FORM 6-K


U.S. SECURITIES AND EXCHANGE COMMISSION
Washington, D.C. 20549


Report of Foreign Private Issuer
Pursuant to Rule 13a-16 or 15d-16 of
the Securities Exchange Act of 1934
For the month of July 2024

 Commission File Number: 001-38757
TAKEDA PHARMACEUTICAL COMPANY LIMITED
(Translation of registrant’s name into English)

1-1, Nihonbashi-Honcho 2-Chome
Chuo-ku, Tokyo 103-8668
Japan
(Address of principal executive offices)


Indicate by check mark whether the registrant files or will file annual reports under cover Form 20-F or Form 40-F.
Form 20-F  ☒            Form 40-F  ☐
Indicate by check mark if the registrant is submitting the Form 6-K in paper as permitted by Regulation S-T Rule 101(b)(1):  ☐
Indicate by check mark if the registrant is submitting the Form 6-K in paper as permitted by Regulation S-T Rule 101(b)(7):  ☐



Information furnished on this form:
EXHIBIT
Exhibit
Number
99.1




SIGNATURES
Pursuant to the requirements of the Securities Exchange Act of 1934, the registrant has duly caused this report to be signed on its behalf by the undersigned, thereunto duly authorized.
TAKEDA PHARMACEUTICAL COMPANY LIMITED
Date: July 10, 2024By:/s/ Norimasa Takeda
Norimasa Takeda
Chief Accounting Officer and Corporate Controller


a2024-cg_report
This document is an English translation of the original Japanese version, prepared solely for the convenience of reference. In case of any discrepancy between the translation and the Japanese original, the latter shall prevail. Corporate Governance Report July 10, 2024 Takeda Pharmaceutical Company Limited https://www.takeda.com I. Basic Views on Corporate Governance and Basic Information on Capital Structure, Corporate Profile and Other Matters 1. Basic Views Update In line with the Company’s purpose “Better Health for People, Brighter Future for the World,” the Company continues to strive for a business management structure appropriate for a global, values-based, R&D-driven, digital biopharmaceutical company. The Company is strengthening its internal controls, ensuring rigorous compliance and risk management, and establishing a structure that enables agile, sound, and transparent decision-making. These measures will further improve the Company’s corporate governance and maximize its overall corporate value. [Reasons for Non-compliance with the Principles of the Corporate Governance Code] The Company is in compliance with all of the principles of the Corporate Governance Code. [Disclosure Based on the Principles of the Corporate Governance Code] Update This report covers every principle that should be disclosed under the Corporate Governance Code and addresses each principle according to its item number. (1) Company objectives, business strategies, and business plans a. Company objectives and business strategies - Principle 3.1 (i) Information on the Company’s corporate philosophy consisting of “purpose, values, vision and imperatives” can be found in the Corporate Philosophy section of the Company’s website. For details on the Company’s business strategies, please refer to the quarterly results and other materials available in the Investors section of the Company’s website.  Corporate Philosophy: https://www.takeda.com/about/our-company/corporate-philosophy/  Investors: https://www.takeda.com/investors/financial-results/quarterly-results/ b. Business plans - Principle 3.1 (i) Please refer to the quarterly results and other materials in the Investor Relations section of the Company’s website (link above) for the latest information on the fiscal year 2024 Management Guidance (Core Revenue change, Core Operating Profit change, and Core EPS change). c. Basic views and guidelines on corporate governance - Principle 3.1 (ii) Please refer to “Basic Views” in Part I section 1 of this report. (2) Securing the Rights and Equal Treatment of Shareholders d. General shareholders meeting • The Company sends a notice of convocation for its Ordinary General Meeting of Shareholders three weeks prior to the day of the meeting. In advance of the date of dispatch, this notice is made available on both its corporate website and the Tokyo Stock Exchange (TSE) website, ensuring that shareholders have sufficient time to review the agenda of the General Meeting of Shareholders. • The Company provides an English translation of the notice of convocation on its website. Additionally, the Company utilizes an electronic platform for voting so that institutional and foreign investors can exercise their voting rights. e. Cross-Shareholdings - Principle 1.4 • The Company only holds shares of other companies with which it has business relationships and seeks to minimize the number of shares. In relation to such shareholdings, the Company determines and assesses whether or not each shareholding contributes to the corporate value of the Company Group. This assessment involves considering the Company’s mid-to-long term business strategy, and comparing the benefits of such ownership (dividends, business transactions, expected returns from strategic alliance, etc.) with the Company's cost of capital. As a result of the review, the Company divests shares from shareholdings that are deemed to be of little significance, taking into consideration its financial strategy and the market environment. • The Company decides whether to exercise its voting rights on cross-shareholdings after conducting a comprehensive review. This assessment considers whether a relevant proposal makes a positive contribution to shareholder value as well as the value of the issuing companies. The Company will object to any proposals that are deemed detrimental to shareholder value


 
Translation for reference purpose only 2 or the corporate governance of the issuing companies. f. Related Party Transactions - Principle 1.7 • With regard to transactions with directors and their close relatives, the Company conducts various investigations on the existence of such transactions, including confirming directly with the directors themselves. • The Company has procedures in place that comply with the provisions of the Companies Act on competitive and conflict-of- interest transactions conducted by a director. In addition, transactions involving the Company and a director’s close family members or the Takeda Executive Team (TET) member (which consists of the President & Chief Executive Officer (CEO) and the function heads of the Takeda Group who report directly to the President & CEO), and their close family members require the approval of the Board of Directors (BOD). • Investments, loans and guaranties provided to subsidiaries/affiliated companies require the approval of the Business & Sustainability Committee (BSC) or other decision-making bodies depending on the amount of the investment, loan, or guarantee. • In addition to the above, the Company will investigate any unusual transaction between the Company and its affiliated companies. It will consider the accounting treatment and disclosure in advance, confirm the significance of the transaction value, and where the amounts are significant, monitor the content and conditions on a quarterly basis. • As stipulated in the Financial Instruments and Exchange Act, the Company considers any shareholder holding 10% or more of the voting rights of all shareholders (excluding those specified by the Cabinet Office Ordinance) as a “major shareholder.” The Company currently has no major shareholders but will apply the above procedures to any major shareholders in the future. (3) Appropriate Cooperation with Stakeholders other than Shareholders • The Company considers the interests of not only shareholders, but also various stakeholders including patients, healthcare professionals, employees, clients such as suppliers and vendors, creditors and local communities in order to strengthen long-term corporate value. g. Ensuring diversity in the promotion of core human resources - Supplementary Principle 2.4.1 • The Company operates in approximately 80 countries and regions worldwide and recognizes the importance of having a diverse workforce that reflects the communities and patients it serves. To achieve this, the Company has made promoting Diversity, Equity, and Inclusion (DE&I) as a pillar of its HR strategy. The goal is to create a collaborative working environment where employees can contribute, perform, and develop as individuals. Moreover, the Company remains committed to embracing the unique differences of each employee, unlocking their potential, and nurturing their growth. The same principles apply to managers as core human resources. In Japan, the ratio of female managers, non-Japanese managers, and mid-career managers (excluding employment through merger and acquisition, re-employment, and promotion to permanent positions and dispatch from domestic affiliated companies) is 20%, 4%, and 42%, respectively (as of March 31, 2024). The Company will continue its efforts to promote diversity among employees in Japan, including those in management positions. The Company discloses other DE&I information in the following section of the Company’s website (Japanese site only).  Takeda’s DE&I: https://www.takeda.com/ja-jp/recruitment/dei/ • Approximately 90% of Takeda group’s global workforce is based in countries and regions outside of Japan. In addition, the percentage of women in management positions globally is 43% (as of March 31, 2024). For further information on DE&I, policies related to talent development, and internal work environment to support the progress on DE&I, please refer to the “Other” section in Part III section 3 of this report and the 2024 Annual Integrated Report.  2024 Annual Integrated Report: https://www.takeda.com/investors/annual-integrated-report/ (4) Ensuring Appropriate Information Disclosure and Transparency • The Company makes timely and appropriate disclosures in a fair, detailed, and understandable manner to keep all shareholders informed in accordance with applicable laws. This includes the Companies Act, the Financial Instruments and Exchange Act and the U.S. Securities Exchange Act, as well as the Financial Instruments Exchange rules in Japan and rules and regulations of the U.S. Securities and Exchange Commission (SEC) and New York Stock Exchange’s Listed Company Manual. • In addition to disclosures required by law, the Company promptly discloses on a voluntary basis, certain financial and non- financial information that it considers beneficial to its stakeholders such as shareholders, in a timely manner. • The Company’s timely disclosure system, including the operation of the Disclosure Committee, is described further in Part V section 2 of this report. In addition, to ensure the accuracy and consistency of its sustainability-related disclosures, the Company has established a Sustainability/ESG (Environment, Social and Governance) External Disclosure Committee. This committee reviews non-financial data and information regarding sustainability/ESG matters before they are disclosed externally.


