axgn-20240307
0000805928false00008059282024-03-072024-03-07

UNITED STATES
SECURITIES AND EXCHANGE COMMISSION
Washington, D.C. 20549
Form 8-K
Current Report
Pursuant to Section 13 or 15(d) of the Securities Exchange Act of 1934
Date of Report (Date of earliest event reported): March 7, 2024
AXOGEN, INC.
(Exact Name of Registrant as Specified in Charter)


Minnesota
(State or Other Jurisdiction of
Incorporation or Organization)
001-36046
(Commission File Number)

41-1301878
(I.R.S. Employer Identification No.)

13631 Progress Boulevard, Suite 400 Alachua, Florida
(Address of principal executive offices)

32615
(Zip Code)
(386) 462-6800
(Registrant's telephone number, including area code)

N/A
(Former Name or Former Address, if Changed Since Last Report)

Check the appropriate box if the Form 8-K filing is intended to simultaneously satisfy the filing obligation of the registrant under any of the following provisions (see General Instruction A.2. below):
Written communications pursuant to Rule 425 under the Securities Act (17 CFR 230.425)
Soliciting material pursuant to Rule 14a-12 under the Exchange Act (17 CFR 240.14a-12)
Pre-commencement communications pursuant to Rule 14d-2(b) under the Exchange Act (17 CFR 240.14d-2(b))
Pre-commencement communications pursuant to Rule 13e-4(c) under the Exchange Act (17 CFR 240.13e- 4(c))
Securities registered pursuant to Section 12(b) of the Act:
Title of each classTrading Symbol(s)Name of exchange on which registered
Common Stock, $0.01 par valueAXGNThe Nasdaq Stock Market

Indicate by check mark whether the registrant is an emerging growth company as defined in Rule 405 of the Securities Act of 1933 (§230.405 of this chapter) or Rule 12b-2 of the Securities Exchange Act of 1934 (§240.12b-2 of this chapter).
Emerging growth company

If an emerging growth company, indicate by check mark if the registrant has elected not to use the extended transition period for complying with any new or revised financial accounting standards provided pursuant to Section 13(a) of the Exchange Act.




