10-K
FY0001260990falsehttp://fasb.org/us-gaap/2023#Assetshttp://fasb.org/us-gaap/2023#AssetsJuly 31 20230001260990us-gaap:GeneralAndAdministrativeExpenseMember2022-01-012022-12-310001260990onct:RepricedStockOptionsMember2023-10-310001260990onct:TwoThousandFifteenPlanMember2015-07-012015-07-310001260990us-gaap:EmployeeStockOptionMember2022-01-012022-12-310001260990us-gaap:RestrictedStockUnitsRSUMember2022-01-012022-12-310001260990us-gaap:USGovernmentAgenciesDebtSecuritiesMemberus-gaap:FairValueInputsLevel3Memberus-gaap:FairValueMeasurementsRecurringMember2023-12-310001260990us-gaap:StateAndLocalJurisdictionMember2023-12-310001260990us-gaap:ShortTermInvestmentsMemberus-gaap:USGovernmentAgenciesDebtSecuritiesMember2023-01-012023-12-310001260990us-gaap:ShortTermInvestmentsMemberus-gaap:CommercialPaperMember2022-01-012022-12-310001260990us-gaap:FairValueInputsLevel2Memberus-gaap:FairValueMeasurementsRecurringMemberus-gaap:USTreasurySecuritiesMember2022-12-310001260990us-gaap:StateAndLocalJurisdictionMember2023-01-012023-12-310001260990us-gaap:FairValueMeasurementsRecurringMemberus-gaap:USTreasurySecuritiesMember2022-12-310001260990us-gaap:AccumulatedOtherComprehensiveIncomeMember2022-01-012022-12-3100012609902024-03-010001260990us-gaap:FairValueInputsLevel3Memberus-gaap:USTreasurySecuritiesMemberus-gaap:FairValueMeasurementsRecurringMember2023-12-310001260990onct:EquityIncentivePlanMember2022-12-310001260990stpr:CAonct:OfficeSpaceMember2023-05-012023-05-310001260990us-gaap:FairValueInputsLevel2Memberus-gaap:FairValueMeasurementsRecurringMember2022-12-310001260990onct:ShanghaiPharmaceuticalUnitedStatesOfAmericaIncMember2022-12-310001260990onct:EquityIncentivePlanMember2023-01-012023-12-310001260990onct:TwoThousandNineteenAndTwoThousandFifteenPlanMember2022-01-012022-12-310001260990us-gaap:ShortTermInvestmentsMemberus-gaap:USGovernmentAgenciesDebtSecuritiesMember2022-12-310001260990srt:MaximumMemberus-gaap:USTreasurySecuritiesMemberus-gaap:ShortTermInvestmentsMember2022-01-012022-12-310001260990us-gaap:RelatedPartyMember2022-12-310001260990us-gaap:ShortTermInvestmentsMemberus-gaap:USTreasurySecuritiesMember2023-12-310001260990us-gaap:ShortTermInvestmentsMember2023-01-012023-12-310001260990us-gaap:FairValueInputsLevel1Memberus-gaap:FairValueMeasurementsRecurringMemberus-gaap:CommercialPaperMember2023-12-310001260990stpr:CAonct:OfficeSpaceMember2022-04-012022-04-300001260990us-gaap:FairValueInputsLevel3Memberus-gaap:FairValueMeasurementsRecurringMember2023-12-310001260990stpr:CAonct:OfficeSpaceMember2022-12-310001260990srt:MaximumMemberonct:ReagentsMember2016-05-310001260990stpr:CAonct:OfficeSpaceMember2022-01-012022-12-310001260990us-gaap:USGovernmentAgenciesDebtSecuritiesMemberus-gaap:FairValueInputsLevel2Memberus-gaap:FairValueMeasurementsRecurringMember2023-12-310001260990onct:ReagentsMember2016-05-012016-05-3100012609902022-12-310001260990onct:ReagentsMember2023-01-012023-12-310001260990us-gaap:ResearchAndDevelopmentExpenseMember2022-01-012022-12-310001260990onct:CommonStockWarrantsMember2023-01-012023-12-310001260990us-gaap:RetainedEarningsMember2021-12-310001260990onct:ShanghaiPharmaceuticalUnitedStatesOfAmericaIncMember2023-12-310001260990us-gaap:ShortTermInvestmentsMember2022-12-310001260990us-gaap:ResearchAndDevelopmentExpenseMember2023-01-012023-12-310001260990stpr:CAonct:OfficeSpaceMember2023-01-012023-12-310001260990us-gaap:FairValueInputsLevel1Memberus-gaap:USTreasurySecuritiesMemberus-gaap:FairValueMeasurementsRecurringMember2022-12-310001260990us-gaap:FairValueMeasurementsRecurringMemberus-gaap:CommercialPaperMember2023-12-310001260990onct:TwoThousandNineteenIncentiveAwardPlanAndInducementPlanMember2021-05-250001260990srt:MaximumMemberus-gaap:ShortTermInvestmentsMemberus-gaap:CommercialPaperMember2023-01-012023-12-310001260990us-gaap:FairValueInputsLevel1Memberus-gaap:FairValueMeasurementsRecurringMemberus-gaap:CommercialPaperMember2022-12-310001260990us-gaap:RetainedEarningsMember2023-12-310001260990us-gaap:AdditionalPaidInCapitalMember2022-01-012022-12-310001260990onct:NationalInstituteOfHealthGrantAwardsMember2022-12-310001260990us-gaap:ShortTermInvestmentsMemberus-gaap:USGovernmentAgenciesDebtSecuritiesMember2023-12-310001260990us-gaap:CommonStockMember2021-12-310001260990us-gaap:RelatedPartyMember2023-12-310001260990us-gaap:CommonStockMember2022-12-310001260990onct:InducementPlanAndTwoThousandNineteenIncentiveAwardPlanMember2022-12-310001260990onct:AtTheMarketEquityOfferingProgramMemberus-gaap:CommonStockMember2023-01-012023-12-310001260990onct:ReagentsMemberonct:NationalInstituteOfHealthGrantAwardsMemberonct:ResearchAgreementTwoThousandTwentyTwoMember2023-01-012023-12-310001260990onct:NationalInstituteOfHealthGrantAwardsMember2023-01-012023-12-310001260990onct:RepricedStockOptionsMember2023-10-012023-10-310001260990us-gaap:ShortTermInvestmentsMembersrt:MaximumMemberus-gaap:USGovernmentAgenciesDebtSecuritiesMember2022-01-012022-12-310001260990us-gaap:ShortTermInvestmentsMemberus-gaap:CommercialPaperMember2022-12-310001260990us-gaap:FairValueInputsLevel3Memberus-gaap:FairValueMeasurementsRecurringMember2022-12-310001260990us-gaap:AssetsMember2023-12-310001260990us-gaap:RetainedEarningsMember2022-01-012022-12-3100012609902021-01-012021-12-310001260990onct:TwoThousandNineteenAndTwoThousandFifteenPlanMember2023-01-012023-12-310001260990us-gaap:CommonStockMember2023-12-310001260990us-gaap:FairValueInputsLevel3Memberus-gaap:FairValueMeasurementsRecurringMemberus-gaap:CommercialPaperMember2023-12-310001260990onct:ReagentsMemberonct:NationalInstituteOfHealthGrantAwardsMemberonct:ResearchAgreementTwoThousandTwentyTwoMember2022-01-012022-12-310001260990us-gaap:RestrictedStockUnitsRSUMember2023-01-012023-12-310001260990onct:EquityIncentivePlanMember2023-12-310001260990onct:CommonStockWarrantsMember2022-01-012022-12-310001260990us-gaap:ShortTermInvestmentsMemberus-gaap:USGovernmentAgenciesDebtSecuritiesMember2022-01-012022-12-310001260990us-gaap:SubsequentEventMember2024-01-082024-01-080001260990stpr:CAonct:OfficeSpaceMember2023-12-310001260990onct:ReagentsMemberonct:NationalInstituteOfHealthGrantAwardsMemberonct:ResearchAgreementTwoThousandTwentyFourMember2022-01-012022-01-310001260990us-gaap:FairValueInputsLevel2Memberus-gaap:FairValueMeasurementsRecurringMemberus-gaap:CommercialPaperMember2023-12-310001260990us-gaap:DomesticCountryMember2023-12-310001260990us-gaap:ShortTermInvestmentsMemberus-gaap:CommercialPaperMember2023-01-012023-12-310001260990onct:ShanghaiPharmaceuticalUnitedStatesOfAmericaIncMember2023-01-012023-12-310001260990us-gaap:AdditionalPaidInCapitalMember2023-01-012023-12-310001260990us-gaap:USTreasurySecuritiesMemberus-gaap:ShortTermInvestmentsMember2023-01-012023-12-310001260990us-gaap:AssetsMember2022-12-310001260990us-gaap:RestrictedStockUnitsRSUMember2023-12-310001260990us-gaap:AdditionalPaidInCapitalMember2023-12-310001260990onct:AtTheMarketEquityOfferingProgramMemberus-gaap:CommonStockMember2021-12-012021-12-310001260990us-gaap:AccumulatedOtherComprehensiveIncomeMember2023-01-012023-12-310001260990us-gaap:FairValueMeasurementsRecurringMember2022-12-310001260990us-gaap:GeneralAndAdministrativeExpenseMember2023-01-012023-12-310001260990onct:ReagentsMember2022-01-012022-12-3100012609902023-01-012023-12-310001260990us-gaap:AccumulatedOtherComprehensiveIncomeMember2022-12-310001260990us-gaap:FairValueInputsLevel1Memberus-gaap:USGovernmentAgenciesDebtSecuritiesMemberus-gaap:FairValueMeasurementsRecurringMember2023-12-310001260990us-gaap:RetainedEarningsMember2022-12-310001260990onct:UniversityOfTennesseeResearchFoundationMemberonct:LicenseAgreementMember2023-01-012023-12-310001260990onct:UniversityOfTennesseeResearchFoundationMemberonct:LicenseAgreementMember2022-01-012022-12-310001260990us-gaap:USGovernmentAgenciesDebtSecuritiesMemberus-gaap:FairValueMeasurementsRecurringMember2023-12-310001260990us-gaap:FairValueInputsLevel1Memberus-gaap:FairValueMeasurementsRecurringMember2023-12-310001260990us-gaap:FairValueInputsLevel3Memberus-gaap:FairValueMeasurementsRecurringMemberus-gaap:CommercialPaperMember2022-12-310001260990us-gaap:FairValueInputsLevel1Memberus-gaap:USGovernmentAgenciesDebtSecuritiesMemberus-gaap:FairValueMeasurementsRecurringMember2022-12-310001260990onct:UniversityOfCaliforniaSanDiegoMemberonct:CaliforniaInstituteForRegenerativeMedicineAwardMember2017-08-012017-08-310001260990us-gaap:USTreasurySecuritiesMemberus-gaap:ShortTermInvestmentsMember2022-12-310001260990us-gaap:FairValueMeasurementsRecurringMemberus-gaap:CommercialPaperMember2022-12-310001260990onct:ReagentsMemberonct:NationalInstituteOfHealthGrantAwardsMemberonct:ResearchAgreementTwoThousandTwentyFiveMember2022-01-012022-01-3100012609902021-12-310001260990onct:ReagentsMemberonct:NationalInstituteOfHealthGrantAwardsMemberonct:ResearchAgreementTwoThousandTwentyThreeMember2022-01-012022-01-310001260990onct:TwoThousandNineteenIncentiveAwardPlanMember2023-12-310001260990us-gaap:CommonStockMember2023-01-012023-12-3100012609902022-01-012022-12-310001260990us-gaap:FairValueInputsLevel2Memberus-gaap:USTreasurySecuritiesMemberus-gaap:FairValueMeasurementsRecurringMember2023-12-310001260990us-gaap:RetainedEarningsMember2023-01-012023-12-310001260990us-gaap:CommonStockMember2022-01-012022-12-310001260990us-gaap:USTreasurySecuritiesMemberus-gaap:FairValueMeasurementsRecurringMember2023-12-310001260990us-gaap:ShortTermInvestmentsMembersrt:MaximumMemberus-gaap:USGovernmentAgenciesDebtSecuritiesMember2023-01-012023-12-310001260990onct:NationalInstituteOfHealthGrantAwardsMember2022-01-012022-12-310001260990us-gaap:USTreasurySecuritiesMemberus-gaap:ShortTermInvestmentsMembersrt:MaximumMember2023-01-012023-12-3100012609902023-10-012023-12-310001260990onct:InducementPlanAndTwoThousandNineteenIncentiveAwardPlanMember2023-12-3100012609902023-06-300001260990us-gaap:USGovernmentAgenciesDebtSecuritiesMemberus-gaap:FairValueInputsLevel2Memberus-gaap:FairValueMeasurementsRecurringMember2022-12-310001260990us-gaap:FairValueInputsLevel2Memberus-gaap:FairValueMeasurementsRecurringMember2023-12-310001260990us-gaap:ShortTermInvestmentsMemberus-gaap:USTreasurySecuritiesMember2022-01-012022-12-310001260990us-gaap:FairValueInputsLevel1Memberus-gaap:FairValueMeasurementsRecurringMember2022-12-310001260990onct:ContingentValueRightsAgreementMember2021-11-012021-11-010001260990us-gaap:FairValueMeasurementsRecurringMember2023-12-310001260990onct:ReagentsMember2017-01-012017-12-310001260990srt:MaximumMemberus-gaap:ShortTermInvestmentsMemberus-gaap:CommercialPaperMember2022-01-012022-12-310001260990onct:ReagentsMembersrt:MinimumMember2016-05-310001260990us-gaap:ShortTermInvestmentsMemberus-gaap:CommercialPaperMember2023-12-310001260990us-gaap:FairValueInputsLevel3Memberus-gaap:USTreasurySecuritiesMemberus-gaap:FairValueMeasurementsRecurringMember2022-12-3100012609902023-04-040001260990us-gaap:AdditionalPaidInCapitalMember2021-12-310001260990us-gaap:AdditionalPaidInCapitalMember2022-12-310001260990us-gaap:AccumulatedOtherComprehensiveIncomeMember2023-12-310001260990onct:ReagentsMemberonct:NationalInstituteOfHealthGrantAwardsMemberonct:ResearchAgreementTwoThousandTwentyTwoMember2022-01-012022-01-310001260990us-gaap:FairValueInputsLevel2Memberus-gaap:FairValueMeasurementsRecurringMemberus-gaap:CommercialPaperMember2022-12-310001260990us-gaap:USGovernmentAgenciesDebtSecuritiesMemberus-gaap:FairValueMeasurementsRecurringMember2022-12-310001260990us-gaap:EmployeeStockOptionMember2023-01-012023-12-310001260990us-gaap:FairValueInputsLevel3Memberus-gaap:USGovernmentAgenciesDebtSecuritiesMemberus-gaap:FairValueMeasurementsRecurringMember2022-12-310001260990us-gaap:DomesticCountryMember2023-01-012023-12-3100012609902023-12-310001260990onct:AtTheMarketEquityOfferingProgramMemberus-gaap:CommonStockMember2022-01-012022-12-310001260990onct:AtTheMarketEquityOfferingProgramMemberus-gaap:CommonStockMember2023-12-012023-12-310001260990us-gaap:FairValueInputsLevel1Memberus-gaap:USTreasurySecuritiesMemberus-gaap:FairValueMeasurementsRecurringMember2023-12-310001260990onct:TwoThousandNineteenPlanMember2015-07-012015-07-310001260990us-gaap:ShortTermInvestmentsMember2022-01-012022-12-310001260990us-gaap:ShortTermInvestmentsMember2023-12-310001260990onct:NationalInstituteOfHealthGrantAwardsMember2023-12-310001260990us-gaap:RestrictedStockUnitsRSUMember2022-12-31xbrli:pureonct:Segmentxbrli:sharesiso4217:USDxbrli:sharesiso4217:USD

 

 

UNITED STATES

SECURITIES AND EXCHANGE COMMISSION

WASHINGTON, D.C. 20549

FORM 10-K

 

ANNUAL REPORT PURSUANT TO SECTION 13 OR 15(D) OF THE SECURITIES EXCHANGE ACT OF 1934

For the fiscal year ended December 31, 2023

TRANSITION REPORT PURSUANT TO SECTION 13 OR 15(D) OF THE SECURITIES EXCHANGE ACT OF 1934

Commission File Number 000-50549

Oncternal Therapeutics, Inc.

(Exact Name of Registrant as Specified in Its Charter)

Delaware

 

62-1715807

(State or other jurisdiction of

incorporation or organization)

 

(IRS Employer

Identification No.)

12230 El Camino Real, Suite 230
San Diego, CA 92130
(
858) 434-1113

(Address, including zip code, and telephone number, including area code, of registrant’s principal executive offices)

 

Securities registered pursuant to Section 12(b) of the Act:

Title of Each Class

 

Trading Symbol (s)

 

Name of Each Exchange on Which Registered

Common Stock, par value $0.001 per share

 

ONCT

 

The Nasdaq Capital Market

Securities registered pursuant to Section 12(g) of the Act: None

Indicate by check mark if the registrant is a well-known seasoned issuer, as defined in Rule 405 of the Securities Act. Yes No .

Indicate by check mark if the registrant is not required to file reports pursuant to Section 13 or Section 15(d) of the Act. Yes No .

Indicate by check mark whether the registrant (1) has filed all reports required to be filed by Section 13 or 15(d) of the Securities Exchange Act of 1934 during the preceding 12 months (or for such shorter period that the registrant was required to file such reports), and (2) has been subject to such filing requirements for the past 90 days. Yes No

Indicate by check mark whether the registrant has submitted electronically every Interactive Data File required to be submitted pursuant to Rule 405 of Regulation S-T (§ 232.405 of this chapter) during the preceding 12 months (or for such shorter period that the registrant was required to submit such files). Yes No

Indicate by check mark whether the registrant is a large accelerated filer, an accelerated filer, a non-accelerated filer, a smaller reporting company, or an emerging growth company. See the definitions of “large accelerated filer”, “accelerated filer”, “smaller reporting company”, and “emerging growth company” in Rule 12b-2 of the Exchange Act.

Large accelerated filer

 

Smaller reporting company

Accelerated filer

 

Emerging growth company

Non-accelerated filer

 

 

If an emerging growth company, indicate by check mark if the registrant has elected not to use the extended transition period for complying with any new or revised financial accounting standards provided pursuant to Section 13(a) of the Exchange Act.

Indicate by check mark whether the registrant has filed a report on and attestation to its management’s assessment of the effectiveness of its internal control over financial reporting under Section 404(b) of the Sarbanes-Oxley Act (15 U.S.C. 7262(b)) by the registered public accounting firm that prepared or issued its audit report.

If securities are registered pursuant to Section 12(b) of the Act, indicate by check mark whether the financial statements of the registrant included in the filing reflect the correction of an error to previously issued financial statements.

Indicate by check mark whether any of those error corrections are restatements that required a recovery analysis of incentive-based compensation received by any of the registrant’s executive officers during the relevant recovery period pursuant to §240.10D-1(b). ☐

Indicate by check mark whether the registrant is a shell company (as defined by Rule 12b of the Exchange Act). Yes No

As of June 30, 2023, the last business day of the registrant’s most recently completed second fiscal quarter, the aggregate market value of the registrant’s common stock held by non-affiliates of the registrant was approximately $18.8 million, based on the closing price of the registrant’s common stock on the Nasdaq Capital Market on June 30, 2023 of $7.00 per share.

The number of outstanding shares of the registrant’s common stock as of March 1, 2024 was 2,959,645.

DOCUMENTS INCORPORATED BY REFERENCE

Portions of the Registrant’s proxy statement to be filed with the Securities and Exchange Commission pursuant to Regulation 14A in connection with the Registrant’s 2024 Annual Meeting of Stockholders, which will be filed subsequent to the date hereof, are incorporated by reference into Part III of this Form 10-K. Such proxy statement will be filed with the Securities and Exchange Commission not later than 120 days following the end of the Registrant’s fiscal year ended December 31, 2023.

 

 


 

Oncternal Therapeutics, Inc.

FORM 10-K — ANNUAL REPORT

For the Fiscal Year Ended December 31, 2023

TABLE OF CONTENTS

 

PART I

2

 

Item 1.

Business

3

Item 1A.

Risk Factors

34

Item 1B.

Unresolved Staff Comments

80

Item 1C.

 

Cybersecurity

80

Item 2.

Properties

82

Item 3.

Legal Proceedings

82

Item 4.

Mine Safety Disclosures

82

 

PART II

83

 

Item 5.

Market for Registrant’s Common Equity, Related Stockholder Matters and Issuer Purchases of Equity Securities

83

Item 6.

[Reserved]

83

Item 7.

Management’s Discussion and Analysis of Financial Condition and Results of Operations

84

Item 7A.

Quantitative and Qualitative Disclosures About Market Risk

91

Item 8.

Financial Statements and Supplementary Data

91

Item 9.

Changes in and Disagreements with Accountants on Accounting and Financial Disclosure

92

Item 9A.

Controls and Procedures

92

Item 9B.

Other Information

92

Item 9C.

Disclosure Regarding Foreign Jurisdictions that Prevent Inspections

92

 

PART III

93

 

Item 10.

Directors, Executive Officers and Corporate Governance

93

Item 11.

Executive Compensation

93

Item 12.

Security Ownership of Certain Beneficial Owners and Management and Related Stockholder Matters

93

Item 13.

Certain Relationships and Related Transactions, and Director Independence

93

Item 14.

Principal Accounting Fees and Services

93

 

PART IV

94

 

Item 15.

Exhibits, Financial Statement Schedules

94

Item 16.

 

Form 10-K Summary

94

 

Signatures

99

 

 

1


 

PART I

Cautionary Note Regarding Forward-Looking Statements

This Annual Report on Form 10-K, or this Annual Report, including the sections entitled “Summary,” “Risk Factors,” “Management’s Discussion and Analysis of Financial Condition and Results of Operations” and “Business,” contains forward-looking statements. We may, in some cases, use words such as “anticipate,” “believe,” “could,” “estimate,” “expect,” “intend,” “may,” “plan,” “potential,” “predict,” “project,” “should,” “will,” “would” or the negative of those terms, and similar expressions that convey uncertainty of future events or outcomes, to identify these forward-looking statements. Any statements contained herein that are not statements of historical facts may be deemed to be forward-looking statements. Forward-looking statements in this Annual Report include, but are not limited to, statements about:

our ability to obtain and maintain regulatory approvals for our product candidates;
the expected timing for achieving key milestones, including commencing, completing and announcing preclinical or clinical trial results of our product candidates, including ONCT-534, our dual-action androgen receptor inhibitor, or DAARI, candidate and ONCT-808, our ROR1-targeted CAR T cell therapy candidate;
our ability to identify and advance into the clinic new product candidates;
the timing or likelihood of regulatory filings for marketing authorization and approvals;
the estimated size of the patient population and anticipated market potential for our product candidates;
the impact of products that compete with our product candidates that are or may become available;
the size and growth potential of the markets for our product candidates, and our ability to serve those markets;
our ability to obtain and maintain favorable regulatory designations for our product candidates;
the scope of protection we are able to establish and maintain for intellectual property rights covering our product candidates and our ability to operate our business without infringing upon the intellectual property rights of others;
our commercialization and marketing strategies and reliance on third-party manufacturing capabilities;
the plans and objectives of management for future operations and future results of our product candidates; and
our estimates regarding the sufficiency of our cash resources and our expenses, capital requirements and need for additional financing, and our ability to obtain additional financing through collaborations or other means.

These forward-looking statements reflect our management’s beliefs and views with respect to future events and are based on estimates and assumptions as of the date of this Annual Report and are subject to risks and uncertainties. We discuss many of these risks in greater detail under “Risk Factors.” Moreover, we operate in a very competitive and rapidly changing environment. New risks emerge from time to time. It is not possible for our management to predict all risks, nor can we assess the impact of all factors on our business or the extent to which any factor, or combination of factors, may cause actual results to differ materially from those contained in any forward-looking statements we may make. Given these uncertainties, you should not place undue reliance on these forward-looking statements.

We qualify all of the forward-looking statements in this Annual Report by these cautionary statements. Except as required by law, we undertake no obligation to publicly update any forward-looking statements, whether as a result of new information, future events or otherwise.

SUMMARY OF RISK FACTORS

Investing in our common stock is subject to numerous risks and uncertainties, including those described in Part I, Item 1A, “Risk Factors” of this Annual Report. The principal risks and uncertainties affecting our business include the following:

We have a relatively limited operating history, have incurred significant operating losses since our inception and expect to incur significant losses for the foreseeable future. We may never generate any revenue or become profitable or, if we achieve profitability, we may not be able to sustain it.

2


 

We will require substantial additional financing to achieve our goals, and a failure to obtain this capital when needed and on acceptable terms, or at all, could force us to delay, limit, reduce or terminate our product development programs, commercialization efforts or other operations.
Our management, as of December 31, 2023, and our independent registered public accounting firm, in their report on our financial statements as of and for the fiscal year ended December 31, 2023, have concluded that there is substantial doubt as to our ability to continue as a going concern.
We depend heavily on the success of our product candidates, which are in clinical or preclinical development. If we are unable to advance our product candidates in clinical development, obtain regulatory approval and ultimately commercialize our product candidates, or experience significant delays in doing so, our business will be materially harmed.
Clinical drug development involves a lengthy and expensive process with an uncertain outcome, and the results of preclinical studies and early clinical trials are not necessarily predictive of future results. Our product candidates may not have favorable results in clinical trials or receive regulatory approval on a timely basis, if at all.
We may find it difficult to enroll patients in our clinical trials as planned. If we encounter difficulties enrolling patients in our clinical trials, our clinical development activities could be delayed or otherwise adversely affected.
We rely on third parties for the manufacture of our product candidates for preclinical and clinical development activities and expect to continue to do so for the foreseeable future.
We may not be able to maintain orphan drug designations for some of our product candidates, and may be unable to leverage the benefits associated with orphan drug designation, including the potential for market exclusivity.
Fast Track designation by the U.S. Food and Drug Administration, or FDA, for our product candidates may not actually lead to a faster development or regulatory review or approval process.
Interim, topline and preliminary data from our clinical trials that we announce or publish from time to time may change as more patient data become available and are subject to audit and verification procedures that could result in material changes in the final data.
We rely on third parties to conduct many of our preclinical studies and clinical trials. Any failure by a third-party to conduct the clinical trials according to the International Council for Harmonisation of Technical Requirements for Pharmaceuticals for Human Use, or ICH, Guidelines, national requirements, and other requirements in a timely manner may delay or prevent our ability to seek or obtain regulatory approval for or commercialize our product candidates.
If the market opportunities for our products are smaller than we believe they are, our revenue may be adversely affected, and our business may suffer.
Our operating results may fluctuate significantly, which makes our future operating results difficult to predict and could cause our operating results to fall below expectations or any guidance we may provide.
Our success depends on our ability to protect our intellectual property and our proprietary technologies.

Our trademarks, trade names, and service marks referenced in this Annual Report include Oncternal®, which is protected under intellectual property laws and is our property. All other trademarks, trade names and service marks are the property of their respective owners. Solely for convenience, trademarks, trade names and service marks referred to in this Annual Report appear without the ®️, TM, or sm symbols, but such references should not be construed as any indication that their respective owners will not assert, to the fullest extent under applicable law, their rights thereto. Use or display by us of other parties’ trademarks, trade dress or products is not intended to and does not imply a relationship with, or endorsement or sponsorship of, us by the trademark or trade dress owners.

Item 1. Business.

Overview

Oncternal Therapeutics is a clinical-stage biopharmaceutical company focused on the development of novel oncology therapies for the treatment of patients with cancers that have critical unmet medical need. Oncternal pursues drug development targeting promising, yet untapped biological pathways implicated in cancer generation or progression, focusing on prostate cancer and hematological malignancies. We expect partnerships and collaborations to be essential for implementing our broader development strategy. The following table summarizes our current development programs:

3


 

http://api.rkd.refinitiv.com/api/FilingsRetrieval3/.77632429.0000950170-24-027984img205696091_0.jpg.ashx 

ONCT-534 Dual-Action Androgen Receptor Inhibitor, or DAARI

ONCT-534 is an investigational dual-action androgen receptor inhibitor, or DAARI, product candidate with a novel mechanism of action that includes inhibition of androgen receptor, or AR, function and degradation of the AR protein mediated by interaction with both the ligand binding domain, or LBD, and N-terminal domain, or NTD, of the AR. ONCT-534 has demonstrated preclinical activity in prostate cancer models against both unmutated AR, and against multiple forms of AR alteration, including those with AR amplification, mutations in the AR LBD, and splice variants with loss of the AR LBD. ONCT-534 is a potential monotherapy treatment for patients with advanced prostate cancer and other AR-driven diseases, including relapsed or refractory metastatic castration-resistant prostate cancer, or mCRPC, an area of high unmet need. We have dosed and continue to enroll patients with mCRPC under Study ONCT-534-101 (NCT05917470).

ONCT-808 ROR1 Cell Therapy

ONCT-808, our cell therapy product candidate, is an investigational autologous chimeric antigen receptor T cell, or CAR T, therapy that targets Receptor tyrosine kinase-like Orphan Receptor 1, or ROR1, using sequences from the binding domain of zilovertamab. ONCT-808 has demonstrated activity in preclinical models against multiple hematological malignancies and solid tumors and has been shown to be specific for cancer cells expressing ROR1. Oncternal has developed a closed, robust and automated cell manufacturing process that has the potential to reduce the time patients must wait for their individual CAR T therapy to be produced, compared with currently approved CAR T products. We have dosed patients under Study ONCT-808-101 (NCT05588440) with relapsed or refractory aggressive B-cell lymphoma, including patients who have failed previous CD19 CAR T treatment.

Zilovertamab

Zilovertamab is an investigational, humanized, potentially first-in-class, monoclonal antibody designed to inhibit the function of ROR1. Zilovertamab has been evaluated in a Phase 1/2 Study CIRM-0001 (NCT03088878) in combination with ibrutinib, a Bruton’s Tyrosine Kinase, or BTK, inhibitor, for the treatment of patients with chronic lymphocytic leukemia, or CLL, mantle cell lymphoma, or MCL, and marginal zone lymphoma, or MZL, which resulted in 100% progression free survival, or PFS, through 48 months in CLL patients expressing a p53 mutation/del(17p), a population underserved by current treatment options. Zilovertamab is being evaluated in an investigator-initiated Phase 1b study of zilovertamab in combination with docetaxel in patients with mCRPC. In April 2023, we reprioritized the development of zilovertamab and closed the Phase 3 ZILO-301 Study for the potential treatment of patients with relapsed or refractory MCL, prior to enrolling any patients, and closed enrollment for the Phase 1/2 Study CIRM-0001.

ONCT-216

Our program activities previously included ONCT-216, an investigational small molecule designed to inhibit the ETS, or E26 Transformation Specific, family of oncoproteins, which was shown in preclinical studies of Ewing sarcoma and other tumor types to alter gene transcription and RNA processing that led to decreased cell proliferation and invasion. In April 2022, we deprioritized the development of ONCT-216 and closed the Phase 1/2 clinical trial in patients with relapsed or refractory Ewing sarcoma in May 2022. We continue to study its mechanism of action and formulation under nondilutive grant support.

4


 

Our team

We have assembled a management team, board of directors and scientific founders who have significant experience in successfully developing and commercializing therapeutics in oncology and orphan diseases, having worked or served on the Board of companies such as Amgen, Inc., Bavarian Nordic, Inc. (lead cancer asset acquired by Bristol Meyers Squibb Company), Baxalta Incorporated (acquired by Shire PLC), Bristol Meyers Squibb, Cadence Pharmaceuticals, Inc. (acquired by Mallinckrodt plc), Checkmate Pharmaceuticals (acquired by Regeneron), Dynavax Technologies Corporation, Elan Corporation (acquired by Perrigo), Eli Lilly and Company, Gilead Sciences, Inc., Immunomedics (acquired by Gilead), Innocrin Pharmaceuticals, Inc., Johnson & Johnson, Merck & Co., or Merck, Micromet, Inc. (acquired by Amgen, Inc.), Pfizer, Inc., Precision Therapeutics, Inc., Roche Holding AG, Sorrento Therapeutics, Inc., Teva Pharmaceutical Industries Ltd, Tracon Pharmaceuticals, Inc., VelosBio, Inc. (acquired by Merck) and Zavante Therapeutics, Inc. (acquired by Nabriva Therapeutics plc).

Our strategy

Our mission is to build a leading oncology company that creates novel and transformative treatments for a wide range of oncology indications for which there are significant unmet medical needs. We believe our investigational agents target novel cancer pathways and have unique or first in class mechanisms of action. Our current pipeline is derived from our ability to identify therapeutic candidates that have generated promising, late-stage preclinical results or clinical data, and in-license them for further development. We are particularly focused on therapeutic approaches for which there is a genetic or protein biomarker that can be used to identify populations of patients most likely to respond. We prioritize targets that we believe have the potential to transform the treatment paradigm of difficult-to-treat cancers with either single agent or combination therapy. As is the case for many oncology products, we believe that potential efficacy in one indication suggests the potential for application in other indications that carry the same target. Our focus is on prostate cancer and hematological malignancies as we believe our product pipeline can have the greatest impact in addressing unmet needs of patients diagnosed with these diseases.

Key elements of our strategy are as follows:

advance ONCT-534, our lead DAARI product candidate, through clinical development with an initial focus for the treatment of patients with advanced prostate cancer;
advance ONCT-808, our ROR1-targeting autologous CAR T cell therapy candidate, through a Phase 1/2 clinical trial for the treatment of patients with aggressive B cell Non-Hodgkin’s Lymphoma, including those who have failed previous CD19 CAR T treatment;
secure a partnership to advance zilovertamab through clinical development initially in TP53-altered CLL, and potentially other indications; and
evaluate our product pipeline in preclinical studies in additional tumors with a focus on prostate cancer and hematological malignancies.

We expect partnerships and collaborations to be essential for implementing our strategy.

Our product candidates

DAARI Program

ONCT-534, our lead DAARI product candidate, is a novel investigational, potentially first-in-class, orally bioavailable, AR inhibitor, for the treatment of patients with advanced prostate cancer and other AR-driven diseases. Based on preclinical studies, we believe ONCT-534 has the potential to be a novel treatment option for patients with advanced prostate cancer, with potential in earlier stages of the disease. We license ONCT-534 and certain other DAARI program rights from the University of Tennessee Research Foundation, or UTRF, under an exclusive, worldwide license agreement.

5


 

Figure 1. Schematic Representation of Clinically Relevant Domains of the Androgen Receptor

 

http://api.rkd.refinitiv.com/api/FilingsRetrieval3/.77632429.0000950170-24-027984img205696091_1.jpg.ashx

ONCT-534 has demonstrated activity in preclinical models of AR overexpression, numerous AR LBD mutations, as well as AR splice variants, which are all common mechanisms of resistance to current standard of care agents in advanced prostate cancer. ONCT-534 is also active against unmutated AR, promoting similar AR antagonistic effects compared to other treatments. ONCT-534 has a potentially novel and unique mechanism of action through the inhibition of AR function by interacting with both the ligand-binding domain, or LBD, and N-terminal domain, or NTD, of the AR, as well as induction of AR degradation. We believe that NTD binding is critical to the activity of ONCT-534 against tumors expressing AR splice variants that do not contain an LBD. Current standard of care treatment options, such as enzalutamide or apalutamide, bind only to the LBD of the AR, which may explain their reduced efficacy in patients with tumors expressing AR splice variants, as these AR variants lack the LBD. We believe that the differentiated dual-action pharmacology and the activity against unmutated AR of ONCT-534 has the potential to translate into improved clinical outcomes over current standard of care agents.

Prostate cancer overview

According to The Surveillance, Epidemiology, and End Results (SEER) Program database, there were 288,300 new cases of prostate cancer in the U.S. in 2023 and it is the second-leading cause of cancer death in American men. Approximately one-third of all prostate cancer patients who have been treated for local disease with curative intent will subsequently have rising serum levels of prostate-specific antigen, or PSA, which is an indication of recurrent disease with or without development of distant metastasis. Patients with recurrent disease as indicated by rising PSA usually undergo androgen deprivation therapy, or ADT. While most of these patients initially respond to ADT, many experience a recurrence in tumor growth despite the reduction of testosterone to castrate levels, and at that point are considered to have castrate resistant prostate cancer, or CRPC. Following diagnosis of CRPC, patients are usually treated with an AR pathway inhibitor, or ARPI, which include AR inhibitors that act through the AR LBD (e.g. darolutamide, enzalutamide, apalutamide or bicalutamide), or agents that inhibit synthesis of androgens (e.g. abiraterone). More recently, significant improvements in PFS and overall survival, or OS, have been achieved by utilizing this latest generation of ARPIs in combination with ADT and/or chemotherapy earlier in the course of disease, such as hormone-sensitive prostate cancer, or HSPC, and non-metastatic CRPC, or nmCRPC.

The growth of prostate tumors is initially mediated by an activated AR pathway. Generally, there are three means of activating the AR. First, androgens, such as dihydrotestosterone, can activate the AR by binding to its LBD and interacting with the activation domain on the AR. Second, CRPC can be driven by variants of AR that lack an LBD, are constitutively activated, and consequently do not require androgens for activation. Generally, current ARPI drugs for the treatment of prostate cancer are inhibiting activation of the AR pathway by: (i) interfering with the production of androgens, (ii) preventing androgen from binding to the LBD, or (iii) inducing a negative signal through the AR LBD. Over time, these approaches will eventually fail due to mechanisms of resistance, which involve the LBD end of the receptor, whether at the DNA level via AR amplification or LBD mutations, or at the RNA level via the emergence of AR splice variants. Lastly, in patients who have been treated for years with various antiandrogen therapies, genomic changes may lead to additional, non-AR-related oncogenic drivers, and become variably insensitive to inhibition of the AR pathway.

Mechanism of action

As a DAARI, ONCT-534 has a potentially novel and unique mechanism of action: it interacts with both the NTD and the LBD of the AR (Figure 1 above), inhibiting AR function and leading to AR protein degradation. We believe that this NTD binding is relevant to the activity of ONCT-534 against tumors expressing AR splice variants by preventing constitutive AR activation. In this respect, ONCT-534 is designed to differ mechanistically from ARPIs that interfere with androgen synthesis, such as abiraterone, and agents such as darolutamide, enzalutamide, or apalutamide, that bind only to the LBD of the AR, which may explain their reduced efficacy in patients with AR-SV-expressing tumors, as these AR variants may lack parts of the LBD. An essential difference between ONCT-534 and certain other novel agents in development is that ONCT-534 is active against a broad spectrum of AR mutations, but is also active against unmutated or native AR. We believe that the potentially differentiated dual-action pharmacology of ONCT-534 has the potential to translate into significantly improved clinical outcomes over current standard of care agents.

6


 

Although we are focusing on prostate cancer, we believe our novel mechanism of action offers potential for DAARI therapeutic development in other AR-driven diseases, such as luminal AR-positive triple-negative breast cancer, which can be driven by AR splice variants, as well as non-oncology indications, such as Spinal Bulbar Muscular Atrophy, also known as Kennedy’s disease.

ONCT-534 development in prostate cancer

We are initially evaluating ONCT-534 as a potential therapy for patients with advanced mCRPC who have relapsed or were refractory to prior ARPI therapy.

In preclinical studies, ONCT-534 demonstrated antagonism and degradation of full-length native AR, mutant LBD AR, and AR splice variants. ONCT-534 is active in animal models with castrate androgen levels and in uncastrated animals.

To assess the ability of ONCT-534 to treat enzalutamide-resistant prostate cancers, we conducted in vivo studies in an enzalutamide-resistant MDVR VCaP xenograft model. This treatment resistance can be seen below for both castrated and intact animals (Figure 2), as tumors in rats dosed with enzalutamide grew at nearly the same rate as tumors in rats dosed only with the placebo drug vehicle. Orally delivered ONCT-534 substantially inhibited tumor growth, described as tumor growth inhibition, or TGI, in these enzalutamide-resistant MDVR tumors.

 

Figure 2. ONCT-534 Exhibited AR-specific Anti-tumor Activity in ENZA-resistant MDVR CRPC Preclinical Model

 

 

http://api.rkd.refinitiv.com/api/FilingsRetrieval3/.77632429.0000950170-24-027984img205696091_2.jpg.ashx

In a mouse xenograft model of human prostate cancer in intact animals, treatment with ONCT 534 significantly inhibited tumor growth of LnCAP human prostate cancer cells that overexpress AR (LnCAP-AR), as shown in the figure below.

 

Figure 3. ONCT-534 Exhibited AR-specific Anti-tumor Activity in AR-overexpressing Preclinical Model

http://api.rkd.refinitiv.com/api/FilingsRetrieval3/.77632429.0000950170-24-027984img205696091_3.jpg.ashx 

 

AR-V7 is a splice variant of AR that lacks the LBD and hinge region and is expressed in 22Rv1 cells, which are human prostate carcinoma epithelial cells derived from a xenograft that was serially propagated in mice after castration-induced regression and relapse of the parental, androgen-dependent xenograft. As shown in Figure 4 below, enzalutamide is not efficacious in an animal model of human prostate containing both AR dependent elements, driven by the AR-V7 splice variant that lacks the LBD, and AR independent

7


 

elements against these tumors that lack the LBD. Treatment with ONCT-534 however, resulted in tumor growth inhibition, even in this model with mixed AR-dependent and independent tumors, as well as significant reduction in PSA in this model, demonstrating activity at the NTD.

 

Figure 4. ONCT-534 Exhibited Anti-tumor Activity in AR Splice Variant Preclinical Model

http://api.rkd.refinitiv.com/api/FilingsRetrieval3/.77632429.0000950170-24-027984img205696091_4.jpg.ashx 

DAARI Study ONCT-534-101

Based on the broad activity of ONCT-534 against multiple forms of prostate cancer driven by AR mutations, in 2023, we commenced Study ONCT-534-101, a Phase 1/2, single-arm, open-label, multi-center study to evaluate the safety and tolerability, pharmacokinetics, and preliminary anti-tumor activity of ONCT-534 in patients with mCRPC who have relapsed or are refractory to approved ARPIs including enzalutamide, abiraterone, apalutamide and darolutamide. The Phase 1 portion of the study utilizes an adaptive Bayesian Optimal Interval (BOIN) design with five ONCT-534 dosing cohorts ranging from 40 mg to 600 mg per day. After the safety and tolerability and preliminary antitumor activity of ONCT-534 have been assessed in the Phase 1 portion of this study, Phase 2 will commence to further evaluate the safety and preliminary antitumor activity of ONCT-534 to support selecting an optimal dose.

In January 2024, we announced the first and second cohorts treated one patient each at 40 mg ONCT-534 per day and 80 mg ONCT-534 per day, respectively. The decision in late 2023 to proceed to dose level 3 of 160 mg was confirmed by the study’s Safety Review Committee (SRC). Additional patients have enrolled into the third dosing cohort of 160 mg ONCT-534 per day.

ROR1 CAR T Cell Therapy Program

ROR1 scientific background: inhibition of ROR1 as a therapeutic strategy in cancer

ROR1 is an onco-embryonic protein essential for normal fetal development whose expression is suppressed at birth unless reactivated as a survival factor by many different cancers. The switching-on of ROR1 is consistent with the general process of de-differentiation in cancer, in which normal cells lose their highly differentiated functions and return to a more primitive state, where they exhibit a greatly increased capacity for invasion, metastasis and resistance to treatment. This de-differentiation is associated with expression of a number of genes normally restricted to fetal development, one of which is ROR1. Cancer cells with the highest potential for self-renewal are sometimes referred to as tumor-initiating cells or cancer stem cells and are capable of invading other tissues or metastasizing to form tumors in distant sites in the body. These tumor-initiating cells are also the cells that have been found to be the most resistant to standard cancer therapies including chemotherapy and radiation therapy. Cancer cells that overexpress ROR1 have been shown to have increased survival, migration and resistance to chemotherapy.

Histological staining of over 350 human tumor samples identified that a majority expressed ROR1, including 90% or more of lymphomas and CLL, as well as prostate and uterine cancers, as shown below:

8


 

Cancer Type

ROR1 Expressed

 

Cancer Type

ROR1 Expressed

Uterus

96%

 

Adrenal

83%

MCL

95%

 

Lung

77%

CLL

95%

 

Breast

75%

Lymphoma

90%

 

Testicular

73%

Prostate

90%

 

Colon

57%

Skin

89%

 

Ovarian

54%

Pancreas

83%

 

Bladder

43%

High ROR1 expression on patients’ tumor cells in a variety of cancers is associated with the development of metastases, early relapse after therapy, and a poorer prognosis. ROR1 expression levels on patients’ tumor cells is higher in cancers that are more advanced or poorly differentiated. For example, whereas Grade 1 or 2 ovarian tumors were found to be 21% positive for ROR1, Grade 3 or 4 tumors were found to be 62% positive for ROR1. High expression of ROR1 has been associated with more aggressive disease and shorter patient survival in multiple tumor types, including CLL, breast cancer, ovarian cancer and multiple myeloma.

Inhibition of ROR1 signaling or silencing of ROR1 expression in multiple preclinical cancer models including lymphoma, CLL, breast cancer, ovarian cancer and glioblastoma, was associated with suppressing the expression of genes characteristic of tumor-initiating cells, and with repression of cancer migration and metastasis. Preclinical models also demonstrated that inhibition of ROR1, or blocking of Wnt5a-induced ROR1 signaling, inhibited tumor cell proliferation, migration and survival, and induced differentiation of the tumor cells – resulting in fewer metastases and improved survival.

Inhibition of ROR1 has been demonstrated in preclinical models to be additive to, or synergistic with, chemotherapy agents such as paclitaxel, and with targeted therapy agents such as ibrutinib and venetoclax. In addition, inhibition of ROR1 has been shown to enhance sensitivity of cancer cells to targeted therapy with agents such as erlotinib and may increase apoptosis and decrease proliferation.

In summary, in addition to our Study ONCT-808-101 (NCT05588440) and Study CIRM-0001 Phase 1/2 initial clinical trial results described below, we believe ROR1 is an attractive therapeutic target in oncology for multiple reasons:

ROR1 is widely expressed on many cancers, including hematologic malignancies and solid tumors;
Expression of high levels of ROR1 on patients’ tumors is associated with more rapid disease progression, resistance to therapy and shorter patient survival, and therefore may represent an especially high unmet medical need;
Blocking of ROR1 activity in preclinical models inhibited tumor cell proliferation, migration and survival, and induced differentiation of the tumor cells;
Inhibition of ROR1 has been observed in preclinical models to be synergistic with certain chemotherapies and targeted therapies, potentially allowing for safer and more efficacious combination therapies; and
Clinical data presented for zilovertamab vedotin (MK-2140), a ROR1-targeting antibody-drug conjugate, or ADC, included a safety profile similar to other ADCs of the class, with no apparent on-target, off-tumor organ toxicity. Zilovertamab is the ROR1 antibody used in Merck’s MK-2140 product candidate.

Two notable acquisitions in 2020 involved companies developing product candidates targeting ROR1: Merck acquired VelosBio, Inc. and its ROR1-targeting ADC (which was initially developed at Oncternal), and Boehringer-Ingelheim acquired NBE Therapeutics and its ROR1-targeting ADC.

Our ROR1 CAR T cell therapy

We are developing our CAR T cell therapy candidate based on the ROR1 binding domain of zilovertamab, our monoclonal antibody described below, to treat patients with hematological malignancies or solid tumors. We believe that the selective expression of ROR1 on many tumor cells and its absence on most normal cells make it an attractive target for a CAR T cell therapy approach. In addition, we believe that ROR1-negative relapses might be less likely to develop after ROR1 CAR T cell therapy, because the survival

9


 

benefit imparted on cancer cells by ROR1 expression may limit the development of ROR1-negative mutant tumor cells, given that tumor cells that lose or mutate ROR1 to escape CAR T cell treatment may be less aggressive than the parental cells.

ONCT-808 is an autologous cell therapy consisting of CD4 and CD8 T cells that are genetically modified by ex vivo transduction with a lentivirus vector to express a chimeric antigen receptor, or CAR, that contains a ROR1 directed single chain variable fragment (scFv) region derived from zilovertamab and also includes 4-1BB and CD3ζ signaling domains.

In late 2022, we received a Study May Proceed letter from the FDA for a Phase 1/2 dose escalation clinical study of ONCT-808 in patients with aggressive B cell Non-Hodgkin’s Lymphoma, including those who have failed previous CD19 CAR T treatment. We are pursuing a two-pronged development strategy for our ROR1 CAR T cell therapy program. The first part of the strategy is to evaluate evidence of safety and clinical activity of our ROR1 CAR T cell therapy in humans while using an established autologous CAR T approach and targeting hematological indications that are known to be susceptible to CAR T cell therapy. The second part of the strategy will evaluate autologous therapies for advancement on a stand-alone basis as well as to develop next-generation cell therapies targeting ROR1 by introducing more advanced cell therapy technologies, which could include combination therapy with agents that target the immunosuppressive solid tumor milieu, CAR T cells bearing additional features to overcome the solid tumor microenvironment, or “off-the-shelf” or allogeneic CAR T cell or chimeric antigen receptor NK cell, or CAR-NK, therapies.

We expect partnerships and collaborations to be essential for implementing our next-generation strategy. In January 2021, we announced a research and development collaboration with Karolinska Institutet to investigate novel optimized ROR1-targeting cell therapies focused on CAR T cells and CAR-NK. In April 2022, we established a clinical manufacturing agreement with the Dana-Farber Cancer Institute to conduct cGMP cell preparation and manufacturing activities for use in our Phase 1/2 study.

Scientific background: CAR T cell therapy overview

Immuno-oncology approaches to treating cancer involve redirecting one of the pillars of the immune system, the adaptive immune system, so that it specifically and efficaciously recognizes cancerous cells that might previously have escaped immune recognition. A key element in the adaptive immune response is the T cell that can recognize and kill infected and abnormal cells. T cells also act to signal other immune cells to respond to threats. T cells recognize their targets because they are selected in a way that allows them to specifically recognize foreign antigens on the surface of other cells.

T cells are well suited for immuno-oncology applications based on several characteristics. They have evolved to be specific and avid killers. One T cell can eliminate numerous target cells. T cells are highly specific, able to recognize a cancer cell and kill it, while ignoring an almost identical healthy cell. T cells are thought to be vigilant all the time, eliminating cancer cells from the body before they can form tumors. However, tumor cells sometimes evolve to escape T cell killing by activating a number of pathways that suppress T cell function. Adoptive T cell therapies, and specifically CAR T cells, are being developed to provide methods to generate large quantities of T cells capable of specifically recognizing and killing tumor cells despite tumor suppressive mechanisms.

T cells have potent cell killing activity that is directed to target cells that are recognized by specific T cell receptors, or TCRs, that are expressed on the surface of these T cells. While some T cells have TCRs that can recognize cancer cells leading to their killing, potent T cells do not develop against all tumor targets. In some cases, the potential cancer cell target is also a protein that has an essential role in other tissues or at other stages of development, and TCRs that recognize these targets are eliminated during normal T cell development. CAR T cell therapy has emerged as a way to engineer T cells to recognize specific targets, such as those that are selectively expressed on cancer cells.