 
Translation for reference purpose only 3 h. Initiatives on Sustainability - Supplementary Principle 3.1.3 ■ Initiatives on sustainability • At the Company, sustainability is about creating sustained growth through our enduring values. It’s about operationalizing our corporate philosophy to create value for stakeholders including shareholders. The Company engages a wide range of stakeholders to understand and address societal and environmental issues to create long-term value. The Board of Directors reviews the Company’s sustainability strategy and initiatives, and the Business & Sustainability Committee deliberates and approves on the Company’s sustainability programming. • The Company’s corporate philosophy articulates why we exist (our purpose), where we are going (our vision) and how we deliver on our vision (our values). The corporate philosophy imperatives – Patient, People and Planet – identify where Takeda must invest to deliver its purpose. In fiscal year 2022, the Company evolved these imperatives to create a simplified sustainability framework and sustainability focus areas, aligning actions with these imperatives and focus areas to create long-term value. The Company also measures its progress through Takeda’s corporate philosophy metrics, disclosing results annually. For more details, please refer to the corporate philosophy metrics section on page 11 of the 2024 Annual Integrated Report. • The Company remains committed to transparently disclosing the impacts of climate change on its business. As a supporter of the Financial Stability Board’s Task Force on Climate-Related Financial Disclosures (TCFD), the Company published the “Takeda TCFD Report 2022.” This report includes the Company’s initial assessment of risks and opportunities associated with climate change. The latest information is disclosed in the 2024 Annual Integrated Report. Furthermore, through the information disclosure system of the CDP (formerly known as the Carbon Disclosure Project), the Company discloses its strategies, initiatives, and impacts related to climate change annually.  2024 Annual Integrated Report: https://www.takeda.com/investors/annual-integrated-report/  2022 TCFD report: https://www.takeda.com/siteassets/system/corporate-responsibility/reporting-on-sustainability/tcfd.pdf ■ Investment in human capital • The Company strives to create an exceptional people experience by creating a culture that fosters well-being, an inclusive workplace and lifelong learning. This approach is aligned with the “People” pillar of its Corporate Philosophy. For details, please refer to its 2024 Annual Integrated Report described above.  Investment in intellectual property • The Intellectual Property Department supports the Company’s overall intellectual property strategy by focusing efforts on the following three key priorities. o Maximizing the value of products and research pipeline, while protecting related rights aligned to the strategies of the therapeutic area units o Promoting proactive incorporation of external innovation by supporting partner alliances o Securing and protecting intellectual property rights around the world, including in emerging markets • The Company has internal processes in place to manage patents and other intellectual properties. These processes include both remaining vigilant against patent infringement by others as well as exercising caution, starting at the R&D stage, to ensure that the Company’s products and activities do not infringe on intellectual property rights held by others. • Please refer to the Annual Securities Report and Annual Report on Form 20-F for details on the investments in intellectual property, including the status of the pipeline, the establishment of research platforms for the future, strengthening of collaboration in R&D, and information on partners in major licensing and business alliance agreements.  The Annual Securities Report for the 147th fiscal year: https://assets-dam.takeda.com/image/upload/Global/Investor/ASR/Y2023/E_FY23_ASR.pdf  Annual Report on Form 20-F: https://www.takeda.com/investors/sec-filings-and-security-reports/ (5) Responsibilities of the Board of Directors i. Roles of the Board of Directors - Supplementary Principle 4.1.1 • The BOD’s primary responsibility is to observe and oversee business execution as well as make decisions on strategic or particularly important matters regarding company management. The BOD delegates the responsibilities for decision-making with respect to some of the important business decisions to management under the Company's Articles of Incorporation. Matters for resolution by the BOD is stipulated in the Board of Directors Charter. In addition to the deliberation and resolution of matters, the BOD is responsible for the supervision of the business executed by the Directors. The Company has disclosed the “Board of Directors Charter” in the Corporate Governance section of the Company’s website.  Charters and Reports: https://www.takeda.com/about/corporate-governance/charters-and-reports/ • Matters delegated to management as described above, are delegated to the Business & Sustainability Committee (which is responsible for corporate / business development matters and sustainability-related matters), the Portfolio Review Committee (which is responsible for R&D and product-related matters), and the Risk, Ethics and Compliance Committee (which is responsible for risk management, business ethics and compliance matters). The BOD supervises management's


 
Translation for reference purpose only 4 execution of these matters through the reports of these committees. • Matters not requiring the approval of the aforementioned committees are delegated to the TET based on the Takeda Group’s Management Policy (T-MAP) to ensure agile and efficient decision-making across the group. j. Composition of the Board - Principle 4.8, Supplementary Principle 4.11.1 • In order to strengthen supervisory functions and make deliberations more objective and transparent, Independent External Directors comprise a majority of the Company’s BOD. The Company has 14 Directors (including four Directors who are Audit and Supervisory Committee (ASC) Members), of which 11, the majority, are Independent External Directors (including four Independent External Directors who are also ASC Members). The BOD meeting is chaired by an Independent External Director. • The Company makes appropriate Director appointments, and constitutes the BOD based on the following principles: o The Company is committed to appointing individuals with the knowledge, experience and capability required for the Company’s global management aligned with our business strategy. The Company appoints members from inside and outside the Company, ensuring a balance across nationality, gender, work history, age, race, ethnicity, and cultural background. The BOD is fully equipped with the skills necessary for advising and supervising the Company, which enables effective discussions in the BOD meetings. The Company discloses the skills matrix in the Governance Structure section of the Company’s website: https://www.takeda.com/about/corporate-governance/governance-structure/ o The size of the BOD is designed to enable efficient and agile decision-making and appropriate management supervision. The Company's Articles of Incorporation limit the maximum number of Directors who are not ASC Members to 12 and Directors who are ASC Members to four. k. Policies and procedures nomination of candidates for Directors - Principle 3.1 (iv)(v) • When nominating candidates for Directors, the Company takes into consideration various factors, such as whether the candidate has appropriate experience and expertise to complement or enhance the existing BOD’s capabilities. In addition, the Company considers whether the candidate has the gravitas, reputation and the level of performance required for leading a large pharmaceutical company, as well as a deep understanding of the Company’s corporate philosophy. • The Nomination Committee (a voluntary advisory committee to the BOD), chaired by an External Director and composed entirely of External Directors, ensures the appropriateness of the candidate, and the BOD selects the candidates who will become members of the BOD. Candidates for External Directors are elected based on the “Internal criteria for independence of External Directors” (Refer to “Independent Directors” in Part II section 1 of this report). Candidates for Directors who are ASC Members are nominated by the BOD, after obtaining the agreement of the ASC. • When giving consent to the selection of candidates for Directors who are ASC Members and in the involvement in the policy for selecting candidates for ASC Members, the ASC carefully examines their eligibility as an ASC Member. They take into consideration various factors such as the candidate’s ability to maintain independence from the managing directors, their capacity to maintain a fair and impartial attitude, and their proficiency in making appropriate management evaluations based on their finance and accounting knowledge. • When considering the reappointment of directors, the Company has established criteria for not reappointing candidates. If the criteria are met, the BOD will consult with and receive recommendations from the Nomination Committee, before determining not to reappoint the Director. In addition, the Company will consider dismissal of a Director in the event of misconduct or any other event that would make it difficult for the Director to fully perform the responsibilities of their duties. • The biographies of the nominated Director candidates and the reason for their nomination are disclosed in the Notice of Convocation of Ordinary General Meeting of Shareholders and the Annual Securities Report. l. Remuneration of the Directors, etc. – Principle 3.1 (iii) • Please refer to “Policies determining the amount of remuneration or the method for calculating remuneration” in Part II section 1 of this report. m. Independent External Directors – Principle 4.9, Supplementary Principle 4.11.2 • The Company has internal criteria for assessing External Director’s independence and ability to act in the common interest of shareholders. • Please refer to “Internal Criteria for Independence of External Directors of the Company” under the title of “Independent Directors” in Part II section 1 of this report. • The concurrent director positions of External Directors at other organizations are stated in the Notice of Convocation of Ordinary General Meeting of Shareholders and the Annual Securities Report. In addition, the Company believes the status of such concurrent positions does not prevent External Directors from allocating the time and effort needed to properly fulfil their roles and responsibilities. n. Nomination Committee and Compensation Committee - Supplementary Principle 4.10.1 • The Company has established the Nomination Committee and the Compensation Committee as voluntary advisory


 
Translation for reference purpose only 5 committees to the BOD. Both Committees are comprised entirely of External Directors, including the Committee chairpersons, to enhance their independence and objectivity. For more details, please refer to “Committee’s Name, Composition, and Attributes of the Chairperson” of Part II section 1 “[Directors]” of this report. The Company has disclosed the Nomination and Compensation Committee Charters in the Charters and Reports section of the Company’s website.  Charters and Reports: https://www.takeda.com/about/corporate-governance/charters-and-reports/ o. Director Training - Supplementary Principle 4.14.2 • When Directors are appointed, the Company provides them with necessary information about the Company, including its corporate philosophy (consisting of “purpose,” “vision,” “values” and “imperatives”), governance, business strategies, industry trends and legal responsibilities (duty of care, duty of loyalty, etc.). Even after the Directors assume their roles, the Company continues to offer valuable information and learning opportunities such as inviting external experts as lecturers to the meetings. • In addition to the above, the Company provides information about the Company and the pharmaceutical industry when External Directors (including Directors who are ASC Members) take office. Even after their appointment, the Company provides such information to them on an ongoing basis, as well as opportunities for study sessions and site visits, as necessary. • The Company bears the expenses for all the training mentioned above. p. Analysis and Evaluation of Board Effectiveness - Supplementary Principle 4.11.3 • An evaluation of the performance and effectiveness of the BOD is conducted once a year by third party organizations in such a way that the individual opinions of the Directors are efficiently obtained. Each Director completes a questionnaire and/or is individually interviewed. Based on the results of the evaluation, the BOD analyzes and evaluates their effectiveness and acts on any opportunities for improvement. • In fiscal year 2023, an evaluation of the performance and effectiveness of the BOD was conducted by third party organizations through individual interviews of all the Directors. The interview focused on “Strategic Alignment & Engagement,” “Composition & Structure,” “Processes & Practices,” “Management Oversight,” and “Board Culture and Dynamics” as key evaluation items, and Directors were also requested to make self-evaluations about the “Oversight by ASC and Nomination Committee.” After incorporating the analysis and recommendations made by the third-party organization, the overall evaluation result was explained by the third-party organization and discussed by all Directors. In fiscal year 2023, as part of an annual exercise, with support from a third-party organization (to develop the questionnaires), the Compensation Committee members conducted a self-evaluation on the “Effectiveness of the Compensation Committee” from four dimensions: (1) Composition and Leadership, (2) Meetings, (3) Overall Effectiveness, and (4) Responsibilities. The Compensation Committee reported to the BOD the results of the self-evaluation and actions for further improvement. Through this evaluation process, it was concluded that the BOD was working effectively, confirming that (i) no new material concerns were pointed out (ii) there is strong leadership in management and the BOD and, (iii) governance is working robustly, especially as the reporting from the advisory committees to the BOD was strengthened. In addition, the BOD confirmed certain improvements from the previous fiscal year concerning “content of Board discussions and practice of Board meeting” and “optimal Board composition.” The BOD also confirmed the effectiveness of the ASC, Nomination Committee and Compensation Committee and their contributions to the robust corporate governance of the Company. (6) Dialogue with Shareholders - Principle 5.1 • The Company is structured to continue a “purposeful dialogue” with its shareholders on topics including corporate governance, environmental and social initiatives, corporate and financial strategy, research and development, capital policy, business performance, business risk and intellectual property, each from a short-term and medium-to-long-term perspective. This dialogue is conducted with transparency, and in adherence to the Fair Disclosure Rules, to enable the Company to build strong relationships of trust with its shareholders, who share with the Company the common interest of realizing “sustainable growth of corporate value.” o The Chief Financial Officer (CFO) is responsible for overall engagement with shareholders, and the Global Head of Investor Relations (IR) in the Global Finance division is accountable for operational IR activities. When planning and conducting meetings with shareholders, the Global Head of IR determines the meeting style, discussion points and participants from management (which may include the President & CEO, the CFO, or other senior management members), taking into consideration the objectives and impact of the meeting, and the characteristics of each shareholder. o The IR team promotes dialogue with shareholders by collecting necessary information from various internal divisions such as finance, R&D, and commercial, and endeavors to find ways to communicate concisely and effectively with shareholders through close collaboration with these divisions. o The Company continues to enhance its activities to deepen shareholders' understanding of topics including the Company's management policy, managerial and financial strategies which includes sustainability matters, research and development, capital policy, financial performance, and risks. With respect to engagement with institutional investors and


