UNITED STATES

SECURITIES AND EXCHANGE COMMISSION

Washington, D.C. 20549

 

SCHEDULE 13D

Under the Securities Exchange Act of 1934

(Amendment No. 9)*

 

PYXIS TANKERS INC.

(Name of Issuer)

 

 

 

COMMON STOCK, $0.001 PAR VALUE

(Title of Class of Securities)

 

 

 

Y71726130

(CUSIP Number)

 

 

 

c/o Pyxis Maritime Corp.

K. Karamanli 59

Maroussi 15125, Greece

+30-210-638-0200

Attn: President

 

with a copy to:

Keith J. Billotti, Esq.
Seward & Kissel LLP
One Battery Park Plaza
New York, New York 10004
+1 (212) 574-1200

 

(Name, Address and Telephone Number of Person Authorized

to Receive Notices and Communications)

 

August 7, 2024

(Date of Event which Requires Filing of this Statement)

 

If the filing person has previously filed a statement on Schedule 13G to report the acquisition that is the subject of this Schedule 13D, and is filing this schedule because of §§240.13d-l(e), 240.13d-l(f) or 240.13d-1(g), check the following box. [  ]

 

Note: Schedules filed in paper format shall include a signed original and five copies of the schedule, including all exhibits. See §240.13d-7 for other parties to whom copies are to be sent.

 

* The remainder of this cover page shall be filled out for a reporting person’s initial filing on this form with respect to the subject class of securities, and for any subsequent amendment containing information which would alter disclosures provided in a prior cover page.

 

The information required on the remainder of this cover page shall not be deemed to be “filed” for the purpose of Section 18 of the Securities Exchange Act of 1934 (“Act”) or otherwise subject to the liabilities of that section of the Act but shall be subject to all other provisions of the Act (however, see the Notes).

 

 

 

 

 

 

CUSIP NO. Y71726130

 

1

Name of Reporting Person; S.S. or I.R.S. Identification No. of Above Person (entities only)

 

Maritime Investors Corp.

 

2 Check the Appropriate Box if a Member of a Group (a) [  ]
    (b) [  ]
3

SEC Use Only

 

4

Source of Funds: WC

 

5

Check if Disclosure of Legal Proceedings is Required Pursuant to Items 2(d) or 2(e)

[  ]

6

Citizenship or Place of Organization: Republic of the Marshall Islands

 

NUMBER OF

SHARES

BENEFICIALLY

OWNED BY

REPORTING

PERSON WITH

7

Sole Voting Power:

0

 

8

Shared Voting Power:

6,047,958(1)

 

9

Sole Dispositive Power:

0

 

10

Shared Dispositive Power:

6,047,958(1)

 

11

Aggregate Amount Beneficially Owned by Reporting Person:

6,047,958(1)

 

12

Check if the Aggregate Amount in Row 11 Excludes Certain Shares (See Instructions)

[  ]

13

Percent of Class Represented by Amount In Row 11

56.1% *

 

14

Type of Reporting Person:

CO

 

 

(1) The Reporting Person owns 6,047,958 shares of common stock, par value $0.001 per share, of Pyxis Tankers Inc. (the “Shares”) consisting of: (i) 5,997,587 Shares owned by Maritime Investors Corp. (“MIC”), and (ii) 50,371 Shares, which is the number of Shares into which 11,283 Series A Convertible Preferred Shares, par value $0.001 per share (the “Series A Preferred Shares”), owned by MIC, are convertible into at the Reporting Person’s option.

 

* Based of 10,774,318, which consists of (i) 10,723,947 Shares issued and outstanding as of August 5, 2024 and (ii) 50,371 Shares, which is the number of Shares into which 11,283 Series A Preferred Shares owned by the Reporting Person as of August 5, 2024 are convertible into at the Reporting Person’s option, as computed in accordance with Rule 13d-3(d)(1).