CAR T cell therapies are typically produced from a patient’s own T cells, which are isolated by leukapheresis. These cells are then genetically modified with a chimeric antigen gene construct which can be delivered by various mechanisms, such as lentiviral gene delivery vectors, which contain a gene encoding a chimeric protein incorporating a single antigen-binding domain derived from the sequence of an antibody that specifically recognizes the target, with one or more T cell costimulatory domains and a portion of the T cell receptor. Transduced cells are then expanded and undergo quality testing before being reintroduced into the same patient. This approach is also known as autologous CAR T cell therapy.

10


 

Figure 5. CAR T Production and Patient Treatment

 

http://api.rkd.refinitiv.com/api/FilingsRetrieval3/.77632429.0000950170-24-027984img205696091_5.jpg.ashx 

 

Phase 1/2 Study of ONCT-808-101

In 2023, we commenced Study ONCT-808-101, a Phase 1/2, single-arm, open-label, multi-center study to evaluate the safety and tolerability, pharmacokinetics, and anti-tumor activity of ONCT-808 in subjects with aggressive B cell lymphoma, including large B-cell lymphoma, or LBCL, and MCL. After the safety and tolerability of ONCT-808 have been assessed to select the RP2D in Phase 1, Phase 2 will commence to further validate the dose and evaluate the safety and efficacy of ONCT-808. In Phase 2, subjects with LBCL or MCL will be enrolled into 2 separate dose expansion cohorts.

In December 2023, we announced a study status update. At the initial dose of 1x106 CAR T cells per kg, two of the three patients achieved complete metabolic response, or CMR, and the third achieved a partial response, or PR, by fluorodeoxyglucose positron emission tomography/computed tomography, or FDG PET-CT. Common adverse events in this dosing cohort included decreased blood counts, pneumonia and Grade 1-2 cytokine release syndrome, or CRS, as of a December 4, 2023 data cutoff date.

The first patient treated at the second dose level of 3x106 CAR T cells per kg, an 80-year-old with bulky disease who had received four previous lines of therapy and was refractory to CD19 CAR T, experienced a Grade 5 (fatal) serious adverse event consistent with CRS and immune effector cell-associated neurotoxicity syndrome, or ICANS. No evidence of his lymphoma was found histologically based on the patient’s autopsy report.

After communicating with the FDA, we modified our eligibility criteria and are testing lower doses of ONCT-808 for future patients in the study including at 0.3x106 CAR T cells per kg and at 0.6x106 CAR T cells per kg.

Additional potential clinical opportunities for ONCT-808 in other indications

Chronic Lymphocytic Leukemia. ROR1 is expressed on CLL cells in over 90% of patients, and its expression has been correlated to leukemia development in rodents and disease progression in humans, with higher expression linked to more aggressive disease manifestations and shorter OS. The ROR1 expression has also been implicated in the development of disease resistance to other therapies, including BTK inhibitors and venetoclax. As such, relapsed or refractory CLL after treatment with BTK inhibitors remains a significant unmet need, particularly in patients with high ROR1 expression. In preclinical studies in MEC1-ROR1 CLL rodent models with second generation ROR1+ CAR T cells, employing the same scFv region as ONCT-808, significant potency and clearance of leukemic cells was observed. The administered CAR T cells were persistent in the rodent models for greater than three months and remained highly active following administration, without evidence of T cell exhaustion. Complete tumor regression, as measured by luminescence, was observed in CLL rodent models, after treatment with the CAR-T therapy.

Multiple Myeloma. The global multiple myeloma market is estimated to reach $31 billion by 2026. It is the second most prevalent hematological cancer. Among the potential clinical antigens for treatment of myeloma, ROR1 is a very attractive tumor-selective target. ROR1 is frequently expressed on myeloma cells, particularly from patients with relapsed or refractory disease. ROR1 expression in myeloma patients having undergone and failed various lines of previous therapy was shown to increase after each treatment, making ROR1 an attractive and abundant target for relapsed or refractory patients with myeloma. In a preclinical study with ROR1 high expressing RPMI-8226 models of human multiple myeloma/plasmacytoma in NSG mice, tumors were eliminated with the highest dose of ONCT-808, with significant tumor reduction in mice receiving the highest dose, relative to vehicle and controls. ROR1+ CAR-T cells were detected 28 days after administration, suggesting the in vivo persistence of the ONCT-808 CAR-T cells.

11


 

Lung cancer. ROR1 is expressed by approximately 77% to 93% of lung cancers. In adenocarcinoma of the lung, higher levels of ROR1 expression were correlated with advanced stages of disease and with positive lymph node metastases. In addition, high ROR1 expression was associated with worse OS in patients with lung adenocarcinoma. ROR1 expression in lung cancer has been shown to be correlated with the presence of other negative prognostic factors such as phosphorylated AKT, or p-AKT, or phosphorylated CREB, or p-CREB. Inhibition of ROR1 in lung cancer cell lines induced apoptosis and cell cycle arrest and led to a reduction in levels of p-CREB and p-AKT. A recent preclinical study has shown that downregulating ROR1 expression re-sensitizes osimertinib-resistant lung cancer cells to an EGFR inhibitor drug.

Ovarian cancer. ROR1 is expressed by approximately 54% of ovarian cancers, which is the most lethal gynecologic malignancy among women worldwide. Analysis of ROR1 expression on ovarian cancer patient samples revealed that disease-free survival and OS rate in patients with high ROR1 expression were significantly lower than in patients with low or no ROR1 expression. In a preclinical study, it was shown that a ROR1 antibody inhibited growth of ovarian cancer cell lines in vitro and slowed tumor growth in a mouse model. Zilovertamab also demonstrated an anti-proliferative effect on certain ovarian and endometrial cancer cell lines in vitro.

Zilovertamab - monoclonal antibody targeting ROR1

Zilovertamab development in CLL and MCL

CLL is the most common form of leukemia in adults, accounting for 25-30% of all leukemias in the U.S. BTK inhibitor therapy has emerged as a standard of care for CLL and is recommended by the National Comprehensive Cancer Network (NCCN) guidelines as first-line therapy. Patients with CLL can experience a substantial period of disease control, but the disease eventually recurs in most patients, and is more likely to do so for patients with previous CLL therapy. Adverse events have been shown in a real-world analysis to limit ibrutinib treatment duration for almost half of all patients. An acceptable safety profile may be particularly important for patients with CLL who are older and may have multiple co-morbidities.

MCL is an aggressive form of non-Hodgkin’s lymphoma. There are approximately 4,200 new cases of MCL each year in the U.S., with the average age at diagnosis in the mid-60s. MCL is an aggressive lymphoma and carries a poor prognosis, with a median survival of about two to five years. The 10-year survival rate is about 5-10%. While there are several therapeutic options available to treat patients with relapsed or refractory MCL, we believe none of these options offer curative benefit, with most patients relapsing in less than 20 months.

ROR1 is a potentially attractive target for cancer therapy because it is an onco-embryonic antigen, which is a protein typically expressed during embryogenesis that may confer a survival and fitness advantage when reactivated and expressed by tumor cells. ROR1 is over-expressed in many different cancers, including CLL, MCL, breast cancer and prostate cancer, and has been reported to be associated with more aggressive disease, resistance to therapy and shorter PFS or OS.

Preclinical studies have shown that when zilovertamab bound to ROR1, it blocked growth factor Wnt5a signaling, inhibited tumor cell proliferation, migration and survival, and induced differentiation of CLL tumor cells. Preclinical studies with zilovertamab also showed that treating CLL or MCL patient’s tumor cells with a combination of zilovertamab and ibrutinib led to reduced proliferation that was at least additive. Additional in vitro studies showed that the combination of zilovertamab plus a BTK inhibitor was active in MCL cells that had become insensitive to BTK inhibitor alone. In vivo studies have shown that the combination of ibrutinib and zilovertamab reduced tumor engraftment in a mouse model of human CLL.

In a Phase 1 dose escalation clinical trial of zilovertamab in patients with relapsed or refractory CLL, zilovertamab was well tolerated when given intravenously every two weeks at doses from 0.015 to 20 mg/kg/dose. There were no dose-limiting toxicities, no serious adverse events, and no discontinuations related to adverse events. Treatment was too short (4 doses total) to see objective responses, but 17 of 22 evaluable patients had stable disease, and median time to next treatment was 262 days. The plasma half-life of zilovertamab was over 28 days.

Oncternal and UC San Diego, with funding from CIRM, and a donation of ibrutinib product from Pharmacyclics LLC, conducted Study CIRM-0001, a Phase 1/2 clinical trial of zilovertamab in combination with ibrutinib in patients with relapsed or refractory CLL, MCL or MZL. This clinical trial was designed to evaluate the safety, pharmacokinetics, or PK, pharmacodynamics, immunogenicity, and antitumor activity of zilovertamab in combination with ibrutinib in adult patients with adequate performance status and organ function.

A recommended dose regimen, or RDR, of 600 mg of zilovertamab administered intravenously every two weeks for three doses, followed by dosing every four weeks until disease progression or intolerance was selected after the dose escalation portion of the study. Zilovertamab was given in combination with 420 mg of ibrutinib administered once daily for patients with CLL, or 560 mg of ibrutinib once daily for patients with MCL, which was at that time the FDA-approved doses of ibrutinib in these indications.

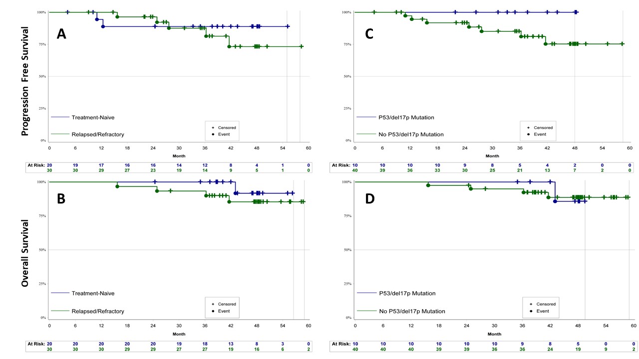
Of the 50 patients with CLL that were evaluable for efficacy, 20 patients were treatment naïve and 30 patients had relapsed or refractory CLL. Ten of the evaluable patients had CLL with 17p deletions and/or TP53 mutations, including five patients with treatment-naïve CLL and five patients with relapsed or refractory CLL.

12


 

Landmark PFS was 100% at 48 months and 44 months in both treatment-naïve and relapsed/refractory TP53/del(17p) patients with CLL, respectively, that received the combination of zilovertamab and ibrutinib. Landmark OS was 100% at 42 months and 49 months in treatment-naïve and relapsed/refractory TP53/del(17p) patients, respectively, that received the combination of zilovertamab and ibrutinib. Landmark OS was 67% at 43 through 48 months in treatment-naïve TP53/del(17p) patients that received the combination of zilovertamab and ibrutinib. The most recent data update from the Phase 3 ALPINE study comparing zanubrutinib monotherapy to ibrutinib monotherapy in patients with relapsed or refractory CLL showed a landmark PFS of 60.1% for zanubrutinib and 43.6% for ibrutinib in TP53/del(17p) patients at 36 months. TP53 mutations are among the most commonly acquired mutations in cancer, including hematological malignancies, and are associated with decreased survival and predict inadequate therapeutic response. Inhibition of these pathways may complement inhibition of B-cell receptor signaling by ibrutinib, particularly in TP53-aberrant disease.

Landmark PFS was 95% at 24 months in all patients with relapsed/refractory CLL treated with the combination of zilovertamab plus ibrutinib in Parts 1 and 2 of Study CIRM-0001. The most recent data update from the ALPINE study showed a landmark PFS of 65.8% for zanubrutinib and 54.3% for ibrutinib in patients with relapsed or refractory CLL at 36 months.

Data from Part 3 of Study CIRM-0001, comparing ibrutinib plus zilovertamab to ibrutinib alone in 28 patients with CLL, continue to mature, and median PFS for both arms had not been reached as of the July 2023 cut-off date after a median follow up of 44 months.

PFS and OS curves for evaluable patients with CLL are presented in the following figure.

Figure 6. Study CIRM-0001, patients with CLL, PFS and OS, by prior treatment status (A and B) and by TP53 aberration status (C and D)

 

http://api.rkd.refinitiv.com/api/FilingsRetrieval3/.77632429.0000950170-24-027984img205696091_6.jpg.ashx 

For the 28 evaluable patients with relapsed or refractory MCL in Study CIRM-0001 treated with zilovertamab plus ibrutinib, 25 (89%) achieved an overall response (CR or PR) rate, or ORR, and 12 (43%) achieved a CR. The total clinical benefit rate (CR, PR, SD) was 93% as of the data cut-off date. The combination of zilovertamab and ibrutinib demonstrated rapid achievement of response with ORR of 78.6% (17.9% CR and PR 60.7%) of study patients at 3 months, and ORR increased to 89.3% (39.3% CR and 50% PR) at 12 months with 43% CR at 26 months (see Figure 7 below). A merged analysis of three studies of single agent ibrutinib in patients with MCL showed CR rates of 5.9% at 4 months, 18.4% at 12 months and 20.0% at 25 months (Rule 2017). The ORR and median duration of response were encouraging in patients with high-risk features associated with difficult to treat disease. High Ki-67 (≥30%) patients had an ORR of 86% and the median duration of response was not reached after 46 months (95% confidence interval (CI) 3.0 months – not evaluable, or NE). Five patients had received prior treatment with ibrutinib, with three achieving CRs and two achieving

13


 

PRs for an ORR of 100%. The PFS results for MCL TP53 mutations (see Figure 7 below) enhanced our belief that zilovertamab works in TP53 mutations regardless of the tumor type.

The PFS for TP53 mutations and CR efficacy results for the evaluable population of patients with MCL are presented in the following figures, along with relevant literature results for single-agent ibrutinib.

Figure 7. Study CIRM-0001, patients with MCL, objective response rate (left) and progression free survival by TP53 aberration status (right)

http://api.rkd.refinitiv.com/api/FilingsRetrieval3/.77632429.0000950170-24-027984img205696091_7.jpg.ashx 

Zilovertamab development in prostate cancer

Prostate cancer is the second most frequently diagnosed cancer among men in the U.S., according to the American Cancer Society. ROR1 is expressed by approximately 90% of prostate cancers, and the Wnt5a signaling pathway is activated in patients with advanced prostate cancer that is progressing while on treatment with an AR inhibitor. Treatment of prostate cancer cell lines with an AR inhibitor was found to increase the expression of Wnt5a, and the addition of Wnt5a attenuated the antiproliferative effect of AR inhibition. The expression of Wnt5a in the tumors of patients with mCRPC has been associated with poor OS. ROR1 expression has also been shown on certain prostate cancer cell lines that had lost dependence on the AR signaling pathway, an important mechanism of resistance development in advanced prostate cancer. We are collaborating with academic investigators to investigate the potential effects of zilovertamab on this disease.

An investigator-sponsored prospective, open-label, non-randomized, one-arm Phase 1b study to evaluate the safety and efficacy of, and to determine the recommended Phase 2 dose, or RP2D, of, docetaxel combined with zilovertamab in patients with mCRPC is recruiting patients at UC San Diego. During the treatment period, zilovertamab and docetaxel will be administered by IV infusion on an outpatient basis. Initially, zilovertamab will be given as a series of loading doses with biweekly IV infusions on days 1, 15 and 29 of cycle 1. Following this, zilovertamab will be given concurrently with docetaxel (cycles 2 up to 6 depending on tolerance to docetaxel) and each cycle will be 21 days in length. Patients will be treated for a maximum of six cycles with combination therapy. Following completion or discontinuation of docetaxel, cycle length will be 28 days and zilovertamab will be administered day one of every 28-day cycle starting at cycle eight (or earlier depending on tolerance). Zilovertamab will be administered IV on day one of the cycle.

Competition

The biotechnology and pharmaceutical industries are intensely competitive and characterized by rapid technology evolution. Our potential competitors include large pharmaceutical, specialty pharmaceutical and biotechnology companies, as well as government, academic and other research institutions. Many of our competitors have significantly greater financial resources and expertise in research and development, manufacturing, preclinical testing, conducting clinical trials, obtaining regulatory approvals and marketing approved products than we do. Smaller or early-stage companies may also prove to be significant competitors, particularly through collaborative arrangements with large and established companies. These third parties compete with us in recruiting and retaining qualified scientific and management personnel, as well as in acquiring technologies complementary to our programs. Our commercial opportunities may be reduced or eliminated if our competitors develop and commercialize similar products that are safer, more effective, have fewer side effects or are less expensive than any products that we or our collaborators may develop.

In particular, we compete with other companies that are developing and commercializing treatments for patients with cancer. Competing therapies include chemotherapies, targeted therapies and immunotherapies and may represent various therapeutic

14


 

modalities including small molecules, antibodies, cell therapies, gene therapies, and cancer vaccines. These companies may compete with us for clinical trial sites and eligible patient populations, scientific and management talent, outsourced manufacturing capacity and healthcare budgets for commercial-stage products.

ONCT-534

While there are currently no approved drugs with similar mechanism of action as our DAARI program, ONCT-534, the competition in the advanced prostate cancer market is very high. Several therapies have already been approved and many more are currently in development. Second-generation antiandrogens including Xtandi (Astellas and Pfizer), Zytiga/Erleada (Johnson & Johnson), and Nubeqa (Bayer) have become the preferred regimens for first line therapy in this indication. Other therapeutic modalities, such as checkpoint inhibitors are being evaluated in combination with either antiandrogen or chemotherapies. Bispecific antibodies and CAR T therapies targeted towards prostate-specific member antigen are also in early development. Other approaches to interfering with AR signaling include strategies to: (i) blocking AR activation via NTD binding as being pursued by ESSA Pharma, Inc., and (ii) degrading the AR protein such as that being pursued by Arvinas, Inc.

ROR1 CAR T

While there are currently no approved cell therapy products targeting the ROR1 receptor, we are aware of an autologous CAR T cell therapy clinical program targeting ROR1 sponsored by Lyell Immunopharma, Inc. for patients with solid tumors. Precigen, Inc. announced plans to initiate a Phase 1/1b clinical trial of PRGN-3007, an autologous CAR T cell therapy targeting ROR1, in patients with hematological malignancies and solid tumors. Caribou Biosciences, Inc. announced plans to develop an induced pluripotent stem cell (iPSC)-derived allogeneic anti-ROR1 CAR-NK cell therapy.

 

There are numerous companies developing or marketing cell therapy treatments for the same oncology indications that we may target with our ROR1 CAR T program including AbbVie, Adicet, Allogene Therapeutics, Atara Biotherapeutics, Inc., Bluebird Bio, Inc., Bristol-Myers Squibb, Caribou Therapeutics, Fate Therapeutics, Gilead Sciences, Inc., Johnson & Johnson, Legend Biotech, Merck, NantKwest, Nkarta Therapeutics, Novartis Pharmaceuticals Corporation, Poseida Therapeutics, Roche Holding AG, and others. Six CAR T cell therapies have been approved by the FDA, Yescarta and Tecartus are marketed by Gilead Sciences, Inc., Kymriah is marketed by Novartis Pharmaceuticals Corporation, Abcema and Breyanzi are marketed by Bristol-Myers Squibb Company, and Carvykti, marketed by Johnson and Johnson. Yescarta, Tecartus, Kymriah and Breyanzi target the CD19 protein, a protein expressed on the surface of the majority of B cells, including B cell tumorigenic cells.

Licenses and Collaborative Relationships

University of Tennessee Research Foundation (“UTRF”)

In March 2015, and as amended and restated in March 2022 and August 2022, we entered into a license agreement with UTRF (the “DAARI License Agreement”) pursuant to which we were granted exclusive worldwide rights in all existing DAARI technologies owned or controlled by UTRF, including all improvements thereto. Under the DAARI License Agreement we are obligated to employ active, diligent efforts to conduct preclinical research and development activities for the DAARI program to advance one or more lead compounds into clinical development. We are obligated to pay UTRF annual license maintenance fees in the mid five digits and low single-digit royalties on aggregate net sales of licensed products. We are also obligated to pay UTRF tiered royalties ranging from a low single digit to low double-digit percentage of consideration received by our sublicensees, excluding royalties, such percentage dependent on the stage of development of a clinical product candidate at the time it is sublicensed. Our obligation to pay UTRF royalties expires on a country-by-country and licensed product-by-licensed product basis on the last-to-expire valid patent claim of a licensed patent covering such licensed product in such country. As of December 31, 2023, we believe we have met our obligations under the DAARI License Agreement.

Unless terminated earlier, the term of the DAARI License Agreement will continue, on a country-by-country basis, until the expiration of the last-to-expire valid claim of any licensed patent covering a licensed product in such country. Either party may terminate the DAARI License Agreement for the other party’s uncured material breach, subject to certain notice and cure periods. UTRF may terminate the DAARI License Agreement for our bankruptcy or insolvency. We may terminate the Amended and Restated UTRF Agreement with advance written notice to UTRF, provided we have satisfied our payment obligations to UTRF prior to such termination.

UC San Diego

In March 2016, we entered into a license agreement with the Regents of the University of California, or the Regents, represented by UC San Diego, which was amended and restated in August 2018, and amended thereafter through January 2024 (the “Regents License Agreement”), for the development, manufacturing and distribution rights to naked antibodies, including zilovertamab and

15


 

genetically engineered cellular therapy products, including CAR T products that are covered by licensed patents for all human therapeutic, diagnostic and preventive applications in all indications. The Regents License Agreement requires us to pay certain development and regulatory milestones aggregating from $20.1 million to $24.5 million, on a per product basis, certain worldwide sales milestones based on achievement of tiered revenue levels aggregating $75.0 million, low single-digit royalties including potential future minimum annual royalties on net sales of each product, certain annual patent costs, and annual license maintenance fees. Unless terminated earlier, the Regents License Agreement will expire upon the later of the expiration date of the longest-lived patent rights or the 15th anniversary of the first commercial sale of a licensed product.

UC San Diego may terminate the Regents License Agreement if a material breach by us is not cured within a reasonable time, we file a claim asserting the licensed patent rights are invalid or unenforceable, or we file for bankruptcy. We may terminate the agreement at any time upon at least 60 days’ written notice.

In July 2016, and as modified by the amended and restated Regents License Agreement in August 2018, we entered into a research agreement with the Regents for research on the ROR1 therapeutic development program. Under this five-year agreement that expired in June 2021, UC San Diego was paid an aggregate of $3.6 million. Effective January 1, 2022, we entered into a Research Agreement (the “Research Agreement”) with the Regents for further research on the ROR1 therapeutic development program. Under this four-year agreement that expires on December 31, 2025, the Regents will receive payments aggregating $1.6 million, with quarterly payments of $125,000 in 2022, $131,250 in 2023, and $137,813 in 2024 and 2025. Such costs are includable as part of our annual diligence obligations under the Regents License Agreement.

CIRM

In August 2017, and as amended and restated in December 2020, the California Institute for Regenerative Medicine, or CIRM, awarded an $18.3 million grant to researchers at UC San Diego to advance the Study CIRM-0001. We: (i) conducted this study in collaboration with UC San Diego, (ii) received $14.5 million in development milestones under research subaward agreements during the award project period from October 1, 2017 through March 31, 2022, (iii) were committed to certain co-funding requirements, and (iv) were required to provide UC San Diego progress and financial update reports throughout the award period. The subaward does not bear a royalty payment commitment, nor is the subaward otherwise refundable. As of December 31, 2023, we believe we have met and completed our obligations under the CIRM award and UC San Diego subawards.

Shanghai Pharmaceutical (USA) Inc. (“SPH USA”)

In November 2018, and as amended in August 2020, we entered into a license agreement with SPH USA, or the SPH USA License Agreement, under which we granted exclusive rights to SPH USA to manufacture, develop, market, distribute and sell in the People’s Republic of China, Hong Kong, Macau, and Taiwan ("Greater China"), our product candidates under the Georgetown License Agreement and the UC San Diego License Agreement. Under the License and Development Agreement, or LDA, SPH USA is solely responsible for: (a) all preclinical and clinical development activities required in order to obtain regulatory approval in Greater China for such product candidates, (b) any third-party license milestone or royalty payments owed under the Georgetown License Agreement and the Regents License Agreement, and (c) paying us a low single digit royalty on net sales in the territory. The SPH USA License Agreement will expire on a licensed product-by-licensed product and country/region-by-country/region basis on the later of ten years from the date of first commercial sale or when there is no longer a valid patent claim covering such licensed product in such country/region.

The SPH USA License Agreement may be terminated by SPH USA, on a country/region-by-country/region or product-by-product basis with 180 days written notice following the first anniversary of the effective date of the agreement or at any time on a product-by-product basis for a safety concern with respect to such product. Either party may terminate the SPH USA License Agreement in its entirety or on a licensed product-by-licensed product basis upon material breach that is not cured within 90 days, or in its entirety the event the other party becomes insolvent or enters into bankruptcy proceedings. We may terminate the agreement with 60 days written notice if SPH USA or its affiliates or sublicensees commence an action challenging the validity or enforceability of any licensed patent, or with 10 days written notice if SPH USA fails to own at least 20% of the voting securities of any assignee of the SPH USA License Agreement. Upon termination of the agreement for any reason all rights and licenses granted to SPH USA under the agreement will terminate, and in the event of termination for reasons other than our material breach, SPH USA would grant us non-exclusive, royalty-free, worldwide license to any intellectual property rights controlled by SPH USA or its affiliates to exploit the terminated program in Greater China.

16


 

Manufacturing

We have adopted a manufacturing strategy of contracting with third parties to manufacture API, drug substance and drug product in accordance with current Good Manufacturing Practices, or cGMPs, and additional manufacturers are used to label, package and distribute investigational drug products. This strategy allows us to maintain a more flexible infrastructure while focusing our expertise on the development of our products.

We expect to continue to rely on third parties for the production, characterization, and release testing of clinical and commercial quantities of all product candidates and associated reagents. We have developed a fully closed, robust and automated manufacturing process that has the potential to reduce the time patients must wait for their individual CAR T therapy to be produced, compared with currently approved CAR T products. For example, we work with Lentigen on lentivirus manufacturing, Miltenyi on cell processing, and the Dana-Farber Cancer Institute on cGMP cell preparation and manufacturing activities for use in first-in-human studies of our ROR1-targeting CAR T cell therapy candidate ONCT-808. There are no unusually complicated biochemistries or equipment required in the manufacturing process for ONCT-534, ONCT-808 or zilovertamab, which we believe allows for potential manufacturing flexibility and cost and vein to vein time efficiencies.

We have established a quality control and quality assurance program, which includes a set of standard operating procedures and specifications designed to ensure that our products are manufactured in accordance with cGMPs, and other applicable domestic and foreign regulations.

Intellectual Property

We strive to protect and enhance the proprietary technology, inventions, and improvements that are commercially important to our business, including seeking, maintaining, and defending patent rights, whether developed internally or acquired or licensed from third parties. Our policy is to seek to protect our proprietary position by, among other methods, filing patent applications in the U.S and in jurisdictions outside of the U.S. related to our proprietary technology, inventions, and improvements that are important to the development and implementation of our business. We also rely on trade secrets and know-how relating to our proprietary technology, continuing innovation, and acquisition and in-licensing opportunities to develop, strengthen, and maintain our proprietary position in the field of cancer therapeutics.

Our commercial success may depend in part on our ability to: (i) obtain and maintain patent and other proprietary protection for our technology, inventions, and improvements, (ii) preserve the confidentiality of our trade secrets, (iii) defend and enforce our proprietary rights, including our patents, and (iv) operate without infringing the valid and enforceable patents and other proprietary rights of third parties.

We have developed, licensed and acquired numerous patents and patent applications and possess substantial know-how and trade secrets relating to the development and commercialization of healthcare products and services. As of February 4, 2024, our owned and in-licensed patent portfolio consisted of approximately 50 issued U.S. patents and 19 pending U.S. patent applications related to certain of our proprietary technology, inventions, and improvements, and 113 issued patents and 116 pending patent applications in jurisdictions outside of the U.S.

DAARI Program

We have exclusive worldwide rights to a portfolio of patents and patent applications related to Dual-Action Androgen Receptor Inhibitor, or DAARI, compounds for use in therapeutics. We hold a portfolio of patents and patent applications related to DAARIs and jointly owned with UTRF, which as of February 8, 2024 included 14 issued U.S. patents directed to DAARI ligands and methods of use thereof: U.S. Pat. No. 9,814,698, U.S. Pat. No. 10,017,471, U.S. Pat. No. 10,035,763, U.S. Pat. No. 10,441,570, U.S. Pat. No. 10,865,184, U.S. Pat. No. 9,815,776, U.S. Pat. No. 9,834,507, U.S. Pat. No. 10,093,613, U.S. Pat. No. 10,597,354, U.S. Pat. No. 10,806,720, U.S. Pat. No. 11,273,147, U.S. Pat. No. 11,648,234, U.S. Pat. No. 11,873,282, and U.S. Pat. No. 11,591,290, as well as approximately ten issued patents in Australia, Japan, Canada, China, Europe (validated in Great Britain, France and Germany), India, and Russia, and one pending U.S. patent application and two pending patent applications outside of the U.S., each with a patent term not due to expire before April 2036. We also have a portfolio of patents and patent applications licensed from UTRF which as of February 8, 2024 included five issued U.S. patent directed to DAARI ligands and methods of use thereof: U.S. Pat. No. 10,314,797, U.S. Pat. No. 10,654,809, U.S. Pat. No. 10,806,719, U.S. Pat. No. 11,230,523, and U.S. Pat. No. 11,230,531, approximately nine issued patents in Australia, India, Japan, Israel, Korea, Mexico, and Russia, two pending U.S. patent applications and nine patent applications outside of the U.S., each with a potential patent term not due to expire before June 2037. As of February 8, 2024, a third portfolio for the DAARI program included approximately 51 patent applications licensed from UTRF including approximately six pending patent applications in the U.S. and approximately 45 pending patent applications outside of the U.S.

Individual patents extend for varying periods of time, depending upon the date of filing of the patent application, the date of patent issuance, and the legal term of patents in the countries in which they are obtained. Generally, patents issued for applications

17


 

filed in the U.S. are effective for 20 years from the earliest effective and non-provisional filing date. The patent term may be adjusted to compensate for delayed patent issuance when such delays are caused by the patent office or successful appeals against patent office actions. There is no limit on this patent term adjustment. In addition, in certain instances, a patent term can be extended to recapture a portion of the term effectively lost as a result of the FDA regulatory review period. The extended restoration period cannot be longer than five years and the total patent term, including the restoration period, must not exceed 14 years following the date of FDA approval of the applicable drug product. The duration of patents outside of the U.S. varies in accordance with provisions of applicable local law, but typically is also 20 years from the earliest effective non-provisional filing date. Our issued patents are due to expire on dates ranging from 2036-2037. If patents are issued on our pending patent applications, the resulting patents would be due to expire on dates ranging from 2036-2044. However, the actual protection afforded by a patent varies on a product-by-product basis, from country-to-country, and depends upon many factors, including the type of patent, the scope of its coverage, the availability of regulatory-related extensions, the availability of legal remedies in a particular country, and the validity and enforceability of the patent. Most countries require a patent owner to pay maintenance fees or annuities in order to extend the patent to the full length of its term. If these fees and annuities are not paid timely, our patents will expire prior to the expiration date.

ROR1 Program

We have an exclusive, commercial, worldwide, transferrable license to a portfolio of patents and patent applications directed to ROR1 antibodies and CAR T therapies for all therapeutic indications. This portfolio is licensed from the Regents of the University of California. We have know-how and trade secrets related to compositions of matter for treating cancers, methods for treating cancer, and methods of screening for additional compositions of matter used for treating cancer, as well as to additional antibodies and molecules that modulate ROR1 signaling. We have also developed certain patents and patent applications directed to ROR1 based therapies, which are owned by Oncternal.

As of February 4, 2024, our licensed patent portfolio included patents related to our zilovertamab clinical candidate currently in Phase 1/2 and Phase 3 clinical trials. Zilovertamab is a humanized monoclonal antibody that specifically binds to the ROR1 receptor. We have two issued U.S. patents directed to the zilovertamab composition of matter: U.S. Pat. No. 9,217,040, with a patent term not due to expire before 2032; and U.S. Patent No. 9,758,591, with a patent term not due to expire before March 2033. We have one patent issued in the U.S. directed to methods of using zilovertamab to treat cancer, U.S. Pat, No. 10,344,096, with a patent term not due to expire before March 2033. We have one issued patent in the U.S. related to single chain variable region fragments derived from zilovertamab with a patent term not due to expire before March 2033. We also have patents issued in Australia, China, Europe, Israel, Japan, Korea, Macao, Canada, Brazil, India, Philippines, Malaysia and Mexico directed to zilovertamab compositions of matter. In Europe patents directed to zilovertamab compositions of matter have been validated in jurisdictions including France, Germany, Italy, UK, Spain, Turkey, Belgium, Poland, Netherlands, Greece, Switzerland, Sweden, Austria, Denmark, and Ireland. We have applications pending in foreign jurisdictions related to zilovertamab compositions of matter and methods of use in treating cancer, including Australia, Europe, Japan, and Thailand. Patents, if issued from these pending foreign applications, would not be due to expire before 2033.

As of February 4, 2024, we have approximately 30 licensed patent applications pending in the U.S. and in jurisdictions outside the U.S. related to methods of treating cancer using a combination of zilovertamab and small-molecule chemotherapeutics. We have two issued patents, U.S. Patent No. 10,688,181, and U.S. Patent No. 11,654,193, directed to methods of treating cancer with the combination of zilovertamab and a BTK inhibitor. We have one issued patent, U.S. Patent No. 11,883,492, directed to methods of treating cancer with the combination of zilovertamab and paclitaxel or docetaxel. Patents, if issued from these pending non-provisional applications, would not be due to expire before dates ranging from 2037 to 2041.

As of February 4, 2024, we have licensed patents and patent applications related to additional ROR1 binding antibodies, polypeptides, chimeric antigen receptors, and nucleic acids encoding such non-zilovertamab ROR1 binding antibodies, polypeptides, and chimeric antigen receptors. We have eight issued U.S. patents directed to non-zilovertamab ROR1 binding antibodies, polypeptides, chimeric antigen receptors, and nucleic acids encoding such non-zilovertamab ROR1 binding antibodies, polypeptides, and chimeric antigen receptors: U.S. Pat. No. 8,212,009, with a patent term not due to expire before November 2026; U.S. Patent No. 9,242,014, with a patent term not due to expire before June 2031; U.S. Patent No. 9,938,350, with a patent term not due to expire before June 2031; U.S. Patent No. 9,217,040, with a patent term not due to expire before January 2032; U.S. Patent No. 10,627,409 with a patent term not due to expire before January 2032; U.S. Patent No. 10,900,973 with a patent term not due to expire before January 2032; U.S. Patent No. 11,548,953 with a patent term not due to expire before June 2031; U.S. Patent No. 11,536,727 with a patent term not due to expire before January 2032. We have two patent applications pending in the U.S. related to additional non-zilovertamab ROR1 binding antibodies, polypeptides, chimeric antigen receptors, and nucleic acids encoding such non-zilovertamab ROR1 binding antibodies, polypeptides and chimeric antigen receptors, which, if issued, would have a patent term not due to expire before dates ranging from 2031 to 2032. We also have patents issued in Europe and Canada directed to additional ROR1 binding antibodies.

18


 

As of February 4, 2024, we have licensed patents and patent applications related to methods of screening for antibodies that specifically bind to ROR1. We have two issued U.S. patents, U.S. Pat. Nos. 9,523,695, and 9,933,434, with patent terms not due to expire before January 2032, directed to methods of screening for antibodies that specifically bind to ROR1. We additionally have one issued U.S. patent and patent applications issued in Japan, Australia, Canada, and Europe directed to methods of screening for modulators of ROR1 signaling; additionally, we have applications pending in the U.S., China, and Hong Kong directed to methods of screening for modulators of ROR1 signaling.

As of February 4, 2024, we also own two patent applications filed under the Patent Cooperation Treaty directed to methods of treating cancer using a combination of zilovertamab and small molecule cancer chemotherapeutics or checkpoint inhibitors, which, if issued, would have a patent term not due to expire before 2043.

As of February 4, 2024, we also own one patent application filed under the Patent Cooperation Treaty directed to pharmaceutical zilovertamab formulations which, if issued, would have a patent term not due to expire before 2043.

ONCT-216 Program

We have exclusive worldwide rights to a portfolio of patents and patent applications related to small molecules, including ONCT-216, targeting EWS-FLI1 for use in therapeutics and companion diagnostics. We hold a portfolio of patents and patent applications, the Oncternal Portfolio, related to ONCT-216, analogs thereof, and uses thereof, as well as the Georgetown Licensed Portfolio, which is licensed from Georgetown University.

As of February 8, 2024, the Oncternal Portfolio directed to the new chemical entity ONCT-216 contained approximately nine U.S. issued patents and two pending applications in the U.S., as well as approximately 35 patents and approximately nine pending patent applications in jurisdictions outside of the U.S. As of February 8, 2024, we had two U.S. patents directed to ONCT-216: U.S. Pat. No. 9,604,927, with a patent term not due to expire before October 2035, and U.S. Pat. No. 9,987,251, with a patent term not due to expire before October 2035. We also had a U.S. patent with claims directed to methods of inhibiting proliferation of a cell that overexpresses an ETS gene or comprises an ETS fusion gene, or inhibiting growth of or killing neoplastic cells: U.S. Pat. No. 9,895,352, with a patent term not due to expire before October 2035. We had approximately one pending U.S. application and approximately 20 patents or pending applications in jurisdictions outside the U.S., including Australia, Canada, China, Eurasia, Europe, Hong Kong, India, Israel, Japan, Korea, Macao, Mexico, New Zealand, and Taiwan. These patents have a patent term not due to expire before October 2035, and patents, if issued from these applications, would not be due to expire before October 2035. We also had a patent with claims covering compositions of ONCT-216 in combination with venetoclax and associated methods of inducing apoptosis in cells in AML and DLBCL: U.S. Pat. No. 10,159,660, with a patent term not due to expire before July 2037, a patent covering ONCT-216 in combination with lenalidomide and associated methods for inducing apoptosis in a lymphocyte produced in mantle cell lymphoma: U.S. Pat. No. 10,646,470, with a patent term not due to expire before July 2037, and a patent covering ONCT-216 in combination with bortezomib, idelalisib, vincristine, bendamustine, lidelalisib, PQR309, or Selinexor and associated methods for inducing apoptosis in a myeloblast produced in acute myeloid leukemia or a lymphocyte produced in diffuse large B cell lymphoma: U.S. Pat. No. 11,285,132, with a patent term not due to expire before July 2037. We had approximately one pending U.S. application and approximately 15 pending applications filed in jurisdictions outside the U.S., including Canada, China, Europe, Hong Kong, Japan, Korea, Mexico, Singapore, and Taiwan directed to ONCT-216 combination therapies. Patents, if issued from these applications, would not be due to expire before July 2037. The Oncternal Portfolio further contained additional patents and pending applications related to indoline derivative compounds, which are analogs of ONCT-216. We had two issued U.S. patents directed to compounds and methods of inhibiting proliferation of a cell expressing an ETS gene or comprising an ETS fusion gene: U.S. Pat. No. 9,822,122, with a patent term not due to expire before March 2037, and U.S. Pat. No. 10,351,569, with a patent term not due to expire before March 2037. We also had an issued U.S. patent with claims directed to killing or inhibiting the growth of a neoplastic cell and methods of treating specific cancers by administering an analogue of ONCT-216: U.S. Pat. No. 10,711,008, with a patent term not due to expire before March 2037. There were also approximately nine patents or applications pending outside the U.S. in China, Europe (including a European patent validated in Austria, Belgium, Denmark, France, Germany, Great Britain, Ireland, Italy, Spain, Sweden, and Switzerland), Japan, Korea, and Taiwan. Patents, if issued from these applications, would not be due to expire before March 2037.

As of February 8, 2024, the Georgetown Licensed Portfolio contained patents directed to other EWS-FLI1 inhibitor compounds. We had three U.S. patents directed to compounds and methods for treating Ewing sarcoma or pancreatic cancer: U.S. Pat. No. 8,232,310, with a patent term not due to expire before November 2028, U.S. Pat. No. 9,045,415, with a patent term not due to expire before August 2028, and U.S. Pat. No. 9,758,481, with a patent term not due to expire before December 2027. We had four issued patents in jurisdictions outside the U.S., including Australia, Canada, Europe (validated in Germany, France and Great Britain), and Hong Kong. These patents are not due to expire before December 2027. We had two issued U.S. patents directed to compounds and methods for treating pancreatic cancer or Ewing sarcoma: U.S. Pat. No. 9,290,449, with a patent term not due to expire before April 2033, and U.S. Pat. No. 9,714,222, with a patent term not due to expire before April 2033. There are approximately 17 patents outside

19


 

the U.S. in Australia, Canada, China, Europe (validated in Great Britain, France and Germany), Hong Kong, India, Israel, Japan, Korea, Macao, Mexico, and New Zealand. These patents have a patent term not due to expire before April 2033. The Georgetown Licensed Portfolio contained additional patents related to methods of treating cancers. We had one issued U.S. patent directed to methods of treating lung cancer or glioblastoma multiforme: U.S. Pat. No. 9,511,050, with a patent term not due to expire before October 2034. There were approximately two patents issued outside the U.S. in China and Japan. These patents have a patent term not due to expire before October 2034.

Government Regulation

 

Government authorities in the U.S., at the federal, state and local levels, and other countries extensively regulate, among other things, the research, development, testing, manufacture, quality control, approval, labeling, packaging, storage, record keeping, promotion, advertising, distribution, marketing and export and import of products such as those we are developing. A new drug must be approved by the FDA through the new drug application, or NDA, process and a new biologic must be approved by the FDA through the BLA process before it may be legally marketed in the U.S. There are similar processes required for marketing authorization in other countries. For all European Union (EU) countries, marketing authorization for biologics and any product to treat patients with cancer is evaluated and granted on a pan-EU basis.

United States Drug Development Process

In the U.S., the FDA regulates drugs under the federal Food, Drug, and Cosmetic Act, or FDCA, and in the case of biologics, also under the Public Health Service Act, or PHSA, and their implementing regulations. We, along with third-party contractors, are required to navigate the various nonclinical, clinical, manufacturing and commercial approval requirements and guidance. The process of obtaining regulatory approvals and the subsequent compliance with appropriate federal, state, local and foreign statutes and regulations require the expenditure of substantial time and financial resources.

The following steps are usually required by the FDA before a drug or biologic may be marketed in the U.S.:

completion of preclinical laboratory tests, animal studies and formulation studies in accordance with GLP requirements and other applicable regulations;
submission to the FDA of an Investigational New Drug Application, or IND, which must become effective before human clinical trials may begin;
approval by an independent Institutional Review Board, or IRB, or Ethics Committee associated with each clinical site before patients can be enrolled into each trial at that particular clinical site;
performance of adequate and well-controlled human clinical trials in accordance with Good Clinical Practices, or GCP, requirements to establish the safety and efficacy of the proposed drug, or safety, purity and potency of the proposed biologic, for its intended use;
submission to the FDA of an NDA or BLA after completion of pivotal clinical trials;
a determination by the FDA within 60 days of its receipt of an NDA or BLA whether to file the application for review;
potential review of the product application by an FDA advisory committee, where appropriate and if applicable;
satisfactory completion of an FDA inspection of the manufacturing facility or facilities at which the drug is produced to assess compliance with cGMP requirements to assure that the facilities, methods and controls are adequate to preserve the drug or biologic’s identity, strength, quality and purity, and potential audits of selected clinical trial sites to ensure compliance with GCP; and
FDA review and approval of the NDA or BLA.

Preclinical studies usually include laboratory evaluation of product chemistry, toxicity and formulation, as well as animal studies to assess potential safety and efficacy. Prior to beginning the first clinical trial with a product candidate in the U.S., a Sponsor must submit an IND to the FDA, which is a request for allowance from the FDA to administer an investigational drug product to humans. The IND submission contains the general investigational plan, the clinical protocol, protocols and results from preclinical studies assessing the toxicology, pharmacokinetics, pharmacology and pharmacodynamic characteristics of the product, chemistry, manufacturing and controls, or CMC, information, and any available human data or literature to support the use of the investigational product. The FDA will review the IND, and if the information is adequate, the IND goes into effect and human clinical trials may begin. The IND automatically goes into effect 30 days after receipt by the FDA, unless the FDA requires additional information, which may result in a clinical hold if the data are insufficient. In such a case, the IND Sponsor and the FDA must resolve any

20


 

outstanding concerns before the clinical study can begin. The FDA may also impose clinical holds on any drug or biological product candidate at any time before or during clinical trials due to safety concerns about ongoing or proposed clinical trials or non-compliance with specific FDA requirements, and the trials may not begin or continue until the FDA notifies the sponsor that the hold has been lifted.

In addition to the submission of an IND to the FDA, supervision of certain human gene transfer trials may also require evaluation and assessment by an institutional biosafety committee, or IBC, a local institutional committee that reviews and oversees research utilizing recombinant or synthetic nucleic acid molecules at that institution. The IBC assesses the safety of the research and identifies any potential risk to the public health or the environment, and such assessment may result in some delay before initiation of a clinical trial.

Clinical trials involve the administration of a product candidate to healthy volunteers or patients under the supervision of qualified investigators, generally physicians not employed by or under the study Sponsor’s control. Clinical trials are conducted under protocols detailing, among other things, the objectives of the clinical study, dosing procedures, patient selection and exclusion criteria, and the parameters to be used to monitor patient safety, including stopping rules that assure a clinical study will be stopped if certain adverse events should occur. Clinical trials must be conducted and monitored in accordance with the FDA’s regulations including GCP requirements, including the requirement that all research patients provide informed consent. Each protocol and any amendments to the protocol must be submitted to the FDA as part of the IND. While the IND is active, progress reports summarizing the results of the clinical trials and nonclinical studies performed since the last progress report, among other information, must be submitted at least annually to the FDA, and written IND safety reports must be submitted to the FDA and investigators for serious and unexpected suspected adverse events, findings from other studies suggesting a significant risk to humans exposed to the same or similar drugs, findings from animal or in vitro testing suggesting a significant risk to humans, and any clinically important increased incidence of a serious suspected adverse reaction compared to that listed in the protocol or investigator brochure.

Further, each clinical study must be reviewed and approved by an independent IRB at or servicing each institution at which the clinical study will be conducted. The FDA, the IRBs, or the Sponsor may suspend a clinical trial at any time on various grounds, including a finding that the research subjects or patients are being exposed to an unacceptable health risk or if a trial is unlikely to meet its stated objectives. In addition, some clinical trials are overseen by an independent group of qualified experts organized by the Sponsor, known as a data safety monitoring board or committee. Depending on its charter, this group may determine whether a trial may move forward at designated check points based on access to certain data from the trial. There are also requirements governing the reporting of ongoing preclinical studies and clinical trials and clinical study results to public registries.

Human clinical trials are typically conducted in three sequential phases that may overlap or be combined:

Phase 1: The product candidate is initially administered to healthy human subjects and tested for safety, dosage tolerance, absorption, metabolism, distribution and excretion. In the case of some products for severe or life-threatening diseases, such as cancer, especially when the product may be too inherently toxic to ethically administer to healthy volunteers, the initial human testing is often conducted in patients.
Phase 2: The product candidate is administered to a limited patient population to identify possible adverse effects and safety risks, to preliminarily evaluate the efficacy of the product for specific targeted diseases and to determine the appropriate dosage for further clinical trials.
Phase 3: The product candidate is administered to an expanded patient population at geographically dispersed clinical study sites. These clinical trials are intended to establish the safety and efficacy of the product and the overall risk benefit ratio of the product candidate and provide an adequate basis for product labeling.

Postmarketing requirements and commitments refer to studies and clinical trials that a Sponsor conducts after FDA approval to gather additional information about a product’s safety, efficacy, or optimal use. Some of the studies and clinical trials, sometimes referred to as Phase 4 studies, may be required under one or more statutes and regulations; others may be studies or clinical trials a Sponsor has committed to conduct. Postmarketing commitments are studies or clinical trials that a Sponsor has agreed to conduct, but that are not required by a statute or regulation.

During the development of a drug or biologic, Sponsors are given opportunities to meet with the FDA at certain points. These meetings may be prior to submission of an IND, at the end of Phase 1 or 2, and before an NDA or BLA is submitted, or at other times important in product candidate development. These meetings can provide an opportunity for the Sponsor to share information about the clinical, preclinical or CMC data gathered to date, for the FDA to provide advice, and for the Sponsor and the FDA to reach agreement on the next phase of development.

Concurrent with clinical trials, Sponsors usually complete additional animal studies and must also develop additional information about the chemistry and physical characteristics of the drug and finalize a process for manufacturing the product in commercial quantities in accordance with cGMP requirements. The manufacturing process must be capable of consistently producing quality batches of the product candidate and, among other things, the manufacturer must develop methods for testing the identity, strength, quality and purity of the final drug. In addition, appropriate packaging must be selected and tested, and stability studies must be conducted to demonstrate that the product candidate does not undergo unacceptable deterioration over its shelf life.

21


 

There are also requirements governing the reporting of ongoing clinical trials and completed trial results to public registries. Sponsors of certain clinical trials of FDA regulated products are required to register and disclose specified clinical trial information, which is publicly available at www.clinicaltrials.gov. Information related to the product, patient population, phase of investigation, trial sites and investigators and other aspects of the clinical trial is then made public as part of the registration. Sponsors are also obligated to disclose the results of their clinical trials after completion. Disclosure of the results of these trials can be delayed until the new product or new indication being studied has been approved.

United States Review and Approval Process

The results of product development, including results from preclinical studies and clinical trials, along with descriptions of the manufacturing process, analytical tests conducted on the chemistry of the drug, proposed labeling and other relevant information are submitted to the FDA as part of an NDA or BLA requesting approval to market the product. The NDA or BLA must include all relevant data available from pertinent preclinical studies and clinical trials, including negative or ambiguous results as well as positive findings, together with detailed information relating to the product’s CMC and proposed labeling, among other things. Data can come from company-sponsored clinical studies intended to test the safety and effectiveness of the product, or from several alternative sources, including studies initiated and sponsored by investigators. The submission of an NDA or BLA is subject to the payment of user fees. A waiver of such fees may be obtained under certain limited circumstances, such as an application seeking an indication with orphan drug designation or a small business submitting its first application.

In addition, the Pediatric Research Equity Act, or PREA, requires a sponsor to conduct pediatric clinical trials for most drugs, for a new active ingredient, new indication, new dosage form, new dosing regimen or new route of administration. Under PREA, original NDAs and BLAs and certain supplements must contain a pediatric assessment unless the sponsor has received a deferral or waiver. The required assessment must evaluate the safety and effectiveness of the product for the claimed indications in all relevant pediatric subpopulations and support dosing and administration for each pediatric subpopulation for which the product is deemed safe and effective. The sponsor or FDA may request a deferral of pediatric clinical trials for some or all of the pediatric subpopulations. A deferral may be granted for several reasons, including a finding that the drug is ready for approval for use in adults before pediatric clinical trials are complete or that additional safety or effectiveness data needs to be collected before the pediatric clinical trials begin. The FDA must send a non-compliance letter to any sponsor that fails to submit the required assessment, keep a deferral current or fails to submit a request for approval of a pediatric formulation.

