 2024 | ||||||||||||||||||
| Net (loss) income | $ | (64,409) | $ | 9,802 | $ | (226,800) | $ | (2,096) | $ | (104,802) | $ | (54,607) | |||||||||||
| Adjustments: | |||||||||||||||||||||||
| Real estate related depreciation | 56,410 | 56,275 | 57,183 | 56,373 | 54,740 | 112,685 | |||||||||||||||||
| (Gain) loss from sale of real estate | — | (3,514) | 5 | 78 | (2,528) | (3,514) | |||||||||||||||||
| Net loss (gain) on asset disposals | 53 | 40 | 260 | (25) | — | 93 | |||||||||||||||||
| Our share of reconciling items related to partially owned entities | 418 | 148 | 280 | 290 | 232 | 566 | |||||||||||||||||
| NAREIT FFO | $ | (7,528) | $ | 62,751 | $ | (169,072) | $ | 54,620 | $ | (52,358) | $ | 55,223 | |||||||||||
| Adjustments: | |||||||||||||||||||||||
| Net (gain) loss on sale of non-real estate assets | (548) | (20) | 3,312 | (296) | 289 | (568) | |||||||||||||||||
| Acquisition, cyber incident and other, net | 3,013 | 14,998 | 15,774 | 13,931 | 27,235 | 18,011 | |||||||||||||||||
| Goodwill impairment | — | — | 236,515 | — | — | — | |||||||||||||||||
Loss on debt extinguishment and termination of derivative instruments | 110,682 | 5,182 | 627 | 683 | 627 | 115,864 | |||||||||||||||||
| Foreign currency exchange (gain) loss | (11,321) | 373 | (28) | 705 | 212 | (10,948) | |||||||||||||||||
| Gain on legal settlement related to prior period operations | — | (6,104) | (2,180) | — | — | (6,104) | |||||||||||||||||
| Project Orion deferred costs amortization | 581 | — | — | — | — | 581 | |||||||||||||||||
| Our share of reconciling items related to partially owned entities | 144 | 136 | (184) | 147 | (27) | 280 | |||||||||||||||||
| Net (gain) loss from discontinued operations | — | — | — | (203) | 8,275 | — | |||||||||||||||||
| Impairment of related party receivable | — | — | — | — | 21,972 | — | |||||||||||||||||
| Loss on put option | — | — | — | — | 56,576 | — | |||||||||||||||||
| Gain on sale of LATAM JV | — | — | — | — | (304) | — | |||||||||||||||||
| Core FFO | $ | 95,023 | $ | 77,316 | $ | 84,764 | $ | 69,587 | $ | 62,497 | $ | 172,339 | |||||||||||
| Adjustments: | |||||||||||||||||||||||
| Amortization of deferred financing costs and pension withdrawal liability | 1,294 | 1,289 | 1,290 | 1,286 | 1,279 | 2,583 | |||||||||||||||||
| Amortization of below/above market leases | 360 | 368 | 360 | 369 | 375 | 728 | |||||||||||||||||
| Straight-line rental expense adjustment | 367 | 589 | 597 | 544 | 361 | 956 | |||||||||||||||||
| Deferred income tax (benefit) expense | (4,353) | 619 | (3,228) | (2,473) | (1,459) | (3,734) | |||||||||||||||||
| Stock-based compensation expense | 6,064 | 6,619 | 5,780 | 6,203 | 4,639 | 12,683 | |||||||||||||||||
| Non-real estate depreciation and amortization | 33,239 | 35,820 | 36,916 | 33,355 | 30,152 | 69,059 | |||||||||||||||||
Maintenance capital expenditures (a) | (22,832) | (17,933) | (18,670) | (20,907) | (22,590) | (40,765) | |||||||||||||||||
| Our share of reconciling items related to partially owned entities | 235 | 226 | 208 | 198 | 303 | 461 | |||||||||||||||||
| Adjusted FFO | $ | 109,397 | $ | 104,913 | $ | 108,017 | $ | 88,162 | $ | 75,557 | $ | 214,310 | |||||||||||
Reconciliation of Net (Loss) Income to NAREIT FFO, Core FFO, and Adjusted FFO (continued) | |||||||||||||||||||||||
| (In thousands except per share amounts) | |||||||||||||||||||||||
| Three Months Ended | YTD | ||||||||||||||||||||||
| Q2 24 | Q1 24 | Q4 23 | Q3 23 | Q2 23 | 2024 | ||||||||||||||||||
| NAREIT FFO | $ | (7,528) | $ | 62,751 | $ | (169,072) | $ | 54,620 | $ | (52,358) | $ | 55,223 | |||||||||||
| Core FFO | $ | 95,023 | $ | 77,316 | $ | 84,764 | $ | 69,587 | $ | 62,497 | $ | 172,339 | |||||||||||
| Adjusted FFO | $ | 109,397 | $ | 104,913 | $ | 108,017 | $ | 88,162 | $ | 75,557 | $ | 214,310 | |||||||||||
| Reconciliation of weighted average shares: | |||||||||||||||||||||||
| Weighted average basic shares for net income calculation | 284,683 | 284,644 | 284,263 | 278,137 | 270,462 | 284,664 | |||||||||||||||||
| Dilutive stock options and unvested restricted stock units | 327 | 234 | 502 | 519 | 695 | 280 | |||||||||||||||||
| Weighted average dilutive shares | 285,010 | 284,878 | 284,765 | 278,656 | 271,157 | 284,944 | |||||||||||||||||
NAREIT FFO - basic per share | $ | (0.03) | $ | 0.22 | $ | (0.59) | $ | 0.20 | $ | (0.19) | $ | 0.19 | |||||||||||
NAREIT FFO - diluted per share | $ | (0.03) | $ | 0.22 | $ | (0.59) | $ | 0.20 | $ | (0.19) | $ | 0.19 | |||||||||||
Core FFO - basic per share | $ | 0.33 | $ | 0.27 | $ | 0.30 | $ | 0.25 | $ | 0.23 | $ | 0.61 | |||||||||||
Core FFO - diluted per share | $ | 0.33 | $ | 0.27 | $ | 0.30 | $ | 0.25 | $ | 0.23 | $ | 0.60 | |||||||||||
Adjusted FFO - basic per share | $ | 0.38 | $ | 0.37 | $ | 0.38 | $ | 0.32 | $ | 0.28 | $ | 0.75 | |||||||||||
Adjusted FFO - diluted per share | $ | 0.38 | $ | 0.37 | $ | 0.38 | $ | 0.32 | $ | 0.28 | $ | 0.75 | |||||||||||
| Reconciliation of Net (Loss) Income to NAREIT EBITDAre, and Core EBITDA | |||||||||||||||||||||||
| (In thousands) | |||||||||||||||||||||||
| Three Months Ended | Trailing Twelve Months Ended | ||||||||||||||||||||||
| Q2 24 | Q1 24 | Q4 23 | Q3 23 | Q2 23 | Q2 24 | ||||||||||||||||||
| Net (loss) income | $ | (64,409) | $ | 9,802 | $ | (226,800) | $ | (2,096) | $ | (104,802) | $ | (283,503) | |||||||||||
| Adjustments: | |||||||||||||||||||||||
| Depreciation and amortization | 89,649 | 92,095 | 94,099 | 89,728 | 84,892 | 365,571 | |||||||||||||||||
| Interest expense | 33,180 | 33,430 | 33,681 | 35,572 | 36,431 | 135,863 | |||||||||||||||||
| Income tax (benefit) expense | (2,496) | 1,994 | (601) | (492) | 464 | (1,595) | |||||||||||||||||
| (Gain) loss from sale of real estate | — | (3,514) | 5 | 78 | (2,528) | (3,431) | |||||||||||||||||
| Adjustment to reflect share of EBITDAre of partially owned entities | 1,520 | 1,470 | 1,533 | 1,495 | 3,085 | 6,018 | |||||||||||||||||
| NAREIT EBITDAre | $ | 57,444 | $ | 135,277 | $ | (98,083) | $ | 124,285 | $ | 17,542 | $ | 218,923 | |||||||||||
| Adjustments: | |||||||||||||||||||||||
| Acquisition, cyber incident and other, net | 3,013 | 14,998 | 15,774 | 13,931 | 27,235 | 47,716 | |||||||||||||||||
| Loss (gain) from investments in partially owned entities | 1,034 | 949 | (174) | 259 | 709 | 2,068 | |||||||||||||||||
| Impairment of indefinite and long-lived assets | — | — | 236,515 | — | — | 236,515 | |||||||||||||||||
| Foreign currency exchange (gain) loss | (11,321) | 373 | (28) | 705 | 212 | (10,271) | |||||||||||||||||
| Stock-based compensation expense | 6,064 | 6,619 | 5,780 | 6,203 | 4,639 | 24,666 | |||||||||||||||||
Loss on debt extinguishment and termination of derivative instruments | 110,682 | 5,182 | 627 | 683 | 627 | 117,174 | |||||||||||||||||
| (Gain) loss on other asset disposals | (495) | 20 | 3,572 | (321) | 289 | 2,776 | |||||||||||||||||
| Gain on legal settlement related to prior period operations | — | (6,104) | (2,180) | — | — | (8,284) | |||||||||||||||||
| Project Orion deferred costs amortization | 581 | — | — | — | — | 581 | |||||||||||||||||
| Reduction in EBITDAre from partially owned entities | (1,520) | (1,470) | (1,533) | (1,495) | (3,085) | (6,018) | |||||||||||||||||
| Gain from sale of partially owned entities | — | — | — | — | (304) | — | |||||||||||||||||
| Net (gain) loss from discontinued operations | — | — | — | (203) | 8,275 | (203) | |||||||||||||||||
| Impairment of related party receivable | — | — | — | — | 21,972 | — | |||||||||||||||||
| Loss on put option | — | — | — | — | 56,576 | — | |||||||||||||||||
| Core EBITDA | $ | 165,482 | $ | 155,844 | $ | 160,270 | $ | 144,047 | $ | 134,687 | $ | 625,643 | |||||||||||
| Total revenue | $ | 660,955 | $ | 664,980 | $ | 679,291 | $ | 667,939 | $ | 649,610 | $ | 2,673,165 | |||||||||||
| Core EBITDA margin | 25.0 | % | 23.4 | % | 23.6 | % | 21.6 | % | 20.7 | % | 23.4 | % | |||||||||||
Revenue and Contribution (NOI) by Segment | |||||||||||||||||||||||
(in thousands) | |||||||||||||||||||||||
| Three Months Ended June 30, | Six Months Ended June 30, | ||||||||||||||||||||||
| 2024 | 2023 | 2024 | 2023 | ||||||||||||||||||||
| Segment revenues: | |||||||||||||||||||||||
| Warehouse | $ | 600,387 | $ | 581,170 | $ | 1,198,097 | $ | 1,176,222 | |||||||||||||||
| Transportation | 50,637 | 58,072 | 107,490 | 126,150 | |||||||||||||||||||
| Third-party managed | 9,931 | 10,368 | 20,348 | 23,727 | |||||||||||||||||||
| Total revenues | 660,955 | 649,610 | 1,325,935 | 1,326,099 | |||||||||||||||||||
| Segment contribution: | |||||||||||||||||||||||
| Warehouse | 204,531 | 172,842 | 401,662 | 347,669 | |||||||||||||||||||
| Transportation | 8,850 | 9,809 | 20,372 | 21,469 | |||||||||||||||||||
| Third-party managed | 2,102 | 1,400 | 4,285 | 2,479 | |||||||||||||||||||
| Total segment contribution | 215,483 | 184,051 | 426,319 | 371,617 | |||||||||||||||||||
| Reconciling items: | |||||||||||||||||||||||
| Depreciation and amortization expense | (89,649) | (84,892) | (181,744) | (169,916) | |||||||||||||||||||
| Selling, general, and administrative expense | (59,453) | (53,785) | (124,879) | (116,640) | |||||||||||||||||||
| Acquisition, cyber incident, and other expense, net | (3,013) | (27,235) | (18,011) | (34,382) | |||||||||||||||||||
| Gain from sale of real estate | — | 2,528 | 3,514 | 2,337 | |||||||||||||||||||
| Interest expense | (33,180) | (36,431) | (66,610) | (70,854) | |||||||||||||||||||
| Other, net | 14,623 | (415) | 24,149 | 1,018 | |||||||||||||||||||
| Loss on debt extinguishment and termination of derivative instruments | (110,682) | (627) | (115,864) | (1,172) | |||||||||||||||||||
| Impairment of related party loan receivable | — | (21,972) | — | (21,972) | |||||||||||||||||||
| Loss on put option | — | (56,576) | — | (56,576) | |||||||||||||||||||
| Loss from investments in partially owned entities | (1,034) | (709) | (1,983) | (1,357) | |||||||||||||||||||
| Loss from continuing operations before income taxes | $ | (66,905) | $ | (96,063) | $ | (55,109) | $ | (97,897) | |||||||||||||||
| Notes and Definitions | ||
| We use the following non-GAAP financial measures as supplemental performance measures of our business: NAREIT FFO, Core FFO, Adjusted FFO, NAREIT EBITDAre, Core EBITDA, Core EBITDA margin, net debt to pro-forma Core EBITDA, segment contribution (‘NOI”) and margin, same store revenue and NOI, and maintenance capital expenditures. | ||
| We calculate funds from operations, or FFO, in accordance with the standards established by the Board of Governors of the National Association of Real Estate Investment Trusts, or NAREIT. NAREIT defines FFO as net income or loss determined in accordance with U.S. GAAP, excluding extraordinary items as defined under U.S. GAAP and gains or losses from sales of previously depreciated operating real estate and other assets, plus specified non-cash items, such as real estate asset depreciation and amortization impairment charge on real estate related assets and our share of reconciling items for partially owned entities. We believe that FFO is helpful to investors as a supplemental performance measure because it excludes the effect of depreciation, amortization and gains or losses from sales of real estate, all of which are based on historical costs, which implicitly assumes that the value of real estate diminishes predictably over time. Since real estate values instead have historically risen or fallen with market conditions, FFO can facilitate comparisons of operating performance between periods and among other equity REITs. | ||
We calculate core funds from operations, or Core FFO, as NAREIT FFO adjusted for the effects of Net (gain) loss on sale of non-real estate assets, Acquisition, cyber incident and other, net, Goodwill impairment, Loss on debt extinguishment and termination of derivative instruments, Foreign currency exchange (gain) loss, Gain on legal settlement related to prior period operations, Project Orion deferred costs amortization, Net (gain) loss from discontinued operations, Impairment of related party receivable, Loss on put option, and Gain on sale of LATAM JV. We also adjust for the impact of Core FFO on our share of reconciling items for partially owned entities, and gain from disposition of partially owned entities. We believe that Core FFO is helpful to investors as a supplemental performance measure because it excludes the effects of certain items which can create significant earnings volatility, but which do not directly relate to our core business operations. We believe Core FFO can facilitate comparisons of operating performance between periods, while also providing a more meaningful predictor of future earnings potential. | ||
| However, because NAREIT FFO and Core FFO add back real estate depreciation and amortization and do not capture the level of maintenance capital expenditures necessary to maintain the operating performance of our properties, both of which have material economic impacts on our results from operations, we believe the utility of NAREIT FFO and Core FFO measures of our performance may be limited. | ||
We calculate adjusted funds from operations, or Adjusted FFO, as Core FFO adjusted for the effects of Amortization of deferred financing costs and pension withdrawal liability, Amortization of below/above market leases, Straight-line rental expense adjustment, Deferred income tax (benefit) expense, Stock-based compensation expense, Non-real estate depreciation and amortization, and Maintenance capital expenditures. We also adjust for AFFO attributable to our share of reconciling items of partially owned entities and discontinued operations. We believe that Adjusted FFO is helpful to investors as a meaningful supplemental comparative performance measure of our ability to make incremental capital investments in our business and to assess our ability to fund distribution requirements from our operating activities. | ||
| FFO, Core FFO and Adjusted FFO are used by management, investors and industry analysts as supplemental measures of operating performance of equity REITs. FFO, Core FFO and Adjusted FFO should be evaluated along with U.S. GAAP net income and net income per diluted share (the most directly comparable U.S. GAAP measures) in evaluating our operating performance. FFO, Core FFO and Adjusted FFO do not represent net income or cash flows from operating activities in accordance with U.S. GAAP and are not indicative of our results of operations or cash flows from operating activities as disclosed in our consolidated statements of operations included in our quarterly and annual reports. FFO, Core FFO and Adjusted FFO should be considered as supplements, but not alternatives, to our net income or cash flows from operating activities as indicators of our operating performance. Moreover, other REITs may not calculate FFO in accordance with the NAREIT definition or may interpret the NAREIT definition differently than we do. Accordingly, our FFO may not be comparable to FFO as calculated by other REITs. In addition, there is no industry definition of Core FFO or Adjusted FFO and, as a result, other REITs may also calculate Core FFO or Adjusted FFO, or other similarly-captioned metrics, in a manner different than we do. The table above reconciles FFO, Core FFO and Adjusted FFO to net (loss) income, which is the most directly comparable financial measure calculated in accordance with U.S. GAAP. | ||