 

 

 

 

CUSIP NO. Y71726130

 

1

Name of Reporting Person; S.S. or I.R.S. Identification No. of Above Person (entities only)

 

Valentios Valentis

 

2 Check the Appropriate Box if a Member of a Group

(a) [  ]

   

(b) [  ]

3

SEC Use Only

 

4

Source of Funds: Not applicable

 

5

Check if Disclosure of Legal Proceedings is Required Pursuant to Items 2(d) or 2(e)

[  ]

6

Citizenship or Place of Organization: Greece

 

NUMBER OF

SHARES

BENEFICIALLY

OWNED BY

REPORTING

PERSON WITH

7

Sole Voting Power:

 

 

8

Shared Voting Power:

6,047,958(2)

 

9

Sole Dispositive Power:

 

 

10

Shared Dispositive Power:

6,047,958(2)

 

11

Aggregate Amount Beneficially Owned by Reporting Person:

6,047,958(2)

 

12

Check if the Aggregate Amount in Row 11 Excludes Certain Shares (See Instructions)

[  ]

13

Percent of Class Represented by Amount In Row 11

56.1 %**

 

14

Type of Reporting Person:

IN

 

 

(2) The Reporting Person may be deemed to beneficially own 6,047,958 Shares consisting of: (i) 5,997,587 Shares owned by MIC, and (ii) 50,371 Shares, which is the number of Shares into which 11,283 Series A Preferred Shares, owned by MIC, are convertible into at the Reporting Person’s option.

 

** Based on 10,774,318, which consists of (i) 10,723,947 Shares issued and outstanding as of August 5, 2024 and (ii) 50,371 Shares, which is the number of Shares into which 11,283 Series A Preferred Shares owned by MIC as of August 5, 2024 are convertible into at the Reporting Person’s option, as computed in accordance with Rule 13d-3(d)(1).

 

 

 

 

This Amendment No. 9 (“Amendment No. 9”) amends and supplements the Schedule 13D filed with the Securities and Exchange Commission (the “SEC”) on November 10, 2015, amended by Amendment No. 1 filed with the Securities and Exchange Commission on June 13, 2017, Amendment No. 2 filed with the SEC on August 10, 2017, Amendment No. 3 filed with the SEC on January 2, 2018, Amendment No. 4 filed with the SEC on November 4, 2019, Amendment No. 5 filed with the SEC on March 1, 2021, Amendment No. 6 filed with the SEC on June 17, 2021, Amendment No. 7 filed with the SEC on December 27, 2021 and Amendment No. 8 filed with the SEC on March 7, 2024 (as amended, the “Schedule 13D”) by MIC and Mr. Valentios Valentis, the Chairman and Chief Executive Officer of the Issuer (collectively with MIC, the “Reporting Persons”). MIC is owned and controlled by Mr. Valentis and his family members. The Reporting Persons may constitute a “group” for reporting purposes of Rule 13d-5 under the Securities Exchange Act of 1934, as amended, with respect to their respective beneficial ownership of the Shares. Capitalized terms used herein and not defined herein have the meanings ascribed thereto in the Schedule 13D.

 

Information contained herein with respect to each Reporting Person is given solely by such Reporting Person, and no other Reporting Person has responsibility for the accuracy or completeness of information supplied by such other Reporting Person.

 

Item 1. Security and Issuer

 

This Amendment No. 9 relates to shares of common stock, $0.001 par value per share, of Pyxis Tankers Inc., a Marshall Islands corporation (the “Issuer”). The Issuer’s principal executive offices are located at c/o Pyxis Maritime Corp., K. Karamanli 59, Maroussi 15125, Greece.

 

Item 2. Identity and Background.

 

There are no material changes to the Schedule 13D.

 

Item 3. Source and Amount of Funds or Other Consideration

 

The information set forth in Item 3 of the Schedule 13D is hereby amended and supplemented by adding the following information thereto:

 

On June 20, 2024, the Issuer redeemed 100,000 Series A Preferred Shares, which included 3,717 Series A Preferred Shares owned by MIC, resulting in MIC owning 11,283 Series A Preferred Shares as of the redemption date.

 