Within 60 days following submission of the application, the FDA reviews all NDAs and BLAs submitted to ensure that they are sufficiently complete for substantive review before it accepts them for filing. The FDA may request additional information rather than accept an NDA or BLA for filing. In this event, the NDA or BLA must be resubmitted with the additional information. The resubmitted application also is subject to review before the FDA accepts it for filing.

Once the submission is accepted for filing, the FDA will determine the type of review (standard or priority) and the FDA begins an in depth substantive review. The FDA’s goal is to review standard applications within ten months after the filing date, or, if the application qualifies for priority review, six months after the FDA accepts the application for filing. In both standard and priority reviews, the review process may also be extended for three months by the FDA to review additional information deemed a major amendment to the application. The FDA reviews an NDA to determine, among other things, whether a product is safe and effective for its intended use and whether its manufacturing is cGMP compliant to assure and preserve the product’s identity, strength, quality, and purity. The FDA reviews a BLA to determine, among other things whether the product is safe, pure and potent and the facility in which it is manufactured, processed, packed or held meets standards designed to assure the product’s continued safety, purity and potency. The FDA may refer the NDA or BLA to an FDA advisory committee so that independent advice can be provided to contribute to the FDA’s decision-making and lends credibility to the review process. The FDA is not bound by the recommendation of an FDA advisory committee, but it generally follows such recommendations.

Before approving an NDA or BLA, the FDA will typically inspect the facility or facilities where the product is manufactured. The FDA will not approve an application unless it determines that the manufacturing processes and facilities follow cGMP requirements and adequate to assure consistent production of the product within required specifications. Additionally, before approving an NDA or BLA, the FDA may inspect one or more clinical sites to assure compliance with GCP.

After the FDA evaluates an NDA or BLA and conducts inspections of manufacturing facilities where the investigational product and/or its drug substance will be produced, it will issue an Approval Letter or a Complete Response Letter, or CRL. An Approval Letter authorizes commercial marketing of the drug and is accompanied with the approved U.S. Prescribing Information, or USPI. A CRL indicates that the review cycle of the NDA or BLA is complete and the application will not be approved in its current form. A CRL usually describes the specific deficiencies in the NDA or BLA identified by the FDA and may require additional clinical data, such as an additional clinical trial or other significant and time consuming requirements related to clinical trials, nonclinical studies, or manufacturing. If a CRL is issued, the Sponsor must resubmit the NDA or BLA, addressing all of the deficiencies identified in the CRL. Even if such data and information are submitted, the FDA may decide that the NDA does not satisfy the criteria for approval.

22


 

If a product receives FDA approval, the approval may be significantly limited to a specific disease subset, dosages, or use may otherwise be limited, which could restrict the commercial value of the product. In addition, the FDA may require a sponsor to require post-marketing information including additional information from certain trials, perform Phase 4 clinical trials designed to further assess a products safety and effectiveness after NDA or BLA approval, may require testing and surveillance programs to monitor the safety of approved products. The FDA may also place other conditions on approval including the requirement for a Risk Evaluation and Mitigation Strategy, or REMS, to assure the safe use of the drug. If the FDA concludes a REMS is needed, the Sponsor of the NDA or BLA must submit a proposed REMS program. The FDA will not approve the NDA without an approved REMS program, if required. A REMS could include medication guides, physician communication plans or elements to assure safe use, such as restricted distribution methods, patient registries and other risk minimization tools. Any of these limitations on approval or marketing could restrict the commercial promotion, distribution, prescription or dispensing of products.

Orphan Drug Designation

Under the Orphan Drug Act, the FDA may grant orphan designation to a drug or biologic intended to treat a rare disease or condition, which is a disease or condition that affects fewer than 200,000 individuals in the U.S. or, if it affects more than 200,000 individuals in the U.S., there is no reasonable expectation that the cost of developing and making a drug or biologic product available in the U.S. for this type of disease or condition will be recovered from sales of the product. Orphan designation must be requested before submitting an NDA or BLA. After the FDA grants orphan designation, the identity of the therapeutic agent and its potential orphan use are disclosed publicly by the FDA. Orphan designation does not convey any advantage in or shorten the duration of the regulatory review and approval process.

If a product that has orphan designation subsequently receives the first FDA approval for the disease or condition for which it has such designation, the product is entitled to orphan product exclusivity, which means that the FDA may not approve any other applications to market the same drug or biological product for the same indication for seven years, except in limited circumstances, such as a showing of clinical superiority to the product with orphan exclusivity or inability to manufacture the product in sufficient quantities. The designation of such drug or biologic also entitles a party to financial incentives such as opportunities for grant funding towards clinical trial costs, tax advantages and user‑fee waivers. However, competitors, may receive approval of different products for the indication for which the orphan product has exclusivity or obtain approval for the same product but for a different indication for which the orphan product has exclusivity.

 

A designated orphan drug may not receive orphan drug exclusivity if it is approved for a use that is broader than the indication for which it received orphan designation. In addition, exclusive marketing rights in the U.S. may be lost if the FDA later determines that the request for designation was materially defective or if the manufacturer is unable to assure sufficient quantities of the product to meet the needs of patients with the rare disease or condition.

Expedited Development and Review Programs

The FDA offers several expedited development and review programs for qualifying product candidates. For example, the FDA has a Fast Track program that is intended to expedite or facilitate the process for reviewing new drug products that meet certain criteria. Specifically, new drugs or biologics are eligible for Fast Track designation if they are intended for the treatment of a serious or life-threatening disease or condition and which demonstrate the potential to address an unmet medical need for the disease or condition. An unmet medical need is a condition whose treatment or diagnosis is not addressed adequately by available therapy. Fast Track designation applies to the combination of the product candidate and the specific indication for which it is being studied The Sponsor of a Fast Track product candidate has opportunities for more frequent meetings with the FDA review team during product development and, once an NDA or BLA is submitted, the application may be eligible for priority review. With regard to a Fast Track product candidate, the FDA may consider for review sections of the NDA or BLA on a rolling basis before the complete application is submitted, if the Sponsor provides a schedule for the submission of the sections of the NDA or BLA, the FDA agrees to accept sections of the NDA or BLA and determines that the schedule is acceptable, and the Sponsor pays any required user fees upon submission of the first section of the NDA or BLA.

 

A product candidate intended to treat a serious or life-threatening disease or condition may also be eligible for Breakthrough Therapy designation, or BTD to expedite its development and review. A product candidate can receive BTD if preliminary clinical evidence indicates that the product candidate, alone or in combination with one or more other drugs or biologics, may demonstrate substantial improvement over existing therapies on one or more clinically significant endpoints, such as substantial treatment effects observed early in clinical development. The designation includes all the Fast Track program features, as well as more intensive FDA interaction and guidance beginning as early as Phase 1 and an organizational commitment to expedite the development and review of the product candidate, including involvement of senior managers.

23


 

Any product candidate submitted to the FDA for approval, including a product with a Fast Track designation or Breakthrough Therapy designation, may also be eligible for other types of FDA programs intended to expedite development and review, such as priority review. A BLA or NDA for a product candidate is eligible for priority review if the product candidate has the potential to provide a significant improvement in the treatment, diagnosis or prevention of a serious disease or condition compared to marketed products. A serious disease or condition is a disease or condition associated with morbidity that has a substantial impact on day-to-day functioning. Short-lived and self-limiting morbidity will usually not be sufficient, but the morbidity need not be irreversible if it is persistent or recurrent. The FDA will attempt to direct additional resources to the evaluation of a BLA or NDA designated for priority review in an effort to facilitate the review. The FDA endeavors to review applications with priority review designations within six months of the filing date as compared to ten months for review of original BLAs and new molecular entity NDAs under its standard review goals.

In addition, depending on the design of the applicable clinical trials, a product candidate may be eligible for Accelerated Approval. Drugs and biologics intended to treat serious or life-threatening diseases or conditions may be eligible for Accelerated Approval upon a determination that the product candidate has an effect on a surrogate endpoint, is a marker such as a laboratory measurement, radiographic image, physical sign, or other measure, that is thought to predict clinical benefit, or on a clinical endpoint that can be measured earlier than irreversible morbidity or mortality, that is reasonably likely to predict an effect on irreversible morbidity or mortality or other clinical benefit, taking into account the severity, rarity, or prevalence of the condition and the availability or lack of alternative treatments. As a condition of approval, the FDA generally requires that a Sponsor of a drug receiving Accelerated Approval perform adequate and well-controlled confirmatory clinical trials to verify and describe the anticipated effect on irreversible morbidity or mortality or other predicted clinical benefit, and may require that such confirmatory trials be underway before granting any accelerated approval. Products approval using the Accelerated Approval pathway may be subject to expedited withdrawal procedures if the Sponsor fails to conduct the required post-marketing studies in a timely manner or if such studies fail to verify the predicted clinical benefit. In addition, the FDA currently requires as a condition for Accelerated Approval preapproval of promotional materials, which could adversely impact the commercial launch of the product.

 

In 2017, the FDA established the regenerative medicine advanced therapy, or RMAT, designation as part of its implementation of the 21st Century Cures Act. The RMAT designation program is intended to fulfill the 21st Century Cures Act requirement that the FDA facilitate an efficient development program for, and expedite review of, any drug or biologic. Regenerative medicine therapies to treat, modify, reverse, or cure serious conditions are eligible for FDA’s expedited programs, including fast track designation, breakthrough therapy designation, RMAT designation, Accelerated Approval, and priority review designation, if they meet the following criteria: (i) the drug or biologic qualifies as a RMAT, which is defined as a cell therapy, therapeutic tissue engineering product, human cell and tissue product, or any combination product using such therapies or products, with limited exceptions; (ii) the drug or biologic is intended to treat, modify, reverse, or cure a serious or life-threatening disease or condition; and (iii) preliminary clinical evidence indicates that the drug or biologic has the potential to address unmet medical needs for such a disease or condition.

Fast Track designation, Breakthrough Therapy designation, RMAT designation, priority review and Accelerated Approval do not change the standards for approval but may expedite the development or approval process. Even if a product candidate qualifies for one or more of these programs, the FDA may later decide that the product no longer meets the conditions for qualification or decide that the time for FDA review or approval will not be shortened.

Rare Pediatric Disease Priority Review Voucher Program

In 2012, the U.S. Congress authorized the FDA to award priority review vouchers to Sponsors of certain rare pediatric disease product applications. This program is designed to encourage development of new drug and biological products for prevention and treatment of certain rare pediatric diseases. Specifically, under this program, a sponsor who receives an approval for a drug or biologic for a “rare pediatric disease” may qualify for a voucher that can be redeemed to receive priority review of a subsequent marketing application for a different product. The Sponsor of a rare pediatric disease drug product receiving a priority review voucher may transfer (including by sale) the voucher to another sponsor. The voucher may be further transferred any number of times before the voucher is used, as long as the Sponsor making the transfer has not yet submitted the application. The FDA may also revoke any priority review voucher if the rare pediatric disease drug for which the voucher was awarded is not marketed in the U.S. within one year following the date of approval.

 

For purposes of this program, a “rare pediatric disease” is a (a) serious or life-threatening disease in which the serious or life-threatening manifestations primarily affect individuals aged from birth to 18 years, including age groups often called neonates, infants, children, and adolescents; and (b) rare diseases or conditions within the meaning of the Orphan Drug Act. On December 27, 2020, the Rare Pediatric Disease Priority Review Voucher Program was extended. Under the current statutory sunset provisions, after September 30, 2024, FDA may only award a voucher for an approved rare pediatric disease product application if the Sponsor has rare pediatric disease designation for the drug, and that designation was granted by September 30, 2024. After September 30, 2026, FDA may not award any Rare Pediatric Disease Priority Review Voucher.

24


 

Post‑approval requirements

Once an approval of marketing authorization is granted, the FDA may withdraw the approval if compliance with regulatory standards is not maintained or if problems occur after the product reaches the market. Later discovery of previously unknown problems with a product may result in restrictions on the product or even complete withdrawal of the product from the market. After approval, some types of changes to the approved product, such as adding new indications, certain manufacturing changes and additional labeling claims, are subject to further FDA review and approval. Drug and biologics manufacturers and other entities involved in the manufacture and distribution of approved drugs and biologics are required to register their establishments with the FDA and certain state agencies, and are subject to periodic unannounced inspections by the FDA and certain state agencies for compliance with cGMP regulations and other laws and regulations. Changes to the manufacturing process are strictly regulated, and, depending on the significance of the change, may require prior FDA approval before being implemented. FDA regulations also require investigation and correction of any deviations from cGMP and impose reporting requirements upon us and any third-party manufacturers that we may decide to use. Accordingly, manufacturers must continue to expend time, money, and effort in the area of production and quality control to maintain compliance with cGMP and other aspects of regulatory compliance.

Any drug products manufactured or distributed pursuant to FDA approvals remain be subject to continuing regulation by the FDA, including, among other things, recordkeeping requirements, reporting of adverse experiences with the drug, providing the FDA with updated safety and efficacy information, drug sampling and distribution requirements, complying with certain electronic records and signature requirements, and complying with FDA promotion and advertising requirements. The FDA strictly regulates labeling, advertising, promotion and other types of information on products that are placed on the market and imposes requirements and restrictions on drug and biologics manufacturers, such as those related to direct to consumer advertising, the prohibition on promoting products for uses or in patient populations that are not described in the product’s approved labeling (known as “off-label use”), industry sponsored scientific and educational activities, and promotional activities involving the internet. A company can make only those claims relating to safety and efficacy, purity and potency that are approved by the FDA and consistent with the provisions of the approved label. Failure to comply with these requirements can result in, among other things, adverse publicity, warning letters, corrective advertising, and potential civil and criminal penalties. Physicians may prescribe legally available products for uses that are not described in the product’s labeling and that differ from those tested by us and approved by the FDA. Such off-label uses are common across medical specialties. Physicians may believe that such off-label uses are the best treatment for many patients in varied circumstances. The FDA does not regulate the behavior of physicians in their choice of treatments. The FDA does, however, restrict manufacturer’s communications about off-label use of their products.

Discovery of previously unknown problems or the failure to comply with the applicable regulatory requirements may result in restrictions on the marketing of a product or withdrawal of the product from the market as well as possible civil or criminal sanctions. Failure to comply with the applicable U.S. requirements at any time during the product development process, approval process or after approval, may subject an applicant or manufacturer to administrative or judicial civil or criminal sanctions and adverse publicity. FDA sanctions could include refusal to approve pending applications or supplements to approved applications, withdrawal of an approval, clinical hold, warning or untitled letters, product recalls, product seizures, total or partial suspension of production or distribution, injunctions, fines, refusals of government contracts, mandated corrective advertising or communications with doctors, debarment, restitution, disgorgement of profits, or civil or criminal penalties.

Drug Product Marketing Exclusivity

Market exclusivity provisions authorized under the FDCA can delay the submission or the approval of certain marketing applications. For example, the FDCA provides a five-year period of non-patent data exclusivity within the U.S. to the first applicant to obtain approval of an NDA for a new chemical entity. A drug is a new chemical entity if the FDA has not previously approved any other new drug containing the same active moiety, which is the molecule or ion responsible for the action of the drug substance. During the exclusivity period, the FDA may not approve or even accept for review an abbreviated new drug application, or ANDA, or an NDA submitted under Section 505(b)(2), or 505(b)(2) NDA, submitted by another company for another drug based on the same active moiety, regardless of whether the drug is intended for the same indication as the original innovative drug or for another indication, where the applicant does not own or have a legal right of reference to all the data required for approval. However, an application may be submitted after four years if it contains a certification of patent invalidity or non-infringement to one of the patents listed with the FDA by the innovator NDA holder.

25


 

The FDCA alternatively provides three years of non-patent exclusivity for an NDA, or supplement to an existing NDA if new clinical investigations, other than bioavailability studies, that were conducted or sponsored by the applicant are deemed by the FDA to be essential to the approval of the application, for example new indications, dosages or strengths of an existing drug. This three-year exclusivity covers only the modification for which the drug received approval on the basis of the new clinical investigations and does not prohibit the FDA from approving ANDAs or 505(b)(2) NDAs for drugs containing the active agent for the original indication or condition of use. Five-year and three-year exclusivity will not delay the submission or approval of a full NDA. However, an applicant submitting a full NDA would be required to conduct or obtain a right of reference to any preclinical studies and adequate and well-controlled clinical trials necessary to demonstrate safety and effectiveness.

Pediatric exclusivity is another type of marketing exclusivity available in the U.S. Pediatric exclusivity provides for an additional six months of marketing exclusivity attached to another period of regulatory exclusivity or patent term if a sponsor conducts clinical trials in children in response to a written request from the FDA. The issuance of a written request does not require the Sponsor to undertake the described clinical trials. In addition, orphan drug exclusivity, as described above, may offer a seven-year period of marketing exclusivity, except in certain circumstances.

Biosimilars and Exclusivity

The Affordable Care Act includes a subtitle called the Biologics Price Competition and Innovation Act of 2009, or BPCIA, which created an abbreviated approval pathway for biological products that are biosimilar to or interchangeable with an FDA licensed reference biological product. The FDA has issued several guidance documents outlining an approach to review and approval of biosimilars.

Biosimilarity, which requires that there be no clinically meaningful differences between the biological product and the reference product in terms of safety, purity, and potency, can be shown through analytical studies, animal studies, and a clinical study or studies. Interchangeability requires that a product is biosimilar to the reference product and the product must demonstrate that it can be expected to produce the same clinical results as the reference product in any given patient and, for products that are administered multiple times to an individual, the biologic and the reference biologic may be alternated or switched after one has been previously administered without increasing safety risks or risks of diminished efficacy relative to exclusive use of the reference biologic. However, complexities associated with the larger, and often more complex, structures of biological products, as well as the processes by which such products are manufactured, pose significant hurdles to implementation of the abbreviated approval pathway that are still being addressed by the FDA.

Under the BPCIA, an application for a biosimilar product may not be submitted to the FDA until four years following the date that the reference product was first licensed by the FDA. In addition, the approval of a biosimilar product may not be made effective by the FDA until 12 years from the date on which the reference product was first licensed. During this 12-year period of exclusivity, another company may still market a competing version of the reference product if the FDA approves a full BLA for the competing product containing the Sponsor’s own preclinical data and data from adequate and well-controlled clinical trials to demonstrate the safety, purity and potency of their product. The BPCIA also created certain exclusivity periods for biosimilars approved as interchangeable products.

A biological product can also obtain pediatric market exclusivity in the U.S. as described above, if the BLA sponsor voluntarily completes a pediatric study that fairly response to a “written request” from the FDA to conduct such study.

FDA Regulation of Companion Diagnostics

 

Our product candidates may require use of an in vitro diagnostic to identify appropriate patient populations. These diagnostics, often referred to as companion diagnostics, are regulated as medical devices. In the U.S., the FDCA and its implementing regulations, and other federal and state statutes and regulations govern, among other things, medical device design and development, preclinical and clinical testing, premarket clearance or approval, registration and listing, manufacturing, labeling, storage, advertising and promotion, sales and distribution, export and import, and post-market surveillance. Unless an exemption applies, companion diagnostic tests require marketing clearance or approval from the FDA prior to commercial distribution. The two primary types of FDA marketing authorization applicable to a medical device are premarket notification, also called 510(k) clearance, and premarket approval, or PMA, approval.

 

If use of companion diagnostic is essential to safe and effective use of a drug or biologic product, then the FDA generally will require approval or clearance of the diagnostic contemporaneously with the approval of the therapeutic product. On August 6, 2014, the FDA issued a final guidance document addressing the development and approval process for “In Vitro Companion Diagnostic Devices.” According to the guidance, for novel candidates such as our product candidates, a companion diagnostic device and its corresponding drug or biologic candidate should be approved or cleared contemporaneously by FDA for the use indicated in the therapeutic product labeling. The guidance also explains that a companion diagnostic device used to make treatment decisions in clinical trials of a drug generally will be considered an investigational device, unless it is employed for an intended use for which the

26


 

device is already approved or cleared. If used to make critical treatment decisions, such as patient selection, the diagnostic device generally will be considered a significant risk device under the FDA’s Investigational Device Exemption, or IDE, regulations. Thus, the Sponsor of the diagnostic device will be required to comply with the IDE regulations. According to the guidance, if a diagnostic device and a drug are to be studied together to support their respective approvals, both products can be studied in the same investigational study, if the study meets both the requirements of the IDE regulations and the IND regulations. The guidance provides that depending on the details of the study plan and subjects, a sponsor may seek to submit an IND alone, or both an IND and an IDE. In July 2016, the FDA issued a draft guidance document intended to further assist sponsors of therapeutic products and sponsors of in vitro companion diagnostic devices on issues related to co-development of these products.

 

The FDA generally requires companion diagnostics intended to select the patients who will respond to cancer treatment to obtain approval of a PMA for that diagnostic contemporaneously with approval of the therapeutic. The review of these in vitro companion diagnostics in conjunction with the review of therapeutic candidates such as those we are developing involves coordination of review by the FDA’s Center for Drug Evaluation and Research and by the FDA’s Center for Devices and Radiological Health. The PMA process, including the gathering of clinical and preclinical data and the submission to and review by the FDA, can take several years or longer. It involves a rigorous premarket review during which the applicant must prepare and provide the FDA with reasonable assurance of the device’s safety and effectiveness and information about the device and its components regarding, among other things, device design, manufacturing, and labeling. PMA applications are also subject to an application fee. In addition, PMAs for certain devices must generally include the results from extensive preclinical and adequate and well-controlled clinical trials to establish the safety and effectiveness of the device for each indication for which FDA approval is sought. In particular, for a diagnostic, the applicant must demonstrate that the diagnostic produces reproducible results when the same sample is tested multiple times by multiple users at multiple laboratories. In addition, as part of the PMA review, the FDA will typically inspect the manufacturer’s facilities for compliance with the Quality System Regulation, or QSR, which imposes elaborate testing, control, documentation and other quality assurance requirements.

 

If the FDA evaluations of both the PMA application and the manufacturing facilities are favorable, the FDA will either issue an approval letter or an approvable letter, which usually contains several conditions that must be met in order to secure the final approval of the PMA, such as changes in labeling, or specific additional information, such as submission of final labeling, in order to secure final approval of the PMA. If the FDA concludes that the applicable criteria have been met, the FDA will issue a PMA for the approved indications, which can be more limited than those originally sought by the applicant. The PMA can include post-approval conditions that the FDA believes necessary to ensure the safety and effectiveness of the device, including, among other things, restrictions on labeling, promotion, sale and distribution.

 

If the FDA’s evaluation of the PMA or manufacturing facilities is not favorable, the FDA will deny approval of the PMA or issue a not approvable letter. A not approvable letter will outline the deficiencies in the application and, where practical, will identify what is necessary to make the PMA approvable. The FDA may also determine that additional clinical trials are necessary, in which case the PMA approval may be delayed for several months or years while the trials are conducted and then the data submitted in an amendment to the PMA. Once granted, PMA approval may be withdrawn by the FDA if compliance with post approval requirements, conditions of approval or other regulatory standards is not maintained, or problems are identified following initial marketing. PMA approval is not guaranteed, and the FDA may ultimately respond to a PMA submission with a not approvable determination based on deficiencies in the application and require additional clinical trial or other data that may be expensive and time-consuming to generate and that can substantially delay approval.

After a device is placed on the market, it remains subject to significant regulatory requirements. Medical devices may be marketed only for the uses and indications for which they are cleared or approved. Device manufacturers must also establish registration and device listings with the FDA. A medical device manufacturer’s manufacturing processes and those of its suppliers are required to comply with the applicable portions of the QSR, which cover the methods and documentation of the design, testing, production, processes, controls, quality assurance, labeling, packaging, and shipping of medical devices. Domestic facility records and manufacturing processes are subject to periodic unscheduled inspections by the FDA. The FDA also may inspect foreign facilities that export products to the U.S.

Approval Process Outside of the United States

 

In addition to regulations in the U.S., we will be subject to a variety of regulations in other jurisdictions governing, among other things, clinical trials, marketing authorization, post-marketing requirements and any commercial sales and distribution of our product candidates. Because biologically sourced raw materials are subject to unique contamination risks, their use may be restricted in some countries. In addition, ethical, social, and legal concerns about gene-editing technology, gene therapy, genetic testing and genetic research could result in additional regulations restricting or prohibiting the processes we may want to use.

Whether or not we obtain FDA approval for a product candidate, we must obtain the requisite approvals from regulatory authorities in foreign countries prior to the commencement of clinical trials or marketing of the product candidates in those countries. The requirements and process governing the conduct of clinical trials, product licensing, pricing and reimbursement vary from country

27


 

to country. Failure to comply with applicable foreign regulatory requirements, may be subject to, among other things, fines, suspension or withdrawal of regulatory approvals, product recalls, seizure of products, operating restrictions, and criminal prosecution.

 

Regulations Governing Marketing Authorization of Medicinal Products in the European Union

Preclinical studies and clinical trials

 

Similarly to the U.S., the various phases of preclinical and clinical research in the European Union, or EU, are subject to significant regulatory controls.

Preclinical studies are performed to demonstrate the health or environmental safety of new chemical or biological substances. Preclinical studies must be conducted in compliance with the principles of GLP as set forth in EU Directive 2004/10/EC. In particular, preclinical studies, both in vitro and in vivo, must be planned, performed, monitored, recorded, reported and archived in accordance with the GLP principles, which define a set of rules and criteria for a quality system for the organizational process and the conditions for preclinical studies.

The regulatory landscape related to clinical trials in the EU has been subject to recent changes. The EU Clinical Trials Regulation, or CTR, which was adopted in April 2014 and repeals the EU Clinical Trials Directive, became applicable on January 31, 2022. The CTR foresees a three-year transition period. The extent to which ongoing and new clinical trials will be governed by the CTR varies. For clinical trials whose Clinical Trial Application, or CTA, was made under the Clinical Trials Directive before January 31, 2022, the Clinical Trials Directive will continue to apply on a transitional basis for three years. Additionally, Sponsors may still choose to submit a CTA under either the Clinical Trials Directive or the CTR until January 31, 2023 and, if authorized, those will be governed by the Clinical Trials Directive until January 31, 2025. By that date, all ongoing trials will become subject to the provisions of the CTR.

Unlike directives, the CTR is directly applicable in all EU member states without the need for member states to further implement it into national law. The CTR notably harmonizes the assessment and supervision processes for clinical trials throughout the EU via a Clinical Trials Information System, which contains a centralized EU portal and database.

While the Clinical Trials Directive required a separate CTA to be submitted in each member state, to both the competent national health authority and an independent ethics committee, much like the FDA and IRB respectively, the CTR introduces a centralized process and only requires the submission of a single application to all member states concerned. The CTR allows sponsors to make a single submission to both the competent authority and an ethics committee in each member state, leading to a single decision per member state. The CTA must include, among other things, a copy of the trial protocol and an investigational medicinal product dossier, or IMPD, containing information about the manufacture and quality of the medicinal product under investigation. The assessment procedure of the CTA has been harmonized as well, including a joint assessment by all member states concerned, and a separate assessment by each member state with respect to specific requirements related to its own territory, including ethics rules. Each member state’s decision is communicated to the Sponsor via the centralized EU portal. Once the CTA is approved, clinical study development may proceed.

 

Medicines used in clinical trials must be manufactured in accordance with GMP. Other national and EU-wide regulatory requirements may also apply.

Marketing Authorization

 

In the EU, to obtain regulatory approval of an investigational chemical or biological product under EU regulatory systems, a marketing authorization application, or MAA, must be submitted. Medicinal product candidates can only be placed on the market after obtaining a marketing authorization, or MA. The process for doing this depends, among other things, on the nature of the medicinal product.

 

“Centralized MAs” are issued by the European Commission through the centralized procedure, based on the opinion of the Committee for Medical Products for Human Use, or CHMP, of the European Medicines Agency, or EMA, and are valid throughout the EU. The centralized procedure is compulsory for certain types of medicinal medicines, such as: (i) medicinal products derived from biotechnology processes, such as genetic engineering, (ii) medicinal products containing a new active substance indicated for the treatment of certain diseases, such as HIV/AIDS, cancer, diabetes, neurodegenerative diseases, autoimmune and other immune dysfunctions and viral diseases, (iii) designated orphan medicines, and (iv) Advanced Therapy Medicinal Products, or ATMPs, such as gene therapy, somatic cell therapy or tissue-engineered medicines. The centralized procedure may at the request of the applicant also be used in certain other cases. It is very likely that the centralized procedure would apply to the products we are developing.

 

The Committee for Advanced Therapies, or CAT, is responsible in conjunction with the CHMP for the evaluation of ATMPs. The CAT is primarily responsible for the scientific evaluation of ATMPs and prepares a draft opinion on the quality, safety and efficacy of each ATMP for which a MAA is submitted. The CAT’s opinion is then taken into account by the CHMP when giving its

28


 

final recommendation regarding the authorization of a product in view of the balance of benefits and risks identified. Although the CAT’s draft opinion is submitted to the CHMP for final approval, the CHMP may depart from the draft opinion, if it provides detailed scientific justification. The CHMP and CAT are also responsible for providing guidelines on ATMPs and have published numerous guidelines, including specific guidelines on gene therapies and cell therapies. These guidelines provide additional guidance on the factors that the EMA will consider in relation to the development and evaluation of ATMPs and include, among other things, the preclinical studies required to characterize ATMPs; the manufacturing and control information that should be submitted in a marketing authorization application; and post-approval measures required to monitor patients and evaluate the long-term efficacy and potential adverse reactions of ATMPs.

 

Under the centralized procedure and in exceptional cases, the CHMP might perform an accelerated review of a MA in no more than 150 days (not including clock stops). Innovative products that target an unmet medical need and are expected to be of major public health interest may be eligible for a number of expedited development and review programs, such as the PRIME scheme, which provides incentives similar to the breakthrough therapy designation in the U.S. In March 2016, the EMA launched an initiative, the Priority Medicines, or PRIME, scheme, a voluntary scheme aimed at enhancing the EMA’s support for the development of medicines that target unmet medical needs. It is based on increased interaction and early dialogue with companies developing promising medicines, to optimize their product development plans and speed up their evaluation to help them reach patients earlier. Product developers that benefit from PRIME designation can expect to be eligible for accelerated assessment, but this is not guaranteed. Many benefits accrue to sponsors of product candidates with PRIME designation, including but not limited to, early and proactive regulatory dialogue with the EMA, frequent discussions on clinical trial designs and other development program elements, and accelerated MAA assessment once a dossier has been submitted. Importantly, a dedicated contact and rapporteur from the CHMP is appointed early in the PRIME scheme facilitating increased understanding of the product at EMA’s committee level. An initial meeting initiates these relationships and includes a team of multidisciplinary experts at the EMA to provide guidance on the overall development and regulatory strategies.

 

Moreover, in the EU, a “conditional” MA may be granted in cases where all the required safety and efficacy data are not yet available. The conditional MA is subject to conditions to be fulfilled for generating the missing data or ensuring increased safety measures. It is valid for one year and must be renewed annually until fulfillment of all the conditions. Once the pending studies are provided, it can become a “standard” MA. However, if the conditions are not fulfilled within the timeframe set by the EMA, the MA ceases to be renewed. Furthermore, MA may also be granted “under exceptional circumstances” when the applicant can show that it is unable to provide comprehensive data on the efficacy and safety under normal conditions of use even after the product has been authorized and subject to specific procedures being introduced. This may arise when the intended indications are very rare and, in the present state of scientific knowledge, it is not possible to provide comprehensive information, or when generating data may be contrary to generally accepted ethical principles. This MA is close to the conditional MA as it is reserved to medicinal products to be approved for severe diseases or unmet medical needs and the applicant does not hold the complete data set legally required for the grant of a MA. However, unlike the conditional MA, the applicant does not have to provide the missing data and will never have to. Although the MA “under exceptional circumstances” is granted definitively, the risk-benefit balance of the medicinal product is reviewed annually and the MA is withdrawn in case the risk-benefit ratio is no longer favorable.

 

MAs have an initial duration of five years. After these five years, the authorization may be renewed for an unlimited period on the basis of a reevaluation of the risk-benefit balance.

Data and Marketing Exclusivity

 

The EU also provides opportunities for market exclusivity. Upon receiving MA, reference medicinal products generally qualify for eight years of data exclusivity and an additional two years of market exclusivity. If granted, data exclusivity prevents generic or biosimilar applicants from relying on the preclinical and clinical trial data contained in the dossier of the reference product when applying for a generic or biosimilar MA in the EU during a period of eight years from the date on which the reference product was first authorized in the EU. During the additional two‑year period of market exclusivity, a generic/biosimilar MA can be submitted, and the innovator’s data may be referenced, but no generic/biosimilar product can be marketed until 10 years have elapsed from the initial authorization of the reference product in the EU. The overall ten-year market exclusivity period may be extended to a maximum of 11 years if, during the first eight years of those 10 years, the MA holder obtains an authorization for one or more new therapeutic indications which, during the scientific evaluation prior to their authorization, are held to bring a significant clinical benefit in comparison with existing therapies. However, there is no guarantee that a product will be considered by the EU’s regulatory authorities to be a new chemical/biological entity, and products may not qualify for data exclusivity.

 

Orphan Medicinal Products

The criteria for designating an “orphan medicinal product” in the EU are similar in principle to those in the U.S. A medicinal product may be designated as orphan if its Sponsor can establish that: (1) the product is intended for the diagnosis, prevention or

29


 

treatment of a life-threatening or chronically debilitating condition, (2) either: (a) such condition affects no more than five in 10,000 persons in the EU when the application is made, or (b) the product, without the benefits derived from orphan status, would not generate sufficient return in the EU to justify investment, and (3) there exists no satisfactory method of diagnosis, prevention or treatment of such condition authorized for marketing in the EU, or if such a method exists, the product will be of significant benefit to those affected by the condition.

The application for orphan drug designation must be submitted before the application for MA. Orphan drug designation entitles a party to financial incentives such as reduction of fees or fee waivers and access to the centralized procedure. Once authorized, orphan medicinal products are entitled to ten years of market exclusivity for the approved therapeutic indication. During the ten-year market exclusivity period, the competent authorities cannot accept a MAA, or grant a MA, or accept an application to extend a MA, for the same indication, in respect of a similar medicinal product. The applicant will receive a fee reduction for the MAA if the orphan drug designation has been granted, but not if the designation is still pending at the time the MAA is submitted. The period of market exclusivity is extended by two years for orphan medicinal products that have also complied with an agreed pediatric investigation plan, or PIP. No extension to any supplementary protection certificate can be granted on the basis of pediatric studies for orphan indications. Orphan drug designation does not convey any advantage in, or shorten the duration of, the regulatory review and approval process.

The 10‑year market exclusivity may be reduced to six years if, at the end of the fifth year, it is established that the product no longer meets the criteria for orphan designation, for example, if the product is sufficiently profitable not to justify maintenance of market exclusivity, or where the prevalence of the condition has increased above the threshold. In addition, MA may be granted to a similar product for the same indication at any time if (1) the second applicant can establish that its product, although similar, is safer, more effective or otherwise clinically superior; (2) the applicant consents to a second orphan medicinal product application; or (3) the applicant cannot supply enough quantities of the orphan medicinal product. A company may voluntarily remove a product from the orphan register.

 

The aforementioned EU rules are generally applicable in the European Economic Area, or EEA, which consists of the 27 EU member states plus Norway, Liechtenstein and Iceland.

 

Failure to comply with EU and member state laws that apply to the conduct of clinical trials, manufacturing approval, MA of medicinal products and marketing of such products, both before and after grant of the MA, manufacturing of pharmaceutical products, statutory health insurance, bribery and anti-corruption or with other applicable regulatory requirements may result in administrative, civil or criminal penalties. These penalties could include delays or refusal to authorize the conduct of clinical trials, or to grant MA, product withdrawals and recalls, product seizures, suspension, withdrawal or variation of the MA, total or partial suspension of production, distribution, manufacturing or clinical trials, operating restrictions, injunctions, suspension of licenses, fines and criminal penalties.

 

Regulation of Companion Diagnostics in the EU

In the EU, in vitro diagnostic medical devices are regulated by Directive 98/79/EC, or IVDD, which regulates the placing on the market, the CE marking, the essential requirements, the conformity assessment procedures, the registration obligations for manufactures and devices as well as the vigilance procedure. In vitro diagnostic medical devices must comply with the requirements provided for in the Directive, and with further requirements implemented at national level (as the case may be).

 

The regulation of companion diagnostics is subject to further requirements since the in-vitro diagnostic medical devices Regulation No 2017/746, or IVDR, became effective on May 26, 2022. The IVDR will fully apply on May 26, 2022, but there will be a tiered system extending the grace period for many devices (depending on their risk classification) before they have to be fully compliant with the regulation.

 

The IVDR introduces a new classification system for companion diagnostics which are now specifically defined as diagnostic tests that support the safe and effective use of a specific medicinal product, by identifying patients that are suitable or unsuitable for treatment. Companion diagnostics will have to undergo a conformity assessment by a notified body. Before it can issue a CE certificate, the notified body must seek a scientific opinion from the EMA on the suitability of the companion to the medicinal product concerned if the medicinal product falls exclusively within the scope of the centralized procedure for the authorization of medicines, or the medicinal product is already authorized through the centralized procedure, or a MAA for the medicinal product has been submitted through the centralized procedure. For other substances, the notified body can seek the opinion from a national competent authority or the EMA.

 

The aforementioned EU rules are generally applicable in the EEA.

 

30


 

Brexit and the Regulatory Framework in the United Kingdom

The United Kingdom, or UK, left the EU on January 31, 2020, following which existing EU medicinal product legislation continued to apply in the UK during the transition period under the terms of the EU-UK Withdrawal Agreement. The transition period, which ended on December 31, 2020, maintained access to the EU single market and to the global trade deals negotiated by the EU on behalf of its members. The transition period provided time for the UK and EU to negotiate a framework for partnership for the future, which was then crystallized in the Trade and Cooperation Agreement, or TCA, and became effective on the January 1, 2021. The TCA includes specific provisions concerning pharmaceuticals, which include the mutual recognition of GMP inspections of manufacturing facilities for medicinal products and GMP documents issued, but does not foresee wholesale mutual recognition of UK and EU pharmaceutical regulations.

 

EU laws which have been transposed into UK law through secondary legislation continue to be applicable as “retained EU law”. However, new legislation such as the EU CTR will not be applicable. The UK government has passed a new Medicines and Medical Devices Act 2021, which introduces delegated powers in favor of the Secretary of State or an ‘appropriate authority’ to amend or supplement existing regulations in the area of medicinal products and medical devices. This allows new rules to be introduced in the future by way of secondary legislation, which aims to allow flexibility in addressing regulatory gaps and future changes in the fields of human medicines, clinical trials and medical devices.

As of January 1, 2021, the Medicines and Healthcare products Regulatory Agency, or MHRA, is the UK’s standalone medicines and medical devices regulator. As a result of the Northern Ireland protocol, different rules will apply in Northern Ireland than in England, Wales, and Scotland, together, Great Britain, or GB; broadly, Northern Ireland will continue to follow the EU regulatory regime, but its national competent authority will remain the MHRA. The MHRA has published a guidance on how various aspects of the UK regulatory regime for medicines will operate in GB and in Northern Ireland following the expiry of the Brexit transition period on December 31, 2020. The guidance includes clinical trials, importing, exporting, and pharmacovigilance and is relevant to any business involved in the research, development, or commercialization of medicines in the UK. The new guidance was given effect via the Human Medicines Regulations (Amendment etc.) (EU Exit) Regulations 2019, or the Exit Regulations.

The MHRA has introduced changes to national licensing procedures, including procedures to prioritize access to new medicines that will benefit patients, including a 150-day assessment and a rolling review procedure. All existing EU MAs for centrally authorized products were automatically converted or grandfathered into UK MAs, effective in GB (only), free of charge on January 1, 2021, unless the MA holder chooses to opt-out. In order to use the centralized procedure to obtain a MA that will be valid throughout the EEA, companies must be established in the EEA. Therefore, after Brexit, companies established in the UK can no longer use the EU centralized procedure and instead an EEA entity must hold any centralized MAs. In order to obtain a UK MA to commercialize products in the UK, an applicant must be established in the UK and must follow one of the UK national authorization procedures or one of the remaining post-Brexit international cooperation procedures. The MHRA may rely on a decision taken by the European Commission on the approval of a new (centralized procedure) MA when determining an application for a GB authorization; or use the MHRA’s decentralized or mutual recognition procedures which enable MAs approved in EU member states (or Iceland, Liechtenstein, Norway) to be granted in GB.

Other Foreign Regulations Governing Marketing Authorization of Medicinal Products

For other countries outside of the EU, such as countries in Eastern Europe, Latin America or Asia, the requirements governing the conduct of clinical trials, product licensing, pricing and reimbursement vary from country to country. In all cases, again, the clinical trials are conducted in accordance with GCP and the applicable regulatory requirements and the ethical principles that have their origin in the Declaration of Helsinki.

If we fail to comply with applicable foreign regulatory requirements, we may be subject to, among other things, fines, suspension or withdrawal of regulatory approvals, product recalls, seizure of products, operating restrictions and criminal prosecution.

Other Healthcare Laws and Compliance Requirements

Pharmaceutical companies are subject to additional healthcare regulation and enforcement by the U.S. federal and state governments and by authorities in the foreign jurisdictions in which they conduct their business and may constrain the financial arrangements and relationships through which we research, as well as sell, market and distribute any products for which we obtain marketing authorization. Such laws include, without limitation, state and federal anti-kickback, fraud and abuse, false claims, data privacy and security, and transparency laws and regulations related to drug pricing and payments and other transfers of value made to physicians and other healthcare providers. Violation of these laws or other governmental regulations may result in penalties, including, without limitation, significant civil, criminal and administrative penalties, damages, fines, exclusion from government-funded healthcare programs, such as Medicare and Medicaid or similar programs in other countries or jurisdictions, integrity oversight and reporting obligations to resolve allegations of non-compliance, disgorgement, imprisonment, contractual damages, reputational harm, diminished profits and the curtailment or restructuring of operations.

31


 

Coverage and Reimbursement

Significant uncertainty exists as to the coverage and reimbursement status of any pharmaceutical or biological product for which we obtain regulatory approval. Sales of any product depend, in part, on the extent to which such product will be covered by third-party payors, such as federal, state, and foreign government healthcare programs, commercial insurance and managed healthcare organizations, and the level of reimbursement for such product by third-party payors. Decisions regarding the extent of coverage and amount of reimbursement to be provided are made on a plan-by-plan basis. Further, no uniform policy for coverage and reimbursement exists in the U.S., and coverage and reimbursement can differ significantly from payor to payor. Third-party payors often rely upon Medicare coverage policy and payment limitations in setting their own reimbursement rates, but also have their own methods and approval process apart from Medicare determinations. As a result, the coverage determination process is often a time-consuming and costly process that may require companies to provide scientific and clinical support for the use of a product to each payor separately. For products administered under the supervision of a physician, obtaining coverage and adequate reimbursement may be particularly difficult because of the higher prices often associated with such drugs. Additionally, separate reimbursement for the product itself or the treatment or procedure in which the product is used may not be available, which may impact physician utilization. Lastly, companion diagnostic tests require coverage and reimbursement separate and apart from the coverage and reimbursement for their companion pharmaceutical or biological products. Similar challenges to obtaining coverage and reimbursement, applicable to pharmaceutical or biological products, will apply to companion diagnostics.

In addition, the U.S. government, state legislatures and foreign governments have continued implementing cost-containment programs, including price controls, restrictions on coverage and reimbursement and requirements for substitution of generic (or biosimilar) products. Third-party payors are increasingly challenging the prices charged for medical products and services, examining the medical necessity, and reviewing the cost effectiveness of pharmaceutical or biological products, medical devices and medical services, in addition to questioning safety and efficacy. Adoption of price controls and cost-containment measures, and adoption of more restrictive policies in jurisdictions with existing controls and measures, could further limit sales of any product. Decreases in third-party reimbursement for any product or a decision by a third-party payor not to cover a product could reduce physician usage and patient demand for the product.

Healthcare Reform

The U.S. and some foreign jurisdictions are considering or have enacted several reform proposals to change the healthcare system. There is significant interest in promoting changes in healthcare systems with the stated goals of containing healthcare costs, improving quality or expanding access. In the U.S., the pharmaceutical industry has been a particular focus of these efforts and has been significantly affected by federal and state legislative initiatives, including those designed to limit the pricing, coverage, and reimbursement of pharmaceutical and biopharmaceutical products, especially under government-funded health care programs, and increased governmental control of drug pricing.

In March 2010, the Affordable Care Act, or ACA, was signed into law, which substantially changed the way healthcare is financed by both governmental and private insurers in the U.S., and significantly affected the pharmaceutical industry. The ACA contains a number of provisions of particular importance to the pharmaceutical and biotechnology industries, including, but not limited to, those governing enrollment in federal healthcare programs, a new methodology by which rebates owed by manufacturers under the Medicaid Drug Rebate Program are calculated for drugs that are inhaled, infused, instilled, implanted or injected, and annual fees based on pharmaceutical companies’ share of sales to federal health care programs.

32


 

Since its enactment, there have been judicial, Congressional, and executive branch challenges to certain aspects of the ACA. On June 17, 2021, the U.S. Supreme Court dismissed the most recent judicial challenge to the ACA brought by several states without specifically ruling on the constitutionality of the ACA. Other legislative changes have been proposed and adopted since the ACA was enacted, including aggregate reductions of Medicare payments to providers, which was temporarily suspended from May 1, 2020, through March 31, 2022, and reduced payments to several types of Medicare providers.

Moreover, there has recently been heightened governmental scrutiny over the way manufacturers set prices for their marketed products, which has resulted in several Congressional inquiries and proposed and enacted federal and state legislation designed to, among other things, bring more transparency to product pricing, review the relationship between pricing and manufacturer patient programs, and reform government program reimbursement methodologies for drug products. Most significantly, on August 16, 2022, the Inflation Reduction Act of 2022, or IRA, was signed into law. Among other things, the IRA requires manufacturers of certain drugs to engage in price negotiations with Medicare (beginning in 2026), with prices that can be negotiated subject to a cap; imposes rebates under Medicare Part B and Medicare Part D to penalize price increases that outpace inflation (first due in 2023); and replaces the Part D coverage gap discount program with a new discounting program (beginning in 2025). The IRA permits the Secretary of the Department of Health and Human Services, or HHS, to implement many of these provisions through guidance, as opposed to regulation, for the initial years. On August 29, 2023, HHS announced the list of the first ten drugs that will be subject to price negotiations. HHS has issued and will continue to issue guidance implementing the IRA, although the Medicare drug price negotiation program is currently subject to legal challenges. While the impact of the IRA on the pharmaceutical industry and our business cannot yet be fully determined, it is likely to be significant.

At the state level, legislatures have increasingly passed legislation and implemented regulations designed to control pharmaceutical product pricing, including price or patient reimbursement constraints, discounts, restrictions on certain product access and marketing cost disclosure and transparency measures, and, in some cases, designed to encourage importation from other countries and bulk purchasing.

It is likely that federal and state legislatures within the U.S. and foreign governments will continue to consider changes to existing health care legislation. We cannot predict the reform initiatives that may be adopted in the future or whether initiatives that have been adopted will be repealed or modified.

 

Data Privacy and Security Laws

Numerous state, federal and foreign laws, regulations, and standards govern the collection, use, access to, confidentiality and security of health-related and other personal information and could apply now or in the future to our operations or the operations of our partners. In the U.S., numerous federal and state laws and regulations, including data breach notification laws, health information privacy and security laws and consumer protection laws and regulations govern the collection, use, disclosure, and protection of health-related and other personal information. In addition, certain foreign laws govern the privacy and security of personal data, including health-related data. For example, the European Union General Data Protection Regulation, or GDPR, imposes strict requirements for processing the personal data of individuals within the European Economic Area, or EEA. Companies that must comply with the GDPR face increased compliance obligations and risk, including more robust regulatory enforcement of data protection requirements and potential fines for noncompliance of up to €20 million or 4% of the annual global revenues of the noncompliant undertaking, whichever is greater. Further, from January 1, 2021, companies have had to comply with the GDPR and the United Kingdom GDPR, or UK GDPR, which, together with the amended United Kingdom Data Protection Act 2018, retains the GDPR in United Kingdom, or UK, national law. The UK GDPR mirrors the fines under the GDPR, i.e., fines up to the greater of €20 million (£17.5 million) or 4% of global turnover. Privacy and security laws, regulations, and other obligations are constantly evolving, may conflict with each other to complicate compliance efforts, and can result in investigations, proceedings, or actions that lead to significant civil and/or criminal penalties and restrictions on data processing.

Human Capital

As of March 1, 2024, we had 27 full-time employees, three part-time employees, and several consultants, most of whom are engaged in research and development activities. None of our employees are represented by labor unions or covered by collective bargaining agreements. We consider our relationship with our employees to be good.

Our human capital resources objectives include, as applicable, identifying, recruiting, retaining, and incentivizing our management team and our clinical, scientific, and other employees and consultants. The principal purposes of our equity and cash incentive plans are to attract, retain and motivate personnel through the granting of stock-based and cash-based compensation awards, to align our interests and the interests of our stockholders with those of our employees and consultants.

33


 

Facilities

Our corporate headquarters are in San Diego, California, where we lease 3,748 square feet of office space available for corporate, research, development, clinical, regulatory, manufacturing and quality functions.

Corporate Information and Merger

We were incorporated under the name Genotherapeutics, Inc. in Tennessee in September 1997. We changed our name to GTx, Inc. in 2001 and reincorporated in Delaware in 2003. On March 6, 2019, we, then operating as GTx, Inc., or GTx, entered into an Agreement and Plan of Merger and Reorganization, as amended, or the Merger Agreement, with privately-held Oncternal Therapeutics, Inc., or Private Oncternal, and Grizzly Merger Sub, Inc., our wholly-owned subsidiary, or Merger Sub. Under the Merger Agreement, Merger Sub merged with and into Private Oncternal, with Private Oncternal surviving as our wholly-owned subsidiary (the “Merger”). On June 7, 2019, the Merger was completed. GTx changed its name to Oncternal Therapeutics, Inc., and Private Oncternal, which remains as our wholly-owned subsidiary, changed its name to Oncternal Oncology, Inc. On June 10, 2019, the combined company’s common stock began trading on The Nasdaq Capital Market under the ticker symbol “ONCT.”

Our principal executive offices are located at 12230 El Camino Real, Suite 230, San Diego, CA 92130, and our telephone number is (858) 434-1113. Our website address is www.oncternal.com.

We file electronically with the Securities and Exchange Commission, or SEC, our annual reports on Form 10-K, quarterly reports on Form 10-Q and current reports on Form 8-K pursuant to Section 13(a) or 15(d) of the Securities Exchange Act of 1934, as amended. We make available on our website at www.oncternal.com, free of charge, copies of these reports, as soon as reasonably practicable after we electronically file such material with, or furnish it to, the SEC. The SEC maintains a website that contains reports, proxy and information statements and other information regarding issuers that file electronically with the SEC. The address of that website is www.sec.gov. The information in or accessible through the SEC and our website are not incorporated into, and are not considered part of, this filing. Further, our references to the URLs for these websites are intended to be inactive textual references only.

