UNITED STATES
SECURITIES AND EXCHANGE COMMISSION
Washington, D.C. 20549

 

SCHEDULE 14A

 

Proxy Statement Pursuant to Section 14(a) of
the Securities Exchange Act of 1934 (Amendment No.           )

 

Filed by the Registrant x

Filed by a Party other than the Registrant ¨

Check the appropriate box:

 

¨Preliminary Proxy Statement

 

¨Confidential, for Use of the Commission Only (as permitted by Rule 14a-6(e)(2))

 

¨Definitive Proxy Statement

 

xDefinitive Additional Materials

 

¨Soliciting Material under §240.14a-12

 

PLAYSTUDIOS, Inc.

(Name of Registrant as Specified In Its Charter)

 

 

(Name of Person(s) Filing Proxy Statement, if other than the Registrant)

 

Payment of Filing Fee (Check the appropriate box):

 

xNo fee required.

 

¨Fee paid previously with preliminary materials.

 

¨Fee computed on table in exhibit required by Item 25(b) per Exchange Act Rules 14a6(i)(1) and 0-11.

 

 

 

GRAPHIC

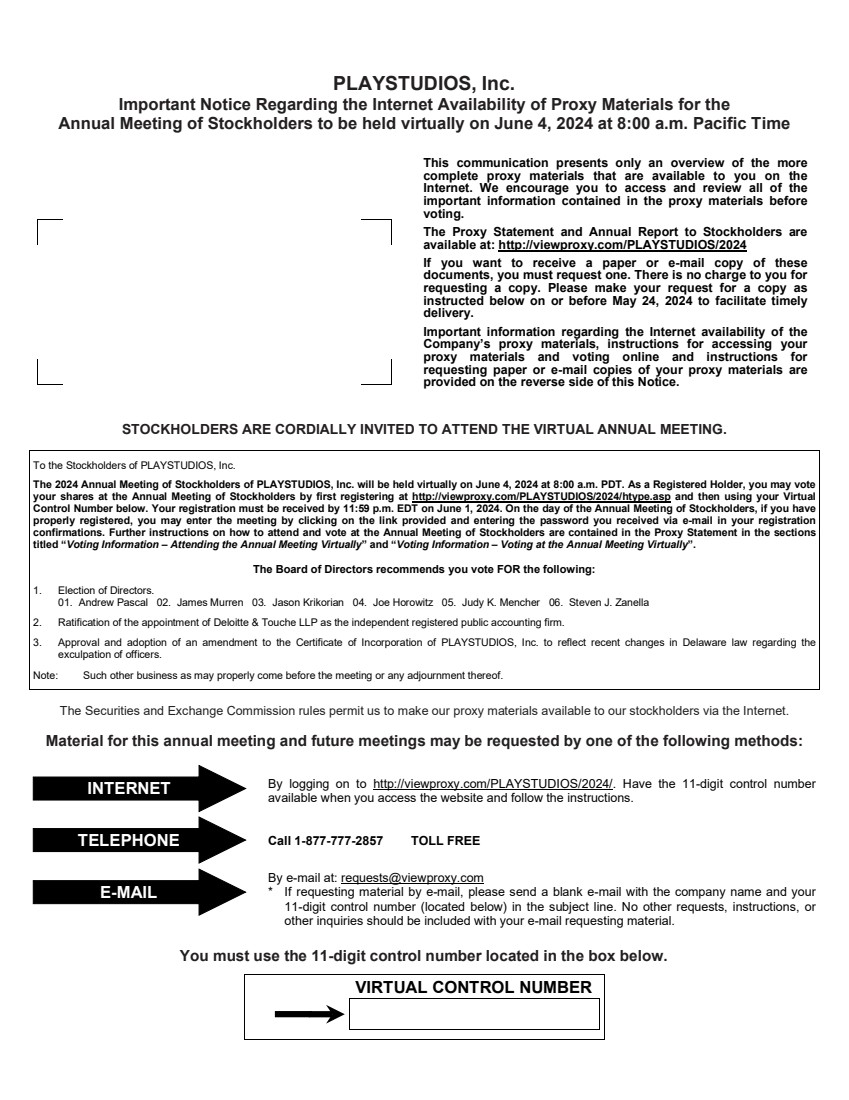
PLAYSTUDIOS, Inc. Important Notice Regarding the Internet Availability of Proxy Materials for the Annual Meeting of Stockholders to be held virtually on June 4, 2024 at 8:00 a.m. Pacific Time This communication presents only an overview of the more complete proxy materials that are available to you on the Internet. We encourage you to access and review all of the important information contained in the proxy materials before voting. The Proxy Statement and Annual Report to Stockholders are available at: http://viewproxy.com/PLAYSTUDIOS/2024 If you want to receive a paper or e-mail copy of these documents, you must request one. There is no charge to you for requesting a copy. Please make your request for a copy as instructed below on or before May 24, 2024 to facilitate timely delivery. Important information regarding the Internet availability of the Company’s proxy materials, instructions for accessing your proxy materials and voting online and instructions for requesting paper or e-mail copies of your proxy materials are provided on the reverse side of this Notice. STOCKHOLDERS ARE CORDIALLY INVITED TO ATTEND THE VIRTUAL ANNUAL MEETING. To the Stockholders of PLAYSTUDIOS, Inc. The 2024 Annual Meeting of Stockholders of PLAYSTUDIOS, Inc. will be held virtually on June 4, 2024 at 8:00 a.m. PDT. As a Registered Holder, you may vote your shares at the Annual Meeting of Stockholders by first registering at http://viewproxy.com/PLAYSTUDIOS/2024/htype.asp and then using your Virtual Control Number below. Your registration must be received by 11:59 p.m. EDT on June 1, 2024. On the day of the Annual Meeting of Stockholders, if you have properly registered, you may enter the meeting by clicking on the link provided and entering the password you received via e-mail in your registration confirmations. Further instructions on how to attend and vote at the Annual Meeting of Stockholders are contained in the Proxy Statement in the sections titled “Voting Information – Attending the Annual Meeting Virtually” and “Voting Information – Voting at the Annual Meeting Virtually”. The Board of Directors recommends you vote FOR the following: 1. Election of Directors. 01. Andrew Pascal 02. James Murren 03. Jason Krikorian 04. Joe Horowitz 05. Judy K. Mencher 06. Steven J. Zanella 2. Ratification of the appointment of Deloitte & Touche LLP as the independent registered public accounting firm. 3. Approval and adoption of an amendment to the Certificate of Incorporation of PLAYSTUDIOS, Inc. to reflect recent changes in Delaware law regarding the exculpation of officers. Note: Such other business as may properly come before the meeting or any adjournment thereof. The Securities and Exchange Commission rules permit us to make our proxy materials available to our stockholders via the Internet. Material for this annual meeting and future meetings may be requested by one of the following methods: By logging on to http://viewproxy.com/PLAYSTUDIOS/2024/. Have the 11-digit control number available when you access the website and follow the instructions. Call 1-877-777-2857 TOLL FREE By e-mail at: requests@viewproxy.com * If requesting material by e-mail, please send a blank e-mail with the company name and your 11-digit control number (located below) in the subject line. No other requests, instructions, or other inquiries should be included with your e-mail requesting material. You must use the 11-digit control number located in the box below. VIRTUAL CONTROL NUMBER INTERNET TELEPHONE E-MAIL