| We calculate EBITDA for Real Estate, or EBITDAre, in accordance with the standards established by the Board of Governors of NAREIT, defined as, net (loss) income before interest expense, taxes, depreciation and amortization, net gain on sale of real estate, net of withholding taxes, and adjustment to reflect share of EBITDAre of partially owned entities. EBITDAre is a measure commonly used in our industry, and we present EBITDAre to enhance investor understanding of our operating performance. We believe that EBITDAre provides investors and analysts with a measure of operating results unaffected by differences in capital structures, capital investment cycles and useful life of related assets among otherwise comparable companies. | ||
We also calculate our Core EBITDA as EBITDAre further adjusted for Acquisition, cyber incident and other, net, Loss (gain) from investments in partially owned entities, Impairment of indefinite and long-lived assets, Foreign currency exchange (gain) loss, Stock-based compensation expense ,Loss on debt extinguishment and termination of derivative instruments, (Gain) loss on other asset disposals, Gain on legal settlement related to prior period operations, Project Orion deferred costs amortization, Gain from sale of partially owned entities, Net (gain) loss from discontinued operations, Impairment of related party receivable, and Loss on put option.We believe that the presentation of Core EBITDA provides a measurement of our operations that is meaningful to investors because it excludes the effects of certain items that are otherwise included in EBITDAre but which we do not believe are indicative of our core business operations. We calculate Core EBITDA margin as Core EBITDA divided by revenues. EBITDAre and Core EBITDA are not measurements of financial performance under U.S. GAAP, and our EBITDAre and Core EBITDA may not be comparable to similarly titled measures of other companies. You should not consider our EBITDAre and Core EBITDA as alternatives to net income or cash flows from operating activities determined in accordance with U.S. GAAP. Our calculations of EBITDAre and Core EBITDA have limitations as analytical tools, including: | ||
NOI is calculated as earnings before interest expense, taxes, depreciation and amortization, and excluding corporate Selling, general, and administrative expense; Acquisition, cyber incident, and other, net; Impairment of indefinite and long-lived assets; gain or loss on sale of real estate and all components of non-operating other income and expense. Management believes that this is a helpful metric to measure period to period operating performance of the business. | ||
| We use the following non-GAAP financial measures as supplemental performance measures of our business: NAREIT FFO, Core FFO, Adjusted FFO, NAREIT EBITDAre, Core EBITDA, Core EBITDA margin, net debt to pro-forma Core EBITDA, contribution (‘NOI”) and margin, same store revenue and NOI, total real estate debt, total debt outstanding and maintenance capital expenditures. | ||
| Net debt to proforma Core EBITDA is calculated using total debt, plus deferred financing costs, less cash and cash equivalents, divided by pro-forma Core EBITDA. We calculate pro-forma Core EBITDA as Core EBITDA further adjusted for acquisitions, dispositions and for rent expense associated with lease buy-outs and lease exits. The pro-forma adjustment for acquisitions reflects the Core EBITDA for the period of time prior to acquisition. The pro-forma adjustment for leased facilities exited or purchased reflects the add-back for the related lease expense from the last year. The pro-forma adjustment for dispositions reduces Core EBITDA for the earnings of facilities disposed of or exited during the year, including the strategic exit of certain third-party managed business. | ||
We define our “same store” population once annually at the beginning of the current calendar year. Our population includes properties owned or leased for the entirety of two comparable periods with at least twelve consecutive months of normalized operations prior to January 1 of the current calendar year. We define “normalized operations” as properties that have been open for operation or lease, after development or significant modification (e.g., expansion or rehabilitation subsequent to a natural disaster). Acquired properties are included in the “same store” population if owned by us as of the first business day of the prior calendar year (e.g. January 1, 2023) and are still owned by us as of the end of the current reporting period, unless the property is under development. The “same store” pool is also adjusted to remove properties that were sold or entered development subsequent to the beginning of the current calendar year. Beginning January of 2024, changes in ownership structure (e.g., purchase of a previously leased warehouse) no longer results in a facility being excluded from the same store population, as management believes that actively managing its real estate is normal course of operations. Additionally, management began to classify new developments (both conventional and automated facilities) as a component of the same store pool once the facility is considered fully operational and both inbounding and outbounding product for at least twelve consecutive months prior to January 1 of the current calendar year. | ||
| We calculate “same store revenue” as revenues for the same store population. We calculate “same store contribution (NOI)” as revenues for the same store population less its cost of operations (excluding any depreciation and amortization, impairment charges, corporate-level selling, general and administrative expenses, corporate-level acquisition, cyber incident and other, net and gain or loss on sale of real estate). In order to derive an appropriate measure of period-to-period operating performance, we also calculate our same store contribution (NOI) on a constant currency basis to remove the effects of foreign currency exchange rate movements by using the comparable prior period exchange rate to translate from local currency into U.S. dollars for both periods. We evaluate the performance of the warehouses we own or lease using a “same store” analysis, and we believe that same store contribution (NOI) is helpful to investors as a supplemental performance measure because it includes the operating performance from the population of properties that is consistent from period to period and also on a constant currency basis, thereby eliminating the effects of changes in the composition of our warehouse portfolio and currency fluctuations on performance measures. Same store contribution (NOI) is not a measurement of financial performance under U.S. GAAP. In addition, other companies providing temperature-controlled warehouse storage and handling and other warehouse services may not define same store or calculate same store contribution (NOI) in a manner consistent with our definition or calculation. Same store contribution (NOI) should be considered as a supplement, but not as an alternative, to our results calculated in accordance with U.S. GAAP. | ||
| We define “maintenance capital expenditures” as capital expenditures made to extend the life of, and provide future economic benefit from, our existing temperature-controlled warehouse network and its existing supporting personal property and information technology. Maintenance capital expenditures include capital expenditures made to extend the life of, and provide future economic benefit from, our existing temperature-controlled warehouse network and its existing supporting personal property and information technology. Maintenance capital expenditures do not include acquisition costs contemplated when underwriting the purchase of a building or costs which are incurred to bring a building up to Americold’s operating standards. | ||
| We define “total real estate debt” as the aggregate of the following: mortgage notes, senior unsecured notes, term loans and borrowings under our revolving line of credit. We define “total debt outstanding” as the aggregate of the following: total real estate debt, sale-leaseback financing obligations and financing lease obligations. | ||
| All quarterly amounts and non-GAAP disclosures within this filing shall be deemed unaudited. | ||

![]() | ||||||||
| Financial Supplement | Second Quarter 2024 | |||||||
| Table of Contents | |||||
| Overview | PAGE | ||||
| Corporate Profile | |||||
| Earnings Release | |||||
| Selected Quarterly Financial Data | |||||
| Financial Information | |||||
Condensed Consolidated Balance Sheets | |||||
Condensed Consolidated Statements of Operations | |||||
| Reconciliation of Net (Loss) Income to NAREIT FFO, Core FFO and Adjusted FFO | |||||
| Reconciliation of Net (Loss) Income to NAREIT EBITDAre, and Core EBITDA | |||||
Acquisition, Cyber Incident and Other, Net | |||||
| Debt Detail and Maturities | |||||
| Operations Overview | |||||
| Revenue and Contribution (NOI) by Segment | |||||
| Global Warehouse Economic and Physical Occupancy Trend | |||||
| Global Warehouse Portfolio | |||||
| Fixed Commitment and Lease Maturity Schedules | |||||
| Maintenance Capital Expenditures, Repair and Maintenance Expenses and External Growth, Expansion and Development Capital Expenditures | |||||
| Total Global Warehouse Segment Financial and Operating Performance | |||||
| Global Warehouse Segment Financial Performance | |||||
Same-Store Financial Performance | |||||
Same-Store Key Operating Metrics | |||||
Same-Store Historical Performance Trend | |||||
| External Growth and Capital Deployment | |||||
| Unconsolidated Joint Ventures (Investments in Partially Owned Entities) | |||||
| 2024 Guidance | |||||
| Notes and Definitions | |||||
![]() | ||||||||
| Financial Supplement | Second Quarter 2024 | |||||||
![]() | ||||||||
| Financial Supplement | Second Quarter 2024 | |||||||
| Analyst Coverage | ||||||||||||||
| Firm | Analyst Name | Contact | ||||||||||||
| Baird Equity Research | Nicholas Thillman | 414-298-5053 | nthillman@rwbaird.com | |||||||||||
| Bank of America Merrill Lynch | Joshua Dennerlein | 646-855-1681 | joshua.dennerlein@bofa.com | |||||||||||
| Barclays | Brendan Lynch | 212-526-9428 | brendan.lynch@barclays.com | |||||||||||
| BNP Paribas Exane Research | Nate Crossett | 646-725-3716 | nate.crossett@exanebnpparibas.com | |||||||||||
| Citi | Craig Mailman | 212-816-4471 | craig.mailman@citi.com | |||||||||||
| Evercore ISI | Samir Khanal / Steve Sakwa | 212-888-3796 / 212-446-9462 | samir.khanal@evercoreisi.com / steve.sakwa@evercoreisi.com | |||||||||||
| Green Street Advisors | Vince Tibone | 949-640-8780 | vtibone@greenstreet.com | |||||||||||
| J.P. Morgan | Michael W. Mueller | 212-622-6689 | michael.w.mueller@jpmorgan.com | |||||||||||
| KeyBanc | Todd Thomas | 917-368-2286 | tthomas@key.com | |||||||||||
| MorningStar Research Services | Suryansh Sharma | 314-585-6793 | suryansh.sharma@morningstar.com | |||||||||||
| Raymond James | William A. Crow | 727-567-2594 | bill.crow@raymondjames.com | |||||||||||
| RBC | Michael Carroll | 440-715-2649 | michael.carroll@rbccm.com | |||||||||||
Scotiabank | Greg McGinniss | 212-225-6906 | greg.mcginniss@scotiabank.com | |||||||||||
| Truist | Ki Bin Kim | 212-303-4124 | kibin.kim@truist.com | |||||||||||
Wells Fargo Securities | Blaine Heck | 410-662-2556 | blaine.heck@wellsfargo.com | |||||||||||
| Wolfe Research | Andrew Rosivach | 646-582-9250 | arosivach@wolferesearch.com | |||||||||||
| DBRS Morningstar | ||||||||
| Credit Rating: | BBB | (Stable Trend) | ||||||
| Fitch | ||||||||
| Issuer Default Rating: | BBB | (Stable Outlook) | ||||||
| Moody’s | ||||||||
| Issuer Rating: | Baa3 | (Stable Outlook) | ||||||
![]() | ||||||||
| Financial Supplement | Second Quarter 2024 | |||||||
![]() | ||||||||
| Financial Supplement | Second Quarter 2024 | |||||||
| As of | As of | As of | |||||||||
| August 8, 2024 | May 9, 2024 | February 22, 2024 | |||||||||
| Warehouse segment same store revenue growth (constant currency) | 2.0% - 4.0% | 2.5% - 5.5% | 2.5% - 5.5% | ||||||||
| Warehouse segment same store NOI growth (constant currency) | 900 - 1000 bps higher than associated revenue | 700 - 750 bps higher than associated revenue | 400 - 450 bps higher than associated revenue | ||||||||
| Warehouse segment non-same store NOI | $(7)M - $1M | $(7)M - $1M | $(3)M - $9M | ||||||||
| Transportation and Managed segment NOI | $42M - $47M | $42M - $47M | $45M - $50M | ||||||||
Total selling, general and administrative expense (inclusive of share-based compensation expense of $23M - $25M and $5M - $7M of Orion amortization) | $247M - $261M | $247M - $261M | $247M - $261M | ||||||||
| Interest expense | $133M - $141M | $135M - $143M | $141M - $149M | ||||||||
| Current income tax expense | $7M - $10M | $9M - $12M | $9M - $12M | ||||||||
| Deferred income tax benefit | $6M - $8M | $6M - $8M | $6M - $8M | ||||||||
| Non real estate depreciation and amortization expense | $133M - $141M | $127M - $135M | $127M - $135M | ||||||||
| Total maintenance capital expenditures | $80M - $90M | $80M - $90M | $80M - $90M | ||||||||
Development starts (1) | $200M - $300M | $200M - $300M | $200M - $300M | ||||||||
| AFFO per share | $1.44 - $1.50 | $1.38 - $1.46 | $1.32 - $1.42 | ||||||||
| Assumed FX rates | 1 ARS = 0.0011 USD 1 AUS = 0.6614 USD 1 BRL = 0.0170 USD 1 CAD = 0.7330 USD 1 EUR = 1.079 USD 1 GBP = 1.2680 USD 1 NZD = 0.6113 USD 1 PLN = 0.2498 USD | 1 ARS = 0.0012 USD 1 AUS = 0.6576 USD 1 BRL = 0.1925 USD 1 CAD = 0.7401 USD 1 EUR = 1.0857 USD 1 GBP = 1.2684 USD 1 NZD = 0.6128 USD 1 PLN = 0.2507 USD | 1 ARS = 0.0012 USD 1 AUS = 0.6615 USD 1 BRL = 0.2016 USD 1 CAD = 0.7438 USD 1 EUR = 1.0914 USD 1 GBP = 1.2662 USD 1 NZD = 0.6168 USD 1 PLN = 0.2520 USD | ||||||||
![]() | ||||||||
| Financial Supplement | Second Quarter 2024 | |||||||
![]() | ||||||||
| Financial Supplement | Second Quarter 2024 | |||||||
| Three Months Ended June 30, | Change | ||||||||||||||||||||||||||||
| Dollars and units in thousands, except per pallet data | 2024 Actual | 2024 Constant Currency(1) | 2023 Actual | Actual | Constant Currency | ||||||||||||||||||||||||
| TOTAL WAREHOUSE SEGMENT | |||||||||||||||||||||||||||||
| Number of total warehouses | 235 | 237 | n/a | n/a | |||||||||||||||||||||||||
| Rent and storage | $ | 267,671 | $ | 273,751 | $ | 275,183 | (2.7) | % | (0.5) | % | |||||||||||||||||||
| Warehouse services | 332,716 | 337,351 | 305,987 | 8.7 | % | 10.3 | % | ||||||||||||||||||||||
| Total revenue | $ | 600,387 | $ | 611,102 | $ | 581,170 | 3.3 | % | 5.2 | % | |||||||||||||||||||
| Global Warehouse contribution (NOI) | $ | 204,531 | $ | 208,100 | $ | 172,842 | 18.3 | % | 20.4 | % | |||||||||||||||||||
| Global Warehouse margin | 34.1 | % | 34.1 | % | 29.7 | % | 433 bps | 431 bps | |||||||||||||||||||||
| Global Warehouse rent and storage metrics: | |||||||||||||||||||||||||||||
| Average economic occupied pallets | 4,311 | n/a | 4,580 | (5.9) | % | n/a | |||||||||||||||||||||||
| Average physical occupied pallets | 3,740 | n/a | 4,187 | (10.7) | % | n/a | |||||||||||||||||||||||
| Average physical pallet positions | 5,519 | n/a | 5,424 | 1.8 | % | n/a | |||||||||||||||||||||||
| Economic occupancy percentage | 78.1 | % | n/a | 84.4 | % | -634 bps | n/a | ||||||||||||||||||||||
| Physical occupancy percentage | 67.8 | % | n/a | 77.2 | % | -943 bps | n/a | ||||||||||||||||||||||
| Total rent and storage revenue per average economic occupied pallet | $ | 62.09 | $ | 63.50 | $ | 60.08 | 3.3 | % | 5.7 | % | |||||||||||||||||||
| Total rent and storage revenue per average physical occupied pallet | $ | 71.57 | $ | 73.20 | $ | 65.72 | 8.9 | % | 11.4 | % | |||||||||||||||||||
| Global Warehouse services metrics: | |||||||||||||||||||||||||||||
| Throughput pallets | 9,024 | n/a | 9,118 | (1.0) | % | n/a | |||||||||||||||||||||||
| Total warehouse services revenue per throughput pallet | $ | 36.87 | $ | 37.38 | $ | 33.56 | 9.9 | % | 11.4 | % | |||||||||||||||||||
| SAME STORE WAREHOUSE | |||||||||||||||||||||||||||||
| Number of same store warehouses | 226 | 226 | n/a | n/a | |||||||||||||||||||||||||