Item 1A. Risk Factors.

You should consider carefully the following risk factors, together with the other information contained in this Annual Report, including our financial statements and the related notes and “Management Discussion and Analysis of Financial Condition and Results of Operations,” before making a decision to purchase or sell shares of our common stock. We cannot assure you that any of the events discussed in the risk factors below will not occur. If any of the following events actually occur, our business, operating results, prospects or financial condition could be materially and adversely affected. This could cause the trading price of our common stock to decline and you may lose all or part of your investment. The risks described below are not the only ones that we face. Additional risks not presently known to us or that we currently deem immaterial may also affect our business operations or financial condition.

Risks Related to Our Limited Operating History, Financial Position and Capital Requirements

We have a relatively limited operating history, have incurred significant operating losses since our inception and expect to incur significant losses for the foreseeable future. We may never generate any revenue or become profitable or, if we achieve profitability, we may not be able to sustain it.

Biopharmaceutical product development is a highly speculative undertaking and involves a substantial degree of risk. We are a clinical‑stage biopharmaceutical company with a relatively limited operating history upon which you can evaluate our business and prospects. To date, we have focused primarily on staffing our company, business planning, raising capital, identifying, acquiring, and in‑licensing our product candidates and conducting preclinical studies and clinical trials. ONCT-534, our DAARI candidate, and ONCT‑808, our ROR1 CAR T cell therapy candidate, are in clinical development. We have not yet demonstrated an ability to successfully obtain marketing authorization approvals, manufacture a commercial scale product, or finalize plans for a third‑party to do so on our behalf, or embark on sales and marketing activities necessary for successful post marketing authorization product commercialization, and have not developed, if necessary, any companion diagnostic test for our product candidates. Consequently, any predictions made about our future success or viability may not be as accurate as they could be if we had a history of successfully developing and commercializing biopharmaceutical products.

We have incurred significant operating losses since our inception. If our product candidates are not successfully developed and approved, we may never generate any revenue. Our net losses were $39.5 million and $44.2 million for the years ended December 31, 2023, and 2022, respectively. As of December 31, 2023, we had an accumulated deficit of $197.8 million. Substantially all of our losses have resulted from expenses incurred in connection with our research and development programs and from general and

34


 

administrative costs associated with our operations. All of our product candidates will require substantial additional development time and resources before we would be able to apply for or receive regulatory approvals and begin generating revenue from product sales. We expect to continue to incur losses for the foreseeable future, and anticipate these losses will increase substantially as we continue to develop, seek regulatory approval for and potentially commercialize any of our product candidates, and seek to identify, assess, acquire, in‑license or develop additional product candidates.

To become and remain profitable, we must succeed in developing and eventually commercializing products that generate significant revenue. This will require us to be successful in a range of challenging activities, including completing clinical trials and preclinical studies of our product candidates, obtaining marketing authorization approval for these product candidates and manufacturing, marketing, and selling any products for which we may obtain regulatory approval. We are only in the early stages in a number of these commercialization activities. We may never succeed in these activities and, even if we do, may never generate revenues that are significant enough to achieve profitability. In addition, we have not yet demonstrated an ability to successfully overcome many of the risks and uncertainties frequently encountered by companies in new and rapidly evolving fields, particularly in the biopharmaceutical industry. Because of the numerous risks and uncertainties associated with biopharmaceutical product development, we are unable to accurately predict the timing or amount of increased expenses or when, or if, we will be able to achieve profitability. Even if we do achieve profitability, we may not be able to sustain or increase profitability on a quarterly or annual basis. Our failure to become and remain profitable would depress our value and could impair our ability to raise capital, expand our business, maintain our research and development efforts, diversify our product candidates or even continue our operations. A decline in our company’s value could also cause stockholders to lose all or part of their investment.

We will require substantial additional financing to achieve our goals, and a failure to obtain this necessary capital when needed and on acceptable terms, or at all, could force us to delay, limit, reduce or terminate our product development programs, commercialization efforts or other operations.

The development of biopharmaceutical product candidates is capital intensive. We expect our expenses to increase in connection with our ongoing activities, particularly as we conduct our ongoing and planned clinical trials of ONCT-534 and ONCT 808 and seek regulatory approval for our current product candidates and any future product candidates we may develop. In addition, as our product candidates progress through development and toward commercialization, we will need to make milestone payments to the licensors and other third parties from whom we have in licensed or acquired our product candidates, including ONCT 534, ONCT 808, and zilovertamab. If we obtain regulatory approval for any of our product candidates, we also expect to incur significant commercialization expenses related to product manufacturing, marketing, sales and distribution and we will need to make royalty payments to the licensors and other third parties from whom we have in licensed or acquired our product candidates, including our DAARI, ROR1 CAR T and zilovertamab programs.

Because the outcome of any clinical trial or preclinical study is highly uncertain, we cannot reasonably estimate the actual amounts necessary to successfully complete the development and commercialization of our product candidates. Accordingly, we will need to obtain substantial additional funding in connection with our continuing operations. If we are unable to raise capital when needed or on attractive terms, we could be forced to delay, reduce or eliminate our research and development programs or any future commercialization efforts.

We have based our estimates of our funding requirements on assumptions that may prove to be wrong, and we could use our capital resources sooner than we currently expect. Our operating plans and other demands on our cash resources may change as a result of many factors currently unknown to us, and we may need to seek additional funds sooner than planned, through a combination of equity financings, debt financings, government funding or other capital sources, including potentially collaborations, licenses and other similar arrangements. In addition, we may seek additional capital due to favorable market conditions or strategic considerations even if we believe we have sufficient funds for our current or future operating plans. Attempting to secure additional financing may divert our management from our day‑to‑day activities, which may adversely affect our ability to develop our product candidates.

Our future capital requirements will depend on many factors, including:

the type, number, scope, progress, expansions, results, costs and timing of our clinical trials of our DAARI and ROR1 CAR T programs or additional indications of our current product candidates as well as other product candidates that we may choose to pursue in the future;
the costs and timing of manufacturing our product candidates, including commercial manufacturing if any product candidate is approved;
the costs and capacity for CAR T development and lentivirus manufacturing;
the costs, timing and outcome of regulatory review of our product candidates;
the costs of obtaining, maintaining and enforcing our patents and other intellectual property rights;

35


 

our efforts to enhance operational systems and hire additional personnel to satisfy our obligations as a public company, including enhanced internal controls over financial reporting;
the costs associated with hiring additional personnel, contract research organizations, or CROs and consultants as our clinical and other development activities increase;
the timing and amount of the milestone or other payments we must make to the licensors and other third parties from whom we have in‑licensed or acquired our product candidates or technology;
the costs and timing of establishing or securing sales and marketing capabilities if any of our product candidates are approved;
our ability to achieve sufficient market acceptance, coverage and adequate reimbursement from third‑party payors and adequate market share and revenue for any approved products;
the terms and timing of establishing and maintaining collaborations, licenses and other similar arrangements; and
costs associated with any products or technologies that we may in‑license or acquire.

Conducting clinical trials and preclinical studies is a time consuming, expensive, and uncertain process that takes years to complete, and we may never generate the necessary data or results required to obtain regulatory approval and achieve product sales. In addition, our product candidates, if approved, may not achieve commercial success. Our commercial revenues, if any, will be derived from sales of products that we do not expect to be commercially available for many years, if at all.

Accordingly, we will need to continue to rely on additional financing to achieve our business objectives. Adequate additional financing may not be available to us on acceptable terms, or at all. In addition, we may seek additional capital due to favorable market conditions or strategic considerations, even if we believe we have sufficient funds for our current or future operating plans.

In April 2021, our Form S 3 shelf registration statement became effective. Future sales under a Form S 3, if any, will depend on a variety of factors including, but not limited to, the effectiveness of a Form S 3, prevailing market conditions, the trading price of our common stock, our public float and our capital needs. In December 2021, we entered into an Open Market Sales AgreementSM, or the Sales Agreement, with Jefferies LLC, or the Sales Agent, pursuant to which we may offer and sell shares of our common stock having an aggregate offering price of up to $50.0 million pursuant to the Form S 3 registration statement. There can be no assurance that the Sales Agent will be successful in consummating future sales based on prevailing market conditions or in the quantities or at the prices that we deem appropriate. In addition, under current SEC regulations, as of the filing of this annual report on Form 10 K, our public float is less than $75 million, and under SEC regulations for so long as our public float remains less than $75 million, the amount we can raise through primary public offerings of securities in any twelve month period using shelf registration statements is limited to an aggregate of one third of our public float, which is referred to as the baby shelf rules. As of March 1, 2024, our public float was approximately $27.0 million, based on 2,689,233 shares of outstanding common stock held by non-affiliates and at a price of $10.03 per share, which was the last reported sale price of our common stock on the Nasdaq Capital Market on March 1, 2024. As a result of our public float being below $75 million, we will be limited by the baby shelf rules until such time as our public float exceeds $75 million, which means we only have the capacity to sell shares up to one-third of our public float under shelf registration statements in any twelve-month period. As of March 1, 2024, we had the capacity to issue up to approximately $38.8 million of additional shares of common stock pursuant to the Sales Agreement. We will remain constrained by the baby shelf rules under our Form S 3 shelf registration statement until such time as our public float exceeds $75 million, at which time, the number of securities we may sell under a Form S 3 registration statement will no longer be limited by the baby shelf rules.

Our management, as of December 31, 2023, and our independent registered public accounting firm, in their report on our financial statements as of and for the fiscal year ended December 31, 2023, have concluded that there is substantial doubt as to our ability to continue as a going concern.

Our audited financial statements for the year ended December 31, 2023 were prepared assuming that we will continue as a going concern. The going concern basis of presentation assumes that we will continue in operation for the foreseeable future and will be able to realize our assets and satisfy our liabilities in the normal course of business and do not include any adjustments to reflect the possible future effects on the recoverability and classification of assets or amounts and classification of liabilities that may result from our inability to continue as a going concern. As of December 31, 2023, our management concluded that, based on expected operating losses and negative cash flows, there is substantial doubt about our ability to continue as a going concern for the twelve months after the date the financial statements were issued. Our ability to continue as a going concern is subject to our ability to raise additional capital through equity offerings or debt financings, including through potential future sales of common stock pursuant to the Sales Agreement. However, we may not be able to secure additional financing in a timely manner or on favorable terms, if at all. If we cannot continue as a going concern, we may have to liquidate our assets and may receive less than the value at which those assets are carried on our financial statements, and it is likely that our stockholders may lose some or all of their investment in us. If we seek

36


 

additional financing to fund our business activities in the future and there remains substantial doubt about our ability to continue as a going concern, investors or other financing sources may be unwilling to provide additional funding on commercially reasonable terms or at all.

Raising additional capital may cause dilution to our stockholders, restrict our operations or require us to relinquish rights to our technologies or product candidates.

Until such time, if ever, as we can generate substantial product revenues, we expect to finance our cash needs through equity offerings, debt financings, government funding or other capital sources, including potentially collaborations, licenses and other similar arrangements. To the extent that we raise additional capital through the sale of equity or convertible debt securities, existing stockholders’ ownership interest will be diluted, and the terms of these securities may include liquidation or other preferences that adversely affect stockholders’ rights as a common stockholder. Debt financing and preferred equity financing, if available, may have collateral requirements or may involve agreements that include covenants limiting or restricting our ability to take specific actions, such as incurring additional debt, making capital expenditures or declaring dividends.

If we raise funds through future collaborations, licenses and other similar arrangements, we may have to relinquish valuable rights to our future revenue streams, research programs or product candidates or grant licenses on terms that may not be favorable to us and/or that may reduce the value of our common stock.

Risks Related to the Development and Regulatory Approval of Our Product Candidates

We depend heavily on the success of our product candidates, which are in clinical or preclinical development. If we are unable to advance our product candidates in clinical development, obtain regulatory approval and ultimately commercialize our product candidates, or experience significant delays in doing so, our business will be materially harmed.

ONCT-534 is an investigational dual-action androgen receptor inhibitor (DAARI) with preclinical activity in prostate cancer models against both unmutated androgen receptor (AR), and against multiple forms of AR aberration. It is a potential treatment for patients with mCRPC with unmet medical need because of resistance to androgen receptor inhibitors, including those with AR amplification, mutations in the AR ligand binding domain (LBD), or splice variants with loss of the AR LBD. Oncternal has initiated Study ONCT-534-101 which is open and enrolling patients for treatment with mCRPC. ONCT-808 is an investigational autologous chimeric antigen receptor T (CAR T) cell therapy that targets Receptor Tyrosine Kinase-Like Orphan Receptor 1 (ROR1) using the binding domain from zilovertamab. ONCT-808 has demonstrated activity in preclinical models against multiple hematological malignancies and solid tumors and has been shown to be specific for cancer cells expressing ROR1. Oncternal has developed a robust and reproducible manufacturing process that has the potential to reduce the time patients must wait for their individual CAR T therapy to be produced, compared with currently approved CAR T products. Oncternal has dosed patients under Study ONCT-808-101 with relapsed or refractory aggressive B-cell lymphoma, including patients who have failed previous CD19 CAR T treatment.

Our ability to generate product revenues, which we do not expect will occur for many years, if ever, will depend heavily on the successful development and eventual commercialization of our product candidates. The success of our product candidates will depend on various factors, including the following:

successful initiation and completion of preclinical and clinical studies with favorable results;
acceptance of INDs, by the FDA, or under similar regulatory applications by comparable foreign regulatory authorities for the conduct of clinical trials of our product candidates and our proposed designs for future clinical trials;
demonstrating safety, purity, potency and/or efficacy of our product candidates to the satisfaction of applicable regulatory authorities;
receiving marketing approvals from applicable regulatory authorities, including BLAs or NDAs from the FDA, and maintaining such approvals;
making arrangements with our third‑party manufacturers for commercial manufacturing capabilities and manufacturing process optimization for our product candidates;
our ability and the ability of third parties with whom we contract to manufacture adequate clinical and commercial supplies of our product candidates, remain in good standing with regulatory authorities and develop, validate and maintain commercially viable manufacturing processes that are compliant with cGMP or similar foreign requirements;
establishing and maintaining patent and trade secret protection or regulatory exclusivity for our product candidates;
the demonstration of an acceptable safety profile of our products following approval, if any;

37


 

developing, in‑licensing or acquiring companion diagnostics to our product candidates; and
maintaining and growing an organization for people who can develop our product candidates and technology.

For example, in April 2023 we announced a strategic reprioritization of the development of zilovertamab and our decision to close the Phase 3 ZILO‑301 and the Phase 1/2 CIRM‑0001 clinical studies, based on the rapidly changing commercial landscape for Bruton’s tyrosine kinase inhibitors. We cannot provide any assurance that our reprioritization decision will reap the expected benefits, and our resource allocation decisions may cause us to fail to capitalize on viable commercial products or profitable market opportunities. Many of the factors listed above are beyond our control and could cause us to experience significant delays or prevent us from obtaining regulatory approvals or commercializing our product candidates. If we are unable to develop, or obtain regulatory approval for, or, if approved, successfully commercialize our product candidates, we may not be able to generate sufficient revenue to continue our business.

Clinical drug development involves a lengthy and expensive process with an uncertain outcome, and the results of preclinical studies and early clinical trials are not necessarily predictive of future results. Our product candidates may not have favorable results in clinical trials or receive regulatory approval on a timely basis, if at all.

Drug development is expensive and can take many years to complete, and its outcome is inherently uncertain. We cannot guarantee that any clinical trials or preclinical studies will be conducted as planned or completed on schedule, if at all, and failure can occur at any time during the preclinical study or clinical trial process. Despite promising preclinical or clinical results, any product candidate can unexpectedly fail at any stage of preclinical or clinical development. The historical failure rate for product candidates in our industry is high.

The results from preclinical studies or clinical trials of a product candidate may not predict the results of later clinical trials of the product candidate, and interim results of a clinical trial are not necessarily indicative of final results. Product candidates in later stages of clinical trials may fail to show the desired safety and efficacy characteristics despite having progressed through preclinical studies and initial clinical trials. It is not uncommon to observe results in clinical trials that are unexpected based on preclinical studies and early clinical trials, and many product candidates fail in clinical trials despite very promising early results. Moreover, preclinical and clinical data may be susceptible to varying interpretations and analyses. A number of companies in the pharmaceutical and biotechnology industries have suffered significant setbacks in clinical development even after achieving promising results in earlier studies. Furthermore, we cannot assure you that we will be able to successfully progress our preclinical programs from candidate identification to Phase 1 clinical development.

For the foregoing reasons, we cannot be certain that our ongoing and planned clinical trials and preclinical studies will be successful. Any safety concerns observed in any one of our clinical trials in our targeted indications could limit the prospects for regulatory approval of our product candidates in those and other indications, which could have a material adverse effect on our business, financial condition and results of operations.

In addition, the FDA’s and other regulatory authorities’ policies with respect to clinical trials may change and additional government regulations may be enacted. For instance, the regulatory landscape related to clinical trials in the European Union, or EU, recently evolved. The EU Clinical Trials Regulation, or CTR, which was adopted in April 2014 and repeals the EU Clinical Trials Directive, became applicable on January 31, 2022. While the EU Clinical Trials Directive required a separate clinical trial application, or CTA, to be submitted in each member state in which the clinical trial takes place, to both the competent national health authority and an independent ethics committee, the CTR introduces a centralized process and only requires the submission of a single application for multi-center trials. The CTR allows sponsors to make a single submission to both the competent authority and an ethics committee in each member state, leading to a single decision per member state. The assessment procedure of the CTA has been harmonized as well, including a joint assessment by all member states concerned, and a separate assessment by each member state with respect to specific requirements related to its own territory, including ethics rules. Each member state’s decision is communicated to the sponsor via the centralized EU portal. Once the CTA is approved, clinical study development may proceed. The CTR foresees a three-year transition period. The extent to which ongoing and new clinical trials will be governed by the CTR varies. Clinical trials for which an application was submitted (i) prior to January 31, 2022 under the EU Clinical Trials Directive, or (ii) between January 31, 2022 and January 31, 2023 and for which the sponsor has opted for the application of the EU Clinical Trials Directive remain governed by said Directive until January 31, 2025. After this date, all clinical trials (including those which are ongoing) will become subject to the provisions of the CTR. Compliance with the CTR requirements by us and our third-party service providers, such as CROs, may impact our developments plans.

It is currently unclear to what extent the United Kingdom, or UK, will seek to align its regulations with the EU. The UK regulatory framework in relation to clinical trials is derived from existing EU legislation (as implemented into UK law, through secondary legislation). On January 17, 2022, the UK Medicines and Healthcare products Regulatory Agency, or MHRA, launched an eight-week consultation on reframing the UK legislation for clinical trials with specific aims to streamline clinical trials approvals,

38


 

enable innovation, enhance clinical trials transparency, enable greater risk proportionality, and promote patient and public involvement in clinical trials. The MHRA published its consultation outcome on March 21, 2023 in which it confirmed that it would update the existing legislation. The resulting legislative changes, which are yet to be published, will ultimately determine the extent to which the UK regulations align with the (EU) CTR. A decision by the UK not to closely align its regulations with the new approach adopted in the EU may have an effect on the cost of conducting clinical trials in the UK as opposed to other countries.

If we are slow or are unable to adapt to changes in existing requirements or the adoption of new requirements or policies governing clinical trials, our development plans may be impacted.

Any difficulties or delays in the commencement or completion, or termination or suspension, of our current or planned clinical trials could result in increased costs to us, delay or limit our ability to generate revenue, and adversely affect our commercial prospects.

Before obtaining marketing approval from regulatory authorities for the sale of our product candidates, we must conduct extensive clinical studies to demonstrate the safety and efficacy of the product candidates in humans, or with respect to our product candidates regulated as biologics in the U.S., that such candidates are safe, pure and potent for their intended uses. We will have to follow the same procedure for our other preclinical product candidates that we plan to advance to clinical development, and would also be required to submit regulatory filings to foreign regulatory authorities if we decide to initiate clinical trials outside of the U.S.

We do not know whether our planned trials or studies will begin on time or be completed on schedule, if at all. The commencement, data readouts and completion of clinical trials and preclinical studies can be delayed for a number of reasons, including delays related to:

the FDA or comparable foreign regulatory authorities disagreeing as to the design or implementation of our clinical studies;
difficulties in obtaining regulatory authorizations or allowances to commence a trial or reaching a consensus with regulatory authorities on trial design;
difficulties in recruiting clinical trial investigators with the appropriate competencies and experience;
failure or delay in reaching an agreement with CROs and clinical trial sites, the terms of which can be subject to extensive negotiation and may vary significantly among different CROs and trial sites;
delays in obtaining approval from one or more institutional review boards, or IRBs, or ethics committees;
IRBs refusing to approve, suspending or terminating the trial at an investigational site, precluding enrollment of additional patients, or withdrawing their approval of the trial;
changes to clinical trial protocols;
clinical sites deviating from trial protocols or dropping out of a trial;
challenges in manufacturing sufficient quantities of product candidates or obtaining sufficient quantities of combination therapies for use in clinical trials;
patients failing to enroll or remain in our trial at the rate we expect, or failing to return for post‑treatment follow‑up;
patients choosing an alternative treatment for the indication for which we are developing our product candidates, or participating in competing clinical trials;
lack of adequate funding to continue clinical trials;
patients experiencing severe or unexpected drug‑related adverse effects;
occurrence of serious adverse events in clinical trials of the same class of agents conducted by other companies;
selection of clinical endpoints that require prolonged periods of clinical observation or analysis of the resulting data;
a facility manufacturing our product candidates or any of their components being ordered by the FDA or comparable foreign regulatory authorities to temporarily or permanently shut down due to violations of cGMP regulations or other applicable requirements, or infections or cross‑contaminations of product candidates in the manufacturing process;
any changes to our manufacturing process that may be necessary or desired;

39


 

third‑party clinical investigators losing the licenses or permits necessary to perform our clinical trials, not performing our clinical trials in a timely manner or consistent with applicable clinical trial protocols, GCP, or other regulatory requirements; third‑party contractors not performing data collection or analysis in a timely or accurate manner; or
third‑party contractors becoming debarred or suspended or otherwise penalized by the FDA or other government or regulatory authorities for violations of regulatory requirements, in which case we may need to find a substitute contractor, and we may not be able to use some or all of the data produced by such contractors in support of our marketing applications.

We could also encounter delays if our clinical trials are suspended or terminated by us, by the IRBs of the institutions in which such trials are being conducted, by a Data Safety Monitoring Board for such trial, or by the FDA or comparable foreign regulatory authorities. Regulatory authorities may suspend or terminate clinical trials due to a number of factors, including failure to conduct clinical trials in accordance with regulatory requirements or the applicable clinical protocols, inspection of the clinical trial operations or trial site by the FDA or comparable foreign regulatory authorities resulting in the imposition of a clinical hold, unforeseen safety issues or adverse side effects, failure to demonstrate a benefit from using a drug, changes in governmental regulations or administrative actions or lack of adequate funding to continue the clinical trial. In addition, changes in regulatory requirements and policies may occur, and we may need to amend clinical trial protocols to comply with these changes. Amendments may require us to resubmit our clinical trial protocols to IRBs for reexamination, which may impact the costs, timing or successful completion of a clinical trial.

Further, if we decide to conduct clinical trials of our product candidates in foreign countries additional risks may arise that may delay completion of those clinical trials. These risks include the failure of enrolled patients in other countries to adhere to clinical protocol as a result of differences in healthcare practices or cultural customs, managing additional administrative burdens associated with the regulatory schemes of other countries, as well as political and economic risks relevant to other countries.

In addition, under our license and development agreement with SPH USA, SPH USA has the right to manufacture, develop, market, distribute and sell our zilovertamab, ROR1 CAR T, and ONCT-216 product candidates in the People’s Republic of China, Hong Kong, Macau and Taiwan, or Greater China, and the obligation to perform all preclinical and clinical development activities required to obtain regulatory approvals for such product candidates in Greater China. In the event that SPH USA’s preclinical studies or clinical trials of our product candidates raise new safety or efficacy concerns, the prospects for obtaining regulatory approval of our product candidates in the U.S. and other countries, and our business, could be adversely impacted.

Moreover, principal investigators for our clinical trials may serve as scientific advisors or consultants to us from time to time and receive compensation in connection with such services. Under certain circumstances, we may be required to report some of these relationships to the FDA or comparable foreign regulatory authorities. The FDA or comparable foreign regulatory authority may conclude that a financial relationship between us and a principal investigator has created a conflict of interest or otherwise affected interpretation of the study. The FDA or comparable foreign regulatory authority may therefore question the integrity of the data generated at the applicable clinical trial site and the utility of the clinical trial itself may be jeopardized. This could result in a delay in approval, or rejection, of our marketing applications by the FDA or comparable foreign regulatory authority, as the case may be, and may ultimately lead to the denial of marketing approval of one or more of our product candidates.

If we experience delays in the completion of, or termination of, clinical trials of our product candidates, the commercial prospects of such product candidates may be harmed, and our ability to generate product revenues from such product candidates may be delayed. Moreover, delays in completing our clinical trials may increase our costs, slow down our product candidate development and approval process and jeopardize our ability to commence product sales and generate revenues.

In addition, many of the factors that cause, or lead to, the termination, suspension or delay in the commencement or completion of, clinical trials may also ultimately lead to the denial of regulatory approval of a product candidate. If we make formulation or manufacturing changes to our product candidates or revise the route of administration or dosing regimen for our product candidates, we may be required to conduct additional preclinical or clinical studies to bridge our modified product candidates to earlier versions or to bridge the new dosing regimens to dosing regimens used in our clinical trials. The need to conduct additional preclinical or clinical studies could result in delays in the approval or commercialization of our product candidates, which could shorten any period during which we may have the exclusive right to commercialize our product candidates and enable our competitors to bring products to market before we do. In such an event, the commercial viability of our product candidates could be significantly reduced. Any of these occurrences may harm our business, financial condition and prospects significantly.

We may find it difficult to enroll patients in our clinical trials. If we encounter difficulties enrolling patients in our clinical trials, our clinical development activities could be delayed or otherwise adversely affected.

40


 

We may not be able to initiate or continue clinical trials for our product candidates if we are unable to identify and enroll a sufficient number of eligible patients to participate in these trials as required by the FDA or similar regulatory authorities outside the U.S. Patient enrollment, a significant factor in the timing of clinical trials, is affected by many factors including the size and nature of the patient population, the proximity of patients to clinical sites, the eligibility and exclusion criteria for the trial, the design of the clinical trial, the availability of competing clinical trials and clinicians’ and patients’ perceptions as to the potential advantages and risks of the product candidate being studied in relation to other available therapies, including any new drugs that may be approved for the indications we are investigating as well as any drugs under development. We will be required to identify and enroll a sufficient number of patients for each of our clinical trials. Potential patients for any planned clinical trials may not be adequately diagnosed or identified with the diseases which we are targeting or may not meet the entry criteria for such trials. We also may encounter difficulties in identifying and enrolling patients with a stage of disease appropriate for our planned clinical trials. We may not be able to initiate or continue clinical trials if we are unable to locate a sufficient number of eligible patients to participate in the clinical trials required by the FDA or comparable foreign regulatory authorities. In addition, the process of finding and diagnosing patients may prove costly.

The timing of our clinical trials depends, in part, on the speed at which we can establish investigative clinical trial sites and recruit patients to participate in our trials, as well as completion of required follow‑up periods. For certain of our product candidates, the conditions which we currently plan to evaluate are orphan or rare diseases with limited patient pools from which to draw for clinical trials. The eligibility criteria of our clinical trials will further limit the pool of available trial participants. If patients are unwilling to participate in our clinical trials for any reason, including the existence of concurrent clinical trials for similar patient populations or the availability of approved therapies, or if we otherwise have difficulty enrolling a sufficient number of patients, the timeline for recruiting patients, conducting studies and obtaining regulatory approval of our product candidates may be delayed. Our inability to enroll a sufficient number of patients for any of our clinical trials would result in significant delays or may require us to abandon one or more clinical trials altogether. In addition, we rely on CROs and clinical trial sites to ensure proper and timely conduct of our clinical trials and preclinical studies and, while we have entered into agreements governing their services, we have limited influence over their actual performance.

We cannot assure stockholders that our assumptions used in determining expected clinical trial timelines are correct or that we will not experience delays in enrollment, which would result in the delay of completion of such trials beyond our expected timelines.

Use of our product candidates could be associated with side effects, adverse events or other properties or safety risks, which could delay or preclude approval, cause us to suspend or discontinue clinical trials, abandon a product candidate, limit the commercial profile of the label for an approved product candidate, or result in other significant negative consequences that could severely harm our business, prospects, operating results and financial condition.

As is the case with oncology drugs generally, it is likely that there may be side effects and adverse events associated with the use of our product candidates. Results of our clinical trials could reveal a high and unacceptable severity and prevalence, or unexpected characteristics of side effects. Undesirable side effects caused by our product candidates could cause us or regulatory authorities to interrupt, delay or halt clinical trials, result in a more restrictive label for the product candidate, or delay or cause the denial of regulatory approval of the product candidate by the FDA or comparable foreign regulatory authorities. The drug‑related side effects could also affect patient recruitment for our clinical trials, or the ability of enrolled patients to complete the trials, or result in potential product liability claims. Any of these occurrences may harm our business, financial condition and prospects significantly.

Moreover, if our product candidates are associated with undesirable side effects in clinical trials or have characteristics that are unexpected, we may elect to abandon their development or limit their development to more narrow uses or subpopulations in which the undesirable side effects or other characteristics are less prevalent, less severe or more acceptable from a risk‑benefit perspective, which may limit the commercial prospects for the product candidate if approved. We may also be required to modify our plans for future studies based on findings in our ongoing clinical trials. Many compounds that initially showed promise in early‑stage testing have later been found to cause side effects that prevented further development of the compound. In addition, regulatory authorities may draw different conclusions or require additional testing to confirm these determinations.

It is possible that as we test our product candidates in larger, longer and more extensive clinical trials, or as the use of our product candidates becomes more widespread if they receive regulatory approval, illnesses, injuries, discomforts and other adverse events that were observed in earlier trials, as well as conditions that did not occur or went undetected in previous trials, will be reported by patients. If such side effects become known later in development or upon approval, if any, such findings may harm our business, financial condition and prospects significantly.

In addition, if one or more of our product candidates receives marketing approval, and we or others later identify undesirable side effects caused by such products, a number of potentially significant negative consequences could result, including:

regulatory authorities may withdraw, suspend or limit approvals of such product;

41


 

we may be required to recall a product or change the way such product is administered to patients;
regulatory authorities may require additional warnings on the label, such as a “black box” warning or a contraindication;
we may be required to implement a Risk Evaluation and Mitigation Strategy, or REMS, or create a medication guide outlining the risks of such side effects for distribution to patients or similar risk management measures;
we may be required to change the way a product is distributed or administered, conduct additional clinical trials or change the labeling of a product or be required to conduct additional post‑marketing studies or surveillance;
we could be sued and held liable for harm caused to patients;
sales of the product may decrease significantly or the product could become less competitive; and
our reputation could suffer.

Any of these events could prevent us from achieving or maintaining market acceptance of the particular product candidate, if approved, and could significantly harm our business, results of operations and prospects.

We may not be able to maintain orphan drug designations for certain of our product candidates, and may be unable to maintain the benefits associated with orphan drug designation, including the potential for market exclusivity.

Regulatory authorities in some jurisdictions, including the U.S. and EU, may designate drugs for relatively small patient populations as orphan drugs. Under the Orphan Drug Act of 1983, the FDA may designate a product candidate as an orphan product if it is intended to treat a rare disease or condition, which is generally defined as a patient population of fewer than 200,000 individuals in the U.S., or a patient population of greater than 200,000 individuals in the U.S., but for which there is no reasonable expectation that the cost of developing the drug will be recovered from sales in the U.S. In the EU, orphan designation is granted by the European Commission based on a scientific opinion of the European Medicines Agency’s, or EMA, Committee for Orphan Medicinal Products. A medicinal product may be designated as orphan if its sponsor can establish that (i) the product is intended for the diagnosis, prevention or treatment of a life‑threatening or chronically debilitating condition; (ii) either (a) such condition affects no more than 5 in 10,000 persons in the EU when the application is made, or (b) the product, without the benefits derived from orphan status, would not generate sufficient return in the EU to justify investment; and (iii) there exists no satisfactory method of diagnosis, prevention or treatment of such condition authorized for marketing in the EU, or if such a method exists, the medicinal product will be of significant benefit to those affected by the condition. The application for orphan designation must be submitted before the application for marketing authorization. There can be no assurance that the FDA or the European Commission will grant orphan designation for any indication for which we apply, or that we will be able to maintain such designation.

In the U.S., orphan designation entitles a party to financial incentives such as opportunities for grant funding for clinical trial costs, tax advantages and user‑fee waivers. In addition, if a product candidate that has orphan designation subsequently receives the first FDA approval for the disease or condition for which it has such designation, the product is entitled to orphan drug exclusivity, which means that the FDA may not approve any other applications, including a NDA or BLA, to market the same drug for the same disease or condition for seven years, except in limited circumstances, such as a showing of clinical superiority to the product with orphan drug exclusivity or where the manufacturer is unable to assure sufficient product quantity. The applicable exclusivity period is ten years in the EU, but such exclusivity period can be reduced to six years if, at the end of the fifth year, it is established that the product no longer meets the criteria for which it received orphan designation, including where it is shown that the product is sufficiently profitable not to justify maintenance of market exclusivity, or where the prevalence of the condition has increased above the threshold.

Even if we obtain orphan drug exclusivity for a product, that exclusivity may not effectively protect the product from competition because different drugs can be approved for the same disease or condition. Even after an orphan drug is approved, the FDA or comparable foreign regulatory authority can subsequently approve the same drug for the same disease or condition if such regulatory authority concludes that the later drug is clinically superior if it is shown to be safer, more effective or makes a major contribution to patient care. Orphan drug designation neither shortens the development time or regulatory review time of a drug nor gives the drug any advantage in the regulatory review or approval process.

The regulatory landscape that will apply to development of gene therapy or cell‑based therapeutic product candidates by us or by our collaborators is rigorous, complex, uncertain and subject to change, which could result in delays or termination of development of such product candidates or unexpected costs in obtaining regulatory approvals.

Regulatory requirements governing products involving gene therapy treatment have changed frequently and will likely continue to change in the future. Approvals by one regulatory agency may not be indicative of what any other regulatory agency may require for approval, and there is substantial, and sometimes uncoordinated, overlap in those responsible for regulation of gene therapy

42


 

products, cell therapy products and other products created with genome editing technology. For example, in addition to the submission of an IND to the FDA, before initiation of a clinical trial in the U.S., certain human clinical trials for cell therapy products and gene therapy are subject to the National Institutes of Health Guidelines for Research Involving Recombinant DNA Molecules, or NIH Guidelines. The NIH Guidelines call for the supervision of human gene transfer trials including an evaluation and assessment by an institutional biosafety committee, or IBC, a local institutional committee that reviews and oversees research utilizing recombinant or synthetic nucleic acid molecules at that institution. The IBC assesses the safety of the research and identifies any potential risk to public health or the environment, and such review may result in some delay before initiation of a clinical trial. While the NIH Guidelines are not mandatory unless the research in question is being conducted at or sponsored by institutions receiving NIH funding of recombinant or synthetic nucleic acid molecule research, many companies and other institutions not otherwise subject to the NIH Guidelines voluntarily follow them. We will therefore be subject to significant regulatory oversight by the FDA, and in addition to the government regulators, the applicable IBC and IRB of each institution at which we or our collaborators conduct clinical trials of our product candidates, or a central IRB if appropriate, would need to review and approve the proposed clinical trial.

Similar requirements apply in the EU. The EMA has a Committee for Advanced Therapies, or CAT, that is responsible for assessing the quality, safety and efficacy of advanced therapy medicinal products, or ATMPs. ATMPs include gene therapy medicines, somatic-cell therapy medicines and tissue-engineered medicines. The role of the CAT is to prepare a draft opinion on an application for marketing authorization for ATMP candidate that is submitted to the EMA. In the EU, the development and evaluation of an ATMP must be considered in the context of the relevant EU guidelines. The EMA may issue new guidelines concerning the development and marketing authorization for gene therapy medicinal products and require that we comply with these new guidelines. Similarly complex regulatory environments exist in other jurisdictions in which we might consider seeking regulatory approvals for our product candidates, further complicating the regulatory landscape. As a result, the procedures and standards applied to ATMPs may be applied to any of our gene therapy product candidates such as CAR T, but that remains uncertain at this point.

The clinical trial requirements of the FDA, the EMA and other regulatory authorities and the criteria these regulators use to evaluate the safety and efficacy of a product candidate vary substantially according to the type, complexity, novelty and intended use and market of the potential products. The regulatory approval process for product candidates involving gene therapy can be more lengthy, rigorous and expensive than the process for other better known or more extensively studied product candidates and technologies. Since we are developing novel treatments for diseases in which there is little clinical experience with new endpoints and methodologies, there is heightened risk that the FDA, the EMA or comparable regulatory bodies may not consider the clinical trial endpoints to provide clinically meaningful results, and the resulting clinical data and results may be more difficult to analyze. This may be a particularly significant risk for many of the genetically defined diseases for which we may develop product candidates alone or with collaborators due to small patient populations for those diseases, and designing and executing a rigorous clinical trial with appropriate statistical power is more difficult than with diseases that have larger patient populations. Regulatory agencies administering existing or future regulations or legislation may not allow production and marketing of products utilizing gene therapy in a timely manner or under technically or commercially feasible conditions. Even if our product candidates obtain required regulatory approvals, such approvals may later be withdrawn as a result of changes in regulations or the interpretation of regulations by applicable regulatory agencies.

Additionally, adverse developments in clinical trials of gene therapy products conducted by others may cause the FDA, the EMA and other regulatory bodies to revise the requirements for approval of any product candidates we may develop or limit the use of products utilizing gene therapy, either of which could materially harm our business. Furthermore, regulatory action or private litigation could result in increased expenses, delays or other impediments to our research programs or the development or commercialization of current or future product candidates.

Delay or failure to obtain, or unexpected costs in obtaining, the regulatory approval necessary to bring a product candidate to market could decrease our ability to generate sufficient product revenue to maintain our business.

Our product candidates are subject to extensive regulation and compliance, which is costly and time consuming, and such regulation may cause unanticipated delays or prevent the receipt of the required approvals to commercialize our product candidates.

The clinical development, manufacturing, labeling, storage, record‑keeping, advertising, promotion, import, export, marketing and distribution of our product candidates are subject to extensive regulation by the FDA in the U.S. and by comparable foreign regulatory authorities in foreign markets. In the U.S., we are not permitted to market our product candidates until we receive regulatory approval from the FDA. The process of obtaining regulatory approval is expensive, often takes many years following the commencement of clinical trials and can vary substantially based upon the type, complexity and novelty of the product candidates involved, as well as the target indications and patient population. Approval policies or regulations may change, and the FDA has substantial discretion in the drug approval process, including the ability to delay, limit or deny approval of a product candidate for many reasons. Despite the time and expense invested in clinical development of product candidates, regulatory approval is never

43


 

guaranteed. We are not permitted to market any of our product candidates in the U.S. until we receive approval of a BLA or an NDA from the FDA. Similar risks exist in foreign jurisdictions.

Prior to obtaining approval to commercialize a product candidate in the U.S. or abroad, we must demonstrate with substantial evidence from adequate and well‑controlled clinical trials, and to the satisfaction of the FDA or comparable foreign regulatory authorities, that such product candidates are safe and effective for their intended uses, and in the case of biological products, that such product candidates are safe, pure and potent. Results from nonclinical studies and clinical trials can be interpreted in different ways. Even if we believe the nonclinical or clinical data for our product candidates are promising, such data may not be sufficient to support approval by the FDA and comparable foreign regulatory authorities. The FDA or comparable foreign regulatory authorities, as the case may be, may also require us to conduct additional preclinical studies or clinical trials for our product candidates either prior to or post‑approval, or may object to elements of our clinical development program.

The FDA or comparable foreign regulatory authorities can delay, limit or deny approval of a product candidate for many reasons, including:

such authorities may disagree with the design or execution of our clinical trials;
negative or ambiguous results from our clinical trials or results may not meet the level of statistical significance required by the FDA or comparable foreign regulatory agencies for approval;
serious and unexpected drug‑related side effects may be experienced by participants in our clinical trials or by individuals using drugs similar to our product candidates;
the population studied in the clinical trial may not be sufficiently broad or representative to assure safety in the full population for which we seek approval;
such authorities may not accept clinical data from trials that are conducted at clinical facilities or in countries where the standard of care is potentially different from that of their own country;
we may be unable to demonstrate that a product candidate’s clinical and other benefits outweigh its safety risks;
such authorities may disagree with our interpretation of data from preclinical studies or clinical trials;
such authorities may not agree that the data collected from clinical trials of our product candidates are acceptable or sufficient to support the submission of a BLA, NDA or other submission or to obtain regulatory approval in the U.S. or elsewhere, and such authorities may impose requirements for additional preclinical studies or clinical trials;
such authorities may disagree with us regarding the formulation, labeling and/or the product specifications of our product candidates;
approval may be granted only for indications that are significantly more limited than those sought by us, and/or may include significant restrictions on distribution and use;
such authorities may find deficiencies in the manufacturing processes or facilities of the third‑party manufacturers with which we contract for clinical and commercial supplies; or
such authorities may not accept a submission due to, among other reasons, the content or formatting of the submission.

With respect to foreign markets, approval procedures vary among countries and, in addition to the foregoing risks, may involve additional product testing, administrative review periods and agreements with pricing authorities. In addition, events raising questions about the safety of certain marketed pharmaceuticals may result in increased cautiousness by the FDA and comparable foreign regulatory authorities in reviewing new drugs based on safety, efficacy or other regulatory considerations and may result in significant delays in obtaining regulatory approvals. Any delay in obtaining, or inability to obtain, applicable regulatory approvals would prevent us or any of our potential future collaborators from commercializing our product candidates.

Of the large number of drugs in development, only a small percentage successfully complete the FDA or foreign regulatory approval processes and are commercialized. The lengthy approval process as well as the unpredictability of future clinical trial results may result in our failure to obtain regulatory approval to market our product candidates, which would significantly harm our business, financial condition, results of operations and prospects.

Even if we eventually complete clinical trials and receive approval of a BLA, NDA or comparable foreign marketing application for our product candidates, the FDA or comparable foreign regulatory authority may grant approval contingent on the performance of costly additional clinical trials, including Phase 4 clinical trials, and/or the implementation of a REMS or similar risk management measures, which may be required because the FDA or the comparable foreign regulatory authority believes it is necessary to ensure

44


 

safe use of the drug after approval. The FDA or the comparable foreign regulatory authority also may approve a product candidate for a more limited indication or patient population than we originally requested, and the FDA or comparable foreign regulatory authority may not approve the labeling that we believe is necessary or desirable for the successful commercialization of a product. Any delay in obtaining, or inability to obtain, applicable regulatory approval would delay or prevent commercialization of that product candidate and would materially adversely impact our business and prospects.

We may expend our limited resources to pursue a particular product candidate and fail to capitalize on product candidates or indications that may be more profitable or for which there are a greater likelihood of success.

Because we have relatively limited financial and managerial resources, we are focused on specific product candidates, indications and development programs. As a result, we may forgo or delay the pursuit of opportunities with other indications or other product candidates that could have greater commercial potential. For example, in April 2023 we announced a strategic reprioritization of the development of zilovertamab and our decision to close the Phase 3 ZILO‑301 and the Phase 1/2 CIRM‑0001 clinical studies, in favor of the advancement ONCT-534 and of ONCT-808.

Our resource allocation decisions may cause us to fail to capitalize on viable commercial products or profitable market opportunities. Our spending on current and future research and development programs and product candidates for specific indications may not yield any commercially viable products. If we do not accurately evaluate the commercial potential for a particular product candidate, we could relinquish valuable rights to that product candidate through collaborations, licenses and other similar arrangements, when it might be more advantageous for us to retain sole development and commercialization rights to such product candidate.

A Fast Track Designation from the FDA, even if granted, for any of our product candidates, may not lead to a faster development or regulatory review or approval process, and does not increase the likelihood that our product candidates will receive marketing approval.

On October 23, 2023 the FDA granted Fast Track Designation to ONCT‑534 for the treatment of adult subjects with relapsed or refractory mCRPC resistant to ARPIs, and we may seek additional Fast Track designations for our other programs. The Fast Track program is intended to expedite or facilitate the process for reviewing new product candidates that meet certain criteria. Specifically, biologics are eligible for Fast Track Designation if they are intended, alone or in combination with one or more drugs or biologics, to treat a serious or life‑threatening disease or condition and demonstrate the potential to address unmet medical needs for the disease or condition. Fast Track Designation applies to the combination of the product candidate and the specific indication for which it is being studied. The sponsor of a Fast Track product candidate has opportunities for more frequent interactions with the applicable FDA review team during product development and, once a BLA is submitted, the application may be eligible for priority review. A BLA submitted for a Fast Track product candidate may also be eligible for rolling review, where the FDA may consider for review sections of the BLA on a rolling basis before the complete application is submitted, if the sponsor provides a schedule for the submission of the sections of the BLA, the FDA agrees to accept sections of the BLA and determines that the schedule is acceptable, and the Sponsor pays any required user fees upon submission of the first section of the BLA.

The FDA has broad discretion whether or not to grant this designation. Even if we believe a particular product candidate is eligible for this designation, we cannot assure you that the FDA would decide to grant it. Although we have received Fast Track Designation for ONCT 534 for the treatment of adult subjects with relapsed or refractory mCRPC resistant to ARPIs, and even if we receive additional Fast Track Designations for our product candidates, such product candidates may not experience a faster development process, review or approval compared to conventional FDA procedures. The FDA may also withdraw Fast Track Designation if it believes that the designation is no longer supported by data from our clinical development program. Furthermore, such a designation does not increase the likelihood that ONCT 534 or any other product candidate that may be granted Fast Track designation will receive marketing approval in the U.S. Many product candidates that have received Fast Track Designation have ultimately failed to obtain approval.

We may seek PRIME designation by EMA or other designations, schemes or tools in the EU, including the conditional marketing authorization or marketing authorization under exceptional circumstances, for one or more of our product candidates, which we may not receive. Such designations may not lead to a faster development or regulatory review or approval process and do not increase the likelihood that our product candidates will receive marketing authorization.

We may seek EMA PRIME (Priority Medicines) designation or other designations, schemes or tools for one or more of our product candidates. In the EU, innovative products that target an unmet medical need and are expected to be of major public health interest may be eligible for a number of expedited development and review programs, such as the PRIME scheme, which provides incentives similar to the Breakthrough Therapy designation in the U.S. PRIME is a voluntary scheme aimed at enhancing the EMA’s support for the development of medicines that target unmet medical needs. It is based on increased interaction and early dialogue with companies developing promising medicines, to optimize their product development plans and speed up their evaluation to help them

45


 

reach patients earlier. The benefits of a PRIME designation include the appointment of a rapporteur before submission of a marketing authorization application, early dialogue and scientific advice at key development milestones, and the potential to qualify products for accelerated review earlier in the application process.

Even if we believe one of our product candidates is eligible for PRIME, the EMA may disagree and instead determine not to make such designation. The EMA PRIME scheme or other schemes, designations, or tools, even if obtained or used for any of our product candidates may not lead to a faster development, regulatory review or approval process compared to therapies considered for approval under conventional procedures and do not assure ultimate approval. In addition, even if one or more of our product candidates is eligible to the PRIME scheme, the EMA may later decide that such product candidates no longer meet the conditions for qualification or decide that the time period for review or approval will not be shortened.

Product developers that benefit from PRIME designation may be eligible for accelerated assessment (in 150 days instead of 210 days), which may be granted for medicinal products of major interest from a public health perspective or that target an unmet medical need, but this is not guaranteed.

Moreover, in the EU, a “conditional” marketing authorization may be granted in cases where all the required safety and efficacy data are not yet available. A conditional marketing authorization is subject to conditions to be fulfilled for generating missing data or ensuring increased safety measures. A conditional marketing authorization is valid for one year and has to be renewed annually until fulfillment of all relevant conditions. Once the applicable pending studies are provided, a conditional marketing authorization can become a “standard” marketing authorization. However, if the conditions are not fulfilled within the timeframe set by the EMA, the marketing authorization will cease to be renewed. Furthermore, marketing authorizations may also be granted “under exceptional circumstances” when the applicant can show that it is unable to provide comprehensive data on the efficacy and safety under normal conditions of use even after the product has been authorized and subject to the introduction of specific procedures. This may arise when the intended indications are very rare and, in the present state of scientific knowledge, it is not possible to provide comprehensive information, or when generating data may be contrary to generally accepted ethical principles. This type of marketing authorization is close to a conditional marketing authorization as it is reserved to medicinal products to be approved for severe diseases or unmet medical needs and the applicant does not hold the complete data set legally required for the grant of a marketing authorization. However, unlike a conditional marketing authorization, the applicant does not have to provide the missing data and will never have to. Although a marketing authorization “under exceptional circumstances” is granted definitively, the risk‑benefit balance of the medicinal product is reviewed annually and the marketing authorization may be withdrawn where the risk‑benefit ratio is no longer favorable.

The competent regulatory authorities in the EU have broad discretion whether to grant such an accelerated assessment, conditional marketing authorization or marketing authorization under exceptional circumstances, and, even if such assessment or authorization is granted, we may not experience a faster development process, review or authorization compared to conventional procedures. Moreover, the removal or threat of removal of such designation or marketing authorizations may create uncertainty or delay in the clinical development of our product candidates and threaten the commercialization prospects of our product candidates, if approved. Such an occurrence could materially impact our business, financial condition and results of operations.

We may conduct certain of or portions of our clinical trials for our product candidates outside of the U.S. and the FDA may not accept data from such trials, in which case our development plans will be delayed, which could materially harm our business.

We may in the future choose to conduct one or more of our clinical trials or a portion of our clinical trials for our product candidates outside the U.S. The acceptance of study data from clinical trials conducted outside the U.S. or another jurisdiction by the FDA or comparable foreign regulatory authority may be subject to certain conditions or may not be accepted at all. In cases where data from foreign clinical trials are intended to serve as the sole basis for marketing approval in the U.S., the FDA will generally not approve the application on the basis of foreign data alone unless (i) the data are applicable to the U.S. population and U.S. medical practice; (ii) the trials were performed by clinical investigators of recognized competence and pursuant to GCP regulations; and (iii) the data may be considered valid without the need for an on‑site inspection by the FDA, or if the FDA considers such inspection to be necessary, the FDA is able to validate the data through an on‑site inspection or other appropriate means. In addition, even where the foreign study data are not intended to serve as the sole basis for approval, the FDA will not accept the data as support for an application for marketing approval unless the study is well‑designed and well‑conducted in accordance with GCP requirements and the FDA is able to validate the data from the study through an onsite inspection if deemed necessary. Many foreign regulatory authorities have similar approval requirements. In addition, such foreign trials would be subject to the applicable local laws of the foreign jurisdictions where the trials are conducted. There can be no assurance that the FDA or any comparable foreign regulatory authority will accept data from trials conducted outside of the U.S. or the applicable jurisdiction. If the FDA or any comparable foreign regulatory authority does not accept such data, it would result in the need for additional trials, which could be costly and time‑consuming, and which may result in current or future product candidates that we may develop not receiving approval for commercialization in the applicable jurisdiction.