 
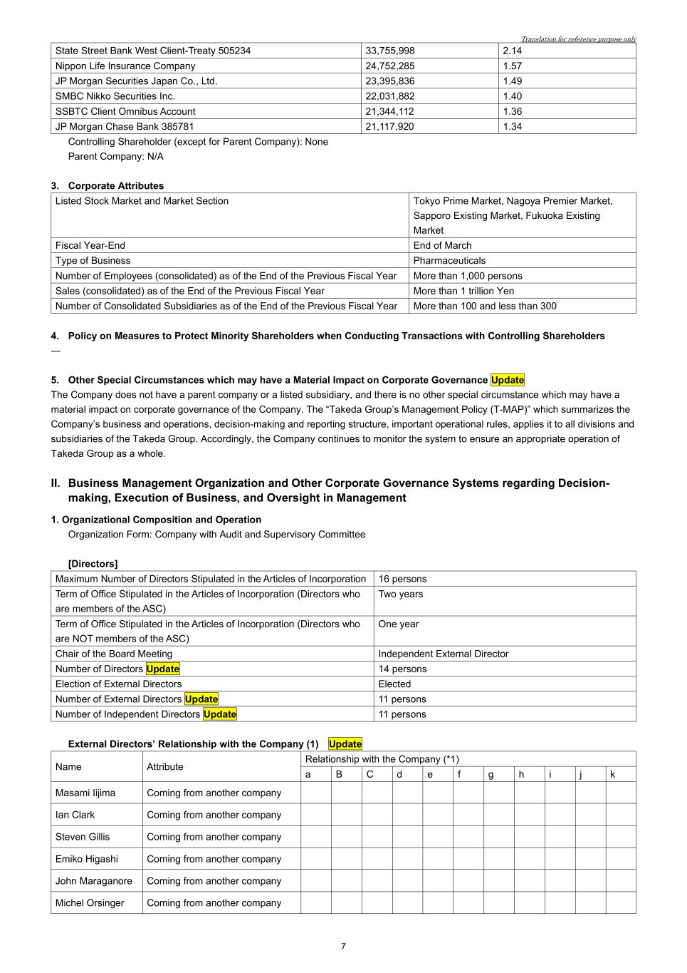
Translation for reference purpose only 6 security analysts, in addition to one-on-one meetings, the Company holds quarterly earnings conferences and hosts multiple IR events that focus on topics of high shareholder interest. Information about earnings announcements and IR events is disclosed externally through postings on the Investors section of the corporate website, and the Company also holds corporate presentations specifically for individual investors. A video recording of the presentation given by the President & CEO at the Annual Shareholders Meeting and a letter to shareholders are also posted on the website to report on the Company’s management policy and financial performance. o Senior management understand shareholders' interests and concerns, which are raised during dialogues with the Company, and utilize them for business analysis, business strategy planning, and for considering the optimal way of disclosing information. o The Company endeavors to reflect feedback obtained through dialogue with its shareholders in its disclosure materials. For example, the Company started disclosing individual product revenues and cash flow forecasts in financial statements from fiscal year 2019, and disclosing performance against KPIs and the individual compensation of Directors from fiscal year 2020. The Company also started holding group meetings on a regular basis with Independent External Directors as an opportunity for direct dialogue between institutional shareholders and the Company from fiscal year 2020. Furthermore, starting from fiscal year 2024, gross profit and selling, general and administrative expenses (SG&A) forecasts have been newly disclosed. Each of these measures has been newly implemented or disclosed in response to requests from shareholders, institutional investors and analysts. o When communicating with shareholders, the Company appropriately manages insider information in compliance with internal rules and applicable regulatory requirements and discloses that information in a fair and timely manner. In advance of earnings announcements, the Company implements a "silent period," during which no communication with shareholders regarding earnings information is permitted. o In response to the Tokyo Stock Exchange's request for "Action to Implement Management that is Conscious of Cost of Capital and Stock Price", the Company has posted its views on cost of capital and market valuation on the IR information page of its website. The Company is included on the list of disclosing companies published by the Tokyo Stock Exchange. Please refer to “Actions to implement management that is conscious of cost of capital and stock price” in Part I Disclosure Based on the Principles of the Corporate Governance Code section of this report. o Please refer to “IR Activities” in Part III section 2 of this report for the disclosure status of dialogue with shareholders including detailed IR activities (7) Company's measures with respect to the Corporate Pension Funds as the Managing Organization - Principle 2.6 • The Takeda Pharmaceutical Pension Association is administered by designated or selected expert staff mainly from the areas of HR and finance, who are knowledgeable about corporate pension and pension fund management. Taking into consideration the importance of securing long-term pension payment for employees, the Association incorporates expert knowledge and consulting from external specialists in its pension fund management policy. In addition, the actual management of the pension fund investment is outsourced to an external consigned institution so that conflicts of interest which could arise between pension fund beneficiaries and companies are appropriately managed. The Company shall not be involved in directing pension fund investments or exercising voting rights. The investment is monitored regularly by the Asset Management Committee, changing the portfolio strategy as necessary. The committee takes into consideration the maximizing of benefits to the participants and beneficiaries of the Company’s corporate pension program, paying close attention to the potential impact to the Company’s financial conditions at the same time. • The Company will continue to pay close attention to the importance that pension fund management plays in potentially impacting employees’ stable asset formation and the Company’s financial conditions. The Company continues to strengthen its systems to fulfil its responsibilities as the asset owner. (8) [Actions to implement management that is conscious of cost of capital and stock price] - Principle 5.2 • Please refer to “Views on Cost of Capital and Market Valuation” in the “Stock Information & Shareholder Returns” section of the Company’s website.  Views on Cost of Capital and Market Valuation: https://www.takeda.com/investors/stock-information/ 2. Capital Structure Foreign Shareholding Ratio: 30% or more (as of end of March 2024) [Status of Major Shareholders] Update Name Number of Shares Owned Percentage (%) The Master Trust Bank of Japan, Ltd. (Trust account) 261,696,300 16.62 Custody Bank of Japan, Ltd. (Trust account) 86,762,700 5.51 The Bank of New York Mellon as depositary bank for depositary receipt holders 60,084,839 3.82 JP Morgan Chase Bank 385632 37,231,699 2.36


 
Translation for reference purpose only 7 State Street Bank West Client-Treaty 505234 33,755,998 2.14 Nippon Life Insurance Company 24,752,285 1.57 JP Morgan Securities Japan Co., Ltd. 23,395,836 1.49 SMBC Nikko Securities Inc. 22,031,882 1.40 SSBTC Client Omnibus Account 21,344,112 1.36 JP Morgan Chase Bank 385781 21,117,920 1.34 Controlling Shareholder (except for Parent Company): None Parent Company: N/A 3. Corporate Attributes Listed Stock Market and Market Section Tokyo Prime Market, Nagoya Premier Market, Sapporo Existing Market, Fukuoka Existing Market Fiscal Year-End End of March Type of Business Pharmaceuticals Number of Employees (consolidated) as of the End of the Previous Fiscal Year More than 1,000 persons Sales (consolidated) as of the End of the Previous Fiscal Year More than 1 trillion Yen Number of Consolidated Subsidiaries as of the End of the Previous Fiscal Year More than 100 and less than 300 4. Policy on Measures to Protect Minority Shareholders when Conducting Transactions with Controlling Shareholders ― 5. Other Special Circumstances which may have a Material Impact on Corporate Governance Update The Company does not have a parent company or a listed subsidiary, and there is no other special circumstance which may have a material impact on corporate governance of the Company. The “Takeda Group’s Management Policy (T-MAP)” which summarizes the Company’s business and operations, decision-making and reporting structure, important operational rules, applies it to all divisions and subsidiaries of the Takeda Group. Accordingly, the Company continues to monitor the system to ensure an appropriate operation of Takeda Group as a whole. II. Business Management Organization and Other Corporate Governance Systems regarding Decision- making, Execution of Business, and Oversight in Management 1. Organizational Composition and Operation Organization Form: Company with Audit and Supervisory Committee [Directors] Maximum Number of Directors Stipulated in the Articles of Incorporation 16 persons Term of Office Stipulated in the Articles of Incorporation (Directors who are members of the ASC) Two years Term of Office Stipulated in the Articles of Incorporation (Directors who are NOT members of the ASC) One year Chair of the Board Meeting Independent External Director Number of Directors Update 14 persons Election of External Directors Elected Number of External Directors Update 11 persons Number of Independent Directors Update 11 persons External Directors’ Relationship with the Company (1) Update Name Attribute Relationship with the Company (*1) a B C d e f g h i j k Masami Iijima Coming from another company Ian Clark Coming from another company Steven Gillis Coming from another company Emiko Higashi Coming from another company John Maraganore Coming from another company Michel Orsinger Coming from another company


 
Translation for reference purpose only 8 Miki Tsusaka Coming from another company Koji Hatsukawa Certified public accountant Jean-Luc Butel Coming from another company Yoshiaki Fujimori Coming from another company Kimberly A. Reed Coming from another company *1 Categories for “Relationship with the Company”: a. Executive of the Company or its subsidiaries b. Non-executive Director or executive of a parent company of the Company c. Executive of a fellow subsidiary company of the Company d. A party whose major client or supplier is the Company or an executive thereof e. Major client or supplier of a listed company or an executive thereof f. Consultant, accountant or legal professional who receives a large amount of monetary consideration or other property from the Company besides compensation as a Director/Auditor g. Major shareholder of the Company (or an executive of the said major shareholder if the shareholder is a legal entity) h. Executive of a client or supplier company of the Company (which does not correspond to any of d, e, or f) (the Director himself/herself only) i. Executive of a company, for which the Company External Directors/Corporate Auditors are mutually appointed (the Director himself/herself only) j. Executive of a company or organization that receives a donation from the Company (the Director himself/herself only) k. Others External Directors’ Relationship with the Company (2) Update Name Designation as Independent Director Supplementary Explanation of the Relationship Reasons for Appointment (If designated as Independent Director, reasons for designation) Masami Iijima  N/A Mr. Masami Iijima served as Representative Director, President, and CEO of Mitsui & Co., Ltd, where he oversaw global management of the company. He then focused on supervising management and enhancing the effectiveness of the BOD as the Representative Director, Chairman of the BOD, and Chair of the Board meeting of the company. Through his career, he has gained extensive experience in various fields including corporate governance and risk management. Since June 2021, he has been involved in the management of the Company as an External Director who is an ASC Member, and since June 2022, as an External Director who is not an ASC Member. He has also served as the chair of the BOD meeting since June 2022, facilitating the BOD meetings as well as leading the discussions in the External Director meetings. As an External Director, he has actively participated in the BOD meetings and contributed to ensuring fair and appropriate decision-making and sound management of business activities of the Company. He attended eight of the eight BOD meetings held in fiscal year 2023. His ownership of the Company’s shares is immaterial (as of June 2024), and there are no personnel, capital, business or other special relationships between him and the Company. The Company deemed that he is highly independent and designated him as an Independent Director of the Company because he has no conflict risk with the interests of the Company’s general shareholders in executing his duties as an External Director. Ian Clark  N/A Mr. Ian Clark served as an External Director of Shire, and based on such experience, has a deep expertise in the company’s portfolio and its related therapeutic areas. He has also served in several key positions at global healthcare companies in Europe and Canada. He has gained deep insights through such extensive experience in the management of global healthcare business. He especially has