| Global Warehouse same store revenue: | |||||||||||||||||||||||||||||
| Rent and storage | $ | 257,924 | $ | 263,984 | $ | 264,134 | (2.4) | % | (0.1) | % | |||||||||||||||||||
| Warehouse services | 324,767 | 329,372 | 299,417 | 8.5 | % | 10.0 | % | ||||||||||||||||||||||
| Total same store revenue | $ | 582,691 | $ | 593,356 | $ | 563,551 | 3.4 | % | 5.3 | % | |||||||||||||||||||
| Global Warehouse same store contribution (NOI) | $ | 206,604 | $ | 210,247 | $ | 176,205 | 17.3 | % | 19.3 | % | |||||||||||||||||||
| Global Warehouse same store margin | 35.5 | % | 35.4 | % | 31.3 | % | 419 bps | 417 bps | |||||||||||||||||||||
| Global Warehouse same store rent and storage metrics: | |||||||||||||||||||||||||||||
| Average economic occupied pallets | 4,165 | n/a | 4,468 | (6.8) | % | n/a | |||||||||||||||||||||||
| Average physical occupied pallets | 3,615 | n/a | 4,099 | (11.8) | % | n/a | |||||||||||||||||||||||
| Average physical pallet positions | 5,245 | n/a | 5,277 | (0.6) | % | n/a | |||||||||||||||||||||||
| Economic occupancy percentage | 79.4 | % | n/a | 84.7 | % | -526 bps | n/a | ||||||||||||||||||||||
| Physical occupancy percentage | 68.9 | % | n/a | 77.7 | % | -875 bps | n/a | ||||||||||||||||||||||
| Same store rent and storage revenue per average economic occupied pallet | $ | 61.94 | $ | 63.38 | $ | 59.12 | 4.8 | % | 7.2 | % | |||||||||||||||||||
| Same store rent and storage revenue per average physical occupied pallet | $ | 71.34 | $ | 73.02 | $ | 64.44 | 10.7 | % | 13.3 | % | |||||||||||||||||||
| Global Warehouse same store services metrics: | |||||||||||||||||||||||||||||
| Throughput pallets | 8,717 | n/a | 8,873 | (1.8) | % | n/a | |||||||||||||||||||||||
| Same store warehouse services revenue per throughput pallet | $ | 37.26 | $ | 37.79 | $ | 33.74 | 10.4 | % | 12.0 | % | |||||||||||||||||||
![]() | ||||||||
| Financial Supplement | Second Quarter 2024 | |||||||
| Three Months Ended June 30, | Change | ||||||||||||||||||||||||||||
| Dollars and units in thousands, except per pallet data | 2024 Actual | 2024 Constant Currency(1) | 2023 Actual | Actual | Constant Currency | ||||||||||||||||||||||||
| NON-SAME STORE WAREHOUSE | |||||||||||||||||||||||||||||
Number of non-same store warehouses(2) | 9 | 11 | n/a | n/a | |||||||||||||||||||||||||
| Global Warehouse non-same store revenue: | |||||||||||||||||||||||||||||
| Rent and storage | $ | 9,747 | $ | 9,767 | $ | 11,049 | n/r | n/r | |||||||||||||||||||||
| Warehouse services | 7,949 | 7,979 | 6,570 | n/r | n/r | ||||||||||||||||||||||||
| Total non-same store revenue | $ | 17,696 | $ | 17,746 | $ | 17,619 | n/r | n/r | |||||||||||||||||||||
| Global Warehouse non-same store contribution (NOI) | $ | (2,073) | $ | (2,147) | $ | (3,363) | n/r | n/r | |||||||||||||||||||||
| Global Warehouse non-same store margin | (11.7) | % | (12.1) | % | (19.1) | % | n/r | n/r | |||||||||||||||||||||
| Global Warehouse non-same store rent and storage metrics: | |||||||||||||||||||||||||||||
| Average economic occupied pallets | 146 | n/a | 112 | n/r | n/a | ||||||||||||||||||||||||
| Average physical occupied pallets | 125 | n/a | 88 | n/r | n/a | ||||||||||||||||||||||||
| Average physical pallet positions | 274 | n/a | 147 | n/r | n/a | ||||||||||||||||||||||||
| Economic occupancy percentage | 53.3 | % | n/a | 76.2 | % | n/r | n/a | ||||||||||||||||||||||
| Physical occupancy percentage | 45.6 | % | n/a | 59.9 | % | n/r | n/a | ||||||||||||||||||||||
| Non-same store rent and storage revenue per average economic occupied pallet | $ | 66.76 | $ | 66.90 | $ | 98.65 | n/r | n/r | |||||||||||||||||||||
| Non-same store rent and storage revenue per average physical occupied pallet | $ | 77.98 | $ | 78.14 | $ | 125.56 | n/r | n/r | |||||||||||||||||||||
| Global Warehouse non-same store services metrics: | |||||||||||||||||||||||||||||
| Throughput pallets | 307 | n/a | 245 | n/r | n/a | ||||||||||||||||||||||||
| Non-same store warehouse services revenue per throughput pallet | $ | 25.89 | $ | 25.99 | $ | 26.82 | n/r | n/r | |||||||||||||||||||||
![]() | ||||||||
| Financial Supplement | Second Quarter 2024 | |||||||
| Six Months Ended June 30, | Change | ||||||||||||||||||||||||||||
| Dollars in thousands | 2024 Actual | 2024 Constant Currency(1) | 2023 Actual | Actual | Constant currency | ||||||||||||||||||||||||
| TOTAL WAREHOUSE SEGMENT | |||||||||||||||||||||||||||||
| Number of total warehouses | 235 | 237 | n/a | n/a | |||||||||||||||||||||||||
| Global Warehouse revenue: | |||||||||||||||||||||||||||||
| Rent and storage | $ | 537,095 | $ | 548,390 | $ | 546,591 | (1.7) | % | 0.3 | % | |||||||||||||||||||
| Warehouse services | 661,002 | 669,779 | 629,631 | 5.0 | % | 6.4 | % | ||||||||||||||||||||||
| Total revenue | $ | 1,198,097 | $ | 1,218,169 | $ | 1,176,222 | 1.9 | % | 3.6 | % | |||||||||||||||||||
| Global Warehouse contribution (NOI) | $ | 401,662 | $ | 408,064 | $ | 347,669 | 15.5 | % | 17.4 | % | |||||||||||||||||||
| Global Warehouse margin | 33.5 | % | 33.5 | % | 29.6 | % | 397 bps | 394 bps | |||||||||||||||||||||
| Units in thousands except per pallet data | |||||||||||||||||||||||||||||
| Global Warehouse rent and storage metrics: | |||||||||||||||||||||||||||||
| Average economic occupied pallets | 4,353 | n/a | 4,566 | (4.7) | % | n/a | |||||||||||||||||||||||
| Average physical occupied pallets | 3,775 | n/a | 4,188 | (9.9) | % | n/a | |||||||||||||||||||||||
| Average physical pallet positions | 5,525 | n/a | 5,421 | 1.9 | % | n/a | |||||||||||||||||||||||
| Economic occupancy percentage | 78.8 | % | n/a | 84.2 | % | -544 bps | n/a | ||||||||||||||||||||||
| Physical occupancy percentage | 68.3 | % | n/a | 77.3 | % | -893 bps | n/a | ||||||||||||||||||||||
| Total rent and storage revenue per average economic occupied pallet | $ | 123.39 | $ | 125.98 | $ | 119.70 | 3.1 | % | 5.2 | % | |||||||||||||||||||
| Total rent and storage revenue per average physical occupied pallet | $ | 142.28 | $ | 145.27 | $ | 130.50 | 9.0 | % | 11.3 | % | |||||||||||||||||||
| Global Warehouse services metrics: | |||||||||||||||||||||||||||||
| Throughput pallets | 18,075 | n/a | 18,770 | (3.7) | % | n/a | |||||||||||||||||||||||
| Total warehouse services revenue per throughput pallet | $ | 36.57 | $ | 37.06 | $ | 33.54 | 9.0 | % | 10.5 | % | |||||||||||||||||||
| SAME STORE WAREHOUSE | |||||||||||||||||||||||||||||
| Number of same store warehouses | 226 | 226 | n/a | n/a | |||||||||||||||||||||||||
| Global Warehouse same store revenue: | |||||||||||||||||||||||||||||
| Rent and storage | $ | 514,220 | $ | 525,434 | $ | 528,184 | (2.6) | % | (0.5) | % | |||||||||||||||||||
| Warehouse services | 645,183 | 653,819 | 616,395 | 4.7 | % | 6.1 | % | ||||||||||||||||||||||
| Total same store revenue | $ | 1,159,403 | $ | 1,179,253 | $ | 1,144,579 | 1.3 | % | 3.0 | % | |||||||||||||||||||
| Global Warehouse same store contribution (NOI) | $ | 407,187 | $ | 413,633 | $ | 360,924 | 12.8 | % | 14.6 | % | |||||||||||||||||||
| Global Warehouse same store margin | 35.1 | % | 35.1 | % | 31.5 | % | 359 bps | 354 bps | |||||||||||||||||||||
| Units in thousands except per pallet data | |||||||||||||||||||||||||||||
| Global Warehouse same store rent and storage metrics: | |||||||||||||||||||||||||||||
| Average economic occupied pallets | 4,204 | n/a | 4,460 | (5.7) | % | n/a | |||||||||||||||||||||||
| Average physical occupied pallets | 3,649 | n/a | 4,103 | (11.1) | % | n/a | |||||||||||||||||||||||
| Average physical pallet positions | 5,245 | n/a | 5,277 | (0.6) | % | n/a | |||||||||||||||||||||||
| Economic occupancy percentage | 80.2 | % | n/a | 84.5 | % | -437 bps | n/a | ||||||||||||||||||||||
| Physical occupancy percentage | 69.6 | % | n/a | 77.8 | % | -818 bps | n/a | ||||||||||||||||||||||
| Same store rent and storage revenue per average economic occupied pallet | $ | 122.34 | $ | 124.98 | $ | 118.42 | 3.3 | % | 5.5 | % | |||||||||||||||||||
| Same store rent and storage revenue per average physical occupied pallet | $ | 140.94 | $ | 143.99 | $ | 128.73 | 9.5 | % | 11.9 | % | |||||||||||||||||||
| Global Warehouse same store services metrics: | |||||||||||||||||||||||||||||
| Throughput pallets | 17,398 | n/a | 18,269 | (4.8) | % | n/a | |||||||||||||||||||||||
| Same store warehouse services revenue per throughput pallet | $ | 37.08 | $ | 37.58 | $ | 33.74 | 9.9 | % | 11.4 | % | |||||||||||||||||||
![]() | ||||||||
| Financial Supplement | Second Quarter 2024 | |||||||
| Six Months Ended June 30, | Change | ||||||||||||||||||||||||||||
| Dollars in thousands | 2024 Actual | 2024 Constant Currency(1) | 2023 Actual | Actual | Constant currency | ||||||||||||||||||||||||
| NON-SAME STORE WAREHOUSE | |||||||||||||||||||||||||||||
Number of non-same store warehouses(2) | 9 | 11 | |||||||||||||||||||||||||||
| Global Warehouse non-same store revenue: | |||||||||||||||||||||||||||||
| Rent and storage | $ | 22,875 | $ | 22,956 | $ | 18,407 | n/r | n/r | |||||||||||||||||||||
| Warehouse services | 15,819 | 15,960 | 13,236 | n/r | n/r | ||||||||||||||||||||||||
| Total non-same store revenue | $ | 38,694 | $ | 38,916 | $ | 31,643 | n/r | n/r | |||||||||||||||||||||
| Global Warehouse non-same store contribution (NOI) | $ | (5,525) | $ | (5,569) | $ | (13,255) | n/r | n/r | |||||||||||||||||||||
| Global Warehouse non-same store margin | (14.3) | % | (14.3) | % | (41.9) | % | n/r | n/r | |||||||||||||||||||||
| Units in thousands except per pallet data | |||||||||||||||||||||||||||||
| Global Warehouse non-same store rent and storage metrics: | |||||||||||||||||||||||||||||
| Average economic occupied pallets | 149 | n/a | 106 | n/r | n/a | ||||||||||||||||||||||||
| Average physical occupied pallets | 126 | n/a | 85 | n/r | n/a | ||||||||||||||||||||||||
| Average physical pallet positions | 280 | n/a | 144 | n/r | n/a | ||||||||||||||||||||||||
| Economic occupancy percentage | 53.2 | % | n/a | 73.6 | % | n/r | n/a | ||||||||||||||||||||||
| Physical occupancy percentage | 45.0 | % | n/a | 59.0 | % | n/r | n/a | ||||||||||||||||||||||
| Non-same store rent and storage revenue per average economic occupied pallet | $ | 153.52 | $ | 154.07 | $ | 173.65 | n/r | n/r | |||||||||||||||||||||
| Non-same store rent and storage revenue per average physical occupied pallet | $ | 181.55 | $ | 182.19 | $ | 216.55 | n/r | n/r | |||||||||||||||||||||
| Global Warehouse non-same store services metrics: | |||||||||||||||||||||||||||||
| Throughput pallets | 677 | n/a | 501 | n/r | n/a | ||||||||||||||||||||||||
| Non-same store warehouse services revenue per throughput pallet | $ | 23.37 | $ | 23.57 | $ | 26.42 | n/r | n/r | |||||||||||||||||||||
![]() | ||||||||
| Financial Supplement | Second Quarter 2024 | |||||||
![]() | ||||||||
| Financial Supplement | Second Quarter 2024 | |||||||
![]() | ||||||||
| Financial Supplement | Second Quarter 2024 | |||||||
![]() | ||||||||
| Financial Supplement | Second Quarter 2024 | |||||||
| In thousands, except per share amounts | As of | ||||||||||||||||
| Capitalization: | Q2 24 | Q1 24 | Q4 23 | Q3 23 | Q2 23 | ||||||||||||
Fully diluted common stock outstanding at quarter end(1) | 286,815 | 286,350 | 285,771 | 285,869 | 272,479 | ||||||||||||
| Common stock share price at quarter end | $25.54 | $24.92 | $30.27 | $30.41 | $32.30 | ||||||||||||
| Market value of common equity | $7,325,255 | $7,135,842 | $8,650,288 | $8,693,276 | $8,801,072 | ||||||||||||
Gross debt (2) | $3,379,881 | $3,280,056 | $3,262,970 | $3,165,843 | $3,568,567 | ||||||||||||
| Less: cash and cash equivalents | 44,198 | 59,204 | 60,392 | 53,831 | 48,873 | ||||||||||||
| Net debt | $3,335,683 | $3,220,852 | $3,202,578 | $3,112,012 | $3,519,694 | ||||||||||||
| Total enterprise value | $10,660,938 | $10,356,694 | $11,852,866 | $11,805,288 | $12,320,766 | ||||||||||||
| Net debt / total enterprise value | 31.3 | % | 31.1 | % | 27.0 | % | 26.4 | % | 28.6 | % | |||||||
Net debt to pro forma Core EBITDA(2) | 5.33x | 5.40x | 5.58x | 5.68x | 6.59x | ||||||||||||
| Three Months Ended | |||||||||||||||||
| Selected Operational Data: | Q2 24 | Q1 24 | Q4 23 | Q3 23 | Q2 23 | ||||||||||||
| Warehouse segment revenue | $600,387 | $597,710 | $612,262 | $602,605 | $581,170 | ||||||||||||
| Total revenue | 660,955 | 664,980 | 679,291 | 667,939 | 649,610 | ||||||||||||
| Operating income (loss) | 63,368 | 41,831 | (194,321) | 33,000 | 20,667 | ||||||||||||
| Net (loss) income from continuing operations | (64,409) | 9,802 | (226,800) | (2,299) | (96,527) | ||||||||||||
| Net (loss) income | (64,409) | 9,802 | (226,800) | (2,096) | (104,802) | ||||||||||||
Total warehouse segment contribution (NOI) (3) | 204,531 | 197,131 | 197,102 | 177,832 | 172,842 | ||||||||||||
Total segment contribution (NOI) (3) | 215,483 | 210,836 | 209,835 | 189,120 | 184,051 | ||||||||||||
| Selected Other Data: | |||||||||||||||||
Core EBITDA (4) | $165,482 | $155,844 | $160,270 | $144,047 | $134,687 | ||||||||||||
Core EBITDA margin (4) | 25.0 | % | 23.4 | % | 23.6 | % | 21.6 | % | 20.7 | % | |||||||
Core funds from operations (FFO) (4) | 95,023 | 77,316 | 84,764 | 69,587 | 62,497 | ||||||||||||
Adjusted funds from operations (AFFO) (4) | 109,397 | 104,913 | 108,017 | 88,162 | 75,557 | ||||||||||||
| Net (loss) income per share - basic | $(0.23) | $0.03 | $(0.80) | $(0.01) | $(0.39) | ||||||||||||
| Net (loss) income per share - diluted | $(0.23) | $0.03 | $(0.80) | $(0.01) | $(0.39) | ||||||||||||
Core FFO per diluted share (4) | $0.33 | $0.27 | $0.30 | $0.25 | $0.23 | ||||||||||||
AFFO per diluted share (4) | $0.38 | $0.37 | $0.38 | $0.32 | $0.28 | ||||||||||||
Dividend distributions declared per common share (5) | $0.22 | $0.22 | $0.22 | $0.22 | $0.22 | ||||||||||||
Diluted AFFO payout ratio (6) | 57.9 | % | 59.5 | % | 57.9 | % | 68.8 | % | 78.6 | % | |||||||
| Portfolio Statistics: | |||||||||||||||||
| Total global warehouses | 239 | 241 | 245 | 243 | 242 | ||||||||||||
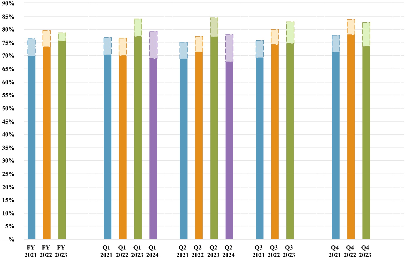
| Average economic occupancy | 78.1 | % | 79.4 | % | 82.7 | % | 83.0 | % | 84.4 | % | |||||||
| Average physical occupancy | 67.8 | % | 68.9 | % | 73.6 | % | 74.7 | % | 77.2 | % | |||||||
| Total global same-store warehouses | 226 | 226 | 219 | 219 | 220 | ||||||||||||
![]() | ||||||||
| Financial Supplement | Second Quarter 2024 | |||||||
(1) Assumes the exercise of all outstanding stock options using the treasury stock method, conversion of all outstanding restricted stock and OP units, and incorporates forward contracts using the treasury stock method | |||||||||||||||||
| As of | |||||||||||||||||
(2) Net Debt to Core EBITDA Computation | 6/30/2024 | 12/31/2023 | |||||||||||||||
| Total debt, net of deferred financing costs | $ | 3,370,627 | $ | 3,252,392 | |||||||||||||
| Deferred financing costs | 9,254 | 10,578 | |||||||||||||||
| Gross debt | $3,379,881 | $3,262,970 | |||||||||||||||
| Adjustments: | |||||||||||||||||
| Less: cash, cash equivalents and restricted cash | 44,198 | 60,392 | |||||||||||||||
| Net debt | $ | 3,335,683 | $ | 3,202,578 | |||||||||||||
| Core EBITDA - last twelve months | $625,643 | $572,080 | |||||||||||||||
| Net Core EBITDA from acquisitions (a) | 318 | 2,069 | |||||||||||||||
| Pro forma Core EBITDA - last twelve months | $625,961 | $574,149 | |||||||||||||||
| Net debt to pro forma Core EBITDA | 5.33x | 5.58x | |||||||||||||||
(a) As of June 30, 2024, amount includes three months of Core EBITDA from the Safeway acquisition prior to Americold’s ownership. As of December 31, 2023, amount includes nine months of Core EBITDA from the Safeway acquisition prior to Americold’s ownership as well as the facility lease expense for sites that it previously incurred operating lease expense for but was subsequently purchased. | |||||||||||||||||