46


 

Interim, topline and preliminary data from our clinical trials and preclinical studies that we announce or publish from time to time may change as more patient data become available and are subject to audit and verification procedures that could result in material changes in the final data.

From time to time, we may publicly disclose preliminary or topline data from our clinical studies and preclinical studies, which are based on preliminary analyses of then‑available data. Such preliminary or topline results and related findings and conclusions are subject to change following more comprehensive reviews of the data related to the particular study or trial. We also make assumptions, estimations, calculations and conclusions as part of our analyses of data, and we may not have received or had the opportunity to fully and carefully evaluate all data. As a result, the preliminary or topline results that we report may differ from future results of the same studies, or different conclusions or considerations may qualify such results once additional data have been received and fully evaluated. Topline data also remain subject to audit and verification procedures that may result in the final data being materially different from the preliminary data or topline data we previously published. As a result, preliminary or topline data should be viewed with caution until the final data are available.

From time to time, we may also disclose interim data from our clinical studies. Interim data from this clinical trial and future clinical trials that we may complete are subject to the risk that one or more of the clinical outcomes may materially change as patient enrollment continues, following more comprehensive reviews of the data, and as more patient data become available. Adverse differences between topline, preliminary or interim data and final data could significantly harm our business prospects.

Further, others, including regulatory agencies, may not accept or agree with our assumptions, estimates, calculations, conclusions or analyses of data from preclinical studies or clinical trials of its product candidates, or may interpret or weigh the importance of data differently, which could impact the value of the particular product candidate, the approvability or prospects for commercialization of the product candidate, or our company in general. In addition, the information we choose to publicly disclose regarding a particular study or clinical trial is based on what is typically extensive information, and stockholders and others may not agree with what we determine is the material or otherwise appropriate information to include in our disclosure. Information that we decide not to disclose may ultimately be deemed significant with respect to future decisions, conclusions, views, activities or otherwise regarding a particular product, product candidate or our business. If the interim, topline or preliminary data that we disclose differ from actual results, or if others, including regulatory authorities, disagree with the conclusions we reach based on our analyses of such data, our ability to obtain approval for, and commercialize our product candidates may be harmed, which could harm our business, operating results, prospects or financial condition.

Risks Related to Our Reliance on Third Parties

We rely on third parties to conduct many of our preclinical studies and clinical trials. Any failure by a third‑party to conduct the clinical trials according to GLPs, GCPs and other requirements and in a timely manner may delay or prevent our ability to seek or obtain regulatory approval for or commercialize our product candidates.

We are dependent on third parties to conduct our clinical trials and preclinical studies, including our ongoing clinical trials for our DAARI and ROR1 cell therapy programs. Specifically, we have used and relied on, and intend to continue to use and rely on, medical institutions, clinical investigators, CROs and consultants to conduct our clinical trials in accordance with our clinical protocols and applicable regulatory requirements. These CROs, investigators and other third parties play a significant role in the conduct and timing of these trials and subsequent collection and analysis of data. While we have agreements governing the activities of our third‑party contractors, we have limited influence over their actual performance. Nevertheless, we are responsible for ensuring that each of its clinical trials is conducted in accordance with the applicable protocol and legal, regulatory and scientific standards and obligations, and our reliance on the CROs and other third parties does not relieve us of our regulatory responsibilities. We and our CROs are required to comply with GCP requirements, which are regulations and guidelines enforced by the FDA and comparable foreign regulatory authorities for all of our product candidates in clinical development. Regulatory authorities enforce these GCPs through periodic inspections of trial sponsors, principal investigators and trial sites. If we or any of our CROs or trial sites fail to comply with applicable GCPs, the clinical data generated in our clinical trials may be deemed unreliable, and the FDA or comparable foreign regulatory authorities may require us to perform additional clinical trials before approving our marketing applications. In addition, our clinical trials must be conducted with product produced under cGMP regulations or similar foreign requirements outside the U.S. Our failure to comply with these regulations may require us to repeat clinical trials, which would delay the regulatory approval process.

There is no guarantee that any such CROs, investigators or other third parties will devote adequate time and resources to such trials or perform as contractually required. If any of these third parties fail to meet expected deadlines, adhere to our clinical protocols or meet regulatory requirements, or otherwise performs in a substandard manner, our clinical trials may be extended, delayed or terminated. In addition, many of the third parties with whom we contract may also have relationships with other commercial entities, including our competitors, for whom they may also be conducting clinical trials or other drug development activities that could harm our competitive position. In addition, principal investigators for our clinical trials may serve as scientific advisors or consultants to us

47


 

from time to time and may receive cash or equity compensation in connection with such services. If these relationships and any related compensation result in perceived or actual conflicts of interest, or the FDA or comparable foreign regulatory authorities conclude that the financial relationship may have affected the interpretation of the study, the integrity of the data generated at the applicable clinical trial site may be questioned and the utility of the clinical trial itself may be jeopardized, which could result in the delay or rejection of any BLA or NDA we submit to the FDA. Similar risks may exist in foreign jurisdictions where we decide to conduct clinical trials. Any such delay or rejection could prevent us from commercializing our product candidates.

If any of our relationships with these third parties terminate, we may not be able to enter into arrangements with alternative third parties or do so on commercially reasonable terms. Switching or adding additional CROs, investigators and other third parties involves additional cost and requires management time and focus. In addition, there is a natural transition period when a new CRO commences work. As a result, delays may occur, which can materially impact our ability to meet our desired clinical development timelines. Though we carefully manage our relationships with our CROs, investigators and other third parties, there can be no assurance that we will not encounter challenges or delays in the future or that these delays or challenges will not have a material adverse impact on our business, financial condition and prospects.

We rely on third parties for the manufacture of our product candidates for clinical and preclinical development and expect to continue to do so for the foreseeable future. This reliance on third parties increases the risk that we will not have sufficient quantities of our product candidates or products or such quantities at an acceptable cost, which could delay, prevent or impair our development or commercialization efforts.

We do not own or operate manufacturing facilities and have no plans to build our own clinical or commercial scale manufacturing capabilities. We rely, and expect to continue to rely, on third parties for the manufacture of our product candidates and related raw materials for clinical and preclinical development, as well as for commercial manufacture if any of our product candidates receive marketing approval. The facilities used by third‑party manufacturers to manufacture our product candidates must be approved by the FDA or other regulatory agencies pursuant to inspections that will be conducted after we submit a BLA or an NDA to the FDA or their equivalent to other regulatory agencies. We do not control the manufacturing process of, and are completely dependent on, third‑party manufacturers for compliance with cGMP or similar foreign requirements for manufacture of our drug products. If these third‑party manufacturers cannot successfully manufacture material that conforms to our specifications and the strict regulatory requirements of the FDA or others, including requirements related to the manufacturing of high potency and pure compounds or other products, they will not be able to secure and/or maintain regulatory approval for their manufacturing facilities. In addition, we have no control over the ability of third‑party manufacturers to maintain adequate quality control, quality assurance and qualified personnel. If the FDA or a comparable foreign regulatory authority does not approve these facilities for the manufacture of our product candidates, or if regulatory authorities withdraw any such approval in the future, we may need to find alternative manufacturing facilities, which would significantly impact our ability to develop, obtain regulatory approval for or market our product candidates, if approved. Our failure, or the failure of our third‑party manufacturers, to comply with applicable regulations could result in sanctions being imposed on us, including clinical holds, fines, injunctions, civil penalties, delays, suspension or withdrawal of approvals, seizures or recalls of product candidates or products, operating restrictions and criminal prosecutions, any of which could significantly and adversely affect supplies of our products.

Our or a third‑party’s failure to execute on our manufacturing requirements, to do so on commercially reasonable terms, or to comply with cGMP or similar foreign requirements could adversely affect our business in a number of ways, including:

an inability to initiate or continue clinical trials of our product candidates;
delay in submitting regulatory applications, or receiving marketing approvals, for our product candidates;
subjecting third‑party manufacturing facilities to additional inspections by regulatory authorities;
requirements to cease development or to recall batches of our product candidates; and
in the event of approval to market and commercialize our product candidates, an inability to meet commercial demands for our product candidates.

In addition, we do not have any long‑term commitments or supply agreements with any third‑party manufacturers. We may be unable to establish any long‑term supply agreements with third‑party manufacturers or to do so on acceptable terms. Even if we are able to establish agreements with third‑party manufacturers, reliance on third‑party manufacturers entails additional risks, including:

failure of third‑party manufacturers to comply with regulatory requirements and maintain quality assurance;
breach of the manufacturing agreement by the third‑party;
failure to manufacture our product according to our specifications;

48


 

failure to manufacture our product according to our schedule, or at all;
misappropriation of our proprietary information, including our trade secrets and know‑how; and
termination or nonrenewal of the agreement by the third‑party at a time that is costly or inconvenient for us.

Our product candidates and any products that we may develop may compete with other product candidates and products for access to manufacturing facilities. There are a limited number of manufacturers that operate under cGMP or foreign regulations and that might be capable of manufacturing for us.

Any performance failure on the part of our existing or future manufacturers could delay clinical development or marketing approval, and any related remedial measures may be costly or time‑consuming to implement. We do not currently have arrangements in place for redundant supply or a second source for all required raw materials used in the manufacture of our product candidates. If our current third‑party manufacturers cannot perform as agreed, we may be required to replace such manufacturers and we may be unable to replace them on a timely basis or at all.

Our current and anticipated future dependence upon others for the manufacture of our product candidates or products may adversely affect our future profit margins and our ability to commercialize any products that receive marketing approval on a timely and competitive basis.

Our reliance on third parties requires us to share our trade secrets, which increases the possibility that our trade secrets will be misappropriated or disclosed.

Because we currently rely on third parties to manufacture our product candidates and to perform quality testing, we must, at times, share our proprietary technology and confidential information, including trade secrets, with them. We seek to protect our proprietary technology, in part, by entering into confidentiality agreements, consulting agreements or other similar agreements with our advisors, employees, consultants and contractors prior to beginning research or disclosing proprietary information. These agreements typically limit the rights of the third parties to use or disclose our confidential information. Despite the contractual provisions employed when working with third parties, the need to share trade secrets and other confidential information increases the risk that such trade secrets become known by our competitors, are intentionally or inadvertently incorporated into the technology of others or are disclosed or used in violation of these agreements. Given that our proprietary position is based, in part, on our know‑how and trade secrets and despite our efforts to protect our trade secrets, a competitor’s discovery of our proprietary technology and confidential information or other unauthorized use or disclosure would impair our competitive position and may have a material adverse effect on our business, financial condition, results of operations and prospects.

We have entered into and may seek to enter into additional collaborations, licenses and other similar arrangements, and we may not be successful in doing so, and we may not realize the benefits of such relationships.

We may seek to enter into collaborations, joint ventures, licenses and other similar arrangements for the development or commercialization of our product candidates, due to capital costs required to develop or commercialize the product candidate or manufacturing constraints, in addition to our collaboration with Shanghai Pharmaceutical Holding Co., Ltd. We may not be successful in our efforts to establish such collaborations for our product candidates because our research and development pipeline may be insufficient, our product candidates may be deemed to be at too early of a stage of development for collaborative effort or third parties may not view our product candidates as having the requisite potential to demonstrate safety and efficacy or significant commercial opportunity. In addition, we face significant competition in seeking appropriate strategic partners, and the negotiation process can be time‑consuming and complex. Further, any future collaboration agreements may restrict us from entering into additional agreements with potential collaborators. We cannot be certain that, following a strategic transaction or license, we will achieve an economic benefit that justifies such transaction.

Even if we are successful in our efforts to establish such collaborations, the terms that we agree upon may not be favorable to us, and we may not be able to maintain such collaborations if, for example, development or approval of a product candidate is delayed, the safety of a product candidate is questioned or sales of an approved product candidate are unsatisfactory.

Any potential future collaborations may be terminable by our strategic partners, and we may not be able to adequately protect our rights under these agreements. Furthermore, strategic partners may negotiate for certain rights to control decisions regarding the development and commercialization of our product candidates, if approved, and may not conduct those activities in the same manner as we would. Any termination of collaborations we enter into in the future, or any delay in entering into collaborations related to our product candidates, could delay the development and commercialization of our product candidates and reduce their competitiveness if they reach the market, which could have a material adverse effect on our business, financial condition and results of operations.

49


 

Risks Related to Commercialization of Our Product Candidates

Even if we receive regulatory approval for any product candidate, we will be subject to ongoing regulatory obligations and continued regulatory review, which may result in significant additional expense. Additionally, our product candidates, if approved, could be subject to labeling and other restrictions on marketing or withdrawal from the market, and we may be subject to penalties if we fail to comply with regulatory requirements or if we experience unanticipated problems with our product candidates, when and if any of them are approved.

Following potential approval of any of our product candidates, the FDA or comparable foreign regulatory authorities may impose significant restrictions on a product’s indicated uses or marketing or impose ongoing requirements for potentially costly and time‑consuming post‑approval studies, post‑market surveillance or clinical trials to monitor the safety and efficacy of the product. The FDA or comparable foreign regulatory authorities may also require a REMS or similar risk management measures or as a condition of approval of our product candidates, which could include requirements for a medication guide, physician communication plans or additional elements to ensure safe use, such as restricted distribution methods, patient registries and other risk minimization tools. In addition, if the FDA or a comparable foreign regulatory authority approves our product candidates, the manufacturing processes, labeling, packaging, distribution, adverse event reporting, storage, advertising, promotion, import, export and recordkeeping for our products will be subject to extensive and ongoing regulatory requirements. These requirements include submissions of safety and other post‑marketing information and reports, registration, as well as continued compliance with cGMPs or similar foreign requirements and GCP requirements for any clinical trials that we conduct post‑approval. Later discovery of previously unknown problems with our products, including adverse events of unanticipated type, severity or frequency, or with our third‑party manufacturers or manufacturing processes, or failure to comply with regulatory requirements, may result in, among other things:

restrictions on the marketing or manufacturing of our products, withdrawal of the product from the market or voluntary or mandatory product recalls;
restrictions on product distribution or use, or requirements to conduct post‑marketing studies or clinical trials;
fines, restitutions, disgorgement of profits or revenues, warning letters, untitled letters or holds on clinical trials;
refusal by the FDA or comparable foreign regulatory authorities to approve pending applications or supplements to approved applications we filed or suspension or revocation of approvals;
product seizure or detention, or refusal to permit the import or export of our products; and
injunctions or the imposition of civil or criminal penalties.

The occurrence of any event or penalty described above may inhibit our ability to commercialize our product candidates and generate revenue and could require us to expend significant time and resources in response and could generate negative publicity.

The FDA and other regulatory authorities’ policies may change and additional government regulations may be enacted that could prevent, limit or delay regulatory approval of our product candidates. We also cannot predict the likelihood, nature or extent of government regulation that may arise from future legislation or administrative action, either in the U.S. or abroad. If we are slow or unable to adapt to changes in existing requirements or the adoption of new requirements or policies, or if we are not able to maintain regulatory compliance, we may be subject to enforcement action and we may not achieve or sustain profitability.

Disruptions at the FDA and other government agencies caused by funding shortages or global health concerns could hinder their ability to hire, retain or deploy key leadership and other personnel, or otherwise prevent new or modified products from being developed, approved or commercialized in a timely manner or at all, which could negatively impact our business.

The ability of the FDA and comparable foreign regulatory authorities to review and approve new products can be affected by a variety of factors, including government budget and funding levels, statutory, regulatory and policy changes, the FDA’s and comparable foreign regulatory authorities’ ability to hire and retain key personnel and accept the payment of user fees, and other events that may otherwise affect the FDA’s and comparable foreign regulatory authorities’ ability to perform routine functions. Average review times at the FDA and comparable foreign regulatory authorities have fluctuated in recent years as a result. In addition, government funding of other government agencies that fund research and development activities is subject to the political process, which is inherently fluid and unpredictable. Disruptions at the FDA and other agencies, such as the EMA, following its relocation to Amsterdam and resulting staff changes, may also slow the time necessary for new drugs and biologics, or modifications to approved drugs and biologics to be reviewed and/or approved by necessary government agencies, which would adversely affect our business. For example, over the last several years, the U.S. government has shut down several times and certain regulatory agencies, such as the FDA, have had to furlough critical FDA employees and stop critical activities.

If a prolonged government shutdown occurs, or if global health concerns continue to prevent the FDA or other regulatory authorities from conducting their regular inspections, reviews or other regulatory activities, it could significantly impact the ability of the FDA or other regulatory authorities to timely review and process our regulatory submissions, which could have a material adverse effect on our business.

50


 

The commercial success of our product candidates will depend upon the degree of market acceptance of such product candidates by physicians, patients, healthcare payors and others in the medical community.

Our product candidates may not be commercially successful. Even if any of our product candidates receive regulatory approval, they may not gain market acceptance among physicians, patients, healthcare payors or the medical community. The commercial success of any of our current or future product candidates will depend significantly on the broad adoption and use of the resulting product by physicians and patients for approved indications. The degree of market acceptance of our products will depend on a number of factors, including:

demonstration of clinical efficacy and safety compared to other more‑established products;
the indications for which our product candidates are approved;
the limitation of our targeted patient population and other limitations or warnings contained in any FDA or foreign regulatory authority-approved labeling;
acceptance of a new drug for the relevant indication by healthcare providers and their patients;
the pricing and cost‑effectiveness of our products, as well as the cost of treatment with our products in relation to alternative treatments and therapies;
our ability to obtain and maintain sufficient third‑party coverage and adequate reimbursement from government healthcare programs, including Medicare and Medicaid, private health insurers and other third‑party payors;
the willingness of patients to pay all, or a portion of, out‑of‑pocket costs associated with our products in the absence of sufficient third‑party coverage and adequate reimbursement;
any restrictions on the use of our products, and the prevalence and severity of any adverse effects;
potential product liability claims;
the timing of market introduction of our products as well as competitive drugs;
the effectiveness of our or any of our potential future collaborators’ sales and marketing strategies; and
unfavorable publicity relating to the product.

If any product candidate is approved but does not achieve an adequate level of acceptance by physicians, hospitals, healthcare payors or patients, we may not generate sufficient revenue from that product and may not become or remain profitable. Our efforts to educate the medical community and third‑party payors regarding the benefits of our products may require significant resources and may never be successful.

The market opportunities for our product candidates may be limited to patients who are ineligible for or have failed prior treatments and may be small or different from our estimates.

Cancer therapies are sometimes characterized as first line, second line or third line, and the FDA often approves new therapies initially only for third line use. When cancer is detected early enough, first line therapy is sometimes adequate to cure the cancer or prolong life without a cure. Whenever first line therapy, including targeted therapy, immunotherapy, chemotherapy, hormone therapy, surgery or a combination of these, proves unsuccessful, second line therapy may be administered. Second line therapies often consist of more chemotherapy, radiation, antibody drugs, tumor targeted small molecules or a combination of these. Third line therapies can include bone marrow transplantation, antibody and small molecule targeted therapies, more invasive forms of surgery and new technologies. In markets with approved therapies, there is no guarantee that our product candidates, even if approved, would be approved for second line or first line therapy. This could limit our potential market opportunity. In addition, we may have to conduct additional clinical trials prior to gaining approval for second line or first line therapy.

Our projections of both the number of people who have the cancers we are targeting, as well as the subset of people with these cancers in a position to receive later stage therapy and who have the potential to benefit from treatment with our product candidates, are based on our beliefs and estimates. These estimates have been derived from a variety of sources, including scientific literature, surveys of clinics, patient foundations or market research and may prove to be incorrect. Further, new studies may change the estimated incidence or prevalence of these cancers. The number of patients may turn out to be lower than expected. In addition, the potentially addressable patient population for our product candidates may be limited or may not be amenable to treatment with our product candidates. Even if we obtain significant market share for our product candidates, we may never achieve profitability without obtaining regulatory approval for additional indications, including use as a first‑line or second‑line therapy.

Any product candidates for which we intend to seek approval as biologic products may face competition sooner than anticipated.

51


 

The ACA includes a subtitle called the Biologics Price Competition and Innovation Act of 2009, or BPCIA, which created an abbreviated approval pathway for biological products that are biosimilar to or interchangeable with an FDA‑licensed reference biological product. Under the BPCIA, an application for a biosimilar product may not be submitted to the FDA until four years following the date that the reference product was first licensed by the FDA. In addition, the approval of a biosimilar product may not be made effective by the FDA until 12 years from the date on which the reference product was first licensed. During this 12‑year period of exclusivity, another company may still market a competing version of the reference product if the FDA approves a full BLA for the competing product containing the Sponsor’s own preclinical data and data from adequate and well‑controlled clinical trials to demonstrate the safety, purity and potency of its product. Similar risks may exist in foreign jurisdictions.

We believe that any of our future product candidates approved as a biological product under a BLA should qualify for the 12‑year period of exclusivity. However, there is a risk that this exclusivity could be shortened due to Congressional action or otherwise, or that the FDA will not consider our product candidates to be reference products for competing products, potentially creating the opportunity for generic competition sooner than anticipated. Other aspects of the BPCIA, some of which may impact the BPCIA exclusivity provisions, have also been the subject of recent litigation. Moreover, the extent to which a biosimilar, once approved, could be substituted for any one of our reference products in a way that is similar to traditional generic substitution for non‑biological products will depend on a number of marketplace and regulatory factors that are still developing.

The FDA and other regulatory agencies actively enforce the laws and regulations prohibiting the promotion of off‑label uses. If we are found or alleged to have improperly promoted off‑label uses, we may become subject to significant liability.

The FDA and other regulatory agencies strictly regulate the promotional claims that may be made about prescription products, as our product candidates would be, if approved. In particular, a product may not be promoted for uses that are not approved by the FDA or such other regulatory agencies as reflected in the product’s approved labeling. If we are found to have promoted such off‑label uses, we may become subject to significant liability. The federal government has levied large civil and criminal fines against companies for alleged improper promotion and has enjoined several companies from engaging in off‑label promotion. The FDA has also requested that companies enter into consent decrees or permanent injunctions under which specified promotional conduct is changed or curtailed. If we cannot successfully manage the promotion and avoid off‑label promotion of our product candidates, if approved, we could become subject to significant liability, which would materially adversely affect our business and financial condition.

The successful commercialization of our product candidates, if approved, will depend in part on the extent to which governmental authorities and health insurers establish coverage, adequate reimbursement levels and favorable pricing policies. Failure to obtain or maintain coverage and adequate reimbursement for our products could limit our ability to market those products and decrease our ability to generate revenue.

The availability of coverage and the adequacy of reimbursement by governmental healthcare programs such as Medicare and Medicaid, private health insurers and other third‑party payors are essential for most patients to be able to afford prescription medications such as our product candidates, if approved. Our ability to achieve coverage and acceptable levels of reimbursement for our products by third‑party payors will have an effect on our ability to successfully commercialize those products. Even if we obtain coverage for a given product by a third‑party payor, the resulting reimbursement payment rates may not be adequate or may require co‑payments that patients find unacceptably high. We cannot be sure that coverage and reimbursement in the U.S., the European Union or elsewhere will be available for any product that we may develop, and any reimbursement that may become available may be decreased or eliminated in the future.

Third‑party payors increasingly are challenging prices charged for pharmaceutical products and services, and many third‑party payors may refuse to provide coverage and reimbursement for particular drugs when an equivalent generic drug or a less expensive therapy is available. It is possible that a third‑party payor may consider our products as substitutable and only offer to reimburse patients for the less expensive product. Even if we are successful in demonstrating improved efficacy or improved convenience of administration with our products, pricing of existing drugs may limit the amount we will be able to charge for our products. These payors may deny or revoke the reimbursement status of a given product or establish prices for new or existing marketed products at levels that are too low to enable us to realize an appropriate return on our investment in product development. If reimbursement is not available or is available only at limited levels, we may not be able to successfully commercialize our products and may not be able to obtain a satisfactory financial return on products that we may develop.

There is significant uncertainty related to third‑party payor coverage and reimbursement of newly approved products. In the U.S., third‑party payors, including private and governmental payors, such as the Medicare and Medicaid programs, play an important role in determining the extent to which new drugs will be covered. Some third‑party payors may require pre‑approval of coverage for new or innovative devices or drug therapies before they will reimburse healthcare providers who use such therapies. It is difficult to predict at this time what third‑party payors will decide with respect to the coverage and reimbursement for our products.

52


 

Obtaining and maintaining reimbursement status is time consuming, costly and uncertain. The Medicare and Medicaid programs increasingly are used as models for how private payors and other governmental payors develop their coverage and reimbursement policies for drugs. However, no uniform policy for coverage and reimbursement for products exists among third‑party payors in the U.S. Therefore, coverage and reimbursement for products can differ significantly from payor to payor. As a result, the coverage determination process is often a time consuming and costly process that will require us to provide scientific and clinical support for the use of our products to each payor separately, with no assurance that coverage and adequate reimbursement will be applied consistently or obtained in the first instance. Furthermore, rules and regulations regarding reimbursement change frequently, in some cases at short notice, and we believe that changes in these rules and regulations are likely.

Additionally, we or our collaborators may develop companion diagnostic tests for use with our product candidates as we are targeting certain defined populations for our treatments. We, or our collaborators, will be required to obtain coverage and reimbursement for these tests separate and apart from the coverage and reimbursement sought for our product candidates, once approved. While we, or our collaborators, have not yet developed any companion diagnostic test for our product candidates, if we do, there is significant uncertainty regarding our ability to obtain approval, coverage and adequate reimbursement for the same reasons applicable to our product candidates.

Outside the U.S., international operations are generally subject to extensive governmental price controls and other market regulations, and we believe the increasing emphasis on cost‑containment initiatives in Europe and other countries has and will continue to put pressure on the pricing and usage of our products. In many countries, the prices of medical products are subject to varying price control mechanisms as part of national health systems. Other countries allow companies to fix their own prices for medical products but monitor and control company profits. Additional foreign price controls or other changes in pricing regulation could restrict the amount that we are able to charge for our products. Accordingly, in markets outside the U.S, the reimbursement for our products may be reduced compared with the U.S. and may be insufficient to generate commercially reasonable revenue and profits.

Moreover, increasing efforts by governmental and third‑party payors in the U.S. and abroad to cap or reduce healthcare costs may cause such organizations to limit both coverage and the level of reimbursement for newly approved products and, as a result, they may not cover or provide adequate payment for our products. We expect to experience pricing pressures in connection with the sale of any of our products due to the trend toward managed healthcare, the increasing influence of health maintenance organizations and additional legislative changes. The downward pressure on healthcare costs in general, particularly prescription drugs and surgical procedures and other treatments, has become very intense. As a result, increasingly high barriers are being erected to the entry of new products.

We face significant competition, and if our competitors develop technologies or product candidates more rapidly than we do, or their technologies are more effective, our ability to develop and successfully commercialize products may be adversely affected.

The biotechnology and pharmaceutical industries are characterized by rapidly advancing technologies, intense competition and a strong emphasis on proprietary and novel products and product candidates. Our competitors have developed, are developing or may develop products, product candidates and processes competitive with our product candidates. Any product candidates that we successfully develop and commercialize will compete with existing therapies and new therapies that may become available in the future. We believe that a significant number of products are currently under development, and may become commercially available in the future, for the treatment of conditions for which we may attempt to develop product candidates. In particular, there is intense competition in the fields of immunology, inflammation and oncology. Our competitors include larger and better funded pharmaceutical, biopharmaceutical, biotechnological and therapeutics companies. Moreover, we may also compete with universities and other research institutions who may be active in the indications we are targeting and could be in direct competition with us. We also compete with these organizations to recruit management, scientists and clinical development personnel, which could negatively affect our level of expertise and our ability to execute our business plan. We will also face competition in establishing clinical trial sites, enrolling patients for clinical trials and in identifying and in‑licensing new product candidates. Smaller or early‑stage companies may also prove to be significant competitors, particularly through collaborative arrangements with large and established companies.

If any of our product candidates are approved in oncology indications, they will compete with small molecule therapies, biologics, cell‑based therapies and vaccines, either approved or under development, that are intended to treat the same cancers that we are targeting, including through approaches that may prove to be more effective, have fewer side effects, be less costly to manufacture, be more convenient to administer or have other advantages over any product candidates we develop. In addition to competing with other therapies targeting similar indications, there are numerous other companies and academic institutions focused on similar targets as our product candidates and/or different scientific approaches to treating the same indications. We face competition from such companies in seeking any future potential collaborations to partner our product candidates, as well as potentially competing commercially for any approved products.

53


 

Many of our competitors have significantly greater financial, technical, manufacturing, marketing, sales and supply resources or experience than we do. If we successfully obtain approval for any product candidate, we will face competition based on many different factors, including the safety and effectiveness of our products, the ease with which our products can be administered and the extent to which patients accept relatively new routes of administration, the timing and scope of regulatory approvals for these products, the availability and cost of manufacturing, marketing and sales capabilities, price, reimbursement coverage and patent position. Competing products could present superior treatment alternatives, including by being more effective, safer, more convenient, less expensive or marketed and sold more effectively than any products we may develop. Competitive products may make any products we develop obsolete or noncompetitive before we recover the expense of developing and commercializing our product candidates. If we are unable to compete effectively, our opportunity to generate revenue from the sale of products we may develop, if approved, could be adversely affected.

If the market opportunities for our products are smaller than we believe they are, our revenue may be adversely affected, and our business may suffer.

The precise incidence and prevalence for all the conditions we aim to address with our product candidates are unknown. Our projections of both the number of people who have these diseases, the number who have the specific indicated stage or treatment history we believe will be the approved indication, as well as the subset of people with these diseases who have the potential to benefit from treatment with our product candidates, are based on our beliefs and estimates. These estimates have been derived from a variety of sources, including the scientific literature, surveys of clinics, patient foundations or market research, and may prove to be incorrect. Further, new trials may change the estimated incidence or prevalence of these diseases. The total addressable market across all of our product candidates will ultimately depend upon, among other things, the indication approved by regulatory agencies and the diagnostic criteria included in the final label for each of our product candidates approved for sale for these indications, the availability of alternative treatments and the safety, convenience, cost and efficacy of our product candidates relative to such alternative treatments, acceptance by the medical community and patient access, drug pricing and reimbursement. The number of patients in the U.S. and other major markets and elsewhere may turn out to be lower than expected, patients may not be otherwise amenable to treatment with our products or new patients may become increasingly difficult to identify or gain access to, all of which would adversely affect our results of operations and our business. Further, even if we obtain significant market share for our product candidates, because some of our potential target populations are very small, we may never achieve profitability despite obtaining such significant market share.

We currently have no marketing and sales organization and have no experience as a company in commercializing products, and we may have to invest significant resources to develop these capabilities. If we are unable to establish marketing and sales capabilities or enter into agreements with third parties to market and sell our products, we may not be able to generate product revenue.

We have no internal sales, marketing or distribution capabilities, nor have we commercialized a product. If any of our product candidates ultimately receives regulatory approval, we must build a marketing and sales organization with technical expertise and supporting distribution capabilities to commercialize each such product in major markets, which will be expensive and time consuming, or collaborate with third parties that have sales forces and established distribution systems, either to augment our own sales force and distribution systems or in lieu of our own sales force and distribution systems. We have no prior experience as a company in the marketing, sale and distribution of biopharmaceutical products and there are significant risks involved in building and managing a sales organization, including our ability to hire, retain and incentivize qualified individuals, generate sufficient sales leads, provide adequate training to sales and marketing personnel and effectively manage a geographically dispersed sales and marketing team. Any failure or delay in the development of our internal sales, marketing and distribution capabilities would adversely impact the commercialization of these products. We may not be able to enter into collaborations or hire consultants or external service providers to assist us in sales, marketing and distribution functions on acceptable financial terms, or at all. In addition, our product revenues and our profitability, if any, may be lower if we rely on third parties for these functions than if we were to market, sell and distribute any products that we develop. We likely will have little control over such third parties, and any of them may fail to devote the necessary resources and attention to sell and market our products effectively. If we are not successful in commercializing our products, either on our own or through arrangements with one or more third parties, we may not be able to generate any future product revenue and we would incur significant additional losses.

Our future growth may depend, in part, on our ability to operate in foreign markets, where we would be subject to additional regulatory burdens and other risks and uncertainties.

Our future growth may depend, in part, on our ability to develop and commercialize our product candidates in foreign markets. We are not permitted to market or promote any of our product candidates before we receive regulatory approval from applicable regulatory authorities in foreign markets, and we may never receive such regulatory approvals for any of our product candidates. To obtain separate regulatory approval in most other countries, we must comply with numerous and varying regulatory requirements regarding safety and efficacy and governing, among other things, clinical trials, commercial sales, manufacturing, pricing and

54


 

distribution of our product candidates. If we receive regulatory approval of our product candidates and ultimately commercialize our products in foreign markets, we would be subject to additional risks and uncertainties, including:

different regulatory requirements for approval of drugs in foreign countries;
reduced protection for intellectual property rights;
the existence of additional third‑party patent rights of potential relevance to our business;
unexpected changes in tariffs, trade barriers and regulatory requirements;
economic weakness, including inflation, public health emergencies, or political instability in particular foreign economies and markets;
compliance with tax, employment, immigration and labor laws for employees living or traveling abroad;
foreign currency fluctuations, which could result in increased operating expenses and reduced revenues, and other obligations incident to doing business in another country;
foreign reimbursement, pricing and insurance regimes;
workforce uncertainty in countries where labor unrest is common;
production shortages resulting from any events affecting raw material supply or manufacturing capabilities abroad; and
business interruptions resulting from geopolitical actions, including war and terrorism, public health emergencies, such as the outbreak of a novel strain of coronavirus affecting the People’s Republic of China and elsewhere or natural disasters including earthquakes, typhoons, floods and fires.

Risks Related to Our Business Operations and Industry

Our operating results may fluctuate significantly, which makes our future operating results difficult to predict and could cause our operating results to fall below expectations or any guidance we may provide.

Our quarterly and annual operating results may fluctuate significantly, which makes it difficult for us to predict our future operating results. These fluctuations may occur due to a variety of factors, many of which are outside of our control, including, but not limited to:

the timing and cost of, and level of investment in, research, development, regulatory approval and commercialization activities relating to our product candidates, which may change from time to time;
coverage and reimbursement policies with respect to our product candidates, if approved, and potential future drugs that compete with our products;
the cost of manufacturing our product candidates, which may vary depending on the quantity of production and any manufacturing issues or challenges requiring additional manufacturing activities, and the terms of our agreements with third‑party manufacturers;
business interruptions resulting from geopolitical actions, including war and terrorism, or natural disasters such as earthquakes, typhoons, floods and fires or public health emergencies or pandemics;
the timing and amount of any milestone or other payments we must make to the licensors and other third parties from whom we have in‑licensed or acquired our product candidates;
expenditures that we may incur to acquire, develop or commercialize additional product candidates and technologies;
the level of demand for any approved products, which may vary significantly;
future accounting pronouncements or changes in our accounting policies; and
the timing and success or failure of preclinical studies or clinical trials for our product candidates or competing product candidates, or any other change in the competitive landscape of our industry, including consolidation among our competitors or partners.

The cumulative effects of these factors could result in large fluctuations and unpredictability in our quarterly and annual operating results. As a result, comparing our operating results on a period‑to‑period basis may not be meaningful. Investors should not rely on our past results as an indication of our future performance.

55


 

This variability and unpredictability could also result in our failing to meet the expectations of industry or financial analysts or investors for any period. If our revenue or operating results fall below the expectations of analysts or investors or below any forecasts we may provide to the market, or if the forecasts we provide to the market are below the expectations of analysts or investors, the price of our common stock could decline substantially. Such a stock price decline could occur even when we have met any previously publicly stated revenue or earnings guidance we may provide.

We are dependent on the services of our management and if we are not able to retain these individuals or recruit additional management or other key personnel, our business will suffer.

Our success depends in part on our continued ability to attract, retain and motivate highly qualified management, clinical and scientific personnel. We are highly dependent upon our senior management, particularly our Chief Executive Officer, as well as other members of our senior management team. The loss of services of any of these individuals could delay or prevent the successful development of our product pipeline, initiation or completion of our planned operations, planned clinical trials or the commercialization of our product candidates. Although we have executed employment agreements or offer letters with each member of our senior management team, these agreements are terminable at will with or without notice and, therefore, we may not be able to retain their services as expected. We do not currently maintain “key person” life insurance on the lives of any of our employees. This lack of insurance means that we may not have adequate compensation for the loss of the services of these individuals.

We will need to expand and effectively manage our managerial, operational, financial and other resources in order to successfully pursue our clinical development and commercialization efforts. We may not be successful in maintaining our unique company culture and continuing to attract or retain qualified management and scientific and clinical personnel in the future due to the intense competition for qualified personnel among pharmaceutical, biotechnology and other businesses, particularly in the San Diego area. Our industry has experienced a high rate of turnover of management personnel in recent years. If we are not able to attract, integrate, retain and motivate necessary personnel to accomplish our business objectives, we may experience constraints that will significantly impede the achievement of our development objectives, our ability to raise additional capital and our ability to implement our business strategy.

We may encounter difficulties in managing our growth and expanding our operations successfully.

As of March 1, 2024, we had 27 full-time employees and three part-time employees. As we continue research and development activities and pursue the potential commercialization of our product candidates, as well as function as a public company, we will need to expand our financial, research, development, regulatory, manufacturing, marketing and sales capabilities or contract with third parties to provide these capabilities for the company. As our operations expand, we expect that we will need to manage additional relationships with various strategic partners, suppliers and other third parties. Our future financial performance and our ability to develop and commercialize our product candidates and to compete effectively will depend, in part, on our ability to manage any future growth effectively.

We are subject to various foreign, federal, and state healthcare laws and regulations, and our failure to comply with these laws and regulations could harm our results of operations and financial condition.

Our business operations and current and future arrangements with investigators, healthcare professionals, consultants, third‑party payors and customers expose us to broadly applicable foreign, federal and state fraud and abuse and other healthcare laws and regulations. These laws may constrain the business or financial arrangements and relationships through which we conduct our operations, including how we research, market, sell and distribute any products for which we obtain marketing approval. Such laws include:

the federal Anti‑Kickback Statute, which prohibits, among other things, persons or entities from knowingly and willfully soliciting, offering, receiving or providing any remuneration (including any kickback, bribe or certain rebates), directly or indirectly, overtly or covertly, in cash or in kind, in return for, either the referral of an individual or the purchase, lease, or order, or arranging for or recommending the purchase, lease, or order of any good, facility, item or service, for which payment may be made, in whole or in part, under a federal healthcare program such as Medicare and Medicaid. A person or entity does not need to have actual knowledge of the federal Anti‑Kickback Statute or specific intent to violate it in order to have committed a violation;
the federal false claims and civil monetary penalties laws, including the civil False Claims Act, which prohibits, among other things, individuals or entities from knowingly presenting, or causing to be presented, to the federal government, claims for payment or approval that are false or fraudulent, knowingly making, using or causing to be made or used, a false record or statement material to a false or fraudulent claim, or from knowingly making or causing to be made a false statement to avoid, decrease or conceal an obligation to pay money to the federal government. In addition, the government

56


 

may assert that a claim including items or services resulting from a violation of the federal Anti‑Kickback Statute constitutes a false or fraudulent claim for purposes of the civil False Claims Act;
the Health Insurance Portability and Accountability Act of 1996, as amended by the Health Information Technology for Economic and Clinical Health Act of 2009, and regulations implemented thereunder, or collectively HIPAA, which imposes criminal and civil liability for, among other things, knowingly and willfully executing, or attempting to execute, a scheme to defraud any healthcare benefit program, or knowingly and willfully falsifying, concealing or covering up a material fact or making any materially false statement, in connection with the delivery of, or payment for, healthcare benefits, items or services. Similar to the federal Anti‑Kickback Statute, a person or entity does not need to have actual knowledge of the statute or specific intent to violate it in order to have committed a violation;
the federal Physician Payments Sunshine Act, which requires certain manufacturers of drugs, devices, biologics and medical supplies for which payment is available under Medicare, Medicaid or the Children’s Health Insurance Program (with certain exceptions) to report annually to the Centers for Medicare and Medicaid Services, CMS, information related to payments and other “transfers of value” made to physicians (defined to include doctors, dentists, optometrists, podiatrists and chiropractors), certain non‑physician practitioners (physician assistants, nurse practitioners, clinical nurse specialists, certified registered nurse anesthetists, anesthesiology assistants and certified nurse midwives) and teaching hospitals, as well as ownership and investment interests held by the physicians described above and their immediate family members;
federal consumer protection and unfair competition laws, which broadly regulate marketplace activities and activities that potentially harm consumers; and
analogous U.S. state and foreign laws and regulations, such as state anti‑kickback and false claims laws, which may apply to our business practices, including but not limited to, research, distribution, sales and marketing arrangements and claims involving healthcare items or services reimbursed by non‑governmental third‑party payors, including private insurers, or by the patients themselves; state laws that require pharmaceutical companies to comply with the pharmaceutical industry’s voluntary compliance guidelines and the relevant compliance guidance promulgated by the federal government, or otherwise restrict payments that may be made to healthcare providers and other potential referral sources; state laws and regulations that require drug manufacturers to file reports relating to pricing and marketing information or which require tracking gifts and other remuneration and items of value provided to physicians, other healthcare providers and entities; and state and local laws that require the registration of pharmaceutical sales representatives.

Ensuring that our internal operations and business arrangements with third parties comply with applicable healthcare laws and regulations could involve substantial costs. It is possible that governmental authorities will conclude that our business practices, including our consulting arrangements with physicians and other healthcare providers, some of whom received stock options as compensation for services provided, do not comply with current or future statutes, regulations, agency guidance or case law involving applicable fraud and abuse or other healthcare laws and regulations. If our operations are found to be in violation of any of the laws described above or any other governmental laws and regulations that may apply to us, we may be subject to significant penalties, including civil, criminal and administrative penalties, damages, fines, exclusion from U.S. government funded healthcare programs, such as Medicare and Medicaid, or similar programs in other countries or jurisdictions, disgorgement, individual imprisonment, contractual damages, reputational harm, additional reporting requirements and oversight if we become subject to a corporate integrity agreement or similar agreement to resolve allegations of non‑compliance with these laws, diminished profits and the curtailment or restructuring of our operations. Further, defending against any such actions can be costly, time consuming and may require significant financial and personnel resources. Therefore, even if we are successful in defending against any such actions that may be brought against us, our business may be impaired. If any of the physicians or other providers or entities with whom we expect to do business are found to not be in compliance with applicable laws, they may be subject to criminal, civil or administrative sanctions, including exclusion from government funded healthcare programs and imprisonment. If any of the above occur, it could adversely affect our ability to operate our business and our results of operations.

Recently enacted legislation, future legislation and healthcare reform measures may increase the difficulty and cost for us to obtain marketing approval for and commercialize our product candidates and may affect the prices we may set.

In the U.S. and some foreign jurisdictions, there have been, and we expect there will continue to be, a number of legislative and regulatory changes to the healthcare system, including cost‑containment measures that may reduce or limit coverage and reimbursement for newly approved drugs and affect our ability to profitably sell any product candidates for which we obtain marketing approval. In particular, there have been and continue to be a number of initiatives at the U.S. federal and state levels that seek to reduce healthcare costs and improve the quality of healthcare.

For example, in March 2010, the Patient Protection and Affordable Care Act, as amended by the Health Care and Education Reconciliation Act, referred to collectively as the ACA, was enacted in the U.S. Among the provisions of the ACA of importance to

57


 

our potential product candidates, the ACA: established an annual, nondeductible fee on any entity that manufactures or imports specified branded prescription drugs and biologic agents; extended manufacturers’ Medicaid rebate liability to covered drugs dispensed to individuals who are enrolled in Medicaid managed care organizations; expands eligibility criteria for Medicaid programs; expanded the entities eligible for discounts under the Public Health program; increased the statutory minimum rebates a manufacturer must pay under the Medicaid Drug Rebate Program; created a new Medicare Part D coverage gap discount program; establishes a new Patient‑Centered Outcomes Research Institute to oversee, identify priorities in and conduct comparative clinical effectiveness research, along with funding for such research; and established a Center for Medicare and Medicaid Innovation at CMS to test innovative payment and service delivery models to lower Medicare and Medicaid spending.

Since its enactment, there have been judicial, executive and Congressional challenges to certain aspects of the ACA. On June 17, 2021, the U.S. Supreme Court dismissed the most recent judicial challenge to the ACA brought by several states without specifically ruling on the constitutionality of the ACA. Thus, the ACA will remain in effect in its current form. Further, prior to the U.S. Supreme Court ruling, President Biden issued an executive order that initiated a special enrollment period for purposes of obtaining health insurance coverage through the ACA marketplace from February 15, 2021 through August 15, 2021. The executive order instructed certain governmental agencies to review and reconsider their existing policies and rules that limit access to healthcare, including among others, reexamining Medicaid demonstration projects and waiver programs that include work requirements, and policies that create unnecessary barriers to obtaining access to health insurance coverage through Medicaid or the ACA.

In addition, other legislative changes have been proposed and adopted since the ACA was enacted. On August 2, 2011, the Budget Control Act of 2011 was signed into law, which, among other things, resulted in reductions to Medicare payments to providers, which went into effect on April 1, 2013 and, due to subsequent legislative amendments to the statute, will remain in effect through 2032, with the exception of a temporary suspension from May 1, 2020 through March 31, 2022, unless additional Congressional action is taken. On January 2, 2013, the American Taxpayer Relief Act of 2012 was signed into law, which, among other things, reduced Medicare payments to several providers, including hospitals, and increased the statute of limitations period for the government to recover overpayments to providers from three to five years.

Further, there has been heightened governmental scrutiny in the U.S. of pharmaceutical pricing practices in light of the rising cost of prescription drugs. Such scrutiny has resulted in several recent congressional inquiries and proposed and enacted federal and state legislation designed to, among other things, bring more transparency to product pricing, review the relationship between pricing and manufacturer patient programs, and reform government program reimbursement methodologies for products. On March 11, 2021, the American Rescue Plan Act of 2021 was signed into law, which eliminated the statutory Medicaid drug rebate cap, beginning January 1, 2024. The rebate was previously capped at 100% of a drug’s average manufacturer price, or AMP. Most recently, on August 16, 2022, the Inflation Reduction Act of 2022, or IRA, was signed into law. Among other things, the IRA requires manufacturers of certain drugs to engage in price negotiations with Medicare (beginning in 2026), with prices that can be negotiated subject to a cap; imposes rebates under Medicare Part B and Medicare Part D to penalize price increases that outpace inflation (first due in 2023); and replaces the Part D coverage gap discount program with a new discounting program (beginning in 2025). The IRA permits the Secretary of the Department of Health and Human Services, or HHS, to implement many of these provisions through guidance, as opposed to regulation, for the initial years. On August 29, 2023, HHS announced the list of the first ten drugs that will be subject to price negotiations, although the drug price negotiation program is currently subject to legal challenges. For that and other reasons, it is currently unclear how the IRA will be effectuated.

At the state level, legislatures have increasingly passed legislation and implemented regulations designed to control pharmaceutical and biological product pricing, including price or patient reimbursement constraints, discounts, restrictions on certain product access and marketing cost disclosure and transparency measures, and, in some cases, designed to encourage importation from other countries and bulk purchasing. Legally mandated price controls on payment amounts by third‑party payors or other restrictions could harm our business, results of operations, financial condition and prospects. In addition, regional healthcare authorities and individual hospitals are increasingly using bidding procedures to determine what pharmaceutical products and which suppliers will be included in their prescription drug and other healthcare programs. This could reduce the ultimate demand for our product candidates, if approved, or put pressure on our product pricing, which could negatively affect our business, results of operations, financial condition and prospects.

We expect that the ACA, these new laws and other healthcare reform measures that may be adopted in the future may result in additional reductions in Medicare and other healthcare funding, more rigorous coverage criteria, new payment methodologies and additional downward pressure on the price that we receive for any approved product. Any reduction in reimbursement from Medicare or other government programs may result in a similar reduction in payments from private payors. The implementation of cost containment measures or other healthcare reforms may prevent us from being able to generate revenue, attain profitability or commercialize our product candidates, if approved.

In foreign jurisdictions, including the EU, similar developments may affect our ability to profitably commercialize our product candidates, if approved. For instance, in December 2021, Regulation No 2021/2282 on Health Technology Assessment, or HTA,

58


 

amending Directive 2011/24/EU, was adopted. While the Regulation entered into force in January 2022, it will only begin to apply from January 12, 2025 onwards, with preparatory and implementation-related steps to take place in the interim. Once applicable, it will have a phased implementation depending on the concerned products. The Regulation intends to boost cooperation among EU member states in assessing health technologies, including new medicinal products, and provide the basis for cooperation at the EU level for joint clinical assessments in these areas. It will permit EU member states to use common HTA tools, methodologies, and procedures across the EU, working together in four main areas, including joint clinical assessment of the innovative health technologies with the highest potential impact for patients, joint scientific consultations whereby developers can seek advice from HTA authorities, identification of emerging health technologies to identify promising technologies early, and continuing voluntary cooperation in other areas. Individual EU member states will continue to be responsible for assessing non-clinical (e.g., economic, social, ethical) aspects of health technology, and making decisions on pricing and reimbursement.

Actual or perceived failures to comply with applicable data protection, privacy and security laws, regulations, standards and other requirements could adversely affect our business, results of operations, and financial condition.

The global data protection landscape is rapidly evolving, and we are or may become subject to numerous state, federal and foreign laws, requirements and regulations governing the collection, use, disclosure, retention, and security of personal information, such as information that we may collect in connection with clinical trials in the U.S. and abroad. Implementation standards and enforcement practices are likely to remain uncertain for the foreseeable future, and we cannot yet determine the impact future laws, regulations, standards, or perception of their requirements may have on our business. This evolution may create uncertainty in our business, affect our ability to operate in certain jurisdictions or to collect, store, transfer use and share personal information, necessitate the acceptance of more onerous obligations in our contracts, result in liability or impose additional costs on us. The cost of compliance with these laws, regulations and standards is high and is likely to increase in the future. Any failure or perceived failure by us to comply with federal, state or foreign laws or regulation, our internal policies and procedures or our contracts governing our processing of personal information could result in negative publicity, government investigations and enforcement actions, claims by third parties and damage to our reputation, any of which could have a material adverse effect on our operations, financial performance and business.

As our operations and business grow, we may become subject to or affected by new or additional data protection laws and regulations and face increased scrutiny or attention from regulatory authorities. In the U.S., HIPAA imposes, among other things, certain standards relating to the privacy, security, transmission and breach reporting of individually identifiable health information. Most healthcare providers, including research institutions from which we obtain patient health information, are subject to privacy and security regulations promulgated under HIPAA. While we do not believe that we are currently acting as a covered entity or business associate under HIPAA and thus are not directly regulated under HIPAA, any person may be prosecuted under HIPAA’s criminal provisions either directly or under aiding-and-abetting or conspiracy principles. Consequently, depending on the facts and circumstances, we could face substantial criminal penalties if we knowingly receive individually identifiable health information from a HIPAA-covered healthcare provider or research institution that has not satisfied HIPAA’s requirements for disclosure of individually identifiable health information. In addition, we may maintain sensitive health-related or other personal information, that we receive throughout the clinical trial process, in the course of our research collaborations, and directly from individuals (or their healthcare providers) who enroll in our patient assistance programs. As such, we may be subject to state laws requiring notification of affected individuals and state regulators in the event of a breach of personal information, which is a broader class of information than the health information protected by HIPAA.