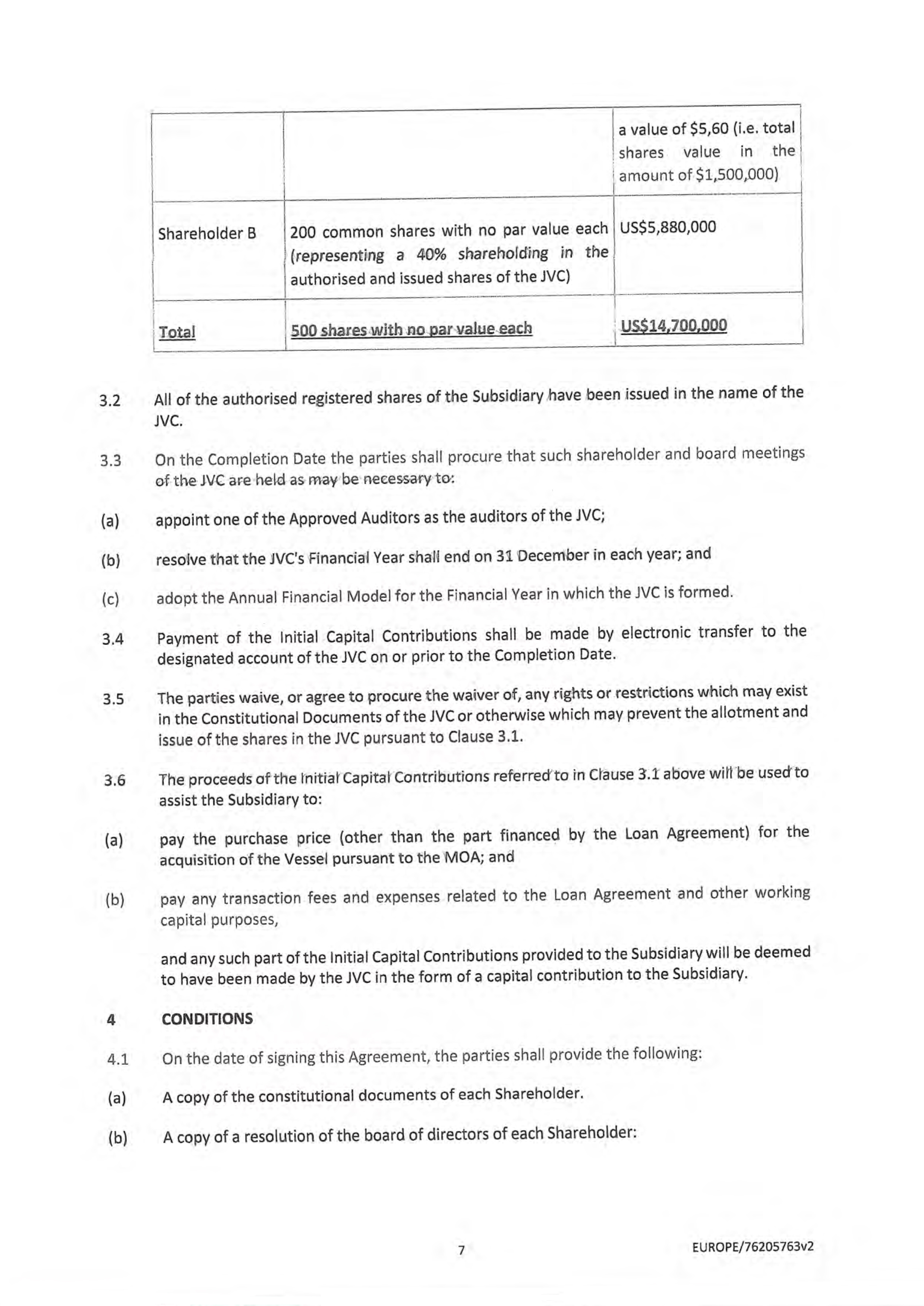
In May 2024, the Issuer entered into an agreement with an entity related to Mr. Valentis, to acquire, through a joint venture, a dry-bulk vessel. The purchase price of the vessel was $30.0 million, which, in conjunction with working capital and transaction fees and expenses, was funded by $16.5 million of bank debt, $12.0 million total cash, of which the Company contributed $7.3 million in cash, and the issuance of 267,857 restricted Shares to the related third party seller. The joint venture acquisition closed on June 28, 2024 and the 267,857 restricted Shares were issued to MIC effective August 5, 2024. The Shares are subject to a one year lock-up from the date of the closing of such acquisition.

 

Item 4. Purpose of Transaction

 

The information set forth in Item 4 of the Schedule 13D is hereby amended and supplemented by adding the following information thereto:

 

The information set forth in Item 3 of this Amendment No. 9 is hereby incorporated by reference.