GRAPHIC

PLAYSTUDIOS, Inc. 10150 Covington Cross Drive Las Vegas, NV 89144 The following proxy materials are available to you to review at: http://viewproxy.com/PLAYSTUDIOS/2024/ 2023 Annual Report to Stockholders Notice and Proxy Statement ACCESSING YOUR PROXY MATERIALS ONLINE Have this notice available when you request a paper copy of the proxy materials or to vote your proxy electronically. You must reference your control number to vote by Internet or request a hard copy. You may vote your proxy when you view the material on the Internet. You will be asked to follow the prompts to vote your shares. Your electronic vote authorizes the named proxies to vote your shares in the same manner as if you marked, signed, dated, and returned the proxy card. Internet and telephone voting is available through 11:59 p.m. Eastern Daylight Time on June 3, 2024. REQUESTING A PAPER COPY OF THE PROXY MATERIALS By telephone please call 1-877-777-2857 or By logging onto http://viewproxy.com/PLAYSTUDIOS/2024/ or By e-mail at: requests@viewproxy.com Please include the company name and your control number in the subject line.

GRAPHIC

Get informed before you vote *If you choose to vote these shares in person at the meeting, you must request a “legal proxy.” To do so, please follow the instructions at www.ProxyVote.com or request a paper copy of the materials, which will contain the appropriate instructions. Please check the meeting materials for any special requirements for meeting attendance. Smartphone users Point your camera here and vote without entering a control number Your Vote Counts! FLASHID-JOB# For complete information and to vote, visit www.ProxyVote.com Control # Ricky Campana P.O. Box 123456 Suite 500 51 Mercedes Way Edgewood, NY 11717 148,294 322,224 1 OF 2 30# Hextone, Inc. P.O. Box 9142 Farmingdale, NY 11735 XXXX XXXX XXXX XXXX PLAYSTUDIOS, INC 2024 Annual Meeting Vote by June 03, 2024 11:59 PM ET You invested in PLAYSTUDIOS, INC and it's time to vote! You have the right to vote on proposals being presented at the Annual Meeting. This is an important notice regarding the availability of proxy material for the shareholder meeting to be held on June 04, 2024. View the Annual Report, Proxy Statement online OR you can receive a free paper or email copy of the material(s) by requesting prior to May 21, 2024. If you would like to request a copy of the material(s) for this and/or future shareholder meetings, you may (1) visit www.ProxyVote.com, (2) call 1-800-579-1639 or (3) send an email to sendmaterial@proxyvote.com. If sending an email, please include your control number (indicated below) in the subject line. Unless requested, you will not otherwise receive a paper or email copy. Vote in Person at the Meeting* June 04, 2024 8:00 AM PDT Annual Meeting to be held virtually: To attend, you must register as a Beneficial Holder at the below URL: http://viewproxy.com/PLAYSTUDIOS/2024/htype.asp

GRAPHIC

Voting Items Board Recommends THIS IS NOT A VOTABLE BALLOT This is an overview of the proposals being presented at the upcoming shareholder meeting. Please follow the instructions on the reverse side to vote these important matters. Vote at www.ProxyVote.com FLASHID-JOB# Control # XXXX XXXX XXXX XXXX 1.00000 322,224 148,294 Under New York Stock Exchange rules, brokers may vote “routine” matters at their discretion if your voting instructions are not communicated to us at least 10 days before the meeting. We will nevertheless follow your instructions, even if the broker’s discretionary vote has already been given, provided your instructions are received prior to the meeting date. PLAYSTUDIOS, INC 2024 Annual Meeting Vote by June 03, 2024 11:59 PM ET 1. Election of Directors Nominees: 01 Andrew Pascal 03 Jason Krikorian 05 Judy K. Mencher 02 James Murren 04 Joe Horowitz 06 Steven J. Zanella For 2. Ratification of the appointment of Deloitte & Touche LLP as the independent registered public accounting firm. For 3. Approval and adoption of an amendment to the Certificate of Incorporation of PLAYSTUDIOS, Inc. to reflect recent changes in Delaware law regarding the exculpation of officers. For NOTE: Such other business as may properly come before the meeting or any adjournment thereof.