Certain states have also adopted comparable privacy and security laws and regulations, some of which may be more stringent than HIPAA. Such laws and regulations will be subject to interpretation by various courts and other governmental authorities, thus creating potentially complex compliance issues for us and our future customers and strategic partners. For example, the California Consumer Privacy Act, or CCPA, went into effect on January 1, 2020. The CCPA creates individual privacy rights for California consumers and increases the privacy and security obligations of entities handling certain personal information. The CCPA provides for civil penalties for violations, as well as a private right of action for certain data breaches that has increased the likelihood of, and risks associated with, data breach litigation. The CCPA may increase our compliance costs and potential liability. Further, the California Privacy Rights Act, or CPRA, generally went into effect on January 1, 2023, and significantly amends the CCPA. It imposes additional data protection obligations on covered companies doing business in California, including additional consumer rights processes, limitations on data uses, new audit requirements for higher risk data, and opt outs for certain uses of sensitive data. It also created a new California data protection agency specifically tasked to issue substantive regulations and enforce the CCPA and CPRA, which has increased regulatory scrutiny of covered businesses in the areas of data protection and security. Additional compliance investment and potential business process changes may also be required. Similar laws have passed in other states, and continue to be proposed at the state and federal level, reflecting a trend toward more stringent privacy legislation in the U.S. The enactment of such laws could have potentially conflicting requirements that would make compliance challenging. In the event that we are subject to or affected by HIPAA, the CCPA, the CPRA or other domestic privacy and data protection laws, any liability from failure to comply with the requirements of these laws could adversely affect our financial condition.

59


 

In the EU, the EU General Data Protection Regulation, or GDPR, went into effect in May 2018 and imposes strict requirements for processing the personal data of individuals within the European Economic Area, or EEA, or in the context of our activities within the EEA. In addition, some of the personal data we process in respect of clinical trial participants is special category or sensitive personal data under the GDPR, and subject to additional compliance obligations and to local law derogations. Companies that must comply with the GDPR face increased compliance obligations and risk, including more robust regulatory enforcement of data protection requirements and potential fines for noncompliance of up to €20 million or 4% of the annual global revenues of the noncompliant company, whichever is greater. In addition to fines, a breach of the GDPR may result in regulatory investigations, reputational damage, orders to cease/ change our data processing activities, enforcement notices, assessment notices (for a compulsory audit) and/ or civil claims (including class actions). Among other requirements, the GDPR regulates transfers of personal data subject to the GDPR to third countries that have not been found to provide adequate protection to such personal data, including the U.S., and the efficacy and longevity of current transfer mechanisms between the EEA and the U.S. remains uncertain. Case law from the Court of Justice of the EU, or the CJEU, states that reliance on the standard contractual clauses a standard form of contract approved by the European Commission as an adequate personal data transfer mechanismalone may not necessarily be sufficient in all circumstances and that transfers must be assessed on a case-by-case basis. On October 7, 2022 President Biden signed an Executive Order on ‘Enhancing Safeguards for United States Signals Intelligence Activities’ which introduced new redress mechanisms and binding safeguards to address the concerns raised by the CJEU in relation to data transfers from the EEA to the U.S. and which formed the basis of the new EU-US Data Privacy Framework, or DPF, as released on December 13, 2022. The European Commission adopted its Adequacy Decision in relation to the DPF on July 10, 2023, rendering the DPF effective as a GDPR transfer mechanism to U.S. entities self-certified under the DPF. The DPF also introduced a new redress mechanism for EU citizens which addresses a key concern in the previous CJEU judgments and may mean transfers under standard contractual clauses are less likely to be challenged in future. We expect the existing legal complexity and uncertainty regarding international personal data transfers to continue. In particular, we expect the DPF Adequacy Decision to be challenged and international transfers to the U.S. and to other jurisdictions more generally to continue to be subject to enhanced scrutiny by regulators. To the extent we are unable to transfer personal data between and among regions in which we operate or intend to operate as a result of regulatory authorities issuing further guidance on personal data export mechanisms, including circumstances where the standard contractual clauses cannot be used, and/or start taking enforcement action, it could affect the manner in which we operate and could adversely affect our financial results.

Further, since January 1, 2021, companies have had to comply with the GDPR and also the UK GDPR, which, together with the amended UK Data Protection Act 2018, retains the GDPR in UK national law, or collectively, the UK GDPR. The UK GDPR mirrors the fines under the GDPR, i.e., fines up to the greater of €20 million (£17.5 million) or 4% of global turnover. On October 12, 2023, the UK Extension to the DPF came into effect (as approved by the UK Government), as a UK GDPR data transfer mechanism to U.S. entities self-certified under the UK Extension to the DPF. As we continue to expand into other foreign countries and jurisdictions, we may be subject to additional laws and regulations that may affect how we conduct business. Although we work to comply with applicable laws, regulations and standards, our contractual obligations and other legal obligations, these requirements are evolving and may be modified, interpreted and applied in an inconsistent manner from one jurisdiction to another, and may conflict with one another or other legal obligations with which we must comply. If we or our third-party CROs or other contractors or consultants fail to comply with applicable federal, state or local regulatory requirements, we could be subject to a range of regulatory actions that could affect our or our contractors’ ability to develop and commercialize our product candidates and could harm or prevent sales of any affected products that we are able to commercialize, or could substantially increase the costs and expenses of developing, commercializing and marketing our products. Any threatened or actual government enforcement action could also generate adverse publicity and require that we devote substantial resources that could otherwise be used in other aspects of our business. Further, the use of social media by our, and our third-party service providers’, employees and contractors could give rise to liability with respect to intentional or inadvertent data privacy and security breaches involving our data or result in other incidents that could cause reputational damage.

We and any of our third-party manufacturers or suppliers may use potent chemical agents and hazardous materials, and any claims relating to improper handling, storage or disposal of these materials could be time consuming or costly.

We and any of our third-party manufacturers or suppliers will use biological materials, potent chemical agents and may use hazardous materials, including chemicals and biological agents and compounds that could be dangerous to human health and safety of the environment. Our historical operations and the operations of our third-party manufacturers and suppliers also produce hazardous waste products. Federal, state and local laws and regulations govern the use, generation, manufacture, storage, handling and disposal of these materials and wastes. Compliance with applicable environmental laws and regulations may be expensive, and current or future environmental laws and regulations may impair our product development efforts. In addition, we cannot eliminate the risk of accidental injury or contamination from these materials or wastes. We do not carry specific biological or hazardous waste insurance coverage, and our property, casualty and general liability insurance policies specifically exclude coverage for damages and fines arising from biological or hazardous waste exposure or contamination. In the event of contamination or injury, we could be held liable for damages or be penalized with fines in an amount exceeding our resources, and our clinical trials or regulatory approvals could be suspended.

60


 

Although we maintain workers’ compensation insurance for certain costs and expenses we may incur due to injuries to our employees resulting from the use of hazardous materials or other work-related injuries, this insurance may not provide adequate coverage against potential liabilities. We do not maintain insurance for toxic tort claims that may be asserted against us in connection with our storage or disposal of biologic, hazardous or radioactive materials.

In addition, we may incur substantial costs in order to comply with current or future environmental, health and safety laws and regulations, which have tended to become more stringent over time. These current or future laws and regulations may impair our research, development or production efforts. Failure to comply with these laws and regulations also may result in substantial fines, penalties or other sanctions or liabilities, which could materially adversely affect our business, financial condition, results of operations and prospects.

If product liability lawsuits are brought against us, we may incur substantial liabilities and may be required to limit commercialization of our products.

We face an inherent risk of product liability as a result of the clinical trials of our product candidates and will face an even greater risk if we commercialize our product candidates. For example, we may be sued if our product candidates allegedly cause injury or are found to be otherwise unsuitable during product testing, manufacturing, marketing or sale. Any such product liability claims may include allegations of defects in manufacturing, defects in design, a failure to warn of dangers inherent in the product candidate, negligence, strict liability and a breach of warranties. Claims may be brought against us by clinical trial participants, patients or others using, administering or selling products that may be approved in the future. Claims could also be asserted under state consumer protection acts.

If we cannot successfully defend ourselves against product liability claims, we may incur substantial liabilities or be required to limit or cease the commercialization of our products. Even a successful defense would require significant financial and management resources. Regardless of the merits or eventual outcome, liability claims may result in:

decreased demand for our products;
injury to our reputation and significant negative media attention;
withdrawal of clinical trial participants;
costs to defend the related litigation;
a diversion of management’s time and our resources;
substantial monetary awards to trial participants or patients;
product recalls, withdrawals or labeling, marketing or promotional restrictions;
significant negative financial impact;
the inability to commercialize our product candidates; and
a decline in our stock price.

We currently hold $10.0 million in product liability insurance coverage in the aggregate. We may need to increase our insurance coverage as we expand our clinical trials or if we commence commercialization of our product candidates. Insurance coverage is increasingly expensive. Our inability to obtain and retain sufficient product liability insurance at an acceptable cost to protect against potential product liability claims could prevent or inhibit the commercialization of our product candidates. Although we maintain such insurance, any claim that may be brought against us could result in a court judgment or settlement in an amount that is not covered, in whole or in part, by our insurance or that is in excess of the limits of our insurance coverage. Our insurance policies will also have various exclusions, and we may be subject to a product liability claim for which we have no coverage. We may have to pay any amounts awarded by a court or negotiated in a settlement that exceed our coverage limitations or that are not covered by our insurance, and we may not have, or be able to obtain, sufficient capital to pay such amounts.

61


 

We and any of our potential future collaborators will be required to report to regulatory authorities if any of our approved products cause or contribute to adverse medical events, and any failure to do so would result in sanctions that would materially harm our business.

If we and any of our potential future collaborators are successful in commercializing our products, the FDA and foreign regulatory authorities would require that we and any of our potential future collaborators report certain information about adverse medical events if those products may have caused or contributed to those adverse events. The timing of our obligation to report would be triggered by the date we become aware of the adverse event as well as the nature of the event. We and any of our potential future collaborators or CROs may fail to report adverse events within the prescribed timeframe. If we or any of our potential future collaborators or CROs fail to comply with such reporting obligations, the FDA or a foreign regulatory authority could take action, including criminal prosecution, the imposition of civil monetary penalties, seizure of our products or delay in approval or clearance of future products.

Our information technology systems, or those of any of our CROs, manufacturers, other contractors or consultants or potential future collaborators, may fail or suffer cyberattacks or other security breaches, which could have a material adverse effect on our business, results of operation, and financial condition, and result in a material disruption of our product development programs.

We collect and maintain information in digital form that is necessary to conduct our business, and we are increasingly dependent on information technology systems and infrastructure to operate our business. In the ordinary course of our business, we collect, store and transmit large amounts of confidential information, including intellectual property, proprietary business information and personal information of customers and our employees and contractors. It is critical that we do so in a secure manner to maintain the confidentiality and integrity of such confidential information. Further, U.S. federal and various state and foreign governments have adopted or proposed requirements regarding the collection, distribution, use, security, and storage of health-related and other personal information, and federal and state consumer protection laws are being applied to enforce regulations related to the online collection, use, and dissemination of data.

We and certain of our service providers are from time to time subject to cyberattacks and security incidents. While we do not believe that we have experienced any significant system failure, accident or security breach to date, if such an event were to occur and cause interruptions in our operations or result in the unauthorized disclosure of or access to personal or other confidential information, it could result in a material disruption of our development programs and our business operations, whether due to a loss of our trade secrets or other similar disruptions. Some of the federal, state and foreign government requirements include obligations of companies to notify individuals, governmental authorities, supervisory bodies, the media and other parties of security breaches involving particular personal information, which could result from breaches experienced by us or by our vendors, contractors, or organizations with which we have formed strategic relationships. Even though we may have contractual protections with such vendors, contractors, or other organizations, notifications and follow-up actions related to a security breach could impact our reputation, cause us to incur significant costs, including legal expenses, harm customer confidence, hurt our expansion into new markets, cause us to incur remediation costs, or cause us to lose existing customers. Further, the loss of clinical trial data from completed or future clinical trials could result in delays in our regulatory approval efforts and significantly increase our costs to recover or reproduce the data. We also rely on third parties to manufacture our product candidates, and similar events relating to their computer systems could also have a material adverse effect on our business. To the extent that any disruption or security breach were to result in a loss of, or damage to, our data or applications, or inappropriate disclosure of confidential or proprietary information, we could be subject to regulatory scrutiny, incur liability, the further development and commercialization of our product candidates could be delayed, and we could be subject to significant fines, penalties or liabilities for any noncompliance to certain privacy and security laws.

Despite the implementation of security measures, our information technology systems and those of our current and any future CROs and other contractors, consultants and collaborators are vulnerable to attack, interruption, and damage from computer viruses and malware (e.g. ransomware), malicious code, natural disasters, terrorism, war, telecommunication and electrical failures, hacking, cyberattacks, phishing attacks and other social engineering schemes, employee theft or misuse, human error, fraud, denial or degradation of service attacks, sophisticated nation-state and nation-state-supported actors or unauthorized access or use by persons inside our organization, or persons with access to systems inside our organization. Our corporate headquarters is located in San Diego, California near major earthquake faults and fire zones, and the ultimate impact on us of being located near major earthquake faults and fire zones and being consolidated in a certain geographical area is unknown. The occurrence of any business disruptions from natural disasters could seriously harm our operations and financial condition and increase our costs and expenses. In addition, attacks upon information technology systems are increasing in their frequency, levels of persistence, sophistication and intensity, and are being conducted by sophisticated and organized groups and individuals with a wide range of motives and expertise. As a result of the COVID-19 pandemic, we may also face increased cybersecurity risks due to our reliance on internet technology and the number of our employees who continue to work remotely, which may create additional opportunities for cybercriminals to exploit vulnerabilities. Furthermore, because the techniques used to obtain unauthorized access to, or to sabotage, systems change frequently and often are not recognized until launched against a target, we may be unable to anticipate these techniques or implement adequate preventative measures. We may also experience security breaches that may remain undetected for an extended period. Even if identified, we may

62


 

be unable to adequately investigate or remediate incidents or breaches due to attackers increasingly using tools and techniques that are designed to circumvent controls, to avoid detection, and to remove or obfuscate forensic evidence.

We maintain cyber liability insurance; however, this insurance may not be sufficient to cover the financial, legal, business or reputational losses that may result from an interruption or breach of our systems.

Our employees and independent contractors, including principal investigators, CROs, consultants and vendors, may engage in misconduct or other improper activities, including noncompliance with regulatory standards and requirements.

We are exposed to the risk that our employees and independent contractors, including principal investigators, CROs, consultants and vendors may engage in misconduct or other illegal activity. Misconduct by these parties could include intentional, reckless and/or negligent conduct or disclosure of unauthorized activities to us that violate: (1) the laws and regulations of the FDA and other similar regulatory requirements, including those laws that require the reporting of true, complete and accurate information to such authorities, (2) manufacturing standards, including cGMP and similar foreign requirements, (3) federal, state and foreign data privacy, security, fraud and abuse and other healthcare laws and regulations in the U.S. and abroad or (4) laws that require the true, complete and accurate reporting of financial information or data. Activities subject to these laws also involve the improper use or misrepresentation of information obtained in the course of clinical trials, the creation of fraudulent data in our preclinical studies or clinical trials, or illegal misappropriation of drug product, which could result in regulatory sanctions and cause serious harm to our reputation. It is not always possible to identify and deter misconduct by employees and other third parties, and the precautions we take to detect and prevent this activity may not be effective in controlling unknown or unmanaged risks or losses or in protecting us from governmental investigations or other actions or lawsuits stemming from a failure to be in compliance with such laws or regulations. In addition, we are subject to the risk that a person or government could allege such fraud or other misconduct, even if none occurred. If any such actions are instituted against us, and we are not successful in defending ourselves or asserting our rights, those actions could have a significant impact on our business and financial results, including, without limitation, the imposition of significant civil, criminal and administrative penalties, damages, monetary fines, disgorgements, possible exclusion from participation in Medicare, Medicaid and other federal healthcare programs, individual imprisonment, contractual damages, reputational harm, diminished profits and future earnings, additional reporting requirements and oversight if we become subject to a corporate integrity agreement or similar agreement to resolve allegations of non‑compliance with these laws, and curtailment of our operations, any of which could adversely affect our ability to operate our business and our results of operations.

We are subject to U.S. and certain foreign export and import controls, sanctions, embargoes, anti‑corruption laws and anti‑money laundering laws and regulations. Compliance with these legal standards could impair our ability to compete in domestic and international markets. We could face criminal liability and other serious consequences for violations, which could harm our business.

We are subject to export control and import laws and regulations, including the U.S. Export Administration Regulations, U.S. Customs regulations, and various economic and trade sanctions regulations administered by the U.S. Treasury Department’s Office of Foreign Assets Controls, and anti‑corruption and anti‑money laundering laws and regulations, including the U.S. Foreign Corrupt Practices Act of 1977, as amended, the U.S. domestic bribery statute contained in 18 U.S.C. § 201, the U.S. Travel Act, the USA PATRIOT Act, and other state and national anti‑bribery and anti‑money laundering laws in the countries in which we conduct activities. Anti‑corruption laws are interpreted broadly and prohibit companies and their employees, agents, clinical research organizations, contractors and other collaborators and partners from authorizing, promising, offering, providing, soliciting or receiving, directly or indirectly, improper payments or anything else of value to recipients in the public or private sector. We may engage third parties for clinical trials outside of the U.S., to sell our products abroad once we enter a commercialization phase, and/or to obtain necessary permits, licenses, patent registrations and other regulatory approvals. We have direct or indirect interactions with officials and employees of government agencies or government‑affiliated hospitals, universities and other organizations. We can be held liable for the corrupt or other illegal activities of our employees, agents, clinical research organizations, contractors and other collaborators and partners, even if we do not explicitly authorize or have actual knowledge of such activities. Any violations of the laws and regulations described above may result in substantial civil and criminal fines and penalties, imprisonment, the loss of export or import privileges, debarment, tax reassessments, breach of contract and fraud litigation, reputational harm and other consequences.

We may engage in strategic transactions that could impact our liquidity, increase our expenses and present significant distractions to our management.

From time to time, we may consider strategic transactions, such as acquisitions of companies, asset purchases and out‑licensing or in‑licensing of intellectual property, products or technologies, similar to our approach in in‑licensing and acquiring our current product candidates. Any future transactions could increase our near and long‑term expenditures, result in potentially dilutive issuances of our equity securities, including our common stock, or the incurrence of debt, contingent liabilities, amortization expenses or acquired in‑process research and development expenses, any of which could affect our financial condition, liquidity and results of operations. Additional potential transactions that we may consider in the future include a variety of business arrangements, including

63


 

spin‑offs, strategic partnerships, joint ventures, restructurings, divestitures, business combinations and investments. Future acquisitions may also require us to obtain additional financing, which may not be available on favorable terms or at all. These transactions may never be successful and may require significant time and attention of management. In addition, the integration of any business that we may acquire in the future may disrupt our existing business and may be a complex, risky and costly endeavor for which we may never realize the full benefits of the acquisition. Accordingly, although there can be no assurance that we will undertake or successfully complete any additional transactions of the nature described above, any additional transactions that we do complete could have a material adverse effect on our business, results of operations, financial condition and prospects.

Risks Related to Our Intellectual Property

Our success depends on our ability to protect our intellectual property and our proprietary technologies.

Our commercial success depends in part on our ability to obtain and maintain patent protection and trade secret protection for our product candidates, proprietary technologies and their uses as well as our ability to operate without infringing the proprietary rights of others. If we are unable to protect our intellectual property rights or if our intellectual property rights are inadequate for our technology or our product candidates, our competitive position could be harmed. We generally seek to protect our proprietary position by licensing or filing patent applications in the U.S. and abroad related to our product candidates, proprietary technologies and their uses that are important to our business. Our or our licensors’ patent applications cannot be enforced against third parties practicing the technology claimed in such applications unless, and until, patents issue from such applications, and then only to the extent the issued claims cover the technology. There can be no assurance that our or our licensors’ patent applications will result in patents being issued or that issued patents will afford sufficient protection against competitors with similar technology, nor can there be any assurance that the patents if issued will not be infringed, designed around or invalidated by third parties. Even issued patents may later be found invalid or unenforceable or may be modified or revoked in proceedings instituted by third parties before various patent offices or in courts. The degree of future protection for our proprietary rights is uncertain. Only limited protection may be available, and such protection may not adequately protect our rights or permit us to gain or keep any competitive advantage. These uncertainties and/or limitations in our ability to properly protect the intellectual property rights relating to our product candidates could have a material adverse effect on our financial condition and results of operations.

Although we hold and license issued patents in the U.S. and foreign countries, we cannot be certain that the claims in our or our licensors’ other U.S. pending patent applications, corresponding international patent applications and patent applications in certain foreign countries will be considered patentable by the U.S. Patent and Trademark Office, or USPTO, courts in the U.S. or by the patent offices and courts in foreign countries, nor can we be certain that the claims in our or our licensors’ issued patents will be found valid or enforceable if challenged.

The patent application process is subject to numerous risks and uncertainties, and there can be no assurance that we, our licensors or any of our potential future collaborators will be successful in protecting our product candidates by obtaining and defending patents. These risks and uncertainties include the following:

the USPTO and various foreign governmental patent agencies require compliance with a number of procedural, documentary, fee payment and other provisions during the patent process, the noncompliance with which can result in abandonment or lapse of a patent or patent application, and partial or complete loss of patent rights in the relevant jurisdiction;
patent applications may not result in any patents being issued;
patents may be challenged, invalidated, modified, revoked, circumvented, found to be unenforceable or otherwise may not provide any competitive advantage;
our competitors, many of whom have substantially greater resources than we do and many of whom have made significant investments in competing technologies, may seek or may have already obtained patents that will limit, interfere with or block our ability to make, use and sell our product candidates;
there may be significant pressure on the U.S. government and international governmental bodies to limit the scope of patent protection both inside and outside the U.S. for disease treatments that prove successful, as a matter of public policy regarding worldwide health concerns; and
countries other than the U.S. may have patent laws less favorable to patentees than those upheld by U.S. courts, allowing foreign competitors a better opportunity to create, develop and market competing products.

64


 

The patent prosecution process is also expensive and time-consuming, and we and our licensors may not be able to file and prosecute all necessary or desirable patent applications at a reasonable cost or in a timely manner or in all jurisdictions where protection may be commercially advantageous. It is also possible that we or our licensors will fail to identify patentable aspects of our research and development output before it is too late to obtain patent protection. Moreover, in some circumstances, we do not have the right to control the preparation, filing and prosecution of patent applications, or to maintain the patents, directed to technology that we license from third parties. We may also require the cooperation of our licensors to enforce the licensed patent rights, and such cooperation may not be provided. Therefore, these patents and applications may not be prosecuted and enforced in a manner consistent with the best interests of our business. We cannot be certain that patent prosecution and maintenance activities by our licensors have been or will be conducted in compliance with applicable laws and regulations, which may affect the validity and enforceability of such patents or any patents that may issue from such applications. If they fail to do so, this could cause us to lose rights in any applicable intellectual property that we in license, and as a result our ability to develop and commercialize products or product candidates may be adversely affected and we may be unable to prevent competitors from making, using and selling competing products.

In addition, although we enter into non‑disclosure and confidentiality agreements with parties who have access to patentable aspects of our research and development output, such as our employees, outside scientific collaborators, CROs, third‑party manufacturers, consultants, advisors, licensees, collaboration partners, and other third parties, any of these parties may breach such agreements and disclose such output before a patent application is filed, thereby jeopardizing our ability to seek patent protection.

If we fail to comply with our obligations in the agreements under which we license intellectual property rights from third parties, including with respect to ONCT-534, ONCT 808, and zilovertamab, or otherwise experience disruptions in our business relationships with our licensors, we could lose license rights that are important to our business.

We are a party to several license agreements under which we are granted rights to important intellectual property and we may enter into additional license agreements in the future. For example, we license intellectual property rights to develop and commercialize product candidates in our DAARI program, including ONCT‑534, from the University of Tennessee Research Foundation. We also license intellectual property rights to develop and commercialize genetically engineered cellular therapy products, including ONCT‑808, and zilovertamab from the Regents of the University of California.

Our license agreements impose, and we expect that any future license agreements where we in license intellectual property will impose on us, various development, regulatory and/or commercial diligence obligations, payment of milestones and/or royalties and other obligations. If we fail to comply with our obligations under these agreements, or we are subject to bankruptcy related proceedings, the licensor may have the right to terminate the license, in which event we would not be able to market products covered by the license.

We may need to obtain licenses from third parties to advance our research or allow commercialization of our product candidates, and we cannot provide any assurances that third party patents do not exist that might be enforced against our product candidates in the absence of such a license. We may not be able to obtain any of these licenses on commercially reasonable terms, if at all. Even if we are able to obtain a license, it may be non exclusive, thereby giving our competitors access to the same technologies licensed to us. In that event, we may be required to expend significant time and resources to develop or license replacement technology. If we are unable to do so, we may be unable to develop or commercialize the affected product candidates, which could materially harm our business and the third parties owning such intellectual property rights could seek either an injunction prohibiting our sales, or, with respect to our sales, an obligation on our part to pay royalties and/or other forms of compensation. Licensing of intellectual property is of critical importance to our business and involves complex legal, business and scientific issues. Disputes may arise between us and our licensors regarding intellectual property subject to a license agreement, including:

the scope of rights granted under the license agreement and other interpretation‑related issues;
whether and the extent to which our technology and processes infringe, misappropriate or otherwise violate intellectual property of the licensor that is not subject to the licensing agreement;
our right to sublicense patents and other rights to third parties;
our diligence obligations with respect to the use of the licensed technology in relation to our development and commercialization of our product candidates, and what activities satisfy those diligence obligations;
our right to transfer or assign the license; and
the ownership of inventions and know‑how resulting from the joint creation or use of intellectual property by our licensors and us and our partners.

65


 

If disputes over intellectual property that we have licensed prevent or impair our ability to maintain our current licensing arrangements on acceptable terms, we may not be able to successfully develop and commercialize the affected product candidates, which would have a material adverse effect on our business.

If the scope of any patent protection we obtain is not sufficiently broad, or if we lose any of our patent protection, our ability to prevent our competitors from commercializing similar or identical product candidates would be adversely affected.

The patent position of biopharmaceutical companies generally is highly uncertain, involves complex legal and factual questions, and has been the subject of much litigation in recent years. As a result, the issuance, scope, validity, enforceability and commercial value of our and our licensors’ patent rights are highly uncertain. Our and our licensors’ pending and future patent applications may not result in patents being issued which protect our product candidates or which effectively prevent others from commercializing competitive product candidates.

Moreover, the coverage claimed in a patent application can be significantly reduced before the patent is issued, and its scope can be reinterpreted after issuance. Even if patent applications we own or license currently or in the future issue as patents, they may not issue in a form that will provide us with any meaningful protection, prevent competitors or other third parties from competing with us, or otherwise provide us with any competitive advantage. Any patents that we own or license may be challenged or circumvented by third parties or may be narrowed or invalidated as a result of challenges by third parties. Consequently, we do not know whether our product candidates will be protectable or remain protected by valid and enforceable patents. Our competitors or other third parties may be able to circumvent our or our licensors’ patents by developing similar or alternative technologies or products in a non-infringing manner which could materially adversely affect our business, financial condition, results of operations and prospects.

The issuance of a patent is not conclusive as to its inventorship, scope, validity or enforceability, and our and our licensors’ patents may not cover our product candidates or may be challenged in the courts or patent offices in the U.S. and abroad. Our and our licensors’ patents may be subject to a third party pre issuance submission of prior art to the USPTO or foreign patent offices, or become involved in opposition, derivation, revocation, reexamination, post grant review, or PGR, and inter partes review, or IPR, or other similar proceedings in the USPTO or foreign patent offices challenging our or our licensors’ patent rights. The outcome following legal assertions of invalidity and unenforceability is unpredictable. With respect to the validity question, for example, we cannot be certain that there is no invalidating prior art, of which we or our predecessors or our licensor and the patent examiner were unaware during prosecution. There is no assurance that all potentially relevant prior art relating to our patents and patent applications or those of our licensors has been found. There is also no assurance that there is not prior art of which we, our predecessors or licensors are aware, but which we do not believe affects the validity or enforceability of a claim in our patents and patent applications or those of our licensors, but that may, nonetheless, ultimately be found to affect the validity or enforceability of a claim. An adverse determination in any such submission, proceeding or litigation could reduce the scope of, or invalidate or render unenforceable, our or our licensors’ patent rights, allow third parties to commercialize our product candidates and compete directly with us, without payment to us. Such loss of patent rights or loss of exclusivity, or our or our licensors’ patent claims being narrowed, invalidated or held unenforceable could limit our ability to stop others from using or commercializing similar or identical technology and products, or limit the duration of the patent protection of our product candidates. Such proceedings also may result in substantial cost and require significant time from our scientists and management, even if the eventual outcome is favorable to us. In addition, if the breadth or strength of protection provided by our or our licensors’ patents and patent applications is threatened, regardless of the outcome, it could dissuade companies from collaborating with us to license, develop or commercialize current or future product candidates.

The patent protection and patent prosecution for some of our product candidates may be dependent on third parties.

We or our licensors may fail to identify patentable aspects of inventions made in the course of development and commercialization activities before it is too late to obtain patent protection on them. Therefore, we or our licensors may miss potential opportunities to strengthen our patent position. It is possible that defects of form in the preparation or filing of our or our licensors’ patents or patent applications may exist, or may arise in the future, for example with respect to proper priority claims, inventorship, claim scope, or requests for patent term adjustments or extensions. If there are material defects as to form, preparation, prosecution, or enforcement of our or our licensors’ patents or patent applications, such patents may be invalid and/or unenforceable, and such applications may never result in valid, enforceable patents. If we or our licensors, whether current or future, fail to establish, maintain or protect our patents and other intellectual property rights, such rights may be reduced or eliminated. If our licensors are not fully cooperative or disagree with us as to the prosecution, maintenance or enforcement of any patent rights, such patent rights could be compromised. Any of these outcomes could impair our ability to prevent competition from third parties, which may have an adverse impact on our business.

As a licensee of third parties, we rely on third parties to file and prosecute patent applications and maintain patents and otherwise protect the licensed intellectual property under some of our license agreements. We have not had and do not have primary control over these activities for certain of our patents or patent applications and other intellectual property rights. We cannot be certain that such activities by third parties have been or will be conducted in compliance with applicable laws and regulations or will result in

66


 

valid and enforceable patents or other intellectual property rights. Pursuant to the terms of the license agreements with some of our licensors, the licensors may have the right to control enforcement of our licensed patents or defense of any claims asserting the invalidity of these patents and even if we are permitted to pursue such enforcement or defense, we will require the cooperation of our licensors. We cannot be certain that our licensors will allocate sufficient resources or prioritize their or our enforcement of such patents or defense of such claims to protect our interests in the licensed patents. Even if we are not a party to these legal actions, an adverse outcome could harm our business because it might prevent us from continuing to license intellectual property that we may need to operate our business. If any of our licensors or any of our future licensors or future collaborators fail to appropriately prosecute and maintain patent protection for patents directed to any of our product candidates, our ability to develop and commercialize those product candidates may be adversely affected and we may not be able to prevent competitors from making, using and selling competing products.

In addition, even where we have the right to control patent prosecution of patents and patent applications we have acquired or licensed from third parties, we may still be adversely affected or prejudiced by actions or inactions of our predecessors or licensors and their counsel that took place prior to our assuming control over patent prosecution.

Our technology acquired or licensed from various third parties may be subject to retained rights. Our predecessors or licensors often retain certain rights under their agreements with us, including the right to use the underlying technology for noncommercial academic and research use, to publish general scientific findings from research related to the technology, and to make customary scientific and scholarly disclosures of information relating to the technology. It is difficult to monitor whether our predecessors or licensors limit their use of the technology to these uses, and we could incur substantial expenses to enforce our rights to our licensed technology in the event of misuse.

If we are limited in our ability to utilize acquired or licensed technologies, or if we lose our rights to critical in‑licensed technology, we may be unable to successfully develop, out‑license, market and sell our products, which could prevent or delay new product introductions. Our business strategy depends on the successful development of licensed and acquired technologies into commercial products. Therefore, any limitations on our ability to utilize these technologies may impair our ability to develop, out‑license or market and sell our product candidates.

Some of our intellectual property has been discovered through government funded programs and thus may be subject to federal regulations such as “march‑in” rights, certain reporting requirements and a preference for U.S.‑based companies. Compliance with such regulations may limit our exclusive rights, and limit our ability to contract with non‑U.S. manufacturers.

Some of the intellectual property rights we have acquired or licensed or may acquire or license in the future may have been generated through the use of U.S. government funding and may therefore be subject to certain federal regulations. For example, some of the research and development work on ONCT‑534, ONCT-808 and certain other programs was funded by government research grants. As a result, the U.S. government may have certain rights to intellectual property embodied in our product candidates pursuant to the Bayh‑Dole Act of 1980, or Bayh‑Dole Act. These U.S. government rights include a non‑exclusive, non‑transferable, irrevocable worldwide license to use inventions for any governmental purpose. In addition, the U.S. government has the right, under certain limited circumstances, to require us to grant exclusive, partially exclusive, or non‑exclusive licenses to any of these inventions to a third‑party if it determines that: (i) adequate steps have not been taken to commercialize the invention; (ii) government action is necessary to meet public health or safety needs, or (iii) government action is necessary to meet requirements for public use under federal regulations (also referred to as “march‑in rights”). The U.S. government also has the right to take title to these inventions if the grant recipient fails to disclose the invention to the government or fails to file an application to register the intellectual property within specified time limits. Intellectual property generated under a government funded program is also subject to certain reporting requirements, compliance with which may require us to expend substantial resources. In addition, the U.S. government requires that any products embodying any of these inventions or produced through the use of any of these inventions be manufactured substantially in the U.S. This preference for U.S. industry may be waived by the federal agency that provided the funding if the owner or assignee of the intellectual property can show that reasonable but unsuccessful efforts have been made to grant licenses on similar terms to potential licensees that would be likely to manufacture substantially in the U.S. or that under the circumstances domestic manufacture is not commercially feasible. This preference for U.S. industry may limit our ability to contract with non‑U.S. product manufacturers for products covered by such intellectual property. To the extent any of our future intellectual property is also generated through the use of U.S. government funding, the provisions of the Bayh-Dole Act may similarly apply. With respect to state funding, specifically funding via the California Institute of Regenerative Medicine, or CIRM which has granted funds for the study of zilovertamab in combination with ibrutinib and a novel anti-cancer stem cell targeted therapy, the grantee has certain obligations and the state or CIRM has certain rights. For example, the grantee has an obligation to share intellectual property, including research results, generated by CIRM-funded research, for research use in California. In addition, the California government can exercise march-in rights if it determines that action is necessary because we or the grantee failed to achieve practical application of the CIRM-funded technology, because we failed to comply with agreed to access and pricing requirements, or because action is necessary to address a public health emergency declared by the governor of California.

67


 

Intellectual property rights do not necessarily address all potential threats to our competitive advantage.

The degree of future protection afforded by our intellectual property rights is uncertain because intellectual property rights have limitations, and may not adequately protect our business or permit us to maintain our competitive advantage. For example:

others may be able to develop products that are similar to our product candidates but that are not covered by the claims of the patents that we own or license;
we or our licensors or predecessors might not have been the first to make the inventions covered by the issued patents or patent applications that we own or license;
we or our licensors or predecessors might not have been the first to file patent applications covering certain of our inventions;
others may independently develop similar or alternative technologies or duplicate any of our technologies without infringing our intellectual property rights;
it is possible that our or our licensors’ pending patent applications will not lead to issued patents;
issued patents that we own or license may be held invalid or unenforceable, as a result of legal challenges by our competitors;
our competitors might conduct research and development activities in countries where we do not have patent rights and then use the information learned from such activities to develop competitive products for sale in our major commercial markets;
we may not develop additional proprietary technologies that are patentable; and
the patents of others may have an adverse effect on our business.

Should any of these events occur, it could significantly harm our business, results of operations and prospects.

We rely on licensee relationships, and any disputes or litigation with our partners or termination or breach of any of the related agreements could reduce the financial resources available to us, including milestone payments and future royalty revenues.

Our existing collaborations may not continue or be successful, and we may be unable to enter into future collaborative arrangements to develop and commercialize our unpartnered assets. If any of our collaborative partners breach or terminate their agreements with us or otherwise fail to conduct their collaborative activities successfully, our product development under these agreements will be delayed or terminated. Disputes or litigation may also arise with our collaborators (with us and/or with one or more third parties), including those over ownership rights to intellectual property, know‑how or technologies developed with our collaborators. Such disputes or litigation could adversely affect our rights to one or more of our product candidates and could delay, interrupt or terminate the collaborative research, development and commercialization of certain potential products, create uncertainty as to ownership rights of intellectual property, or could result in litigation or arbitration. In addition, a significant downturn or deterioration in the business or financial condition of our collaborators or partners could result in a loss of expected revenue and our expected returns on investment. The occurrence of any of these problems could be time‑consuming and expensive and could adversely affect our business.

Our commercial success depends significantly on our ability to operate without infringing the patents and other proprietary rights of third parties. Claims by third parties that we infringe their proprietary rights may result in liability for damages or prevent or delay our developmental and commercialization efforts.

Our commercial success depends in part on avoiding infringement of the patents and proprietary rights of third parties. However, our or our licensee’s research, development and commercialization activities may be subject to claims that we or our licensee infringes or otherwise violates patents or other intellectual property rights owned or controlled by third parties. Other entities may have or obtain patents or proprietary rights that could limit our or our licensee’s ability to make, use, sell, offer for sale or import our product candidates and products that may be approved in the future, or impair our competitive position. There is a substantial amount of litigation, both within and outside the U.S., involving patent and other intellectual property rights in the biopharmaceutical industry, including patent infringement lawsuits, oppositions, reexaminations, IPR proceedings and PGR proceedings before the USPTO and/or foreign patent offices. Numerous third‑party U.S. and foreign issued patents and pending patent applications exist in

68


 

the fields in which we are developing product candidates. There may be third‑party patents or patent applications with claims to materials, formulations, methods of manufacture or methods for treatment related to the use or manufacture of our product candidates.

As the biopharmaceutical industry expands and more patents are issued, the risk increases that our product candidates may be subject to claims of infringement of the patent rights of third parties. Because patent applications are maintained as confidential for a certain period of time, until the relevant application is published we may be unaware of third party patents that may be infringed by commercialization of any of our product candidates, and we cannot be certain that we were the first to file a patent application related to a product candidate or technology. Moreover, because patent applications can take many years to issue, there may be currently pending patent applications that may later result in issued patents that our product candidates may infringe. In addition, identification of third party patent rights that may be relevant to our technology is difficult because patent searching is imperfect due to differences in terminology among patents, incomplete databases and the difficulty in assessing the meaning of patent claims. In addition, third parties may obtain patents in the future and claim that use of our technologies infringes these patents. Any claims of patent infringement asserted by third parties would be time-consuming and could:

result in costly litigation that may cause negative publicity;
divert the time and attention of our technical personnel and management;
cause development delays;
subject us to an injunction preventing us from making, using, selling, offering for sale, or importing our products;
prevent us from commercializing any of our product candidates until the asserted patent expires or is held finally invalid or not infringed in a court of law;
require us to develop non‑infringing technology, which may not be possible on a cost‑effective basis;
subject us to significant liability to third parties; or
require us to enter into royalty or licensing agreements, which may not be available on commercially reasonable terms, or at all, or which might be non‑exclusive, which could result in our competitors gaining access to the same technology.

Although no third party has asserted a claim of patent infringement against us as of December 31, 2023, others may hold proprietary rights that could prevent our product candidates from being marketed. Any patent related legal action against us claiming damages and seeking to enjoin activities relating to our product candidates or processes could subject us to potential liability for damages, including treble damages if we were determined to willfully infringe, and require us to obtain a license to manufacture or develop our product candidates. Defense of these claims, regardless of their merit, would involve substantial litigation expense and would be a substantial diversion of management and employee resources from our business. We cannot predict whether we would prevail in any such actions or that any license required under any of these patents would be made available on commercially reasonable terms, if at all. Moreover, even if we or our future strategic partners were able to obtain a license, the rights may be nonexclusive, which could result in our competitors gaining access to the same intellectual property. In addition, we cannot be certain that we could redesign our product candidates or processes to avoid infringement, if necessary. Accordingly, an adverse determination in a judicial or administrative proceeding, or the failure to obtain necessary licenses, could prevent us from developing and commercializing our product candidates, which could harm our business, financial condition and operating results.

Parties making claims against us may be able to sustain the costs of complex patent litigation more effectively than we can because they have substantially greater resources. Furthermore, because of the substantial amount of discovery required in connection with intellectual property litigation or administrative proceedings, there is a risk that some of our confidential information could be compromised by disclosure. In addition, any uncertainties resulting from the initiation and continuation of any litigation could have a material adverse effect on our ability to raise additional funds or otherwise have a material adverse effect on our business, results of operations, financial condition and prospects.

Even if resolved in our favor, the foregoing proceedings could be very expensive, particularly for a company of our size, and time-consuming. Such proceedings could substantially increase our operating losses and reduce the resources available for development activities or any future sales, marketing or distribution activities. We may not have sufficient financial or other resources to conduct such proceedings adequately. Some of our competitors may be better able to sustain the costs of litigation or administrative proceedings.

We may not identify relevant third-party patents or may incorrectly interpret the relevance, scope or expiration of a third-party patent, which might adversely affect our ability to develop and market our drug product candidates.

69


 

We cannot guarantee that any of our patent searches or analyses, including the identification of relevant patents, the scope of patent claims or the expiration of relevant patents, are complete or thorough, nor can we be certain that we have identified each and every third-party patent and pending patent application in the U.S. and abroad that is relevant to or necessary for the commercialization of our current and future products and product candidates in any jurisdiction. The scope of a patent claim is determined by an interpretation of the law, the written disclosure in a patent and the patent’s prosecution history. Our interpretation of the relevance or the scope of a patent or a pending patent application may be incorrect, which may negatively impact our ability to market our products. We may incorrectly determine that our drug product candidates are not covered by a third-party patent or may incorrectly predict whether a third party’s pending patent application will issue with claims of relevant scope. Our determination of the expiration date of any patent in the U.S. or abroad that we consider relevant may be incorrect, and we may incorrectly conclude that a third-party patent is invalid and/or unenforceable. Our failure to identify and correctly interpret relevant patents may negatively impact our ability to develop and market our drug product candidates. Any of the foregoing could have a material adverse effect on our business, financial condition, results of operations and prospects.

We may be involved in lawsuits to protect or enforce our patents or the patents of our licensors, which could be expensive, time-consuming and unsuccessful. Further, our or our licensors’ issued patents could be found invalid or unenforceable if challenged in court.

Competitors may infringe our intellectual property rights or those of our licensors. To prevent infringement or unauthorized use, we and/or our licensors may be required to file infringement claims, which can be expensive and time consuming. In addition, in a patent infringement proceeding, a court may decide that a patent we hold or license is not valid, is unenforceable and/or is not infringed. If we or any of our licensors or potential future collaborators were to initiate legal proceedings against a third party to enforce a patent directed at one of our product candidates, the defendant could counterclaim that our or our licensors’ patent is invalid and/or unenforceable in whole or in part. In patent litigation, defendant counterclaims alleging invalidity and/or unenforceability are commonplace. Grounds for a validity challenge include an alleged failure to meet any of several statutory requirements, including lack of novelty, obviousness, lack of written description or non-enablement. Grounds for an unenforceability assertion could include an allegation that someone connected with prosecution of the patent intentionally withheld relevant and material information from the USPTO or made a misleading statement during prosecution.

If a defendant were to prevail on a legal assertion of invalidity and/or unenforceability, we would lose at least part, and perhaps all, of the patent protection on such product candidate. In addition, if the breadth or strength of protection provided by our patents and patent applications or those of our licensors is threatened, it could dissuade companies from collaborating with us to license, develop or commercialize current or future product candidates. Such a loss of patent protection would have a material adverse impact on our business.

Even if resolved in our favor, litigation or other legal proceedings relating to our or our licensors’ intellectual property rights may cause us to incur significant expenses and could distract our technical and management personnel from their normal responsibilities. Such litigation or proceedings could substantially increase our operating losses and reduce the resources available for development activities or any future sales, marketing or distribution activities. We or our licensors may not have sufficient financial or other resources to conduct or participate in such litigation or proceedings adequately. Some of our competitors may be able to sustain the costs of such litigation or proceedings more effectively than we or our licensors can because of their greater financial resources. Uncertainties resulting from the initiation and continuation of patent litigation or other proceedings could compromise our ability to compete in the marketplace.

Furthermore, because of the substantial amount of discovery required in connection with intellectual property litigation or other legal proceedings relating to our intellectual property rights, there is a risk that some of our confidential information could be compromised by disclosure during this type of litigation or other proceedings.

Intellectual property litigation may lead to unfavorable publicity that harms our reputation and causes the market price of our common shares to decline.

During the course of any intellectual property litigation, there could be public announcements of the initiation of the litigation as well as results of hearings, rulings on motions, and other interim proceedings in the litigation. If securities analysts or investors regard these announcements as negative, the perceived value of our existing products, programs or intellectual property could be diminished. Accordingly, the market price of shares of our common stock may decline. Such announcements could also harm our reputation or the market for our future products, which could have a material adverse effect on our business.

Derivation or interference proceedings may be necessary to determine priority of inventions, and an unfavorable outcome may require us to cease using the related technology or attempt to license rights from the prevailing party.

70


 

Derivation or interference proceedings provoked by third parties or brought by us or our licensors or declared by the USPTO or similar proceedings in foreign patent offices may be necessary to determine the priority of inventions with respect to our or our licensors’ patents or patent applications. An unfavorable outcome could require us to cease using the related technology or attempt to license rights to it from the prevailing party. Our business could be harmed if the prevailing party does not offer us a license on commercially reasonable terms, or at all. Our or our licensors’ defense of such proceedings may fail and, even if successful, may result in substantial costs and distract our management and other employees. In addition, the uncertainties associated with such proceedings could have a material adverse effect on our ability to raise the funds necessary to continue our clinical trials, continue our research programs, license necessary technology from third parties or enter into development or manufacturing partnerships that would help us bring our product candidates to market.

Patent reform legislation could increase the uncertainties and costs surrounding the prosecution of our patent applications and the enforcement or defense of our issued patents.

In 2011, the Leahy-Smith America Invents Act, or the Leahy-Smith Act, was signed into law. The Leahy-Smith Act includes a number of significant changes to U.S. patent law with respect to patent applications filed after March 16, 2013. These include provisions that affect the way patent applications filed after March 16, 2013 are prosecuted and also affect patent litigation. In particular, under the Leahy-Smith Act, the U.S. transitioned in March 2013 to a “first inventor to file” system in which, assuming that other requirements of patentability are met, the first inventor to file a patent application will be entitled to the patent regardless of whether a third-party was first to invent the claimed invention. A third-party that files a patent application in the USPTO after March 2013, but before us, could therefore be awarded a patent covering an invention of ours, even if we had made the invention before it was made by such third-party. This will require us to be cognizant going forward of the time from invention to filing of a patent application. Furthermore, our ability to obtain and maintain valid and enforceable patents depends on whether the differences between our technology and the relevant prior art will allow our technology to be patentable over the prior art. Since patent applications in the U.S. and most other countries are confidential for a period of time after filing or until issuance, we cannot be certain that we or our licensors were the first to either (1) file any patent application related to our product candidates or (2) invent any of the inventions claimed in our or our licensors’ patents or patent applications.

The Leahy-Smith Act also includes a number of significant changes that affect the way patent applications will be prosecuted and also may affect patent litigation. These include allowing third-party submission of prior art to the USPTO during patent prosecution and additional procedures to attack the validity of a patent by USPTO administered post-grant proceedings, including PGR, IPR, and derivation proceedings. An adverse determination in any such submission or proceeding could reduce the scope or enforceability of, or invalidate, our patent rights, which could adversely affect our competitive position.

Because of a lower evidentiary standard in USPTO proceedings compared to the evidentiary standard in U.S. federal courts necessary to invalidate a patent claim, a third-party could potentially provide evidence in a USPTO proceeding sufficient for the USPTO to hold a claim invalid even though the same evidence would be insufficient to invalidate the claim if first presented in a district court action. Accordingly, a third-party may attempt to use the USPTO procedures to invalidate our or our licensors’ patent claims that would not have been invalidated if first challenged by the third-party as a defendant in a district court action. Thus, the Leahy-Smith Act and its implementation could increase the uncertainties and costs surrounding the prosecution of our or our licensors’ patent applications and the enforcement or defense of our or our licensors’ issued patents, all of which could have a material adverse effect on our business, financial condition, results of operations and prospects.

In addition, the patent positions of companies in the development and commercialization of pharmaceuticals are particularly uncertain. Recent U.S. Supreme Court rulings have narrowed the scope of patent protection available in certain circumstances and weakened the rights of patent owners in certain situations. For example, U.S. Supreme Court rulings, such as Amgen Inc. v. Sanofi, 598 U.S. 594, 143 S. Ct. 1243 (2023), may limit the breadth of certain genus patent claims covering composition of matter of pharmaceutical products if enough compounds with shared claimed features are not provided. As such, we cannot guarantee that we will be able to obtain patents covering our drug product candidates. These cases and others like them have created uncertainty with respect to the validity and enforceability of patents, once obtained. Depending on future actions by the U.S. Congress, the federal courts and the USPTO, the laws and regulations governing patents could change in unpredictable ways. In addition, the complexity and uncertainty of European patent laws also have increased in recent years. Any of the foregoing could have a material adverse effect on our owned and in-licensed patent portfolio and our ability to protect and enforce our intellectual property in the future.

Changes in U.S. patent law, or laws in other countries, could diminish the value of patents in general, thereby impairing our ability to protect our product candidates.

As is the case with other biopharmaceutical companies, our success is heavily dependent on intellectual property, particularly patents. Obtaining and enforcing patents in the biopharmaceutical industry involves a high degree of technological and legal complexity. Therefore, obtaining and enforcing biopharmaceutical patents is costly, time consuming and inherently uncertain. Changes in either the patent laws or in the interpretations of patent laws in the U.S. and other countries may diminish the value of our

71


 

intellectual property rights and may increase the uncertainties and costs surrounding the prosecution of patent applications and the enforcement or defense of issued patents. We cannot predict the breadth of claims that may be allowed or enforced in our or our licensors’ patents or in third-party patents. In addition, Congress or other foreign legislative bodies may pass patent reform legislation that is unfavorable to us.

