skt-20240412
0000899715false00008997152024-04-122024-04-120000899715skt:TangerPropertiesLimitedPartnershipMember2024-04-122024-04-12

UNITED STATES
SECURITIES AND EXCHANGE COMMISSION

WASHINGTON, D.C. 20549
___________

FORM 8-K

Current Report Pursuant to Section 13 or 15(d) of
The Securities Exchange Act of 1934

Date of Report (date of earliest event reported): April 12, 2024

TANGER INC.
TANGER PROPERTIES LIMITED PARTNERSHIP
_________________________________________
(Exact name of registrant as specified in its charter)
North Carolina1-1198656-1815473
(State or other jurisdiction of Incorporation)(Commission File Number)(I.R.S. Employer Identification Number)


3200 Northline Avenue, Suite 360, Greensboro, NC 27408
(Address of principal executive offices)
(336) 292-3010
(Registrant’s telephone number, including area code)

N/A
(former name or former address, if changed since last report)


Check the appropriate box below if the Form 8-K filing is intended to simultaneously satisfy the filing obligation of the registrant under any of the following provisions:

Written communications pursuant to Rule 425 under the Securities Act (17 CFR 230.425)

Soliciting material pursuant to Rule 14a-12 under the Exchange

Pre-commencement communications pursuant to Rule 14d-2(b) under the Exchange Act (17 CFR 240.14d-2(b))

Pre-commencement communications pursuant to Rule 13e-4(c) under the Exchange Act (17 CFR 240.13e-4(c))

Securities registered pursuant to Section 12(b) of the Act:
Title of each classTrading Symbol(s)Name of each exchange on which registered
Common Shares,
$0.01 par value
SKTNew York Stock Exchange

Indicate by check mark whether the registrant is an emerging growth company as defined in Rule 405 of the Securities Act of 1933 (§230.405 of this chapter) or Rule 12b-2 of the Securities Exchange Act of 1934 (§240.12b-2 of this chapter).

Emerging growth company

If an emerging growth company, indicate by check mark if the registrant has elected not to use the extended transition period for complying with any new or revised financial accounting standards provided pursuant to Section 13(a) of the Exchange Act. o









Item 1.01    Entry into a Material Definitive Agreement

On April 12, 2024, Tanger Properties Limited Partnership (the “Operating Partnership”), a majority owned subsidiary of Tanger Inc. (the “Company”), closed on a Fifth Amendment (the "Fifth Amendment") to the Restated Revolving Credit Agreement (as amended, the "Revolving Credit Agreement") between the Operating Partnership, the Company, Bank of America, National Association, as administrative agent, and the lenders party thereto. The Fifth Amendment, among other things, increased the maximum amount available to be borrowed under the Revolving Credit Agreement from $500 million to $600 million, with an accordion feature to increase total borrowing capacity to $1.2 billion, extended the maturity date from July 14, 2025 to April 12, 2028 (which may be extended by one additional year by exercising extension options), and reduced the applicable pricing margin from adjusted SOFR plus 100 basis points to adjusted SOFR plus 85 basis points based on the Company's current credit rating.

The Operating Partnership also closed on a Fifth Amendment to the Amended and Restated Liquidity Credit Agreement (as amended, the "Liquidity Credit Agreement"), which carries the same revised maturity date, extension options and pricing grid as the Revolving Credit Agreement, with capacity remaining at $20 million.

The Revolving Credit Agreement and the Liquidity Credit Agreement provide for $620 million of available borrowing capacity in aggregate, up from $520 million previously. Both agreements continue to be guaranteed by the Company pursuant to a guarantee agreement.

The foregoing description of the Fifth Amendment and the Liquidity Credit Agreement is qualified in its entirety by reference to the full text of the Fifth Amendment and the Liquidity Credit Agreement, which are filed as exhibit 10.1 and exhibit 10.2, respectively, hereto and incorporated herein by reference.

Item 2.03 Creation of a Direct Financial Obligation or an Obligation under an Off-Balance Sheet Arrangement of a Registrant

The information required by Item 2.03 is set forth in Item 1.01 above, which is incorporated herein by reference.

Item 7.01 Regulation FD Disclosure

On April 15, 2024, the Company issued a press release that announced consummation of the amended Revolving Credit Agreement. A copy of the press release is attached as Exhibit 99.1.

Item 9.01   Financial Statements and Exhibits

(d) Exhibits

The following exhibits are included with this Report:
Exhibit No.
10.1 
10.2
99.1
104
Cover Page Interactive Data File - the cover page XBRL tags are embedded within the Inline XBRL document














SIGNATURES

Pursuant to the requirements of the Securities Exchange Act of 1934, the registrant has duly caused this report to be signed on its behalf by the undersigned hereunto duly authorized.

Dated: April 15, 2024


TANGER INC.
By:/s/ Michael J. Bilerman
 Michael J. Bilerman
 Executive Vice President, Chief Financial Officer and Chief Investment Officer (Principal Financial Officer)

TANGER PROPERTIES LIMITED PARTNERSHIP
By:TANGER INC., its sole general partner
By:/s/ Michael J. Bilerman
 Michael J. Bilerman
 Executive Vice President, Chief Financial Officer and Chief Investment Officer (Principal Financial Officer)

baml_tanger-fifthamended
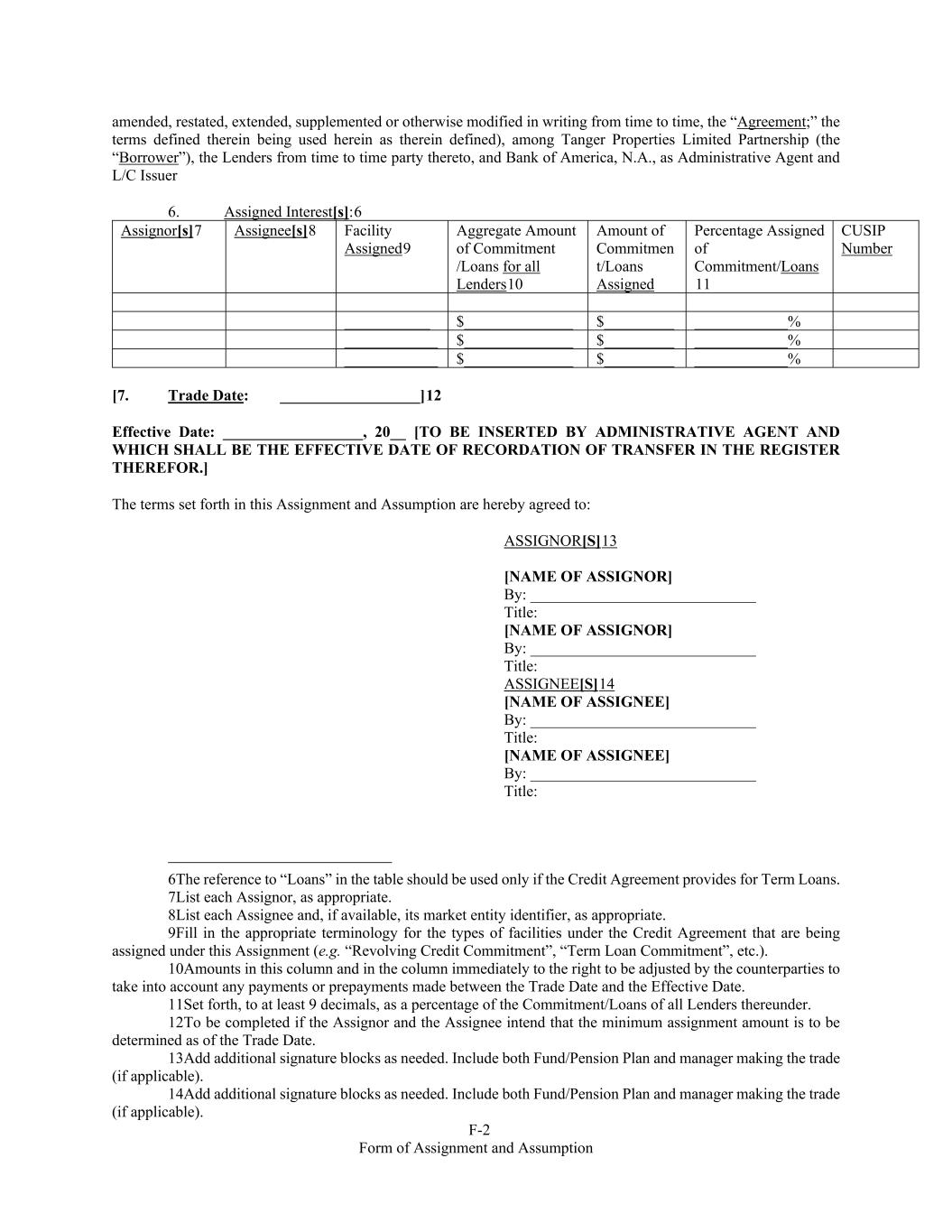
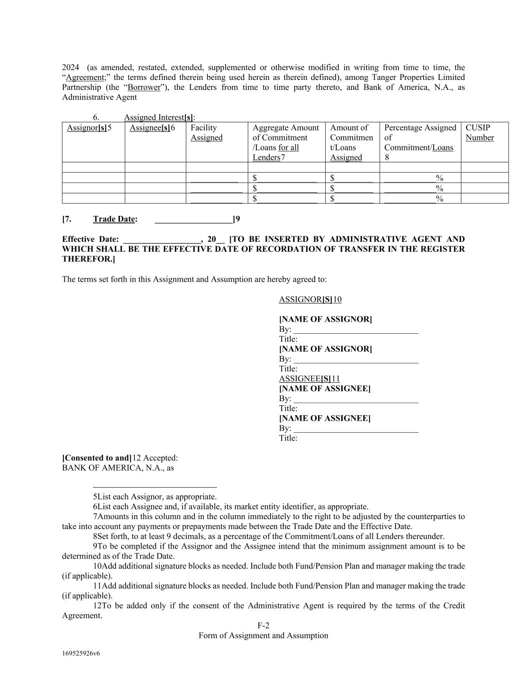
Published CUSIP Number: Facility: 87548EAM7 Deal: 87548EAL9 FIFTH AMENDED AND RESTATED CREDIT AGREEMENT Dated as of April 12, 2024 Among TANGER PROPERTIES LIMITED PARTNERSHIP, as the Borrower, BANK OF AMERICA, N.A., as Administrative Agent and L/C Issuer, and The Other Lenders Party Hereto BofA SECURITIES, INC. WELLS FARGO SECURITIES, LLC, TRUIST SECURITIES, INC., TD BANK, N.A. and U.S. BANK NATIONAL ASSOCIATION as Joint Bookrunners and Joint Lead Arrangers, WELLS FARGO BANK, NATIONAL ASSOCIATION, TRUIST BANK, TD BANK, N.A. and U.S. BANK NATIONAL ASSOCIATION as Syndication Agents REGIONS BANK as Documentation Agent


 
TABLE OF CONTENTS Page - -i- ARTICLE I DEFINITIONS AND ACCOUNTING TERMS ............................................................................. 1 1.01. Defined Terms. ............................................................................................................................... 1 1.02. Other Interpretive Provisions ........................................................................................................ 31 1.03. Accounting Terms. ........................................................................................................................ 32 1.04. Rounding. ...................................................................................................................................... 33 1.05. Exchange Rates; Currency Equivalents. ....................................................................................... 33 1.06. Times of Day ................................................................................................................................. 33 1.07. Letter of Credit Amounts. ............................................................................................................. 33 1.08. Applicable Rate Redeterminations. ............................................................................................... 33 ARTICLE II THE COMMITMENTS AND CREDIT EXTENSIONS .............................................................. 34 2.01. Committed Loans. ......................................................................................................................... 34 2.02. Borrowings, Conversions and Continuations of Committed Loans. ............................................. 34 2.03. Bid Loans. ..................................................................................................................................... 36 2.04. Letters of Credit. ........................................................................................................................... 38 2.05. [Intentionally Omitted]. ................................................................................................................ 45 2.06. Prepayments .................................................................................................................................. 45 2.07. Termination or Reduction of Commitments. ................................................................................ 46 2.08. Repayment of Loans. .................................................................................................................... 46 2.09. Interest. ......................................................................................................................................... 47 2.10. Fees. .............................................................................................................................................. 47 2.11. Computation of Interest and Fees. ................................................................................................ 48 2.12. Evidence of Debt. .......................................................................................................................... 48 2.13. Payments Generally; Administrative Agent’s Clawback. ............................................................. 48 2.14. Sharing of Payments by Lenders. .................................................................................................. 50 2.15. Extension of Maturity Date. .......................................................................................................... 51 2.16. Increase in Commitments. ............................................................................................................. 52 2.17. Cash Collateral. ............................................................................................................................. 53 2.18. Defaulting Lenders. ....................................................................................................................... 54 2.19. ESG Amendment; Sustainability Coordinator. ............................................................................. 56 ARTICLE III TAXES, YIELD PROTECTION AND ILLEGALITY ................................................................ 56 3.01. Taxes. ............................................................................................................................................ 56 3.02. Illegality. ....................................................................................................................................... 60 3.03. Inability to Determine Rates. ........................................................................................................ 61 3.04. Increased Costs; Reserves on Loans. ............................................................................................ 63 3.05. Compensation for Losses. ............................................................................................................. 64 3.06. Mitigation Obligations; Replacement of Lenders. ........................................................................ 64 3.07. Survival. ........................................................................................................................................ 65 ARTICLE IV CONDITIONS PRECEDENT TO CREDIT EXTENSIONS ....................................................... 65 4.01. Conditions of Initial Credit Extension. ......................................................................................... 65 4.02. Conditions to all Credit Extensions. .............................................................................................. 67 ARTICLE V REPRESENTATIONS AND WARRANTIES ............................................................................. 67 5.01. Existence, Qualification and Power. ............................................................................................. 67 5.02. Authorization; No Contravention. ................................................................................................. 68 5.03. Governmental Authorization; Other Consents. ............................................................................. 68 5.04. Binding Effect. .............................................................................................................................. 68 5.05. Financial Statements; No Material Adverse Effect. ...................................................................... 68 5.06. Litigation. ...................................................................................................................................... 68


 
TABLE OF CONTENTS (continued) Page -ii- 5.07. No Default. .................................................................................................................................... 69 5.08. Ownership of Property; . ............................................................................................................... 69 5.09. Environmental Compliance. .......................................................................................................... 69 5.10. Insurance. ...................................................................................................................................... 69 5.11. Taxes. ............................................................................................................................................ 69 5.12. ERISA Compliance. ...................................................................................................................... 69 5.13. Subsidiaries; Equity Interests . ...................................................................................................... 70 5.14. Margin Regulations; Investment Company Act. .......................................................................... 70 5.15. Disclosure. .................................................................................................................................... 70 5.16. Compliance with Laws. ................................................................................................................. 71 5.17. Taxpayer Identification Number; Other Identifying Information. ............................................... 71 5.18. Intellectual Property; Licenses, Etc. .............................................................................................. 71 5.19. OFAC. ........................................................................................................................................... 71 5.20. Anti-Corruption Laws ................................................................................................................... 71 5.21. Affected Financial Institutions. ..................................................................................................... 71 5.22. Covered Entities. ........................................................................................................................... 71 5.23. Representations as to Foreign Obligors ........................................................................................ 71 ARTICLE VI AFFIRMATIVE COVENANTS ................................................................................................... 72 6.01. Financial Statements. .................................................................................................................... 72 6.02. Certificates; Other Information. .................................................................................................... 73 6.03. Notices. ......................................................................................................................................... 74 6.04. Payment of Taxes. ......................................................................................................................... 75 6.05. Preservation of Existence, Etc. ...................................................................................................... 75 6.06. Maintenance of Properties. ........................................................................................................... 75 6.07. Maintenance of Insurance. ............................................................................................................ 75 6.08. Compliance with Laws. ................................................................................................................. 75 6.09. Books and Records........................................................................................................................ 76 6.10. Inspection Rights. ......................................................................................................................... 76 6.11. Use of Proceeds. ............................................................................................................................ 76 6.12. Additional Guarantors. .................................................................................................................. 76 6.13. Approvals and Authorizations. ...................................................................................................... 77 6.14. REIT Status ................................................................................................................................... 77 6.15. Environmental Matters. ................................................................................................................. 77 6.16. Anti-Corruption Laws; Sanctions. ................................................................................................ 78 ARTICLE VII NEGATIVE COVENANTS ......................................................................................................... 78 7.01. Liens. ............................................................................................................................................. 78 7.02. Investments. .................................................................................................................................. 78 7.03. Indebtedness. ................................................................................................................................. 79 7.04. Fundamental Changes. .................................................................................................................. 79 7.05. Dispositions. .................................................................................................................................. 80 7.06. Anti-Terrorism/Anti-Corruption Laws. ......................................................................................... 80 7.07. Change in Nature of Business. ...................................................................................................... 80 7.08. Transactions with Affiliates. ......................................................................................................... 80 7.09. Burdensome Agreements. ............................................................................................................. 80 7.10. Use of Proceeds. ............................................................................................................................ 81 7.11. Financial Covenants ...................................................................................................................... 81 7.12. Organizational Documents; Ownership of Subsidiaries. ............................................................... 81 7.13. Negative Pledges. .......................................................................................................................... 82 7.14. Sale Leasebacks ............................................................................................................................ 82 7.15. Prepayments of Indebtedness ........................................................................................................ 82 7.16. Anti-Corruption Laws/Sanctions; ................................................................................................. 82


 
TABLE OF CONTENTS (continued) Page -iii- ARTICLE VIII EVENTS OF DEFAULT AND REMEDIES ................................................................................ 82 8.01. Events of Default. ......................................................................................................................... 82 8.02. Remedies Upon Event of Default. ................................................................................................ 84 8.03. Application of Funds. .................................................................................................................... 84 ARTICLE IX ADMINISTRATIVE AGENT ...................................................................................................... 85 9.01. Appointment and Authority .......................................................................................................... 85 9.02. Rights as a Lender. ........................................................................................................................ 85 9.03. Exculpatory Provisions. ................................................................................................................ 86 9.04. Reliance by Administrative Agent ................................................................................................ 86 9.05. Delegation of Duties. .................................................................................................................... 86 9.06. Resignation or Removal of Administrative Agent. ....................................................................... 87 9.07. Non-Reliance on Administrative Agent and Other Lenders. ........................................................ 88 9.08. No Other Duties, Etc. .................................................................................................................... 88 9.09. Administrative Agent May File Proofs of Claim. ......................................................................... 88 9.10. ERISA Matters. ............................................................................................................................. 89 9.11. Guaranty Matters. ......................................................................................................................... 90 9.12. Recovery of Erroneous Payments. ................................................................................................ 90 ARTICLE X MISCELLANEOUS ..................................................................................................................... 90 10.01. Amendments, Etc. ......................................................................................................................... 90 10.02. Notices; Effectiveness; Electronic Communication. ..................................................................... 92 10.03. No Waiver; Cumulative Remedies; Enforcement. ........................................................................ 93 10.04. Expenses; Indemnity; Damage Waiver. ........................................................................................ 94 10.05. Payments Set Aside. ...................................................................................................................... 95 10.06. Successors and Assigns. ................................................................................................................ 96 10.07. Treatment of Certain Information; Confidentiality. ...................................................................... 99 10.08. Right of Setoff. ............................................................................................................................ 100 10.09. Interest Rate Limitation. ............................................................................................................. 100 10.10. Counterparts; Integration; Effectiveness. .................................................................................... 100 10.11. Survival of Representations and Warranties. .............................................................................. 101 10.12. Severability. ................................................................................................................................ 101 10.13. Replacement of Lenders. ............................................................................................................. 101 10.14. Governing Law; Jurisdiction; Etc. .............................................................................................. 102 10.15. Waiver of Jury Trial. ................................................................................................................... 103 10.16. No Advisory or Fiduciary Responsibility. .................................................................................. 103 10.17. Electronic Signatures. ................................................................................................................. 103 10.18. USA PATRIOT Act. ................................................................................................................... 104 10.19. Time of the Essence. ................................................................................................................... 104 10.20. Judgment Currency ..................................................................................................................... 104 10.21. Replaced Credit Facility. ............................................................................................................. 105 10.22. Acknowledgement and Consent to Bail-In of Affected Financial Institutions. ........................... 105 10.23. Acknowledgement Regarding Any Supported QFCs. ................................................................ 105


 
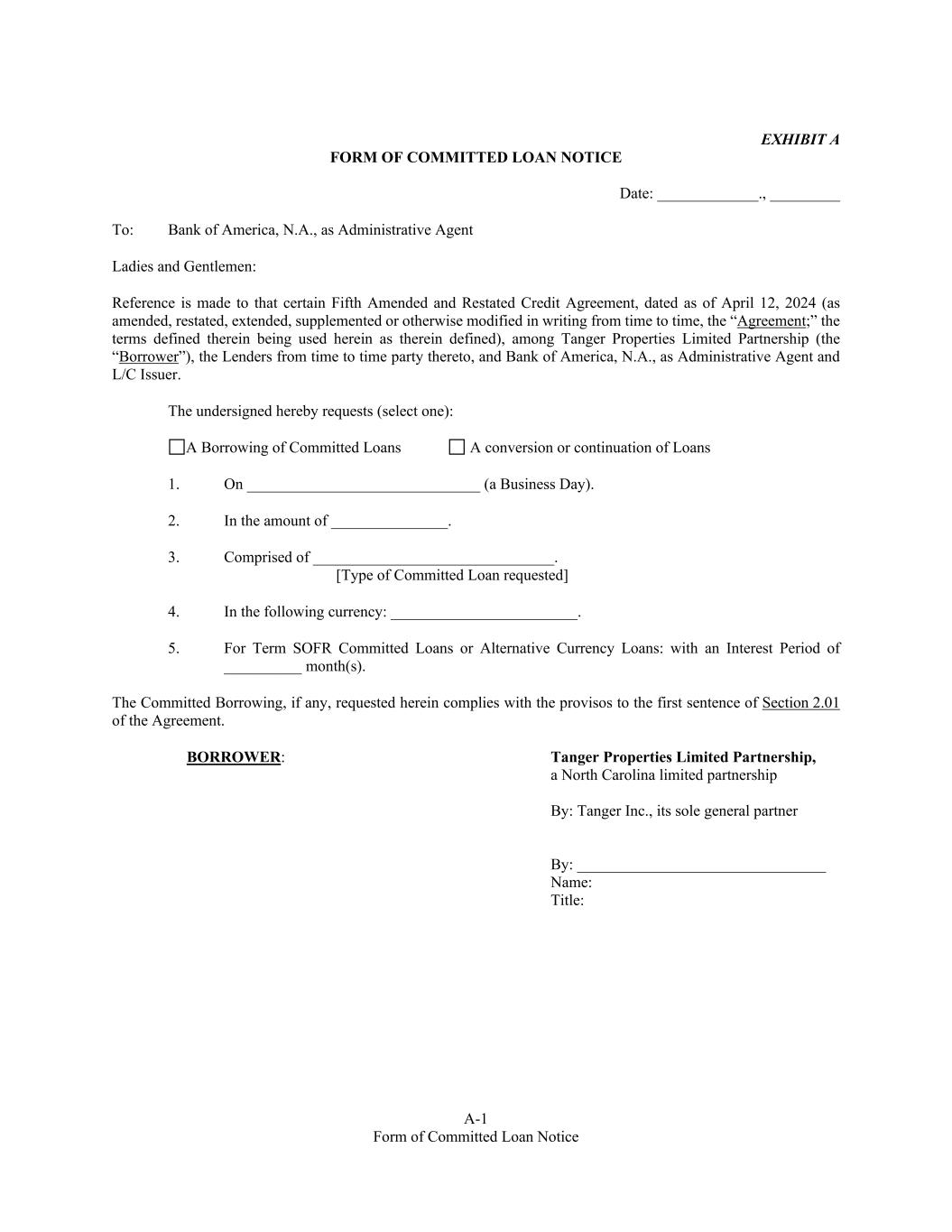
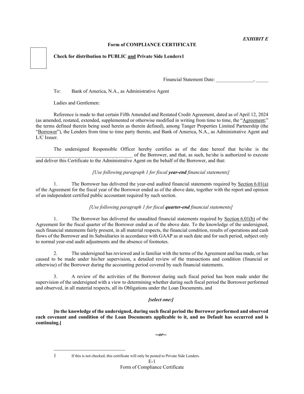
-iv- SCHEDULES 1.01 Existing Letters of Credit 2.01 Commitments and Applicable Percentages 5.05 Supplement to Financial Statements 5.06 Litigation 5.09 Environmental Disclosure Items 5.12(d) Pension Plan Obligations 5.13 Subsidiaries; Other Equity Investments; Equity Interests in Borrower 5.18 Intellectual Property Matters 10.02 Administrative Agent’s Office; Certain Addresses for Notices EXHIBITS A Form of Committed Loan Notice B-1 Competitive Bid Request B-2 Competitive Bid C [Intentionally Omitted] D Form of Note E Form of Compliance Certificate F-1 Form of Assignment and Assumption F-2 Form of Administrative Questionnaire G Form of Guaranty H Form of U.S. Tax Compliance Certificate


 
FIFTH AMENDED AND RESTATED CREDIT AGREEMENT This FIFTH AMENDED AND RESTATED CREDIT AGREEMENT (“Agreement”) is entered into as of April 12, 2024 among TANGER PROPERTIES LIMITED PARTNERSHIP, a North Carolina limited partnership (the “Borrower”), each lender from time to time party hereto either as a result of such party’s execution of this Agreement as a “Lender” as of the date hereof or as a result of such party being made a “Lender” hereunder by virtue of an executed Assignment and Assumption (collectively, the “Lenders” and individually, a “Lender”), and BANK OF AMERICA, N.A., as Administrative Agent and L/C Issuer. WHEREAS, the Borrower is a party to the Replaced Credit Facility (as defined herein); WHEREAS, the Borrower has requested that the Lenders amend and restate the Replaced Credit Facility in its entirety; WHEREAS, the Lenders are willing to do so on the terms and conditions set forth herein; and WHEREAS, (a) this Agreement is an amendment and restatement of the Replaced Credit Facility in its entirety and (b) this amendment and restatement does not represent a novation with respect to the rights and “Obligations” under the Replaced Credit Facility; NOW, THEREFORE, IN CONSIDERATION of the mutual covenants and agreements herein contained, and other good and valuable consideration, the receipt and sufficiency of which are hereby acknowledged, the parties hereto covenant and agree as follows: ARTICLE I DEFINITIONS AND ACCOUNTING TERMS 1.01. Defined Terms. As used in this Agreement, the following terms shall have the meanings set forth below: “Absolute Rate” means a fixed rate of interest expressed in multiples of 1/100th of one basis point. “Absolute Rate Loan” means a Bid Loan that bears interest at a rate determined with reference to an Absolute Rate. “Adjusted EBITDA” shall mean, with respect to a Person as of any Calculation Date and for the Calculation Period applicable to such Calculation Date, such Person’s EBITDA for such period plus (x) any general and administrative expenses not directly attributable and charged to the Subsidiaries or Properties less (y) the greater of (i) the actual property management fee paid during such period and (ii) an imputed general external property management fee in the amount of three percent (3%) of the rental revenues derived from Properties and Projects of such Person for such period (without duplication of any general external property management fee already deducted in determining such Person’s EBITDA). “Adjusted Unencumbered Asset Value” shall mean, as of any Calculation Date, the aggregate amount (without duplication) of the following, but only if and to the extent held directly by the Borrower or any Wholly- Owned Subsidiary or Controlled Subsidiary that is not an Exempt Subsidiary on and as of such Calculation Date: (a) the sum of: (i) unrestricted cash and Cash Equivalents held (excluding any tenant deposits); plus (ii) cost value of Projects Under Development that are included in Unencumbered Assets (provided however, that the amount included under this item (a)(ii) shall (A) not comprise more than fifteen percent (15%) of the total amount of Adjusted Unencumbered Asset Value and (B) include only costs incurred as of any Calculation Date); plus


 
2 (iii) cost value of New Developments that are included in Unencumbered Assets (provided however, that the amount included under this item (a)(iii) shall include only costs incurred as of any Calculation Date); plus (b) an amount equal to: (i) (x) Unencumbered EBITDA for the Calculation Period applicable to such Calculation Date (as adjusted by the Borrower (1) to take into account the Unencumbered EBITDA of any dispositions during such Calculation Period of Unencumbered Assets and (2) to deduct Unencumbered EBITDA for any Projects Under Development and New Developments that are included in Unencumbered Assets, each of which adjustments must be approved by the Administrative Agent in its reasonable discretion), minus (y) the Capital Expenditure Reserve with respect to such assets (excluding Projects Under Development and New Developments that are included in Unencumbered Assets); divided by (ii) .075 provided, however, that (I) not less than ninety percent (90%) of the sum of items (a)(ii), (a)(iii) and (b) must be derived from retail properties; provided, that if, and to the extent, the amount of the sum of said items (a)(ii), (a)(iii) and (b) derived from non-retail properties exceeds ten percent (10%) of Adjusted Unencumbered Asset Value, said excess shall not be included in Adjusted Unencumbered Asset Value, (II) the Unencumbered Assets from which items (a)(iii) and (b) are derived must have an average occupancy rate of not less than eighty-five percent (85%), determined on a weighted average basis; provided, that if, and to the extent, such average occupancy rate is less than eighty-five percent (85%), amounts attributable to Unencumbered Assets contributing to items (a)(iii) and/or (b) must be removed from the calculation thereof to the extent necessary to cause such occupancy rate to equal or exceed eighty-five percent (85%), and (III) no more than 10.0% of the assets contributing to the determination of Adjusted Unencumbered Asset Value may be allocable to assets owned by Controlled Subsidiaries (and any final calculation of Adjusted Unencumbered Asset Value shall be revised to remove any such excess). “Administrative Agent” means Bank of America in its capacity as administrative agent under any of the Loan Documents, or any successor administrative agent. “Administrative Agent’s Office” means, with respect to any currency, the Administrative Agent’s address and, as appropriate, account as set forth on Schedule 10.02 with respect to such currency, or such other address or account with respect to such currency as the Administrative Agent may from time to time notify to the Borrower and the Lenders. “Administrative Questionnaire” means an Administrative Questionnaire in substantially the form of Exhibit F-2 or any other form approved by the Administrative Agent. “Advance Funding Arrangements” means any arrangements requested by the Borrower and acceptable to the Administrative Agent in its sole discretion for the delivery of funds by Lenders to or for the account of the Administrative Agent for safekeeping pending their delivery by the Administrative Agent to the Borrower on the Closing Date to fund Committed Loans of such Lenders on such date. “Advance Funding Documentation” means such deposit account documentation, securities account agreements, custodial agreements, security agreements, funding indemnities or other documentation as the Administrative Agent may reasonably require in connection with Advance Funding Arrangements. “Affected Financial Institution” means (a) any EEA Financial Institution, or (b) any UK Financial Institution. “Affiliate” means, with respect to a specified Person, another Person that directly, or indirectly through one or more intermediaries, Controls or is Controlled by or is under common Control with the Person specified.


 
3 “Aggregate Commitments” means the Commitments of all the Lenders, as adjusted from time to time in accordance with the terms of this Agreement. The Aggregate Commitments as of the Closing Date shall be $600,000,000. “Agreement” means this Credit Agreement, as amended, restated, supplemented, extended and otherwise modified from time to time. “Alternative Currency” means Canadian Dollars, the lawful currency of the nation of Canada. “Alternative Currency Benchmark” means, with respect to Canadian Dollars, initially, Term CORRA; provided that if a replacement of the applicable Alternative Currency Benchmark has occurred pursuant to Section 3.03(c), then “Alternative Currency Benchmark” means the applicable Alternative Currency Successor Rate to the extent that such Alternative Currency Successor Rate has replaced such prior benchmark rate. Any reference to “Alternative Currency Benchmark” shall include, as applicable, the published component used in the calculation thereof. “Alternative Currency Benchmark Transition Event” means, with respect to any then-current Alternative Currency Benchmark other than Term CORRA, the occurrence of a public statement or publication of information by or on behalf of the administrator of the then-current Alternative Currency Benchmark, the regulatory supervisor for the administrator of such Alternative Currency Benchmark, any Governmental Authority with jurisdiction over such administrator for such Alternative Currency Benchmark, or, in the case of the Alternative Currency Benchmark with respect to Canadian Dollars, the Bank of Canada, announcing or stating that (a) such administrator has ceased or will cease on a specified date to provide all Available Tenors of such Alternative Currency Benchmark, permanently or indefinitely, provided that, at the time of such statement or publication, there is no successor administrator that will continue to provide any Available Tenor of such Alternative Currency Benchmark or (b) all Available Tenors of such Alternative Currency Benchmark are or will no longer be representative of the underlying market and economic reality that such Alternative Currency Benchmark is intended to measure and that representativeness will not be restored. “Alternative Currency Equivalent” means, at any time, with respect to any amount denominated in Dollars, the equivalent amount thereof in Canadian Dollars as determined by the Administrative Agent or the L/C Issuer, as the case may be, by reference to Bloomberg (or such other publicly available service for displaying exchange rates), to be the exchange rate for the purchase of such Canadian Dollars with Dollars at approximately 11:00 a.m. on the date two (2) Business Days prior to the date as of which the foreign exchange computation is made; provided, however, that if no such rate is available, the “Alternative Currency Equivalent” shall be determined by the Administrative Agent or the L/C Issuer, as the case may be, using any reasonable method of determination its deems appropriate in its sole discretion (and such determination shall be conclusive absent manifest error). “Alternative Currency Loan” means a Committed Loan that bears interest at a rate based on Term CORRA or, to the extent an Alternative Currency Successor Rate has been selected pursuant to Section 3.03 hereof, such Alternative Currency Successor Rate. “Alternative Currency Sublimit” means an amount equal to the lesser of (a) the Aggregate Commitments and (b) $100,000,000.00. The Alternative Currency Sublimit is part of, and not in addition to, the Aggregate Commitments. “Alternative Currency Successor Rate” means, for any Available Tenor, the sum of (a) the alternate benchmark rate and (b) an adjustment (which may be a positive or negative value or zero), in each case, that has been selected by the Administrative Agent and the Borrower as the replacement for such Available Tenor of such Alternative Currency Benchmark giving due consideration to any evolving or then-prevailing market convention, including any applicable recommendations made by the Relevant Governmental Body, for Alternative Currency- denominated syndicated credit facilities at such time; provided that, if the Alternative Currency Successor Rate as determined above would be less than the zero, the Alternative Currency Successor Rate will be deemed to be zero for the purposes of this Agreement and the other Loan Documents. Any Alternative Currency Successor Rate shall be applied in a manner consistent with market practice; provided, that, to the extent such market practice is not administratively feasible for the Administrative Agent, such Alternative


 
4 Currency Successor Rate shall be applied in a manner as otherwise reasonably determined by the Administrative Agent. “Alternative Currency Successor Rate Conforming Changes” means, with respect to any Alternative Currency Successor Rate, any technical, administrative or operational changes (including changes to the definition of “Business Day”, the definition of “Interest Period”, timing and frequency of determining rates and making payments of interest, timing of borrowing requests or prepayment, conversion or continuation notices, the applicability and length of lookback periods, the applicability of breakage provisions, and other technical, administrative or operational matters) that the Administrative Agent, in consultation with the Borrower, decides may be appropriate to reflect the adoption and implementation of such Alternative Currency Successor Rate and to permit the administration thereof by the Administrative Agent in a manner substantially consistent with market practice (or, if the Administrative Agent decides, in consultation with the Borrower, that adoption of any portion of such market practice is not administratively feasible or if the Administrative Agent determines that no market practice for the administration of such Alternative Currency Successor Rate exists, in such other manner of administration as the Administrative Agent decides is reasonably necessary (after consultation with the Borrower) in connection with the administration of this Agreement and the other Loan Documents). “Annual Period” shall mean the most recently-ended twelve (12) calendar month period for which the Borrower has provided financial information. “Applicable Authority” means (a) with respect to SOFR, the SOFR Administrator or any Governmental Authority having jurisdiction over the Administrative Agent or the SOFR Administrator with respect to its publication of SOFR, in each case acting in such capacity, (b) with respect to Term SOFR, CME or any successor administrator of the Term SOFR Screen Rate or any Governmental Authority having jurisdiction over the Administrative Agent or such administrator with respect to its publication of Term SOFR and/or the Term SOFR Screen Rate, in each case acting in such capacity; and (c) with respect to any Alternative Currency, the applicable administrator for the Relevant Rate for such Alternative Currency or any Governmental Authority having jurisdiction over the Administrative Agent or such administrator with respect to its publication of the applicable Relevant Rate, in each case acting in such capacity. “Applicable Percentage” means with respect to any Lender at any time, the percentage (carried out to the ninth decimal place) of the Aggregate Commitments represented by such Lender’s Commitment at such time, subject to adjustment as provided in this Agreement, including without limitation in Section 2.18. If the commitment of each Lender to make Loans and the obligation of the L/C Issuer to make L/C Credit Extensions have been terminated pursuant to Section 8.02 or if the Aggregate Commitments have expired, then the Applicable Percentage of each Lender shall be determined based on the Applicable Percentage of such Lender most recently in effect, giving effect to any subsequent assignments permitted hereunder. The initial Applicable Percentage of each Lender is set forth opposite the name of such Lender on Schedule 2.01 or in the Assignment and Assumption pursuant to which such Lender becomes a party hereto, as applicable. “Applicable Rate” means, from time to time, the following percentages per annum, based upon the Debt Rating as set forth below: Pricing Level Borrower Debt Rating Term SOFR, Term CORRA, and Daily Simple SOFR Applicable Rate/ LC Fee % Base Rate Applicable Spread Facility Fee 1 >A+/A1 0.650% 0.000% 0.100% 2 A/A2 0.700% 0.000% 0.100% 3 A-/A3 0.725% 0.000% 0.125% 4 BBB+/Baa1 0.775% 0.000% 0.150% 5 BBB/Baa2 0.850% 0.000% 0.200% 6 BBB-/Baa3 1.050% 0.050% 0.250% 7 <BBB-/Baa3 1.400% 0.400% 0.300%


 
5 “Debt Rating” means, as of any date of determination, the long-term senior unsecured, non-credit enhanced debt rating of the Borrower by S&P, Moody’s and/or Fitch (together with S&P and Moody’s, the “Rating Agencies”). If at any time the Borrower only has a Debt Rating from one of S&P or Moody’s, the applicable ratings category shall be based on such rating. If at any time when the Borrower has only two (2) Debt Ratings, and such Debt Ratings are split, then: (i) if the difference between such Debt Ratings is one ratings category (e.g. Baa2 by Moody's and BBB- by S&P or Fitch), the higher of the Debt Ratings shall apply; and (ii) if the difference between such Debt Ratings is two or more ratings categories (e.g. Baa1 by Moody's and BBB- by S&P or Fitch), the median of the applicable Debt Ratings shall apply (provided, that, if there is no discernable median of the applicable Debt Ratings, then the applicable Debt Rating shall be the Debt Rating that is the recognized rating category that is immediately above the average of such Debt Ratings). If at any time when the Borrower has three (3) Debt Ratings, and such Debt Ratings are split, then: (i) if the difference between the highest and the lowest such Debt Ratings is one ratings category (e.g. Baa2 by Moody's and BBB- by S&P or Fitch), the highest of the Debt Ratings shall apply; and (ii) if the difference between such Debt Ratings is two or more ratings categories (e.g. Baa1 by Moody's and BBB- by S&P or Fitch), the average of the two (2) highest Debt Ratings shall apply, provided that if such average is not a recognized rating category, then the second highest Debt Rating of the three shall apply. If the Borrower does not have any Debt Rating or only has a Debt Rating from Fitch, Pricing Level 7 shall apply. Initially, the Applicable Rate shall be determined based upon the Debt Rating specified in the certificate delivered pursuant to Section 4.01(a)(vii). Any change in the Borrower’s Debt Rating which would cause it to move to a different Pricing Level shall be effective as of the first day of the first calendar month immediately following receipt by the Administrative Agent of written notice delivered by the Borrower that the Borrower’s Debt Rating has changed; provided, however, if the Borrower has not delivered the notice required by such Section but the Administrative Agent becomes aware that the Borrower’s Debt Rating has changed, then the Administrative Agent may, in its sole discretion, adjust the Pricing Level effective as of the first day of the first calendar month following the date the Administrative Agent becomes aware that the Borrower’s Debt Rating has changed. “Applicable Time” means, with respect to any borrowings and payments in any Alternative Currency, the local time in the place of settlement for such Alternative Currency as may be determined by the Administrative Agent or the L/C Issuer, as the case may be, to be necessary for timely settlement on the relevant date in accordance with normal banking procedures in the place of payment. “Approved Fund” means any Fund that is administered or managed by (a) a Lender, (b) an Affiliate of a Lender or (c) an entity or an Affiliate of an entity that administers or manages a Lender. “Arranger” means a collective reference to BAS, Wells Fargo Securities, LLC, Truist Securities, Inc., TD Bank, N.A., and U.S. Bank National Association, in their capacity as joint bookrunners and joint lead arrangers. “Assignment and Assumption” means an assignment and assumption entered into by a Lender and an Eligible Assignee (with the consent of any party whose consent is required by Section 10.06(b)), and accepted by the Administrative Agent, in substantially the form of Exhibit F-1 or any other form (including electronic documentation generated by use of an electronic platform) approved by the Administrative Agent. “Audited Financial Statements” means the audited consolidated balance sheet of the Borrower and its Subsidiaries for the fiscal year ended December 31, 2023, and the related consolidated statements of income or operations, shareholders’ equity and cash flows for such fiscal year of the Borrower and its Subsidiaries, including the notes thereto. “Available Tenor” means, as of any date of determination and with respect to the then-current Alternative Currency Benchmark, as applicable, (a) if the then-current Alternative Currency Benchmark is a term rate, any tenor for such Alternative Currency Benchmark that is or may be used for determining the length of an Interest Period or (b) otherwise, any payment period for interest calculated with reference to such Alternative Currency Benchmark, as applicable, pursuant to this Agreement as of such date.


 
6 “Availability Period” means the period from and including the Closing Date to the earliest of (a) the Maturity Date, (b) the date of termination of the Aggregate Commitments pursuant to Section 2.07, and (c) the date of termination of the commitment of each Lender to make Loans and of the obligation of the L/C Issuer to make L/C Credit Extensions pursuant to Section 8.02. “Bail-In Action” means the exercise of any Write-Down and Conversion Powers by the applicable Resolution Authority in respect of any liability of an Affected Financial Institution. “Bail-In Legislation” means, (a) with respect to any EEA Member Country implementing Article 55 of Directive 2014/59/EU of the European Parliament and of the Council of the European Union, the implementing law, rule, regulation or requirement for such EEA Member Country from time to time which is described in the EU Bail- In Legislation Schedule, and (b) with respect to the United Kingdom, Part I of the United Kingdom Banking Act 2009 (as amended from time to time) and any other law, regulation or rule applicable in the United Kingdom relating to the resolution of unsound or failing banks, investment firms or other financial institutions or their affiliates (other than through liquidation, administration or other insolvency proceedings). “Bank of America” means Bank of America, N.A. and its successors. “BAS” means BofA Securities, Inc. “BAS/Agent Fee Letter” means that certain letter agreement among the Borrower, BAS, and the Administrative Agent with respect to certain fees payable by Borrower in connection with this Agreement. “Base Rate” means for any day a fluctuating rate per annum equal to the highest of (a) the Federal Funds Rate plus 1/2 of 1%, (b) the rate of interest in effect for such day as publicly announced from time to time by the Administrative Agent as its “prime rate,” (c) the Secured Overnight Financing Rate published on such day by the SOFR Administrator on the Federal Reserve Bank of New York’s website (or any successor source) plus the SOFR Adjustment plus 1.00% and (d) 0.00%. The “prime rate” is a rate set by the Administrative Agent based upon various factors including the Administrative Agent’s costs and desired return, general economic conditions and other factors, and is used as a reference point for pricing some loans, which may be priced at, above, or below such announced rate. Any change in such prime rate announced by the Administrative Agent shall take effect at the opening of business on the day specified in the public announcement of such change. If the Base Rate is being used as an alternate rate of interest pursuant to Section 3.03 hereof, then the Base Rate shall be the greater of clauses (a), (b) and (d) above and shall be determined without reference to clause (c) above. “Base Rate Committed Loan” means a Committed Loan that is a Base Rate Loan. “Base Rate Loan” means a Loan that bears interest based on the Base Rate. All Base Rate Loans shall be denominated in Dollars. “Benchmark Bid Margin” means the margin above or below Term SOFR to be added to or subtracted from such rate, which margin shall be expressed in multiples of 1/100th of one basis point. “Benchmark Margin Bid Loan” means a Bid Loan that bears interest at a rate based upon Term SOFR. “Beneficial Ownership Certification” means a certification regarding beneficial ownership required by the Beneficial Ownership Regulation. “Beneficial Ownership Regulation” means 31 C.F.R. § 1010.230. “Benefit Plan” means any of (a) an “employee benefit plan” (as defined in ERISA) that is subject to Title I of ERISA, (b) a “plan” as defined in Section 4975 of the Code or (c) any Person whose assets include (for purposes of ERISA Section 3(42) or otherwise for purposes of Title I of ERISA or Section 4975 of the Code) the assets of any such “employee benefit plan” or “plan”.


 
7 “Bid Borrowing” means a borrowing consisting of simultaneous Bid Loans of the same Type from each of the Lenders whose offer to make one or more Bid Loans as part of such borrowing has been accepted under the auction bidding procedures described in Section 2.03. “Bid Loan” has the meaning specified in Section 2.03(a). “Bid Loan Lender” means, in respect of any Bid Loan, the Lender making such Bid Loan to the Borrower. “Bid Loan Sublimit” means, as of any date of determination, an amount equal to fifty percent (50.0%) multiplied by the full amount of the Aggregate Commitments. The Bid Loan Sublimit is part of, and not in addition to, the Aggregate Commitments. “Bid Request” means a written request for one or more Bid Loans substantially in the form of Exhibit B-1. “Borrower” has the meaning specified in the introductory paragraph hereto. “Borrower Materials” has the meaning specified in Section 6.02. “Borrowing” means a Committed Borrowing or a Bid Borrowing, as the context may require. “Business Day” means any day other than a Saturday, Sunday or other day on which commercial banks are authorized to close under the Laws of, or are in fact closed in, the state where the Administrative Agent’s Office with respect to Obligations denominated in Dollars is located; provided, that if such day relates to any fundings, disbursements, settlements and payments in any Alternative Currency in respect of an Alternative Currency Loan, or any other dealings in any Alternative Currency to be carried out pursuant to this Agreement in respect of any such Alternative Currency Loan (other than any interest rate settings), such term shall mean any such day on which banks are open for foreign exchange business in the principal financial center of the country of such currency. “Calculation Date” shall mean each of (a) the last day of each calendar quarter and (b) each other date on which any of the financial covenants of Borrower are calculated. “Calculation Period” means, for any given quarter-end date, the immediately preceding twelve (12) calendar month period. “Capital Expenditure Reserve” shall mean, as of any Calculation Date, an amount equal to the product of (i) the gross leasable area (in square feet) contained in each Unencumbered Asset measured as of the last day of each of the immediately preceding four (4) calendar quarters and averaged, multiplied by (ii) $0.15. Capital Expenditure Reserve shall be calculated on a consolidated basis in accordance with GAAP and shall include (without duplication) the Equity Percentage of Capital Expenditure Reserve for the Borrower’s Unconsolidated Affiliates. “Cash Collateralize” means to deposit in a Controlled Account or to pledge and deposit with or deliver to the Administrative Agent, for the benefit of the Administrative Agent or L/C Issuer (as applicable) and the Lenders, as collateral for L/C Obligations or obligations of Lenders to fund participations in respect thereof (as the context may require), cash or deposit account balances or, if the L/C Issuer shall agree in its sole discretion, other credit support, in each case pursuant to documentation in form and substance satisfactory to (a) the Administrative Agent and (b) the L/C Issuer. “Cash Collateral” shall have a meaning correlative to the foregoing and shall include the proceeds of such cash collateral and other credit support and shall, in all cases, be denominated in Dollars. “Cash Equivalents” means (a) securities issued or directly and fully guaranteed or insured by the United States of America or any agency or instrumentality thereof (provided that the full faith and credit of the United States of America is pledged in support thereof) having maturities of not more than twelve (12) months from the date of acquisition, (b) U.S. dollar denominated time deposits and certificates of deposit of (i) any Lender, (ii) any domestic commercial bank of recognized standing having capital and surplus in excess of $500,000,000 or (iii) any bank whose short-term commercial paper rating from S&P is at least A-2 or the equivalent thereof or from Moody’s is at least P- 2 or the equivalent thereof (any such bank being an “Approved Bank”), in each case with maturities of not more than


 
8 two (2) years from the date of acquisition, (c) commercial paper and variable or fixed rate notes issued by any Approved Bank (or by the parent company thereof) or any variable rate notes issued by, or guaranteed by, any domestic corporation rated A-2 (or the equivalent thereof) or better by S&P or P-2 (or the equivalent thereof) or better by Moody’s and maturing within one (1) year of the date of acquisition, (d) repurchase agreements with a bank or trust company (including any of the Lenders) or recognized securities dealer having capital and surplus in excess of $500,000,000 for direct obligations issued by or fully guaranteed by the United States of America in which any Consolidated Party shall have a perfected first priority security interest (subject to no other Liens) and having, on the date of purchase thereof, a fair market value of at least 100% of the amount of the repurchase obligations and (e) Investments, classified in accordance with GAAP as current assets, in money market investment programs registered under the Investment Company Act of 1940, as amended, which are administered by reputable financial institutions having capital of at least $50,000,000 and the portfolios of which invest principally in Investments of the character described in the foregoing subdivisions (a) through (d). “Change in Law” means the occurrence, after the date of this Agreement, of any of the following: (a) the adoption or taking effect of any law, rule, regulation or treaty, (b) any change in any law, rule, regulation or treaty or in the administration, interpretation, implementation or application thereof by any Governmental Authority or (c) the making or issuance of any request, rule, guideline or directive (whether or not having the force of law) by any Governmental Authority; provided that notwithstanding anything herein to the contrary, (x) the Dodd-Frank Wall Street Reform and Consumer Protection Act and all requests, rules, guidelines or directives thereunder or issued in connection therewith and (y) all requests, rules, guidelines or directives promulgated by the Bank for International Settlements, the Basel Committee on Banking Supervision (or any successor or similar authority) or the United States or foreign regulatory authorities, in each case pursuant to Basel III, shall in each case be deemed to be a “Change in Law”, regardless of the date enacted, adopted or issued. “Change of Control” shall mean a change resulting when (a) Borrower or Parent becomes aware (by way of a report or any other filing pursuant to Section 13(d) of the Exchange Act, proxy, vote, written notice or otherwise) that any Person or Group (other than a Permitted Holder) shall at any time Beneficially Own more than 50% of the aggregate voting power of all classes of Voting Stock of Parent; provided, however, that the formation of a direct or indirect parent holding company to Parent shall not be a change of control if (i) Parent is a Subsidiary of such parent holding company, and (ii) no Person or Group (other than a Permitted Holder) shall at any time Beneficially Own more than 50% of the aggregate voting power of all classes of Voting Stock of such parent; (b) the first day that a majority of the members of the Board of Directors of Parent are not Continuing Directors; or (c) Parent, or a wholly owned Subsidiary of Parent, shall cease to be the general partner of the Borrower or to own at least 51% of the outstanding Equity Interests of the Borrower. As used herein (1) “Beneficially Own” means “beneficially own” as defined in Rule 13d-3 of the Securities Exchange Act of 1934, as amended, or any successor provision thereto; provided, however, that, for purposes of this definition, a Person shall not be deemed to Beneficially Own securities tendered pursuant to a tender or exchange offer made by or on behalf of such Person or any of such Person’s Affiliate until such tendered securities are accepted for purchase or exchange; (2) “Group” means “group” for purposes of Section 13(d) of the Securities Exchange Act of 1934, as amended; (3) “Voting Stock” of any Person shall mean capital stock of such Person which ordinarily has voting power for the election of directors (or persons performing similar functions) of such Person, either at all times or only so long as no senior class of securities has such voting power by reason of any contingency; (4) “Permitted Holder” shall mean any of: (i) Steven Tanger, his spouse (or former spouse(s), as applicable), any of their descendants, siblings or family members or any of their spouses (or former spouses), or any of their estates (any such persons or estates in his clause (i), a “Tanger Member”), (ii) any trust primarily for the benefit of any Tanger Member or Tanger Members, (iii) any entity the majority of the owners of which are entities under clauses (i) through (ii); (5) “Continuing Director” shall mean, as of any date of determination, any member of the Board of Directors of Parent who (i) is a member of the Board of Directors of Parent on the date of this Agreement, or (ii) was nominated for election or was elected to such Board of Directors with the approval of a majority of the Continuing Directors who were members of the Board of Directors at the time of such nomination or election; and (6) in calculating any beneficial ownership or percentage ownership of Voting Stock units of the Parent held by any Permitted Holder that are exchangeable for Voting Stock shall be deemed to be outstanding Voting Stock of Parent as if such units had been exchanged for Voting Stock.


 
9 “Civil Asset Forfeiture Reform Act” means the Civil Asset Forfeiture Reform Act of 2000 (18 U.S.C. Sections 983 et seq.), as amended from time to time, and any successor statute. “Closing Date” means the first date all the conditions precedent in Section 4.01 are satisfied or waived in accordance with Section 10.01. “CME” means CME Group Benchmark Administration Limited. “Code” means the Internal Revenue Code of 1986. “Commitment” means, as to each Lender, its obligation to (a) make Committed Loans to the Borrower pursuant to Section 2.01, and (b) purchase participations in L/C Obligations, in an aggregate principal amount at any one time outstanding not to exceed the Dollar amount set forth opposite such Lender’s name on Schedule 2.01 or in the Assignment and Assumption pursuant to which such Lender becomes a party hereto, as applicable, as such amount may be adjusted from time to time in accordance with this Agreement. “Committed Borrowing” means a borrowing consisting of simultaneous Committed Loans of the same Type, in the same currency and, in the case of Term SOFR Committed Loans or Alternative Currency Loans, having the same Interest Period made by each of the Lenders pursuant to Section 2.01. “Committed Loan” has the meaning specified in Section 2.01. “Committed Loan Notice” means a notice of (a) a Committed Borrowing, (b) a conversion of Committed Loans from one Type to the other, or (c) a continuation of Term SOFR Committed Loans or Alternative Currency Loans, pursuant to Section 2.02(a), which shall be substantially in the form of Exhibit A or such other form as may be approved by the Administrative Agent (including any form on an electronic platform or electronic transmission system as shall be approved by the Administrative Agent), appropriately completed and signed by a Responsible Officer of the Borrower. “Commodity Exchange Act” means the Commodity Exchange Act (7 U.S.C. § 1 et seq.). “Communication” means this Agreement, any Loan Document and any document, any amendment, approval, consent, information, notice, certificate, request, statement, disclosure or authorization related to any Loan Document. “Competitive Bid” means a written offer by a Lender to make one or more Bid Loans, substantially in the form of Exhibit B-2, duly completed and signed by a Lender. “Compliance Certificate” means a certificate substantially in the form of Exhibit E. “Connection Income Taxes” means Other Connection Taxes that are imposed on or measured by net income (however denominated) or that are franchise Taxes or branch profits Taxes. “Consolidated Parties” means a collective reference to the Parent and its consolidated Subsidiaries; and “Consolidated Party” means any one of them. “Contractual Obligation” means, as to any Person, any material provision of any security issued by such Person or of any agreement, instrument or other undertaking to which such Person is a party or by which it or any of its property is bound. “Control” means the possession, directly or indirectly, of the power to direct or cause the direction of the management or policies of a Person, whether through the ability to exercise voting power, by contract or otherwise. “Controlling” and “Controlled” have meanings correlative thereto. “Controlled Account” means each deposit account and securities account that is subject to an account control agreement in form and substance satisfactory to the Administrative Agent and the L/C Issuer.


 
10 “Controlled Subsidiary” of a Person means (a) any Subsidiary at least 90.0% of the outstanding voting securities of which shall at the time be owned or controlled, directly or indirectly, by such Person or one or more Wholly-Owned Subsidiaries of such Person, or by such Person and one or more Wholly-Owned Subsidiaries of such Person, or (b) any partnership, limited liability company, association, joint venture or similar business organization at least 90.0% of the ownership interests having ordinary voting power of which shall at the time be so owned or controlled, but that, in each case, is not a Wholly-Owned Subsidiary. Except as otherwise specifically noted, each reference to “Controlled Subsidiary” contained herein shall be to Subsidiaries of the Borrower meeting the qualifications noted above. “Controlled Substances Act” means the Controlled Substances Act (21 U.S.C. Sections 801 et seq.), as amended from time to time, and any successor statute. “CORRA” means the Canadian Overnight Repo Rate Average administered and published by the Bank of Canada (or any successor administrator). “Covered Entity” has the meaning specified in Section 10.23(b). “Credit Extension” means each of the following: (a) a Borrowing and (b) an L/C Credit Extension. “Daily Simple SOFR” means the rate per annum equal to SOFR determined for any day pursuant to the definition thereof plus the SOFR Adjustment. Any change in Daily Simple SOFR shall be effective from and including the date of such change without further notice. If the rate as so determined would be less than zero, such rate shall be deemed to be zero for purposes of this Agreement and the other Loan Documents. “Daily SOFR Loan” means a Loan that bears interest at a rate based on Daily Simple SOFR. All Daily SOFR Loans shall be denominated in Dollars. “Debt Rating” has the meaning specified in the definition of “Applicable Rate”. “Debtor Relief Laws” means the Bankruptcy Code of the United States, and all other liquidation, conservatorship, bankruptcy, assignment for the benefit of creditors, moratorium, rearrangement, receivership, insolvency, reorganization, or similar debtor relief Laws of the United States or other applicable jurisdictions from time to time in effect and affecting the rights of creditors generally. “Default” means any event or condition that constitutes an Event of Default or that, with the giving of any notice, the passage of time, or both, would be an Event of Default. “Default Rate” means (a) when used with respect to Obligations other than Letter of Credit Fees, an interest rate equal to (i) the Base Rate plus (ii) the Applicable Rate, if any, applicable to Base Rate Loans plus (iii) 2% per annum; provided, however, that with respect to a SOFR Loan or an Alternative Currency Loan, the Default Rate shall be an interest rate equal to the interest rate (including any Applicable Rate) otherwise applicable to such Loan plus 2% per annum, and (b) when used with respect to Letter of Credit Fees, a rate equal to the Applicable Rate plus 2% per annum. “Defaulting Lender” means, subject to Section 2.18(b), any Lender that (a) has failed to (i) fund all or any portion of its Loans within two Business Days of the date such Loans were required to be funded hereunder unless such Lender notifies the Administrative Agent and the Borrower in writing that such failure is the result of such Lender’s determination that one or more conditions precedent to funding (each of which conditions precedent, together with any applicable default, shall be specifically identified in such writing) has not been satisfied, or (ii) pay to the Administrative Agent, the L/C Issuer, or any other Lender any other amount required to be paid by it hereunder (including in respect of its participation in Letters of Credit) within two Business Days of the date when due, (b) has notified the Borrower, the Administrative Agent, or the L/C Issuer in writing that it does not intend to comply with its funding obligations hereunder, or has made a public statement to that effect (unless such writing or public statement relates to such Lender’s obligation to fund a Loan hereunder and states that such position is based on such Lender’s determination that a condition precedent to funding (which condition precedent, together with any applicable default,


 
11 shall be specifically identified in such writing or public statement) cannot be satisfied), (c) has failed, within three Business Days after written request by the Administrative Agent or the Borrower, to confirm in writing to the Administrative Agent and the Borrower that it will comply with its prospective funding obligations hereunder (provided that such Lender shall cease to be a Defaulting Lender pursuant to this clause (c) upon receipt of such written confirmation by the Administrative Agent and the Borrower), or (d) has, or has a direct or indirect parent company that has, (i) become the subject of a proceeding under any Debtor Relief Law, (ii) had appointed for it a receiver, custodian, conservator, trustee, administrator, assignee for the benefit of creditors or similar Person charged with reorganization or liquidation of its business or assets, including the Federal Deposit Insurance Corporation or any other state or federal regulatory authority acting in such a capacity, or (iii) become the subject of a Bail-In Action; provided that a Lender shall not be a Defaulting Lender solely by virtue of the ownership or acquisition of any Equity Interest in that Lender or any direct or indirect parent company thereof by a Governmental Authority so long as such ownership interest does not result in or provide such Lender with immunity from the jurisdiction of courts within the United States or from the enforcement of judgments or writs of attachment on its assets or permit such Lender (or such Governmental Authority) to reject, repudiate, disavow or disaffirm any contracts or agreements made with such Lender. Any determination by the Administrative Agent that a Lender is a Defaulting Lender under any one or more of clauses (a) through (d) above, and of the effective date of such status, shall be conclusive and binding absent manifest error, and such Lender shall be deemed to be a Defaulting Lender (subject to Section 2.18(b)) as of the date established therefor by the Administrative Agent in a written notice of such determination, which shall be delivered by the Administrative Agent to the Borrower, the L/C Issuer, and each other Lender promptly following such determination. “Designated Jurisdiction” means any country or territory to the extent that such country or territory itself is the subject of any Sanction. “Disposition” or “Dispose” means the sale, transfer, license, lease or other disposition (in one transaction or in a series of transactions and whether effected pursuant to a Division or otherwise) of any property by any Person (including any sale and leaseback transaction and any issuance of Equity Interests by a Subsidiary of such Person), including any sale, assignment, transfer or other disposal, with or without recourse, of any notes or accounts receivable or any rights and claims associated therewith. “Dividing Person” has the meaning assigned to it in the definition of “Division.” “Division” means the division of the assets, liabilities and/or obligations of a Person (the “Dividing Person”) among two or more Persons (whether pursuant to a “plan of division” or similar arrangement), which may or may not include the Dividing Person and pursuant to which the Dividing Person may or may not survive. “Dollar” and “$” mean lawful money of the United States. “Dollar Equivalent” means, for any amount, at the time of determination thereof, (a) if such amount is expressed in Dollars, such amount, (b) if such amount is expressed in an Alternative Currency, the equivalent of such amount in Dollars determined by using the rate of exchange for the purchase of Dollars with the Alternative Currency last provided (either by publication or otherwise provided to the Administrative Agent or the L/C Issuer, as applicable) by the applicable Bloomberg source (or such other publicly available source for displaying exchange rates) on date that is two (2) Business Days immediately preceding the date of determination (or if such service ceases to be available or ceases to provide such rate of exchange, the equivalent of such amount in Dollars as determined by the Administrative Agent or the L/C Issuer, as applicable using any method of determination it deems appropriate in its sole discretion) and (c) if such amount is denominated in any other currency, the equivalent of such amount in Dollars as determined by the Administrative Agent or the L/C Issuer, as applicable, using any method of determination it deems appropriate in its sole discretion. Any determination by the Administrative Agent or the L/C Issuer pursuant to clauses (b) or (c) above shall be conclusive absent manifest error. “Domestic Subsidiary” means any Subsidiary that is organized under the laws of any political subdivision of the United States. “EBITDA” shall mean, as of any Calculation Date and for the applicable Calculation Period: (a) Borrower’s and each Wholly-Owned Subsidiary’s earnings before interest, income taxes, depreciation, and amortization, all


 
12 determined in accordance with GAAP consistently applied (excluding extraordinary or non-recurring gains or losses and excluding earnings attributable to Joint Ventures or Joint Venture Projects), plus (b) Borrower’s Equity Percentage of earnings before interest, taxes, depreciation, and amortization for Joint Ventures and Joint Venture Projects, all determined in accordance with GAAP consistently applied (excluding extraordinary gains or losses); provided, that, for purposes of this definition: (i) nonrecurring items shall be deemed to include (A) gains and losses on sale of any Property or Project, (B) gains and losses on early extinguishment of Indebtedness, (C) non-cash severance and other non-cash restructuring charges, (D) transaction costs of acquisitions not permitted to be capitalized pursuant to GAAP, and (E) impairment charges; (ii) EBITDA shall be adjusted to remove any impact from straight line rent leveling adjustments required under GAAP and amortization of intangibles pursuant to FASB ASC 141; and (iii) to the extent EBITDA is, for any Calculation Period, determined on an annualized basis for a period of less than twelve (12) calendar months, such determination shall be adjusted to account for any one-time or other lump sum annual or semi-annual payments (whether for taxes, insurance, or otherwise) made or not made during such period. “EEA Financial Institution” means (a) any credit institution or investment firm established in any EEA Member Country which is subject to the supervision of an EEA Resolution Authority, (b) any entity established in an EEA Member Country which is a parent of an institution described in clause (a) of this definition, or (c) any financial institution established in an EEA Member Country which is a Subsidiary of an institution described in clauses (a) or (b) of this definition and is subject to consolidated supervision with its parent. “EEA Member Country” means any of the member states of the European Union, Iceland, Liechtenstein, and Norway. “EEA Resolution Authority” means any public administrative authority or any Person entrusted with public administrative authority of any EEA Member Country (including any delegee) having responsibility for the resolution of any EEA Financial Institution. “Eligible Assignee” means any Person that meets the requirements to be an assignee under Section 10.06(b)(iii) and (v) (subject to such consents, if any, as may be required under Section 10.06(b)(iii)). “Environmental Complaint” means any complaint, order, demand, citation or notice threatened or issued in writing to any Loan Party by any Person with regard to air emissions, water discharges, Releases, or disposal of any Hazardous Materials, noise emissions or any other environmental, health or safety matter affecting any Loan Party or any of their respective Properties. “Environmental Laws” means any and all Federal, state, local, and foreign statutes, laws, regulations, ordinances, rules, judgments, orders, decrees, permits, concessions, grants, franchises, licenses, agreements or governmental restrictions relating to pollution and the protection of the environment or the release of any materials into the environment, including those related to hazardous substances or wastes, air emissions and discharges to waste or public systems. “Environmental Liability” means any liability, contingent or otherwise (including any liability for damages, costs of environmental remediation, fines, penalties or indemnities), of the Borrower, any other Loan Party or any of their respective Subsidiaries directly or indirectly resulting from or based upon (a) violation of any Environmental Law, (b) the generation, use, handling, transportation, storage, treatment or disposal of any Hazardous Materials, (c) exposure to any Hazardous Materials, (d) the release or threatened release of any Hazardous Materials into the environment or (e) any contract, agreement or other consensual arrangement pursuant to which liability is assumed or imposed with respect to any of the foregoing.


 
13 “Equity Interests” means, with respect to any Person, all of the shares of capital stock of (or other ownership or profit interests in) such Person, all of the warrants, options or other rights for the purchase or acquisition from such Person of shares of capital stock of (or other ownership or profit interests in) such Person, all of the securities convertible into or exchangeable for shares of capital stock of (or other ownership or profit interests in) such Person or warrants, rights or options for the purchase or acquisition from such Person of such shares (or such other interests), and all of the other ownership or profit interests in such Person (including partnership, member or trust interests therein), whether voting or nonvoting, and whether or not such shares, warrants, options, rights or other interests are outstanding on any date of determination. “Equity Percentage” means the aggregate ownership percentage of Borrower and its Subsidiaries in a given Joint Venture, which shall be calculated as follows: (a) for calculation of Indebtedness or liabilities, Borrower’s or such Subsidiary’s nominal capital ownership interest in the applicable Joint Venture as set forth in such entity’s organizational documents, or, if greater, the amount or percentage of such items allocated to Borrower or such Subsidiary, or for which Borrower or such Subsidiary is directly or indirectly responsible, pursuant to the terms of the applicable joint venture agreement (or similar governing agreement) or applicable law and (b) for all other purposes, the greater of (i) Borrower’s or such Subsidiary’s nominal capital ownership interest in the applicable Joint Venture as set forth in such entity’s organizational documents, and (ii) Borrower’s or such Subsidiary’s economic ownership interest in the applicable Joint Venture, reflecting Borrower’s or such Subsidiary’s share of income and expenses of such Joint Venture. “ERISA” means the Employee Retirement Income Security Act of 1974. “ERISA Affiliate” means any trade or business (whether or not incorporated) under common control with the Borrower within the meaning of Section 414(b) or (c) of the Code (and Sections 414(m) and (o) of the Code for purposes of provisions relating to Section 412 of the Code). “ERISA Event” means (a) a Reportable Event with respect to a Pension Plan; (b) the withdrawal of the Borrower or any ERISA Affiliate from a Pension Plan subject to Section 4063 of ERISA during a plan year in which such entity was a “substantial employer” as defined in Section 4001(a)(2) of ERISA or a cessation of operations that is treated as such a withdrawal under Section 4062(e) of ERISA; (c) a complete or partial withdrawal by the Borrower or any ERISA Affiliate from a Multiemployer Plan or notification that a Multiemployer Plan is in reorganization; (d) the filing of a notice of intent to terminate, the treatment of a Pension Plan amendment as a termination under Section 4041 or 4041A of ERISA; (e) the institution by the PBGC of proceedings to terminate a Pension Plan; (f) any event or condition which constitutes grounds under Section 4042 of ERISA for the termination of, or the appointment of a trustee to administer, any Pension Plan; (g) the determination that any Pension Plan is considered an at-risk plan or a plan in endangered or critical status within the meaning of Sections 430, 431 and 432 of the Code or Sections 303, 304 and 305 of ERISA; or (h) the imposition of any liability under Title IV of ERISA, other than for PBGC premiums due but not delinquent under Section 4007 of ERISA, upon the Borrower or any ERISA Affiliate. “EU Bail-In Legislation Schedule” means the EU Bail-In Legislation Schedule published by the Loan Market Association (or any successor person), as in effect from time to time. “Event of Default” has the meaning specified in Section 8.01. “Excluded Swap Obligation” means, with respect to any Guarantor, any Swap Obligation if, and to the extent that, all or a portion of the Guaranty of such Guarantor of, or the grant under a Loan Document by such Guarantor of a security interest to secure, such Swap Obligation (or any Guarantee thereof) is or becomes illegal under the Commodity Exchange Act (or the application or official interpretation thereof) by virtue of such Guarantor’s failure for any reason to constitute an “eligible contract participant” as defined in the Commodity Exchange Act (determined after giving effect to Section 18 of the Guaranty and any and all guarantees of such Guarantor’s Swap Obligations by other Loan Parties) at the time the Guaranty of such Guarantor, or grant by such Guarantor of a security interest, becomes effective with respect to such Swap Obligation. If a Swap Obligation arises under a Master Agreement governing more than one Swap Contract, such exclusion shall apply to only the portion of such Swap Obligations that is attributable to Swap Contracts for which such Guaranty or security interest becomes illegal.


 
14 “Excluded Taxes” means any of the following Taxes imposed on or with respect to any Recipient or required to be withheld or deducted from a payment to a Recipient, (a) Taxes imposed on or measured by net income (however denominated), franchise Taxes, and branch profits Taxes, in each case, (i) imposed as a result of such Recipient being organized under the laws of, or having its principal office or, in the case of any Lender, its Lending Office located in, the jurisdiction imposing such Tax (or any political subdivision thereof) or (ii) that are Other Connection Taxes, (b) in the case of a Lender, U.S. federal withholding Taxes imposed on amounts payable to or for the account of such Lender with respect to an applicable interest in a Loan or Commitment pursuant to a law in effect on the date on which (i) such Lender acquires such interest in the Loan or Commitment (other than pursuant to an assignment request by the Borrower under Section 10.13) or (ii) such Lender changes its Lending Office, except in each case to the extent that, pursuant to Section 3.01(a)(ii) or (c), amounts with respect to such Taxes were payable either to such Lender’s assignor immediately before such Lender became a party hereto or to such Lender immediately before it changed its Lending Office, (c) Taxes attributable to such Recipient’s failure to comply with Section 3.01(e) and (d) any U.S. federal withholding Taxes imposed pursuant to FATCA. “Exempt Subsidiaries” means, as of any date of determination, a collective reference to: (a) each Subsidiary of any Loan Party that is neither a Wholly-Owned Subsidiary nor a Controlled Subsidiary; (b) each non-Material Subsidiary of any Loan Party; (c) each Material Subsidiary of any Loan Party which is (or, promptly following its release as a Loan Party hereunder pursuant to the terms of Section 6.12(b) hereof shall be) an obligor with respect to any material secured third party Indebtedness; and (d) each Material Subsidiary of any Loan Party, the direct or indirect equity interests or assets of which are (or, promptly following its release as a Loan Party hereunder pursuant to the terms of Section 6.12(b) hereof, shall be) Disposed of or otherwise sold, conveyed or transferred, and/or subject to a letter of intent, purchase agreement or other written agreement for the Disposal of, sale or other transfer of such equity interests or assets to a third-party purchaser; and “Exempt Subsidiary” means any one of such entities. “Existing Letters of Credit” means those letters of credit originally issued under the Replaced Credit Agreement and deemed made hereunder (and an Obligation of Borrower hereunder) as of the effective date of this Agreement, as listed on Schedule 1.01 hereof. “FASB ASC” means the Accounting Standards Codification of the Financial Accounting Standards Board. “FATCA” means Sections 1471 through 1474 of the Code, as of the date of this Agreement (or any amended or successor version that is substantively comparable and not materially more onerous to comply with), any current or future regulations or official interpretations thereof and any agreements entered into pursuant to Section 1471(b)(1) of the Code. “FC EBITDA” shall mean, as of any Calculation Date for the preceding Calculation Period or Annual Period, as applicable: (a) Borrower’s and each Wholly-Owned Subsidiary’s earnings before interest, income taxes, depreciation, and amortization, all determined in accordance with GAAP consistently applied (excluding extraordinary or non-recurring gains or losses and excluding earnings attributable to Joint Ventures or Joint Venture Projects), plus (b) Borrower’s Equity Percentage of earnings before interest, taxes, depreciation, and amortization for Joint Ventures and Joint Venture Projects, all determined in accordance with GAAP consistently applied (excluding extraordinary gains or losses); provided, that, for purposes of this definition: (i) nonrecurring items shall be deemed to include (A) gains and losses on sale of any Property or Project, (B) gains and losses on early extinguishment of Indebtedness, (C) non-cash severance and other


 
15 non-cash restructuring charges, (D) transaction costs of acquisitions not permitted to be capitalized pursuant to GAAP and (E) impairment charges; (ii) FC EBITDA shall be adjusted to remove any impact from straight line rent leveling adjustments required under GAAP and amortization of intangibles pursuant to FASB ASC 141; and (iii) to the extent FC EBITDA is, for any Calculation Period, determined on an annualized basis for a period of less than twelve (12) calendar months, such determination shall be adjusted to account for any one-time or other lump sum annual or semi-annual payments (whether for taxes, insurance, or otherwise) made or not made during such period. “Federal Funds Rate” means, for any day, the rate per annum equal to the weighted average of the rates on overnight Federal funds transactions with members of the Federal Reserve System, as published by the Federal Reserve Bank of New York on the Business Day next succeeding such day; provided that (a) if such day is not a Business Day, the Federal Funds Rate for such day shall be such rate on such transactions on the next preceding Business Day as so published on the next succeeding Business Day, and (b) if no such rate is so published on such next succeeding Business Day, the Federal Funds Rate for such day shall be the average rate (rounded upward, if necessary, to a whole multiple of 1/100 of 1%) charged to Bank of America on such day on such transactions as determined by the Administrative Agent. If the Federal Funds Rate, as provided above, would be less than zero (0), the Federal Funds Rate shall be deemed to be zero (0). “Fee Letters” means a collective reference to: (a) the BAS/Agent Fee Letter and (b) the respective letter agreements between/among the Borrower and the Persons constituting the Arranger concerning the fees payable to such Persons in connection with this Agreement. “First Extended Maturity Date” means October 12, 2028. “Fitch” means Fitch, Inc. and any successor thereto. “Fixed Charge Coverage Ratio” means, for any Calculation Date, the ratio of (a) FC EBITDA for the Annual Period ending on such Calculation Date to (b) Fixed Charges for the Annual Period ending on such Calculation Date. “Fixed Charges” shall mean, as of any Calculation Date, an amount equal to (a) all principal and interest payments due on all obligations of the Borrower and its Wholly-Owned Subsidiaries for the most recently-ended Annual Period, exclusive of balloon maturity payments, plus (b) Borrower’s Equity Percentage of the sum of all principal and interest payments due on all loan obligations of any Joint Venture or otherwise attributable to any Joint Venture Project for such Annual Period, exclusive of balloon maturity payments, plus (c) all Preferred Dividends, if any, payable with respect to such Annual Period, plus (d) a capital expenditure allowance of $0.15 times gross leasable area of owned Projects plus a capital expenditure allowance of $0.15 times gross leasable area of Joint Venture Projects multiplied by the Borrower’s Equity Percentage of such Joint Venture Projects (excluding Projects Under Development and New Developments). “Foreign Lender” means a Lender that is not a U.S. Person. “Foreign Obligor” means a Loan Party that is a Foreign Subsidiary. “Foreign Subsidiary” means any Subsidiary that is organized under the laws of a jurisdiction other than the United States, a State thereof or the District of Columbia. “FRB” means the Board of Governors of the Federal Reserve System of the United States. “Fronting Exposure” means, at any time there is a Defaulting Lender, with respect to the L/C Issuer, such Defaulting Lender’s Applicable Percentage of the Outstanding Amount of all outstanding L/C Obligations other than L/C Obligations as to which such Defaulting Lender’s participation obligation has been reallocated to other Lenders or Cash Collateralized in accordance with the terms hereof.


 
16 “Fully Satisfied” means, with respect to the Obligations as of any date, that, as of such date, (a) all principal of and interest accrued to such date which constitute Obligations shall have been irrevocably paid in full in cash, and (b) all fees, expenses and other amounts then due and payable which constitute Obligations shall have been irrevocably paid in cash. “Fund” means any Person (other than a natural Person) that is (or will be) engaged in making, purchasing, holding or otherwise investing in commercial loans and similar extensions of credit in the ordinary course of its activities. “GAAP” means generally accepted accounting principles in the United States set forth in the opinions and pronouncements of the Accounting Principles Board and the American Institute of Certified Public Accountants and statements and pronouncements of the Financial Accounting Standards Board or such other principles as may be approved by a significant segment of the accounting profession in the United States, that are applicable to the circumstances as of the date of determination, consistently applied. “Governmental Authority” means the government of the United States or any other nation, or of any political subdivision thereof, whether state or local, and any agency, authority, instrumentality, regulatory body, court, central bank or other entity exercising executive, legislative, judicial, taxing, regulatory or administrative powers or functions of or pertaining to government (including any supra-national bodies such as the European Union or the European Central Bank). “Guarantee” means, as to any Person, (a) any obligation, contingent or otherwise, of such Person guaranteeing or having the economic effect of guaranteeing any Indebtedness or other obligation payable or performable by another Person (the “primary obligor”) in any manner, whether directly or indirectly, and including any obligation of such Person, direct or indirect, (i) to purchase or pay (or advance or supply funds for the purchase or payment of) such Indebtedness or other obligation, (ii) to purchase or lease property, securities or services for the purpose of assuring the obligee in respect of such Indebtedness or other obligation of the payment or performance of such Indebtedness or other obligation, (iii) to maintain working capital, equity capital or any other financial statement condition or liquidity or level of income or cash flow of the primary obligor so as to enable the primary obligor to pay such Indebtedness or other obligation, or (iv) entered into for the purpose of assuring in any other manner the obligee in respect of such Indebtedness or other obligation of the payment or performance thereof or to protect such obligee against loss in respect thereof (in whole or in part), or (b) any Lien on any assets of such Person securing any Indebtedness or other obligation of any other Person, whether or not such Indebtedness or other obligation is assumed by such Person (or any right, contingent or otherwise, of any holder of such Indebtedness to obtain any such Lien). The amount of any Guarantee shall be deemed to be an amount equal to the stated or determinable amount of the related primary obligation, or portion thereof, in respect of which such Guarantee is made or, if not stated or determinable, the maximum reasonably anticipated liability in respect thereof as determined by the guaranteeing Person in good faith. The term “Guarantee” as a verb has a corresponding meaning. “Guarantors” means, collectively, as of any date of determination, the Parent and each Subsidiary Guarantor, in each case to the extent such Person has not been released from its obligations under the Guaranty pursuant to the terms of the Guaranty and this Agreement. As of the date of this Agreement, the only Guarantor is the Parent. “Guaranty” means the Third Amended and Restated Continuing Guaranty dated as of the date hereof made by the Parent and each Subsidiary Guarantor in favor of the Administrative Agent and the Lenders, substantially in the form of Exhibit G, as the same may be amended, restated, supplemented or otherwise modified from time to time, and as joined from time to time by such Persons that become, following the date hereof, a Guarantor. “Hazardous Materials” means all explosive or radioactive substances or wastes and all hazardous or toxic substances, wastes or other pollutants, including petroleum or petroleum distillates, asbestos or asbestos-containing materials, polychlorinated biphenyls, radon gas, infectious or medical wastes and all other substances or wastes of any nature regulated pursuant to any Environmental Law. “Indebtedness” means all obligations, contingent and otherwise in respect of (a) all debt and similar monetary obligations, whether direct or indirect and whether evidenced by one or more notes, bonds, agreements or other evidences of indebtedness; (b) all liabilities secured by any mortgage, pledge, security interest, lien, charge, or other


 
17 encumbrance existing on property owned or acquired subject thereto, whether or not the liability secured thereby shall have been assumed; (c) all liabilities under capitalized leases; and (d) all guarantees, endorsements and other contingent obligations whether direct or indirect in respect of indebtedness of others, including the obligations to reimburse the issuer in respect of any letters of credit. With respect to Borrower, Indebtedness shall be calculated on a consolidated basis in accordance with GAAP, and including (without duplication) the Equity Percentage of Indebtedness for the Borrower’s Unconsolidated Affiliates. “Indemnified Taxes” means (a) Taxes, other than Excluded Taxes, imposed on or with respect to any payment made by or on account of any obligation of any Loan Party under any Loan Document and (b) to the extent not otherwise described in clause (a), Other Taxes. “Indemnitees” has the meaning specified in Section 10.04(b). “Information” has the meaning specified in Section 10.07. “Initial Maturity Date” means April 12, 2028. “Interest Payment Date” means, (a) as to any Term SOFR Loan or Alternative Currency Loan, the last day of each Interest Period applicable to such Loan and the applicable Maturity Date; provided, however, that if any Interest Period for a Term SOFR Loan exceeds three months, the respective dates that fall every three months after the beginning of such Interest Period shall also be Interest Payment Dates and (b) as to any Base Rate Loan and any Daily SOFR Loan, the last Business Day of each March, June, September and December and the applicable Maturity Date. “Interest Period” means (a) as to each Term SOFR Loan (other than a Benchmark Margin Bid Loan) and each Alternative Currency Loan, the period commencing on the date such Term SOFR Loan or Alternative Currency Loan is disbursed or converted to or continued as a Term SOFR Loan or Alternative Currency Loan and ending, in each case, subject to availability for the interest rate applicable to the relevant currency, on the date one (1), three (3), or six (6) months thereafter (or such other period as may be consented to by all Lenders), as selected by the Borrower in its loan notice (and subject to the terms set forth below), (b) as to each Benchmark Margin Bid Loan, the period commencing on the date such Benchmark Margin Bid Loan is disbursed as a Benchmark Margin Bid Loan and ending, in each case, subject to availability for the interest rate applicable to the relevant currency, on the date one (1), three (3), or six (6) months thereafter, as selected by the Borrower in its Bid Request (and subject to the terms set forth below) and (c) as to each Absolute Rate Loan, a period of not less than 14 days and not more than 180 days as selected by the Borrower in its Bid Request; provided that: (a) any Interest Period that would otherwise end on a day that is not a Business Day shall be extended to the next succeeding Business Day unless such Business Day falls in another calendar month, in which case such Interest Period shall end on the next preceding Business Day; (b) any Interest Period that begins on the last Business Day of a calendar month (or on a day for which there is no numerically corresponding day in the calendar month at the end of such Interest Period) shall end on the last Business Day of the calendar month at the end of such Interest Period; (c) no Interest Period shall extend beyond the applicable Maturity Date; and (d) with respect to any Alternative Currency Loan, only Interest Periods of one month and three months will be available. “Internal Control Event” means fraud that involves senior management of the Parent or the Borrower who have control over financial reporting, as described in the Securities Laws. “Investment” means, as to any Person, any direct or indirect acquisition or investment by such Person, whether by means of (a) the purchase or other acquisition of capital stock or other securities of another Person, (b) a loan, advance or capital contribution to, Guarantee or assumption of debt of, or purchase or other acquisition of any


 
18 other debt or equity participation or interest in, another Person, including any partnership or joint venture interest in such other Person and any arrangement pursuant to which the investor Guarantees Indebtedness of such other Person, or (c) the purchase or other acquisition (in one transaction or a series of transactions) of assets of another Person that constitute a business unit. “Investment Grade Rating” means a Borrower Credit Rating of BBB- (or equivalent) or higher from S&P or Fitch and Baa3 (or equivalent) or higher from Moody’s. “IP Rights” has the meaning specified in Section 5.18. “IRS” means the United States Internal Revenue Service. “ISP” means, with respect to any Letter of Credit, the “International Standby Practices 1998” published by the Institute of International Banking Law & Practice, Inc. (or such later version thereof as may be in effect at the time of issuance). “Issuer Documents” means with respect to any Letter of Credit, the Letter of Credit Application, and any other document, agreement and instrument entered into by the L/C Issuer and the Borrower (or any Subsidiary) or in favor of the L/C Issuer and relating to such Letter of Credit. “Joint Venture” shall mean any Person in which the Borrower owns, directly or indirectly, an Equity Interest, but that is not a Wholly-Owned Subsidiary of the Borrower. “Joint Venture Projects” shall mean all Projects with respect to which Borrower holds, directly or indirectly, an interest that is less than 100%; provided, that, to the extent either (1) (a) a Consolidated Party, as the buyer of any Project has provided financing in lieu of direct payment of some portion of the purchase price for such Project which allows the seller of such Project to retain a minority ownership interest therein (for such purpose only, an interest that is (i) less than fifteen percent (15%) of the aggregate ownership interest and (ii) is neither a managing member nor a general partner interest); (b) such Consolidated Party has obtained a security interest in the equity interests related to such Project securing the repayment of such financing and providing that such equity interests are, if such financing is not repaid at or prior to its maturity, to be transferred to such Consolidated Party upon the exercise of Borrower’s remedies thereunder; (c) debt service payments related to such financing are matched to the expected distributions under the joint venture agreement related to the applicable Project; and (d) such Consolidated Party obtains control over the Project immediately upon the acquisition thereof or (2) (a) the seller of such Project is to retain a nominal ownership interest therein (for such purpose only, an interest that is (i) less than three percent (3%) of the aggregate ownership interest, (ii) less than three percent (3%) of the economic interests and distribution rights related to the Project and (iii) is neither a managing member nor a general partner interest) and (b) such Consolidated Party obtains control over the Project immediately upon the acquisition thereof; any such Project shall be deemed, for purposes of this Agreement, to be 100% owned by the Borrower and shall not be included as a Joint Venture Project; provided, further, that to the extent a Joint Venture Project is treated as wholly-owned pursuant to item 2 above, the income attributable to, value of and Indebtedness/liabilities related to such project, for purposes of calculating the financial covenants contained herein, shall include only the Borrower’s Equity Percentage of the income, value and/or Indebtedness/liabilities (as applicable) of such Joint Venture Project. “Laws” means, collectively, all international, foreign, Federal, state and local statutes, treaties, rules, guidelines, regulations, ordinances, codes and administrative or judicial precedents or authorities, including the interpretation or administration thereof by any Governmental Authority charged with the enforcement, interpretation or administration thereof, and all applicable administrative orders, directed duties, requests, licenses, authorizations and permits of, and agreements with, any Governmental Authority, in each case whether or not having the force of law. “L/C Advance” means, with respect to each Lender, such Lender’s funding of its participation in any L/C Borrowing in accordance with its Applicable Percentage. All L/C Advances shall be denominated in Dollars.


 
19 “L/C Borrowing” means an extension of credit resulting from a drawing under any Letter of Credit which has not been reimbursed on the date when made or refinanced as a Committed Borrowing. All L/C Borrowings shall be denominated in Dollars. “L/C Credit Extension” means, with respect to any Letter of Credit, the issuance thereof or extension of the expiry date thereof, or the increase of the amount thereof. “L/C Issuer” means Bank of America in its capacity as issuer of Letters of Credit hereunder, or any successor issuer of Letters of Credit hereunder. “L/C Obligations” means, as at any date of determination, the aggregate amount available to be drawn under all outstanding Letters of Credit plus the aggregate of all Unreimbursed Amounts, including all L/C Borrowings. For purposes of computing the amount available to be drawn under any Letter of Credit, the amount of such Letter of Credit shall be determined in accordance with Section 1.07. For all purposes of this Agreement, if on any date of determination a Letter of Credit has expired by its terms but any amount may still be drawn thereunder by reason of the operation of Rule 3.14 of the ISP, such Letter of Credit shall be deemed to be “outstanding” in the amount so remaining available to be drawn. “Lender” has the meaning specified in the introductory paragraph hereto. “Lender Recipient Parties” or “Lender Parties” means, collectively, the Lenders and the L/C Issuer. “Lending Office” means, as to any Lender, the office or offices of such Lender described as such in such Lender’s Administrative Questionnaire, or such other office or offices as a Lender may from time to time notify the Borrower and the Administrative Agent which office may include any Affiliate of such Lender or any domestic or foreign branch of such Lender or such Affiliate. Unless the context otherwise requires each reference to a Lender shall include its applicable Lending Office. “Letter of Credit” means any standby letter of credit issued hereunder (and shall include the Existing Letters of Credit). Letters of Credit may be issued in Dollars or in an Alternative Currency. “Letter of Credit Application” means an application and agreement for the issuance or amendment of a Letter of Credit in the form from time to time in use by the L/C Issuer. “Letter of Credit Expiration Date” means the day that is five (5) days prior to the Maturity Date then in effect (or, if such day is not a Business Day, the next preceding Business Day). “Letter of Credit Fee” has the meaning specified in Section 2.04(h). “Letter of Credit Sublimit” means an amount up to the lesser of (a) $20,000,000.00 or (b) the Aggregate Commitments. The Letter of Credit Sublimit is part of, and not in addition to, the Aggregate Commitments. “Lien” means any mortgage, pledge, hypothecation, assignment, deposit arrangement, encumbrance, lien (statutory or other), charge, or preference, priority or other security interest or preferential arrangement in the nature of a security interest of any kind or nature whatsoever (including any conditional sale or other title retention agreement, any easement, right of way or other encumbrance on title to real property, and any financing lease having substantially the same economic effect as any of the foregoing). “Loan” means an extension of credit by a Lender to the Borrower under Article II in the form of a Committed Loan or a Bid Loan. “Loan Documents” means this Agreement, each Note, each Issuer Document, any agreement creating or perfecting rights in Cash Collateral pursuant to the provisions of Section 2.17, the Fee Letters, the Guaranty, the Modifications, and any other documents, instruments or agreements executed and delivered by the Borrower and/or any Guarantor related to the foregoing.


 
20 “Loan Parties” means, collectively, the Borrower and each Guarantor. “Master Agreement” has the meaning specified in the definition of “Swap Contract.” “Material Acquisition” means any acquisition or series of acquisitions taking place pursuant to a single purchase agreement or purchase agreements executed concurrently with one or more third parties over a period not in excess of sixty (60) days by the Borrower and/or any Person constituting part of the consolidated group included in the determination of the components of Total Liabilities or Total Adjusted Asset Value whereby the Borrower and/or such Person(s) acquire assets with a fair market value of at least ten percent (10%) of Total Adjusted Asset Value, as determined immediately prior to such acquisition(s). “Material Adverse Effect” means (a) a material adverse change in, or a material adverse effect upon, the operations, business, properties, liabilities (actual or contingent), or financial condition of the Consolidated Parties (including without limitation, the Borrower), taken as a whole; (b) a material impairment of the ability of any Loan Party to perform its material obligations under any Loan Document to which it is a party; or (c) a material adverse effect upon the legality, validity, binding effect or enforceability against any Loan Party of any Loan Document to which it is a party. “Material Subsidiary” means, as of any date of determination, any Wholly-Owned Subsidiary or Controlled Subsidiary of a Loan Party that holds assets contributing an amount equal to or greater than one quarter of one percent (0.25%) of the calculation of Total Adjusted Asset Value. “Maturity Date” means the later of (a) the Initial Maturity Date; (b) if maturity is extended pursuant to Section 2.15(b)(i), the First Extended Maturity Date; and (c) if maturity is extended pursuant to Section 2.15(b)(ii), the Second Extended Maturity Date; provided, however, that, in each case, if such date is not a Business Day, the Maturity Date shall be the next preceding Business Day. “Minimum Collateral Amount” means, at any time, (i) with respect to Cash Collateral consisting of cash or deposit account balances provided to reduce or eliminate Fronting Exposure during the existence of a Defaulting Lender, an amount equal to 105% of the Fronting Exposure of the L/C Issuer with respect to Letters of Credit issued and outstanding at such time, (ii) with respect to Cash Collateral consisting of cash or deposit account balances provided in accordance with the provisions of Section 2.17(a)(i), (a)(ii) or (a)(iii), an amount equal to 105% of the Outstanding Amount of all LC Obligations, and (iii) otherwise, an amount determined by the Administrative Agent and the L/C Issuer in their sole discretion. “Modifications” means a collective reference to each document, instrument, or agreement amending, restating, supplementing, extending, or otherwise modifying any of the Loan Documents from time to time entered into in accordance with the terms of the respective Loan Documents. “Moody’s” means Moody’s Investors Service, Inc. and any successor thereto. “Mortgage” shall mean (a) any mortgage, deed of trust, deed to secure debt or similar security instrument (regardless of priority) made or to be made by any entity or person owning an interest in real estate granting a lien on such interest in real estate as security for the payment of Indebtedness and (b) any mezzanine indebtedness relating to such real estate interest and secured by the Equity Interests of the direct or indirect owner of such real estate interest or which is otherwise recourse to such owner. “Multiemployer Plan” means any employee benefit plan of the type described in Section 4001(a)(3) of ERISA, to which the Borrower or any ERISA Affiliate makes or is obligated to make contributions, or during the preceding five plan years, has made or been obligated to make contributions. “Multiple Employer Plan” means a Plan which has two or more contributing sponsors (including the Borrower or any ERISA Affiliate) at least two of whom are not under common control, as such a plan is described in Section 4064 of ERISA.


 
21 “Negative Pledge” shall mean with respect to a given asset, any provision of a document, instrument or agreement (other than any Loan Document) which (a) prohibits or purports to prohibit the creation or assumption of any Lien on such asset as security for Indebtedness of the Person owning such asset or any other Person or (b) requires the grant of any security for such obligation if security is given for some other obligation; provided, however, that an agreement that conditions a Person’s ability to borrow money or continue to borrow money upon the maintenance of one or more specified ratios and that does not generally prohibit the encumbrance of such Person’s assets, or the encumbrance of specific assets, shall not constitute a Negative Pledge. “New Development” shall mean, as of any Calculation Date, (a) any Project which was a Project Under Development during the most recently-ended Annual Period as to which conditions (a), (b) and (c) as provided for in the definition of Projects Under Development have been satisfied, and (b) any Project acquired during the most recently-ended Annual Period, such Project(s) being a New Development only for a period not to exceed twelve (12) months (or such shorter period as Borrower may elect). “Non-Consenting Lender” means any Lender that does not approve any consent, waiver or amendment that (i) requires the approval of all Lenders or all affected Lenders in accordance with the terms of Section 10.01 and (ii) has been approved by the Required Lenders. “Non-Defaulting Lender” means, at any time, each Lender that is not a Defaulting Lender at such time. “Note” means a promissory note made by Borrower in favor of a Lender evidencing Loans made by such Lender, substantially in the form of Exhibit D. “Obligations” means all advances to, and debts, liabilities, obligations, covenants and duties of, any Loan Party arising under any Loan Document or otherwise with respect to any Loan or Letter of Credit, whether direct or indirect (including those acquired by assumption), absolute or contingent, due or to become due, now existing or hereafter arising and including interest and fees that accrue after the commencement by or against any Loan Party or any Affiliate thereof of any proceeding under any Debtor Relief Laws naming such Person as the debtor in such proceeding, regardless of whether such interest and fees are allowed claims in such proceeding; provided, however, that the “Obligations” of a Guarantor shall exclude any Excluded Swap Obligations with respect to such Guarantor. “OFAC” means the Office of Foreign Assets Control of the United States Department of the Treasury. “Organization Documents” means, (a) with respect to any corporation, the certificate or articles of incorporation and the bylaws (or equivalent or comparable constitutive documents with respect to any non-U.S. jurisdiction); (b) with respect to any limited liability company, the certificate or articles of formation or organization and operating agreement; and (c) with respect to any partnership, joint venture, trust or other form of business entity, the partnership, joint venture or other applicable agreement of formation or organization and any agreement, instrument, filing or notice with respect thereto filed in connection with its formation or organization with the applicable Governmental Authority in the jurisdiction of its formation or organization and, if applicable, any certificate or articles of formation or organization of such entity. “Other Connection Taxes” means, with respect to any Recipient, Taxes imposed as a result of a present or former connection between such Recipient and the jurisdiction imposing such Tax (other than connections arising from such Recipient having executed, delivered, become a party to, performed its obligations under, received payments under, received or perfected a security interest under, engaged in any other transaction pursuant to or enforced any Loan Document, or sold or assigned an interest in any Loan or Loan Document). “Other Taxes” means all present or future stamp, court or documentary, intangible, recording, filing or similar Taxes that arise from any payment made under, from the execution, delivery, performance, enforcement or registration of, from the receipt or perfection of a security interest under, or otherwise with respect to, any Loan Document, except any such Taxes that are Other Connection Taxes imposed with respect to an assignment (other than an assignment made pursuant to Section 3.06).


 
22 “Outstanding Amount” means (i) with respect to Committed Loans or Bid Loans on any date, the Dollar Equivalent amount of the aggregate outstanding principal amount thereof after giving effect to any borrowings and prepayments or repayments of such Committed Loans or Bid Loans occurring on such date; and (ii) with respect to any L/C Obligations on any date, the Dollar Equivalent amount of the aggregate outstanding amount of such L/C Obligations on such date after giving effect to any L/C Credit Extension occurring on such date and any other changes in the aggregate amount of the L/C Obligations as of such date, including as a result of any reimbursements by the Borrower of Unreimbursed Amounts. “Overnight Rate” means, for any day, (a) with respect to any amount denominated in Dollars, the greater of (i) the Federal Funds Rate and (ii) an overnight rate determined by the Administrative Agent or the L/C Issuer, as the case may be, in accordance with banking industry rules on interbank compensation, and (b) with respect to any amount denominated in an Alternative Currency, the rate of interest per annum at which overnight deposits in the applicable Alternative Currency, in an amount approximately equal to the amount with respect to which such rate is being determined, would be offered for such day by a branch or Affiliate of Bank of America in the applicable offshore interbank market for such currency to major banks in such interbank market. “Parent” means Tanger Inc., a North Carolina corporation, together with its successors and permitted assigns. “Participant” has the meaning specified in Section 10.06(d). “Participant Register” has the meaning specified in Section 10.06(d). “PBGC” means the Pension Benefit Guaranty Corporation. “Pension Act” means the Pension Protection Act of 2006. “Pension Funding Rules” means the rules of the Code and ERISA regarding minimum required contributions (including any installment payment thereof) to Pension Plans and set forth in, with respect to plan years ending prior to the effective date of the Pension Act, Section 412 of the Code and Section 302 of ERISA, each as in effect prior to the Pension Act and, thereafter, Sections 412, 430, 431, 432 and 436 of the Code and Sections 302, 303, 304 and 305 of ERISA. “Pension Plan” means any employee pension benefit plan (including a Multiple Employer Plan or a Multiemployer Plan) that is maintained or is contributed to by the Borrower and any ERISA Affiliate and is either covered by Title IV of ERISA or is subject to the minimum funding standards under Section 412 of the Code. “Person” means any natural person, corporation, limited liability company, trust, joint venture, association, company, partnership, Governmental Authority or other entity. “Plan” means any employee benefit plan within the meaning of Section 3(3) of ERISA (including a Pension Plan), maintained for employees of the Borrower or any ERISA Affiliate or any such Plan to which the Borrower or any ERISA Affiliate is required to contribute on behalf of any of its employees. “Platform” has the meaning specified in Section 6.02. “Preferred Dividends” shall mean, with respect to any Person, dividends or other distributions which are payable to holders of any Equity Interests in such Person which entitle the holders of such Equity Interests to be paid on a preferred basis prior to dividends or other distributions to the holders of other types of Equity Interests in such Person. “Projects” shall mean any and all parcels of real property owned by the Borrower or with respect to which the Borrower owns an interest (whether directly or indirectly) on which are located improvements with a gross leasable area in excess of 50,000 sq. ft. or with respect to which construction and development of such improvements are under development.


 
23 “Projects Under Development” means, as of any Calculation Date, any Project under development by the Borrower, any Wholly-Owned Subsidiary of the Borrower or any Joint Venture (a) classified as construction in progress on the Borrower’s quarterly financial statements or the financial statements of such Joint Venture; or (b) as to which a certificate of occupancy has not been issued; or (c) as to which a minimum of 70% of total gross leasable area has not been leased and occupied by paying tenants. “Properties” means, as of any date of determination, all interests in real property (direct or indirect), together with all improvements thereon, owned by any of the Consolidated Parties; and “Property” means any one of them. “PTE” means a prohibited transaction class exemption issued by the U.S. Department of Labor, as any such exemption may be amended from time to time. “Public Lender” has the meaning specified in Section 6.02. “Rate Determination Date” means two (2) Business Days prior to the commencement of such Interest Period (or such other day as is generally treated as the rate fixing day by market practice in such interbank market, as determined by the Administrative Agent; provided that to the extent such market practice is not administratively feasible for the Administrative Agent, such other day as otherwise reasonably determined by the Administrative Agent). “Recipient” means the Administrative Agent, any Lender, the L/C Issuer or any other recipient of any payment to be made by or on account of any obligation of any Loan Party hereunder. “Register” has the meaning specified in Section 10.06(c). “Registered Public Accounting Firm” has the meaning specified in the Securities Laws and shall be independent of the Borrower as prescribed by the Securities Laws. “REIT” means a Person qualifying for treatment as a “real estate investment trust” under the Code. “Related Parties” means, with respect to any Person, such Person’s Affiliates and the partners, directors, officers, employees, agents, trustees, administrators, managers, advisors and representatives of such Person and of such Person’s Affiliates. “Release” means any release, spill, emission, leaking, pumping, injection, deposit, disposal, discharge, dispersal, leaching, or migration of Hazardous Materials into the environment, or into or out of any Property, including the movement of any Hazardous Materials through or in the air, soil, surface water, groundwater, of any Property. “Relevant Governmental Body” means the Bank of Canada, or a committee officially endorsed or convened by the Bank of Canada, or any successor thereto. “Relevant Rate” means with respect to any Credit Extension denominated in (a) Dollars, SOFR, and (b) Canadian Dollars, Term CORRA, as applicable. “Replaced Credit Facility” means that certain Fourth Amended and Restated Credit Agreement dated as of July 13, 2021 among Borrower, Administrative Agent and the lenders party thereto, as the same may have been, prior to the date of this Agreement, amended, restated, supplemented, extended or otherwise modified. “Reportable Event” means any of the events set forth in Section 4043(c) of ERISA, other than events for which the 30 day notice period has been waived. “Request for Credit Extension” means (a) with respect to a Borrowing, conversion or continuation of Committed Loans, a Committed Loan Notice, (b) with respect to a Bid Loan, a Bid Request, and (c) with respect to an L/C Credit Extension, a Letter of Credit Application.