 
Translation for reference purpose only 9 remarkable expertise in oncology marketing and managing the biotechnology division of healthcare companies. Since January 2019, he has been involved in the management of the Company as an External Director. He has actively participated in the BOD meetings and contributed to ensuring fair and appropriate decision-making and sound management of business activities of the Company. He attended seven of the eight BOD meetings held in fiscal year 2023. There are no personnel, capital, business or other special relationships between him and the Company. The Company deemed that he is highly independent and designated him as an Independent Director of the Company because he has no conflict risk with the interests of the Company’s general shareholders in executing his duties as an External Director. Steven Gillis  N/A Dr. Steven Gillis served as an External Director of Shire, and based on such experience, has deep expertise in the company’s portfolio and its related therapeutic areas. He has a Ph.D. in biology and has served in several key positions at global healthcare companies in the U.S. and Europe. He also has extensive experience in global healthcare business management and especially has significant expertise in immune-related healthcare business. Since 2019, he has been involved in the management of the Company as an External Director. He has actively participated in the BOD meetings and contributed to ensuring fair and appropriate decision-making and sound management of business activities of the Company. He attended eight of the eight BOD meetings held in fiscal year 2023. There are no personnel, capital, business or other special relationships between him and the Company. The Company deemed that he is highly independent and designated him as an Independent Director of the Company because he has no conflict risk with the interests of the Company’s general shareholders in executing his duties as an External Director. Emiko Higashi  N/A Ms. Emiko Higashi has experience in various key positions, including experience as CEO of investment funds mainly in the U.S., as well as experience in investment funds specializing in healthcare and technology. She has advanced knowledge and extensive experience in the area of finance and accounting and financial industry, healthcare industry and data and technology. She has been involved in the management of the Company as an External Director who is not an ASC Member since June 2016, as an External Director who is an ASC Member since June 2019 and as an External Director who is not an ASC Member since June 2024.She has actively participated in the BOD meetings and contributed to ensuring fair and appropriate decision-making and sound management of business activities of the Company. She attended eight of the eight BOD meetings held in fiscal year 2023. Her ownership of the Company’s shares is immaterial (as of June 2024), and there are no personnel, capital, business or other special relationships between her and the Company. The Company deemed that she is highly independent and designated her as an Independent Director of the Company because she has no conflict risk with the interests of the Company’s general shareholders in executing her duties as an External Director. John Maraganore  N/A Dr. John Maraganore has a wide experience in the pharmaceutical industry for more than 30 years. He served as the Director and CEO of Alnylam Pharmaceuticals for around 20 years and retired at the end of 2021. Prior to that, he served as an officer and a member of the management team at Millennium Pharmaceuticals.


 
Translation for reference purpose only 10 Since June 2022, he has been involved in the management of the Company as an External Director. He has actively participated in the BOD meetings and contributed to ensuring fair and appropriate decision-making and sound management of business activities of the Company. He attended eight of the eight BOD meetings held in fiscal year 2023. There are no personnel, capital, business or other special relationships between him and the Company. The Company deemed that he is highly independent and designated him as an Independent Director of the Company because he has no conflict risk with the interests of the Company’s general shareholders in executing his duties as an External Director. Michel Orsinger  N/A Mr. Michel Orsinger has served in several key positions at global healthcare companies in the U.S. and Europe. He has gained deep insights from extensive experience in global healthcare business management. He has been involved in the management of the Company as an External Director who is not an ASC Member since June 2016, as an External Director who is an ASC Member since June 2019 and as an External Director who is not an ASC Member since June 2022. He has actively participated in the BOD meetings and contributed to ensuring fair and appropriate decision-making and sound management of business activities of the Company. He attended eight of the eight BOD meetings held in fiscal year 2023. There are no personnel, capital, business or other special relationships between him and the Company. The Company deemed that he is highly independent and designated him as an Independent Director of the Company because he has no conflict risk with the interests of the Company’s general shareholders in executing his duties as an External Director. Miki Tsusaka  N/A Ms. Miki Tsusaka has exceptional leadership skills and wide expertise in global business & strategy and data & digital, and deep insights in driving innovation and creating value by technology utilization. Having worked with companies across Asia, Europe, and North America, she has deep knowledge and a wide variety of experience working in a global environment across various industries. Since 2023, she has been involved in the management of the Company as an External Director. She has actively participated in the BOD meetings and contributed to ensuring fair and appropriate decision-making and sound management of business activities of the Company. She attended seven of the seven BOD meetings held after her appointment in fiscal year 2023.There are no personnel, capital, business or other special relationships between her and the Company. The Company deemed that she is highly independent and designated her as an Independent Director of the Company because she has no conflict risk with the interests of the Company’s general shareholders in executing her duties as an External Director. Koji Hatsukawa  N/A Mr. Koji Hatsukawa has extensive experience and expertise in the areas of corporate finance and accounting as a certified public accountant. He has also held top management positions, including serving as representative and CEO of an auditing firm. Since June 2016, he has been involved in the management of the Company as an External Director who is an ASC Member, and since June 2019, he has been serving as the head of the ASC. He has actively participated in the BOD meetings and contributed to ensuring fair and appropriate decision-making and sound management of business activities of the Company. He has also contributed to the realization of the ASC’s vision of ensuring sound


 
Translation for reference purpose only 11 and continuous growth of the Company, creating mid- and long-term corporate value, and establishing a good corporate governance system that will accommodate society’s trust, through audit and supervision. He attended eight of the eight BOD meetings held in fiscal year 2023. His ownership of the Company’s shares is immaterial (as of June 2024), and there are no personnel, capital, business or other special relationships between him and the Company. The Company deemed that he is highly independent and designated him as an Independent Director of the Company because he has no conflict risk with the interests of the Company’s general shareholders in executing his duties as an External Director. Jean-Luc Butel  N/A Mr. Jean-Luc Butel has served in several key positions at global healthcare companies in the U.S., Europe, and Asia. Based on such extensive experience in global healthcare business management, he has deep insights in healthcare business management. He has been involved in the management of the Company as an External Director who is an ASC Member since June 2016, as an External Director who is not an ASC Member since June 2019 and as an External Director who is an ASC Member since June 2024. He has actively participated in the BOD meetings and contributed to ensuring fair and appropriate decision-making and sound management of business activities of the Company. He has also contributed to the realization of the ASC’s vision of ensuring sound and continuous growth of the Company, creating mid- and long-term corporate value, and establishing a good corporate governance system that will accommodate society’s trust, through audit and supervision. He attended eight of the eight BOD meetings held in fiscal year 2023. There are no personnel, capital, business or other special relationships between him and the Company. The Company deemed that he is highly independent and designated him as an Independent Director of the Company because he has no conflict risk with the interests of the Company’s general shareholders in executing his duties as an External Director. Yoshiaki Fujimori  N/A Mr. Yoshiaki Fujimori has served in several key positions, such as CEO at a global U.S. company and its Japanese subsidiary, as well as at a Japanese company that spearheaded global expansion ahead of other companies. Through his career, he has gained deep insights from extensive experiences in global management of such healthcare companies. Since June 2016, he has been involved in the management of the Company as an External Director who is not an ASC Member since, and since June 2022, as an External Director who is an ASC Member. He has actively participated in the BOD meetings and contributed to ensuring fair and appropriate decision-making and sound management of business activities of the Company. He has also contributed to the realization of the ASC’s vision of ensuring sound and continuous growth of the Company, creating mid- and long-term corporate value, and establishing a good corporate governance system that will accommodate society’s trust, through audit and supervision. He attended eight of the eight BOD meetings held in fiscal year 2023. His ownership of the Company’s shares is immaterial (as of June 2024), and there are no personnel, capital, business or other special relationships between him and the Company. The Company deemed that he is highly independent and designated him as an Independent Director of the Company because he has no conflict risk with the interests of the Company’s general shareholders in executing his


 
Translation for reference purpose only 12 duties as an External Director. Kimberly A. Reed  N/A Ms. Kimberly A. Reed was the first woman to serve as Chairman of the Board of Directors, President, and CEO of the Export-Import Bank of the United States (EXIM), —the nation’s official export credit agency—where she helped companies succeed in the competitive global marketplace. She has extensive domestic and international experience in the field, having held pivotal positions at the International Foundation and Community Development Financial Institutions Fund in the U.S., and having served as a Senior Advisor of the U.S. Government and Counsel with U.S. Congressional Committees. Through her career, she has gained substantial leadership experience and wide expertise in the area of global business, legal, and public policy, finance and accounting. Since June 2022, she has been involved in the management of the Company as an External Director who is an ASC Member. She has actively participated in the BOD meetings and contributed to ensuring fair and appropriate decision-making and sound management of business activities of the Company. She has also contributed to the realization of the ASC’s vision of ensuring sound and continuous growth of the Company, creating mid- and long-term corporate value, and establishing a good corporate governance system that will accommodate society’s trust, through audit and supervision. She attended eight of the eight BOD meetings held in fiscal year 2023. There are no personnel, capital, business or other special relationships between her and the Company. The Company deemed that she is highly independent and designated her as an Independent Director of the Company because she has no conflict risk with the interests of the Company’s general shareholders in executing her duties as an External Director. Voluntary Establishment of Committee(s) Corresponding to the Nomination Committee or Remuneration Committee: Established Committee’s Name, Composition, and Attributes of the Chairperson: Update • Nomination Committee Name Nomination Committee Number 6 Chairperson External Director Member 5 External Directors • Compensation Committee Name Compensation Committee Number 4 Chairperson External Director Member 3 External Directors Supplementary Explanation Update The Nomination Committee and the Compensation Committee were established as voluntary advisory bodies to the BOD. The committees serve to ensure transparency and objectivity in decision-making processes and results relating to personnel matters of the Directors (diversity of the BOD, appointment and reappointment of directors, and succession planning), as well as the compensation system for Directors (the level of compensation, compensation mix and setting targets of performance-based compensation (Long-term Incentives and Bonus programs)). The Company delegated to the Compensation Committee, by resolution of the BOD, the authority to determine individual compensation for Internal Directors who are not ASC Members in order to ensure the objectivity and transparency in the decision-making process. All the committee members must be External Directors. Furthermore, at least one Director who is an ASC member must be assigned to each committee. In fiscal year 2023, the Nomination Committee and the Compensation Committee held four meetings and five meetings, respectively. The election of members of both committees was held on June 28, 2023, and almost all members attended all