For example, the U.S. Supreme Court has ruled on several patent cases in recent years, either narrowing the scope of patent protection available in certain circumstances or weakening the rights of patent owners in certain situations. In addition to increasing uncertainty with regard to our and our licensors’ ability to obtain patents in the future, this combination of events has created uncertainty with respect to the value of patents, once obtained. Depending on decisions by the U.S. Congress, the U.S. federal courts, the USPTO, or similar authorities in foreign jurisdictions, the laws and regulations governing patents could change in unpredictable ways that would weaken our or our licensors’ ability to obtain new patents or to enforce our existing patents and patents we might obtain in the future.

In addition, in June 2023, the European Patent Package, or EU Patent Package, regulations were implemented with the goal of providing a single pan-European Unitary Patent and a new European Unified Patent Court, or the UPC, for litigation involving European patents. As a result, all European patents, including those issued prior to ratification of the EU Patent Package, will by default automatically fall under the jurisdiction of the UPC. We may opt our European patents out of the UPC during first seven years of the UPC’s existence, but doing so may preclude us from realizing the benefits of the new unified court. Moreover, if we do not meet all of the formalities and requirements for opt-out under the UPC, our current or future European patents could remain under the jurisdiction of the UPC. It is uncertain how the UPC will impact granted European patents in the biotechnology and pharmaceutical industries and our European patent applications, if issued, could be challenged in the UPC. The UPC will provide our competitors with a new forum to centrally revoke our European patents and allow for the possibility of a competitor to obtain pan-European injunctions. Such a loss of patent protection could have a material adverse impact on our business and our ability to commercialize our technology and product candidates and consequently, on our business, financial condition, prospects and results of operations.

We may be subject to claims challenging the inventorship or ownership of our patents and other intellectual property.

We may also be subject to claims that former employees or other third parties have an ownership interest in our patents or other intellectual property. Litigation may be necessary to defend against these and other claims challenging inventorship or ownership. If we fail in defending any such claims, in addition to paying monetary damages, we may lose valuable intellectual property rights. Such an outcome could have a material adverse effect on our business. Even if we are successful in defending against such claims, litigation could result in substantial costs and distraction to management and other employees.

Patent terms may be inadequate to protect our competitive position on our product candidates for an adequate amount of time.

Patents have a limited lifespan. In the U.S., if all maintenance fees are timely paid, the natural expiration of a patent is generally 20 years from its earliest U.S. non‑provisional filing date. Various extensions may be available, but the life of a patent, and the protection it affords, is limited. Even if patents covering our product candidates are obtained, once the patent life has expired, we may be open to competition from competitive products. Given the amount of time required for the development, testing and regulatory review of product candidates, patents protecting our product candidates might expire before or shortly after such candidates are commercialized. As a result, our patent portfolio may not provide us with sufficient rights to exclude others from commercializing products similar or identical to our product candidates.

If we do not obtain patent term extension for our product candidates, our business may be harmed.

Depending upon the timing, duration and specifics of FDA marketing approval of our product candidates, one or more of our or our licensors’ U.S. patents may be eligible for limited patent term restoration under the Drug Price Competition and Patent Term Restoration Act of 1984, or the Hatch Waxman Amendments. The Hatch Waxman Amendments permit a patent restoration term of up to five years as compensation for patent term lost during product development and the FDA regulatory review process. A maximum of one patent may be extended per FDA approved product as compensation for the patent term lost during the FDA regulatory review process. A patent term extension cannot extend the remaining term of a patent beyond a total of 14 years from the date of product approval and only those claims covering such approved drug product, a method for using it or a method for manufacturing it may be extended. Patent term extension may also be available in certain foreign countries upon regulatory approval of our product candidates. However, we may not be granted an extension because of, for example, failing to apply within applicable deadlines, failing to apply prior to expiration of relevant patents or otherwise failing to satisfy applicable requirements. Moreover, the applicable time period or the scope of patent protection afforded could be less than we request. If we are unable to obtain patent term extension or restoration or the term of any such extension is less than we request, our competitors may obtain approval of competing products following our or our licensors’ patent expiration, and our revenue could be reduced, possibly materially. Further, if this occurs, our competitors may take advantage of our investment in development and trials by referencing our clinical and preclinical data and launch their product earlier than might otherwise be the case.

72


 

We may not be able to protect our intellectual property rights throughout the world.

Although we and our licensors have issued patents and pending patent applications in the U.S. and certain other countries, filing, prosecuting and defending patents in all countries throughout the world would be prohibitively expensive, and our intellectual property rights in some countries outside the U.S. can be less extensive than those in the U.S. In addition, the laws of some foreign countries do not protect intellectual property rights to the same extent as federal and state laws in the U.S. We may need to share our trade secrets and proprietary know-how with current or future partners, collaborators, contractors and others located in countries at heightened risk of theft of trade secrets, including through direct intrusion by private parties or foreign actors, and those affiliated with or controlled by state actors. Consequently, we may not be able to prevent third parties from practicing our inventions in all countries outside the U.S. or from selling or importing products made using our inventions in and into the U.S. or other jurisdictions. Competitors may use our technologies in jurisdictions where we or our licensors have not obtained patent protection to develop their own products and, further, may export otherwise infringing products to territories where we have patent protection but enforcement is not as strong as that in the U.S. These products may compete with our product candidates, and our and our licensors’ patents or other intellectual property rights may not be effective or sufficient to prevent them from competing.

Many companies have encountered significant problems in protecting and defending intellectual property rights in foreign jurisdictions. The legal systems of many foreign countries do not favor the enforcement of patents and other intellectual property protection, which could make it difficult for us to stop the infringement of our patents or marketing of competing products in violation of our proprietary rights. Proceedings to enforce our patent rights in foreign jurisdictions could result in substantial costs and divert our efforts and attention from other aspects of our business, could put our patents at risk of being invalidated or interpreted narrowly and our patent applications at risk of not issuing and could provoke third parties to assert claims against us. We or our licensors may not prevail in any lawsuits that we initiate, and the damages or other remedies awarded, if any, may not be commercially meaningful. Accordingly, our or our licensors’ efforts to enforce our intellectual property rights around the world may be inadequate to obtain a significant commercial advantage from the intellectual property that we develop or license.

Many countries have compulsory licensing laws under which a patent owner may be compelled to grant licenses to third parties. In addition, many countries limit the enforceability of patents against government agencies or government contractors. In these countries, the patent owner may have limited remedies, which could materially diminish the value of such patent. If we or our licensors are forced to grant a license to third parties with respect to any patents relevant to our business, our competitive position may be impaired, and our business, financial condition, results of operations and prospects may be adversely affected.

In addition, geo-political actions in the U.S. and in foreign countries could increase the uncertainties and costs surrounding the prosecution or maintenance of our patent applications or those of any current or future licensors and the maintenance, enforcement or defense of our issued patents or those of any current or future licensors. For example, the U.S. and foreign government actions related to Russia’s conflict in Ukraine may limit or prevent filing, prosecution, and maintenance of patent applications in Russia. Government actions may also prevent maintenance of issued patents in Russia. These actions could result in abandonment or lapse of our patents or patent applications, resulting in partial or complete loss of patent rights in Russia. In addition, a decree was adopted by the Russian government in March 2022, allowing Russian companies and individuals to exploit inventions owned by patentees from the U.S. without consent or compensation. Consequently, we would not be able to prevent third parties from practicing our inventions in Russia or from selling or importing products made using our inventions in and into Russia. Accordingly, our competitive position may be impaired, and our business, financial condition, results of operations and prospects may be adversely affected.

Obtaining and maintaining our patent protection depends on compliance with various procedural, documentary, fee payment and other requirements imposed by regulations and governmental patent agencies, and our patent protection could be reduced or eliminated for non‑compliance with these requirements.

Periodic maintenance fees, renewal fees, annuity fees and various other governmental fees on patents and/or applications will be due to the USPTO and various foreign patent offices at various points over the lifetime of our and our licensors’ patents and/or applications. We have systems in place to remind us to pay these fees, and we rely on third parties to pay these fees when due. Additionally, the USPTO and various foreign patent office’s require compliance with a number of procedural, documentary, fee payment and other similar provisions during the patent application process. We employ reputable law firms and other professionals to help us comply, and in many cases, an inadvertent lapse can be cured by payment of a late fee or by other means in accordance with rules applicable to the particular jurisdiction. However, there are situations in which noncompliance can result in abandonment or lapse of the patent or patent application, resulting in partial or complete loss of patent rights in the relevant jurisdiction. If such an event were to occur, it could have a material adverse effect on our business.

If we are unable to protect the confidentiality of our trade secrets, our business and competitive position would be harmed.

In addition, we rely on the protection of our trade secrets, including unpatented know‑how, technology and other proprietary information to maintain our competitive position. Although we have taken steps to protect our trade secrets and unpatented know‑how, including entering into confidentiality agreements with third parties, and confidential information and inventions agreements with employees, consultants and advisors, we cannot provide any assurances that all such agreements have been duly executed, and any of

73


 

these parties may breach the agreements and disclose our proprietary information, including our trade secrets, and we may not be able to obtain adequate remedies for such breaches. Enforcing a claim that a party illegally disclosed or misappropriated a trade secret is difficult, expensive and time consuming, and the outcome is unpredictable. In addition, some courts inside and outside the U.S. are less willing or unwilling to protect trade secrets.

Moreover, third parties may still obtain this information or may come upon this or similar information independently, and we would have no right to prevent them from using that technology or information to compete with us. If any of these events occurs or if we otherwise lose protection for our trade secrets, the value of this information may be greatly reduced and our competitive position would be harmed. If we do not apply for patent protection prior to such publication or if we cannot otherwise maintain the confidentiality of our proprietary technology and other confidential information, our ability to obtain patent protection or to protect our trade secret information may be jeopardized.

We may be subject to claims that we have wrongfully hired an employee from a competitor or that we or our employees have wrongfully used or disclosed alleged confidential information or trade secrets of their former employers.

As is common in the biopharmaceutical industry, in addition to our employees, we engage the services of consultants to assist us in the development of our product candidates. Many of these consultants, and many of our employees, were previously employed at, or may have previously provided or may be currently providing consulting services to, other biopharmaceutical companies including our competitors or potential competitors. We may become subject to claims that we, our employees or a consultant inadvertently or otherwise used or disclosed trade secrets or other information proprietary to their former employers or their former or current clients. Litigation may be necessary to defend against these claims. If we fail in defending any such claims, in addition to paying monetary damages, we may lose valuable intellectual property rights or personnel, which could adversely affect our business. Even if we are successful in defending against these claims, litigation could result in substantial costs and be a distraction to our management team and other employees.

Risks Related to Our Common Stock

The trading price of the shares of our common stock may be highly volatile, and purchasers of our common stock may incur substantial losses.

Our stock price has been and is likely to continue to be volatile. The stock market in general and the market for stock of biopharmaceutical companies in particular have experienced extreme volatility that has often been unrelated to the operating performance of particular companies. As a result of this volatility, investors may not be able to sell their common stock at or above their purchase price. The market price for our common stock may be influenced by those factors discussed in this “Risk Factors” section and many others, including:

our or our collaborators ability to enroll patients in our ongoing and planned clinical trials;
results of our clinical trials and preclinical studies, and the results of the trials of our competitors or those of other companies in our market sector;
regulatory approval of our product candidates, or limitations to specific label indications or patient populations for its use, or changes or delays in the regulatory review process;
regulatory developments in the U.S. and foreign countries;
changes in the structure of healthcare payment systems, especially in light of current reforms to the U.S. healthcare system;
the success or failure of our efforts to acquire, license or develop additional product candidates;
innovations or new products developed by us or our competitors;
announcements by us or our competitors of significant acquisitions, strategic partnerships, joint ventures or capital commitments;
announcements regarding the results of discovery efforts and preclinical, clinical and commercial activities by us, or those of our competitors;
manufacturing, supply or distribution delays or shortages;

74


 

any changes to our relationship with any manufacturers, suppliers, licensors, future collaborators or other strategic partners;
achievement of expected product sales and profitability;
variations in our financial results or those of companies that are perceived to be similar to us;
market conditions in the biopharmaceutical sector and issuance of securities analysts’ reports or recommendations;
trading volume of our common stock;
establishment of short positions by holders or non‑holders of our common stock;
an inability to obtain additional funding;
sales of our stock by insiders and stockholders;
general economic, industry and market conditions or other events or factors, many of which are beyond our control;
additions or departures of key personnel; and
intellectual property, product liability or other litigation against us.

In addition, in the past, stockholders have initiated class action lawsuits against biopharmaceutical companies following periods of volatility in the market prices of these companies’ stock. Such litigation, if instituted against us, could cause us to incur substantial costs and divert management’s attention and resources, which could have a material adverse effect on our business, financial condition and results of operations.

We do not currently intend to pay dividends on our common stock, and, consequently, your ability to achieve a return on your investment will depend on appreciation, if any, in the price of our common stock.

We have never declared or paid any cash dividend on our common stock. We currently anticipate that we will retain future earnings for the development, operation and expansion of our business and do not anticipate declaring or paying any cash dividends for the foreseeable future. In addition, the terms of any future debt agreements may preclude us from paying dividends. Any return to stockholders will therefore be limited to the appreciation of their stock. There is no guarantee that shares of our common stock will appreciate in value or even maintain the price at which stockholders have purchased their shares.

Sales of a substantial number of shares of our common stock by our stockholders in the public market could cause our stock price to fall.

Sales of a substantial number of shares of our common stock in the public market or the perception that these sales might occur could significantly reduce the market price of our common stock and impair our ability to raise adequate capital through the sale of additional equity securities. As of December 31, 2023, 2,687,016 shares of our outstanding common stock are freely tradable, without restriction, in the public market, unless they are purchased by one of our affiliates.

As of December 31, 2023, up to 832,060 shares of common stock that are either subject to outstanding warrants, options or reserved for future issuance under our equity incentive plans will become eligible for sale in the public market to the extent permitted by the provisions of various vesting schedules and Rule 144 and Rule 701 under the Securities Act of 1933, as amended, or the Securities Act. If these additional shares of common stock are sold, or if it is perceived that they will be sold, in the public market, the trading price of our common stock could decline.

Provisions in our charter documents and under Delaware law could discourage a takeover that stockholders may consider favorable and may lead to entrenchment of management.

Our amended and restated certificate of incorporation and amended and restated bylaws contain provisions that could significantly reduce the value of our shares to a potential acquiror or delay or prevent changes in control or changes in our management without the consent of our board of directors. The provisions in our charter documents include the following:

a classified board of directors with three‑year staggered terms, which may delay the ability of stockholders to change the membership of a majority of our board of directors;

75


 

no cumulative voting in the election of directors, which limits the ability of minority stockholders to elect director candidates;
the exclusive right of our board of directors, unless the board of directors’ grants such right to the stockholders, to elect a director to fill a vacancy created by the expansion of the board of directors or the resignation, death or removal of a director, which prevents stockholders from being able to fill vacancies on our board of directors;
the prohibition on removal of directors without cause due to the classified board of directors;
the ability of our board of directors to authorize the issuance of shares of preferred stock and to determine the price and other terms of those shares, including preferences and voting rights, without stockholder approval, which could be used to significantly dilute the ownership of a hostile acquiror;
the ability of our board of directors to alter our amended and restated bylaws without obtaining stockholder approval;
the required approval of at least 66‑2/3% of the shares entitled to vote to adopt, amend or repeal our amended and restated bylaws or repeal certain provisions of our amended and restated certificate of incorporation;
a prohibition on stockholder action by written consent, which forces stockholder action to be taken at an annual or special meeting of our stockholders;
an exclusive forum provision providing that the Court of Chancery of the State of Delaware will be the exclusive forum for certain actions and proceedings;
the requirement that a special meeting of stockholders may be called only by the chairman of the board of directors, the chief executive officer or the board of directors, which may delay the ability of our stockholders to force consideration of a proposal or to take action, including the removal of directors; and
advance notice procedures that stockholders must comply with in order to nominate candidates to our board of directors or to propose matters to be acted upon at a stockholders’ meeting, which may discourage or deter a potential acquiror from conducting a solicitation of proxies to elect the acquiror’s own slate of directors or otherwise attempting to obtain control of us.

We are also subject to the anti‑takeover provisions contained in Section 203 of the Delaware General Corporation Law. Under Section 203, a corporation may not, in general, engage in a business combination with any holder of 15% or more of its capital stock unless the holder has held the stock for three years or, among other exceptions, the board of directors has approved the transaction.

Our amended and restated bylaws provide that the Court of Chancery of the State of Delaware will be the exclusive forum for substantially all disputes between us and our stockholders, which could limit our stockholders’ ability to obtain a favorable judicial forum for disputes with us or our directors, officers or employees.

Our amended and restated bylaws provide that the Court of Chancery of the State of Delaware is the exclusive forum for any derivative action or proceeding brought on our behalf, any action asserting a breach of fiduciary duty, any action asserting a claim against us arising pursuant to the Delaware General Corporation Law, our amended and restated certificate of incorporation or our amended and restated bylaws, or any action asserting a claim against us that is governed by the internal affairs doctrine. These choice of forum provisions may limit a stockholder’s ability to bring a claim in a judicial forum that it finds favorable for disputes with us or our directors, officers or other employees, which may discourage such lawsuits against us and our directors, officers and other employees. By agreeing to this provision, however, stockholders will not be deemed to have waived our compliance with the federal securities laws and the rules and regulations thereunder. Furthermore, the enforceability of similar choice of forum provisions in other companies’ certificates of incorporation has been challenged in legal proceedings, and it is possible that a court could find these types of provisions to be inapplicable or unenforceable. If a court were to find the choice of forum provisions in our amended and restated bylaws to be inapplicable or unenforceable in an action, we may incur additional costs associated with resolving such action in other jurisdictions, which could adversely affect our business and financial condition.

Our ability to use net operating loss, or NOL, carryforwards and other tax attributes may be limited.

We have incurred substantial losses during our history and do not expect to become profitable in the near future, and we may never achieve profitability. To the extent that we continue to generate taxable losses, unused losses will carry forward and, subject to limitations, offset future taxable income, if any, until such unused losses expire (if at all). As of December 31, 2023, we had federal and state NOL carryforwards of approximately $119.5 million and $70.4 million, respectively. Approximately $93.2 million and none,

76


 

respectively, of NOLs do not expire, and the remaining federal and state NOL carryforwards will begin to expire in 2033 and 2029, respectively, unless previously utilized. As of December 31, 2023, we had federal and state research and development credit carryforwards of approximately $4.3 million and $2.9 million, respectively. The federal research and development credit carryforwards will begin expiring in 2034, unless previously utilized. The state research and development credits do not expire.

Federal NOLs generated in taxable years ending after December 31, 2017 may be carried forward indefinitely but federal NOLs generated in taxable years beginning after December 31, 2017 may only be used to offset 80% of our taxable income annually. Under Sections 382 and 383 of the Code, our NOL and research and development tax credit carryforwards may become subject to an annual limitation in the event of certain cumulative changes in the ownership interest of significant stockholders (or certain groups of stockholders) over a three‑year period in excess of 50 percentage points. Our ability to utilize our NOL carryforwards and other tax attributes to offset future taxable income or tax liabilities may be limited as a result of ownership changes, including changes resulting from our Merger, as described elsewhere. We have not yet determined the amount of the cumulative change in our ownership resulting from the Merger or other transactions, or any resulting limitations on our ability to utilize our NOL carryforwards and other tax attributes. If we earn taxable income, such limitations could result in increased future tax liability to us and our future cash flows could be adversely affected. We have recorded a full valuation allowance related to our NOLs and other deferred tax assets due to the uncertainty of the ultimate realization of the future benefits of those assets.

Our stockholders prior to the Merger who hold contingent value rights, or CVRs, may not receive any payment on the CVRs and the CVRs may otherwise expire valueless.

On June 7, 2019, in connection with the Merger, we entered into a CVR Agreement, which was subsequently amended on November 1, 2021. Pursuant to the CVR Agreement, our stockholders of record as of immediately prior to the Merger received one CVR for each share of our common stock held immediately prior to the Merger.

As amended on November 1, 2021, the CVR Agreement entitles holders of CVRs to receive: (i) 50% of certain net proceeds we receive during the 15‑year period after the closing of the Merger, or the CVR Term, from a transaction, if any, resulting in the grant, sale, or transfer of DAARI technology to a third party that occurs during the 10‑year period after the closing of the Merger (or in the 11th year if based on a term sheet approved during the initial 10‑year period); and (ii) 5% of our net sales of products during the CVR Term incorporating the DAARI technology. As of December 31, 2023, no transactions or net sales relating to the DAARI technology had occurred.

The CVRs are not transferable, will not have any voting or dividend rights, and interest will not accrue on any amounts potentially payable on the CVRs. Accordingly, the right of any stockholder of record as of immediately prior to the Merger to receive any future payment on or derive any value from the CVRs will be contingent solely upon the achievement of the foregoing events within the time periods specified in the CVR Agreement and if these events are not achieved for any reason within the time periods specified in the CVR Agreement, no payments will be made under the CVRs, and the CVRs will expire valueless. In addition, we (as successor in interest to GTx) have agreed only to use commercially reasonable efforts to develop DAARI products, subject to certain limitations, which allows for the consideration of a variety of factors in determining the efforts that we are required to use to develop DAARI products, and we are not required to take all possible actions to continue efforts to develop DAARI products. Accordingly, under certain circumstances we may not be required to continue efforts to develop DAARI products, or may allocate resources to other projects, which would have an adverse effect on the value, if any, of the CVRs. Furthermore, the CVRs will be unsecured obligations of our company and all payments under the CVRs, all other obligations under the CVR Agreement and the CVRs and any rights or claims relating thereto will be subordinated in right of payment to the prior payment in full of all of our current or future senior obligations. Finally, the U.S. federal income tax treatment of the CVRs is unclear. There is no legal authority directly addressing the U.S. federal income tax treatment of the receipt of, and payments on, the CVRs, and there can be no assurance that the IRS, would not assert, or that a court would not sustain, a position that could result in adverse U.S. federal income tax consequences to holders of the CVRs.

77


 

General Risk Factors

Our failure to meet the continued listing requirements of the Nasdaq Capital Market could result in a delisting of our common stock.

Our common stock is listed on the Nasdaq Capital Market. In order to maintain our listing, we must meet minimum financial and other requirements, such as the minimum closing bid price of at least $1.00, stockholders’ equity, round lot holders requirements and the corporate governance requirements. If we fail to satisfy such requirements, Nasdaq may take steps to delist our common stock.

Although we are currently in compliance with the Nasdaq Capital Market continued listing requirements, we have in the past been subject to notifications from Nasdaq that we were not in compliance with certain listing requirements and we cannot assure you that we will be able to continue to comply with such requirements in the future. A delisting of our common stock would likely have a negative effect on the price of our common stock and would impair your ability to sell or purchase our securities when you wish to do so. Such a delisting could also result in a limited amount of news and analyst coverage for the company; and a decreased ability for us to issue additional securities or obtain additional financing in the future. In the event of a delisting, we can provide no assurance that any action taken by us to restore compliance with listing requirements would allow our securities to become listed again, stabilize the market price or improve the liquidity of our securities, or prevent future non‑compliance with Nasdaq’s listing requirements.

Our business is subject to risks arising from epidemic diseases, such as the COVID‑19 pandemic.

A pandemic, such as COVID-19, or other public health epidemic, poses the risk that we or our employees, contractors, including our CROs, suppliers, and other partners may be prevented from conducting business activities for an indefinite period of time, including due to spread of the disease within these groups or due to shutdowns that may be requested or mandated by governmental authorities.

While it is not possible at this time to estimate the full impact that COVID‑19 or any future healthcare emergency could have on our business, the measures taken by the governments of countries affected could, in addition to disrupting our clinical trials, disrupt the supply chain and the manufacture or shipment of product candidates for use in our clinical trials or in commercial distribution, which could delay our ongoing clinical trials and increase development costs, or impair our ability to successfully commercialize our product candidates following any regulatory approval, and in either case have a material adverse effect on our business, financial condition and results of operations. Any healthcare emergency and the mitigation measures put in place by governments have had, and could in the future have, an adverse impact on global economic conditions which could have an adverse effect on our business and financial condition, including impairing our ability to raise capital when needed. The extent to which the COVID‑19 pandemic, or any other outbreak of an epidemic disease, impacts our results will depend on future developments that are highly uncertain and cannot be predicted, including new information that may emerge concerning the severity of the virus and the actions to contain its impact.

We incur significant costs as a result of operating as a public company, and our management is required to devote substantial time to compliance initiatives.

As a public company, we incur significant legal, accounting and other expenses. We are subject to the reporting requirements of the Exchange Act, which will require, among other things, that we file with the Securities and Exchange Commission, or the SEC, annual, quarterly and current reports with respect to our business and financial condition. In addition, Sarbanes‑Oxley, as well as rules subsequently adopted by the SEC and Nasdaq to implement provisions of Sarbanes‑Oxley, impose significant requirements on public companies, including requiring establishment and maintenance of effective disclosure and financial controls and changes in corporate governance practices. Further, pursuant to the Dodd‑Frank Wall Street Reform and Consumer Protection Act of 2010, the SEC has adopted additional rules and regulations in these areas, such as mandatory “say on pay” voting requirements that apply to us. Stockholder activism, the current political environment and the current high level of government intervention and regulatory reform may lead to substantial new regulations and disclosure obligations, which may lead to additional compliance costs and impact the manner in which we operate our business in ways we cannot currently anticipate.

The rules and regulations applicable to public companies have substantially increased and may continue to increase our legal and financial compliance costs and to make some activities more time‑consuming and costly. If these requirements divert the attention of our management and personnel from other business concerns, they could have a material adverse effect on our business, financial condition and results of operations. The increased costs will increase our net loss and may require us to reduce costs in other areas of our business or increase the prices of our products or services. For example, these rules and regulations make it more difficult and more expensive for us to obtain director and officer liability insurance, and we may be required to incur substantial costs to maintain the same or similar coverage. We cannot predict or estimate the amount or timing of additional costs we may incur to respond to these requirements. The impact of these requirements could also make it more difficult for us to attract and retain qualified persons to serve on our board of directors, our board committees or as executive officers.

78


 

If securities or industry analysts do not publish research or reports or publish unfavorable research or reports about our business, our stock price and trading volume could decline.

The trading market for our common stock will depend in part on the research and reports that securities or industry analysts publish about us, our business, our market or our competitors. In the event one or more of the analysts who covers us downgrades our stock, or if we fail to otherwise meet the expectations of one or more of these analysts, our stock price would likely decline. If one or more of these analysts ceases to cover us or fails to regularly publish reports on us, interest in our stock could decrease, which could cause our stock price or trading volume to decline.

If we fail to maintain proper and effective internal control over financial reporting, our ability to produce accurate and timely financial statements could be impaired, investors may lose confidence in our financial reporting and the trading price of our common stock may decline.

Pursuant to Section 404 of Sarbanes‑Oxley, we are required to report upon the effectiveness of our internal control over financial reporting. Additionally, our independent registered public accounting firm is required to attest to the effectiveness of our internal control over financial reporting. The rules governing the standards that must be met for management to assess our internal control over financial reporting are complex and require significant documentation, testing and possible remediation. To comply with the requirements of being a reporting company under the Exchange Act, we have been required to upgrade our information technology systems; implement additional financial and management controls, reporting systems and procedures; and hire additional accounting and finance staff. If we or, if required, our auditors are unable to conclude that our internal control over financial reporting is effective, investors may lose confidence in our financial reporting and the trading price of our common stock may decline.

We cannot assure you that there will not be material weaknesses or significant deficiencies in our internal control over financial reporting in the future. Any failure to maintain internal control over financial reporting could severely inhibit our ability to accurately report our financial condition, results of operations or cash flows. If we are unable to conclude that our internal control over financial reporting is effective, or if our independent registered public accounting firm determines we have a material weakness or significant deficiency in our internal control over financial reporting, investors may lose confidence in the accuracy and completeness of our financial reports, the market price of our common stock could decline, and we could be subject to sanctions or investigations by Nasdaq, the SEC or other regulatory authorities. Failure to remedy any material weakness in our internal control over financial reporting, or to implement or maintain other effective control systems required of public companies, could also restrict our future access to the capital markets.

We may become involved in the future, in securities class action litigation that could divert management’s attention, adversely affect our business and subject us to significant liabilities.

In the past, securities class action litigation has often been brought against a company following volatility in the market price of its securities. This risk is especially relevant for us, because biotechnology and pharmaceutical companies have experienced significant stock price volatility in recent years.

Any future lawsuits to which we may become a party are subject to inherent uncertainties and will likely be expensive and time‑consuming to investigate, defend and resolve, and will divert our management’s attention and financial and other resources. The outcome of litigation is necessarily uncertain, and we could be forced to expend significant resources in the defense of future lawsuits, and we may not prevail. Any litigation to which we may become a party may result in an onerous or unfavorable judgment that may not be reversed upon appeal or in payments of substantial monetary damages or fines, or we may decide to lawsuits on similarly unfavorable terms, which could adversely affect our business, financial condition, results of operations or stock price.

Unstable market and economic conditions and adverse developments with respect to financial institutions and associated liquidity risk may have serious adverse consequences on our business, financial condition and stock price.

The global credit and financial markets have recently experienced extreme volatility and disruptions, including severely diminished liquidity and credit availability, declines in consumer confidence, declines in economic growth, rising interest and inflation rates, increases in unemployment rates and uncertainty about economic stability. The financial markets and the global economy may also be adversely affected by the current or anticipated impact of military conflict, including the conflict between Russia and Ukraine, terrorism or other geopolitical events. Sanctions imposed by the U.S. and other countries in response to such conflicts, including the one in Ukraine, may also adversely impact the financial markets and the global economy, and any economic countermeasures by affected countries and others could exacerbate market and economic instability. Further, the closure of financial institutions, such as Silicon Valley Bank in 2023 created bank‑specific and broader financial institution liquidity risk and concerns. Future adverse developments with respect to specific financial institutions or the broader financial services industry may lead to market‑wide liquidity shortages, impair the ability of companies to access near‑term working capital needs, and create additional market and economic uncertainty. There can be no assurance that any future deterioration in credit and financial markets and confidence in economic

79


 

conditions will not occur. Our general business strategy may be adversely affected by any such economic downturn, liquidity shortages, volatile business environment or continued unpredictable and unstable market conditions. If the current equity and credit markets deteriorate, or if adverse developments are experienced by financial institutions, it may cause short‑term liquidity risk and also make any necessary debt or equity financing more difficult, more costly, more onerous with respect to financial and operating covenants and more dilutive. Failure to secure any necessary financing in a timely manner and on favorable terms could have a material adverse effect on our growth strategy, financial performance and stock price and could require us to delay or abandon clinical development plans. In addition, there is a risk that one or more of our current service providers, financial institutions, manufacturers and other partners may be adversely affected by the foregoing risks, which could directly affect our ability to attain our operating goals on schedule and on budget.

Item 1B. Unresolved Staff Comments.

Not applicable.

Item 1C. Cybersecurity.

Cybersecurity Risk Management and Strategy

We have developed and implemented a cybersecurity risk management program intended to protect the confidentiality, integrity, and availability of our critical systems and information. Our cybersecurity risk management program includes a cybersecurity incident response plan.

Our cybersecurity risk management program includes:

a security team principally responsible for managing our security controls and our response to cybersecurity incidents;
the use of external service providers, where appropriate, to assess, test or otherwise assist with aspects of our security controls;
cybersecurity awareness training of our employees, incident response personnel, and senior management; and
a cybersecurity incident response plan that includes procedures for responding to cybersecurity incidents.

We have not identified risks from known cybersecurity threats, including as a result of any prior cybersecurity incidents, that have materially affected or are reasonably likely to materially affect us, including our operations, business strategy, results of operations, or financial condition. For more information, see the section titled “Risk Factor—Risks Related to Our Business Operations and Industry—Our information technology systems, or those of any of our CROs, manufacturers, other contractors or consultants or potential future collaborators, may fail or suffer cyberattacks or other security breaches, which could have a material adverse effect on our business, results of operation, and financial condition, and result in a material disruption of our product development programs.”

Cybersecurity Governance

Our Board considers cybersecurity risk as part of its risk oversight function and has delegated to the Audit Committee (“Committee”) oversight of cybersecurity and other information technology risks. The Committee oversees management’s implementation of our cybersecurity risk management program.

The Committee receives periodic reports from management on our cybersecurity risks. In addition, management updates the Committee, as necessary, regarding any material cybersecurity incidents, as well as any incidents with lesser impact potential.

The Committee reports to the full Board regarding its activities, including those related to cybersecurity. The full Board also receives briefings from management on our cyber risk management program. Board members receive presentations on cybersecurity topics from our Head of IT or external experts as part of the Board’s continuing education on topics that impact public companies.

Our management team, including our Chief Executive Officer, General Counsel, and Head of IT, is responsible for assessing and managing our material risks from cybersecurity threats. The team has primary responsibility for our overall cybersecurity risk management program and supervises both our internal cybersecurity personnel. Our management team’s experience includes a Head of IT with over 30 years’ experience leading the IT and cybersecurity functions for companies similar to ours.

Our management team supervises efforts to identify, protect, detect, respond and recover cybersecurity risks and incidents through various means, which may include briefings from internal security personnel; threat intelligence and other information

80


 

obtained from governmental, public or private sources, including external consultants engaged by us; and alerts and reports produced by security tools deployed in the IT environment.

81


 

Item 2. Properties.

Our principal executive offices are located in San Diego, California, where we lease 3,748 square feet of office space used primarily for corporate, research, development, clinical, regulatory, manufacturing and quality functions. Such lease expires on September 30, 2025.

Not applicable.

Item 4. Mine Safety Disclosures.

Not applicable.

82


 

PART II

Item 5. Market for Registrant’s Common Equity, Related Stockholder Matters and Issuer Purchases of Equity Securities.

Market Information.

Our common stock is listed on The Nasdaq Capital Market under the ticker symbol “ONCT”. As of March 1, 2024, there were approximately 88 holders of record of our common stock. This number was derived from our stockholder records and does not include beneficial owners of our common stock whose shares are held in the name of various dealers, clearing agencies, banks, brokers and other fiduciaries.

Dividend Policy.

We have never declared or paid any dividends on our common stock. We currently intend to retain all available funds and any future earnings, if any, to fund the development and expansion of our business and we do not anticipate paying any cash dividends in the foreseeable future.

Recent Sales of Unregistered Securities.

None.

Item 6. [Reserved].

 

83


 

Item 7. Management’s Discussion and Analysis of Financial Condition and Results of Operations.

The following discussion should be read in conjunction with the consolidated financial statements and the related notes and other financial information included elsewhere in this Annual Report. Some of the information contained in this discussion and analysis or set forth elsewhere in this Annual Report, including information with respect to our plans and strategy for our business and future financial performance, includes forward-looking statements that are based upon current beliefs, plans and expectations and involve risks, uncertainties and assumptions. You should review the “Risk Factors” section of this Annual Report for a discussion of important factors that could cause our actual results and the timing of selected events to differ materially from those described in or implied by the forward-looking statements contained in the following discussion and analysis. Please also see the section within Part I of this Annual Report entitled “Cautionary Note Regarding Forward-Looking Statements.”

Overview

 

We are a clinical-stage biopharmaceutical company focused on the development of novel oncology therapies for cancers with critical unmet medical need. Oncternal pursues drug development targeting promising, yet untapped biological pathways implicated in cancer generation or progression, focusing on prostate cancer and hematological malignancies. Our pipeline includes:

 

• ONCT-534 is an investigational dual-action androgen receptor inhibitor (DAARI) product candidate with a novel mechanism of action that includes inhibition of androgen receptor (AR) function and degradation of the AR protein mediated by interaction with both the ligand binding domain (LBD) and N-terminal domain (NTD) of the AR. ONCT-534 has demonstrated preclinical activity in prostate cancer models against both unmutated AR, and against multiple forms of AR alteration, including those with AR amplification, mutations in the AR LBD, and splice variants with loss of the AR LBD. ONCT-534 is a potential monotherapy treatment for patients with advanced prostate cancer and other AR-driven diseases, including relapsed or refractory metastatic castration-resistant prostate cancer, or mCRPC.

In 2023, we commenced Study ONCT-534-101, a Phase 1/2, single-arm, open-label, multi-center study to evaluate the safety and tolerability, pharmacokinetics, and preliminary anti-tumor activity of ONCT-534 in patients with mCRPC who have relapsed or are refractory to approved ARPIs including enzalutamide, abiraterone, apalutamide and darolutamide. The Phase 1 portion of the study utilizes an adaptive Bayesian Optimal Interval (BOIN) design with five ONCT-534 dosing cohorts ranging from 40 mg to 600 mg per day. After the safety and tolerability and preliminary antitumor activity of ONCT-534 have been assessed in the Phase 1 portion of this study, Phase 2 will commence to further evaluate the safety and preliminary antitumor activity of ONCT-534 to support selecting an optimal dose. Study ONCT-534-101 (NCT05917470) has dosed and continues to enroll patients in the Phase 1 portion of the study.

 

• ONCT-808, our lead cell therapy product candidate, is an investigational autologous chimeric antigen receptor T, or CAR T, cell therapy that targets Receptor Tyrosine Kinase-Like Orphan Receptor 1 (ROR1) using the binding domain from zilovertamab, as defined below. ONCT-808 has demonstrated activity in preclinical models against multiple hematological malignancies and solid tumors and has been shown to be specific for cancer cells expressing ROR1. Oncternal has developed a robust and reproducible manufacturing process that has the potential to reduce the time patients must wait for their individual CAR T therapy to be produced, compared with currently approved CAR T products. Oncternal has dosed patients under Study ONCT-808-101 (NCT05588440) with relapsed or refractory aggressive B-cell lymphoma, including patients who have failed previous CD19 CAR T treatment.

 

• Zilovertamab is an investigational, humanized, potentially first-in-class, monoclonal antibody designed to: (i) bind to ROR1, a growth factor receptor that is widely expressed on many tumor and that activates pathways leading to increased tumor proliferation, invasiveness and drug resistance, and (ii) inhibit ROR1 function. Zilovertamab has been evaluated in a Phase 1/2 Study CIRM-0001 (NCT03088878) in combination with ibrutinib for the treatment of patients with chronic lymphocytic leukemia (CLL), mantle cell lymphoma (MCL) and marginal zone lymphoma (MZL), which resulted in 100% progression free survival (PFS) at 42 months in CLL patients expressing a p53 mutation/del(17p), a population underserved by current treatment options. Zilovertamab is also being evaluated in an investigator-initiated Phase 1b study of zilovertamab in combination with docetaxel in patients with metastatic castration-resistant prostate cancer (NCT05156905).

 

Since the inception of privately-held Oncternal Therapeutics, Inc. in 2013, we have devoted most of our resources to organizing and staffing, business planning, raising capital, acquiring product candidates and securing related intellectual property rights and advancing our ONCT-534, ONCT-808, zilovertamab and ONCT-216 clinical and preclinical development programs. Through December 31, 2023, we have funded our operations primarily through: (i) gross proceeds of $136.3 million from the issuance of common stock, (ii) gross proceeds of $49.0 million from the issuance of convertible preferred stock that was subsequently converted into common stock, (iii) receipt of $14.5 million in subaward grant payments received from UC San Diego as well as $1.6 million received from the National Institutes of Health, or NIH, and (iv) cash proceeds of $18.3 million received in connection with the closing of the merger with GTx, Inc. in June 2019, or the GTx Merger. As of December 31, 2023, we had cash, cash equivalents and short-term investments of $34.3 million and no debt.

84


 

 

We have incurred net losses in each year since inception. Our ability to generate product revenue sufficient to achieve profitability will depend heavily on the successful development and eventual commercialization of one or more of our current or future product candidates. Our net loss was $39.5 million for the year ended December 31, 2023. As of December 31, 2023, we had an accumulated deficit of $197.8 million. Substantially all of our net losses have resulted from costs incurred in connection with: (i) advancing our research and development programs, (ii) general and administrative costs associated with our operations, including the costs associated with operating as a public company, and (iii) in-process research and development costs associated with the GTX Merger. We expect to continue to incur significant and increasing operating losses for at least the next several years. We expect that our expenses and capital funding requirements will increase substantially in connection with our ongoing activities, particularly if and as we:

advance ONCT-534 through clinical development, initially in castration resistant prostate cancer;
advance ONCT-808 through clinical development, initially in hematological malignancies;
continue to develop additional product candidates; acquire or in-license other product candidates and technologies;
maintain, expand and protect our intellectual property portfolio;
establish a commercial manufacturing source and secure supply chain capacity sufficient to provide commercial quantities of any product candidates for which we may obtain regulatory approval;
seek regulatory approvals for any product candidates that successfully complete clinical trials;
establish a sales, marketing and distribution infrastructure to commercialize any products for which we may obtain regulatory approval; and
add operational, financial and management information systems and personnel, including personnel to support our planned product development and future commercialization efforts.

We will not generate product sales revenue unless and until we successfully complete clinical development and obtain regulatory approval for our product candidates. If we obtain regulatory approval for any of our product candidates and do not enter into a commercialization partnership, we expect to incur significant expenses related to developing our internal commercialization capability to support product sales, marketing and distribution.

 

As a result, we believe we will need substantial additional funding to support our continuing operations and pursue our business strategy. Until such time as we can generate significant product sales revenue, if ever, we expect to finance our operations through a combination of equity offerings, debt financings, government funding, or other sources, including potentially collaborations, licenses and other similar arrangements. We may not be able to raise additional funds or enter into such other agreements or arrangements when needed on favorable terms, or at all. If we fail to raise capital or enter into such agreements as and when needed, we may have to significantly delay, reduce or eliminate the development and commercialization of one or more of our product candidates or delay our pursuit of potential in licenses or acquisitions.

 

Because of the numerous risks and uncertainties associated with product development, we are unable to predict the timing or amount of increased expenses or when or if we will be able to achieve or maintain profitability. Even if we are able to generate product sales, we may not become profitable. If we fail to become profitable or are unable to sustain profitability on a continuing basis, then we may be unable to continue our operations at planned levels and be forced to reduce or terminate some or all of our operations.

 

Management concluded that the balance of cash, cash equivalents and short-term investments may not be sufficient to fund our planned expenditures and meet our obligations for at least the twelve months following the financial statement issuance date without entering into one or more collaborations or raising additional funding or making changes to operating plans or programs to reduce expenses. As a result, there is substantial doubt about our ability to continue as a going concern for twelve months following the issuance date of the consolidated financial statements as of December 31, 2023. We believe that our cash, cash equivalents and short-term investments provide sufficient cash to fund our projected operating requirements into the first quarter of 2025.

85


 

Components of Results of Operations

Grant Revenue

Our grant revenue has been derived from a California Institute for Regenerative Medicine, or CIRM, grant subaward with UC San Diego and research and development grants from the NIH.

In August 2017, CIRM awarded an $18.3 million grant to researchers at UC San Diego to advance our Phase 1/2 clinical trial evaluating zilovertamab in combination with ibrutinib for the treatment of patients with B-cell lymphoid malignancies, including CLL and MCL. Oncternal conducted this study in collaboration with UC San Diego and received $14.5 million in development milestones under research subaward agreements throughout the award project period from October 1, 2017 to March 31, 2022. In addition, we were committed to certain co-funding requirements and to provide UC San Diego progress and financial update reports throughout the award project period. We received final subaward payments of $0.7 million in the year ended December 31, 2022. As of December 31, 2023, we believe we have met our obligations under the CIRM award and UC San Diego subawards and we have no further obligations.

The NIH has awarded us three research and development grants for up to $4.0 million to support preclinical activities for our ONCT-534 and ONCT-216 programs, including $1.0 million payable to subawardees. Under the terms of the grant awards, we are entitled to receive reimbursement in arrears of incurring allowable expenditures. The earned NIH funds are non-refundable and we are required to provide periodic progress performance reports. During the year ended December 31, 2023, we received $0.3 million in award payments from the NIH, recorded $0.8 million in grant revenue and had $0.5 million in unbilled receivables as of December 31, 2023, which has been included in prepaid and other assets. During the year ended December 31, 2022, we received $1.2 million in award payments from the NIH, recorded $1.1 million in grant revenue and had $0.1 million in unbilled receivables as of December 31, 2022, which has been included in prepaid and other assets.

Operating Expenses

Research and Development

Research and development expenses consist primarily of costs incurred for the preclinical and clinical development of our product candidates, ONCT-534, ONCT-808, zilovertamab, and ONCT-216, which include:

expenses under agreements with third-party contract organizations, investigative clinical trial sites that conduct research and development activities on our behalf;
costs related to develop and manufacture preclinical study and clinical trial material;
salaries and employee-related costs, including stock-based compensation;
costs incurred under our collaboration and third-party licensing agreements; and
laboratory, regulatory and vendor expenses related to the execution of preclinical and clinical trials.

 

We accrue all research and development costs in the period for which they are incurred. Costs for certain development activities are recognized based on an evaluation of the progress to completion of specific tasks using information and data provided to us by our vendors, collaborators and third-party service providers. Advance payments for goods or services to be received in future periods for use in research and development activities are deferred and then expensed as the related goods are delivered and as services are performed. Any unearned advances would be refunded when known.

We expect our research and development expenses to increase substantially for the foreseeable future as we: (i) continue to invest in developing our product candidates clinically and preclinically, advance preclinical assets into the clinic and as we begin to conduct larger global clinical trials, and (ii) invest in additional operational personnel to support our planned product development efforts. Product candidates in later stages of clinical development generally have higher development costs than those in earlier stages of clinical development, primarily due to the increased size and duration of later-stage clinical trials, especially for global studies.

Our direct research and development expenses are tracked by product candidate and consist primarily of external costs, such as fees paid under third-party license agreements and to outside consultants, contract research organizations, or CROs, contract manufacturing organizations and research laboratories in connection with our preclinical development, process development, manufacturing and clinical development activities. We do not allocate employee costs and costs associated with our discovery efforts, laboratory supplies and facilities, including other indirect costs, to specific product candidates because these costs are deployed across multiple programs and, as such, are not separately classified. We use internal resources primarily to conduct our research as well as for managing our preclinical development, process development, manufacturing and clinical development activities. These employees

86


 

work across multiple programs and, therefore, we do not track our costs by product candidate unless we can include them as subaward costs.

We cannot determine with certainty the timing of initiation, the duration or the completion costs of current or future preclinical studies and clinical trials of our product candidates due to the inherently unpredictable nature of preclinical and clinical development, including any potential expanded dosing beyond the original protocols based in part on ongoing clinical success and the potential effects of the COVID-19 pandemic. Clinical and preclinical development timelines, the probability of success and development costs can differ materially from expectations. We anticipate that we will make determinations as to which product candidates to pursue and how much funding to direct to each product candidate on an ongoing basis in response to the results of ongoing and future preclinical studies and clinical trials, regulatory developments and our ongoing assessments of each product candidate’s commercial potential. We will need to raise substantial additional capital in the future. In addition, we cannot forecast which product candidates may be subject to future collaborations, when such arrangements will be secured, if at all, and to what degree such arrangements would affect our development plans and capital requirements.

General and Administrative

General and administrative expenses consist primarily of personnel-related costs, insurance costs, facility costs and professional fees for legal, patent, consulting, investor and public relations, accounting and audit services. Personnel-related costs consist of salaries, benefits and stock-based compensation. We expect our general and administrative expenses will increase significantly as we: (i) incur additional costs associated with being a public company, including audit, legal, regulatory, and tax-related services associated with maintaining compliance with exchange listing and SEC requirements, director and officer insurance premiums, and investor relations costs, (ii) hire additional personnel, and (iii) protect our intellectual property.

Other Income

Interest Income

Interest income consists of interest and dividends earned on our cash equivalents and short-term investments, which primarily consist of money market funds and U.S. Treasury securities. In a significantly rising interest rates environment, our interest income on our invested balances is expected to increase as rates increase. Historically, our interest income has not been significant due to low interest earned on invested balances.

Results of Operations

Comparison of the Years Ended December 31, 2023 and 2022

The following table summarizes our results of operations for the years ended December 31, 2023 and 2022 (in thousands):

 

 

 

Years Ended
December 31,

 

 

 

 

 

 

2023

 

 

2022

 

 

Change

 

Grant revenues

 

$

785

 

 

$

1,490

 

 

$

(705

)

Operating expenses:

 

 

 

 

 

 

 

 

 

Research and development

 

 

29,753

 

 

 

32,980

 

 

 

(3,227

)

General and administrative

 

 

12,746

 

 

 

13,457

 

 

 

(711

)

Total operating expenses

 

 

42,499

 

 

 

46,437

 

 

 

(3,938

)

Loss from operations

 

 

(41,714

)

 

 

(44,947

)

 

 

3,233

 

Interest income

 

 

2,235

 

 

 

777

 

 

 

1,458

 

Net loss

 

$

(39,479

)

 

$

(44,170

)

 

$

4,691

 

 

Grant Revenue

Grant revenue for the year ended December 31, 2023 was $0.8 million, compared to $1.5 million for the year ended December 31, 2022. The decrease of $0.7 million was primarily due to a decrease in CIRM subaward revenue of $0.4 million due to the completion of the subaward in the first quarter of 2022 and a decrease in revenue under the NIH awards of $0.3 million due to the timing of grant activities.

87


 

Research and Development Expenses

The following table summarizes our research and development expenses for the periods indicated (in thousands):

 

 

 

Years Ended
December 31,

 

 

Increase/

 

 

 

2023

 

 

2022

 

 

(Decrease)

 

ONCT-534

 

$

5,584

 

 

$

2,238

 

 

$

3,346

 

ONCT-808

 

 

4,698

 

 

 

5,349

 

 

 

(651

)

Zilovertamab

 

 

6,728

 

 

 

10,818

 

 

 

(4,090

)

ONCT-216

 

 

86

 

 

 

2,371

 

 

 

(2,285

)

Unallocated research and development expenses

 

 

12,657

 

 

 

12,204

 

 

 

453

 

Total research and development expenses

 

$

29,753

 

 

$

32,980

 

 

$

(3,227

)

 

Research and development expenses for the years ended December 31, 2023 and 2022 were $29.8 million and $33.0 million, respectively, a decrease of $3.2 million. The decrease was due to following offsetting factors: (i) a $3.7 million net decrease in direct product candidate costs, and (ii) a $0.5 million increase in unallocated research and development expenses.

Direct expenses for ONCT-534 increased $3.3 million for the year ended December 31, 2023 as compared to the year ended December 31, 2022, primarily due to a: (i) $2.1 million increase in clinical activities with the initiation of our Phase 1/2 clinical study, (ii) $1.6 million increase in manufacturing costs, and (iii) $0.4 million decrease in preclinical and other costs.

Direct expenses for ONCT-808 decreased $0.7 million for the year ended December 31, 2023 as compared to the year ended December 31, 2022, primarily due to a: (i) $2.4 million increase in clinical trial costs with the initiation of our Phase 1/2 clinical study, (ii) $1.7 million decrease in manufacturing costs, and (iii) $1.4 million decrease in collaboration and license related costs.

Direct expenses for zilovertamab decreased $4.1 million for the year ended December 31, 2023 as compared to the year ended December 31, 2022, primarily due to the following partially offsetting factors: (i) a $2.0 million decrease in clinical trial costs primarily related to the reprioritization of the program in April 2023, and (ii) a $2.1 million decrease in manufacturing and other costs.