 
24 “Required Lenders” means, at any time, Lenders having Total Credit Exposures representing more than 50% of the Total Credit Exposures of all Lenders or, if the commitment of each Lender to make Loans and the obligation of the L/C Issuer to make L/C Credit Extensions have been terminated pursuant to Section 8.02, Lenders holding in the aggregate more than 50% of the Total Outstandings (with the aggregate amount of each Lender’s participation in L/C Obligations being deemed “held” by such Lender for purposes of this computation); provided, however, that to the extent the Lenders are voting on any change, amendment, modification, supplement or waiver with respect to (i) the provisions of any of the financial covenants set forth in Section 7.11 hereof, (ii) the definition of the term “Change of Control” set forth in this Section 1.01 or (iii) Section 8.01(k) hereof, the term “Required Lenders” shall mean Lenders having at least sixty-six and two-thirds of one percent (66-2/3%) of the Total Credit Exposures or, if the commitment of each Lender to make Loans and the obligation of the L/C Issuer to make L/C Credit Extensions have been terminated pursuant to Section 8.02, Lenders holding in the aggregate at least sixty-six and two-thirds of one percent (66-2/3%) of the Total Outstandings. The Total Credit Exposure of, and Total Outstandings held by, any Defaulting Lender shall be disregarded in determining Required Lenders at any time; provided that, the amount of any participation in any Unreimbursed Amounts that such Defaulting Lender has failed to fund that have not been reallocated to and funded by another Lender shall be deemed to be held by the Lender that is the L/C Issuer in making such determination. Further, at all times when two (2) or more Lenders, excluding Defaulting Lenders, are party to this Agreement, the term “Required Lenders” shall, notwithstanding the foregoing, in no event mean less than two (2) Lenders. “Rescindable Amount” has the meaning as defined in Section 2.13(b)(ii). “Resolution Authority” means an EEA Resolution Authority or, with respect to any UK Financial Institution, a UK Resolution Authority. “Responsible Officer” means the chief executive officer, president, chief operating officer, chief financial officer, general counsel, executive vice president, senior vice president, vice president, treasurer, secretary or assistant secretary of a Loan Party, or any other individual who may from time to time be authorized by the Board of Directors of the Borrower to serve as a “Responsible Officer” for the purposes hereof and, solely for purposes of notices given pursuant to Article II, any other officer of the applicable Loan Party so designated by any of the foregoing officers in a notice to the Administrative Agent or any other officer or employee of the applicable Loan Party designated in or pursuant to an agreement between the applicable Loan Party and the Administrative Agent. Any document delivered hereunder that is signed by a Responsible Officer of a Loan Party shall be conclusively presumed to have been authorized by all necessary corporate, partnership and/or other action on the part of such Loan Party and such Responsible Officer shall be conclusively presumed to have acted on behalf of such Loan Party. “Restricted Payment” means (a) any dividend or other distribution, direct or indirect, on account of any shares of any class of the Equity Interests of any Consolidated Party, now or hereafter outstanding (including any payment of dividends by the Borrower necessary to retain its status as a REIT or to meet the distribution requirements of Section 857 of the Internal Revenue Code), (b) any redemption, retirement, sinking fund or similar payment, purchase or other acquisition for value, direct or indirect, of any shares of any class of the Equity Interests of any Consolidated Party, now or hereafter outstanding, and (c) any payment made to retire, or to obtain the surrender of, any outstanding warrants, options or other rights to acquire shares of any class of the Equity Interests of any Consolidated Party, now or hereafter outstanding. “Revaluation Date” means (a) with respect to any Loan, each of the following: (i) each date of a Borrowing of an Alternative Currency Loan, (ii) each Interest Payment Date for an Alternative Currency Loan, (iii) each date of a continuation of an Alternative Currency Loan pursuant to Section 2.02, and (iv) such additional dates as the Administrative Agent shall determine or the Required Lenders shall require; and (b) with respect to any Letter of Credit, each of the following: (i) each date of issuance of a Letter of Credit denominated in an Alternative Currency, (ii) each date of an amendment of any such Letter of Credit having the effect of increasing the amount thereof, (iii) each date of any payment by the L/C Issuer under any Letter of Credit denominated in an Alternative Currency, (iv) in the case of all Existing Letters of Credit denominated in Alternative Currencies, the Closing Date, and (v) such additional dates as the Administrative Agent or the L/C Issuer shall determine or the Required Lenders shall require.


 
25 “Revolving Credit Exposure” means, as to any Lender at any time, the aggregate Outstanding Amount at such time of its Committed Loans and the aggregate Outstanding Amount of such Lender’s participation in L/C Obligations at such time. “Sanction(s)” means any sanction administered or enforced by the United States Government (including without limitation, OFAC), the United Nations Security Council, the European Union, His Majesty’s Treasury (“HMT”), Global Affairs Canada, or other relevant sanctions authority. “S&P” means Standard & Poor’s Ratings Services and any successor thereto. “Same Day Funds” means (a) with respect to disbursements and payments in Dollars, immediately available funds, and (b) with respect to disbursements and payments in an Alternative Currency, same day or other funds as may be determined by the Administrative Agent or the L/C Issuer, as the case may be, to be customary in the place of disbursement or payment for the settlement of international banking transactions in the relevant Alternative Currency. “Sarbanes-Oxley” means the Sarbanes-Oxley Act of 2002. “SEC” means the Securities and Exchange Commission, or any Governmental Authority succeeding to any of its principal functions. “Second Extended Maturity Date” means April 12, 2029. “Secured Indebtedness” shall mean an amount, as of any Calculation Date, equal to (a) any Indebtedness of the Borrower (including, as provided in the last sentence of the definition of the term “Indebtedness,” the Indebtedness of the Borrower’s consolidated affiliates) secured by any encumbrance or by any security interest, lien, privilege, or charge (other than liens for real estate taxes that are not yet due and payable) on any real or personal property, plus (b) Borrower’s Equity Percentage of any Indebtedness of any Joint Venture Projects or any Joint Ventures secured by any encumbrance or by any security interest, lien, privilege, or charge (other than liens for real estate taxes that are not yet due and payable) on any real or personal property. “Securities Holdings” shall mean common stock, preferred stock, other capital stock, beneficial interest in trust, membership interest in limited liability companies and other Equity Interests in entities (other than consolidated and unconsolidated subsidiaries) such that the aggregate basis of such interests is calculated on the basis of lower of cost or market value. “Securities Laws” means the Securities Act of 1933, the Securities Exchange Act of 1934, Sarbanes-Oxley and the applicable accounting and auditing principles, rules, standards and practices promulgated, approved or incorporated by the SEC or the Public Company Accounting Oversight Board, as each of the foregoing may be amended and in effect on any applicable date hereunder. “SOFR” means, with respect to any applicable determination date, the Secured Overnight Financing Rate published on the fifth U.S. Government Securities Business Day preceding such date by the SOFR Administrator on the Federal Reserve Bank of New York’s website (or any successor source); provided however that if such determination date is not a U.S. Government Securities Business Day, then SOFR means such rate that applied on the first U.S. Government Securities Business Day immediately prior thereto. “SOFR Adjustment” means 0.10% (10 basis points) per annum. “SOFR Administrator” means the Federal Reserve Bank of New York, as the administrator of SOFR, or any successor administrator of SOFR designated by the Federal Reserve Bank of New York or other Person acting as the SOFR Administrator at such time that is satisfactory to the Administrative Agent. “SOFR Loan” means a Term SOFR Loan or a Daily SOFR Loan, as applicable. “SOFR Scheduled Unavailability Date” has the meaning specified in Section 3.03(b).


 
26 “SOFR Successor Rate” has the meaning specified in Section 3.03(b). “Subsidiary” of a Person means a corporation, partnership, joint venture, limited liability company or other business entity of which a majority of the shares of securities or other interests having ordinary voting power for the election of directors or other governing body (other than securities or interests having such power only by reason of the happening of a contingency) are at the time beneficially owned, or the management of which is otherwise controlled, directly, or indirectly through one or more intermediaries, or both, by such Person. Unless otherwise specified, all references herein to a “Subsidiary” or to “Subsidiaries” shall refer to a Subsidiary or Subsidiaries of the Borrower. “Subsidiary Guarantor” means, as of any date of determination, each Wholly-Owned Subsidiary or Controlled Subsidiary of the Borrower (or any Person already qualified as a Loan Party) that: (a) is not an Exempt Subsidiary, and (b) has incurred, guaranteed, or become liable for (or has agreed to incur, guarantee, or otherwise become liable for) any unsecured obligations (other than with respect to the Loan Documents, ordinary course trade payables, or debt constituting liability under or with respect to any guaranties of standard non-recourse carve-out obligations) in excess of $5,000,000.00. “Sustainability Coordinator” means BofA Securities, in its capacity as sustainability coordinator. “Swap Contract” means (a) any and all rate swap transactions, basis swaps, credit derivative transactions, forward rate transactions, commodity swaps, commodity options, forward commodity contracts, equity or equity index swaps or options, bond or bond price or bond index swaps or options or forward bond or forward bond price or forward bond index transactions, interest rate options, forward foreign exchange transactions, cap transactions, floor transactions, collar transactions, currency swap transactions, cross-currency rate swap transactions, currency options, spot contracts, or any other similar transactions or any combination of any of the foregoing (including any options to enter into any of the foregoing), whether or not any such transaction is governed by or subject to any master agreement, and (b) any and all transactions of any kind, and the related confirmations, which are subject to the terms and conditions of, or governed by, any form of master agreement published by the International Swaps and Derivatives Association, Inc., any International Foreign Exchange Master Agreement, or any other master agreement (any such master agreement, together with any related schedules, a “Master Agreement”), including any such obligations or liabilities under any Master Agreement. “Swap Obligations” means with respect to any Guarantor any obligation to pay or perform under any agreement, contract or transaction that constitutes a “swap” within the meaning of Section 1a(47) of the Commodity Exchange Act. “Swap Termination Value” means, in respect of any one or more Swap Contracts, after taking into account the effect of any legally enforceable netting agreement relating to such Swap Contracts, (a) for any date on or after the date such Swap Contracts have been closed out and termination value(s) determined in accordance therewith, such termination value(s), and (b) for any date prior to the date referenced in clause (a), the amount(s) determined as the mark-to-market value(s) for such Swap Contracts, as determined based upon one or more mid-market or other readily available quotations provided by any recognized dealer in such Swap Contracts (which may include a Lender or any Affiliate of a Lender). “Syndication Agent” means Wells Fargo Bank, National Association, U.S. Bank National Association, TD Bank, N.A. and Truist Bank, each in its capacity as syndication agent and any successor syndication agent with respect to any of them. “TAUI Netting Adjustment” means, as of any Calculation Date, an amount equal to the lesser of (a) the aggregate amount of Total Unsecured Indebtedness outstanding on such date that by its terms is scheduled to mature on or before the date that is twenty-four (24) months following such date; and (b) (i) the aggregate amount of all unrestricted cash and Cash Equivalents held by the Consolidated Parties (excluding any tenant deposits) on such date to the extent available for the repayment of Total Unsecured Indebtedness of the type described in clause (a) above, less (ii) $30,000,000.00; provided, however, that if the amount determined pursuant to this clause (b) would otherwise be less than zero (0), the amount determined pursuant to this clause (b) shall be deemed to be zero (0) for purposes hereof.


 
27 “TAV EBITDA” shall mean, as of any Calculation Date, Adjusted EBITDA directly attributable to all Properties and Projects for the Calculation Period applicable thereto. “TL Netting Adjustment” means, as of any Calculation Date, an amount equal to the lesser of (a) the aggregate amount of Total Liabilities outstanding on such date that by its terms is scheduled to mature on or before the date that is twenty-four (24) months following such date; and (b) (i) the aggregate amount of all unrestricted cash and Cash Equivalents held by the Consolidated Parties (excluding any tenant deposits) on such date to the extent available for the repayment of Total Liabilities of the type described in clause (a) above, less (ii) $30,000,000.00; provided, however, that if the amount determined pursuant to this clause (b) would otherwise be less than zero (0), the amount determined pursuant to this clause (b) shall be deemed to be zero (0) for purposes hereof. “Taxes” means all present or future taxes, levies, imposts, duties, deductions, withholdings (including backup withholding), assessments, fees or other charges imposed by any Governmental Authority, including any interest, additions to tax or penalties applicable thereto. “Term CORRA” means (a) the rate per annum equal to the forward-looking term rate based on CORRA, as published on the applicable Reuters screen page (or such other commercially available source providing such quotations as may be designated by the Administrative Agent from time to time) that is two (2) Business Days prior to an applicable Rate Determination Date with a term equivalent to any requested Interest Period, plus (b) the Term CORRA Adjustment for such Interest Period; provided that, if Term CORRA as determined above would be less than zero, Term CORRA shall be deemed to be zero for the purposes of this Agreement and the other Loan Documents. “Term CORRA Adjustment” means (i) 0.29547% (29.547 basis points) for an Interest Period of one-month’s duration and 0.32138% (32.138 basis points) for an Interest Period of three-months’ duration. “Term SOFR” means (a) for any Interest Period with respect to a Term SOFR Loan, the rate per annum equal to the Term SOFR Screen Rate two U.S. Government Securities Business Days prior to the commencement of such Interest Period with a term equivalent to such Interest Period; provided that if the rate is not published prior to 11:00 a.m. on such determination date then Term SOFR means the Term SOFR Screen Rate on the first U.S. Government Securities Business Day immediately prior thereto, in each case plus the SOFR Adjustment; and (b) for any interest calculation with respect to a Base Rate Loan on any date, the rate per annum equal to the Term SOFR Screen Rate two U.S. Government Securities Business Days prior to such date with a term of one month commencing that day; provided that if the rate is not published prior to 11:00 a.m. on such determination date then Term SOFR means the Term SOFR Screen Rate on the first U.S. Government Securities Business Day immediately prior thereto, in each case, plus the SOFR Adjustment for such term; provided that if Term SOFR determined in accordance with either of the foregoing provisions (a) or (b) of this definition would otherwise be less than zero, Term SOFR shall be deemed to be zero for purposes of this Agreement and the other Loan Documents. “Term SOFR Committed Loan” means a Committed Loan that is a Term SOFR Loan. “Term SOFR Loan” means a Loan that bears interest at a rate based on clause (a) of the definition of “Term SOFR”. All Term SOFR Loans must be denominated in Dollars. “Term SOFR Screen Rate” means the forward-looking SOFR term rate administered by CME (or any successor administrator satisfactory to the Administrative Agent) and published on the applicable Reuters screen page (or such other commercially available source providing such quotations as may be designated by the Administrative Agent from time to time).


 
28 “Threshold Amount” means (a) with respect to judgment defaults or ERISA matters, $50,000; (b) with respect to Indebtedness which is non-recourse to a Person (except for customary recourse “carve-outs”), such Indebtedness which is outstanding in a principal amount of at least $50,000,000 individually or when aggregated with all such Indebtedness; and (c) with respect to any other Indebtedness of such Person, such Indebtedness which is outstanding in a principal amount of at least $25,000,000 individually or when aggregated with all such Indebtedness. For clarification purposes, no Indebtedness and no Guarantee shall be attributed to any Person hereunder (for purposes of determination of the Threshold Amount of Indebtedness of a Person, including whether such Indebtedness is recourse or non-recourse to such Person) unless such Person is the borrower, guarantor or primary obligor thereof and, if a guarantor, such Indebtedness or Guarantee, as applicable, shall be deemed to be in the amount of such guaranty (and shall exclude any and all guaranties that are not in liquidated amounts, including debt constituting liability under or with respect to any guaranties of standard non-recourse carve-out obligations). “Total Adjusted Asset Value” shall mean, as of any Calculation Date: (a) the sum of: (i) unrestricted cash and Cash Equivalents held by the Consolidated Parties (excluding any tenant deposits); plus (ii) the cost value of all undeveloped holdings (raw land or land which is not otherwise an operating property other than any properties determined to be Projects Under Development) held by the Consolidated Parties determined in accordance with GAAP; plus (iii) the value of the Consolidated Parties’ Securities Holdings; plus (iv) the value of all Mortgages held by the Consolidated Parties; plus (v) cost value of Projects Under Development (including only costs incurred as of any Calculation Date and not including the cost value of Projects Under Development which constitute Joint Venture Projects); plus (vi) cost value of New Developments (including only costs incurred as of any Calculation Date and not including the cost value of New Developments which constitute Joint Venture Projects); plus (vii) Borrower’s Equity Percentage of the cost value of Joint Venture Projects which comply with the definition of Projects Under Development and New Development (including only costs incurred as of any Calculation Date); plus (b) an amount equal to (i) (A) an amount equal to the TAV EBITDA for the Calculation Period applicable to such Calculation Date (as adjusted by the Borrower (1) to take into account the TAV EBITDA of any dispositions during such Calculation Period and (2) to deduct TAV EBITDA derived from Projects Under Development or New Developments, each of which adjustments must be approved by Administrative Agent in its reasonable discretion), minus (B) the sum of (1) a capital expenditure allowance of $0.15 times owned gross leasable area of projects wholly owned by the Borrower or any Wholly-Owned Subsidiary thereof, plus (2) a capital expenditure allowance of $0.15 times gross leasable area of Joint Venture Projects multiplied by the Borrower’s Equity Percentage of such Joint Venture Projects (excluding Projects Under Development and New Developments); divided by (ii) .0750 provided, that for purposes of calculating Total Adjusted Asset Value:


 
29 (I) the total amount attributable to item (a)(ii) above shall be limited to five percent (5%) of Total Adjusted Asset Value and, to the extent the amount attributable to item (a)(ii) above exceeds such threshold, such amount shall be reduced, in the overall calculation of Total Adjusted Asset Value, such that it equals five percent (5%) of the Total Adjusted Asset Value; (II) the total amount attributable to item (a)(iii) above shall be limited to five percent (5%) of Total Adjusted Asset Value and, to the extent the amount attributable to item (a)(iii) above exceeds such threshold, such amount shall be reduced, in the overall calculation of Total Adjusted Asset Value, such that it equals five percent (5%) of the Total Adjusted Asset Value; (III) the total amount attributable to item (a)(v) above shall be limited to twenty-five percent (25%) of Total Adjusted Asset Value and, to the extent the amount attributable to item (a)(v) above exceeds such threshold, such amount shall be reduced, in the overall calculation of Total Adjusted Asset Value, such that it equals twenty-five percent (25%) of the Total Adjusted Asset Value; and (IV) in addition to the restrictions set forth in items (I), (II), and (III) above, the total amount attributable to assets or TAV EBITDA generated by or attributable to items (I), (II), and (III) above, together with TAV EBITDA generated by or attributable to Joint Venture Projects and/or Joint Ventures and TAV EBITDA generated attributable to item (a)(iv) above shall, in the aggregate, be limited to thirty-five percent (35%) of Total Adjusted Asset Value and, to the extent the amount attributable to such assets exceeds such threshold, such amount shall be reduced, in the overall calculation of Total Adjusted Asset Value, such that it equals thirty-five percent (35%) of the Total Adjusted Asset Value. “Total Adjusted Unsecured Indebtedness” means, as of any Calculation Date, an amount equal to Total Unsecured Indebtedness as of such date, less an amount equal to the TAUI Netting Adjustment. “Total Credit Exposure” means, as to any Lender at any time, the unused Commitments and Revolving Credit Exposure of such Lender at such time. “Total Leverage Ratio” means, as of any Calculation Date, the ratio of (a) Total Liabilities to (b) an amount equal to Total Adjusted Asset Value, less the TL Netting Adjustment used in determining Total Liabilities for such Calculation Date. “Total Liabilities” shall mean, as of any Calculation Date, (a) the sum of (i) all liabilities of the Borrower and its Wholly-Owned Subsidiaries, as calculated in accordance with GAAP (including, in any case and without limitation, deferred taxes), less (A) intercompany items, and (B) liabilities attributable to Joint Venture Projects or Joint Ventures, plus (ii) Borrower’s Equity Percentage of Total Liabilities attributable to Joint Venture Projects or Joint Ventures, less (b) the TL Netting Adjustment applicable thereto. Without duplication, Total Liabilities shall (subject to the TL Netting Adjustment) include all guarantees (other than debt constituting liability under or with respect to any guaranties of standard non-recourse carve-out obligations), endorsements and other contingent obligations whether direct or indirect in respect of indebtedness of others, including the obligations to reimburse the issuer in respect of any letters of credit. “Total Outstandings” means the aggregate Outstanding Amount of all Loans and all L/C Obligations. “Total Unencumbered Leverage Ratio” means, as of any Calculation Date, the ratio of (a) Total Adjusted Unsecured Indebtedness to (b) an amount equal to Adjusted Unencumbered Asset Value, less the TAUI Netting Adjustment used in determining Total Adjusted Unsecured Indebtedness for such Calculation Date. “Total Unsecured Indebtedness” shall mean, as of any Calculation Date, an amount equal to (a) all unsecured Indebtedness of the Borrower and its Wholly-Owned Subsidiaries, plus (b) without duplication Borrower’s Equity Percentage of any unsecured Indebtedness of any Joint Venture and/or Joint Venture Projects as of such Calculation


 
30 Date, other than trade indebtedness incurred in the ordinary course of business; provided, that all Indebtedness which is secured by a pledge of equity interests only shall be deemed to be unsecured indebtedness. “Type” means (a) with respect to a Committed Loan, its character as a Base Rate Loan, a Daily SOFR Loan, a Term SOFR Loan or an Alternative Currency Loan, and (b) with respect to a Bid Loan, its character as an Absolute Rate Loan or a Benchmark Margin Bid Loan. “UK Financial Institution” means any BRRD Undertaking (as such term is defined under the PRA Rulebook (as amended form time to time) promulgated by the United Kingdom Prudential Regulation Authority) or any person subject to IFPRU 11.6 of the FCA Handbook (as amended from time to time) promulgated by the United Kingdom Financial Conduct Authority, which includes certain credit institutions and investment firms, and certain affiliates of such credit institutions or investment firms. “UK Resolution Authority” means the Bank of England or any other public administrative authority having responsibility for the resolution of any UK Financial Institution. “Unconsolidated Affiliate(s)” means, with respect to any Person (the “parent”), at any date, any corporation, limited liability company, partnership, association or other entity the accounts of which would not be consolidated with those of the parent in the parent’s consolidated financial statements if such financial statements were prepared in accordance with full consolidation method GAAP as of such date. “Unencumbered Assets” shall mean real property that is wholly-owned by the Borrower, a Wholly-Owned Subsidiary, or a Controlled Subsidiary that is not subject to a mortgage lien or to any agreement with any other lender that prohibits the creation of a Lien on that specific property. “Unencumbered EBITDA” shall mean, as of any Calculation Date, Adjusted EBITDA directly attributable to Unencumbered Assets for the Calculation Period applicable thereto. “Unencumbered FC EBITDA” shall mean, as of any Calculation Date, FC EBITDA directly attributable to Unencumbered Assets (including general and administrative expenses apportioned on a gross leaseable area basis to such Unencumbered Assets) for the Calculation Period applicable to such Calculation Date. “United States” and “U.S.” mean the United States of America. “Unreimbursed Amount” has the meaning specified in Section 2.04(c)(i). “U.S. Government Securities Business Day” means any Business Day, except any Business Day on which any of the Securities Industry and Financial Markets Association, the New York Stock Exchange or the Federal Reserve Bank of New York is not open for business because such day is a legal holiday under the federal laws of the United States or the laws of the State of New York, as applicable. “U.S. Person” means any Person that is a “United States Person” as defined in Section 7701(a)(30) of the Code. “U.S. Tax Compliance Certificate” has the meaning specified in Section 3.01(e)(ii)(B)(III). “USD Benchmark Replacement Conforming Changes” means, with respect to any USD Benchmark Replacement, any technical, administrative or operational changes (including changes to the definition of “Base Rate,” the definition of “Business Day,” the definition of “Interest Period,” timing and frequency of determining rates and making payments of interest, timing of borrowing requests or prepayment, conversion or continuation notices, the applicability and length of lookback periods, the applicability of breakage provisions, and other technical, administrative or operational matters) that Administrative Agent decides may be appropriate to reflect the adoption and implementation of such USD Benchmark Replacement and to permit the administration thereof by Administrative Agent in a manner substantially consistent with market practice (or, if Administrative Agent decides that adoption of any portion of such market practice is not administratively feasible or if Administrative Agent determines that no


 
31 market practice for the administration of such USD Benchmark Replacement exists, in such other manner of administration as Administrative Agent decides is reasonably necessary in connection with the administration of this Agreement and the other Loan Documents). “USD Benchmark Successor Rate” has the meaning assigned to such term in Section 3.03(b) hereof. “Voting Stock” means, with respect to any Person, Equity Interests issued by such Person the holders of which are ordinarily, in the absence of contingencies, entitled to vote for the election of directors (or persons performing similar functions) of such Person, even though the right so to vote has been suspended by the happening of such a contingency. “Wholly-Owned Subsidiary” of a Person means (i) any Subsidiary all of the outstanding voting securities of which shall at the time be owned or controlled, directly or indirectly, by such Person or one or more Wholly-Owned Subsidiaries of such Person, or by such Person and one or more Wholly-Owned Subsidiaries of such Person, or (ii) any partnership, limited liability company, association, joint venture or similar business organization 100% of the ownership interests having ordinary voting power of which shall at the time be so owned or controlled. Except as otherwise specifically noted, each reference to “Wholly-Owned Subsidiary” contained herein shall be to Subsidiaries of the Borrower meeting the qualifications noted above. “Write-Down and Conversion Powers” means, (a) with respect to any EEA Resolution Authority, the write- down and conversion powers of such EEA Resolution Authority from time to time under the Bail-In Legislation for the applicable EEA Member Country, which write-down and conversion powers are described in the EU Bail-In Legislation Schedule, and (b) with respect to the United Kingdom, any powers of the applicable Resolution Authority under the Bail-In Legislation to cancel, reduce, modify or change the form of a liability of any UK Financial Institution or any contract or instrument under which that liability arises, to convert all or part of that liability into shares, securities or obligations of that person or any other person, to provide that any such contract or instrument is to have effect as if a right had been exercised under it or to suspend any obligation in respect of that liability or any of the powers under that Bail-In Legislation that are related to or ancillary to any of those powers. 1.02. Other Interpretive Provisions. With reference to this Agreement and each other Loan Document, unless otherwise specified herein or in such other Loan Document: (a) The definitions of terms herein shall apply equally to the singular and plural forms of the terms defined. Whenever the context may require, any pronoun shall include the corresponding masculine, feminine and neuter forms. The words “include,” “includes” and “including” shall be deemed to be followed by the phrase “without limitation.” The word “will” shall be construed to have the same meaning and effect as the word “shall.” Unless the context requires otherwise, (i) any definition of or reference to any agreement, instrument or other document (including any Organization Document) shall be construed as referring to such agreement, instrument or other document as from time to time amended, supplemented or otherwise modified (subject to any restrictions on such amendments, supplements or modifications set forth herein or in any other Loan Document), (ii) any reference herein to any Person shall be construed to include such Person’s successors and assigns, (iii) the words “hereto,” “herein,” “hereof” and “hereunder,” and words of similar import when used in any Loan Document, shall be construed to refer to such Loan Document in its entirety and not to any particular provision thereof, (iv) all references in a Loan Document to Articles, Sections, Exhibits and Schedules shall be construed to refer to Articles and Sections of, and Exhibits and Schedules to, the Loan Document in which such references appear, (v) any reference to any law shall include all statutory and regulatory provisions consolidating, amending, replacing or interpreting such law and any reference to any law or regulation shall, unless otherwise specified, refer to such law or regulation as amended, modified or supplemented from time to time, and (vi) the words “asset” and “property” shall be construed to have the same meaning and effect and to refer to any and all tangible and intangible assets and properties, including cash, securities, accounts and contract rights. (b) In the computation of periods of time from a specified date to a later specified date, the word “from” means “from and including;” the words “to” and “until” each mean “to but excluding;” and the word “through” means “to and including.”


 
32 (c) Section headings herein and in the other Loan Documents are included for convenience of reference only and shall not affect the interpretation of this Agreement or any other Loan Document. (d) All references herein to the “knowledge” of the Borrower or Loan Parties shall be deemed to mean the actual knowledge of the chief executive officer, president, chief financial officer, treasurer, secretary, assistant secretary, chief operating officer or general counsel of the Parent and/or Borrower. (e) Each provision of this Agreement also shall be subject to such reasonable changes of construction as the Administrative Agent may from time to time specify to be appropriate to reflect a change in currency of any other country and any relevant market conventions or practices relating to the change in currency; provided, that Administrative Agent will provide prior or concurrent notice to Borrower of any such change and all such changes shall be made only to the extent generally made with respect to similarly situated borrowers under credit facilities administered by the Administrative Agent. 1.03. Accounting Terms. (a) Generally. All accounting terms not specifically or completely defined herein shall be construed in conformity with, and all financial data (including financial ratios and other financial calculations) required to be submitted pursuant to this Agreement shall be prepared in conformity with, GAAP applied on a consistent basis, as in effect on the date of this Agreement subject to the provisions of this Section 1.03, from time to time, applied in a manner consistent with that used in preparing the Audited Financial Statements, except as otherwise specifically prescribed herein. Notwithstanding the foregoing, for purposes of determining compliance with any covenant (including the computation of any financial covenant) contained herein, Indebtedness of the Borrower and its Subsidiaries shall be deemed to be carried at 100% of the outstanding principal amount thereof, and the effects of FASB ASC 825 and FASB ASC 470-20 on financial liabilities shall be disregarded. (b) Changes in GAAP. If at any time any change in GAAP would affect the computation of any financial ratio or requirement set forth in any Loan Document, and either the Borrower or the Administrative Agent shall so request, the Administrative Agent, the Lenders and the Borrower shall negotiate in good faith to amend such ratio or requirement to preserve the original intent thereof in light of such change in GAAP (subject to the approval of the Required Lenders); provided that, until so amended, (A) such ratio or requirement shall continue to be computed in accordance with GAAP prior to such change therein and (B) the Borrower shall provide to the Administrative Agent and the Lenders financial statements and other documents required under this Agreement or as reasonably requested hereunder setting forth a reconciliation between calculations of such ratio or requirement made before and after giving effect to such change in GAAP. (c) Accounting for Sales of Real Estate. For purposes of clarification and without limiting the foregoing general requirements of this Section 1.03 or otherwise set forth in this Agreement, all real estate transactions shall, for the duration of this Agreement, be accounted for using standard GAAP accounting (including application, as applicable, of the financing, profit sharing or other alternative accounting methods prescribed by paragraphs 25 to 29 of FASB ASC 66). (d) Consolidation of Variable Interest Entities. All references herein to consolidated financial statements of the Borrower and its Subsidiaries or to the determination of any amount for the Borrower and its Subsidiaries on a consolidated basis or any similar reference shall, in each case, be deemed to include each variable interest entity that the Borrower is required to consolidate pursuant to FASB ASC 810 as if such variable interest entity were a Subsidiary as defined herein. (e) Divisions. Any reference herein to a merger, transfer, consolidation, amalgamation, consolidation, assignment, sale, disposition or transfer, or similar term, shall be deemed to apply to a division of or by a limited liability company, or an allocation of assets to a series of a limited liability company (or the unwinding of such a division or allocation), as if it were a merger, transfer, consolidation, amalgamation, consolidation, assignment, sale, disposition or transfer, or similar term, as applicable, to, of or with a separate Person. Any division of a limited liability company shall constitute a separate Person hereunder (and each division of any limited liability company that is a Subsidiary, joint venture or any other like term shall also constitute such a Person or entity).


 
33 1.04. Rounding. Any financial ratios required to be maintained by the Borrower pursuant to this Agreement shall be calculated by dividing the appropriate component by the other component, carrying the result to one place more than the number of places by which such ratio is expressed herein and rounding the result up or down to the nearest number (with a rounding-up if there is no nearest number). 1.05. Exchange Rates; Currency Equivalents. The Administrative Agent or the L/C Issuer, as applicable, shall determine the Dollar Equivalents of Credit Extensions and Outstanding Amounts denominated in Alternative Currencies. Such Dollar Equivalent shall become effective as of such Revaluation Date and shall be the Dollar Equivalent of such amounts until the next Revaluation Date to occur. Except for purposes of financial statements delivered by the Loan Parties hereunder or calculating financial covenants hereunder or except as otherwise provided herein, the applicable amount of any currency (other than Dollars) for purposes of the Loan Documents shall be its Dollar Equivalent as so determined by the Administrative Agent or the L/C Issuer, as applicable. (b) Wherever in this Agreement in connection with a Committed Borrowing, conversion, continuation or prepayment of a Loan or the issuance, amendment or extension of a Letter of Credit, an amount, such as a required minimum or multiple amount, is expressed in Dollars, but such Committed Borrowing, Loan or Letter of Credit is denominated in an Alternative Currency, such amount shall be the relevant Alternative Currency Equivalent of such Dollar amount (rounded to the nearest unit of such Alternative Currency, with 0.5 of a unit being rounded upward), as determined by the Administrative Agent or the L/C Issuer, as the case may be. (c) The Administrative Agent does not warrant, nor accept responsibility, nor shall the Administrative Agent have any liability with respect to the administration, submission or any other matter related to any reference rate referred to herein or with respect to any rate (including, for the avoidance of doubt, the selection of such rate and any related spread or other adjustment) that is an alternative or replacement for or successor to any such rate (including, without limitation, any USD Benchmark Successor Rate or Alternative Currency Successor Rate) (or any component of any of the foregoing) or the effect of any of the foregoing, or of any USD Benchmark Replacement Conforming Changes or Alternative Currency Successor Rate Conforming Changes. The Administrative Agent and its affiliates or other related entities may engage in transactions or other activities that affect any reference rate referred to herein, or any alternative, successor or replacement rate (including, without limitation, any USD Benchmark Successor Rate or Alternative Currency Successor Rate) (or any component of any of the foregoing) or any related spread or other adjustments thereto, in each case, in a manner adverse to the Borrower. The Administrative Agent may select information sources or services in its reasonable discretion to ascertain any reference rate referred to herein or any alternative, successor or replacement rate (including, without limitation, any USD Benchmark Successor Rate or Alternative Currency Successor Rate) (or any component of any of the foregoing), in each case pursuant to the terms of this Agreement, and shall have no liability to the Borrower, any Lender or any other person or entity for damages of any kind, including direct or indirect, special, punitive, incidental or consequential damages, costs, losses or expenses (whether in tort, contract or otherwise and whether at law or in equity), for any error or other action or omission related to or affecting the selection, determination, or calculation of any rate (or component thereof) provided by any such information source or service. 1.06. Times of Day. Unless otherwise specified, all references herein to times of day shall be references to Eastern time (daylight or standard, as applicable). 1.07. Letter of Credit Amounts. Unless otherwise specified herein, the amount of a Letter of Credit at any time shall be deemed to be the Dollar Equivalent of the stated amount of such Letter of Credit in effect at such time; provided, however, that with respect to any Letter of Credit that, by its terms or the terms of any Issuer Document related thereto, provides for one or more automatic increases in the stated amount thereof, the amount of such Letter of Credit shall be deemed to be the Dollar Equivalent of the maximum stated amount of such Letter of Credit after giving effect to all such increases, whether or not such maximum stated amount is in effect at such time. 1.08. Applicable Rate Redeterminations. Notwithstanding anything contained herein to the contrary, in the event that any financial statement or Compliance Certificate delivered hereunder is, as a result of any restatement or adjustment to the financial information delivered in connection herewith or otherwise, shown to be inaccurate (regardless of whether this Agreement or the Commitments are in effect when such inaccuracy is discovered), and such inaccuracy, if corrected, would have led to the application of a higher Applicable Rate based upon the provisions set forth in the definition of such term contained herein (the “Accurate Applicable Rate”) for any period that such


 
34 financial statement or Compliance Certificate covered, then: (i) the Borrower shall immediately deliver to the Administrative Agent a correct financial statement or Compliance Certificate, as the case may be, for such period, together with a notification that such corrected information should result in a retroactive adjustment to the Applicable Rate, (ii) the Applicable Rate shall be adjusted such that after giving effect to the corrected financial statement or Compliance Certificate, as the case may be, the Applicable Rate shall be reset to the Accurate Applicable Rate based upon the provisions set forth above in such definition for such period, and (iii) the Borrower shall promptly, upon demand by Administrative Agent (or, after the occurrence of an actual or deemed entry of an order for relief with respect to any Borrower under the Bankruptcy Code of the United States, automatically and without further action by the Administrative Agent, any Lender or the L/C Issuer) pay to the Administrative Agent, for the account of the Lenders or other parties entitled thereto (as applicable), the accrued additional interest or other amounts owing as a result of such Accurate Applicable Rate for such period. This Section 1.08 shall not limit the rights of the Administrative Agent, any Lender or the L/C Issuer, as the case may be, under any of Sections 2.03 or 2.08, Article VIII, or any other provision hereof. Each Borrower’s obligations under this Section 1.08 shall survive the termination of the Aggregate Commitments and the repayment of all other Obligations hereunder. ARTICLE II THE COMMITMENTS AND CREDIT EXTENSIONS 2.01. Committed Loans. Subject to the terms and conditions set forth herein, each Lender severally agrees to make loans (each such loan, a “Committed Loan”) to the Borrower in Dollars or in one or more Alternative Currencies from time to time, on any Business Day during the Availability Period, in an aggregate amount not to exceed at any time outstanding the amount of such Lender’s Commitment; provided, however, that after giving effect to any Committed Borrowing, (i) the Total Outstandings shall not exceed the Aggregate Commitments, (ii) the Revolving Credit Exposure of any Lender shall not exceed such Lender’s Commitment, and (iii) the aggregate Outstanding Amount of all Committed Loans denominated in Alternative Currencies shall not exceed the Alternative Currency Sublimit. Within the limits of each Lender’s Commitment, and subject to the other terms and conditions hereof, the Borrower may borrow under this Section 2.01, prepay under Section 2.06, and reborrow under this Section 2.01. Committed Loans may be Base Rate Loans, Daily SOFR Loans, Term SOFR Loans, or Alternative Currency Loans, as further provided herein, provided, that, notwithstanding anything contained herein to the contrary, all Committed Loans denominated in an Alternative Currency must be based on the then-applicable Alternative Currency Benchmark. 2.02. Borrowings, Conversions and Continuations of Committed Loans. (a) Each Committed Borrowing, each conversion of Committed Loans from one Type to the other, and each continuation of Term SOFR Committed Loans and Alternative Currency Loans shall be made upon the Borrower’s irrevocable notice to the Administrative Agent, which may be given by (A) telephone or (B) a Committed Loan Notice; provided that any telephonic notice must be confirmed immediately by delivery to the Administrative Agent of a Committed Loan Notice. Each such Committed Loan Notice must be received by the Administrative Agent not later than 11:00 a.m. (i) in the case of Daily SOFR Loans, on the first Business Day immediately prior to the requested date of any Borrowing of Daily SOFR Loans or of any conversion of Daily SOFR Loans to Base Rate Loans; (ii) in the case of Term SOFR Committed Loans, two (2) Business Days prior to the requested date of any Borrowing of, conversion to or continuation of Term SOFR Committed Loans or of any conversion of Term SOFR Committed Loans to Base Rate Loans or Daily SOFR Loans, (iii) in the case of Alternative Currency Loans, three (3) Business Days prior to the requested date of any Borrowing or continuation of Alternative Currency Loans, and (iv) with respect to Base Rate Committed Loans, on the requested date of any Borrowing of Base Rate Committed Loans. Each Borrowing of, conversion to or continuation of Term SOFR Committed Loans and Alternative Currency Loans shall be in a principal amount of $1,000,000 or a whole multiple of $500,000 in excess thereof. Except as provided in Sections 2.04(c) and 2.05(c), each Committed Borrowing of or conversion to Base Rate Committed Loans or Daily SOFR Loans shall be in a principal amount of $500,000 or a whole multiple of $100,000 in excess thereof. Each Committed Loan Notice shall specify (i) whether the Borrower is requesting a Committed Borrowing, a conversion of Committed Loans from one Type to the other, or a continuation of Term SOFR Committed Loans or Alternative Currency Loans, (ii) the requested date of the Borrowing, conversion or continuation, as the case may be (which shall be a Business Day), (iii) the principal amount of Committed Loans to be borrowed, converted or continued, (iv) the Type of Committed Loans to be borrowed or to which existing Committed Loans are to be


 
35 converted, (v) if applicable, the duration of the Interest Period with respect thereto, and (vi) the currency of the Committed Loans to be borrowed. If the Borrower fails to specify a currency in a Committed Loan Notice requesting a Borrowing, then the Committed Loans so requested shall be made in Dollars. If the Borrower fails to specify a Type of Committed Loan in a Committed Loan Notice or if the Borrower fails to give a timely notice requesting a conversion or continuation, then the applicable Committed Loans shall be continued as the same Type of Committed Loan, each having the same Interest Period as the Committed Loans that are the subject of such continuation (e.g., a one month Term SOFR Committed Loan shall continue as a one month Term SOFR Committed Loan); provided, however, that in the case of a failure to timely request a continuation of Committed Loans denominated in an Alternative Currency, such Loans shall be continued as Alternative Currency Loans in their original currency with an Interest Period of one month. If the Borrower requests a Borrowing of, conversion to, or continuation of Term SOFR Committed Loans or Alternative Currency Loans in any such Committed Loan Notice, but fails to specify an Interest Period, it will be deemed to have specified an Interest Period of one month. Except as provided pursuant to Sections 2.12(a) and/or 3.03, no Committed Loan may be converted into or continued as a Committed Loan denominated in a different currency, but instead must be prepaid in the original currency of such Committed Loan and reborrowed in the other currency. (b) Following receipt of a Committed Loan Notice, the Administrative Agent shall promptly notify each Lender of the amount (and currency) of its Applicable Percentage of the applicable Committed Loans, and if no timely notice of a conversion or continuation is provided by the Borrower, the Administrative Agent shall notify each Lender of the details of any continuation or conversion of Committed Loans denominated in a currency other than Dollars, in each case as described in the preceding subsection. In the case of a Committed Borrowing, each Lender shall make the amount of its Committed Loan available to the Administrative Agent in Same Day Funds at the Administrative Agent’s Office for the applicable currency not later than 1:00 p.m., in the case of any Committed Loan denominated in Dollars, and not later than the Applicable Time specified by the Administrative Agent in the case of any Committed Loan denominated in an Alternative Currency, in each case on the Business Day specified in the applicable Committed Loan Notice or, as to Loans to be made on the Closing Date as to which Advance Funding Arrangements are in effect, in accordance with the terms thereof. Upon satisfaction of the applicable conditions set forth in Section 4.02 (and, if such Borrowing is the initial Credit Extension, Section 4.01), the Administrative Agent shall make all funds so received available to the Borrower in like funds as received by the Administrative Agent either by (i) crediting the account of the Borrower on the books of Bank of America with the amount of such funds or (ii) wire transfer of such funds, in each case in accordance with instructions provided to (and reasonably acceptable to) the Administrative Agent by the Borrower; provided, however, that if, on the date the Committed Loan Notice with respect to such Borrowing denominated in Dollars is given by the Borrower, there are L/C Borrowings outstanding, then the proceeds of such Borrowing, first, shall be applied to the payment in full of any such L/C Borrowings, and, second, shall be made available to the Borrower as provided above. (c) Except as otherwise provided herein, each Term SOFR Committed Loan and Alternative Currency Loan may be continued or converted only on the last day of an Interest Period for such Loan. During the existence of a Default, if so required by the Required Lenders, no Loans may be requested as, converted to or continued as Term SOFR Committed Loans and/or Alternative Currency Loans, as applicable, and the Required Lenders may, if written notice of such Default has previously been delivered to the Borrower, demand that any or all of the then-outstanding Alternative Currency Loans be prepaid, or redenominated into Dollars in the amount of the Dollar Equivalent thereof, on the last day of the then current Interest Period with respect thereto. (d) The Administrative Agent shall promptly notify the Borrower and the Lenders of the interest rate applicable to any Interest Period for each Term SOFR Committed Loan and Alternative Currency Loan upon determination of such interest rate. At any time that Base Rate Loans are outstanding, the Administrative Agent shall notify the Borrower and the Lenders of any change in Bank of America’s prime rate used in determining the Base Rate promptly following the public announcement of such change. (e) After giving effect to all Committed Borrowings, all conversions of Committed Loans from one Type to the other, and all continuations of Committed Loans as the same Type, there shall not be more than ten (10) Interest Periods in effect with respect to all Loans that are Term SOFR Committed Loans and Alternative Currency Loans.


 
36 (f) Notwithstanding anything to the contrary in this Agreement, any Lender may exchange, continue or rollover all of the portion of its Loans in connection with any refinancing, extension, loan modification or similar transaction permitted by the terms of this Agreement, pursuant to a cashless settlement mechanism approved by the Borrower, the Administrative Agent, and such Lender. (g) With respect to any of SOFR, Daily Simple SOFR, Term SOFR, any Relevant Rate, any Alternative Currency Benchmark or any USD Benchmark Successor Rate or Alternative Currency Successor Rate, the Administrative Agent will have the right to make USD Benchmark Replacement Conforming Changes or Alternative Currency Successor Rate Conforming Changes, as applicable, from time to time and, notwithstanding anything to the contrary herein or in any other Loan Document, any amendments implementing such USD Benchmark Replacement Conforming Changes or Alternative Currency Successor Rate Conforming Changes, as applicable, will become effective without any further action or consent of any other party to this Agreement or any other Loan Document; provided that, with respect to any such amendment effected, the Administrative Agent shall post each such amendment implementing such USD Benchmark Replacement Conforming Changes or Alternative Currency Successor Rate Conforming Changes, as applicable, to the Borrower and the Lenders reasonably promptly after such amendment becomes effective. 2.03. Bid Loans. (a) General. Subject to the terms and conditions set forth herein and to the extent that the Borrower, as of the date of any request therefor, maintains an Investment Grade Rating, each Lender agrees that the Borrower may from time to time request the Lenders to submit offers to make loans in Dollars (each such loan, a “Bid Loan”) to the Borrower prior to the Maturity Date pursuant to this Section 2.03; provided, however, that after giving effect to any Bid Borrowing, (i) the Total Outstandings shall not exceed the Aggregate Commitments, and (ii) the aggregate Outstanding Amount of all Bid Loans shall not exceed the Bid Loan Sublimit. There shall not be more than ten (10) different Interest Periods in effect with respect to Bid Loans at any time. (b) Requesting Competitive Bids. The Borrower may request the submission of Competitive Bids by delivering a Bid Request to the Administrative Agent not later than 12:00 noon (i) one Business Day prior to the requested date of any Bid Borrowing that is to consist of Absolute Rate Loans, or (ii) four Business Days prior to the requested date of any Bid Borrowing that is to consist of Benchmark Margin Bid Loans. Each Bid Request shall specify (i) the requested date of the Bid Borrowing (which shall be a Business Day), (ii) the aggregate principal amount of Bid Loans requested (which must be $5,000,000 or a whole multiple of $500,000 in excess thereof), (iii) the Type of Bid Loans requested, and (iv) the duration of the Interest Period with respect thereto, and shall be signed by a Responsible Officer of the Borrower. No Bid Request shall contain a request for (i) more than one Type of Bid Loan or (ii) Bid Loans having more than three (3) different Interest Periods. Unless the Administrative Agent otherwise agrees in its sole discretion, the Borrower may not submit a Bid Request if it has submitted another Bid Request within the prior five (5) Business Days. (c) Submitting Competitive Bids. (i) The Administrative Agent shall promptly notify each Lender of each Bid Request received by it from the Borrower and the contents of such Bid Request. (ii) Each Lender may (but shall have no obligation to) submit a Competitive Bid containing an offer to make one or more Bid Loans in response to such Bid Request. Such Competitive Bid must be delivered to the Administrative Agent not later than 10:30 a.m. (A) on the requested date of any Bid Borrowing that is to consist of Absolute Rate Loans, and (B) three Business Days prior to the requested date of any Bid Borrowing that is to consist of Benchmark Margin Bid Loans; provided, however, that any Competitive Bid submitted by Bank of America in its capacity as a Lender in response to any Bid Request must be submitted to the Administrative Agent not later than 10:15 a.m. on the date on which Competitive Bids are required to be delivered by the other Lenders in response to such Bid Request. Each Competitive Bid shall specify (A) the proposed date of the Bid Borrowing; (B) the principal amount of each Bid Loan for which such Competitive Bid is being made, which principal amount (x) may be equal to, greater than or less than the Commitment of the bidding Lender, (y) must be $5,000,000 or a whole multiple of $500,000 in excess thereof, and (z) may not exceed the principal amount of Bid Loans for which Competitive Bids were


 
37 requested; (C) if the proposed Bid Borrowing is to consist of Absolute Rate Bid Loans, the Absolute Rate offered for each such Bid Loan and the Interest Period applicable thereto; (D) if the proposed Bid Borrowing is to consist of Benchmark Margin Bid Loans, the Benchmark Bid Margin with respect to each such Benchmark Margin Bid Loan and the Interest Period applicable thereto; and (E) the identity of the bidding Lender. (iii) Any Competitive Bid shall be disregarded if it (A) is received after the applicable time specified in clause (ii) above, (B) is not substantially in the form of a Competitive Bid as specified herein, (C) contains qualifying, conditional or similar language, (D) proposes terms other than or in addition to those set forth in the applicable Bid Request, or (E) is otherwise not responsive to such Bid Request. Any Lender may correct a Competitive Bid containing a manifest error by submitting a corrected Competitive Bid (identified as such) not later than the applicable time required for submission of Competitive Bids. Any such submission of a corrected Competitive Bid shall constitute a revocation of the Competitive Bid that contained the manifest error. The Administrative Agent may, but shall not be required to, notify any Lender of any manifest error it detects in such Lender’s Competitive Bid. (iv) Subject only to the provisions of Sections 3.02, 3.03 and 4.02 and clause (iii) above, each Competitive Bid shall be irrevocable. (d) Notice to Borrower of Competitive Bids. Not later than 11:00 a.m. (i) on the requested date of any Bid Borrowing that is to consist of Absolute Rate Loans, or (ii) three Business Days prior to the requested date of any Bid Borrowing that is to consist of Benchmark Margin Bid Loans, the Administrative Agent shall notify the Borrower of the identity of each Lender that has submitted a Competitive Bid that complies with Section 2.03(c) and of the terms of the offers contained in each such Competitive Bid. (e) Acceptance of Competitive Bids. Not later than 2:00 p.m. (i) on the requested date of any Bid Borrowing that is to consist of Absolute Rate Loans, and (ii) three Business Days prior to the requested date of any Bid Borrowing that is to consist of Benchmark Margin Bid Loans, the Borrower shall notify the Administrative Agent of its acceptance or rejection of the offers notified to it pursuant to Section 2.03(d). The Borrower shall be under no obligation to accept any Competitive Bid and may choose to reject all Competitive Bids. In the case of acceptance, such notice shall specify the aggregate principal amount of Competitive Bids for each Interest Period that is accepted. The Borrower may accept any Competitive Bid in whole or in part; provided that: (i) the aggregate principal amount of each Bid Borrowing may not exceed the applicable amount set forth in the related Bid Request; (ii) the principal amount of each Bid Loan must be $5,000,000 or a whole multiple of $500,000 in excess thereof; (iii) the acceptance of offers may be made only on the basis of ascending Absolute Rates or Benchmark Bid Margins within each Interest Period; and (iv) the Borrower may not accept any offer that is described in Section 2.03(c)(iii) or that otherwise fails to comply with the requirements hereof. (f) Procedure for Identical Bids. If two or more Lenders have submitted Competitive Bids at the same Absolute Rate or Benchmark Bid Margin, as the case may be, for the same Interest Period, and the result of accepting all of such Competitive Bids in whole (together with any other Competitive Bids at lower Absolute Rates or Benchmark Bid Margins, as the case may be, accepted for such Interest Period in conformity with the requirements of Section 2.03(e)(iii)) would be to cause the aggregate outstanding principal amount of the applicable Bid Borrowing to exceed the amount specified therefor in the related Bid Request, then, unless otherwise agreed by the Borrower, the Administrative Agent and such Lenders, such Competitive Bids shall be accepted as nearly as possible in proportion to the amount offered by each such Lender in respect of such Interest Period, with such accepted amounts being rounded to the nearest whole multiple of $500,000.


 
38 (g) Notice to Lenders of Acceptance or Rejection of Bids. The Administrative Agent shall promptly notify each Lender having submitted a Competitive Bid whether or not its offer has been accepted and, if its offer has been accepted, of the amount of the Bid Loan or Bid Loans to be made by it on the date of the applicable Bid Borrowing. Any Competitive Bid or portion thereof that is not accepted by the Borrower by the applicable time specified in Section 2.03(e) shall be deemed rejected. (h) Notice of Term SOFR. If any Bid Borrowing is to consist of Benchmark Margin Loans, the Administrative Agent shall determine Term SOFR for the relevant Interest Period, and promptly after making such determination, shall notify the Borrower and the Lenders that will be participating in such Bid Borrowing of such rate. (i) Funding of Bid Loans. Each Lender that has received notice pursuant to Section 2.03(g) that all or a portion of its Competitive Bid has been accepted by the Borrower shall make the amount of its Bid Loan(s) available to the Administrative Agent in immediately available funds at the Administrative Agent’s Office not later than 1:00 p.m. on the date of the requested Bid Borrowing. Upon satisfaction of the applicable conditions set forth in Section 4.02, the Administrative Agent shall make all funds so received available to the Borrower in like funds as received by the Administrative Agent. (j) Notice of Range of Bids. After each Competitive Bid auction pursuant to this Section 2.03, the Administrative Agent shall notify each Lender that submitted a Competitive Bid in such auction of the ranges of bids submitted (without the bidder’s name) and accepted for each Bid Loan and the aggregate amount of each Bid Borrowing. 2.04. Letters of Credit. (a) The Letter of Credit Commitment. (i) Subject to the terms and conditions set forth herein, (A) the L/C Issuer agrees, in reliance upon the agreements of the Lenders set forth in this Section 2.04, (1) from time to time on any Business Day during the period from the Closing Date until the Letter of Credit Expiration Date, to issue Letters of Credit denominated in Dollars or in any Alternative Currency for the account of the Borrower or its Subsidiaries, and to amend or extend Letters of Credit previously issued by it, in accordance with subsection (b) below, and (2) to honor drawings under the Letters of Credit; and (B) the Lenders severally agree to participate in Letters of Credit issued for the account of the Borrower or its Subsidiaries and any drawings thereunder; provided that after giving effect to any L/C Credit Extension with respect to any Letter of Credit, (x) the Total Outstandings shall not exceed the Aggregate Commitments, (y) the Revolving Credit Exposure of any Lender shall not exceed such Lender’s Commitment, and (z) the Outstanding Amount of the L/C Obligations shall not exceed the Letter of Credit Sublimit. Each request by the Borrower for the issuance or amendment of a Letter of Credit shall be deemed to be a representation by the Borrower that the L/C Credit Extension so requested complies with the conditions set forth in the proviso to the preceding sentence. Within the foregoing limits, and subject to the terms and conditions hereof, the Borrower’s ability to obtain Letters of Credit shall be fully revolving, and accordingly the Borrower may, during the foregoing period, obtain Letters of Credit to replace Letters of Credit that have expired or that have been drawn upon and reimbursed. The Lenders hereby each consent to the terms of the Existing Letters of Credit, as set forth on Schedule 1.01 hereof and all Existing Letters of Credit shall be deemed to have been issued pursuant hereto, and from and after the Closing Date shall be subject to and governed by the terms and conditions hereof. (ii) The L/C Issuer shall not issue any Letter of Credit, if: (A) subject to Section 2.04(b)(iii), the expiry date of the requested Letter of Credit would occur more than twelve (12) months after the date of issuance or last extension, unless the Required Lenders have approved such expiry date; or (B) the expiry date of the requested Letter of Credit would occur after the Letter of Credit Expiration Date, unless all the Lenders have approved such expiry date, except to the extent


 
39 Borrower has, as of such Letter of Credit Expiration Date, fully Cash Collateralized such Letter of Credit in accordance with Section 2.17(a) hereof. (iii) The L/C Issuer shall not be under any obligation to issue any Letter of Credit if: (A) any order, judgment or decree of any Governmental Authority or arbitrator shall by its terms purport to enjoin or restrain the L/C Issuer from issuing the Letter of Credit, or any Law applicable to the L/C Issuer or any request or directive (whether or not having the force of law) from any Governmental Authority with jurisdiction over the L/C Issuer shall prohibit, or request that the L/C Issuer refrain from, the issuance of letters of credit generally or the Letter of Credit in particular or shall impose upon the L/C Issuer with respect to the Letter of Credit any restriction, reserve or capital requirement (for which the L/C Issuer is not otherwise compensated hereunder) not in effect on the Closing Date, or shall impose upon the L/C Issuer any unreimbursed loss, cost or expense which was not applicable on the Closing Date and which the L/C Issuer in good faith deems material to it; (B) the issuance of the Letter of Credit would violate one or more written policies of the L/C Issuer applicable to letters of credit generally; (C) except as otherwise agreed by the Administrative Agent and the L/C Issuer, the Letter of Credit is in an initial stated Dollar Equivalent amount less than $500,000; (D) the Letter of Credit is to be denominated in a currency other than Dollars or an Alternative Currency; (E) the L/C Issuer does not as of the issuance date of such requested Letter of Credit issue Letters of Credit in the requested currency (it being acknowledged by the L/C Issuer that, inter alia, as of the date of this Agreement, the L/C Issuer issues Letters of Credit in an Alternative Currency) or such Letter of Credit is denominated in an Alternative Currency and is required for any reason to be issued by a foreign branch or foreign Affiliate of the L/C Issuer or from a Lending Office located outside of the United States; or (F) any Lender is at that time a Defaulting Lender, unless the L/C Issuer has entered into arrangements, including the delivery of Cash Collateral, satisfactory to the L/C Issuer (in its sole discretion) with the Borrower or such Lender to eliminate the L/C Issuer’s actual or potential Fronting Exposure (after giving effect to Section 2.18(a)(iv)) with respect to the Defaulting Lender arising from either the Letter of Credit then proposed to be issued or that Letter of Credit and all other L/C Obligations as to which the L/C Issuer has actual or potential Fronting Exposure, as it may elect in its sole discretion. (iv) The L/C Issuer shall not amend any Letter of Credit if the L/C Issuer would not be permitted at such time to issue the Letter of Credit in its amended form under the terms hereof. (v) The L/C Issuer shall be under no obligation to amend any Letter of Credit if (A) the L/C Issuer would have no obligation at such time to issue the Letter of Credit in its amended form under the terms hereof, or (B) the beneficiary of the Letter of Credit does not accept the proposed amendment to the Letter of Credit. (vi) The L/C Issuer shall act on behalf of the Lenders with respect to any Letters of Credit issued by it and the documents associated therewith, and the L/C Issuer shall have all of the benefits and immunities (A) provided to the Administrative Agent in Article IX with respect to any acts taken or omissions suffered by the L/C Issuer in connection with Letters of Credit issued by it or proposed to be issued by it and Issuer Documents pertaining to such Letters of Credit as fully as if the term “Administrative Agent” as used in Article IX included the L/C Issuer with respect to such acts or omissions, and (B) as additionally provided herein with respect to the L/C Issuer.


 
40 (b) Procedures for Issuance and Amendment of Letters of Credit. (i) Each Letter of Credit shall be issued or amended, as the case may be, upon the request of the Borrower delivered to the L/C Issuer (with a copy to the Administrative Agent) in the form of a Letter of Credit Application, appropriately completed and signed by a Responsible Officer of the Borrower. Such Letter of Credit Application may be sent by facsimile, by United States mail, by overnight courier, by electronic transmission using the system provided by the L/C Issuer, by personal delivery or by any other means acceptable to the L/C Issuer. Such Letter of Credit Application must be received by the L/C Issuer and the Administrative Agent not later than 11:00 a.m. at least two Business Days (or such later date and time as the Administrative Agent and the L/C Issuer may agree in a particular instance in their sole discretion) prior to the proposed issuance date or date of amendment, as the case may be. In the case of a request for an initial issuance of a Letter of Credit, such Letter of Credit Application shall specify in form and detail satisfactory to the L/C Issuer: (A) the proposed issuance date of the requested Letter of Credit (which shall be a Business Day); (B) the amount and currency thereof; (C) the expiry date thereof; (D) the name and address of the beneficiary thereof; (E) the documents to be presented by such beneficiary in case of any drawing thereunder; (F) the full text of any certificate to be presented by such beneficiary in case of any drawing thereunder; (G) the purpose and nature of the requested Letter of Credit; and (H) such other matters as the L/C Issuer may require. In the case of a request for an amendment of any outstanding Letter of Credit, such Letter of Credit Application shall specify in form and detail satisfactory to the L/C Issuer (A) the Letter of Credit to be amended; (B) the proposed date of amendment thereof (which shall be a Business Day); (C) the nature of the proposed amendment; and (D) such other matters as the L/C Issuer may require. Additionally, the Borrower shall furnish to the L/C Issuer and the Administrative Agent such other documents and information pertaining to such requested Letter of Credit issuance or amendment, including any Issuer Documents, as the L/C Issuer or the Administrative Agent may require. (ii) Promptly after receipt of any Letter of Credit Application, the L/C Issuer will confirm with the Administrative Agent (by telephone or in writing) that the Administrative Agent has received a copy of such Letter of Credit Application from the Borrower and, if not, the L/C Issuer will provide the Administrative Agent with a copy thereof. Unless the L/C Issuer has received written notice from any Lender, the Administrative Agent or any Loan Party, at least one Business Day prior to the requested date of issuance or amendment of the applicable Letter of Credit, that one or more applicable conditions contained in Article IV shall not then be satisfied (and specifying which conditions are not then satisfied), then, subject to the terms and conditions hereof, the L/C Issuer shall, on the requested date, issue a Letter of Credit for the account of the Borrower (or the applicable Subsidiary) or enter into the applicable amendment, as the case may be, in each case in accordance with the L/C Issuer’s usual and customary business practices. Immediately upon the issuance of each Letter of Credit, each Lender shall be deemed to, and hereby irrevocably and unconditionally agrees to, purchase from the L/C Issuer a risk participation in such Letter of Credit in an amount equal to the product of such Lender’s Applicable Percentage times the amount of such Letter of Credit. (iii) If the Borrower so requests in any applicable Letter of Credit Application, the L/C Issuer may, in its sole discretion, agree to issue a Letter of Credit that has automatic extension provisions (each, an “Auto-Extension Letter of Credit”); provided that any such Auto-Extension Letter of Credit must permit the L/C Issuer to prevent any such extension at least once in each twelve-month period (commencing with the date of issuance of such Letter of Credit) by giving prior notice to the beneficiary thereof and the Borrower not later than a day (the “Non-Extension Notice Date”) in each such twelve-month period to be agreed upon at the time such Letter of Credit is issued. Unless otherwise directed by the L/C Issuer, the Borrower shall not be required to make a specific request to the L/C Issuer for any such extension. Once an Auto-Extension Letter of Credit has been issued, the Lenders shall be deemed to have authorized (but may not require) the L/C Issuer to permit the extension of such Letter of Credit at any time to an expiry date not later than the Letter of Credit Issuance Expiration Date or, if such Letter of Credit has been fully Cash Collateralized in accordance with Section 2.17(a) hereof as of the Maturity Date, the date which is up to twelve (12) months following such Letter of Credit Issuance Expiration Date; provided, however, that the L/C Issuer shall not permit any such extension if (A) the L/C Issuer has determined that it would not be permitted, or would have no obligation, at such time to issue such Letter of Credit in its revised form (as extended) under the terms hereof (by reason of the provisions of clause (ii) or (iii) of Section 2.04(a) or otherwise), or (B) it has received


 
41 notice (which may be by telephone or in writing) on or before the day that is seven Business Days before the Non-Extension Notice Date (1) from the Administrative Agent that the Required Lenders have elected not to permit such extension or (2) from the Administrative Agent, any Lender or the Borrower that one or more of the applicable conditions specified in Section 4.02 is not then satisfied, and in each such case directing the L/C Issuer not to permit such extension. (iv) Promptly after its delivery of any Letter of Credit or any amendment to a Letter of Credit to an advising bank with respect thereto or to the beneficiary thereof, the L/C Issuer will also deliver to the Borrower and the Administrative Agent a true and complete copy of such Letter of Credit or amendment. (c) Drawings and Reimbursements; Funding of Participations. (i) Upon receipt from the beneficiary of any Letter of Credit of any notice of a drawing under such Letter of Credit, the L/C Issuer shall notify the Borrower and the Administrative Agent thereof. In the case of a Letter of Credit denominated in an Alternative Currency, the Borrower shall reimburse the L/C Issuer in such Alternative Currency, unless (A) the L/C Issuer (at its option) shall have specified in such notice that it will require reimbursement in Dollars, or (B) in the absence of any such requirement for reimbursement in Dollars, the Borrower shall have notified the L/C Issuer promptly following receipt of the notice of drawing that the Borrower will reimburse the L/C Issuer in Dollars. In the case of any such reimbursement in Dollars of a drawing under a Letter of Credit denominated in an Alternative Currency, the L/C Issuer shall notify the Borrower of the Dollar Equivalent of the amount of the drawing promptly following the determination thereof. Not later than 11:00 a.m. on the date of any payment by the L/C Issuer under a Letter of Credit to be reimbursed in Dollars, or the Applicable Time on the date of any payment by the L/C Issuer under a Letter of Credit to be reimbursed in an Alternative Currency (each such date, an “Honor Date”), the Borrower shall reimburse the L/C Issuer through the Administrative Agent in an amount equal to the amount of such drawing and in the applicable currency. In the event that (A) a drawing denominated in an Alternative Currency is to be reimbursed in Dollars pursuant to the second sentence in this Section 2.04(c)(i) and (B) the Dollar amount paid by the Borrower, whether on or after the Honor Date, shall not be adequate on the date of that payment to purchase in accordance with normal banking procedures a sum denominated in the Alternative Currency equal to the drawing, the Borrower agrees, as a separate and independent obligation, to indemnify the L/C Issuer for the loss resulting from its inability on that date to purchase the Alternative Currency in the full amount of the drawing. If the Borrower fails to timely reimburse the L/C Issuer on the Honor Date (it being acknowledged that such failure shall not, on its own, form the basis for a Default or Event of Default hereunder), the Administrative Agent shall promptly notify each Lender of the Honor Date, the amount of the unreimbursed drawing (expressed in Dollars in the amount of the Dollar Equivalent thereof in the case of a Letter of Credit denominated in an Alternative Currency) (the “Unreimbursed Amount”), and the amount of such Lender’s Applicable Percentage thereof. In such event, the Borrower shall be deemed to have requested a Committed Borrowing of Base Rate Loans to be disbursed on the Honor Date in an amount equal to the Unreimbursed Amount, without regard to the minimum and multiples specified in Section 2.02 for the principal amount of Base Rate Loans, but subject to the amount of the unutilized portion of the Aggregate Commitments and the conditions set forth in Section 4.02 (other than the delivery of a Committed Loan Notice). Any notice given by the L/C Issuer or the Administrative Agent pursuant to this Section 2.04(c)(i) may be given by telephone if immediately confirmed in writing; provided that the lack of such an immediate confirmation shall not affect the conclusiveness or binding effect of such notice. (ii) Each Lender shall upon any notice pursuant to Section 2.04(c)(i) make funds available (and the Administrative Agent may apply Cash Collateral provided for this purpose) but only if (x) such Cash Collateral has been posted by a Defaulting Lender and/or (y) such Cash Collateral has been posted by the Borrower on or after the Letter of Credit Issuance Expiration Date (or there is, for any reason, insufficient additional availability hereunder for the borrowing of Committed Loans to account for the Unreimbursed Amount) for the account of the L/C Issuer, in Dollars, at the Administrative Agent’s Office for Dollar- denominated payments in an amount equal to its Applicable Percentage of the Unreimbursed Amount not later than 1:00 p.m. on the Business Day specified in such notice by the Administrative Agent, whereupon, subject to the provisions of Section 2.04(c)(iii), each Lender that so makes funds available shall be deemed


 
42 to have made a Base Rate Committed Loan to the Borrower in such amount. The Administrative Agent shall remit the funds so received to the L/C Issuer in Dollars. (iii) With respect to any Unreimbursed Amount that is not fully refinanced by a Committed Borrowing of Base Rate Loans because the conditions set forth in Section 4.02 cannot be satisfied or for any other reason, the Borrower shall be deemed to have incurred from the L/C Issuer an L/C Borrowing in the amount of the Unreimbursed Amount that is not so refinanced, which L/C Borrowing shall be due and payable on demand (together with interest) and shall bear interest at the Default Rate from and after the date that is five (5) days after the date of such demand. In such event, each Lender’s payment to the Administrative Agent for the account of the L/C Issuer pursuant to Section 2.04(c)(ii) shall be deemed payment in respect of its participation in such L/C Borrowing and shall constitute an L/C Advance from such Lender in satisfaction of its participation obligation under this Section 2.04. (iv) Until each Lender funds its Committed Loan or L/C Advance pursuant to this Section 2.04(c) to reimburse the L/C Issuer for any amount drawn under any Letter of Credit, interest in respect of such Lender’s Applicable Percentage of such amount shall be solely for the account of the L/C Issuer. (v) Each Lender’s obligation to make Committed Loans or L/C Advances to reimburse the L/C Issuer for amounts drawn under Letters of Credit, as contemplated by this Section 2.04(c), shall be absolute and unconditional and shall not be affected by any circumstance, including (A) any setoff, counterclaim, recoupment, defense or other right which such Lender may have against the L/C Issuer, the Borrower, any Subsidiary or any other Person for any reason whatsoever; (B) the occurrence or continuance of a Default, or (C) any other occurrence, event or condition, whether or not similar to any of the foregoing; provided, however, that each Lender’s obligation to make Committed Loans pursuant to this Section 2.04(c) is subject to the conditions set forth in Section 4.02 (other than delivery by the Borrower of a Committed Loan Notice). No such making of an L/C Advance shall relieve or otherwise impair the obligation of the Borrower to reimburse the L/C Issuer for the amount of any payment made by the L/C Issuer under any Letter of Credit, together with interest as provided herein. (vi) If any Lender fails to make available to the Administrative Agent for the account of the L/C Issuer any amount required to be paid by such Lender pursuant to the foregoing provisions of this Section 2.04(c) by the time specified in Section 2.04(c)(ii), then, without limiting the other provisions of this Agreement, the L/C Issuer shall be entitled to recover from such Lender (acting through the Administrative Agent), on demand, such amount with interest thereon for the period from the date such payment is required to the date on which such payment is immediately available to the L/C Issuer at a rate per annum equal to the applicable Overnight Rate from time to time in effect, plus any administrative, processing or similar fees customarily charged by the L/C Issuer in connection with the foregoing. If such Lender pays such amount (with interest and fees as aforesaid), the amount so paid shall constitute such Lender’s Committed Loan included in the relevant Committed Borrowing or L/C Advance in respect of the relevant L/C Borrowing, as the case may be. A certificate of the L/C Issuer submitted to any Lender (through the Administrative Agent) with respect to any amounts owing under this clause (vi) shall be conclusive absent manifest error. (d) Repayment of Participations. (i) At any time after the L/C Issuer has made a payment under any Letter of Credit and has received from any Lender such Lender’s L/C Advance in respect of such payment in accordance with Section 2.04(c), if the Administrative Agent receives for the account of the L/C Issuer any payment in respect of the related Unreimbursed Amount or interest thereon (whether directly from the Borrower or otherwise, including proceeds of Cash Collateral applied thereto by the Administrative Agent), the Administrative Agent will distribute to such Lender its Applicable Percentage thereof in Dollars and in the same funds as those received by the Administrative Agent. (ii) If any payment received by the Administrative Agent for the account of the L/C Issuer pursuant to Section 2.04(c)(i) is required to be returned under any of the circumstances described in Section 10.05 (including pursuant to any settlement entered into by the L/C Issuer in its discretion), each


 
43 Lender shall pay to the Administrative Agent for the account of the L/C Issuer its Applicable Percentage thereof on demand of the Administrative Agent, plus interest thereon from the date of such demand to the date such amount is returned by such Lender, at a rate per annum equal to the applicable Overnight Rate from time to time in effect. The obligations of the Lenders under this clause shall survive the payment in full of the Obligations and the termination of this Agreement. (e) Obligations Absolute. The obligation of the Borrower to reimburse the L/C Issuer for each drawing under each Letter of Credit and to repay each L/C Borrowing shall be absolute, unconditional and irrevocable, and shall be paid strictly in accordance with the terms of this Agreement under all circumstances, including the following: (i) any lack of validity or enforceability of such Letter of Credit, this Agreement, or any other Loan Document; (ii) the existence of any claim, counterclaim, setoff, defense or other right that the Borrower or any Subsidiary may have at any time against any beneficiary or any transferee of such Letter of Credit (or any Person for whom any such beneficiary or any such transferee may be acting), the L/C Issuer or any other Person, whether in connection with this Agreement, the transactions contemplated hereby or by such Letter of Credit or any agreement or instrument relating thereto, or any unrelated transaction; (iii) any draft, demand, certificate or other document presented under such Letter of Credit proving to be forged, fraudulent, invalid or insufficient in any respect or any statement therein being untrue or inaccurate in any respect; or any loss or delay in the transmission or otherwise of any document required in order to make a drawing under such Letter of Credit; (iv) waiver by the L/C Issuer of any requirement that exists for the L/C Issuer’s protection and not the protection of the Borrower or any waiver by the L/C Issuer which does not in fact materially prejudice the Borrower; (v) honor of a demand for payment presented electronically even if such Letter of Credit requires that demand be in the form of a draft; (vi) any payment made by the L/C Issuer in respect of an otherwise complying item presented after the date specified as the expiration date of, or the date by which documents must be received under, such Letter of Credit if presentation after such date is authorized by the UCC, the ISP or the UCP, as applicable; (vii) any payment by the L/C Issuer under such Letter of Credit against presentation of a draft or certificate that does not strictly comply with the terms of such Letter of Credit; or any payment made by the L/C Issuer under such Letter of Credit to any Person purporting to be a trustee in bankruptcy, debtor-in- possession, assignee for the benefit of creditors, liquidator, receiver or other representative of or successor to any beneficiary or any transferee of such Letter of Credit, including any arising in connection with any proceeding under any Debtor Relief Law; (viii) any adverse change in the relevant exchange rates or in the availability of the relevant Alternative Currency to the Borrower or any Subsidiary or in the relevant currency markets generally; or (ix) any other circumstance or happening whatsoever, whether or not similar to any of the foregoing, including any other circumstance that might otherwise constitute a defense available to, or a discharge of, the Borrower or any Subsidiary. The Borrower shall promptly examine a copy of each Letter of Credit and each amendment thereto that is delivered to it and, in the event of any claim of noncompliance with the Borrower’s instructions or other irregularity, the Borrower will immediately notify the L/C Issuer. The Borrower shall be conclusively deemed to have waived any such claim against the L/C Issuer and its correspondents unless such notice is given as aforesaid.


 
44 Notwithstanding anything contained herein to the contrary, the Lenders’ respective obligations to reimburse the L/C Issuer for draws on Letters of Credit that have been fully Cash Collateralized (as reasonably determined by the L/C Issuer) and that remain outstanding following the Maturity Date shall terminate as of the Maturity Date, except to the extent the L/C Issuer is, for any reason, required by Law to return the applicable Cash Collateral to the Borrower or any other Loan Party. (f) Role of L/C Issuer. Each Lender and the Borrower agree that, in paying any drawing under a Letter of Credit, the L/C Issuer shall not have any responsibility to obtain any document (other than any sight draft, certificates and documents expressly required by the Letter of Credit) or to ascertain or inquire as to the validity or accuracy of any such document or the authority of the Person executing or delivering any such document. None of the L/C Issuer, the Administrative Agent, any of their respective Related Parties nor any correspondent, participant or assignee of the L/C Issuer shall be liable to any Lender for (i) any action taken or omitted in connection herewith at the request or with the approval of the Lenders or the Required Lenders, as applicable; (ii) any action taken or omitted in the absence of gross negligence or willful misconduct; or (iii) the due execution, effectiveness, validity or enforceability of any document or instrument related to any Letter of Credit or Issuer Document. The Borrower hereby assumes all risks of the acts or omissions of any beneficiary or transferee with respect to its use of any Letter of Credit; provided, however, that this assumption is not intended to, and shall not, preclude the Borrower’s pursuing such rights and remedies as it may have against the beneficiary or transferee at law or under any other agreement. None of the L/C Issuer, the Administrative Agent, any of their respective Related Parties nor any correspondent, participant or assignee of the L/C Issuer shall be liable or responsible for any of the matters described in clauses (i) through (viii) of Section 2.04(e); provided, however, that anything in such clauses to the contrary notwithstanding, the Borrower may have a claim against the L/C Issuer, and the L/C Issuer may be liable to the Borrower, to the extent, but only to the extent, of any direct, as opposed to consequential or exemplary, damages suffered by the Borrower which the Borrower proves were caused by the L/C Issuer’s willful misconduct or gross negligence or the L/C Issuer’s willful failure to pay under any Letter of Credit after the presentation to it by the beneficiary of a sight draft and certificate(s) strictly complying with the terms and conditions of a Letter of Credit. In furtherance and not in limitation of the foregoing, the L/C Issuer may accept documents that appear on their face to be in order, without responsibility for further investigation, regardless of any notice or information to the contrary, and the L/C Issuer shall not be responsible for the validity or sufficiency of any instrument transferring or assigning or purporting to transfer or assign a Letter of Credit or the rights or benefits thereunder or proceeds thereof, in whole or in part, which may prove to be invalid or ineffective for any reason. The L/C Issuer may send a Letter of Credit or conduct any communication to or from the beneficiary via the Society for Worldwide Interbank Financial Telecommunication (“SWIFT”) message or overnight courier, or any other commercially reasonable means of communicating with a beneficiary. (g) Applicability of ISP; Limitation of Liability. Unless otherwise expressly agreed by the L/C Issuer and the Borrower when a Letter of Credit is issued (including any such agreement applicable to an Existing Letter of Credit), the rules of the ISP shall apply to each standby Letter of Credit. Notwithstanding the foregoing, the L/C Issuer shall not be responsible to the Borrower for, and the L/C Issuer’s rights and remedies against the Borrower shall not be impaired by, any action or inaction of the L/C Issuer required or permitted under any law, order, or practice that is required or permitted to be applied to any Letter of Credit or this Agreement, including the Law or any order of a jurisdiction where the L/C Issuer or the beneficiary is located, the practice stated in the ISP or in the decisions, opinions, practice statements, or official commentary of the ICC Banking Commission, the Bankers Association for Finance and Trade - International Financial Services Association (BAFT-IFSA), or the Institute of International Banking Law & Practice, whether or not any Letter of Credit chooses such law or practice. (h) Letter of Credit Fees. The Borrower shall pay to the Administrative Agent for the account of each Lender in accordance, subject to adjustment as provided in Section 2.18, with its Applicable Percentage, in Dollars, a Letter of Credit fee (the “Letter of Credit Fee”) for each standby Letter of Credit equal to the Applicable Rate times the Dollar Equivalent of the daily amount available to be drawn under such Letter of Credit; provided, however, any Letter of Credit Fees otherwise payable for the account of a Defaulting Lender with respect to any Letter of Credit as to which such Defaulting Lender has not provided Cash Collateral satisfactory to the L/C Issuer pursuant to this Section 2.04 shall be payable, to the maximum extent permitted by applicable Law, to the other Lenders in accordance with the upward adjustments in their respective Applicable Percentages allocable to such Letter of Credit pursuant to Section 2.19(a)(iv), with the balance of such fee, if any, payable to the L/C Issuer for its own account. For purposes of computing the daily amount available to be drawn under any Letter of Credit, the amount of such Letter of Credit shall be determined in accordance with Section 1.07. Letter of Credit Fees shall be (i) due and payable on the first


 
45 Business Day after the end of each March, June, September and December, commencing with the first such date to occur after the issuance of such Letter of Credit, on the Letter of Credit Expiration Date and thereafter on demand and (ii) computed on a quarterly basis in arrears. If there is any change in the Applicable Rate during any quarter, the daily amount available to be drawn under each Letter of Credit shall be computed and multiplied by the Applicable Rate separately for each period during such quarter that such Applicable Rate was in effect. Notwithstanding anything to the contrary contained herein, upon the request of the Required Lenders, while any Event of Default exists, all Letter of Credit Fees shall accrue at the Default Rate. (i) Fronting Fee and Documentary and Processing Charges Payable to L/C Issuer. The Borrower shall pay directly to the L/C Issuer for its own account, in Dollars, a fronting fee with respect to each Letter of Credit, at the rate per annum specified in the BAS/Agent Fee Letter, computed on the Dollar Equivalent of the daily amount available to be drawn under such Letter of Credit on a quarterly basis in arrears. Such fronting fee shall be due and payable on the tenth Business Day after the end of each March, June, September and December in respect of the most recently-ended quarterly period (or portion thereof, in the case of the first payment), commencing with the first such date to occur after the issuance of such Letter of Credit, on the Letter of Credit Expiration Date and thereafter on demand. For purposes of computing the daily amount available to be drawn under any Letter of Credit, the amount of such Letter of Credit shall be determined in accordance with Section 1.07. In addition, the Borrower shall pay directly to the L/C Issuer for its own account, in Dollars, the customary issuance, presentation, amendment and other processing fees, and other standard costs and charges, of the L/C Issuer relating to letters of credit as from time to time in effect. Such customary fees and standard costs and charges are due and payable on demand and are nonrefundable. (j) Conflict with Issuer Documents. In the event of any conflict between the terms hereof and the terms of any Issuer Document, the terms hereof shall control. (k) Letters of Credit Issued for Subsidiaries. Notwithstanding that a Letter of Credit issued or outstanding hereunder is in support of any obligations of, or is for the account of, a Subsidiary, the Borrower shall be obligated to reimburse the L/C Issuer hereunder for any and all drawings under such Letter of Credit. The Borrower hereby acknowledges that the issuance of Letters of Credit for the account of Subsidiaries inures to the benefit of the Borrower, and that the Borrower’s business derives substantial benefits from the businesses of such Subsidiaries. 2.05. [Intentionally Omitted]. 2.06. Prepayments. (a) Borrower may, upon notice from the Borrower to the Administrative Agent, at any time or from time to time voluntarily prepay Committed Loans in whole or in part without premium or penalty; provided that (i) such notice must be in a form acceptable to the Administrative Agent and be received by the Administrative Agent not later than 11:00 a.m. (A) two Business Days prior to any date of prepayment of any Term SOFR Committed Loans, (B) four Business Days prior to any date of prepayment of any Alternative Currency Loans, and (C) on the date of prepayment of Base Rate Committed Loans or Daily SOFR Loans; (ii) any prepayment of Term SOFR Committed Loans shall be in a principal amount of $1,000,000 or a whole multiple of $500,000 in excess thereof; (iii) any prepayment of Alternative Currency Loans shall be in a minimum principal amount of $1,000,000 or a whole multiple of $500,000 in excess thereof; and (iv) any prepayment of Base Rate Committed Loans or Daily SOFR Loans shall be in a principal amount of $500,000 or a whole multiple of $100,000 in excess thereof or, in each case, if less, the entire principal amount thereof then outstanding. Each such notice shall specify the date and amount of such prepayment and the Type(s) of Committed Loans to be prepaid and, if Term SOFR Loans or Alternative Currency Loans are to be prepaid, the Interest Period(s) of such Loans. The Administrative Agent will promptly notify each Lender of its receipt of each such notice, and of the amount of such Lender’s Applicable Percentage of such prepayment. If such notice is given by the Borrower, the Borrower shall make such prepayment and the payment amount specified in such notice shall be due and payable on the date specified therein. Any prepayment of a Term SOFR Loan or Alternative Currency Loan shall be accompanied by all accrued interest on the amount prepaid, together with any additional amounts required pursuant to Section 3.05. Subject to Section 2.18, each such prepayment shall be applied to the Committed Loans of the Lenders in accordance with their respective Applicable Percentages. (b) [Intentionally Omitted].


 
46 (c) If the Administrative Agent notifies the Borrower at any time that the Total Outstandings at such time exceed the Aggregate Commitments then in effect, then, within two Business Days after receipt of such notice, the Borrower shall prepay Loans and/or Cash Collateralize the L/C Obligations in an aggregate amount at least equal to such excess; provided, however, that, subject to the provisions of Section 2.17(a), the Borrower shall not be required to Cash Collateralize the L/C Obligations pursuant to this Section 2.06(c) unless after the prepayment in full of the Loans the Total Outstandings exceed the Aggregate Commitments then in effect and provided further, however, that Borrower shall have the right to designate which Loans and/or other Obligations are to be repaid hereunder. The Administrative Agent may, at any time and from time to time after the initial deposit of such Cash Collateral, request that additional Cash Collateral be provided in order to protect against the results of exchange rate fluctuations. (d) If the Administrative Agent notifies the Borrower at any time that the Outstanding Amount of all Loans and Letters of Credit denominated in Alternative Currencies at such time exceeds an amount equal to 105% of the Alternative Currency Sublimit then in effect, then, within two Business Days after receipt of such notice, the Borrower shall prepay such Loans or Cash Collateralize such L/C Obligations in an aggregate amount sufficient to reduce such Outstanding Amount as of such date of payment to an amount not to exceed 100% of the Alternative Currency Sublimit then in effect; provided, however, that the Default arising from any such excessive draw against the Alternative Currency Sublimit shall not, alone, constitute grounds for prohibiting the Borrower from borrowing Loans in Dollars under this Agreement for the purpose of curing such Default to the extent that the Borrower is otherwise in compliance with all of the terms and conditions hereof, is not in Default with respect to any other provision of this Agreement and there remains availability under the Commitments. (e) No Bid Loan may be prepaid without the prior consent of the applicable Bid Loan Lender. 2.07. Termination or Reduction of Commitments. The Borrower may, upon notice to the Administrative Agent, terminate the Aggregate Commitments, or from time to time permanently reduce the Aggregate Commitments; provided that (i) any such notice shall be received by the Administrative Agent not later than 11:00 a.m. five Business Days prior to the date of termination or reduction, (ii) any such partial reduction shall be in an aggregate amount of $10,000,000 or any whole multiple of $1,000,000 in excess thereof, (iii) the Borrower shall not terminate or reduce the Aggregate Commitments if, after giving effect thereto and to any concurrent prepayments hereunder, the Total Outstandings would exceed the Aggregate Commitments, and (iv) if, after giving effect to any reduction of the Aggregate Commitments, the Alternative Currency Sublimit, the Bid Loan Sublimit, the Letter of Credit Sublimit exceeds the amount of the Aggregate Commitments, such Sublimit shall be automatically reduced by the amount of such excess. The Administrative Agent will promptly notify the Lenders of any such notice of termination or reduction of the Aggregate Commitments. The amount of any such Aggregate Commitment reduction shall not be applied to the Alternative Currency Sublimit or the Letter of Credit Sublimit unless otherwise specified by the Borrower. Any reduction of the Aggregate Commitments shall be applied to the Commitment of each Lender according to its Applicable Percentage. All fees accrued until the effective date of any termination of the Aggregate Commitments shall be paid on the effective date of such termination. 2.08. Repayment of Loans. (a) Borrower shall repay to the Lenders on the Maturity Date the aggregate principal amount of Committed Loans made to Borrower outstanding on such date. (b) [Intentionally Omitted]. (c) The Borrower shall repay each Bid Loan on the last day of the Interest Period in respect thereof. (d) The Borrower shall Fully Satisfy all other Obligations on or prior to the earlier of (i) the date on which payment of such Obligations are required to be paid pursuant to the terms hereof or of the other Loan Documents and (ii) the Maturity Date; provided, however, that L/C Obligations that have been fully Cash Collateralized as of the Letter of Credit Expiration Date in accordance with Section 2.17(a) hereof may remain outstanding for a period of up to twelve (12) months following the Maturity Date (subject to the earlier expiration of such L/C Obligations pursuant to the terms of the applicable Letter of Credit).


 
47 2.09. Interest. (a) Subject to the provisions of subsection (b) below, (i) each Term SOFR Committed Loan shall bear interest on the outstanding principal amount thereof for each Interest Period applicable thereto at a rate per annum equal to Term SOFR for such Interest Period plus the Applicable Rate; (ii) each Alternative Currency Loan shall bear interest on the outstanding principal amount thereof for each Interest Period applicable thereto at a rate per annum equal to Term CORRA for such Interest Period plus the Applicable Rate; (iii) each Base Rate Loan shall bear interest on the outstanding principal amount thereof from the applicable borrowing date at a rate per annum equal to the Base Rate plus the Applicable Rate; (iv) each Daily SOFR Loan shall bear interest on the outstanding principal amount thereof from the applicable borrowing date at a rate per annum equal to Daily Simple SOFR plus the Applicable Rate; and (v) each Bid Loan shall bear interest on the outstanding principal amount thereof for the Interest Period therefor at a rate per annum equal to Term SOFR for such Interest Period plus (or minus) the Benchmark Bid Margin, or at the Absolute Rate for such Interest Period, as the case may be. (b) (i) If any amount of principal of any Loan is not paid within five (5) days after the date when due (other than on the Maturity Date, as to which such five (5) day period shall not apply), whether at stated maturity, by acceleration or otherwise, such amount shall thereafter bear interest at a fluctuating interest rate per annum at all times equal to the Default Rate to the fullest extent permitted by applicable Laws. (ii) If any amount (other than principal of any Loan) payable by the Borrower under any Loan Document is not paid within five (5) days after the date when due (other than on the Maturity Date, as to which such five (5) day period shall not apply), whether at stated maturity, by acceleration or otherwise, then upon the request of the Required Lenders, such amount shall thereafter bear interest at a fluctuating interest rate per annum at all times equal to the Default Rate to the fullest extent permitted by applicable Laws. (iii) Upon the request of the Required Lenders, while any Event of Default exists, outstanding Obligations (including Letter of Credit Fees) may accrue interest at a fluctuating rate per annum at all times equal to the Default Rate to the fullest extent permitted by Applicable Laws. (iv) Accrued and unpaid interest on past due amounts (including interest on past due interest) shall be due and payable upon demand. (c) Interest on each Loan shall be due and payable in arrears on each Interest Payment Date applicable thereto and at such other times as may be specified herein. Interest hereunder shall be due and payable in accordance with the terms hereof before and after judgment, and before and after the commencement of any proceeding under any Debtor Relief Law. (d) For the purposes of the Interest Act (Canada), (i) whenever a rate of interest or fee rate hereunder is calculated on the basis of a year (the “deemed year”) that contains fewer days than the actual number of days in the calendar year of calculation, such rate of interest or fee rate shall be expressed as a yearly rate by multiplying such rate of interest or fee rate by the actual number of days in the calendar year of calculation and dividing it by the number of days in the deemed year, (ii) the principle of deemed reinvestment of interest shall not apply to any interest calculation hereunder and (iii) the rates of interest stipulated herein are intended to be nominal rates and not effective rates or yields. 2.10. Fees. In addition to certain fees described in subsections (h) and (i) of Section 2.04: (a) Facility Fee. The Borrower shall pay to the Administrative Agent for the account of each Lender in accordance with its Applicable Percentage, a facility fee in Dollars equal to the applicable facility fee percentage identified in the definition of Applicable Rate times the actual daily Dollar Equivalent amount of the Aggregate Commitments (or, if the Aggregate Commitments have terminated, on the Outstanding Amount of all Committed Loans and L/C Obligations), regardless of usage, subject to adjustment as provided in Section 2.18. The facility fee shall accrue at all times during the Availability Period (and thereafter so long as any Committed Loans or L/C Obligations remain outstanding), including at any time during which one or more of the conditions in Article IV is not met, and shall be due and payable quarterly in arrears on the last Business Day of each March, June, September and


 
48 December, commencing with the first such date to occur after the Closing Date, and on the last day of the Availability Period (and, if applicable, thereafter on demand). The facility fee shall be calculated quarterly in arrears, and if there is any change in the Applicable Rate during any quarter, the actual daily amount shall be computed and multiplied by the Applicable Rate separately for each period during such quarter that such Applicable Rate was in effect. (b) Other Fees. (i) The Borrower shall pay to the Arrangers and the Administrative Agent for their own respective accounts, in Dollars, fees in the amounts and at the times specified in the respective Fee Letters. Such fees shall be fully earned when paid and shall not be refundable for any reason whatsoever. (ii) The Borrower shall pay to the Lenders, in Dollars, such fees as shall have been separately agreed upon in writing in the amounts and at the times so specified. Such fees shall be fully earned when paid and shall not be refundable for any reason whatsoever. 2.11. Computation of Interest and Fees. All computations of interest for Alternative Currency Loans (except as otherwise specifically noted herein), Base Rate Loans (including Base Rate Loans determined by reference to Term SOFR) and Absolute Rate Loans shall be made on the basis of a year of 365 or 366 days, as the case may be, and actual days elapsed. All other computations of fees and interest, including those with respect to Daily SOFR Loans, shall be made on the basis of a 360-day year and actual days elapsed (which results in more fees or interest, as applicable, being paid than if computed on the basis of a 365-day year). Interest shall accrue on each Loan for the day on which the Loan is made, and shall not accrue on a Loan, or any portion thereof, for the day on which the Loan or such portion is paid, provided that any Loan that is repaid on the same day on which it is made shall, subject to Section 2.13(a), bear interest for one day. Each determination by the Administrative Agent of an interest rate or fee hereunder shall be conclusive and binding for all purposes, absent manifest error. 2.12. Evidence of Debt. (a) The Credit Extensions made by each Lender shall be evidenced by one or more accounts or records maintained by such Lender and by the Administrative Agent in the ordinary course of business. The accounts or records maintained by the Administrative Agent and each Lender shall be conclusive absent manifest error of the amount of the Credit Extensions made by the Lenders to the Borrower and the interest and payments thereon. Any failure to so record or any error in doing so shall not, however, limit or otherwise affect the obligation of the Borrower hereunder to pay any amount owing with respect to the Obligations. In the event of any conflict between the accounts and records maintained by any Lender and the accounts and records of the Administrative Agent in respect of such matters, the accounts and records of the Administrative Agent shall control in the absence of manifest error. Upon the request of any Lender to Borrower made through the Administrative Agent, the Borrower shall execute and deliver to such Lender (through the Administrative Agent) a Note, which shall evidence such Lender’s Loans to Borrower in addition to such accounts or records. Each Lender may attach schedules to a Note and endorse thereon the date, Type (if applicable), amount, currency and maturity of its Loans and payments with respect thereto. (b) In addition to the accounts and records referred to in subsection (a) above, each Lender and the Administrative Agent shall maintain in accordance with its usual practice accounts or records evidencing the purchases and sales by such Lender of participations in Letters of Credit. In the event of any conflict between the accounts and records maintained by the Administrative Agent and the accounts and records of any Lender in respect of such matters, the accounts and records of the Administrative Agent shall control in the absence of manifest error. 2.13. Payments Generally; Administrative Agent’s Clawback. (a) General. All payments to be made by the Borrower shall be made free and clear of and without condition or deduction for any counterclaim, defense, recoupment or setoff. Except as otherwise expressly provided herein and except with respect to principal of and interest on Loans denominated in an Alternative Currency, all payments by the Borrower hereunder shall be made to the Administrative Agent, for the account of the respective Lenders to which such payment is owed, at the applicable Administrative Agent’s Office in Dollars and in Same Day Funds not later than 2:00 p.m. on the date specified herein. Except as otherwise expressly provided herein, all


 
49 payments by the Borrower hereunder with respect to principal and interest on Loans denominated in an Alternative Currency shall be made to the Administrative Agent, for the account of the respective Lenders to which such payment is owed, at the applicable Administrative Agent’s Office in such Alternative Currency and in Same Day Funds not later than the Applicable Time specified by the Administrative Agent on the dates specified herein. If, for any reason, Borrower is prohibited by any Law from making any required payment hereunder in an Alternative Currency, Borrower shall make such payment in Dollars in the Dollar Equivalent of the Alternative Currency payment amount. The Administrative Agent will promptly distribute to each Lender its Applicable Percentage (or other applicable share as provided herein) of such payment in like funds as received by wire transfer to such Lender’s Lending Office. All payments received by the Administrative Agent (i) after 2:00 p.m., in the case of payments in Dollars, or (ii) after the Applicable Time specified by the Administrative Agent in the case of payments in an Alternative Currency, shall in each case be deemed received on the next succeeding Business Day and any applicable interest or fee shall continue to accrue. If any payment to be made by Borrower shall come due on a day other than a Business Day, payment shall be made on the next following Business Day, and such extension of time shall be reflected in computing interest or fees, as the case may be. (b) (i) Funding by Lenders; Presumption by Administrative Agent. Unless the Administrative Agent shall have received notice from a Lender prior to the proposed date of any Borrowing of Term SOFR Loans or Alternative Currency Loans (or, in the case of any Borrowing of Daily SOFR Loans or Base Rate Loans, prior to 12:00 noon on the date of such Borrowing) that such Lender will not make available to the Administrative Agent such Lender’s share of such Borrowing, the Administrative Agent may assume that such Lender has made such share available on such date in accordance with Section 2.02 (or, in the case of a Borrowing of Daily SOFR Loans or Base Rate Loans, that such Lender has made such share available in accordance with and at the time required by Section 2.02) and may, in reliance upon such assumption, make available to the Borrower a corresponding amount. In such event, if a Lender has not in fact made its share of the applicable Borrowing available to the Administrative Agent, then the applicable Lender and the Borrower severally agree to pay to the Administrative Agent forthwith on demand (without duplication) such corresponding amount in Same Day Funds with interest thereon, for each day from and including the date such amount is made available to the Borrower to but excluding the date of payment to the Administrative Agent, at (A) in the case of a payment to be made by such Lender, the Overnight Rate, plus any administrative, processing or similar fees customarily charged by the Administrative Agent in connection with the foregoing, and (B) in the case of a payment to be made by the Borrower, the interest rate applicable to the Loans constituting such Borrowing. If the Borrower and such Lender shall pay such interest to the Administrative Agent for the same or an overlapping period, the Administrative Agent shall promptly remit to the Borrower the amount of such interest paid by the Borrower for such period. In the event the Borrower pays such amount to the Administrative Agent, then such amount shall reduce the principal amount of such Borrowing. If such Lender pays its share of the applicable Borrowing to the Administrative Agent, then the amount so paid shall constitute such Lender’s Revolving Loan included in such Borrowing. Any payment by the Borrower shall be without prejudice to any claim the Borrower may have against a Lender that shall have failed to make such payment to the Administrative Agent. (ii) Payments by Borrower; Presumptions by Administrative Agent. Unless the Administrative Agent shall have received notice from a Borrower prior to the date on which any payment is due to the Administrative Agent for the account of the Lenders or the L/C Issuer hereunder that such Borrower will not make such payment, the Administrative Agent may assume that such Borrower has made such payment on such date in accordance herewith and may, in reliance upon such assumption, distribute to the Lenders or the L/C Issuer, as the case may be, the amount due. With respect to any payment that the Administrative Agent makes for the account of the Lenders or the L/C Issuer hereunder as to which the Administrative Agent determines (which determination shall be conclusive absent manifest error) that any of the following applies (such payment referred to as the “Rescindable Amount”): (1) the Borrower has not in fact made such payment; (2) the Administrative Agent has made a payment in excess of the amount so paid by Borrower (whether or not then owed); or (3) the Administrative agent has for any reason otherwise erroneously made such payment; then each of the Lenders or the L/C Issuer, as the case may be, severally agrees to repay to the Administrative Agent forthwith on demand the Rescindable Amount so distributed to such Lender or the L/C Issuer, in Same Day Funds with interest thereon, for each day from and including the date such amount is distributed to it to but excluding the date of payment to the Administrative Agent, at the greater of the Federal Funds Rate and a rate


 
50 determined by the Administrative Agent in accordance with banking industry rules on interbank compensation. A notice of the Administrative Agent to any Lender or Borrower with respect to any amount owing under this subsection (b) shall be conclusive, absent manifest error. (c) Failure to Satisfy Conditions Precedent. If any Lender makes available to the Administrative Agent funds for any Loan to be made by such Lender as provided in the foregoing provisions of this Article II, and such funds are not made available to the Borrower by the Administrative Agent because the conditions to the applicable Credit Extension set forth in Article IV are not satisfied or waived in accordance with the terms hereof, the Administrative Agent shall return such funds (in like funds as received from such Lender) to such Lender, without interest. (d) Obligations of Lenders Several. The obligations of the Lenders hereunder to make Committed Loans, to fund participations in Letters of Credit and to make payments pursuant to Section 10.04(c) are several and not joint. The failure of any Lender to make any Committed Loan, to fund any such participation or to make any payment under Section 10.04(c) on any date required hereunder shall not relieve any other Lender of its corresponding obligation to do so on such date, and no Lender shall be responsible for the failure of any other Lender to so make its Committed Loan, to purchase its participation or to make its payment under Section 10.04(c). (e) Funding Source. Nothing herein shall be deemed to obligate any Lender to obtain the funds for any Loan in any particular place or manner or to constitute a representation by any Lender that it has obtained or will obtain the funds for any Loan in any particular place or manner. (f) Insufficient Funds. If at any time insufficient funds are received by and available to the Administrative Agent to pay fully all amounts of principal, L/C Borrowings, interest and fees then due hereunder, such funds shall be applied (i) first, toward payment of interest and fees then due hereunder, ratably among the parties entitled thereto in accordance with the amounts of interest and fees then due to such parties, and (ii) second, toward payment of principal and L/C Borrowings then due hereunder, ratably among the parties entitled thereto in accordance with the amounts of principal and L/C Borrowings then due to such parties. 2.14. Sharing of Payments by Lenders. If any Lender shall, by exercising any right of setoff or counterclaim or otherwise, obtain payment in respect of any principal of or interest on any of the Committed Loans made by it, or the participations in L/C Obligations held by it resulting in such Lender’s receiving payment of a proportion of the aggregate amount of such Committed Loans or participations and accrued interest thereon greater than its pro rata share thereof as provided herein, then the Lender receiving such greater proportion shall (a) notify the Administrative Agent of such fact, and (b) purchase (for cash at face value) participations in the Committed Loans and subparticipations in L/C Obligations of the other Lenders, or make such other adjustments as shall be equitable, so that the benefit of all such payments shall be shared by the Lenders ratably in accordance with the aggregate amount of principal of and accrued interest on their respective Committed Loans and other amounts owing them, provided that: (i) if any such participations or subparticipations are purchased and all or any portion of the payment giving rise thereto is recovered, such participations or subparticipations shall be rescinded and the purchase price restored to the extent of such recovery, without interest; and (ii) the provisions of this Section shall not be construed to apply to (x) any payment made by or on behalf of the Borrower pursuant to and in accordance with the express terms of this Agreement (including the application of funds arising from the existence of a Defaulting Lender), (y) the application of Cash Collateral provided for in Section 2.17, or (z) any payment obtained by a Lender as consideration for the assignment of or sale of a participation in any of its Committed Loans or subparticipations in L/C Obligations to any assignee or participant, other than an assignment to the Borrower or any Affiliate thereof (as to which the provisions of this Section shall apply).