Item 5.02 Departure of Directors or Certain Officers; Election of Directors; Appointment of Certain Officers; Compensatory Arrangements of Certain Directors.
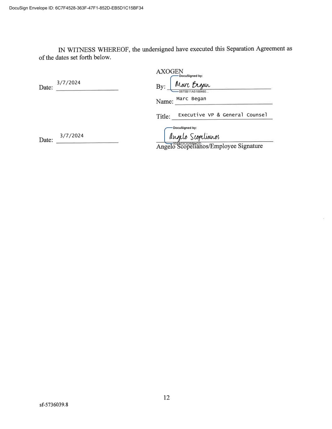
Angelo Scopelianos notified Axogen, Inc. (the “Company”) of his intention to resign as the Company’s Chief Research and Development Officer no later than March 31, 2024 (the “Separation Date”). Mr. Scopelianos will provide transition services as a consultant for a period commencing on the Separation Date and ending on December 31, 2024 (the “Consulting Period). The Consulting Period may be extended further upon mutual agreement of the Company and Mr. Scopelianos and may be terminated by the Company for cause. In connection with his provision of consulting services for up to 10 hours of work per week, Mr. Scopelianos will be eligible to receive a monthly fee of $9,079.16 per month. If Mr. Scopelianos provides consulting services through October 1, 2024, he will also be entitled to a one-time additional payment of $75,000.
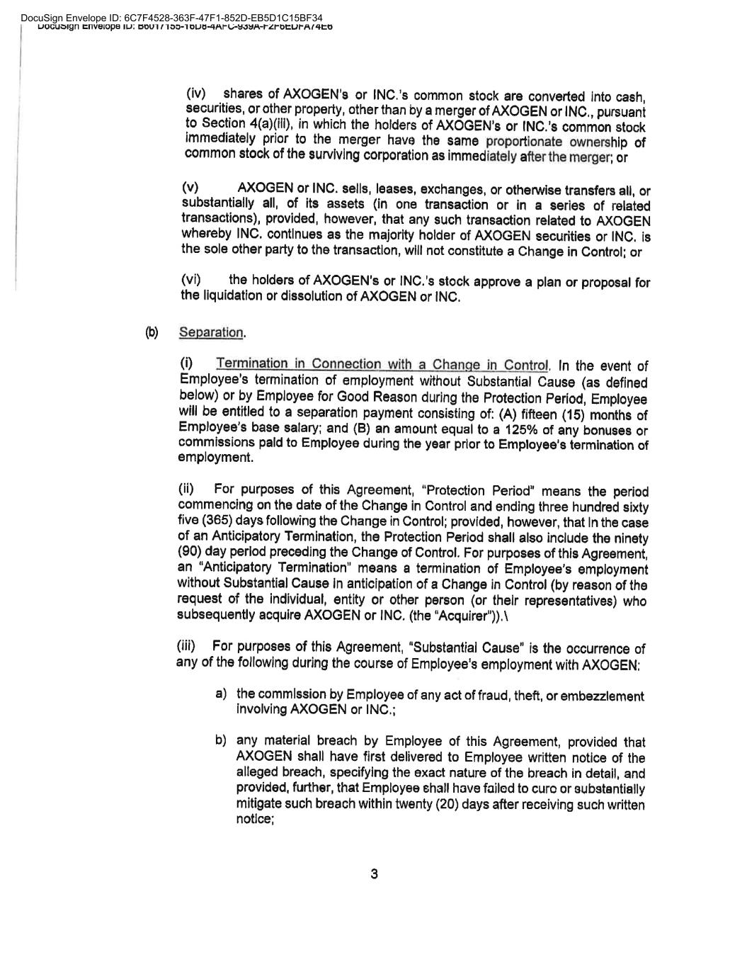
Pursuant to the terms of the Transition and Separation Agreement, dated March 7, 2024, between Axogen Corporation, a Delaware corporation and wholly owned subsidiary of the Company and Mr. Scopelianos (the “Transition Agreement”), Mr. Scopelianos will be entitled to his 2023 bonus amount of $228,385.26, which will be paid out on March 15, 2024. With regards to outstanding unvested equity awards held by Mr. Scopelianos, (i) unvested stock options will continue to vest through the end of the Consulting Period, (ii) unvested restricted stock units will cease vesting as of the Separation Date, and (iii) any vested performance stock units (“PSUs”) will settle based on the Company’s actual achievement of the applicable goals as determined by the Company’s Board of Directors. and any unvested PSUs will cease vesting as of the Separation Date.
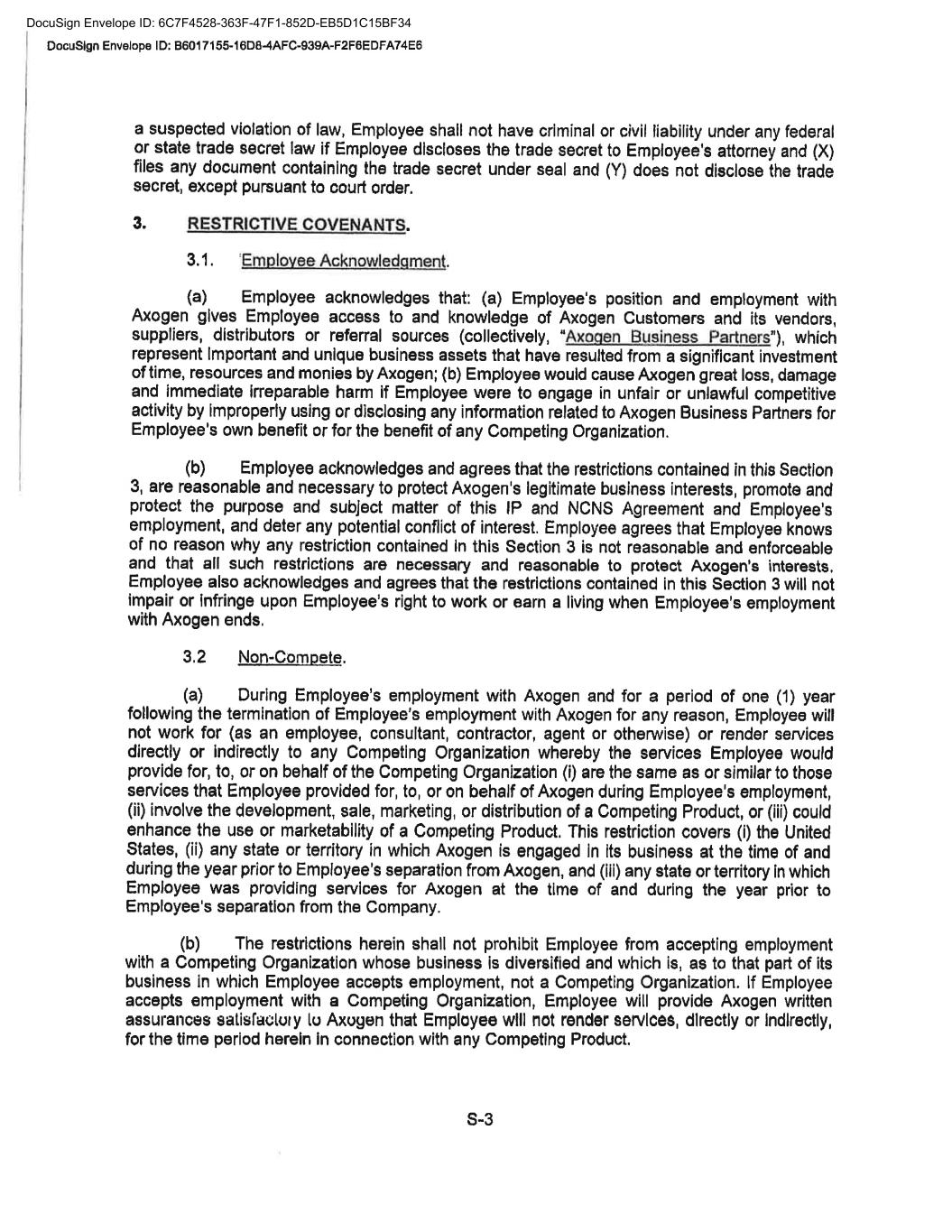
As part of the transition, Mr. Scopelianos is subject to ongoing non-competition provision and other restrictive covenant obligations through the Consulting Period.
Mr. Scopelianos’ product development responsibilities will be assumed by Ms. Stacy Arnold, Vice President of Product Development and Clinical Research, who is not an executive officer but is a member of the executive team and reports directly to the Company’s CEO, Karen Zaderej.
The foregoing description of the Transition Agreement is a summary and is qualified in its entirety by the full text of the Transition Agreement, which is attached hereto as Exhibit 10.1 and incorporated by reference herein.
Item 9.01. Financial Statements and Exhibits