 
Translation for reference purpose only 13 committee meetings held during their tenure (Mr. Olivier Bohuon attended three out of four required Compensation Committee meetings as he retired from his position at the time of his death on May 5, 2024). In fiscal year 2023, the Nomination Committee discussed director candidates and director succession plans, and provided guidance to the BOD. In fiscal year 2023, the Compensation Committee reviewed and discussed the goals and results of performance-based compensation, the alignment of the compensation policy to the achievement of the Company's medium- and long-term plans and to the business environment, the amount of compensation for directors, the appropriate Corporate KPIs for STI (Short Term Incentive) and Performance Share Unit awards (PSU awards), the public disclosure of compensation, etc., and the committee further provided guidance to the BOD. The member composition is as follows (as of June 26, 2024):  Nomination Committee: Mr. Masami Iijima (Chairperson), Dr. Steven Gillis, Ms. Emiko Higashi, Mr. Michel Orsinger, Mr. Jean- Luc Butel and Mr. Yoshiaki Fujimori (Mr. Christophe Weber attends as an observer.)  Compensation Committee: Ms. Emiko Higashi (Chairperson), Dr. John Maraganore, Mr. Michel Orsinger and Ms. Kimberly A. Reed [Audit and Supervisory Committee] Committee's Composition and Attributes of the Chairperson All Committee Members Full-time Members Internal Directors External Directors Chairperson Audit and Supervisory Committee 4 0 0 4 External Director Appointment of Directors and/or Staff to Support the ASC Appointed Matters Relating to the Independence of Such Directors and/or Staff from the Executive Directors The ASC Office was established to support the operations of the ASC, and an appropriate number of staff members are appointed among employees. The appointment and any personnel change of the members of the ASC Office require the agreement of the ASC. The ASC Office assists the ASC in fulfilling its duties by collecting information on a regular basis through attending important meetings, reviewing important documents, and conducting periodical interviews with executives. In addition, the Company ensures the effectiveness of audit by conducting a systematic audit through the internal control system. For the reasons above, no full-time ASC members are appointed. Cooperation among the ASC, Accounting Auditors and Internal Audit Departments (Cooperation between the ASC and Accounting Auditors) The ASC receives reports directly from the Accounting Auditors on audit plans, audit structure/system and audit results for each business year. In addition, the ASC and Accounting Auditors closely cooperate with each other by exchanging information and opinions, as necessary. (Cooperation between the ASC and Group Internal Audit (GIA) department) Based on the status of the development and operation of the internal control system, the ASC works in close cooperation with the GIA department to improve audit efficiency. This is done through audit reports from the GIA department to the ASC, and instructions from the ASC to the GIA department. (Relationship between the ASC and Internal Control Promoting Department) The ASC works closely with the divisions responsible for internal control, such as Global Ethics and Compliance, Global Finance, etc. and utilizes the information received from these divisions to ensure that the ASC audits are conducted effectively. [Independent Directors] Number of Independent Directors 11 persons Independent Directors The Company has set the “Internal Criteria for Independence of External Directors” as follows, and elected all External Directors who meet these criteria as Independent Directors: <Internal Criteria for Independence of External Directors of the Company> The Company will judge whether an External Director has sufficient independence against the Company with the emphasis on his/her meeting the following quality requirements, on the premise that he/she meets the criteria for independence established by the financial instruments exchanges. The Company believes that such persons will truly meet the shareholders' expectations as the External Directors of the Company, i.e., the persons who can exert strong presence among the diversified members of the Directors and of the Company by proactively continuing to inquire the nature of, to encourage improvement in and to make suggestions regarding the important


 
Translation for reference purpose only 14 matters of the Company doing pharmaceutical business globally, for the purpose of facilitating impartial and fair judgment on the Company's business and securing sound management of the Company. The Company requires such persons to meet two or more of the following four quality requirements to be an External Director: (1) He/She has advanced insights based on the experience of corporate management; (2) He/She has a high level of knowledge in the area requiring high expertise such as accounting and law; (3) He/She is well versed in the pharmaceutical and/or global business; and (4) He/She has advanced linguistic skill and/or broad experience which enable him/her to understand diverse values and to actively participate in discussion with others. [Incentives] Incentive Policies for Directors Adoption of a performance-based remuneration system The Company introduced an incentive compensation system for Internal Directors who are not ASC Members, which includes an annual "Bonus (short-term incentive compensation)” based on financial and other performance results and a ”long-term Incentive Plan (stock compensation)” linked to the Company’s long-term performance results over a 3-year period, and with Takeda's share price. Please refer to “Directors’ Compensation Policy” attached at the end of this report. [Director Remuneration] Update Disclosure of Individual Directors’ Remuneration All disclosed individually Means of Disclosure: Annual Securities Report of the 147th fiscal year As for the total amount of Directors’ remuneration, the total amount of remuneration by type (cost postings relating to base salary, performance-based compensation (bonus and performance share unit awards), and non-monetary remuneration (restricted stock unit awards)), and the amount of remuneration for each Director for the fiscal year 2023, please refer to the following report:  The Annual Securities Report for the 147th fiscal year https://assets-dam.takeda.com/image/upload/Global/Investor/ASR/Y2023/E_FY23_ASR.pdf Policies determining the amount of remuneration or the method for calculating the remuneration Existing Details of policies disclosed determining the amount of remuneration or the method for calculating remuneration Update The Company established the “Directors’ Compensation Policy (attached at the end of the report),” which sets forth the following policies and the decision-making process, and Directors' compensation level and mix are determined based on this policy.  Policies regarding calculation formula and determination of individual remuneration for Directors  Policies regarding Key Performance Indicators (KPI) for performance-based compensation (bonus and performance share unit awards) and the determination of the calculation formula for such remuneration  Policies regarding the calculation formula and the determination of non-monetary remuneration (restricted stock unit awards)  Policies regarding the determination of remuneration mix for individual Directors  Policies regarding the determination of conditions for payment of remuneration  Means of the determination regarding individual remuneration for Directors Please refer to the relevant page of the Annual Securities Report for the 147th fiscal year for more details. The Company has also adopted a compensation recoupment policy (clawback policy) in 2020 and amended that policy in 2023. Please refer to the “Directors' Compensation Policy” to confirm the outline thereof. The Company disclosed the compensation recoupment policy in the Governance Structure section of the Company’s website: https://www.takeda.com/about/corporate- governance/governance-structure/ [Supporting System for External Directors] The Company provides, in a timely manner, relevant information about important management-related matters to External Directors to help them make informed decisions. The agenda of the BOD meetings are shared in advance. Explanations of the summary of topics to be discussed at board meetings are also provided in advance. The BOD & CEO Office is responsible for the coordination with External Directors who are not ASC Members. The ASC Office is responsible for supporting the operation of External Directors who are ASC Members. They serve as the secretariat for the ASC and share the necessary information for auditing and other duties at the ASC. [Status of persons who have retired from positions, such as Representative Director and President] Name and details of Corporate Counselors, Advisors, etc., who formerly served in posts such as Representative Director and President, etc. of the Company Name Title/ Position Duties Work Form/ Conditions (Full-time/ Part-time, Remunerated or not etc.) Date of retirement as President, etc. Term


 
Translation for reference purpose only 15 - - - - - - Total Number of Corporate Counselors, Advisors, etc., who formerly served in posts such as Representative Director and President, etc. of the Company 0 persons Other Matters  The Company abolished the advisor system in July 2017 and corporate counselor system in March 2021, respectively. 2. Matters on Functions of Business Execution, Auditing, Oversight, Nomination and Remuneration Decisions (Overview of Current Corporate Governance System) Update At the Company, the BOD determines the fundamental policies for the group, and the TET executes the management and business operations in accordance with such decisions. The External Directors of the Board are all qualified individually and with a diverse and relevant experience as a group. The ASC, which is composed entirely of External Directors, audits and supervises the execution of directors from an independent standpoint and contributes to proper governance and decision-making of the Board. Moreover, in order to respond to management tasks that continue to diversify, the Company has established the TET, as well as the Business & Sustainability Committee (which is responsible for corporate / business development matters and sustainability- related matters), the Portfolio Review Committee (which is responsible for R&D and products related matters), and the Risk, Ethics & Compliance Committee (which is responsible for risk management, business ethics and compliance matters). These committees review important matters to ensure the agility and flexibility of business execution and promote greater coordination among the various functions. Matters not requiring the approval of the aforementioned committees are delegated to the TET stipulated in the Takeda Group’s Management Policy (T-MAP). The Company aims for agile and efficient decision-making across the group. Board of Directors The Company has given its BOD the primary function of observing and overseeing business execution as well as decision-making for strategic or particularly important matters regarding company management. The BOD is operated according to the “Board of Directors Charter.” The BOD consists of 14 Directors (including three females), including 11 External Directors, six Japanese and eight non-Japanese, and meets in principle eight times per year to make resolutions and receive reports on important matters regarding management. In fiscal year 2023, the BOD discussed and made decisions on particularly important matters including the convocation and proposal matters of the General Meeting of Shareholders, enterprise risk assessments, annual and mid-range business plan, interim financial results, quarterly financial results, financial statements, business report. They also made decisions on updating the Company’s capital allocation policy, which includes our progressive dividend policy of increasing or maintaining the dividend each year and a dividend increase proposal based on this policy. In addition, the BOD had a strategic session to focus on the discussion about long-term business forecasts, R&D pipeline strategy and global business strategy, etc., as well as an executive session for discussion among only External Directors. Eight BOD meetings were held in fiscal year 2023 and all Internal Directors who took office at the end of fiscal year 2023 attended all meetings. (Please refer to the Table “External Directors’ Relationship with the Company (2)” in [Directors], Part II, section 1 of this report about the attendance of External Directors.) The BOD meeting is chaired by an Independent External Director to increase the independence of the BOD. To ensure the validity and transparency of the decision-making process for the election of Director candidates and compensation of Directors, the Company established a Nomination Committee and a Compensation Committee, all the members of which are External Directors and both of which are chaired by External Directors, as advisory committees to the BOD. Audit and Supervisory Committee The ASC consists only of External Directors and ensures its independence and effectiveness in line with the ASC Charter and Internal Guidelines on Audit and Supervision of ASC. The Committee conducts audits of the Directors’ performance of duties and performs any other duties stipulated under laws and regulations and the Articles of Incorporation. The Company has disclosed the ASC Charter in the Charters and Reports section of the Company’s website.  Charters and Reports: https://www.takeda.com/about/corporate-governance/charters-and-reports/ Internal Audit The GIA department, comprising 55 members, the Corporate Environment, Health and Safety (EHS) department in the Global Manufacturing & Supply division, and Global Quality conduct regular internal audits for each division of the Company and each Group company using their respective guiding documents, the “Group Internal Audit Charter,” the “Global Environment, Health and Safety Policy and Position,” and the “Global Quality Policy.” Takeda Executive Team The TET consists of the President & CEO and function heads of the Takeda Group who report directly to the President & CEO. Please refer to the Leadership section of the Company’s website.  Takeda Executive Team: https://www.takeda.com/about/leadership/