 
51 Each Loan Party consents to the foregoing and agrees, to the extent it may effectively do so under applicable law, that any Lender acquiring a participation pursuant to the foregoing arrangements may exercise against such Loan Party rights of setoff and counterclaim with respect to such participation as fully as if such Lender were a direct creditor of such Loan Party in the amount of such participation. 2.15. Extension of Maturity Date. (a) Initial Maturity Date. Subject to extension pursuant to the terms and conditions set forth in clause (b) of this Section 2.15 and subject to the provisions of clause (c) of this Section 2.15, the Maturity Date shall be the Initial Maturity Date. (b) Maturity Date Extension Options. (i) Not more than 120 days and not less than 60 days prior to the Initial Maturity Date, the Borrower may request in writing that the Lenders extend the term of this Agreement by six (6) calendar months to the First Extended Maturity Date. Such extension option shall be subject to the satisfaction of the following requirements: (A) at the Initial Maturity Date, there shall not exist any Event of Default by the Borrower or any other Loan Party; (B) the Borrower shall, on the Initial Maturity Date, deliver to the Administrative Agent a certificate of each Loan Party dated as of the Initial Maturity Date (in sufficient copies for each Lender) signed by a Responsible Officer of such Loan Party (A) certifying and attaching the resolutions adopted by such Loan Party approving or consenting to such extension and (B) in the case of the Borrower, certifying that, before and after giving effect to such extension, (1) the representations and warranties contained in Article V and the other Loan Documents are true and correct in all material respects (or, to the extent already qualified by materiality or Material Adverse Effect, in all respects) on and as of the Initial Maturity Date, except to the extent that such representations and warranties specifically refer to an earlier date, in which case they are true and correct in all material respects (or, to the extent already qualified by materiality or Material Adverse Effect, in all respects) as of such earlier date, and except that for purposes of this Section 2.15, the representations and warranties contained in subsections (a) and (b) of Section 5.05 shall be deemed to refer to the most recent statements furnished pursuant to subsections (a) and (b), respectively, of Section 6.01, and (2) no Event of Default exists; and (C) the Borrower shall, at the Initial Maturity Date, deliver to the Administrative Agent (for the pro rata benefit of the Lenders based on their respective Commitments) an extension fee equal to 0.0625% multiplied by the then-existing Aggregate Commitments (whether funded or unfunded). (ii) To the extent the term of this Agreement is extended to the First Extended Maturity Date pursuant to the terms of clause (b)(i) above, not more than 120 days and not less than 60 days prior to the First Extended Maturity Date, the Borrower may request in writing that the Lenders extend the term of this Agreement by six (6) additional calendar months to the Second Extended Maturity Date. Such extension option shall be subject to the satisfaction of the following requirements: (A) at the First Extended Maturity Date, there shall not exist any Event of Default by the Borrower or any other Loan Party; (B) the Borrower shall, on the First Extended Maturity Date, deliver to the Administrative Agent a certificate of each Loan Party dated as of the Initial Maturity Date (in sufficient copies for each Lender) signed by a Responsible Officer of such Loan Party (A) certifying and attaching the resolutions adopted by such Loan Party approving or consenting to such extension and (B) in the case of the Borrower, certifying that, before and after giving effect to such extension,


 
52 (1) the representations and warranties contained in Article V and the other Loan Documents are true and correct in all material respects (or, to the extent already qualified by materiality or Material Adverse Effect, in all respects) on and as of the First Extended Maturity Date, except to the extent that such representations and warranties specifically refer to an earlier date, in which case they are true and correct in all material respects (or, to the extent already qualified by materiality or Material Adverse Effect, in all respects) as of such earlier date, and except that for purposes of this Section 2.15, the representations and warranties contained in subsections (a) and (b) of Section 5.05 shall be deemed to refer to the most recent statements furnished pursuant to subsections (a) and (b), respectively, of Section 6.01, and (2) no Event of Default exists; and (C) the Borrower shall, at the First Extended Maturity Date, deliver to the Administrative Agent (for the pro rata benefit of the Lenders based on their respective Commitments) an extension fee equal to 0.0625% multiplied by the then-existing Aggregate Commitments (whether funded or unfunded). (c) Satisfaction of Obligations Upon Acceleration. Notwithstanding anything contained herein or in any other Loan Document to the contrary, to the extent any of the Obligations are accelerated pursuant to the terms hereof (including, without limitation, Section 8.02 hereof), the Borrower shall, immediately upon the occurrence of such acceleration, cause such accelerated Obligations to be Fully Satisfied. (d) Conflicting Provisions. This Section shall supersede any provisions in Section 2.14 or 10.01 to the contrary. 2.16. Increase in Commitments. (a) Request for Increase. Provided there exists no Default, upon notice to the Administrative Agent (which shall promptly notify the Lenders), the Borrower may from time to time request an increase in the Aggregate Commitments (which increase may take the form of new revolving or term loan tranches) by an amount (for all such requests, in the aggregate during the term hereof) not exceeding $600,000,000; provided that (i) any such request for an increase shall be in a minimum amount of $25,000,000, and (ii) the Borrower may make a maximum of three (3) such requests. At the time of sending such notice, the Borrower (in consultation with the Administrative Agent) shall specify the time period within which each Lender is requested to respond (which shall in no event be less than ten Business Days from the date of delivery of such notice to the Lenders). (b) Lender Elections to Increase. Each Lender shall notify the Administrative Agent within such time period whether or not it agrees to increase its Commitment and, if so, whether by an amount equal to, greater than, or less than its Applicable Percentage of such requested increase. Any Lender not responding within such time period shall be deemed to have declined to increase its Commitment. (c) Notification by Administrative Agent; Additional Lenders. The Administrative Agent shall notify the Borrower and each Lender of the Lenders’ responses to each request made hereunder. To achieve the full amount of a requested increase and subject to the approval of the Administrative Agent and the L/C Issuer (which approvals shall not be unreasonably withheld, conditioned or delayed), the Borrower and/or BAS may also invite additional Eligible Assignees to become Lenders pursuant to a joinder agreement in form and substance reasonably satisfactory to the Borrower, Administrative Agent and their respective counsel. Any increase of the Aggregate Commitments pursuant to this Section 2.16 shall be subject to the agreement of one or more Lenders or Eligible Assignees (who may or may not then be a Lender hereunder) to provide such increased Commitments pursuant to the terms hereof. (d) Effective Date and Allocations. If the Aggregate Commitments are increased in accordance with this Section, the Administrative Agent and the Borrower shall determine the effective date (the “Increase Effective Date”) and the final allocation of such increase. The Administrative Agent shall promptly notify the Borrower and the Lenders of the final allocation of such increase and the Increase Effective Date. (e) Conditions to Effectiveness of Increase. As a condition precedent to such increase: (i) the Borrower shall deliver to the Administrative Agent a certificate of each Loan Party dated as of the Increase Effective Date (in


 
53 sufficient copies for each Lender) signed by a Responsible Officer of such Loan Party (x) certifying and attaching the resolutions adopted by such Loan Party approving or consenting to such increase, and (y) in the case of the Borrower, certifying that, before and after giving effect to such increase, (A) the representations and warranties contained in Article V and the other Loan Documents are true and correct in all material respects (or, to the extent already qualified by materiality or Material Adverse Effect, in all respects) on and as of the Increase Effective Date, except to the extent that such representations and warranties specifically refer to an earlier date, in which case they are true and correct in all material respects (or, to the extent already qualified by materiality or Material Adverse Effect, in all respects) as of such earlier date, and except that for purposes of this Section 2.16, the representations and warranties contained in subsections (a) and (b) of Section 5.05 shall be deemed to refer to the most recent statements furnished pursuant to clauses (a) and (b), respectively, of Section 6.01, and (B) no Default exists; (ii) to the extent that the increase of the Aggregate Commitments shall take the form of a term loan tranche, this Agreement shall be amended, in form and substance satisfactory to the Administrative Agent and the Required Lenders, to include such terms as are customary for a term loan commitment; and (iii) upon the reasonable request of any Lender made at least fifteen (15) days prior to the Increase Effective Date, the Borrower shall have provided to such Lender, and such Lender shall be reasonably satisfied with, the documentation and other information so requested in connection with applicable “know your customer” and anti-money-laundering rules and regulations, including, without limitation, the PATRIOT Act, in each case at least ten (10) days prior to the Increase Effective Date and (y) at least ten (10) days prior to the Increase Effective Date, any Loan Party that qualifies as a “legal entity customer” under the Beneficial Ownership Regulation shall have delivered, to each Lender that so requests, a Beneficial Ownership Certification in relation to such Loan Party. The Borrower shall prepay any Committed Loans outstanding on the Increase Effective Date (and pay any additional amounts required pursuant to Section 3.05) to the extent necessary to keep the outstanding Committed Loans ratable with any revised Applicable Percentages arising from any nonratable increase in the Commitments under this Section. The Applicable Percentages of the Lenders shall be recalculated concurrently with the effectiveness of any increase in the Aggregate Commitments pursuant to this Section 2.16. (f) Conflicting Provisions. This Section shall supersede any provisions in Section 2.14 or 10.01 to the contrary. 2.17. Cash Collateral. (a) Certain Credit Support Events. If (i) the L/C Issuer has honored any full or partial drawing request under any Letter of Credit and such drawing has resulted in an L/C Borrowing, (ii) as of the Letter of Credit Expiration Date, any L/C Obligation for any reason remains outstanding, (iii) the Borrower shall be required to provide Cash Collateral pursuant to Section 8.02(c), or (iv) there shall exist a Defaulting Lender, the Borrower shall immediately (in the case of clause (iii) above) or within one Business Day (in all other cases) following any request by the Administrative Agent or the L/C Issuer, provide Cash Collateral in an amount not less than the applicable Minimum Collateral Amount (determined in the case of Cash Collateral provided pursuant to clause (iv) above, after giving effect to Section 2.18(a)(iv) and any Cash Collateral provided by the Defaulting Lender). Additionally, if the Administrative Agent notifies the Borrower at any time that the Outstanding Amount of all L/C Obligations at such time exceeds the Letter of Credit Sublimit then in effect, then, within two Business Days after receipt of such notice, the Borrower shall provide Cash Collateral for the Outstanding Amount of the L/C Obligations in an amount not less than the amount by which the Outstanding Amount of all L/C Obligations exceeds the Letter of Credit Sublimit. The Administrative Agent may, at any time and from time to time after the initial deposit of Cash Collateral, request that additional Cash Collateral be provided as required in the reasonable judgment of the Administrative Agent in order to protect against the results of exchange rate fluctuations. (b) Grant of Security Interest. The Borrower, and to the extent provided by any Defaulting Lender, such Defaulting Lender, hereby grants to (and subjects to the control of) the Administrative Agent, for the benefit of the Administrative Agent, the L/C Issuer and the Lenders, and agrees to maintain, a first priority security interest in all such cash, deposit accounts and all balances therein, and all other property so provided as collateral pursuant hereto, and in all proceeds of the foregoing, all as security for the obligations to which such Cash Collateral may be applied pursuant to Section 2.17(c). If at any time the Administrative Agent determines that Cash Collateral is subject to any right or claim of any Person other than the Administrative Agent or the L/C Issuer as herein provided, or that the total amount of such Cash Collateral is less than the Minimum Collateral Amount, the Borrower will, promptly upon demand by the Administrative Agent, pay or provide to the Administrative Agent additional Cash Collateral in an amount sufficient to eliminate such deficiency. All Cash Collateral (other than credit support not constituting funds


 
54 subject to deposit) shall be maintained in blocked, non-interest bearing deposit accounts at Bank of America. The Borrower shall pay on demand therefor from time to time all customary account opening, activity and other administrative fees and charges in connection with the maintenance and disbursement of Cash Collateral. (c) Application. Notwithstanding anything to the contrary contained in this Agreement, Cash Collateral provided under any of this Section 2.17 or Sections 2.04, 2.05, 2.06, 2.18 or 8.02 in respect of Letters of Credit shall be held and applied to the satisfaction of the specific L/C Obligations, obligations to fund participations therein (including, as to Cash Collateral provided by a Defaulting Lender, any interest accrued on such obligation) and other obligations for which the Cash Collateral was so provided, prior to any other application of such property as may otherwise be provided for herein. (d) Release. Cash Collateral (or the appropriate portion thereof) provided to reduce Fronting Exposure or to secure other obligations shall be released promptly following (i) the elimination of the applicable Fronting Exposure or other obligations giving rise thereto (including by the termination of Defaulting Lender status of the applicable Lender (or, as appropriate, its assignee following compliance with Section 10.06(b)(vi))) or (ii) the good faith determination by the Administrative Agent and the L/C Issuer that there exists excess Cash Collateral; provided, however, (x) any such release shall be without prejudice to, and any disbursement or other transfer of Cash Collateral shall be and remain subject to, any other Lien conferred under the Loan Documents and the other applicable provisions of the Loan Documents, and (y) the Person providing Cash Collateral and the L/C Issuer may agree that Cash Collateral shall not be released but instead held to support future anticipated Fronting Exposure or other obligations. 2.18. Defaulting Lenders. (a) Adjustments. Notwithstanding anything to the contrary contained in this Agreement, if any Lender becomes a Defaulting Lender, then, until such time as that Lender is no longer a Defaulting Lender, to the extent permitted by applicable Law: (i) Waivers and Amendments. Such Defaulting Lender’s right to approve or disapprove any amendment, waiver or consent with respect to this Agreement shall be restricted as set forth in the definition of “Required Lenders” and Section 10.01. (ii) Defaulting Lender Waterfall. Any payment of principal, interest, fees or other amounts received by the Administrative Agent for the account of such Defaulting Lender (whether voluntary or mandatory, at maturity, pursuant to Article VIII or otherwise) or received by the Administrative Agent from a Defaulting Lender pursuant to Section 10.08 shall be applied at such time or times as may be determined by the Administrative Agent as follows: first, to the payment of any amounts owing by such Defaulting Lender to the Administrative Agent hereunder; second, to the payment on a pro rata basis of any amounts owing by such Defaulting Lender to the L/C Issuer hereunder; third, to Cash Collateralize the L/C Issuer’s Fronting Exposure with respect to such Defaulting Lender in accordance with Section 2.17; fourth, as the Borrower may request (so long as no Default exists), to the funding of any Loan in respect of which such Defaulting Lender has failed to fund its portion thereof as required by this Agreement, as determined by the Administrative Agent; fifth, if so determined by the Administrative Agent and the Borrower, to be held in a deposit account and released pro rata in order to (x) satisfy such Defaulting Lender’s potential future funding obligations with respect to Loans under this Agreement and (y) Cash Collateralize the L/C Issuer’s future Fronting Exposure with respect to such Defaulting Lender with respect to future Letters of Credit issued under this Agreement, in accordance with Section 2.17; sixth, to the payment of any amounts owing to the Lenders or the L/C Issuer as a result of any judgment of a court of competent jurisdiction obtained by any Lender or the L/C Issuer against such Defaulting Lender as a result of such Defaulting Lender’s breach of its obligations under this Agreement; seventh, so long as no Default exists, to the payment of any amounts owing to the Borrower as a result of any judgment of a court of competent jurisdiction obtained by the Borrower against such Defaulting Lender as a result of such Defaulting Lender’s breach of its obligations under this Agreement; and eighth, to such Defaulting Lender or as otherwise directed by a court of competent jurisdiction; provided that if (x) such payment is a payment of the principal amount of any Loans or L/C Borrowings in respect of which such Defaulting Lender has not fully funded its appropriate share, and (y) such Loans were made or the related Letters of Credit were issued at a time when the conditions set forth in Section 4.02 were satisfied or waived, such payment shall be applied solely to pay the Loans of, and L/C


 
55 Obligations owed to, all Non-Defaulting Lenders on a pro rata basis prior to being applied to the payment of any Loans of, or L/C Obligations owed to, such Defaulting Lender until such time as all Loans and funded and unfunded participations in L/C Obligations are held by the Lenders pro rata in accordance with the Commitments hereunder without giving effect to Section 2.18(a)(iv). Any payments, prepayments or other amounts paid or payable to a Defaulting Lender that are applied (or held) to pay amounts owed by a Defaulting Lender or to post Cash Collateral pursuant to this Section 2.18(a)(ii) shall be deemed paid to and redirected by such Defaulting Lender, and each Lender irrevocably consents hereto. (iii) Certain Fees. (A) Each Defaulting Lender shall be entitled to receive fees payable under Sections 2.10(a) and 2.10(b) for any period during which that Lender is a Defaulting Lender only to the extent allocable to the sum of (1) the Outstanding Amount of the Committed Loans funded by it, and (2) its Applicable Percentage of the stated amount of Letters of Credit for which it has provided Cash Collateral pursuant to Section 2.17. (B) Each Defaulting Lender shall be entitled to receive Letter of Credit Fees for any period during which that Lender is a Defaulting Lender only to the extent allocable to its Applicable Percentage of the stated amount of Letters of Credit for which it has provided Cash Collateral pursuant to Section 2.17. (C) With respect to any fee payable under Section 2.10(a) or (b) or any Letter of Credit Fee not required to be paid to any Defaulting Lender pursuant to clause (A) or (B) above, the Borrower shall (x) pay to each Non-Defaulting Lender that portion of any such fee otherwise payable to such Defaulting Lender with respect to such Defaulting Lender’s participation in L/C Obligations that has been reallocated to such Non-Defaulting Lender pursuant to clause (iv) below, (y) pay to the L/C Issuer the amount of any such fee otherwise payable to such Defaulting Lender to the extent allocable to such L/C Issuer’s Fronting Exposure to such Defaulting Lender, and (z) not be required to pay the remaining amount of any such fee. (iv) Reallocation of Applicable Percentages to Reduce Fronting Exposure. All or any part of such Defaulting Lender’s participation in L/C Obligations shall be reallocated among the Non-Defaulting Lenders in accordance with their respective Applicable Percentages (calculated without regard to such Defaulting Lender’s Commitment) but only to the extent that such reallocation does not cause the aggregate Revolving Credit Exposure of any Non-Defaulting Lender to exceed such Non-Defaulting Lender’s Commitment. No reallocation hereunder shall constitute a waiver or release of any claim of any party hereunder against a Defaulting Lender arising from that Lender having become a Defaulting Lender, including any claim of a Non-Defaulting Lender as a result of such Non-Defaulting Lender’s increased exposure following such reallocation. (v) Cash Collateral. If the reallocation described in clause (a)(iv) above cannot, or can only partially, be effected, the Borrower shall, without prejudice to any right or remedy available to it hereunder or under applicable Law, Cash Collateralize the L/C Issuers’ Fronting Exposure in accordance with the procedures set forth in Section 2.17. (b) Defaulting Lender Cure. If the Borrower, the Administrative Agent and the L/C Issuer agree in writing that a Lender is no longer a Defaulting Lender, the Administrative Agent will so notify the parties hereto, whereupon as of the effective date specified in such notice and subject to any conditions set forth therein (which may include arrangements with respect to any Cash Collateral), that Lender will, to the extent applicable, purchase at par that portion of outstanding Loans of the other Lenders or take such other actions as the Administrative Agent may determine to be necessary to cause the Committed Loans and funded and unfunded participations in Letters of Credit to be held on a pro rata basis by the Lenders in accordance with their Applicable Percentages (without giving effect to Section 2.18(a)(iv)), whereupon such Lender will cease to be a Defaulting Lender; provided that no adjustments will be made retroactively with respect to fees accrued or payments made by or on behalf of the Borrower while that Lender was a Defaulting Lender; and provided, further, that except to the extent otherwise expressly agreed by the


 
56 affected parties, no change hereunder from Defaulting Lender to Lender will constitute a waiver or release of any claim of any party hereunder arising from that Lender’s having been a Defaulting Lender. (c) Letters of Credit. So long as any Lender is a Defaulting Lender, the L/C Issuer shall not be required to issue, extend, increase, reinstate or renew any Letter of Credit unless it is satisfied that it will have no Fronting Exposure after giving effect thereto. 2.19. ESG Amendment; Sustainability Coordinator. (a) General. On or prior to the date which is eighteen (18) months following the Closing Date, the Borrower, in consultation with the Sustainability Coordinator, shall be entitled to establish specified Key Performance Indicators (“KPI’s”) with respect to certain Environmental, Social and Governance (“ESG”) targets of the Borrower and its Subsidiaries. Notwithstanding anything in this Agreement to the contrary, the Sustainability Coordinator, the Borrower, the Required Lenders and the Administrative Agent may amend this Agreement (such amendment, an “ESG Amendment”) solely for the purpose of incorporating the KPI’s and other related provisions (the “ESG Pricing Provisions”) into this Agreement, and any such ESG Amendment shall become effective upon the receipt of the consent in writing of the Sustainability Coordinator, the Borrower, the Required Lenders and the Administrative Agent. Upon effectiveness of any such ESG Amendment, based on the Borrower’s performance against the KPI’s, certain adjustments (increase, decrease or no adjustment) (such adjustments, the “ESG Applicable Rate Adjustments”) to the Applicable Rate for Base Rate Loans, Term SOFR Loans, Daily SOFR Loans, Alternative Currency Loans and Letter of Credit fees may be made; provided that the aggregate amount of the ESG Applicable Rate Adjustments shall not exceed a 0.01% increase and/or decrease in any such Applicable Rates, and the adjustments to each such Applicable Rate shall be the same amount, in basis points; provided that (i) in no event shall any adjusted Applicable Rate be less than zero and (ii) the ESG Applicable Rate Adjustments shall be made on a per annum basis, and not be cumulative from year to year. The ESG Applicable Rate Adjustment pursuant to the KPI’s will require, among other things, reporting and validation of the measurement of the KPI’s in a manner that is aligned with the Sustainability Linked Loan Principles (as published from time to time by the Loan Market Association, Asia Pacific Loan Market Association and Loan Syndications & Trading Association) and is to be agreed between the Borrower and the Sustainability Coordinator (each acting reasonably), including the appointment of a sustainability assurance provider. Following the effectiveness of an ESG Amendment, any modification to the ESG Pricing Provisions which does not have the effect of reducing the Applicable Rate to a level not otherwise permitted by this Section 2.19(a) shall be subject only to the consent of the Sustainability Coordinator, the Administrative Agent, the Borrower, and the Required Lenders (it being understood that any such modification having the effect of reducing the Applicable Rate for Base Rate Loans, Term SOFR Loans, Daily SOFR Loans, Alternative Currency Loans and Letter of Credit fees to a level not otherwise permitted by this paragraph would require approval by all Lenders directly and adversely affected thereby in accordance with Section 10.01). (b) Sustainability Coordinator. The Sustainability Coordinator will (i) assist the Borrower in determining the ESG Pricing Provisions in connection with the ESG Amendment and (ii) assist the Borrower in preparing informational materials focused on ESG to be used in connection with the ESG Amendment. ARTICLE III TAXES, YIELD PROTECTION AND ILLEGALITY 3.01. Taxes. For purposes of this Section 3.01, the term “Applicable Law” includes FATCA. (a) Payments Free of Taxes; Obligation to Withhold; Payments on Account of Taxes. Any and all payments by or on account of any obligation of any Loan Party under any Loan Document shall be made without deduction or withholding for any Taxes, except as required by Applicable Law. If any Applicable Law (as determined in the good faith discretion of an applicable withholding agent) requires the deduction or withholding of any Tax from any such payment by the applicable withholding agent, then the applicable withholding agent shall be entitled to make such deduction or withholding and shall timely pay the full amount deducted or withheld to the relevant Governmental Authority in accordance with Applicable Law and, if such Tax is an Indemnified Tax, then the sum payable by the applicable Loan Party shall be increased as necessary so that after such deduction or withholding has been made


 
57 (including such deductions and withholdings applicable to additional sums payable under this Section 3.01) the applicable Recipient receives an amount equal to the sum it would have received had no such deduction or withholding been made. Notwithstanding the provisions above, (x) Borrower shall not be required to increase any such amounts payable to Administrative Agent, any Lender or L/C Issuer, as the case may be, with respect to any Indemnified Taxes or Other Taxes (1) that are attributable to such Person’s failure to comply with the requirements of this Agreement, including without limitation, Section 3.06 or (2) that are United States withholding taxes imposed on amounts payable to such Person that are Excluded Taxes; and (y) Borrower shall not be required to compensate Administrative Agent, any Lender or the L/C Issuer pursuant to this Section for any additional sums payable under this Section, including Indemnified Taxes or Other Taxes, incurred more than one hundred eighty (180) days prior to the date that Administrative Agent, such Lender or the L/C Issuer, as the case may be, notifies Borrower of the Change in Law or other event giving rise to such additional sums and of Administrative Agent’s, such Lender’s or the L/C Issuer’s intention to claim compensation therefor. (b) Payment of Other Taxes by the Loan Parties. Without limiting the provisions of subsection (a) above, the Loan Parties shall timely pay to the relevant Governmental Authority in accordance with applicable law, or at the option of the Administrative Agent timely reimburse it for the payment of, any Other Taxes. (c) Tax Indemnifications. (i) Each of the Loan Parties shall, and does hereby, jointly and severally indemnify each Recipient, and shall make payment in respect thereof within ten (10) days after demand therefor, for the full amount of any Indemnified Taxes (including Indemnified Taxes imposed or asserted on or attributable to amounts payable under this Section 3.01) payable or paid by such Recipient or required to be withheld or deducted from a payment to such Recipient, and any penalties, interest and reasonable expenses arising therefrom or with respect thereto, whether or not such Indemnified Taxes were correctly or legally imposed or asserted by the relevant Governmental Authority. A certificate as to the amount of such payment or liability delivered to the Borrower by a Lender or the L/C Issuer (with a copy to the Administrative Agent), or by the Administrative Agent on its own behalf or on behalf of a Lender or the L/C Issuer, shall be conclusive absent manifest error. Each of the Loan Parties shall, and does hereby, jointly and severally indemnify the Administrative Agent, and shall make payment in respect thereof within ten (10) days after demand therefor, for any amount which a Lender or the L/C Issuer for any reason fails to pay indefeasibly to the Administrative Agent as required pursuant to Section 3.01(c)(ii) below. (ii) Each Lender and the L/C Issuer shall, and does hereby, severally indemnify, and shall make payment in respect thereof within 10 days after demand therefor, (x) the Administrative Agent against any Indemnified Taxes attributable to such Lender or the L/C Issuer (but only to the extent that any Loan Party has not already indemnified the Administrative Agent for such Indemnified Taxes and without limiting the obligation of the Loan Party to do so), (y) the Administrative Agent and the Loan Party, as applicable, against any Taxes attributable to such Lender’s failure to comply with the provisions of Section 10.06(d) relating to the maintenance of a Participant Register and (z) the Administrative Agent and the Loan Party, as applicable, against any Excluded Taxes attributable to such Lender or the L/C Issuer, in each case, that are payable or paid by the Administrative Agent or a Loan Party in connection with any Loan Document, and any reasonable expenses arising therefrom or with respect thereto, whether or not such Taxes were correctly or legally imposed or asserted by the relevant Governmental Authority. A certificate as to the amount of such payment or liability delivered to any Lender by the Administrative Agent shall be conclusive absent manifest error. Each Lender and the L/C Issuer hereby authorizes the Administrative Agent to set off and apply any and all amounts at any time owing to such Lender or the L/C Issuer, as the case may be, under this Agreement or any other Loan Document against any amount due to the Administrative Agent under this clause (ii). (d) Evidence of Payments. As soon as practicable after any payment of Taxes by any Loan Party to a Governmental Authority as provided in this Section 3.01, the Borrower shall deliver to the Administrative Agent the original or a certified copy of a receipt issued by such Governmental Authority evidencing such payment, a copy of any return required by Laws to report such payment or other evidence of such payment reasonably satisfactory to the Administrative Agent.


 
58 (e) Status of Lenders; Tax Documentation. For purposes of determining withholding Taxes imposed under the Foreign Account Tax Compliance Act (FATCA), from and after the effective date of the Amendment, the Borrower and the Administrative Agent shall treat (and the Lenders hereby authorize the Administrative Agent to treat) the Loans as not qualifying as a “grandfathered obligation” within the meaning of Treasury Regulation Section 1.1471-2(b)(2)(i). In addition: (i) Any Lender that is entitled to an exemption from or reduction of withholding Tax with respect to payments made under any Loan Document shall deliver to the Borrower and the Administrative Agent, at the time or times reasonably requested by the Borrower or the Administrative Agent, such properly completed and executed documentation prescribed by applicable law or the taxing authorities of a jurisdiction pursuant to such applicable law or reasonably requested by the Borrower or the Administrative Agent as will permit such payments to be made without withholding or at a reduced rate of withholding. In addition, any Lender, if reasonably requested by the Borrower or the Administrative Agent, shall deliver such other documentation prescribed by applicable law or reasonably requested by the Borrower or the Administrative Agent as will enable the Borrower or the Administrative Agent to determine whether or not such Lender is subject to backup withholding or information reporting requirements. Notwithstanding anything to the contrary in the preceding two sentences, the completion, execution and submission of such documentation (other than such documentation either (A) set forth in Section 3.01(e)(ii)(A), (ii)(B) and (ii)(D) below or (B) required by applicable law other than the Code or the taxing authorities of the jurisdiction pursuant to such applicable law to comply with the requirements for exemption or reduction of withholding tax in that jurisdiction) shall not be required if in the Lender’s reasonable judgment such completion, execution or submission would subject such Lender to any material unreimbursed cost or expense or would materially prejudice the legal or commercial position of such Lender. (ii) Without limiting the generality of the foregoing, in the event that a Borrower is a U.S. Person, (A) any Lender that is a U.S. Person shall deliver to the Borrower and the Administrative Agent on or prior to the date on which such Lender becomes a Lender under this Agreement (and from time to time thereafter upon the reasonable request of the Borrower or the Administrative Agent), executed copies of IRS Form W-9 certifying that such Lender is exempt from U.S. federal backup withholding tax; (B) any Foreign Lender shall, to the extent it is legally entitled to do so, deliver to the Borrower and the Administrative Agent (in such number of copies as shall be requested by the recipient) on or prior to the date on which such Foreign Lender becomes a Lender under this Agreement (and from time to time thereafter upon the reasonable request of the Borrower or the Administrative Agent), whichever of the following is applicable: (I) in the case of a Foreign Lender claiming the benefits of an income tax treaty to which the United States is a party (x) with respect to payments of interest under any Loan Document, executed copies of IRS Form W-8BENE (or W-8BEN, as applicable) establishing an exemption from, or reduction of, U.S. federal withholding Tax pursuant to the “interest” article of such tax treaty and (y) with respect to any other applicable payments under any Loan Document, IRS Form W-8BENE (or W-8BEN, as applicable) establishing an exemption from, or reduction of, U.S. federal withholding Tax pursuant to the “business profits” or “other income” article of such tax treaty; (II) executed copies of IRS Form W-8ECI; (III) in the case of a Foreign Lender claiming the benefits of the exemption for portfolio interest under Section 881(c) of the Code, (x) a certificate substantially in the form of Exhibit K-1 to the effect that such Foreign Lender is not a “bank” within the meaning of Section 881(c)(3)(A) of the Code, a “10 percent shareholder” of the Borrower within the meaning of Section 881(c)(3)(B) of the Code, or a “controlled foreign corporation” described in Section 881(c)(3)(C) of the Code (a “U.S. Tax Compliance


 
59 Certificate”) and (y) executed copies of IRS Form W-8BENE (or W-8BEN, as applicable); or (IV) to the extent a Foreign Lender is not the beneficial owner, executed copies of IRS Form W-8IMY, accompanied by IRS Form W-8ECI, IRS Form W-8BENE (or W-8BEN, as applicable), a U.S. Tax Compliance Certificate substantially in the form of Exhibit K-2 or Exhibit K-3, IRS Form W-9, and/or other certification documents from each beneficial owner, as applicable; provided that if the Foreign Lender is a partnership and one or more direct or indirect partners of such Foreign Lender are claiming the portfolio interest exemption, such Foreign Lender may provide a U.S. Tax Compliance Certificate substantially in the form of Exhibit K-4 on behalf of each such direct and indirect partner; (C) any Foreign Lender shall, to the extent it is legally entitled to do so, deliver to the Borrower and the Administrative Agent (in such number of copies as shall be requested by the recipient) on or prior to the date on which such Foreign Lender becomes a Lender under this Agreement (and from time to time thereafter upon the reasonable request of the Borrower or the Administrative Agent), executed copies of any other form prescribed by applicable law as a basis for claiming exemption from or a reduction in U.S. federal withholding Tax, duly completed, together with such supplementary documentation as may be prescribed by applicable law to permit the Borrower or the Administrative Agent to determine the withholding or deduction required to be made; and (D) if a payment made to a Lender under any Loan Document would be subject to U.S. federal withholding Tax imposed by FATCA if such Lender were to fail to comply with the applicable reporting requirements of FATCA (including those contained in Section 1471(b) or 1472(b) of the Code, as applicable), such Lender shall deliver to the Borrower and the Administrative Agent at the time or times prescribed by law and at such time or times reasonably requested by the Borrower or the Administrative Agent such documentation prescribed by applicable law (including as prescribed by Section 1471(b)(3)(C)(i) of the Code) and such additional documentation reasonably requested by the Borrower or the Administrative Agent as may be necessary for the Borrower and the Administrative Agent to comply with their obligations under FATCA and to determine that such Lender has complied with such Lender’s obligations under FATCA or to determine the amount to deduct and withhold from such payment. Solely for purposes of this clause (D), “FATCA” shall include any amendments made to FATCA after the date of this Agreement. (iii) Each Lender agrees that if any form or certification it previously delivered pursuant to this Section 3.01 expires or becomes obsolete or inaccurate in any respect, it shall update such form or certification or promptly notify the Borrower and the Administrative Agent in writing of its legal inability to do so. (iv) Each Lender shall promptly (A) notify the Borrower and the Administrative Agent of any change in circumstances which would modify or render invalid any claimed exemption or reduction, and (B) take such steps as shall not be materially disadvantageous to it, in the reasonable judgment of such Lender, and as may be reasonably necessary (including the re-designation of its Lending Office) to avoid any requirement of applicable Laws of any jurisdiction that the Borrower or the Administrative Agent make any withholding or deduction for taxes from amounts payable to such Lender. (v) The Borrower shall not be required to pay any amount pursuant to this Section 3.01 to any Lender that is organized under the laws of a jurisdiction outside of the United States of America or the Administrative Agent, if it is organized under the laws of a jurisdiction outside of the United States of America, if such Lender or the Administrative Agent, as applicable, fails to comply with the requirements of this subsection (e). If any such Lender fails to deliver the above forms or other documentation to the extent required hereunder, then the Borrower may withhold from such payment to such Lender such amounts as are required by the Code. If any Governmental Authority asserts that the Borrower did not properly withhold or


 
60 backup withhold, as the case may be, any tax or other amount from payments made to or for the account of any Lender, such Lender shall indemnify the Borrower therefor, including all penalties and interest, any taxes imposed by any jurisdiction on the amounts payable by or to the Borrower under this Section, and costs and expenses (including all fees and disbursements of any law firm or other external counsel and the allocated cost of internal legal services and all disbursements of internal counsel) of the Borrower. (f) Treatment of Certain Refunds. Unless required by applicable Laws, at no time shall the Administrative Agent have any obligation to file for or otherwise pursue on behalf of a Lender or the L/C Issuer, or have any obligation to pay to any Lender or the L/C Issuer, any refund of Taxes withheld or deducted from funds paid for the account of such Lender or the L/C Issuer, as the case may be. If any Recipient determines, in its sole discretion exercised in good faith, that it has received a refund of any Taxes as to which it has been indemnified by any Loan Party or with respect to which any Loan Party has paid additional amounts pursuant to this Section 3.01, it shall pay to such Loan Party an amount equal to such refund (but only to the extent of indemnity payments made, or additional amounts paid, by a Loan Party under this Section 3.01 with respect to the Taxes giving rise to such refund), net of all out-of-pocket expenses (including Taxes) incurred by such Recipient, and without interest (other than any interest paid by the relevant Governmental Authority with respect to such refund), provided that each Loan Party, upon the request of the Recipient, agrees to repay the amount paid over to such Loan Party (plus any penalties, interest or other charges imposed by the relevant Governmental Authority) to the Recipient in the event the Recipient is required to repay such refund to such Governmental Authority. Notwithstanding anything to the contrary in this subsection, in no event will the applicable Recipient be required to pay any amount to such Loan Party pursuant to this subsection the payment of which would place the Recipient in a less favorable net after-Tax position than such Recipient would have been in if the Tax subject to indemnification and giving rise to such refund had not been deducted, withheld or otherwise imposed and the indemnification payments or additional amounts with respect to such Tax had never been paid. This subsection shall not be construed to require any Recipient to make available its tax returns (or any other information relating to its taxes that it deems confidential) to any Loan Party or any other Person. (g) Survival. Each party’s obligations under this Section 3.01 shall survive the resignation or replacement of the Administrative Agent or any assignment of rights by, or the replacement of, a Lender or the L/C Issuer, the termination of the Commitments and the repayment, satisfaction or discharge of all other Obligations. 3.02. Illegality. If any Lender determines that any Law has made it unlawful, or that any Governmental Authority has asserted that it is unlawful, for any Lender or its applicable Lending Office to make, maintain or fund Loans whose interest is determined by reference to a Relevant Rate, or to determine or charge interest rates based upon a Relevant Rate, or any Governmental Authority has imposed material restrictions on the authority of such Lender to purchase or sell, or to take deposits of, Dollars or Canadian Dollars in the applicable interbank market, then, upon notice thereof by such Lender to the Borrower (through the Administrative Agent), (a) any obligation of such Lender to make or maintain Loans in the affected currency or currencies or, in the case of Loans denominated in Dollars, to make or maintain Daily SOFR Loans, to make or continue Term SOFR Loans or to convert Base Rate Loans or Daily SOFR Loans to Term SOFR Loans or Base Rate Loans or to convert Term SOFR Loans to Daily SOFR Loans shall be, in each case, suspended, and (b) if such notice asserts the illegality of such Lender making or maintaining Base Rate Loans the interest rate on which is determined by reference to the Term SOFR component of the Base Rate, the interest rate on which Base Rate Loans of such Lender shall, if necessary to avoid such illegality, be determined by the Administrative Agent without reference to the Term SOFR component of the Base Rate, in each case until such Lender notifies the Administrative Agent and the Borrower that the circumstances giving rise to such determination no longer exist. Upon receipt of such notice, (i) the Borrower shall, upon demand from such Lender (with a copy to the Administrative Agent), prepay all affected SOFR Loans or Alternative Currency Loans, as applicable, or, if applicable and such Loans are denominated in Dollars, convert all affected SOFR Loans of such Lender to Base Rate Loans (the interest rate on which Base Rate Loans of such Lender shall, if necessary to avoid such illegality, be determined by the Administrative Agent without reference to the Term SOFR component of the Base Rate), in each case, either immediately, or, in the case of Term SOFR Loans and Alternative Currency Loans, on the last day of the Interest Period therefor if such Lender may lawfully continue to maintain such Term SOFR Loans or Alternative Currency Loans, as applicable, to such day and (ii) if such notice asserts the illegality of such Lender determining or charging interest rates based upon Term SOFR, the Administrative Agent shall during the period of such suspension compute the Base Rate applicable to such Lender without reference to the Term SOFR component thereof until the Administrative Agent is advised in writing by such Lender that it is no longer illegal for such Lender to determine or charge interest rates based upon Term SOFR. Upon any such prepayment or conversion,


 
61 the Borrower shall also pay accrued interest on the amount so prepaid or converted, together with any additional amounts required pursuant to Section 3.05. 3.03. Inability to Determine Rates. If in connection with any request for a SOFR Loan or an Alternative Currency Loan, a conversion of Base Rate Loans or Term SOFR Loans to Daily SOFR Loans, a conversion of Base Rate Loans or Daily SOFR Loans to Term SOFR Loans or a continuation of any of such Loans, as applicable, (i) the Administrative Agent determines (which determination shall be conclusive absent manifest error) that (A) no USD Benchmark Successor Rate or Alternative Currency Successor Rate, as applicable, has been determined in accordance with Section 3.03(b) or Section 3.03(c) and the circumstances under clause (i) of Section 3.03(b) or the SOFR Scheduled Unavailability Date, as applicable, has occurred with respect to such Relevant Rate (as applicable) or (B) adequate and reasonable means do not otherwise exist for determining the Relevant Rate for the applicable Alternative Currency for any determination date(s) or requested Interest Period, as applicable, with respect to a proposed SOFR Loan or an Alternative Currency Loan or in connection with an existing or proposed Base Rate Loan, or (ii) the Administrative Agent or the Required Lenders determine for any reason that the Relevant Rate with respect to a proposed Loan denominated in an Alternative Currency for any requested Interest Period or determination date(s) does not adequately and fairly reflect the cost to such Lenders of funding such Loan, the Administrative Agent will promptly so notify the Borrower and each Lender. Thereafter, (x) the obligation of the Lenders to make or maintain Loans in the affected currencies, as applicable, or to convert Base Rate Loans or Term SOFR Loans to Daily SOFR Loans or to convert Base Rate Loans or Daily SOFR Loans to Term SOFR Loans, shall be suspended in each case to the extent of the affected Loans or Interest Periods or determination date(s), as applicable, and (y) in the event of a determination described in the preceding sentence with respect to the Term SOFR component of the Base Rate, the utilization of the Term SOFR component in determining the Base Rate shall be suspended, in each case until the Administrative Agent (or, in the case of a determination by the Required Lenders described in clause (ii) of this Section 3.03(a), until the Administrative Agent upon instruction of the Required Lenders) revokes such notice. Upon receipt of such notice, (i) the Borrower may revoke any pending request for a Borrowing of, or conversion to Daily SOFR Loans, Borrowing of, conversion to, or continuation of Term SOFR Loans, or Borrowing of, or continuation of Alternative Currency Loans to the extent of the affected Loans or Interest Periods or determination date(s), as applicable or, failing that, will be deemed to have converted such request into a request for a Borrowing of Base Rate Loans denominated in Dollars in the Dollar Equivalent of the amount specified therein and (ii) (A) any outstanding SOFR Loans shall be deemed to have been converted to Base Rate Loans immediately, in the case of a Daily SOFR Loan, or at the end of the applicable Interest Period, in the case of a Term SOFR Loan, and (B) any outstanding affected Alternative Currency Loans, at the Borrower’s election, shall either (1) be converted into a Borrowing of Base Rate Loans denominated in Dollars in the Dollar Equivalent of the amount of such outstanding Alternative Currency Loan at the end of the applicable Interest Period or (2) be prepaid in full at the end of the applicable Interest Period; provided that if no election is made by the Borrower by the last day of the current Interest Period for the applicable Alternative Currency Loan, the Borrower shall be deemed to have elected clause (1) above. (b) Replacement of SOFR or USD Benchmark Successor Rate. Notwithstanding anything to the contrary in this Agreement or any other Loan Documents, if the Administrative Agent determines (which determination shall be conclusive absent manifest error), or the Borrower or Required Lenders notify(ies) the Administrative Agent (with, in the case of the Required Lenders, a copy to the Borrower) that the Borrower or Required Lenders (as applicable) have determined, that: (i) adequate and reasonable means do not exist for ascertaining SOFR and one month, three month and six month Interest Periods of Term SOFR, including because SOFR or the Term SOFR Screen Rate, as applicable, is not available or published on a current basis and such circumstances are unlikely to be temporary; or (ii) the Applicable Authority has, with respect to Term SOFR and/or Daily Simple SOFR, as applicable, made a public statement identifying a specific date after which SOFR, one month, three month and six month Interest Periods for Term SOFR, or the Term SOFR Screen Rate, as applicable, shall or will no longer be made available, or permitted to be used for determining the interest rate of syndicated loans denominated in Dollars, or shall or will otherwise cease, provided that, in each case, at the time of such


 
62 statement, there are no successor administrators that are satisfactory to the Administrative Agent that will continue to provide SOFR or such Interest Periods for Term SOFR, as applicable, after such specific date (the latest date on which SOFR, one month, three month and six month Interest Periods of Term SOFR, or the Term SOFR Screen Rate are no longer available permanently or indefinitely, the “SOFR Scheduled Unavailability Date”); or if the events or circumstances of the type described in Section 3.03(b)(i) or (ii) have occurred with respect to the USD Benchmark Successor Rate then in effect, then in each case, the Administrative Agent and the Borrower may amend this Agreement solely for the purpose of replacing SOFR, Daily Simple SOFR and/or Term SOFR or any then current USD Benchmark Successor Rate in accordance with this Section 3.03 with an alternative benchmark rate giving due consideration to any evolving or then existing convention for similar credit facilities syndicated and agented in the U.S. and denominated in Dollars for such alternative benchmarks, and, in each case, including any mathematical or other adjustments to such benchmark giving due consideration to any evolving or then existing convention for similar credit facilities syndicated and agented in the U.S. and denominated in Dollars for such benchmarks. For the avoidance of doubt, any such proposed rate and adjustments shall constitute, a “USD Benchmark Successor Rate”. Any such amendment shall become effective at 5:00 p.m. on the fifth (5th) Business Day after the Administrative Agent shall have posted such proposed amendment to all Lenders and the Borrower unless, prior to such time, Lenders comprising the Required Lenders have delivered to the Administrative Agent written notice that such Required Lenders object to such amendment. The Administrative Agent will promptly (in one or more notices) notify the Borrower and each Lender of the implementation of any USD Benchmark Successor Rate. Any USD Benchmark Successor Rate shall be applied in a manner consistent with market practice; provided that to the extent such market practice is not administratively feasible for the Administrative Agent, such USD Benchmark Successor Rate shall be applied in a manner as otherwise reasonably determined by the Administrative Agent. Notwithstanding anything else herein, if at any time any USD Benchmark Successor Rate as so determined would otherwise be less than zero, the USD Benchmark Successor Rate will be deemed to be zero for the purposes of this Agreement and the other Loan Documents. In connection with the implementation of a USD Benchmark Successor Rate the Administrative Agent will have the right to make USD Benchmark Replacement Conforming Changes from time to time and, notwithstanding anything to the contrary herein or in any other Loan Document, any amendments implementing such USD Benchmark Replacement Conforming Changes will become effective without any further action or consent of any other party to this Agreement; provided that, with respect to any such amendment effected, the Administrative Agent shall post each such amendment implementing such USD Benchmark Replacement Conforming Changes to the Borrower and the Lenders reasonably promptly after such amendment becomes effective. (c) Alternative Currency Successor Rate Setting. Notwithstanding anything to the contrary in this Agreement or any other Loan Documents, if the Administrative Agent determines (which determination shall be conclusive absent manifest error), or the Borrower or Required Lenders notify the Administrative Agent (with, in the case of the Required Lenders, a copy to the Borrower) that the Borrower or Required Lenders (as applicable) have determined, that an Alternative Currency Benchmark Transition Event has occurred with respect to the Alternative Currency Benchmark or any Alternative Currency Successor Rate then in effect, then, the Administrative Agent and the Borrower may amend this Agreement solely for the purpose of replacing the Alternative Currency Benchmark or any then current Alternative Currency Successor Rate in accordance with this Section 3.03 with an Alternative Currency Successor Rate, and any such amendment shall become effective at 5:00 p.m. on the fifth Business Day after the Administrative Agent shall have posted such proposed amendment to all Lenders and the Borrower unless, prior to such time, Lenders comprising the Required Lenders have delivered to the Administrative Agent written notice that such Required Lenders object to such amendment. The Administrative Agent will promptly (in one or more notices) notify the Borrower and each Lender of the implementation of any Alternative Currency Successor Rate.


 
63 Any Alternative Currency Successor Rate shall be applied in a manner consistent with market practice; provided that to the extent such market practice is not administratively feasible for the Administrative Agent, such Successor Rate shall be applied in a manner as otherwise reasonably determined by the Administrative Agent. Notwithstanding anything else herein, if at any time any Alternative Currency Successor Rate as so determined would otherwise be less than zero, the Alternative Currency Successor Rate will be deemed to be zero for the purposes of this Agreement and the other Loan Documents. In connection with the implementation of a Alternative Currency Successor Rate the Administrative Agent will have the right to make Alternative Currency Successor Rate Conforming Changes from time to time and, notwithstanding anything to the contrary herein or in any other Loan Document, any amendments implementing such Alternative Currency Successor Rate Conforming Changes will become effective without any further action or consent of any other party to this Agreement; provided that, with respect to any such amendment effected, the Administrative Agent shall post each such amendment implementing such Alternative Currency Successor Rate Conforming Changes to the Borrower and the Lenders reasonably promptly after such amendment becomes effective. 3.04. Increased Costs; Reserves on Loans. (a) Increased Costs Generally. If any Change in Law shall: (i) impose, modify or deem applicable any reserve, special deposit, compulsory loan, insurance charge or similar requirement against assets of, deposits with or for the account of, or credit extended or participated in by, any Lender (except any reserve requirement contemplated by Section 3.04(e), other than as set forth below) or the L/C Issuer; (ii) subject any Recipient to any Taxes (other than (A) Indemnified Taxes, (B) Taxes described in clauses (b) through (d) of the definition of Excluded Taxes and (C) Connection Income Taxes) on its loans, loan principal, letters of credit, commitments, or other obligations, or its deposits, reserves, other liabilities or capital attributable thereto; or (iii) impose on any Lender or the L/C Issuer or the applicable interbank market any other condition, cost or expense affecting this Agreement or SOFR Loans or Alternative Currency Loans made by such Lender or any Letter of Credit or participation therein; and the result of any of the foregoing shall be to increase the cost to such Lender of making, converting to, continuing or maintaining any Loan the interest on which is determined by reference to Term SOFR, Daily Simple SOFR or Term CORRA (or of maintaining its obligation to make any such Loan), or to increase the cost to such Lender or the L/C Issuer of participating in, issuing or maintaining any Letter of Credit (or of maintaining its obligation to participate in or to issue any Letter of Credit), or to reduce the amount of any sum received or receivable by such Lender or the L/C Issuer hereunder (whether of principal, interest or any other amount) then, upon request of such Lender or the L/C Issuer, the Borrower will pay to such Lender or the L/C Issuer, as the case may be, such additional amount or amounts as will compensate such Lender or the L/C Issuer, as the case may be, for such additional costs incurred or reduction suffered. (b) Capital Requirements. If any Lender or the L/C Issuer determines that any Change in Law affecting such Lender or the L/C Issuer or any Lending Office of such Lender or such Lender’s or the L/C Issuer’s holding company, if any, regarding capital or liquidity requirements has or would have the effect of reducing the rate of return on such Lender’s or the L/C Issuer’s capital or on the capital of such Lender’s or the L/C Issuer’s holding company, if any, as a consequence of this Agreement, the Commitments of such Lender or the Loans made by, or participations in Letters of Credit held by, such Lender, or the Letters of Credit issued by the L/C Issuer, to a level below that which such Lender or the L/C Issuer or such Lender’s or the L/C Issuer’s holding company could have achieved but for such Change in Law (taking into consideration such Lender’s or the L/C Issuer’s policies and the policies of such Lender’s or the L/C Issuer’s holding company with respect to capital adequacy), then from time to time the Borrower will pay to such Lender or the L/C Issuer, as the case may be, such additional amount or amounts as will compensate such Lender or the L/C Issuer or such Lender’s or the L/C Issuer’s holding company for any such reduction suffered.


 
64 (c) Certificates for Reimbursement. A certificate of a Lender or the L/C Issuer setting forth the amount or amounts necessary to compensate such Lender or the L/C Issuer or its holding company, as the case may be, as specified in subsection (a) or (b) of this Section and delivered to the Borrower shall be conclusive absent manifest error. The Borrower shall pay such Lender or the L/C Issuer, as the case may be, the amount shown as due on any such certificate within ten (10) days after receipt thereof. (d) Delay in Requests. Failure or delay on the part of any Lender or the L/C Issuer to demand compensation pursuant to the foregoing provisions of this Section 3.04 shall not constitute a waiver of such Lender’s or the L/C Issuer’s right to demand such compensation, provided that the Borrower shall not be required to compensate a Lender or the L/C Issuer pursuant to the foregoing provisions of this Section for any increased costs incurred or reductions suffered more than 180 days prior to the date that such Lender or the L/C Issuer, as the case may be, notifies the Borrower of the Change in Law giving rise to such increased costs or reductions and of such Lender’s or the L/C Issuer’s intention to claim compensation therefor (except that, if the Change in Law giving rise to such increased costs or reductions is retroactive, then the 180 day period referred to above shall be extended to include the period of retroactive effect thereof). 3.05. Compensation for Losses. Upon demand of any Lender (with a copy to the Administrative Agent) from time to time, the Borrower shall promptly compensate such Lender for and hold such Lender harmless from any loss, cost or expense incurred by it as a result of: (a) any continuation, conversion, payment or prepayment of any Term SOFR Loan or Alternative Currency Loan on a day other than the last day of the Interest Period for such Loan (whether voluntary, mandatory, automatic, by reason of acceleration, or otherwise); (b) any failure by the Borrower (for a reason other than the failure of such Lender to make a Loan) to prepay, borrow, continue or convert any Term SOFR Loan or Alternative Currency Loan on the date or in the amount notified by the Borrower; (c) any failure by Borrower to make payment of any Loan or drawing under any Letter of Credit (or interest due thereon) denominated in an Alternative Currency on its scheduled due date or any payment thereof in a different currency; or (d) any assignment of a Term SOFR Loan or an Alternative Currency Loan on a day other than the last day of the Interest Period therefor as a result of a request by the Borrower pursuant to Section 10.13; including any loss of anticipated profits, any foreign exchange losses and any loss or expense arising from the liquidation or reemployment of funds obtained by it to maintain such Loan, from fees payable to terminate the deposits from which such funds were obtained or from the performance of any foreign exchange contract. The Borrower shall also pay any customary administrative fees charged by such Lender in connection with the foregoing, including without limitation, any loss or expense arising from the termination of any foreign exchange contract. For purposes of calculating amounts payable by the Borrower to the Lenders under this Section 3.05, each Lender shall be deemed to have funded each Term SOFR Committed Loan and each Alternative Currency Loan made by it at Term SOFR or Term CORRA, as applicable, by a matching deposit or other borrowing in the applicable interbank market for such currency for a comparable amount and for a comparable period, whether or not such Loan was in fact so funded. 3.06. Mitigation Obligations; Replacement of Lenders. (a) Designation of a Different Lending Office. Each Lender may make any Credit Extension to the Borrower through any Lending Office, provided that the exercise of this option shall not affect the obligation of the Borrower to repay the Credit Extension in accordance with the terms of this Agreement. If any Lender requests compensation under Section 3.04, or requires the Borrower to pay any Indemnified Taxes or additional amounts to any Lender, the L/C Issuer, or any Governmental Authority for the account of any Lender or the L/C Issuer pursuant to Section 3.01, or if any Lender gives a notice pursuant to Section 3.02, then at the request of the Borrower such


 
65 Lender or the L/C Issuer shall, as applicable, use reasonable efforts to designate a different Lending Office for funding or booking its Loans hereunder or to assign its rights and obligations hereunder to another of its offices, branches or affiliates, if, in the reasonable judgment of such Lender or the L/C Issuer, such designation or assignment (i) would eliminate or reduce amounts payable pursuant to Section 3.01 or 3.04, as the case may be, in the future, or eliminate the need for the notice pursuant to Section 3.02, as applicable, and (ii) in each case, would not subject such Lender or the L/C Issuer, as the case may be, to any unreimbursed cost or expense and would not otherwise be disadvantageous to such Lender or the L/C Issuer, as the case may be. The Borrower hereby agrees to pay all reasonable costs and expenses incurred by any Lender or the L/C Issuer in connection with any such designation or assignment. (b) Replacement of Lenders. If any Lender requests compensation under Section 3.04, or if the Borrower is required to pay any Indemnified Taxes or additional amounts to any Lender or any Governmental Authority for the account of any Lender pursuant to Section 3.01 and, in each case, such Lender has declined or is unable to designate a different lending office in accordance with Section 3.06(a), the Borrower may replace such Lender in accordance with Section 10.13. 3.07. Survival. All of the Loan Parties, Administrative Agent’s, Lenders’ and L/C Issuer’s obligations under this Article III shall survive termination of the Aggregate Commitments, repayment of all other Obligations hereunder, and resignation of the Administrative Agent. ARTICLE IV CONDITIONS PRECEDENT TO CREDIT EXTENSIONS 4.01. Conditions of Initial Credit Extension. The obligation of the L/C Issuer and each Lender to make its initial Credit Extension hereunder is subject to satisfaction of the following conditions precedent: (a) The Administrative Agent’s receipt of the following, each of which shall be originals or telecopies (followed promptly by originals) unless otherwise specified, each properly executed by a Responsible Officer of the signing Loan Party, each dated the Closing Date (or, in the case of certificates of governmental officials, a recent date before the Closing Date) and each in form and substance satisfactory to the Administrative Agent and each of the Lenders: (i) fully executed counterparts of this Agreement and the Guaranty, sufficient in number for distribution to the Administrative Agent, each Lender and the Borrower and, if Advance Funding Arrangements shall exist with respect to funding on the Closing Date, executed Advance Funding Documentation in form and number acceptable to the Administrative Agent; (ii) a Note executed by the Borrower in favor of each Lender requesting a Note; (iii) such certificates of resolutions or other action, incumbency certificates and/or other certificates of Responsible Officers of each Loan Party as the Administrative Agent may reasonably require evidencing the identity, authority and capacity of each Responsible Officer thereof authorized to act as a Responsible Officer in connection with this Agreement and the other Loan Documents to which such Loan Party is a party; (iv) such documents and certifications as the Administrative Agent may reasonably require to evidence that each Loan Party is duly organized or formed, and that each of the Loan Parties is validly existing, in good standing and qualified to engage in business in each jurisdiction where its ownership, lease or operation of properties or the conduct of its business requires such qualification, except to the extent that failure to do so could not reasonably be expected to have a Material Adverse Effect; (v) a favorable opinion of counsel to the Borrower (on behalf of each of the Loan Parties), addressed to the Administrative Agent and each Lender, as to such matters concerning the Loan Parties and the Loan Documents as the Required Lenders may reasonably request;


 
66 (vi) a certificate of a Responsible Officer of each Loan Party either (A) attaching copies of all applicable consents, licenses and approvals required in connection with the execution, delivery and performance by such Loan Party and the validity against such Loan Party of the Loan Documents to which it is a party, and such consents, licenses and approvals shall be in full force and effect, or (B) stating that no such consents, licenses or approvals are so required; (vii) a certificate signed by a Responsible Officer of the Parent certifying (A) that each Consolidated Party is in compliance in all material respects with all existing contractual financial obligations, (B) all governmental, shareholder and third party consents and approvals necessary for the Loan Parties to enter into the Loan Documents and fully perform thereunder, if any, have been obtained, (C) immediately after giving effect to this Agreement, the other Loan Documents and all the transactions contemplated therein to occur on such date, (1) each of the Loan Parties is solvent, (2) no Default or Event of Default exists, (3) all representations and warranties contained herein and in the other Loan Documents are true and correct in all material respects, and (4) the Loan Parties are in compliance with each of the financial covenants set forth in Section 7.11 (and including detailed calculations of each such financial covenant); (D) that the conditions specified in Sections 4.02(a) and (b) have been satisfied; (E) that, to such Responsible Officer’s knowledge, there has been no event or circumstance since the date of the Audited Financial Statements that has had or could be reasonably expected to have, either individually or in the aggregate, a Material Adverse Effect; (F) the current Debt Ratings and (G) that the Replaced Credit Facility has been or concurrently with the Closing Date is being fully amended and restated by this Agreement and all Liens (if any) securing obligations under the Replaced Credit Facility have been or concurrently with the Closing Date shall, as of the Closing Date, secure the Obligations hereunder and under the other Loan Documents; (viii) evidence that all insurance required to be maintained pursuant to the Loan Documents has been obtained and is in effect; (ix) such other assurances, certificates, documents, or consents as the Administrative Agent, the L/C Issuer, or the Required Lenders reasonably may require. (b) There shall not have occurred a material adverse change since December 31, 2023 in the business, assets, operations, or financial condition of the Borrower and the other Consolidated Parties taken as a whole, as reasonably determined by the Administrative Agent. (c) There shall not exist any action, suit, investigation, or proceeding pending or threatened, in any court or before any arbitrator or governmental authority that could have a Material Adverse Effect, as reasonably determined by the Administrative Agent. (d) Any fees required to be paid on or before the Closing Date shall have been paid. (e) Unless waived by the Administrative Agent, the Borrower shall have paid all fees, charges and disbursements of counsel to the Administrative Agent (directly to such counsel if requested by the Administrative Agent) to the extent invoiced prior to or on the Closing Date, plus such additional amounts of such fees, charges and disbursements as shall constitute its reasonable estimate of such fees, charges and disbursements incurred or to be incurred by it through the closing proceedings (provided that such estimate shall not thereafter preclude a final settling of accounts between the Borrower and the Administrative Agent). (f) Upon the reasonable request of any Lender made at least fifteen (15) days prior to the Closing Date, the Borrower shall have provided to such Lender, and such Lender shall be reasonably satisfied with, the documentation and other information so requested in connection with applicable “know your customer” and anti- money-laundering rules and regulations, including, without limitation, the PATRIOT Act, in each case at least ten (10) days prior to the Closing Date and (ii) at least ten (10) days prior to the Closing Date, any Loan Party that qualifies as a “legal entity customer” under the Beneficial Ownership Regulation shall have delivered, to each Lender that so requests, a Beneficial Ownership Certification in relation to such Loan Party.


 
67 Without limiting the generality of the provisions of the last paragraph of Section 9.03, (i) for purposes of determining compliance with the conditions specified in this Section 4.01, each Lender that has signed this Agreement shall be deemed to have consented to, approved or accepted or to be satisfied with, each document or other matter required thereunder to be consented to or approved by or acceptable or satisfactory to a Lender unless the Administrative Agent shall have received notice from such Lender prior to the proposed Closing Date specifying its objection thereto, and (ii) in the event that Advance Funding Arrangements shall exist, the delivery by any Lender (x) of funds pursuant to such Advance Funding Arrangements and (y) its signature page to this Agreement shall constitute the request, consent and direction by such Lender to the Administrative Agent (unless expressly revoked by written notice from such Lender received by the Administrative Agent prior to the earlier to occur of funding or the Administrative Agent’s declaration that this Agreement is effective) to withdraw and release to the Borrower on the Closing Date the applicable funds of such Lender to be applied to the funding of Loans by such Lender in accordance with Section 2.02 upon the Administrative Agent’s determination (made in accordance with and subject to the terms of this Agreement) that it has received all items expressly required to be delivered to it under this Section 4.01. 4.02. Conditions to all Credit Extensions. The obligation of each Lender to honor any Request for Credit Extension (other than a Committed Loan Notice requesting only a conversion of Loans to another Type, or a continuation of Term SOFR Loans or Alternative Currency Loans) is subject to the following conditions precedent: (a) The representations and warranties of the Borrower and each other Loan Party contained in Article V or any other Loan Document, or which are contained in any document furnished at any time under or in connection herewith or therewith, shall, except to the extent waived in accordance with the terms hereof, be true and correct in all material respects (or, to the extent already qualified by materiality or Material Adverse Effect, in all respects) on and as of the date of such Credit Extension, except (i) to the extent that such representations and warranties specifically refer to an earlier date, in which case they shall be true and correct as of such earlier date, (ii) that for purposes of this Section 4.02, the representations and warranties contained in subsections (a) and (b) of Section 5.05 shall be deemed to refer to the most recent statements furnished pursuant to clauses (a) and (b), respectively, of Section 6.01 and (iii) for purposes of the representations and warranties set forth in Section 5.13, to the extent of changes resulting from transactions and other events contemplated or not prohibited by this Agreement or the other Loan Documents and changes occurring in the ordinary course of Borrower’s business. (b) No Default shall exist or would result from such proposed Credit Extension or from the application of the proceeds thereof. (c) The Administrative Agent and, if applicable, the L/C Issuer shall have received a Request for Credit Extension in accordance with the requirements hereof. (d) In the case of a Credit Extension to be denominated in an Alternative Currency, there shall not have occurred any change in national or international financial, political or economic conditions or currency exchange rates or exchange controls which in the reasonable opinion of the Administrative Agent, the Required Lenders (in the case of any Loans to be denominated in an Alternative Currency) or the L/C Issuer (in the case of any Letter of Credit to be denominated in an Alternative Currency), in each case following consultation with Borrower, would make it impracticable for such Credit Extension to be denominated in the relevant Alternative Currency. Each Request for Credit Extension (other than a Committed Loan Notice requesting only a conversion of Loans to another Type or a continuation of Term SOFR Loans or Alternative Currency Loans) submitted by the Borrower shall be deemed to be a representation and warranty that the conditions specified in Sections 4.02(a) and (b) have been satisfied on and as of the date of the applicable Credit Extension. ARTICLE V REPRESENTATIONS AND WARRANTIES The Borrower represents and warrants to the Administrative Agent and the Lenders that: 5.01. Existence, Qualification and Power. Each Loan Party (a) is duly organized or formed, validly existing and, as applicable, in good standing under the Laws of the jurisdiction of its incorporation or organization,


 
68 (b) has all requisite power and authority and all requisite governmental licenses, authorizations, consents and approvals to (i) own or lease its assets and carry on its business (except, in the case of any Loan Party other than the Borrower, to the extent that failure to do so could not reasonably be expected to have a Material Adverse Effect) and (ii) execute, deliver and perform its obligations under the Loan Documents to which it is a party, and (c) is, except to the extent that failure to do so could not reasonably be expected to have a Material Adverse Effect, duly qualified and is licensed and, as applicable, in good standing under the Laws of each jurisdiction where its ownership, lease or operation of properties or the conduct of its business requires such qualification or license. 5.02. Authorization; No Contravention. The execution, delivery and performance by each Loan Party of each Loan Document to which such Person is party, have been duly authorized by all necessary corporate or other organizational action, and do not and will not (a) contravene the terms of any of such Person’s Organization Documents; (b) conflict with or result in any breach or contravention of, or the creation of any Lien under, or require any payment to be made under (i) any Contractual Obligation to which such Person is a party or affecting such Person or the properties of such Person or any of its Subsidiaries or (ii) any order, injunction, writ or decree of any Governmental Authority or any arbitral award to which such Person or its property is subject; or (c) violate any Law, except, in each case, to the extent that the same could not reasonably be expected to (y) result in such Loan Party’s obligations hereunder or under any other Loan Document to which it is a party to be deemed ineffective, voided or otherwise terminated or (z) have a Material Adverse Effect. 5.03. Governmental Authorization; Other Consents. No approval, consent, exemption, authorization, or other action by, or notice to, or filing with, any Governmental Authority or any other Person is necessary or required in connection with the execution, delivery or performance by, or enforcement against, any Loan Party of this Agreement or any other Loan Document, except, in each case, to the extent that failure to obtain or file the same, as applicable, could not reasonably be expected to (a) result in any Loan Party’s obligations hereunder or under any other Loan Document to which it is a party to be deemed ineffective, voided or otherwise terminated or (b) have a Material Adverse Effect. 5.04. Binding Effect. This Agreement has been, and each other Loan Document, when delivered hereunder, will have been, duly executed and delivered by each Loan Party that is party thereto. This Agreement constitutes, and each other Loan Document when so delivered will constitute, a legal, valid and binding obligation of such Loan Party, enforceable against each Loan Party that is party thereto in accordance with its terms, except as such enforceability may be limited by (a) applicable bankruptcy, insolvency, reorganization, moratorium or similar laws affecting creditors’ rights generally and (b) the application of general principles of equity, regardless of whether such enforceability is considered in a proceeding in equity or at law. 5.05. Financial Statements; No Material Adverse Effect. (a) The Audited Financial Statements (i) were prepared in accordance with GAAP consistently applied throughout the period covered thereby, except as otherwise expressly noted therein; (ii) fairly present, in all material respects, the financial condition of the Parent and its Subsidiaries as of the date thereof and their results of operations for the period covered thereby in accordance with GAAP consistently applied throughout the period covered thereby, except as otherwise expressly noted therein; and (iii) show all material indebtedness and other liabilities, direct or contingent, of the Parent and its Subsidiaries as of the date thereof, including liabilities for taxes, material commitments and Indebtedness. (b) Schedule 5.05 sets forth all material indebtedness and other liabilities, direct or contingent, of the Parent and its consolidated Subsidiaries as of the Closing Date not otherwise disclosed or referenced (or otherwise contemplated) in the Audited Financial Statements. (c) Since the date of the Audited Financial Statements, there has been no event or circumstance, either individually or in the aggregate, that has had or could reasonably be expected to have a Material Adverse Effect and, to the best knowledge of the Borrower, since the date of the Audited Financial Statements, no Internal Control Event has occurred (other than as disclosed in reports of the Borrower filed prior to the date hereof with the SEC). 5.06. Litigation. There are no actions, suits, proceedings, claims or disputes pending or, to the knowledge of the Borrower, threatened or contemplated in writing, at law, in equity, in arbitration or before any Governmental


 
69 Authority, by or against the Borrower or any of its Subsidiaries or against any of their properties or revenues that (a) purport to affect or pertain to this Agreement or any other Loan Document, or any of the Credit Extensions contemplated hereby, or (b) except as specifically disclosed in Schedule 5.06, either individually or in the aggregate, if determined adversely, could reasonably be expected to have a Material Adverse Effect. 5.07. No Default. Neither any Loan Party nor any Subsidiary thereof is in default under or with respect to any Contractual Obligation that could, either individually or in the aggregate, reasonably be expected to have a Material Adverse Effect. No Default has occurred and is continuing or would result from the consummation of the transactions contemplated by this Agreement or any other Loan Document. 5.08. Ownership of Property. Each of the Borrower and each Subsidiary has good record and marketable title in fee simple to, or valid leasehold interests in, all real property necessary in the ordinary conduct of its business, except for such defects in title as could not, individually or in the aggregate, reasonably be expected to have a Material Adverse Effect. The property of the Borrower and its Subsidiaries is subject to no Liens, other than Liens not prohibited by Section 7.01. 5.09. Environmental Compliance. Except as set forth on Schedule 5.09, no Loan Party (a) has received any notice or other communication or otherwise learned of any Environmental Liability which would individually or in the aggregate reasonably be expected to have a Material Adverse Effect arising in connection with: (i) any non- compliance with or violation of the requirements of any Environmental Law by any Loan Party, or any permit issued under any Environmental Law to any Loan Party; or (ii) the Release or threatened Release of any Hazardous Materials into the environment; or (b) to its knowledge, has threatened or actual liability in connection with the Release or threatened Release of any Hazardous Materials into the environment which would individually or in the aggregate reasonably be expected to have a Material Adverse Effect. Except as would not reasonably be expected to have a Material Adverse Effect, none of the Loan Parties has received any Environmental Complaint. 5.10. Insurance. The properties of the Borrower and each of its Subsidiaries are insured with financially sound and reputable insurance companies not Affiliates of the Borrower, in such amounts, with such deductibles and covering such risks as are customarily carried by companies engaged in similar businesses and owning similar properties in localities where the Borrower or the applicable Subsidiary operates. 5.11. Taxes. The Borrower and its Subsidiaries have filed all Federal, state and other material tax returns and reports required to be filed, and have paid all Federal, state and other material taxes, assessments, fees and other governmental charges levied or imposed upon them or their properties, income or assets otherwise due and payable, except those which are being contested in good faith by appropriate proceedings diligently conducted and for which adequate reserves have been provided in accordance with GAAP. There is no proposed special tax assessment against the Borrower or any Subsidiary that would, if made, have a Material Adverse Effect. Neither any Loan Party nor any Subsidiary thereof is party to any tax sharing agreement. 5.12. ERISA Compliance. (a) Each Plan is in compliance in all material respects with the applicable provisions of ERISA, the Code and other Federal or state laws. Each Pension Plan that is intended to be a qualified plan under Section 401(a) of the Code has received a favorable determination letter from the Internal Revenue Service to the effect that the form of such Plan is qualified under Section 401(a) of the Code and the trust related thereto has been determined by the Internal Revenue Service to be exempt from federal income tax under Section 501(a) of the Code, or an application for such a letter is currently being processed by the Internal Revenue Service. To the best knowledge of the Borrower, nothing has occurred that would prevent or cause the loss of such tax-qualified status. (b) There are no pending or, to the best knowledge of the Borrower, threatened claims, actions or lawsuits, or action by any Governmental Authority, with respect to any Plan that could reasonably be expected to have a Material Adverse Effect. There has been no prohibited transaction or violation of the fiduciary responsibility rules with respect to any Plan that has resulted or could reasonably be expected to result in a Material Adverse Effect.


 
70 (c) (i) No ERISA Event has occurred, and neither the Borrower nor any ERISA Affiliate is aware of any fact, event or circumstance that could reasonably be expected to constitute or result in an ERISA Event with respect to any Pension Plan; (ii) the Borrower and each ERISA Affiliate has met all applicable requirements under the Pension Funding Rules in respect of each Pension Plan, and no waiver of the minimum funding standards under the Pension Funding Rules has been applied for or obtained; (iii) as of the most recent valuation date for any Pension Plan, the funding target attainment percentage (as defined in Section 430(d)(2) of the Code) is 60% or higher and neither the Borrower nor any ERISA Affiliate knows of any facts or circumstances that could reasonably be expected to cause the funding target attainment percentage for any such plan to drop below 60% as of the most recent valuation date; (iv) neither the Borrower nor any ERISA Affiliate has incurred any liability to the PBGC other than for the payment of premiums, and there are no premium payments which have become due that are unpaid; (v) neither the Borrower nor any ERISA Affiliate has engaged in a transaction that could be subject to Section 4069 or Section 4212(c) of ERISA; and (vi) no Pension Plan has been terminated by the plan administrator thereof nor by the PBGC, and no event or circumstance has occurred or exists that could reasonably be expected to cause the PBGC to institute proceedings under Title IV of ERISA to terminate any Pension Plan. (d) Neither the Borrower or any ERISA Affiliate maintains or contributes to, or has any unsatisfied obligation to contribute to, or liability under, any active or terminated Pension Plan other than (A) on the Closing Date, those listed on Schedule 5.12(d) hereto and (B) thereafter, Pension Plans not otherwise prohibited by this Agreement. (e) The Borrower represents and warrants as of the Closing Date that the Borrower is not and will not be using “plan assets” (within the meaning of 29 CFR § 2510.3-101, as modified by Section 3(42) of ERISA) of one or more Benefit Plans in connection with the Loans, the Letters of Credit, or the Commitments; 5.13. Subsidiaries; Equity Interests. Set forth on Schedule 5.13 is a complete and accurate list of all Subsidiaries and Joint Ventures/Unconsolidated Affiliates of the Borrower as of the date of this Agreement and as updated in accordance with the terms of Section 6.02 hereof, including their respective business forms, jurisdictions of organization, respective equity owners and respective equity ownership interests, thereof. The Equity Interests owned by Borrower in each Subsidiary and each Joint Venture/Unconsolidated Affiliate are validly issued, fully paid and non-assessable and are owned by Borrower free and clear of all Liens, except to the extent that the failure or non- compliance of the same would not have a Material Adverse Effect. 5.14. Margin Regulations; Investment Company Act. (a) The Borrower is not engaged and will not engage, principally or as one of its important activities, in the business of purchasing or carrying margin stock (within the meaning of Regulation U issued by the FRB), or extending credit for the purpose of purchasing or carrying margin stock. (b) None of the Borrower, any Person Controlling the Borrower, or any Subsidiary is or is required to be registered as an “investment company” under the Investment Company Act of 1940. 5.15. Disclosure. To Borrower’s knowledge, the Borrower has disclosed or made available to the Administrative Agent all material agreements, instruments and corporate or other restrictions to which it or any of its Subsidiaries are subject, and all other matters known to it, that, individually or in the aggregate, could reasonably be expected to result in a Material Adverse Effect. To Borrower’s knowledge, no report, financial statement, certificate or other information furnished (whether in writing or orally) by or on behalf of any Loan Party to the Administrative Agent or any Lender in connection with the transactions contemplated hereby and the negotiation of this Agreement or delivered hereunder or under any other Loan Document (in each case, as modified or supplemented by other information so furnished) contains on the date furnished any material misstatement of material fact or omits on the date furnished to state any material fact necessary to make the statements therein, in the light of the circumstances under which they were made, not misleading; provided that, with respect to projected financial information, the Borrower represents only that such information was prepared in good faith based upon assumptions that Borrower believed to be reasonable at the time. As of the Closing Date, the information included in the Beneficial Ownership Certification, if applicable, is true and correct in all respects.


 
71 5.16. Compliance with Laws. Each Loan Party and each Subsidiary thereof is in compliance in all material respects with the requirements of all Laws and all orders, writs, injunctions and decrees applicable to it or to its properties, except in such instances in which (a) such requirement of Law or order, writ, injunction or decree is being contested in good faith by appropriate proceedings diligently conducted or (b) the failure to comply therewith, either individually or in the aggregate, could not reasonably be expected to have a Material Adverse Effect. Each Loan Party and each Subsidiary thereof is in compliance in all material respects with the Controlled Substances Act and all applicable anti-money laundering Laws, and no action, suit or proceeding by or before any court or governmental agency, authority or body or any arbitrator involving any Loan Party or any of their respective Subsidiaries or properties with respect to the Controlled Substances Act, any anti-money laundering Laws or the Civil Asset Forfeiture Reform Act is pending or, to the best knowledge of the Borrower, threatened. 5.17. Taxpayer Identification Number; Other Identifying Information. The true and correct U.S. taxpayer identification number of the Borrower and each Guarantor existing as of the date hereof is set forth on Schedule 10.02. 5.18. Intellectual Property; Licenses, Etc. The Borrower and each of its Subsidiaries own, or possess the right to use, all of the trademarks, service marks, trade names, copyrights, patents, patent rights, franchises, licenses and other intellectual property rights (collectively, “IP Rights”) that are reasonably necessary for and material to the operation of their respective businesses, without conflict with the rights of any other Person, except for such conflicts that could not reasonably be expected to have a Material Adverse Effect. To the knowledge of the Borrower, no slogan or other advertising device, product, process, method, substance, part or other material now employed, or now contemplated to be employed, by the Borrower or any Subsidiary of any of them, and that is material to Borrower and its Subsidiaries, taken as a whole, infringes upon any rights held by any other Person, except for such conflicts that could reasonably be expected to have a Material Adverse Effect. Except as specifically disclosed in Schedule 5.18, no claim or litigation regarding any of the foregoing is pending or, to the knowledge of the Borrower, threatened in writing, which, either individually or in the aggregate, could reasonably be expected to have a Material Adverse Effect. 5.19. OFAC. Neither the Borrower, nor any of its Subsidiaries, nor, to the knowledge of the Borrower and its Subsidiaries, any director, officer, employee, agent, affiliate or representative thereof, is an individual or entity that is, or is owned or controlled by any individual or entity that is (i) currently the subject or target of any Sanctions, (ii) included on OFAC’s List of Specially Designated Nationals, HMT’s Consolidated List of Financial Sanctions Targets and the Investment Ban List, or any similar list enforced by any other relevant sanctions authority or (iii) located, organized or resident in a Designated Jurisdiction. The Borrower and its Subsidiaries have conducted their businesses in compliance in all material respects with all applicable Sanctions and have instituted and maintained policies and procedures designed to promote and achieve compliance with such Sanctions. 5.20. Anti-Corruption Laws. The Borrower and its Subsidiaries have conducted their businesses in all material respects in compliance with the United States Foreign Corrupt Practices Act of 1977, the UK Bribery Act 2010, and other similar anti-corruption legislation in other jurisdictions and have instituted and maintained policies and procedures designed to promote and achieve compliance with such laws. 5.21. Affected Financial Institutions. No Loan Party is an Affected Financial Institution. 5.22. Covered Entities. No Loan Party is a Covered Entity. 5.23. Representations as to Foreign Obligors. Each of the Borrower and each Foreign Obligor represents and warrants to the Administrative Agent and the Lenders that: (a) Such Foreign Obligor is subject to civil and commercial Laws with respect to its obligations under this Agreement and the other Loan Documents to which it is a party (collectively as to such Foreign Obligor, the “Applicable Foreign Obligor Documents”), and the execution, delivery and performance by such Foreign Obligor of the Applicable Foreign Obligor Documents constitute and will constitute private and commercial acts and not public or governmental acts. Neither such Foreign Obligor nor any of its property has any immunity from jurisdiction of any court or from any legal process (whether through service or notice, attachment prior to judgment, attachment in aid of execution, execution or otherwise) under the laws of the jurisdiction in which such Foreign Obligor is organized and existing in respect of its obligations under the Applicable Foreign Obligor Documents.


 
72 (b) The Applicable Foreign Obligor Documents are in proper legal form under the Laws of the jurisdiction in which such Foreign Obligor is organized and existing for the enforcement thereof against such Foreign Obligor under the Laws of such jurisdiction, and to ensure the legality, validity, enforceability, priority or admissibility in evidence of the Applicable Foreign Obligor Documents. It is not necessary to ensure the legality, validity, enforceability, priority or admissibility in evidence of the Applicable Foreign Obligor Documents that the Applicable Foreign Obligor Documents be filed, registered or recorded with, or executed or notarized before, any court or other authority in the jurisdiction in which such Foreign Obligor is organized and existing or that any registration charge or stamp or similar tax be paid on or in respect of the Applicable Foreign Obligor Documents or any other document, except for (i) any such filing, registration, recording, execution or notarization as has been made or is not required to be made until the Applicable Foreign Obligor Document or any other document is sought to be enforced and (ii) any charge or tax as has been timely paid. (c) There is no tax, levy, impost, duty, fee, assessment or other governmental charge, or any deduction or withholding, imposed by any Governmental Authority in or of the jurisdiction in which such Foreign Obligor is organized and existing either (i) on or by virtue of the execution or delivery of the Applicable Foreign Obligor Documents or (ii) on any payment to be made by such Foreign Obligor pursuant to the Applicable Foreign Obligor Documents, except as has been disclosed to the Administrative Agent. (d) The execution, delivery and performance of the Applicable Foreign Obligor Documents executed by such Foreign Obligor are, under applicable foreign exchange control regulations of the jurisdiction in which such Foreign Obligor is organized and existing, not subject to any notification or authorization except (i) such as have been made or obtained or (ii) such as cannot be made or obtained until a later date (provided that any notification or authorization described in clause (ii) shall be made or obtained as soon as is reasonably practicable). ARTICLE VI AFFIRMATIVE COVENANTS So long as any Lender shall have any Commitment hereunder, any Loan or other Obligation hereunder shall remain unpaid or unsatisfied (other than contingent obligations for which no claim has been asserted), or any Letter of Credit shall remain outstanding (and not Cash Collateralized), the Borrower shall, and shall (except in the case of the covenants set forth in Sections 6.01, 6.02, and 6.03 and/or to the extent the failure to do so would not result in a Material Adverse Effect) cause each Subsidiary to: 6.01. Financial Statements. Deliver to the Administrative Agent and each Lender, in form and detail reasonably satisfactory to the Administrative Agent and the Required Lenders: (a) as soon as available, but in any event within 120 days after the end of each fiscal year of the Parent (commencing with the fiscal year ending December 31, 2023), a consolidated and consolidating balance sheet of the Parent and its Subsidiaries as at the end of such fiscal year, and the related consolidated statements of income or operations, shareholders’ equity and cash flows for such fiscal year, setting forth in each case in comparative form the figures for the previous fiscal year, all in reasonable detail and prepared in accordance with GAAP, such consolidated statements to be audited and accompanied by (A) a report and opinion of a Registered Public Accounting Firm of nationally recognized standing reasonably acceptable to the Required Lenders, which report and opinion shall be prepared in accordance with generally accepted auditing standards and applicable Securities Laws and shall not be subject to any “going concern” or like qualification or exception or any qualification or exception as to the scope of such audit, and such consolidating statements to be certified, to knowledge, by the chief executive officer, chief financial officer, chief accounting officer, treasurer, controller or other senior financial or accounting executive of the Parent to the effect that such statements are fairly stated in all material respects when considered in relation to the consolidated financial statements of the Parent and its Subsidiaries, (B) a report of such Registered Public Accounting Firm as to the effectiveness of Borrower’s internal control over financial reporting pursuant to Section 404 of Sarbanes-Oxley; and (C) any other information included in the Parent’s or the Borrower’s Form 10-K for such fiscal year; (b) as soon as available, but in any event within 45 days after the end of each of the first three fiscal quarters of each fiscal year of the Parent (commencing with the fiscal quarter ending March 31, 2018), a consolidated balance sheet of the Parent and its Subsidiaries as at the end of such fiscal quarter, and the related consolidated


 
73 statements of income or operations and cash flows for such fiscal quarter and for the portion of the Parent’s fiscal year then ended, and any other information included in the Parent’s or the Borrower’s Form 10-Q for such fiscal quarter, setting forth in each case in comparative form the figures for the corresponding fiscal quarter of the previous fiscal year and the corresponding portion of the previous fiscal year, all in reasonable detail, such consolidated statements to be certified, to knowledge, by the chief executive officer, chief financial officer, chief accounting officer, treasurer, controller or other senior financial or accounting executive of the Parent as fairly presenting, in all material respects, the financial condition, results of operations and cash flows of the Parent and its Subsidiaries in accordance with GAAP, subject only to normal year-end audit adjustments and the absence of footnotes; and (c) no later than January 31 of each year, pro forma projected financial statements for the Parent and its Subsidiaries made in good faith, including anticipated sources and uses of cash for the four (4) calendar quarters constituting such calendar year, and no later than August 31 of each year preliminary pro forma projected sources and uses of cash for such parties made in good faith for the succeeding fiscal year. As to any information contained in materials furnished pursuant to Section 6.02(d), the Borrower shall not be separately required to furnish such information under clause (a) or (b) above, but the foregoing shall not be in derogation of the obligation of the Borrower to furnish the information and materials described in clauses (a) and (b) above at the times specified therein, to the extent not so furnished. 6.02. Certificates; Other Information. Deliver to the Administrative Agent and each Lender, in form and detail satisfactory to the Administrative Agent and the Required Lenders: (a) concurrently with the delivery of the financial statements referred to in Sections 6.01(a), a projection of capital expenditures for the next fiscal year for each Property of the Consolidated Parties. (b) concurrently with the delivery of the financial statements referred to in Sections 6.01(a) and (b): (i) a Compliance Certificate of a Responsible Officer of the Parent substantially in the form of Exhibit E attached hereto, (A) demonstrating compliance, as of the end of each such fiscal period, with the financial covenants contained in Section 7.11, in each case by detailed calculation thereof (which calculation shall be in form reasonably satisfactory to the Administrative Agent and which shall include, among other things, an explanation of the methodology used in such calculation and a breakdown of the components of such calculation), (B) stating that, to such Responsible Officer’s knowledge, the Loan Parties were in compliance with each of the covenants set forth in Articles VI and VII of this Agreement at all times and in all material respects during such fiscal period; and (C) stating that, as of the end of each such fiscal period, no Default or Event of Default exists, or if any Default or Event of Default does exist, specifying the nature and extent thereof and what action the Loan Parties propose to take with respect thereto; (ii) a schedule of the Properties summarizing net operating income and occupancy rates as of the last day of the applicable quarter; (iii) a summary of property purchases during the applicable quarter; (iv) an update to Schedule 5.13 attached hereto (which such update shall, in each case, be deemed to replace, amend and restate such schedule); (v) a listing of all Projects Under Development showing the total capital obligation of the Consolidated Parties with respect to each such Project Under Development and funds expended to date in connection with each such Project Under Development. (c) promptly after any written request by the Administrative Agent, copies of any detailed audit reports, management letters or recommendations submitted to the board of directors (or the audit committee of the board of directors) of the Borrower by independent accountants in connection with the accounts or books of the Borrower or any Subsidiary, or any audit of any of them;


 
74 (d) promptly after the same are available, copies of each annual report, proxy or financial statement or other report or communication sent to the stockholders of the Borrower, and copies of all annual, regular, periodic and special reports and registration statements which the Borrower may file or be required to file with the SEC under Section 13 or 15(d) of the Securities Exchange Act of 1934, and not otherwise required to be delivered to the Administrative Agent pursuant hereto; (e) promptly, and in any event within five (5) Business Days after receipt thereof by any Loan Party or any Subsidiary thereof, copies of each written notice or other correspondence received from the SEC (or comparable agency in any applicable non-U.S. jurisdiction) concerning any investigation or possible investigation or other inquiry by such agency regarding financial or other operational results of any Loan Party or any Subsidiary thereof; (f) promptly following any request therefor, provide information and documentation reasonably requested by the Administrative Agent or any Lender for purposes of compliance with applicable “know your customer” and anti-money-laundering rules and regulations, including, without limitation, the PATRIOT Act and the Beneficial Ownership Regulation; and (g) promptly, such additional information regarding the business, financial or corporate affairs of the Borrower or any Subsidiary, or compliance with the terms of the Loan Documents, as the Administrative Agent may from time to time reasonably and customarily request. Documents required to be delivered pursuant to Section 6.01(a) or (b) or Section 6.02(d) (to the extent any such documents are included in materials otherwise filed with the SEC) may be delivered electronically and if so delivered, shall be deemed to have been delivered on the date (i) on which the Borrower posts such documents, or provides a link thereto on the Borrower’s website on the Internet at the website address listed on Schedule 10.02; or (ii) on which such documents are posted on the Borrower’s behalf on an Internet or intranet website, if any, to which each Lender and the Administrative Agent have access (whether a commercial, third-party website or whether sponsored by the Administrative Agent); provided that: (i) the Borrower shall deliver paper copies of such documents to the Administrative Agent or any Lender upon its written request to the Borrower to deliver such paper copies until a written request to cease delivering paper copies is given by the Administrative Agent or such Lender and (ii) the Borrower shall notify the Administrative Agent and each Lender (by telecopier or electronic mail) of the posting of any such documents and provide to the Administrative Agent by electronic mail electronic versions (i.e., soft copies) of such documents. The Administrative Agent shall have no obligation to request the delivery of or to maintain paper copies of the documents referred to above, and in any event shall have no responsibility to monitor compliance by the Borrower with any such request by a Lender for delivery, and each Lender shall be solely responsible for requesting delivery to it or maintaining its copies of such documents. The Borrower hereby acknowledges that (a) the Administrative Agent and/or BAS will make available to the Lenders and the L/C Issuer materials and/or information provided by or on behalf of the Borrower hereunder (collectively, “Borrower Materials”) by posting the Borrower Materials on IntraLinks or another similar electronic system (the “Platform”) and (b) certain of the Lenders (each, a “Public Lender”) may have personnel who do not wish to receive material non-public information with respect to the Borrower or its Affiliates, or the respective securities of any of the foregoing, and who may be engaged in investment and other market-related activities with respect to such Persons’ securities. The Borrower hereby agrees that (w) all Borrower Materials that are to be made available to Public Lenders shall be clearly and conspicuously marked “PUBLIC” which, at a minimum, shall mean that the word “PUBLIC” shall appear prominently on the first page thereof; (x) by marking Borrower Materials “PUBLIC,” the Borrower shall be deemed to have authorized the Administrative Agent, BAS, the L/C Issuer and the Lenders to treat such Borrower Materials as not containing any material non-public information with respect to the Borrower or its securities for purposes of United States Federal and state securities laws (provided, however, that to the extent such Borrower Materials constitute Information, they shall be treated as set forth in Section 10.07); (y) all Borrower Materials marked “PUBLIC” are permitted to be made available through a portion of the Platform designated “Public Side Information;” and (z) the Administrative Agent and BAS shall be entitled to treat any Borrower Materials that are not marked “PUBLIC” as being suitable only for posting on a portion of the Platform not designated “Public Side Information.” 6.03. Notices. Promptly after it has knowledge thereof, notify the Administrative Agent and each Lender:


 
75 (a) of the occurrence of any Default; (b) of any matter that has resulted or could reasonably be expected to result in a Material Adverse Effect, including (i) breach or non-performance of, or any default under, a material Contractual Obligation of the Borrower or any Subsidiary; (ii) any material dispute, litigation, investigation, proceeding or suspension between the Borrower or any Subsidiary and any Governmental Authority (including, without limitation, pursuant to the Controlled Substances Act, anti-money laundering Laws or the Civil Asset Forfeiture Reform Act); or (iii) the commencement of, or any material development in, any litigation or proceeding affecting the Borrower or any Subsidiary, including pursuant to any applicable Environmental Laws; that could, in any such event, reasonably be expected to have a Material Adverse Effect; (c) of the occurrence of any ERISA Event; (d) of any material change in accounting policies or financial reporting practices by the Borrower or any Subsidiary; (e) of the occurrence of any Internal Control Event; and (f) of any announcement by Moody’s, S&P, or Fitch of any change or possible change in a Debt Rating. Each notice pursuant to this Section 6.03 (other than Section 6.03(e)) shall be accompanied by a statement of a Responsible Officer of the Borrower setting forth details of the occurrence referred to therein and stating what action the Borrower has taken and proposes to take with respect thereto. Each notice pursuant to Section 6.03(a) shall describe with particularity any and all provisions of this Agreement and any other Loan Document that have been breached. 6.04. Payment of Taxes. Pay and discharge as the same shall become due and payable, all of its tax liabilities, assessments and governmental charges or levies upon it or its properties or assets, (a) unless the same are being contested in good faith by appropriate proceedings diligently conducted and adequate reserves in accordance with GAAP are being maintained by the Borrower or such Subsidiary or (b) except to the extent that the failure to do so could not reasonably be expected to have a Material Adverse Effect. 6.05. Preservation of Existence, Etc. (a) Preserve, renew and maintain in full force and effect its legal existence and good standing under the Laws of the jurisdiction of its organization except in a transaction permitted by Section 7.04 or 7.05; (b) take all reasonable action to maintain all rights, privileges, permits, licenses and franchises necessary or desirable in the normal conduct of its business, except to the extent that failure to do so could not reasonably be expected to have a Material Adverse Effect; and (c) preserve or renew all of its registered patents, trademarks, trade names and service marks, the non-preservation of which could reasonably be expected to have a Material Adverse Effect. 6.06. Maintenance of Properties. Maintain, preserve and protect all of its material properties and equipment necessary in the operation of its business in good working order and condition, ordinary wear and tear excepted; (b) make all necessary repairs thereto and renewals and replacements thereof except where the failure to do so could not reasonably be expected to have a Material Adverse Effect; and (c) use the standard of care typical in the industry in the operation and maintenance of its facilities. 6.07. Maintenance of Insurance. Maintain with financially sound and reputable insurance companies not Affiliates of Borrower, insurance with respect to its properties and business against loss or damage of the kinds customarily insured against by Persons engaged in the same or similar business, of such types and in such amounts as are customarily carried under similar circumstances by such other Persons. 6.08. Compliance with Laws. Comply in all material respects with the requirements of all Laws (including, without limitation, the Controlled Substances Act and all applicable anti-money laundering Laws) and all orders, writs, injunctions and decrees applicable to it or to its business or property, except in such instances in which (a) such requirement of Law or order, writ, injunction or decree is being contested in good faith by appropriate


 
76 proceedings diligently conducted; or (b) the failure to comply therewith could not reasonably be expected to have a Material Adverse Effect. 6.09. Books and Records. Maintain proper books of record and account, in which full, true and correct entries, in all material respects, in conformity with GAAP consistently applied shall be made of all financial transactions and matters involving the assets and business of the Borrower or such Subsidiary, as the case may be; and (b) maintain such books of record and account in material conformity with all applicable requirements of any Governmental Authority having regulatory jurisdiction over the Borrower or such Subsidiary, as the case may be. 6.10. Inspection Rights. Permit representatives appointed by the Administrative Agent or Lenders (as coordinated by the Administrative Agent), including, without limitation, independent accountants, agents, attorneys, and appraisers to visit and inspect any of its Properties, to examine its corporate, financial and operating records, and make copies thereof or abstracts therefrom, and to discuss its affairs, finances and accounts with its directors, officers, and independent public accountants, all at the expense of the Borrower and at such reasonable times during normal business hours and as often as may be reasonably desired, upon reasonable advance notice to the Borrower (provided through the Administrative Agent) and in a manner that will not unreasonably interfere with such Person’s business operations; provided, however, that when an Event of Default exists the Administrative Agent or any Lender (or any of their respective representatives or independent contractors) may do any of the foregoing at the expense of the Borrower at any time during normal business hours and without advance notice; provided, further, however that all such persons shall obtain and maintain all such information and materials in confidence, and otherwise subject to and in compliance with the terms of Section 10.07. Notwithstanding anything to the contrary in this Section 6.10, the Loan Parties and their Subsidiaries shall not be required to disclose, or allow inspection of any document or information that (i) constitutes non-financial trade secrets or non-financial proprietary information, (ii) in respect of which disclosure to the Administrative Agent or any Lender is prohibited by Law or would violate any contractual confidentiality obligations to a third party if such obligations were not entered into in contemplation of this Agreement or (iii) is subject to attorney-client or similar privilege or constitutes attorney work-product; provided that, in each case, the Borrower will advise the Administrative Agent that information is being withheld. 6.11. Use of Proceeds. Use the proceeds of the Credit Extensions solely for the following purposes: (a) to finance the acquisition of real properties; (b) to finance the development of improvements to real properties; (c) to refinance and/or retire existing Indebtedness, and (d) for working capital and other general corporate purposes. 6.12. Additional Guarantors. (a) If, from time to time, any Person qualifies as a Subsidiary Guarantor, the Borrower shall (i) if such Person is a Domestic Subsidiary of a Loan Party, cause such Person to promptly (and in any event within fifteen (15) days from the date any such Person meets the requirements for becoming a Guarantor as set forth in this Section 6.12) become a Guarantor by executing and delivering to the Administrative Agent a counterpart of the Guaranty or such other documents or materials as the Administrative Agent shall reasonably deem appropriate for such purpose, (ii) provide the Administrative Agent with notice thereof, and (iii) cause such Person to deliver to the Administrative Agent documents of the types referred to in clauses (iii) and (iv) of Section 4.01(a), all in form, content and scope reasonably satisfactory to the Administrative Agent; provided, that to the extent such Person holds (whether upon delivery of the items required above or at any time after the delivery of the items required above) assets with a fair market value in excess of $20,000,000, the Borrower shall (if requested by Administrative Agent) cause to be delivered to the Administrative Agent favorable opinions of counsel to such Person (which shall cover, among other things, the legality, validity, binding effect and enforceability of the documentation referred to in this clause (a)). (b) Notwithstanding any other provisions of this Agreement to the contrary (x) to the extent a Guarantor anticipates that it will no longer meet the requirements of the definition of a Subsidiary Guarantor, the Borrower may request a release of such Guarantor as a Guarantor hereunder in accordance with the following: (i) the Borrower shall deliver to the Administrative Agent, not less than ten (10) days and not more than forty-five (45) days prior to the anticipated or intended release of a Subsidiary Guarantor hereunder, a written request for release of the applicable Subsidiary Guarantor; and


 
77 (ii) the Administrative Agent shall have reviewed and approved (in writing) the request for release delivered pursuant to subclause (i) above; provided, that the failure of the Administrative Agent to respond to such a request within ten (10) days of its receipt thereof shall constitute the Administrative Agent’s approval thereof. Notwithstanding any language to the contrary above, so long as a Responsible Officer of the Borrower (or Parent) has certified in a compliance certificate (and the Administrative Agent has no evidence or information which brings into reasonable doubt the veracity of such certifications) that the Subsidiary Guarantor no longer meets the requirements of the definition of Subsidiary Guarantor, the request for release shall be approved and issued by the Administrative Agent within the 10-day time period specified in subsection (b)(ii). Upon satisfaction of each of the above-noted conditions, a Guarantor shall be deemed released from its obligations hereunder and under each of the Loan Documents. Administrative Agent shall, upon written request therefore, provide a written confirmation of the release of the applicable Guarantor hereunder. 6.13. Approvals and Authorizations. Maintain all authorizations, consents, approvals and licenses from, exemptions of, and filings and registrations with, each Governmental Authority of the jurisdiction in which each Foreign Obligor is organized and existing, and all approvals and consents of each other Person in such jurisdiction, in each case that are required in connection with the Loan Documents. 6.14. REIT Status. Take all action necessary to maintain the Parent’s status as a REIT. 6.15. Environmental Matters. (a) Reimburse the Administrative Agent and Lenders for and hereby hold the Administrative Agent and Lenders harmless from all fines or penalties made or levied against the Administrative Agent or any of the Lenders by any Governmental Authority as a result of or in connection with (i) the use of Hazardous Materials at the Properties, (ii) the use of Hazardous Materials at the facilities thereon, or (iii) the use, generation, storage, transportation, discharge, release or handling of any Hazardous Materials at the Properties, or as a result of any release of any Hazardous Materials onto the ground or into the water or air from or upon the Properties at any time. The Loan Parties also agree that they will reimburse the Administrative Agent and Lenders for and indemnify and hold the Administrative Agent and Lenders harmless from any and all costs, expenses (including reasonable attorneys’ fees actually incurred) and for all civil claims, judgments or penalties incurred entered, assessed, or levied against the Administrative Agent or any of the Lenders as a result of any of the Loan Parties’ use of Hazardous Materials at the Properties or as a result of any release of any Hazardous Materials on the ground or into the water or air by any of the Loan Parties from or upon the Properties. Such reimbursement or indemnification shall include but not be limited to any and all judgments or penalties to recover the costs of cleanup of any such release by any of the Loan Parties from or upon the Properties and all reasonable expenses incurred by the Administrative Agent or any of the Lenders as a result of such a civil action, including but not limited to reasonable attorneys’ fees. The Loan Parties’ obligations under this section shall survive the repayment of the Loans and be in supplement of any and all other reimbursement or indemnity obligations of the Borrower set forth herein. Notwithstanding anything to the contrary contained in this Section 6.15(a), in no event shall the Borrower or any other Loan Party have any obligation to reimburse or otherwise indemnify the Administrative Agent and Lender if and to the extent that any claims arise as the direct result of any action of the Administrative Agent and/or any of the Lenders (or any Person(s) claiming by, through or under any of them) at the Properties, or any of them. (b) If the Administrative Agent requests in writing and if (i) the Borrower or the applicable Subsidiary does not have environmental insurance with respect to any property owned, leased or operated by a Loan Party or (ii) the Administrative Agent has reason to believe that there exist Hazardous Materials in material violation of applicable Environmental Laws, on any property owned, leased or operated by a Loan Party, which Hazardous Materials materially and adversely affect the value of such property and with respect to which the Borrower has not furnished a report within the immediately previous twelve (12) month period, Borrower shall furnish or cause to be furnished to the Administrative Agent, at the Borrower’s expense, a report of an environmental assessment of reasonable scope, form and depth by a consultant reasonably acceptable to the Administrative Agent, including, where appropriate and if recommended by such consultant, invasive soil or groundwater sampling, as to the nature and extent of the presence of such Hazardous Materials on any such property and as to the compliance by the applicable Loan


 
78 Party(ies) with Environmental Laws; provided that if there exists a continuing Default or Event of Default as of the date of the Administrative Agent’s written request for an environmental report pursuant to the terms hereof, the Borrower shall provide such report regardless of whether either of the conditions set forth in subsections (i) and (ii) above have been satisfied. If the Borrower fails to deliver such an environmental report within seventy-five (75) days after receipt of such written request then the Administrative Agent may arrange for same, and the parties hereto hereby grant to the Administrative Agent and their representatives or shall attempt in good faith to cause the applicable Loan Party(ies) to so grant access to the Properties and a license of a scope reasonably necessary to undertake such an assessment, including, where appropriate, invasive soil or groundwater sampling; provided, however, that no such invasive soil or groundwater sampling shall be undertaken without Borrower’s prior written approval unless an Event of Default exists hereunder. (c) Conduct and complete (or use good faith efforts to cause to be conducted and completed) all investigations, studies, sampling, and testing and all remedial, removal, and other actions necessary to address all Hazardous Materials on, from, or affecting any Property to the extent necessary to be in material compliance with all Environmental Laws and all other applicable federal, state, and local laws, regulations, rules and policies and with the orders and directives of all Governmental Authorities exercising jurisdiction over such real property to the extent any failure could reasonably be expected to have a Material Adverse Effect. (d) Provide upon such Person’s receipt thereof all insurance certificate(s) evidencing the environmental insurance held by any Person with respect to any of the Properties. 6.16. Anti-Corruption Laws; Sanctions. Conduct its businesses in compliance in all material respects with the United States Foreign Corrupt Practices Act of 1977, the UK Bribery Act 2010, and other applicable anti- corruption legislation in other jurisdictions and with all applicable Sanctions, and maintain policies and procedures designed to promote and achieve compliance with such laws and Sanctions. ARTICLE VII NEGATIVE COVENANTS So long as any Lender shall have any Commitment hereunder, any Loan or other Obligation hereunder shall remain unpaid or unsatisfied (other than contingent obligations for which no claim has been asserted), or any Letter of Credit shall remain outstanding (and not Cash Collateralized), the Borrower shall not, nor shall it permit any Wholly-Owned Subsidiary or Controlled Subsidiary to, directly or indirectly: 7.01. Liens. Contract, create, incur, assume or permit to exist any Lien with respect to any of its property, assets or revenues or the property, assets or revenues of any other Person, whether now owned or hereafter acquired, if the Indebtedness underlying such Lien, at the time of incurrence of such Indebtedness and immediately after giving effect thereto on a pro forma basis, would cause the Borrower to be in violation of any of the provisions of Section 7.11 hereof. 7.02. Investments. Make any Investments, except: (a) Projects Under Development, undeveloped land holdings, Joint Venture Projects and Joint Ventures, Securities Holdings and Mortgages. (b) Investments held in the form of Cash Equivalents; (c) advances to officers, directors and employees in an aggregate amount not to exceed $100,000 at any time outstanding, for travel, entertainment, relocation and analogous ordinary business purposes; (d) Investments in any other Loan Party and/or in any Subsidiary; (e) Investments consisting of extensions of credit in the nature of accounts receivable or notes receivable arising from the grant of trade credit in the ordinary course of business, and Investments received in


 
79 satisfaction or partial satisfaction thereof from financially troubled account debtors to the extent reasonably necessary in order to prevent or limit loss; (f) payments relating to pre-development expenses, pursuit costs, property acquisition and diligence expenses and similar out-of-pocket costs and expenses regarding properties that are not yet owned by the Borrower or any Subsidiary; and (g) Investments existing on the date of this Agreement. 7.03. Indebtedness. Create, incur, assume or suffer to exist any Indebtedness, except: (a) Indebtedness under the Loan Documents; and (b) any other Indebtedness (including, without limitation, Guarantees in respect of Indebtedness otherwise permitted hereunder of the Borrower or any Subsidiary) to the extent such Indebtedness, at the time of incurrence of such Indebtedness and immediately after giving effect thereto on a pro forma basis, would not cause the Borrower to be in violation of any of the provisions of Section 7.11; provided, that to the extent such Indebtedness is in the form of obligations under any Swap Contract (i) such obligations are (or were) entered into by such Person in the ordinary course of business for the purpose of directly mitigating risks associated with liabilities, commitments, investments, assets, or property held or reasonably anticipated by such Person, or changes in the value of securities issued by such Person, and not for purposes of speculation or taking a “market view;” and (ii) such Swap Contract does not contain any provision exonerating the non-defaulting party from its obligation to make payments on outstanding transactions to the defaulting party. 7.04. Fundamental Changes. Except as otherwise permitted under this Agreement, merge, dissolve, liquidate, consolidate with or into another Person (unless Borrower, such Wholly-Owned Subsidiary, or such Controlled Subsidiary is the surviving entity), or Dispose of (whether in one transaction or in a series of transactions) all or substantially all of its assets (whether now owned or hereafter acquired) to or in favor of any Person (including, in each case, pursuant to a Division), except that, so long as no Default exists or would result therefrom: (a) any Wholly-Owned Subsidiary may merge with (i) the Borrower, provided that the Borrower shall be the continuing or surviving Person, or (ii) any one or more other Wholly-Owned Subsidiaries, provided that when any Guarantor is merging with another Wholly-Owned Subsidiary, the Guarantor shall be the continuing or surviving Person; (b) any Wholly-Owned Subsidiary may Dispose of all or substantially all of its assets (upon voluntary liquidation or otherwise) to the Borrower or to another Wholly-Owned Subsidiary; provided that if the transferor in such a transaction is a Guarantor, then the transferee must either be the Borrower or a Guarantor (or must become a Guarantor); (c) any Controlled Subsidiary may merge with (i) the Borrower, provided that the Borrower shall be the continuing or surviving Person, or (ii) any one or more other Wholly-Owned Subsidiaries or Controlled Subsidiaries, provided that when any Guarantor is merging with another Wholly-Owned Subsidiary or Controlled Subsidiary, the Guarantor shall be the continuing or surviving Person; (d) any Controlled Subsidiary may Dispose of all or substantially all of its assets (upon voluntary liquidation or otherwise) to the Borrower or to another Controlled Subsidiary; provided that if the transferor in such a transaction is a Guarantor, then the transferee must either be the Borrower or a Guarantor (or must become a Guarantor); (e) all or substantially all of the assets or all of the Equity Interests of a Wholly-Owned Subsidiary or Controlled Subsidiary may be Disposed of to the extent such Disposition is permitted pursuant to Section 7.05; and (f) any Subsidiary may dissolve, liquidate or wind up its affairs at any time provided that such dissolution, liquidation or winding up, as applicable, could not have a Material Adverse Effect.