(3) Reconciliation of segment contribution (NOI) | |||||||||||||||||
| Three Months Ended | |||||||||||||||||
| Q2 24 | Q1 24 | Q4 23 | Q3 23 | Q2 23 | |||||||||||||
| Warehouse segment contribution (NOI) | $204,531 | $197,131 | $197,102 | $177,832 | $172,842 | ||||||||||||
| Transportation segment contribution (NOI) | 8,850 | 11,522 | 10,912 | 9,659 | 9,809 | ||||||||||||
| Third-party managed segment contribution (NOI) | 2,102 | 2,183 | 1,821 | 1,629 | 1,400 | ||||||||||||
| Total segment contribution (NOI) | $215,483 | $210,836 | $209,835 | $189,120 | $184,051 | ||||||||||||
Depreciation and amortization expense | (89,649) | (92,095) | (94,099) | (89,728) | (84,892) | ||||||||||||
Selling, general and administrative expense | (59,453) | (65,426) | (57,763) | (52,383) | (53,785) | ||||||||||||
Acquisition, cyber incident and other expense, net | (3,013) | (14,998) | (15,774) | (13,931) | (27,235) | ||||||||||||
| Gain (loss) from sale of real estate | — | 3,514 | (5) | (78) | 2,528 | ||||||||||||
| Impairment of indefinite and long-lived assets | — | — | (236,515) | — | — | ||||||||||||
| U.S. GAAP operating income (loss) | $63,368 | $41,831 | ($194,321) | $33,000 | $20,667 | ||||||||||||
(5) Distributions per common share | Three Months Ended | ||||||||||||||||
| Q2 24 | Q1 24 | Q4 23 | Q3 23 | Q2 23 | |||||||||||||
| Distributions declared on common stock during the quarter | $63,238 | $62,976 | $62,645 | $62,868 | $59,921 | ||||||||||||
| Common stock outstanding at quarter end | 284,079 | 284,034 | 283,699 | 283,517 | 270,186 | ||||||||||||
| Distributions declared per common share | $0.22 | $0.22 | $0.22 | $0.22 | $0.22 | ||||||||||||
(6) Calculated as distributions declared on common stock divided by AFFO per weighted average diluted share | |||||||||||||||||
![]() | ||||||||
| Financial Supplement | Second Quarter 2024 | |||||||
| Americold Realty Trust, Inc. and Subsidiaries | |||||||||||
| Condensed Consolidated Balance Sheets (Unaudited) | |||||||||||
| (In thousands, except shares and per share amounts) | |||||||||||
| June 30, 2024 | December 31, 2023 | ||||||||||
| Assets | |||||||||||
| Property, buildings, and equipment: | |||||||||||
| Land | $ | 816,949 | $ | 820,831 | |||||||
| Buildings and improvements | 4,458,632 | 4,464,359 | |||||||||
| Machinery and equipment | 1,575,540 | 1,565,431 | |||||||||
| Assets under construction | 510,085 | 452,312 | |||||||||
| 7,361,206 | 7,302,933 | ||||||||||
| Accumulated depreciation | (2,330,672) | (2,196,196) | |||||||||
| Property, buildings, and equipment – net | 5,030,534 | 5,106,737 | |||||||||
| Operating leases - net | 231,822 | 247,302 | |||||||||
| Financing leases - net | 105,770 | 105,164 | |||||||||
| Cash, cash equivalents, and restricted cash | 44,198 | 60,392 | |||||||||
Accounts receivable – net of allowance of $21,672 and $21,647 at June 30, 2024 and December 31, 2023, respectively | 429,080 | 426,048 | |||||||||
| Identifiable intangible assets – net | 874,788 | 897,414 | |||||||||
| Goodwill | 790,612 | 794,004 | |||||||||
| Investments in and advances to partially owned entities | 41,481 | 38,113 | |||||||||
| Other assets | 254,168 | 194,078 | |||||||||
| Total assets | $ | 7,802,453 | $ | 7,869,252 | |||||||
| Liabilities and equity | |||||||||||
| Liabilities: | |||||||||||
| Borrowings under revolving line of credit | $ | 619,636 | $ | 392,156 | |||||||
| Accounts payable and accrued expenses | 570,818 | 568,764 | |||||||||
Senior unsecured notes and term loans – net of deferred financing costs of $9,254 and $10,578, in the aggregate, at June 30, 2024 and December 31, 2023, respectively | 2,574,022 | 2,601,122 | |||||||||
| Sale-leaseback financing obligations | 81,201 | 161,937 | |||||||||
| Financing lease obligations | 95,768 | 97,177 | |||||||||
| Operating lease obligations | 226,764 | 240,251 | |||||||||
| Unearned revenue | 27,290 | 28,379 | |||||||||
| Deferred tax liability - net | 129,512 | 135,797 | |||||||||
| Other liabilities | 7,854 | 9,082 | |||||||||
| Total liabilities | 4,332,865 | 4,234,665 | |||||||||
| Equity | |||||||||||
| Stockholders' equity | |||||||||||
Common stock, $0.01 par value per share – 500,000,000 authorized shares; 284,079,137 and 283,699,120 shares issued and outstanding at June 30, 2024 and December 31, 2023, respectively | 2,840 | 2,837 | |||||||||
| Paid-in capital | 5,635,353 | 5,625,907 | |||||||||
| Accumulated deficit and distributions in excess of net earnings | (2,176,035) | (1,995,975) | |||||||||
| Accumulated other comprehensive income (loss) | (14,313) | (16,640) | |||||||||
| Total stockholders’ equity | 3,447,845 | 3,616,129 | |||||||||
| Noncontrolling interests | 21,743 | 18,458 | |||||||||
| Total equity | 3,469,588 | 3,634,587 | |||||||||
| Total liabilities and equity | $ | 7,802,453 | $ | 7,869,252 | |||||||
![]() | ||||||||
| Financial Supplement | Second Quarter 2024 | |||||||
| Americold Realty Trust, Inc. and Subsidiaries | |||||||||||||||||||||||
| Condensed Consolidated Statements of Operations (Unaudited) | |||||||||||||||||||||||
| (In thousands, except per share amounts) | |||||||||||||||||||||||
| Three Months Ended June 30, | Six Months Ended June 30, | ||||||||||||||||||||||
| 2024 | 2023 | 2024 | 2023 | ||||||||||||||||||||
| Revenues: | |||||||||||||||||||||||
| Rent, storage, and warehouse services | $ | 600,387 | $ | 581,170 | $ | 1,198,097 | $ | 1,176,222 | |||||||||||||||
| Transportation services | 50,637 | 58,072 | 107,490 | 126,150 | |||||||||||||||||||
| Third-party managed services | 9,931 | 10,368 | 20,348 | 23,727 | |||||||||||||||||||
| Total revenues | 660,955 | 649,610 | 1,325,935 | 1,326,099 | |||||||||||||||||||
| Operating expenses: | |||||||||||||||||||||||
| Rent, storage, and warehouse services cost of operations | 395,856 | 408,328 | 796,435 | 828,553 | |||||||||||||||||||
| Transportation services cost of operations | 41,787 | 48,263 | 87,118 | 104,681 | |||||||||||||||||||
| Third-party managed services cost of operations | 7,829 | 8,968 | 16,063 | 21,248 | |||||||||||||||||||
| Depreciation and amortization | 89,649 | 84,892 | 181,744 | 169,916 | |||||||||||||||||||
| Selling, general, and administrative | 59,453 | 53,785 | 124,879 | 116,640 | |||||||||||||||||||
| Acquisition, cyber incident, and other, net | 3,013 | 27,235 | 18,011 | 34,382 | |||||||||||||||||||
| Gain from sale of real estate | — | (2,528) | (3,514) | (2,337) | |||||||||||||||||||
| Total operating expenses | 597,587 | 628,943 | 1,220,736 | 1,273,083 | |||||||||||||||||||
| Operating income | 63,368 | 20,667 | 105,199 | 53,016 | |||||||||||||||||||
| Other income (expense): | |||||||||||||||||||||||
| Interest expense | (33,180) | (36,431) | (66,610) | (70,854) | |||||||||||||||||||
| Loss on debt extinguishment and termination of derivative instruments | (110,682) | (627) | (115,864) | (1,172) | |||||||||||||||||||
| Loss from investments in partially owned entities | (1,034) | (709) | (1,983) | (1,357) | |||||||||||||||||||
| Loss on put option | — | (56,576) | — | (56,576) | |||||||||||||||||||
| Impairment of related party loan receivable | — | (21,972) | — | (21,972) | |||||||||||||||||||
| Other, net | 14,623 | (415) | 24,149 | 1,018 | |||||||||||||||||||
| Loss from continuing operations before income taxes | (66,905) | (96,063) | (55,109) | (97,897) | |||||||||||||||||||
| Income tax (expense) benefit: | |||||||||||||||||||||||
| Current income tax | (1,857) | (1,923) | (3,232) | (3,900) | |||||||||||||||||||
| Deferred income tax | 4,353 | 1,459 | 3,734 | 5,080 | |||||||||||||||||||
| Total income tax benefit (expense) | 2,496 | (464) | 502 | 1,180 | |||||||||||||||||||
| Net Loss | |||||||||||||||||||||||
| Net loss from continuing operations | (64,409) | (96,527) | (54,607) | (96,717) | |||||||||||||||||||
| Net loss from discontinued operations | — | (8,275) | — | (10,656) | |||||||||||||||||||
| Net loss | $ | (64,409) | $ | (104,802) | $ | (54,607) | $ | (107,373) | |||||||||||||||
| Net loss attributable to noncontrolling interests | (300) | (78) | (238) | (87) | |||||||||||||||||||
| Net loss attributable to Americold Realty Trust, Inc. | $ | (64,109) | $ | (104,724) | $ | (54,369) | $ | (107,286) | |||||||||||||||
| Weighted average common stock outstanding – basic | 284,683 | 270,462 | 284,664 | 270,387 | |||||||||||||||||||
| Weighted average common stock outstanding – diluted | 284,683 | 270,462 | 284,664 | 270,387 | |||||||||||||||||||
| Net loss per common share from continuing operations - basic | $ | (0.23) | $ | (0.36) | $ | (0.19) | $ | (0.36) | |||||||||||||||
| Net loss per common share from discontinued operations - basic | — | (0.03) | — | $ | (0.04) | ||||||||||||||||||
| Basic loss per share | $ | (0.23) | $ | (0.39) | $ | (0.19) | $ | (0.40) | |||||||||||||||
| Net loss per common share from continuing operations - diluted | $ | (0.23) | $ | (0.36) | $ | (0.19) | $ | (0.36) | |||||||||||||||
| Net loss per common share from discontinued operations - diluted | — | $ | (0.03) | $ | — | $ | (0.04) | ||||||||||||||||
| Diluted loss per share | $ | (0.23) | $ | (0.39) | $ | (0.19) | $ | (0.40) | |||||||||||||||
![]() | ||||||||
| Financial Supplement | Second Quarter 2024 | |||||||
| Reconciliation of Net (Loss) Income to NAREIT FFO, Core FFO, and Adjusted FFO | |||||||||||||||||||||||
| (In thousands, except per share amounts) | |||||||||||||||||||||||
| Three Months Ended | YTD | ||||||||||||||||||||||
| Q2 24 | Q1 24 | Q4 23 | Q3 23 | Q2 23 | 2024 | ||||||||||||||||||
| Net (loss) income | $ | (64,409) | $ | 9,802 | $ | (226,800) | $ | (2,096) | $ | (104,802) | $ | (54,607) | |||||||||||
| Adjustments: | |||||||||||||||||||||||
| Real estate related depreciation | 56,410 | 56,275 | 57,183 | 56,373 | 54,740 | 112,685 | |||||||||||||||||
| (Gain) loss from sale of real estate | — | (3,514) | 5 | 78 | (2,528) | (3,514) | |||||||||||||||||
| Net loss (gain) on asset disposals | 53 | 40 | 260 | (25) | — | 93 | |||||||||||||||||
| Our share of reconciling items related to partially owned entities | 418 | 148 | 280 | 290 | 232 | 566 | |||||||||||||||||
| NAREIT FFO | $ | (7,528) | $ | 62,751 | $ | (169,072) | $ | 54,620 | $ | (52,358) | $ | 55,223 | |||||||||||
| Adjustments: | |||||||||||||||||||||||
| Net (gain) loss on sale of non-real estate assets | (548) | (20) | 3,312 | (296) | 289 | (568) | |||||||||||||||||
| Acquisition, cyber incident and other, net | 3,013 | 14,998 | 15,774 | 13,931 | 27,235 | 18,011 | |||||||||||||||||
| Goodwill impairment | — | — | 236,515 | — | — | — | |||||||||||||||||
Loss on debt extinguishment and termination of derivative instruments | 110,682 | 5,182 | 627 | 683 | 627 | 115,864 | |||||||||||||||||
| Foreign currency exchange (gain) loss | (11,321) | 373 | (28) | 705 | 212 | (10,948) | |||||||||||||||||
| Gain on legal settlement related to prior period operations | — | (6,104) | (2,180) | — | — | (6,104) | |||||||||||||||||
| Project Orion deferred costs amortization | 581 | — | — | — | — | 581 | |||||||||||||||||
| Our share of reconciling items related to partially owned entities | 144 | 136 | (184) | 147 | (27) | 280 | |||||||||||||||||
| Net (gain) loss from discontinued operations | — | — | — | (203) | 8,275 | — | |||||||||||||||||
| Impairment of related party receivable | — | — | — | — | 21,972 | — | |||||||||||||||||
| Loss on put option | — | — | — | — | 56,576 | — | |||||||||||||||||
| Gain on sale of LATAM JV | — | — | — | — | (304) | — | |||||||||||||||||
| Core FFO | $ | 95,023 | $ | 77,316 | $ | 84,764 | $ | 69,587 | $ | 62,497 | $ | 172,339 | |||||||||||
| Adjustments: | |||||||||||||||||||||||
| Amortization of deferred financing costs and pension withdrawal liability | 1,294 | 1,289 | 1,290 | 1,286 | 1,279 | 2,583 | |||||||||||||||||
| Amortization of below/above market leases | 360 | 368 | 360 | 369 | 375 | 728 | |||||||||||||||||
| Straight-line rental expense adjustment | 367 | 589 | 597 | 544 | 361 | 956 | |||||||||||||||||
| Deferred income tax (benefit) expense | (4,353) | 619 | (3,228) | (2,473) | (1,459) | (3,734) | |||||||||||||||||
| Stock-based compensation expense | 6,064 | 6,619 | 5,780 | 6,203 | 4,639 | 12,683 | |||||||||||||||||
| Non-real estate depreciation and amortization | 33,239 | 35,820 | 36,916 | 33,355 | 30,152 | 69,059 | |||||||||||||||||
Maintenance capital expenditures (a) | (22,832) | (17,933) | (18,670) | (20,907) | (22,590) | (40,765) | |||||||||||||||||
| Our share of reconciling items related to partially owned entities | 235 | 226 | 208 | 198 | 303 | 461 | |||||||||||||||||
| Adjusted FFO | $ | 109,397 | $ | 104,913 | $ | 108,017 | $ | 88,162 | $ | 75,557 | $ | 214,310 | |||||||||||
![]() | ||||||||
| Financial Supplement | Second Quarter 2024 | |||||||
Reconciliation of Net (Loss) Income to NAREIT FFO, Core FFO, and Adjusted FFO (continued) | |||||||||||||||||||||||
| (In thousands except per share amounts) | |||||||||||||||||||||||
| Three Months Ended | YTD | ||||||||||||||||||||||
| Q2 24 | Q1 24 | Q4 23 | Q3 23 | Q2 23 | 2024 | ||||||||||||||||||
| NAREIT FFO | $ | (7,528) | $ | 62,751 | $ | (169,072) | $ | 54,620 | $ | (52,358) | $ | 55,223 | |||||||||||
| Core FFO | $ | 95,023 | $ | 77,316 | $ | 84,764 | $ | 69,587 | $ | 62,497 | $ | 172,339 | |||||||||||
| Adjusted FFO | $ | 109,397 | $ | 104,913 | $ | 108,017 | $ | 88,162 | $ | 75,557 | $ | 214,310 | |||||||||||
| Reconciliation of weighted average shares: | |||||||||||||||||||||||
| Weighted average basic shares for net income calculation | 284,683 | 284,644 | 284,263 | 278,137 | 270,462 | 284,664 | |||||||||||||||||
| Dilutive stock options and unvested restricted stock units | 327 | 234 | 502 | 519 | 695 | 280 | |||||||||||||||||
| Weighted average dilutive shares | 285,010 | 284,878 | 284,765 | 278,656 | 271,157 | 284,944 | |||||||||||||||||
NAREIT FFO - basic per share | $ | (0.03) | $ | 0.22 | $ | (0.59) | $ | 0.20 | $ | (0.19) | $ | 0.19 | |||||||||||
NAREIT FFO - diluted per share | $ | (0.03) | $ | 0.22 | $ | (0.59) | $ | 0.20 | $ | (0.19) | $ | 0.19 | |||||||||||
Core FFO - basic per share | $ | 0.33 | $ | 0.27 | $ | 0.30 | $ | 0.25 | $ | 0.23 | $ | 0.61 | |||||||||||
Core FFO - diluted per share | $ | 0.33 | $ | 0.27 | $ | 0.30 | $ | 0.25 | $ | 0.23 | $ | 0.60 | |||||||||||
Adjusted FFO - basic per share | $ | 0.38 | $ | 0.37 | $ | 0.38 | $ | 0.32 | $ | 0.28 | $ | 0.75 | |||||||||||
Adjusted FFO - diluted per share | $ | 0.38 | $ | 0.37 | $ | 0.38 | $ | 0.32 | $ | 0.28 | $ | 0.75 | |||||||||||
![]() | ||||||||
| Financial Supplement | Second Quarter 2024 | |||||||
| Reconciliation of Net (Loss) Income to NAREIT EBITDAre, and Core EBITDA | |||||||||||||||||||||||
| (In thousands) | |||||||||||||||||||||||
| Three Months Ended | Trailing Twelve Months Ended | ||||||||||||||||||||||
| Q2 24 | Q1 24 | Q4 23 | Q3 23 | Q2 23 | Q2 24 | ||||||||||||||||||
| Net (loss) income | $ | (64,409) | $ | 9,802 | $ | (226,800) | $ | (2,096) | $ | (104,802) | $ | (283,503) | |||||||||||
| Adjustments: | |||||||||||||||||||||||
| Depreciation and amortization | 89,649 | 92,095 | 94,099 | 89,728 | 84,892 | 365,571 | |||||||||||||||||
| Interest expense | 33,180 | 33,430 | 33,681 | 35,572 | 36,431 | 135,863 | |||||||||||||||||
| Income tax (benefit) expense | (2,496) | 1,994 | (601) | (492) | 464 | (1,595) | |||||||||||||||||
| (Gain) loss from sale of real estate | — | (3,514) | 5 | 78 | (2,528) | (3,431) | |||||||||||||||||
| Adjustment to reflect share of EBITDAre of partially owned entities | 1,520 | 1,470 | 1,533 | 1,495 | 3,085 | 6,018 | |||||||||||||||||
| NAREIT EBITDAre | $ | 57,444 | $ | 135,277 | $ | (98,083) | $ | 124,285 | $ | 17,542 | $ | 218,923 | |||||||||||
| Adjustments: | |||||||||||||||||||||||
| Acquisition, cyber incident and other, net | 3,013 | 14,998 | 15,774 | 13,931 | 27,235 | 47,716 | |||||||||||||||||