 
Translation for reference purpose only 16 Business & Sustainability Committee The Business & Sustainability Committee consists of TET members. In principle, it holds a meeting twice a month to discuss and make decisions on important execution of corporate/business development matters and sustainability-related matters. Portfolio Review Committee The Portfolio Review Committee (PRC) consists of TET members and the heads of the R&D core functions. In principle, it holds a meeting two to three times a month. The PRC is responsible for ensuring that the Company’s portfolio is optimized to achieve the organization’s strategic objectives and determines the composition of the portfolio by reviewing and approving R&D investments in portfolio assets. In addition to determining which assets and projects will be funded, the PRC defines how investments will be resourced. Risk, Ethics & Compliance Committee The Risk, Ethics & Compliance Committee consists of TET members. In principle, it holds a meeting once every quarter to discuss and make decisions on important matters concerning risk management, business ethics and compliance matters, and risk mitigation measures. Accounting Audit KPMG AZSA LLC was appointed as the Accounting Auditor of the Company at the Company’s general shareholders meeting, marking a consecutive auditing period of 17 years. The Company’s accounting was audited by the following three certified public accountants from KPMG AZSA LLC: Mr. Kotetsu Nonaka (consecutive auditing period: six years), Mr. Masahiko Chino (consecutive auditing period: two year) and Mr. Hiroaki Namba (consecutive auditing period: four years). These three certified public accountants were supported by 28 other certified public accountants and 106 other individuals. The ASC makes the decision on the reappointment or non-reappointment of the Accounting Auditor after assessing the audit quality, quality control and independence of the Accounting Auditor. Liability Limitation Agreement The Company has executed agreements with Non-Executive Directors stating that the maximum amount of their liabilities for damages as set forth in Article 423, Paragraph 1 of the Companies Act shall be the amount provided by law. 3. Reasons for the Adoption of the Current Corporate Governance System The Company is a company with an Audit and Supervisory Committee, which enables the BOD to delegate a substantial part of their decision-making authority of important business executions to management This separation of business execution and supervision allows the Company to further expedite the decision-making process and enables the BOD to focus more on discussions on business strategies and, particularly important business matters. By implementing audit and supervision systems conducted by ASC, increasing the proportion of External Directors and promoting diversity within the board, the Company aims to increase transparency and independence of the BOD and further enhance its corporate governance. III. Implementation of Measures for Shareholders and Other Stakeholders 1. Measures to Vitalize the General Shareholders Meetings and Ensure the Smooth Exercise of Voting Rights Early Notification of General Shareholders Meeting The notice of convocation is dispatched three weeks prior to the day of the meeting. In addition, the Company discloses the notice earlier than the dispatch on the Company’s corporate website and the TSE website. Scheduling Annual General Shareholders Meetings and Avoiding Peak Days The Company tries to avoid holding its Ordinary General Meeting of Shareholders on a date that is chosen by many Japanese companies. Nevertheless, the meeting date is eventually decided based on the availability of the venue as well as the administrative schedule. Allowing Electronic Exercise of Voting Rights The Company’s shareholders have been able to exercise their voting rights by electronic means since the Ordinary General Meeting of Shareholders held in June 2007. Participation in the Electronic Voting Platform The Company has been utilizing an electronic voting platform operated by Investors Communications Japan, Inc. (ICJ) since the Ordinary General Meeting of Shareholders held in June 2007. Providing Convocation Notice in English To encourage shareholders to vote, the Company publishes the Japanese and English versions of the notice of convocation on its website and other websites, including on the website of the administrator of the shareholder’s register, Mitsubishi UFJ Trust and Banking Corporation. Other The Company organizes the Ordinary General Meeting of Shareholders using


 
Translation for reference purpose only 17 presentation materials displayed in a format that is easy for shareholders to understand, including the use video presentations by the President & CEO to explain performance and business policies. Since 2020, the Company has held the General Meeting of Shareholders in a hybrid format, which allows direct and online participations. In addition, the Articles of Incorporation include provisions that a General Meeting of Shareholders may be held without specifying a venue when the BOD deems it inappropriate due to situations such as the spread of an infectious disease or the occurrence of a natural disaster, considering the shareholder’s interests. The Company has disclosed the Articles of Incorporation and Company Share Policy in the Charters and Reports section of the Company’s website. Charters and Reports: https://www.takeda.com/about/corporate-governance/charters-and-reports/ 2. IR Activities Update Supplementary Explanation Presentation made by senior management Preparation and Publication of Disclosure Policy The disclosure of year-end and quarterly financial results requires the approval of the BOD, and other disclosure materials require the approval of the Business & Sustainability Committee. The approval authority for these other disclosures is delegated by the Business & Sustainability Committee to the CFO and the Chief Global Corporate Affairs & Sustainability Officer (“CGCASO”). The Disclosure Committee comprehensively reviews the requirements for timely disclosures to the TSE and SEC, and reports and proposes its conclusions to the CFO and the CGCASO. The “Standard Operating Procedure for Timely Disclosure and Disclosure Committee Review” was established as a rule for the Disclosure Committee. Furthermore, the Company established an “External Engagement Standard Operating Procedure (SOP)” as a guideline for external engagement, and a “Global Press Release and Statement Standard Operating Procedure” that specifies the functions within the Company with responsibility for press releases and statement disclosures, and the relevant communication channels and procedures, respectively. Regular Investor Briefings for Individual Investors In fiscal year 2023, the Company continued to engage proactively with retail investors, distributing newsletters and press release to e-mail magazine subscribers. In addition, the Company held an online briefing event tailored for retail investors in Japan, which was available for on-demand viewing. The event effectively showcased the Company’s distinctive positioning, business model and growth strategy. No Regular Investor Briefings for Analysts and Institutional Investors The Company holds earnings release conferences (conference calls and video meetings) on the same days as each quarterly results announcement. These events include an explanation of the financial results and a Q&A session in which participants can address questions directly to senior management. Additionally, the Company held a virtual IR event in December of 2023 , which focused on explaining topics related to the Company’s Plasma Derived Therapy (PDT) business. Conference calls for earnings announcements and multiple IR events are held or live streamed in Japanese and English at the same time so that both Japan domestic and overseas investors can join simultaneously. The Company posts on-demand webcasts to its website promptly for those investors who are unable to join live and wish to learn the contents of the events. Yes Regular Investor Briefings for Overseas Investors All earnings release conferences (conference calls and video meetings) and IR events are held in Japanese and English to provide information to both Japan domestic and overseas investors simultaneously. Furthermore, the Company takes into consideration time zone differences when deciding the timing of IR events, to allow as many overseas investors to participate as possible. Yes Posting of IR Materials on the Website URL:https://www.takeda.com/investors/overview/ 1TU1T Materials available on the website: Annual Securities Report (Quarterly Securities Report), Quarterly financial statements, Quarterly Financial Report, presentation materials used in earnings release conferences and webcasts, Annual Integrated Reports, notices of convocation of Ordinary General Meetings of shareholders, IR conference materials, notices of resolutions, video messages from senior


 
Translation for reference purpose only 18 management, and others. Establishment of Department and/or Manager in Charge of IR Department responsible for IR: Global Finance, IR 3. Measures to Ensure Due Respect for Stakeholders Update Supplemental Explanation Stipulation of Internal Rules for Respecting the Position of Stakeholders The Company’s purpose is to provide “Better Health for People, Brighter Future for the World.” This expresses the Company’s vision to discover and deliver life-transforming treatments, guided by its commitment to Patients, People and the Planet. The Company’s Values, Takeda-ism, which incorporate Fairness, Honesty and Perseverance and Integrity at the core, are brought to life through actions based on, “Patient (putting the patient first) –Trust (building trust with society) – Reputation (reinforcing reputation) and Business (developing a sustainable business),” in that order. Together, they represent who we are and how we act, helping us make decisions we can be proud of today and in the future. They clearly indicate the Company’s emphasis on the importance of addressing the needs of a variety of its stakeholders, including patients. In addition, the Company implements measures to instill its Values internally, such as the “Value Ambassadors Program,” an initiative to encourage employees to instill and continuously practice the Values, and the “Global Induction Forum” (hosted by the President & CEO) aimed at cultivating the understanding of the Company including its Values and a sense of responsibility among senior leaders who have joined the Company from other companies. Moreover, the Takeda Global Code of Conduct provides ethical guidelines for employees to respect the perspectives of stakeholders. Implementation of Environmental Activities, CSR Activities, etc. [Environmental Activities] The Company focuses on three interrelated environmental sustainability programs, “Climate Action”, “Natural Resource Conservation” and “Sustainability by Design.”  The Climate Action program has the overarching goal of achieving net-zero greenhouse gas emissions from the Company’s operations by 2035 and across its value chain by 2040  The Natural Resource Conservation program aims to minimize environmental impacts of the Company’s operations and conserve natural resources, with goals to achieve zero waste to landfill by fiscal year 2030, and to reduce global freshwater withdrawal by 5% by fiscal year 2025 from a 2019 fiscal year baseline  The Sustainability by Design program strives to design products and services to minimize their environmental impact throughout their life cycle. The program aims to achieve a target of 50% of paper and paperboard in secondary and tertiary packaging by weight, to be made from recycled or sustainable forest certified content by fiscal year 2025 For more detailed information, please refer to “Our Commitment to the Planet” section of the Company’s website: https://www.takeda.com/about/corporate-responsibility/corporate-sustainability/sustainability- approach/planet/ [CSR, Philanthropy activities] Takeda’s Global CSR Program prioritizes partnerships that help expand access to quality health care for people in low- and middle-income countries. We encourage innovation beyond commercial products in support of sustainable and resilient health systems for all people, everywhere. Our long- term funding commitments of four to 10 years recognize that there are no quick fixes to complex health system challenges and that equitable impact takes time. We actively partner with world-class organizations and non-governmental organizations (NGOs) with proven track records of addressing global health problems in innovative, enduring ways. For more information, please visit the Global CSR Program section of the corporate website. https://www.takeda.com/about/corporate-responsibility/corporate-giving Development of Policies on Provision of Information to Stakeholders The Company established an “External Engagement Standard Operating Procedure” as a guideline for external engagement, and a “Global Press Release and Statement Standard Operating Procedure” that specifies the functions within the Company with responsibility for press release disclosures, and the relevant communication channels and procedures. Also, the “Standard Operating Procedure for Timely Disclosure and Disclosure Committee Review” was established as a basic rule for the Disclosure Committee when deliberating the requirement for timely disclosure to securities exchanges, etc.