 
80 7.05. Dispositions. Make any Disposition or enter into any agreement to make any Disposition, except: (a) Dispositions of obsolete or worn out property, whether now owned or hereafter acquired, in the ordinary course of business; (b) Dispositions of inventory in the ordinary course of business; (c) Dispositions of equipment or real property to the extent that (i) such property is exchanged for credit against the purchase price of similar replacement property or (ii) the proceeds of such Disposition are reasonably promptly applied to the purchase price of such replacement property; (d) Dispositions of property by any Wholly-Owned Subsidiary to the Borrower, any Wholly-Owned Subsidiary, or any Controlled Subsidiary; (e) Dispositions permitted by Section 7.04(a) – (b); (f) Dispositions of property by the Borrower to any Wholly-Owned Subsidiary so long as such Wholly- Owned Subsidiary, if required to do so pursuant to the definition of Subsidiary Guarantor, becomes a Subsidiary Guarantor; or (g) Dispositions by the Borrower, its Wholly-Owned Subsidiaries, and/or its Controlled Subsidiaries of any property in the ordinary course of business for fair market value (whether in one transaction or in several related transactions); provided, at the time of such Disposition, no Default shall exist or would result from such Disposition; provided, however, that any Disposition pursuant to clauses (a) through (f) above (excluding clause (e)) shall be for fair market value, as reasonably determined by Borrower. 7.06. Anti-Terrorism/Anti-Corruption Laws. (a) Be an “enemy” or an “ally of the enemy” within the meaning of Section 2 of the Trading with the Enemy Act of the United States of America (50 U.S.C. App. §§ 1 et seq.), as amended. Neither any Loan Party nor any of its Subsidiaries is in violation of (i) the Trading with the Enemy Act, as amended, (ii) any of the foreign assets control regulations of the United States Treasury Department (31 CFR, Subtitle B, Chapter V, as amended) or any enabling legislation or executive order relating thereto or (iii) the Act (as defined in Section 10.18); or (b) Directly or indirectly use the proceeds of any Credit Extension for any purpose which would breach the Foreign Corrupt Practices Act, 15 U.S.C. §§ 78dd-1, et seq., the UK Bribery Act 2010, and other similar anti- corruption legislation in other jurisdictions (the “Anti-Corruption Laws”) or otherwise fail to be in compliance with any such Anti-Corruption Laws. 7.07. Change in Nature of Business. Engage in any material line of business substantially different from those lines of business conducted by the Borrower and its Subsidiaries on the date hereof or any business substantially related or incidental or complementary thereto. 7.08. Transactions with Affiliates. Except as otherwise contemplated or permitted pursuant to Section 7.04, enter into any transaction of any kind with any Affiliate of the Borrower, whether or not in the ordinary course of business, other than on fair and reasonable terms substantially as favorable to the Borrower or such Subsidiary as would be obtainable by the Borrower or such Subsidiary at the time in a comparable arm’s length transaction with a Person other than an Affiliate; provided, however, that this provision shall not be deemed to prohibit the issuance of preferred Equity Interests to any party. 7.09. Burdensome Agreements. Enter into any Contractual Obligation (other than this Agreement or any other Loan Document) that (a) limits the ability (i) of any Wholly-Owned Subsidiary or Controlled Subsidiary to


 
81 make Restricted Payments to the Borrower or any Guarantor or to otherwise transfer property to the Borrower or any Guarantor or (ii) of any Wholly-Owned Subsidiary or Controlled Subsidiary to Guarantee the Indebtedness of the Borrower, or (b) requires the grant of a Lien to secure an obligation of such Person if a Lien is granted to secure another obligation of such Person; provided, that this Section 7.09 shall not be deemed to restrict the ability of the Borrower or any Subsidiary from entering into Contractual Obligations of any type related to secured financing transactions. 7.10. Use of Proceeds. Use the proceeds of any Credit Extension, whether directly or indirectly, and whether immediately, incidentally or ultimately, to purchase or carry margin stock (within the meaning of Regulation U of the FRB) or to extend credit to others for the purpose of purchasing or carrying margin stock or to refund indebtedness originally incurred for such purpose. 7.11. Financial Covenants. Fail, at any applicable time of calculation, to comply with any of the following financial covenants; provided, that such calculations, if not calculated as of the last day of a calendar quarter, shall be calculated as of the last day of the immediately preceding calendar quarter, except that the calculation set forth in the second sentence of item (g) below shall be calculated as of the end of each fiscal year: (a) [Intentionally Omitted]. (b) Total Leverage Ratio. Borrower shall not permit the Total Leverage Ratio, for any Calculation Date, to exceed sixty percent (60%); provided, that such limit may, on no more than two (2) occasions during the term of this Agreement and following any Material Acquisition by the Borrower or any of the Consolidated Parties, be increased, for a period not to exceed the four (4) consecutive calendar quarters (for each such occasion) ending immediately following the consummation of such Material Acquisition, to sixty-five percent (65%). (c) Secured Indebtedness to Total Adjusted Asset Value. Borrower shall not permit the ratio of (i) Secured Indebtedness to (ii) the amount equal to Total Adjusted Asset Value, to exceed thirty-five percent (35%). (d) Fixed Charge Coverage Ratio. Borrower shall maintain a Fixed Charge Coverage Ratio equal to or in excess of 1.50:1.00. (e) Total Unencumbered Leverage Ratio. Borrower shall not permit the Total Unencumbered Leverage Ratio to, as of any Calculation Date, exceed sixty percent (60%); provided, that such limit may, on no more than two (2) occasions during the term of this Agreement and following any Material Acquisition by the Borrower or any of the Consolidated Parties, be increased, for a period not to exceed the four (4) consecutive calendar quarters (for each such occasion) ending immediately following the consummation of such Material Acquisition, to sixty-five percent (65%). (f) Unencumbered Interest Coverage Ratio. Borrower shall not permit the ratio of Unencumbered FC EBITDA for the Calculation Period applicable to the most-recent Calculation Date to that portion of interest expense attributable to Total Unsecured Indebtedness outstanding during the Calculation Period applicable to such Calculation Date to be less than 1.50:1.00. (g) Dividends and Distributions. Borrower shall, to the extent an Event of Default exists under the Loan Documents, limit aggregate Restricted Payments to the minimum amount required to cause the Parent to maintain its REIT status; provided, however that if an Event of Default resulting from nonpayment or bankruptcy exists, or if the Borrower’s obligations under this Agreement have been accelerated, the Borrower shall not make any Restricted Payments. 7.12. Organizational Documents; Ownership of Subsidiaries. Permit any Loan Party to (a) amend, modify, waive or change its Organization Documents in a manner materially adverse to the Lenders, or (b) create, acquire or permit to exist or permit or cause any of their Subsidiaries to create, acquire or permit to exist, any Foreign Subsidiaries (other than Canadian Subsidiaries).


 
82 7.13. Negative Pledges. Enter into, assume or become subject to any Negative Pledge, other than Negative Pledges entered into in connection with Indebtedness that is otherwise permitted pursuant to Section 7.11 hereof, relating only to the properties or assets constructed or acquired in connection with such Indebtedness. Notwithstanding anything contained herein, this provision shall not be deemed to prohibit or restrict the Borrower’s ability to enter into Indebtedness that limits the Borrower’s ability to enter into Negative Pledges in a manner identical to, or no more restrictive than, this Section 7.13. 7.14. Sale Leasebacks. Except as could not reasonably be expected to have a Material Adverse Effect, directly or indirectly, become or remain liable as lessee or as guarantor or other surety with respect to any lease, whether an operating lease or a capital lease, of any property (whether real or personal or mixed), whether now owned or hereafter acquired, (a) which such Person has sold or transferred or is to sell or transfer to a Person which is not a Consolidated Party or (b) which such Person intends to use for substantially the same purpose as any other property which has been sold or is to be sold or transferred by such Person to another Person which is not a Consolidated Party in connection with such lease. 7.15. Prepayments of Indebtedness. If any Event of Default has occurred and is continuing or would be directly or indirectly caused as a result thereof, after the issuance thereof, amend or modify (or permit the amendment or modification of) any of the terms of any Indebtedness of such Person if such amendment or modification would add or change any terms in a manner that would have a Material Adverse Effect. 7.16. Anti-Corruption Laws; Sanctions. Directly or indirectly, use the proceeds of any Credit Extension, or lend, contribute or otherwise make available such proceeds to any Subsidiary, joint venture partner or other individual or entity, to fund any activities of or business with any individual or entity, or in any Designated Jurisdiction, that, at the time of such funding, is the subject of Sanctions, or in any other manner that will result in a violation by any individual or entity (including any individual or entity participating in the transaction, whether as Lender, Arranger, Administrative Agent, L/C Issuer, or otherwise) of Sanctions. ARTICLE VIII EVENTS OF DEFAULT AND REMEDIES 8.01. Events of Default. Any of the following shall constitute an Event of Default: (a) Non-Payment. The Borrower or any other Loan Party fails to pay (i) when and as required to be paid herein, and in the currency required hereunder, any amount of principal of any Loan or any L/C Obligation, or (ii) within three (3) days after the same becomes due, any interest on any Loan or on any L/C Obligation, or any fee due hereunder, or (iii) within five (5) Business Days after written notice from Administrative Agent that the same has become due and payable, any other amount payable hereunder or under any other Loan Document; or (b) Specific Covenants. The Borrower fails to perform or observe any term, covenant or agreement contained in any of Section 6.01, 6.02, 6.03 (other than 6.03(a)), 6.05, 6.07, 6.11 or 6.14 or Article VII (other than Section 7.09) or the Guaranty given by any Guarantor or any provision thereof shall cease to be in full force and effect (other than as a result of a release of the applicable Guarantor in accordance with the terms and conditions hereof), or any Guarantor or any Person acting by or on behalf of such Guarantor shall deny or disaffirm, in writing, such Guarantor’s obligations under such Guaranty; or (c) Other Defaults. Any Loan Party fails to perform or observe any other covenant or agreement (not specified in subsection (a) or (b) above) contained herein or in any other Loan Document on its part to be performed or observed and is not cured within any notice, grace and/or cure period provided for herein or in such Loan Document or, if no such notice, grace and/or cure period is provided for, such failure continues for thirty (30) days after the earlier of the date on which any Responsible Officer of a Loan Party obtains knowledge thereof and the delivery of written notice thereof from Administrative Agent or fails to perform or observe any other covenant or agreement in any other Loan Document within the grace or cure period provided for therein (or, if no such grace or cure period is specified, within thirty (30) days after the earlier of the date on which a Loan Party obtains knowledge thereof and the delivery of written notice thereof from Administrative Agent), provided that in the case of any such default which is susceptible to cure but cannot be cured within thirty (30) days through the exercise of reasonable diligence, if such Loan Party commences such cure within the initial thirty (30) days period and thereafter diligently prosecutes same


 
83 to completion, such period of thirty (30) days shall be extended for such additional period of time as may be reasonably necessary to cure same, but in no event shall such extended period exceed sixty (60) additional days; or (d) Representations and Warranties. Any representation or warranty made or explicitly deemed made by or on behalf of any Loan Party in or in connection with this Agreement or any other Loan Document or any amendment or modification hereof or thereof, or in any report, certificate, financial statement or other document furnished pursuant to or in connection with this Agreement or any other Loan Document or any amendment or modification hereof or thereof, shall prove to have been incorrect in any material respect when made or deemed made; and the adverse effect of the inaccuracy of such representation or warranty shall not have been cured within thirty (30) days after the date Administrative Agent notifies such Loan Party of such inaccuracy; or (e) Cross-Default. (i) The Borrower or any Subsidiary (A) fails to make any payment prior to the delinquency thereof (whether as a result of scheduled maturity, required prepayment, acceleration, demand, or otherwise) in respect of any Indebtedness or Guarantee (other than Indebtedness hereunder and Indebtedness under Swap Contracts) having an aggregate outstanding principal amount (including amounts owing to all creditors under any combined or syndicated credit arrangement) of more than the Threshold Amount (determined as set forth in the definition of Threshold Amount), or (B) fails to observe or perform, beyond any applicable notice and cure periods, any other material agreement or condition relating to any such Indebtedness or Guarantee (determined as set forth in the definition of Threshold Amount) or contained in any instrument or agreement evidencing, securing or relating thereto, or any other event occurs, the effect of which default or other event is to cause, or to permit the holder or holders of such Indebtedness or the beneficiary or beneficiaries of such Guarantee (or a trustee or agent on behalf of such holder or holders or beneficiary or beneficiaries) to cause, with the giving of notice if required, such Indebtedness to be demanded or to become due or to be repurchased, prepaid, defeased or redeemed (automatically or otherwise), or an offer to repurchase, prepay, defease or redeem such Indebtedness to be made, prior to its stated maturity, or such Guarantee to become payable or cash collateral in respect thereof to be demanded; and/or (ii) there occurs under any Swap Contract an Early Termination Date (as defined in such Swap Contract) resulting from (A) any event of default under such Swap Contract as to which the Borrower or any Subsidiary is the Defaulting Party (as defined in such Swap Contract) or (B) any Termination Event (as so defined) under such Swap Contract as to which the Borrower or any Subsidiary is an Affected Party (as so defined) and, in either event, the Swap Termination Value owed by the Borrower or such Subsidiary as a result thereof is greater than the Threshold Amount (determined as set forth in the definition of Threshold Amount); or (f) Insolvency Proceedings, Etc. Any Loan Party institutes or consents, in writing, to the institution of any proceeding under any Debtor Relief Law, or makes an assignment for the benefit of creditors; or applies for or consents, in writing, to the appointment of any receiver, trustee, custodian, conservator, liquidator, rehabilitator or similar officer for it or for all or any material part of its property; or any receiver, trustee, custodian, conservator, liquidator, rehabilitator or similar officer is appointed without the application or consent of such Person and the appointment continues undischarged or unstayed for 60 calendar days; or any proceeding under any Debtor Relief Law relating to any such Person or to all or any material part of its property is instituted without the consent of such Person and continues undismissed or unstayed for 60 calendar days, or an order for relief is entered in any such proceeding; or (g) Inability to Pay Debts; Attachment. (i) Any Loan Party becomes unable or admits in writing its inability or fails generally to pay its debts as they become due, or (ii) any writ or warrant of attachment or execution or similar process is issued or levied against all or any material part of the property of any such Person and is not released, vacated or fully bonded within 30 days after its issue or levy; or (h) Judgments. There is entered against any Loan Party (i) a final judgment or order for the payment of money in an aggregate amount exceeding the Threshold Amount (to the extent not covered by independent third-party insurance as to which the insurer does not dispute coverage), or (ii) any one or more non-monetary final judgments that have, or could reasonably be expected to have, individually or in the aggregate, a Material Adverse Effect and, in either case, (A) enforcement proceedings are commenced by any creditor upon such judgment or order, or (B) there is a period of thirty (30) consecutive days during which a stay of enforcement of such judgment, by reason of a pending appeal or otherwise, is not in effect; or


 
84 (i) ERISA. (i) An ERISA Event occurs with respect to a Pension Plan or Multiemployer Plan which has resulted or could reasonably be expected to result in liability of the Borrower under Title IV of ERISA to the Pension Plan, Multiemployer Plan or the PBGC in an aggregate amount in excess of the Threshold Amount, or (ii) the Borrower or any ERISA Affiliate fails to pay when due, after the expiration of any applicable grace period, any installment payment with respect to its withdrawal liability under Section 4201 of ERISA under a Multiemployer Plan in an aggregate amount in excess of the Threshold Amount; or (j) Invalidity of Loan Documents. Any material provision of any Loan Document, at any time after its execution and delivery and for any reason other than in accordance with the terms hereof or thereof, or satisfaction in full of all the Obligations, is revoked, terminated, canceled or rescinded, without the prior written approval of Administrative Agent; or any Loan Party commences any legal proceeding at law or in equity to contest, or make unenforceable, cancel, revoke or rescind any of the Loan Documents, or any court or any other governmental or regulatory agency of competent jurisdiction shall make a determination that, or issue a judgment, order, decree or ruling to the effect that, any one or more of the Loan Documents is illegal, invalid or unenforceable as to any material terms thereof; or (k) Change of Control. There occurs any Change of Control without the consent of the Administrative Agent and the Required Lenders. 8.02. Remedies Upon Event of Default. If any Event of Default occurs and is continuing, the Administrative Agent shall, at the request of, or may, with the consent of, the Required Lenders, take any or all of the following actions: (a) declare the commitment of each Lender to make Loans and any obligation of the L/C Issuer to make L/C Credit Extensions to be terminated, whereupon such commitments and obligation shall be terminated; (b) declare the unpaid principal amount of all outstanding Loans, all interest accrued and unpaid thereon, and all other amounts owing or payable hereunder or under any other Loan Document to be immediately due and payable, without presentment, demand, protest or other notice of any kind, all of which are hereby expressly waived by the Borrower; (c) require that the Borrower Cash Collateralize the L/C Obligations (in an amount equal to the Minimum Collateral Amount with respect thereto). (d) exercise on behalf of itself, the Lenders and the L/C Issuer all rights and remedies available to it, the Lenders and the L/C Issuer under the Loan Documents; provided, however, that upon the occurrence of an actual or deemed entry of an order for relief with respect to the Borrower under the Bankruptcy Code of the United States, the obligation of each Lender to make Loans and any obligation of the L/C Issuer to make L/C Credit Extensions shall automatically terminate, the unpaid principal amount of all outstanding Loans and all interest and other amounts as aforesaid shall automatically become due and payable, and the obligation of the Borrower to Cash Collateralize the L/C Obligations as aforesaid shall automatically become effective, in each case without further act of the Administrative Agent or any Lender. 8.03. Application of Funds. After the exercise of remedies provided for in Section 8.02 (or after the Loans have automatically become immediately due and payable and the L/C Obligations have automatically been required to be Cash Collateralized as set forth in the proviso to Section 8.02), any amounts received on account of the Obligations shall, subject to the provisions of Sections 2.17 and 2.18, be applied by the Administrative Agent in the following order: First, to payment of that portion of the Obligations constituting fees, indemnities, expenses and other amounts (including fees, charges and disbursements of counsel to the Administrative Agent and amounts payable under Article III) payable to the Administrative Agent in its capacity as such;


 
85 Second, to payment of that portion of the Obligations constituting fees, indemnities and other amounts (other than principal and interest) payable to the Lenders (including fees, charges and disbursements of counsel to the respective Lenders (including fees and time charges for attorneys who may be employees of any Lender) and amounts payable under Article III), ratably among them in proportion to the respective amounts described in this clause Second payable to them; Third, to payment of that portion of the Obligations constituting accrued and unpaid Letter of Credit Fees and interest on the Loans, L/C Borrowings and other Obligations, ratably among the Lenders and the L/C Issuer in proportion to the respective amounts described in this clause Third payable to them; Fourth, to payment of that portion of the Obligations constituting unpaid principal of the Loans and L/C Borrowings, ratably among the Lenders and the L/C Issuer in proportion to the respective amounts described in this clause Fourth held by them; Fifth, to the Administrative Agent for the account of the L/C Issuer, to Cash Collateralize that portion of L/C Obligations comprised of the aggregate undrawn amount of Letters of Credit to the extent not otherwise Cash Collateralized by the Borrower pursuant to Sections 2.04 and 2.17; and Last, the balance, if any, after all of the Obligations have been indefeasibly paid in full, to the Borrower or as otherwise required by Law. Subject to Sections 2.04(c) and 2.17, amounts used to Cash Collateralize the aggregate undrawn amount of Letters of Credit pursuant to clause Fifth above shall be applied to satisfy drawings under such Letters of Credit as they occur. If any amount remains on deposit as Cash Collateral after all Letters of Credit have either been fully drawn or expired, such remaining amount shall be applied to the other Obligations, if any, in the order set forth above. Excluded Swap Obligations with respect to any Guarantor shall not be paid with amounts received from such Guarantor or from such Guarantor’s assets, but appropriate adjustments shall be made with respect to payments from other Loan Parties to preserve the allocation to Obligations otherwise set forth above in this Section. ARTICLE IX ADMINISTRATIVE AGENT 9.01. Appointment and Authority . Each of the Lenders and the L/C Issuer hereby irrevocably appoints Bank of America to act on its behalf as the Administrative Agent hereunder and under the other Loan Documents and authorizes the Administrative Agent to take such actions on its behalf and to exercise such powers as are delegated to the Administrative Agent by the terms hereof or thereof, together with such actions and powers as are reasonably incidental thereto. The provisions of this Article are solely for the benefit of the Administrative Agent, the Lenders and the L/C Issuer, and neither the Borrower nor any other Loan Party shall have rights as a third party beneficiary of any of such provisions. It is understood and agreed that the use of the term “agent” herein or in any other Loan Documents (or any other similar term) with reference to the Administrative Agent is not intended to connote any fiduciary or other implied (or express) obligations arising under agency doctrine of any applicable Law. Instead such term is used as a matter of market custom, and is intended to create or reflect only an administrative relationship between contracting parties. 9.02. Rights as a Lender. The Person serving as the Administrative Agent hereunder shall have the same rights and powers in its capacity as a Lender as any other Lender and may exercise the same as though it were not the Administrative Agent and the term “Lender” or “Lenders” shall, unless otherwise expressly indicated or unless the context otherwise requires, include the Person serving as the Administrative Agent hereunder in its individual capacity. Such Person and its Affiliates may accept deposits from, lend money to, own securities of, act as the financial advisor or in any other advisory capacity for and generally engage in any kind banking, trust, financial, advisory, underwriting or other of business with any Loan Party or any Subsidiary or other Affiliate thereof as if such Person were not the Administrative Agent hereunder and without any duty to account therefor to the Lenders or to provide notice or consent of the Lenders with respect thereto.


 
86 9.03. Exculpatory Provisions. The Administrative Agent shall not have any duties or obligations except those expressly set forth herein and in the other Loan Documents, and its duties hereunder shall be administrative in nature. Without limiting the generality of the foregoing, the Administrative Agent: (a) shall not be subject to any fiduciary or other implied duties, regardless of whether a Default has occurred and is continuing; (b) shall not have any duty to take any discretionary action or exercise any discretionary powers, except discretionary rights and powers expressly contemplated hereby or by the other Loan Documents that the Administrative Agent is required to exercise as directed in writing by the Required Lenders (or such other number or percentage of the Lenders as shall be expressly provided for herein or in the other Loan Documents), provided that the Administrative Agent shall not be required to take any action that, in its opinion or the opinion of its counsel, may expose the Administrative Agent to liability or that is contrary to any Loan Document or applicable law, including for the avoidance of doubt any action that may be in violation of the automatic stay under any Debtor Relief Law or that may effect a forfeiture, modification or termination of property of a Defaulting Lender in violation of any Debtor Relief Law; (c) shall not, except as expressly set forth herein and in the other Loan Documents, have any duty to disclose, and shall not be liable for the failure to disclose, any information relating to any of the Borrower or any of its Affiliates that is communicated to or obtained by the Person serving as the Administrative Agent or any of its Affiliates in any capacity; (d) shall not be liable for any action taken or not taken by it (i) with the consent or at the request of the Required Lenders (or such other number or percentage of the Lenders as shall be necessary, or as the Administrative Agent shall believe in good faith shall be necessary, under the circumstances as provided in Sections 10.01 and 8.02) or (ii) in the absence of its own gross negligence or willful misconduct as determined by a court of competent jurisdiction by final and nonappealable judgment. The Administrative Agent shall be deemed not to have knowledge of any Default unless and until notice describing such Default is given in writing to the Administrative Agent by the Borrower, a Lender or the L/C Issuer; and (e) shall not be responsible for or have any duty to ascertain or inquire into (i) any statement, warranty or representation made in or in connection with this Agreement or any other Loan Document, (ii) the contents of any certificate, report or other document delivered hereunder or thereunder or in connection herewith or therewith, (iii) the performance or observance of any of the covenants, agreements or other terms or conditions set forth herein or therein or the occurrence of any Default, (iv) the validity, enforceability, effectiveness or genuineness of this Agreement, any other Loan Document or any other agreement, instrument or document or (v) the satisfaction of any condition set forth in Article IV or elsewhere herein, other than to confirm receipt of items expressly required to be delivered to the Administrative Agent. 9.04. Reliance by Administrative Agent. The Administrative Agent shall be entitled to rely upon, and shall not incur any liability for relying upon, any notice, request, certificate, consent, statement, instrument, document or other writing (including any electronic message, Internet or intranet website posting or other distribution) believed by it to be genuine and to have been signed, sent or otherwise authenticated by the proper Person. The Administrative Agent also may rely upon any statement made to it orally or by telephone and believed by it to have been made by the proper Person, and shall not incur any liability for relying thereon. In determining compliance with any condition hereunder to the making of a Loan, or the issuance, extension, renewal or increase of a Letter of Credit, that by its terms must be fulfilled to the satisfaction of a Lender or the L/C Issuer, the Administrative Agent may presume that such condition is satisfactory to such Lender or the L/C Issuer unless the Administrative Agent shall have received notice to the contrary from such Lender or the L/C Issuer prior to the making of such Loan or the issuance of such Letter of Credit. The Administrative Agent may consult with legal counsel (who may be counsel for the Borrower), independent accountants and other experts selected by it, and shall not be liable for any action taken or not taken by it in accordance with the advice of any such counsel, accountants or experts. 9.05. Delegation of Duties. The Administrative Agent may perform any and all of its duties and exercise its rights and powers hereunder or under any other Loan Document by or through any one or more sub-agents appointed by the Administrative Agent. The Administrative Agent and any such sub-agent may perform any and all


 
87 of its duties and exercise its rights and powers by or through their respective Related Parties. The exculpatory provisions of this Article shall apply to any such sub-agent and to the Related Parties of the Administrative Agent and any such sub-agent, and shall apply to their respective activities in connection with the syndication of the credit facilities provided for herein as well as activities as Administrative Agent. The Administrative Agent shall not be responsible for the negligence or misconduct of any sub-agents except to the extent that a court of competent jurisdiction determines in a final and non-appealable judgment that the Administrative Agent acted with gross negligence or willful misconduct in the selection of such sub-agents. 9.06. Resignation or Removal of Administrative Agent. (a) The Administrative Agent may at any time give notice of its resignation to the Lenders, the L/C Issuer and the Borrower. Upon receipt of any such notice of resignation, the Required Lenders shall have the right, in consultation with the Borrower, to appoint a successor, which shall be a bank with an office in the United States, or an Affiliate of any such bank with an office in the United States. If no such successor shall have been so appointed by the Required Lenders and shall have accepted such appointment within 30 days after the retiring Administrative Agent gives notice of its resignation (or such earlier day as shall be agreed by the Required Lenders) (the “Resignation Effective Date”), then the retiring Administrative Agent may (but shall not be obligated to) on behalf of the Lenders and the L/C Issuer, appoint a successor Administrative Agent meeting the qualifications set forth above, provided that in no event shall any such successor Administrative Agent be a Defaulting Lender. Whether or not a successor has been appointed, such resignation shall become effective in accordance with such notice on the Resignation Effective Date. (b) The Administrative Agent may be removed as Administrative Agent by the Required Lenders and, provided no Event of Default exists, the Borrower, upon thirty (30) days’ prior written notice if the Administrative Agent is a Defaulting Lender pursuant to clause (d) of the definition thereof. Upon any such removal, the Required Lenders shall have the right to appoint a successor Administrative Agent which appointment shall, provided no Event of Default exists, be subject to the Borrower’s approval, which approval shall not be unreasonably withheld or delayed to the extent the proposed successor Administrative Agent is a Syndication Agent hereunder and which approval may otherwise be withheld in the discretion of the Borrower. Upon the acceptance of a successor’s appointment as Administrative Agent hereunder, such successor shall succeed to and become vested with all of the rights, powers, privileges and duties of the removed Administrative Agent, and the removed Administrative Agent shall be discharged from all of its duties and obligations hereunder or under the other Loan Documents first arising from and after the date of such termination. If no such successor shall have been so appointed by the Required Lenders and shall have accepted such appointment within 30 days (or such earlier day as shall be agreed by the Required Lenders) (the “Removal Effective Date”), then such removal shall nonetheless become effective in accordance with such notice on the Removal Effective Date. (c) With effect from the Resignation Effective Date or the Removal Effective Date (as applicable) (1) the retiring or removed Administrative Agent shall be discharged from its duties and obligations hereunder and under the other Loan Documents (except that in the case of any collateral security held by the Administrative Agent on behalf of the Lenders or the L/C Issuer under any of the Loan Documents, the retiring or removed Administrative Agent shall continue to hold such collateral security until such time as a successor Administrative Agent is appointed) and (2) except for any indemnity payments or other amounts then owed to the retiring or removed Administrative Agent, all payments, communications and determinations provided to be made by, to or through the Administrative Agent shall instead be made by or to each Lender and the L/C Issuer directly, until such time, if any, as the Required Lenders appoint a successor Administrative Agent as provided for above. Upon the acceptance of a successor’s appointment as Administrative Agent hereunder, such successor shall succeed to and become vested with all of the rights, powers, privileges and duties of the retiring (or removed) Administrative Agent (other than as provided in Section 3.01(g) and other than any rights to indemnity payments or other amounts owed to the retiring or removed Administrative Agent as of the Resignation Effective Date or the Removal Effective Date, as applicable), and the retiring or removed Administrative Agent shall be discharged from all of its duties and obligations hereunder or under the other Loan Documents (if not already discharged therefrom as provided above in this Section). The fees payable by the Borrower to a successor Administrative Agent shall be the same as those payable to its predecessor unless otherwise agreed between the Borrower and such successor. After the retiring or removed Administrative Agent’s resignation or removal hereunder and under the other Loan Documents, the provisions of this Article and Section 10.04 shall continue in effect for the benefit of such retiring or removed Administrative Agent, its sub agents and their


 
88 respective Related Parties in respect of any actions taken or omitted to be taken by any of them (i) while the retiring or removed Administrative Agent was acting as Administrative Agent and (ii) after such resignation or removal for as long as any of them continues to act in any capacity hereunder or under the other Loan Documents, including (a) acting as collateral agent or otherwise holding any collateral security on behalf of any of the Lenders and (b) in respect of any actions taken in connection with transferring the agency to any successor Administrative Agent. (d) Any resignation by Bank of America as Administrative Agent pursuant to this Section shall also constitute its resignation as L/C Issuer. If Bank of America resigns as an L/C Issuer, it shall retain all the rights, powers, privileges and duties of the L/C Issuer hereunder with respect to all Letters of Credit outstanding as of the effective date of its resignation as L/C Issuer and all L/C Obligations with respect thereto, including the right to require the Lenders to make Base Rate Loans or fund risk participations in Unreimbursed Amounts pursuant to Section 2.04(c). Upon the appointment by the Borrower of a successor L/C Issuer hereunder (which successor shall in all cases be a Lender other than a Defaulting Lender), (a) such successor shall succeed to and become vested with all of the rights, powers, privileges and duties of the retiring L/C Issuer, (b) the retiring L/C Issuer shall be discharged from all of their respective duties and obligations hereunder or under the other Loan Documents, and (c) the successor L/C Issuer shall issue letters of credit in substitution for the Letters of Credit, if any, outstanding at the time of such succession or make other arrangements satisfactory to the retiring L/C Issuer to effectively assume the obligations of the retiring L/C Issuer with respect to such Letters of Credit. 9.07. Non-Reliance on Administrative Agent and Other Lenders. Each Lender and the L/C Issuer expressly acknowledges that none of the Administrative Agent nor the Arranger has made any representation or warranty to it, and that no act by the Administrative Agent or the Arranger hereafter taken, including any consent to, and acceptance of any assignment or review of the affairs of any Loan Party of any Affiliate thereof, shall be deemed to constitute any representation or warranty by the Administrative Agent or the Arranger to any Lender or the L/C Issuer as to any matter, including whether the Administrative Agent or the Arranger have disclosed material information in their (or their Related Parties’) possession. Each Lender and the L/C Issuer represents to the Administrative Agent and the Arranger that it has, independently and without reliance upon the Administrative Agent, the Arranger, any other Lender or any of their Related Parties and based on such documents and information as it has deemed appropriate, made its own credit analysis of, appraisal of, and investigation into, the business, prospects, operations, property, financial and other condition and creditworthiness of the Loan Parties and their Subsidiaries, and all applicable bank or other regulatory Laws relating to the transactions contemplated hereby, and made its own decision to enter into this Agreement and to extend credit to the Borrowers hereunder. Each Lender and the L/C Issuer also acknowledges that it will, independently and without reliance upon the Administrative Agent, the Arranger, any other Lender or any of their Related Parties and based on such documents and information as it shall from time to time deem appropriate, continue to make its own credit analysis, appraisals and decisions in taking or not taking action under or based upon this Agreement, any other Loan Document or any related agreement or any document furnished hereunder or thereunder, and to make such investigations as it deems necessary to inform itself as to the business, prospects, operations, property, financial and other condition and creditworthiness of the Loan Parties. Each Lender and the L/C Issuer represents and warrants that (i) the Loan Documents set forth the terms of a commercial lending facility and (ii) it is engaged in making, acquiring or holding commercial loans in the ordinary course and is entering into this Agreement as a Lender or L/C Issuer for the purpose of making, acquiring or holding commercial loans and providing other facilities set forth herein as may be applicable to such Lender or L/C Issuer, and not for the purpose of purchasing, acquiring or holding any other type of financial instrument, and each Lender and the L/C Issuer agrees not to assert a claim in contravention of the foregoing. Each Lender and the L/C Issuer represents and warrants that it is sophisticated with respect to decisions to make, acquire and/or hold commercial loans and to provide other facilities set forth herein, as may be applicable to such Lender or such L/C Issuer, and either it, or the Person exercising discretion in making its decision to make, acquire and/or hold such commercial loans or to provide such other facilities, is experienced in making, acquiring or holding such commercial loans or providing such other facilities. 9.08. No Other Duties, Etc. Anything herein to the contrary notwithstanding, none of the Bookrunner(s), Arranger(s), Syndication Agent(s), Documentation Agent(s) or other titles as necessary listed on the cover page hereof shall have any powers, duties or responsibilities under this Agreement or any of the other Loan Documents, except in its capacity, as applicable, as the Administrative Agent, a Lender or the L/C Issuer hereunder. 9.09. Administrative Agent May File Proofs of Claim. In case of the pendency of any proceeding under any Debtor Relief Law or any other judicial proceeding relative to any Loan Party, the Administrative Agent


 
89 (irrespective of whether the principal of any Loan or L/C Obligation shall then be due and payable as herein expressed or by declaration or otherwise and irrespective of whether the Administrative Agent shall have made any demand on the Borrower) shall be entitled and empowered, by intervention in such proceeding or otherwise (a) to file and prove a claim for the whole amount of the principal and interest owing and unpaid in respect of the Loans, L/C Obligations and all other Obligations that are owing and unpaid and to file such other documents as may be necessary or advisable in order to have the claims of the Lenders, the L/C Issuer and the Administrative Agent (including any claim for the reasonable compensation, expenses, disbursements and advances of the Lenders, the L/C Issuer and the Administrative Agent and their respective agents and counsel and all other amounts due the Lenders, the L/C Issuer and the Administrative Agent under Sections 2.04(h) and (i), 2.10 and 10.04) allowed in such judicial proceeding; and (b) to collect and receive any monies or other property payable or deliverable on any such claims and to distribute the same; and any custodian, receiver, assignee, trustee, liquidator, sequestrator or other similar official in any such judicial proceeding is hereby authorized by each Lender and the L/C Issuer to make such payments to the Administrative Agent and, in the event that the Administrative Agent shall consent to the making of such payments directly to the Lenders and the L/C Issuer, to pay to the Administrative Agent any amount due for the reasonable compensation, expenses, disbursements and advances of the Administrative Agent and its agents and counsel, and any other amounts due the Administrative Agent under Sections 2.10 and 10.04. Nothing contained herein shall be deemed to authorize the Administrative Agent to authorize or consent to or accept or adopt on behalf of any Lender or the L/C Issuer any plan of reorganization, arrangement, adjustment or composition affecting the Obligations or the rights of any Lender or the L/C Issuer to authorize the Administrative Agent to vote in respect of the claim of any Lender or the L/C Issuer in any such proceeding. 9.10. ERISA Matters. (a) Each Lender (x) represents and warrants, as of the date such Person became a Lender party hereto, to, and (y) covenants, from the date such Person became a Lender party hereto to the date such Person ceases being a Lender party hereto, for the benefit of, the Administrative Agent, the Arranger, and their respective Affiliates, and not, for the avoidance of doubt, to or for the benefit of the Borrower or any other Loan Party, that at least one of the following is and will be true: (i) such Lender is not using “plan assets” (within the meaning of Section 3(42) of ERISA or otherwise) of one or more Benefit Plans with respect to such Lender’s entrance into, participation in, administration of and performance of the Loans, the Letters of Credit, the Commitments or this Agreement, (ii) the transaction exemption set forth in one or more PTEs, such as PTE 84-14 (a class exemption for certain transactions determined by independent qualified professional asset managers), PTE 95-60 (a class exemption for certain transactions involving insurance company general accounts), PTE 90-1 (a class exemption for certain transactions involving insurance company pooled separate accounts), PTE 91- 38 (a class exemption for certain transactions involving bank collective investment funds) or PTE 96-23 (a class exemption for certain transactions determined by in-house asset managers), is applicable with respect to such Lender’s entrance into, participation in, administration of and performance of the Loans, the Letters of Credit, the Commitments and this Agreement, (iii) (A) such Lender is an investment fund managed by a “Qualified Professional Asset Manager” (within the meaning of Part VI of PTE 84-14), (B) such Qualified Professional Asset Manager made the investment decision on behalf of such Lender to enter into, participate in, administer and perform the Loans, the Letters of Credit, the Commitments and this Agreement, (C) the entrance into, participation in, administration of and performance of the Loans, the Letters of Credit, the Commitments and this Agreement satisfies the requirements of sub-sections (b) through (g) of Part I of PTE 84-14 and (D) to the best knowledge of such Lender, the requirements of subsection (a) of Part I of PTE 84-14 are satisfied with


 
90 respect to such Lender’s entrance into, participation in, administration of and performance of the Loans, the Letters of Credit, the Commitments and this Agreement, or (iv) such other representation, warranty and covenant as may be agreed in writing between the Administrative Agent, in its sole discretion, and such Lender. (b) In addition, unless either (1) sub-clause (i) in the immediately preceding clause (a) is true with respect to a Lender or (2) a Lender has provided another representation, warranty and covenant in accordance with sub-clause (iv) in the immediately preceding clause (a), such Lender further (x) represents and warrants, as of the date such Person became a Lender party hereto, to, and (y) covenants, from the date such Person became a Lender party hereto to the date such Person ceases being a Lender party hereto, for the benefit of, the Administrative Agent, the Arranger, and their respective Affiliates, and not, for the avoidance of doubt, to or for the benefit of the Borrower or any other Loan Party, that neither the Administrative Agent, the Arranger, nor any of their respective Affiliates is a fiduciary with respect to the assets of such Lender involved in such Lender’s entrance into, participation in, administration of and performance of the Loans, the Letters of Credit, the Commitments and this Agreement (including in connection with the reservation or exercise of any rights by the Administrative Agent under this Agreement, any Loan Document or any documents related hereto or thereto). 9.11. Guaranty Matters. The Lenders and L/C Issuer irrevocably authorize the Administrative Agent to release any Guarantor from its obligations hereunder and under each of the other Loan Documents (a) to the extent such release is requested by such Guarantor and the Borrower in accordance the provisions set forth in Section 6.12(b) hereof and upon the satisfaction of the conditions set forth in such Section 6.12(b) (as reasonably determined by the Administrative Agent) or (b) if such Guarantor ceases to meet the requirements of the definition of Subsidiary Guarantor as a result of a transaction permitted hereunder. Upon request by the Administrative Agent at any time, the Lenders will confirm in writing the Administrative Agent’s authority to grant releases and terminations pursuant to this Section 9.10. Further, the Administrative Agent is hereby authorized by the Lenders, upon the request of any Guarantor released pursuant to Section 6.12(b) hereof, to execute and deliver to such Guarantor a document (in form and substance acceptable to the Administrative Agent) evidencing such release. 9.12. Recovery of Erroneous Payments. Without limitation of any other provision in this Agreement, if at any time the Administrative Agent makes a payment hereunder in error to any Lender Recipient Party, whether or not in respect of an Obligation due and owing by any Borrower at such time, where such payment is a Rescindable Amount, then in any such event, each Lender Recipient Party receiving a Rescindable Amount severally agrees to repay to the Administrative Agent, within two (2) Business Days of written demand for same, the Rescindable Amount received by such Lender Recipient Party in Same Day Funds in the currency so received, with interest thereon, for each day from and including the date such Rescindable Amount is received by it to but excluding the date of payment to the Administrative Agent, at the greater of the Federal Funds Rate and a rate determined by the Administrative Agent in accordance with banking industry rules on interbank compensation. Each Lender Recipient Party irrevocably waives any and all defenses, including any “discharge for value” (under which a creditor might otherwise claim a right to retain funds mistakenly paid by a third party in respect of a debt owed by another) or similar defense to its obligation to return any Rescindable Amount. The Administrative Agent shall inform each Lender Recipient Party promptly upon determining that any payment made to such Lender Recipient Party comprised, in whole or in part, a Rescindable Amount. ARTICLE X MISCELLANEOUS 10.01. Amendments, Etc. Except as provided in this Agreement and in the other Loan Documents (including with respect to matters requiring action of the Administrative Agent only), no amendment or waiver of any provision of this Agreement or any other Loan Document, and no consent to any departure by the Borrower or any other Loan Party therefrom, shall be effective unless in writing signed by the Required Lenders and the Borrower or the applicable Loan Party, as the case may be, and acknowledged by the Administrative Agent, and each such waiver or consent shall be effective only in the specific instance and for the specific purpose for which given; provided, however, that no such amendment, waiver or consent shall: (a) waive any condition set forth in Section 4.01(a) without the written consent of each Lender;


 
91 (b) extend or increase the Commitment of any Lender (or reinstate any Commitment terminated pursuant to Section 8.02) without the written consent of such Lender; (c) postpone any date fixed by this Agreement or any other Loan Document for any payment or mandatory prepayment of principal, interest, fees or other amounts due to the Lenders (or any of them) hereunder or under any other Loan Document without the written consent of each Lender directly affected thereby; (d) reduce the principal of, or the rate of interest specified herein on, any Loan or L/C Borrowing, or (subject to clause (iv) of the second proviso to this Section 10.01) any fees or other amounts payable hereunder or under any other Loan Document without the written consent of each Lender directly affected thereby; provided, however, that only the consent of the Required Lenders shall be necessary (i) to amend the definition of “Default Rate” or to waive any obligation of the Borrower to pay interest or Letter of Credit Fees at the Default Rate; (e) change the 5th sentence of Section 2.13(a), or any of Section 2.13(f), Section 2.14 or Section 8.03, in a manner that would alter the pro rata sharing of payments required thereby without the written consent of each Lender; (f) amend Section 1.05 or the definition of “Alternative Currency” without the written consent of each Lender; (g) change any provision of this Section or the definition of “Required Lenders” or any other provision hereof specifying the number or percentage of Lenders required to amend, waive or otherwise modify any rights hereunder or make any determination or grant any consent hereunder, without the written consent of each Lender; or (h) release all or substantially all of the value of the Guaranty without the written consent of each Lender, except to the extent the release of any Guarantor is permitted pursuant to Section 9.10 (in which case such release may be made by the Administrative Agent acting alone); and, provided further, that (i) no amendment, waiver or consent shall, unless in writing and signed by the L/C Issuer in addition to the Lenders required above, affect the rights or duties of the L/C Issuer under this Agreement or any Issuer Document relating to any Letter of Credit issued or to be issued by it; (ii) [intentionally omitted]; (iii) no amendment, waiver or consent shall, unless in writing and signed by the Administrative Agent in addition to the Lenders required above, affect the rights or duties of the Administrative Agent under this Agreement or any other Loan Document; (iv) the Fee Letters may be amended, or rights or privileges thereunder waived, in a writing executed only by the parties thereto; and (v) unless a Lender shall give written notice to the Administrative Agent that it specifically objects to the recommendation or determination of the Administrative Agent (together with a reasonable written explanation of the reasons behind such objection) within ten (10) Business Days (or such lesser or greater period as may be specifically required under the express terms of the Loan Documents) of receipt of such communication, such Lender shall be deemed to have conclusively approved of or consented to such recommendation or determination; provided, however, that (A) this provision shall not prevent Administrative Agent from requesting a response to any amendment, waiver or modification requests within a shorter time frame and (B) such deemed approval shall not, in any case, apply to any requested increase or extension of a Lender’s Commitment (for which the written approval of each applicable Lender shall be required). Notwithstanding anything to the contrary herein, no Defaulting Lender shall have any right to approve or disapprove any amendment, waiver or consent hereunder (and any amendment, waiver or consent which by its terms requires the consent of all Lenders or each affected Lender may be effected with the consent of the applicable Lenders other than Defaulting Lenders), except that (x) the Commitment of any Defaulting Lender may not be increased or extended without the consent of such Lender and (y) any waiver, amendment or modification requiring the consent of all Lenders or each affected Lender that by its terms affects any Defaulting Lender disproportionately adversely relative to other affected Lenders shall require the consent of such Defaulting Lender. Notwithstanding any provision herein to the contrary, this Agreement may be amended with the written consent of the Required Lenders, the Administrative Agent and the Borrower (i) to add one or more additional revolving credit or term loan facilities to this Agreement and to permit the extensions of credit and all related obligations and liabilities arising in connection therewith from time to time outstanding to share ratably (or on a basis subordinated to the existing facilities hereunder) in the benefits of this Agreement and the other Loan Documents with


 
92 the obligations and liabilities from time to time outstanding in respect of the existing facilities hereunder, and (ii) in connection with the foregoing, to permit, as deemed appropriate by the Administrative Agent and approved by the Required Lenders, the Lenders providing such additional credit facilities to participate in any required vote or action required to be approved by the Required Lenders or by any other number, percentage or class of Lenders hereunder. 10.02. Notices; Effectiveness; Electronic Communication. (a) Notices Generally. Except in the case of notices and other communications expressly permitted to be given by telephone (and except as provided in subsection (b) below), all notices and other communications provided for herein shall be in writing and shall be delivered by hand or overnight courier service, mailed by certified or registered mail or sent by electronic mail or facsimile as follows, and all notices and other communications expressly permitted hereunder to be given by telephone shall be made to the applicable telephone number, as follows: (i) if to the Borrower or any other Loan Party, the Administrative Agent, or the L/C Issuer, to the address, facsimile number, electronic mail address or telephone number specified for such Person on Schedule 10.02; and (ii) if to any other Lender, to the address, facsimile number, electronic mail address or telephone number specified in its Administrative Questionnaire (including, as appropriate, notices delivered solely to the Person designated by a Lender on its Administrative Questionnaire then in effect for the delivery of notices that may contain material non-public information relating to the Borrower). Notices and other communications sent by hand or overnight courier service, or mailed by certified or registered mail, shall be deemed to have been given when received; notices and other communications sent by facsimile shall be deemed to have been given when sent (except that, if not given during normal business hours for the recipient, shall be deemed to have been given at the opening of business on the next Business Day for the recipient). Notices and other communications delivered through electronic communications to the extent provided in subsection (b) below, shall be effective as provided in such subsection (b). (b) Electronic Communications. Notices and other communications to the Lenders and the L/C Issuer hereunder may be delivered or furnished by electronic communication (including e-mail, FpML messaging, and Internet or intranet websites) pursuant to procedures approved by the Administrative Agent, provided that the foregoing shall not apply to notices to any Lender or the L/C Issuer pursuant to Article II if such Lender or the L/C Issuer, as applicable, has notified the Administrative Agent that it is incapable of receiving notices under such Article by electronic communication. The Administrative Agent, the L/C Issuer or the Borrower may each, in its discretion, agree to accept notices and other communications to it hereunder by electronic communications pursuant to procedures approved by it, provided that approval of such procedures may be limited to particular notices or communications. Unless the Administrative Agent otherwise prescribes, (i) notices and other communications sent to an e-mail address shall be deemed received upon the sender’s receipt of an acknowledgement from the intended recipient (such as by the “return receipt requested” function, as available, return e-mail or other written acknowledgement), and (ii) notices or communications posted to an Internet or intranet website shall be deemed received upon the deemed receipt by the intended recipient at its e-mail address as described in the foregoing clause (i) of notification that such notice or communication is available and identifying the website address therefor; provided that, for both clauses (i) and (ii), if such notice, email or other communication is not sent during the normal business hours of the recipient, such notice, email or communication shall be deemed to have been sent at the opening of business on the next business day for the recipient. (c) The Platform. THE PLATFORM IS PROVIDED “AS IS” AND “AS AVAILABLE.” THE AGENT PARTIES (AS DEFINED BELOW) DO NOT WARRANT THE ACCURACY OR COMPLETENESS OF THE BORROWER MATERIALS OR THE ADEQUACY OF THE PLATFORM, AND EXPRESSLY DISCLAIM LIABILITY FOR ERRORS IN OR OMISSIONS FROM THE BORROWER MATERIALS. NO WARRANTY OF ANY KIND, EXPRESS, IMPLIED OR STATUTORY, INCLUDING ANY WARRANTY OF MERCHANTABILITY, FITNESS FOR A PARTICULAR PURPOSE, NON-INFRINGEMENT OF THIRD PARTY RIGHTS OR FREEDOM FROM VIRUSES OR OTHER CODE DEFECTS, IS MADE BY ANY AGENT PARTY IN CONNECTION WITH THE BORROWER MATERIALS OR THE PLATFORM. In no event shall the


 
93 Administrative Agent or any of its Related Parties (collectively, the “Agent Parties”) have any liability to the Borrower, any Lender, the L/C Issuer or any other Person for losses, claims, damages, liabilities or expenses of any kind (whether in tort, contract or otherwise) arising out of the Borrower’s, any Loan Party’s or the Administrative Agent’s transmission of Borrower Materials or notices through the Platform, any other electronic platform or electronic messaging service, or through the Internet, except to the extent that such losses, claims, damages, liabilities or expenses are determined by a court of competent jurisdiction by a final and nonappealable judgment to have resulted from the gross negligence or willful misconduct of such Agent Party; provided, however, that in no event shall any Agent Party have any liability to the Borrower, any Lender, the L/C Issuer or any other Person for indirect, special, incidental, consequential or punitive damages (as opposed to direct or actual damages). (d) Change of Address, Etc. Each of the Borrower, the Administrative Agent, and the L/C Issuer may change its address, facsimile or telephone number for notices and other communications hereunder by notice to the other parties hereto. Each other Lender may change its address, facsimile or telephone number for notices and other communications hereunder by notice to the Borrower, the Administrative Agent, and the L/C Issuer. In addition, each Lender agrees to notify the Administrative Agent from time to time to ensure that the Administrative Agent has on record (i) an effective address, contact name, telephone number, facsimile number and electronic mail address to which notices and other communications may be sent and (ii) accurate wire instructions for such Lender. Furthermore, each Public Lender agrees to cause at least one individual at or on behalf of such Public Lender to at all times have selected the “Private Side Information” or similar designation on the content declaration screen of the Platform in order to enable such Public Lender or its delegate, in accordance with such Public Lender’s compliance procedures and applicable Law, including United States Federal and state securities Laws, to make reference to Borrower Materials that are not made available through the “Public Side Information” portion of the Platform and that may contain material non-public information with respect to the Borrower or its securities for purposes of United States Federal or state securities laws. (e) Reliance by Administrative Agent, L/C Issuer and Lenders. The Administrative Agent, the L/C Issuer and the Lenders shall be entitled to rely and act upon any notices (including telephonic and Committed Loan Notices) purportedly given by or on behalf of the Borrower even if (i) such notices were not made in a manner specified herein, were incomplete or were not preceded or followed by any other form of notice specified herein, or (ii) the terms thereof, as understood by the recipient, varied from any confirmation thereof. The Borrower shall indemnify the Administrative Agent, the L/C Issuer, each Lender and the Related Parties of each of them from all losses, costs, expenses and liabilities resulting from the good faith reliance by such Person on each notice purportedly given by or on behalf of the Borrower, provided, however, that the Borrower shall have no liability hereunder for such indemnified party’s gross negligence or willful misconduct in connection therewith. All telephonic notices to and other telephonic communications with the Administrative Agent may be recorded by the Administrative Agent, and each of the parties hereto hereby consents to such recording. 10.03. No Waiver; Cumulative Remedies; Enforcement. No failure by any Lender or the Administrative Agent to exercise, and no delay by any such Person in exercising, any right, remedy, power or privilege hereunder or under any other Loan Document shall operate as a waiver thereof; nor shall any single or partial exercise of any right, remedy, power or privilege hereunder preclude any other or further exercise thereof or the exercise of any other right, remedy, power or privilege. The rights, remedies, powers and privileges herein provided, and provided under each other Loan Document, are cumulative and not exclusive of any rights, remedies, powers and privileges provided by law. Notwithstanding anything to the contrary contained herein or in any other Loan Document, the authority to enforce rights and remedies hereunder and under the other Loan Documents against the Loan Parties or any of them shall be vested exclusively in, and all actions and proceedings at law in connection with such enforcement shall be instituted and maintained exclusively by, the Administrative Agent in accordance with Section 8.02 for the benefit of all the Lenders and the L/C Issuer; provided, however, that the foregoing shall not prohibit (a) the Administrative Agent from exercising on its own behalf the rights and remedies that inure to its benefit (solely in its capacity as Administrative Agent) hereunder and under the other Loan Documents, (b) the L/C Issuer from exercising the rights and remedies that inure to its benefit (solely in its capacity as L/C Issuer) hereunder and under the other Loan Documents, (c) any Lender from exercising setoff rights in accordance with Section 10.08 (subject to the terms of Section 2.14), or (d) any Lender from filing proofs of claim or appearing and filing pleadings on its own behalf during the pendency of a proceeding relative to any Loan Party under any Debtor Relief Law; and provided, further, that if at any time there is


 
94 no Person acting as Administrative Agent hereunder and under the other Loan Documents, then (i) the Required Lenders shall have the rights otherwise ascribed to the Administrative Agent pursuant to Section 8.02 and (ii) in addition to the matters set forth in clauses (b), (c) and (d) of the preceding proviso and subject to Section 2.14, any Lender may, with the consent of the Required Lenders, enforce any rights and remedies available to it and as authorized by the Required Lenders. 10.04. Expenses; Indemnity; Damage Waiver. (a) Costs and Expenses. The Borrower shall pay (i) all reasonable out-of-pocket expenses incurred by the Administrative Agent and its Affiliates (including the reasonable fees, charges and disbursements of counsel for the Administrative Agent), in connection with the syndication of the credit facilities provided for herein, as separately agreed to in writing, the preparation, negotiation, execution, delivery and administration of this Agreement and the other Loan Documents or any amendments, modifications or waivers of the provisions hereof or thereof (whether or not the transactions contemplated hereby or thereby shall be consummated), (ii) all reasonable out-of-pocket expenses incurred by the L/C Issuer in connection with the issuance, amendment, renewal or extension of any Letter of Credit or any demand for payment thereunder and (iii) all out-of-pocket expenses incurred by the Administrative Agent, any Lender or the L/C Issuer (including the reasonable fees, charges and disbursements of one primary counsel for the Administrative Agent, the Lenders and the L/C Issuer collectively and, if reasonably necessary, one local counsel for the Administrative Agent, the Lenders and the L/C Issuer collectively in each relevant jurisdiction unless the representation of one or more Lenders by one counsel would be inappropriate due to the existence of an actual or potential conflict of interest, in which case the Loan Parties shall also be required to reimburse the fees, charges and disbursements of one additional counsel for each such affected Lender), and shall pay all fees and time charges for attorneys who may be employees of the Administrative Agent, any Lender or the L/C Issuer, in connection with the enforcement or protection of its rights (A) in connection with this Agreement and the other Loan Documents, including its rights under this Section, or (B) in connection with the Loans made or Letters of Credit issued hereunder, including all such out-of-pocket expenses incurred during any workout, restructuring or negotiations in respect of such Loans or Letters of Credit; provided, however, in no event shall Borrower pay or reimburse Administrative Agent, Lenders and L/C Issuer for more than one counsel (in the aggregate) at any time prior to an Event of Default hereunder. (b) Indemnification by the Borrower. The Borrower shall indemnify the Administrative Agent (and any sub-agent thereof), each Lender and the L/C Issuer, and each Related Party of any of the foregoing Persons (each such Person being called an “Indemnitee”) against, and hold each Indemnitee harmless from, any and all losses, claims, damages, liabilities and related expenses (including the reasonable fees, charges and disbursements of one primary counsel for the Administrative Agent, the Lenders and the L/C Issuer collectively and, if reasonably necessary, one local counsel for the Administrative Agent, the Lenders and the L/C Issuer collectively in each relevant jurisdiction unless the representation of one or more Lenders by one counsel would be inappropriate due to the existence of an actual or potential conflict of interest, in which case the Loan Parties shall also be required to reimburse the fees, charges and disbursements of one additional counsel for each such affected Lender), and shall indemnify and hold harmless each Indemnitee from all reasonable fees and time charges and disbursements for attorneys who may be employees of any Indemnitee incurred by any Indemnitee or asserted against any Indemnitee by any Person (including the Borrower or any other Loan Party) other than such Indemnitee and its Related Parties arising out of, in connection with, or as a result of (i) the execution or delivery of this Agreement, any other Loan Document or any agreement or instrument contemplated hereby or thereby (including, without limitation, the Indemnitee’s reliance on any Communication executed using an Electronic Signature, or in the form of an Electronic Record), the performance by the parties hereto of their respective obligations hereunder or thereunder, the consummation of the transactions contemplated hereby or thereby, or, in the case of the Administrative Agent (and any sub-agent thereof) and its Related Parties only, the administration of this Agreement and the other Loan Documents (including in respect of any matters addressed in Section 3.01), (ii) any Loan or Letter of Credit or the use or proposed use of the proceeds therefrom (including any refusal by the L/C Issuer to honor a demand for payment under a Letter of Credit if the documents presented in connection with such demand do not strictly comply with the terms of such Letter of Credit), (iii) any actual or alleged presence or release of Hazardous Materials on or from any property owned or operated by the Borrower or any of its Subsidiaries, or any Environmental Liability related in any way to the Borrower or any of its Subsidiaries, or (iv) any actual or prospective claim, litigation, investigation or proceeding relating to any of the foregoing, whether based on contract, tort or any other theory, whether brought by a third party or by the Borrower or any other Loan Party, and regardless of whether any Indemnitee is a party thereto, IN ALL CASES, WHETHER OR NOT CAUSED BY OR ARISING, IN WHOLE OR IN PART, OUT OF THE COMPARATIVE,


 
95 CONTRIBUTORY OR SOLE NEGLIGENCE OF THE INDEMNITEE; provided, that such indemnity shall not, as to any Indemnitee, be available to the extent that such losses, claims, damages, liabilities or related expenses (x) are determined by a court of competent jurisdiction by final and nonappealable judgment to have resulted from the fraud, gross negligence or willful misconduct of such Indemnitee; (y) result from a claim brought by the Borrower or any other Loan Party against an Indemnitee for breach in bad faith of such Indemnitee’s obligations hereunder or under any other Loan Document, if the Borrower or such other Loan Party has obtained a final and nonappealable judgment in its favor on such claim as determined by a court of competent jurisdiction; and provided further that, Borrower shall not, in any event, pay or reimburse (or be obligated to pay or reimburse) Indemnitees for more than one counsel (in the aggregate) at any time prior to an Event of Default hereunder; or (z) result from a claim not involving an act or omission of the Borrower and that is brought by an Indemnitee against another Indemnitee (other than against the Arranger or the Administrative Agent in their capacities as such). (c) Reimbursement by Lenders. To the extent that the Borrower for any reason fails to indefeasibly pay any amount required under subsection (a) or (b) of this Section to be paid by it to the Administrative Agent (or any sub-agent thereof), the L/C Issuer, or any Related Party of any of the foregoing, each Lender severally agrees to pay to the Administrative Agent (or any such sub-agent), the L/C Issuer, or such Related Party, as the case may be, such Lender’s pro rata share (determined as of the time that the applicable unreimbursed expense or indemnity payment is sought based on each Lender’s share of the Total Credit Exposure at such time) of such unpaid amount (including any such unpaid amount in respect of a claim asserted by such Lender), such payment to be made severally among them based on such Lender’s Applicable Percentage (determined as of the time that the applicable unreimbursed expense or indemnity payment is sought), provided further that the unreimbursed expense or indemnified loss, claim, damage, liability or related expense, as the case may be, was incurred by or asserted against the Administrative Agent (or any such sub-agent), the L/C Issuer in its capacity as such, or against any Related Party of any of the foregoing acting for the Administrative Agent (or any such sub-agent) or the L/C Issuer in connection with such capacity. The obligations of the Lenders under this subsection (c) are subject to the provisions of Section 2.13(d). (d) Waiver of Consequential Damages, Etc. To the fullest extent permitted by applicable law, the Borrower shall not assert, and hereby waives, and acknowledges that no other Person shall have, any claim against any Indemnitee, on any theory of liability, for special, indirect, consequential or punitive damages (as opposed to direct or actual damages) arising out of, in connection with, or as a result of, this Agreement, any other Loan Document or any agreement or instrument contemplated hereby, the transactions contemplated hereby or thereby, any Loan or Letter of Credit or the use of the proceeds thereof. No Indemnitee referred to in subsection (b) above shall be liable for any damages arising from the use by unintended recipients of any information or other materials distributed to such unintended recipients by such Indemnitee through telecommunications, electronic or other information transmission systems in connection with this Agreement or the other Loan Documents or the transactions contemplated hereby or thereby other than for direct or actual damages resulting from the fraud, gross negligence or willful misconduct of such Indemnitee as determined by a final and nonappealable judgment of a court of competent jurisdiction. (e) Payments. All amounts due under this Section shall be payable not later than ten Business Days after demand therefor. (f) Survival. The agreements in this Section and the indemnity provisions of Section 10.02(e) shall survive the resignation of the Administrative Agent and the L/C Issuer, the replacement of any Lender, the termination of the Aggregate Commitments and the repayment, satisfaction or discharge of all the other Obligations. 10.05. Payments Set Aside. To the extent that any payment by or on behalf of the Borrower is made to the Administrative Agent, the L/C Issuer or any Lender, or the Administrative Agent, the L/C Issuer or any Lender exercises its right of setoff, and such payment or the proceeds of such setoff or any part thereof is subsequently invalidated, declared to be fraudulent or preferential, set aside or required (including pursuant to any settlement entered into by the Administrative Agent, the L/C Issuer or such Lender in its discretion) to be repaid to a trustee, receiver or any other party, in connection with any proceeding under any Debtor Relief Law or otherwise, then (a) to the extent of such recovery, the obligation or part thereof originally intended to be satisfied shall be revived and continued in full force and effect as if such payment had not been made or such setoff had not occurred, and (b) each Lender and the L/C Issuer severally agrees to pay to the Administrative Agent upon demand its applicable share (without duplication) of any amount so recovered from or repaid by the Administrative Agent, plus interest thereon from the


 
96 date of such demand to the date such payment is made at a rate per annum equal to the applicable Overnight Rate from time to time in effect, in the applicable currency of such recovery or payment. The obligations of the Lenders and the L/C Issuer under clause (b) of the preceding sentence shall survive the payment in full of the Obligations and the termination of this Agreement. 10.06. Successors and Assigns. (a) Successors and Assigns Generally. The provisions of this Agreement shall be binding upon and inure to the benefit of the parties hereto and their respective successors and assigns permitted hereby, except that neither the Borrower nor any other Loan Party may assign or otherwise transfer any of its rights or obligations hereunder without the prior written consent of the Administrative Agent and each Lender and no Lender may assign or otherwise transfer any of its rights or obligations hereunder except (i) to an assignee in accordance with the provisions of subsection (b) of this Section, (ii) by way of participation in accordance with the provisions of subsection (d) of this Section, or (iii) by way of pledge or assignment of a security interest subject to the restrictions of subsection (f) of this Section (and any other attempted assignment or transfer by any party hereto shall be null and void). Nothing in this Agreement, expressed or implied, shall be construed to confer upon any Person (other than the parties hereto, their respective successors and assigns permitted hereby, Participants to the extent provided in subsection (d) of this Section and, to the extent expressly contemplated hereby, the Related Parties of each of the Administrative Agent, the L/C Issuer and the Lenders) any legal or equitable right, remedy or claim under or by reason of this Agreement. (b) Assignments by Lenders. Any Lender may at any time assign to one or more assignees all or a portion of its rights and obligations under this Agreement (including all or a portion of its Commitment and the Loans (including for purposes of this subsection (b), participations in L/C Obligations) at the time owing to it); provided that any such assignment shall be subject to the following conditions: (i) Minimum Amounts. (A) in the case of an assignment of the entire remaining amount of the assigning Lender’s Commitment or contemporaneous assignments to related Approved Funds (determined after giving effect to such Assignments) that equal at least the amount specified in paragraph (b)(i)(B) of this Section in the aggregate and the Loans at the time owing to it or in the case of an assignment to a Lender, an Affiliate of a Lender or an Approved Fund, no minimum amount need be assigned; and (B) in any case not described in subsection (b)(i)(A) of this Section, the aggregate amount of the Commitment (which for this purpose includes Loans outstanding thereunder) or, if the applicable Commitment is not then in effect, the principal outstanding balance of the Loans of the assigning Lender subject to each such assignment, determined as of the date the Assignment and Assumption with respect to such assignment is delivered to the Administrative Agent or, if “Trade Date” is specified in the Assignment and Assumption, as of the Trade Date, shall not be less than $5,000,000 unless each of the Administrative Agent and, so long as no Event of Default has occurred and is continuing, the Borrower otherwise consents (each such consent not to be unreasonably withheld or delayed). (ii) Proportionate Amounts. Each partial assignment shall be made as an assignment of a proportionate part of all the assigning Lender’s rights and obligations under this Agreement with respect to the Loans or the Commitment assigned, except that this clause (ii) shall not prohibit any Lender from assigning all or a portion of its rights and obligations among the revolving credit facility provided hereunder and any separate revolving credit or term loan facilities provided pursuant to the last paragraph of Section 10.01 on a non-pro rata basis; (iii) Required Consents. No consent shall be required for any assignment except to the extent required by subsection (b)(i)(B) of this Section and, in addition:


 
97 (A) the consent of the Borrower (such consent not to be unreasonably withheld or delayed) shall be required in connection with any assignment hereunder; provided, however, that (i) where the assignee is an Eligible Assignee, such consent shall not be unreasonably withheld or delayed (unless upon the consummation of such assignment, such Eligible Assignee, together with its Affiliates, shall hold, directly or indirectly, fifty percent (50%) or more of the Aggregate Commitments, in which event Borrower may grant or withhold such consent in its sole discretion); (ii) notwithstanding the foregoing, the consent of the Borrower to any assignment shall not be required in the event that an Event of Default has occurred and is continuing at the time of such assignment; (iii) notwithstanding the foregoing, the consent of the Borrower to any assignment shall be not be required in the event that such assignment is to a Lender, an Affiliate of a Lender, or an Approved Fund with respect to such Lender (unless, in each case, the applicable Lender is a Defaulting Lender); and provided, further, that any consent of the Borrower required pursuant to this Section 10.06(b) shall be deemed to have been given if Borrower shall not object to such assignment by written notice to the Administrative Agent within five (5) Business Days after having received written notice of such proposed assignment; (B) the consent of the Administrative Agent (such consent not to be unreasonably withheld or delayed) shall be required if such assignment is to a Person that is not a Lender, an Affiliate of such Lender or an Approved Fund with respect to such Lender; and (C) the consent of the L/C Issuer (such consent not to be unreasonably withheld or delayed) shall be required for any assignment that increases the obligation of the assignee to participate in exposure under one or more Letters of Credit (whether or not then outstanding). (iv) Assignment and Assumption. The parties to each assignment shall execute and deliver to the Administrative Agent an Assignment and Assumption, together with a processing and recordation fee in the amount of $3,500; provided, however, that the Administrative Agent may, in its sole discretion, elect to waive such processing and recordation fee in the case of any assignment. The assignee, if it is not a Lender, shall deliver to the Administrative Agent an Administrative Questionnaire. (v) No Assignment to Certain Persons. No such assignment shall be made (A) to the Borrower or any of the Borrower’s Affiliates or Subsidiaries, (B) to any Defaulting Lender or any of its Subsidiaries, or any Person who, upon becoming a Lender hereunder, would constitute any of the foregoing Persons described in this clause (B), or (C) to a natural Person (or to a holding company, investment vehicle or trust for, or owned and operated for the primary benefit of a natural Person). (vi) Certain Additional Payments. In connection with any assignment of rights and obligations of any Defaulting Lender hereunder, no such assignment shall be effective unless and until, in addition to the other conditions thereto set forth herein, the parties to the assignment shall make such additional payments to the Administrative Agent in an aggregate amount sufficient, upon distribution thereof as appropriate (which may be outright payment, purchases by the assignee of participations or subparticipations, or other compensating actions, including funding, with the consent of the Borrower and the Administrative Agent, the applicable pro rata share of Loans previously requested but not funded by the Defaulting Lender, to each of which the applicable assignee and assignor hereby irrevocably consent), to (x) pay and satisfy in full all payment liabilities then owed by such Defaulting Lender to the Administrative Agent, the L/C Issuer or any Lender hereunder (and interest accrued thereon) and (y) acquire (and fund as appropriate) its full pro rata share of all Loans and participations in Letters of Credit in accordance with its Applicable Percentage. Notwithstanding the foregoing, in the event that any assignment of rights and obligations of any Defaulting Lender hereunder shall become effective under applicable Law without compliance with the provisions of this paragraph, then the assignee of such interest shall be deemed to be a Defaulting Lender for all purposes of this Agreement until such compliance occurs. Subject to acceptance and recording thereof by the Administrative Agent pursuant to subsection (c) of this Section, from and after the effective date specified in each Assignment and Assumption, the assignee thereunder shall be a party to this Agreement and, to the extent of the interest assigned by such Assignment and Assumption, have the rights and obligations of a Lender under this Agreement, and the assigning Lender thereunder shall, to the extent of the


 
98 interest assigned by such Assignment and Assumption, be released from its obligations under this Agreement (and, in the case of an Assignment and Assumption covering all of the assigning Lender’s rights and obligations under this Agreement, such Lender shall cease to be a party hereto) but shall continue to be entitled to the benefits of Sections 3.01, 3.04, 3.05, and 10.04 with respect to facts and circumstances occurring prior to the effective date of such assignment; provided, that except to the extent otherwise expressly agreed by the affected parties, no assignment by a Defaulting Lender will constitute a waiver or release of any claim of any party hereunder arising from that Lender’s having been a Defaulting Lender. Upon request, the Borrower (at its expense) shall execute and deliver a Note to the assignee Lender. Any assignment or transfer by a Lender of rights or obligations under this Agreement that does not comply with this subsection shall be treated for purposes of this Agreement as a sale by such Lender of a participation in such rights and obligations in accordance with subsection (d) of this Section. (c) Register. The Administrative Agent, acting solely for this purpose as an agent of the Borrower (and such agency being solely for tax purposes), shall maintain at the Administrative Agent’s Office a copy of each Assignment and Assumption delivered to it (or the equivalent thereof in electronic form) and a register for the recordation of the names and addresses of the Lenders, and the Commitments of, and principal amounts (and stated interest) of the Loans and L/C Obligations owing to, each Lender pursuant to the terms hereof from time to time (the “Register”). The entries in the Register shall be conclusive absent manifest error, and the Borrower, the Administrative Agent and the Lenders shall treat each Person whose name is recorded in the Register pursuant to the terms hereof as a Lender hereunder for all purposes of this Agreement. The Register shall be available for inspection by the Borrower and any Lender, at any reasonable time and from time to time upon reasonable prior notice. (d) Participations. Any Lender may at any time, without the consent of, or notice to, the Borrower or the Administrative Agent, sell participations to any Person (other than a natural Person, or a holding company, investment vehicle or trust for, or owned and operated for the primary benefit of a natural Person, a Defaulting Lender or the Borrower or any of the Borrower’s Affiliates or Subsidiaries) (each, a “Participant”) in all or a portion of such Lender’s rights and/or obligations under this Agreement (including all or a portion of its Commitment and/or the Loans (including such Lender’s participations in L/C Obligations) owing to it); provided that (i) such Lender’s obligations under this Agreement shall remain unchanged, (ii) such Lender shall remain solely responsible to the other parties hereto for the performance of such obligations and (iii) the Borrower, the Administrative Agent, the Lenders and the L/C Issuer shall continue to deal solely and directly with such Lender in connection with such Lender’s rights and obligations under this Agreement. For the avoidance of doubt, each Lender shall be responsible for the indemnity under Section 10.04(c) without regard to the existence of any participation. Any agreement or instrument pursuant to which a Lender sells such a participation shall provide that such Lender shall retain the sole right to enforce this Agreement and to approve any amendment, modification or waiver of any provision of this Agreement; provided that such agreement or instrument may provide that such Lender will not, without the consent of the Participant, agree to any amendment, waiver or other modification described in the first proviso to Section 10.01 that affects such Participant. The Borrower agrees that each Participant shall be entitled to the benefits of Sections 3.01, 3.04 and 3.05 to the same extent as if it were a Lender and had acquired its interest by assignment pursuant to subsection (b) of this Section (it being understood that the documentation required under Section 3.01(e) shall be delivered to the Lender who sells the participation) to the same extent as if it were a Lender and had acquired its interest by assignment pursuant to paragraph (b) of this Section; provided that such Participant (A) agrees to be subject to the provisions of Sections 3.06 and 10.13 as if it were an assignee under paragraph (b) of this Section and (B) shall not be entitled to receive any greater payment under Sections 3.01 or 3.04, with respect to any participation, than the Lender from whom it acquired the applicable participation would have been entitled to receive, except to the extent such entitlement to receive a greater payment results from a Change in Law that occurs after the Participant acquired the applicable participation. Each Lender that sells a participation agrees, at the Borrower’s request and expense, to use reasonable efforts to cooperate with the Borrower to effectuate the provisions of Section 3.06 with respect to any Participant. To the extent permitted by law, each Participant also shall be entitled to the benefits of Section 10.08 as though it were a Lender; provided that such Participant agrees to be subject to Section 2.14 as though it were a Lender. Each Lender that sells a participation shall, acting solely for this purpose as a non-fiduciary agent of the Borrower, maintain a register on which it enters the name and address of each Participant and the principal amounts (and stated interest) of each Participant’s interest in the Loans or other obligations under the Loan Documents (the “Participant Register”); provided that no Lender shall have any obligation to disclose all or any portion of the Participant Register (including the identity of any Participant or any information relating to a Participant’s interest in any commitments, loans, letters of credit or its other obligations under any Loan Document)


 
99 to any Person except to the extent that such disclosure is necessary to establish that such commitment, loan, letter of credit or other obligation is in registered form under Section 5f.103-1(c) of the United States Treasury Regulations. The entries in the Participant Register shall be conclusive absent manifest error, and such Lender shall treat each Person whose name is recorded in the Participant Register as the owner of such participation for all purposes of this Agreement notwithstanding any notice to the contrary. For the avoidance of doubt, the Administrative Agent (in its capacity as Administrative Agent) shall have no responsibility for maintaining a Participant Register. (e) Certain Pledges. Any Lender may at any time pledge or assign a security interest in all or any portion of its rights under this Agreement (including under its Note, if any) to secure obligations of such Lender, including any pledge or assignment to secure obligations to a Federal Reserve Bank; provided that no such pledge or assignment shall release such Lender from any of its obligations hereunder or substitute any such pledgee or assignee for such Lender as a party hereto. (f) Resignation as L/C Issuer after Assignment. Notwithstanding anything to the contrary contained herein, if at any time Bank of America assigns all of its Commitment and Loans pursuant to subsection (b) above and resigns as Administrative Agent hereunder pursuant to Section 9.06, Bank of America may, upon 30 days’ notice to the Borrower and the Lenders, resign as L/C Issuer. In the event of any such resignation as L/C Issuer, the Borrower shall be entitled to appoint from among the Lenders who agree to accept such appointment a successor L/C Issuer hereunder; provided, however, that no failure by the Borrower to appoint any such successor shall affect the resignation of Bank of America as L/C Issuer. If Bank of America resigns as L/C Issuer, it shall retain all the rights, powers, privileges and duties of the L/C Issuer hereunder with respect to all Letters of Credit outstanding as of the effective date of its resignation as L/C Issuer and all L/C Obligations with respect thereto (including the right to require the Lenders to make Base Rate Committed Loans or fund risk participations in Unreimbursed Amounts pursuant to Section 2.04(c)). Upon the appointment of a successor L/C Issuer, (a) such successor shall succeed to and become vested with all of the rights, powers, privileges and duties of the retiring L/C Issuer, and (b) the successor L/C Issuer shall issue letters of credit in substitution for the Letters of Credit, if any, outstanding at the time of such succession or make other arrangements satisfactory to Bank of America to effectively assume the obligations of Bank of America with respect to such Letters of Credit. 10.07. Treatment of Certain Information; Confidentiality. Each of the Administrative Agent, the Lenders and the L/C Issuer agrees to maintain the confidentiality of the Information (as defined below), except that Information may be disclosed (a) to its Affiliates and to its Related Parties (it being understood that the Persons to whom such disclosure is made will be informed of the confidential nature of such Information and instructed to keep such Information confidential), (b) to the extent required or requested by any regulatory authority purporting to have jurisdiction over such Person or its Related Parties (including any self-regulatory authority, such as the National Association of Insurance Commissioners), (c) to the extent required by applicable laws or regulations or by any subpoena or similar legal process; provided that such Person disclosing such Information shall, to the extent practical, provide the Loan Parties with advance notice of such disclosure to the extent not prohibited by law or regulation (except with respect to any audit or examination conducted by bank accountants or regulatory authority exercising examination or regulatory authority), (d) to any other party hereto, (e) in connection with the exercise of any remedies hereunder or under any other Loan Document or any action or proceeding relating to this Agreement or any other Loan Document or the enforcement of rights hereunder or thereunder, (f) subject to an agreement containing provisions substantially the same as those of this Section, to (i) any assignee of or Participant in, or any prospective assignee of or Participant in, any of its rights and obligations under this Agreement or any Eligible Assignee invited to be a Lender pursuant to Section 2.16(c) or (ii) any actual or prospective party (or its Related Parties) to any swap, derivative or other transaction under which payments are to be made by reference to the Borrower and its obligations, this Agreement or payments hereunder, (g) on a confidential basis to (i) any rating agency in connection with rating the Borrower or its Subsidiaries or the credit facilities provided hereunder or (ii) the CUSIP Service Bureau or any similar agency in connection with the issuance and monitoring of CUSIP numbers or other market identifiers with respect to the credit facilities provided hereunder, (h) with the written consent of the Borrower or (i) to the extent such Information (x) becomes publicly available other than as a result of a breach of this Section or (y) becomes available to the Administrative Agent, any Lender, the L/C Issuer or any of their respective Affiliates on a nonconfidential basis from a source other than the Borrower. In addition, the Administrative Agent and the Lenders may disclose the existence of this Agreement and information about this Agreement to market data collectors, similar service providers to the lending industry and service providers to the Administrative Agent and the Lenders in connection with the administration of this Agreement, the other Loan Documents, and the Commitments.


 
100 For purposes of this Section, “Information” means all information received from the Borrower or any Subsidiary relating to the Borrower or any Subsidiary or any of their respective businesses, other than any such information that is available to the Administrative Agent, any Lender or the L/C Issuer on a nonconfidential basis prior to disclosure by the Borrower or any Subsidiary, provided that, in the case of information received from the Borrower or any Subsidiary after the date hereof, such information is clearly identified at the time of delivery as confidential. Any Person required to maintain the confidentiality of Information as provided in this Section shall be considered to have complied with its obligation to do so if such Person has exercised the same degree of care to maintain the confidentiality of such Information as such Person would accord to its own confidential information. Each of the Administrative Agent, the Lenders and the L/C Issuer acknowledges that (a) the Information may include material non-public information concerning the Borrower or a Subsidiary, as the case may be, (b) it has developed compliance procedures regarding the use of material non-public information and (c) it will handle such material non- public information in accordance with applicable Law, including United States Federal and state securities Laws. 10.08. Right of Setoff. If an Event of Default shall have occurred and be continuing, and either (a) as a result thereof, the Obligations hereunder shall have been accelerated pursuant to Section 8.02(b) or (b) to the extent of any then-existing amounts due hereunder from any Loan Party to Administrative Agent, L/C Issuer, or any Lender (whether principal, interest, fees or other amounts) that are past due hereunder or under any other Loan Document, each Lender, the L/C Issuer and each of their respective Affiliates is hereby authorized at any time and from time to time after obtaining the written consent of the Administrative Agent, to the fullest extent permitted by applicable law, to set off and apply any and all deposits (general or special, time or demand, provisional or final, in whatever currency) at any time held and other obligations (in whatever currency) at any time owing by such Lender, the L/C Issuer or any such Affiliate to or for the credit or the account of the Borrower or any other Loan Party against any and all of the obligations of the Borrower or such Loan Party now or hereafter existing under this Agreement or any other Loan Document to such Lender or the L/C Issuer or their respective Affiliates, irrespective of whether or not such Lender, L/C Issuer or Affiliate shall have made any demand under this Agreement or any other Loan Document and although such obligations of the Borrower or such Loan Party may be contingent or unmatured or are owed to a branch, office or Affiliate of such Lender or the L/C Issuer different from the branch, office or Affiliate holding such deposit or obligated on such indebtedness; provided, that in the event that any Defaulting Lender shall exercise any such right of setoff, (x) all amounts so set off shall be paid over immediately to the Administrative Agent for further application in accordance with the provisions of Section 2.18 and, pending such payment, shall be segregated by such Defaulting Lender from its other funds and deemed held in trust for the benefit of the Administrative Agent, the L/C Issuer and the Lenders, and (y) the Defaulting Lender shall provide promptly to the Administrative Agent a statement describing in reasonable detail the Obligations owing to such Defaulting Lender as to which it exercised such right of setoff. The rights of each Lender, the L/C Issuer and their respective Affiliates under this Section are in addition to other rights and remedies (including other rights of setoff) that such Lender, the L/C Issuer or their respective Affiliates may have. Each Lender and the L/C Issuer agrees to notify the Borrower and the Administrative Agent promptly after any such setoff and application, provided that the failure to give such notice shall not affect the validity of such setoff and application. 10.09. Interest Rate Limitation. Notwithstanding anything to the contrary contained in any Loan Document, the interest paid or agreed to be paid under the Loan Documents shall not exceed the maximum rate of non-usurious interest permitted by applicable Law (the “Maximum Rate”). If the Administrative Agent or any Lender shall receive interest in an amount that exceeds the Maximum Rate, the excess interest shall be applied to the principal of the Loans or, if it exceeds such unpaid principal, refunded to the Borrower. In determining whether the interest contracted for, charged, or received by the Administrative Agent or a Lender exceeds the Maximum Rate, such Person may, to the extent permitted by applicable Law, (a) characterize any payment that is not principal as an expense, fee, or premium rather than interest, (b) exclude voluntary prepayments and the effects thereof, and (c) amortize, prorate, allocate, and spread in equal or unequal parts the total amount of interest throughout the contemplated term of the Obligations hereunder. 10.10. Counterparts; Integration; Effectiveness. This Agreement may be executed in counterparts (and by different parties hereto in different counterparts), each of which shall constitute an original, but all of which when taken together shall constitute a single contract. This Agreement, the Advance Funding Documentation, the other Loan Documents, and any separate letter agreements with respect to fees payable to the Administrative Agent or the L/C Issuer, constitute the entire contract among the parties relating to the subject matter hereof and supersede any and all


 
101 previous agreements and understandings, oral or written, relating to the subject matter hereof. Except as provided in Section 4.01, this Agreement shall become effective when it shall have been executed by the Administrative Agent and when the Administrative Agent shall have received counterparts hereof that, when taken together, bear the signatures of each of the other parties hereto, and thereafter shall be binding upon and inure to the benefit of the parties hereto and their respective successors and assigns. Delivery of an executed counterpart of a signature page of this Agreement by facsimile or other electronic imaging means (e.g. “pdf” or “tif”) shall be effective as delivery of a manually executed counterpart of this Agreement. 10.11. Survival of Representations and Warranties. All representations and warranties made hereunder and in any other Loan Document or other document delivered pursuant hereto or thereto or in connection herewith or therewith shall survive the execution and delivery hereof and thereof. Such representations and warranties have been or will be relied upon by the Administrative Agent and each Lender, regardless of any investigation made by the Administrative Agent or any Lender or on their behalf and notwithstanding that the Administrative Agent or any Lender may have had notice or knowledge of any Default at the time of any Credit Extension, and shall continue in full force and effect as long as any Loan or any other Obligation hereunder shall remain unpaid or unsatisfied or any Letter of Credit shall remain outstanding. 10.12. Severability. If any provision of this Agreement or the other Loan Documents is held to be illegal, invalid or unenforceable, (a) the legality, validity and enforceability of the remaining provisions of this Agreement and the other Loan Documents shall not be affected or impaired thereby and (b) the parties shall endeavor in good faith negotiations to replace the illegal, invalid or unenforceable provisions with valid provisions the economic effect of which comes as close as possible to that of the illegal, invalid or unenforceable provisions. The invalidity of a provision in a particular jurisdiction shall not invalidate or render unenforceable such provision in any other jurisdiction. Without limiting the foregoing provisions of this Section 10.12, if and to the extent that the enforceability of any provisions in this Agreement relating to Defaulting Lenders shall be limited by Debtor Relief Laws, as determined in good faith by the Administrative Agent or the L/C Issuer, as applicable, then such provisions shall be deemed to be in effect only to the extent not so limited. 10.13. Replacement of Lenders. If the Borrower is entitled to replace a Lender pursuant to the provisions of Section 3.06, or if any Lender is a Defaulting Lender or a Non-Consenting Lender or if any other circumstance exists hereunder that gives the Borrower the right to replace a Lender as a party hereto, then the Borrower may, at its sole expense and effort, upon notice to such Lender and the Administrative Agent, require such Lender to assign and delegate, without recourse (in accordance with and subject to the restrictions contained in, and consents required by, Section 10.06), all of its interests, rights (other than its existing rights to payments pursuant to Sections 3.01 and 3.04) and obligations under this Agreement and the related Loan Documents to an Eligible Assignee that shall assume such obligations (which assignee may be another Lender, if a Lender accepts such assignment), provided that: (a) the Borrower shall have paid to the Administrative Agent the assignment fee (if any) specified in Section 10.06(b); (b) such Lender shall have received payment of an amount equal to the outstanding principal of its Loans and L/C Advances, accrued interest thereon, accrued fees and all other amounts payable to it hereunder and under the other Loan Documents (including any amounts under Section 3.05) from the assignee (to the extent of such outstanding principal and accrued interest and fees) or the Borrower (in the case of all other amounts); (c) in the case of any such assignment resulting from a claim for compensation under Section 3.04 or payments required to be made pursuant to Section 3.01, such assignment will result in a reduction in such compensation or payments thereafter; (d) such assignment does not conflict with applicable Laws; and (e) in the case of an assignment resulting from a Lender becoming a Non-Consenting Lender, the applicable assignee shall have consented to the applicable amendment, waiver or consent.


 
102 A Lender shall not be required to make any such assignment or delegation if, prior thereto, as a result of a waiver by such Lender or otherwise, the circumstances entitling the Borrower to require such assignment and delegation cease to apply. Each party hereto agrees that (a) an assignment required pursuant to this Section 10.13 may be effected pursuant to an Assignment and Assumption executed by the Borrower, the Administrative Agent and the assignee and (b) the Lender required to make such assignment need not be a party thereto in order for such assignment to be effective and shall be deemed to have consented to an be bound by the terms thereof; provided that, following the effectiveness of any such assignment, the other parties to such assignment agree to execute and deliver such documents necessary to evidence such assignment as reasonably requested by the applicable Lender, provided, further that any such documents shall be without recourse to or warranty by the parties thereto. Notwithstanding anything in this Section 10.13 to the contrary, (i) the Lender that acts as the L/C Issuer may not be replaced hereunder at any time it has any Letter of Credit outstanding hereunder unless arrangements satisfactory to such Lender (including the furnishing of a backstop standby letter of credit in form and substance, and issued by an issuer, reasonably satisfactory to such L/C Issuer or the depositing of cash collateral into a cash collateral account in amounts and pursuant to arrangements reasonably satisfactory to such L/C Issuer) have been made with respect to such outstanding Letter of Credit and (ii) the Lender that acts as the Administrative Agent may not be replaced hereunder except in accordance with the terms of Section 9.06. 10.14. Governing Law; Jurisdiction; Etc. (a) GOVERNING LAW. THIS AGREEMENT AND THE OTHER LOAN DOCUMENTS AND ANY CLAIMS, CONTROVERSY, DISPUTE OR CAUSE OF ACTION (WHETHER IN CONTRACT OR TORT OR OTHERWISE) BASED UPON, ARISING OUT OF OR RELATING TO THIS AGREEMENT OR ANY OTHER LOAN DOCUMENT (EXCEPT, AS TO ANY OTHER LOAN DOCUMENT, AS EXPRESSLY SET FORTH THEREIN) AND THE TRANSACTIONS CONTEMPLATED HEREBY AND THEREBY SHALL BE GOVERNED BY, AND CONSTRUED IN ACCORDANCE WITH, THE LAW OF THE STATE OF NEW YORK. (b) THE BORROWER AND EACH OTHER LOAN PARTY IRREVOCABLY AND UNCONDITIONALLY SUBMITS, FOR ITSELF AND ITS PROPERTY, TO THE NONEXCLUSIVE JURISDICTION OF THE COURTS OF THE STATE OF NORTH CAROLINA SITTING IN MECKLENBURG COUNTY AND OF THE UNITED STATES DISTRICT COURT OF THE WESTERN DISTRICT OF NORTH CAROLINA, AND ANY APPELLATE COURT FROM ANY THEREOF, IN ANY ACTION OR PROCEEDING ARISING OUT OF OR RELATING TO THIS AGREEMENT OR ANY OTHER LOAN DOCUMENT, OR FOR RECOGNITION OR ENFORCEMENT OF ANY JUDGMENT, AND EACH OF THE PARTIES HERETO IRREVOCABLY AND UNCONDITIONALLY AGREES THAT ALL CLAIMS IN RESPECT OF ANY SUCH ACTION OR PROCEEDING MAY BE HEARD AND DETERMINED IN SUCH NORTH CAROLINA STATE COURT OR, TO THE FULLEST EXTENT PERMITTED BY APPLICABLE LAW, IN SUCH FEDERAL COURT. EACH OF THE PARTIES HERETO AGREES THAT A FINAL JUDGMENT IN ANY SUCH ACTION OR PROCEEDING SHALL BE CONCLUSIVE AND MAY BE ENFORCED IN OTHER JURISDICTIONS BY SUIT ON THE JUDGMENT OR IN ANY OTHER MANNER PROVIDED BY LAW. NOTHING IN THIS AGREEMENT OR IN ANY OTHER LOAN DOCUMENT SHALL AFFECT ANY RIGHT THAT THE ADMINISTRATIVE AGENT OR ANY LENDER MAY OTHERWISE HAVE TO BRING ANY ACTION OR PROCEEDING RELATING TO THIS AGREEMENT OR ANY OTHER LOAN DOCUMENT AGAINST THE BORROWER OR ANY OTHER LOAN PARTY OR ITS PROPERTIES IN THE COURTS OF ANY JURISDICTION. (c) WAIVER OF VENUE. THE BORROWER AND EACH OTHER LOAN PARTY IRREVOCABLY AND UNCONDITIONALLY WAIVES, TO THE FULLEST EXTENT PERMITTED BY APPLICABLE LAW, ANY OBJECTION THAT IT MAY NOW OR HEREAFTER HAVE TO THE LAYING OF VENUE OF ANY ACTION OR PROCEEDING ARISING OUT OF OR RELATING TO THIS AGREEMENT OR ANY OTHER LOAN DOCUMENT IN ANY COURT REFERRED TO IN PARAGRAPH (B) OF THIS SECTION. EACH OF THE PARTIES HERETO HEREBY IRREVOCABLY WAIVES, TO THE FULLEST EXTENT PERMITTED BY APPLICABLE LAW, THE DEFENSE OF AN INCONVENIENT FORUM TO THE MAINTENANCE OF SUCH ACTION OR PROCEEDING IN ANY SUCH COURT.


 
103 (d) SERVICE OF PROCESS. EACH PARTY HERETO IRREVOCABLY CONSENTS TO SERVICE OF PROCESS IN THE MANNER PROVIDED FOR NOTICES IN SECTION 10.02. NOTHING IN THIS AGREEMENT WILL AFFECT THE RIGHT OF ANY PARTY HERETO TO SERVE PROCESS IN ANY OTHER MANNER PERMITTED BY APPLICABLE LAW. 10.15. Waiver of Jury Trial. EACH PARTY HERETO HEREBY IRREVOCABLY WAIVES, TO THE FULLEST EXTENT PERMITTED BY APPLICABLE LAW, ANY RIGHT IT MAY HAVE TO A TRIAL BY JURY IN ANY LEGAL PROCEEDING DIRECTLY OR INDIRECTLY ARISING OUT OF OR RELATING TO THIS AGREEMENT OR ANY OTHER LOAN DOCUMENT OR THE TRANSACTIONS CONTEMPLATED HEREBY OR THEREBY (WHETHER BASED ON CONTRACT, TORT OR ANY OTHER THEORY). EACH PARTY HERETO (A) CERTIFIES THAT NO REPRESENTATIVE, AGENT OR ATTORNEY OF ANY OTHER PERSON HAS REPRESENTED, EXPRESSLY OR OTHERWISE, THAT SUCH OTHER PERSON WOULD NOT, IN THE EVENT OF LITIGATION, SEEK TO ENFORCE THE FOREGOING WAIVER AND (B) ACKNOWLEDGES THAT IT AND THE OTHER PARTIES HERETO HAVE BEEN INDUCED TO ENTER INTO THIS AGREEMENT AND THE OTHER LOAN DOCUMENTS BY, AMONG OTHER THINGS, THE MUTUAL WAIVERS AND CERTIFICATIONS IN THIS SECTION. 10.16. No Advisory or Fiduciary Responsibility. In connection with all aspects of each transaction contemplated hereby (including in connection with any amendment, waiver or other modification hereof or of any other Loan Document), the Borrower acknowledges and agrees, and acknowledges its Affiliates’ understanding, that: (i) (A) the arranging and other services regarding this Agreement provided by the Administrative Agent and the Arranger are arm’s-length commercial transactions between the Borrower and its Affiliates, on the one hand, and the Administrative Agent and the Arranger, on the other hand, (B) the Borrower has consulted its own legal, accounting, regulatory and tax advisors to the extent it has deemed appropriate, and (C) the Borrower is capable of evaluating, and understands and accepts, the terms, risks and conditions of the transactions contemplated hereby and by the other Loan Documents; (ii) (A) the Administrative Agent and the Arranger each is and has been acting solely as a principal and, except as expressly agreed in writing by the relevant parties, has not been, is not, and will not be acting as an advisor, agent or fiduciary for the Borrower or any of its Affiliates, or any other Person and (B) neither the Administrative Agent nor the Arranger has any obligation to the Borrower or any of its Affiliates with respect to the transactions contemplated hereby except those obligations expressly set forth herein and in the other Loan Documents; and (iii) the Administrative Agent, the Arranger and their respective Affiliates may be engaged in a broad range of transactions that involve interests that differ from those of the Borrower and its Affiliates, and neither the Administrative Agent nor the Arranger has any obligation to disclose any of such interests to the Borrower or its Affiliates. To the fullest extent permitted by law, the Borrower hereby waives and releases any claims that it may have against the Administrative Agent and the Arranger with respect to any breach or alleged breach of agency or fiduciary duty in connection with any aspect of any transaction contemplated hereby. 10.17. Electronic Signatures. This Agreement, any Loan Document and any other Communication, including Communications required to be in writing, may be in the form of an Electronic Record and may be executed using Electronic Signatures. Each of the Loan Parties and each of the Administrative Agent and the Lender Parties agrees that any Electronic Signature on or associated with any Communication shall be valid and binding on such Person to the same extent as a manual, original signature, and that any Communication entered into by Electronic Signature, will constitute the legal, valid and binding obligation of such Person enforceable against such Person in accordance with the terms thereof to the same extent as if a manually executed original signature was delivered. Any Communication may be executed in as many counterparts as necessary or convenient, including both paper and electronic counterparts, but all such counterparts are one and the same Communication. For the avoidance of doubt, the authorization under this paragraph may include, without limitation, use or acceptance of a manually signed paper Communication which has been converted into electronic form (such as scanned into PDF format), or an electronically signed Communication converted into another format, for transmission, delivery and/or retention. The Administrative Agent and each of the Lender Parties may, at its option, create one or more copies of any Communication in the form of an imaged Electronic Record (“Electronic Copy”), which shall be deemed created in the ordinary course of such Person’s business, and destroy the original paper document. All Communications in the form of an Electronic Record, including an Electronic Copy, shall be considered an original for all purposes, and shall have the same legal effect, validity and enforceability as a paper record. Notwithstanding anything contained herein to the contrary, neither the Administrative Agent nor L/C Issuer is under any obligation to accept an Electronic Signature in any form or in any format unless expressly agreed to by such Person pursuant to procedures approved by it; provided, further, without


 
104 limiting the foregoing, (a) to the extent the Administrative Agent and/or L/C Issuer has agreed to accept such Electronic Signature, the Administrative Agent and each of the Lender Parties shall be entitled to rely on any such Electronic Signature purportedly given by or on behalf of any Loan Party and/or any Lender Party without further verification and (b) upon the request of the Administrative Agent or any Lender Party, any Electronic Signature shall be promptly followed by such manually executed counterpart. For purposes hereof, “Electronic Record” and “Electronic Signature” shall have the meanings assigned to them, respectively, by 15 USC §7006, as it may be amended from time to time. Neither the Administrative Agent nor the L/C Issuer shall be responsible for or have any duty to ascertain or inquire into the sufficiency, validity, enforceability, effectiveness or genuineness of any Loan Document or any other agreement, instrument or document (including, for the avoidance of doubt, in connection with the Administrative Agent’s or L/C Issuer’s reliance on any Electronic Signature transmitted by telecopy, emailed .pdf or any other electronic means). The Administrative Agent and L/C Issuer shall be entitled to rely on, and shall incur no liability under or in respect of this Agreement or any other Loan Document by acting upon, any Communication (which writing may be a fax, any electronic message, Internet or intranet website posting or other distribution or signed using an Electronic Signature) or any statement made to it orally or by telephone and believed by it to be genuine and signed or sent or otherwise authenticated (whether or not such Person in fact meets the requirements set forth in the Loan Documents for being the maker thereof). Each of the Loan Parties and each Lender Party hereby waives (i) any argument, defense or right to contest the legal effect, validity or enforceability of this Agreement, any other Loan Document based solely on the lack of paper original copies of this Agreement, such other Loan Document, and (ii) waives any claim against the Administrative Agent, each Lender Party and each Related Party for any liabilities arising solely from the Administrative Agent’s and/or any Lender Party’s reliance on or use of Electronic Signatures, including any liabilities arising as a result of the failure of the Loan Parties to use any available security measures in connection with the execution, delivery or transmission of any Electronic Signature. Each of the parties represents and warrants to the other parties that it has the corporate capacity and authority to execute this Agreement and any other Communication through electronic means and there are no restrictions on doing so in that party’s constitutive documents. 10.18. USA PATRIOT Act. Each Lender that is subject to the Act (as hereinafter defined) and the Administrative Agent (for itself and not on behalf of any Lender) hereby notifies the Borrowers that pursuant to the requirements of the USA PATRIOT Act (Title III of Pub. L. 107-56 (signed into law October 26, 2001)) (the “Act”), it is required to obtain, verify and record information that identifies the Borrower and each other Loan Party, which information includes the name and address of the Borrower and each other Loan Party and other information that will allow such Lender or the Administrative Agent, as applicable, to identify the Borrower and each other Loan Party in accordance with the Act. The Borrower and each other Loan Party shall, promptly following a request by the Administrative Agent or any Lender, provide all documentation and other information that the Administrative Agent or such Lender requests in order to comply with its ongoing obligations under applicable “know your customer” and anti-money laundering rules and regulations, including the Act. 10.19. Time of the Essence. Time is of the essence of the Loan Documents. 10.20. Judgment Currency. If, for the purposes of obtaining judgment in any court, it is necessary to convert a sum due hereunder or any other Loan Document in one currency into another currency, the rate of exchange used shall be that at which in accordance with normal banking procedures the Administrative Agent could purchase the first currency with such other currency on the Business Day preceding that on which final judgment is given. The obligation of Borrower in respect of any such sum due from it to the Administrative Agent or any Lender hereunder or under the other Loan Documents shall, notwithstanding any judgment in a currency (the “Judgment Currency”) other than that in which such sum is denominated in accordance with the applicable provisions of this Agreement (the “Agreement Currency”), be discharged only to the extent that on the Business Day following receipt by the Administrative Agent or such Lender, as the case may be, of any sum adjudged to be so due in the Judgment Currency, the Administrative Agent or such Lender, as the case may be, may in accordance with normal banking procedures purchase the Agreement Currency with the Judgment Currency. If the amount of the Agreement Currency so purchased is less than the sum originally due to the Administrative Agent or any Lender from the Borrower in the


 
105 Agreement Currency, such Borrower agrees, as a separate obligation and notwithstanding any such judgment, to indemnify the Administrative Agent or such Lender, as the case may be, against such loss. If the amount of the Agreement Currency so purchased is greater than the sum originally due to the Administrative Agent or any Lender in such currency, the Administrative Agent or such Lender, as the case may be, agrees to return the amount of any excess to such Borrower (or to any other Person who may be entitled thereto under applicable law). 10.21. Replaced Credit Facility. Each of the parties hereto hereby agrees that (a) this Agreement is an amendment and restatement of the Replaced Credit Facility in its entirety, (b) all documents, instruments or agreements, if any, creating security interests or liens in favor of the “Administrative Agent” or “Lenders” as defined in the Replaced Credit Facility and securing the obligations thereunder continue to secure the Obligations under this Agreement and (c) nothing contained herein is intended to represent a novation of any type with respect to the rights and “Obligations” as defined in the Replaced Credit Facility or with respect to any other Indebtedness evidenced by the Replaced Credit Facility or any documents, instruments or agreements executed in connection therewith. On the date of this Agreement, the rights and obligations of the parties hereto evidenced by the Replaced Credit Facility shall be evidenced by this Agreement and the other Loan Documents, the “Loans” as defined in the Replaced Credit Facility shall remain outstanding and be continued as, and converted to, Loans as defined herein and the Existing Letters of Credit issued by the L/C Issuer (as defined in the Replaced Credit Facility) for the account of the Borrower prior to the date of this Agreement shall remain issued and outstanding and shall be deemed to be Letters of Credit under this Agreement and shall bear interest and be subject to such other fees as set forth in this Agreement. 10.22. Acknowledgement and Consent to Bail-In of Affected Financial Institutions. Notwithstanding anything to the contrary in any Loan Document or in any other agreement, arrangement or understanding among any such parties, each party hereto acknowledges that any liability of any Lender or L/C Issuer that is an Affected Financial Institution arising under any Loan Document, to the extent such liability is unsecured, may be subject to the Write- Down and Conversion Powers of the applicable Resolution Authority and agrees and consents to, and acknowledges and agrees to be bound by: (a) the application of any Write-Down and Conversion Powers by the applicable Resolution Authority to any such liabilities arising hereunder which may be payable to it by any Lender or L/C Issuer that is an Affected Financial Institution; and (b) the effects of any Bail-In Action on any such liability, including, if applicable: (i) a reduction in full or in part or cancellation of any such liability; (ii) a conversion of all, or a portion of, such liability into shares or other instruments of ownership in such Affected Financial Institution, its parent undertaking, or a bridge institution that may be issued to it or otherwise conferred on it, and that such shares or other instruments of ownership will be accepted by it in lieu of any rights with respect to any such liability under this Agreement or any other Loan Document; or (iii) the variation of the terms of such liability in connection with the exercise of the Write- Down and Conversion Powers of the applicable Resolution Authority. 10.23. Acknowledgement Regarding Any Supported QFCs. To the extent that the Loan Documents provide support, through a guarantee or otherwise, for any Swap Contract or any other agreement or instrument that is a QFC (such support, “QFC Credit Support”, and each such QFC, a “Supported QFC”), the parties acknowledge and agree as follows with respect to the resolution power of the Federal Deposit Insurance Corporation under the Federal Deposit Insurance Act and Title II of the Dodd-Frank Wall Street Reform and Consumer Protection Act (together with the regulations promulgated thereunder, the “U.S. Special Resolution Regimes”) in respect of such Supported QFC and QFC Credit Support (with the provisions below applicable notwithstanding that the Loan Documents and any Supported QFC may in fact be stated to be governed by the laws of the State of New York and/or of the United States or any other state of the United States):


 
106 (a) In the event a Covered Entity that is party to a Supported QFC (each, a “Covered Party”) becomes subject to a proceeding under a U.S. Special Resolution Regime, the transfer of such Supported QFC and the benefit of such QFC Credit Support (and any interest and obligation in or under such Supported QFC and such QFC Credit Support, and any rights in property securing such Supported QFC or such QFC Credit Support) from such Covered Party will be effective to the same extent as the transfer would be effective under the U.S. Special Resolution Regime if the Supported QFC and such QFC Credit Support (and any such interest, obligation and rights in property) were governed by the laws of the United States or a state of the United States. In the event a Covered Party or a BHC Act Affiliate of a Covered Party becomes subject to a proceeding under a U.S. Special Resolution Regime, Default Rights under the Loan Documents that might otherwise apply to such Supported QFC or any QFC Credit Support that may be exercised against such Covered Party are permitted to be exercised to no greater extent than such Default Rights could be exercised under the U.S. Special Resolution Regime if the Supported QFC and the Loan Documents were governed by the laws of the United States or a state of the United States. Without limitation of the foregoing, it is understood and agreed that rights and remedies of the parties with respect to a Defaulting Lender shall in no event affect the rights of any Covered Party with respect to a Supported QFC or any QFC Credit Support. (b) As used in this Section 10.23, the following terms have the following meanings: “BHC Act Affiliate” of a party means an “affiliate” (as such term is defined under, and interpreted in accordance with, 12 U.S.C. 1841(k)) of such party. “Covered Entity” means any of the following: (i) a “covered entity” as that term is defined in, and interpreted in accordance with, 12 C.F.R. § 252.82(b); (ii) a “covered bank” as that term is defined in, and interpreted in accordance with, 12 C.F.R. § 47.3(b); or (iii) a “covered FSI” as that term is defined in, and interpreted in accordance with, 12 C.F.R. § 382.2(b). “Default Right” has the meaning assigned to that term in, and shall be interpreted in accordance with, 12 C.F.R. §§ 252.81, 47.2 or 382.1, as applicable. “QFC” has the meaning assigned to the term “qualified financial contract” in, and shall be interpreted in accordance with, 12 U.S.C. 5390(c)(8)(D). THIS AGREEMENT AND THE OTHER LOAN DOCUMENTS REPRESENT THE FINAL AGREEMENT AMONG THE PARTIES AND MAY NOT BE CONTRADICTED BY EVIDENCE OF PRIOR, CONTEMPORANEOUS, OR SUBSEQUENT ORAL AGREEMENTS OF THE PARTIES. THERE ARE NO UNWRITTEN ORAL AGREEMENTS AMONG THE PARTIES. (Signatures on next page)


 
1 IN WITNESS WHEREOF, the parties hereto have caused this Agreement to be duly executed as of the date first above written. BORROWER: Tanger Properties Limited Partnership, a North Carolina limited partnership By: Tanger Inc., its sole general partner By: /s/ Thomas J. Guerrieri, Jr. Name: Thomas J. Guerrieri, Jr. Title: Senior Vice President, Chief Accounting Officer (Signatures page continue)


 
2 LENDERS/AGENT: BANK OF AMERICA, N.A., individually in its capacity as Administrative Agent By:/s/ David J. Smith Name: David J. Smith Title: Vice President (signature pages continue)


 
3 BANK OF AMERICA, N.A., individually in its capacity as a Lender By:/s/ Tanya L. Acosta Name: Tanya L. Acosta Title: Senior Vice President (signature pages continue)


 
4 WELLS FARGO BANK, NATIONAL ASSOCIATION, individually in its capacity as a Lender By:/s/ Oliver Woodruff Name: Oliver Woodruff Title: Vice President (signature pages continue)


 
5 U.S. BANK NATIONAL ASSOCIATION, individually in its capacity as a Lender By:/s/ Germaine R. Korhone Name: Germaine R. Korhone Title: Senior Vice President (signature pages continue)


 
6 TRUIST BANK, f/k/a Branch Banking and Trust Company, successor by merger to SunTrust Bank, individually in its capacity as a Lender By:/s/ Raymond Almond Name: Raymond Almond Title: Director (signature pages continue)


 
7 REGIONS BANK, individually in its capacity as a Lender By:/s/ Ghi S. Gavin Name: Ghi S. Gavin Title: Senior Vice President (signature pages continue)


 
8 TD BANK, N.A., individually in its capacity as a Lender By:/s/ Michael Duganich Name: Michael Duganich Title: Vice President (signature pages continue)


 
9 THE BANK OF NOVA SCOTIA, individually in its capacity as a Lender By:/s/ Allisson van Dijkum Name: Allisson van Dijkum Title: Managing Director and Head


 
10 FIRST CITIZENS BANK & TRUST COMPANY individually in its capacity as a Lender By:/s/ Eric Searls Name: Eric Searls Title: Managing Director


 
1 SCHEDULE 1.01 EXISTING LETTERS OF CREDIT None.


 
1 SCHEDULE 2.01 COMMITMENTS AND APPLICABLE PERCENTAGES Lender Revolving Commitment Applicable Percentage Bank of America, N.A. $90,000,000.00 15.000000000% Wells Fargo Bank, National Association $90,000,000.00 15.000000000% U.S. Bank National Association $90,000,000.00 15,000000000% Truist Bank $90,000,000.00 15,000000000% Regions Bank $70,000,000.00 11.666666667% TD Bank, N.A. $90,000,000.00 15,000000000% The Bank of Nova Scotia $45,000,000.00 7.500000000% First Citizens Bank & Trust $35,000,000.00 5.833333333% Totals: $600,000,000.00 100.000000000%


 
1 SCHEDULE 5.05 SUPPLEMENT TO FINANCIAL STATEMENTS None.


 
1 SCHEDULE 5.06 LITIGATION None.


 
1 SCHEDULE 5.09 ENVIRONMENTAL DISCLOSURE ITEMS None.


 
1 SCHEDULE 5.12(d) PENSION PLAN OBLIGATIONS None.


 
1 SCHEDULE 5.13 SUBSIDIARIES, OTHER EQUITY INVESTMENTS AND EQUITY INTERESTS IN THE BORROWER


 
2 SCHEDULE 5.18 INTELLECTUAL PROPERTY MATTERS None.


 
1 . SCHEDULE 10.02 ADMINISTRATIVE AGENT’S OFFICE; CERTAIN ADDRESSES FOR NOTICES Tanger Properties Limited Partnership 3200 Northline Ave., Suite 360 Greensboro, NC 27408 Attn: Stephen Yalof With copies to the following: James F. Williams Cynthia M. Holt Telephone: 336-292-3010 Telecopier: 336-297-0931 Electronic Mail: tanger@tangeroutlets.com With copies to the following: jim.williams@tangeroutlets.com Cyndi.Holt@tangeroutlets.com Sarah.Joplin@tangeroutlets.com Website Address: tangeroutlet.com Taxpayer ID No. of Borrower: 56-1822494 Taxpayer ID No. of Parent: 56-1815473 [Administrative Agent and L/C Issuer addresses on following page(s)]


 
2 ADMINISTRATIVE AGENT: Administrative Agent’s Office (for payments and Requests for Borrowings): Bank of America, N.A. Attn: Charlotte Conn Dallas Infomart 1950 N Stemmons Freeway Suite 6053 Dallas, TX, 75207 TX1-160-06-02 Telephone: 469-201-8220 Fax: 214.290.9653 Email: charlotte.a.conn@bofa.com Bank of America, N.A. ABA # 026009593 New York, NY Account #: 1366072250600 Attn: Wire Clearing Acct for Syn Loans - LIQ Ref: Tanger Properties Limited Partnership Other Notices as Administrative Agent Bank of America, N.A. Attn: David J. Smith Building B 7105 Corporate Drive Plano, TX, 75024 TX2-981-02-29 Telephone: _214-209-4124 Email: david.smith2@bofa.com L/C ISSUER Bank of America, NA PA6-580-02-30 1 Fleet Way Scranton, PA 18507 Attention: Michael Grizzanti Telephone: 570-496-9621 Fax: 800-755-8743 Email: scranton_standby_lc@bofa.com


 
A-1 Form of Committed Loan Notice EXHIBIT A FORM OF COMMITTED LOAN NOTICE Date: _____________., _________ To: Bank of America, N.A., as Administrative Agent Ladies and Gentlemen: Reference is made to that certain Fifth Amended and Restated Credit Agreement, dated as of April 12, 2024 (as amended, restated, extended, supplemented or otherwise modified in writing from time to time, the “Agreement;” the terms defined therein being used herein as therein defined), among Tanger Properties Limited Partnership (the “Borrower”), the Lenders from time to time party thereto, and Bank of America, N.A., as Administrative Agent and L/C Issuer. The undersigned hereby requests (select one): A Borrowing of Committed Loans A conversion or continuation of Loans 1. On ______________________________ (a Business Day). 2. In the amount of _______________. 3. Comprised of _______________________________. [Type of Committed Loan requested] 4. In the following currency: ________________________. 5. For Term SOFR Committed Loans or Alternative Currency Loans: with an Interest Period of __________ month(s). The Committed Borrowing, if any, requested herein complies with the provisos to the first sentence of Section 2.01 of the Agreement. BORROWER: Tanger Properties Limited Partnership, a North Carolina limited partnership By: Tanger Inc., its sole general partner By: ________________________________ Name: Title:


 
B-1-1 Form of Bid Request EXHIBIT B-1 FORM OF BID REQUEST To: Bank of America, N.A., as Administrative Agent Ladies and Gentlemen: Reference is made to that certain Fifth Amended and Restated Credit Agreement, dated as of April 12, 2024 (as amended, restated, extended, supplemented or otherwise modified in writing from time to time, the “Agreement;” the terms defined therein being used herein as therein defined), among Tanger Properties Limited Partnership (the “Borrower”), the Lenders from time to time party thereto, and Bank of America, N.A., as Administrative Agent and L/C Issuer. The Lenders are invited to make Bid Loans: 1. On (a Business Day). 2. In an aggregate amount not exceeding $ (with any sublimits set forth below). 3. Comprised of (select one): Bid Loans based on an Absolute Rate Bid Loans based on Term SOFR Bid Loan No. Interest Period requested Maximum principal amount requested 1 _______days/mos $ 2 _______days/mos $ 3 _______days/mos $ The Bid Borrowing requested herein complies with the requirements of the proviso to the first sentence of Section 2.03(a) of the Agreement. The Borrower authorizes the Administrative Agent to deliver this Bid Request to the Lenders. Responses by the Lenders must be in substantially the form of Exhibit B-2 to the Agreement and must be received by the Administrative Agent by the time specified in Section 2.03 of the Agreement for submitting Competitive Bids. BORROWER: Tanger Properties Limited Partnership, a North Carolina limited partnership By: Tanger Inc., its sole general partner By: ________________________________ Name: Title:


 
B-2-1 Form of Competitive Bid EXHIBIT B-2 FORM OF COMPETITIVE BID , ____ To: Bank of America, N.A., as Administrative Agent Ladies and Gentlemen: Reference is made to that certain Fifth Amended and Restated Credit Agreement, dated as of April 12, 2024 (as amended, restated, extended, supplemented or otherwise modified in writing from time to time, the “Agreement;” the terms defined therein being used herein as therein defined), among Tanger Properties Limited Partnership (the “Borrower”), the Lenders from time to time party thereto, and Bank of America, N.A., as Administrative Agent and L/C Issuer. In response to the Bid Request dated , ____, the undersigned offers to make the following Bid Loan(s): 1. Borrowing date: (a Business Day). 2. In an aggregate amount not exceeding $ (with any sublimits set forth below). 3. Comprised of: Bid Loan No. Interest Period offered Bid Maximum Absolute Rate Bid or Benchmark Margin Bid* 1 _______days/mos $ (- +) _______% 2 _______days/mos $ (- +) _______% 3 _______days/mos $ (- +) _______% * Expressed in multiples of 1/100th of a basis point.