| Loss (gain) from investments in partially owned entities | 1,034 | 949 | (174) | 259 | 709 | 2,068 | |||||||||||||||||
| Impairment of indefinite and long-lived assets | — | — | 236,515 | — | — | 236,515 | |||||||||||||||||
| Foreign currency exchange (gain) loss | (11,321) | 373 | (28) | 705 | 212 | (10,271) | |||||||||||||||||
| Stock-based compensation expense | 6,064 | 6,619 | 5,780 | 6,203 | 4,639 | 24,666 | |||||||||||||||||
Loss on debt extinguishment and termination of derivative instruments | 110,682 | 5,182 | 627 | 683 | 627 | 117,174 | |||||||||||||||||
| (Gain) loss on other asset disposals | (495) | 20 | 3,572 | (321) | 289 | 2,776 | |||||||||||||||||
| Gain on legal settlement related to prior period operations | — | (6,104) | (2,180) | — | — | (8,284) | |||||||||||||||||
| Project Orion deferred costs amortization | 581 | — | — | — | — | 581 | |||||||||||||||||
| Reduction in EBITDAre from partially owned entities | (1,520) | (1,470) | (1,533) | (1,495) | (3,085) | (6,018) | |||||||||||||||||
| Gain from sale of partially owned entities | — | — | — | — | (304) | — | |||||||||||||||||
| Net (gain) loss from discontinued operations | — | — | — | (203) | 8,275 | (203) | |||||||||||||||||
| Impairment of related party receivable | — | — | — | — | 21,972 | — | |||||||||||||||||
| Loss on put option | — | — | — | — | 56,576 | — | |||||||||||||||||
| Core EBITDA | $ | 165,482 | $ | 155,844 | $ | 160,270 | $ | 144,047 | $ | 134,687 | $ | 625,643 | |||||||||||
| Total revenue | $ | 660,955 | $ | 664,980 | $ | 679,291 | $ | 667,939 | $ | 649,610 | $ | 2,673,165 | |||||||||||
| Core EBITDA margin | 25.0 | % | 23.4 | % | 23.6 | % | 21.6 | % | 20.7 | % | 23.4 | % | |||||||||||
![]() | ||||||||
| Financial Supplement | Second Quarter 2024 | |||||||
| Three Months Ended June 30, | Six Months Ended June 30, | ||||||||||||||||||||||
| Acquisition, cyber incident and other, net | 2024 | 2023 | 2024 | 2023 | |||||||||||||||||||
| Project Orion expenses | $ | 11,984 | $ | 2,543 | $ | 19,798 | $ | 4,488 | |||||||||||||||
| Acquisition and integration related costs | 1,345 | 2,402 | 2,351 | 4,188 | |||||||||||||||||||
| Severance costs | 1,030 | 2,793 | 4,864 | 6,209 | |||||||||||||||||||
| Other, net | (462) | 499 | (833) | 499 | |||||||||||||||||||
| Cyber incident related costs, net of insurance recoveries | (10,884) | 18,998 | (8,169) | 18,998 | |||||||||||||||||||
| Total Acquisition, cyber incident and other, net | $ | 3,013 | $ | 27,235 | $ | 18,011 | $ | 34,382 | |||||||||||||||
![]() | ||||||||
| Financial Supplement | Second Quarter 2024 | |||||||
Debt Detail and Maturities | |||||||||||||||||||||||
(In thousands) | |||||||||||||||||||||||
As of June 30, 2024 | |||||||||||||||||||||||
Indebtedness: | Carrying Value | Contractual Interest Rate(1) | Effective Interest Rate(2) | Stated Maturity Date(3) | |||||||||||||||||||
Unsecured Debt(4) | |||||||||||||||||||||||
Senior Unsecured Revolving Credit Facility - C$35M(5) | $ | 25,601 | CORRA + 0.84% | 6.31% | 08/2027 | ||||||||||||||||||
Senior Unsecured Revolving Credit Facility - USD(5) | 360,000 | SOFR + 0.84% | 6.65% | 08/2027 | |||||||||||||||||||
Senior Unsecured Revolving Credit Facility - A$197M(5) | 131,523 | BBSW + 0.84% | 5.57% | 08/2027 | |||||||||||||||||||
Senior Unsecured Revolving Credit Facility - €71M(5) | 75,709 | EURIBOR + 0.84% | 4.87% | 08/2027 | |||||||||||||||||||
Senior Unsecured Revolving Credit Facility - NZD44M(5) | 26,803 | BKBM + 0.84% | 6.88% | 08/2027 | |||||||||||||||||||
Senior Unsecured Term Loan A Facility Tranche A-1 - USD(6) | 375,000 | SOFR + 0.94% | 4.58% | 08/2027 | |||||||||||||||||||
Senior Unsecured Term Loan A Facility Tranche A-2 - C$250M | 182,865 | CORRA + 0.94% | 4.78% | 01/2028 | |||||||||||||||||||
| Senior Unsecured Term Loan A Facility Tranche A-3 - USD | 270,000 | SOFR + 0.94% | 4.27% | 01/2028 | |||||||||||||||||||
Series A Unsecured notes - USD | 200,000 | 4.68% | 4.77% | 01/2026 | |||||||||||||||||||
| Series B Unsecured notes - USD | 400,000 | 4.86% | 4.92% | 01/2029 | |||||||||||||||||||
Series C Unsecured notes - USD | 350,000 | 4.10% | 4.15% | 01/2030 | |||||||||||||||||||
Series D Unsecured notes - €400M | 429,552 | 1.62% | 1.67% | 01/2031 | |||||||||||||||||||
Series E Unsecured notes - €350M | 375,859 | 1.65% | 1.70% | 01/2033 | |||||||||||||||||||
Total Unsecured Debt | $ | 3,202,912 | 3.99% | 4.16% | 4.6 years | ||||||||||||||||||
Sale-leaseback financing obligations | 81,201 | 10.07% | |||||||||||||||||||||
Financing lease obligations | 95,768 | 4.09% | |||||||||||||||||||||
Total Debt Outstanding | $ | 3,379,881 | 4.14% | ||||||||||||||||||||
Less: unamortized deferred financing costs | (9,254) | ||||||||||||||||||||||
Total Book Value of Debt | $ | 3,370,627 | |||||||||||||||||||||
Rate Type | % of Total | ||||||||||||||||||||||
Fixed(7) | $ | 2,760,245 | 82% | ||||||||||||||||||||
Variable-unhedged | 619,636 | 18% | |||||||||||||||||||||
Total Gross Debt Outstanding | $ | 3,379,881 | 100% | ||||||||||||||||||||
Debt Type | % of Total | ||||||||||||||||||||||
Unsecured | $ | 3,202,912 | 95% | ||||||||||||||||||||
Secured | 176,969 | 5% | |||||||||||||||||||||
Total Debt Outstanding | $ | 3,379,881 | 100% | ||||||||||||||||||||
![]() | ||||||||
| Financial Supplement | Second Quarter 2024 | |||||||
Revenue and Contribution (NOI) by Segment | |||||||||||||||||||||||
(in thousands) | |||||||||||||||||||||||
| Three Months Ended June 30, | Six Months Ended June 30, | ||||||||||||||||||||||
| 2024 | 2023 | 2024 | 2023 | ||||||||||||||||||||
| Segment revenues: | |||||||||||||||||||||||
| Warehouse | $ | 600,387 | $ | 581,170 | $ | 1,198,097 | $ | 1,176,222 | |||||||||||||||
| Transportation | 50,637 | 58,072 | 107,490 | 126,150 | |||||||||||||||||||
| Third-party managed | 9,931 | 10,368 | 20,348 | 23,727 | |||||||||||||||||||
| Total revenues | 660,955 | 649,610 | 1,325,935 | 1,326,099 | |||||||||||||||||||
| Segment contribution: | |||||||||||||||||||||||
| Warehouse | 204,531 | 172,842 | 401,662 | 347,669 | |||||||||||||||||||
| Transportation | 8,850 | 9,809 | 20,372 | 21,469 | |||||||||||||||||||
| Third-party managed | 2,102 | 1,400 | 4,285 | 2,479 | |||||||||||||||||||
| Total segment contribution | 215,483 | 184,051 | 426,319 | 371,617 | |||||||||||||||||||
| Reconciling items: | |||||||||||||||||||||||
| Depreciation and amortization expense | (89,649) | (84,892) | (181,744) | (169,916) | |||||||||||||||||||
| Selling, general, and administrative expense | (59,453) | (53,785) | (124,879) | (116,640) | |||||||||||||||||||
| Acquisition, cyber incident, and other expense, net | (3,013) | (27,235) | (18,011) | (34,382) | |||||||||||||||||||
| Gain from sale of real estate | — | 2,528 | 3,514 | 2,337 | |||||||||||||||||||
| Interest expense | (33,180) | (36,431) | (66,610) | (70,854) | |||||||||||||||||||
| Other, net | 14,623 | (415) | 24,149 | 1,018 | |||||||||||||||||||
| Loss on debt extinguishment and termination of derivative instruments | (110,682) | (627) | (115,864) | (1,172) | |||||||||||||||||||
| Impairment of related party loan receivable | — | (21,972) | — | (21,972) | |||||||||||||||||||
| Loss on put option | — | (56,576) | — | (56,576) | |||||||||||||||||||
| Loss from investments in partially owned entities | (1,034) | (709) | (1,983) | (1,357) | |||||||||||||||||||
| Loss from continuing operations before income taxes | $ | (66,905) | $ | (96,063) | $ | (55,109) | $ | (97,897) | |||||||||||||||
![]() | ||||||||
| Financial Supplement | Second Quarter 2024 | |||||||

![]() | ||||||||
| Financial Supplement | Second Quarter 2024 | |||||||
| Country / Region | # of warehouses | Cubic feet (in millions) | % of total cubic feet | Pallet positions (in thousands) | Average economic occupancy (1) | Average physical occupancy (1) | Revenues (2) (in millions) | Segment contribution (NOI) (2)(3) (in millions) | Total customers (4) | |||||||||||||||||||||||||||||||||||||||||||||||
Warehouse Segment Portfolio (5) | ||||||||||||||||||||||||||||||||||||||||||||||||||||||||
| United States | ||||||||||||||||||||||||||||||||||||||||||||||||||||||||
| East | 53 | 351.0 | 25 | % | 1,218 | 76 | % | 61 | % | $ | 319.3 | $ | 106.4 | 1,035 | ||||||||||||||||||||||||||||||||||||||||||
| Southeast | 48 | 315.6 | 22 | % | 1,024 | 76 | % | 64 | % | 216.8 | 55.5 | 670 | ||||||||||||||||||||||||||||||||||||||||||||
| Central | 41 | 268.2 | 19 | % | 1,087 | 82 | % | 73 | % | 226.4 | 88.2 | 702 | ||||||||||||||||||||||||||||||||||||||||||||
| West | 45 | 262.3 | 18 | % | 1,142 | 81 | % | 69 | % | 210.2 | 87.3 | 591 | ||||||||||||||||||||||||||||||||||||||||||||
| Canada | 5 | 32.6 | 2 | % | 120 | 89 | % | 87 | % | 23.6 | 9.7 | 70 | ||||||||||||||||||||||||||||||||||||||||||||
| North America Total | 192 | 1,229.7 | 86 | % | 4,591 | 79 | % | 67 | % | $ | 996.3 | $ | 347.1 | 2,248 | ||||||||||||||||||||||||||||||||||||||||||
| Netherlands | 6 | 31.5 | 2 | % | 112 | 68 | % | 68 | % | 21.3 | 4.1 | 269 | ||||||||||||||||||||||||||||||||||||||||||||
| United Kingdom | 5 | 39.3 | 3 | % | 244 | 81 | % | 75 | % | 25.5 | 11.3 | 109 | ||||||||||||||||||||||||||||||||||||||||||||
| Spain | 4 | 15.2 | 1 | % | 77 | 58 | % | 58 | % | 10.7 | 2.7 | 259 | ||||||||||||||||||||||||||||||||||||||||||||
| Portugal | 4 | 11.5 | 1 | % | 58 | 65 | % | 65 | % | 5.9 | 1.1 | 143 | ||||||||||||||||||||||||||||||||||||||||||||
| Ireland | 3 | 9.5 | 1 | % | 59 | 69 | % | 59 | % | 10.4 | 2.2 | 165 | ||||||||||||||||||||||||||||||||||||||||||||
| Austria | 1 | 4.2 | — | % | 44 | 71 | % | 71 | % | 11.4 | 2.9 | 119 | ||||||||||||||||||||||||||||||||||||||||||||
| Poland | 2 | 3.5 | — | % | 14 | 90 | % | 90 | % | 3.9 | 1.3 | 49 | ||||||||||||||||||||||||||||||||||||||||||||
| Europe Total | 25 | 114.7 | 8 | % | 608 | 72 | % | 69 | % | $ | 89.1 | $ | 25.6 | 1,042 | ||||||||||||||||||||||||||||||||||||||||||
| Australia | 10 | 59.1 | 4 | % | 219 | 87 | % | 81 | % | 87.8 | 19.8 | 127 | ||||||||||||||||||||||||||||||||||||||||||||
| New Zealand | 6 | 16.9 | 1 | % | 84 | 95 | % | 81 | % | 18.9 | 7.2 | 46 | ||||||||||||||||||||||||||||||||||||||||||||
| Asia-Pacific Total | 16 | 76.0 | 5 | % | 303 | 89 | % | 81 | % | $ | 106.7 | $ | 27.0 | 170 | ||||||||||||||||||||||||||||||||||||||||||
| Argentina | 2 | 9.7 | 1 | % | 23 | 73 | % | 73 | % | 6.0 | 2.0 | 47 | ||||||||||||||||||||||||||||||||||||||||||||
| South America Total | 2 | 9.7 | 1 | % | 23 | 73 | % | 73 | % | $ | 6.0 | $ | 2.0 | 47 | ||||||||||||||||||||||||||||||||||||||||||
| Warehouse Segment Total / Average | 235 | 1,430.1 | 100 | % | 5,525 | 79 | % | 68 | % | $ | 1,198.1 | $ | 401.7 | 3,491 | ||||||||||||||||||||||||||||||||||||||||||
| Third-Party Managed Portfolio | ||||||||||||||||||||||||||||||||||||||||||||||||||||||||
| North America | 3 | 14.9 | 100 | % | — | — | — | $ | 8.6 | $ | 1.6 | 3 | ||||||||||||||||||||||||||||||||||||||||||||
| Asia-Pacific | 1 | — | — | % | — | — | — | 11.7 | 2.7 | 1 | ||||||||||||||||||||||||||||||||||||||||||||||
| Third-Party Managed Total / Average | 4 | 14.9 | 100 | % | — | — | — | $ | 20.3 | $ | 4.3 | 4 | ||||||||||||||||||||||||||||||||||||||||||||
| Portfolio Total / Average | 239 | 1,445.0 | 100 | % | 5,525 | 79 | % | 68 | % | $ | 1,218.4 | $ | 406.0 | 3,491 | ||||||||||||||||||||||||||||||||||||||||||
![]() | ||||||||
| Financial Supplement | Second Quarter 2024 | |||||||




![]() | ||||||||
| Financial Supplement | Second Quarter 2024 | |||||||
| Contract Expiration Year | Number of Contracts | Annualized Committed Rent & Storage Revenue (in thousands) | % of Total Warehouse Rent & Storage Segment Revenue for the six months ended June 30, 2024 | Total Warehouse Segment Revenue Generated by Contracts with Fixed Commitments & Leases for the six months ended June 30, 2024(1) (in thousands) | Annualized Committed Rent & Storage Revenue at Expiration(2) (in thousands) | |||||||||||||||||||||||||||
| Month-to-Month | 118 | $ | 59,927 | 5.5 | % | $ | 183,571 | $ | 59,927 | |||||||||||||||||||||||
| 2024 | 145 | 102,422 | 9.4 | % | 246,712 | 100,998 | ||||||||||||||||||||||||||
| 2025 | 146 | 135,814 | 12.4 | % | 267,176 | 139,023 | ||||||||||||||||||||||||||
| 2026 | 80 | 142,936 | 13.1 | % | 268,471 | 146,530 | ||||||||||||||||||||||||||
| 2027 | 34 | 31,807 | 2.9 | % | 70,815 | 33,372 | ||||||||||||||||||||||||||
| 2028 | 20 | 26,684 | 2.4 | % | 85,452 | 29,056 | ||||||||||||||||||||||||||
| 2029+ | 28 | 118,451 | 10.9 | % | 318,529 | 126,387 | ||||||||||||||||||||||||||
| Total | 571 | $ | 618,041 | 56.6 | % | $ | 1,440,726 | $ | 635,293 | |||||||||||||||||||||||


![]() | ||||||||
| Financial Supplement | Second Quarter 2024 | |||||||
| Lease Expiration Year | No. of Leases Expiring | Annualized Rent(1) (in thousands) | % of Total Warehouse Rent & Storage Segment Revenue for the six months ended June 30, 2024 | Leased Square Footage (in thousands) | % Leased Square Footage | Annualized Rent at Expiration(2) (in thousands) | ||||||||||||||||||||||||||||||||
| Month-to-Month | 2 | $ | 5 | — | % | 9 | 0.2 | % | $ | 5 | ||||||||||||||||||||||||||||
| 2024 | 34 | 7,556 | 0.7 | % | 778 | 21.0 | % | 7,577 | ||||||||||||||||||||||||||||||
| 2025 | 29 | 11,192 | 1.0 | % | 671 | 18.1 | % | 11,290 | ||||||||||||||||||||||||||||||
| 2026 | 13 | 6,123 | 0.6 | % | 487 | 13.1 | % | 6,450 | ||||||||||||||||||||||||||||||
| 2027 | 10 | 3,748 | 0.3 | % | 245 | 6.6 | % | 4,039 | ||||||||||||||||||||||||||||||
| 2028 | 11 | 7,680 | 0.7 | % | 713 | 19.2 | % | 8,037 | ||||||||||||||||||||||||||||||
| 2029+ | 11 | 15,293 | 1.4 | % | 804 | 21.7 | % | 19,226 | ||||||||||||||||||||||||||||||
| Total | 110 | $ | 51,597 | 4.7 | % | — | 3,707 | 100 | % | $ | 56,624 | |||||||||||||||||||||||||||
![]() | ||||||||
| Financial Supplement | Second Quarter 2024 | |||||||
| Three Months Ended June 30, | Six Months Ended June 30, | ||||||||||||||||||||||
| 2024 | 2023 | 2024 | 2023 | ||||||||||||||||||||
| (In thousands, except per cubic foot amounts) | |||||||||||||||||||||||
| Real estate | $ | 20,830 | $ | 20,430 | $ | 37,165 | $ | 35,329 | |||||||||||||||
| Personal property | 1,104 | 1,367 | 1,950 | 1,692 | |||||||||||||||||||
| Information technology | 898 | 793 | 1,650 | 1,813 | |||||||||||||||||||
Maintenance capital expenditures(1) | $ | 22,832 | $ | 22,590 | $ | 40,765 | $ | 38,834 | |||||||||||||||
| Maintenance capital expenditures per cubic foot | $ | 0.016 | $ | 0.015 | $ | 0.028 | $ | 0.026 | |||||||||||||||
| Three Months Ended June 30, | Six Months Ended June 30, | ||||||||||||||||||||||
| 2024 | 2023 | 2024 | 2023 | ||||||||||||||||||||
| (In thousands, except per cubic foot amounts) | |||||||||||||||||||||||
| Real estate | $ | 10,349 | $ | 12,304 | $ | 24,937 | $ | 21,106 | |||||||||||||||
| Personal property | 18,919 | 17,096 | 35,223 | 37,061 | |||||||||||||||||||
| Repair and maintenance expenses | $ | 29,268 | $ | 29,400 | $ | 60,160 | $ | 58,167 | |||||||||||||||
| Repair and maintenance expenses per cubic foot | $ | 0.020 | $ | 0.020 | $ | 0.042 | $ | 0.039 | |||||||||||||||
| Three Months Ended June 30, | Six Months Ended June 30, | ||||||||||||||||||||||
| 2024 | 2023 | 2024 | 2023 | ||||||||||||||||||||
| (In thousands) | |||||||||||||||||||||||
| Business combinations | $ | — | $ | 40,743 | $ | — | $ | 40,743 | |||||||||||||||
| Asset acquisitions | — | 20,081 | — | 20,081 | |||||||||||||||||||
Expansion and development initiatives(2) | 32,881 | 19,567 | 62,833 | 48,290 | |||||||||||||||||||
| Information technology | 2,759 | 1,721 | 3,739 | 3,334 | |||||||||||||||||||
| Growth and expansion capital expenditures | $ | 35,640 | $ | 82,112 | $ | 66,572 | $ | 112,448 | |||||||||||||||
![]() | ||||||||
| Financial Supplement | Second Quarter 2024 | |||||||
| Three Months Ended June 30, | Change | ||||||||||||||||||||||||||||