 
Translation for reference purpose only 19 Other The Company is committed to appointing diverse members to the Company’s Board of Directors (11 males and three females) and considers diversity, including gender, age, work history, race, ethnicity and cultural background, in the nomination of directors to ensure that decisions are made from various viewpoints. The Company’s management team, the TET, consists of 17 members with diverse backgrounds, including in expertise, nationality and gender (eight males and nine females). The TET actively participates in discussions and decision-making on management strategies and other important management and operational matters while taking into account the perspectives of various stakeholders. The Company is strongly committed to promoting DE&I. In Japan, the Company has implemented initiatives to advance DE&I, including the following: As of April 1, 2024, we have enhanced our benefits by expanding the definition of "spouse" in our policies, making common-law and same-sex partners eligible for our employee benefits. With this enhancement, the definition of family has also been revised, going beyond "children of spouse" and "parents of spouse" to include "children of partner" and "parents of partner". The main employee benefits that apply are as follows: Vacation/leave of absence (self/child marriage, mourning, childcare leave, nursing care leave, etc.), housing/relocation support (company housing/dormitories, allowance for single-person transfer, rental subsidy, etc.), various support from mutual aid associations (marriage benefits, etc.), others (health/mental counseling, provision of employee benefit programs, etc.), benefits received as a surviving family member in the event of an employee's death (special condolence money, etc.) In line with the changes to the employee benefits system, in addition to the existing inquiry desk , we will also set up a dedicated consultation desk specialized in employee benefits, and will operate with the utmost consideration for privacy protection. Regarding career development, the Company promotes Quality Conversations between employees and their managers throughout the year to discuss their career aspirations. Additionally, the Company has implemented an internal job posting system and internal part-time work system to allow employees to engage in different types of work. In May 2022, The Company has also launched a second job system. In January 2024, the Company launched Career Navigator, an AI-enabled platform, to allow all employees to explore development opportunities and grow their careers within Takeda. Based on employee input about their career goals and interests, the tool provides recommendations for internal job opportunities within Takeda; helps identify learning opportunities to address any skill gaps; and connects employees to mentors to facilitate growth. The Company is also committed to creating an inclusive and exceptional people experience that accelerates innovation for patients regardless of where, when or how employees work. Using the power of data and digital technology, the Company aims to establish new ways of working that facilitate meaningful in-person and hybrid interactions, while providing individual flexibility. The Company has also started introducing ‘Takeda Community Space’ in its offices to support new ways of working and promote collaborations among the employees. To support flexible working styles of employees, the Company has implemented a “Flex-time system” and “Telework system” that allows employees to choose their working hours and location based on their personal and work situations. The Company also provides support systems to accommodate dual responsibilities such as parenting, caregiving, volunteering, self-improvement, and second job, etc. alongside work. The percentage of female managers in Japan increased from 10% (fiscal year 2018) to 20% (fiscal year 2023). Additionally, the percentage of employees who used flex-time in workplaces offering flexible working hours, was 93.1% (fiscal year 2023). The percentage of male employees taking paternity leave has remained high at 78% (fiscal year 2023). The Company is also actively promoting the employment of people with disabilities, mainly through L.I. Takeda, Ltd., a special subsidiary company. The employment rate of people with disabilities is 2.61% as of June 1, 2024. IV. Matters Relating to the Internal Control System Update 1. Basic Views on the Internal Control System and the Progress of System Development The Company regards internal control, together with risk management, as an important component of corporate governance and has developed its internal control system as described below. (i) Systems to ensure the appropriateness of operations in the Takeda Group • The Company’s “Corporate Philosophy,” consisting of its “Purpose,” “Values: Takeda-ism,” “Vision” and “Imperatives,” permeates the entire Takeda Group. These principles serve as the foundation of the Takeda corporate culture. In addition, the Company is


 
Translation for reference purpose only 20 working to strengthen its compliance system through the dissemination of the "Takeda Global Code of Conduct" and by developing ethics and compliance programs. • As a “company with an Audit and Supervisory Committee,” the Company has established a system that enables the ASC to effectively perform its duties relating to audit and supervision, and is increasing the proportion and diversity of External Directors in order to ensure the transparency and objectivity of the BOD. • The Company voluntarily has established its Nomination Committee and Compensation Committee, as advisory bodies for the BOD. Both committees ensure objectivity and fairness in the selection and compensation of Directors by having only External Directors as committee members, including the Chairperson. • The Company has established the below committees in order to properly deliberate and decide on important matters: ○ Business & Sustainability Committee: responsible for corporate/business development matters and sustainability-related matters ○ Portfolio Review Committee: responsible for R&D and product related matters ○ Risk, Ethics & Compliance Committee: responsible for risk management, business ethics and compliance matters. • The Company has established the Takeda Executive Team (TET), which consists of the President & CEO and the heads of the divisions of the Takeda Group, in order to strengthen its global business management and deepen collaboration among various divisions. • The Company has established the “Takeda Group’s Management Policy (T-MAP),” which summarizes the Company’s business and operations, decision-making and reporting structure, important operational rules, and applies it to all divisions and subsidiaries of the Takeda Group. In addition, each TET member establishes rules for operations and delegation of authority in each division and subsidiary to ensure that operations are conducted appropriately. • The Company has developed a group-wide management system by establishing Global Policies for enterprise risk management, crisis management, Environment, Health and Safety (EHS) and raising & handling concerns. • The Company has established a Quality Management System (QMS) and developed documents describing requirements and procedures, and conducts audits, monitors, and controls the compliance with these documents. This helps to ensure proper operations in research and development, manufacturing and product quality, as well as compliance with the laws and regulations of the pharmaceutical industry (GxP). • The Company has established the Group Internal Audit (GIA), an independent assurance function within Takeda Group, to support the enhancement and protection of organizational value through its audit activities. The results of internal audit are reported to the President & CEO, the Audit and Supervisory Committee, and the Board of Directors. The GIA department develops and maintains an audit quality assurance and improvement program and conducts internal audit activities in accordance with the “International Standards for the Professional Practice of Internal Auditing (IIA Standards)” issued by the Institute of Internal Auditors. (ii) System for retention and management of information concerning the execution of the duties of Directors • The Company has established the “Global Records and Information Management (RIM) Policy” and properly retains and manages the BOD meeting minutes, approvals of management decisions, and other information concerning the execution of the duties of Directors. (iii) Rules and other systems for managing the risk of loss • The Company has established an integrated system that brings together the three areas of enterprise risk management, business continuity management, and crisis management based on the “Global Business Resilience Policy.” ○ The Company conducts annual enterprise risk assessment for the identification, evaluation, and mitigation planning for prioritized risks. ○ The Company develops business continuity plans for major risks and essential business areas. ○ The Company formulates crisis management plans to identify, manage and recover from a crisis and responds to it by organizing a Crisis Management Committee according to the level of impact. • The Company has established the principles and processes to identify, monitor and report selected high-risk business activities based on the “Global Monitoring Policy.” • The Company has established a patient safety and quality management framework, under both normal state and crisis mode, to initiate necessary actions for patient safety and quality issues including product recall. (iv) System to ensure that the duties of Directors are executed efficiently • Under the provisions of its Articles of Incorporations, the Company has established a structure that delegates a certain degree of decision-making authorities to certain Directors, which enables the BOD to focus more on business strategies, internal controls and other important business matters of the Takeda Group. • The matters delegated to the Directors are discussed and decided at the appropriate management committees, to ensure an agile and effective decision-making process. • The Company has established delegation of authority and decision-making rules such as the "Board of Directors Charter" and "T- MAP" to ensure the duties of the Directors are executed in an appropriate and efficient manner. (v) Systems to ensure that Directors and employees comply with laws and regulations and the Company’s Articles of Incorporation in executing their duties • The Company has established a dedicated department responsible for business ethics and compliance in order to strengthen the group-wide compliance systems.


 
Translation for reference purpose only 21 • The Company has established its Code of Conduct, global policies (prohibition of bribery, handling of personal information, prohibition of insider trading, etc.) and other compliance-related internal rules, and implements training programs throughout the Takeda Group. • The Company has established global policies and internal regulations for interactions with healthcare entities, patient organizations, and government entities to comply with laws and regulations, which are essential for pharmaceutical companies. • The Company has established guidelines for raising and handling concerns of potential misconduct and has procedures for employees to remain anonymous and ensure their confidentiality through the Takeda Ethics Line. (vi) System to ensure the reliability of financial reporting • The Company ensures the reliability of disclosed materials by establishing and implementing an internal control system for financial reporting based on the 2013 Internal Control - Integrated Framework issued by the Committee of Sponsoring Organizations of the Treadway Commission (COSO). (vii) System to ensure that the audits by the ASC are conducted effectively The Company has established the following system that defines the roles, authority, duties, etc. of the ASC through the “Audit and Supervisory Committee Charter,” as well as internal guidelines regarding the audit and supervision of the ASC. 1) Matters related to ensuring the independence from the directors, of employees who assist the ASC, and the effectiveness of instructions given to such employees by the ASC: ・ The ASC Office is established, and dedicated staff members are appointed in order to assist ASC in the execution of duties under the direction of the ASC. ・ The appointment, personnel changes, personnel evaluations and other matters related to the dedicated staff members require the consent of the ASC. 2) A structure for the directors and the employees to report to the ASC, and other reporting structures related to the ASC: ・ The ASC is informed on matters concerning the Company’s basic management policy and plans, and material matters including those related to subsidiaries and affiliates of the Company. ・ Any facts that could cause significant damage to the Takeda Group need to be immediately reported to the ASC. ・ The ASC can access the minutes and materials of important meetings at any time. ・ The Company has established a system to ensure that Directors and employees, etc. would not be subject to any unfavorable treatment for reporting to the ASC. 3) Other systems to ensure that audits by the ASC are performed effectively: ・ The ASC can conduct systematic audits in cooperation with the internal audit division, to which the ASC is authorized to give instructions, the internal control promotion division and the accounting auditor. ・ Expenses necessary for the execution of duties by the ASC and the ASC members are borne by the Company. 2. Basic Views on Eliminating Anti-Social Forces The Company’s basic policy is to eliminate any relationship, including normal transactions, with antisocial forces that pose a threat to the order or safety of civil society. The Company takes the following actions: • The Company has built and maintains close cooperative relationships with the supervising police station and external specialist bodies, to proactively collect information on antisocial forces. • The Company disseminates information on antisocial forces to relevant divisions in the Company and also to employees, as necessary, during internal training, etc., in order to implement activities that avert any damage from antisocial forces. V. Other 1. Adoption of Anti-Takeover Measures Adoption of Anti-Takeover Measures Not Adopted Supplementary Explanation • The Company has not adopted any defense measures against hostile takeovers. 2. Other Matters Relating to the Corporate Governance System Update Overview of the timely disclosure system Regarding information disclosure, the Disclosure Committee evaluates the necessity of the submission of timely disclosure materials to the TSE, the FSA, the New York Stock Exchange, and the SEC. The disclosure of year-end and quarterly financial results requires the approval of the BOD, and other disclosure materials require the approval of the Business & Sustainability Committee. The approval authority for certain disclosures is further delegated by the Business & Sustainability Committee to the CFO and the CGCASO. The Disclosure Committee comprehensively reviews the requirements for timely disclosures to the TSE and SEC, and reports and proposes its conclusions to the CFO and the CGCASO. The Disclosure Committee consists of members from Global Finance, Business Unit/Function Finance, Global Communications, Investor Relations, and Legal. The Company established the “Standard Operating Procedure for Timely Disclosures and Disclosure Committee Review” for the


 
Translation for reference purpose only 22 operation manual of the Disclosure Committee and strives to disclose information in a timely and appropriate manner. Furthermore, the Company established an “External Engagement Standard Operating Procedure” as a guideline for external engagement, and a “Global Press Release and Statement Standard Operating Procedure” that specifies the functions within the Company with responsibility for press releases and statement disclosures, and the relevant communication channels and procedures, respectively.