 
B-2-2 Contact Person: _________________________ Telephone: _____________________________ [LENDER] By: Name: Title: ****************************************************************************** THIS SECTION IS TO BE COMPLETED BY THE BORROWER IF IT WISHES TO ACCEPT ANY OFFERS CONTAINED IN THIS COMPETITIVE BID: The offers made above are hereby accepted in the amounts set forth below: Bid Loan No. Principal Amount Accepted $ $ $ BORROWER: Tanger Properties Limited Partnership, a North Carolina limited partnership By: Tanger Inc., its sole general partner By: ________________________________ Name: Title:


 
C-1 EXHIBIT C [INTENTIONALLY OMITTED]


 
D-1 Form of Note EXHIBIT D FORM OF NOTE April 12, 2024 FOR VALUE RECEIVED, the undersigned (the “Borrower”) hereby promises to pay to [_____________________] or registered assigns (the “Lender”), in accordance with the provisions of the Agreement (as hereinafter defined), the principal amount of each Loan from time to time made by the Lender to the Borrower under that certain Fifth Amended and Restated Credit Agreement, dated as of April 12, 2024 (as amended, restated, extended, supplemented or otherwise modified in writing from time to time, the “Agreement;” the terms defined therein being used herein as therein defined), among Tanger Properties Limited Partnership (the “Borrower”), the Lenders from time to time party thereto, and Bank of America, N.A., as Administrative Agent and L/C Issuer. The Borrower promises to pay interest on the unpaid principal amount of each Loan from the date of such Loan until such principal amount is paid in full, at such interest rates and at such times as provided in the Agreement. All payments of principal and interest shall be made to the Administrative Agent for the account of the Lender in the currency in which such Committed Loan is denominated and in Same Day Funds at the Administrative Agent’s Office for such currency. If any amount is not paid in full when due hereunder, such unpaid amount shall bear interest, to be paid upon demand, from the due date thereof until the date of actual payment (and before as well as after judgment) computed at the per annum rate set forth in the Agreement. This Note is one of the Notes referred to in the Agreement, is entitled to the benefits thereof and may be prepaid in whole or in part subject to the terms and conditions provided therein. This Note is also entitled to the benefits of the Guaranty. Upon the occurrence and continuation of one or more of the Events of Default specified in the Agreement, all amounts then remaining unpaid on this Note shall become, or may be declared to be, immediately due and payable all as provided in the Agreement. Loans made by the Lender shall be evidenced by one or more loan accounts or records maintained by the Lender in the ordinary course of business. The Lender may also attach schedules to this Note and endorse thereon the date, amount, currency and maturity of its Loans and payments with respect thereto. The Borrower, for itself, its successors and assigns, hereby waives diligence, presentment, protest and demand and notice of protest, demand, dishonor and non-payment of this Note.


 
D-2 Form of Note THIS NOTE SHALL BE GOVERNED BY AND CONSTRUED IN ACCORDANCE WITH THE LAWS OF THE STATE OF NEW YORK. BORROWER: Tanger Properties Limited Partnership, a North Carolina limited partnership By: Tanger Inc., its sole general partner By: ________________________________ Name: Title:


 
D-3 Form of Note LOANS AND PAYMENTS WITH RESPECT THERETO Date Type of Loan Made Currency and Amount of Loan Made End of Interest Period Amount of Principal or Interest Paid This Date Outstanding Principal Balance This Date Notation Made By _________


 
E-1 Form of Compliance Certificate EXHIBIT E Form of COMPLIANCE CERTIFICATE Check for distribution to PUBLIC and Private Side Lenders1 Financial Statement Date: _______________, _____ To: Bank of America, N.A., as Administrative Agent Ladies and Gentlemen: Reference is made to that certain Fifth Amended and Restated Credit Agreement, dated as of April 12, 2024 (as amended, restated, extended, supplemented or otherwise modified in writing from time to time, the “Agreement;” the terms defined therein being used herein as therein defined), among Tanger Properties Limited Partnership (the “Borrower”), the Lenders from time to time party thereto, and Bank of America, N.A., as Administrative Agent and L/C Issuer. The undersigned Responsible Officer hereby certifies as of the date hereof that he/she is the _______________________________________ of the Borrower, and that, as such, he/she is authorized to execute and deliver this Certificate to the Administrative Agent on the behalf of the Borrower, and that: [Use following paragraph 1 for fiscal year-end financial statements] 1. The Borrower has delivered the year-end audited financial statements required by Section 6.01(a) of the Agreement for the fiscal year of the Borrower ended as of the above date, together with the report and opinion of an independent certified public accountant required by such section. [Use following paragraph 1 for fiscal quarter-end financial statements] 1. The Borrower has delivered the unaudited financial statements required by Section 6.01(b) of the Agreement for the fiscal quarter of the Borrower ended as of the above date. To the knowledge of the undersigned, such financial statements fairly present, in all material respects, the financial condition, results of operations and cash flows of the Borrower and its Subsidiaries in accordance with GAAP as at such date and for such period, subject only to normal year-end audit adjustments and the absence of footnotes. 2. The undersigned has reviewed and is familiar with the terms of the Agreement and has made, or has caused to be made under his/her supervision, a detailed review of the transactions and condition (financial or otherwise) of the Borrower during the accounting period covered by such financial statements. 3. A review of the activities of the Borrower during such fiscal period has been made under the supervision of the undersigned with a view to determining whether during such fiscal period the Borrower performed and observed, in all material respects, all its Obligations under the Loan Documents, and [select one:] [to the knowledge of the undersigned, during such fiscal period the Borrower performed and observed each covenant and condition of the Loan Documents applicable to it, and no Default has occurred and is continuing.] --or-- 1 If this is not checked, this certificate will only be posted to Private Side Lenders.


 
E-2 Form of Compliance Certificate [to the knowledge of the undersigned, during such fiscal period the following covenants or conditions have not been performed or observed and the following is a list of each such Default and its nature and status:] 4. To the knowledge of the undersigned, the representations and warranties of the Borrower contained in Article V of the Credit Agreement, and any representations and warranties of any Guarantor that are contained in the Guaranty are, except to the extent waived in accordance with the terms hereof, true and correct in all material respects on and as of the date hereof, except (a) to the extent that such representations and warranties specifically refer to an earlier date, in which case they shall be true and correct as of such earlier date, (b) that the representations and warranties contained in subsections (a) and (b) of Section 5.05 shall be deemed to refer to the most recent statements furnished pursuant to clauses (a) and (b), respectively, of Section 6.01 and (c) for purposes of the representations and warranties set forth in Section 5.13, to the extent of changes resulting from transactions and other events contemplated or not prohibited by this Agreement or the other Loan Documents and changes occurring in the ordinary course of Borrower’s business. 5. The financial covenant analyses and information set forth on Schedule 1 attached hereto are, to the best knowledge of the undersigned, true and accurate on and as of the date of this Certificate. IN WITNESS WHEREOF, the undersigned has executed this Certificate as of _______________, _____. BORROWER: Tanger Properties Limited Partnership, a North Carolina limited partnership By: Tanger Inc., its sole general partner By: ________________________________ Name: Title:


 
E-3 Form of Compliance Certificate For the Quarter/Year ended ___________________(“Statement Date”) SCHEDULE 1 to the Compliance Certificate [INSERT DETAILED FINANCIAL COVENANT CALCULATIONS]


 
F-1 Form of Assignment and Assumption EXHIBIT F-1 ASSIGNMENT AND ASSUMPTION This Assignment and Assumption (this “Assignment and Assumption”) is dated as of the Effective Date set forth below and is entered into by and between [the][each]2 Assignor identified in item 1 below ([the][each, an] “Assignor”) and [the][each]3 Assignee identified in item 2 below ([the][each, an] “Assignee”). [It is understood and agreed that the rights and obligations of [the Assignors] [the Assignees]4 hereunder are several and not joint.]5 Capitalized terms used but not defined herein shall have the meanings given to them in the Credit Agreement identified below (as amended, the “Credit Agreement”), receipt of a copy of which is hereby acknowledged by the Assignee. The Standard Terms and Conditions set forth in Annex 1 attached hereto are hereby agreed to and incorporated herein by reference and made a part of this Assignment and Assumption as if set forth herein in full. For an agreed consideration, [the][each] Assignor hereby irrevocably sells and assigns to [the Assignee][the respective Assignees], and [the][each] Assignee hereby irrevocably purchases and assumes from [the Assignor][the respective Assignors], subject to and in accordance with the Standard Terms and Conditions and the Credit Agreement, as of the Effective Date inserted by the Administrative Agent as contemplated below (i) all of [the Assignor’s][the respective Assignors’] rights and obligations in [its capacity as a Lender][their respective capacities as Lenders] under the Credit Agreement and any other documents or instruments delivered pursuant thereto in the amount[s] and equal to the percentage interest[s] identified below of all the outstanding rights and obligations under the respective facilities identified below (including, without limitation, the Letters of Credit included in such facilities) and (ii) to the extent permitted to be assigned under applicable law, all claims, suits, causes of action and any other right of [the Assignor (in its capacity as a Lender)][the respective Assignors (in their respective capacities as Lenders)] against any Person, whether known or unknown, arising under or in connection with the Credit Agreement, any other documents or instruments delivered pursuant thereto or the loan transactions governed thereby or in any way based on or related to any of the foregoing, including, but not limited to, contract claims, tort claims, malpractice claims, statutory claims and all other claims at law or in equity related to the rights and obligations sold and assigned pursuant to clause (i) above (the rights and obligations sold and assigned by [the][any] Assignor to [the][any] Assignee pursuant to clauses (i) and (ii) above being referred to herein collectively as [the][an] “Assigned Interest”). Each such sale and assignment is without recourse to [the][any] Assignor and, except as expressly provided in this Assignment and Assumption, without representation or warranty by [the][any] Assignor. 1. Assignor[s]: ______________________________ ______________________________ [Assignor [is] [is not] a Defaulting Lender] 2. Assignee[s]: ______________________________ ______________________________ [for each Assignee, indicate [Affiliate][Approved Fund] of [identify Lender]] 3. Borrower(s): Tanger Properties Limited Partnership 4. Administrative Agent: Bank of America, N.A., as the administrative agent under the Credit Agreement 5. Credit Agreement: Fifth Amended and Restated Credit Agreement, dated as of April 12, 2024 (as 2For bracketed language here and elsewhere in this form relating to the Assignor(s), if the assignment is from a single Assignor, choose the first bracketed language. If the assignment is from multiple Assignors, choose the second bracketed language. 3For bracketed language here and elsewhere in this form relating to the Assignee(s), if the assignment is to a single Assignee, choose the first bracketed language. If the assignment is to multiple Assignees, choose the second bracketed language. 4Select as appropriate. 5Include bracketed language if there are either multiple Assignors or multiple Assignees.


 
F-2 Form of Assignment and Assumption amended, restated, extended, supplemented or otherwise modified in writing from time to time, the “Agreement;” the terms defined therein being used herein as therein defined), among Tanger Properties Limited Partnership (the “Borrower”), the Lenders from time to time party thereto, and Bank of America, N.A., as Administrative Agent and L/C Issuer 6. Assigned Interest[s]:6 Assignor[s]7 Assignee[s]8 Facility Assigned9 Aggregate Amount of Commitment /Loans for all Lenders10 Amount of Commitmen t/Loans Assigned Percentage Assigned of Commitment/Loans 11 CUSIP Number ___________ $______________ $_________ ____________% ____________ $______________ $_________ ____________% ____________ $______________ $_________ ____________% [7. Trade Date: __________________]12 Effective Date: __________________, 20__ [TO BE INSERTED BY ADMINISTRATIVE AGENT AND WHICH SHALL BE THE EFFECTIVE DATE OF RECORDATION OF TRANSFER IN THE REGISTER THEREFOR.] The terms set forth in this Assignment and Assumption are hereby agreed to: ASSIGNOR[S]13 [NAME OF ASSIGNOR] By: _____________________________ Title: [NAME OF ASSIGNOR] By: _____________________________ Title: ASSIGNEE[S]14 [NAME OF ASSIGNEE] By: _____________________________ Title: [NAME OF ASSIGNEE] By: _____________________________ Title: 6The reference to “Loans” in the table should be used only if the Credit Agreement provides for Term Loans. 7List each Assignor, as appropriate. 8List each Assignee and, if available, its market entity identifier, as appropriate. 9Fill in the appropriate terminology for the types of facilities under the Credit Agreement that are being assigned under this Assignment (e.g. “Revolving Credit Commitment”, “Term Loan Commitment”, etc.). 10Amounts in this column and in the column immediately to the right to be adjusted by the counterparties to take into account any payments or prepayments made between the Trade Date and the Effective Date. 11Set forth, to at least 9 decimals, as a percentage of the Commitment/Loans of all Lenders thereunder. 12To be completed if the Assignor and the Assignee intend that the minimum assignment amount is to be determined as of the Trade Date. 13Add additional signature blocks as needed. Include both Fund/Pension Plan and manager making the trade (if applicable). 14Add additional signature blocks as needed. Include both Fund/Pension Plan and manager making the trade (if applicable).


 
F-3 Form of Assignment and Assumption [Consented to and]15 Accepted: BANK OF AMERICA, N.A., as Administrative Agent By: _________________________________ Title: [Consented to:]16 [___________________________] By: _________________________________ Title: 15To be added only if the consent of the Administrative Agent is required by the terms of the Credit Agreement. 16To be added only if the consent of the Borrower and/or other parties (e.g. L/C Issuer) is required by the terms of the Credit Agreement.


 
F-4 Form of Assignment and Assumption ANNEX 1 TO ASSIGNMENT AND ASSUMPTION STANDARD TERMS AND CONDITIONS FOR ASSIGNMENT AND ASSUMPTION 1. Representations and Warranties. 1.1 Assignor. [The][Each] Assignor (a) represents and warrants that (i) it is the legal and beneficial owner of [the][the relevant] Assigned Interest, (ii) [the][such] Assigned Interest is free and clear of any lien, encumbrance or other adverse claim, (iii) it has full power and authority, and has taken all action necessary, to execute and deliver this Assignment and Assumption and to consummate the transactions contemplated hereby and (iv) it is [not] a Defaulting Lender; and (b) assumes no responsibility with respect to (i) any statements, warranties or representations made in or in connection with the Credit Agreement or any other Loan Document, (ii) the execution, legality, validity, enforceability, genuineness, sufficiency or value of the Loan Documents or any collateral thereunder, (iii) the financial condition of the Borrower, any of its Subsidiaries or Affiliates or any other Person obligated in respect of any Loan Document or (iv) the performance or observance by the Borrower, any of its Subsidiaries or Affiliates or any other Person of any of their respective obligations under any Loan Document. 1.2 Assignee. [The][Each] Assignee (a) represents and warrants that (i) it has full power and authority, and has taken all action necessary, to execute and deliver this Assignment and Assumption and to consummate the transactions contemplated hereby and to become a Lender under the Credit Agreement, (ii) it meets all the requirements to be an assignee under Section 10.06(b)(iii) and (v) of the Credit Agreement (subject to such consents, if any, as may be required under Section 10.06(b)(iii) of the Credit Agreement), (iii) from and after the Effective Date, it shall be bound by the provisions of the Credit Agreement as a Lender thereunder and, to the extent of [the][the relevant] Assigned Interest, shall have the obligations of a Lender thereunder, (iv) it is sophisticated with respect to decisions to acquire assets of the type represented by [the][such] Assigned Interest and either it, or the Person exercising discretion in making its decision to acquire [the][such] Assigned Interest, is experienced in acquiring assets of such type, (v) it has received a copy of the Credit Agreement, and has received or has been accorded the opportunity to receive copies of the most recent financial statements delivered pursuant to Section __ thereof, as applicable, and such other documents and information as it deems appropriate to make its own credit analysis and decision to enter into this Assignment and Assumption and to purchase [the][such] Assigned Interest, (vi) it has, independently and without reliance upon the Administrative Agent or any other Lender and based on such documents and information as it has deemed appropriate, made its own credit analysis and decision to enter into this Assignment and Assumption and to purchase [the][such] Assigned Interest, and (vii) if it is a Foreign Lender, attached hereto is any documentation required to be delivered by it pursuant to the terms of the Credit Agreement, duly completed and executed by [the][such] Assignee; and (b) agrees that (i) it will, independently and without reliance upon the Administrative Agent, [the][any] Assignor or any other Lender, and based on such documents and information as it shall deem appropriate at the time, continue to make its own credit decisions in taking or not taking action under the Loan Documents, and (ii) it will perform in accordance with their terms all of the obligations which by the terms of the Loan Documents are required to be performed by it as a Lender. 2. Payments. From and after the Effective Date, the Administrative Agent shall make all payments in respect of [the][each] Assigned Interest (including payments of principal, interest, fees and other amounts) to [the][the relevant] Assignor for amounts which have accrued to but excluding the Effective Date and to [the][the relevant] Assignee for amounts which have accrued from and after the Effective Date. Notwithstanding the foregoing, the Administrative Agent shall make all payments of interest, fees or other amounts paid or payable in kind from and after the Effective Date to [the][the relevant] Assignee. 3. General Provisions. This Assignment and Assumption shall be binding upon, and inure to the benefit of, the parties hereto and their respective successors and assigns. This Assignment and Assumption may be executed in any number of counterparts, which together shall constitute one instrument. Delivery of an executed counterpart of a signature page of this Assignment and Assumption by telecopy shall be effective as delivery of a manually executed counterpart of this Assignment and Assumption. This Assignment and Assumption shall be governed by, and construed in accordance with, the law of the State of New York.


 
F-2-1 EXHIBIT F-2 FORM OF ADMINISTRATIVE QUESTIONNAIRE


 
G-1 Form of Guaranty EXHIBIT G FORM OF THIRD AMENDED AND RESTATED CONTINUING GUARANTY [Re: Tanger Properties Limited Partnership - 2024 Fifth Amended and Restated Credit Agreement] FOR VALUE RECEIVED, the sufficiency of which is hereby acknowledged, and in consideration of credit and/or financial accommodation heretofore or hereafter from time to time made or granted to TANGER PROPERTIES LIMITED PARTNERSHIP, a North Carolina limited partnership (the “Borrower”) by BANK OF AMERICA, N.A., in its capacity as the Administrative Agent under the Credit Agreement referenced herein (in such capacity and together with its successors and assigns as permitted under the Credit Agreement, the “Agent”) and the Lenders, as such term is defined in that certain Fifth Amended and Restated Credit Agreement, dated as of April 12, 2024 (as the same may be amended, restated, supplemented or otherwise modified from time to time, the “Credit Agreement”; capitalized terms used herein and not otherwise defined shall have the meanings set forth in the Credit Agreement) among the Borrower, the Agent, such Lenders, and the other parties named therein, the undersigned Guarantor (whether one or more the “Guarantor”, and if more than one jointly and severally) hereby furnishes to the Agent, for the benefit of the Agent and Lenders, its amended and restated guaranty of the Guaranteed Obligations (as hereinafter defined) as set forth herein; provided, that this Guaranty constitutes an amendment, restatement, and continuation of that certain Second Amended and Restated Continuing Guaranty initially entered into by Guarantor and certain other parties in favor of the Agent in connection with the Replaced Credit Facility (as the same may have been from time to time amended, restated, supplemented, or otherwise modified, the “Replaced Guaranty”) and does not constitute a novation, termination or release of or with respect to any of the obligations or indebtedness represented by the Replaced Guaranty. Now, therefore, the Guarantor agrees as follows: 1. Guaranty. The Guarantor hereby absolutely and unconditionally guarantees, as a guaranty of payment and performance and not merely as a guaranty of collection, prompt payment when due, whether at stated maturity, by required prepayment, upon acceleration, demand or otherwise, and at all times thereafter, of any and all existing and future indebtedness and liabilities of every kind, nature and character, direct or indirect, absolute or contingent, liquidated or unliquidated, voluntary or involuntary and whether for principal, interest, premiums, fees indemnities, damages, costs, expenses or otherwise, of the Borrower to the Agent and/or Lenders (collectively, the Agent and Lenders shall be referred to herein as the “Secured Parties”) arising under the Credit Agreement, the Loan Documents, Sections 2, 10 and 17 of this Guaranty, any other instruments, agreements or other documents of any kind or nature now or hereafter executed in connection with the Credit Agreement (including all renewals, extensions, amendments, refinancings and other modifications thereof and all costs, reasonable attorneys’ fees and expenses incurred by the Agent in connection with the collection or enforcement thereof) and whether recovery upon such indebtedness and liabilities may be or hereafter become unenforceable or shall be an allowed or disallowed claim under any proceeding or case commenced by or against the Guarantor or the Borrower under the Bankruptcy Code (Title 11, United States Code), any successor statute or any other liquidation, conservatorship, bankruptcy, assignment for the benefit of creditors, moratorium, rearrangement, receivership, insolvency, reorganization, or similar debtor relief laws of the United States or other applicable jurisdictions from time to time in effect and affecting the rights of creditors generally (collectively, “Debtor Relief Laws”), and including interest that accrues after the commencement by or against the Borrower of any proceeding under any Debtor Relief Laws (collectively, the “Guaranteed Obligations”). The Agent’s and/or Lenders’ books and records showing the amount of the Guaranteed Obligations shall be admissible in evidence in any action or proceeding, and absent manifest error shall be binding upon the Guarantor and conclusive for the purpose of establishing the amount of the Guaranteed Obligations. This Guaranty shall not be affected by the regularity or enforceability of the Guaranteed Obligations or any instrument or agreement evidencing any Guaranteed Obligations, or by the existence, validity, enforceability, perfection, non-perfection or extent of any collateral therefor, or by any fact or circumstance relating to the Guaranteed Obligations which might otherwise constitute a defense to the obligations of the Guarantor under this Guaranty, and the Guarantor hereby irrevocably waives any defenses it may now have or hereafter acquire in any way relating to any or all of the foregoing except the defense of payment. Anything contained herein to the contrary notwithstanding, (i) the obligations of the Guarantor


 
G-2 Form of Guaranty hereunder at any time shall be limited to an aggregate amount equal to the largest amount that would not render its obligations hereunder subject to avoidance as a fraudulent transfer or conveyance under Section 548 of the Bankruptcy Code (Title 11, United States Code) or any comparable provisions of any similar federal or state law, and (ii) the Guaranteed Obligations of a Guarantor shall exclude any Excluded Swap Obligations with respect to such Guarantor. 2. No Setoff or Deductions; Taxes; Payments. The Guarantor represents and warrants that it is organized and resident in the United States of America. The Guarantor shall make all payments hereunder without setoff or counterclaim and free and clear of and without deduction for any taxes, levies, imposts, duties, charges, fees, deductions, withholdings, compulsory loans, restrictions or conditions of any nature now or hereafter imposed or levied by any jurisdiction or any political subdivision thereof or taxing or other authority therein unless the Guarantor is compelled by law to make such deduction or withholding (and provided that nothing contained herein, including without limitation, the foregoing, shall limit or affect the Guarantor’s ability to bring any separate action or claim available to it at law or in equity). If any such obligation (other than one arising with respect to taxes based on or measured by the income or profits of the respective Secured Parties) is imposed upon the Guarantor with respect to any amount payable by it hereunder, the Guarantor will pay to the Agent (for the benefit of the Secured Parties), on the date on which such amount is due and payable hereunder, such additional amount in U.S. dollars as shall be necessary to enable the Agent (on behalf of the Secured Parties) to receive the same net amount which the Agent would have received on such due date had no such obligation been imposed upon the Guarantor. The Guarantor will deliver promptly to the Agent (for the benefit of the Secured Parties) certificates or other valid vouchers for all taxes or other charges deducted from or paid with respect to payments made by the Guarantor hereunder. The obligations of the Guarantor under this paragraph shall survive the payment in full of the Guaranteed Obligations and termination of this Guaranty. 3. Rights of Secured Parties. The Guarantor consents and agrees that the Agent (for the benefit of the Secured Parties) and/or Secured Parties (as applicable) may, at any time and from time to time, without notice or demand, and without affecting the enforceability or continuing effectiveness hereof: (a) amend, extend, renew, compromise, discharge, accelerate or otherwise change the time for payment or the terms of the Guaranteed Obligations or any part thereof; (b) take, hold, exchange, enforce, waive, release, fail to perfect, sell, or otherwise dispose of any security for the payment of this Guaranty or any Guaranteed Obligations; (c) apply such security and direct the order or manner of sale thereof as the Secured Parties, in their sole discretion (and subject to the terms of the Loan Documents) may determine; and (d) release or substitute one or more of any endorsers or other guarantors of any of the Guaranteed Obligations. Without limiting the generality of the foregoing, the Guarantor consents to the taking of, or failure to take, any action which might in any manner or to any extent vary the risks of the Guarantor under this Guaranty or which, but for this provision, might operate as a discharge of the Guarantor. 4. Certain Waivers. The Guarantor waives (a) any defense arising by reason of any disability or other defense of the Borrower or any other guarantor (other than full payment and performance), or the cessation from any cause whatsoever (including any act or omission of any Secured Party) of the liability of the Borrower; (b) any defense based on any claim that the Guarantor’s obligations exceed or are more burdensome than those of the Borrower; (c) the benefit of any statute of limitations affecting the Guarantor’s liability hereunder; (d) any right to proceed against the Borrower, proceed against or exhaust any security for the Indebtedness, or pursue any other remedy in the Agent’s or any other Secured Party’s power whatsoever; (e) any benefit of and any right to participate in any security now or hereafter held by the Agent or any other Secured Party; and (f) to the fullest extent permitted by law, any and all other defenses or benefits that may be derived from or afforded by applicable law limiting the liability of or exonerating guarantors or sureties. The Guarantor expressly waives all setoffs and counterclaims and all presentments, demands for payment or performance, notices of nonpayment or nonperformance, protests, notices of protest, notices of dishonor and all other notices or demands of any kind or nature whatsoever with respect to the Guaranteed Obligations, and all notices of acceptance of this Guaranty or of the existence, creation or incurrence of new or additional Guaranteed Obligations, including but not limited to the benefits of N.C. General Statutes §§ 26-7 through 26-9 inclusive, as amended, or any similar statute.


 
G-3 Form of Guaranty 5. Obligations Independent. The obligations of the Guarantor hereunder are those of primary obligor, and not merely as surety, and are independent of the Guaranteed Obligations and the obligations of any other guarantor, and a separate action may be brought against the Guarantor to enforce this Guaranty whether or not the Borrower or any other person or entity is joined as a party. 6. Subrogation. The Guarantor shall not exercise any right of subrogation, contribution, indemnity, reimbursement or similar rights with respect to any payments it makes under this Guaranty until all of the Guaranteed Obligations and any amounts payable under this Guaranty have been indefeasibly paid and performed in full and any commitments of the Lenders or facilities provided by the Lenders with respect to the Guaranteed Obligations are terminated. If any amounts are paid to the Guarantor in violation of the foregoing limitation, then such amounts shall be held in trust for the benefit of the Secured Parties and shall forthwith be paid to the Agent (for the benefit of the Secured Parties) to reduce the amount of the Guaranteed Obligations, whether matured or unmatured. 7. Termination; Reinstatement. This Guaranty is a continuing and irrevocable guaranty of all Guaranteed Obligations now or hereafter existing and shall remain in full force and effect until all Guaranteed Obligations and any other amounts payable under this Guaranty are indefeasibly paid in full in cash and any commitments of the Lenders or facilities provided by the Lenders with respect to the Guaranteed Obligations are terminated. Notwithstanding the foregoing, this Guaranty shall continue in full force and effect or be revived, as the case may be, if any payment by or on behalf of the Borrower or the Guarantor is made, or any Secured Party exercises its right of setoff, in respect of the Guaranteed Obligations and such payment or the proceeds of such setoff or any part thereof is subsequently invalidated, declared to be fraudulent or preferential, set aside or required (including pursuant to any settlement entered into by the Secured Parties in their discretion) to be repaid to a trustee, receiver or any other party, in connection with any proceeding under any Debtor Relief Laws or otherwise, all as if such payment had not been made or such setoff had not occurred and whether or not the Agent (for the benefit of the Secured Parties) is in possession of or has released this Guaranty and regardless of any prior revocation, rescission, termination or reduction. The obligations of the Guarantor under this paragraph shall be revived and this Guaranty reinstated in the event that this Guaranty is terminated prior to the occurrence of the events giving rise to the Guarantor’s obligations under this paragraph and the obligations of the Guarantor under this paragraph shall survive termination of this Guaranty. Notwithstanding the foregoing, or anything to the contrary contained in this Guaranty, any Guarantor’s obligations hereunder may be terminated and released at any time, including without limitation, at any time prior to the indefeasible payment and performance of all Guaranteed Obligations, in accordance with the terms of Credit Agreement, including without limitation, Section 6.12 and Section 9.12 thereof. 8. Subordination. The Guarantor hereby subordinates the payment of all obligations and indebtedness of the Borrower owing to the Guarantor, whether now existing or hereafter arising, including but not limited to any obligation of the Borrower to the Guarantor as subrogee of any Secured Party or resulting from the Guarantor’s performance under this Guaranty, to the indefeasible payment in full in cash of all Guaranteed Obligations. If the Agent (for the benefit of the Secured Parties) so requests, any such obligation or indebtedness of the Borrower to the Guarantor shall be enforced and performance received by the Guarantor as trustee for the Agent (for the benefit of the Secured Parties) and the proceeds thereof shall be paid over to the Agent (for the benefit of the Secured Parties) on account of the Guaranteed Obligations, but without reducing or affecting in any manner the liability of the Guarantor under this Guaranty. 9. Stay of Acceleration. In the event that acceleration of the time for payment of any of the Guaranteed Obligations is stayed, in connection with any case commenced by or against the Guarantor or Borrower under any Debtor Relief Laws, or otherwise, all such amounts shall nonetheless be payable by the Guarantor immediately upon demand by the Agent. 10. Expenses. The Guarantor shall pay on demand all non-reimbursed out-of-pocket expenses of the Agent (including reasonable attorneys’ fees and expenses and the allocated cost and disbursements of internal legal counsel) in any way relating to the enforcement or protection of the Agent’s or the other Secured Parties’ rights under this Guaranty or in respect of the Guaranteed Obligations, including any incurred during


 
G-4 Form of Guaranty any “workout” or restructuring in respect of the Guaranteed Obligations and any incurred in the preservation, protection or enforcement of any rights of the Agent or other Secured Parties in any proceeding any Debtor Relief Laws. The obligations of the Guarantor under this paragraph shall survive the payment in full of the Guaranteed Obligations and termination of this Guaranty. 11. Miscellaneous. No provision of this Guaranty may be waived, amended, supplemented or modified, except by a written instrument executed by the Agent (for the benefit of the Secured Parties) and the Guarantor. No failure by the Agent to exercise, and no delay in exercising, any right, remedy or power hereunder shall operate as a waiver thereof; nor shall any single or partial exercise of any right, remedy or power hereunder preclude any other or further exercise thereof or the exercise of any other right, power or remedy. The remedies herein provided are cumulative and not exclusive of any remedies provided by law or in equity. The unenforceability or invalidity of any provision of this Guaranty shall not affect the enforceability or validity of any other provision herein. Unless otherwise agreed by the Agent (for the benefit of the Secured Parties) and the Guarantor in writing, this Guaranty is not intended to supersede or otherwise affect any other guaranty now or hereafter given by the Guarantor for the benefit of any Secured Party or any term or provision thereof. 12. Condition of Borrower. The Guarantor acknowledges and agrees that it has the sole responsibility for, and has adequate means of, obtaining from the Borrower and any other guarantor such information concerning the financial condition, business and operations of the Borrower and any such other guarantor as the Guarantor requires, and that the Secured Parties have no duty, and the Guarantor is not relying on any Secured Party to, at any time, disclose to the Guarantor any information relating to the business, operations or financial condition of the Borrower or any other guarantor (the guarantor waiving any duty on the part of any Secured Party to disclose such information and any defense relating to the failure to provide the same). 13. Setoff. If and to the extent any payment is not made when due hereunder, but only if and in the event that the Obligations have been accelerated pursuant to Section 8.02(b) of the Credit Agreement following an Event of Default thereunder, then the Agent (for the benefit of the Secured Parties) may setoff and charge from time to time any amount so due against any or all of the Guarantor’s accounts or deposits with the Agent. 14. Representations and Warranties. The Guarantor represents and warrants that (a) it is duly organized and in good standing under the laws of the jurisdiction of its organization and has full capacity and right to make and perform this Guaranty, and all necessary authority has been obtained; (b) this Guaranty constitutes its legal, valid and binding obligation enforceable in accordance with its terms, except as such enforceability may be limited by (i) applicable bankruptcy, insolvency, reorganization, moratorium or similar laws affecting creditors’ rights generally and (ii) the application of general principles of equity, regardless of whether such enforceability is considered in a proceeding in equity or at law; (c) the making and performance of this Guaranty does not and will not violate the provisions of any applicable law, regulation or order, and does not and will not result in the breach of, or constitute a default or require any consent under, any material agreement, instrument, or document to which it is a party or by which it or any of its property may be bound or affected; except to the extent that any such violation, breach or default, or failure to obtain the same, as applicable, could not reasonably be expected to have a Material Adverse Effect; and (d) all consents, approvals, licenses and authorizations of, and filings and registrations with, any governmental authority required under applicable law and regulations for the making and performance of this Guaranty have been obtained or made and are in full force and effect, except to the extent that failure to obtain or file the same, as applicable, could not reasonably be expected to have a Material Adverse Effect. 15. Additional Representations, Warranties and Covenants of Guarantor. Guarantor hereby acknowledges, agrees and confirms that, by its execution hereof, Guarantor will be deemed to be a Loan Party under the Credit Agreement and a “Guarantor” for all purposes of the Credit Agreement. Guarantor further agrees to be bound by, all of the terms, provisions and conditions contained in herein and in the Credit Agreement applicable to a Guarantor.


 
G-5 Form of Guaranty 16. New Guarantors. Additional Persons (each such Person being referred to herein as a “New Guarantor”) may, from time to time, become parties hereto (and thereby become a “Guarantor”) pursuant to the terms and conditions set forth in Section 6.12 of the Credit Agreement through the execution of a counterpart signature page hereto. Each such New Guarantor hereby acknowledges, agrees and confirms that, by its execution of such counterpart, the New Guarantor will be deemed to be a Loan Party under the Credit Agreement and a “Guarantor” for all purposes of the Credit Agreement and shall have all of the obligations of the Guarantor hereunder as if it had executed this Agreement as of the Closing Date. Further, each such New Guarantor hereby ratifies, as of the date of its execution of a counterpart signature page hereto, and agrees to be bound by, all of the terms, provisions and conditions contained in herein and in the Credit Agreement applicable to a Guarantor. The obligations of each such New Guarantor hereunder and under the Credit Agreement will be joint and several with each other Person qualifying as a Guarantor hereunder. 17. Indemnification and Survival. Without limitation on any other obligations of the Guarantor or remedies of the Agent (for the benefit of the Secured Parties) under this Guaranty, the Guarantor shall, to the fullest extent permitted by law, indemnify, defend and save and hold harmless the Secured Parties from and against, and shall pay on demand, any and all reasonable damages, losses, liabilities and expenses (including reasonable attorneys’ fees and expenses and the allocated cost and disbursements of internal legal counsel) that may be suffered or incurred by the Secured Parties in connection with or as a result of any failure of any Guaranteed Obligations to be the legal, valid and binding obligations of the Borrower enforceable against the Borrower in accordance with their terms. 18. Keepwell. Each Loan Party that is a Qualified ECP Guarantor at the time this Guaranty by any Loan Party that is not then an “eligible contract participant” under the Commodity Exchange Act (a “Specified Loan Party”) or the grant of a security interest under the Loan Documents by any such Specified Loan Party, in either case, becomes effective with respect to any Swap Obligation, hereby jointly and severally, absolutely, unconditionally and irrevocably undertakes to provide such funds or other support to each Specified Loan Party with respect to such Swap Obligation as may be needed by such Specified Loan Party from time to time to honor all of its obligations under the Loan Documents in respect of such Swap Obligation (but, in each case, only up to the maximum amount of such liability that can be hereby incurred without rendering such Qualified ECP Guarantor’s obligations and undertakings under this Guaranty voidable under applicable Debtor Relief Laws, and not for any greater amount). The obligations and undertakings of each applicable Loan Party under this Section shall remain in full force and effect until the Guaranteed Obligations have been indefeasibly paid and performed in full. Each Loan Party intends this Section to constitute, and this Section shall be deemed to constitute, a “keepwell, support, or other agreement” for the benefit of each Loan Party that would otherwise not constitute an “eligible contract participant” for any Swap Obligation for all purposes of the Commodity Exchange Act. As used in this section, “Qualified ECP Guarantor” means, at any time, each Loan Party with total assets exceeding $10,000,000 or that qualifies at such time as an “eligible contract participant” under the Commodity Exchange Act and can cause another Person to qualify as an “eligible contract participant” at such time under Section 1a(18)(A)(v)(II) of the Commodity Exchange Act. 19. Governing Law; Assignment; Jurisdiction; Notices. This Guaranty shall be governed by, and construed in accordance with, the internal laws of the State of New York. This Guaranty shall (a) bind the Guarantor and its successors and assigns, provided that the Guarantor may not assign its rights or obligations under this Guaranty without the prior written consent of the Agent (and any attempted assignment without such consent shall be void), and (b) inure to the benefit of the Secured Parties and their successors and assigns and the Lenders may, without notice to the Guarantor and without affecting the Guarantor’s obligations hereunder, assign, sell or grant participations in the Guaranteed Obligations and this Guaranty, in whole or in part, in accordance with the terms of Section 10.06 of the Credit Agreement. The Guarantor hereby irrevocably (i) submits to the non-exclusive jurisdiction of any United States Federal or State court sitting in Charlotte, North Carolina in any action or proceeding arising out of or relating to this Guaranty, and (ii) waives to the fullest extent permitted by law any defense asserting an inconvenient forum in connection therewith. Service of process by the Agent in connection with such action or proceeding shall be binding on the Guarantor if sent to the Guarantor by registered or certified mail at its address specified below or such


 
G-6 Form of Guaranty other address as from time to time notified by the Guarantor. The Guarantor agrees that the Agent may disclose to any assignee of or participant in, or any prospective assignee of or participant in, any of its rights or obligations of all or part of the Guaranteed Obligations any and all information in the Agent’s possession concerning the Guarantor, this Guaranty and any security for this Guaranty, provided, that the Agent shall require any such recipient to agree in writing to maintain the confidentiality of such information. All notices and other communications to the Guarantor under this Guaranty shall be in writing and shall be delivered by hand or overnight courier service to the Guarantor at the address of the Borrower set forth in Schedule 10.02 to the Credit Agreement or at such other address in the United States as may be specified by the Guarantor in a written notice delivered to the Agent at the address of the Agent set forth in Schedule 10.02 to the Credit Agreement or at such other address in the United States as the Agent may designate for such purpose from time to time in a written notice to the Guarantor. 20. WAIVER OF JURY TRIAL; FINAL AGREEMENT. TO THE EXTENT ALLOWED BY APPLICABLE LAW, THE GUARANTOR AND THE AGENT EACH IRREVOCABLY WAIVES TRIAL BY JURY WITH RESPECT TO ANY ACTION, CLAIM, SUIT OR PROCEEDING ON, ARISING OUT OF OR RELATING TO THIS GUARANTY OR THE GUARANTEED OBLIGATIONS. THIS GUARANTY REPRESENTS THE FINAL AGREEMENT BETWEEN THE PARTIES AND MAY NOT BE CONTRADICTED BY EVIDENCE OF PRIOR, CONTEMPORANEOUS, OR SUBSEQUENT ORAL AGREEMENTS BETWEEN THE PARTIES. THERE ARE NO UNWRITTEN ORAL AGREEMENTS BETWEEN THE PARTIES. [remainder of page left intentionally blank – signature page(s) to follow]


 
G-7 Form of Guaranty Executed this ________, 2024. TANGER INC., a North Carolina corporation By: Name: Title:


 
G-8 Form of Guaranty Consented, accepted, and agreed to as an amendment and restatement of the Replaced Guaranty: Bank of America, N.A., as Administrative Agent By: Name: Title:


 
H-1-1 Form of U.S. Tax Compliance Certificate EXHIBIT H-1 FORM OF U.S. TAX COMPLIANCE CERTIFICATE (For Foreign Lenders That Are Not Partnerships For U.S. Federal Income Tax Purposes) Reference is hereby made to the Fifth Amended and Restated Credit Agreement, dated as of April 12, 2024 (as amended, restated, extended, supplemented or otherwise modified in writing from time to time, the “Agreement;” the terms defined therein being used herein as therein defined), among Tanger Properties Limited Partnership (the “Borrower”), the Lenders from time to time party thereto, and Bank of America, N.A., as Administrative Agent and L/C Issuer. Pursuant to the provisions of Section 3.01(e) of the Credit Agreement, the undersigned hereby certifies that (i) it is the sole record and beneficial owner of the Loan(s) (as well as any Note(s) evidencing such Loan(s)) in respect of which it is providing this certificate, (ii) it is not a bank within the meaning of Section 881(c)(3)(A) of the Code, (iii) it is not a ten percent shareholder of the Borrower within the meaning of Section 871(h)(3)(B) of the Code and (iv) it is not a controlled foreign corporation related to the Borrower as described in Section 881(c)(3)(C) of the Code. The undersigned has furnished the Administrative Agent and the Borrower with a certificate of its non-U.S. Person status on IRS Form W-8BENE (or W-8BEN, as applicable). By executing this certificate, the undersigned agrees that (1) if the information provided on this certificate changes, the undersigned shall promptly so inform the Borrower and the Administrative Agent, and (2) the undersigned shall have at all times furnished the Borrower and the Administrative Agent with a properly completed and currently effective certificate in either the calendar year in which each payment is to be made to the undersigned, or in either of the two calendar years preceding such payments. Unless otherwise defined herein, terms defined in the Credit Agreement and used herein shall have the meanings given to them in the Credit Agreement. [NAME OF LENDER] By: _______________________ Name: ________________________ Title: ________________________ Date: ________ __, 20[ ]


 
H-2-1 Form of U.S. Tax Compliance Certificate EXHIBIT H-2 FORM OF U.S. TAX COMPLIANCE CERTIFICATE (For Foreign Participants That Are Not Partnerships For U.S. Federal Income Tax Purposes) Reference is hereby made to the Fifth Amended and Restated Credit Agreement, dated as of April 12, 2024 (as amended, restated, extended, supplemented or otherwise modified in writing from time to time, the “Agreement;” the terms defined therein being used herein as therein defined), among Tanger Properties Limited Partnership (the “Borrower”), the Lenders from time to time party thereto, and Bank of America, N.A., as Administrative Agent and L/C Issuer. Pursuant to the provisions of Section 3.01(e) of the Credit Agreement, the undersigned hereby certifies that (i) it is the sole record and beneficial owner of the participation in respect of which it is providing this certificate, (ii) it is not a bank within the meaning of Section 881(c)(3)(A) of the Code, (iii) it is not a ten percent shareholder of the Borrower within the meaning of Section 871(h)(3)(B) of the Code, and (iv) it is not a controlled foreign corporation related to the Borrower as described in Section 881(c)(3)(C) of the Code. The undersigned has furnished its participating Lender with a certificate of its non-U.S. Person status on IRS Form W-8BENE (or W-8BEN, as applicable). By executing this certificate, the undersigned agrees that (1) if the information provided on this certificate changes, the undersigned shall promptly so inform such Lender in writing, and (2) the undersigned shall have at all times furnished such Lender with a properly completed and currently effective certificate in either the calendar year in which each payment is to be made to the undersigned, or in either of the two calendar years preceding such payments. Unless otherwise defined herein, terms defined in the Credit Agreement and used herein shall have the meanings given to them in the Credit Agreement. [NAME OF PARTICIPANT] By: _______________________ Name: ________________________ Title: ________________________ Date: ________ __, 20[ ]


 
H-3-1 Form of U.S. Tax Compliance Certificate EXHIBIT H-3 FORM OF U.S. TAX COMPLIANCE CERTIFICATE (For Foreign Participants That Are Partnerships For U.S. Federal Income Tax Purposes) Reference is hereby made to the Fifth Amended and Restated Credit Agreement, dated as of April 12, 2024 (as amended, restated, extended, supplemented or otherwise modified in writing from time to time, the “Agreement;” the terms defined therein being used herein as therein defined), among Tanger Properties Limited Partnership (the “Borrower”), the Lenders from time to time party thereto, and Bank of America, N.A., as Administrative Agent and L/C Issuer. Pursuant to the provisions of Section 3.01(e) of the Credit Agreement, the undersigned hereby certifies that (i) it is the sole record owner of the participation in respect of which it is providing this certificate, (ii) its direct or indirect partners/members are the sole beneficial owners of such participation, (iii) with respect to such participation, neither the undersigned nor any of its direct or indirect partners/members is a bank extending credit pursuant to a loan agreement entered into in the ordinary course of its trade or business within the meaning of Section 881(c)(3)(A) of the Code, (iv) none of its direct or indirect partners/members is a ten percent shareholder of the Borrower within the meaning of Section 871(h)(3)(B) of the Code and (v) none of its direct or indirect partners/members is a controlled foreign corporation related to the Borrower as described in Section 881(c)(3)(C) of the Code. The undersigned has furnished its participating Lender with IRS Form W-8IMY accompanied by one of the following forms from each of its partners/members that is claiming the portfolio interest exemption: (i) an IRS Form W-8BENE (or W-8BEN, as applicable) or (ii) an IRS Form W-8IMY accompanied by an IRS Form W-8BENE (or W-8BEN, as applicable) from each of such partner’s/member’s beneficial owners that is claiming the portfolio interest exemption. By executing this certificate, the undersigned agrees that (1) if the information provided on this certificate changes, the undersigned shall promptly so inform such Lender and (2) the undersigned shall have at all times furnished such Lender with a properly completed and currently effective certificate in either the calendar year in which each payment is to be made to the undersigned, or in either of the two calendar years preceding such payments. Unless otherwise defined herein, terms defined in the Credit Agreement and used herein shall have the meanings given to them in the Credit Agreement. [NAME OF PARTICIPANT] By: _______________________ Name: ________________________ Title: ________________________ Date: _______________, 20[ ]


 
H-4-1 Form of U.S. Tax Compliance Certificate EXHIBIT H-4 FORM OF U.S. TAX COMPLIANCE CERTIFICATE (For Foreign Lenders That Are Partnerships For U.S. Federal Income Tax Purposes) Reference is hereby made to the Fifth Amended and Restated Credit Agreement, dated as of April 12, 2024 (as amended, restated, extended, supplemented or otherwise modified in writing from time to time, the “Agreement;” the terms defined therein being used herein as therein defined), among Tanger Properties Limited Partnership (the “Borrower”), the Lenders from time to time party thereto, and Bank of America, N.A., as Administrative Agent and L/C Issuer. Pursuant to the provisions of Section 3.01(e) of the Credit Agreement, the undersigned hereby certifies that (i) it is the sole record owner of the Loan(s) (as well as any Note(s) evidencing such Loan(s)) in respect of which it is providing this certificate, (ii) its direct or indirect partners/members are the sole beneficial owners of such Loan(s) (as well as any Note(s) evidencing such Loan(s)), (iii) with respect to the extension of credit pursuant to this Credit Agreement or any other Loan Document, neither the undersigned nor any of its direct or indirect partners/members is a bank extending credit pursuant to a loan agreement entered into in the ordinary course of its trade or business within the meaning of Section 881(c)(3)(A) of the Code, (iv) none of its direct or indirect partners/members is a ten percent shareholder of the Borrower within the meaning of Section 871(h)(3)(B) of the Code and (v) none of its direct or indirect partners/members is a controlled foreign corporation related to the Borrower as described in Section 881(c)(3)(C) of the Code. The undersigned has furnished the Administrative Agent and the Borrower with IRS Form W-8IMY accompanied by one of the following forms from each of its partners/members that is claiming the portfolio interest exemption: (i) an IRS Form W-8BENE (or W-8BEN, as applicable) or (ii) an IRS Form W-8IMY accompanied by an IRS Form W-8BENE (or W-8BEN, as applicable) from each of such partner’s/member’s beneficial owners that is claiming the portfolio interest exemption. By executing this certificate, the undersigned agrees that (1) if the information provided on this certificate changes, the undersigned shall promptly so inform the Borrower and the Administrative Agent, and (2) the undersigned shall have at all times furnished the Borrower and the Administrative Agent with a properly completed and currently effective certificate in either the calendar year in which each payment is to be made to the undersigned, or in either of the two calendar years preceding such payments. Unless otherwise defined herein, terms defined in the Credit Agreement and used herein shall have the meanings given to them in the Credit Agreement. [NAME OF LENDER] By: Name: ________________________ Title: _________________________ Date: _______________, 20[ ]


 
tanger-2024fiftharliquid
169525926v6 FIFTH AMENDED AND RESTATED LIQUIDITY CREDIT AGREEMENT Dated as of April 12, 2024 Among TANGER PROPERTIES LIMITED PARTNERSHIP, as the Borrower, BANK OF AMERICA, N.A., as Administrative Agent, and The Other Lenders Party Hereto


 
TABLE OF CONTENTS Page - i- 169525926v6 ARTICLE I DEFINITIONS AND ACCOUNTING TERMS ..................................................................................... 1 1.01 Defined Terms. ............................................................................................................................... 1 1.02 Other Interpretive Provisions ........................................................................................................ 25 1.03 Accounting Terms. ........................................................................................................................ 25 1.04 Rounding. ...................................................................................................................................... 26 1.05 Performance of Delivery Obligations Under Corporate Credit Facility. ....................................... 26 1.06 Times of Day ................................................................................................................................. 26 1.07 Applicable Rate Redeterminations. ............................................................................................... 26 1.08 Interest Rates. ................................................................................................................................ 27 ARTICLE II THE COMMITMENTS AND CREDIT EXTENSIONS ..................................................................... 27 2.01 Committed Loans. ......................................................................................................................... 27 2.02 Borrowings and Conversions of Committed Loans. ..................................................................... 27 2.03 [Intentionally Omitted]. ................................................................................................................ 28 2.04 [Intentionally Omitted]. ................................................................................................................ 28 2.05 [Intentionally Omitted]. ................................................................................................................ 28 2.06 Prepayments .................................................................................................................................. 28 2.07 Termination or Reduction of Commitments. ................................................................................ 28 2.08 Repayment of Loans. .................................................................................................................... 29 2.09 Interest. ......................................................................................................................................... 29 2.10 Fees. .............................................................................................................................................. 30 2.11 Computation of Interest and Fees. ................................................................................................ 30 2.12 Evidence of Debt. .......................................................................................................................... 30 2.13 Payments Generally; Administrative Agent’s Clawback. ............................................................. 31 2.14 Sharing of Payments by Lenders. .................................................................................................. 32 2.15 Extension of Maturity Date. .......................................................................................................... 33 2.16 [Intentionally Omitted]. ................................................................................................................ 34 2.17 [Intentionally Omitted]. ................................................................................................................ 34 2.18 Defaulting Lenders. ....................................................................................................................... 34 2.19 ESG Amendment; Sustainability Coordinator ………………………………………………….. 35 ARTICLE III TAXES, YIELD PROTECTION AND ILLEGALITY ...................................................................... 35 3.01 Taxes. ............................................................................................................................................ 36 3.02 [Intentionally Omitted]. ................................................................................................................ 39 3.03 [Intentionally Omitted]. ................................................................................................................ 39 3.04 Increased Costs. ............................................................................................................................ 39 3.05 Compensation for Losses. ............................................................................................................. 40 3.06 Mitigation Obligations; Replacement of Lenders. ........................................................................ 40 3.07 Survival. ........................................................................................................................................ 41 3.08 Inability to Determine Rates; Replacement of SOFR or Successor Rate. ..................................... 41 ARTICLE IV CONDITIONS PRECEDENT TO CREDIT EXTENSIONS ............................................................. 42 4.01 Conditions of Initial Credit Extension. ......................................................................................... 42 4.02 Conditions to all Credit Extensions. .............................................................................................. 44 ARTICLE V REPRESENTATIONS AND WARRANTIES .................................................................................... 45 5.01 Existence, Qualification and Power. ............................................................................................. 45 5.02 Authorization; No Contravention. ................................................................................................. 45 5.03 Governmental Authorization; Other Consents. ............................................................................. 45 5.04 Binding Effect. .............................................................................................................................. 46 5.05 Financial Statements; No Material Adverse Effect. ...................................................................... 46


 
TABLE OF CONTENTS (continued) Page - ii- 169525926v6 5.06 Litigation. ...................................................................................................................................... 46 5.07 No Default. .................................................................................................................................... 46 5.08 Ownership of Property; Liens. ...................................................................................................... 46 5.09 Environmental Compliance. .......................................................................................................... 47 5.10 Insurance. ...................................................................................................................................... 47 5.11 Taxes. ............................................................................................................................................ 47 5.12 ERISA Compliance. ...................................................................................................................... 47 5.13 Subsidiaries; Equity Interests. ....................................................................................................... 48 5.14 Margin Regulations; Investment Company Act. ........................................................................... 48 5.15 Disclosure. .................................................................................................................................... 48 5.16 Compliance with Laws. ................................................................................................................. 48 5.17 Taxpayer Identification Number; Other Identifying Information. ................................................ 49 5.18 Intellectual Property; Licenses, Etc. .............................................................................................. 49 5.19 OFAC. ........................................................................................................................................... 49 5.20 Anti-Corruption Laws. .................................................................................................................. 49 5.21 EEA Financial Institutions; Covered Entities. .............................................................................. 49 5.22 Representations as to Foreign Obligors. ....................................................................................... 49 ARTICLE VI AFFIRMATIVE COVENANTS ........................................................................................................ 50 6.01 Financial Statements. .................................................................................................................... 50 6.02 Certificates; Other Information. .................................................................................................... 51 6.03 Notices. ......................................................................................................................................... 52 6.04 Payment of Taxes. ......................................................................................................................... 53 6.05 Preservation of Existence, Etc. ...................................................................................................... 53 6.06 Maintenance of Properties. ........................................................................................................... 53 6.07 Maintenance of Insurance. ............................................................................................................ 53 6.08 Compliance with Laws. ................................................................................................................. 54 6.09 Books and Records........................................................................................................................ 54 6.10 Inspection Rights. ......................................................................................................................... 54 6.11 Use of Proceeds. ............................................................................................................................ 54 6.12 Additional Guarantors. .................................................................................................................. 54 6.13 Approvals and Authorizations. ...................................................................................................... 55 6.14 REIT Status. .................................................................................................................................. 55 6.15 Environmental Matters. ................................................................................................................. 55 6.16 Anti-Corruption Laws. .................................................................................................................. 56 ARTICLE VII NEGATIVE COVENANTS .............................................................................................................. 56 7.01 Liens. ............................................................................................................................................. 57 7.02 Investments. .................................................................................................................................. 57 7.03 Indebtedness. ................................................................................................................................. 57 7.04 Fundamental Changes. .................................................................................................................. 57 7.05 Dispositions. .................................................................................................................................. 58 7.06 Anti-Terrorism/Anti-Corruption Laws. ......................................................................................... 59 7.07 Change in Nature of Business. ...................................................................................................... 59 7.08 Transactions with Affiliates. ......................................................................................................... 59 7.09 Burdensome Agreements. ............................................................................................................. 59 7.10 Use of Proceeds. ............................................................................................................................ 59 7.11 Financial Covenants. ..................................................................................................................... 59 7.12 Organizational Documents; Ownership of Subsidiaries. ............................................................... 60 7.13 Negative Pledges. .......................................................................................................................... 60 7.14 Sale Leasebacks. ........................................................................................................................... 60 7.15 Prepayments of Indebtedness. ....................................................................................................... 61


 
TABLE OF CONTENTS (continued) Page - iii- 169525926v6 7.16 Anti-Corruption Laws; Sanctions. ................................................................................................ 61 ARTICLE VIII EVENTS OF DEFAULT AND REMEDIES ................................................................................... 61 8.01 Events of Default. ......................................................................................................................... 61 8.02 Remedies Upon Event of Default. ................................................................................................ 63 8.03 Application of Funds. .................................................................................................................... 63 ARTICLE IX ADMINISTRATIVE AGENT ............................................................................................................ 64 9.01 Appointment and Authority. ......................................................................................................... 64 9.02 Rights as a Lender. ........................................................................................................................ 64 9.03 Exculpatory Provisions. ................................................................................................................ 64 9.04 Reliance by Administrative Agent. ............................................................................................... 65 9.05 Delegation of Duties. .................................................................................................................... 65 9.06 Resignation or Removal of Administrative Agent. ....................................................................... 66 9.07 Non-Reliance on Administrative Agent and Other Lenders. ........................................................ 67 9.08 [Intentionally Omitted]. ................................................................................................................ 67 9.09 Administrative Agent May File Proofs of Claim. ......................................................................... 67 9.10 ERISA Matters. ............................................................................................................................. 68 9.11 Guaranty Matters. ......................................................................................................................... 68 9.12 Recovery of Erroneous Payments. ................................................................................................ 69 ARTICLE X MISCELLANEOUS ............................................................................................................................ 69 10.01 Amendments, Etc. ......................................................................................................................... 69 10.02 Notices; Effectiveness; Electronic Communication. ..................................................................... 70 10.03 No Waiver; Cumulative Remedies; Enforcement. ........................................................................ 72 10.04 Expenses; Indemnity; Damage Waiver. ........................................................................................ 72 10.05 Payments Set Aside. ...................................................................................................................... 74 10.06 Successors and Assigns. ................................................................................................................ 74 10.07 Treatment of Certain Information; Confidentiality. ...................................................................... 77 10.08 Right of Setoff. .............................................................................................................................. 78 10.09 Interest Rate Limitation. ............................................................................................................... 78 10.10 Counterparts; Integration; Effectiveness. ...................................................................................... 78 10.11 Survival of Representations and Warranties. ................................................................................ 79 10.12 Severability. .................................................................................................................................. 79 10.13 Replacement of Lenders. ............................................................................................................... 79 10.14 Governing Law; Jurisdiction; Etc. ................................................................................................ 80 10.15 Waiver of Jury Trial. ..................................................................................................................... 81 10.16 No Advisory or Fiduciary Responsibility. .................................................................................... 81 10.17 Electronic Signatures. ................................................................................................................... 81 10.18 USA PATRIOT Act. ..................................................................................................................... 82 10.19 Time of the Essence. ..................................................................................................................... 82 10.20 Replaced Credit Facility. ............................................................................................................... 82 10.21 Acknowledgement and Consent to Bail-In of Affected Financial Institutions. ............................. 83 10.22 Acknowledgement Regarding Any Supported QFCs. .................................................................. 83


 
169525926v6 SCHEDULES 2.01 Commitments and Applicable Percentages 5.05 Supplement to Financial Statements 5.06 Litigation 5.09 Environmental Disclosure Items 5.12(d) Pension Plan Obligations 5.13 Subsidiaries; Other Equity Investments; Equity Interests in Borrower 5.18 Intellectual Property Matters 10.02 Administrative Agent’s Office; Certain Addresses for Notices EXHIBITS A Form of Committed Loan Notice B [Intentionally Omitted] C [Intentionally Omitted] D Form of Note E Form of Compliance Certificate F-1 Form of Assignment and Assumption F-2 Form of Administrative Questionnaire G Form of Guaranty H-1 Form of U.S. Tax Compliance Certificate H-2 Form of U.S. Tax Compliance Certificate H-3 Form of U.S. Tax Compliance Certificate H-4 Form of U.S. Tax Compliance Certificate


 
169525926v6 FIFTH AMENDED AND RESTATED LIQUIDITY CREDIT AGREEMENT This FIFTH AMENDED AND RESTATED LIQUIDITY CREDIT AGREEMENT (“Agreement”) is entered into as of April 12, 2024 among TANGER PROPERTIES LIMITED PARTNERSHIP, a North Carolina limited partnership (the “Borrower”), each lender from time to time party hereto either as a result of such party’s execution of this Agreement as a “Lender” as of the date hereof or as a result of such party being made a “Lender” hereunder by virtue of an executed Assignment and Assumption (collectively, the “Lenders” and individually, a “Lender”), and BANK OF AMERICA, N.A., as Administrative Agent. WHEREAS, the Borrower is a party to the Replaced Credit Facility (as defined herein); WHEREAS, the Borrower has requested that the Lenders amend and restate the Replaced Credit Facility in its entirety; WHEREAS, the Lenders are willing to do so on the terms and conditions set forth herein; and WHEREAS, (a) this Agreement is an amendment and restatement of the Replaced Credit Facility in its entirety and (b) this amendment and restatement does not represent a novation with respect to the rights and “Obligations” under the Replaced Credit Facility; NOW, THEREFORE, IN CONSIDERATION of the mutual covenants and agreements herein contained, and other good and valuable consideration, the receipt and sufficiency of which are hereby acknowledged, the parties hereto covenant and agree as follows: ARTICLE I DEFINITIONS AND ACCOUNTING TERMS 1.01 Defined Terms. As used in this Agreement, the following terms shall have the meanings set forth below: “Adjusted EBITDA” shall mean, with respect to a Person as of any Calculation Date and for the Calculation Period applicable to such Calculation Date, such Person’s EBITDA for such period plus (x) any general and administrative expenses not directly attributable and charged to the Subsidiaries or Properties less (y) the greater of (i) the actual property management fee paid during such period and (ii) an imputed general external property management fee in the amount of three percent (3%) of the rental revenues derived from Properties and Projects of such Person for such period (without duplication of any general external property management fee already deducted in determining such Person’s EBITDA). “Adjusted Unencumbered Asset Value” shall mean, as of any Calculation Date, the aggregate amount (without duplication) of the following, but only if and to the extent held directly by the Borrower or any Wholly- Owned Subsidiary or Controlled Subsidiary that is not an Exempt Subsidiary on and as of such Calculation Date: (a) the sum of: (i) unrestricted cash and Cash Equivalents held (excluding any tenant deposits); plus (ii) cost value of Projects Under Development that are included in Unencumbered Assets (provided however, that the amount included under this item (a)(ii) shall (A) not comprise more than fifteen percent (15%) of the total amount of Adjusted Unencumbered Asset Value and (B) include only costs incurred as of any Calculation Date); plus (iii) cost value of New Developments that are included in Unencumbered Assets (provided however, that the amount included under this item (a)(iii) shall include only costs incurred as of any Calculation Date); plus


 
2 169525926v6 (b) an amount equal to: (i) (x) Unencumbered EBITDA for the Calculation Period applicable to such Calculation Date (as adjusted by the Borrower (1) to take into account the Unencumbered EBITDA of any dispositions during such Calculation Period of Unencumbered Assets and (2) to deduct Unencumbered EBITDA for any Projects Under Development and New Developments that are included in Unencumbered Assets, each of which adjustments must be approved by the Administrative Agent in its reasonable discretion), minus (y) the Capital Expenditure Reserve with respect to such assets (excluding Projects Under Development and New Developments that are included in Unencumbered Assets); divided by (ii) .0750 provided, however, that (I) not less than ninety percent (90%) of the sum of items (a)(ii), (a)(iii) and (b) must be derived from retail properties; provided, that if, and to the extent, the amount of the sum of said items (a)(ii), (a)(iii) and (b) derived from non-retail properties exceeds ten percent (10%) of Adjusted Unencumbered Asset Value, said excess shall not be included in Adjusted Unencumbered Asset Value, (II) the Unencumbered Assets from which items (a)(iii) and (b) are derived must have an average occupancy rate of not less than eighty-five percent (85%), determined on a weighted average basis; provided, that if, and to the extent, such average occupancy rate is less than eighty-five percent (85%), amounts attributable to Unencumbered Assets contributing to items (a)(iii) and/or (b) must be removed from the calculation thereof to the extent necessary to cause such occupancy rate to equal or exceed eighty-five percent (85%), and (III) no more than 10.0% of the assets contributing to the determination of Adjusted Unencumbered Asset Value may be allocable to assets owned by Controlled Subsidiaries (and any final calculation of Adjusted Unencumbered Asset Value shall be revised to remove any such excess). “Administrative Agent” means Bank of America in its capacity as administrative agent under any of the Loan Documents, or any successor administrative agent. “Administrative Agent’s Office” means the Administrative Agent’s address and, as appropriate, account as set forth on Schedule 10.02, or such other address or account as the Administrative Agent may from time to time notify to the Borrower and the Lenders. “Administrative Questionnaire” means an Administrative Questionnaire in substantially the form of Exhibit F-2 or any other form approved by the Administrative Agent. “Advance Funding Arrangements” means any arrangements requested by the Borrower and acceptable to the Administrative Agent in its sole discretion for the delivery of funds by Lenders to or for the account of the Administrative Agent for safekeeping pending their delivery by the Administrative Agent to the Borrower on the Closing Date to fund Committed Loans of such Lenders on such date. “Advance Funding Documentation” means such deposit account documentation, securities account agreements, custodial agreements, security agreements, funding indemnities or other documentation as the Administrative Agent may reasonably require in connection with Advance Funding Arrangements. “Affected Financial Institution” means (a) any EEA Financial Institution, or (b) any UK Financial Institution. “Affiliate” means, with respect to a specified Person, another Person that directly, or indirectly through one or more intermediaries, Controls or is Controlled by or is under common Control with the Person specified. “Aggregate Commitments” means the Commitments of all the Lenders, as adjusted from time to time in accordance with the terms of this Agreement. The Aggregate Commitments as of the Closing Date shall be $20,000,000. “Agreement” means this Credit Agreement, as amended, restated, supplemented, extended and otherwise modified from time to time.


 
3 169525926v6 “Annual Period” shall mean the most recently-ended twelve (12) calendar month period for which the Borrower has provided financial information. “Applicable Authority” means with respect to SOFR, the SOFR Administrator or any Governmental Authority having jurisdiction over the Administrative Agent or the SOFR Administrator with respect to its publication of SOFR, acting in such capacity. “Applicable Percentage” means with respect to any Lender at any time, the percentage (carried out to the ninth decimal place) of the Aggregate Commitments represented by such Lender’s Commitment at such time, subject to adjustment as provided in this Agreement, including without limitation in Section 2.18. If the commitment of each Lender to make Loans have been terminated pursuant to Section 8.02 or if the Aggregate Commitments have expired, then the Applicable Percentage of each Lender shall be determined based on the Applicable Percentage of such Lender most recently in effect, giving effect to any subsequent assignments permitted hereunder. The initial Applicable Percentage of each Lender is set forth opposite the name of such Lender on Schedule 2.01 or in the Assignment and Assumption pursuant to which such Lender becomes a party hereto, as applicable. “Applicable Rate” means, from time to time, the following percentages per annum, based upon the Debt Rating as set forth below: Pricing Level Borrower Debt Rating Daily SOFR Applicable Spread/ LC Fee % Base Rate Applicable Spread Facility Fee 1 >A+/A1 0.650% 0.000% 0.100% 2 A/A2 0.700% 0.000% 0.100% 3 A-/A3 0.725% 0.000% 0.125% 4 BBB+/Baa1 0.775% 0.000% 0.150% 5 BBB/Baa2 0.850% 0.000% 0.200% 6 BBB-/Baa3 1.050% 0.050% 0.250% 7 <BBB-/Baa3 1.400% 0.400% 0.300% “Debt Rating” means, as of any date of determination, the long-term senior unsecured, non-credit enhanced debt rating of the Borrower by S&P, Moody’s and/or Fitch (together with S&P and Moody’s, the “Rating Agencies”). If at any time the Borrower only has a Debt Rating from one of S&P or Moody’s, the applicable ratings category shall be based on such rating. If at any time when the Borrower has only two (2) Debt Ratings, and such Debt Ratings are split, then: (i) if the difference between such Debt Ratings is one ratings category (e.g. Baa2 by Moody's and BBB- by S&P or Fitch), the higher of the Debt Ratings shall apply; and (ii) if the difference between such Debt Ratings is two or more ratings categories (e.g. Baa1 by Moody's and BBB- by S&P or Fitch), the median of the applicable Debt Ratings shall apply (provided, that, if there is no discernable median of the applicable Debt Ratings, then the applicable Debt Rating shall be the Debt Rating that is the recognized rating category that is immediately above the average of such Debt Ratings). If at any time when the Borrower has three (3) Debt Ratings, and such Debt Ratings are split, then: (i) if the difference between the highest and the lowest such Debt Ratings is one ratings category (e.g. Baa2 by Moody's and BBB- by S&P or Fitch), the highest of the Debt Ratings shall apply; and (ii) if the difference between such Debt Ratings is two or more ratings categories (e.g. Baa1 by Moody's and BBB- by S&P or Fitch), the average of the two (2) highest Debt Ratings shall apply, provided that if such average is not a recognized rating category, then the second highest Debt Rating of the three shall apply. If the Borrower does not have any Debt Rating or only has a Debt Rating from Fitch, Pricing Level 7 shall apply. Initially, the Applicable Rate shall be determined based upon the Debt Rating specified in the certificate delivered pursuant to Section 4.01(a)(vii). Any change in the Borrower’s Debt Rating which would cause it to move to a different Pricing Level shall be effective as of the first day of the first calendar month immediately following receipt by the Administrative Agent of written notice delivered by the Borrower that the Borrower’s Debt Rating has changed; provided, however, if the Borrower has not delivered the notice required by such Section but the Administrative Agent becomes aware that the Borrower’s Debt Rating has changed, then the Administrative Agent may, in its sole discretion, adjust the Pricing Level effective as of the first day of the first calendar month following the date the Administrative Agent becomes aware that the


 
4 169525926v6 Borrower’s Debt Rating has changed. “Approved Fund” means any Fund that is administered or managed by (a) a Lender, (b) an Affiliate of a Lender or (c) an entity or an Affiliate of an entity that administers or manages a Lender. “Assignment and Assumption” means an assignment and assumption entered into by a Lender and an Eligible Assignee (with the consent of any party whose consent is required by Section 10.06(b)), and accepted by the Administrative Agent, in substantially the form of Exhibit F-1 or any other form (including electronic documentation generated by use of an electronic platform) approved by the Administrative Agent. “Audited Financial Statements” means the audited consolidated balance sheet of the Borrower and its Subsidiaries for the fiscal year ended December 31, 2023, and the related consolidated statements of income or operations, shareholders’ equity and cash flows for such fiscal year of the Borrower and its Subsidiaries, including the notes thereto. “Availability Period” means the period from and including the Closing Date to the earliest of (a) the Maturity Date, (b) the date of termination of the Aggregate Commitments pursuant to Section 2.07, and (c) the date of termination of the commitment of each Lender to make Loans pursuant to Section 8.02. “Bail-In Action” means the exercise of any Write-Down and Conversion Powers by the applicable Resolution Authority in respect of any liability of an Affected Financial Institution. “Bail-In Legislation” means, (a) with respect to any EEA Member Country implementing Article 55 of Directive 2014/59/EU of the European Parliament and of the Council of the European Union, the implementing law, rule, regulation or requirement for such EEA Member Country from time to time which is described in the EU Bail- In Legislation Schedule, and (b) with respect to the United Kingdom, Part I of the United Kingdom Banking Act 2009 (as amended from time to time) and any other law, regulation or rule applicable in the United Kingdom relating to the resolution of unsound or failing banks, investment firms or other financial institutions or their affiliates (other than through liquidation, administration or other insolvency proceedings). “Bank of America” means Bank of America, N.A. and its successors. “Base Rate” means for any day a fluctuating rate per annum equal to the highest of (a) the Federal Funds Rate plus 1/2 of 1%, (b) the rate of interest in effect for such day as publicly announced from time to time by the Administrative Agent as its “prime rate,” (c) the Secured Overnight Financing Rate published on such day by the SOFR Administrator on the Federal Reserve Bank of New York’s website (or any successor source) plus the SOFR Adjustment plus 1.00% and (d) 0.00%. The “prime rate” is a rate set by the Administrative Agent based upon various factors including the Administrative Agent’s costs and desired return, general economic conditions and other factors, and is used as a reference point for pricing some loans, which may be priced at, above, or below such announced rate. Any change in such prime rate announced by the Administrative Agent shall take effect at the opening of business on the day specified in the public announcement of such change. If the Base Rate is being used as an alternate rate of interest pursuant to Section 3.03 hereof, then the Base Rate shall be the greater of clauses (a), (b) and (d) above and shall be determined without reference to clause (c) above. “Base Rate Loan” means a Loan that bears interest at a rate based on the Base Rate. “Beneficial Ownership Certification” means a certification regarding beneficial ownership required by the Beneficial Ownership Regulation. “Beneficial Ownership Regulation” means 31 C.F.R. § 1010.230. “Benefit Plan” means any of (a) an “employee benefit plan” (as defined in ERISA) that is subject to Title I of ERISA, (b) a “plan” as defined in Section 4975 of the Code or (c) any Person whose assets include (for purposes of ERISA Section 3(42) or otherwise for purposes of Title I of ERISA or Section 4975 of the Code) the assets of any such “employee benefit plan” or “plan”.


 
5 169525926v6 “Borrower” has the meaning specified in the introductory paragraph hereto. “Business Day” means any day other than a Saturday, Sunday or other day on which commercial banks are authorized to close under the Laws of, or are in fact closed in, the state where the Administrative Agent’s Office is located. “Calculation Date” shall mean each of (a) the last day of each calendar quarter and (b) each other date on which any of the financial covenants of Borrower are calculated. “Calculation Period” means, for any given quarter-end date, the immediately preceding twelve (12) calendar month period. “Capital Expenditure Reserve” shall mean, as of any Calculation Date, an amount equal to the product of (i) the gross leasable area (in square feet) contained in each Unencumbered Asset measured as of the last day of each of the immediately preceding four (4) calendar quarters and averaged, multiplied by (ii) $0.15. Capital Expenditure Reserve shall be calculated on a consolidated basis in accordance with GAAP and shall include (without duplication) the Equity Percentage of Capital Expenditure Reserve for the Borrower’s Unconsolidated Affiliates. “Cash Equivalents” means (a) securities issued or directly and fully guaranteed or insured by the United States of America or any agency or instrumentality thereof (provided that the full faith and credit of the United States of America is pledged in support thereof) having maturities of not more than twelve (12) months from the date of acquisition, (b) U.S. dollar denominated time deposits and certificates of deposit of (i) any Lender, (ii) any domestic commercial bank of recognized standing having capital and surplus in excess of $500,000,000 or (iii) any bank whose short-term commercial paper rating from S&P is at least A-2 or the equivalent thereof or from Moody’s is at least P- 2 or the equivalent thereof (any such bank being an “Approved Bank”), in each case with maturities of not more than two (2) years from the date of acquisition, (c) commercial paper and variable or fixed rate notes issued by any Approved Bank (or by the parent company thereof) or any variable rate notes issued by, or guaranteed by, any domestic corporation rated A-2 (or the equivalent thereof) or better by S&P or P-2 (or the equivalent thereof) or better by Moody’s and maturing within one (1) year of the date of acquisition, (d) repurchase agreements with a bank or trust company (including any of the Lenders) or recognized securities dealer having capital and surplus in excess of $500,000,000 for direct obligations issued by or fully guaranteed by the United States of America in which any Consolidated Party shall have a perfected first priority security interest (subject to no other Liens) and having, on the date of purchase thereof, a fair market value of at least 100% of the amount of the repurchase obligations and (e) Investments, classified in accordance with GAAP as current assets, in money market investment programs registered under the Investment Company Act of 1940, as amended, which are administered by reputable financial institutions having capital of at least $50,000,000 and the portfolios of which invest principally in Investments of the character described in the foregoing subdivisions (a) through (d). “Change in Law” means the occurrence, after the date of this Agreement, of any of the following: (a) the adoption or taking effect of any law, rule, regulation or treaty, (b) any change in any law, rule, regulation or treaty or in the administration, interpretation, implementation or application thereof by any Governmental Authority or (c) the making or issuance of any request, rule, guideline or directive (whether or not having the force of law) by any Governmental Authority; provided that notwithstanding anything herein to the contrary, (x) the Dodd-Frank Wall Street Reform and Consumer Protection Act and all requests, rules, guidelines or directives thereunder or issued in connection therewith and (y) all requests, rules, guidelines or directives promulgated by the Bank for International Settlements, the Basel Committee on Banking Supervision (or any successor or similar authority) or the United States or foreign regulatory authorities, in each case pursuant to Basel III, shall in each case be deemed to be a “Change in Law”, regardless of the date enacted, adopted or issued. “Change of Control” shall mean a change resulting when (a) Borrower or Parent becomes aware (by way of a report or any other filing pursuant to Section 13(d) of the Exchange Act, proxy, vote, written notice or otherwise) that any Person or Group (other than a Permitted Holder) shall at any time Beneficially Own more than 50% of the aggregate voting power of all classes of Voting Stock of Parent; provided, however, that the formation of a direct or indirect parent holding company to Parent shall not be a change of control if (i) Parent is a Subsidiary of such parent holding company, and (ii) no Person or Group (other than a Permitted Holder) shall at any time Beneficially Own more than 50% of the aggregate voting power of all classes of Voting Stock of such parent; (b) the first day that a


 
6 169525926v6 majority of the members of the Board of Directors of Parent are not Continuing Directors; or (c) Parent, or a wholly owned Subsidiary of Parent, shall cease to be the general partner of the Borrower or to own at least 51% of the outstanding Equity Interests of the Borrower. As used herein (1) “Beneficially Own” means “beneficially own” as defined in Rule 13d-3 of the Securities Exchange Act of 1934, as amended, or any successor provision thereto; provided, however, that, for purposes of this definition, a Person shall not be deemed to Beneficially Own securities tendered pursuant to a tender or exchange offer made by or on behalf of such Person or any of such Person’s Affiliate until such tendered securities are accepted for purchase or exchange; (2) “Group” means “group” for purposes of Section 13(d) of the Securities Exchange Act of 1934, as amended; (3) “Voting Stock” of any Person shall mean capital stock of such Person which ordinarily has voting power for the election of directors (or persons performing similar functions) of such Person, either at all times or only so long as no senior class of securities has such voting power by reason of any contingency; (4) “Permitted Holder” shall mean any of: (i) Steven Tanger, his spouse (or former spouse(s), as applicable), any of their descendants, siblings or family members or any of their spouses (or former spouses), or any of their estates (any such persons or estates in his clause (i), a “Tanger Member”), (ii) any trust primarily for the benefit of any Tanger Member or Tanger Members, (iii) any entity the majority of the owners of which are entities under clauses (i) through (ii); (5) “Continuing Director” shall mean, as of any date of determination, any member of the Board of Directors of Parent who (i) is a member of the Board of Directors of Parent on the date of this Agreement, or (ii) was nominated for election or was elected to such Board of Directors with the approval of a majority of the Continuing Directors who were members of the Board of Directors at the time of such nomination or election; and (6) in calculating any beneficial ownership or percentage ownership of Voting Stock units of the Parent held by any Permitted Holder that are exchangeable for Voting Stock shall be deemed to be outstanding Voting Stock of Parent as if such units had been exchanged for Voting Stock. “Civil Asset Forfeiture Reform Act” means the Civil Asset Forfeiture Reform Act of 2000 (18 U.S.C. Sections 983 et seq.), as amended from time to time, and any successor statute. “Closing Date” means the first date all the conditions precedent in Section 4.01 are satisfied or waived in accordance with Section 10.01. “Code” means the Internal Revenue Code of 1986. “Commitment” means, as to each Lender, its obligation to make Committed Loans to the Borrower pursuant to Section 2.01 in an aggregate principal amount at any one time outstanding not to exceed the Dollar amount set forth opposite such Lender’s name on Schedule 2.01 or in the Assignment and Assumption pursuant to which such Lender becomes a party hereto, as applicable, as such amount may be adjusted from time to time in accordance with this Agreement. “Committed Borrowing” means a borrowing consisting of simultaneous Committed Loans advanced by each of the Lenders pursuant to Section 2.01. “Committed Loan” has the meaning specified in Section 2.01. “Committed Loan Notice” means a notice of a Committed Borrowing pursuant to Section 2.02(a), which shall be substantially in the form of Exhibit A or such other form as may be approved by the Administrative Agent (including any form on an electronic platform or electronic transmission system as shall be approved by the Administrative Agent), appropriately completed and signed by a Responsible Officer of the Borrower. “Commodity Exchange Act” means the Commodity Exchange Act )7 U.S.C. § 1 et seq.). “Communication” means this Agreement, any Loan Document and any document, any amendment, approval, consent, information, notice, certificate, request, statement, disclosure or authorization related to any Loan Document. “Compliance Certificate” means a certificate substantially in the form of Exhibit E.


 
7 169525926v6 “Conforming Changes” with respect to the use, administration of or any conventions associated with SOFR or any proposed Successor Rate any conforming changes to the definitions of “Base Rate” and “SOFR”, timing and frequency of determining rates and making payments of interest and other technical, administrative or operational matters (including, for the avoidance of doubt, the definitions of “Business Day” and “U.S. Government Securities Business Day”, timing of borrowing requests or prepayment, conversion or continuation notices and length of lookback periods) as may be appropriate, in the discretion of the Administrative Agent, to reflect the adoption and implementation of such applicable rate(s) and to permit the administration thereof by the Administrative Agent in a manner substantially consistent with market practice (or, if the Administrative Agent determines that adoption of any portion of such market practice is not administratively feasible or that no market practice for the administration of such rate exists, in such other manner of administration as the Administrative Agent determines is reasonably necessary in connection with the administration of this Agreement and any other Loan Document). “Connection Income Taxes” means Other Connection Taxes that are imposed on or measured by net income (however denominated) or that are franchise Taxes or branch profits Taxes. “Consolidated Parties” means a collective reference to the Parent and its consolidated Subsidiaries; and “Consolidated Party” means any one of them. “Contractual Obligation” means, as to any Person, any material provision of any security issued by such Person or of any agreement, instrument or other undertaking to which such Person is a party or by which it or any of its property is bound. “Control” means the possession, directly or indirectly, of the power to direct or cause the direction of the management or policies of a Person, whether through the ability to exercise voting power, by contract or otherwise. “Controlling” and “Controlled” have meanings correlative thereto. “Controlled Subsidiary” of a Person means (a) any Subsidiary at least 90.0% of the outstanding voting securities of which shall at the time be owned or controlled, directly or indirectly, by such Person or one or more Wholly-Owned Subsidiaries of such Person, or by such Person and one or more Wholly-Owned Subsidiaries of such Person, or (b) any partnership, limited liability company, association, joint venture or similar business organization at least 90.0% of the ownership interests having ordinary voting power of which shall at the time be so owned or controlled, but that, in each case, is not a Wholly-Owned Subsidiary. Except as otherwise specifically noted, each reference to “Controlled Subsidiary” contained herein shall be to Subsidiaries of the Borrower meeting the qualifications noted above. “Controlled Substances Act” means the Controlled Substances Act (21 U.S.C. Sections 801 et seq.), as amended from time to time, and any successor statute. “Corporate Credit Facility” means that certain Fifth Amended and Restated Credit Agreement dated as of April 12, 2024 among the Borrower, Bank of America, N.A., as administrative agent and L/C issuer, the lenders from time to time party thereto, and the agents indicated therein, pursuant to which the initial commitments of the Lenders are $600,000,000.00, as the same may be from time to time amended, restated, extended, supplemented, increased, or otherwise modified. “Covered Entity” has the meaning specified in Section 10.22(b). “Credit Extension” means a Committed Borrowing. “Daily SOFR” means the rate per annum equal to SOFR determined for any day pursuant to the definition thereof plus the SOFR Adjustment. Any change in Daily SOFR shall be effective from and including the date of such change without further notice. If the rate as so determined would be less than zero, such rate shall be deemed to be zero for purposes of this Agreement. “Daily SOFR Loan” means a Loan that bears interest at a rate based on Daily SOFR.


 
8 169525926v6 “Debt Rating” has the meaning specified in the definition of “Applicable Rate”. “Debtor Relief Laws” means the Bankruptcy Code of the United States, and all other liquidation, conservatorship, bankruptcy, assignment for the benefit of creditors, moratorium, rearrangement, receivership, insolvency, reorganization, or similar debtor relief Laws of the United States or other applicable jurisdictions from time to time in effect and affecting the rights of creditors generally. “Default” means any event or condition that constitutes an Event of Default or that, with the giving of any notice, the passage of time, or both, would be an Event of Default. “Default Rate” means the interest rate applicable to the Loans, as calculated pursuant to Section 2.09(a), plus 2% per annum. “Defaulting Lender” means, subject to Section 2.18(b), any Lender that (a) has failed to (i) fund all or any portion of its Loans within two Business Days of the date such Loans were required to be funded hereunder unless such Lender notifies the Administrative Agent and the Borrower in writing that such failure is the result of such Lender’s determination that one or more conditions precedent to funding (each of which conditions precedent, together with any applicable default, shall be specifically identified in such writing) has not been satisfied, or (ii) pay to the Administrative Agent or any other Lender any other amount required to be paid by it hereunder within two Business Days of the date when due, (b) has notified the Borrower and the Administrative Agent in writing that it does not intend to comply with its funding obligations hereunder, or has made a public statement to that effect (unless such writing or public statement relates to such Lender’s obligation to fund a Loan hereunder and states that such position is based on such Lender’s determination that a condition precedent to funding (which condition precedent, together with any applicable default, shall be specifically identified in such writing or public statement) cannot be satisfied), (c) has failed, within three Business Days after written request by the Administrative Agent or the Borrower, to confirm in writing to the Administrative Agent and the Borrower that it will comply with its prospective funding obligations hereunder (provided that such Lender shall cease to be a Defaulting Lender pursuant to this clause (c) upon receipt of such written confirmation by the Administrative Agent and the Borrower), or (d) has, or has a direct or indirect parent company that has, (i) become the subject of a proceeding under any Debtor Relief Law, (ii) had appointed for it a receiver, custodian, conservator, trustee, administrator, assignee for the benefit of creditors or similar Person charged with reorganization or liquidation of its business or assets, including the Federal Deposit Insurance Corporation or any other state or federal regulatory authority acting in such a capacity, or (iii) become the subject of a Bail-In Action; provided that a Lender shall not be a Defaulting Lender solely by virtue of the ownership or acquisition of any Equity Interest in that Lender or any direct or indirect parent company thereof by a Governmental Authority so long as such ownership interest does not result in or provide such Lender with immunity from the jurisdiction of courts within the United States or from the enforcement of judgments or writs of attachment on its assets or permit such Lender (or such Governmental Authority) to reject, repudiate, disavow or disaffirm any contracts or agreements made with such Lender. Any determination by the Administrative Agent that a Lender is a Defaulting Lender under any one or more of clauses (a) through (d) above, and of the effective date of such status, shall be conclusive and binding absent manifest error, and such Lender shall be deemed to be a Defaulting Lender (subject to Section 2.18(b)) as of the date established therefor by the Administrative Agent in a written notice of such determination, which shall be delivered by the Administrative Agent to the Borrower and each other Lender promptly following such determination. “Designated Jurisdiction” means any country or territory to the extent that such country or territory itself is the subject of any Sanction. “Disposition” or “Dispose” means the sale, transfer, license, lease or other disposition (in one transaction or in a series of transactions and whether effected pursuant to a Division or otherwise) of any property by any Person (including any sale and leaseback transaction and any issuance of Equity Interests by a Subsidiary of such Person), including any sale, assignment, transfer or other disposal, with or without recourse, of any notes or accounts receivable or any rights and claims associated therewith. “Dividing Person” has the meaning assigned to it in the definition of “Division.”


 
9 169525926v6 “Division” means the division of the assets, liabilities and/or obligations of a Person (the “Dividing Person”) among two or more Persons (whether pursuant to a “plan of division” or similar arrangement), which may or may not include the Dividing Person and pursuant to which the Dividing Person may or may not survive. “Dollar” and “$” mean lawful money of the United States. “Domestic Subsidiary” means any Subsidiary that is organized under the laws of any political subdivision of the United States. “EBITDA” shall mean, as of any Calculation Date and for the applicable Calculation Period: (a) Borrower’s and each Wholly-Owned Subsidiary’s earnings before interest, income taxes, depreciation, and amortization, all determined in accordance with GAAP consistently applied (excluding extraordinary or non-recurring gains or losses and excluding earnings attributable to Joint Ventures or Joint Venture Projects), plus (b) Borrower’s Equity Percentage of earnings before interest, taxes, depreciation, and amortization for Joint Ventures and Joint Venture Projects, all determined in accordance with GAAP consistently applied (excluding extraordinary gains or losses); provided, that, for purposes of this definition: (i) nonrecurring items shall be deemed to include (A) gains and losses on sale of any Property or Project, (B) gains and losses on early extinguishment of Indebtedness, (C) non-cash severance and other non-cash restructuring charges, (D) transaction costs of acquisitions not permitted to be capitalized pursuant to GAAP, and (E) impairment charges; (ii) EBITDA shall be adjusted to remove any impact from straight line rent leveling adjustments required under GAAP and amortization of intangibles pursuant to FASB ASC 141; and (iii) to the extent EBITDA is, for any Calculation Period, determined on an annualized basis for a period of less than twelve (12) calendar months, such determination shall be adjusted to account for any one-time or other lump sum annual or semi-annual payments (whether for taxes, insurance, or otherwise) made or not made during such period. “EEA Financial Institution” means (a) any credit institution or investment firm established in any EEA Member Country which is subject to the supervision of an EEA Resolution Authority, (b) any entity established in an EEA Member Country which is a parent of an institution described in clause (a) of this definition, or (c) any financial institution established in an EEA Member Country which is a Subsidiary of an institution described in clauses (a) or (b) of this definition and is subject to consolidated supervision with its parent. “EEA Member Country” means any of the member states of the European Union, Iceland, Liechtenstein, and Norway. “EEA Resolution Authority” means any public administrative authority or any Person entrusted with public administrative authority of any EEA Member Country (including any delegee) having responsibility for the resolution of any EEA Financial Institution. “Eligible Assignee” means any Person that meets the requirements to be an assignee under Section 10.06(b)(iii) and (v) (subject to such consents, if any, as may be required under Section 10.06(b)(iii)). “Environmental Complaint” means any complaint, order, demand, citation or notice threatened or issued in writing to any Loan Party by any Person with regard to air emissions, water discharges, Releases, or disposal of any Hazardous Materials, noise emissions or any other environmental, health or safety matter affecting any Loan Party or any of their respective Properties. “Environmental Laws” means any and all Federal, state, local, and foreign statutes, laws, regulations, ordinances, rules, judgments, orders, decrees, permits, concessions, grants, franchises, licenses, agreements or governmental restrictions relating to pollution and the protection of the environment or the release of any materials


 
10 169525926v6 into the environment, including those related to hazardous substances or wastes, air emissions and discharges to waste or public systems. “Environmental Liability” means any liability, contingent or otherwise (including any liability for damages, costs of environmental remediation, fines, penalties or indemnities), of the Borrower, any other Loan Party or any of their respective Subsidiaries directly or indirectly resulting from or based upon (a) violation of any Environmental Law, (b) the generation, use, handling, transportation, storage, treatment or disposal of any Hazardous Materials, (c) exposure to any Hazardous Materials, (d) the release or threatened release of any Hazardous Materials into the environment or (e) any contract, agreement or other consensual arrangement pursuant to which liability is assumed or imposed with respect to any of the foregoing. “Equity Interests” means, with respect to any Person, all of the shares of capital stock of (or other ownership or profit interests in) such Person, all of the warrants, options or other rights for the purchase or acquisition from such Person of shares of capital stock of (or other ownership or profit interests in) such Person, all of the securities convertible into or exchangeable for shares of capital stock of (or other ownership or profit interests in) such Person or warrants, rights or options for the purchase or acquisition from such Person of such shares (or such other interests), and all of the other ownership or profit interests in such Person (including partnership, member or trust interests therein), whether voting or nonvoting, and whether or not such shares, warrants, options, rights or other interests are outstanding on any date of determination. “Equity Percentage” means the aggregate ownership percentage of Borrower and its Subsidiaries in a given Joint Venture, which shall be calculated as follows: (a) for calculation of Indebtedness or liabilities, Borrower’s or such Subsidiary’s nominal capital ownership interest in the applicable Joint Venture as set forth in such entity’s organizational documents, or, if greater, the amount or percentage of such items allocated to Borrower or such Subsidiary, or for which Borrower or such Subsidiary is directly or indirectly responsible, pursuant to the terms of the applicable joint venture agreement (or similar governing agreement) or applicable law and (b) for all other purposes, the greater of (i) Borrower’s or such Subsidiary’s nominal capital ownership interest in the applicable Joint Venture as set forth in such entity’s organizational documents, and (ii) Borrower’s or such Subsidiary’s economic ownership interest in the applicable Joint Venture, reflecting Borrower’s or such Subsidiary’s share of income and expenses of such Joint Venture. “ERISA” means the Employee Retirement Income Security Act of 1974. “ERISA Affiliate” means any trade or business (whether or not incorporated) under common control with the Borrower within the meaning of Section 414(b) or (c) of the Code (and Sections 414(m) and (o) of the Code for purposes of provisions relating to Section 412 of the Code). “ERISA Event” means (a) a Reportable Event with respect to a Pension Plan; (b) the withdrawal of the Borrower or any ERISA Affiliate from a Pension Plan subject to Section 4063 of ERISA during a plan year in which such entity was a “substantial employer” as defined in Section 4001(a)(2) of ERISA or a cessation of operations that is treated as such a withdrawal under Section 4062(e) of ERISA; (c) a complete or partial withdrawal by the Borrower or any ERISA Affiliate from a Multiemployer Plan or notification that a Multiemployer Plan is in reorganization; (d) the filing of a notice of intent to terminate, the treatment of a Pension Plan amendment as a termination under Section 4041 or 4041A of ERISA; (e) the institution by the PBGC of proceedings to terminate a Pension Plan; (f) any event or condition which constitutes grounds under Section 4042 of ERISA for the termination of, or the appointment of a trustee to administer, any Pension Plan; (g) the determination that any Pension Plan is considered an at-risk plan or a plan in endangered or critical status within the meaning of Sections 430, 431 and 432 of the Code or Sections 303, 304 and 305 of ERISA; or (h) the imposition of any liability under Title IV of ERISA, other than for PBGC premiums due but not delinquent under Section 4007 of ERISA, upon the Borrower or any ERISA Affiliate. “EU Bail-In Legislation Schedule” means the EU Bail-In Legislation Schedule published by the Loan Market Association (or any successor person), as in effect from time to time. “Event of Default” has the meaning specified in Section 8.01.