2024 Actual | 2024 Constant Currency(1) | 2023 Actual | Actual | Constant Currency | |||||||||||||||||||||||||
| (Dollars in thousands) | |||||||||||||||||||||||||||||
| Rent and storage | $ | 267,671 | $ | 273,751 | $ | 275,183 | (2.7) | % | (0.5) | % | |||||||||||||||||||
| Warehouse services | 332,716 | 337,351 | 305,987 | 8.7 | % | 10.3 | % | ||||||||||||||||||||||
| Total warehouse segment revenue | $ | 600,387 | $ | 611,102 | $ | 581,170 | 3.3 | % | 5.2 | % | |||||||||||||||||||
| Power | 37,082 | 38,124 | 35,992 | 3.0 | % | 5.9 | % | ||||||||||||||||||||||
Other facilities costs (2) | 62,385 | 64,065 | 61,172 | 2.0 | % | 4.7 | % | ||||||||||||||||||||||
| Labor | 245,626 | 248,879 | 253,802 | (3.2) | % | (1.9) | % | ||||||||||||||||||||||
Other services costs (3) | 50,763 | 51,934 | 57,362 | (11.5) | % | (9.5) | % | ||||||||||||||||||||||
| Total warehouse segment cost of operations | $ | 395,856 | $ | 403,002 | $ | 408,328 | (3.1) | % | (1.3) | % | |||||||||||||||||||
| Warehouse segment contribution (NOI) | $ | 204,531 | $ | 208,100 | $ | 172,842 | 18.3 | % | 20.4 | % | |||||||||||||||||||
Warehouse rent and storage contribution (NOI) (4) | $ | 168,204 | $ | 171,562 | $ | 178,019 | (5.5) | % | (3.6) | % | |||||||||||||||||||
Warehouse services contribution (NOI) (5) | $ | 36,327 | $ | 36,538 | $ | (5,177) | (801.7) | % | (805.8) | % | |||||||||||||||||||
| Total warehouse segment margin | 34.1 | % | 34.1 | % | 29.7 | % | 433 bps | 431 bps | |||||||||||||||||||||
Rent and storage margin(6) | 62.8 | % | 62.7 | % | 64.7 | % | -185 bps | -202 bps | |||||||||||||||||||||
Warehouse services margin(7) | 10.9 | % | 10.8 | % | (1.7) | % | 1261 bps | 1252 bps | |||||||||||||||||||||
![]() | ||||||||
| Financial Supplement | Second Quarter 2024 | |||||||
| Six Months Ended June 30, | Change | ||||||||||||||||||||||||||||
| 2024 Actual | 2024 Constant Currency(1) | 2023 Actual | Actual | Constant Currency | |||||||||||||||||||||||||
| (Dollars in thousands) | |||||||||||||||||||||||||||||
| Rent and storage | $ | 537,095 | $ | 548,390 | $ | 546,591 | (1.7) | % | 0.3 | % | |||||||||||||||||||
| Warehouse services | 661,002 | 669,779 | 629,631 | 5.0 | % | 6.4 | % | ||||||||||||||||||||||
| Total warehouse segment revenues | 1,198,097 | 1,218,169 | 1,176,222 | 1.9 | % | 3.6 | % | ||||||||||||||||||||||
| Power | 70,415 | 72,494 | 72,040 | (2.3) | % | 0.6 | % | ||||||||||||||||||||||
Other facilities costs (2) | 127,980 | 131,108 | 121,972 | 4.9 | % | 7.5 | % | ||||||||||||||||||||||
| Labor | 493,799 | 500,011 | 512,343 | (3.6) | % | (2.4) | % | ||||||||||||||||||||||
Other services costs (3) | 104,241 | 106,492 | 122,198 | (14.7) | % | (12.9) | % | ||||||||||||||||||||||
| Total warehouse segment cost of operations | $ | 796,435 | $ | 810,105 | $ | 828,553 | (3.9) | % | (2.2) | % | |||||||||||||||||||
| Warehouse segment contribution (NOI) | $ | 401,662 | $ | 408,064 | $ | 347,669 | 15.5 | % | 17.4 | % | |||||||||||||||||||
Warehouse rent and storage contribution (NOI) (4) | $ | 338,700 | $ | 344,788 | $ | 352,579 | (3.9) | % | (2.2) | % | |||||||||||||||||||
Warehouse services contribution (NOI) (5) | $ | 62,962 | $ | 63,276 | $ | (4,910) | (1,382.3) | % | (1,388.7) | % | |||||||||||||||||||
| Total warehouse segment margin | 33.5 | % | 33.5 | % | 29.6 | % | 397 bps | 394 bps | |||||||||||||||||||||
Rent and storage margin(6) | 63.1 | % | 62.9 | % | 64.5 | % | -144 bps | -163 bps | |||||||||||||||||||||
Warehouse services margin(7) | 9.5 | % | 9.4 | % | (0.8) | % | 1031 bps | 1023 bps | |||||||||||||||||||||
![]() | ||||||||
| Financial Supplement | Second Quarter 2024 | |||||||
| Three Months Ended June 30, | Change | ||||||||||||||||||||||||||||
2024 Actual | 2024 Constant Currency(1) | 2023 Actual | Actual | Constant Currency | |||||||||||||||||||||||||
| Number of same store warehouses | 226 | 226 | n/a | n/a | |||||||||||||||||||||||||
| Same store revenues: | (Dollars in thousands) | ||||||||||||||||||||||||||||
| Rent and storage | $ | 257,924 | $ | 263,984 | $ | 264,134 | (2.4) | % | (0.1) | % | |||||||||||||||||||
| Warehouse services | 324,767 | 329,372 | 299,417 | 8.5 | % | 10.0 | % | ||||||||||||||||||||||
| Total same store revenues | $ | 582,691 | $ | 593,356 | $ | 563,551 | 3.4 | % | 5.3 | % | |||||||||||||||||||
| Same store cost of operations: | |||||||||||||||||||||||||||||
| Power | 35,494 | 36,533 | 34,167 | 3.9 | % | 6.9 | % | ||||||||||||||||||||||
| Other facilities costs | 59,193 | 60,800 | 57,190 | 3.5 | % | 6.3 | % | ||||||||||||||||||||||
| Labor | 234,276 | 237,487 | 240,574 | (2.6) | % | (1.3) | % | ||||||||||||||||||||||
| Other services costs | 47,124 | 48,289 | 55,415 | (15.0) | % | (12.9) | % | ||||||||||||||||||||||
| Total same store cost of operations | $ | 376,087 | $ | 383,109 | $ | 387,346 | (2.9) | % | (1.1) | % | |||||||||||||||||||
| Same store contribution (NOI) | $ | 206,604 | $ | 210,247 | $ | 176,205 | 17.3 | % | 19.3 | % | |||||||||||||||||||
Same store rent and storage contribution (NOI)(2) | $ | 163,237 | $ | 166,651 | $ | 172,777 | (5.5) | % | (3.5) | % | |||||||||||||||||||
Same store services contribution (NOI)(3) | $ | 43,367 | $ | 43,596 | $ | 3,428 | 1,165.1 | % | 1,171.8 | % | |||||||||||||||||||
| Total same store margin | 35.5 | % | 35.4 | % | 31.3 | % | 419 bps | 417 bps | |||||||||||||||||||||
Same store rent and storage margin(4) | 63.3 | % | 63.1 | % | 65.4 | % | -212 bps | -228 bps | |||||||||||||||||||||
Same store services margin(5) | 13.4 | % | 13.2 | % | 1.1 | % | 1221 bps | 1209 bps | |||||||||||||||||||||
Number of non-same store warehouses(6) | 9 | 11 | n/a | n/a | |||||||||||||||||||||||||
| Non-same store revenues: | |||||||||||||||||||||||||||||
| Rent and storage | $ | 9,747 | $ | 9,767 | $ | 11,049 | n/r | n/r | |||||||||||||||||||||
| Warehouse services | 7,949 | 7,979 | 6,570 | n/r | n/r | ||||||||||||||||||||||||
| Total non-same store revenues | $ | 17,696 | $ | 17,746 | $ | 17,619 | n/r | n/r | |||||||||||||||||||||
| Non-same store cost of operations: | |||||||||||||||||||||||||||||
| Power | 1,588 | 1,591 | 1,825 | n/r | n/r | ||||||||||||||||||||||||
| Other facilities costs | 3,192 | 3,265 | 3,982 | n/r | n/r | ||||||||||||||||||||||||
| Labor | 11,350 | 11,392 | 13,228 | n/r | n/r | ||||||||||||||||||||||||
| Other services costs | 3,639 | 3,645 | 1,947 | n/r | n/r | ||||||||||||||||||||||||
| Total non-same store cost of operations | $ | 19,769 | $ | 19,893 | $ | 20,982 | n/r | n/r | |||||||||||||||||||||
| Non-same store contribution (NOI) | $ | (2,073) | $ | (2,147) | $ | (3,363) | n/r | n/r | |||||||||||||||||||||
Non-same store rent and storage contribution (NOI)(2) | $ | 4,967 | $ | 4,911 | $ | 5,242 | n/r | n/r | |||||||||||||||||||||
Non-same store services contribution (NOI)(3) | $ | (7,040) | $ | (7,058) | $ | (8,605) | n/r | n/r | |||||||||||||||||||||
| Total warehouse segment revenues | $ | 600,387 | $ | 611,102 | $ | 581,170 | 3.3 | % | 5.2 | % | |||||||||||||||||||
| Total warehouse cost of operations | $ | 395,856 | $ | 403,002 | $ | 408,328 | (3.1) | % | (1.3) | % | |||||||||||||||||||
| Total warehouse segment contribution (NOI) | $ | 204,531 | $ | 208,100 | $ | 172,842 | 18.3 | % | 20.4 | % | |||||||||||||||||||
| (1) | The adjustments from our U.S. GAAP operating results to calculate our operating results on a constant currency basis is the effect of changes in foreign currency exchange rates relative to the comparable prior period. | ||||
| (2) | Calculated as rent and storage revenues less power and other facilities costs. | ||||
| (3) | Calculated as warehouse services revenues less labor and other services costs. | ||||
| (4) | Calculated as same store rent and storage contribution (NOI) divided by same store rent and storage revenues. | ||||
| (5) | Calculated as same store warehouse services contribution (NOI) divided by same store warehouse services revenues. | ||||
| (6) | The non-same store facility count consists of: five sites in the expansion and development phase, two facilities that we purchased in 2023, one facility that requires capital investment in anticipation of repurposing, and one site in which we have ceased operations and intend to lease to a third party. | ||||
![]() | ||||||||
| Financial Supplement | Second Quarter 2024 | |||||||
| Six Months Ended June 30, | Change | ||||||||||||||||||||||||||||
| 2024 Actual | 2024 Constant Currency(1) | 2023 Actual | Actual | Constant Currency | |||||||||||||||||||||||||
| Number of same store warehouses | 226 | 226 | n/a | n/a | |||||||||||||||||||||||||
| Same store revenues: | (Dollars in thousands) | ||||||||||||||||||||||||||||
| Rent and storage | $ | 514,220 | $ | 525,434 | $ | 528,184 | (2.6) | % | (0.5) | % | |||||||||||||||||||
| Warehouse services | 645,183 | 653,819 | 616,395 | 4.7 | % | 6.1 | % | ||||||||||||||||||||||
| Total same store revenues | 1,159,403 | 1,179,253 | 1,144,579 | 1.3 | % | 3.0 | % | ||||||||||||||||||||||
| Same store cost of operations: | |||||||||||||||||||||||||||||
| Power | 66,719 | 68,787 | 68,976 | (3.3) | % | (0.3) | % | ||||||||||||||||||||||
| Other facilities costs | 118,388 | 121,413 | 114,460 | 3.4 | % | 6.1 | % | ||||||||||||||||||||||
| Labor | 469,836 | 475,911 | 487,037 | (3.5) | % | (2.3) | % | ||||||||||||||||||||||
| Other services costs | 97,273 | 99,509 | 113,182 | (14.1) | % | (12.1) | % | ||||||||||||||||||||||
| Total same store cost of operations | $ | 752,216 | $ | 765,620 | $ | 783,655 | (4.0) | % | (2.3) | % | |||||||||||||||||||
| Same store contribution (NOI) | $ | 407,187 | $ | 413,633 | $ | 360,924 | 12.8 | % | 14.6 | % | |||||||||||||||||||
Same store rent and storage contribution (NOI)(2) | $ | 329,113 | $ | 335,234 | $ | 344,748 | (4.5) | % | (2.8) | % | |||||||||||||||||||
Same store services contribution (NOI)(3) | $ | 78,074 | $ | 78,399 | $ | 16,176 | 382.7 | % | 384.7 | % | |||||||||||||||||||
| Total same store margin | 35.1 | % | 35.1 | % | 31.5 | % | 359 bps | 354 bps | |||||||||||||||||||||
Same store rent and storage margin(4) | 64.0 | % | 63.8 | % | 65.3 | % | -127 bps | -147 bps | |||||||||||||||||||||
Same store services margin(5) | 12.1 | % | 12.0 | % | 2.6 | % | 948 bps | 937 bps | |||||||||||||||||||||
Number of non-same store warehouses(6) | 9 | 11 | n/a | n/a | |||||||||||||||||||||||||
| Non-same store revenues: | |||||||||||||||||||||||||||||
| Rent and storage | $ | 22,875 | $ | 22,956 | $ | 18,407 | n/r | n/r | |||||||||||||||||||||
| Warehouse services | 15,819 | 15,960 | 13,236 | n/r | n/r | ||||||||||||||||||||||||
| Total non-same store revenues | 38,694 | 38,916 | 31,643 | n/r | n/r | ||||||||||||||||||||||||
| Non-same store cost of operations: | |||||||||||||||||||||||||||||
| Power | 3,696 | 3,707 | 3,064 | n/r | n/r | ||||||||||||||||||||||||
| Other facilities costs | 9,592 | 9,695 | 7,512 | n/r | n/r | ||||||||||||||||||||||||
| Labor | 23,963 | 24,100 | 25,306 | n/r | n/r | ||||||||||||||||||||||||
| Other services costs | 6,968 | 6,983 | 9,016 | n/r | n/r | ||||||||||||||||||||||||
| Total non-same store cost of operations | $ | 44,219 | $ | 44,485 | $ | 44,898 | n/r | n/r | |||||||||||||||||||||
| Non-same store contribution (NOI) | $ | (5,525) | $ | (5,569) | $ | (13,255) | n/r | n/r | |||||||||||||||||||||
Non-same store rent and storage contribution (NOI)(2) | $ | 9,587 | $ | 9,554 | $ | 7,831 | n/r | n/r | |||||||||||||||||||||
Non-same store services contribution (NOI)(3) | $ | (15,112) | $ | (15,123) | $ | (21,086) | n/r | n/r | |||||||||||||||||||||
| Total warehouse segment revenues | $ | 1,198,097 | $ | 1,218,169 | $ | 1,176,222 | 1.9 | % | 3.6 | % | |||||||||||||||||||
| Total warehouse cost of operations | $ | 796,435 | $ | 810,105 | $ | 828,553 | (3.9) | % | (2.2) | % | |||||||||||||||||||
| Total warehouse segment contribution (NOI) | $ | 401,662 | $ | 408,064 | $ | 347,669 | 15.5 | % | 17.4 | % | |||||||||||||||||||
| (1) | The adjustments from our U.S. GAAP operating results to calculate our operating results on a constant currency basis is the effect of changes in foreign currency exchange rates relative to the comparable prior period. | ||||
| (2) | Calculated as rent and storage revenues less power and other facilities costs. | ||||
| (3) | Calculated as warehouse services revenues less labor and other services costs. | ||||
| (4) | Calculated as same store rent and storage contribution (NOI) divided by same store rent and storage revenues. | ||||
| (5) | Calculated as same store warehouse services contribution (NOI) divided by same store warehouse services revenues. | ||||
| (6) | The non-same store facility count consists of: five sites in the expansion and development phase, two facilities that we purchased in 2023, one facility that requires capital investment in anticipation of repurposing, and one site in which we have ceased operations and intend to lease to a third party. | ||||
![]() | ||||||||
| Financial Supplement | Second Quarter 2024 | |||||||
| Three Months Ended June 30, | Change | ||||||||||||||||
| Units in thousands except per pallet and site data | 2024 | 2023 | |||||||||||||||
| Number of same store warehouses | 226 | 226 | n/a | ||||||||||||||
| Same store rent and storage: | |||||||||||||||||
Economic occupancy(1) | |||||||||||||||||
| Average economic occupied pallets | 4,165 | 4,468 | (6.8) | % | |||||||||||||
| Economic occupancy percentage | 79.4 | % | 84.7 | % | -526 bps | ||||||||||||
| Same store rent and storage revenues per average economic occupied pallet | $ | 61.94 | $ | 59.12 | 4.8 | % | |||||||||||
| Constant currency same store rent and storage revenue per average economic occupied pallet | $ | 63.38 | $ | 59.12 | 7.2 | % | |||||||||||
Physical occupancy(2) | |||||||||||||||||
| Average physical occupied pallets | 3,615 | 4,099 | (11.8) | % | |||||||||||||
| Average physical pallet positions | 5,245 | 5,277 | (0.6) | % | |||||||||||||
| Physical occupancy percentage | 68.9 | % | 77.7 | % | -875 bps | ||||||||||||
| Same store rent and storage revenues per average physical occupied pallet | $ | 71.34 | $ | 64.44 | 10.7 | % | |||||||||||
| Constant currency same store rent and storage revenues per average physical occupied pallet | $ | 73.02 | $ | 64.44 | 13.3 | % | |||||||||||
| Same store warehouse services: | |||||||||||||||||
| Throughput pallets | 8,717 | 8,873 | (1.8) | % | |||||||||||||
| Same store warehouse services revenues per throughput pallet | $ | 37.26 | $ | 33.74 | 10.4 | % | |||||||||||
| Constant currency same store warehouse services revenues per throughput pallet | $ | 37.79 | $ | 33.74 | 12.0 | % | |||||||||||
Number of non-same store warehouses(3) | 9 | 11 | n/a | ||||||||||||||
| Non-same store rent and storage: | |||||||||||||||||
Economic occupancy(1) | |||||||||||||||||
| Average economic occupied pallets | 146 | 112 | n/r | ||||||||||||||
| Economic occupancy percentage | 53.3 | % | 76.2 | % | n/r | ||||||||||||
Physical occupancy(2) | |||||||||||||||||
| Average physical occupied pallets | 125 | 88 | n/r | ||||||||||||||
| Average physical pallet positions | 274 | 147 | n/r | ||||||||||||||
| Physical occupancy percentage | 45.6 | % | 59.9 | % | n/r | ||||||||||||
| Non-same store warehouse services: | |||||||||||||||||
| Throughput pallets | 307 | 245 | n/r | ||||||||||||||
![]() | ||||||||
| Financial Supplement | Second Quarter 2024 | |||||||
| Six Months Ended June 30, | |||||||||||||||||
| Units in thousands except per pallet and site number data | 2024 | 2023 | Change | ||||||||||||||
| Number of same store sites | 226 | 226 | n/a | ||||||||||||||
| Same store rent and storage: | |||||||||||||||||
Economic occupancy(1) | |||||||||||||||||
| Average occupied economic pallets | 4,204 | 4,460 | (5.7) | % | |||||||||||||
| Economic occupancy percentage | 80.2 | % | 84.5 | % | -437 bps | ||||||||||||