 
Corporate Governance Structure


 
Director’s Compensation Policy 1. Guiding Principles The following are the guiding principles of the Company's compensation system for Directors to achieve management objectives under the corporate governance code:  To attract, retain and motivate managerial talent to realize our Vision  To increase corporate value through optimization of the Company’s mid- and long-term performance, while reinforcing our patient first values  To be closely linked with company performance, highly transparent and objective  To support a strong alignment with the interests of shareholders and enhance shareholder -oriented management perspective  To encourage Directors’ spirit of challenge aligned with the values of Takeda-ism, perseverance  To establish transparent and appropriate governance of Directors' compensation to establish the credibility and support of our stakeholders 2. Level of Compensation We aim to be competitive in the global marketplace to attract and retain talent who will contribute to Takeda’s continued transformation into a Global, Values-based, R&D-driven Biopharmaceutical Leader. Directors' compensation is intended to be competitive in the global market consisting of major global companies. Specifically, the global market data includes compensation data from major global pharmaceutical companies with which we compete, and from other major companies in Japan, the U.S. and Switzerland. 3. Compensation Mix 3-1. Internal Directors The compensation of Internal Directors consists of "Basic Compensation"(Base Salary and other fixed compensation (if applicable)), which is paid at a fixed amount and "Performance-based Compensation", which is paid as a variable amount based on company and other performance factors. "Performance-based Compensation" consists of an annual "Bonus (short-term incentive compensation) " to be paid based on financial and other performance results for each fiscal year, and a "Long-term Incentive Plan (stock compensation)" linked with long-term company performance results over a 3-year period and with Takeda's share price. Both Bonus and Long-term incentives represent a significantly higher proportion of Total Director Compensation putting Internal Directors’ pay at risk in alignment with the Company’s performance. The ratio of Long-term Incentives is particularly high within Performance-based Compensation in order to ensure the alignment of the interests of Internal Directors and shareholders and drive mid-term and long-term company value creation. The targets range from 100%-250% of Base Salary for "Bonus" and range from 200% to 600% of Base Salary for "Long-term Incentive", reflecting the market practices of global companies. ■ Standard Compensation Mix Model for Internal Directors Fixed Performance-based Compensation *The ratio of Bonus and Long-term Incentives to Base Salary is determined according to the Internal Director’s position. Bonus 100%-250% of Base Salary* Basic Compensation Long-term Incentive Plan (stock compensation) 200% to 600% or more of Base Salary*


 
3-2. External Directors who are not Audit & Supervisory Committee Members The compensation of External Directors who are not Audit & Supervisory Committee Members consists of Basic Compensation, which is paid as a fixed amount, and Long-term Incentive (stock compensation). As part of the Basic Compensation, Chair Retainers are paid for the chair of the board of directors meeting, chairperson of the Compensation Committee, and chairperson of the Nomination Committee, in addition to the Board Retainer. Bonus is not available for this category of Director. The current compensation mix is "Basic Compensation" and "Long-term Incentive", which is a maximum of 100% of the Board Retainer. The compensation of External Directors who are not Audit & Supervisory Committee Members based outside of Japan may be adjusted to account for the impact of foreign exchange rates. ■ Standard Compensation Mix Model for External Directors who are not Audit & Supervisory Committee Members Fixed 3-3. Directors who are Audit & Supervisory Committee Members The compensation of Directors who are Audit & Supervisory Committee Members consists of Basic Compensation, which is paid as a fixed amount, and Long-term Incentive (stock compensation). As part of the Basic Compensation, Committee Retainer is paid for External Directors who are Audit & Supervisory Committee Members, and Chair Retainers are also paid for External Directors who are head of the Audit & Supervisory Committee, chairperson of the Compensation Committee, and chairperson of the Nomination Committee, in addition to the Board Retainer. Bonus is not available for this category of Director. The current compensation mix is "Basic Compensation" and "Long-term Incentive", which is a maximum of 100% of the Board Retainer. The compensation of External Directors who are Audit & Supervisory Committee Members based outside of Japan may be adjusted to account for the impact of foreign exchange rates. ■ Standard Compensation Mix Model for Directors who are Audit & Supervisory Committee Members Fixed 4. Performance-based Compensation 4-1. Internal Directors For Internal Directors, the Company has introduced a Long-term Incentive Plan that is allocated as 60% for the plan designed based on Performance Share Units (Performance Share Unit awards) and 40% for the plan designed based on Restricted Stock Units (Restricted Stock Unit awards). Performance Share Unit awards are tied to company performance results to strengthen the link between compensation and company performance and share price, and to reinforce Internal Directors’ commitment to increasing corporate value in the mid- and long-term. Restricted Stock Unit awards are linked only to share price. Annual Performance Share Unit Awards Performance Share Unit awards, which fall under Performance-based Compensation, will be linked to the latest mid- to long-term key performance indicators (KPIs) over a three-year performance period. KPIs are intended to be transparent and objective and may include top line revenues, cash flow, indicators on profit, R&D metrics and other performance factors. The payout range for Performance Share Unit awards is from 0% to 200% (100% at target), based on performance achievement. For Long-term Incentive awarded in 2019 and after, a two year holding period will be mandated, and this includes Restricted Stock Unit awards if and when shares become vested. Basic Compensation Chair Retainers are paid for chairs Long-term Incentive Plan (stock compensation) Maximum of 100% of Board Retainer Basic Compensation Committee Retainer is paid for External Directors and Chair Retainers are paid for External Directors who are chairs Long-term Incentive Plan (stock compensation) Maximum of 100% of Board Retainer


 
■ Annual Performance Share Unit Awards Image Special Performance Share Unit Awards In addition to regular stock compensation, the company may, from time to time, award one-time special Performance Share Unit awards which are directly linked to point-in-time corporate initiatives and which are aligned with shareholder expectations. Performance against established KPIs for one-time special Performance Share Unit awards are determined independently each year over a three-year period, with shares becoming vested after the relevant performance metric(s) are determined to have been achieved for the applicable period. There is no post-vesting holding period established for one-time special Performance Share Unit awards. ■ Special Performance Share Unit Awards (stock compensation) Image ■ Annual Bonus (Short-Term Incentive) Bonuses will be paid based on performance achievement of annual goals. Bonuses will be paid in the range of 0% to 200% (100% at target) in accordance with the achievement of KPIs, which may include top line revenues, indicators on profit, and other performance factors established for a single fiscal year. For President and CEO, the annual bonus is weighted as 100% to the achievement of the specified Corporate KPI(s). For other Internal Directors that have divisional responsibilities, 75% of their annual bonus opportunity is linked to the achievement of the specified Corporate KPI(s) to drive their commitment to group-wide goals, while 25% is linked to the achievement of the division KPI. 4-2. Directors who are Audit & Supervisory Committee Members and External Directors The Long-term Incentive Plan (stock compensation) for Directors who are Audit & Supervisory Committee Members and External Directors consists of Restricted Stock Unit awards linked only to share price and is not otherwise linked to company performance results. The stock compensation awarded in 2019 and after will vest three years after the award date of base points used for the calculation and Directors will be required to hold at least 75% of their vested share portion until they cease service as a director (however, stock compensation awarded in or before 2018 will vest and be paid after they cease service as a director). Bonuses are not available for these categories of Director. 3 year performance period 2 year holding period Shares vest FY (X) FY (X+3) FY (X+2) FY (X+1) FY (X+4) 3 year corporate initiative FY 1 FY 3 FY 2 FY 1 Performance Measurement FY 2 Performance Measurement FY 3 Performance Measurement Shares vest Shares vest Shares vest


 
■ Whole Picture of Director’s Compensation 1 Includes Special Performance Share Unit awards 2 Varies from 0% to 200% in accordance with the achievement of KPIs, which may include top line revenues, indicators on profit, and other performance factors established for a single fiscal year 3 Varies from 0% to 200% in accordance with the achievement of KPIs, which may include top line revenues, cash flow, indicators on profit, R&D metrics, and other performance factors over a three-year performance period 4 During term of office 5 Vest and paid three years after the award date of the base points used for the calculation are granted 5. Compensation Governance 5-1. Compensation Committee The Compensation Committee, with all the Committee members being External Directors, has been established to serve as an advisory body for the Board of Directors to ensure the appropriateness of Directors' compensation and the transparency in its decision-making process. The level of compensation, compensation mix and performance-based compensation (Long-term Incentives and Bonus programs) for Directors are reviewed by the Compensation Committee before resolution by the Board of Directors. The Company delegated to the Compensation Committee, by resolution of the Board of Directors, the authority to determine Internal Directors’ individual compensation in order to ensure the objectivity and transparency in the decision-making process. In order to enhance transparency of the Company’s corporate governance, the Company has externally disclosed the Compensation Committee Charter as a part of the Company’s corporate governance documents. The Director’s Compensation Policy may continue to evolve and be revised to guide the development of compensation programs that align with Directors' accountabilities and responsibilities, shareholder value creation and Takeda-ism. 5-2. Recoupment Policy The Compensation Committee and Board of Directors adopted a clawback policy in 2020 and amended that policy in 2023. The amended policy provides that, in the event of a restatement of financial results, Takeda will, in accordance with SEC and NYSE rules, recover from its executive officers any erroneously paid incentive compensation, which consists of incentive-based compensation for the applicable recovery period that would not have been granted absent the restatement (i.e., mandatory clawbacks). In addition, in the event of a restatement and/or significant misconduct, the independent External Directors may require Takeda to recoup additional incentive and other contingent compensation. This would include all or a portion of the incentive and other contingent compensation received by any Internal Director, any other member of the Takeda Executive Team (TET), and any other individual designated by the independent External Directors, within the fiscal year, and the three (3) prior fiscal years preceding the date of the Board of Directors’ determination of the restatement or the date that independent External Directors determines that significant misconduct occurred, as applicable. The amended policy became effective on October 2, 2023 and, with respect to mandatory clawbacks in the event of a restatement, applies to incentive compensation beginning in Fiscal Year 2023. Directors who are not Audit and Supervisory Committee Members Directors who are Audit and Supervisory Committee Members Internal Directors External Directors External Directors Basic Compensation    Bonus  2 Long-term Incentive Plan (stock compensation) Performance based 1  3, 4 Not linked to performance results  4  5  5