 
11 169525926v6 “Excluded Swap Obligation” means, with respect to any Guarantor, any Swap Obligation if, and to the extent that, all or a portion of the Guaranty of such Guarantor of, or the grant under a Loan Document by such Guarantor of a security interest to secure, such Swap Obligation (or any Guarantee thereof) is or becomes illegal under the Commodity Exchange Act (or the application or official interpretation thereof) by virtue of such Guarantor’s failure for any reason to constitute an “eligible contract participant” as defined in the Commodity Exchange Act (determined after giving effect to Section 18 of the Guaranty and any and all guarantees of such Guarantor’s Swap Obligations by other Loan Parties) at the time the Guaranty of such Guarantor, or grant by such Guarantor of a security interest, becomes effective with respect to such Swap Obligation. If a Swap Obligation arises under a Master Agreement governing more than one Swap Contract, such exclusion shall apply to only the portion of such Swap Obligations that is attributable to Swap Contracts for which such Guaranty or security interest becomes illegal. “Excluded Taxes” means any of the following Taxes imposed on or with respect to any Recipient or required to be withheld or deducted from a payment to a Recipient, (a) Taxes imposed on or measured by net income (however denominated), franchise Taxes, and branch profits Taxes, in each case, (i) imposed as a result of such Recipient being organized under the laws of, or having its principal office or, in the case of any Lender, its Lending Office located in, the jurisdiction imposing such Tax (or any political subdivision thereof) or (ii) that are Other Connection Taxes, (b) in the case of a Lender, U.S. federal withholding Taxes imposed on amounts payable to or for the account of such Lender with respect to an applicable interest in a Loan or Commitment pursuant to a law in effect on the date on which (i) such Lender acquires such interest in the Loan or Commitment (other than pursuant to an assignment request by the Borrower under Section 10.13) or (ii) such Lender changes its Lending Office, except in each case to the extent that, pursuant to Section 3.01(a)(ii) or (c), amounts with respect to such Taxes were payable either to such Lender’s assignor immediately before such Lender became a party hereto or to such Lender immediately before it changed its Lending Office, (c) Taxes attributable to such Recipient’s failure to comply with Section 3.01(e) and (d) any U.S. federal withholding Taxes imposed pursuant to FATCA. “Exempt Subsidiaries” means, as of any date of determination, a collective reference to: (a) each Subsidiary of any Loan Party that is neither a Wholly-Owned Subsidiary nor a Controlled Subsidiary; (b) each non-Material Subsidiary of any Loan Party; (c) each Material Subsidiary of any Loan Party which is (or, promptly following its release as a Loan Party hereunder pursuant to the terms of Section 6.12(b) hereof shall be) an obligor with respect to any material secured third party Indebtedness; and (d) each Material Subsidiary of any Loan Party, the direct or indirect equity interests or assets of which are (or, promptly following its release as a Loan Party hereunder pursuant to the terms of Section 6.12(b) hereof, shall be) Disposed of or otherwise sold, conveyed or transferred, and/or subject to a letter of intent, purchase agreement or other written agreement for the Disposal of, sale or other transfer of such equity interests or assets to a third-party purchaser; and “Exempt Subsidiary” means any one of such entities. “FASB ASC” means the Accounting Standards Codification of the Financial Accounting Standards Board. “FATCA” means Sections 1471 through 1474 of the Code, as of the date of this Agreement (or any amended or successor version that is substantively comparable and not materially more onerous to comply with), any current or future regulations or official interpretations thereof and any agreements entered into pursuant to Section 1471(b)(1) of the Code. “FC EBITDA” shall mean, as of any Calculation Date for the preceding Calculation Period or Annual Period, as applicable: (a) Borrower’s and each Wholly-Owned Subsidiary’s earnings before interest, income taxes, depreciation, and amortization, all determined in accordance with GAAP consistently applied (excluding extraordinary or non-recurring gains or losses and excluding earnings attributable to Joint Ventures or Joint Venture


 
12 169525926v6 Projects), plus (b) Borrower’s Equity Percentage of earnings before interest, taxes, depreciation, and amortization for Joint Ventures and Joint Venture Projects, all determined in accordance with GAAP consistently applied (excluding extraordinary gains or losses); provided, that, for purposes of this definition: (i) nonrecurring items shall be deemed to include (A) gains and losses on sale of any Property or Project, (B) gains and losses on early extinguishment of Indebtedness, (C) non-cash severance and other non-cash restructuring charges, (D) transaction costs of acquisitions not permitted to be capitalized pursuant to GAAP and (E) impairment charges; (ii) FC EBITDA shall be adjusted to remove any impact from straight line rent leveling adjustments required under GAAP and amortization of intangibles pursuant to FASB ASC 141; and (iii) to the extent FC EBITDA is, for any Calculation Period, determined on an annualized basis for a period of less than twelve (12) calendar months, such determination shall be adjusted to account for any one-time or other lump sum annual or semi-annual payments (whether for taxes, insurance, or otherwise) made or not made during such period. “Federal Funds Rate” means, for any day, the rate per annum equal to the weighted average of the rates on overnight Federal funds transactions with members of the Federal Reserve System, as published by the Federal Reserve Bank of New York on the Business Day next succeeding such day; provided that (a) if such day is not a Business Day, the Federal Funds Rate for such day shall be such rate on such transactions on the next preceding Business Day as so published on the next succeeding Business Day, and (b) if no such rate is so published on such next succeeding Business Day, the Federal Funds Rate for such day shall be the average rate (rounded upward, if necessary, to a whole multiple of 1/100 of 1%) charged to Bank of America on such day on such transactions as determined by the Administrative Agent. If the Federal Funds Rate, as provided above, would be less than zero (0), the Federal Funds Rate shall be deemed to be zero (0). “First Extended Maturity Date” means October 12, 2028. “Fitch” means Fitch, Inc. and any successor thereto. “Fixed Charge Coverage Ratio” means, for any Calculation Date, the ratio of (a) FC EBITDA for the Annual Period ending on such Calculation Date to (b) Fixed Charges for the Annual Period ending on such Calculation Date. “Fixed Charges” shall mean, as of any Calculation Date, an amount equal to (a) all principal and interest payments due on all obligations of the Borrower and its Wholly-Owned Subsidiaries for the most recently-ended Annual Period, exclusive of balloon maturity payments, plus (b) Borrower’s Equity Percentage of the sum of all principal and interest payments due on all loan obligations of any Joint Venture or otherwise attributable to any Joint Venture Project for such Annual Period, exclusive of balloon maturity payments, plus (c) all Preferred Dividends, if any, payable with respect to such Annual Period, plus (d) a capital expenditure allowance of $0.15 times gross leasable area of owned Projects plus a capital expenditure allowance of $0.15 times gross leasable area of Joint Venture Projects multiplied by the Borrower’s Equity Percentage of such Joint Venture Projects (excluding Projects Under Development and New Developments). “Foreign Lender” means a Lender that is not a U.S. Person. “Foreign Obligor” means a Loan Party that is a Foreign Subsidiary. “Foreign Subsidiary” means any Subsidiary that is organized under the laws of a jurisdiction other than the United States, a State thereof or the District of Columbia. “FRB” means the Board of Governors of the Federal Reserve System of the United States. “Fully Satisfied” means, with respect to the Obligations as of any date, that, as of such date, (a) all principal of and interest accrued to such date which constitute Obligations shall have been irrevocably paid in full in cash, and


 
13 169525926v6 (b) all fees, expenses and other amounts then due and payable which constitute Obligations shall have been irrevocably paid in cash. “Fund” means any Person (other than a natural Person) that is (or will be) engaged in making, purchasing, holding or otherwise investing in commercial loans and similar extensions of credit in the ordinary course of its activities. “GAAP” means generally accepted accounting principles in the United States set forth in the opinions and pronouncements of the Accounting Principles Board and the American Institute of Certified Public Accountants and statements and pronouncements of the Financial Accounting Standards Board or such other principles as may be approved by a significant segment of the accounting profession in the United States, that are applicable to the circumstances as of the date of determination, consistently applied. “Governmental Authority” means the government of the United States or any other nation, or of any political subdivision thereof, whether state or local, and any agency, authority, instrumentality, regulatory body, court, central bank or other entity exercising executive, legislative, judicial, taxing, regulatory or administrative powers or functions of or pertaining to government (including any supra-national bodies such as the European Union or the European Central Bank). “Guarantee” means, as to any Person, (a) any obligation, contingent or otherwise, of such Person guaranteeing or having the economic effect of guaranteeing any Indebtedness or other obligation payable or performable by another Person (the “primary obligor”) in any manner, whether directly or indirectly, and including any obligation of such Person, direct or indirect, (i) to purchase or pay (or advance or supply funds for the purchase or payment of) such Indebtedness or other obligation, (ii) to purchase or lease property, securities or services for the purpose of assuring the obligee in respect of such Indebtedness or other obligation of the payment or performance of such Indebtedness or other obligation, (iii) to maintain working capital, equity capital or any other financial statement condition or liquidity or level of income or cash flow of the primary obligor so as to enable the primary obligor to pay such Indebtedness or other obligation, or (iv) entered into for the purpose of assuring in any other manner the obligee in respect of such Indebtedness or other obligation of the payment or performance thereof or to protect such obligee against loss in respect thereof (in whole or in part), or (b) any Lien on any assets of such Person securing any Indebtedness or other obligation of any other Person, whether or not such Indebtedness or other obligation is assumed by such Person (or any right, contingent or otherwise, of any holder of such Indebtedness to obtain any such Lien). The amount of any Guarantee shall be deemed to be an amount equal to the stated or determinable amount of the related primary obligation, or portion thereof, in respect of which such Guarantee is made or, if not stated or determinable, the maximum reasonably anticipated liability in respect thereof as determined by the guaranteeing Person in good faith. The term “Guarantee” as a verb has a corresponding meaning. “Guarantors” means, collectively, as of any date of determination, the Parent and each Subsidiary Guarantor, in each case to the extent such Person has not been released from its obligations under the Guaranty pursuant to the terms of the Guaranty and this Agreement. As of the date of this Agreement, the only Guarantor is the Parent. “Guaranty” means the Third Amended and Restated Continuing Guaranty dated as of the date hereof made by the Parent and each Subsidiary Guarantor in favor of the Administrative Agent and the Lenders, substantially in the form of Exhibit G, as the same may be amended, restated, supplemented or otherwise modified from time to time, and as joined from time to time by such Persons that become, following the date hereof, a Guarantor. “Hazardous Materials” means all explosive or radioactive substances or wastes and all hazardous or toxic substances, wastes or other pollutants, including petroleum or petroleum distillates, asbestos or asbestos-containing materials, polychlorinated biphenyls, radon gas, infectious or medical wastes and all other substances or wastes of any nature regulated pursuant to any Environmental Law. “Indebtedness” means all obligations, contingent and otherwise in respect of (a) all debt and similar monetary obligations, whether direct or indirect and whether evidenced by one or more notes, bonds, agreements or other evidences of indebtedness; (b) all liabilities secured by any mortgage, pledge, security interest, lien, charge, or other encumbrance existing on property owned or acquired subject thereto, whether or not the liability secured thereby shall have been assumed; (c) all liabilities under capitalized leases; and (d) all guarantees, endorsements and other


 
14 169525926v6 contingent obligations whether direct or indirect in respect of indebtedness of others, including the obligations to reimburse the issuer in respect of any letters of credit. With respect to Borrower, Indebtedness shall be calculated on a consolidated basis in accordance with GAAP, and including (without duplication) the Equity Percentage of Indebtedness for the Borrower’s Unconsolidated Affiliates. “Indemnified Taxes” means (a) Taxes, other than Excluded Taxes, imposed on or with respect to any payment made by or on account of any obligation of any Loan Party under any Loan Document and (b) to the extent not otherwise described in clause (a), Other Taxes. “Indemnitees” has the meaning specified in Section 10.04(b). “Information” has the meaning specified in Section 10.07. “Initial Maturity Date” means April 12, 2028. “Internal Control Event” means fraud that involves senior management of the Parent or the Borrower who have control over financial reporting, as described in the Securities Laws. “Investment” means, as to any Person, any direct or indirect acquisition or investment by such Person, whether by means of (a) the purchase or other acquisition of capital stock or other securities of another Person, (b) a loan, advance or capital contribution to, Guarantee or assumption of debt of, or purchase or other acquisition of any other debt or equity participation or interest in, another Person, including any partnership or joint venture interest in such other Person and any arrangement pursuant to which the investor Guarantees Indebtedness of such other Person, or (c) the purchase or other acquisition (in one transaction or a series of transactions) of assets of another Person that constitute a business unit. “Investment Grade Rating” means a Borrower Credit Rating of BBB- (or equivalent) or higher from S&P or Fitch and Baa3 (or equivalent) or higher from Moody’s. “IP Rights” has the meaning specified in Section 5.18. “IRS” means the United States Internal Revenue Service. “Joint Venture” shall mean any Person in which the Borrower owns, directly or indirectly, an Equity Interest, but that is not a Wholly-Owned Subsidiary of the Borrower. “Joint Venture Projects” shall mean all Projects with respect to which Borrower holds, directly or indirectly, an interest that is less than 100%; provided, that, to the extent either (1) (a) a Consolidated Party, as the buyer of any Project has provided financing in lieu of direct payment of some portion of the purchase price for such Project which allows the seller of such Project to retain a minority ownership interest therein (for such purpose only, an interest that is (i) less than fifteen percent (15%) of the aggregate ownership interest and (ii) is neither a managing member nor a general partner interest); (b) such Consolidated Party has obtained a security interest in the equity interests related to such Project securing the repayment of such financing and providing that such equity interests are, if such financing is not repaid at or prior to its maturity, to be transferred to such Consolidated Party upon the exercise of Borrower’s remedies thereunder; (c) debt service payments related to such financing are matched to the expected distributions under the joint venture agreement related to the applicable Project; and (d) such Consolidated Party obtains control over the Project immediately upon the acquisition thereof or (2) (a) the seller of such Project is to retain a nominal ownership interest therein (for such purpose only, an interest that is (i) less than three percent (3%) of the aggregate ownership interest, (ii) less than three percent (3%) of the economic interests and distribution rights related to the Project and (iii) is neither a managing member nor a general partner interest) and (b) such Consolidated Party obtains control over the Project immediately upon the acquisition thereof; any such Project shall be deemed, for purposes of this Agreement, to be 100% owned by the Borrower and shall not be included as a Joint Venture Project; provided, further, that to the extent a Joint Venture Project is treated as wholly-owned pursuant to item 2 above, the income attributable to, value of and Indebtedness/liabilities related to such project, for purposes of calculating the financial


 
15 169525926v6 covenants contained herein, shall include only the Borrower’s Equity Percentage of the income, value and/or Indebtedness/liabilities (as applicable) of such Joint Venture Project. “Laws” means, collectively, all international, foreign, Federal, state and local statutes, treaties, rules, guidelines, regulations, ordinances, codes and administrative or judicial precedents or authorities, including the interpretation or administration thereof by any Governmental Authority charged with the enforcement, interpretation or administration thereof, and all applicable administrative orders, directed duties, requests, licenses, authorizations and permits of, and agreements with, any Governmental Authority, in each case whether or not having the force of law. “Lender” has the meaning specified in the introductory paragraph hereto. “Lender Recipient Parties” or “Lender Parties” means, collectively, the Lenders. “Lending Office” means, as to any Lender, the office or offices of such Lender described as such in such Lender’s Administrative Questionnaire, or such other office or offices as a Lender may from time to time notify the Borrower and the Administrative Agent which office may include any Affiliate of such Lender or any domestic or foreign branch of such Lender or such Affiliate. Unless the context otherwise requires each reference to a Lender shall include its applicable Lending Office. “Lien” means any mortgage, pledge, hypothecation, assignment, deposit arrangement, encumbrance, lien (statutory or other), charge, or preference, priority or other security interest or preferential arrangement in the nature of a security interest of any kind or nature whatsoever (including any conditional sale or other title retention agreement, any easement, right of way or other encumbrance on title to real property, and any financing lease having substantially the same economic effect as any of the foregoing). “Loan” means an extension of credit by a Lender to the Borrower under Article II in the form of a Committed Loan. “Loan Documents” means this Agreement, each Note, the Guaranty, the Modifications, and any other documents, instruments or agreements executed and delivered by the Borrower and/or any Guarantor related to the foregoing. “Loan Parties” means, collectively, the Borrower and each Guarantor. “Master Agreement” has the meaning specified in the definition of “Swap Contract”. “Material Acquisition” means any acquisition or series of acquisitions taking place pursuant to a single purchase agreement or purchase agreements executed concurrently with one or more third parties over a period not in excess of sixty (60) days by the Borrower and/or any Person constituting part of the consolidated group included in the determination of the components of Total Liabilities or Total Adjusted Asset Value whereby the Borrower and/or such Person(s) acquire assets with a fair market value of at least ten percent (10%) of Total Adjusted Asset Value, as determined immediately prior to such acquisition(s). “Material Adverse Effect” means (a) a material adverse change in, or a material adverse effect upon, the operations, business, properties, liabilities (actual or contingent), or financial condition of the Consolidated Parties (including without limitation, the Borrower), taken as a whole; (b) a material impairment of the ability of any Loan Party to perform its material obligations under any Loan Document to which it is a party; or (c) a material adverse effect upon the legality, validity, binding effect or enforceability against any Loan Party of any Loan Document to which it is a party. “Material Subsidiary” means, as of any date of determination, any Wholly-Owned Subsidiary or Controlled Subsidiary of a Loan Party that holds assets contributing an amount equal to or greater than one quarter of one percent (0.25%) of the calculation of Total Adjusted Asset Value.


 
16 169525926v6 “Maturity Date” means the later of (a) the Initial Maturity Date; (b) if maturity is extended pursuant to Section 2.15(b)(i), the First Extended Maturity Date; and (c) if maturity is extended pursuant to Section 2.15(b)(ii), the Second Extended Maturity Date; provided, however, that, in each case, if such date is not a Business Day, the Maturity Date shall be the next preceding Business Day. “Modifications” means a collective reference to each document, instrument, or agreement amending, restating, supplementing, extending, or otherwise modifying any of the Loan Documents from time to time entered into in accordance with the terms of the respective Loan Documents. “Moody’s” means Moody’s Investors Service, Inc. and any successor thereto. “Mortgage” shall mean (a) any mortgage, deed of trust, deed to secure debt or similar security instrument (regardless of priority) made or to be made by any entity or person owning an interest in real estate granting a lien on such interest in real estate as security for the payment of Indebtedness and (b) any mezzanine indebtedness relating to such real estate interest and secured by the Equity Interests of the direct or indirect owner of such real estate interest or which is otherwise recourse to such owner. “Multiemployer Plan” means any employee benefit plan of the type described in Section 4001(a)(3) of ERISA, to which the Borrower or any ERISA Affiliate makes or is obligated to make contributions, or during the preceding five plan years, has made or been obligated to make contributions. “Multiple Employer Plan” means a Plan which has two or more contributing sponsors (including the Borrower or any ERISA Affiliate) at least two of whom are not under common control, as such a plan is described in Section 4064 of ERISA. “Negative Pledge” shall mean with respect to a given asset, any provision of a document, instrument or agreement (other than any Loan Document) which (a) prohibits or purports to prohibit the creation or assumption of any Lien on such asset as security for Indebtedness of the Person owning such asset or any other Person or (b) requires the grant of any security for such obligation if security is given for some other obligation; provided, however, that an agreement that conditions a Person’s ability to borrow money or continue to borrow money upon the maintenance of one or more specified ratios and that does not generally prohibit the encumbrance of such Person’s assets, or the encumbrance of specific assets, shall not constitute a Negative Pledge. “New Development” shall mean, as of any Calculation Date, (a) any Project which was a Project Under Development during the most recently-ended Annual Period as to which conditions (a), (b) and (c) as provided for in the definition of Projects Under Development have been satisfied, and (b) any Project acquired during the most recently-ended Annual Period, such Project(s) being a New Development only for a period not to exceed twelve (12) months (or such shorter period as Borrower may elect). “Non-Consenting Lender” means any Lender that does not approve any consent, waiver or amendment that (i) requires the approval of all Lenders or all affected Lenders in accordance with the terms of Section 10.01 and (ii) has been approved by the Required Lenders. “Non-Defaulting Lender” means, at any time, each Lender that is not a Defaulting Lender at such time. “Note” means a promissory note made by Borrower in favor of a Lender evidencing Loans made by such Lender, substantially in the form of Exhibit D. “Obligations” means all advances to, and debts, liabilities, obligations, covenants and duties of, any Loan Party arising under any Loan Document or otherwise with respect to any Loan, whether direct or indirect (including those acquired by assumption), absolute or contingent, due or to become due, now existing or hereafter arising and including interest and fees that accrue after the commencement by or against any Loan Party or any Affiliate thereof of any proceeding under any Debtor Relief Laws naming such Person as the debtor in such proceeding, regardless of whether such interest and fees are allowed claims in such proceeding; provided, however that the “Obligations” of a Guarantor shall exclude any Excluded Swap Obligations with respect to such Guarantor.


 
17 169525926v6 “OFAC” means the Office of Foreign Assets Control of the United States Department of the Treasury. “Organization Documents” means, (a) with respect to any corporation, the certificate or articles of incorporation and the bylaws (or equivalent or comparable constitutive documents with respect to any non-U.S. jurisdiction); (b) with respect to any limited liability company, the certificate or articles of formation or organization and operating agreement; and (c) with respect to any partnership, joint venture, trust or other form of business entity, the partnership, joint venture or other applicable agreement of formation or organization and any agreement, instrument, filing or notice with respect thereto filed in connection with its formation or organization with the applicable Governmental Authority in the jurisdiction of its formation or organization and, if applicable, any certificate or articles of formation or organization of such entity. “Other Connection Taxes” means, with respect to any Recipient, Taxes imposed as a result of a present or former connection between such Recipient and the jurisdiction imposing such Tax (other than connections arising from such Recipient having executed, delivered, become a party to, performed its obligations under, received payments under, received or perfected a security interest under, engaged in any other transaction pursuant to or enforced any Loan Document, or sold or assigned an interest in any Loan or Loan Document). “Other Taxes” means all present or future stamp, court or documentary, intangible, recording, filing or similar Taxes that arise from any payment made under, from the execution, delivery, performance, enforcement or registration of, from the receipt or perfection of a security interest under, or otherwise with respect to, any Loan Document, except any such Taxes that are Other Connection Taxes imposed with respect to an assignment (other than an assignment made pursuant to Section 3.06). “Outstanding Amount” means, with respect to Committed Loans on any date, the amount of the aggregate outstanding principal amount thereof after giving effect to any borrowings and prepayments or repayments of such Committed Loans occurring on such date. “Overnight Rate” means, for any day, the greater of (i) the Federal Funds Rate and (ii) an overnight rate determined by the Administrative Agent in accordance with banking industry rules on interbank compensation. “Parent” means Tanger Inc., a North Carolina corporation, together with its successors and permitted assigns. “Participant” has the meaning specified in Section 10.06(d). “Participant Register” has the meaning specified in Section 10.06(d). “PBGC” means the Pension Benefit Guaranty Corporation. “Pension Act” means the Pension Protection Act of 2006. “Pension Funding Rules” means the rules of the Code and ERISA regarding minimum required contributions (including any installment payment thereof) to Pension Plans and set forth in, with respect to plan years ending prior to the effective date of the Pension Act, Section 412 of the Code and Section 302 of ERISA, each as in effect prior to the Pension Act and, thereafter, Sections 412, 430, 431, 432 and 436 of the Code and Sections 302, 303, 304 and 305 of ERISA. “Pension Plan” means any employee pension benefit plan (including a Multiple Employer Plan or a Multiemployer Plan) that is maintained or is contributed to by the Borrower and any ERISA Affiliate and is either covered by Title IV of ERISA or is subject to the minimum funding standards under Section 412 of the Code. “Person” means any natural person, corporation, limited liability company, trust, joint venture, association, company, partnership, Governmental Authority or other entity.


 
18 169525926v6 “Plan” means any employee benefit plan within the meaning of Section 3(3) of ERISA (including a Pension Plan), maintained for employees of the Borrower or any ERISA Affiliate or any such Plan to which the Borrower or any ERISA Affiliate is required to contribute on behalf of any of its employees. “Platform” has the meaning specified in Section 6.02. “Preferred Dividends” shall mean, with respect to any Person, dividends or other distributions which are payable to holders of any Equity Interests in such Person which entitle the holders of such Equity Interests to be paid on a preferred basis prior to dividends or other distributions to the holders of other types of Equity Interests in such Person. “Projects” shall mean any and all parcels of real property owned by the Borrower or with respect to which the Borrower owns an interest (whether directly or indirectly) on which are located improvements with a gross leasable area in excess of 50,000 sq. ft. or with respect to which construction and development of such improvements are under development. “Projects Under Development” means, as of any Calculation Date, any Project under development by the Borrower, any Wholly-Owned Subsidiary of the Borrower or any Joint Venture (a) classified as construction in progress on the Borrower’s quarterly financial statements or the financial statements of such Joint Venture; or (b) as to which a certificate of occupancy has not been issued; or (c) as to which a minimum of 70% of total gross leasable area has not been leased and occupied by paying tenants. “Properties” means, as of any date of determination, all interests in real property (direct or indirect), together with all improvements thereon, owned by any of the Consolidated Parties; and “Property” means any one of them. “PTE” means a prohibited transaction class exemption issued by the U.S. Department of Labor, as any such exemption may be amended from time to time. “Public Lender” has the meaning specified in Section 6.02. “Recipient” means the Administrative Agent, any Lender, or any other recipient of any payment to be made by or on account of any obligation of any Loan Party hereunder. “Register” has the meaning specified in Section 10.06(c). “Registered Public Accounting Firm” has the meaning specified in the Securities Laws and shall be independent of the Borrower as prescribed by the Securities Laws. “REIT” means a Person qualifying for treatment as a “real estate investment trust” under the Code. “Related Parties” means, with respect to any Person, such Person’s Affiliates and the partners, directors, officers, employees, agents, trustees, administrators, managers, advisors and representatives of such Person and of such Person’s Affiliates. “Release” means any release, spill, emission, leaking, pumping, injection, deposit, disposal, discharge, dispersal, leaching, or migration of Hazardous Materials into the environment, or into or out of any Property, including the movement of any Hazardous Materials through or in the air, soil, surface water, groundwater, of any Property. “Replaced Credit Facility” means that certain Fourth Amended and Restated Liquidity Credit Agreement dated as of July 13, 2021 among Borrower, Administrative Agent and the lenders party thereto, as the same may have been, prior to the date of this Agreement, amended, restated, supplemented, extended or otherwise modified. “Reportable Event” means any of the events set forth in Section 4043(c) of ERISA, other than events for which the 30-day notice period has been waived.


 
19 169525926v6 “Request for Credit Extension” means, with respect to a Committed Borrowing, a Committed Loan Notice. “Required Lenders” means, at any time, Lenders having Total Credit Exposures representing more than 50% of the Total Credit Exposures of all Lenders or, if the commitment of each Lender to make Loans have been terminated pursuant to Section 8.02, Lenders holding in the aggregate more than 50% of the Total Outstandings; provided, however, that to the extent the Lenders are voting on any change, amendment, modification, supplement or waiver with respect to (i) the provisions of any of the financial covenants set forth in Section 7.11 hereof, (ii) the definition of the term “Change of Control” set forth in this Section 1.01 or (iii) Section 8.01(k) hereof, the term “Required Lenders” shall mean Lenders having at least sixty-six and two-thirds of one percent (66-2/3%) of the Total Credit Exposures or, if the commitment of each Lender to make Loans have been terminated pursuant to Section 8.02, Lenders holding in the aggregate at least sixty-six and two-thirds of one percent (66-2/3%) of the Total Outstandings. The Total Credit Exposure of, and Total Outstandings held by, any Defaulting Lender shall be disregarded in determining Required Lenders at any time (except to the extent such Defaulting Lender is the only then-existing Lender hereunder). Further, at all times when two (2) or more Lenders, excluding Defaulting Lenders, are party to this Agreement, the term “Required Lenders” shall, notwithstanding the foregoing, in no event mean less than two (2) Lenders. “Rescindable Amount” has the meaning as defined in Section 2.13(b)(ii). “Resolution Authority” means an EEA Resolution Authority or, with respect to any UK Financial Institution, a UK Resolution Authority. “Responsible Officer” means the chief executive officer, president, chief operating officer, chief financial officer, general counsel, executive vice president, senior vice president, vice president, treasurer, secretary or assistant secretary of a Loan Party, or any other individual who may from time to time be authorized by the Board of Directors of the Borrower to serve as a “Responsible Officer” for the purposes hereof and, solely for purposes of notices given pursuant to Article II, any other officer of the applicable Loan Party so designated by any of the foregoing officers in a notice to the Administrative Agent or any other officer or employee of the applicable Loan Party designated in or pursuant to an agreement between the applicable Loan Party and the Administrative Agent. Any document delivered hereunder that is signed by a Responsible Officer of a Loan Party shall be conclusively presumed to have been authorized by all necessary corporate, partnership and/or other action on the part of such Loan Party and such Responsible Officer shall be conclusively presumed to have acted on behalf of such Loan Party. “Restricted Payment” means (a) any dividend or other distribution, direct or indirect, on account of any shares of any class of the Equity Interests of any Consolidated Party, now or hereafter outstanding (including any payment of dividends by the Borrower necessary to retain its status as a REIT or to meet the distribution requirements of Section 857 of the Internal Revenue Code), (b) any redemption, retirement, sinking fund or similar payment, purchase or other acquisition for value, direct or indirect, of any shares of any class of the Equity Interests of any Consolidated Party, now or hereafter outstanding, and (c) any payment made to retire, or to obtain the surrender of, any outstanding warrants, options or other rights to acquire shares of any class of the Equity Interests of any Consolidated Party, now or hereafter outstanding. “Revolving Credit Exposure” means, as to any Lender at any time, the aggregate Outstanding Amount at such time of its Committed Loans. “Sanction(s)” means any sanction administered or enforced by the United States Government (including without limitation, OFAC), the United Nations Security Council, the European Union, His Majesty’s Treasury (“HMT”) or other relevant sanctions authority. “S&P” means Standard & Poor’s Ratings Services and any successor thereto. “Same Day Funds” means immediately available funds. “Sarbanes-Oxley” means the Sarbanes-Oxley Act of 2002.


 
20 169525926v6 “Scheduled Unavailability Date” has the meaning assigned to such term in Section 3.08 hereof. “SEC” means the Securities and Exchange Commission, or any Governmental Authority succeeding to any of its principal functions. “Second Extended Maturity Date” means April 12, 2029. “Secured Indebtedness” shall mean an amount, as of any Calculation Date, equal to (a) any Indebtedness of the Borrower (including, as provided in the last sentence of the definition of the term “Indebtedness,” the Indebtedness of the Borrower’s consolidated affiliates) secured by any encumbrance or by any security interest, lien, privilege, or charge (other than liens for real estate taxes that are not yet due and payable) on any real or personal property, plus (b) Borrower’s Equity Percentage of any Indebtedness of any Joint Venture Projects or any Joint Ventures secured by any encumbrance or by any security interest, lien, privilege, or charge (other than liens for real estate taxes that are not yet due and payable) on any real or personal property. “Securities Holdings” shall mean common stock, preferred stock, other capital stock, beneficial interest in trust, membership interest in limited liability companies and other Equity Interests in entities (other than consolidated and unconsolidated subsidiaries) such that the aggregate basis of such interests is calculated on the basis of lower of cost or market value. “Securities Laws” means the Securities Act of 1933, the Securities Exchange Act of 1934, Sarbanes-Oxley and the applicable accounting and auditing principles, rules, standards and practices promulgated, approved or incorporated by the SEC or the Public Company Accounting Oversight Board, as each of the foregoing may be amended and in effect on any applicable date hereunder. “SOFR” means with respect to any applicable determination date the Secured Overnight Financing Rate published on the fifth U.S. Government Securities Business Day preceding such date by the SOFR Administrator on the Federal Reserve Bank of New York’s website (or any successor source); provided however that if such determination date is not a U.S. Government Securities Business Day, then SOFR means such rate that applied on the first U.S. Government Securities Business Day immediately prior thereto. “SOFR Adjustment” means 0.10% (10.0 basis points) per annum. “SOFR Administrator” means the Federal Reserve Bank of New York, as the administrator of SOFR, or any successor administrator of SOFR designated by the Federal Reserve Bank of New York or other Person acting as the SOFR Administrator at such time that is satisfactory to the Administrative Agent. “SOFR Successor Rate” has the meaning assigned thereto in Section 3.08(b) hereof. “Subsidiary” of a Person means a corporation, partnership, joint venture, limited liability company or other business entity of which a majority of the shares of securities or other interests having ordinary voting power for the election of directors or other governing body (other than securities or interests having such power only by reason of the happening of a contingency) are at the time beneficially owned, or the management of which is otherwise controlled, directly, or indirectly through one or more intermediaries, or both, by such Person. Unless otherwise specified, all references herein to a “Subsidiary” or to “Subsidiaries” shall refer to a Subsidiary or Subsidiaries of the Borrower. “Subsidiary Guarantor” means, as of any date of determination, each Wholly-Owned Subsidiary or Controlled Subsidiary of the Borrower (or any Person already qualified as a Loan Party) that: (a) is not an Exempt Subsidiary, and (b) has incurred, guaranteed, or become liable for (or has agreed to incur, guarantee, or otherwise become liable for) any unsecured obligations (other than with respect to the Loan Documents, ordinary course trade payables, or debt constituting liability under or with respect to any guaranties of standard non-recourse carve-out obligations) in excess of $5,000,000.00. “Sustainability Coordinator” means BofA Securities, in its capacity as sustainability coordinator.


 
21 169525926v6 “Swap Contract” means (a) any and all rate swap transactions, basis swaps, credit derivative transactions, forward rate transactions, commodity swaps, commodity options, forward commodity contracts, equity or equity index swaps or options, bond or bond price or bond index swaps or options or forward bond or forward bond price or forward bond index transactions, interest rate options, forward foreign exchange transactions, cap transactions, floor transactions, collar transactions, currency swap transactions, cross-currency rate swap transactions, currency options, spot contracts, or any other similar transactions or any combination of any of the foregoing (including any options to enter into any of the foregoing), whether or not any such transaction is governed by or subject to any master agreement, and (b) any and all transactions of any kind, and the related confirmations, which are subject to the terms and conditions of, or governed by, any form of master agreement published by the International Swaps and Derivatives Association, Inc., any International Foreign Exchange Master Agreement, or any other master agreement (any such master agreement, together with any related schedules, a “Master Agreement”), including any such obligations or liabilities under any Master Agreement. “Swap Obligations” means with respect to any Guarantor any obligation to pay or perform under any agreement, contract or transaction that constitutes a “swap” within the meaning of Section 1a(47) of the Commodity Exchange Act. “Swap Termination Value” means, in respect of any one or more Swap Contracts, after taking into account the effect of any legally enforceable netting agreement relating to such Swap Contracts, (a) for any date on or after the date such Swap Contracts have been closed out and termination value(s) determined in accordance therewith, such termination value(s), and (b) for any date prior to the date referenced in clause (a), the amount(s) determined as the mark-to-market value(s) for such Swap Contracts, as determined based upon one or more mid-market or other readily available quotations provided by any recognized dealer in such Swap Contracts (which may include a Lender or any Affiliate of a Lender). “TAUI Netting Adjustment” means, as of any Calculation Date, an amount equal to the lesser of (a) the aggregate amount of Total Unsecured Indebtedness outstanding on such date that by its terms is scheduled to mature on or before the date that is twenty-four (24) months following such date; and (b) (i) the aggregate amount of all unrestricted cash and Cash Equivalents held by the Consolidated Parties (excluding any tenant deposits) on such date to the extent available for the repayment of Total Unsecured Indebtedness of the type described in clause (a) above, less (ii) $30,000,000.00; provided, however, that if the amount determined pursuant to this clause (b) would otherwise be less than zero (0), the amount determined pursuant to this clause (b) shall be deemed to be zero (0) for purposes hereof. “TAV EBITDA” shall mean, as of any Calculation Date, Adjusted EBITDA directly attributable to all Properties and Projects for the Calculation Period applicable thereto. “Taxes” means all present or future taxes, levies, imposts, duties, deductions, withholdings (including backup withholding), assessments, fees or other charges imposed by any Governmental Authority, including any interest, additions to tax or penalties applicable thereto. “Threshold Amount” means (a) with respect to judgment defaults or ERISA matters, $50,000; (b) with respect to Indebtedness which is non-recourse to a Person (except for customary recourse “carve-outs”), such Indebtedness which is outstanding in a principal amount of at least $50,000,000 individually or when aggregated with all such Indebtedness; and (c) with respect to any other Indebtedness of such Person, such Indebtedness which is outstanding in a principal amount of at least $25,000,000 individually or when aggregated with all such Indebtedness. For clarification purposes, no Indebtedness and no Guarantee shall be attributed to any Person hereunder (for purposes of determination of the Threshold Amount of Indebtedness of a Person, including whether such Indebtedness is recourse or non-recourse to such Person) unless such Person is the borrower, guarantor or primary obligor thereof and, if a guarantor, such Indebtedness or Guarantee, as applicable, shall be deemed to be in the amount of such guaranty (and shall exclude any and all guaranties that are not in liquidated amounts, including debt constituting liability under or with respect to any guaranties of standard non-recourse carve-out obligations). “TL Netting Adjustment” means, as of any Calculation Date, an amount equal to the lesser of (a) the aggregate amount of Total Liabilities outstanding on such date that by its terms is scheduled to mature on or before the date that is twenty-four (24) months following such date; and (b) (i) the aggregate amount of all unrestricted cash


 
22 169525926v6 and Cash Equivalents held by the Consolidated Parties (excluding any tenant deposits) on such date to the extent available for the repayment of Total Liabilities of the type described in clause (a) above, less (ii) $30,000,000.00; provided, however, that if the amount determined pursuant to this clause (b) would otherwise be less than zero (0), the amount determined pursuant to this clause (b) shall be deemed to be zero (0) for purposes hereof. “Total Adjusted Asset Value” shall mean, as of any Calculation Date: (a) the sum of: (i) unrestricted cash and Cash Equivalents held by the Consolidated Parties (excluding any tenant deposits); plus (ii) the cost value of all undeveloped holdings (raw land or land which is not otherwise an operating property other than any properties determined to be Projects Under Development) held by the Consolidated Parties determined in accordance with GAAP; plus (iii) the value of the Consolidated Parties’ Securities Holdings; plus (iv) the value of all Mortgages held by the Consolidated Parties; plus (v) cost value of Projects Under Development (including only costs incurred as of any Calculation Date and not including the cost value of Projects Under Development which constitute Joint Venture Projects); plus (vi) cost value of New Developments (including only costs incurred as of any Calculation Date and not including the cost value of New Developments which constitute Joint Venture Projects); plus (vii) Borrower’s Equity Percentage of the cost value of Joint Venture Projects which comply with the definition of Projects Under Development and New Development (including only costs incurred as of any Calculation Date); plus (b) an amount equal to (i) (A) an amount equal to the TAV EBITDA for the Calculation Period applicable to such Calculation Date (as adjusted by the Borrower (1) to take into account the TAV EBITDA of any dispositions during such Calculation Period and (2) to deduct TAV EBITDA derived from Projects Under Development or New Developments, each of which adjustments must be approved by Administrative Agent in its reasonable discretion), minus (B) the sum of (1) a capital expenditure allowance of $0.15 times owned gross leasable area of projects wholly owned by the Borrower or any Wholly-Owned Subsidiary thereof, plus (2) a capital expenditure allowance of $0.15 times gross leasable area of Joint Venture Projects multiplied by the Borrower’s Equity Percentage of such Joint Venture Projects (excluding Projects Under Development and New Developments); divided by (ii) .0750; provided, that for purposes of calculating Total Adjusted Asset Value: (I) the total amount attributable to item (a)(ii) above shall be limited to five percent (5%) of Total Adjusted Asset Value and, to the extent the amount attributable to item (a)(ii) above exceeds such threshold, such amount shall be reduced, in the overall calculation of Total Adjusted Asset Value, such that it equals five percent (5%) of the Total Adjusted Asset Value; (II) the total amount attributable to item (a)(iii) above shall be limited to five percent (5%) of Total Adjusted Asset Value and, to the extent the amount attributable to item (a)(iii) above


 
23 169525926v6 exceeds such threshold, such amount shall be reduced, in the overall calculation of Total Adjusted Asset Value, such that it equals five percent (5%) of the Total Adjusted Asset Value; (III) the total amount attributable to item (a)(v) above shall be limited to twenty-five percent (25%) of Total Adjusted Asset Value and, to the extent the amount attributable to item (a)(v) above exceeds such threshold, such amount shall be reduced, in the overall calculation of Total Adjusted Asset Value, such that it equals twenty-five percent (25%) of the Total Adjusted Asset Value; and (IV) in addition to the restrictions set forth in items (I), (II), and (III) above, the total amount attributable to assets or TAV EBITDA generated by or attributable to items (I), (II), and (III) above, together with TAV EBITDA generated by or attributable to Joint Venture Projects and/or Joint Ventures and TAV EBITDA generated attributable to item (a)(iv) above shall, in the aggregate, be limited to thirty-five percent (35%) of Total Adjusted Asset Value and, to the extent the amount attributable to such assets exceeds such threshold, such amount shall be reduced, in the overall calculation of Total Adjusted Asset Value, such that it equals thirty-five percent (35%) of the Total Adjusted Asset Value. “Total Adjusted Unsecured Indebtedness” means, as of any Calculation Date, an amount equal to Total Unsecured Indebtedness as of such date, less an amount equal to the TAUI Netting Adjustment. “Total Credit Exposure” means, as to any Lender at any time, the unused Commitments and Revolving Credit Exposure of such Lender at such time. “Total Leverage Ratio” means, as of any Calculation Date, the ratio of (a) Total Liabilities to (b) an amount equal to Total Adjusted Asset Value, less the TL Netting Adjustment used in determining Total Liabilities for such Calculation Date. “Total Liabilities” shall mean, as of any Calculation Date, (a) the sum of (i) all liabilities of the Borrower and its Wholly-Owned Subsidiaries, as calculated in accordance with GAAP (including, in any case and without limitation, deferred taxes), less (A) intercompany items, and (B) liabilities attributable to Joint Venture Projects or Joint Ventures, plus (ii) Borrower’s Equity Percentage of Total Liabilities attributable to Joint Venture Projects or Joint Ventures, less (b) the TL Netting Adjustment applicable thereto. Without duplication, Total Liabilities shall (subject to the TL Netting Adjustment) include all guarantees (other than debt constituting liability under or with respect to any guaranties of standard non-recourse carve-out obligations), endorsements and other contingent obligations whether direct or indirect in respect of indebtedness of others, including the obligations to reimburse the issuer in respect of any letters of credit. “Total Outstandings” means the aggregate Outstanding Amount of all Loans. “Total Unencumbered Leverage Ratio” means, as of any Calculation Date, the ratio of (a) Total Adjusted Unsecured Indebtedness to (b) an amount equal to Adjusted Unencumbered Asset Value, less the TAUI Netting Adjustment used in determining Total Adjusted Unsecured Indebtedness for such Calculation Date. “Total Unsecured Indebtedness” shall mean, as of any Calculation Date, an amount equal to (a) all unsecured Indebtedness of the Borrower and its Wholly-Owned Subsidiaries, plus (b) without duplication Borrower’s Equity Percentage of any unsecured Indebtedness of any Joint Venture and/or Joint Venture Projects as of such Calculation Date, other than trade indebtedness incurred in the ordinary course of business; provided, that all Indebtedness which is secured by a pledge of equity interests only shall be deemed to be unsecured indebtedness. “UK Financial Institution” means any BRRD Undertaking (as such term is defined under the PRA Rulebook (as amended form time to time) promulgated by the United Kingdom Prudential Regulation Authority) or any person subject to IFPRU 11.6 of the FCA Handbook (as amended from time to time) promulgated by the United Kingdom Financial Conduct Authority, which includes certain credit institutions and investment firms, and certain affiliates of such credit institutions or investment firms.


 
24 169525926v6 “UK Resolution Authority” means the Bank of England or any other public administrative authority having responsibility for the resolution of any UK Financial Institution. “Unconsolidated Affiliate(s)” means, with respect to any Person (the “parent”), at any date, any corporation, limited liability company, partnership, association or other entity the accounts of which would not be consolidated with those of the parent in the parent’s consolidated financial statements if such financial statements were prepared in accordance with full consolidation method GAAP as of such date. “Unencumbered Assets” shall mean real property that is wholly-owned by the Borrower, a Wholly-Owned Subsidiary, or a Controlled Subsidiary that is not subject to a mortgage lien or to any agreement with any other lender that prohibits the creation of a Lien on that specific property. “Unencumbered EBITDA” shall mean, as of any Calculation Date, Adjusted EBITDA directly attributable to Unencumbered Assets for the Calculation Period applicable thereto. “Unencumbered FC EBITDA” shall mean, as of any Calculation Date, FC EBITDA directly attributable to Unencumbered Assets (including general and administrative expenses apportioned on a gross leaseable area basis to such Unencumbered Assets) for the Calculation Period applicable to such Calculation Date. “United States” and “U.S.” mean the United States of America. “U.S. Government Securities Business Day” means any Business Day, except any Business Day on which any of the Securities Industry and Financial Markets Association, the New York Stock Exchange or the Federal Reserve Bank of New York is not open for business because such day is a legal holiday under the federal laws of the United States or the laws of the State of New York, as applicable. “U.S. Person” means any Person that is a “United States Person” as defined in Section 7701(a)(30) of the Code. “U.S. Tax Compliance Certificate” has the meaning specified in Section 3.01(e)(ii)(B)(III). “Voting Stock” means, with respect to any Person, Equity Interests issued by such Person the holders of which are ordinarily, in the absence of contingencies, entitled to vote for the election of directors (or persons performing similar functions) of such Person, even though the right so to vote has been suspended by the happening of such a contingency. “Wholly-Owned Subsidiary” of a Person means (i) any Subsidiary all of the outstanding voting securities of which shall at the time be owned or controlled, directly or indirectly, by such Person or one or more Wholly-Owned Subsidiaries of such Person, or by such Person and one or more Wholly-Owned Subsidiaries of such Person, or (ii) any partnership, limited liability company, association, joint venture or similar business organization 100% of the ownership interests having ordinary voting power of which shall at the time be so owned or controlled. Except as otherwise specifically noted, each reference to “Wholly-Owned Subsidiary” contained herein shall be to Subsidiaries of the Borrower meeting the qualifications noted above. “Write-Down and Conversion Powers” means, (a) with respect to any EEA Resolution Authority, the write- down and conversion powers of such EEA Resolution Authority from time to time under the Bail-In Legislation for the applicable EEA Member Country, which write-down and conversion powers are described in the EU Bail-In Legislation Schedule, and (b) with respect to the United Kingdom, any powers of the applicable Resolution Authority under the Bail-In Legislation to cancel, reduce, modify or change the form of a liability of any UK Financial Institution or any contract or instrument under which that liability arises, to convert all or part of that liability into shares, securities or obligations of that person or any other person, to provide that any such contract or instrument is to have effect as if a right had been exercised under it or to suspend any obligation in respect of that liability or any of the powers under that Bail-In Legislation that are related to or ancillary to any of those powers.


 
25 169525926v6 1.02 Other Interpretive Provisions With reference to this Agreement and each other Loan Document, unless otherwise specified herein or in such other Loan Document: (a) The definitions of terms herein shall apply equally to the singular and plural forms of the terms defined. Whenever the context may require, any pronoun shall include the corresponding masculine, feminine and neuter forms. The words “include,” “includes” and “including” shall be deemed to be followed by the phrase “without limitation.” The word “will” shall be construed to have the same meaning and effect as the word “shall.” Unless the context requires otherwise, (i) any definition of or reference to any agreement, instrument or other document (including any Organization Document) shall be construed as referring to such agreement, instrument or other document as from time to time amended, supplemented or otherwise modified (subject to any restrictions on such amendments, supplements or modifications set forth herein or in any other Loan Document), (ii) any reference herein to any Person shall be construed to include such Person’s successors and assigns, (iii) the words “hereto,” “herein,” “hereof” and “hereunder,” and words of similar import when used in any Loan Document, shall be construed to refer to such Loan Document in its entirety and not to any particular provision thereof, (iv) all references in a Loan Document to Articles, Sections, Exhibits and Schedules shall be construed to refer to Articles and Sections of, and Exhibits and Schedules to, the Loan Document in which such references appear, (v) any reference to any law shall include all statutory and regulatory provisions consolidating, amending, replacing or interpreting such law and any reference to any law or regulation shall, unless otherwise specified, refer to such law or regulation as amended, modified or supplemented from time to time, and (vi) the words “asset” and “property” shall be construed to have the same meaning and effect and to refer to any and all tangible and intangible assets and properties, including cash, securities, accounts and contract rights. (b) In the computation of periods of time from a specified date to a later specified date, the word “from” means “from and including;” the words “to” and “until” each mean “to but excluding;” and the word “through” means “to and including.” (c) Section headings herein and in the other Loan Documents are included for convenience of reference only and shall not affect the interpretation of this Agreement or any other Loan Document. (d) All references herein to the “knowledge” of the Borrower or Loan Parties shall be deemed to mean the actual knowledge of the chief executive officer, president, chief financial officer, treasurer, secretary, assistant secretary, chief operating officer or general counsel of the Parent and/or Borrower. 1.03 Accounting Terms. (a) Generally. All accounting terms not specifically or completely defined herein shall be construed in conformity with, and all financial data (including financial ratios and other financial calculations) required to be submitted pursuant to this Agreement shall be prepared in conformity with, GAAP applied on a consistent basis, as in effect on the date of this Agreement subject to the provisions of this Section 1.03, from time to time, applied in a manner consistent with that used in preparing the Audited Financial Statements, except as otherwise specifically prescribed herein. Notwithstanding the foregoing, for purposes of determining compliance with any covenant (including the computation of any financial covenant) contained herein, Indebtedness of the Borrower and its Subsidiaries shall be deemed to be carried at 100% of the outstanding principal amount thereof, and the effects of FASB ASC 825 and FASB ASC 470-20 on financial liabilities shall be disregarded. (b) Changes in GAAP. If at any time any change in GAAP would affect the computation of any financial ratio or requirement set forth in any Loan Document, and either the Borrower or the Administrative Agent shall so request, the Administrative Agent, the Lenders and the Borrower shall negotiate in good faith to amend such ratio or requirement to preserve the original intent thereof in light of such change in GAAP (subject to the approval of the Required Lenders); provided that, until so amended, (A) such ratio or requirement shall continue to be computed in accordance with GAAP prior to such change therein and (B) the Borrower shall provide to the Administrative Agent and the Lenders financial statements and other documents required under this Agreement or as reasonably requested hereunder setting forth a reconciliation between calculations of such ratio or requirement made before and after giving effect to such change in GAAP.


 
26 169525926v6 (c) Accounting for Sales of Real Estate. For purposes of clarification and without limiting the foregoing general requirements of this Section 1.03 or otherwise set forth in this Agreement, all real estate transactions shall, for the duration of this Agreement, be accounted for using standard GAAP accounting (including application, as applicable, of the financing, profit sharing or other alternative accounting methods prescribed by paragraphs 25 to 29 of FASB ASC 66). (d) Consolidation of Variable Interest Entities. All references herein to consolidated financial statements of the Borrower and its Subsidiaries or to the determination of any amount for the Borrower and its Subsidiaries on a consolidated basis or any similar reference shall, in each case, be deemed to include each variable interest entity that the Borrower is required to consolidate pursuant to FASB ASC 810 as if such variable interest entity were a Subsidiary as defined herein. (e) Divisions. Any reference herein to a merger, transfer, consolidation, amalgamation, consolidation, assignment, sale, disposition or transfer, or similar term, shall be deemed to apply to a division of or by a limited liability company, or an allocation of assets to a series of a limited liability company (or the unwinding of such a division or allocation), as if it were a merger, transfer, consolidation, amalgamation, consolidation, assignment, sale, disposition or transfer, or similar term, as applicable, to, of or with a separate Person. Any division of a limited liability company shall constitute a separate Person hereunder (and each division of any limited liability company that is a Subsidiary, joint venture or any other like term shall also constitute such a Person or entity). 1.04 Rounding. Any financial ratios required to be maintained by the Borrower pursuant to this Agreement shall be calculated by dividing the appropriate component by the other component, carrying the result to one place more than the number of places by which such ratio is expressed herein and rounding the result up or down to the nearest number (with a rounding-up if there is no nearest number). 1.05 Performance of Delivery Obligations Under Corporate Credit Facility. Administrative Agent and Lenders hereby agree that performance by the Borrower (or, as applicable, Loan Parties or any of their Subsidiaries) under the Corporate Credit Facility or the “Loan Documents” referenced therein of document or materials delivery obligations thereunder with respect to financial information, notices, corporate documents and/or certifications, governmental compliance or permitting materials, environmental reports, property or project reports or summaries, rent rolls, insurance certificates, compliance certificates and any other information or deliverables shall satisfy any corresponding delivery requirements contained herein, including such requirements as referenced in Sections 4.01, 4.02, 6.01, 6.02 and 6.03 hereof (except, in each case, to the extent the applicable deliverables are specifically related to this Agreement (i.e. Committed Loan Notices with respect to requested Committed Loans hereunder)). 1.06 Times of Day Unless otherwise specified, all references herein to times of day shall be references to Eastern time (daylight or standard, as applicable). 1.07 Applicable Rate Redeterminations. Notwithstanding anything contained herein to the contrary, in the event that any financial statement or Compliance Certificate delivered hereunder is, as a result of any restatement or adjustment to the financial information delivered in connection herewith or otherwise, shown to be inaccurate (regardless of whether this Agreement or the Commitments are in effect when such inaccuracy is discovered), and such inaccuracy, if corrected, would have led to the application of a higher Applicable Rate based upon the provisions set forth in the definition of such term contained herein (the “Accurate Applicable Rate”) for any period that such financial statement or Compliance Certificate covered, then: (i) the Borrower shall immediately deliver to the Administrative Agent a correct financial statement or Compliance Certificate, as the case may be, for such period, together with a notification that such corrected information should result in a retroactive adjustment to the Applicable Rate, (ii) the Applicable Rate shall be adjusted


 
27 169525926v6 such that after giving effect to the corrected financial statement or Compliance Certificate, as the case may be, the Applicable Rate shall be reset to the Accurate Applicable Rate based upon the provisions set forth above in such definition for such period, and (iii) the Borrower shall promptly, upon demand by Administrative Agent (or, after the occurrence of an actual or deemed entry of an order for relief with respect to any Borrower under the Bankruptcy Code of the United States, automatically and without further action by the Administrative Agent or any Lender) pay to the Administrative Agent, for the account of the Lenders or other parties entitled thereto (as applicable), the accrued additional interest or other amounts owing as a result of such Accurate Applicable Rate for such period. This Section 1.07 shall not limit the rights of the Administrative Agent or any Lender, as the case may be, under any of Sections 2.03 or 2.08, Article VIII, or any other provision hereof. Each Borrower’s obligations under this Section 1.07 shall survive the termination of the Aggregate Commitments and the repayment of all other Obligations hereunder. 1.08 Interest Rates. The Administrative Agent does not warrant, nor accept responsibility, nor shall the Administrative Agent have any liability with respect to the administration, submission or any other matter related to any reference rate referred to herein or with respect to any rate (including, for the avoidance of doubt, the selection of such rate and any related spread or other adjustment) that is an alternative or replacement for or successor to any such rate (including, without limitation, any Successor Rate) (or any component of any of the foregoing) or the effect of any of the foregoing, or of any Conforming Changes. The Administrative Agent and its affiliates or other related entities may engage in transactions or other activities that affect any reference rate referred to herein, or any alternative, successor or replacement rate (including, without limitation, any SOFR Successor Rate) (or any component of any of the foregoing) or any related spread or other adjustments thereto, in each case, in a manner adverse to the Borrower. The Administrative Agent may select information sources or services in its reasonable discretion to ascertain any reference rate referred to herein or any alternative, successor or replacement rate (including, without limitation, any Successor Rate) (or any component of any of the foregoing), in each case pursuant to the terms of this Agreement, and shall have no liability to the Borrower, any Lender or any other person or entity for damages of any kind, including direct or indirect, special, punitive, incidental or consequential damages, costs, losses or expenses (whether in tort, contract or otherwise and whether at law or in equity), for any error or other action or omission related to or affecting the selection, determination, or calculation of any rate (or component thereof) provided by any such information source or service. ARTICLE II THE COMMITMENTS AND CREDIT EXTENSIONS 2.01 Committed Loans. Subject to the terms and conditions set forth herein, each Lender severally agrees to make loans (each such loan, a “Committed Loan”) to the Borrower in Dollars from time to time, on any Business Day during the Availability Period, in an aggregate amount not to exceed at any time outstanding the amount of such Lender’s Commitment; provided, however, that after giving effect to any Committed Borrowing, (i) the Total Outstandings shall not exceed the Aggregate Commitments, and (ii) the Revolving Credit Exposure of any Lender shall not exceed such Lender’s Commitment. Within the limits of each Lender’s Commitment, and subject to the other terms and conditions hereof, the Borrower may borrow under this Section 2.01, prepay under Section 2.06, and reborrow under this Section 2.01. All outstanding Committed Loans shall bear interest as set forth in Section 2.09 hereof. 2.02 Borrowings and Conversions of Committed Loans. (a) Each Committed Borrowing shall be made upon the Borrower’s irrevocable notice to the Administrative Agent, which may be given by (A) telephone or (B) a Committed Loan Notice; provided that any telephonic notice must be confirmed immediately by delivery to the Administrative Agent of a written Committed Loan Notice, appropriately completed and signed by a Responsible Officer of the Borrower. Each such Committed Loan Notice must be received by the Administrative Agent not later than 11:00 a.m. on the requested date of any Committed Borrowing. Each Committed Borrowing shall be in a principal amount of $100,000 or a whole multiple of $50,000 in excess thereof. Each Committed Loan Notice (whether telephonic or written) shall specify (i) the requested date of the Committed Borrowing (which shall be a Business Day), and (ii) the principal amount of Committed Loans to be borrowed. All Committed Borrowings shall be made in Dollars.


 
28 169525926v6 (b) Following receipt of a Committed Loan Notice, the Administrative Agent shall promptly notify each Lender of the amount of its Applicable Percentage of the applicable Committed Loans. In the case of a Committed Borrowing, each Lender shall make the amount of its Committed Loan available to the Administrative Agent in Same Day Funds at the Administrative Agent’s Office not later than 1:00 p.m. on the Business Day specified in the applicable Committed Loan Notice or, as to Loans to be made on the Closing Date as to which Advance Funding Arrangements are in effect, in accordance with the terms thereof. Upon satisfaction of the applicable conditions set forth in Section 4.02 (and, if such Borrowing is the initial Credit Extension, Section 4.01), the Administrative Agent shall make all funds so received available to the Borrower in like funds as received by the Administrative Agent either by (i) crediting the account of the Borrower on the books of Bank of America with the amount of such funds or (ii) wire transfer of such funds, in each case in accordance with instructions provided to (and reasonably acceptable to) the Administrative Agent by the Borrower. (c) During the existence of any Event of Default, no Loans may, if written notice of such Default has previously been delivered to Borrower, be requested without the consent of the Required Lenders. (d) The Administrative Agent shall promptly notify the Borrower and the Lenders of the interest rate applicable to any Committed Loans upon determination of such interest rate. At any time that interest rates applicable to the Committed Loans are based on the Administrative Agent’s prime rate, the Administrative Agent shall notify the Borrower and the Lenders of any change in the Administrative Agent’s prime rate used in determining such interest rate promptly following the public announcement of such change. (e) Notwithstanding anything to the contrary in this Agreement, any Lender may exchange, continue or rollover all of the portion of its Loans in connection with any refinancing, extension, loan modification or similar transaction permitted by the terms of this Agreement, pursuant to a cashless settlement mechanism approved by the Borrower, the Administrative Agent, and such Lender. 2.03 [Intentionally Omitted]. 2.04 [Intentionally Omitted]. 2.05 [Intentionally Omitted]. 2.06 Prepayments (a) The Borrower may, upon notice to the Administrative Agent, at any time or from time to time voluntarily prepay Committed Loans in whole or in part without premium or penalty; provided that (i) such notice must be received by the Administrative Agent not later than 11:00 a.m. on the date of prepayment of Committed Loans; (ii) any prepayment shall be in a principal amount of $100,000 or a whole multiple of $50,000 in excess thereof or, in each case, if less, the entire principal amount thereof then outstanding. The Administrative Agent will promptly notify each Lender of its receipt of each such notice, and of the amount of such Lender’s Applicable Percentage of such prepayment. If such notice is given by the Borrower, the Borrower shall make such prepayment and the payment amount specified in such notice shall be due and payable on the date specified therein. Any prepayment of Committed Loans shall be accompanied by all accrued interest on the amount prepaid, together with any additional amounts required pursuant to Section 3.05, if any. Subject to Section 2.18, each such prepayment shall be applied to the Committed Loans of the Lenders in accordance with their respective Applicable Percentages. (b) If for any reason the Total Outstandings at any time exceed the Aggregate Commitments then in effect, the Borrower shall immediately upon demand prepay Loans in an aggregate amount equal to such excess; provided, however, that Borrower shall have the right to designate which Loans and/or other Obligations are to be repaid hereunder. 2.07 Termination or Reduction of Commitments. The Borrower may, upon notice to the Administrative Agent, terminate the Aggregate Commitments, or from time to time permanently reduce the Aggregate Commitments; provided that (i) any such notice shall be received by


 
29 169525926v6 the Administrative Agent not later than 11:00 a.m. five Business Days prior to the date of termination or reduction, (ii) any such partial reduction shall be in an aggregate amount of $1,000,000 or any whole multiple of $500,000 in excess thereof, and (iii) the Borrower shall not terminate or reduce the Aggregate Commitments if, after giving effect thereto and to any concurrent prepayments hereunder, the Total Outstandings would exceed the Aggregate Commitments The Administrative Agent will promptly notify the Lenders of any such notice of termination or reduction of the Aggregate Commitments. Any reduction of the Aggregate Commitments shall be applied to the Commitment of each Lender according to its Applicable Percentage. All fees accrued until the effective date of any termination of the Aggregate Commitments shall be paid on the effective date of such termination. 2.08 Repayment of Loans. (a) Borrower shall repay to the Lenders on the Maturity Date the aggregate principal amount of Committed Loans made to Borrower outstanding on such date. (b) The Borrower shall Fully Satisfy all other Obligations on or prior to the earlier of (i) the date on which payment of such Obligations are required to be paid pursuant to the terms hereof or of the other Loan Documents and (ii) the Maturity Date. 2.09 Interest. (a) Subject to the provisions of subsection (b) below and the provisions of Section 3.08 of this Agreement, each Committed Loan shall bear interest on the daily outstanding principal amount thereof at a rate per annum equal to the sum of Daily SOFR plus the Applicable Rate (as determined based on the column headed “Daily SOFR Applicable Spread”); provided, however, that if Administrative Agent determines in its reasonable discretion that the rates calculated pursuant to the definition of the terms “Daily SOFR” or “SOFR” are not available for any reason, or if Administrative Agent reasonably determines that no adequate basis exists for determining the rates calculated pursuant thereto, or that the rates calculated pursuant to such definitions will not adequately and fairly reflect the cost to Lenders of funding the Loans, or that any applicable Law or regulation or compliance therewith by Lenders prohibits or restricts or makes impossible the charging of interest based on the rates calculated pursuant to such definitions and so notifies Borrower, then interest shall accrue and be payable on the unpaid principal balance of the Committed Loans at a fluctuating rate of interest equal to the Base Rate, plus the Applicable Rate (as determined based on the column headed “Base Rate Applicable Spread”), from the date of such notification by Administrative Agent until Administrative Agent notifies Borrower that the circumstances giving rise to such suspension no longer exist, or until the Maturity Date (whether by acceleration, declaration, extension or otherwise), whichever is earlier to occur. (b) (i) If any amount of principal of any Loan is not paid within five (5) days after the date when due (other than on the Maturity Date, as to which such five (5) day period shall not apply), whether at stated maturity, by acceleration or otherwise, such amount shall thereafter bear interest at a fluctuating interest rate per annum at all times equal to the Default Rate to the fullest extent permitted by applicable Laws. (ii) If any amount (other than principal of any Loan) payable by the Borrower under any Loan Document is not paid within five (5) days after the date when due (other than on the Maturity Date, as to which such five (5) day period shall not apply), whether at stated maturity, by acceleration or otherwise, then upon the request of the Required Lenders, such amount shall thereafter bear interest at a fluctuating interest rate per annum at all times equal to the Default Rate to the fullest extent permitted by applicable Laws. (iii) Upon the request of the Required Lenders, while any Event of Default exists, outstanding Obligations may accrue interest at a fluctuating rate per annum at all times equal to the Default Rate to the fullest extent permitted by Applicable Laws. (iv) Accrued and unpaid interest on past due amounts (including interest on past due interest) shall be due and payable upon demand.


 
30 169525926v6 (c) Installments of interest for each calendar month on the Committed Loans outstanding shall be due and payable in arrears on the fifteenth (15th) day of each following month beginning with the interest installment (if any) due on April 15, 2024, and continuing on the fifteenth (15th) day of each month thereafter until all principal and accrued interest owing pursuant to this Agreement shall have been fully paid and satisfied Interest hereunder shall be due and payable in accordance with the terms hereof before and after judgment, and before and after the commencement of any proceeding under any Debtor Relief Law. 2.10 Fees. In addition to certain fees described in subsections (h) and (i) of Section 2.04: (a) Facility Fee. The Borrower shall pay to the Administrative Agent for the account of each Lender in accordance with its Applicable Percentage, a facility fee equal to the applicable facility fee percentage identified in the definition of Applicable Rate (as determined under the column headed “Facility Fee”) times the actual daily amount of the Aggregate Commitments (or, if the Aggregate Commitments have terminated, on the Outstanding Amount of all Committed Loans), regardless of usage, subject to adjustment as provided in Section 2.18. The facility fee shall accrue at all times during the Availability Period (and thereafter so long as any Committed Loans remain outstanding), including at any time during which one or more of the conditions in Article IV is not met, and shall be due and payable quarterly in arrears on the last Business Day of each March, June, September and December, commencing with the first such date to occur after the Closing Date, and on the last day of the Availability Period (and, if applicable, thereafter on demand). The facility fee shall be calculated quarterly in arrears, and if there is any change in the Applicable Rate during any quarter, the actual daily amount shall be computed and multiplied by the Applicable Rate separately for each period during such quarter that such Applicable Rate was in effect. (b) Commitment Fee. The Borrower shall, as of the closing of this Agreement, pay to the Administrative Agent, for the benefit of the Lenders (based on their respective Applicable Percentages) a commitment fee in an amount equal to 30 basis points, multiplied by each such Lender’s Commitments hereunder as of the Closing Date (and prior to any funding of Committed Loans hereunder). All of the fees described above in this Section 2.10 shall be fully earned upon becoming due and payable in accordance with the terms hereof, shall be nonrefundable for any reason whatsoever and shall be in addition to any other fees, costs and expenses payable pursuant to the terms hereof. Borrower’s obligation to pay the foregoing fees will not be subject to counterclaim or setoff for, or be otherwise affected by, any claim or dispute Borrower may have. 2.11 Computation of Interest and Fees. All computations of interest for Base Rate Loans (including Base Rate Loans determined by reference to Daily SOFR) shall be made on the basis of a year of 365 or 366 days, as the case may be, and actual days elapsed. All other computations of fees and interest with respect to Daily SOFR Loans shall be made on the basis of a 360-day year and actual days elapsed (which results in more fees or interest, as applicable, being paid than if computed on the basis of a 365-day year). Interest shall accrue on each Loan for the day on which the Loan is made, and shall not accrue on a Loan, or any portion thereof, for the day on which the Loan or such portion is paid, provided that any Loan that is repaid on the same day on which it is made shall, subject to Section 2.13(a), bear interest for one day. Each determination by the Administrative Agent of an interest rate or fee hereunder shall be conclusive and binding for all purposes, absent manifest error. 2.12 Evidence of Debt. The Credit Extensions made by each Lender shall be evidenced by one or more accounts or records maintained by such Lender and by the Administrative Agent in the ordinary course of business. The accounts or records maintained by the Administrative Agent and each Lender shall be conclusive absent manifest error of the amount of the Credit Extensions made by the Lenders to the Borrower and the interest and payments thereon. Any failure to so record or any error in doing so shall not, however, limit or otherwise affect the obligation of the Borrower hereunder to pay any amount owing with respect to the Obligations. In the event of any conflict between the accounts and records maintained by any Lender and the accounts and records of the Administrative Agent in respect of such


 
31 169525926v6 matters, the accounts and records of the Administrative Agent shall control in the absence of manifest error. Upon the request of any Lender to Borrower made through the Administrative Agent, the Borrower shall execute and deliver to such Lender (through the Administrative Agent) a Note, which shall evidence such Lender’s Loans to Borrower in addition to such accounts or records. Each Lender may attach schedules to a Note and endorse thereon the date, amount, and maturity of its Loans and payments with respect thereto. 2.13 Payments Generally; Administrative Agent’s Clawback. (a) General. All payments to be made by the Borrower shall be made free and clear of and without condition or deduction for any counterclaim, defense, recoupment or setoff. Except as otherwise expressly provided herein and all payments by the Borrower hereunder shall be made to the Administrative Agent, for the account of the respective Lenders to which such payment is owed, at the Administrative Agent’s Office in Dollars and in Same Day Funds not later than 2:00 p.m. on the date specified herein. The Administrative Agent will promptly distribute to each Lender its Applicable Percentage (or other applicable share as provided herein) of such payment in like funds as received by wire transfer to such Lender’s Lending Office. All payments received by the Administrative Agent after 2:00 p.m. shall be deemed received on the next succeeding Business Day and any applicable interest or fee shall continue to accrue. If any payment to be made by Borrower shall come due on a day other than a Business Day, payment shall be made on the next following Business Day, and such extension of time shall be reflected in computing interest or fees, as the case may be. (b) (i) Funding by Lenders; Presumption by Administrative Agent. Unless the Administrative Agent shall have received notice from a Lender prior to 12:00 noon on the proposed date of any Committed Borrowing that such Lender will not make available to the Administrative Agent such Lender’s share of such Committed Borrowing, the Administrative Agent may assume that such Lender has made such share available in accordance with and at the time required by Section 2.02 and may, in reliance upon such assumption, make available to the Borrower a corresponding amount. In such event, if a Lender has not in fact made its share of the applicable Committed Borrowing available to the Administrative Agent, then the applicable Lender and the Borrower severally agree to pay to the Administrative Agent forthwith on demand such corresponding amount in Same Day Funds with interest thereon, for each day from and including the date such amount is made available to the Borrower to but excluding the date of payment to the Administrative Agent, at (A) in the case of a payment to be made by such Lender, the Overnight Rate, plus any administrative, processing or similar fees customarily charged by the Administrative Agent in connection with the foregoing, and (B) in the case of a payment to be made by the Borrower, the interest rate applicable to Loans, as calculated in Section 2.09. If the Borrower and such Lender shall pay such interest to the Administrative Agent for the same or an overlapping period, the Administrative Agent shall promptly remit to the Borrower the amount of such interest paid by the Borrower for such period. If such Lender pays its share of the applicable Committed Borrowing to the Administrative Agent, then the amount so paid shall constitute such Lender’s Committed Loan included in such Committed Borrowing. Any payment by the Borrower shall be without prejudice to any claim the Borrower may have against a Lender that shall have failed to make such payment to the Administrative Agent. (ii) Payments by Borrower; Presumptions by Administrative Agent. Unless the Administrative Agent shall have received notice from a Borrower prior to the date on which any payment is due to the Administrative Agent for the account of the Lenders hereunder that such Borrower will not make such payment, the Administrative Agent may assume that such Borrower has made such payment on such date in accordance herewith and may, in reliance upon such assumption, distribute to the Lenders the amount due. With respect to any payment that the Administrative Agent makes for the account of the Lenders hereunder as to which the Administrative Agent determines (which determination shall be conclusive absent manifest error) that any of the following applies (such payment referred to as the “Rescindable Amount”): (1) the Borrower has not in fact made such payment; (2) the Administrative Agent has made a payment in excess of the amount so paid by Borrower (whether or not then owed); or (3) the Administrative agent has for any reason otherwise erroneously made such payment; then each of the Lenders severally agrees to repay to the Administrative Agent forthwith on demand the Rescindable Amount so distributed to such Lender, in Same Day Funds with interest thereon, for each day from and including the date such amount is distributed to it to but excluding the date of payment to the Administrative Agent, at the greater of the Federal Funds Rate and a rate determined by the Administrative Agent in accordance with banking industry rules on interbank compensation.


 
32 169525926v6 A notice of the Administrative Agent to any Lender or Borrower with respect to any amount owing under this subsection (b) shall be conclusive, absent manifest error. (c) Failure to Satisfy Conditions Precedent. If any Lender makes available to the Administrative Agent funds for any Loan to be made by such Lender as provided in the foregoing provisions of this Article II, and such funds are not made available to the Borrower by the Administrative Agent because the conditions to the applicable Credit Extension set forth in Article IV are not satisfied or waived in accordance with the terms hereof, the Administrative Agent shall return such funds (in like funds as received from such Lender) to such Lender, without interest. (d) Obligations of Lenders Several. The obligations of the Lenders hereunder to make Committed Loans and to make payments pursuant to Section 10.04(c) are several and not joint. The failure of any Lender to make any Committed Loan or to make any payment under Section 10.04(c) on any date required hereunder shall not relieve any other Lender of its corresponding obligation to do so on such date, and no Lender shall be responsible for the failure of any other Lender to so make its Committed Loan or to make its payment under Section 10.04(c). (e) Funding Source. Nothing herein shall be deemed to obligate any Lender to obtain the funds for any Loan in any particular place or manner or to constitute a representation by any Lender that it has obtained or will obtain the funds for any Loan in any particular place or manner. (f) Insufficient Funds. If at any time insufficient funds are received by and available to the Administrative Agent to pay fully all amounts of principal, interest and fees then due hereunder, such funds shall be applied (i) first, toward payment of interest and fees then due hereunder, ratably among the parties entitled thereto in accordance with the amounts of interest and fees then due to such parties, and (ii) second, toward payment of principal then due hereunder, ratably among the parties entitled thereto in accordance with the amounts of principal then due to such parties. 2.14 Sharing of Payments by Lenders. If any Lender shall, by exercising any right of setoff or counterclaim or otherwise, obtain payment in respect of any principal of or interest on any of the Committed Loans made by it resulting in such Lender’s receiving payment of a proportion of the aggregate amount of such Committed Loans or participations and accrued interest thereon greater than its pro rata share thereof as provided herein, then the Lender receiving such greater proportion shall (a) notify the Administrative Agent of such fact, and (b) purchase (for cash at face value) participations in the Committed Loans of the other Lenders, or make such other adjustments as shall be equitable, so that the benefit of all such payments shall be shared by the Lenders ratably in accordance with the aggregate amount of principal of and accrued interest on their respective Committed Loans and other amounts owing them, provided that: (i) if any such participations are purchased and all or any portion of the payment giving rise thereto is recovered, such participations shall be rescinded and the purchase price restored to the extent of such recovery, without interest; and (ii) the provisions of this Section shall not be construed to apply to (y) any payment made by or on behalf of the Borrower pursuant to and in accordance with the express terms of this Agreement (including the application of funds arising from the existence of a Defaulting Lender), or (z) any payment obtained by a Lender as consideration for the assignment of or sale of a participation in any of its Committed Loans to any assignee or participant, other than an assignment to the Borrower or any Affiliate thereof (as to which the provisions of this Section shall apply). Each Loan Party consents to the foregoing and agrees, to the extent it may effectively do so under applicable law, that any Lender acquiring a participation pursuant to the foregoing arrangements may exercise against such Loan Party rights of setoff and counterclaim with respect to such participation as fully as if such Lender were a direct creditor of such Loan Party in the amount of such participation.


 
33 169525926v6 2.15 Extension of Maturity Date. (a) Initial Maturity Date. Subject to extension pursuant to the terms and conditions set forth in clause (b) of this Section 2.15 and subject to the provisions of clause (c) of this Section 2.15, the Maturity Date shall be the Initial Maturity Date. (b) Maturity Date Extension Options. (i) Not more than 120 days and not less than 60 days prior to the Initial Maturity Date, the Borrower may request in writing that the Lenders extend the term of this Agreement for a period of six (6) calendar months to the First Extended Maturity Date. Such extension option shall be subject to the satisfaction of the following requirements: (A) at the Initial Maturity Date, there shall not exist any Event of Default by the Borrower or any other Loan Party; (B) the Borrower shall, on the Initial Maturity Date, deliver to the Administrative Agent a certificate of each Loan Party dated as of the Initial Maturity Date (in sufficient copies for each Lender) signed by a Responsible Officer of such Loan Party (A) certifying and attaching the resolutions adopted by such Loan Party approving or consenting to such extension and (B) in the case of the Borrower, certifying that, before and after giving effect to such extension, (1) the representations and warranties contained in Article V and the other Loan Documents are true and correct in all material respects (or, to the extent already qualified by materiality or Material Adverse Effect, in all respects) on and as of the Initial Maturity Date, except to the extent that such representations and warranties specifically refer to an earlier date, in which case they are true and correct in all material respects (or, to the extent already qualified by materiality or Material Adverse Effect, in all respects) as of such earlier date, and except that for purposes of this Section 2.15, the representations and warranties contained in subsections (a) and (b) of Section 5.05 shall be deemed to refer to the most recent statements furnished pursuant to subsections (a) and (b), respectively, of Section 6.01, and (2) no Event of Default exists; and (C) the Borrower shall, at the Initial Maturity Date, deliver to the Administrative Agent (for the pro rata benefit of the Lenders based on their respective Commitments) an extension fee equal to 0.0625% multiplied by the then-existing Aggregate Commitments (whether funded or unfunded). (ii) To the extent the term of this Agreement is extended to the First Extended Maturity Date pursuant to the terms of clause (b)(i) above, not more than 120 days and not less than 60 days prior to the First Extended Maturity Date, the Borrower may request in writing that the Lenders extend the term of this Agreement for an additional period of six (6) calendar months to the Second Extended Maturity Date. Such extension option shall be subject to the satisfaction of the following requirements: (A) at the First Extended Maturity Date, there shall not exist any Event of Default by the Borrower or any other Loan Party; (B) the Borrower shall, on the First Extended Maturity Date, deliver to the Administrative Agent a certificate of each Loan Party dated as of the Initial Maturity Date (in sufficient copies for each Lender) signed by a Responsible Officer of such Loan Party (A) certifying and attaching the resolutions adopted by such Loan Party approving or consenting to such extension and (B) in the case of the Borrower, certifying that, before and after giving effect to such extension, (1) the representations and warranties contained in Article V and the other Loan Documents are true and correct in all material respects (or, to the extent already qualified by materiality or Material Adverse Effect, in all respects) on and as of the First Extended Maturity Date, except to the extent that such representations and warranties specifically refer to an earlier date, in which case they are true and correct in all material respects (or, to the extent already qualified by materiality or Material


 
34 169525926v6 Adverse Effect, in all respects) as of such earlier date, and except that for purposes of this Section 2.15, the representations and warranties contained in subsections (a) and (b) of Section 5.05 shall be deemed to refer to the most recent statements furnished pursuant to subsections (a) and (b), respectively, of Section 6.01, and (2) no Event of Default exists; and (C) the Borrower shall, at the First Extended Maturity Date, deliver to the Administrative Agent (for the pro rata benefit of the Lenders based on their respective Commitments) an extension fee equal to 0.0625% multiplied by the then-existing Aggregate Commitments (whether funded or unfunded). (c) Satisfaction of Obligations Upon Acceleration. Notwithstanding anything contained herein or in any other Loan Document to the contrary, to the extent any of the Obligations are accelerated pursuant to the terms hereof (including, without limitation, Section 8.02 hereof), the Borrower shall, immediately upon the occurrence of such acceleration, cause such accelerated Obligations to be Fully Satisfied. (d) Conflicting Provisions. This Section shall supersede any provisions in Section 2.14 or 10.01 to the contrary. 2.16 [Intentionally Omitted]. 2.17 [Intentionally Omitted]. 2.18 Defaulting Lenders. (a) Adjustments. Notwithstanding anything to the contrary contained in this Agreement, if any Lender becomes a Defaulting Lender, then, until such time as that Lender is no longer a Defaulting Lender, to the extent permitted by applicable Law: (i) Waivers and Amendments. Such Defaulting Lender’s right to approve or disapprove any amendment, waiver or consent with respect to this Agreement shall be restricted as set forth in the definition of “Required Lenders” and Section 10.01. (ii) Defaulting Lender Waterfall. Any payment of principal, interest, fees or other amounts received by the Administrative Agent for the account of such Defaulting Lender (whether voluntary or mandatory, at maturity, pursuant to Article VIII or otherwise) or received by the Administrative Agent from a Defaulting Lender pursuant to Section 10.08 shall be applied at such time or times as may be determined by the Administrative Agent as follows: first, to the payment of any amounts owing by such Defaulting Lender to the Administrative Agent hereunder; second, as the Borrower may request (so long as no Default exists), to the funding of any Loan in respect of which such Defaulting Lender has failed to fund its portion thereof as required by this Agreement, as determined by the Administrative Agent; third, if so determined by the Administrative Agent and the Borrower, to be held in a deposit account and released pro rata in order to satisfy such Defaulting Lender’s potential future funding obligations with respect to Loans under this Agreement; fourth, to the payment of any amounts owing to the Lenders as a result of any judgment of a court of competent jurisdiction obtained by any Lender against such Defaulting Lender as a result of such Defaulting Lender’s breach of its obligations under this Agreement; fifth, so long as no Default exists, to the payment of any amounts owing to the Borrower as a result of any judgment of a court of competent jurisdiction obtained by the Borrower against such Defaulting Lender as a result of such Defaulting Lender’s breach of its obligations under this Agreement; and sixth, to such Defaulting Lender or as otherwise directed by a court of competent jurisdiction; provided that if (x) such payment is a payment of the principal amount of any Loans in respect of which such Defaulting Lender has not fully funded its appropriate share, and (y) such Loans were made at a time when the conditions set forth in Section 4.02 were satisfied or waived, such payment shall be applied solely to pay the Loans of all Non-Defaulting Lenders on a pro rata basis prior to being applied to the payment of any Loans of such Defaulting Lender until such time as all Loans are held by the Lenders pro rata in accordance with the Commitments hereunder. Any payments, prepayments or other amounts paid or payable to a Defaulting Lender that are applied (or held) to pay amounts owed by a


 
35 169525926v6 Defaulting Lender shall be deemed paid to and redirected by such Defaulting Lender, and each Lender irrevocably consents hereto. (iii) Certain Fees. Each Defaulting Lender shall be entitled to receive fees payable under Sections 2.10(a) and 2.10(b) for any period during which that Lender is a Defaulting Lender only to the extent allocable to the Outstanding Amount of the Committed Loans funded by it (b) Defaulting Lender Cure. If the Borrower and the Administrative Agent agree in writing that a Lender is no longer a Defaulting Lender, the Administrative Agent will so notify the parties hereto, whereupon as of the effective date specified in such notice and subject to any conditions set forth therein, that Lender will, to the extent applicable, purchase at par that portion of outstanding Loans of the other Lenders or take such other actions as the Administrative Agent may determine to be necessary to cause the Committed Loans to be held on a pro rata basis by the Lenders in accordance with their Applicable Percentages (without giving effect to Section 2.18(a)(iv)), whereupon such Lender will cease to be a Defaulting Lender; provided that no adjustments will be made retroactively with respect to fees accrued or payments made by or on behalf of the Borrower while that Lender was a Defaulting Lender; and provided, further, that except to the extent otherwise expressly agreed by the affected parties, no change hereunder from Defaulting Lender to Lender will constitute a waiver or release of any claim of any party hereunder arising from that Lender’s having been a Defaulting Lender. 2.19 ESG Amendment; Sustainability Coordinator. (a) General. On or prior to the date which is eighteen (18) months following the Closing Date, the Borrower, in consultation with the Sustainability Coordinator, shall be entitled to establish specified Key Performance Indicators (“KPI’s”) with respect to certain Environmental, Social and Governance (“ESG”) targets of the Borrower and its Subsidiaries. Notwithstanding anything in this Agreement to the contrary, the Sustainability Coordinator, the Borrower, the Required Lenders and the Administrative Agent may amend this Agreement (such amendment, an “ESG Amendment”) solely for the purpose of incorporating the KPI’s and other related provisions (the “ESG Pricing Provisions”) into this Agreement, and any such ESG Amendment shall become effective upon the receipt of the consent in writing of the Sustainability Coordinator, the Borrower, the Required Lenders and the Administrative Agent. Upon effectiveness of any such ESG Amendment, based on the Borrower’s performance against the KPI’s, certain adjustments (increase, decrease or no adjustment) (such adjustments, the “ESG Applicable Rate Adjustments”) to the Applicable Rate for Base Rate Loans and Daily SOFR Loans may be made; provided that the aggregate amount of the ESG Applicable Rate Adjustments shall not exceed a 0.01% increase and/or decrease in any such Applicable Rates, and the adjustments to each such Applicable Rate shall be the same amount, in basis points; provided that (i) in no event shall any adjusted Applicable Rate be less than zero and (ii) the ESG Applicable Rate Adjustments shall be made on a per annum basis, and not be cumulative from year to year. The ESG Applicable Rate Adjustment pursuant to the KPI’s will require, among other things, reporting and validation of the measurement of the KPI’s in a manner that is aligned with the Sustainability Linked Loan Principles (as published from time to time by the Loan Market Association, Asia Pacific Loan Market Association and Loan Syndications & Trading Association) and is to be agreed between the Borrower and the Sustainability Coordinator (each acting reasonably), including the appointment of a sustainability assurance provider. Following the effectiveness of an ESG Amendment, any modification to the ESG Pricing Provisions which does not have the effect of reducing the Applicable Rate to a level not otherwise permitted by this Section 2.19(a) shall be subject only to the consent of the Sustainability Coordinator, the Administrative Agent, the Borrower, and the Required Lenders (it being understood that any such modification having the effect of reducing the Applicable Rate for Base Rate Loans and Daily SOFR Loans to a level not otherwise permitted by this paragraph would require approval by all Lenders directly and adversely affected thereby in accordance with Section 10.01). (b) Sustainability Coordinator. The Sustainability Coordinator will (i) assist the Borrower in determining the ESG Pricing Provisions in connection with the ESG Amendment and (ii) assist the Borrower in preparing informational materials focused on ESG to be used in connection with the ESG Amendment. ARTICLE III TAXES, YIELD PROTECTION AND ILLEGALITY


 
36 169525926v6 3.01 Taxes. For purposes of this Section 3.01, the term “Applicable Law” includes FATCA. (a) Payments Free of Taxes; Obligation to Withhold; Payments on Account of Taxes. Any and all payments by or on account of any obligation of any Loan Party under any Loan Document shall be made without deduction or withholding for any Taxes, except as required by Applicable Law. If any Applicable Law (as determined in the good faith discretion of an applicable withholding agent) requires the deduction or withholding of any Tax from any such payment by the applicable withholding agent, then the applicable withholding agent shall be entitled to make such deduction or withholding and shall timely pay the full amount deducted or withheld to the relevant Governmental Authority in accordance with Applicable Law and, if such Tax is an Indemnified Tax, then the sum payable by the applicable Loan Party shall be increased as necessary so that after such deduction or withholding has been made (including such deductions and withholdings applicable to additional sums payable under this Section 3.01) the applicable Recipient receives an amount equal to the sum it would have received had no such deduction or withholding been made. Notwithstanding the provisions above, (x) Borrower shall not be required to increase any such amounts payable to Administrative Agent, any Lender, as the case may be, with respect to any Indemnified Taxes or Other Taxes (1) that are attributable to such Person’s failure to comply with the requirements of this Agreement, including without limitation, Section 3.06 or (2) that are United States withholding taxes imposed on amounts payable to such Person that are Excluded Taxes; and (y) Borrower shall not be required to compensate Administrative Agent, any Lender pursuant to this Section for any additional sums payable under this Section, including Indemnified Taxes or Other Taxes, incurred more than one hundred eighty (180) days prior to the date that Administrative Agent, such Lender, as the case may be, notifies Borrower of the Change in Law or other event giving rise to such additional sums and of Administrative Agent’s, such Lender’s intention to claim compensation therefor. (b) Payment of Other Taxes by the Loan Parties. Without limiting the provisions of subsection (a) above, the Loan Parties shall timely pay to the relevant Governmental Authority in accordance with applicable law, or at the option of the Administrative Agent timely reimburse it for the payment of, any Other Taxes. (c) Tax Indemnifications. (i) Each of the Loan Parties shall, and does hereby, jointly and severally indemnify each Recipient, and shall make payment in respect thereof within ten (10) days after demand therefor, for the full amount of any Indemnified Taxes (including Indemnified Taxes imposed or asserted on or attributable to amounts payable under this Section 3.01) payable or paid by such Recipient or required to be withheld or deducted from a payment to such Recipient, and any penalties, interest and reasonable expenses arising therefrom or with respect thereto, whether or not such Indemnified Taxes were correctly or legally imposed or asserted by the relevant Governmental Authority. A certificate as to the amount of such payment or liability delivered to the Borrower by a Lender (with a copy to the Administrative Agent), or by the Administrative Agent on its own behalf or on behalf of a Lender, shall be conclusive absent manifest error. Each of the Loan Parties shall, and does hereby, jointly and severally indemnify the Administrative Agent, and shall make payment in respect thereof within ten (10) days after demand therefor, for any amount which a Lender for any reason fails to pay indefeasibly to the Administrative Agent as required pursuant to Section 3.01(c)(ii) below. (ii) Each Lender shall, and does hereby, severally indemnify, and shall make payment in respect thereof within 10 days after demand therefor, (x) the Administrative Agent against any Indemnified Taxes attributable to such Lender (but only to the extent that any Loan Party has not already indemnified the Administrative Agent for such Indemnified Taxes and without limiting the obligation of the Loan Party to do so), (y) the Administrative Agent and the Loan Party, as applicable, against any Taxes attributable to such Lender’s failure to comply with the provisions of Section 10.06(d) relating to the maintenance of a Participant Register and (z) the Administrative Agent and the Loan Party, as applicable, against any Excluded Taxes attributable to such Lender, in each case, that are payable or paid by the Administrative Agent or a Loan Party in connection with any Loan Document, and any reasonable expenses arising therefrom or with respect thereto, whether or not such Taxes were correctly or legally imposed or asserted by the relevant Governmental Authority. A certificate as to the amount of such payment or liability delivered to any Lender by the Administrative Agent shall be conclusive absent manifest error. Each Lender hereby authorizes the


 
37 169525926v6 Administrative Agent to set off and apply any and all amounts at any time owing to such Lender under this Agreement or any other Loan Document against any amount due to the Administrative Agent under this clause (ii). (d) Evidence of Payments. As soon as practicable after any payment of Taxes by any Loan Party to a Governmental Authority as provided in this Section 3.01, the Borrower shall deliver to the Administrative Agent the original or a certified copy of a receipt issued by such Governmental Authority evidencing such payment, a copy of any return required by Laws to report such payment or other evidence of such payment reasonably satisfactory to the Administrative Agent. (e) Status of Lenders; Tax Documentation. For purposes of determining withholding Taxes imposed under the Foreign Account Tax Compliance Act (FATCA), from and after the effective date of the Amendment, the Borrower and the Administrative Agent shall treat (and the Lenders hereby authorize the Administrative Agent to treat) the Loans as not qualifying as a “grandfathered obligation” within the meaning of Treasury Regulation Section 1.1471-2(b)(2)(i). In addition: (i) Any Lender that is entitled to an exemption from or reduction of withholding Tax with respect to payments made under any Loan Document shall deliver to the Borrower and the Administrative Agent, at the time or times reasonably requested by the Borrower or the Administrative Agent, such properly completed and executed documentation prescribed by applicable law or the taxing authorities of a jurisdiction pursuant to such applicable law or reasonably requested by the Borrower or the Administrative Agent as will permit such payments to be made without withholding or at a reduced rate of withholding. In addition, any Lender, if reasonably requested by the Borrower or the Administrative Agent, shall deliver such other documentation prescribed by applicable law or reasonably requested by the Borrower or the Administrative Agent as will enable the Borrower or the Administrative Agent to determine whether or not such Lender is subject to backup withholding or information reporting requirements. Notwithstanding anything to the contrary in the preceding two sentences, the completion, execution and submission of such documentation (other than such documentation either (A) set forth in Section 3.01(e)(ii)(A), (ii)(B) and (ii)(D) below or (B) required by applicable law other than the Code or the taxing authorities of the jurisdiction pursuant to such applicable law to comply with the requirements for exemption or reduction of withholding tax in that jurisdiction) shall not be required if in the Lender’s reasonable judgment such completion, execution or submission would subject such Lender to any material unreimbursed cost or expense or would materially prejudice the legal or commercial position of such Lender. (ii) Without limiting the generality of the foregoing, in the event that a Borrower is a U.S. Person, (A) any Lender that is a U.S. Person shall deliver to the Borrower and the Administrative Agent on or prior to the date on which such Lender becomes a Lender under this Agreement (and from time to time thereafter upon the reasonable request of the Borrower or the Administrative Agent), executed copies of IRS Form W-9 certifying that such Lender is exempt from U.S. federal backup withholding tax; (B) any Foreign Lender shall, to the extent it is legally entitled to do so, deliver to the Borrower and the Administrative Agent (in such number of copies as shall be requested by the recipient) on or prior to the date on which such Foreign Lender becomes a Lender under this Agreement (and from time to time thereafter upon the reasonable request of the Borrower or the Administrative Agent), whichever of the following is applicable: (I) in the case of a Foreign Lender claiming the benefits of an income tax treaty to which the United States is a party (x) with respect to payments of interest under any Loan Document, executed copies of IRS Form W-8BENE (or W-8BEN, as applicable) establishing an exemption from, or reduction of, U.S. federal withholding Tax pursuant to the “interest” article of such tax treaty and (y) with respect to any other applicable payments under any Loan Document, IRS Form W-8BENE (or W-8BEN, as applicable)


 
38 169525926v6 establishing an exemption from, or reduction of, U.S. federal withholding Tax pursuant to the “business profits” or “other income” article of such tax treaty; (II) executed copies of IRS Form W-8ECI; (III) in the case of a Foreign Lender claiming the benefits of the exemption for portfolio interest under Section 881(c) of the Code, (x) a certificate substantially in the form of Exhibit H-1 to the effect that such Foreign Lender is not a “bank” within the meaning of Section 881(c)(3)(A) of the Code, a “10 percent shareholder” of the Borrower within the meaning of Section 881(c)(3)(B) of the Code, or a “controlled foreign corporation” described in Section 881(c)(3)(C) of the Code (a “U.S. Tax Compliance Certificate”) and (y) executed copies of IRS Form W-8BENE (or W-8BEN, as applicable); or (IV) to the extent a Foreign Lender is not the beneficial owner, executed copies of IRS Form W-8IMY, accompanied by IRS Form W-8ECI, IRS Form W-8BENE (or W-8BEN, as applicable), a U.S. Tax Compliance Certificate substantially in the form of Exhibit H-2 or Exhibit H-3, IRS Form W-9, and/or other certification documents from each beneficial owner, as applicable; provided that if the Foreign Lender is a partnership and one or more direct or indirect partners of such Foreign Lender are claiming the portfolio interest exemption, such Foreign Lender may provide a U.S. Tax Compliance Certificate substantially in the form of Exhibit H-4 on behalf of each such direct and indirect partner; (C) any Foreign Lender shall, to the extent it is legally entitled to do so, deliver to the Borrower and the Administrative Agent (in such number of copies as shall be requested by the recipient) on or prior to the date on which such Foreign Lender becomes a Lender under this Agreement (and from time to time thereafter upon the reasonable request of the Borrower or the Administrative Agent), executed copies of any other form prescribed by applicable law as a basis for claiming exemption from or a reduction in U.S. federal withholding Tax, duly completed, together with such supplementary documentation as may be prescribed by applicable law to permit the Borrower or the Administrative Agent to determine the withholding or deduction required to be made; and (D) if a payment made to a Lender under any Loan Document would be subject to U.S. federal withholding Tax imposed by FATCA if such Lender were to fail to comply with the applicable reporting requirements of FATCA (including those contained in Section 1471(b) or 1472(b) of the Code, as applicable), such Lender shall deliver to the Borrower and the Administrative Agent at the time or times prescribed by law and at such time or times reasonably requested by the Borrower or the Administrative Agent such documentation prescribed by applicable law (including as prescribed by Section 1471(b)(3)(C)(i) of the Code) and such additional documentation reasonably requested by the Borrower or the Administrative Agent as may be necessary for the Borrower and the Administrative Agent to comply with their obligations under FATCA and to determine that such Lender has complied with such Lender’s obligations under FATCA or to determine the amount to deduct and withhold from such payment. Solely for purposes of this clause (D), “FATCA” shall include any amendments made to FATCA after the date of this Agreement. (iii) Each Lender agrees that if any form or certification it previously delivered pursuant to this Section 3.01 expires or becomes obsolete or inaccurate in any respect, it shall update such form or certification or promptly notify the Borrower and the Administrative Agent in writing of its legal inability to do so. (iv) Each Lender shall promptly (A) notify the Borrower and the Administrative Agent of any change in circumstances which would modify or render invalid any claimed exemption or reduction, and (B) take such steps as shall not be materially disadvantageous to it, in the reasonable judgment of such Lender,


 
39 169525926v6 and as may be reasonably necessary (including the re-designation of its Lending Office) to avoid any requirement of applicable Laws of any jurisdiction that the Borrower or the Administrative Agent make any withholding or deduction for taxes from amounts payable to such Lender. (v) The Borrower shall not be required to pay any amount pursuant to this Section 3.01 to any Lender that is organized under the laws of a jurisdiction outside of the United States of America or the Administrative Agent, if it is organized under the laws of a jurisdiction outside of the United States of America, if such Lender or the Administrative Agent, as applicable, fails to comply with the requirements of this subsection (e). If any such Lender fails to deliver the above forms or other documentation to the extent required hereunder, then the Borrower may withhold from such payment to such Lender such amounts as are required by the Code. If any Governmental Authority asserts that the Borrower did not properly withhold or backup withhold, as the case may be, any tax or other amount from payments made to or for the account of any Lender, such Lender shall indemnify the Borrower therefor, including all penalties and interest, any taxes imposed by any jurisdiction on the amounts payable by or to the Borrower under this Section, and costs and expenses (including all fees and disbursements of any law firm or other external counsel and the allocated cost of internal legal services and all disbursements of internal counsel) of the Borrower. (f) Treatment of Certain Refunds. Unless required by applicable Laws, at no time shall the Administrative Agent have any obligation to file for or otherwise pursue on behalf of a Lender, or have any obligation to pay to any Lender, any refund of Taxes withheld or deducted from funds paid for the account of such Lender. If any Recipient determines, in its sole discretion exercised in good faith, that it has received a refund of any Taxes as to which it has been indemnified by any Loan Party or with respect to which any Loan Party has paid additional amounts pursuant to this Section 3.01, it shall pay to such Loan Party an amount equal to such refund (but only to the extent of indemnity payments made, or additional amounts paid, by a Loan Party under this Section 3.01 with respect to the Taxes giving rise to such refund), net of all out-of-pocket expenses (including Taxes) incurred by such Recipient, and without interest (other than any interest paid by the relevant Governmental Authority with respect to such refund), provided that each Loan Party, upon the request of the Recipient, agrees to repay the amount paid over to such Loan Party (plus any penalties, interest or other charges imposed by the relevant Governmental Authority) to the Recipient in the event the Recipient is required to repay such refund to such Governmental Authority. Notwithstanding anything to the contrary in this subsection, in no event will the applicable Recipient be required to pay any amount to such Loan Party pursuant to this subsection the payment of which would place the Recipient in a less favorable net after-Tax position than such Recipient would have been in if the Tax subject to indemnification and giving rise to such refund had not been deducted, withheld or otherwise imposed and the indemnification payments or additional amounts with respect to such Tax had never been paid. This subsection shall not be construed to require any Recipient to make available its tax returns (or any other information relating to its taxes that it deems confidential) to any Loan Party or any other Person. (g) Survival. Each party’s obligations under this Section 3.01 shall survive the resignation or replacement of the Administrative Agent or any assignment of rights by, or the replacement of, a Lender, the termination of the Commitments and the repayment, satisfaction or discharge of all other Obligations. 3.02 [Intentionally Omitted]. 3.03 [Intentionally Omitted]. 3.04 Increased Costs. (a) Increased Costs Generally. If any Change in Law shall: (i) impose, modify or deem applicable any reserve, special deposit, compulsory loan, insurance charge or similar requirement against assets of, deposits with or for the account of, or credit extended or participated in by, any Lender (except any reserve requirement contemplated by Section 3.04(e), other than as set forth below);


 
40 169525926v6 (ii) subject any Recipient to any Taxes (other than (A) Indemnified Taxes, (B) Taxes described in clauses (b) through (d) of the definition of Excluded Taxes and (C) Connection Income Taxes) on its loans, loan principal, letters of credit, commitments, or other obligations, or its deposits, reserves, other liabilities or capital attributable thereto; or (iii) impose on any Lender any other condition, cost or expense affecting this Agreement or Committed Loans made by such Lender; and the result of any of the foregoing shall be to increase the cost to such Lender of making, converting to, continuing or maintaining any Committed Loan (or of maintaining its obligation to make any such Committed Loan), or to reduce the amount of any sum received or receivable by such Lender (whether of principal, interest or any other amount) then, upon request of such Lender, the Borrower will pay to such Lender such additional amount or amounts as will compensate such Lender for such additional costs incurred or reduction suffered. (b) Capital Requirements. If any Lender determines that any Change in Law affecting such Lender or any Lending Office of such Lender or such Lender’s holding company, if any, regarding capital or liquidity requirements has or would have the effect of reducing the rate of return on such Lender’s capital or on the capital of such Lender’s holding company, if any, as a consequence of this Agreement, the Commitments of such Lender or the Committed Loans made by such Lender to a level below that which such Lender or such Lender’s holding company could have achieved but for such Change in Law (taking into consideration such Lender’s policies and the policies of such Lender’s holding company with respect to capital adequacy), then from time to time the Borrower will pay to such Lender such additional amount or amounts as will compensate such Lender or such Lender’s holding company for any such reduction suffered. (c) Certificates for Reimbursement. A certificate of a Lender setting forth the amount or amounts necessary to compensate such Lender or its holding company, as the case may be, as specified in subsection (a) or (b) of this Section and delivered to the Borrower shall be conclusive absent manifest error. The Borrower shall pay such Lender the amount shown as due on any such certificate within ten (10) days after receipt thereof. (d) Delay in Requests. Failure or delay on the part of any Lender to demand compensation pursuant to the foregoing provisions of this Section 3.04 shall not constitute a waiver of such Lender’s right to demand such compensation, provided that the Borrower shall not be required to compensate a Lender pursuant to the foregoing provisions of this Section for any increased costs incurred or reductions suffered more than 180 days prior to the date that such Lender notifies the Borrower of the Change in Law giving rise to such increased costs or reductions and of such Lender’s intention to claim compensation therefor (except that, if the Change in Law giving rise to such increased costs or reductions is retroactive, then the 180 day period referred to above shall be extended to include the period of retroactive effect thereof). 3.05 Compensation for Losses. Upon demand of any Lender (with a copy to the Administrative Agent) from time to time, the Borrower shall promptly compensate such Lender for and hold such Lender harmless from any loss, cost or expense incurred by it as a result of any failure by the Borrower (for a reason other than the failure of such Lender to make a Committed Loan) to prepay or borrow any Committed Loan on the date or in the amount notified by the Borrower, including any loss of anticipated profits, any foreign exchange losses and any loss or expense arising from the liquidation or reemployment of funds obtained by it to maintain such Committed Loan, from fees payable to terminate the deposits from which such funds were obtained or from the performance of any foreign exchange contract. The Borrower shall also pay any customary administrative fees charged by such Lender in connection with the foregoing. 3.06 Mitigation Obligations; Replacement of Lenders. (a) Designation of a Different Lending Office. Each Lender may make any Credit Extension to the Borrower through any Lending Office, provided that the exercise of this option shall not affect the obligation of the Borrower to repay the Credit Extension in accordance with the terms of this Agreement. If any Lender requests compensation under Section 3.04, or requires the Borrower to pay any Indemnified Taxes or additional amounts to


 
41 169525926v6 any Lender, or any Governmental Authority for the account of any Lender pursuant to Section 3.01, then at the request of the Borrower such Lender, as applicable, use reasonable efforts to designate a different Lending Office for funding or booking its Loans hereunder or to assign its rights and obligations hereunder to another of its offices, branches or affiliates, if, in the reasonable judgment of such Lender, such designation or assignment (i) would eliminate or reduce amounts payable pursuant to Section 3.01 or 3.04, as the case may be, in the future, and (ii) in each case, would not subject such Lender to any unreimbursed cost or expense and would not otherwise be disadvantageous to such Lender. The Borrower hereby agrees to pay all reasonable costs and expenses incurred by any Lender in connection with any such designation or assignment. (b) Replacement of Lenders. If any Lender requests compensation under Section 3.04, or if the Borrower is required to pay any Indemnified Taxes or additional amounts to any Lender or any Governmental Authority for the account of any Lender pursuant to Section 3.01 and, in each case, such Lender has declined or is unable to designate a different lending office in accordance with Section 3.06(a), the Borrower may replace such Lender in accordance with Section 10.13. 3.07 Survival. All of the Loan Parties, Administrative Agent’s, and Lenders’ obligations under this Article III shall survive termination of the Aggregate Commitments, repayment of all other Obligations hereunder, and resignation of the Administrative Agent. 3.08 Inability to Determine Rates; Replacement of SOFR or Successor Rate. Notwithstanding anything to the contrary herein or in any other Loan Document: (a) Inability to Determine Rate. If in connection with any request for a Daily SOFR Loan or a conversion of Base Rate Loans to Daily SOFR Loans or a continuation of any of such Loans, as applicable, (i) the Administrative Agent determines (which determination shall be conclusive absent manifest error) that (A) no SOFR Successor Rate for Daily SOFR has been determined in accordance with clause (b) below and the circumstances under clause (b)(i) or the Scheduled Unavailability Date has occurred (as applicable) has occurred with respect to SOFR, or (y) adequate and reasonable means do not otherwise exist for determining SOFR for any determination date(s) or requested payment period, as applicable, with respect to a proposed Daily SOFR Loan or in connection with an existing or proposed Base Rate Loan, or (ii) the Administrative Agent or the Required Lenders determine that for any reason that Daily SOFR with respect to a proposed Loan for any requested determination date(s) does not adequately and fairly reflect the cost to such Lenders of funding such Loan, the Administrative Agent will promptly so notify the Borrower and each Lender. Thereafter, (1) the obligation of the Lenders to make or maintain Daily SOFR Loans, or to convert Base Rate Loans to Daily SOFR Loans, shall be suspended in each case to the extent of the affected determination date(s), as applicable, and (2) in the event of a determination described in the preceding sentence with respect to the Daily SOFR component of the Base Rate, the utilization of the Daily SOFR component in determining the Base Rate shall be suspended, in each case until the Administrative Agent (or, in the case of a determination by the Required Lenders described in subclause (a)(ii) of this Section, until the Administrative Agent upon instruction of the Required Lenders) revokes such notice. Upon receipt of such notice, the Borrower may revoke any pending request for a Borrowing of, or conversion to Daily SOFR Loans, or failing that, will be deemed to have converted such request into a request for a Borrowing of Base Rate Loans of the amount specified therein if no election is made by the Borrower by the date that is three Business Days after receipt by the Borrower of such notice. (b) Replacement of SOFR or SOFR Successor Rates. Notwithstanding anything to the contrary in this Agreement, the Credit Agreement or any other Loan Documents, if the Administrative Agent determines (which determination shall be conclusive absent manifest error), or the Borrower or Required Lenders notify the Administrative Agent (with, in the case of the Required Lenders, a copy to the Borrower) that the Borrower or Required Lenders (as applicable) have determined, that: (i) adequate and reasonable means do not exist for ascertaining SOFR because SOFR is not available or published on a current basis and such circumstances are unlikely to be temporary; or


 
42 169525926v6 (ii) the Applicable Authority has made a public statement identifying a specific date after which SOFR shall or will no longer be made available, or permitted to be used for determining the interest rate of syndicated loans denominated in Dollars, or shall or will otherwise cease, provided that, in each case, at the time of such statement, there is no successor administrator that is satisfactory to the Administrative Agent that will continue to provide SOFR (the date on which SOFR is no longer available permanently or indefinitely, the “Scheduled Unavailability Date”); or if the events or circumstances of the type described in subclauses (b)(i) or (ii) have occurred with respect to the SOFR Successor Rate then in effect, then, the Administrative Agent and the Borrower may amend this Agreement and the other Loan Documents solely for the purpose of replacing SOFR for Dollars or any then current SOFR Successor Rate for Dollars in accordance with this Section 3.08 with an alternative benchmark rate giving due consideration to any evolving or then existing convention for similar credit facilities syndicated and agented in the U.S. and denominated in Dollars for such alternative benchmarks, and, in each case, including any mathematical or other adjustments to such benchmark giving due consideration to any evolving or then existing convention for similar credit facilities syndicated and agented in the U.S. and denominated in Dollars for such benchmarks, which adjustment or method for calculating such adjustment shall be published on an information service as selected by the Administrative Agent from time to time in its reasonable discretion and may be periodically updated (and any such proposed rate, including for the avoidance of doubt, any adjustment thereto, a “SOFR Successor Rate”), and any such amendment shall become effective at 5:00 p.m. on the fifth Business Day after the Administrative Agent shall have posted such proposed amendment to all Lenders and the Borrower unless, prior to such time, Lenders comprising the Required Lenders have delivered to the Administrative Agent written notice that such Required Lenders object to such amendment. The Administrative Agent will promptly (in one or more notices) notify the Borrower and each Lender of the implementation of any SOFR Successor Rate. Such SOFR Successor Rate shall be applied in a manner consistent with market practice; provided that to the extent such market practice is not administratively feasible for the Administrative Agent, such SOFR Successor Rate shall be applied in a manner as otherwise reasonably determined by the Administrative Agent. Notwithstanding anything else herein, if at any time any SOFR Successor Rate as so determined would otherwise be less than zero%, the SOFR Successor Rate will be deemed to be zero% for the purposes of this Agreement and the other Loan Documents. In connection with the implementation of a SOFR Successor Rate, the Administrative Agent will have the right to make Conforming Changes from time to time and, notwithstanding anything to the contrary herein or in any other Loan Document, any amendments implementing such Conforming Changes will become effective without any further action or consent of any other party to this Agreement; provided that, with respect to any such amendment effected, the Administrative Agent shall post each such amendment implementing such Conforming Changes to the Borrower and the Lenders reasonably promptly after such amendment becomes effective. ARTICLE IV CONDITIONS PRECEDENT TO CREDIT EXTENSIONS 4.01 Conditions of Initial Credit Extension. The obligation of each Lender to make its initial Credit Extension hereunder is subject to satisfaction of the following conditions precedent: (a) The Administrative Agent’s receipt of the following, each of which shall be originals or telecopies (followed promptly by originals) unless otherwise specified, each properly executed by a Responsible Officer of the signing Loan Party, each dated the Closing Date (or, in the case of certificates of governmental officials, a recent date before the Closing Date) and each in form and substance satisfactory to the Administrative Agent and each of the Lenders:


 
43 169525926v6 (i) fully executed counterparts of this Agreement and the Guaranty, sufficient in number for distribution to the Administrative Agent, each Lender and the Borrower and, if Advance Funding Arrangements shall exist with respect to funding on the Closing Date, executed Advance Funding Documentation in form and number acceptable to the Administrative Agent; (ii) a Note executed by the Borrower in favor of each Lender requesting a Note; (iii) such certificates of resolutions or other action, incumbency certificates and/or other certificates of Responsible Officers of each Loan Party as the Administrative Agent may reasonably require evidencing the identity, authority and capacity of each Responsible Officer thereof authorized to act as a Responsible Officer in connection with this Agreement and the other Loan Documents to which such Loan Party is a party; (iv) such documents and certifications as the Administrative Agent may reasonably require to evidence that each Loan Party is duly organized or formed, and that each of the Loan Parties is validly existing, in good standing and qualified to engage in business in each jurisdiction where its ownership, lease or operation of properties or the conduct of its business requires such qualification, except to the extent that failure to do so could not reasonably be expected to have a Material Adverse Effect; provided that Borrower shall not be required to provide such materials to the extent provided in connection with the Closing of the Corporate Credit Facility; (v) a favorable opinion of counsel to the Borrower (on behalf of each of the Loan Parties), addressed to the Administrative Agent and each Lender, as to such matters concerning the Loan Parties and the Loan Documents as the Required Lenders may reasonably request; (vi) a certificate of a Responsible Officer of each Loan Party either (A) attaching copies of all applicable consents, licenses and approvals required in connection with the execution, delivery and performance by such Loan Party and the validity against such Loan Party of the Loan Documents to which it is a party, and such consents, licenses and approvals shall be in full force and effect, or (B) stating that no such consents, licenses or approvals are so required; (vii) a certificate signed by a Responsible Officer of the Parent certifying (A) that each Consolidated Party is in compliance in all material respects with all existing contractual financial obligations, (B) all governmental, shareholder and third party consents and approvals necessary for the Loan Parties to enter into the Loan Documents and fully perform thereunder, if any, have been obtained, (C) immediately after giving effect to this Agreement, the other Loan Documents and all the transactions contemplated therein to occur on such date, (1) each of the Loan Parties is solvent, (2) no Default or Event of Default exists, (3) all representations and warranties contained herein and in the other Loan Documents are true and correct in all material respects, and (4) the Loan Parties are in compliance with each of the financial covenants set forth in Section 7.11 (and including detailed calculations of each such financial covenant); (D) that the conditions specified in Sections 4.02(a) and (b) have been satisfied; (E) that, to such Responsible Officer’s knowledge, there has been no event or circumstance since the date of the Audited Financial Statements that has had or could be reasonably expected to have, either individually or in the aggregate, a Material Adverse Effect; (F) the current Debt Ratings and (G) that the Replaced Credit Facility has been or concurrently with the Closing Date is being fully amended and restated by this Agreement and all Liens (if any) securing obligations under the Replaced Credit Facility have been or concurrently with the Closing Date shall, as of the Closing Date, secure the Obligations hereunder and under the other Loan Documents; (viii) evidence that all insurance required to be maintained pursuant to the Loan Documents has been obtained and is in effect; provided that Borrower shall not be required to provide such materials to the extent provided in connection with the Closing of the Corporate Credit Facility; (ix) such other assurances, certificates, documents, or consents as the Administrative Agent or the Required Lenders reasonably may require.