| Same store rent and storage revenues per average economic occupied pallet | $ | 122.34 | $ | 118.42 | 3.3 | % | |||||||||||
| Constant currency same store rent and storage revenues per average economic occupied pallet | $ | 124.98 | $ | 118.42 | 5.5 | % | |||||||||||
Physical occupancy(2) | |||||||||||||||||
| Average physical occupied pallets | 3,649 | 4,103 | (11.1) | % | |||||||||||||
| Average physical pallet positions | 5,245 | 5,277 | (0.6) | % | |||||||||||||
| Physical occupancy percentage | 69.6 | % | 77.8 | % | -818 bps | ||||||||||||
| Same store rent and storage revenues per average physical occupied pallet | $ | 140.94 | $ | 128.73 | 9.5 | % | |||||||||||
| Constant currency same store rent and storage revenues per average physical occupied pallet | $ | 143.99 | $ | 128.73 | 11.9 | % | |||||||||||
| Same store warehouse services: | |||||||||||||||||
| Throughput pallets (in thousands) | 17,398 | 18,269 | (4.8) | % | |||||||||||||
| Same store warehouse services revenues per throughput pallet | $ | 37.08 | $ | 33.74 | 9.9 | % | |||||||||||
| Constant currency same store warehouse services revenues per throughput pallet | $ | 37.58 | $ | 33.74 | 11.4 | % | |||||||||||
Number of non-same store sites(3) | 9 | 11 | n/a | ||||||||||||||
| Non-same store rent and storage: | |||||||||||||||||
Economic occupancy(1) | |||||||||||||||||
| Average economic occupied pallets | 149 | 106 | n/r | ||||||||||||||
| Economic occupancy percentage | 53.2 | % | 73.6 | % | n/r | ||||||||||||
Physical occupancy(2) | |||||||||||||||||
| Average physical occupied pallets | 126 | 85 | n/r | ||||||||||||||
| Average physical pallet positions | 280 | 144 | n/r | ||||||||||||||
| Physical occupancy percentage | 45.0 | % | 59.0 | % | n/r | ||||||||||||
| Non-same store warehouse services: | |||||||||||||||||
| Throughput pallets (in thousands) | 677 | 501 | n/r | ||||||||||||||
![]() | ||||||||
| Financial Supplement | Second Quarter 2024 | |||||||
| Q2 24 | Q1 24 | Q4 23 | Q3 23 | Q2 23 | Q1 23 | |||||||||||||||||||||||||||||||||
| Number of same store warehouses | 226 | 226 | 226 | 226 | 226 | 226 | ||||||||||||||||||||||||||||||||
| Same store revenues: | ||||||||||||||||||||||||||||||||||||||
| Rent and storage | $257,924 | $256,296 | $263,932 | $266,947 | $264,134 | $264,050 | ||||||||||||||||||||||||||||||||
| Warehouse services | 324,767 | 320,416 | 327,606 | 316,769 | 299,417 | 316,978 | ||||||||||||||||||||||||||||||||
| Total same store revenues | $582,691 | $576,712 | $591,538 | $583,716 | $563,551 | $581,028 | ||||||||||||||||||||||||||||||||
| Same store cost of operations: | ||||||||||||||||||||||||||||||||||||||
| Power | 35,494 | 31,225 | 31,529 | 39,396 | 34,167 | 34,809 | ||||||||||||||||||||||||||||||||
| Other facilities costs | 59,193 | 59,195 | 60,569 | 57,367 | 57,190 | 57,270 | ||||||||||||||||||||||||||||||||
| Labor | 234,276 | 235,560 | 244,348 | 247,648 | 240,574 | 246,463 | ||||||||||||||||||||||||||||||||
| Other services costs | 47,124 | 50,149 | 62,731 | 57,895 | 55,415 | 57,767 | ||||||||||||||||||||||||||||||||
| Total same store cost of operations | $376,087 | $376,129 | $399,177 | $402,306 | $387,346 | $396,309 | ||||||||||||||||||||||||||||||||
| Same store contribution (NOI) | $206,604 | $200,583 | $192,361 | $181,410 | $176,205 | $184,719 | ||||||||||||||||||||||||||||||||
Same store rent and storage contribution (NOI)(1) | $163,237 | $165,876 | $171,834 | $170,184 | $172,777 | $171,971 | ||||||||||||||||||||||||||||||||
Same store services contribution (NOI)(2) | $43,367 | $34,707 | $20,527 | $11,226 | $3,428 | $12,748 | ||||||||||||||||||||||||||||||||
| Total same store margin | 35.5 | % | 34.8 | % | 32.5 | % | 31.1 | % | 31.3 | % | 31.8 | % | ||||||||||||||||||||||||||
Same store rent and storage margin(3) | 63.3 | % | 64.7 | % | 65.1 | % | 63.8 | % | 65.4 | % | 65.1 | % | ||||||||||||||||||||||||||
Same store services margin(4) | 13.4 | % | 10.8 | % | 6.3 | % | 3.5 | % | 1.1 | % | 4.0 | % | ||||||||||||||||||||||||||
| Same store rent and storage: | ||||||||||||||||||||||||||||||||||||||
| Economic occupancy | ||||||||||||||||||||||||||||||||||||||
| Average economic occupied pallets | 4,165 | 4,242 | 4,397 | 4,390 | 4,468 | 4,453 | ||||||||||||||||||||||||||||||||
| Economic occupancy percentage | 79.4 | % | 80.9 | % | 84.0 | % | 83.9 | % | 84.7 | % | 84.4 | % | ||||||||||||||||||||||||||
| Same store rent and storage revenues per economic occupied pallet | $61.92 | $60.42 | $60.03 | $60.81 | $59.12 | $59.30 | ||||||||||||||||||||||||||||||||
| Physical occupancy | ||||||||||||||||||||||||||||||||||||||
| Average physical occupied pallets | 3,615 | 3,683 | 3,919 | 3,966 | 4,099 | 4,107 | ||||||||||||||||||||||||||||||||
| Average physical pallet positions | 5,245 | 5,246 | 5,235 | 5,235 | 5,277 | 5,277 | ||||||||||||||||||||||||||||||||
| Physical occupancy percentage | 68.9 | % | 70.2 | % | 74.9 | % | 75.8 | % | 77.7 | % | 77.8 | % | ||||||||||||||||||||||||||
| Same store rent and storage revenues per physical occupied pallet | $71.35 | $69.59 | $67.34 | $67.30 | $64.43 | $64.30 | ||||||||||||||||||||||||||||||||
| Same store warehouse services: | ||||||||||||||||||||||||||||||||||||||
| Throughput pallets | 8,717 | 8,681 | 9,043 | 9,106 | 8,873 | 9,396 | ||||||||||||||||||||||||||||||||
| Same store warehouse services revenues per throughput pallet | $37.26 | $36.91 | $36.23 | $34.79 | $33.74 | $33.74 | ||||||||||||||||||||||||||||||||
| Total non-same store results: | ||||||||||||||||||||||||||||||||||||||
| Non-same store warehouse revenue | $ | 17,696 | $ | 20,998 | $ | 20,724 | $ | 18,889 | $ | 17,619 | $ | 14,024 | ||||||||||||||||||||||||||
| Non-same store warehouse cost of operations | $ | 19,769 | $ | 24,450 | $ | 15,984 | $ | 22,467 | $ | 20,982 | $ | 23,916 | ||||||||||||||||||||||||||
| Non-same store warehouse NOI | $ | (2,073) | $ | (3,452) | $ | 4,740 | $ | (3,578) | $ | (3,363) | $ | (9,892) | ||||||||||||||||||||||||||
| Actual FX rates for the period | Q2 24 | Q1 24 | Q4 23 | Q3 23 | Q2 23 | Q1 23 | ||||||||||||||||||||||||||||||||
| 1 ARS = | 0.001 | 0.001 | 0.003 | 0.003 | 0.004 | 0.005 | ||||||||||||||||||||||||||||||||
| 1 AUS = | 0.659 | 0.658 | 0.652 | 0.654 | 0.672 | 0.684 | ||||||||||||||||||||||||||||||||
| 1 BRL = | 0.192 | 0.202 | 0.202 | 0.205 | 0.206 | 0.193 | ||||||||||||||||||||||||||||||||
| 1 CAD = | 0.731 | 0.742 | 0.735 | 0.745 | 0.753 | 0.740 | ||||||||||||||||||||||||||||||||
| 1 CLP = | 0.001 | 0.001 | 0.001 | 0.001 | 0.001 | 0.001 | ||||||||||||||||||||||||||||||||
| 1 EUR = | 1.077 | 1.086 | 1.076 | 1.088 | 1.084 | 1.073 | ||||||||||||||||||||||||||||||||
| 1 GBP = | 1.262 | 1.268 | 1.242 | 1.266 | 1.264 | 1.215 | ||||||||||||||||||||||||||||||||
| 1 NZD = | 0.605 | 0.613 | 0.604 | 0.605 | 0.614 | 0.630 | ||||||||||||||||||||||||||||||||
| 1 PLN = | 0.250 | 0.251 | 0.244 | 0.242 | 0.243 | 0.228 | ||||||||||||||||||||||||||||||||
![]() | ||||||||
| Financial Supplement | Second Quarter 2024 | |||||||
Recently Completed Expansion and Development Projects - Non Same Store | ||||||||||||||||||||||||||||||||||||||||||||||||||||||||
| Facility | Opportunity Type | Facility Type (A = Automated) (C = Conventional) | Tenant Opportunity | Cubic Feet (in millions) | Pallet Positions (in thousands) | Cost to Complete (in millions)(1) | Expected Stabilized NOI ROIC | Completion Date | Expected Full Stabilized Quarter | |||||||||||||||||||||||||||||||||||||||||||||||
| Lancaster, PA | Development | Distribution (A) | Build-to-suit | 11.4 | 28 | $164 | 10-12% | Q1 2023 | Q3 2025 | |||||||||||||||||||||||||||||||||||||||||||||||
| Gateway, GA Phase 2 | Expansion | Distribution (A) | Multi-tenant | 6.3 | 24 | $39 | 10-12% | Q2 2023 | Q1 2025 | |||||||||||||||||||||||||||||||||||||||||||||||
| Russellville, AR | Expansion | Production Advantaged (A) | Build-to-suit | 13.0 | 42 | $90 | 10-12% | Q3 2023 | Q4 2024 | |||||||||||||||||||||||||||||||||||||||||||||||
| Spearwood, Australia | Expansion | Distribution (A) | Multi-tenant | 3.3 | 20 | A$64 | 10-12% | Q3 2023 | Q1 2025 | |||||||||||||||||||||||||||||||||||||||||||||||
| Plainville, CT | Development | Distribution (A) | Build-to-suit | 12.1 | 31 | $161 | 10-12% | Q4 2023 | Q4 2025 | |||||||||||||||||||||||||||||||||||||||||||||||
| Expansion and Development Projects In Process and Announced - Non Same Store | ||||||||||||||||||||||||||||||||||||||||||||||||||||||||||||||||||||
| Facility Type (A = Automated) (C = Conventional) | Under Construction | Investment in Expansion / Development (in millions) | Expected Stabilized NOI ROIC | Target Complete Date | Expected Full Stabilized Quarter | |||||||||||||||||||||||||||||||||||||||||||||||||||||||||||||||
| Facility | Opportunity Type | Tenant Opportunity | Cubic Feet (millions) (1) | Pallet Positions (thousands) (1) | Cost to Date (2) | Estimate to Complete | Total Estimated Cost | |||||||||||||||||||||||||||||||||||||||||||||||||||||||||||||
| Allentown, PA | Expansion | Distribution (C) | Multi-tenant | 14.6 | 37 | $10 | $75-$80 | $85-$90 | 10-12% | Q2 2025 | Q1 2027 | |||||||||||||||||||||||||||||||||||||||||||||||||||||||||
| Kansas City, MO | Development | Distribution (C) | Multi-tenant | 13.5 | 22 | $10 | $117 - $123 | $127 - $133 | 10-12% | Q2 2025 | Q1 2026 | |||||||||||||||||||||||||||||||||||||||||||||||||||||||||
Sydney, Australia | Expansion | Distribution (C) | Multi-tenant | 2.8 | 13 | A$2 | A$42- A$44 | A$44 - A$46 | 10-12% | Q1 2026 | Q1 2027 | |||||||||||||||||||||||||||||||||||||||||||||||||||||||||
| Recent Acquisitions - Non Same Store | ||||||||||||||||||||||||||||||||||||||||||||||||||||||||
| Facility | Metropolitan Area | No. of Facilities | Cubic Feet (in millions) | Pallet Positions (in thousands) | Acquisition Price (in millions) (1) | Net Entry NOI Yield (1) | Expected Three Year Stabilized NOI ROIC | Date Purchased | Expected Full Stabilized Quarter | |||||||||||||||||||||||||||||||||||||||||||||||
| Ormeau | Australia | 1 | 2.1 | 10 | A$36.1 | — | 9-10% | 7/7/2023 | Q2 2026 | |||||||||||||||||||||||||||||||||||||||||||||||
| Safeway | New Jersey | 1 | 6.0 | 17 | $37.0 | 8.9 | % | 9-10% | 10/5/2023 | Q3 2026 | ||||||||||||||||||||||||||||||||||||||||||||||
![]() | ||||||||
| Financial Supplement | Second Quarter 2024 | |||||||
| SuperFrio | |||||||||||||||||
| As of | |||||||||||||||||
| Summary Balance Sheet - at the JV’s 100% share in BRLs | Q2 24 | Q1 24 | Q4 23 | Q3 23 | Q2 23 | ||||||||||||
| ($’s in thousands) | |||||||||||||||||
| Net book value of property, buildings and equipment | R$ | 1,133,020 | R$ | 1,135,219 | R$ | 1,116,560 | R$ | 1,107,455 | R$ | 1,119,533 | |||||||
| Other assets | 493,244 | 508,905 | 490,036 | 463,194 | 476,615 | ||||||||||||
| Total assets | 1,626,264 | 1,644,124 | 1,606,596 | 1,570,649 | 1,596,148 | ||||||||||||
| Debt | 725,877 | 731,429 | 686,298 | 646,243 | 666,362 | ||||||||||||
| Other liabilities | 538,700 | 518,764 | 496,756 | 500,639 | 492,444 | ||||||||||||
| Equity | 361,687 | 393,931 | 423,542 | 423,767 | 437,342 | ||||||||||||
| Total liabilities and equity | R$ | 1,626,264 | R$ | 1,644,124 | R$ | 1,606,596 | R$ | 1,570,649 | R$ | 1,596,148 | |||||||
| Americold’s ownership percentage | 15 | % | 15 | % | 15 | % | 15 | % | 15 | % | |||||||
| BRL/USD quarter-end rate | 0.1789 | 0.1994 | 0.2061 | 0.1987 | 0.2089 | ||||||||||||
| Americold’s pro rata share of debt at BRL/USD rate | $ | 19,466 | $ | 21,877 | $ | 21,217 | $ | 19,261 | $ | 20,880 | |||||||
| Three Months Ended | |||||||||||||||||
| Summary Statement of Operations - at the JV’s 100% share in BRLs | Q2 24 | Q1 24 | Q4 23 | Q3 23 | Q2 23 | ||||||||||||
| ($’s in thousands) | |||||||||||||||||
| Revenues | R$ | 149,150 | R$ | 145,274 | R$ | 169,006 | R$ | 161,229 | R$ | 158,418 | |||||||
| Cost of operations | 112,283 | 111,612 | 110,295 | 110,741 | 113,467 | ||||||||||||
| Selling, general and administrative expense | 6,126 | 7,400 | 7,523 | 7,464 | 8,111 | ||||||||||||
| M&A expense | 5,664 | 3,228 | (5,677) | 4,896 | (919) | ||||||||||||
| Depreciation & amortization | 17,084 | 18,654 | 20,315 | 19,658 | 19,846 | ||||||||||||
| Total operating expenses | 141,157 | 140,894 | 132,456 | 142,759 | 140,505 | ||||||||||||
| Operating income | 7,993 | 4,380 | 36,550 | 18,470 | 17,913 | ||||||||||||
| Interest expense | 36,683 | 30,349 | 31,831 | 31,292 | 32,977 | ||||||||||||
| Other (income) expense | (1,023) | (779) | (981) | (906) | (1,532) | ||||||||||||
| Current income tax expense (benefit) | 722 | 586 | (347) | 1,012 | 890 | ||||||||||||
| Deferred income tax (benefit) expense | (634) | (634) | 124 | (732) | (78) | ||||||||||||
| Non-operating expenses | 35,748 | 29,522 | 30,627 | 30,666 | 32,257 | ||||||||||||
| Net (loss) gain | R$ | (27,755) | R$ | (25,142) | R$ | 5,923 | R$ | (12,196) | R$ | (14,344) | |||||||
| Americold’s ownership percentage | 15 | % | 15 | % | 15 | % | 15 | % | 15 | % | |||||||
| BRL/USD average rate | 0.1917 | 0.2019 | 0.2019 | 0.2047 | 0.2022 | ||||||||||||
| Americold’s pro rata share of NOI | $ | 1,059 | $ | 1,019 | $ | 1,778 | $ | 1,550 | $ | 1,363 | |||||||
| Americold’s pro rata share of Net (loss) gain | $ | (798) | $ | (761) | $ | 179 | $ | (374) | $ | (435) | |||||||
| Americold’s pro rata share of Core FFO | $ | (370) | $ | (371) | $ | 309 | $ | 73 | $ | (225) | |||||||
| Americold’s pro rata share of AFFO | $ | (227) | $ | (159) | $ | 526 | $ | 275 | $ | 85 | |||||||
![]() | ||||||||
| Financial Supplement | Second Quarter 2024 | |||||||
| RSA | |||||||||||||||||
| As of | |||||||||||||||||
| Summary Balance Sheet - at the JV’s 100% share in AED | Q2 24 | Q1 24 | Q4 23 | Q3 23 | Q2 23 | ||||||||||||
| (in thousands) | |||||||||||||||||
| Net book value of property, buildings and equipment | 67,102 | 43,395 | 35,636 | 32,531 | 28,802 | ||||||||||||
| Other assets | 11,043 | 3,763 | 5,918 | 6,605 | 4,668 | ||||||||||||
| Total assets | 78,145 | 47,158 | 41,554 | 39,136 | 33,470 | ||||||||||||
| Debt | 49,793 | 25,028 | 15,936 | 14,532 | 10,094 | ||||||||||||
| Other liabilities | 10,871 | 3,540 | 5,428 | 4,378 | 3,460 | ||||||||||||
| Equity | 17,481 | 18,590 | 20,190 | 20,226 | 19,916 | ||||||||||||
| Total liabilities and equity | 78,145 | 47,158 | 41,554 | 39,136 | 33,470 | ||||||||||||
| Americold’s ownership percentage | 49 | % | 49 | % | 49 | % | 49 | % | 49 | % | |||||||
| AED/USD quarter-end rate | 0.2723 | 0.2723 | 0.2723 | 0.2723 | 0.2723 | ||||||||||||
| Americold’s pro rata share of debt at AED/USD rate | $ | 6,644 | $ | 3,339 | $ | 2,126 | $ | 1,939 | $ | 1,347 | |||||||
| Three Months Ended | |||||||||||||||||
| Summary Statement of Operations - at the JV’s 100% share in AED | Q2 24 | Q1 24 | Q4 23 | Q3 23 | Q2 23 | ||||||||||||
| (in thousands) | |||||||||||||||||
| Revenues | 3,835 | 2,762 | 4,778 | 4,924 | 3,751 | ||||||||||||
| Cost of operations | 4,313 | 3,755 | 4,169 | 3,973 | 3,047 | ||||||||||||
| Depreciation & amortization | 415 | 414 | 417 | 412 | 395 | ||||||||||||
| Total operating expenses | 4,728 | 4,169 | 4,586 | 4,385 | 3,442 | ||||||||||||
| Operating (loss) income | (893) | (1,407) | 192 | 539 | 309 | ||||||||||||
| Interest expense | 216 | 193 | 228 | 229 | 208 | ||||||||||||
| Non-operating expenses | 216 | 193 | 228 | 229 | 208 | ||||||||||||
| Net (loss) gain | (1,109) | (1,600) | (36) | 310 | 101 | ||||||||||||
| Americold’s ownership percentage | 49 | % | 49 | % | 49 | % | 49 | % | 49 | % | |||||||
| AED/USD quarter-end rate | 0.2723 | 0.2723 | 0.2723 | 0.2723 | 0.2723 | ||||||||||||
| Americold’s pro rata share of NOI | $ | (64) | $ | (132) | $ | 81 | $ | 127 | $ | 94 | |||||||
| Americold’s pro rata share of Net (loss) gain | $ | (148) | $ | (213) | $ | (5) | $ | 41 | $ | 13 | |||||||
![]() | ||||||||
| Financial Supplement | Second Quarter 2024 | |||||||
