UNITED STATES
SECURITIES AND EXCHANGE COMMISSION
Washington, D.C. 20549

 

SCHEDULE 14A

 

 Proxy Statement Pursuant to Section 14(a) of
the Securities Exchange Act of 1934 (Amendment No.             )

 

Filed by the Registrant x

 

Filed by a Party other than the Registrant ¨

 

Check the appropriate box:

 

¨ Preliminary Proxy Statement
   
¨ Confidential, for Use of the Commission Only (as permitted by Rule 14a-6(e)(2))
   
¨ Definitive Proxy Statement
   
x Definitive Additional Materials
   
¨ Soliciting Material under §240.14a-12

 

Coterra Energy Inc.

(Name of Registrant as Specified In Its Charter)

 

 

(Name of Person(s) Filing Proxy Statement, if other than the Registrant)

 

Payment of Filing Fee (Check the appropriate box):

 

x No fee required.
   
¨ Fee paid previously with preliminary materials.
   
¨ Fee computed on table in exhibit required by Item 25(b) per Exchange Act Rules 14a6(i)(1) and 0-11

 

 

 

 

GRAPHIC

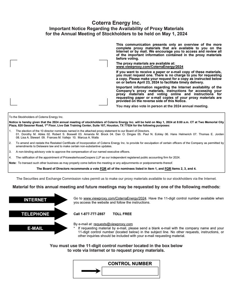
Coterra Energy Inc. Important Notice Regarding the Availability of Proxy Materials for the Annual Meeting of Stockholders to be held on May 1, 2024 This communication presents only an overview of the more complete proxy materials that are available to you on the Internet or by mail. We encourage you to access and review all of the important information contained in the proxy materials before voting. The proxy materials are available at: www.viewproxy.com/CoterraEnergy/2024 If you want to receive a paper or e-mail copy of these materials, you must request one. There is no charge to you for requesting a copy. Please make your request for a copy as instructed below on or before April 23, 2024 to facilitate timely delivery. Important information regarding the Internet availability of the Company’s proxy materials, instructions for accessing your proxy materials and voting online and instructions for requesting paper or e-mail copies of your proxy materials are provided on the reverse side of this Notice. You may also vote in person at the 2024 annual meeting. To the Stockholders of Coterra Energy Inc. Notice is hereby given that the 2024 annual meeting of stockholders of Coterra Energy Inc. will be held on May 1, 2024 at 8:00 a.m. CT at Two Memorial City Plaza, 820 Gessner Road, 1st Floor, Live Oak Training Center, Suite 107, Houston, TX 77024 for the following purposes: 1. The election of the 10 director nominees named in the attached proxy statement to our Board of Directors. 01. Dorothy M. Ables 02. Robert S. Boswell 03. Amanda M. Brock 04. Dan O. Dinges 05. Paul N. Eckley 06. Hans Helmerich 07. Thomas E. Jorden 08. Lisa A. Stewart 09. Frances M. Vallejo 10. Marcus A. Watts 2. To amend and restate the Restated Certificate of Incorporation of Coterra Energy Inc. to provide for exculpation of certain officers of the Company as permitted by amendments to Delaware law and to make certain non-substantive updates. 3. A non-binding advisory vote to approve the compensation of our named executive officers. 4. The ratification of the appointment of PricewaterhouseCoopers LLP as our independent registered public accounting firm for 2024. Note: To transact such other business as may properly come before the meeting or any adjournments or postponements thereof. The Board of Directors recommends a vote FOR all of the nominees listed in Item 1, and FOR Items 2, 3, and 4. The Securities and Exchange Commission rules permit us to make our proxy materials available to our stockholders via the Internet. Material for this annual meeting and future meetings may be requested by one of the following methods: Go to www.viewproxy.com/CoterraEnergy/2024. Have the 11-digit control number available when you access the website and follow the instructions. Call 1-877-777-2857 TOLL FREE By e-mail at: requests@viewproxy.com * If requesting material by e-mail, please send a blank e-mail with the company name and your 11-digit control number (located below) in the subject line. No other requests, instructions, or other inquiries should be included with your e-mail requesting material. You must use the 11-digit control number located in the box below to vote via Internet or to request proxy materials. CONTROL NUMBER INTERNET TELEPHONE E-MAIL

 

 

GRAPHIC

Coterra Energy Inc. Three Memorial City Plaza 840 Gessner Road, Suite 1400 Houston, TX 77024 PROXY MATERIALS AVAILABLE TO VIEW OR RECEIVE The following proxy materials are available to you to review: 2024 Proxy Statement and 2023 Annual Report including Form 10-K for year ended December 31, 2023 HOW TO ACCESS YOUR PROXY MATERIALS View Online: Have your 11-digit control number in hand and visit: http://www.viewproxy.com/CoterraEnergy/2024 Request and Receive a Paper or E-Mail Copy: By Internet: http://www.viewproxy.com/CoterraEnergy/2024 By Telephone: 1-877-777-2857 TOLL FREE By E-Mail: requests@viewproxy.com. Please include “Coterra Energy Inc.” and your 11-digit control number in the subject line; do not include any other text or message in the e-mail. VOTING METHODS Via Internet: Go to http://www.AALVote.com/CTRA. Have your 11-digit control number available and follow the prompts. Your electronic vote authorizes the named proxies to vote your shares in the same manner as if you marked, signed, dated, and returned a proxy card. Via Mail: Request a paper copy of the materials which includes a proxy card. Follow the instructions on the proxy card for voting by mail. Via Telephone: Request a paper copy of the materials, which includes a proxy card. Follow the instructions on the proxy card for voting by telephone. In Person: You may vote your shares in person at the 2024 annual meeting of stockholders. Follow the instructions in the proxy statement for voting in person.