 
44 169525926v6 (b) There shall not have occurred a material adverse change since December 31, 2023 in the business, assets, operations, or financial condition of the Borrower and the other Consolidated Parties taken as a whole, as reasonably determined by the Administrative Agent. (c) There shall not exist any action, suit, investigation, or proceeding pending or threatened, in any court or before any arbitrator or governmental authority that could have a Material Adverse Effect, as reasonably determined by the Administrative Agent. (d) Any fees required to be paid on or before the Closing Date shall have been paid. (e) Unless waived by the Administrative Agent, the Borrower shall have paid all fees, charges and disbursements of counsel to the Administrative Agent (directly to such counsel if requested by the Administrative Agent) to the extent invoiced prior to or on the Closing Date, plus such additional amounts of such fees, charges and disbursements as shall constitute its reasonable estimate of such fees, charges and disbursements incurred or to be incurred by it through the closing proceedings (provided that such estimate shall not thereafter preclude a final settling of accounts between the Borrower and the Administrative Agent). (f) Upon the reasonable request of any Lender made at least fifteen (15) days prior to the Closing Date, the Borrower shall have provided to such Lender, and such Lender shall be reasonably satisfied with, the documentation and other information so requested in connection with applicable “know your customer” and anti- money-laundering rules and regulations, including, without limitation, the PATRIOT Act, in each case at least ten (10) days prior to the Closing Date and (ii) at least ten (10) days prior to the Closing Date, any Loan Party that qualifies as a “legal entity customer” under the Beneficial Ownership Regulation shall have delivered, to each Lender that so requests, a Beneficial Ownership Certification in relation to such Loan Party. (g) The Corporate Credit Facility shall have closed and all conditions to the initial funding of loans thereunder shall have been satisfied or waived. Without limiting the generality of the provisions of the last paragraph of Section 9.03, (i) for purposes of determining compliance with the conditions specified in this Section 4.01, each Lender that has signed this Agreement shall be deemed to have consented to, approved or accepted or to be satisfied with, each document or other matter required thereunder to be consented to or approved by or acceptable or satisfactory to a Lender unless the Administrative Agent shall have received notice from such Lender prior to the proposed Closing Date specifying its objection thereto, and (ii) in the event that Advance Funding Arrangements shall exist, the delivery by any Lender (x) of funds pursuant to such Advance Funding Arrangements and (y) its signature page to this Agreement shall constitute the request, consent and direction by such Lender to the Administrative Agent (unless expressly revoked by written notice from such Lender received by the Administrative Agent prior to the earlier to occur of funding or the Administrative Agent’s declaration that this Agreement is effective) to withdraw and release to the Borrower on the Closing Date the applicable funds of such Lender to be applied to the funding of Loans by such Lender in accordance with Section 2.02 upon the Administrative Agent’s determination (made in accordance with and subject to the terms of this Agreement) that it has received all items expressly required to be delivered to it under this Section 4.01. 4.02 Conditions to all Credit Extensions. The obligation of each Lender to honor any Request for Credit Extension is subject to the following conditions precedent: (a) The representations and warranties of the Borrower and each other Loan Party contained in Article V or any other Loan Document, or which are contained in any document furnished at any time under or in connection herewith or therewith, shall, except to the extent waived in accordance with the terms hereof, be true and correct in all material respects (or, to the extent already qualified by materiality or Material Adverse Effect, in all respects) on and as of the date of such Credit Extension, except (i) to the extent that such representations and warranties specifically refer to an earlier date, in which case they shall be true and correct as of such earlier date, (ii) that for purposes of this Section 4.02, the representations and warranties contained in subsections (a) and (b) of Section 5.05 shall be deemed to refer to the most recent statements furnished pursuant to clauses (a) and (b), respectively, of


 
45 169525926v6 Section 6.01 and (iii) for purposes of the representations and warranties set forth in Section 5.13, to the extent of changes resulting from transactions and other events contemplated or not prohibited by this Agreement or the other Loan Documents and changes occurring in the ordinary course of Borrower’s business. (b) No Default shall exist, or would result from such proposed Credit Extension or from the application of the proceeds thereof. (c) The Administrative Agent shall have received a Request for Credit Extension in accordance with the requirements hereof. Each Request for Credit Extension (other than a Committed Loan Notice requesting only a conversion of Committed Loans or a continuation of Daily SOFR Loans) submitted by the Borrower shall be deemed to be a representation and warranty that the conditions specified in Sections 4.02(a) and (b) have been satisfied on and as of the date of the applicable Credit Extension. ARTICLE V REPRESENTATIONS AND WARRANTIES The Borrower represents and warrants to the Administrative Agent and the Lenders that: 5.01 Existence, Qualification and Power. Each Loan Party (a) is duly organized or formed, validly existing and, as applicable, in good standing under the Laws of the jurisdiction of its incorporation or organization, (b) has all requisite power and authority and all requisite governmental licenses, authorizations, consents and approvals to (i) own or lease its assets and carry on its business (except, in the case of any Loan Party other than the Borrower, to the extent that failure to do so could not reasonably be expected to have a Material Adverse Effect) and (ii) execute, deliver and perform its obligations under the Loan Documents to which it is a party, and (c) is, except to the extent that failure to do so could not reasonably be expected to have a Material Adverse Effect, duly qualified and is licensed and, as applicable, in good standing under the Laws of each jurisdiction where its ownership, lease or operation of properties or the conduct of its business requires such qualification or license. 5.02 Authorization; No Contravention. The execution, delivery and performance by each Loan Party of each Loan Document to which such Person is party, have been duly authorized by all necessary corporate or other organizational action, and do not and will not (a) contravene the terms of any of such Person’s Organization Documents; (b) conflict with or result in any breach or contravention of, or the creation of any Lien under, or require any payment to be made under (i) any Contractual Obligation to which such Person is a party or affecting such Person or the properties of such Person or any of its Subsidiaries or (ii) any order, injunction, writ or decree of any Governmental Authority or any arbitral award to which such Person or its property is subject; or (c) violate any Law, except, in each case, to the extent that the same could not reasonably be expected to (y) result in such Loan Party’s obligations hereunder or under any other Loan Document to which it is a party to be deemed ineffective, voided or otherwise terminated or (z) have a Material Adverse Effect. 5.03 Governmental Authorization; Other Consents. No approval, consent, exemption, authorization, or other action by, or notice to, or filing with, any Governmental Authority or any other Person is necessary or required in connection with the execution, delivery or performance by, or enforcement against, any Loan Party of this Agreement or any other Loan Document, except, in each case, to the extent that failure to obtain or file the same, as applicable, could not reasonably be expected to (a) result in any Loan Party’s obligations hereunder or under any other Loan Document to which it is a party to be deemed ineffective, voided or otherwise terminated or (b) have a Material Adverse Effect.


 
46 169525926v6 5.04 Binding Effect. This Agreement has been, and each other Loan Document, when delivered hereunder, will have been, duly executed and delivered by each Loan Party that is party thereto. This Agreement constitutes, and each other Loan Document when so delivered will constitute, a legal, valid and binding obligation of such Loan Party, enforceable against each Loan Party that is party thereto in accordance with its terms, except as such enforceability may be limited by (a) applicable bankruptcy, insolvency, reorganization, moratorium or similar laws affecting creditors’ rights generally and (b) the application of general principles of equity, regardless of whether such enforceability is considered in a proceeding in equity or at law. 5.05 Financial Statements; No Material Adverse Effect. (a) The Audited Financial Statements (i) were prepared in accordance with GAAP consistently applied throughout the period covered thereby, except as otherwise expressly noted therein; (ii) fairly present, in all material respects, the financial condition of the Parent and its Subsidiaries as of the date thereof and their results of operations for the period covered thereby in accordance with GAAP consistently applied throughout the period covered thereby, except as otherwise expressly noted therein; and (iii) show all material indebtedness and other liabilities, direct or contingent, of the Parent and its Subsidiaries as of the date thereof, including liabilities for taxes, material commitments and Indebtedness. (b) Schedule 5.05 sets forth all material indebtedness and other liabilities, direct or contingent, of the Parent and its consolidated Subsidiaries as of the Closing Date not otherwise disclosed or referenced (or otherwise contemplated) in the Audited Financial Statements. (c) Since the date of the Audited Financial Statements, there has been no event or circumstance, either individually or in the aggregate, that has had or could reasonably be expected to have a Material Adverse Effect and, to the best knowledge of the Borrower, since the date of the Audited Financial Statements, no Internal Control Event has occurred (other than as disclosed in reports of the Borrower filed prior to the date hereof with the SEC). 5.06 Litigation. There are no actions, suits, proceedings, claims or disputes pending or, to the knowledge of the Borrower, threatened or contemplated in writing, at law, in equity, in arbitration or before any Governmental Authority, by or against the Borrower or any of its Subsidiaries or against any of their properties or revenues that (a) purport to affect or pertain to this Agreement or any other Loan Document, or any of the Credit Extensions contemplated hereby, or (b) except as specifically disclosed in Schedule 5.06, either individually or in the aggregate, if determined adversely, could reasonably be expected to have a Material Adverse Effect. 5.07 No Default. Neither any Loan Party nor any Subsidiary thereof is in default under or with respect to any Contractual Obligation that could, either individually or in the aggregate, reasonably be expected to have a Material Adverse Effect. No Default has occurred and is continuing or would result from the consummation of the transactions contemplated by this Agreement or any other Loan Document. 5.08 Ownership of Property; Liens. Each of the Borrower and each Subsidiary has good record and marketable title in fee simple to, or valid leasehold interests in, all real property necessary in the ordinary conduct of its business, except for such defects in title as could not, individually or in the aggregate, reasonably be expected to have a Material Adverse Effect. The property of the Borrower and its Subsidiaries is subject to no Liens, other than Liens not prohibited by Section 7.01.


 
47 169525926v6 5.09 Environmental Compliance. Except as set forth on Schedule 5.09, no Loan Party (a) has received any notice or other communication or otherwise learned of any Environmental Liability which would individually or in the aggregate reasonably be expected to have a Material Adverse Effect arising in connection with: (i) any non-compliance with or violation of the requirements of any Environmental Law by any Loan Party, or any permit issued under any Environmental Law to any Loan Party; or (ii) the Release or threatened Release of any Hazardous Materials into the environment; or (b) to its knowledge, has threatened or actual liability in connection with the Release or threatened Release of any Hazardous Materials into the environment which would individually or in the aggregate reasonably be expected to have a Material Adverse Effect. Except as would not reasonably be expected to have a Material Adverse Effect, none of the Loan Parties has received any Environmental Complaint. 5.10 Insurance. The properties of the Borrower and each of its Subsidiaries are insured with financially sound and reputable insurance companies not Affiliates of the Borrower, in such amounts, with such deductibles and covering such risks as are customarily carried by companies engaged in similar businesses and owning similar properties in localities where the Borrower or the applicable Subsidiary operates. 5.11 Taxes. The Borrower and its Subsidiaries have filed all Federal, state and other material tax returns and reports required to be filed, and have paid all Federal, state and other material taxes, assessments, fees and other governmental charges levied or imposed upon them or their properties, income or assets otherwise due and payable, except those which are being contested in good faith by appropriate proceedings diligently conducted and for which adequate reserves have been provided in accordance with GAAP. There is no proposed special tax assessment against the Borrower or any Subsidiary that would, if made, have a Material Adverse Effect. Neither any Loan Party nor any Subsidiary thereof is party to any tax sharing agreement. 5.12 ERISA Compliance. (a) Each Plan is in compliance in all material respects with the applicable provisions of ERISA, the Code and other Federal or state laws. Each Pension Plan that is intended to be a qualified plan under Section 401(a) of the Code has received a favorable determination letter from the Internal Revenue Service to the effect that the form of such Plan is qualified under Section 401(a) of the Code and the trust related thereto has been determined by the Internal Revenue Service to be exempt from federal income tax under Section 501(a) of the Code, or an application for such a letter is currently being processed by the Internal Revenue Service. To the best knowledge of the Borrower, nothing has occurred that would prevent or cause the loss of such tax-qualified status. (b) There are no pending or, to the best knowledge of the Borrower, threatened claims, actions or lawsuits, or action by any Governmental Authority, with respect to any Plan that could reasonably be expected to have a Material Adverse Effect. There has been no prohibited transaction or violation of the fiduciary responsibility rules with respect to any Plan that has resulted or could reasonably be expected to result in a Material Adverse Effect. (c) (i) No ERISA Event has occurred, and neither the Borrower nor any ERISA Affiliate is aware of any fact, event or circumstance that could reasonably be expected to constitute or result in an ERISA Event with respect to any Pension Plan; (ii) the Borrower and each ERISA Affiliate has met all applicable requirements under the Pension Funding Rules in respect of each Pension Plan, and no waiver of the minimum funding standards under the Pension Funding Rules has been applied for or obtained; (iii) as of the most recent valuation date for any Pension Plan, the funding target attainment percentage (as defined in Section 430(d)(2) of the Code) is 60% or higher and neither the Borrower nor any ERISA Affiliate knows of any facts or circumstances that could reasonably be expected to cause the funding target attainment percentage for any such plan to drop below 60% as of the most recent valuation date; (iv) neither the Borrower nor any ERISA Affiliate has incurred any liability to the PBGC other than for the payment of premiums, and there are no premium payments which have become due that are unpaid; (v) neither the Borrower nor any ERISA Affiliate has engaged in a transaction that could be subject to Section 4069 or


 
48 169525926v6 Section 4212(c) of ERISA; and (vi) no Pension Plan has been terminated by the plan administrator thereof nor by the PBGC, and no event or circumstance has occurred or exists that could reasonably be expected to cause the PBGC to institute proceedings under Title IV of ERISA to terminate any Pension Plan. (d) Neither the Borrower or any ERISA Affiliate maintains or contributes to, or has any unsatisfied obligation to contribute to, or liability under, any active or terminated Pension Plan other than (A) on the Closing Date, those listed on Schedule 5.12(d) hereto and (B) thereafter, Pension Plans not otherwise prohibited by this Agreement. (e) The Borrower represents and warrants as of the Closing Date that the Borrower is not and will not be using “plan assets” (within the meaning of 29 CFR § 2510.3-101, as modified by Section 3(42) of ERISA) of one or more Benefit Plans in connection with the Loans or the Commitments; 5.13 Subsidiaries; Equity Interests. Set forth on Schedule 5.13 is a complete and accurate list of all Subsidiaries and Joint Ventures/Unconsolidated Affiliates of the Borrower as of the date of this Agreement and as updated in accordance with the terms of Section 6.02 hereof, including their respective business forms, jurisdictions of organization, respective equity owners and respective equity ownership interests, thereof. The Equity Interests owned by Borrower in each Subsidiary and each Joint Venture/Unconsolidated Affiliate are validly issued, fully paid and non-assessable and are owned by Borrower free and clear of all Liens, except to the extent that the failure or non-compliance of the same would not have a Material Adverse Effect. 5.14 Margin Regulations; Investment Company Act. (a) The Borrower is not engaged and will not engage, principally or as one of its important activities, in the business of purchasing or carrying margin stock (within the meaning of Regulation U issued by the FRB), or extending credit for the purpose of purchasing or carrying margin stock. (b) None of the Borrower, any Person Controlling the Borrower, or any Subsidiary is or is required to be registered as an “investment company” under the Investment Company Act of 1940. 5.15 Disclosure. To Borrower’s knowledge, the Borrower has disclosed or made available to the Administrative Agent all material agreements, instruments and corporate or other restrictions to which it or any of its Subsidiaries are subject, and all other matters known to it, that, individually or in the aggregate, could reasonably be expected to result in a Material Adverse Effect. To Borrower’s knowledge, no report, financial statement, certificate or other information furnished (whether in writing or orally) by or on behalf of any Loan Party to the Administrative Agent or any Lender in connection with the transactions contemplated hereby and the negotiation of this Agreement or delivered hereunder or under any other Loan Document (in each case, as modified or supplemented by other information so furnished) contains on the date furnished any material misstatement of material fact or omits on the date furnished to state any material fact necessary to make the statements therein, in the light of the circumstances under which they were made, not misleading; provided that, with respect to projected financial information, the Borrower represents only that such information was prepared in good faith based upon assumptions that Borrower believed to be reasonable at the time. As of the Closing Date, the information included in the Beneficial Ownership Certification, if applicable, is true and correct in all respects. 5.16 Compliance with Laws. Each Loan Party and each Subsidiary thereof is in compliance in all material respects with the requirements of all Laws and all orders, writs, injunctions and decrees applicable to it or to its properties, except in such instances in which (a) such requirement of Law or order, writ, injunction or decree is being contested in good faith by appropriate proceedings diligently conducted or (b) the failure to comply therewith, either individually or in the aggregate, could not reasonably be expected to have a Material Adverse Effect. Each Loan Party and each Subsidiary thereof is in


 
49 169525926v6 compliance in all material respects with the Controlled Substances Act and all applicable anti-money laundering Laws, and no action, suit or proceeding by or before any court or governmental agency, authority or body or any arbitrator involving any Loan Party or any of their respective Subsidiaries or properties with respect to the Controlled Substances Act, any anti-money laundering Laws or the Civil Asset Forfeiture Reform Act is pending or, to the best knowledge of the Borrower, threatened. 5.17 Taxpayer Identification Number; Other Identifying Information. The true and correct U.S. taxpayer identification number of the Borrower and each Guarantor existing as of the date hereof is set forth on Schedule 10.02. 5.18 Intellectual Property; Licenses, Etc. The Borrower and each of its Subsidiaries own, or possess the right to use, all of the trademarks, service marks, trade names, copyrights, patents, patent rights, franchises, licenses and other intellectual property rights (collectively, “IP Rights”) that are reasonably necessary for and material to the operation of their respective businesses, without conflict with the rights of any other Person, except for such conflicts that could not reasonably be expected to have a Material Adverse Effect. To the knowledge of the Borrower, no slogan or other advertising device, product, process, method, substance, part or other material now employed, or now contemplated to be employed, by the Borrower or any Subsidiary of any of them, and that is material to Borrower and its Subsidiaries, taken as a whole, infringes upon any rights held by any other Person, except for such conflicts that could reasonably be expected to have a Material Adverse Effect. Except as specifically disclosed in Schedule 5.18, no claim or litigation regarding any of the foregoing is pending or, to the knowledge of the Borrower, threatened in writing, which, either individually or in the aggregate, could reasonably be expected to have a Material Adverse Effect. 5.19 OFAC. Neither the Borrower, nor any of its Subsidiaries, nor, to the knowledge of the Borrower and its Subsidiaries, any director, officer, employee, agent, affiliate or representative thereof, is an individual or entity that is, or is owned or controlled by any individual or entity that is (i) currently the subject or target of any Sanctions, (ii) included on OFAC’s List of Specially Designated Nationals, HMT’s Consolidated List of Financial Sanctions Targets and the Investment Ban List, or any similar list enforced by any other relevant sanctions authority or (iii) located, organized or resident in a Designated Jurisdiction. The Borrower and its Subsidiaries have conducted their businesses in compliance in all material respects with all applicable Sanctions and have instituted and maintained policies and procedures designed to promote and achieve compliance with such Sanctions. 5.20 Anti-Corruption Laws. The Borrower and its Subsidiaries have conducted their businesses in all material respects in compliance with the United States Foreign Corrupt Practices Act of 1977, the UK Bribery Act 2010, and other similar anti-corruption legislation in other jurisdictions and have instituted and maintained policies and procedures designed to promote and achieve compliance with such laws. 5.21 EEA Financial Institutions; Covered Entities. No Loan Party is an Affected Financial Institution or a Covered Entity. 5.22 Representations as to Foreign Obligors. Each of the Borrower and each Foreign Obligor represents and warrants to the Administrative Agent and the Lenders that: (a) Such Foreign Obligor is subject to civil and commercial Laws with respect to its obligations under this Agreement and the other Loan Documents to which it is a party (collectively as to such Foreign Obligor, the “Applicable Foreign Obligor Documents”), and the execution, delivery and performance by such Foreign Obligor of


 
50 169525926v6 the Applicable Foreign Obligor Documents constitute and will constitute private and commercial acts and not public or governmental acts. Neither such Foreign Obligor nor any of its property has any immunity from jurisdiction of any court or from any legal process (whether through service or notice, attachment prior to judgment, attachment in aid of execution, execution or otherwise) under the laws of the jurisdiction in which such Foreign Obligor is organized and existing in respect of its obligations under the Applicable Foreign Obligor Documents. (b) The Applicable Foreign Obligor Documents are in proper legal form under the Laws of the jurisdiction in which such Foreign Obligor is organized and existing for the enforcement thereof against such Foreign Obligor under the Laws of such jurisdiction, and to ensure the legality, validity, enforceability, priority or admissibility in evidence of the Applicable Foreign Obligor Documents. It is not necessary to ensure the legality, validity, enforceability, priority or admissibility in evidence of the Applicable Foreign Obligor Documents that the Applicable Foreign Obligor Documents be filed, registered or recorded with, or executed or notarized before, any court or other authority in the jurisdiction in which such Foreign Obligor is organized and existing or that any registration charge or stamp or similar tax be paid on or in respect of the Applicable Foreign Obligor Documents or any other document, except for (i) any such filing, registration, recording, execution or notarization as has been made or is not required to be made until the Applicable Foreign Obligor Document or any other document is sought to be enforced and (ii) any charge or tax as has been timely paid. (c) There is no tax, levy, impost, duty, fee, assessment or other governmental charge, or any deduction or withholding, imposed by any Governmental Authority in or of the jurisdiction in which such Foreign Obligor is organized and existing either (i) on or by virtue of the execution or delivery of the Applicable Foreign Obligor Documents or (ii) on any payment to be made by such Foreign Obligor pursuant to the Applicable Foreign Obligor Documents, except as has been disclosed to the Administrative Agent. (d) The execution, delivery and performance of the Applicable Foreign Obligor Documents executed by such Foreign Obligor are, under applicable foreign exchange control regulations of the jurisdiction in which such Foreign Obligor is organized and existing, not subject to any notification or authorization except (i) such as have been made or obtained or (ii) such as cannot be made or obtained until a later date (provided that any notification or authorization described in clause (ii) shall be made or obtained as soon as is reasonably practicable). ARTICLE VI AFFIRMATIVE COVENANTS So long as any Lender shall have any Commitment hereunder, or any Loan or other Obligation hereunder shall remain unpaid or unsatisfied (other than contingent obligations for which no claim has been asserted), the Borrower shall, and shall (except in the case of the covenants set forth in Sections 6.01, 6.02, and 6.03 and/or to the extent the failure to do so would not result in a Material Adverse Effect) cause each Subsidiary to: 6.01 Financial Statements. Deliver to the Administrative Agent and each Lender, in form and detail reasonably satisfactory to the Administrative Agent and the Required Lenders: (a) as soon as available, but in any event within 120 days after the end of each fiscal year of the Parent (commencing with the fiscal year ending December 31, 2023), a consolidated and consolidating balance sheet of the Parent and its Subsidiaries as at the end of such fiscal year, and the related consolidated statements of income or operations, shareholders’ equity and cash flows for such fiscal year, setting forth in each case in comparative form the figures for the previous fiscal year, all in reasonable detail and prepared in accordance with GAAP, such consolidated statements to be audited and accompanied by (A) a report and opinion of a Registered Public Accounting Firm of nationally recognized standing reasonably acceptable to the Required Lenders, which report and opinion shall be prepared in accordance with generally accepted auditing standards and applicable Securities Laws and shall not be subject to any “going concern” or like qualification or exception or any qualification or exception as to the scope of such audit, and such consolidating statements to be certified, to knowledge, by the chief executive officer, chief financial officer, chief accounting officer, treasurer, controller or other senior financial or accounting executive of the Parent to the effect that such statements are fairly stated in all material respects when considered in relation to the consolidated financial statements of the Parent and its Subsidiaries, (B) a report of such Registered Public Accounting


 
51 169525926v6 Firm as to the effectiveness of Borrower’s internal control over financial reporting pursuant to Section 404 of Sarbanes-Oxley; and (C) any other information included in the Parent’s or the Borrower’s Form 10-K for such fiscal year; (b) as soon as available, but in any event within 45 days after the end of each of the first three fiscal quarters of each fiscal year of the Parent (commencing with the fiscal quarter ending March 31, 2018), a consolidated balance sheet of the Parent and its Subsidiaries as at the end of such fiscal quarter, and the related consolidated statements of income or operations and cash flows for such fiscal quarter and for the portion of the Parent’s fiscal year then ended, and any other information included in the Parent’s or the Borrower’s Form 10-Q for such fiscal quarter, setting forth in each case in comparative form the figures for the corresponding fiscal quarter of the previous fiscal year and the corresponding portion of the previous fiscal year, all in reasonable detail, such consolidated statements to be certified, to knowledge, by the chief executive officer, chief financial officer, chief accounting officer, treasurer, controller or other senior financial or accounting executive of the Parent as fairly presenting, in all material respects, the financial condition, results of operations and cash flows of the Parent and its Subsidiaries in accordance with GAAP, subject only to normal year-end audit adjustments and the absence of footnotes; and (c) no later than January 31 of each year, pro forma projected financial statements for the Parent and its Subsidiaries made in good faith, including anticipated sources and uses of cash for the four (4) calendar quarters constituting such calendar year, and no later than August 31 of each year preliminary pro forma projected sources and uses of cash for such parties made in good faith for the succeeding fiscal year. As to any information contained in materials furnished pursuant to Section 6.02(d), the Borrower shall not be separately required to furnish such information under clause (a) or (b) above, but the foregoing shall not be in derogation of the obligation of the Borrower to furnish the information and materials described in clauses (a) and (b) above at the times specified therein, to the extent not so furnished. 6.02 Certificates; Other Information. Deliver to the Administrative Agent and each Lender, in form and detail satisfactory to the Administrative Agent and the Required Lenders: (a) concurrently with the delivery of the financial statements referred to in Sections 6.01(a), a projection of capital expenditures for the next fiscal year for each Property of the Consolidated Parties. (b) concurrently with the delivery of the financial statements referred to in Sections 6.01(a) and (b): (i) a Compliance Certificate of a Responsible Officer of the Parent substantially in the form of Exhibit E attached hereto, (A) demonstrating compliance, as of the end of each such fiscal period, with the financial covenants contained in Section 7.11, in each case by detailed calculation thereof (which calculation shall be in form reasonably satisfactory to the Administrative Agent and which shall include, among other things, an explanation of the methodology used in such calculation and a breakdown of the components of such calculation), (B) stating that, to such Responsible Officer’s knowledge, the Loan Parties were in compliance with each of the covenants set forth in Articles VI and VII of this Agreement at all times and in all material respects during such fiscal period; and (C) stating that, as of the end of each such fiscal period, no Default or Event of Default exists, or if any Default or Event of Default does exist, specifying the nature and extent thereof and what action the Loan Parties propose to take with respect thereto; (ii) a schedule of the Properties summarizing net operating income and occupancy rates as of the last day of the applicable quarter; (iii) a summary of property purchases during the applicable quarter; (iv) an update to Schedule 5.13 attached hereto (which such update shall, in each case, be deemed to replace, amend and restate such schedule);


 
52 169525926v6 (v) a listing of all Projects Under Development showing the total capital obligation of the Consolidated Parties with respect to each such Project Under Development and funds expended to date in connection with each such Project Under Development. (c) promptly after any written request by the Administrative Agent, copies of any detailed audit reports, management letters or recommendations submitted to the board of directors (or the audit committee of the board of directors) of the Borrower by independent accountants in connection with the accounts or books of the Borrower or any Subsidiary, or any audit of any of them; (d) promptly after the same are available, copies of each annual report, proxy or financial statement or other report or communication sent to the stockholders of the Borrower, and copies of all annual, regular, periodic and special reports and registration statements which the Borrower may file or be required to file with the SEC under Section 13 or 15(d) of the Securities Exchange Act of 1934, and not otherwise required to be delivered to the Administrative Agent pursuant hereto; (e) promptly, and in any event within five (5) Business Days after receipt thereof by any Loan Party or any Subsidiary thereof, copies of each written notice or other correspondence received from the SEC (or comparable agency in any applicable non-U.S. jurisdiction) concerning any investigation or possible investigation or other inquiry by such agency regarding financial or other operational results of any Loan Party or any Subsidiary thereof; (f) promptly following any request therefor, provide information and documentation reasonably requested by the Administrative Agent or any Lender for purposes of compliance with applicable “know your customer” and anti-money-laundering rules and regulations, including, without limitation, the PATRIOT Act and the Beneficial Ownership Regulation; and (g) promptly, such additional information regarding the business, financial or corporate affairs of the Borrower or any Subsidiary, or compliance with the terms of the Loan Documents, as the Administrative Agent may from time to time reasonably and customarily request. Documents required to be delivered pursuant to Section 6.01(a) or (b) or Section 6.02(d) (to the extent any such documents are included in materials otherwise filed with the SEC) may be delivered electronically and if so delivered, shall be deemed to have been delivered on the date (i) on which the Borrower posts such documents, or provides a link thereto on the Borrower’s website on the Internet at the website address listed on Schedule 10.02; or (ii) on which such documents are posted on the Borrower’s behalf on an Internet or intranet website, if any, to which each Lender and the Administrative Agent have access (whether a commercial, third-party website or whether sponsored by the Administrative Agent); provided that: (i) the Borrower shall deliver paper copies of such documents to the Administrative Agent or any Lender upon its written request to the Borrower to deliver such paper copies until a written request to cease delivering paper copies is given by the Administrative Agent or such Lender and (ii) the Borrower shall notify the Administrative Agent and each Lender (by telecopier or electronic mail) of the posting of any such documents and provide to the Administrative Agent by electronic mail electronic versions (i.e., soft copies) of such documents. The Administrative Agent shall have no obligation to request the delivery of or to maintain paper copies of the documents referred to above, and in any event shall have no responsibility to monitor compliance by the Borrower with any such request by a Lender for delivery, and each Lender shall be solely responsible for requesting delivery to it or maintaining its copies of such documents. 6.03 Notices. Promptly after it has knowledge thereof, notify the Administrative Agent and each Lender: (a) of the occurrence of any Default; (b) of any matter that has resulted or could reasonably be expected to result in a Material Adverse Effect, including (i) breach or non-performance of, or any default under, a material Contractual Obligation of the Borrower or any Subsidiary; (ii) any material dispute, litigation, investigation, proceeding or suspension between the Borrower or any Subsidiary and any Governmental Authority (including, without limitation, pursuant to the Controlled


 
53 169525926v6 Substances Act, anti-money laundering Laws or the Civil Asset Forfeiture Reform Act); or (iii) the commencement of, or any material development in, any litigation or proceeding affecting the Borrower or any Subsidiary, including pursuant to any applicable Environmental Laws; that could, in any such event, reasonably be expected to have a Material Adverse Effect; (c) of the occurrence of any ERISA Event; (d) of any material change in accounting policies or financial reporting practices by the Borrower or any Subsidiary; (e) of the occurrence of any Internal Control Event; and (f) of any announcement by Moody’s, S&P, or Fitch of any change or possible change in a Debt Rating. Each notice pursuant to this Section 6.03 (other than Section 6.03(e)) shall be accompanied by a statement of a Responsible Officer of the Borrower setting forth details of the occurrence referred to therein and stating what action the Borrower has taken and proposes to take with respect thereto. Each notice pursuant to Section 6.03(a) shall describe with particularity any and all provisions of this Agreement and any other Loan Document that have been breached. 6.04 Payment of Taxes. Pay and discharge as the same shall become due and payable, all of its tax liabilities, assessments and governmental charges or levies upon it or its properties or assets, (a) unless the same are being contested in good faith by appropriate proceedings diligently conducted and adequate reserves in accordance with GAAP are being maintained by the Borrower or such Subsidiary or (b) except to the extent that the failure to do so could not reasonably be expected to have a Material Adverse Effect. 6.05 Preservation of Existence, Etc. (a) Preserve, renew and maintain in full force and effect its legal existence and good standing under the Laws of the jurisdiction of its organization except in a transaction permitted by Section 7.04 or 7.05; (b) take all reasonable action to maintain all rights, privileges, permits, licenses and franchises necessary or desirable in the normal conduct of its business, except to the extent that failure to do so could not reasonably be expected to have a Material Adverse Effect; and (c) preserve or renew all of its registered patents, trademarks, trade names and service marks, the non-preservation of which could reasonably be expected to have a Material Adverse Effect. 6.06 Maintenance of Properties. Maintain, preserve and protect all of its material properties and equipment necessary in the operation of its business in good working order and condition, ordinary wear and tear excepted; (b) make all necessary repairs thereto and renewals and replacements thereof except where the failure to do so could not reasonably be expected to have a Material Adverse Effect; and (c) use the standard of care typical in the industry in the operation and maintenance of its facilities. 6.07 Maintenance of Insurance. Maintain with financially sound and reputable insurance companies not Affiliates of Borrower, insurance with respect to its properties and business against loss or damage of the kinds customarily insured against by Persons engaged in the same or similar business, of such types and in such amounts as are customarily carried under similar circumstances by such other Persons.


 
54 169525926v6 6.08 Compliance with Laws. Comply in all material respects with the requirements of all Laws (including, without limitation, the Controlled Substances Act and all applicable anti-money laundering Laws) and all orders, writs, injunctions and decrees applicable to it or to its business or property, except in such instances in which (a) such requirement of Law or order, writ, injunction or decree is being contested in good faith by appropriate proceedings diligently conducted; or (b) the failure to comply therewith could not reasonably be expected to have a Material Adverse Effect. 6.09 Books and Records. (a) Maintain proper books of record and account, in which full, true and correct entries, in all material respects, in conformity with GAAP consistently applied shall be made of all financial transactions and matters involving the assets and business of the Borrower or such Subsidiary, as the case may be; and (b) maintain such books of record and account in material conformity with all applicable requirements of any Governmental Authority having regulatory jurisdiction over the Borrower or such Subsidiary, as the case may be. 6.10 Inspection Rights. Permit representatives appointed by the Administrative Agent or Lenders (as coordinated by the Administrative Agent), including, without limitation, independent accountants, agents, attorneys, and appraisers to visit and inspect any of its Properties, to examine its corporate, financial and operating records, and make copies thereof or abstracts therefrom, and to discuss its affairs, finances and accounts with its directors, officers, and independent public accountants, all at the expense of the Borrower and at such reasonable times during normal business hours and as often as may be reasonably desired, upon reasonable advance notice to the Borrower (provided through the Administrative Agent) and in a manner that will not unreasonably interfere with such Person’s business operations; provided, however, that when an Event of Default exists the Administrative Agent or any Lender (or any of their respective representatives or independent contractors) may do any of the foregoing at the expense of the Borrower at any time during normal business hours and without advance notice; provided, further, however that all such persons shall obtain and maintain all such information and materials in confidence, and otherwise subject to and in compliance with the terms of Section 10.07. Notwithstanding anything to the contrary in this Section 6.10, the Loan Parties and their Subsidiaries shall not be required to disclose, or allow inspection of any document or information that (i) constitutes non-financial trade secrets or non-financial proprietary information, (ii) in respect of which disclosure to the Administrative Agent or any Lender is prohibited by Law or would violate any contractual confidentiality obligations to a third party if such obligations were not entered into in contemplation of this Agreement or (iii) is subject to attorney-client or similar privilege or constitutes attorney work-product; provided that, in each case, the Borrower will advise the Administrative Agent that information is being withheld. 6.11 Use of Proceeds. Use the proceeds of the Credit Extensions solely for the following purposes: (a) to finance the acquisition of real properties; (b) to finance the development of improvements to real properties; (c) to refinance and/or retire existing Indebtedness, and (d) for working capital and other general corporate purposes. 6.12 Additional Guarantors. (a) If, from time to time, any Person qualifies as a Subsidiary Guarantor, the Borrower shall (i) if such Person is a Domestic Subsidiary of a Loan Party, cause such Person to promptly (and in any event within fifteen (15) days from the date any such Person meets the requirements for becoming a Guarantor as set forth in this Section 6.12) become a Guarantor by executing and delivering to the Administrative Agent a counterpart of the Guaranty or such other documents or materials as the Administrative Agent shall reasonably deem appropriate for such purpose, (ii) provide the Administrative Agent with notice thereof, and (iii) cause such Person to deliver to the Administrative Agent documents of the types referred to in clauses (iii) and (iv) of Section 4.01(a), all in form, content and scope reasonably satisfactory to the Administrative Agent; provided, that to the extent such Person holds (whether upon delivery of the items required above or at any time after the delivery of the items required above) assets with a fair market value in excess of $20,000,000, the Borrower shall (if requested by Administrative Agent) cause to be delivered


 
55 169525926v6 to the Administrative Agent favorable opinions of counsel to such Person (which shall cover, among other things, the legality, validity, binding effect and enforceability of the documentation referred to in this clause (a)). (b) Notwithstanding any other provisions of this Agreement to the contrary (x) to the extent a Guarantor anticipates that it will no longer meet the requirements of the definition of a Subsidiary Guarantor, the Borrower may request a release of such Guarantor as a Guarantor hereunder in accordance with the following: (i) the Borrower shall deliver to the Administrative Agent, not less than ten (10) days and not more than forty-five (45) days prior to the anticipated or intended release of a Subsidiary Guarantor hereunder, a written request for release of the applicable Subsidiary Guarantor; and (ii) the Administrative Agent shall have reviewed and approved (in writing) the request for release delivered pursuant to subclause (i) above; provided, that the failure of the Administrative Agent to respond to such a request within ten (10) days of its receipt thereof shall constitute the Administrative Agent’s approval thereof. Notwithstanding any language to the contrary above, so long as a Responsible Officer of the Borrower (or Parent) has certified in a compliance certificate (and the Administrative Agent has no evidence or information which brings into reasonable doubt the veracity of such certifications) that the Subsidiary Guarantor no longer meets the requirements of the definition of Subsidiary Guarantor, the request for release shall be approved and issued by the Administrative Agent within the 10-day time period specified in subsection (b)(ii). Upon satisfaction of each of the above-noted conditions, a Guarantor shall be deemed released from its obligations hereunder and under each of the Loan Documents. Administrative Agent shall, upon written request therefore, provide a written confirmation of the release of the applicable Guarantor hereunder. Notwithstanding anything to the contrary contained herein, to the extent any Person is a “Guarantor” under and pursuant to the terms of the Corporate Credit Facility, Borrower shall at all times during which such Person remains a “Guarantor” thereunder, cause such Person to be a Guarantor under this Agreement. 6.13 Approvals and Authorizations. Maintain all authorizations, consents, approvals and licenses from, exemptions of, and filings and registrations with, each Governmental Authority of the jurisdiction in which each Foreign Obligor is organized and existing, and all approvals and consents of each other Person in such jurisdiction, in each case that are required in connection with the Loan Documents. 6.14 REIT Status. Take all action necessary to maintain the Parent’s status as a REIT. 6.15 Environmental Matters. (a) Reimburse the Administrative Agent and Lenders for and hereby hold the Administrative Agent and Lenders harmless from all fines or penalties made or levied against the Administrative Agent or any of the Lenders by any Governmental Authority as a result of or in connection with (i) the use of Hazardous Materials at the Properties, (ii) the use of Hazardous Materials at the facilities thereon, or (iii) the use, generation, storage, transportation, discharge, release or handling of any Hazardous Materials at the Properties, or as a result of any release of any Hazardous Materials onto the ground or into the water or air from or upon the Properties at any time. The Loan Parties also agree that they will reimburse the Administrative Agent and Lenders for and indemnify and hold the Administrative Agent and Lenders harmless from any and all costs, expenses (including reasonable attorneys’ fees actually incurred) and for all civil claims, judgments or penalties incurred entered, assessed, or levied against the Administrative Agent or any of the Lenders as a result of any of the Loan Parties’ use of Hazardous Materials at the Properties or as a result of any release of any Hazardous Materials on the ground or into the water or air by any of the Loan Parties from or upon the Properties. Such reimbursement or indemnification shall include but not be limited to


 
56 169525926v6 any and all judgments or penalties to recover the costs of cleanup of any such release by any of the Loan Parties from or upon the Properties and all reasonable expenses incurred by the Administrative Agent or any of the Lenders as a result of such a civil action, including but not limited to reasonable attorneys’ fees. The Loan Parties’ obligations under this section shall survive the repayment of the Loans and be in supplement of any and all other reimbursement or indemnity obligations of the Borrower set forth herein. Notwithstanding anything to the contrary contained in this Section 6.15(a), in no event shall the Borrower or any other Loan Party have any obligation to reimburse or otherwise indemnify the Administrative Agent and Lender if and to the extent that any claims arise as the direct result of any action of the Administrative Agent and/or any of the Lenders (or any Person(s) claiming by, through or under any of them) at the Properties, or any of them. (b) If the Administrative Agent requests in writing and if (i) the Borrower or the applicable Subsidiary does not have environmental insurance with respect to any property owned, leased or operated by a Loan Party or (ii) the Administrative Agent has reason to believe that there exist Hazardous Materials in material violation of applicable Environmental Laws, on any property owned, leased or operated by a Loan Party, which Hazardous Materials materially and adversely affect the value of such property and with respect to which the Borrower has not furnished a report within the immediately previous twelve (12) month period, Borrower shall furnish or cause to be furnished to the Administrative Agent, at the Borrower’s expense, a report of an environmental assessment of reasonable scope, form and depth by a consultant reasonably acceptable to the Administrative Agent, including, where appropriate and if recommended by such consultant, invasive soil or groundwater sampling, as to the nature and extent of the presence of such Hazardous Materials on any such property and as to the compliance by the applicable Loan Party(ies) with Environmental Laws; provided that if there exists a continuing Default or Event of Default as of the date of the Administrative Agent’s written request for an environmental report pursuant to the terms hereof, the Borrower shall provide such report regardless of whether either of the conditions set forth in subsections (i) and (ii) above have been satisfied. If the Borrower fails to deliver such an environmental report within seventy-five (75) days after receipt of such written request then the Administrative Agent may arrange for same, and the parties hereto hereby grant to the Administrative Agent and their representatives or shall attempt in good faith to cause the applicable Loan Party(ies) to so grant access to the Properties and a license of a scope reasonably necessary to undertake such an assessment, including, where appropriate, invasive soil or groundwater sampling; provided, however, that no such invasive soil or groundwater sampling shall be undertaken without Borrower’s prior written approval unless an Event of Default exists hereunder. (c) Conduct and complete (or use good faith efforts to cause to be conducted and completed) all investigations, studies, sampling, and testing and all remedial, removal, and other actions necessary to address all Hazardous Materials on, from, or affecting any Property to the extent necessary to be in material compliance with all Environmental Laws and all other applicable federal, state, and local laws, regulations, rules and policies and with the orders and directives of all Governmental Authorities exercising jurisdiction over such real property to the extent any failure could reasonably be expected to have a Material Adverse Effect. (d) Provide upon such Person’s receipt thereof all insurance certificate(s) evidencing the environmental insurance held by any Person with respect to any of the Properties. 6.16 Anti-Corruption Laws. Conduct its businesses in compliance in all material respects with the United States Foreign Corrupt Practices Act of 1977, the UK Bribery Act 2010, and other applicable anti-corruption legislation in other jurisdictions and with all applicable Sanctions, and maintain policies and procedures designed to promote and achieve compliance with such laws and Sanctions. ARTICLE VII NEGATIVE COVENANTS So long as any Lender shall have any Commitment hereunder, or any Loan or other Obligation hereunder shall remain unpaid or unsatisfied (other than contingent obligations for which no claim has been asserted), the Borrower shall not, nor shall it permit any Wholly-Owned Subsidiary or Controlled Subsidiary to, directly or indirectly:


 
57 169525926v6 7.01 Liens. Contract, create, incur, assume or permit to exist any Lien with respect to any of its property, assets or revenues or the property, assets or revenues of any other Person, whether now owned or hereafter acquired, if the Indebtedness underlying such Lien, at the time of incurrence of such Indebtedness and immediately after giving effect thereto on a pro forma basis, would cause the Borrower to be in violation of any of the provisions of Section 7.11 hereof. 7.02 Investments. Make any Investments, except: (a) Projects Under Development, undeveloped land holdings, Joint Venture Projects and Joint Ventures, Securities Holdings and Mortgages. (b) Investments held in the form of Cash Equivalents; (c) advances to officers, directors and employees in an aggregate amount not to exceed $100,000 at any time outstanding, for travel, entertainment, relocation and analogous ordinary business purposes; (d) Investments in any other Loan Party and/or in any Subsidiary; (e) Investments consisting of extensions of credit in the nature of accounts receivable or notes receivable arising from the grant of trade credit in the ordinary course of business, and Investments received in satisfaction or partial satisfaction thereof from financially troubled account debtors to the extent reasonably necessary in order to prevent or limit loss; (f) payments relating to pre-development expenses, pursuit costs, property acquisition and diligence expenses and similar out-of-pocket costs and expenses regarding properties that are not yet owned by the Borrower or any Subsidiary; and (g) Investments existing on the date of this Agreement. 7.03 Indebtedness. Create, incur, assume or suffer to exist any Indebtedness, except: (a) Indebtedness under the Loan Documents; and (b) any other Indebtedness (including, without limitation, Guarantees in respect of Indebtedness otherwise permitted hereunder of the Borrower or any Subsidiary) to the extent such Indebtedness, at the time of incurrence of such Indebtedness and immediately after giving effect thereto on a pro forma basis, would not cause the Borrower to be in violation of any of the provisions of Section 7.11; provided, that to the extent such Indebtedness is in the form of obligations under any Swap Contract (i) such obligations are (or were) entered into by such Person in the ordinary course of business for the purpose of directly mitigating risks associated with liabilities, commitments, investments, assets, or property held or reasonably anticipated by such Person, or changes in the value of securities issued by such Person, and not for purposes of speculation or taking a “market view;” and (ii) such Swap Contract does not contain any provision exonerating the non-defaulting party from its obligation to make payments on outstanding transactions to the defaulting party. 7.04 Fundamental Changes. Except as otherwise permitted under this Agreement, merge, dissolve, liquidate, consolidate with or into another Person (unless Borrower, such Wholly-Owned Subsidiary, or such Controlled Subsidiary is the surviving entity), or Dispose of (whether in one transaction or in a series of transactions) all or substantially all of its assets


 
58 169525926v6 (whether now owned or hereafter acquired) to or in favor of any Person (including, in each case, pursuant to a Division), except that, so long as no Default exists or would result therefrom: (a) any Wholly-Owned Subsidiary may merge with (i) the Borrower, provided that the Borrower shall be the continuing or surviving Person, or (ii) any one or more other Wholly-Owned Subsidiaries, provided that when any Guarantor is merging with another Wholly-Owned Subsidiary, the Guarantor shall be the continuing or surviving Person; (b) any Wholly-Owned Subsidiary may Dispose of all or substantially all of its assets (upon voluntary liquidation or otherwise) to the Borrower or to another Wholly-Owned Subsidiary; provided that if the transferor in such a transaction is a Guarantor, then the transferee must either be the Borrower or a Guarantor (or must become a Guarantor); (c) any Controlled Subsidiary may merge with (i) the Borrower, provided that the Borrower shall be the continuing or surviving Person, or (ii) any one or more other Wholly-Owned Subsidiaries or Controlled Subsidiaries, provided that when any Guarantor is merging with another Wholly-Owned Subsidiary or Controlled Subsidiary, the Guarantor shall be the continuing or surviving Person; (d) any Controlled Subsidiary may Dispose of all or substantially all of its assets (upon voluntary liquidation or otherwise) to the Borrower or to another Controlled Subsidiary; provided that if the transferor in such a transaction is a Guarantor, then the transferee must either be the Borrower or a Guarantor (or must become a Guarantor); (e) all or substantially all of the assets or all of the Equity Interests of a Wholly-Owned Subsidiary or Controlled Subsidiary may be Disposed of to the extent such Disposition is permitted pursuant to Section 7.05; and (f) any Subsidiary may dissolve, liquidate or wind up its affairs at any time provided that such dissolution, liquidation or winding up, as applicable, could not have a Material Adverse Effect. 7.05 Dispositions. Make any Disposition or enter into any agreement to make any Disposition, except: (a) Dispositions of obsolete or worn out property, whether now owned or hereafter acquired, in the ordinary course of business; (b) Dispositions of inventory in the ordinary course of business; (c) Dispositions of equipment or real property to the extent that (i) such property is exchanged for credit against the purchase price of similar replacement property or (ii) the proceeds of such Disposition are reasonably promptly applied to the purchase price of such replacement property; (d) Dispositions of property by any Wholly-Owned Subsidiary to the Borrower, any Wholly-Owned Subsidiary, or any Controlled Subsidiary; (e) Dispositions permitted by Section 7.04(a) – (b); (f) Dispositions of property by the Borrower to any Wholly-Owned Subsidiary so long as such Wholly- Owned Subsidiary, if required to do so pursuant to the definition of Subsidiary Guarantor, becomes a Subsidiary Guarantor; or (g) Dispositions by the Borrower, its Wholly-Owned Subsidiaries, and/or its Controlled Subsidiaries of any property in the ordinary course of business for fair market value (whether in one transaction or in several related transactions); provided, at the time of such Disposition, no Default shall exist or would result from such Disposition;


 
59 169525926v6 provided, however, that any Disposition pursuant to clauses (a) through (f) above (excluding clause (e)) shall be for fair market value, as reasonably determined by Borrower. 7.06 Anti-Terrorism/Anti-Corruption Laws. (a) Be an “enemy” or an “ally of the enemy” within the meaning of Section 2 of the Trading with the Enemy Act of the United States of America (50 U.S.C. App. §§ 1 et seq.), as amended. Neither any Loan Party nor any of its Subsidiaries is in violation of (i) the Trading with the Enemy Act, as amended, (ii) any of the foreign assets control regulations of the United States Treasury Department (31 CFR, Subtitle B, Chapter V, as amended) or any enabling legislation or executive order relating thereto or (iii) the Act (as defined in Section 10.18); or (b) Directly or indirectly use the proceeds of any Credit Extension for any purpose which would breach the Foreign Corrupt Practices Act, 15 U.S.C. §§ 78dd-1, et seq., the UK Bribery Act 2010, and other similar anti- corruption legislation in other jurisdictions (the “Anti-Corruption Laws”) or otherwise fail to be in compliance with any such Anti-Corruption Laws. 7.07 Change in Nature of Business. Engage in any material line of business substantially different from those lines of business conducted by the Borrower and its Subsidiaries on the date hereof or any business substantially related or incidental or complementary thereto. 7.08 Transactions with Affiliates. Except as otherwise contemplated or permitted pursuant to Section 7.04, enter into any transaction of any kind with any Affiliate of the Borrower, whether or not in the ordinary course of business, other than on fair and reasonable terms substantially as favorable to the Borrower or such Subsidiary as would be obtainable by the Borrower or such Subsidiary at the time in a comparable arm’s length transaction with a Person other than an Affiliate; provided, however, that this provision shall not be deemed to prohibit the issuance of preferred Equity Interests to any party. 7.09 Burdensome Agreements. Enter into any Contractual Obligation (other than this Agreement or any other Loan Document) that (a) limits the ability (i) of any Wholly-Owned Subsidiary or Controlled Subsidiary to make Restricted Payments to the Borrower or any Guarantor or to otherwise transfer property to the Borrower or any Guarantor or (ii) of any Wholly-Owned Subsidiary or Controlled Subsidiary to Guarantee the Indebtedness of the Borrower, or (b) requires the grant of a Lien to secure an obligation of such Person if a Lien is granted to secure another obligation of such Person; provided, that this Section 7.09 shall not be deemed to restrict the ability of the Borrower or any Subsidiary from entering into Contractual Obligations of any type related to secured financing transactions. 7.10 Use of Proceeds. Use the proceeds of any Credit Extension, whether directly or indirectly, and whether immediately, incidentally or ultimately, to purchase or carry margin stock (within the meaning of Regulation U of the FRB) or to extend credit to others for the purpose of purchasing or carrying margin stock or to refund indebtedness originally incurred for such purpose. 7.11 Financial Covenants. Fail, at any applicable time of calculation, to comply with any of the following financial covenants; provided, that such calculations, if not calculated as of the last day of a calendar quarter, shall be calculated as of the last day of the immediately preceding calendar quarter, except that the calculation set forth in the second sentence of item (g) below shall be calculated as of the end of each fiscal year: (a) [Intentionally Omitted].


 
60 169525926v6 (b) Total Leverage Ratio. Borrower shall not permit the Total Leverage Ratio, for any Calculation Date, to exceed sixty percent (60%); provided, that such limit may, on no more than two (2) occasions during the term of this Agreement and following any Material Acquisition by the Borrower or any of the Consolidated Parties, be increased, for a period not to exceed the four (4) consecutive calendar quarters (for each such occasion) ending immediately following the consummation of such Material Acquisition, to sixty-five percent (65%). (c) Secured Indebtedness to Total Adjusted Asset Value. Borrower shall not permit the ratio of (i) Secured Indebtedness to (ii) the amount equal to Total Adjusted Asset Value, to exceed thirty-five percent (35%). (d) Fixed Charge Coverage Ratio. Borrower shall maintain a Fixed Charge Coverage Ratio equal to or in excess of 1.50:1.00. (e) Total Unencumbered Leverage Ratio. Borrower shall not permit the Total Unencumbered Leverage Ratio to, as of any Calculation Date, exceed sixty percent (60%); provided, that such limit may, on no more than two (2) occasions during the term of this Agreement and following any Material Acquisition by the Borrower or any of the Consolidated Parties, be increased, for a period not to exceed the four (4) consecutive calendar quarters (for each such occasion) ending immediately following the consummation of such Material Acquisition, to sixty-five percent (65%). (f) Unencumbered Interest Coverage Ratio. Borrower shall not permit the ratio of Unencumbered FC EBITDA for the Calculation Period applicable to the most-recent Calculation Date to that portion of interest expense attributable to Total Unsecured Indebtedness outstanding during the Calculation Period applicable to such Calculation Date to be less than 1.50:1.00. (g) Dividends and Distributions. Borrower shall, to the extent an Event of Default exists under the Loan Documents, limit aggregate Restricted Payments to the minimum amount required to cause the Parent to maintain its REIT status; provided, however that if an Event of Default resulting from nonpayment or bankruptcy exists, or if the Borrower’s obligations under this Agreement have been accelerated, the Borrower shall not make any Restricted Payments. 7.12 Organizational Documents; Ownership of Subsidiaries. Permit any Loan Party to (a) amend, modify, waive or change its Organization Documents in a manner materially adverse to the Lenders, or (b) create, acquire or permit to exist or permit or cause any of their Subsidiaries to create, acquire or permit to exist, any Foreign Subsidiaries (other than Canadian Subsidiaries). 7.13 Negative Pledges. Enter into, assume or become subject to any Negative Pledge, other than Negative Pledges entered into in connection with Indebtedness that is otherwise permitted pursuant to Section 7.11 hereof, relating only to the properties or assets constructed or acquired in connection with such Indebtedness. Notwithstanding anything contained herein, this provision shall not be deemed to prohibit or restrict the Borrower’s ability to enter into Indebtedness that limits the Borrower’s ability to enter into Negative Pledges in a manner identical to, or no more restrictive than, this Section 7.13. 7.14 Sale Leasebacks. Except as could not reasonably be expected to have a Material Adverse Effect, directly or indirectly, become or remain liable as lessee or as guarantor or other surety with respect to any lease, whether an operating lease or a capital lease, of any property (whether real or personal or mixed), whether now owned or hereafter acquired, (a) which such Person has sold or transferred or is to sell or transfer to a Person which is not a Consolidated Party or (b) which such Person intends to use for substantially the same purpose as any other property which has been sold or is to be sold or transferred by such Person to another Person which is not a Consolidated Party in connection with such lease.


 
61 169525926v6 7.15 Prepayments of Indebtedness. If any Event of Default has occurred and is continuing or would be directly or indirectly caused as a result thereof, after the issuance thereof, amend or modify (or permit the amendment or modification of) any of the terms of any Indebtedness of such Person if such amendment or modification would add or change any terms in a manner that would have a Material Adverse Effect. 7.16 Anti-Corruption Laws; Sanctions. Directly or indirectly, use the proceeds of any Credit Extension, or lend, contribute or otherwise make available such proceeds to any Subsidiary, joint venture partner or other individual or entity, to fund any activities of or business with any individual or entity, or in any Designated Jurisdiction, that, at the time of such funding, is the subject of Sanctions, or in any other manner that will result in a violation by any individual or entity (including any individual or entity participating in the transaction, whether as Lender, Administrative Agent, or otherwise) of Sanctions. ARTICLE VIII EVENTS OF DEFAULT AND REMEDIES 8.01 Events of Default. Any of the following, subject to the last textual paragraph of Section 10.01 below, shall constitute an Event of Default: (a) Non-Payment. The Borrower or any other Loan Party fails to pay (i) when and as required to be paid herein, any amount of principal of any Loan, or (ii) within three (3) days after the same becomes due, any interest on any Loan or any fee due hereunder, or (iii) within five (5) Business Days after written notice from Administrative Agent that the same has become due and payable, any other amount payable hereunder or under any other Loan Document; or (b) Specific Covenants. The Borrower fails to perform or observe any term, covenant or agreement contained in any of Section 6.01, 6.02, 6.03 (other than 6.03(a)), 6.05, 6.07, 6.11 or 6.14 or Article VII (other than Section 7.09) or the Guaranty given by any Guarantor or any provision thereof shall cease to be in full force and effect (other than as a result of a release of the applicable Guarantor in accordance with the terms and conditions hereof), or any Guarantor or any Person acting by or on behalf of such Guarantor shall deny or disaffirm, in writing, such Guarantor’s obligations under such Guaranty; or (c) Other Defaults. Any Loan Party fails to perform or observe any other covenant or agreement (not specified in subsection (a) or (b) above) contained herein or in any other Loan Document on its part to be performed or observed and is not cured within any notice, grace and/or cure period provided for herein or in such Loan Document or, if no such notice, grace and/or cure period is provided for, such failure continues for thirty (30) days after the earlier of the date on which any Responsible Officer of a Loan Party obtains knowledge thereof and the delivery of written notice thereof from Administrative Agent or fails to perform or observe any other covenant or agreement in any other Loan Document within the grace or cure period provided for therein (or, if no such grace or cure period is specified, within thirty (30) days after the earlier of the date on which a Loan Party obtains knowledge thereof and the delivery of written notice thereof from Administrative Agent), provided that in the case of any such default which is susceptible to cure but cannot be cured within thirty (30) days through the exercise of reasonable diligence, if such Loan Party commences such cure within the initial thirty (30) days period and thereafter diligently prosecutes same to completion, such period of thirty (30) days shall be extended for such additional period of time as may be reasonably necessary to cure same, but in no event shall such extended period exceed sixty (60) additional days; or (d) Representations and Warranties. Any representation or warranty made or explicitly deemed made by or on behalf of any Loan Party in or in connection with this Agreement or any other Loan Document or any amendment or modification hereof or thereof, or in any report, certificate, financial statement or other document furnished pursuant to or in connection with this Agreement or any other Loan Document or any amendment or


 
62 169525926v6 modification hereof or thereof, shall prove to have been incorrect in any material respect when made or deemed made; and the adverse effect of the inaccuracy of such representation or warranty shall not have been cured within thirty (30) days after the date Administrative Agent notifies such Loan Party of such inaccuracy; or (e) Cross-Default. (i) The Borrower or any Subsidiary (A) fails to make any payment prior to the delinquency thereof (whether as a result of scheduled maturity, required prepayment, acceleration, demand, or otherwise) in respect of any Indebtedness or Guarantee (other than Indebtedness hereunder and Indebtedness under Swap Contracts) having an aggregate outstanding principal amount (including amounts owing to all creditors under any combined or syndicated credit arrangement) of more than the Threshold Amount (determined as set forth in the definition of Threshold Amount), or (B) fails to observe or perform, beyond any applicable notice and cure periods, any other material agreement or condition relating to any such Indebtedness or Guarantee (determined as set forth in the definition of Threshold Amount) or contained in any instrument or agreement evidencing, securing or relating thereto, or any other event occurs, the effect of which default or other event is to cause, or to permit the holder or holders of such Indebtedness or the beneficiary or beneficiaries of such Guarantee (or a trustee or agent on behalf of such holder or holders or beneficiary or beneficiaries) to cause, with the giving of notice if required, such Indebtedness to be demanded or to become due or to be repurchased, prepaid, defeased or redeemed (automatically or otherwise), or an offer to repurchase, prepay, defease or redeem such Indebtedness to be made, prior to its stated maturity, or such Guarantee to become payable or cash collateral in respect thereof to be demanded; and/or (ii) there occurs under any Swap Contract an Early Termination Date (as defined in such Swap Contract) resulting from (A) any event of default under such Swap Contract as to which the Borrower or any Subsidiary is the Defaulting Party (as defined in such Swap Contract) or (B) any Termination Event (as so defined) under such Swap Contract as to which the Borrower or any Subsidiary is an Affected Party (as so defined) and, in either event, the Swap Termination Value owed by the Borrower or such Subsidiary as a result thereof is greater than the Threshold Amount (determined as set forth in the definition of Threshold Amount); or (f) Insolvency Proceedings, Etc. Any Loan Party institutes or consents, in writing, to the institution of any proceeding under any Debtor Relief Law, or makes an assignment for the benefit of creditors; or applies for or consents, in writing, to the appointment of any receiver, trustee, custodian, conservator, liquidator, rehabilitator or similar officer for it or for all or any material part of its property; or any receiver, trustee, custodian, conservator, liquidator, rehabilitator or similar officer is appointed without the application or consent of such Person and the appointment continues undischarged or unstayed for 60 calendar days; or any proceeding under any Debtor Relief Law relating to any such Person or to all or any material part of its property is instituted without the consent of such Person and continues undismissed or unstayed for 60 calendar days, or an order for relief is entered in any such proceeding; or (g) Inability to Pay Debts; Attachment. (i) Any Loan Party becomes unable or admits in writing its inability or fails generally to pay its debts as they become due, or (ii) any writ or warrant of attachment or execution or similar process is issued or levied against all or any material part of the property of any such Person and is not released, vacated or fully bonded within 30 days after its issue or levy; or (h) Judgments. There is entered against any Loan Party (i) a final judgment or order for the payment of money in an aggregate amount exceeding the Threshold Amount (to the extent not covered by independent third-party insurance as to which the insurer does not dispute coverage), or (ii) any one or more non-monetary final judgments that have, or could reasonably be expected to have, individually or in the aggregate, a Material Adverse Effect and, in either case, (A) enforcement proceedings are commenced by any creditor upon such judgment or order, or (B) there is a period of thirty (30) consecutive days during which a stay of enforcement of such judgment, by reason of a pending appeal or otherwise, is not in effect; or (i) ERISA. (i) An ERISA Event occurs with respect to a Pension Plan or Multiemployer Plan which has resulted or could reasonably be expected to result in liability of the Borrower under Title IV of ERISA to the Pension Plan, Multiemployer Plan or the PBGC in an aggregate amount in excess of the Threshold Amount, or (ii) the Borrower or any ERISA Affiliate fails to pay when due, after the expiration of any applicable grace period, any installment payment with respect to its withdrawal liability under Section 4201 of ERISA under a Multiemployer Plan in an aggregate amount in excess of the Threshold Amount; or


 
63 169525926v6 (j) Invalidity of Loan Documents. Any material provision of any Loan Document, at any time after its execution and delivery and for any reason other than in accordance with the terms hereof or thereof, or satisfaction in full of all the Obligations, is revoked, terminated, canceled or rescinded, without the prior written approval of Administrative Agent; or any Loan Party commences any legal proceeding at law or in equity to contest, or make unenforceable, cancel, revoke or rescind any of the Loan Documents, or any court or any other governmental or regulatory agency of competent jurisdiction shall make a determination that, or issue a judgment, order, decree or ruling to the effect that, any one or more of the Loan Documents is illegal, invalid or unenforceable as to any material terms thereof; or (k) Termination of Corporate Credit Facility. The “Aggregate Commitments” of the lenders party to the Corporate Credit Facility are or the Corporate Credit Facility is, for any reason, terminated, replaced or refinanced or the “Obligations” as defined therein are, for any reason, accelerated; or (l) Change of Control. There occurs any Change of Control without the consent of the Administrative Agent and the Required Lenders. 8.02 Remedies Upon Event of Default. If any Event of Default occurs and is continuing, the Administrative Agent shall, at the request of, or may, with the consent of, the Required Lenders, take any or all of the following actions: (a) declare the commitment of each Lender to make Loans to be terminated, whereupon such commitments and obligation shall be terminated; (b) declare the unpaid principal amount of all outstanding Loans, all interest accrued and unpaid thereon, and all other amounts owing or payable hereunder or under any other Loan Document to be immediately due and payable, without presentment, demand, protest or other notice of any kind, all of which are hereby expressly waived by the Borrower; (c) exercise on behalf of itself and the Lenders all rights and remedies available to it and the Lenders and under the Loan Documents; provided, however, that upon the occurrence of an actual or deemed entry of an order for relief with respect to the Borrower under the Bankruptcy Code of the United States, the obligation of each Lender to make Loans shall automatically terminate, the unpaid principal amount of all outstanding Loans and all interest and other amounts as aforesaid shall automatically become due and payable, in each case without further act of the Administrative Agent or any Lender. 8.03 Application of Funds. After the exercise of remedies provided for in Section 8.02 (or after the Loans have automatically become immediately due and payable as set forth in the proviso to Section 8.02), any amounts received on account of the Obligations shall, subject to the provisions of Section 2.18, be applied by the Administrative Agent in the following order: First, to payment of that portion of the Obligations constituting fees, indemnities, expenses and other amounts (including fees, charges and disbursements of counsel to the Administrative Agent and amounts payable under Article III) payable to the Administrative Agent in its capacity as such; Second, to payment of that portion of the Obligations constituting fees, indemnities and other amounts (other than principal and interest) payable to the Lenders (including fees, charges and disbursements of counsel to the respective Lenders (including fees and time charges for attorneys who may be employees of any Lender) and amounts payable under Article III), ratably among them in proportion to the respective amounts described in this clause Second payable to them;


 
64 169525926v6 Third, to payment of that portion of the Obligations constituting accrued and unpaid interest on the Loans and other Obligations, ratably among the Lenders in proportion to the respective amounts described in this clause Third payable to them; Fourth, to payment of that portion of the Obligations constituting unpaid principal of the Loans, ratably among the Lenders in proportion to the respective amounts described in this clause Fourth held by them; and Last, the balance, if any, after all of the Obligations have been indefeasibly paid in full, to the Borrower or as otherwise required by Law. Excluded Swap Obligations with respect to any Guarantor shall not be paid with amounts received from such Guarantor or from such Guarantor’s assets, but appropriate adjustments shall be made with respect to payments from other Loan Parties to preserve the allocation to Obligations otherwise set forth above in this Section. ARTICLE IX ADMINISTRATIVE AGENT 9.01 Appointment and Authority. Each of the Lenders hereby irrevocably appoints Bank of America to act on its behalf as the Administrative Agent hereunder and under the other Loan Documents and authorizes the Administrative Agent to take such actions on its behalf and to exercise such powers as are delegated to the Administrative Agent by the terms hereof or thereof, together with such actions and powers as are reasonably incidental thereto. The provisions of this Article are solely for the benefit of the Administrative Agent and the Lenders, and neither the Borrower nor any other Loan Party shall have rights as a third-party beneficiary of any of such provisions. It is understood and agreed that the use of the term “agent” herein or in any other Loan Documents (or any other similar term) with reference to the Administrative Agent is not intended to connote any fiduciary or other implied (or express) obligations arising under agency doctrine of any applicable Law. Instead such term is used as a matter of market custom, and is intended to create or reflect only an administrative relationship between contracting parties. 9.02 Rights as a Lender. The Person serving as the Administrative Agent hereunder shall have the same rights and powers in its capacity as a Lender as any other Lender and may exercise the same as though it were not the Administrative Agent and the term “Lender” or “Lenders” shall, unless otherwise expressly indicated or unless the context otherwise requires, include the Person serving as the Administrative Agent hereunder in its individual capacity. Such Person and its Affiliates may accept deposits from, lend money to, own securities of, act as the financial advisor or in any other advisory capacity for and generally engage in any kind banking, trust, financial, advisory, underwriting or other of business with any Loan Party or any Subsidiary or other Affiliate thereof as if such Person were not the Administrative Agent hereunder and without any duty to account therefor to the Lenders or to provide notice or consent of the Lenders with respect thereto. 9.03 Exculpatory Provisions. The Administrative Agent shall not have any duties or obligations except those expressly set forth herein and in the other Loan Documents, and its duties hereunder shall be administrative in nature. Without limiting the generality of the foregoing, the Administrative Agent: (a) shall not be subject to any fiduciary or other implied duties, regardless of whether a Default has occurred and is continuing; (b) shall not have any duty to take any discretionary action or exercise any discretionary powers, except discretionary rights and powers expressly contemplated hereby or by the other Loan Documents that the Administrative Agent is required to exercise as directed in writing by the Required Lenders (or such other number or percentage of the Lenders as shall be expressly provided for herein or in the other Loan Documents), provided that


 
65 169525926v6 the Administrative Agent shall not be required to take any action that, in its opinion or the opinion of its counsel, may expose the Administrative Agent to liability or that is contrary to any Loan Document or applicable law, including for the avoidance of doubt any action that may be in violation of the automatic stay under any Debtor Relief Law or that may effect a forfeiture, modification or termination of property of a Defaulting Lender in violation of any Debtor Relief Law; (c) shall not, except as expressly set forth herein and in the other Loan Documents, have any duty to disclose, and shall not be liable for the failure to disclose, any information relating to any of the Borrower or any of its Affiliates that is communicated to or obtained by the Person serving as the Administrative Agent or any of its Affiliates in any capacity; (d) shall not be liable for any action taken or not taken by it (i) with the consent or at the request of the Required Lenders (or such other number or percentage of the Lenders as shall be necessary, or as the Administrative Agent shall believe in good faith shall be necessary, under the circumstances as provided in Sections 10.01 and 8.02) or (ii) in the absence of its own gross negligence or willful misconduct as determined by a court of competent jurisdiction by final and nonappealable judgment. The Administrative Agent shall be deemed not to have knowledge of any Default unless and until notice describing such Default is given in writing to the Administrative Agent by the Borrower, or a Lender; and (e) shall not be responsible for or have any duty to ascertain or inquire into (i) any statement, warranty or representation made in or in connection with this Agreement or any other Loan Document, (ii) the contents of any certificate, report or other document delivered hereunder or thereunder or in connection herewith or therewith, (iii) the performance or observance of any of the covenants, agreements or other terms or conditions set forth herein or therein or the occurrence of any Default, (iv) the validity, enforceability, effectiveness or genuineness of this Agreement, any other Loan Document or any other agreement, instrument or document or (v) the satisfaction of any condition set forth in Article IV or elsewhere herein, other than to confirm receipt of items expressly required to be delivered to the Administrative Agent. 9.04 Reliance by Administrative Agent. The Administrative Agent shall be entitled to rely upon, and shall not incur any liability for relying upon, any notice, request, certificate, consent, statement, instrument, document or other writing (including any electronic message, Internet or intranet website posting or other distribution) believed by it to be genuine and to have been signed, sent or otherwise authenticated by the proper Person. The Administrative Agent also may rely upon any statement made to it orally or by telephone and believed by it to have been made by the proper Person, and shall not incur any liability for relying thereon. In determining compliance with any condition hereunder to the making of a Loan that by its terms must be fulfilled to the satisfaction of a Lender, the Administrative Agent may presume that such condition is satisfactory to such Lender unless the Administrative Agent shall have received notice to the contrary from such Lender prior to the making of such Loan. The Administrative Agent may consult with legal counsel (who may be counsel for the Borrower), independent accountants and other experts selected by it, and shall not be liable for any action taken or not taken by it in accordance with the advice of any such counsel, accountants or experts. 9.05 Delegation of Duties. The Administrative Agent may perform any and all of its duties and exercise its rights and powers hereunder or under any other Loan Document by or through any one or more sub-agents appointed by the Administrative Agent. The Administrative Agent and any such sub-agent may perform any and all of its duties and exercise its rights and powers by or through their respective Related Parties. The exculpatory provisions of this Article shall apply to any such sub-agent and to the Related Parties of the Administrative Agent and any such sub-agent, and shall apply to their respective activities in connection with the syndication of the credit facilities provided for herein as well as activities as Administrative Agent. The Administrative Agent shall not be responsible for the negligence or misconduct of any sub-agents except to the extent that a court of competent jurisdiction determines in a final and non-appealable judgment that the Administrative Agent acted with gross negligence or willful misconduct in the selection of such sub-agents.


 
66 169525926v6 9.06 Resignation or Removal of Administrative Agent. (a) The Administrative Agent may at any time give notice of its resignation to the Lenders and the Borrower. Upon receipt of any such notice of resignation, the Required Lenders shall have the right, in consultation with the Borrower, to appoint a successor, which shall be a bank with an office in the United States, or an Affiliate of any such bank with an office in the United States. If no such successor shall have been so appointed by the Required Lenders and shall have accepted such appointment within 30 days after the retiring Administrative Agent gives notice of its resignation (or such earlier day as shall be agreed by the Required Lenders) (the “Resignation Effective Date”), then the retiring Administrative Agent may (but shall not be obligated to) on behalf of the Lenders, appoint a successor Administrative Agent meeting the qualifications set forth above, provided that in no event shall any such successor Administrative Agent be a Defaulting Lender. Whether or not a successor has been appointed, such resignation shall become effective in accordance with such notice on the Resignation Effective Date. (b) The Administrative Agent may be removed as Administrative Agent by the Required Lenders and, provided no Event of Default exists, the Borrower, upon thirty (30) days’ prior written notice if the Administrative Agent is a Defaulting Lender pursuant to clause (d) of the definition thereof. Upon any such removal, the Required Lenders shall have the right to appoint a successor Administrative Agent which appointment shall, provided no Event of Default exists, be subject to the Borrower’s approval, which approval may be withheld in the discretion of the Borrower. Upon the acceptance of a successor’s appointment as Administrative Agent hereunder, such successor shall succeed to and become vested with all of the rights, powers, privileges and duties of the removed Administrative Agent, and the removed Administrative Agent shall be discharged from all of its duties and obligations hereunder or under the other Loan Documents first arising from and after the date of such termination. If no such successor shall have been so appointed by the Required Lenders and shall have accepted such appointment within 30 days (or such earlier day as shall be agreed by the Required Lenders) (the “Removal Effective Date”), then such removal shall nonetheless become effective in accordance with such notice on the Removal Effective Date. (c) With effect from the Resignation Effective Date or the Removal Effective Date (as applicable) (1) the retiring or removed Administrative Agent shall be discharged from its duties and obligations hereunder and under the other Loan Documents (except that in the case of any collateral security held by the Administrative Agent on behalf of the Lenders under any of the Loan Documents, the retiring or removed Administrative Agent shall continue to hold such collateral security until such time as a successor Administrative Agent is appointed) and (2) except for any indemnity payments or other amounts then owed to the retiring or removed Administrative Agent, all payments, communications and determinations provided to be made by, to or through the Administrative Agent shall instead be made by or to each Lender directly, until such time, if any, as the Required Lenders appoint a successor Administrative Agent as provided for above. Upon the acceptance of a successor’s appointment as Administrative Agent hereunder, such successor shall succeed to and become vested with all of the rights, powers, privileges and duties of the retiring (or removed) Administrative Agent (other than as provided in Section 3.01(g) and other than any rights to indemnity payments or other amounts owed to the retiring or removed Administrative Agent as of the Resignation Effective Date or the Removal Effective Date, as applicable), and the retiring or removed Administrative Agent shall be discharged from all of its duties and obligations hereunder or under the other Loan Documents (if not already discharged therefrom as provided above in this Section). The fees payable by the Borrower to a successor Administrative Agent shall be the same as those payable to its predecessor unless otherwise agreed between the Borrower and such successor. After the retiring or removed Administrative Agent’s resignation or removal hereunder and under the other Loan Documents, the provisions of this Article and Section 10.04 shall continue in effect for the benefit of such retiring or removed Administrative Agent, its sub agents and their respective Related Parties in respect of any actions taken or omitted to be taken by any of them (i) while the retiring or removed Administrative Agent was acting as Administrative Agent and (ii) after such resignation or removal for as long as any of them continues to act in any capacity hereunder or under the other Loan Documents, including (a) acting as collateral agent or otherwise holding any collateral security on behalf of any of the Lenders and (b) in respect of any actions taken in connection with transferring the agency to any successor Administrative Agent. (d) Notwithstanding anything contained herein to the contrary (i) the Administrative Agent shall not be permitted to resign or be removed pursuant to this Section 9.06 to the extent such Administrative Agent (or its Affiliate) is also the sole Lender under this Agreement as of such date of resignation and (ii) the Administrative Agent shall not be permitted to resign or be removed pursuant to this Section 9.06 to the extent the Person acting as Administrative Agent hereunder continues to be the Administrative Agent under the Corporate Credit Facility.


 
67 169525926v6 9.07 Non-Reliance on Administrative Agent and Other Lenders. Each Lender expressly acknowledges that none of the Administrative Agent nor the Arranger has made any representation or warranty to it, and that no act by the Administrative Agent or the Arranger hereafter taken, including any consent to, and acceptance of any assignment or review of the affairs of any Loan Party of any Affiliate thereof, shall be deemed to constitute any representation or warranty by the Administrative Agent or the Arranger to any Lender as to any matter, including whether the Administrative Agent or the Arranger have disclosed material information in their (or their Related Parties’) possession. Each Lender represents to the Administrative Agent and the Arranger that it has, independently and without reliance upon the Administrative Agent, the Arranger, any other Lender or any of their Related Parties and based on such documents and information as it has deemed appropriate, made its own credit analysis of, appraisal of, and investigation into, the business, prospects, operations, property, financial and other condition and creditworthiness of the Loan Parties and their Subsidiaries, and all applicable bank or other regulatory Laws relating to the transactions contemplated hereby, and made its own decision to enter into this Agreement and to extend credit to the Borrowers hereunder. Each Lender also acknowledges that it will, independently and without reliance upon the Administrative Agent, the Arranger, any other Lender or any of their Related Parties and based on such documents and information as it shall from time to time deem appropriate, continue to make its own credit analysis, appraisals and decisions in taking or not taking action under or based upon this Agreement, any other Loan Document or any related agreement or any document furnished hereunder or thereunder, and to make such investigations as it deems necessary to inform itself as to the business, prospects, operations, property, financial and other condition and creditworthiness of the Loan Parties. Each Lender represents and warrants that (i) the Loan Documents set forth the terms of a commercial lending facility and (ii) it is engaged in making, acquiring or holding commercial loans in the ordinary course and is entering into this Agreement as a Lender for the purpose of making, acquiring or holding commercial loans and providing other facilities set forth herein as may be applicable to such Lender, and not for the purpose of purchasing, acquiring or holding any other type of financial instrument, and each Lender agrees not to assert a claim in contravention of the foregoing. Each Lender represents and warrants that it is sophisticated with respect to decisions to make, acquire and/or hold commercial loans and to provide other facilities set forth herein, as may be applicable to such Lender, and either it, or the Person exercising discretion in making its decision to make, acquire and/or hold such commercial loans or to provide such other facilities, is experienced in making, acquiring or holding such commercial loans or providing such other facilities. 9.08 [Intentionally Omitted]. 9.09 Administrative Agent May File Proofs of Claim. In case of the pendency of any proceeding under any Debtor Relief Law or any other judicial proceeding relative to any Loan Party, the Administrative Agent (irrespective of whether the principal of any Loan shall then be due and payable as herein expressed or by declaration or otherwise and irrespective of whether the Administrative Agent shall have made any demand on the Borrower) shall be entitled and empowered, by intervention in such proceeding or otherwise (a) to file and prove a claim for the whole amount of the principal and interest owing and unpaid in respect of the Loans and all other Obligations that are owing and unpaid and to file such other documents as may be necessary or advisable in order to have the claims of the Lenders and the Administrative Agent (including any claim for the reasonable compensation, expenses, disbursements and advances of the Lenders and the Administrative Agent and their respective agents and counsel and all other amounts due the Lenders and the Administrative Agent under Sections 2.04(h) and (i), 2.10 and 10.04) allowed in such judicial proceeding; and (b) to collect and receive any monies or other property payable or deliverable on any such claims and to distribute the same; and any custodian, receiver, assignee, trustee, liquidator, sequestrator or other similar official in any such judicial proceeding is hereby authorized by each Lender to make such payments to the Administrative Agent and, in the event that the Administrative Agent shall consent to the making of such payments directly to the Lenders, to pay to the Administrative Agent any amount due for the reasonable compensation, expenses, disbursements and advances of the Administrative Agent and its agents and counsel, and any other amounts due the Administrative Agent under Sections 2.10 and 10.04.


 
68 169525926v6 Nothing contained herein shall be deemed to authorize the Administrative Agent to authorize or consent to or accept or adopt on behalf of any Lender any plan of reorganization, arrangement, adjustment or composition affecting the Obligations or the rights of any Lender to authorize the Administrative Agent to vote in respect of the claim of any Lender in any such proceeding. 9.10 ERISA Matters. (a) Each Lender (x) represents and warrants, as of the date such Person became a Lender party hereto, to, and (y) covenants, from the date such Person became a Lender party hereto to the date such Person ceases being a Lender party hereto, for the benefit of, the Administrative Agent and its Affiliates, and not, for the avoidance of doubt, to or for the benefit of the Borrower or any other Loan Party, that at least one of the following is and will be true: (i) such Lender is not using “plan assets” (within the meaning of Section 3(42) of ERISA or otherwise) of one or more Benefit Plans with respect to such Lender’s entrance into, participation in, administration of and performance of the Loans, the Commitments or this Agreement, the transaction exemption set forth in one or more PTEs, such as PTE 84-14 (a class exemption for certain transactions determined by independent qualified professional asset managers), PTE 95-60 (a class exemption for certain transactions involving insurance company general accounts), PTE 90-1 (a class exemption for certain transactions involving insurance company pooled separate accounts), PTE 91-38 (a class exemption for certain transactions involving bank collective investment funds) or PTE 96-23 (a class exemption for certain transactions determined by in-house asset managers), is applicable with respect to such Lender’s entrance into, participation in, administration of and performance of the Loans, the Commitments and this Agreement, (iii) (A) such Lender is an investment fund managed by a “Qualified Professional Asset Manager” (within the meaning of Part VI of PTE 84-14), (B) such Qualified Professional Asset Manager made the investment decision on behalf of such Lender to enter into, participate in, administer and perform the Loans, the Commitments and this Agreement, (C) the entrance into, participation in, administration of and performance of the Loans, the Commitments and this Agreement satisfies the requirements of sub-sections (b) through (g) of Part I of PTE 84-14 and (D) to the best knowledge of such Lender, the requirements of subsection (a) of Part I of PTE 84-14 are satisfied with respect to such Lender’s entrance into, participation in, administration of and performance of the Loans, the Commitments and this Agreement, or (iv) such other representation, warranty and covenant as may be agreed in writing between the Administrative Agent, in its sole discretion, and such Lender. (b) In addition, unless either (1) sub-clause (i) in the immediately preceding clause (a) is true with respect to a Lender or (2) a Lender has provided another representation, warranty and covenant in accordance with sub-clause (iv) in the immediately preceding clause (a), such Lender further (x) represents and warrants, as of the date such Person became a Lender party hereto, to, and (y) covenants, from the date such Person became a Lender party hereto to the date such Person ceases being a Lender party hereto, for the benefit of, the Administrative Agent and not, for the avoidance of doubt, to or for the benefit of the Borrower or any other Loan Party, that the Administrative Agent is not a fiduciary with respect to the assets of such Lender involved in such Lender’s entrance into, participation in, administration of and performance of the Loans, the Commitments and this Agreement (including in connection with the reservation or exercise of any rights by the Administrative Agent under this Agreement, any Loan Document or any documents related hereto or thereto). 9.11 Guaranty Matters. The Lenders irrevocably authorize the Administrative Agent to release any Guarantor from its obligations hereunder and under each of the other Loan Documents (a) to the extent such release is requested by such Guarantor and the Borrower in accordance the provisions set forth in Section 6.12(b) hereof and upon the satisfaction of the


 
69 169525926v6 conditions set forth in such Section 6.12(b) (as reasonably determined by the Administrative Agent) or (b) if such Guarantor ceases to meet the requirements of the definition of Subsidiary Guarantor as a result of a transaction permitted hereunder. Upon request by the Administrative Agent at any time, the Lenders will confirm in writing the Administrative Agent’s authority to grant releases and terminations pursuant to this Section 9.11. Further, the Administrative Agent is hereby authorized by the Lenders, upon the request of any Guarantor released pursuant to Section 6.12(b) hereof, to execute and deliver to such Guarantor a document (in form and substance acceptable to the Administrative Agent) evidencing such release. 9.12 Recovery of Erroneous Payments. Without limitation of any other provision in this Agreement, if at any time the Administrative Agent makes a payment hereunder in error to any Lender Recipient Party, whether or not in respect of an Obligation due and owing by any Borrower at such time, where such payment is a Rescindable Amount, then in any such event, each Lender Recipient Party receiving a Rescindable Amount severally agrees to repay to the Administrative Agent, within two (2) Business Days of written demand for same, the Rescindable Amount received by such Lender Recipient Party in Same Day Funds in the currency so received, with interest thereon, for each day from and including the date such Rescindable Amount is received by it to but excluding the date of payment to the Administrative Agent, at the greater of the Federal Funds Rate and a rate determined by the Administrative Agent in accordance with banking industry rules on interbank compensation. Each Lender Recipient Party irrevocably waives any and all defenses, including any “discharge for value” (under which a creditor might otherwise claim a right to retain funds mistakenly paid by a third party in respect of a debt owed by another) or similar defense to its obligation to return any Rescindable Amount. The Administrative Agent shall inform each Lender Recipient Party promptly upon determining that any payment made to such Lender Recipient Party comprised, in whole or in part, a Rescindable Amount. ARTICLE X MISCELLANEOUS 10.01 Amendments, Etc. Except as provided in this Agreement and in the other Loan Documents (including with respect to matters requiring action of the Administrative Agent only), no amendment or waiver of any provision of this Agreement or any other Loan Document, and no consent to any departure by the Borrower or any other Loan Party therefrom, shall be effective unless in writing signed by the Required Lenders and the Borrower or the applicable Loan Party, as the case may be, and acknowledged by the Administrative Agent, and each such waiver or consent shall be effective only in the specific instance and for the specific purpose for which given; provided, however, that no such amendment, waiver or consent shall: (a) waive any condition set forth in Section 4.01(a) without the written consent of each Lender; (b) extend or increase the Commitment of any Lender (or reinstate any Commitment terminated pursuant to Section 8.02) without the written consent of such Lender; (c) postpone any date fixed by this Agreement or any other Loan Document for any payment or mandatory prepayment of principal, interest, fees or other amounts due to the Lenders (or any of them) hereunder or under any other Loan Document without the written consent of each Lender directly affected thereby; (d) reduce the principal of, or the rate of interest specified herein on, any Loan or (subject to clause (iv) of the second proviso to this Section 10.01) any fees or other amounts payable hereunder or under any other Loan Document without the written consent of each Lender directly affected thereby; provided, however, that only the consent of the Required Lenders shall be necessary (i) to amend the definition of “Default Rate” or to waive any obligation of the Borrower to pay interest at the Default Rate; (e) change the 5th sentence of Section 2.13(b) or either of Sections 2.14 or 8.03 in a manner that would alter the pro rata sharing of payments required thereby without the written consent of each Lender;


 
70 169525926v6 (f) change any provision of this Section or the definition of “Required Lenders” or any other provision hereof specifying the number or percentage of Lenders required to amend, waive or otherwise modify any rights hereunder or make any determination or grant any consent hereunder, without the written consent of each Lender; or (g) release all or substantially all of the value of the Guaranty without the written consent of each Lender, except to the extent the release of any Guarantor is permitted pursuant to Section 9.11 (in which case such release may be made by the Administrative Agent acting alone); and, provided further, that (i) no amendment, waiver or consent shall, unless in writing and signed by the Administrative Agent in addition to the Lenders required above, affect the rights or duties of the Administrative Agent under this Agreement or any other Loan Document; and (ii) unless a Lender shall give written notice to the Administrative Agent that it specifically objects to the recommendation or determination of the Administrative Agent (together with a reasonable written explanation of the reasons behind such objection) within ten (10) Business Days (or such lesser or greater period as may be specifically required under the express terms of the Loan Documents) of receipt of such communication, such Lender shall be deemed to have conclusively approved of or consented to such recommendation or determination; provided, however, that (A) this provision shall not prevent Administrative Agent from requesting a response to any amendment, waiver or modification requests within a shorter time frame and (B) such deemed approval shall not, in any case, apply to any requested increase or extension of a Lender’s Commitment (for which the written approval of each applicable Lender shall be required). Notwithstanding anything to the contrary herein, no Defaulting Lender shall have any right to approve or disapprove any amendment, waiver or consent hereunder (and any amendment, waiver or consent which by its terms requires the consent of all Lenders or each affected Lender may be effected with the consent of the applicable Lenders other than Defaulting Lenders), except that (x) the Commitment of any Defaulting Lender may not be increased or extended without the consent of such Lender and (y) any waiver, amendment or modification requiring the consent of all Lenders or each affected Lender that by its terms affects any Defaulting Lender disproportionately adversely relative to other affected Lenders shall require the consent of such Defaulting Lender. Notwithstanding anything to the contrary herein, (y) no Defaulting Lender (unless such Defaulting Lender is the only Lender hereunder) shall have any right to approve or disapprove any amendment, waiver or consent hereunder (and any amendment, waiver or consent which by its terms requires the consent of all Lenders or each affected Lender may be effected with the consent of the applicable Lenders other than Defaulting Lenders), except that (x) the Commitment of any Defaulting Lender may not be increased or extended without the consent of such Lender and (y) any waiver, amendment or modification requiring the consent of all Lenders or each affected Lender that by its terms affects any Defaulting Lender disproportionately adversely relative to other affected Lenders shall require the consent of such Defaulting Lender; and (z) to the extent a corresponding provision of the Corporate Credit Facility with respect to any of Section 2.15 or any provision of Articles IV, V, VI, VII or VIII is amended, modified, waived or Deemed Waived (as defined below), or compliance with such provisions is waived or Deemed Waived, or any related request or action of the Borrower or any Loan Party thereunder is consented to pursuant to the terms of the Corporate Credit Facility, such amendment, modification, waiver, Deemed Waiver and/or consent shall be deemed to be, without further action of any Loan Party, the Administrative Agent or any Lender (except to the extent agreed otherwise in writing by the Borrower, Administrative Agent and Required Lenders), automatically effective with respect to such provision of Section 2.15 or Articles IV, V, VI, VII or VIII set forth herein as of the effective date of such amendment, modification, waiver, Deemed Waiver and/or consent with respect to the Corporate Credit Facility as if each of the parties hereto had acknowledged and consented to such amendment, modification, waiver, Deemed Waiver and/or consent. As used herein, “Deemed Waiver” shall mean the occurrence of any event that would, upon the giving of notice or the passage of time, or both, constitute a Default and/or an Event of Default under both the Corporate Credit Facility and this Agreement (without regard to any cross default provisions), and as to which no such notice or other declaration of Default or Event of Default has been made under and with respect to the Corporate Credit Facility (but only as and for so long as no such notice or other declaration has been made under and with respect to the Corporate Credit Facility). 10.02 Notices; Effectiveness; Electronic Communication. (a) Notices Generally. Except in the case of notices and other communications expressly permitted to be given by telephone (and except as provided in subsection (b) below), all notices and other communications provided for herein shall be in writing and shall be delivered by hand or overnight courier service, mailed by certified or


 
71 169525926v6 registered mail or sent by electronic mail or facsimile as follows, and all notices and other communications expressly permitted hereunder to be given by telephone shall be made to the applicable telephone number, as follows: (i) if to the Borrower or any other Loan Party or the Administrative Agent, to the address, facsimile number, electronic mail address or telephone number specified for such Person on Schedule 10.02; and (ii) if to any other Lender, to the address, facsimile number, electronic mail address or telephone number specified in its Administrative Questionnaire (including, as appropriate, notices delivered solely to the Person designated by a Lender on its Administrative Questionnaire then in effect for the delivery of notices that may contain material non-public information relating to the Borrower). Notices and other communications sent by hand or overnight courier service, or mailed by certified or registered mail, shall be deemed to have been given when received; notices and other communications sent by facsimile shall be deemed to have been given when sent (except that, if not given during normal business hours for the recipient, shall be deemed to have been given at the opening of business on the next Business Day for the recipient). Notices and other communications delivered through electronic communications to the extent provided in subsection (b) below, shall be effective as provided in such subsection (b). (b) Electronic Communications. Notices and other communications to the Lenders hereunder may be delivered or furnished by electronic communication (including e-mail, FpML messaging, and Internet or intranet websites) pursuant to procedures approved by the Administrative Agent, provided that the foregoing shall not apply to notices to any Lender pursuant to Article II if such Lender has notified the Administrative Agent that it is incapable of receiving notices under such Article by electronic communication. The Administrative Agent or the Borrower may each, in its discretion, agree to accept notices and other communications to it hereunder by electronic communications pursuant to procedures approved by it, provided that approval of such procedures may be limited to particular notices or communications. Unless the Administrative Agent otherwise prescribes, (i) notices and other communications sent to an e-mail address shall be deemed received upon the sender’s receipt of an acknowledgement from the intended recipient (such as by the “return receipt requested” function, as available, return e-mail or other written acknowledgement), and (ii) notices or communications posted to an Internet or intranet website shall be deemed received upon the deemed receipt by the intended recipient at its e-mail address as described in the foregoing clause (i) of notification that such notice or communication is available and identifying the website address therefor; provided that, for both clauses (i) and (ii), if such notice, email or other communication is not sent during the normal business hours of the recipient, such notice, email or communication shall be deemed to have been sent at the opening of business on the next business day for the recipient. (c) [Intentionally Omitted]. (d) Change of Address, Etc. Each of the Borrower and the Administrative Agent may change its address, facsimile or telephone number for notices and other communications hereunder by notice to the other parties hereto. Each other Lender may change its address, facsimile or telephone number for notices and other communications hereunder by notice to the Borrower and the Administrative Agent. In addition, each Lender agrees to notify the Administrative Agent from time to time to ensure that the Administrative Agent has on record (i) an effective address, contact name, telephone number, facsimile number and electronic mail address to which notices and other communications may be sent and (ii) accurate wire instructions for such Lender. (e) Reliance by Administrative Agent and Lenders. The Administrative Agent and the Lenders shall be entitled to rely and act upon any notices (including telephonic and Committed Loan Notices) purportedly given by or on behalf of the Borrower even if (i) such notices were not made in a manner specified herein, were incomplete or were not preceded or followed by any other form of notice specified herein, or (ii) the terms thereof, as understood by the recipient, varied from any confirmation thereof. The Borrower shall indemnify the Administrative Agent, each Lender and the Related Parties of each of them from all losses, costs, expenses and liabilities resulting from the good faith reliance by such Person on each notice purportedly given by or on behalf of the Borrower, provided, however, that the Borrower shall have no liability hereunder for such indemnified party’s gross negligence or willful misconduct


 
72 169525926v6 in connection therewith. All telephonic notices to and other telephonic communications with the Administrative Agent may be recorded by the Administrative Agent, and each of the parties hereto hereby consents to such recording. 10.03 No Waiver; Cumulative Remedies; Enforcement. No failure by any Lender or the Administrative Agent to exercise, and no delay by any such Person in exercising, any right, remedy, power or privilege hereunder or under any other Loan Document shall operate as a waiver thereof; nor shall any single or partial exercise of any right, remedy, power or privilege hereunder preclude any other or further exercise thereof or the exercise of any other right, remedy, power or privilege. The rights, remedies, powers and privileges herein provided, and provided under each other Loan Document, are cumulative and not exclusive of any rights, remedies, powers and privileges provided by law. Notwithstanding anything to the contrary contained herein or in any other Loan Document, the authority to enforce rights and remedies hereunder and under the other Loan Documents against the Loan Parties or any of them shall be vested exclusively in, and all actions and proceedings at law in connection with such enforcement shall be instituted and maintained exclusively by, the Administrative Agent in accordance with Section 8.02 for the benefit of all the Lenders; provided, however, that the foregoing shall not prohibit (a) the Administrative Agent from exercising on its own behalf the rights and remedies that inure to its benefit (solely in its capacity as Administrative Agent) hereunder and under the other Loan Documents, (b) [intentionally omitted], (c) any Lender from exercising setoff rights in accordance with Section 10.08 (subject to the terms of Section 2.14), or (d) any Lender from filing proofs of claim or appearing and filing pleadings on its own behalf during the pendency of a proceeding relative to any Loan Party under any Debtor Relief Law; and provided, further, that if at any time there is no Person acting as Administrative Agent hereunder and under the other Loan Documents, then (i) the Required Lenders shall have the rights otherwise ascribed to the Administrative Agent pursuant to Section 8.02 and (ii) in addition to the matters set forth in clauses (b), (c) and (d) of the preceding proviso and subject to Section 2.14, any Lender may, with the consent of the Required Lenders, enforce any rights and remedies available to it and as authorized by the Required Lenders. 10.04 Expenses; Indemnity; Damage Waiver. (a) Costs and Expenses. The Borrower shall pay (i) all reasonable out-of-pocket expenses incurred by the Administrative Agent and its Affiliates (including the reasonable fees, charges and disbursements of counsel for the Administrative Agent), in connection with the syndication of the credit facilities provided for herein, as separately agreed to in writing, the preparation, negotiation, execution, delivery and administration of this Agreement and the other Loan Documents or any amendments, modifications or waivers of the provisions hereof or thereof (whether or not the transactions contemplated hereby or thereby shall be consummated), (ii) [intentionally omitted], and (iii) all out-of-pocket expenses incurred by the Administrative Agent or any Lender (including the reasonable fees, charges and disbursements of one primary counsel for the Administrative Agent and the Lenders collectively and, if reasonably necessary, one local counsel for the Administrative Agent and the Lenders collectively in each relevant jurisdiction unless the representation of one or more Lenders by one counsel would be inappropriate due to the existence of an actual or potential conflict of interest, in which case the Loan Parties shall also be required to reimburse the fees, charges and disbursements of one additional counsel for each such affected Lender), and shall pay all fees and time charges for attorneys who may be employees of the Administrative Agent or any Lender, in connection with the enforcement or protection of its rights (A) in connection with this Agreement and the other Loan Documents, including its rights under this Section, or (B) in connection with the Loans made hereunder, including all such out-of-pocket expenses incurred during any workout, restructuring or negotiations in respect of such Loans; provided, however, in no event shall Borrower pay or reimburse Administrative Agent and Lenders for more than one counsel (in the aggregate) at any time prior to an Event of Default hereunder. (b) Indemnification by the Borrower. The Borrower shall indemnify the Administrative Agent (and any sub-agent thereof), each Lender, and each Related Party of any of the foregoing Persons (each such Person being called an “Indemnitee”) against, and hold each Indemnitee harmless from, any and all losses, claims, damages, liabilities and related expenses (including the reasonable fees, charges and disbursements of one primary counsel for the Administrative Agent and the Lenders collectively and, if reasonably necessary, one local counsel for the Administrative Agent and the Lenders collectively in each relevant jurisdiction unless the representation of one or more Lenders by one counsel would be inappropriate due to the existence of an actual or potential conflict of interest, in which case the Loan Parties shall also be required to reimburse the fees, charges and disbursements of one additional


 
73 169525926v6 counsel for each such affected Lender), and shall indemnify and hold harmless each Indemnitee from all reasonable fees and time charges and disbursements for attorneys who may be employees of any Indemnitee incurred by any Indemnitee or asserted against any Indemnitee by any Person (including the Borrower or any other Loan Party) other than such Indemnitee and its Related Parties arising out of, in connection with, or as a result of (i) the execution or delivery of this Agreement, any other Loan Document or any agreement or instrument contemplated hereby or thereby (including, without limitation, the Indemnitee’s reliance on any Communication executed using an Electronic Signature, or in the form of an Electronic Record), the performance by the parties hereto of their respective obligations hereunder or thereunder, the consummation of the transactions contemplated hereby or thereby, or, in the case of the Administrative Agent (and any sub-agent thereof) and its Related Parties only, the administration of this Agreement and the other Loan Documents (including in respect of any matters addressed in Section 3.01), (ii) any Loan or the use or proposed use of the proceeds therefrom, (iii) any actual or alleged presence or release of Hazardous Materials on or from any property owned or operated by the Borrower or any of its Subsidiaries, or any Environmental Liability related in any way to the Borrower or any of its Subsidiaries, or (iv) any actual or prospective claim, litigation, investigation or proceeding relating to any of the foregoing, whether based on contract, tort or any other theory, whether brought by a third party or by the Borrower or any other Loan Party, and regardless of whether any Indemnitee is a party thereto, IN ALL CASES, WHETHER OR NOT CAUSED BY OR ARISING, IN WHOLE OR IN PART, OUT OF THE COMPARATIVE, CONTRIBUTORY OR SOLE NEGLIGENCE OF THE INDEMNITEE; provided, that such indemnity shall not, as to any Indemnitee, be available to the extent that such losses, claims, damages, liabilities or related expenses (x) are determined by a court of competent jurisdiction by final and nonappealable judgment to have resulted from the fraud, gross negligence or willful misconduct of such Indemnitee; (y) result from a claim brought by the Borrower or any other Loan Party against an Indemnitee for breach in bad faith of such Indemnitee’s obligations hereunder or under any other Loan Document, if the Borrower or such other Loan Party has obtained a final and nonappealable judgment in its favor on such claim as determined by a court of competent jurisdiction; and provided further that, Borrower shall not, in any event, pay or reimburse (or be obligated to pay or reimburse) Indemnitees for more than one counsel (in the aggregate) at any time prior to an Event of Default hereunder; or (z) result from a claim not involving an act or omission of the Borrower and that is brought by an Indemnitee against another Indemnitee (other than against the Arranger or the Administrative Agent in their capacities as such). (c) Reimbursement by Lenders. To the extent that the Borrower for any reason fails to indefeasibly pay any amount required under subsection (a) or (b) of this Section to be paid by it to the Administrative Agent (or any sub-agent thereof) or any Related Party of any of the foregoing, each Lender severally agrees to pay to the Administrative Agent (or any such sub-agent) or such Related Party, as the case may be, such Lender’s pro rata share (determined as of the time that the applicable unreimbursed expense or indemnity payment is sought based on each Lender’s share of the Total Credit Exposure at such time) of such unpaid amount (including any such unpaid amount in respect of a claim asserted by such Lender), such payment to be made severally among them based on such Lender’s Applicable Percentage (determined as of the time that the applicable unreimbursed expense or indemnity payment is sought), provided further that the unreimbursed expense or indemnified loss, claim, damage, liability or related expense, as the case may be, was incurred by or asserted against the Administrative Agent (or any such sub-agent), in its capacity as such, or against any Related Party of any of the foregoing acting for the Administrative Agent (or any such sub-agent) in connection with such capacity. The obligations of the Lenders under this subsection (c) are subject to the provisions of Section 2.13(d). (d) Waiver of Consequential Damages, Etc. To the fullest extent permitted by applicable law, the Borrower shall not assert, and hereby waives, and acknowledges that no other Person shall have, any claim against any Indemnitee, on any theory of liability, for special, indirect, consequential or punitive damages (as opposed to direct or actual damages) arising out of, in connection with, or as a result of, this Agreement, any other Loan Document or any agreement or instrument contemplated hereby, the transactions contemplated hereby or thereby, any Loan or the use of the proceeds thereof. No Indemnitee referred to in subsection (b) above shall be liable for any damages arising from the use by unintended recipients of any information or other materials distributed to such unintended recipients by such Indemnitee through telecommunications, electronic or other information transmission systems in connection with this Agreement or the other Loan Documents or the transactions contemplated hereby or thereby other than for direct or actual damages resulting from the fraud, gross negligence or willful misconduct of such Indemnitee as determined by a final and nonappealable judgment of a court of competent jurisdiction .