| As of | As of | As of | |||||||||
| August 8, 2024 | May 9, 2024 | February 22, 2024 | |||||||||
| Warehouse segment same store revenue growth (constant currency) | 2.0% - 4.0% | 2.5% - 5.5% | 2.5% - 5.5% | ||||||||
| Warehouse segment same store NOI growth (constant currency) | 900 - 1000 bps higher than associated revenue | 700 - 750 bps higher than associated revenue | 400 - 450 bps higher than associated revenue | ||||||||
| Warehouse segment non-same store NOI | $(7)M - $1M | $(7)M - $1M | $(3)M - $9M | ||||||||
| Transportation and Managed segment NOI | $42M - $47M | $42M - $47M | $45M - $50M | ||||||||
Total selling, general and administrative expense (inclusive of share-based compensation expense of $23M - $25M and $5M - $7M of Orion amortization) | $247M - $261M | $247M - $261M | $247M - $261M | ||||||||
| Interest expense | $133M - $141M | $135M - $143M | $141M - $149M | ||||||||
| Current income tax expense | $7M - $10M | $9M - $12M | $9M - $12M | ||||||||
| Deferred income tax benefit | $6M - $8M | $6M - $8M | $6M - $8M | ||||||||
| Non real estate depreciation and amortization expense | $133M - $141M | $127M - $135M | $127M - $135M | ||||||||
| Total maintenance capital expenditures | $80M - $90M | $80M - $90M | $80M - $90M | ||||||||
Development starts (1) | $200M - $300M | $200M - $300M | $200M - $300M | ||||||||
| AFFO per share | $1.44 - $1.50 | $1.38 - $1.46 | $1.32 - $1.42 | ||||||||
| Assumed FX rates | 1 ARS = 0.0011 USD 1 AUS = 0.6614 USD 1 BRL = 0.0170 USD 1 CAD = 0.7330 USD 1 EUR = 1.079 USD 1 GBP = 1.2680 USD 1 NZD = 0.6113 USD 1 PLN = 0.2498 USD | 1 ARS = 0.0012 USD 1 AUS = 0.6576 USD 1 BRL = 0.1925 USD 1 CAD = 0.7401 USD 1 EUR = 1.0857 USD 1 GBP = 1.2684 USD 1 NZD = 0.6128 USD 1 PLN = 0.2507 USD | 1 ARS = 0.0012 USD 1 AUS = 0.6615 USD 1 BRL = 0.2016 USD 1 CAD = 0.7438 USD 1 EUR = 1.0914 USD 1 GBP = 1.2662 USD 1 NZD = 0.6168 USD 1 PLN = 0.2520 USD | ||||||||
![]() | ||||||||
| Financial Supplement | Second Quarter 2024 | |||||||
| Notes and Definitions | ||
| We use the following non-GAAP financial measures as supplemental performance measures of our business: NAREIT FFO, Core FFO, Adjusted FFO, NAREIT EBITDAre, Core EBITDA, Core EBITDA margin, net debt to pro-forma Core EBITDA, segment contribution (‘NOI”) and margin, same store revenue and NOI, and maintenance capital expenditures. | ||
| We calculate funds from operations, or FFO, in accordance with the standards established by the Board of Governors of the National Association of Real Estate Investment Trusts, or NAREIT. NAREIT defines FFO as net income or loss determined in accordance with U.S. GAAP, excluding extraordinary items as defined under U.S. GAAP and gains or losses from sales of previously depreciated operating real estate and other assets, plus specified non-cash items, such as real estate asset depreciation and amortization impairment charge on real estate related assets and our share of reconciling items for partially owned entities. We believe that FFO is helpful to investors as a supplemental performance measure because it excludes the effect of depreciation, amortization and gains or losses from sales of real estate, all of which are based on historical costs, which implicitly assumes that the value of real estate diminishes predictably over time. Since real estate values instead have historically risen or fallen with market conditions, FFO can facilitate comparisons of operating performance between periods and among other equity REITs. | ||
We calculate core funds from operations, or Core FFO, as NAREIT FFO adjusted for the effects of Net (gain) loss on sale of non-real estate assets, Acquisition, cyber incident and other, net, Goodwill impairment, Loss on debt extinguishment and termination of derivative instruments, Foreign currency exchange (gain) loss, Gain on legal settlement related to prior period operations, Project Orion deferred costs amortization, Net (gain) loss from discontinued operations, Impairment of related party receivable, Loss on put option, and Gain on sale of LATAM JV. We also adjust for the impact of Core FFO on our share of reconciling items for partially owned entities, and gain from disposition of partially owned entities. We believe that Core FFO is helpful to investors as a supplemental performance measure because it excludes the effects of certain items which can create significant earnings volatility, but which do not directly relate to our core business operations. We believe Core FFO can facilitate comparisons of operating performance between periods, while also providing a more meaningful predictor of future earnings potential. | ||
| However, because NAREIT FFO and Core FFO add back real estate depreciation and amortization and do not capture the level of maintenance capital expenditures necessary to maintain the operating performance of our properties, both of which have material economic impacts on our results from operations, we believe the utility of NAREIT FFO and Core FFO measures of our performance may be limited. | ||
We calculate adjusted funds from operations, or Adjusted FFO, as Core FFO adjusted for the effects of Amortization of deferred financing costs and pension withdrawal liability, Amortization of below/above market leases, Straight-line rental expense adjustment, Deferred income tax (benefit) expense, Stock-based compensation expense, Non-real estate depreciation and amortization, and Maintenance capital expenditures. We also adjust for AFFO attributable to our share of reconciling items of partially owned entities and discontinued operations. We believe that Adjusted FFO is helpful to investors as a meaningful supplemental comparative performance measure of our ability to make incremental capital investments in our business and to assess our ability to fund distribution requirements from our operating activities. | ||
| FFO, Core FFO and Adjusted FFO are used by management, investors and industry analysts as supplemental measures of operating performance of equity REITs. FFO, Core FFO and Adjusted FFO should be evaluated along with U.S. GAAP net income and net income per diluted share (the most directly comparable U.S. GAAP measures) in evaluating our operating performance. FFO, Core FFO and Adjusted FFO do not represent net income or cash flows from operating activities in accordance with U.S. GAAP and are not indicative of our results of operations or cash flows from operating activities as disclosed in our consolidated statements of operations included in our quarterly and annual reports. FFO, Core FFO and Adjusted FFO should be considered as supplements, but not alternatives, to our net income or cash flows from operating activities as indicators of our operating performance. Moreover, other REITs may not calculate FFO in accordance with the NAREIT definition or may interpret the NAREIT definition differently than we do. Accordingly, our FFO may not be comparable to FFO as calculated by other REITs. In addition, there is no industry definition of Core FFO or Adjusted FFO and, as a result, other REITs may also calculate Core FFO or Adjusted FFO, or other similarly-captioned metrics, in a manner different than we do. The table above reconciles FFO, Core FFO and Adjusted FFO to net (loss) income, which is the most directly comparable financial measure calculated in accordance with U.S. GAAP. | ||
| We calculate EBITDA for Real Estate, or EBITDAre, in accordance with the standards established by the Board of Governors of NAREIT, defined as, net (loss) income before interest expense, taxes, depreciation and amortization, net gain on sale of real estate, net of withholding taxes, and adjustment to reflect share of EBITDAre of partially owned entities. EBITDAre is a measure commonly used in our industry, and we present EBITDAre to enhance investor understanding of our operating performance. We believe that EBITDAre provides investors and analysts with a measure of operating results unaffected by differences in capital structures, capital investment cycles and useful life of related assets among otherwise comparable companies. | ||
We also calculate our Core EBITDA as EBITDAre further adjusted for Acquisition, cyber incident and other, net, Loss (gain) from investments in partially owned entities, Impairment of indefinite and long-lived assets, Foreign currency exchange (gain) loss, Stock-based compensation expense ,Loss on debt extinguishment and termination of derivative instruments, (Gain) loss on other asset disposals, Gain on legal settlement related to prior period operations, Project Orion deferred costs amortization, Gain from sale of partially owned entities, Net (gain) loss from discontinued operations, Impairment of related party receivable, and Loss on put option.We believe that the presentation of Core EBITDA provides a measurement of our operations that is meaningful to investors because it excludes the effects of certain items that are otherwise included in EBITDAre but which we do not believe are indicative of our core business operations. We calculate Core EBITDA margin as Core EBITDA divided by revenues. EBITDAre and Core EBITDA are not measurements of financial performance under U.S. GAAP, and our EBITDAre and Core EBITDA may not be comparable to similarly titled measures of other companies. You should not consider our EBITDAre and Core EBITDA as alternatives to net income or cash flows from operating activities determined in accordance with U.S. GAAP. Our calculations of EBITDAre and Core EBITDA have limitations as analytical tools, including: | ||
NOI is calculated as earnings before interest expense, taxes, depreciation and amortization, and excluding corporate Selling, general, and administrative expense; Acquisition, cyber incident, and other, net; Impairment of indefinite and long-lived assets; gain or loss on sale of real estate and all components of non-operating other income and expense. Management believes that this is a helpful metric to measure period to period operating performance of the business. | ||
![]() | ||||||||
| Financial Supplement | Second Quarter 2024 | |||||||
| We use the following non-GAAP financial measures as supplemental performance measures of our business: NAREIT FFO, Core FFO, Adjusted FFO, NAREIT EBITDAre, Core EBITDA, Core EBITDA margin, net debt to pro-forma Core EBITDA, contribution (‘NOI”) and margin, same store revenue and NOI, total real estate debt, total debt outstanding and maintenance capital expenditures. | ||
| Net debt to proforma Core EBITDA is calculated using total debt, plus deferred financing costs, less cash and cash equivalents, divided by pro-forma Core EBITDA. We calculate pro-forma Core EBITDA as Core EBITDA further adjusted for acquisitions, dispositions and for rent expense associated with lease buy-outs and lease exits. The pro-forma adjustment for acquisitions reflects the Core EBITDA for the period of time prior to acquisition. The pro-forma adjustment for leased facilities exited or purchased reflects the add-back for the related lease expense from the last year. The pro-forma adjustment for dispositions reduces Core EBITDA for the earnings of facilities disposed of or exited during the year, including the strategic exit of certain third-party managed business. | ||
We define our “same store” population once annually at the beginning of the current calendar year. Our population includes properties owned or leased for the entirety of two comparable periods with at least twelve consecutive months of normalized operations prior to January 1 of the current calendar year. We define “normalized operations” as properties that have been open for operation or lease, after development or significant modification (e.g., expansion or rehabilitation subsequent to a natural disaster). Acquired properties are included in the “same store” population if owned by us as of the first business day of the prior calendar year (e.g. January 1, 2023) and are still owned by us as of the end of the current reporting period, unless the property is under development. The “same store” pool is also adjusted to remove properties that were sold or entered development subsequent to the beginning of the current calendar year. Beginning January of 2024, changes in ownership structure (e.g., purchase of a previously leased warehouse) no longer results in a facility being excluded from the same store population, as management believes that actively managing its real estate is normal course of operations. Additionally, management began to classify new developments (both conventional and automated facilities) as a component of the same store pool once the facility is considered fully operational and both inbounding and outbounding product for at least twelve consecutive months prior to January 1 of the current calendar year. | ||
| We calculate “same store revenue” as revenues for the same store population. We calculate “same store contribution (NOI)” as revenues for the same store population less its cost of operations (excluding any depreciation and amortization, impairment charges, corporate-level selling, general and administrative expenses, corporate-level acquisition, cyber incident and other, net and gain or loss on sale of real estate). In order to derive an appropriate measure of period-to-period operating performance, we also calculate our same store contribution (NOI) on a constant currency basis to remove the effects of foreign currency exchange rate movements by using the comparable prior period exchange rate to translate from local currency into U.S. dollars for both periods. We evaluate the performance of the warehouses we own or lease using a “same store” analysis, and we believe that same store contribution (NOI) is helpful to investors as a supplemental performance measure because it includes the operating performance from the population of properties that is consistent from period to period and also on a constant currency basis, thereby eliminating the effects of changes in the composition of our warehouse portfolio and currency fluctuations on performance measures. Same store contribution (NOI) is not a measurement of financial performance under U.S. GAAP. In addition, other companies providing temperature-controlled warehouse storage and handling and other warehouse services may not define same store or calculate same store contribution (NOI) in a manner consistent with our definition or calculation. Same store contribution (NOI) should be considered as a supplement, but not as an alternative, to our results calculated in accordance with U.S. GAAP. | ||
| We define “maintenance capital expenditures” as capital expenditures made to extend the life of, and provide future economic benefit from, our existing temperature-controlled warehouse network and its existing supporting personal property and information technology. Maintenance capital expenditures include capital expenditures made to extend the life of, and provide future economic benefit from, our existing temperature-controlled warehouse network and its existing supporting personal property and information technology. Maintenance capital expenditures do not include acquisition costs contemplated when underwriting the purchase of a building or costs which are incurred to bring a building up to Americold’s operating standards. | ||
| We define “total real estate debt” as the aggregate of the following: mortgage notes, senior unsecured notes, term loans and borrowings under our revolving line of credit. We define “total debt outstanding” as the aggregate of the following: total real estate debt, sale-leaseback financing obligations and financing lease obligations. | ||
| All quarterly amounts and non-GAAP disclosures within this filing shall be deemed unaudited. | ||