 

Item 5. Interest in Securities of the Issuer

 

The information set forth in Item 5 of the Schedule 13D is hereby amended and restated in its entirety to read as follows:

 

This Amendment No. 9 is being filed by the Reporting Persons to update the percentage of Shares of the Issuer beneficially owned by the Reporting Persons, including to reflect the repurchase of Shares by the Issuer pursuant to its share repurchase program. This Amendment No. 9 also updates the number of Shares beneficially owned by the Reporting Persons as a result of the Company’s partial redemption of 100,000 shares Series A Preferred Shares, which reduced the Reporting Persons’ ownership to 11,283 PXSAP shares that are convertible into 50,371 Shares at the Reporting Persons’ option in accordance with the terms, conditions and limitations of the Certificate of Designations, which defines the rights, terms and preferences of the Series A Preferred Shares. In addition, on June 28, 2024, the Issuer closed on the acquisition of 2015 dry bulk vessel, the Konkar Venture, which was partially owned by entities controlled by Mr. Valentis, As part of the purchase consideration for the vessel, the Company issued 267,857 common shares which are restricted for a period of 12 months from closing of such acquisition.

 

(a. and b.) According to information received from the Issuer, as of the date of this report, there were 10,723,947 Shares issued and outstanding. Also, as of the date hereof, the Issuer had outstanding 303,631 Series A Preferred Shares which are convertible, at any time by the holder, at a conversion price of $5.60 per Share or 4.46 Shares for each Series A Preferred Share, plus accrued dividends. In April, 2022, MIC purchased 15,000 Series A Preferred Shares in the open market, which are convertible into 66,964 additional Shares. On June 20, 2024, the Company redeemed 3,717 of the Series A Preferred Shares owned by MIC as part of the Company’s announced 100,000 Series A Preferred Share redemption. Mr. Valentis has sole power to convert or dispose any and all of the 11,283 Series A Preferred Shares.

 

Based on the foregoing, the Reporting Persons report beneficial ownership of the following Shares:

 

As of the date hereof, MIC owns 6,047,958 Shares (including the Shares issuable upon conversion of the Series A Preferred Shares), which represents an aggregate of approximately 56.1% of the issued and outstanding Shares. MIC has the sole power to vote or direct the vote of 0 Shares and the shared power to vote or direct the vote of 6,047,958 Shares (including the Shares issuable upon conversion of the Series A Preferred Shares). MIC has the sole power to dispose or direct the disposition of 0 Shares and the shared power to dispose or direct the disposition of 6,047,958 Shares (including the Shares issuable upon conversion of the Series A Preferred Shares).

 

 

 

 

As of the date hereof, Mr. Valentios Valentis and his family members own all of the outstanding interests in MIC and may be deemed to beneficially own the 6,047,958 Shares (including the Shares issuable upon conversion of the Series A Preferred Shares) owned by MIC, which represents an aggregate of approximately 56.1% of the issued and outstanding Shares. Mr. Valentis has the sole power to vote or direct the vote of 0 Shares and the shared power to vote or direct the vote of 6,047,958 Shares (including the Shares issuable upon conversion of the Series A Preferred Shares). Mr. Valentis has the sole power to dispose or direct the disposition of 0 Shares and the shared power to dispose or direct the disposition of 6,047,958 Shares (including the Shares issuable upon conversion of the Series A Preferred Shares).

 

(c) Except as otherwise described in this Amendment No. 9, there have been no transactions by the Reporting Persons in the Shares during the past 60 days.

 

(d) No other person is known to have the right to receive or the power to direct the receipt of dividends from, or the proceeds from the sale of, any of the Shares beneficially owned by the Reporting Persons.

 

(e) Not applicable

 

Item 6. Contracts, Arrangements, Understandings or Relationships with Respect to Securities of the Issuer

 

The information set forth in Item 6 of the Schedule 13D is hereby amended and supplemented by adding the following information thereto:

 

The information set forth in Item 3 and Item 4 of this Amendment No. 9 is hereby incorporated by reference. 

 

Item 7. Material to Be Filed as Exhibits

 

Exhibit A: Joint Venture Agreement.

 

 

 

 

SCHEDULE 13D SIGNATURE PAGE

 

After reasonable inquiry and to the best of my knowledge and belief, the undersigned certify that the information set forth in this statement is true, complete and correct.

 

  MARITIME INVESTORS CORP.
     
  By: /s/ Valentios Valentis
  Name: Valentios Valentis
  Title: Director
     
  /s/ Valentios Valentis
  Valentios Valentis
   
Dated: August 7, 2024  

 

 

 

Exhibit A