(d) ExhibitsSee the Exhibit index below, which is incorporated herein by reference.
Exhibit No.
Description
10.1
104
Cover Page Interactive Data File (embedded within the Inline XBRL document)



SIGNATURES
Pursuant to the requirements of the Exchange Act, the registrant has duly caused this report to be signed on its behalf by the undersigned hereunto duly authorized.
AXOGEN, INC.
Dated: March 7, 2024By:Marc Began
Marc Began
Executive Vice President, General Counsel and Chief Compliance Officer

transitionandseparationa
DocuSign Envelope ID: 6C7F4528-363F-47F1-852D-EB5D1C15BF34


 
DocuSign Envelope ID: 6C7F4528-363F-47F1-852D-EB5D1C15BF34


 
DocuSign Envelope ID: 6C7F4528-363F-47F1-852D-EB5D1C15BF34


 
DocuSign Envelope ID: 6C7F4528-363F-47F1-852D-EB5D1C15BF34


 
DocuSign Envelope ID: 6C7F4528-363F-47F1-852D-EB5D1C15BF34


 
DocuSign Envelope ID: 6C7F4528-363F-47F1-852D-EB5D1C15BF34


 
DocuSign Envelope ID: 6C7F4528-363F-47F1-852D-EB5D1C15BF34


 
DocuSign Envelope ID: 6C7F4528-363F-47F1-852D-EB5D1C15BF34


 
DocuSign Envelope ID: 6C7F4528-363F-47F1-852D-EB5D1C15BF34


 
DocuSign Envelope ID: 6C7F4528-363F-47F1-852D-EB5D1C15BF34


 
DocuSign Envelope ID: 6C7F4528-363F-47F1-852D-EB5D1C15BF34


 
DocuSign Envelope ID: 6C7F4528-363F-47F1-852D-EB5D1C15BF34 3/7/2024 Executive VP & General Counsel Marc Began 3/7/2024