 
74 169525926v6 (e) Payments. All amounts due under this Section shall be payable not later than ten Business Days after demand therefor. (f) Survival; Non-Duplication. The agreements in this Section shall survive the resignation of the Administrative Agent, the replacement of any Lender, the termination of the Aggregate Commitments and the repayment, satisfaction or discharge of all the other Obligations. In addition, and notwithstanding anything to the contrary contained herein, the indemnification and reimbursement obligations of the Borrower hereunder shall not, in any case, constitute or be deemed to constitute duplicate obligations of the Borrower with respect to corresponding indemnification and/or reimbursement obligations of Borrower under the Corporate Credit Facility (such that so long as Borrower satisfies such obligations under the Corporate Credit Facility, the Borrower shall be deemed to have satisfied such obligations hereunder). 10.05 Payments Set Aside. To the extent that any payment by or on behalf of the Borrower is made to the Administrative Agent or any Lender, or the Administrative Agent or any Lender exercises its right of setoff, and such payment or the proceeds of such setoff or any part thereof is subsequently invalidated, declared to be fraudulent or preferential, set aside or required (including pursuant to any settlement entered into by the Administrative Agent or such Lender in its discretion) to be repaid to a trustee, receiver or any other party, in connection with any proceeding under any Debtor Relief Law or otherwise, then (a) to the extent of such recovery, the obligation or part thereof originally intended to be satisfied shall be revived and continued in full force and effect as if such payment had not been made or such setoff had not occurred, and (b) each Lender severally agrees to pay to the Administrative Agent upon demand its applicable share (without duplication) of any amount so recovered from or repaid by the Administrative Agent, plus interest thereon from the date of such demand to the date such payment is made at a rate per annum equal to the applicable Overnight Rate from time to time in effect. The obligations of the Lenders under clause (b) of the preceding sentence shall survive the payment in full of the Obligations and the termination of this Agreement. 10.06 Successors and Assigns. (a) Successors and Assigns Generally. The provisions of this Agreement shall be binding upon and inure to the benefit of the parties hereto and their respective successors and assigns permitted hereby, except that neither the Borrower nor any other Loan Party may assign or otherwise transfer any of its rights or obligations hereunder without the prior written consent of the Administrative Agent and each Lender and no Lender may assign or otherwise transfer any of its rights or obligations hereunder except (i) to an assignee in accordance with the provisions of subsection (b) of this Section, (ii) by way of participation in accordance with the provisions of subsection (d) of this Section, or (iii) by way of pledge or assignment of a security interest subject to the restrictions of subsection (f) of this Section (and any other attempted assignment or transfer by any party hereto shall be null and void). Nothing in this Agreement, expressed or implied, shall be construed to confer upon any Person (other than the parties hereto, their respective successors and assigns permitted hereby, Participants to the extent provided in subsection (d) of this Section and, to the extent expressly contemplated hereby, the Related Parties of each of the Administrative Agent and the Lenders) any legal or equitable right, remedy or claim under or by reason of this Agreement. (b) Assignments by Lenders. Any Lender may at any time assign to one or more assignees all or a portion of its rights and obligations under this Agreement (including all or a portion of its Commitment and the Loans at the time owing to it); provided that any such assignment shall be subject to the following conditions: (i) Minimum Amounts. (A) in the case of an assignment of the entire remaining amount of the assigning Lender’s Commitment or contemporaneous assignments to related Approved Funds (determined after giving effect to such Assignments) that equal at least the amount specified in paragraph (b)(i)(B) of this Section in the aggregate and the Loans at the time owing to it or in the case of an assignment to a Lender, an Affiliate of a Lender or an Approved Fund, no minimum amount need be assigned; and


 
75 169525926v6 (B) in any case not described in subsection (b)(i)(A) of this Section, the aggregate amount of the Commitment (which for this purpose includes Loans outstanding thereunder) or, if the applicable Commitment is not then in effect, the principal outstanding balance of the Loans of the assigning Lender subject to each such assignment, determined as of the date the Assignment and Assumption with respect to such assignment is delivered to the Administrative Agent or, if “Trade Date” is specified in the Assignment and Assumption, as of the Trade Date, shall not be less than $1,000,000 unless each of the Administrative Agent and, so long as no Event of Default has occurred and is continuing, the Borrower otherwise consents (each such consent not to be unreasonably withheld or delayed). (ii) Proportionate Amounts. Each partial assignment shall be made as an assignment of a proportionate part of all the assigning Lender’s rights and obligations under this Agreement with respect to the Loans or the Commitment assigned, except that this clause (ii) shall not prohibit any Lender from assigning all or a portion of its rights and obligations among the revolving credit facility provided hereunder and any separate revolving credit or term loan facilities provided pursuant to the last paragraph of Section 10.01 on a non-pro rata basis; (iii) Required Consents. No consent shall be required for any assignment except to the extent required by subsection (b)(i)(B) of this Section and, in addition: (A) the consent of the Borrower (such consent not to be unreasonably withheld or delayed) shall be required in connection with any assignment hereunder; provided, however, that (i) notwithstanding the foregoing, the consent of the Borrower to any assignment shall not be required in the event that an Event of Default has occurred and is continuing at the time of such assignment; and (ii) notwithstanding the foregoing, the consent of the Borrower to any assignment shall be not be required in the event that such assignment is to (A) a Lender or (B) an Affiliate of a Lender or an Approved Fund with respect to such Lender and Lender has made a similar assignment to such Affiliate or Approved Fund under the Corporate Credit Facility (unless, in each case, the applicable Lender is a Defaulting Lender); and provided, further, that any consent of the Borrower required pursuant to this Section 10.06(b) shall be deemed to have been given if Borrower shall not object to such assignment by written notice to the Administrative Agent within five (5) Business Days after having received written notice of such proposed assignment; and (B) the consent of the Administrative Agent (such consent not to be unreasonably withheld or delayed) shall be required if such assignment is to a Person that is not a Lender, an Affiliate of such Lender or an Approved Fund with respect to such Lender. (iv) Assignment and Assumption. The parties to each assignment shall execute and deliver to the Administrative Agent an Assignment and Assumption, together with a processing and recordation fee in the amount of $3,500; provided, however, that the Administrative Agent may, in its sole discretion, elect to waive such processing and recordation fee in the case of any assignment. The assignee, if it is not a Lender, shall deliver to the Administrative Agent an Administrative Questionnaire. (v) No Assignment to Certain Persons. No such assignment shall be made (A) to the Borrower or any of the Borrower’s Affiliates or Subsidiaries, (B) to any Defaulting Lender or any of its Subsidiaries, or any Person who, upon becoming a Lender hereunder, would constitute any of the foregoing Persons described in this clause (B), or (C) to a natural Person (or to a holding company, investment vehicle or trust for, or owned and operated for the primary benefit of a natural Person). (vi) Certain Additional Payments. In connection with any assignment of rights and obligations of any Defaulting Lender hereunder, no such assignment shall be effective unless and until, in addition to the other conditions thereto set forth herein, the parties to the assignment shall make such additional payments to the Administrative Agent in an aggregate amount sufficient, upon distribution thereof as appropriate (which may be outright payment, purchases by the assignee of participations or subparticipations, or other compensating actions, including funding, with the consent of the Borrower and the Administrative Agent, the applicable pro rata share of Loans previously requested but not funded by the Defaulting Lender, to each


 
76 169525926v6 of which the applicable assignee and assignor hereby irrevocably consent), to (x) pay and satisfy in full all payment liabilities then owed by such Defaulting Lender to the Administrative Agent or any Lender hereunder (and interest accrued thereon) and (y) acquire (and fund as appropriate) its full pro rata share of all Loans in accordance with its Applicable Percentage. Notwithstanding the foregoing, in the event that any assignment of rights and obligations of any Defaulting Lender hereunder shall become effective under applicable Law without compliance with the provisions of this paragraph, then the assignee of such interest shall be deemed to be a Defaulting Lender for all purposes of this Agreement until such compliance occurs. Subject to acceptance and recording thereof by the Administrative Agent pursuant to subsection (c) of this Section, from and after the effective date specified in each Assignment and Assumption, the assignee thereunder shall be a party to this Agreement and, to the extent of the interest assigned by such Assignment and Assumption, have the rights and obligations of a Lender under this Agreement, and the assigning Lender thereunder shall, to the extent of the interest assigned by such Assignment and Assumption, be released from its obligations under this Agreement (and, in the case of an Assignment and Assumption covering all of the assigning Lender’s rights and obligations under this Agreement, such Lender shall cease to be a party hereto) but shall continue to be entitled to the benefits of Sections 3.01, 3.04, 3.05, and 10.04 with respect to facts and circumstances occurring prior to the effective date of such assignment; provided, that except to the extent otherwise expressly agreed by the affected parties, no assignment by a Defaulting Lender will constitute a waiver or release of any claim of any party hereunder arising from that Lender’s having been a Defaulting Lender. Upon request, the Borrower (at its expense) shall execute and deliver a Note to the assignee Lender. Any assignment or transfer by a Lender of rights or obligations under this Agreement that does not comply with this subsection shall be treated for purposes of this Agreement as a sale by such Lender of a participation in such rights and obligations in accordance with subsection (d) of this Section. (c) Register. The Administrative Agent, acting solely for this purpose as an agent of the Borrower (and such agency being solely for tax purposes), shall maintain at the Administrative Agent’s Office a copy of each Assignment and Assumption delivered to it (or the equivalent thereof in electronic form) and a register for the recordation of the names and addresses of the Lenders, and the Commitments of, and principal amounts (and stated interest) of the Loans owing to, each Lender pursuant to the terms hereof from time to time (the “Register”). The entries in the Register shall be conclusive absent manifest error, and the Borrower, the Administrative Agent and the Lenders shall treat each Person whose name is recorded in the Register pursuant to the terms hereof as a Lender hereunder for all purposes of this Agreement. The Register shall be available for inspection by the Borrower and any Lender, at any reasonable time and from time to time upon reasonable prior notice. (d) Participations. Any Lender may at any time, without the consent of, or notice to, the Borrower or the Administrative Agent, sell participations to any Person (other than a natural Person, or a holding company, investment vehicle or trust for, or owned and operated for the primary benefit of a natural Person, a Defaulting Lender or the Borrower or any of the Borrower’s Affiliates or Subsidiaries) (each, a “Participant”) in all or a portion of such Lender’s rights and/or obligations under this Agreement (including all or a portion of its Commitment and/or the Loans owing to it); provided that (i) such Lender’s obligations under this Agreement shall remain unchanged, (ii) such Lender shall remain solely responsible to the other parties hereto for the performance of such obligations and (iii) the Borrower, the Administrative Agent, and the Lenders shall continue to deal solely and directly with such Lender in connection with such Lender’s rights and obligations under this Agreement. For the avoidance of doubt, each Lender shall be responsible for the indemnity under Section 10.04(c) without regard to the existence of any participation. Any agreement or instrument pursuant to which a Lender sells such a participation shall provide that such Lender shall retain the sole right to enforce this Agreement and to approve any amendment, modification or waiver of any provision of this Agreement; provided that such agreement or instrument may provide that such Lender will not, without the consent of the Participant, agree to any amendment, waiver or other modification described in the first proviso to Section 10.01 that affects such Participant. The Borrower agrees that each Participant shall be entitled to the benefits of Sections 3.01, 3.04 and 3.05 to the same extent as if it were a Lender and had acquired its interest by assignment pursuant to subsection (b) of this Section (it being understood that the documentation required under Section 3.01(e) shall be delivered to the Lender who sells the participation) to the same extent as if it were a Lender and had acquired its interest by assignment pursuant to paragraph (b) of this Section; provided that such Participant (A) agrees to be subject to the provisions of Sections 3.06 and 10.13 as if it were an assignee under paragraph (b) of this Section and (B) shall not be entitled to receive any greater payment under Sections 3.01 or 3.04, with respect to any participation, than the Lender from whom it acquired the applicable participation would have been entitled to


 
77 169525926v6 receive, except to the extent such entitlement to receive a greater payment results from a Change in Law that occurs after the Participant acquired the applicable participation. Each Lender that sells a participation agrees, at the Borrower’s request and expense, to use reasonable efforts to cooperate with the Borrower to effectuate the provisions of Section 3.06 with respect to any Participant. To the extent permitted by law, each Participant also shall be entitled to the benefits of Section 10.08 as though it were a Lender; provided that such Participant agrees to be subject to Section 2.14 as though it were a Lender. Each Lender that sells a participation shall, acting solely for this purpose as a non-fiduciary agent of the Borrower, maintain a register on which it enters the name and address of each Participant and the principal amounts (and stated interest) of each Participant’s interest in the Loans or other obligations under the Loan Documents (the “Participant Register”); provided that no Lender shall have any obligation to disclose all or any portion of the Participant Register (including the identity of any Participant or any information relating to a Participant’s interest in any commitments, loans, letters of credit or its other obligations under any Loan Document) to any Person except to the extent that such disclosure is necessary to establish that such commitment, loan, letter of credit or other obligation is in registered form under Section 5f.103-1(c) of the United States Treasury Regulations. The entries in the Participant Register shall be conclusive absent manifest error, and such Lender shall treat each Person whose name is recorded in the Participant Register as the owner of such participation for all purposes of this Agreement notwithstanding any notice to the contrary. For the avoidance of doubt, the Administrative Agent (in its capacity as Administrative Agent) shall have no responsibility for maintaining a Participant Register. (e) Certain Pledges. Any Lender may at any time pledge or assign a security interest in all or any portion of its rights under this Agreement (including under its Note, if any) to secure obligations of such Lender, including any pledge or assignment to secure obligations to a Federal Reserve Bank; provided that no such pledge or assignment shall release such Lender from any of its obligations hereunder or substitute any such pledgee or assignee for such Lender as a party hereto. 10.07 Treatment of Certain Information; Confidentiality. Each of the Administrative Agent and the Lenders agrees to maintain the confidentiality of the Information (as defined below), except that Information may be disclosed (a) to its Affiliates and to its Related Parties (it being understood that the Persons to whom such disclosure is made will be informed of the confidential nature of such Information and instructed to keep such Information confidential), (b) to the extent required or requested by any regulatory authority purporting to have jurisdiction over such Person or its Related Parties (including any self- regulatory authority, such as the National Association of Insurance Commissioners), (c) to the extent required by applicable laws or regulations or by any subpoena or similar legal process; provided that such Person disclosing such Information shall, to the extent practical, provide the Loan Parties with advance notice of such disclosure to the extent not prohibited by law or regulation (except with respect to any audit or examination conducted by bank accountants or regulatory authority exercising examination or regulatory authority), (d) to any other party hereto, (e) in connection with the exercise of any remedies hereunder or under any other Loan Document or any action or proceeding relating to this Agreement or any other Loan Document or the enforcement of rights hereunder or thereunder, (f) subject to an agreement containing provisions substantially the same as those of this Section, to (i) any assignee of or Participant in, or any prospective assignee of or Participant in, any of its rights and obligations under this Agreement or (ii) any actual or prospective party (or its Related Parties) to any swap, derivative or other transaction under which payments are to be made by reference to the Borrower and its obligations, this Agreement or payments hereunder, (g) on a confidential basis to (i) any rating agency in connection with rating the Borrower or its Subsidiaries or the credit facilities provided hereunder or (ii) the CUSIP Service Bureau or any similar agency in connection with the issuance and monitoring of CUSIP numbers or other market identifiers with respect to the credit facilities provided hereunder, (h) with the written consent of the Borrower or (i) to the extent such Information (x) becomes publicly available other than as a result of a breach of this Section or (y) becomes available to the Administrative Agent, any Lender, or any of their respective Affiliates on a nonconfidential basis from a source other than the Borrower. In addition, the Administrative Agent and the Lenders may disclose the existence of this Agreement and information about this Agreement to market data collectors, similar service providers to the lending industry and service providers to the Administrative Agent and the Lenders in connection with the administration of this Agreement, the other Loan Documents, and the Commitments. For purposes of this Section, “Information” means all information received from the Borrower or any Subsidiary relating to the Borrower or any Subsidiary or any of their respective businesses, other than any such information that is available to the Administrative Agent, or any Lender on a nonconfidential basis prior to disclosure


 
78 169525926v6 by the Borrower or any Subsidiary, provided that, in the case of information received from the Borrower or any Subsidiary after the date hereof, such information is clearly identified at the time of delivery as confidential. Any Person required to maintain the confidentiality of Information as provided in this Section shall be considered to have complied with its obligation to do so if such Person has exercised the same degree of care to maintain the confidentiality of such Information as such Person would accord to its own confidential information. Each of the Administrative Agent and the Lenders acknowledges that (a) the Information may include material non-public information concerning the Borrower or a Subsidiary, as the case may be, (b) it has developed compliance procedures regarding the use of material non-public information and (c) it will handle such material non- public information in accordance with applicable Law, including United States Federal and state securities Laws. 10.08 Right of Setoff. If an Event of Default shall have occurred and be continuing, and either (a) as a result thereof, the Obligations hereunder shall have been accelerated pursuant to Section 8.02(b) or (b) to the extent of any then existing amounts due hereunder from any Loan Party to Administrative Agent or any Lender (whether principal, interest, fees or other amounts) that are past due hereunder or under any other Loan Document, each Lender, and each of their respective Affiliates is hereby authorized at any time and from time to time after obtaining the written consent of the Administrative Agent, to the fullest extent permitted by applicable law, to set off and apply any and all deposits (general or special, time or demand, provisional or final, in whatever currency) at any time held and other obligations (in whatever currency) at any time owing by such Lender or any such Affiliate to or for the credit or the account of the Borrower or any other Loan Party against any and all of the obligations of the Borrower or such Loan Party now or hereafter existing under this Agreement or any other Loan Document to such Lender or their respective Affiliates, irrespective of whether or not such Lender or Affiliate shall have made any demand under this Agreement or any other Loan Document and although such obligations of the Borrower or such Loan Party may be contingent or unmatured or are owed to a branch, office or Affiliate of such Lender different from the branch, office or Affiliate holding such deposit or obligated on such indebtedness; provided, that in the event that any Defaulting Lender shall exercise any such right of setoff, (x) all amounts so set off shall be paid over immediately to the Administrative Agent for further application in accordance with the provisions of Section 2.18 and, pending such payment, shall be segregated by such Defaulting Lender from its other funds and deemed held in trust for the benefit of the Administrative Agent and the Lenders, and (y) the Defaulting Lender shall provide promptly to the Administrative Agent a statement describing in reasonable detail the Obligations owing to such Defaulting Lender as to which it exercised such right of setoff. The rights of each Lender and their respective Affiliates under this Section are in addition to other rights and remedies (including other rights of setoff) that such Lender or their respective Affiliates may have. Each Lender agrees to notify the Borrower and the Administrative Agent promptly after any such setoff and application, provided that the failure to give such notice shall not affect the validity of such setoff and application. 10.09 Interest Rate Limitation. Notwithstanding anything to the contrary contained in any Loan Document, the interest paid or agreed to be paid under the Loan Documents shall not exceed the maximum rate of non-usurious interest permitted by applicable Law (the “Maximum Rate”). If the Administrative Agent or any Lender shall receive interest in an amount that exceeds the Maximum Rate, the excess interest shall be applied to the principal of the Loans or, if it exceeds such unpaid principal, refunded to the Borrower. In determining whether the interest contracted for, charged, or received by the Administrative Agent or a Lender exceeds the Maximum Rate, such Person may, to the extent permitted by applicable Law, (a) characterize any payment that is not principal as an expense, fee, or premium rather than interest, (b) exclude voluntary prepayments and the effects thereof, and (c) amortize, prorate, allocate, and spread in equal or unequal parts the total amount of interest throughout the contemplated term of the Obligations hereunder. 10.10 Counterparts; Integration; Effectiveness. This Agreement may be executed in counterparts (and by different parties hereto in different counterparts), each of which shall constitute an original, but all of which when taken together shall constitute a single contract. This Agreement, the Advance Funding Documentation, the other Loan Documents, and any separate letter agreements with respect to fees payable to the Administrative Agent constitute the entire contract among the parties relating to the subject matter hereof and supersede any and all previous agreements and understandings, oral or written, relating to


 
79 169525926v6 the subject matter hereof. Except as provided in Section 4.01, this Agreement shall become effective when it shall have been executed by the Administrative Agent and when the Administrative Agent shall have received counterparts hereof that, when taken together, bear the signatures of each of the other parties hereto, and thereafter shall be binding upon and inure to the benefit of the parties hereto and their respective successors and assigns. Delivery of an executed counterpart of a signature page of this Agreement by facsimile or other electronic imaging means (e.g. “pdf” or “tif”) shall be effective as delivery of a manually executed counterpart of this Agreement. 10.11 Survival of Representations and Warranties. All representations and warranties made hereunder and in any other Loan Document or other document delivered pursuant hereto or thereto or in connection herewith or therewith shall survive the execution and delivery hereof and thereof. Such representations and warranties have been or will be relied upon by the Administrative Agent and each Lender, regardless of any investigation made by the Administrative Agent or any Lender or on their behalf and notwithstanding that the Administrative Agent or any Lender may have had notice or knowledge of any Default at the time of any Credit Extension, and shall continue in full force and effect as long as any Loan or any other Obligation hereunder shall remain unpaid or unsatisfied. 10.12 Severability. If any provision of this Agreement or the other Loan Documents is held to be illegal, invalid or unenforceable, (a) the legality, validity and enforceability of the remaining provisions of this Agreement and the other Loan Documents shall not be affected or impaired thereby and (b) the parties shall endeavor in good faith negotiations to replace the illegal, invalid or unenforceable provisions with valid provisions the economic effect of which comes as close as possible to that of the illegal, invalid or unenforceable provisions. The invalidity of a provision in a particular jurisdiction shall not invalidate or render unenforceable such provision in any other jurisdiction. Without limiting the foregoing provisions of this Section 10.12, if and to the extent that the enforceability of any provisions in this Agreement relating to Defaulting Lenders shall be limited by Debtor Relief Laws, as determined in good faith by the Administrative Agent then such provisions shall be deemed to be in effect only to the extent not so limited. 10.13 Replacement of Lenders. If the Borrower is entitled to replace a Lender pursuant to the provisions of Section 3.06, or if any Lender is a Defaulting Lender or a Non-Consenting Lender or if any other circumstance exists hereunder that gives the Borrower the right to replace a Lender as a party hereto, then the Borrower may, at its sole expense and effort, upon notice to such Lender and the Administrative Agent, require such Lender to assign and delegate, without recourse (in accordance with and subject to the restrictions contained in, and consents required by, Section 10.06), all of its interests, rights (other than its existing rights to payments pursuant to Sections 3.01 and 3.04) and obligations under this Agreement and the related Loan Documents to an Eligible Assignee that shall assume such obligations (which assignee may be another Lender, if a Lender accepts such assignment), provided that: (a) the Borrower shall have paid to the Administrative Agent the assignment fee (if any) specified in Section 10.06(b); (b) such Lender shall have received payment of an amount equal to the outstanding principal of its Loans, accrued interest thereon, accrued fees and all other amounts payable to it hereunder and under the other Loan Documents (including any amounts under Section 3.05) from the assignee (to the extent of such outstanding principal and accrued interest and fees) or the Borrower (in the case of all other amounts); (c) in the case of any such assignment resulting from a claim for compensation under Section 3.04 or payments required to be made pursuant to Section 3.01, such assignment will result in a reduction in such compensation or payments thereafter; (d) such assignment does not conflict with applicable Laws; and


 
80 169525926v6 (e) in the case of an assignment resulting from a Lender becoming a Non-Consenting Lender, the applicable assignee shall have consented to the applicable amendment, waiver or consent. A Lender shall not be required to make any such assignment or delegation if, prior thereto, as a result of a waiver by such Lender or otherwise, the circumstances entitling the Borrower to require such assignment and delegation cease to apply. Each party hereto agrees that (a) an assignment required pursuant to this Section 10.13 may be effected pursuant to an Assignment and Assumption executed by the Borrower, the Administrative Agent and the assignee and (b) the Lender required to make such assignment need not be a party thereto in order for such assignment to be effective and shall be deemed to have consented to an be bound by the terms thereof; provided that, following the effectiveness of any such assignment, the other parties to such assignment agree to execute and deliver such documents necessary to evidence such assignment as reasonably requested by the applicable Lender, provided, further that any such documents shall be without recourse to or warranty by the parties thereto. 10.14 Governing Law; Jurisdiction; Etc. (a) GOVERNING LAW. THIS AGREEMENT AND THE OTHER LOAN DOCUMENTS AND ANY CLAIMS, CONTROVERSY, DISPUTE OR CAUSE OF ACTION (WHETHER IN CONTRACT OR TORT OR OTHERWISE) BASED UPON, ARISING OUT OF OR RELATING TO THIS AGREEMENT OR ANY OTHER LOAN DOCUMENT (EXCEPT, AS TO ANY OTHER LOAN DOCUMENT, AS EXPRESSLY SET FORTH THEREIN) AND THE TRANSACTIONS CONTEMPLATED HEREBY AND THEREBY SHALL BE GOVERNED BY, AND CONSTRUED IN ACCORDANCE WITH, THE LAW OF THE STATE OF NEW YORK. (b) THE BORROWER AND EACH OTHER LOAN PARTY IRREVOCABLY AND UNCONDITIONALLY SUBMITS, FOR ITSELF AND ITS PROPERTY, TO THE NONEXCLUSIVE JURISDICTION OF THE COURTS OF THE STATE OF NORTH CAROLINA SITTING IN MECKLENBURG COUNTY AND OF THE UNITED STATES DISTRICT COURT OF THE WESTERN DISTRICT OF NORTH CAROLINA, AND ANY APPELLATE COURT FROM ANY THEREOF, IN ANY ACTION OR PROCEEDING ARISING OUT OF OR RELATING TO THIS AGREEMENT OR ANY OTHER LOAN DOCUMENT, OR FOR RECOGNITION OR ENFORCEMENT OF ANY JUDGMENT, AND EACH OF THE PARTIES HERETO IRREVOCABLY AND UNCONDITIONALLY AGREES THAT ALL CLAIMS IN RESPECT OF ANY SUCH ACTION OR PROCEEDING MAY BE HEARD AND DETERMINED IN SUCH NORTH CAROLINA STATE COURT OR, TO THE FULLEST EXTENT PERMITTED BY APPLICABLE LAW, IN SUCH FEDERAL COURT. EACH OF THE PARTIES HERETO AGREES THAT A FINAL JUDGMENT IN ANY SUCH ACTION OR PROCEEDING SHALL BE CONCLUSIVE AND MAY BE ENFORCED IN OTHER JURISDICTIONS BY SUIT ON THE JUDGMENT OR IN ANY OTHER MANNER PROVIDED BY LAW. NOTHING IN THIS AGREEMENT OR IN ANY OTHER LOAN DOCUMENT SHALL AFFECT ANY RIGHT THAT THE ADMINISTRATIVE AGENT OR ANY LENDER MAY OTHERWISE HAVE TO BRING ANY ACTION OR PROCEEDING RELATING TO THIS AGREEMENT OR ANY OTHER LOAN DOCUMENT AGAINST THE BORROWER OR ANY OTHER LOAN PARTY OR ITS PROPERTIES IN THE COURTS OF ANY JURISDICTION. (c) WAIVER OF VENUE. THE BORROWER AND EACH OTHER LOAN PARTY IRREVOCABLY AND UNCONDITIONALLY WAIVES, TO THE FULLEST EXTENT PERMITTED BY APPLICABLE LAW, ANY OBJECTION THAT IT MAY NOW OR HEREAFTER HAVE TO THE LAYING OF VENUE OF ANY ACTION OR PROCEEDING ARISING OUT OF OR RELATING TO THIS AGREEMENT OR ANY OTHER LOAN DOCUMENT IN ANY COURT REFERRED TO IN PARAGRAPH (B) OF THIS SECTION. EACH OF THE PARTIES HERETO HEREBY IRREVOCABLY WAIVES, TO THE FULLEST EXTENT PERMITTED BY APPLICABLE LAW, THE DEFENSE OF AN INCONVENIENT FORUM TO THE MAINTENANCE OF SUCH ACTION OR PROCEEDING IN ANY SUCH COURT. (d) SERVICE OF PROCESS. EACH PARTY HERETO IRREVOCABLY CONSENTS TO SERVICE OF PROCESS IN THE MANNER PROVIDED FOR NOTICES IN SECTION 10.02. NOTHING IN THIS AGREEMENT WILL AFFECT THE RIGHT OF ANY PARTY HERETO TO SERVE PROCESS IN ANY OTHER MANNER PERMITTED BY APPLICABLE LAW.


 
81 169525926v6 10.15 Waiver of Jury Trial. EACH PARTY HERETO HEREBY IRREVOCABLY WAIVES, TO THE FULLEST EXTENT PERMITTED BY APPLICABLE LAW, ANY RIGHT IT MAY HAVE TO A TRIAL BY JURY IN ANY LEGAL PROCEEDING DIRECTLY OR INDIRECTLY ARISING OUT OF OR RELATING TO THIS AGREEMENT OR ANY OTHER LOAN DOCUMENT OR THE TRANSACTIONS CONTEMPLATED HEREBY OR THEREBY (WHETHER BASED ON CONTRACT, TORT OR ANY OTHER THEORY). EACH PARTY HERETO (A) CERTIFIES THAT NO REPRESENTATIVE, AGENT OR ATTORNEY OF ANY OTHER PERSON HAS REPRESENTED, EXPRESSLY OR OTHERWISE, THAT SUCH OTHER PERSON WOULD NOT, IN THE EVENT OF LITIGATION, SEEK TO ENFORCE THE FOREGOING WAIVER AND (B) ACKNOWLEDGES THAT IT AND THE OTHER PARTIES HERETO HAVE BEEN INDUCED TO ENTER INTO THIS AGREEMENT AND THE OTHER LOAN DOCUMENTS BY, AMONG OTHER THINGS, THE MUTUAL WAIVERS AND CERTIFICATIONS IN THIS SECTION. 10.16 No Advisory or Fiduciary Responsibility. In connection with all aspects of each transaction contemplated hereby (including in connection with any amendment, waiver or other modification hereof or of any other Loan Document), the Borrower acknowledges and agrees, and acknowledges its Affiliates’ understanding, that: (i) (A) the arranging and other services regarding this Agreement provided by the Administrative Agent are arm’s-length commercial transactions between the Borrower and its Affiliates, on the one hand, and the Administrative Agent, on the other hand, (B) the Borrower has consulted its own legal, accounting, regulatory and tax advisors to the extent it has deemed appropriate, and (C) the Borrower is capable of evaluating, and understands and accepts, the terms, risks and conditions of the transactions contemplated hereby and by the other Loan Documents; (ii) (A) the Administrative Agent is and has been acting solely as a principal and, except as expressly agreed in writing by the relevant parties, has not been, is not, and will not be acting as an advisor, agent or fiduciary for the Borrower or any of its Affiliates, or any other Person and (B) the Administrative Agent does not have any obligation to the Borrower or any of its Affiliates with respect to the transactions contemplated hereby except those obligations expressly set forth herein and in the other Loan Documents; and (iii) the Administrative Agent and its Affiliates may be engaged in a broad range of transactions that involve interests that differ from those of the Borrower and its Affiliates, and the Administrative Agent does not have any obligation to disclose any of such interests to the Borrower or its Affiliates. To the fullest extent permitted by law, the Borrower hereby waives and releases any claims that it may have against the Administrative Agent with respect to any breach or alleged breach of agency or fiduciary duty in connection with any aspect of any transaction contemplated hereby. 10.17 Electronic Signatures. This Agreement, any Loan Document and any other Communication, including Communications required to be in writing, may be in the form of an Electronic Record and may be executed using Electronic Signatures. Each of the Loan Parties and each of the Administrative Agent and the Lender Parties agrees that any Electronic Signature on or associated with any Communication shall be valid and binding on such Person to the same extent as a manual, original signature, and that any Communication entered into by Electronic Signature, will constitute the legal, valid and binding obligation of such Person enforceable against such Person in accordance with the terms thereof to the same extent as if a manually executed original signature was delivered. Any Communication may be executed in as many counterparts as necessary or convenient, including both paper and electronic counterparts, but all such counterparts are one and the same Communication. For the avoidance of doubt, the authorization under this paragraph may include, without limitation, use or acceptance of a manually signed paper Communication which has been converted into electronic form (such as scanned into PDF format), or an electronically signed Communication converted into another format, for transmission, delivery and/or retention. The Administrative Agent and each of the Lender Parties may, at its option, create one or more copies of any Communication in the form of an imaged Electronic Record (“Electronic Copy”), which shall be deemed created in the ordinary course of such Person’s business, and destroy the original paper document. All Communications in the form of an Electronic Record, including an Electronic Copy, shall be considered an original for all purposes, and shall have the same legal effect, validity and enforceability as a paper record. Notwithstanding anything contained herein to the contrary, the Administrative Agent is not under any obligation to accept an Electronic Signature in any form or in any format unless expressly agreed to by such Person pursuant to procedures approved by it; provided, further, without limiting the foregoing, (a) to the extent the Administrative Agent has agreed to accept such Electronic Signature, the Administrative Agent and each of the Lender


 
82 169525926v6 Parties shall be entitled to rely on any such Electronic Signature purportedly given by or on behalf of any Loan Party and/or any Lender Party without further verification and (b) upon the request of the Administrative Agent or any Lender Party, any Electronic Signature shall be promptly followed by such manually executed counterpart. For purposes hereof, “Electronic Record” and “Electronic Signature” shall have the meanings assigned to them, respectively, by 15 USC §7006, as it may be amended from time to time. The Administrative Agent shall not be responsible for or have any duty to ascertain or inquire into the sufficiency, validity, enforceability, effectiveness or genuineness of any Loan Document or any other agreement, instrument or document (including, for the avoidance of doubt, in connection with the Administrative Agent’s reliance on any Electronic Signature transmitted by telecopy, emailed .pdf or any other electronic means). The Administrative Agent shall be entitled to rely on, and shall incur no liability under or in respect of this Agreement or any other Loan Document by acting upon, any Communication (which writing may be a fax, any electronic message, Internet or intranet website posting or other distribution or signed using an Electronic Signature) or any statement made to it orally or by telephone and believed by it to be genuine and signed or sent or otherwise authenticated (whether or not such Person in fact meets the requirements set forth in the Loan Documents for being the maker thereof). Each of the Loan Parties and each Lender Party hereby waives (i) any argument, defense or right to contest the legal effect, validity or enforceability of this Agreement, any other Loan Document based solely on the lack of paper original copies of this Agreement, such other Loan Document, and (ii) waives any claim against the Administrative Agent, each Lender Party and each Related Party for any liabilities arising solely from the Administrative Agent’s and/or any Lender Party’s reliance on or use of Electronic Signatures, including any liabilities arising as a result of the failure of the Loan Parties to use any available security measures in connection with the execution, delivery or transmission of any Electronic Signature. Each of the parties represents and warrants to the other parties that it has the corporate capacity and authority to execute this Agreement and any other Communication through electronic means and there are no restrictions on doing so in that party’s constitutive documents. 10.18 USA PATRIOT Act. Each Lender that is subject to the Act (as hereinafter defined) and the Administrative Agent (for itself and not on behalf of any Lender) hereby notifies the Borrowers that pursuant to the requirements of the USA PATRIOT Act (Title III of Pub. L. 107-56 (signed into law October 26, 2001)) (the “Act”), it is required to obtain, verify and record information that identifies the Borrower and each other Loan Party, which information includes the name and address of the Borrower and each other Loan Party and other information that will allow such Lender or the Administrative Agent, as applicable, to identify the Borrower and each other Loan Party in accordance with the Act. The Borrower and each other Loan Party shall, promptly following a request by the Administrative Agent or any Lender, provide all documentation and other information that the Administrative Agent or such Lender requests in order to comply with its ongoing obligations under applicable “know your customer” and anti-money laundering rules and regulations, including the Act. 10.19 Time of the Essence. Time is of the essence of the Loan Documents. 10.20 Replaced Credit Facility. Each of the parties hereto hereby agrees that (a) this Agreement is an amendment and restatement of the Replaced Credit Facility in its entirety, (b) all documents, instruments or agreements, if any, creating security interests or liens in favor of the “Administrative Agent” or “Lenders” as defined in the Replaced Credit Facility and securing the obligations thereunder continue to secure the Obligations under this Agreement and (c) nothing contained herein is intended to represent a novation of any type with respect to the rights and “Obligations” as defined in the Replaced Credit Facility or with respect to any other Indebtedness evidenced by the Replaced Credit Facility or any documents, instruments or agreements executed in connection therewith. On the date of this Agreement, the rights and obligations of the parties hereto evidenced by the Replaced Credit Facility shall be evidenced by this Agreement and the other


 
83 169525926v6 Loan Documents, the “Loans” as defined in the Replaced Credit Facility shall remain outstanding and be continued as, and converted to, Loans as defined herein and shall bear interest and be subject to such other fees as set forth in this Agreement. 10.21 Acknowledgement and Consent to Bail-In of Affected Financial Institutions. Notwithstanding anything to the contrary in any Loan Document or in any other agreement, arrangement or understanding among any such parties, each party hereto acknowledges that any liability of any Lender that is an Affected Financial Institution arising under any Loan Document, to the extent such liability is unsecured, may be subject to the Write-Down and Conversion Powers of the applicable Resolution Authority and agrees and consents to, and acknowledges and agrees to be bound by: (a) the application of any Write-Down and Conversion Powers by the applicable Resolution Authority to any such liabilities arising hereunder which may be payable to it by any Lender that is an Affected Financial Institution; and (b) the effects of any Bail-In Action on any such liability, including, if applicable: (i) a reduction in full or in part or cancellation of any such liability; (ii) a conversion of all, or a portion of, such liability into shares or other instruments of ownership in such Affected Financial Institution, its parent undertaking, or a bridge institution that may be issued to it or otherwise conferred on it, and that such shares or other instruments of ownership will be accepted by it in lieu of any rights with respect to any such liability under this Agreement or any other Loan Document; or (iii) the variation of the terms of such liability in connection with the exercise of the Write- Down and Conversion Powers of the applicable Resolution Authority. 10.22 Acknowledgement Regarding Any Supported QFCs. To the extent that the Loan Documents provide support, through a guarantee or otherwise, for any Swap Contract or any other agreement or instrument that is a QFC (such support, “QFC Credit Support”, and each such QFC, a “Supported QFC”), the parties acknowledge and agree as follows with respect to the resolution power of the Federal Deposit Insurance Corporation under the Federal Deposit Insurance Act and Title II of the Dodd-Frank Wall Street Reform and Consumer Protection Act (together with the regulations promulgated thereunder, the “U.S. Special Resolution Regimes”) in respect of such Supported QFC and QFC Credit Support (with the provisions below applicable notwithstanding that the Loan Documents and any Supported QFC may in fact be stated to be governed by the laws of the State of New York and/or of the United States or any other state of the United States): (a) In the event a Covered Entity that is party to a Supported QFC (each, a “Covered Party”) becomes subject to a proceeding under a U.S. Special Resolution Regime, the transfer of such Supported QFC and the benefit of such QFC Credit Support (and any interest and obligation in or under such Supported QFC and such QFC Credit Support, and any rights in property securing such Supported QFC or such QFC Credit Support) from such Covered Party will be effective to the same extent as the transfer would be effective under the U.S. Special Resolution Regime if the Supported QFC and such QFC Credit Support (and any such interest, obligation and rights in property) were governed by the laws of the United States or a state of the United States. In the event a Covered Party or a BHC Act Affiliate of a Covered Party becomes subject to a proceeding under a U.S. Special Resolution Regime, Default Rights under the Loan Documents that might otherwise apply to such Supported QFC or any QFC Credit Support that may be exercised against such Covered Party are permitted to be exercised to no greater extent than such Default Rights could be exercised under the U.S. Special Resolution Regime if the Supported QFC and the Loan Documents were governed by the laws of the United States or a state of the United States. Without limitation of the foregoing, it is understood and agreed that rights and remedies of the parties with respect to a Defaulting Lender shall in no event affect the rights of any Covered Party with respect to a Supported QFC or any QFC Credit Support.


 
84 169525926v6 (b) As used in this Section 10.23, the following terms have the following meanings: “BHC Act Affiliate” of a party means an “affiliate” (as such term is defined under, and interpreted in accordance with, 12 U.S.C. 1841(k)) of such party. “Covered Entity” means any of the following: (i) a “covered entity” as that term is defined in, and interpreted in accordance with, 12 C.F.R. § 252.82(b); (ii) a “covered bank” as that term is defined in, and interpreted in accordance with, 12 C.F.R. § 47.3(b); or (iii) a “covered FSI” as that term is defined in, and interpreted in accordance with, 12 C.F.R. § 382.2(b). “Default Right” has the meaning assigned to that term in, and shall be interpreted in accordance with, 12 C.F.R. §§ 252.81, 47.2 or 382.1, as applicable. “QFC” has the meaning assigned to the term “qualified financial contract” in, and shall be interpreted in accordance with, 12 U.S.C. 5390(c)(8)(D). THIS AGREEMENT AND THE OTHER LOAN DOCUMENTS REPRESENT THE FINAL AGREEMENT AMONG THE PARTIES AND MAY NOT BE CONTRADICTED BY EVIDENCE OF PRIOR, CONTEMPORANEOUS, OR SUBSEQUENT ORAL AGREEMENTS OF THE PARTIES. THERE ARE NO UNWRITTEN ORAL AGREEMENTS AMONG THE PARTIES. (Signatures on next page)


 
1 169525926v6 IN WITNESS WHEREOF, the parties hereto have caused this Agreement to be duly executed as of the date first above written. BORROWER: Tanger Properties Limited Partnership, a North Carolina limited partnership By: Tanger Inc., its sole general partner By:/s/ Thomas J. Guerrieri, Jr. Name: Thomas J. Guerrieri, Jr. Title: Senior Vice President, Chief Accounting Officer (Signatures page continue)


 
2 169525926v6 LENDERS/AGENT: BANK OF AMERICA, N.A., individually in its capacity as Administrative Agent By:/s/ David J. Smith Name: David J. Smith Title: Vice President Date: April 12, 2024


 
3 169525926v6 BANK OF AMERICA, N.A., individually in its capacity as Lender By:/s/ Tanya L. Acosta Name: Tanya L. Acosta Title: Senior Vice President Date: April 8, 2024


 
4 169525926v6 SCHEDULE 2.01 COMMITMENTS AND APPLICABLE PERCENTAGES Lender Revolving Commitment Applicable Percentage Bank of America, N.A. $20,000,000.00 100.000000000% Totals: $20,000,000.00 100.000000000%


 
1 169525926v6 SCHEDULE 5.05 SUPPLEMENT TO FINANCIAL STATEMENTS [None.]


 
1 169525926v6 SCHEDULE 5.06 LITIGATION [None.]


 
1 169525926v6 SCHEDULE 5.09 ENVIRONMENTAL DISCLOSURE ITEMS [None.]


 
1 169525926v6 SCHEDULE 5.12(d) PENSION PLAN OBLIGATIONS [None.]


 
1 169525926v6 SCHEDULE 5.13 SUBSIDIARIES, OTHER EQUITY INVESTMENTS AND EQUITY INTERESTS IN THE BORROWER


 
2 169525926v6 SCHEDULE 5.18 INTELLECTUAL PROPERTY MATTERS [None.]


 
1 169525926v6 . SCHEDULE 10.02 ADMINISTRATIVE AGENT’S OFFICE; CERTAIN ADDRESSES FOR NOTICES Tanger Properties Limited Partnership 3200 Northline Ave., Suite 360 Greensboro, NC 27408 Attn: Stephen Yalof With copies to the following: James F. Williams Cynthia M. Holt Telephone: 336-292-3010 Telecopier: 336-297-0931 Electronic Mail: tanger@tangeroutlets.com With copies to the following: jim.williams@tangeroutlets.com Cyndi.Holt@tangeroutlets.com Sarah.Joplin@tangeroutlets.com Website Address: tangeroutlet.com Taxpayer ID No. of Borrower: 56-1822494 Taxpayer ID No. of Parent: 56-1815473 [Administrative Agent address on following page(s)]


 
2 169525926v6 ADMINISTRATIVE AGENT: Administrative Agent’s Office (for payments and Requests for Borrowings): Bank of America, N.A. Attn: Charlotte Conn Dallas Infomart 1950 N Stemmons Freeway Suite 6053 Dallas, TX, 75207 TX1-160-06-02 Telephone: 469-201-8220 Fax: 214.290.9653 Email: charlotte.a.conn@bofa.com Bank of America, N.A. ABA # 026009593 New York, NY Account #: 1366072250600 Attn: Wire Clearing Acct for Syn Loans - LIQ Ref: Tanger Properties Limited Partnership Other Notices as Administrative Agent Bank of America, N.A. Attn: David J. Smith Building B 7105 Corporate Drive Plano, TX, 75024 TX2-981-02-29 Telephone: _214-209-4124 Email: david.smith2@bofa.com


 
A-1 Form of Committed Loan Notice 169525926v6 EXHIBIT A FORM OF COMMITTED LOAN NOTICE Date: _____________., _________ To: Bank of America, N.A., as Administrative Agent Ladies and Gentlemen: Reference is made to that certain Fifth Amended and Restated Liquidity Credit Agreement, dated as of April 12, 2024 (as amended, restated, extended, supplemented or otherwise modified in writing from time to time, the “Agreement;” the terms defined therein being used herein as therein defined), among Tanger Properties Limited Partnership (the “Borrower”), the Lenders from time to time party thereto, and Bank of America, N.A., as Administrative Agent. The undersigned hereby requests a Borrowing of Committed Loans: 1. On ______________________________ (a Business Day). 2. In the amount of _______________. The Committed Borrowing, if any, requested herein complies with the provisos to the first sentence of Section 2.01 of the Agreement. BORROWER: Tanger Properties Limited Partnership, a North Carolina limited partnership By: Tanger Inc., its sole general partner By: ________________________________ Name: Title:


 
B-1 169525926v6 EXHIBIT B [INTENTIONALLY OMITTED]


 
C-1 169525926v6 EXHIBIT C [INTENTIONALLY OMITTED]


 
D-1 Form of Note 169525926v6 EXHIBIT D FORM OF NOTE April 12, 2024 FOR VALUE RECEIVED, the undersigned (the “Borrower”) hereby promises to pay to BANK OF AMERICA, N.A. or registered assigns (the “Lender”), in accordance with the provisions of the Agreement (as hereinafter defined), the principal amount of each Loan from time to time made by the Lender to the Borrower under that certain Fifth Amended and Restated Liquidity Credit Agreement, dated as of April 12, 2024 (as amended, restated, extended, supplemented or otherwise modified in writing from time to time, the “Agreement;” the terms defined therein being used herein as therein defined), among Tanger Properties Limited Partnership (the “Borrower”), the Lenders from time to time party thereto, and Bank of America, N.A., as Administrative Agent. The Borrower promises to pay interest on the unpaid principal amount of each Loan from the date of such Loan until such principal amount is paid in full, at such interest rates and at such times as provided in the Agreement. All payments of principal and interest shall be made to the Administrative Agent for the account of the Lender in Dollars and in Same Day Funds at the Administrative Agent’s Office for such currency. If any amount is not paid in full when due hereunder, such unpaid amount shall bear interest, to be paid upon demand, from the due date thereof until the date of actual payment (and before as well as after judgment) computed at the per annum rate set forth in the Agreement. This Note is one of the Notes referred to in the Agreement, is entitled to the benefits thereof and may be prepaid in whole or in part subject to the terms and conditions provided therein. This Note is also entitled to the benefits of the Guaranty. Upon the occurrence and continuation of one or more of the Events of Default specified in the Agreement, all amounts then remaining unpaid on this Note shall become, or may be declared to be, immediately due and payable all as provided in the Agreement. Loans made by the Lender shall be evidenced by one or more loan accounts or records maintained by the Lender in the ordinary course of business. The Lender may also attach schedules to this Note and endorse thereon the date, amount, and maturity of its Loans and payments with respect thereto. The Borrower, for itself, its successors and assigns, hereby waives diligence, presentment, protest and demand and notice of protest, demand, dishonor and non-payment of this Note.


 
D-2 Form of Note 169525926v6 THIS NOTE SHALL BE GOVERNED BY AND CONSTRUED IN ACCORDANCE WITH THE LAWS OF THE STATE OF NEW YORK. BORROWER: Tanger Properties Limited Partnership, a North Carolina limited partnership By: Tanger Inc., its sole general partner By: ________________________________ Name: Title:


 
D-3 Form of Note 169525926v6 LOANS AND PAYMENTS WITH RESPECT THERETO Date Amount of Loan Made Amount of Principal or Interest Paid This Date Outstanding Principal Balance This Date Notation Made By


 
E-1 Form of Compliance Certificate 169525926v6 EXHIBIT E FORM OF COMPLIANCE CERTIFICATE Financial Statement Date: _______________, _____ To: Bank of America, N.A., as Administrative Agent Ladies and Gentlemen: Reference is made to that certain Fifth Amended and Restated Liquidity Credit Agreement, dated as of April 12, 2024 (as amended, restated, extended, supplemented or otherwise modified in writing from time to time, the “Agreement;” the terms defined therein being used herein as therein defined), among Tanger Properties Limited Partnership (the “Borrower”), the Lenders from time to time party thereto, and Bank of America, N.A., as Administrative Agent. The undersigned Responsible Officer hereby certifies as of the date hereof that he/she is the _______________________________________ of the Borrower, and that, as such, he/she is authorized to execute and deliver this Certificate to the Administrative Agent on the behalf of the Borrower, and that: [Use following paragraph 1 for fiscal year-end financial statements] 1. The Borrower has delivered the year-end audited financial statements required by Section 6.01(a) of the Agreement for the fiscal year of the Borrower ended as of the above date, together with the report and opinion of an independent certified public accountant required by such section. [Use following paragraph 1 for fiscal quarter-end financial statements] 1. The Borrower has delivered the unaudited financial statements required by Section 6.01(b) of the Agreement for the fiscal quarter of the Borrower ended as of the above date. To the knowledge of the undersigned, such financial statements fairly present, in all material respects, the financial condition, results of operations and cash flows of the Borrower and its Subsidiaries in accordance with GAAP as at such date and for such period, subject only to normal year-end audit adjustments and the absence of footnotes. 2. The undersigned has reviewed and is familiar with the terms of the Agreement and has made, or has caused to be made under his/her supervision, a detailed review of the transactions and condition (financial or otherwise) of the Borrower during the accounting period covered by such financial statements. 3. A review of the activities of the Borrower during such fiscal period has been made under the supervision of the undersigned with a view to determining whether during such fiscal period the Borrower performed and observed, in all material respects, all its Obligations under the Loan Documents, and [select one:] [to the knowledge of the undersigned, during such fiscal period the Borrower performed and observed each covenant and condition of the Loan Documents applicable to it, and no Default has occurred and is continuing.] --or-- [to the knowledge of the undersigned, during such fiscal period the following covenants or conditions have not been performed or observed and the following is a list of each such Default and its nature and status:] 4. To the knowledge of the undersigned, the representations and warranties of the Borrower contained in Article V of the Credit Agreement, and any representations and warranties of any Guarantor that are contained in


 
E-2 Form of Compliance Certificate 169525926v6 the Guaranty are, except to the extent waived in accordance with the terms hereof, true and correct in all material respects on and as of the date hereof, except (a) to the extent that such representations and warranties specifically refer to an earlier date, in which case they shall be true and correct as of such earlier date, (b) that the representations and warranties contained in subsections (a) and (b) of Section 5.05 shall be deemed to refer to the most recent statements furnished pursuant to clauses (a) and (b), respectively, of Section 6.01 and (c) for purposes of the representations and warranties set forth in Section 5.13, to the extent of changes resulting from transactions and other events contemplated or not prohibited by this Agreement or the other Loan Documents and changes occurring in the ordinary course of Borrower’s business. 5. The financial covenant analyses and information set forth on Schedule 1 attached hereto are, to the best knowledge of the undersigned, true and accurate on and as of the date of this Certificate. IN WITNESS WHEREOF, the undersigned has executed this Certificate as of _______________, _____. BORROWER: Tanger Properties Limited Partnership, a North Carolina limited partnership By: Tanger Inc., its sole general partner By: ________________________________ Name: Title:


 
E-3 Form of Compliance Certificate 169525926v6 For the Quarter/Year ended ___________________(“Statement Date”) SCHEDULE 1 to the Compliance Certificate [INSERT DETAILED FINANCIAL COVENANT CALCULATIONS]


 
F-1 Form of Assignment and Assumption 169525926v6 EXHIBIT F-1 ASSIGNMENT AND ASSUMPTION This Assignment and Assumption (this “Assignment and Assumption”) is dated as of the Effective Date set forth below and is entered into by and between [the][each]1 Assignor identified in item 1 below ([the][each, an] “Assignor”) and [the][each]2 Assignee identified in item 2 below ([the][each, an] “Assignee”). [It is understood and agreed that the rights and obligations of [the Assignors] [the Assignees]3 hereunder are several and not joint.]4 Capitalized terms used but not defined herein shall have the meanings given to them in the Credit Agreement identified below (as amended, the “Credit Agreement”), receipt of a copy of which is hereby acknowledged by the Assignee. The Standard Terms and Conditions set forth in Annex 1 attached hereto are hereby agreed to and incorporated herein by reference and made a part of this Assignment and Assumption as if set forth herein in full. For an agreed consideration, [the][each] Assignor hereby irrevocably sells and assigns to [the Assignee][the respective Assignees], and [the][each] Assignee hereby irrevocably purchases and assumes from [the Assignor][the respective Assignors], subject to and in accordance with the Standard Terms and Conditions and the Credit Agreement, as of the Effective Date inserted by the Administrative Agent as contemplated below (i) all of [the Assignor’s][the respective Assignors’] rights and obligations in [its capacity as a Lender][their respective capacities as Lenders] under the Credit Agreement and any other documents or instruments delivered pursuant thereto in the amount[s] and equal to the percentage interest[s] identified below of all the outstanding rights and obligations under the respective facilities identified below and (ii) to the extent permitted to be assigned under applicable law, all claims, suits, causes of action and any other right of [the Assignor (in its capacity as a Lender)][the respective Assignors (in their respective capacities as Lenders)] against any Person, whether known or unknown, arising under or in connection with the Credit Agreement, any other documents or instruments delivered pursuant thereto or the loan transactions governed thereby or in any way based on or related to any of the foregoing, including, but not limited to, contract claims, tort claims, malpractice claims, statutory claims and all other claims at law or in equity related to the rights and obligations sold and assigned pursuant to clause (i) above (the rights and obligations sold and assigned by [the][any] Assignor to [the][any] Assignee pursuant to clauses (i) and (ii) above being referred to herein collectively as [the][an] “Assigned Interest”). Each such sale and assignment is without recourse to [the][any] Assignor and, except as expressly provided in this Assignment and Assumption, without representation or warranty by [the][any] Assignor. 1. Assignor[s]: ______________________________ ______________________________ [Assignor [is] [is not] a Defaulting Lender] 2. Assignee[s]: ______________________________ ______________________________ [for each Assignee, indicate [Affiliate][Approved Fund] of [identify Lender]] 3. Borrower(s): Tanger Properties Limited Partnership 4. Administrative Agent: Bank of America, N.A., as the administrative agent under the Credit Agreement 5. Credit Agreement: Fifth Amended and Restated Liquidity Credit Agreement, dated as of April 12, 1For bracketed language here and elsewhere in this form relating to the Assignor(s), if the assignment is from a single Assignor, choose the first bracketed language. If the assignment is from multiple Assignors, choose the second bracketed language. 2For bracketed language here and elsewhere in this form relating to the Assignee(s), if the assignment is to a single Assignee, choose the first bracketed language. If the assignment is to multiple Assignees, choose the second bracketed language. 3Select as appropriate. 4Include bracketed language if there are either multiple Assignors or multiple Assignees.


 
F-2 Form of Assignment and Assumption 169525926v6 2024 (as amended, restated, extended, supplemented or otherwise modified in writing from time to time, the “Agreement;” the terms defined therein being used herein as therein defined), among Tanger Properties Limited Partnership (the “Borrower”), the Lenders from time to time party thereto, and Bank of America, N.A., as Administrative Agent 6. Assigned Interest[s]: Assignor[s]5 Assignee[s]6 Facility Assigned Aggregate Amount of Commitment /Loans for all Lenders7 Amount of Commitmen t/Loans Assigned Percentage Assigned of Commitment/Loans 8 CUSIP Number ___________ $______________ $_________ ____________% ____________ $______________ $_________ ____________% ____________ $______________ $_________ ____________% [7. Trade Date: __________________]9 Effective Date: __________________, 20__ [TO BE INSERTED BY ADMINISTRATIVE AGENT AND WHICH SHALL BE THE EFFECTIVE DATE OF RECORDATION OF TRANSFER IN THE REGISTER THEREFOR.] The terms set forth in this Assignment and Assumption are hereby agreed to: ASSIGNOR[S]10 [NAME OF ASSIGNOR] By: _____________________________ Title: [NAME OF ASSIGNOR] By: _____________________________ Title: ASSIGNEE[S]11 [NAME OF ASSIGNEE] By: _____________________________ Title: [NAME OF ASSIGNEE] By: _____________________________ Title: [Consented to and]12 Accepted: BANK OF AMERICA, N.A., as 5List each Assignor, as appropriate. 6List each Assignee and, if available, its market entity identifier, as appropriate. 7Amounts in this column and in the column immediately to the right to be adjusted by the counterparties to take into account any payments or prepayments made between the Trade Date and the Effective Date. 8Set forth, to at least 9 decimals, as a percentage of the Commitment/Loans of all Lenders thereunder. 9To be completed if the Assignor and the Assignee intend that the minimum assignment amount is to be determined as of the Trade Date. 10Add additional signature blocks as needed. Include both Fund/Pension Plan and manager making the trade (if applicable). 11Add additional signature blocks as needed. Include both Fund/Pension Plan and manager making the trade (if applicable). 12To be added only if the consent of the Administrative Agent is required by the terms of the Credit Agreement.


 
F-3 Form of Assignment and Assumption 169525926v6 Administrative Agent By: _________________________________ Title: [Consented to:]13 [___________________________] By: _________________________________ Title: 13To be added only if the consent of the Borrower and/or other parties is required by the terms of the Credit Agreement.


 
F-4 Form of Assignment and Assumption 169525926v6 ANNEX 1 TO ASSIGNMENT AND ASSUMPTION STANDARD TERMS AND CONDITIONS FOR ASSIGNMENT AND ASSUMPTION 1. Representations and Warranties. 1.1 Assignor. [The][Each] Assignor (a) represents and warrants that (i) it is the legal and beneficial owner of [the][the relevant] Assigned Interest, (ii) [the][such] Assigned Interest is free and clear of any lien, encumbrance or other adverse claim, (iii) it has full power and authority, and has taken all action necessary, to execute and deliver this Assignment and Assumption and to consummate the transactions contemplated hereby and (iv) it is [not] a Defaulting Lender; and (b) assumes no responsibility with respect to (i) any statements, warranties or representations made in or in connection with the Credit Agreement or any other Loan Document, (ii) the execution, legality, validity, enforceability, genuineness, sufficiency or value of the Loan Documents or any collateral thereunder, (iii) the financial condition of the Borrower, any of its Subsidiaries or Affiliates or any other Person obligated in respect of any Loan Document or (iv) the performance or observance by the Borrower, any of its Subsidiaries or Affiliates or any other Person of any of their respective obligations under any Loan Document. 1.2 Assignee. [The][Each] Assignee (a) represents and warrants that (i) it has full power and authority, and has taken all action necessary, to execute and deliver this Assignment and Assumption and to consummate the transactions contemplated hereby and to become a Lender under the Credit Agreement, (ii) it meets all the requirements to be an assignee under Section 10.06(b)(iii) and (v) of the Credit Agreement (subject to such consents, if any, as may be required under Section 10.06(b)(iii) of the Credit Agreement), (iii) from and after the Effective Date, it shall be bound by the provisions of the Credit Agreement as a Lender thereunder and, to the extent of [the][the relevant] Assigned Interest, shall have the obligations of a Lender thereunder, (iv) it is sophisticated with respect to decisions to acquire assets of the type represented by [the][such] Assigned Interest and either it, or the Person exercising discretion in making its decision to acquire [the][such] Assigned Interest, is experienced in acquiring assets of such type, (v) it has received a copy of the Credit Agreement, and has received or has been accorded the opportunity to receive copies of the most recent financial statements delivered pursuant to Section __ thereof, as applicable, and such other documents and information as it deems appropriate to make its own credit analysis and decision to enter into this Assignment and Assumption and to purchase [the][such] Assigned Interest, (vi) it has, independently and without reliance upon the Administrative Agent or any other Lender and based on such documents and information as it has deemed appropriate, made its own credit analysis and decision to enter into this Assignment and Assumption and to purchase [the][such] Assigned Interest, and (vii) if it is a Foreign Lender, attached hereto is any documentation required to be delivered by it pursuant to the terms of the Credit Agreement, duly completed and executed by [the][such] Assignee; and (b) agrees that (i) it will, independently and without reliance upon the Administrative Agent, [the][any] Assignor or any other Lender, and based on such documents and information as it shall deem appropriate at the time, continue to make its own credit decisions in taking or not taking action under the Loan Documents, and (ii) it will perform in accordance with their terms all of the obligations which by the terms of the Loan Documents are required to be performed by it as a Lender. 2. Payments. From and after the Effective Date, the Administrative Agent shall make all payments in respect of [the][each] Assigned Interest (including payments of principal, interest, fees and other amounts) to [the][the relevant] Assignor for amounts which have accrued to but excluding the Effective Date and to [the][the relevant] Assignee for amounts which have accrued from and after the Effective Date. Notwithstanding the foregoing, the Administrative Agent shall make all payments of interest, fees or other amounts paid or payable in kind from and after the Effective Date to [the][the relevant] Assignee. 3. General Provisions. This Assignment and Assumption shall be binding upon, and inure to the benefit of, the parties hereto and their respective successors and assigns. This Assignment and Assumption may be executed in any number of counterparts, which together shall constitute one instrument. Delivery of an executed counterpart of a signature page of this Assignment and Assumption by telecopy shall be effective as delivery of a manually executed counterpart of this Assignment and Assumption. This Assignment and Assumption shall be governed by, and construed in accordance with, the law of the State of New York.


 
F-2-1 169525926v6 EXHIBIT F-2 FORM OF ADMINISTRATIVE QUESTIONNAIRE


 
169525926v6 EXHIBIT G FORM OF GUARANTY THIRD AMENDED AND RESTATED CONTINUING GUARANTY [Re: Tanger Properties Limited Partnership – Fifth Amended and Restated Liquidity Credit Agreement] FOR VALUE RECEIVED, the sufficiency of which is hereby acknowledged, and in consideration of credit and/or financial accommodation heretofore or hereafter from time to time made or granted to TANGER PROPERTIES LIMITED PARTNERSHIP, a North Carolina limited partnership (the “Borrower”) by BANK OF AMERICA, N.A., in its capacity as the Administrative Agent under the Credit Agreement referenced herein (in such capacity and together with its successors and assigns as permitted under the Credit Agreement, the “Agent”) and the Lenders, as such term is defined in that certain Fifth Amended and Restated Liquidity Credit Agreement dated as of April 12, 2024 (as the same may be amended, restated, supplemented or otherwise modified from time to time, the “Credit Agreement”; capitalized terms used herein and not otherwise defined shall have the meanings set forth in the Credit Agreement) among the Borrower, the Agent, and such Lenders, the undersigned Guarantor (whether one or more the “Guarantor”, and if more than one jointly and severally) hereby furnishes to the Agent, for the benefit of the Agent and Lenders, its amended and restated guaranty of the Guaranteed Obligations (as hereinafter defined) as set forth herein; provided, that this Guaranty constitutes an amendment, restatement, and continuation of that certain Second Amended and Restated Continuing Guaranty initially entered into by Guarantor and certain other parties in favor of the Agent in connection with the Replaced Credit Facility (as the same may have been from time to time amended, restated, supplemented, or otherwise modified, the “Replaced Guaranty”) and does not constitute a novation, termination or release of or with respect to any of the obligations or indebtedness represented by the Replaced Guaranty. Now, therefore, the Guarantor agrees as follows: 1. Guaranty. The Guarantor hereby absolutely and unconditionally guarantees, as a guaranty of payment and performance and not merely as a guaranty of collection, prompt payment when due, whether at stated maturity, by required prepayment, upon acceleration, demand or otherwise, and at all times thereafter, of any and all existing and future indebtedness and liabilities of every kind, nature and character, direct or indirect, absolute or contingent, liquidated or unliquidated, voluntary or involuntary and whether for principal, interest, premiums, fees indemnities, damages, costs, expenses or otherwise, of the Borrower to the Agent and/or Lenders (collectively, the Agent and Lenders shall be referred to herein as the “Secured Parties”) arising under the Credit Agreement, the Loan Documents, Sections 2, 10 and 17 of this Guaranty, any other instruments, agreements or other documents of any kind or nature now or hereafter executed in connection with the Credit Agreement (including all renewals, extensions, amendments, refinancings and other modifications thereof and all costs, reasonable attorneys’ fees and expenses incurred by the Agent in connection with the collection or enforcement thereof) and whether recovery upon such indebtedness and liabilities may be or hereafter become unenforceable or shall be an allowed or disallowed claim under any proceeding or case commenced by or against the Guarantor or the Borrower under the Bankruptcy Code (Title 11, United States Code), any successor statute or any other liquidation, conservatorship, bankruptcy, assignment for the benefit of creditors, moratorium, rearrangement, receivership, insolvency, reorganization, or similar debtor relief laws of the United States or other applicable jurisdictions from time to time in effect and affecting the rights of creditors generally (collectively, “Debtor Relief Laws”), and including interest that accrues after the commencement by or against the Borrower of any proceeding under any Debtor Relief Laws (collectively, the “Guaranteed Obligations”). The Agent’s and/or Lenders’ books and records showing the amount of the Guaranteed Obligations shall be admissible in evidence in any action or proceeding, and absent manifest error shall be binding upon the Guarantor and conclusive for the purpose of establishing the amount of the Guaranteed Obligations. This Guaranty shall not be affected by the regularity or enforceability of the Guaranteed Obligations or any instrument or agreement evidencing any Guaranteed Obligations, or by the existence, validity, enforceability, perfection, non-perfection or extent of any collateral therefor, or by any fact or circumstance relating to the Guaranteed Obligations which might otherwise constitute a defense to the obligations of the Guarantor under this Guaranty, and the Guarantor hereby irrevocably waives any defenses it may now have or hereafter acquire in any way relating to any or all of the foregoing except the defense of payment. Anything contained herein to the contrary notwithstanding, (i) the obligations of the Guarantor hereunder at any time shall be limited to an aggregate amount equal to the largest amount that would not


 
169525926v6 render its obligations hereunder subject to avoidance as a fraudulent transfer or conveyance under Section 548 of the Bankruptcy Code (Title 11, United States Code) or any comparable provisions of any similar federal or state law, and (ii) the Guaranteed Obligations of a Guarantor shall exclude any Excluded Swap Obligations with respect to such Guarantor. 2. No Setoff or Deductions; Taxes; Payments. The Guarantor represents and warrants that it is organized and resident in the United States of America. The Guarantor shall make all payments hereunder without setoff or counterclaim and free and clear of and without deduction for any taxes, levies, imposts, duties, charges, fees, deductions, withholdings, compulsory loans, restrictions or conditions of any nature now or hereafter imposed or levied by any jurisdiction or any political subdivision thereof or taxing or other authority therein unless the Guarantor is compelled by law to make such deduction or withholding (and provided that nothing contained herein, including without limitation, the foregoing, shall limit or affect the Guarantor’s ability to bring any separate action or claim available to it at law or in equity). If any such obligation (other than one arising with respect to taxes based on or measured by the income or profits of the respective Secured Parties) is imposed upon the Guarantor with respect to any amount payable by it hereunder, the Guarantor will pay to the Agent (for the benefit of the Secured Parties), on the date on which such amount is due and payable hereunder, such additional amount in U.S. dollars as shall be necessary to enable the Agent (on behalf of the Secured Parties) to receive the same net amount which the Agent would have received on such due date had no such obligation been imposed upon the Guarantor. The Guarantor will deliver promptly to the Agent (for the benefit of the Secured Parties) certificates or other valid vouchers for all taxes or other charges deducted from or paid with respect to payments made by the Guarantor hereunder. The obligations of the Guarantor under this paragraph shall survive the payment in full of the Guaranteed Obligations and termination of this Guaranty. 3. Rights of Secured Parties. The Guarantor consents and agrees that the Agent (for the benefit of the Secured Parties) and/or Secured Parties (as applicable) may, at any time and from time to time, without notice or demand, and without affecting the enforceability or continuing effectiveness hereof: (a) amend, extend, renew, compromise, discharge, accelerate or otherwise change the time for payment or the terms of the Guaranteed Obligations or any part thereof; (b) take, hold, exchange, enforce, waive, release, fail to perfect, sell, or otherwise dispose of any security for the payment of this Guaranty or any Guaranteed Obligations; (c) apply such security and direct the order or manner of sale thereof as the Secured Parties, in their sole discretion (and subject to the terms of the Loan Documents) may determine; and (d) release or substitute one or more of any endorsers or other guarantors of any of the Guaranteed Obligations. Without limiting the generality of the foregoing, the Guarantor consents to the taking of, or failure to take, any action which might in any manner or to any extent vary the risks of the Guarantor under this Guaranty or which, but for this provision, might operate as a discharge of the Guarantor. 4. Certain Waivers. The Guarantor waives (a) any defense arising by reason of any disability or other defense of the Borrower or any other guarantor (other than full payment and performance), or the cessation from any cause whatsoever (including any act or omission of any Secured Party) of the liability of the Borrower; (b) any defense based on any claim that the Guarantor’s obligations exceed or are more burdensome than those of the Borrower; (c) the benefit of any statute of limitations affecting the Guarantor’s liability hereunder; (d) any right to proceed against the Borrower, proceed against or exhaust any security for the Indebtedness, or pursue any other remedy in the Agent’s or any other Secured Party’s power whatsoever; (e) any benefit of and any right to participate in any security now or hereafter held by the Agent or any other Secured Party; and (f) to the fullest extent permitted by law, any and all other defenses or benefits that may be derived from or afforded by applicable law limiting the liability of or exonerating guarantors or sureties. The Guarantor expressly waives all setoffs and counterclaims and all presentments, demands for payment or performance, notices of nonpayment or nonperformance, protests, notices of protest, notices of dishonor and all other notices or demands of any kind or nature whatsoever with respect to the Guaranteed Obligations, and all notices of acceptance of this Guaranty or of the existence, creation or incurrence of new or additional Guaranteed Obligations, including but not limited to the benefits of N.C. General Statutes §§ 26-7 through 26-9 inclusive, as amended, or any similar statute. 5. Obligations Independent. The obligations of the Guarantor hereunder are those of primary obligor, and not merely as surety, and are independent of the Guaranteed Obligations and the obligations of any other guarantor, and a separate action may be brought against the Guarantor to enforce this Guaranty whether or not the Borrower or any other person or entity is joined as a party.


 
169525926v6 6. Subrogation. The Guarantor shall not exercise any right of subrogation, contribution, indemnity, reimbursement or similar rights with respect to any payments it makes under this Guaranty until all of the Guaranteed Obligations and any amounts payable under this Guaranty have been indefeasibly paid and performed in full and any commitments of the Lenders or facilities provided by the Lenders with respect to the Guaranteed Obligations are terminated. If any amounts are paid to the Guarantor in violation of the foregoing limitation, then such amounts shall be held in trust for the benefit of the Secured Parties and shall forthwith be paid to the Agent (for the benefit of the Secured Parties) to reduce the amount of the Guaranteed Obligations, whether matured or unmatured. 7. Termination; Reinstatement. This Guaranty is a continuing and irrevocable guaranty of all Guaranteed Obligations now or hereafter existing and shall remain in full force and effect until all Guaranteed Obligations and any other amounts payable under this Guaranty are indefeasibly paid in full in cash and any commitments of the Lenders or facilities provided by the Lenders with respect to the Guaranteed Obligations are terminated. Notwithstanding the foregoing, this Guaranty shall continue in full force and effect or be revived, as the case may be, if any payment by or on behalf of the Borrower or the Guarantor is made, or any Secured Party exercises its right of setoff, in respect of the Guaranteed Obligations and such payment or the proceeds of such setoff or any part thereof is subsequently invalidated, declared to be fraudulent or preferential, set aside or required (including pursuant to any settlement entered into by the Secured Parties in their discretion) to be repaid to a trustee, receiver or any other party, in connection with any proceeding under any Debtor Relief Laws or otherwise, all as if such payment had not been made or such setoff had not occurred and whether or not the Agent (for the benefit of the Secured Parties) is in possession of or has released this Guaranty and regardless of any prior revocation, rescission, termination or reduction. The obligations of the Guarantor under this paragraph shall be revived and this Guaranty reinstated in the event that this Guaranty is terminated prior to the occurrence of the events giving rise to the Guarantor’s obligations under this paragraph and the obligations of the Guarantor under this paragraph shall survive termination of this Guaranty. Notwithstanding the foregoing, or anything to the contrary contained in this Guaranty, any Guarantor’s obligations hereunder may be terminated and released at any time, including without limitation, at any time prior to the indefeasible payment and performance of all Guaranteed Obligations, in accordance with the terms of Credit Agreement, including without limitation, Section 6.12 and Section 9.11 thereof. 8. Subordination. The Guarantor hereby subordinates the payment of all obligations and indebtedness of the Borrower owing to the Guarantor, whether now existing or hereafter arising, including but not limited to any obligation of the Borrower to the Guarantor as subrogee of any Secured Party or resulting from the Guarantor’s performance under this Guaranty, to the indefeasible payment in full in cash of all Guaranteed Obligations. If the Agent (for the benefit of the Secured Parties) so requests, any such obligation or indebtedness of the Borrower to the Guarantor shall be enforced and performance received by the Guarantor as trustee for the Agent (for the benefit of the Secured Parties) and the proceeds thereof shall be paid over to the Agent (for the benefit of the Secured Parties) on account of the Guaranteed Obligations, but without reducing or affecting in any manner the liability of the Guarantor under this Guaranty. 9. Stay of Acceleration. In the event that acceleration of the time for payment of any of the Guaranteed Obligations is stayed, in connection with any case commenced by or against the Guarantor or Borrower under any Debtor Relief Laws, or otherwise, all such amounts shall nonetheless be payable by the Guarantor immediately upon demand by the Agent. 10. Expenses. The Guarantor shall pay on demand all non-reimbursed out-of-pocket expenses of the Agent (including reasonable attorneys’ fees and expenses and the allocated cost and disbursements of internal legal counsel) in any way relating to the enforcement or protection of the Agent’s or the other Secured Parties’ rights under this Guaranty or in respect of the Guaranteed Obligations, including any incurred during any “workout” or restructuring in respect of the Guaranteed Obligations and any incurred in the preservation, protection or enforcement of any rights of the Agent or other Secured Parties in any proceeding any Debtor Relief Laws. The obligations of the Guarantor under this paragraph shall survive the payment in full of the Guaranteed Obligations and termination of this Guaranty. 11. Miscellaneous. No provision of this Guaranty may be waived, amended, supplemented or modified, except by a written instrument executed by the Agent (for the benefit of the Secured Parties) and the Guarantor. No failure by the Agent to exercise, and no delay in exercising, any right, remedy or power hereunder shall operate as a waiver thereof; nor shall any single or partial exercise of any right, remedy or power hereunder preclude any other or


 
169525926v6 further exercise thereof or the exercise of any other right, power or remedy. The remedies herein provided are cumulative and not exclusive of any remedies provided by law or in equity. The unenforceability or invalidity of any provision of this Guaranty shall not affect the enforceability or validity of any other provision herein. Unless otherwise agreed by the Agent (for the benefit of the Secured Parties) and the Guarantor in writing, this Guaranty is not intended to supersede or otherwise affect any other guaranty now or hereafter given by the Guarantor for the benefit of any Secured Party or any term or provision thereof. 12. Condition of Borrower. The Guarantor acknowledges and agrees that it has the sole responsibility for, and has adequate means of, obtaining from the Borrower and any other guarantor such information concerning the financial condition, business and operations of the Borrower and any such other guarantor as the Guarantor requires, and that the Secured Parties have no duty, and the Guarantor is not relying on any Secured Party to, at any time, disclose to the Guarantor any information relating to the business, operations or financial condition of the Borrower or any other guarantor (the guarantor waiving any duty on the part of any Secured Party to disclose such information and any defense relating to the failure to provide the same). 13. Setoff. If and to the extent any payment is not made when due hereunder, but only if and in the event that the Obligations have been accelerated pursuant to Section 8.02(b) of the Credit Agreement following an Event of Default thereunder, then the Agent (for the benefit of the Secured Parties) may setoff and charge from time to time any amount so due against any or all of the Guarantor’s accounts or deposits with the Agent. 14. Representations and Warranties. The Guarantor represents and warrants that (a) it is duly organized and in good standing under the laws of the jurisdiction of its organization and has full capacity and right to make and perform this Guaranty, and all necessary authority has been obtained; (b) this Guaranty constitutes its legal, valid and binding obligation enforceable in accordance with its terms, except as such enforceability may be limited by (i) applicable bankruptcy, insolvency, reorganization, moratorium or similar laws affecting creditors’ rights generally and (ii) the application of general principles of equity, regardless of whether such enforceability is considered in a proceeding in equity or at law; (c) the making and performance of this Guaranty does not and will not violate the provisions of any applicable law, regulation or order, and does not and will not result in the breach of, or constitute a default or require any consent under, any material agreement, instrument, or document to which it is a party or by which it or any of its property may be bound or affected; except to the extent that any such violation, breach or default, or failure to obtain the same, as applicable, could not reasonably be expected to have a Material Adverse Effect; and (d) all consents, approvals, licenses and authorizations of, and filings and registrations with, any governmental authority required under applicable law and regulations for the making and performance of this Guaranty have been obtained or made and are in full force and effect, except to the extent that failure to obtain or file the same, as applicable, could not reasonably be expected to have a Material Adverse Effect. 15. Additional Representations, Warranties and Covenants of Guarantor. Guarantor hereby acknowledges, agrees and confirms that, by its execution hereof, Guarantor will be deemed to be a Loan Party under the Credit Agreement and a “Guarantor” for all purposes of the Credit Agreement. Guarantor further agrees to be bound by, all of the terms, provisions and conditions contained in herein and in the Credit Agreement applicable to a Guarantor. 16. New Guarantors. Additional Persons (each such Person being referred to herein as a “New Guarantor”) may, from time to time, become parties hereto (and thereby become a “Guarantor”) pursuant to the terms and conditions set forth in Section 6.12 of the Credit Agreement through the execution of a counterpart signature page hereto. Each such New Guarantor hereby acknowledges, agrees and confirms that, by its execution of such counterpart, the New Guarantor will be deemed to be a Loan Party under the Credit Agreement and a “Guarantor” for all purposes of the Credit Agreement and shall have all of the obligations of the Guarantor hereunder as if it had executed this Agreement as of the Closing Date. Further, each such New Guarantor hereby ratifies, as of the date of its execution of a counterpart signature page hereto, and agrees to be bound by, all of the terms, provisions and conditions contained in herein and in the Credit Agreement applicable to a Guarantor. The obligations of each such New Guarantor hereunder and under the Credit Agreement will be joint and several with each other Person qualifying as a Guarantor hereunder. 17. Indemnification and Survival. Without limitation on any other obligations of the Guarantor or remedies of the Agent (for the benefit of the Secured Parties) under this Guaranty, the Guarantor shall, to the fullest


 
169525926v6 extent permitted by law, indemnify, defend and save and hold harmless the Secured Parties from and against, and shall pay on demand, any and all reasonable damages, losses, liabilities and expenses (including reasonable attorneys’ fees and expenses and the allocated cost and disbursements of internal legal counsel) that may be suffered or incurred by the Secured Parties in connection with or as a result of any failure of any Guaranteed Obligations to be the legal, valid and binding obligations of the Borrower enforceable against the Borrower in accordance with their terms. 18. Keepwell. Each Loan Party that is a Qualified ECP Guarantor at the time this Guaranty by any Loan Party that is not then an “eligible contract participant” under the Commodity Exchange Act (a “Specified Loan Party”) or the grant of a security interest under the Loan Documents by any such Specified Loan Party, in either case, becomes effective with respect to any Swap Obligation, hereby jointly and severally, absolutely, unconditionally and irrevocably undertakes to provide such funds or other support to each Specified Loan Party with respect to such Swap Obligation as may be needed by such Specified Loan Party from time to time to honor all of its obligations under the Loan Documents in respect of such Swap Obligation (but, in each case, only up to the maximum amount of such liability that can be hereby incurred without rendering such Qualified ECP Guarantor’s obligations and undertakings under this Guaranty voidable under applicable Debtor Relief Laws, and not for any greater amount). The obligations and undertakings of each applicable Loan Party under this Section shall remain in full force and effect until the Guaranteed Obligations have been indefeasibly paid and performed in full. Each Loan Party intends this Section to constitute, and this Section shall be deemed to constitute, a “keepwell, support, or other agreement” for the benefit of each Loan Party that would otherwise not constitute an “eligible contract participant” for any Swap Obligation for all purposes of the Commodity Exchange Act. As used in this section, “Qualified ECP Guarantor” means, at any time, each Loan Party with total assets exceeding $10,000,000 or that qualifies at such time as an “eligible contract participant” under the Commodity Exchange Act and can cause another Person to qualify as an “eligible contract participant” at such time under Section 1a(18)(A)(v)(II) of the Commodity Exchange Act. 19. Governing Law; Assignment; Jurisdiction; Notices. This Guaranty shall be governed by, and construed in accordance with, the internal laws of the State of New York. This Guaranty shall (a) bind the Guarantor and its successors and assigns, provided that the Guarantor may not assign its rights or obligations under this Guaranty without the prior written consent of the Agent (and any attempted assignment without such consent shall be void), and (b) inure to the benefit of the Secured Parties and their successors and assigns and the Lenders may, without notice to the Guarantor and without affecting the Guarantor’s obligations hereunder, assign, sell or grant participations in the Guaranteed Obligations and this Guaranty, in whole or in part, in accordance with the terms of Section 10.06 of the Credit Agreement. The Guarantor hereby irrevocably (i) submits to the non-exclusive jurisdiction of any United States Federal or State court sitting in Charlotte, North Carolina in any action or proceeding arising out of or relating to this Guaranty, and (ii) waives to the fullest extent permitted by law any defense asserting an inconvenient forum in connection therewith. Service of process by the Agent in connection with such action or proceeding shall be binding on the Guarantor if sent to the Guarantor by registered or certified mail at its address specified below or such other address as from time to time notified by the Guarantor. The Guarantor agrees that the Agent may disclose to any assignee of or participant in, or any prospective assignee of or participant in, any of its rights or obligations of all or part of the Guaranteed Obligations any and all information in the Agent’s possession concerning the Guarantor, this Guaranty and any security for this Guaranty, provided, that the Agent shall require any such recipient to agree in writing to maintain the confidentiality of such information. All notices and other communications to the Guarantor under this Guaranty shall be in writing and shall be delivered by hand or overnight courier service to the Guarantor at the address of the Borrower set forth in Schedule 10.02 to the Credit Agreement or at such other address in the United States as may be specified by the Guarantor in a written notice delivered to the Agent at the address of the Agent set forth in Schedule 10.02 to the Credit Agreement or at such other address in the United States as the Agent may designate for such purpose from time to time in a written notice to the Guarantor. 20. WAIVER OF JURY TRIAL; FINAL AGREEMENT. TO THE EXTENT ALLOWED BY APPLICABLE LAW, THE GUARANTOR AND THE AGENT EACH IRREVOCABLY WAIVES TRIAL BY JURY WITH RESPECT TO ANY ACTION, CLAIM, SUIT OR PROCEEDING ON, ARISING OUT OF OR RELATING TO THIS GUARANTY OR THE GUARANTEED OBLIGATIONS. THIS GUARANTY REPRESENTS THE FINAL AGREEMENT BETWEEN THE PARTIES AND MAY NOT BE CONTRADICTED BY EVIDENCE OF PRIOR, CONTEMPORANEOUS, OR SUBSEQUENT ORAL AGREEMENTS BETWEEN THE PARTIES. THERE ARE NO UNWRITTEN ORAL AGREEMENTS BETWEEN THE PARTIES.


 
169525926v6 [remainder of page left intentionally blank – signature page(s) to follow]


 
169525926v6 Executed this ___ day of _________, 2024. TANGER INC., a North Carolina corporation By: Name: Title:


 
169525926v6 Consented, accepted, and agreed to as an amendment and restatement of the Replaced Guaranty: Bank of America, N.A., as Administrative Agent By: Name: Title:


 
169525926v6 EXHIBIT H-1 FORM OF U.S. TAX COMPLIANCE CERTIFICATE (For Foreign Lenders That Are Not Partnerships For U.S. Federal Income Tax Purposes) Reference is hereby made to the Fifth Amended and Restated Liquidity Credit Agreement, dated as of April 12, 2024 (as amended, restated, extended, supplemented or otherwise modified in writing from time to time, the “Agreement;” the terms defined therein being used herein as therein defined), among Tanger Properties Limited Partnership (the “Borrower”), the Lenders from time to time party thereto, and Bank of America, N.A., as Administrative Agent. Pursuant to the provisions of Section 3.01(e) of the Credit Agreement, the undersigned hereby certifies that (i) it is the sole record and beneficial owner of the Loan(s) (as well as any Note(s) evidencing such Loan(s)) in respect of which it is providing this certificate, (ii) it is not a bank within the meaning of Section 881(c)(3)(A) of the Code, (iii) it is not a ten percent shareholder of the Borrower within the meaning of Section 871(h)(3)(B) of the Code and (iv) it is not a controlled foreign corporation related to the Borrower as described in Section 881(c)(3)(C) of the Code. The undersigned has furnished the Administrative Agent and the Borrower with a certificate of its non-U.S. Person status on IRS Form W-8BENE (or W-8BEN, as applicable). By executing this certificate, the undersigned agrees that (1) if the information provided on this certificate changes, the undersigned shall promptly so inform the Borrower and the Administrative Agent, and (2) the undersigned shall have at all times furnished the Borrower and the Administrative Agent with a properly completed and currently effective certificate in either the calendar year in which each payment is to be made to the undersigned, or in either of the two calendar years preceding such payments. Unless otherwise defined herein, terms defined in the Credit Agreement and used herein shall have the meanings given to them in the Credit Agreement. [NAME OF LENDER] By: _______________________ Name: ________________________ Title: ________________________ Date: ________ __, 20[ ]


 
169525926v6 EXHIBIT H-2 FORM OF U.S. TAX COMPLIANCE CERTIFICATE (For Foreign Participants That Are Not Partnerships For U.S. Federal Income Tax Purposes) Reference is hereby made to the Fifth Amended and Restated Liquidity Credit Agreement, dated as of April 12, 2024 (as amended, restated, extended, supplemented or otherwise modified in writing from time to time, the “Agreement;” the terms defined therein being used herein as therein defined), among Tanger Properties Limited Partnership (the “Borrower”), the Lenders from time to time party thereto, and Bank of America, N.A., as Administrative Agent. Pursuant to the provisions of Section 3.01(e) of the Credit Agreement, the undersigned hereby certifies that (i) it is the sole record and beneficial owner of the participation in respect of which it is providing this certificate, (ii) it is not a bank within the meaning of Section 881(c)(3)(A) of the Code, (iii) it is not a ten percent shareholder of the Borrower within the meaning of Section 871(h)(3)(B) of the Code, and (iv) it is not a controlled foreign corporation related to the Borrower as described in Section 881(c)(3)(C) of the Code. The undersigned has furnished its participating Lender with a certificate of its non-U.S. Person status on IRS Form W-8BENE (or W-8BEN, as applicable). By executing this certificate, the undersigned agrees that (1) if the information provided on this certificate changes, the undersigned shall promptly so inform such Lender in writing, and (2) the undersigned shall have at all times furnished such Lender with a properly completed and currently effective certificate in either the calendar year in which each payment is to be made to the undersigned, or in either of the two calendar years preceding such payments. Unless otherwise defined herein, terms defined in the Credit Agreement and used herein shall have the meanings given to them in the Credit Agreement. [NAME OF PARTICIPANT] By: _______________________ Name: ________________________ Title: ________________________ Date: ________ __, 20[ ]


 
169525926v6 EXHIBIT H-3 FORM OF U.S. TAX COMPLIANCE CERTIFICATE (For Foreign Participants That Are Partnerships For U.S. Federal Income Tax Purposes) Reference is hereby made to the Fifth Amended and Restated Liquidity Credit Agreement, dated as of April 12, 2024 (as amended, restated, extended, supplemented or otherwise modified in writing from time to time, the “Agreement;” the terms defined therein being used herein as therein defined), among Tanger Properties Limited Partnership (the “Borrower”), the Lenders from time to time party thereto, and Bank of America, N.A., as Administrative Agent. Pursuant to the provisions of Section 3.01(e) of the Credit Agreement, the undersigned hereby certifies that (i) it is the sole record owner of the participation in respect of which it is providing this certificate, (ii) its direct or indirect partners/members are the sole beneficial owners of such participation, (iii) with respect to such participation, neither the undersigned nor any of its direct or indirect partners/members is a bank extending credit pursuant to a loan agreement entered into in the ordinary course of its trade or business within the meaning of Section 881(c)(3)(A) of the Code, (iv) none of its direct or indirect partners/members is a ten percent shareholder of the Borrower within the meaning of Section 871(h)(3)(B) of the Code and (v) none of its direct or indirect partners/members is a controlled foreign corporation related to the Borrower as described in Section 881(c)(3)(C) of the Code. The undersigned has furnished its participating Lender with IRS Form W-8IMY accompanied by one of the following forms from each of its partners/members that is claiming the portfolio interest exemption: (i) an IRS Form W-8BENE (or W-8BEN, as applicable) or (ii) an IRS Form W-8IMY accompanied by an IRS Form W-8BENE (or W-8BEN, as applicable) from each of such partner’s/member’s beneficial owners that is claiming the portfolio interest exemption. By executing this certificate, the undersigned agrees that (1) if the information provided on this certificate changes, the undersigned shall promptly so inform such Lender and (2) the undersigned shall have at all times furnished such Lender with a properly completed and currently effective certificate in either the calendar year in which each payment is to be made to the undersigned, or in either of the two calendar years preceding such payments. Unless otherwise defined herein, terms defined in the Credit Agreement and used herein shall have the meanings given to them in the Credit Agreement. [NAME OF PARTICIPANT] By: _______________________ Name: ________________________ Title: ________________________ Date: _______________, 20[ ]


 
169525926v6 EXHIBIT H-4 FORM OF U.S. TAX COMPLIANCE CERTIFICATE (For Foreign Lenders That Are Partnerships For U.S. Federal Income Tax Purposes) Reference is hereby made to the Fifth Amended and Restated Liquidity Credit Agreement, dated as of April 12, 2024 (as amended, restated, extended, supplemented or otherwise modified in writing from time to time, the “Agreement;” the terms defined therein being used herein as therein defined), among Tanger Properties Limited Partnership (the “Borrower”), the Lenders from time to time party thereto, and Bank of America, N.A., as Administrative Agent. Pursuant to the provisions of Section 3.01(e) of the Credit Agreement, the undersigned hereby certifies that (i) it is the sole record owner of the Loan(s) (as well as any Note(s) evidencing such Loan(s)) in respect of which it is providing this certificate, (ii) its direct or indirect partners/members are the sole beneficial owners of such Loan(s) (as well as any Note(s) evidencing such Loan(s)), (iii) with respect to the extension of credit pursuant to this Credit Agreement or any other Loan Document, neither the undersigned nor any of its direct or indirect partners/members is a bank extending credit pursuant to a loan agreement entered into in the ordinary course of its trade or business within the meaning of Section 881(c)(3)(A) of the Code, (iv) none of its direct or indirect partners/members is a ten percent shareholder of the Borrower within the meaning of Section 871(h)(3)(B) of the Code and (v) none of its direct or indirect partners/members is a controlled foreign corporation related to the Borrower as described in Section 881(c)(3)(C) of the Code. The undersigned has furnished the Administrative Agent and the Borrower with IRS Form W-8IMY accompanied by one of the following forms from each of its partners/members that is claiming the portfolio interest exemption: (i) an IRS Form W-8BENE (or W-8BEN, as applicable) or (ii) an IRS Form W-8IMY accompanied by an IRS Form W-8BENE (or W-8BEN, as applicable) from each of such partner’s/member’s beneficial owners that is claiming the portfolio interest exemption. By executing this certificate, the undersigned agrees that (1) if the information provided on this certificate changes, the undersigned shall promptly so inform the Borrower and the Administrative Agent, and (2) the undersigned shall have at all times furnished the Borrower and the Administrative Agent with a properly completed and currently effective certificate in either the calendar year in which each payment is to be made to the undersigned, or in either of the two calendar years preceding such payments. Unless otherwise defined herein, terms defined in the Credit Agreement and used herein shall have the meanings given to them in the Credit Agreement. [NAME OF LENDER] By: Name: ________________________ Title: _________________________ Date: _______________, 20[ ]


 
locpressrelease
file:///C/Users/apjohansson/Desktop/4140207-1-1_Proof.pdf.html[4/15/2024 5:17:14 AM] Tanger Announces the Amendment, Increase and Extension of its Unsecured Lines of Credit Capacity Increased by $100 Million to $620 Million Maturity Extended to April 2029 including Extension Options Pricing Grid Improved GREENSBORO, N.C, April 15, 2024 /PRNewswire/ -- Tanger Inc. (NYSE:SKT), a leading owner and operator of outlet and open-air retail shopping destinations, today announced that its operating partnership, Tanger Properties Limited Partnership, has amended and extended its unsecured lines of credit. "We appreciate the continued strong support from our lender group," commented Stephen Yalof, President and Chief Executive Officer. "With the strength of Tanger's balance sheet and operating platform, the company is well positioned to continue to execute on our long- term growth strategies and unlock additional value for all of our stakeholders." "Following the addition of three new centers in 2023, this amendment increases Tanger's liquidity, reduces interest expense and extends our maturity, enhancing flexibility to pursue our growth initiatives while maintaining a strong credit profile," added Michael Bilerman, Executive Vice President, Chief Financial Officer and Chief Investment Officer. Key elements of the amendments are as follows: Extended maturity to April 2028, with options to extend for an additional year to April 2029 Borrowing capacity increased to $620 million from $520 million, with accordion feature to increase total borrowing capacity to $1.2 billion, subject to lender approval Revised ratings-based pricing grid, including a reduction of 15 basis points at Tanger's current level All financial covenant thresholds were maintained BofA Securities, Inc.; Wells Fargo Securities, LLC; Truist Securities, Inc.; TD Bank, N.A. and U.S. Bank National Association serve as Joint Bookrunners and Joint Lead Arrangers. Regions Bank serves as Documentation Agent. The Bank of Nova Scotia and First Citizens Bank & Trust also participate in the facility. About Tanger® Tanger Inc. (NYSE: SKT) is a leading owner and operator of outlet and open-air retail shopping destinations, with over 43 years of expertise in the retail and outlet shopping industries. Tanger's portfolio of 38 outlet centers, one adjacent managed center and one open-air lifestyle center comprises over 15 million square feet well positioned across tourist destinations and vibrant markets in 20 U.S. states and Canada. A publicly traded REIT since 1993, Tanger continues to innovate the retail experience for its shoppers with over 3,000 stores operated by more than 700 different brand name companies. For more information on Tanger, call 1-800-4TANGER or visit the Company's


 
website at www.tanger.com. Forward-Looking Statements Certain statements made in this press release contain forward-looking statements within the meaning of Section 27A of the Securities Act of 1933, as amended, and Section 21E of the Securities Exchange Act of 1934, as amended. The Company intends such forward-looking statements to be covered by the safe harbor provisions for forward-looking statements contained in the Private Securities Litigation Reform Act of 1995 and includes this statement for purposes of complying with these safe harbor provisions. Forward-looking statements, which are based on certain assumptions and describe the Company's future plans, strategies, beliefs and expectations, are generally identifiable by use of the words "anticipate," "believe," "can," "continue," "could," "designed," "estimate," "expect," "forecast," "goal," "intend," "may," "might," "plan," "possible," "potential," "predict," "project," "should," "target," "will," "would," or similar expressions, and include the Company's expectations regarding future financial results and assumptions underlying that guidance, long-term growth, uses of and efforts to reduce costs of capital, liquidity, and cash flows. You should exercise caution in relying on forward-looking statements since they involve known and unknown risks, uncertainties and other important factors which are, in some cases, beyond our control and which could materially affect our actual results, performance or achievements. Other important factors which may cause actual results to differ materially from current expectations include, but are not limited to, the important factors set forth under Item 1A - "Risk Factors" in the Company's and the Operating Partnership's most recently filed Annual Report on Form 10-K, as may be updated or supplemented in the Company's Quarterly Reports on Form 10-Q and the Company's other filings with the Securities and Exchange Commission ("SEC"). Accordingly, there is no assurance that the Company's expectations will be realized. The Company disclaims any intention or obligation to update the forward-looking statements, whether as a result of new information, future events or otherwise. You are advised to refer to any further disclosures the Company makes or related subjects in the Company's Current Reports on Form 8-K that the Company files with the SEC. Investor Contact Information Doug McDonald SVP, Treasurer and Investments T: (336) 856-6066 TangerIR@tanger.com