 
DocuSign Envelope ID: 6C7F4528-363F-47F1-852D-EB5D1C15BF34


 
DocuSign Envelope ID: 6C7F4528-363F-47F1-852D-EB5D1C15BF34


 
DocuSign Envelope ID: 6C7F4528-363F-47F1-852D-EB5D1C15BF34


 
DocuSign Envelope ID: 6C7F4528-363F-47F1-852D-EB5D1C15BF34


 
DocuSign Envelope ID: 6C7F4528-363F-47F1-852D-EB5D1C15BF34


 
DocuSign Envelope ID: 6C7F4528-363F-47F1-852D-EB5D1C15BF34


 
DocuSign Envelope ID: 6C7F4528-363F-47F1-852D-EB5D1C15BF34


 
DocuSign Envelope ID: 6C7F4528-363F-47F1-852D-EB5D1C15BF34


 
DocuSign Envelope ID: 6C7F4528-363F-47F1-852D-EB5D1C15BF34


 
DocuSign Envelope ID: 6C7F4528-363F-47F1-852D-EB5D1C15BF34


 
DocuSign Envelope ID: 6C7F4528-363F-47F1-852D-EB5D1C15BF34


 
DocuSign Envelope ID: 6C7F4528-363F-47F1-852D-EB5D1C15BF34


 
DocuSign Envelope ID: 6C7F4528-363F-47F1-852D-EB5D1C15BF34


 
DocuSign Envelope ID: 6C7F4528-363F-47F1-852D-EB5D1C15BF34


 
DocuSign Envelope ID: 6C7F4528-363F-47F1-852D-EB5D1C15BF34


 
DocuSign Envelope ID: 6C7F4528-363F-47F1-852D-EB5D1C15BF34


 
DocuSign Envelope ID: 6C7F4528-363F-47F1-852D-EB5D1C15BF34


 
DocuSign Envelope ID: 6C7F4528-363F-47F1-852D-EB5D1C15BF34


 
DocuSign Envelope ID: 6C7F4528-363F-47F1-852D-EB5D1C15BF34


 
DocuSign Envelope ID: 6C7F4528-363F-47F1-852D-EB5D1C15BF34


 
DocuSign Envelope ID: 6C7F4528-363F-47F1-852D-EB5D1C15BF34


 
DocuSign Envelope ID: 6C7F4528-363F-47F1-852D-EB5D1C15BF34


 
DocuSign Envelope ID: 6C7F4528-363F-47F1-852D-EB5D1C15BF34


 
DocuSign Envelope ID: 6C7F4528-363F-47F1-852D-EB5D1C15BF34


 
DocuSign Envelope ID: 6C7F4528-363F-47F1-852D-EB5D1C15BF34


 
DocuSign Envelope ID: 6C7F4528-363F-47F1-852D-EB5D1C15BF34


 
DocuSign Envelope ID: 6C7F4528-363F-47F1-852D-EB5D1C15BF34


 
DocuSign Envelope ID: 6C7F4528-363F-47F1-852D-EB5D1C15BF34


 
DocuSign Envelope ID: 6C7F4528-363F-47F1-852D-EB5D1C15BF34


 
DocuSign Envelope ID: 6C7F4528-363F-47F1-852D-EB5D1C15BF34


 
DocuSign Envelope ID: 6C7F4528-363F-47F1-852D-EB5D1C15BF34


 
DocuSign Envelope ID: 6C7F4528-363F-47F1-852D-EB5D1C15BF34


 
DocuSign Envelope ID: 6C7F4528-363F-47F1-852D-EB5D1C15BF34


 
DocuSign Envelope ID: 6C7F4528-363F-47F1-852D-EB5D1C15BF34


 
DocuSign Envelope ID: 6C7F4528-363F-47F1-852D-EB5D1C15BF34


 
DocuSign Envelope ID: 6C7F4528-363F-47F1-852D-EB5D1C15BF34


 
DocuSign Envelope ID: 6C7F4528-363F-47F1-852D-EB5D1C15BF34