Direct expenses for ONCT-216 decreased $2.3 million for the year ended December 31, 2023 as compared to the year ended December 31, 2022, due primarily to lower clinical trial activity and manufacturing costs associated with the de-prioritization of this program in 2022 as well as the sale of clinical trial supplies to SPH USA.

Unallocated expenses increased $0.5 million for the year ended December 31, 2023 as compared to the year ended December 31, 2022, primarily due to higher personnel costs.

General and Administrative Expenses

General and administrative expenses for the years ended December 31, 2023 and 2022 were $12.7 million and $13.5 million, respectively, a decrease of $0.7 million. The decrease is primarily due to the following partially offsetting factors: (i) lower legal costs of $0.7 million, (ii) lower corporate insurance costs of $0.4 million, (iii) lower professional services and other costs of $0.2 million, and (iv) higher personnel costs of $0.6 million.

Liquidity and Capital Resources

We have incurred losses and negative cash flows from operations since inception. As of December 31, 2023, we had an accumulated deficit of $197.8 million and anticipate that we will continue to incur net losses for the foreseeable future. As of December 31, 2023, we had $34.3 million in cash, cash equivalents and short-term investments and no debt. We believe the balance of cash, cash equivalents and short-term investments may not be sufficient to fund our projected operating requirements and meet our obligations for at least the twelve months following the financial statement issuance date without entering into one or more collaborations or raising additional funding or making changes to our operating plans or programs to reduce expenses. As a result, there is substantial doubt about our ability to continue as a going concern for twelve months following the issuance date of the consolidated financial statements as of December 31, 2023. However, we believe that our cash, cash equivalents and short-term investments provide sufficient cash to fund our projected operating requirements into the first quarter of 2025. Our future capital requirements and the adequacy of available funds will depend on many factors, including those described in “Risk Factors”.

88


 

Cash Flows

The following table summarizes our net cash flow activity for each of the periods presented (in thousands):

 

 

 

Years Ended
December 31,

 

 

 

2023

 

 

2022

 

Net cash provided by (used in):

 

 

 

 

 

 

Operating activities

 

$

(32,164

)

 

$

(36,704

)

Investing activities

 

 

651

 

 

 

(26,498

)

Financing activities

 

 

1,068

 

 

 

9,579

 

Decrease in cash and cash equivalents

 

$

(30,445

)

 

$

(53,623

)

 

Operating Activities

During the year ended December 31, 2023, net cash used in operating activities was $32.2 million, resulting from our net loss of $39.5 million, which was offset by net non-cash charges of $6.0 million primarily related to stock-based compensation and accretion of discounts on short-term investments. The net loss of $39.5 million was driven primarily by our ongoing clinical, preclinical and manufacturing development activities that were partially offset by grant revenue. In addition, there was a $1.3 million net change in operating assets and liabilities which primarily consisted of the following offsetting activities, a: (i) $2.6 million decrease in prepaid and other assets and operating lease liability, and (ii) $1.3 million decrease in accounts payable, accrued expenses and deferred compensation.

During the year ended December 31, 2022, net cash used in operating activities used $36.7 million, resulting from our net loss of $44.2 million and changes in our operating assets and liabilities of $0.1 million, partially offset by net non-cash charges of $7.5 million related to stock-based compensation and lease expense. The net loss of $44.2 million was driven by our ongoing clinical development activities partially offset by grant revenue. The $0.1 million change in operating assets and liabilities primarily consisted of the following partially offsetting activities, a: (i) $2.3 million increase in prepaid and other assets and operating lease liability, and (iii) $2.2 million increase in accounts payable and accrued expenses.

Investing Activities

During the year ended December 31, 2023, net cash provided by investing activities was $0.7 million consisting of net maturities of available-for-sale securities. During the year ended December 31, 2022, net cash used in investing activities was $26.5 million consisting of net purchases of available-for-sale securities.

Financing Activities

Financing activities provided net cash of $1.1 million for year ended December 31, 2023, which consisted primarily of net proceeds from the issuance of shares of common stock under our at-the-market (ATM) equity offering program offset by shares repurchased for tax withholding obligations related to the vesting of restricted stock units.

Financing activities provided net cash of $9.6 million for year ended December 31, 2022, which consisted primarily of net proceeds from the issuance of shares of common stock under the ATM program offset by shares repurchased for tax withholding obligations related to the vesting of restricted stock units.

Operating Capital Requirements

We anticipate that we will continue to incur losses for the foreseeable future, and we expect the losses to increase as we continue the research and development of, and seek regulatory approvals for, our product candidates and conduct additional research and development activities. Our product candidates have not yet achieved regulatory approval and we may not be successful in achieving commercialization of our product candidates.

We believe that our existing cash, cash equivalents and short-term investments may not be sufficient to fund our operations for a period of at least twelve months from the date of this report without entering into one or more collaborations or raising additional funding or making changes to our operating plans or programs to reduce expenses.

We will require additional capital for the research and development of our product candidates, and we may be forced to seek additional funds sooner than expected to pursue our research and development activities. We expect to finance our capital requirements in the foreseeable future through a combination of the sale of public or private equity or debt securities, government

89


 

funding, or other sources, including potentially collaborations, licenses and other similar arrangements. There can be no assurance that we will be able to obtain any sources of financing on acceptable terms, or at all. To the extent that we can raise additional funds by issuing equity securities, our stockholders may experience significant dilution. Any debt financing, if available, may involve restrictive covenants that may impact our ability to conduct our business. Any of these events could significantly harm our business, operations, financial condition and prospects.

We will require additional capital for the research and development of our product candidates, and we may be forced to seek additional funds sooner than expected to pursue our research and development activities. We expect to finance our capital requirements in the foreseeable future through a combination of the sale of public or private equity or debt securities, government funding, or other sources, including potentially collaborations, licenses and other similar arrangements. There can be no assurance that we will be able to obtain any sources of financing on acceptable terms, or at all. To the extent that we can raise additional funds by issuing equity securities, our stockholders may experience significant dilution. Any debt financing, if available, may involve restrictive covenants that may impact our ability to conduct our business. Any of these events could significantly harm our business, operations, financial condition and prospects.

Our forecast of the period of time through which our existing cash, cash equivalents, and short-term investments will be adequate to support our operations is a forward-looking statement and involves significant risks and uncertainties. We have based this forecast on assumptions that may prove to be wrong, and actual results could vary materially from our expectations, which may adversely affect our capital resources and liquidity. We could utilize our available capital resources sooner than we currently expect. The amount and timing of future funding requirements, both near and long-term, will depend on many factors, including, but not limited to:

the type, number, scope, progress, expansions, results, costs and timing of our clinical trials of our DAARI and ROR1 CAR T product candidates or additional indications of our current product candidates as well as other product candidates that we may choose to pursue in the future;
the costs and timing of manufacturing for our product candidates, including commercial manufacturing if any product candidate is approved;
the costs and capacity for CAR T development and lentivirus manufacturing;
the costs, timing and outcome of seeking and obtaining worldwide regulatory approvals for our product candidates;
the costs of obtaining, maintaining and enforcing our patents and other intellectual property rights;
the costs associated with hiring additional personnel, CROs and consultants as our preclinical and clinical activities increase;
our ability to achieve sufficient market acceptance, adequate coverage and reimbursement from third-party payors and adequate market share and revenue for any approved products;
the terms and timing of establishing and maintaining collaborations, licenses and other similar arrangements, including milestone or other payments under our existing in-license agreements and any in-license agreements that we may enter into in the future;
costs associated with any products or technologies that we may in-license or acquire; and
the cost and timing of establishing sales, marketing, manufacturing and distribution capabilities for, and the pricing and reimbursement of, any products for which we may receive regulatory approval.

If we cannot continue or expand our research and development operations, or otherwise capitalize on our business opportunities, because we lack sufficient capital, our business, operations, financial condition and prospects could be materially adversely affected.

In December 2021, we entered into an Open Market Sales AgreementSM (Sales Agreement) with Jefferies LLC, pursuant to which we may offer and sell, from time to time, shares of our common stock having an aggregate offering price of up to $50.0 million. We have no obligation to sell any shares under the Sales Agreement and may at any time suspend solicitation and offers under the Sales Agreement. During the year ended December 31, 2023, we sold 55,274 shares under the Sales Agreement.

Under current SEC regulations, if at any time our public float is less than $75.0 million, and for so long as our public float remains less than $75.0 million, the amount we can raise through primary public offerings of securities in any twelve-month period using shelf registration statements is limited to an aggregate of one-third of our public float, which is referred to as the baby shelf rules. As of December 31, 2023, our calculated public float was less than $75.0 million. In April 2021, our Form S-3 registration

90


 

statement became effective. Future sales of our common stock, if any, will depend on a variety of factors including, but not limited to, the expected timing for achieving key milestones, including Initiating, completing and announcing results of clinical trials of our ROR1 CAR T and DAARI product candidates, prevailing market conditions, the trading price of our common stock and our capital needs. There can be no assurance that we will be successful in consummating future sales of our securities based on prevailing market conditions or in the quantities or at the prices that we deem appropriate.

Contractual Obligations and Commitments

We are party to a number of license agreements, pursuant to which we have payment obligations that are contingent upon future events such as our achievement of specified development, regulatory and commercial milestones and are required to make royalty payments in connection with the sale of products developed under those agreements. As of December 31, 2023, we were unable to estimate the timing or likelihood of achieving the milestones or making future product sales. See Notes 4 and 5 to our consolidated financial statements included elsewhere in this Annual Report for a description of these agreements.

We enter into contracts in the normal course of business with clinical trial sites and clinical supply manufacturers and with vendors for preclinical studies, research supplies and other services and products for operating purposes. These contracts generally provide for termination after a notice period, and, therefore, are cancelable contracts.

Critical Accounting Estimates

Management’s discussion and analysis of our financial condition and results of operations are based on our consolidated financial statements, which have been prepared in accordance with U.S. generally accepted accounting principles (GAAP). The preparation of the financial statements requires us to make estimates and judgments that affect the reported amounts of assets and liabilities and the disclosure of contingent assets and liabilities at the date of the financial statements, as well as the reported expenses incurred during the reporting periods.

Our estimates are based on our historical trends and other factors that we believe are reasonable under the circumstances, the results of which form the basis for making judgments about the carrying value of assets and liabilities that are not readily apparent from other sources. Actual results may differ from these estimates under different assumptions or conditions.

Research and Development Expenses and Accruals

As part of the process of preparing our consolidated financial statements, we are required to estimate our accrued expenses. This process involves reviewing quotations and contracts, identifying services that have been performed on our behalf and estimating the level of service performed and the associated cost incurred for the service when we have not yet been invoiced or otherwise notified of the actual cost. Certain service providers invoice us in arrears for services performed or when contractual milestones are met. We make estimates of our accrued expenses as of each balance sheet date in our financial statements based on facts and circumstances known to us at that time. We periodically confirm the accuracy of our estimates with the service providers and make adjustments if necessary. Examples of estimated accrued research and development expenses include fees paid to: (i) CROs and other third parties in connection with clinical studies and preclinical development activities; (ii) investigative sites in connection with clinical studies; and (iii) third parties related to product manufacturing, development and distribution of clinical supplies.

We base our expenses related to CROs on our estimates of the services received and efforts expended pursuant to quotes and contracts with CROs that conduct research and development on our behalf. The financial terms of these agreements are subject to negotiation, vary from contract to contract and may result in uneven payment flows. There may be instances in which payments made to our vendors will exceed the level of services provided and result in a prepayment of the research and development expense. In accruing service fees, we estimate the time period over which services will be performed and the level of effort to be expended in each period. If the actual timing of the performance of services or the level of effort varies from our estimate, we adjust the accrual or prepaid accordingly. Although we do not expect our estimates to be materially different from amounts actually incurred, our understanding of the status and timing of services performed relative to the actual status and timing of services performed may vary and could result in us reporting amounts that are too high or too low in any particular period.

Item 7A. Quantitative and Qualitative Disclosures About Market Risk.

We are a smaller reporting company, as defined by Rule 12b-2 of the Exchange Act, and are not required to provide the information required under this item.

Item 8. Financial Statement and Other Supplementary Information.

 

The Consolidated Financial Statements and supplementary data of Oncternal Therapeutics, Inc. required by this Item are described in Item 15 of this Annual Report and are presented beginning on page F-1.

 

91


 

Report of Independent Registered Public Accounting Firm

 

Stockholders and Board of Directors

Oncternal Therapeutics, Inc.

San Diego, California

Opinion on the Consolidated Financial Statements

We have audited the accompanying consolidated balance sheets of Oncternal Therapeutics, Inc. (the “Company”) as of December 31, 2023 and 2022, the related consolidated statements of operations and comprehensive loss, stockholders’ equity, and cash flows for each of the years then ended, and the related notes (collectively referred to as the “consolidated financial statements”). In our opinion, the consolidated financial statements present fairly, in all material respects, the financial position of the Company at December 31, 2023 and 2022, and the results of its operations and its cash flows for each of the years then ended, in conformity with accounting principles generally accepted in the United States of America.

Going Concern Uncertainty

The accompanying consolidated financial statements have been prepared assuming that the Company will continue as a going concern. As discussed in Note 1 to the consolidated financial statements, the Company has suffered recurring losses and negative cash flows from operations since inception. These factors raise substantial doubt about the Company’s ability to continue as a going concern. Management’s plans regarding these matters are also described in Note 1. The consolidated financial statements do not include any adjustments that might result from the outcome of this uncertainty.

Basis for Opinion

These consolidated financial statements are the responsibility of the Company’s management. Our responsibility is to express an opinion on the Company’s consolidated financial statements based on our audits. We are a public accounting firm registered with the Public Company Accounting Oversight Board (United States) (“PCAOB”) and are required to be independent with respect to the Company in accordance with the U.S. federal securities laws and the applicable rules and regulations of the Securities and Exchange Commission and the PCAOB.

We conducted our audits in accordance with the standards of the PCAOB. Those standards require that we plan and perform the audit to obtain reasonable assurance about whether the consolidated financial statements are free of material misstatement, whether due to error or fraud. The Company is not required to have, nor were we engaged to perform, an audit of its internal control over financial reporting. As part of our audits we are required to obtain an understanding of internal control over financial reporting but not for the purpose of expressing an opinion on the effectiveness of the Company’s internal control over financial reporting. Accordingly, we express no such opinion.

Our audits included performing procedures to assess the risks of material misstatement of the consolidated financial statements, whether due to error or fraud, and performing procedures that respond to those risks. Such procedures included examining, on a test basis, evidence regarding the amounts and disclosures in the consolidated financial statements. Our audits also included evaluating the accounting principles used and significant estimates made by management, as well as evaluating the overall presentation of the consolidated financial statements. We believe that our audits provide a reasonable basis for our opinion.

Critical Audit Matter

The critical audit matter communicated below is a matter arising from the current period audit of the consolidated financial statements that was communicated or required to be communicated to the audit committee and that: (1) relates to accounts or disclosures that are material to the consolidated financial statements and (2) involved our especially challenging, subjective, or complex judgments. The communication of the critical audit matter does not alter in any way our opinion on the consolidated financial statements, taken as a whole, and we are not, by communicating the critical audit matter below, providing a separate opinion on the critical audit matter or on the accounts or disclosures to which it relates.

F-1


 

Clinical Trial Accruals

As described in Notes 1 and 2 to the consolidated financial statements, the Company has recorded $2.0 million for accrued liabilities related to clinical trials as of December 31, 2023. The Company has entered into various research and development contracts with research institutions, clinical research organizations, clinical manufacturing organizations and other companies. Payments for these activities are based on the terms of the individual agreements, which may differ from the pattern of costs incurred, and payments made in advance of performance are reflected in the accompanying consolidated balance sheets as prepaid and other assets or accrued liabilities. The Company records accruals for estimated costs incurred for ongoing research and development activities. When evaluating the adequacy of the accrued clinical trial liabilities, the Company analyzes progress of the services, including the phase or completion of events, invoices received and contracted costs. Significant judgments and estimates may be made in determining the prepaid or accrued balances at the end of any reporting period. Actual results could differ from the Company’s estimates.

We identified the estimation of clinical trial accruals as a critical audit matter. Significant judgment was required by management in estimating the progress of services and the associated costs incurred used to determine the accrued liabilities for clinical trial expenses. Auditing these elements involved especially challenging and subjective auditor judgment due to the nature and extent of auditor effort required to address the matter.

The primary procedures we performed to address this critical audit matter included:

Reviewing the Company’s contractual agreements with certain third parties and applicable change orders to assess the impact to the amounts recorded.
Testing the completeness and accuracy of clinical trial accruals by comparing invoices for certain third parties received by the Company subsequent to December 31, 2023, to the amounts recognized by the Company as of that date.
Testing clinical trial accruals for completeness and accuracy by confirming amounts invoiced, services rendered, and payments received, directly with certain clinical research organizations, recalculating the expected accrual amounts and comparing to the recorded amounts.

/s/ BDO USA, P.C.

We have served as the Company's auditor since 2016.

San Diego, California

March 7, 2024

 

 

 

F-2


 

Oncternal Therapeutics, Inc.

Consolidated Balance Sheets

(in thousands, except par value)

 

 

 

December 31,

 

 

 

2023

 

 

2022

 

Assets

 

 

 

 

 

 

Current assets:

 

 

 

 

 

 

Cash and cash equivalents

 

$

6,697

 

 

$

37,142

 

Short-term investments

 

 

27,558

 

 

 

26,582

 

Prepaid and other

 

 

1,804

 

 

 

3,566

 

Total current assets

 

 

36,059

 

 

 

67,290

 

Right-of-use asset

 

 

258

 

 

 

87

 

Other assets

 

 

412

 

 

 

1,274

 

Total assets

 

$

36,729

 

 

$

68,651

 

Liabilities and Stockholders’ Equity

 

 

 

 

 

 

Current liabilities:

 

 

 

 

 

 

Accounts payable

 

$

1,148

 

 

$

2,917

 

Accrued liabilities

 

 

3,877

 

 

 

4,678

 

Lease, current

 

 

173

 

 

 

87

 

Total current liabilities

 

 

5,198

 

 

 

7,682

 

Deferred compensation

 

 

1,334

 

 

 

 

Lease, net of current

 

 

145

 

 

 

 

Total liabilities

 

 

6,677

 

 

 

7,682

 

Commitments and contingencies (Note 4)

 

 

 

 

 

 

Stockholders’ equity:

 

 

 

 

 

 

Preferred stock, $0.001 par value, authorized shares – 5,000 at
   December 31, 2023 and 2022; issued and outstanding
   shares –
none

 

 

 

 

 

 

Common stock, $0.001 par value; authorized shares – 120,000
   at December 31, 2023 and 2022; issued and outstanding
   shares –
2,948 and 2,874 at December 31, 2023 and 2022,
   respectively

 

 

3

 

 

 

3

 

Additional paid-in capital

 

 

227,825

 

 

 

219,257

 

Accumulated other comprehensive income

 

 

3

 

 

 

9

 

Accumulated deficit

 

 

(197,779

)

 

 

(158,300

)

Total stockholders’ equity

 

 

30,052

 

 

 

60,969

 

Total liabilities and stockholders’ equity

 

$

36,729

 

 

$

68,651

 

 

See accompanying notes.

F-3


 

Oncternal Therapeutics, Inc.

Consolidated Statements of Operations and Comprehensive Loss

(thousands, except per share data)

 

 

 

Years Ended December 31,

 

 

 

2023

 

 

2022

 

Grant revenue

 

$

785

 

 

$

1,490

 

Operating expenses:

 

 

 

 

 

 

Research and development

 

 

29,753

 

 

 

32,980

 

General and administrative

 

 

12,746

 

 

 

13,457

 

Total operating expenses

 

 

42,499

 

 

 

46,437

 

Loss from operations

 

 

(41,714

)

 

 

(44,947

)

Interest income

 

 

2,235

 

 

 

777

 

Net loss

 

$

(39,479

)

 

$

(44,170

)

Comprehensive income

 

 

 

 

 

 

Unrealized gain (loss) on available-for-sale securities, net

 

 

(6

)

 

 

9

 

Comprehensive loss

 

$

(39,485

)

 

$

(44,161

)

Net loss per share, basic and diluted

 

$

(13.43

)

 

$

(16.80

)

Weighted-average shares outstanding, basic and diluted

 

 

2,940

 

 

 

2,630

 

 

See accompanying notes.

F-4


 

Oncternal Therapeutics, Inc.

Consolidated Statements of Cash Flows

(in thousands)

 

 

 

Years Ended December 31,

 

 

 

2023

 

 

2022

 

Cash flows from operating activities

 

 

 

 

 

 

Net loss

 

$

(39,479

)

 

$

(44,170

)

Adjustments to reconcile net loss to net cash used in operating activities:

 

 

 

 

 

 

Stock-based compensation

 

 

7,500

 

 

 

7,431

 

Accretion of discounts on short-term investments

 

 

(1,633

)

 

 

(75

)

Noncash lease expense

 

 

174

 

 

 

179

 

Changes in operating assets and liabilities:

 

 

 

 

 

 

Prepaid and other assets

 

 

2,624

 

 

 

(2,095

)

Accounts payable

 

 

(1,769

)

 

 

958

 

Accrued liabilities

 

 

(801

)

 

 

1,247

 

Deferred compensation

 

 

1,334

 

 

 

 

Change in lease liability

 

 

(114

)

 

 

(179

)

Net cash used in operating activities

 

 

(32,164

)

 

 

(36,704

)

Cash flows from investing activities

 

 

 

 

 

 

Purchases of available-for-sale securities

 

 

(64,349

)

 

 

(26,498

)

Maturities of available-for-sale securities

 

 

65,000

 

 

 

 

Net cash provided by investing activities

 

 

651

 

 

 

(26,498

)

Cash flows from financing activities

 

 

 

 

 

 

Proceeds from the issuance of common stock,
   net

 

 

1,224

 

 

 

9,582

 

Repurchases of common stock for tax withholding obligations

 

 

(156

)

 

 

(3

)

Net cash provided by financing activities

 

 

1,068

 

 

 

9,579

 

Net decrease in cash and cash equivalents

 

 

(30,445

)

 

 

(53,623

)

Cash and cash equivalents at beginning of period

 

 

37,142

 

 

 

90,765

 

Cash and cash equivalents at end of period

 

$

6,697

 

 

$

37,142

 

Supplemental disclosure of non-cash investing and financing activities:

 

 

 

 

 

 

Right-of-use assets obtained in exchange for operating lease liabilities

 

$

345

 

 

$

191

 

 

See accompanying notes.

F-5


 

Oncternal Therapeutics, Inc.

Consolidated Statements of Stockholders' Equity

(in thousands)

 

 

 

 

Common Stock

 

 

Additional
Paid-In

 

 

Accumulated Other

 

 

Accumulated

 

 

Total
Stockholders’

 

 

 

 

Shares

 

 

Amount

 

 

Capital

 

 

Comprehensive Income

 

 

Deficit

 

 

Equity

 

Balance at December 31, 2021

 

 

 

2,471

 

 

$

2

 

 

$

202,248

 

 

$

 

 

$

(114,130

)

 

$

88,120

 

Issuance of common stock, net of issuance cost of $375

 

 

 

403

 

 

 

1

 

 

 

9,581

 

 

 

 

 

 

 

 

 

9,582

 

Shares repurchased for settlement of minimum statutory tax withholdings

 

 

 

 

 

 

 

 

 

(3

)

 

 

 

 

 

 

 

 

(3

)

Stock-based compensation

 

 

 

 

 

 

 

 

 

7,431

 

 

 

 

 

 

 

 

 

7,431

 

Unrealized gain on available-for-sale securities

 

 

 

 

 

 

 

 

 

 

 

 

9

 

 

 

 

 

 

9

 

Net loss

 

 

 

 

 

 

 

 

 

 

 

 

 

 

 

(44,170

)

 

 

(44,170

)

Balance at December 31, 2022

 

 

 

2,874

 

 

 

3

 

 

 

219,257

 

 

 

9

 

 

 

(158,300

)

 

 

60,969

 

Issuance of common stock, net of issuance cost of $38

 

 

 

55

 

 

 

 

 

 

1,224

 

 

 

 

 

 

 

 

 

1,224

 

Issuance of common stock upon vesting of restricted stock units

 

 

 

30

 

 

 

 

 

 

 

 

 

 

 

 

 

 

 

 

Shares repurchased for settlement of minimum statutory tax withholdings

 

 

 

(11

)

 

 

 

 

 

(156

)

 

 

 

 

 

 

 

 

(156

)

Stock-based compensation

 

 

 

 

 

 

 

 

 

7,500

 

 

 

 

 

 

 

 

 

7,500

 

Unrealized loss on available-for-sale securities

 

 

 

 

 

 

 

 

 

 

 

 

(6

)

 

 

 

 

 

(6

)

Net loss

 

 

 

 

 

 

 

 

 

 

 

 

 

 

 

(39,479

)

 

 

(39,479

)

Balance at December 31, 2023

 

 

 

2,948

 

 

$

3

 

 

$

227,825

 

 

$

3

 

 

$

(197,779

)

 

$

30,052

 

 

 

See accompanying notes.

F-6


 

Oncternal Therapeutics, Inc.

Notes to Consolidated Financial Statements

1.
Description of Business, Basis of Presentation and Summary of Significant Accounting Policies

Description of Business

Oncternal Therapeutics, Inc. (the “Company,” “Oncternal,” or the “combined company”), formerly known as GTx, Inc., was incorporated in Tennessee in September 1997 and reincorporated in Delaware in 2003 and is based in San Diego, California. The Company is a clinical-stage biopharmaceutical company focused on the development of novel oncology therapies for the treatment of cancers with critical unmet medical need. The Company’s clinical pipeline includes ONCT-534, a dual-action androgen receptor inhibitor product candidate for the treatment of castration-resistant prostate and other androgen receptor-driven cancers and ONCT-808, a CAR T (chimeric antigen receptor T-cells) product candidate that targets ROR1, and zilovertamab, a humanized monoclonal antibody that binds to ROR1. Oncternal’s program activities previously included ONCT-216, an investigational small molecule designed to inhibit the E26 Transformation Specific (“ETS”) family of oncoproteins.

Principles of Consolidation

The consolidated financial statements include the accounts of the Company and its wholly-owned subsidiaries, Oncternal Oncology, Inc. and Oncternal, Inc. All intercompany accounts and transactions have been eliminated in the preparation of the consolidated financial statements.

Going Concern

The consolidated financial statements have been prepared assuming the Company will continue as a going concern, which contemplates the realization of assets and the satisfaction of liabilities in the normal course of business. From inception, the Company has devoted substantially all of its efforts to drug discovery and development and conducting preclinical studies and clinical trials. The Company has a limited operating history and the sales and income potential of the Company’s business and market are unproven. Successful transition to attaining profitable operations is dependent upon achieving a level of revenues adequate to support the Company’s cost structure.

As of December 31, 2023, the Company had $34.3 million in cash, cash equivalents, and short-term investments, no debt and an accumulated deficit of $197.8 million. From its inception, the Company has incurred recurring operating losses and negative cash flows from operations. The Company has concluded that the balance of cash, cash equivalents and short-term investments will not be sufficient to fund its planned expenditures and meet its obligations for the twelve months following the financial statement issuance date without raising additional funding or making changes to its operating plans or programs to reduce expenses. As a result, there is substantial doubt about the Company’s ability to continue as a going concern for twelve months following the issuance date of these consolidated financial statements. The consolidated financial statements have been prepared assuming the Company will continue as a going concern and do not include any adjustments that might result from the outcome of this uncertainty.

The Company expects to continue to incur net losses for the foreseeable future and believes it will need to raise substantial additional capital to accomplish its business plan over the next several years. The Company plans to continue to fund its losses from operations and capital funding needs through a combination of public or private equity or debt offerings or other sources, including potential collaborations, strategic alliances and other similar licensing arrangements in both the short term and long term. If the Company is unable to secure adequate additional funding, the Company may be forced to make reductions in spending, including potentially delaying, scaling back or eliminating certain of its pipeline development programs, extend payment terms with suppliers, or liquidate assets where possible. Any of these actions could materially harm the Company’s business, results of operations and future prospects.

F-7


 

As of December 31, 2023, the Company had capacity to issue up to an additional $38.8 million of shares of common stock under its at-the-market (“ATM”) equity offering program. Through December 31, 2023, the Company has sold 457,342 shares of common stock for net proceeds of $10.8 million under the ATM program. There can be no assurance that the Company will be able to sell any additional shares of its common stock under the ATM program and no assurance regarding the price at which it will be able to sell any such shares, and any sales of shares of its common stock under the ATM program may be at prices that result in additional dilution to existing stockholders of the Company.

The Company's ability to obtain additional financing (including through collaborating and licensing arrangements) will depend on a number of factors, including, among others, its ability to generate positive data from its clinical trials and preclinical studies, the condition of the capital markets and the other risks, many of which are dependent on factors outside of its control. There can be no assurance as to the availability or terms upon which such financing and capital might be available in the future.

Nasdaq Listing and Reverse Stock Split

On April 4, 2023, the Company received a written notice from the Listing Qualifications Department of The Nasdaq Stock Market LLC (“Nasdaq”) indicating that because the closing bid price for the Company’s common stock had closed below $1.00 per share for 30 consecutive business days, the Company no longer complied with the minimum bid price requirement pursuant to Nasdaq Listing Rule 5550(a)(2) (the “Minimum Bid Requirement”).

On January 8, 2024, the Company effected a 1-for-20 reverse stock split of its issued and outstanding common stock (the "Reverse Stock Split"). As a result of the Reverse Stock Split, the Company regained compliance with the Nasdaq listing rules. Each of the Company’s shareholders received one new share of common stock for every 20 shares such shareholder held immediately prior to the effective time of the Reverse Stock Split. The Reverse Stock Split affected all the Company’s issued and outstanding shares of common stock equally. The par value and authorized shares of the Company's common stock was not adjusted as a result of the Reverse Stock Split. The Reverse Split also affected the Company’s outstanding common stock options and warrants, and resulted in the shares underlying such instruments being reduced and the exercise price being increased proportionately. Unless otherwise noted, all common stock shares, common stock per share data, common stock options and warrants included in these consolidated financial statements, including the exercise price of such equity instruments, as applicable, have been retrospectively adjusted to reflect the effect of the Reverse Stock Split for all periods presented.

Use of Estimates

The Company’s consolidated financial statements are prepared in accordance with GAAP. The preparation of the Company’s consolidated financial statements and accompanying notes requires it to make estimates and assumptions that impact the reported amounts of assets, liabilities, revenues and expenses and the disclosure of contingent assets and liabilities. Significant estimates consist of accruals for research and development costs. Although these estimates are based on the Company’s knowledge of current events and actions it may undertake in the future, actual results may ultimately materially differ from these estimates and assumptions.

Cash and Cash Equivalents

The Company considers all highly liquid investments with maturities of three months or less when purchased to be cash equivalents. Cash and cash equivalents consist of Level 1 financial instruments in the fair value hierarchy (see Note 6 – Fair Value) and include cash in readily available checking accounts, money market accounts and commercial paper.

Short-term Investments

Short-term investments consist of U.S. treasury notes and bills, certificates of deposit, commercial paper and U.S. government sponsored enterprise securities with maturities of less than one year from the balance sheet date and are debt securities considered to be Level 1 and Level 2 financial instruments in the fair value hierarchy (see Note 6 – Fair Value). The Company determines the appropriate classification of marketable securities at the time of

F-8


 

purchase and reevaluates such designation at each balance sheet date. The Company has classified all of its marketable securities at December 31, 2023 and 2022 as “available-for-sale” pursuant to ASC 320 Investments – Debt and Equity Securities. The Company records available-for-sale securities at fair value as determined by prices for identical or similar securities, with the unrealized gains and losses included as a separate component of other accumulated comprehensive income (loss). In accordance with policy, the Company does not invest in or hold equity securities in its investment portfolio.

The Company adjusts the cost of available-for-sale debt securities for amortization of premiums or accretion of discounts to maturity. The Company includes interest and dividends on securities classified as available-for-sale in interest income. Such amortization and accretion are included in interest income. The cost of securities sold is based on the specific identification method.

Realized gains or losses on available-for-sale securities are determined using the specific identification method and net realized gains and losses are included in interest income. The Company records unrealized gains and losses on available-for-sale marketable securities as a component of other comprehensive loss within the statements of comprehensive loss and as a separate component of stockholders’ equity on the balance sheets.

The Company elected the practical expedient to exclude the applicable accrued interest from both the fair value and amortized costs basis of available-for-sale securities for purposes of identifying and measuring an impairment. Accrued interest receivable on available-for-sale securities is recorded in short-term investments in the accompanying consolidated balance sheets. The Company’s accounting policy is to not measure an allowance for credit loss for accrued interest receivable and to write-off any uncollectible accrued interest receivable as a reversal of interest income in a timely manner, which the Company considers to be in the period in which the Company determines the accrued interest will not be collected.

The Company evaluates short-term investments for other-than-temporary impairment at the balance sheet date. Factors considered in determining whether a loss is other-than temporary include how significant the decline in value is as a percentage of the original cost, the length of time and extent to which fair value has been less than the cost basis, the financial condition of the issuer, and the Company’s intent and ability to hold the investment until recovery of its amortized cost basis. The Company intends, and has the ability, to hold any investments in unrealized loss positions until their amortized cost basis has been recovered. As of December 31, 2023 and 2022, there were no impairment charges on short-term investments.

The Company obtains the fair value of its available-for-sale marketable securities from a professional pricing service. The fair values of available-for-sale marketable securities are validated by comparing the fair values reported by the professional pricing service to quoted market prices or to fair values obtained from the custodian bank. The service provider values the securities using a hierarchical security pricing model that relies primarily on valuations provided by an industry-recognized valuation service or mathematical calculations. Such valuations may be based on trade prices in active markets for identical assets or liabilities (Level 1 inputs) or valuation models using inputs that are observable either directly or indirectly (Level 2 inputs), such as quoted prices for similar assets or liabilities, yield curves, credit spreads, current market and contractual prices for the underlying instruments or debt, as well as other relevant economic measures.

Deferred Compensation

Deferred compensation represents the accrual of retention bonuses for certain executives and certain other members of senior management. The retention bonuses were entered into in connection with the waiver of annual cash performance bonuses of such personnel for the year ended December 31, 2023 and a temporary reduction of the chief executive officer’s salary from April 2023 through December 2024.

F-9


 

Concentration of Credit Risk

Financial instruments that potentially subject the Company to significant concentrations of credit risk consist primarily of cash, cash equivalents and short-term investments. The Company maintains deposits in federally insured financial institutions in excess of federally insured limits. The Company has not experienced any losses in such accounts and believes it is not exposed to significant risk on its cash balances due to the financial position of the depository institution in which those deposits are held. Additionally, the Company established guidelines regarding approved investments and maturities of investments, which are designed to maintain safety and liquidity.

Patent Costs

Costs related to filing and pursuing patent applications are recorded as general and administrative expense and expensed as incurred since recoverability of such expenditures is uncertain.

Research and Development Expenses and Accruals

Research and development expenses consist of costs incurred for the Company’s own and for sponsored and collaborative research and development activities. Research and development costs are expensed as incurred and include manufacturing process development costs, manufacturing costs, costs associated with preclinical studies and clinical trials, regulatory and medical affairs activities, quality assurance activities, salaries and benefits, including stock-based compensation, fees paid to third-party consultants, license fees and overhead.

The Company has entered into various research and development contracts with research institutions, clinical research organizations, clinical manufacturing organizations and other companies. Payments for these activities are based on the terms of the individual agreements, which may differ from the pattern of costs incurred, and payments made in advance of performance are reflected in the accompanying consolidated balance sheets as prepaid and other assets or accrued liabilities. The Company records accruals for estimated costs incurred for ongoing research and development activities. When evaluating the adequacy of the accrued liabilities, which include clinical trial accruals, the Company analyzes progress of the services, including the phase or completion of events, invoices received and contracted costs. Significant judgments and estimates may be made in determining the prepaid or accrued balances at the end of any reporting period. Actual results could differ from the Company’s estimates.

F-10


 

Fair Value Measurements

The accounting guidance defines fair value, establishes a consistency framework for measuring fair value and expands disclosure for each major asset and liability category measured at fair value on either a recurring basis or nonrecurring basis. Fair value is defined as an exit price that would be received to sell an asset or paid to transfer a liability in an orderly transaction between market participants on the measurement date. Accounting guidance establishes a three-tier fair value hierarchy that requires an entity to maximize the use of observable inputs and minimize the use of unobservable inputs when measuring fair value. These tiers are based on the source of the inputs and are as follows:

Level 1: Observable inputs such as quoted prices in active markets for identical assets or liabilities.

Level 2: Inputs other than quoted prices in active markets that are observable either directly or indirectly.

Level 3: Unobservable inputs in which there is little or no market data, which require the reporting entity to

develop its own assumptions.

The Company’s financial instruments include cash, cash equivalents, short-term investments, prepaid expenses and other assets, accounts payable, accrued expenses, and accrued compensation. The carrying amounts of the Company’s current financial assets and liabilities are considered to be representative of their respective fair values because of the short-term nature of those instruments. The Company has short-term investments that are measured at fair value on a recurring basis. No transfers between levels have occurred during the periods presented (see Note 6).

Revenue Recognition

The Company generates revenue from certain grant awards or a research subaward (the “Grant Awards”) (see Note 5), which provides the Company with payments in return for certain research and development activities over a contractually defined period. Revenue from such Grant Awards is recognized in the period during which the related qualifying services are rendered and costs are incurred, provided that the applicable conditions under the Grant Awards have been met.

The Grant Awards are on a best-efforts basis and do not require scientific achievement as a performance obligation. The Grant Awards are non-refundable. The costs associated with the Grant Awards are expensed as incurred and reflected as a component of research and development expense in the accompanying consolidated statements of operations.

Funds received from the Grant Awards are recorded as revenue as the Company is the principal participant in the arrangement because the activities under the Grant Awards are part of the Company’s development programs. In those instances where the Company first receives consideration in advance of providing underlying services, the Company classifies such consideration as deferred revenue until (or as) the Company provides the underlying services. In those instances where the Company first provides the underlying services prior to its receipt of consideration, the Company records a grant receivable.

Stock-Based Compensation

Stock-based compensation expense represents the fair value of equity awards, on the grant date, recognized in the period using the Black-Scholes option pricing model. The Company recognizes expense for awards with graded vesting schedules over the requisite service period of the awards (usually the vesting period) on a straight-line basis. For equity awards for which vesting is subject to performance-based milestones, the expense is recorded over the remaining service period after the point when the achievement of the milestone is probable. The Company recognizes forfeitures for all awards as such forfeitures occur.

Income Taxes

The Company accounts for income taxes under the asset and liability method, which requires the recognition of deferred tax assets and liabilities for the expected future tax consequences of events that have been included in the consolidated financial statements. Under this method, deferred tax assets and liabilities are determined on the basis

F-11


 

of the differences between the financial statements and tax basis of assets and liabilities using enacted tax rates in effect for the year in which the differences are expected to reverse. The effect of a change in tax rates on deferred tax assets and liabilities is recognized in income in the period that includes the enactment date.

The Company recognizes net deferred tax assets to the extent that the Company believes these assets are more likely than not to be realized. In making such a determination, management considers all available positive and negative evidence, including future reversals of existing taxable temporary differences, projected future taxable income, tax-planning strategies, and results of recent operations. If management determines that the Company would be able to realize its deferred tax assets in the future in excess of their net recorded amount, management would make an adjustment to the deferred tax asset valuation allowance, which would reduce the provision for income taxes.

Segment Reporting

Operating segments are identified as components of an enterprise about which separate discrete financial information is available for evaluation by the chief operating decision-maker in making decisions regarding resource allocation and assessing performance. The Company views its operations and manages its business in one operating segment in the United States.

Net Loss Per Share

Basic net loss per share is computed by dividing the net loss by the weighted-average number of common shares outstanding for the period, without consideration for potentially dilutive securities and adjusted for the weighted-average number of common shares outstanding that are subject to repurchase. Diluted net loss per share is computed by dividing the net loss by the weighted-average number of shares of common stock and dilutive common stock equivalents outstanding for the period determined using the treasury-stock and if-converted methods. For all periods presented, there is no difference in the number of shares used to calculate basic and diluted shares outstanding as inclusion of the potentially dilutive securities would be antidilutive.

Potentially dilutive securities not included in the calculation of diluted net loss per share, because to do so would be anti-dilutive, are as follows (in common stock equivalent shares):

 

 

December 31,

 

 

 

2023

 

 

2022

 

Warrants to purchase common stock

 

 

170,521

 

 

 

170,521

 

Common stock options

 

 

548,073

 

 

 

425,785

 

Restricted stock units

 

 

18,557

 

 

 

50,454

 

 

 

 

737,151

 

 

 

646,760

 

 

Recently Adopted Accounting Pronouncements

In June 2016, the FASB issued ASU 2016-13, Financial Instruments – Credit Losses: Measurement of Credit Losses on Financial Statements (Topic 326), which intends to improve financial reporting by requiring earlier recognition of credit losses on certain financial assets, such as available-for-sale debt securities. Topic 326 amends guidance on reporting credit losses for assets held at amortized cost basis and available-for-sale debt securities. For assets held at amortized cost basis, Topic 326 eliminates the probable initial recognition threshold in current GAAP and, instead, requires an entity to reflect its current estimate of all expected credit losses. The allowance for credit losses is a valuation account that is deducted from the amortized cost basis of the financial assets to present the net amount expected to be collected. For available-for-sale debt securities, credit losses should be measured in a manner similar to current GAAP, however Topic 326 will require that credit losses be presented as an allowance rather than as a write-down. This ASU update affects entities holding financial assets and net investment in leases that are not accounted for at fair value through net loss. This update is effective for the Company and was adopted on January 1, 2023, which did not have a material impact on its consolidated financial statements.

 

Accounting Standards Not Yet Adopted

F-12


 

In November 2023, the FASB issued ASU 2023-07, Segment Reporting – Improvements to Reportable Segment Disclosures (Topic 280), which intends to improve financial reporting primarily through enhanced disclosures about significant segment expenses. Topic 280 includes amendments which a) introduce a new requirement to disclose significant segment expenses regularly provided to the chief operating decision maker (CODM), b) extend  certain annual disclosures to interim periods, c) clarify single reportable segment entities must apply ASC 280 in its entirety, d) permit more than one measure of segment profit or loss to be reported under certain conditions, and e) require disclosure of the title and position of the CODM. This update is effective for all public entities beginning after December 15, 2023. The Company is currently evaluating the impact of this guidance on its consolidated financial statements.

In December 2023, the FASB issued ASU 2023-09, Income Tax – Improvements to Income Tax Disclosures, which intends to improve financial reporting primarily through enhanced disclosures about significant segment expenses. The standard requires disaggregated information about a reporting entity’s effective tax rate reconciliation as well as information on income taxes paid. The standard is intended to benefit investors by providing more detailed income tax disclosures that would be useful in making capital allocation decisions. This update is effective for all public entities beginning after December 15, 2024. The Company is currently evaluating the impact of this guidance on its consolidated financial statements.

2.
Balance Sheet Details

Prepaid and other consist of the following (in thousands):

 

 

December 31,

 

 

December 31,

 

 

 

2023

 

 

2022

 

Research and development

 

$

312

 

 

$

 

Clinical trials

 

 

294

 

 

 

2,616

 

Insurance

 

 

478

 

 

 

669

 

Other prepaid expenses

 

 

88

 

 

 

103

 

Related party receivable (see Note 4)

 

 

139

 

 

 

 

Grant and other receivable

 

 

493

 

 

 

178

 

 

 

$

1,804

 

 

$

3,566

 

 

Accrued liabilities consist of the following (in thousands):

 

 

December 31,

 

 

December 31,

 

 

 

2023

 

 

2022

 

Research and development

 

$

146

 

 

$

972

 

Clinical trials

 

 

2,018

 

 

 

868

 

Legal fees

 

 

134

 

 

 

138

 

Compensation

 

 

1,579

 

 

 

2,691

 

Other

 

 

 

 

 

9

 

 

 

$

3,877

 

 

$

4,678

 

 

3.
Short-term Investments

The Company invests in available-for-sale marketable securities consisting of money market funds, commercial paper, certificates of deposit, U.S. Treasury securities and U.S. government sponsored enterprise securities.

Available-for-sale marketable securities with original maturities of more than three months from the date of purchase as of December 31, 2023 have been classified as short-term investments and are measured at a fair value on a recurring basis, and were as follows (in thousands):

F-13


 

 

 

 

 

 

 

 

 

 

 

 

 

 

 

 

 

 

Maturity (in years)

 

Amortized Cost

 

 

Gross Unrealized Gains

 

 

Gross Unrealized Losses

 

 

Fair Market Value

 

As of December 31, 2023

 

 

 

 

 

 

 

 

 

 

 

 

 

 

Short term investments:

 

 

 

 

 

 

 

 

 

 

 

 

 

 

U.S. Treasury debt securities

 

1 or less

 

$

23,840

 

 

$

4

 

 

$

 

 

$

23,844

 

Commercial Paper

 

1 or less

 

 

2,738

 

 

 

 

 

 

(1

)

 

 

2,737

 

U.S. Government Agency

 

1 or less

 

 

977

 

 

 

 

 

 

 

 

 

977

 

Total short-term investments

 

 

 

$

27,555

 

 

$

4

 

 

$

(1

)

 

$

27,558

 

 

 

 

 

 

 

 

 

 

 

 

 

 

 

 

 

Available-for-sale marketable securities with original maturities of more than three months from the date of purchase as of December 31, 2022 have been classified as short-term investments and are measured at a fair value on a recurring basis, and were as follows (in thousands):

 

 

 

 

 

 

 

 

 

 

 

 

 

 

 

 

 

 

Maturity (in years)

 

Amortized Cost

 

 

Gross Unrealized Gains

 

 

Gross Unrealized Losses

 

 

Fair Market Value

 

As of December 31, 2022

 

 

 

 

 

 

 

 

 

 

 

 

 

 

Short term investments:

 

 

 

 

 

 

 

 

 

 

 

 

 

 

U.S. Treasury debt securities

 

1 or less

 

$

21,681

 

 

$

7

 

 

$

 

 

$

21,688

 

Commercial Paper

 

1 or less

 

 

2,936

 

 

 

 

 

 

 

 

 

2,936

 

U.S. Government Agency

 

1 or less

 

 

1,956

 

 

 

2

 

 

 

 

 

 

1,958

 

Total short-term investments

 

 

 

$

26,573

 

 

$

9

 

 

$

 

 

$

26,582

 

 

 

 

 

 

 

 

 

 

 

 

 

 

 

 

 

The Company determined there were no other-than-temporary declines in the value of any available-for-sale securities as of December 31, 2023. All the Company’s available-for-sale marketable securities mature within one year. The Company has no allowance for credit losses as of December 31, 2023 and 2022. During the years ended December 31, 2023, and 2022, the Company recognized an unrealized loss of $6,000 and an unrealized gain of $9,000, respectively, in the accompanying consolidated statements of operations and comprehensive loss. Accrued interest receivable on available-for-sale securities was $15,000 and $116,000 at December 31, 2023 and 2022, respectively. We have not written off any accrued interest receivable in any of the periods presented in these consolidated financial statements.

4.
Commitments, Contingencies and Related Party Transactions

Lease

Rent expense was $0.2 million for the years ended December 31, 2023 and 2022. From May 2019 through April 2022, the Company leased office space in San Diego, California. In April 2022, the Company entered into a sublease agreement for office space in San Diego, California which expired in July 2023 (the “San Diego Lease”). In May 2023, the Company entered into a lease agreement for the same office space which expires on September 30, 2025. Base rent under such lease is approximately $145,000 annually and the monthly rent expense will be recognized on a straight-line basis over the effective term of the lease.

The San Diego Lease is included in the accompanying consolidated balance sheet at the present value of the lease payments. As the San Diego Lease does not have an implicit interest rate, the present value reflects a 10.0% discount rate which is the estimated rate of interest that the Company would have to pay in order to borrow an amount equal to the lease payments on a collateralized basis over a similar term and in a similar economic environment. As of December 31, 2023, the Company has recognized a net operating lease right-of-use asset and a lease liability of $0.3 million that matures in September 2025, which has a weighted average remaining lease term of 1.8 years. As of December 31, 2022, the Company’s lease had a weighted average remaining lease term of 0.6 years.

F-14


 

Maturity of lease liabilities

 

Operating
Leases

 

2024

 

$

196

 

2025

 

 

150

 

Total lease payments

 

 

346

 

Less imputed interest

 

 

(28

)

Total lease liability

 

 

318

 

Less current portion of lease liability

 

 

(173

)

Lease liability, long-term

 

$

145

 

Related Party Transactions

Effective in September 2019, the Company and Shanghai Pharmaceutical (USA) Inc. (“SPH USA”) entered into a Materials Supply and Services Agreement (“SPH USA Services Agreement”), pursuant to which the Company and SPH USA will execute various statements of work for the transfer to SPH USA of key reagents and other materials, and for the supply of certain services by the Company to SPH USA, as contemplated under and in furtherance of the License and Development Agreement between the Company and SPH USA effective as of November 2018. During 2023, the Company sold $0.5 million of materials to SPH USA which was recorded as an offset to ONCT-216 operating expenses. As of December 31, 2023 and 2022, the Company had amounts receivable of $0.1 million and none, respectively, from SPH USA related to license agreement. SPH USA is the Company’s largest stockholder and an affiliate of one of the Company’s directors.

5.
License, Collaboration, Grants, Research Subaward and CVR Agreements

University of Tennessee Research Foundation (“UTRF”)

In March 2015, and as amended and restated in March 2022 and August 2022, the Company and UTRF entered into a license agreement (the “DAARI License Agreement”) pursuant to which the Company was granted exclusive worldwide rights in all existing selective androgen receptor degrader technologies owned or controlled by UTRF, including all improvements thereto, which is now known as the dual action androgen receptor inhibitor, or DAARI program. Under the DAARI License Agreement, the Company is obligated to employ active, diligent efforts to conduct preclinical research and development activities for the DAARI program to advance one or more lead compounds into clinical development. The Company is also obligated to pay UTRF annual license maintenance fees, low single-digit royalties on net sales of products and additional royalties on sublicense revenues, depending on the state of development of a clinical product candidate at the time it is sublicensed. The Company recorded research and development expenses under this agreement of $0.2 million and $0.3 million for each of the years ended December 31, 2023 and 2022, respectively.

Agreements with the Regents of the University of California (the “Regents”)

In March 2016, and as amended and restated in August 2018, and as amended thereafter through January 2024, the Company entered into a license agreement (as amended and restated, the “Regents License Agreement”) for the development, manufacturing and distribution rights related to the development and commercialization of ROR1 related naked antibodies, antibody fragments or synthetic antibodies, and genetically engineered cellular therapy. The Regents License Agreement provides for the following: (i) in May 2016, an upfront license fee of $0.5 million was paid and 5,355 shares of common stock were issued, (ii) $25,000 in annual license maintenance fees commencing in 2017, (iii) reimbursement of certain annual patent costs, (iv) certain development and regulatory milestones aggregating from $20.1 million to $24.5 million, on a per product basis, (v) certain worldwide sales milestones based on achievement of tiered revenue levels aggregating $75.0 million, (vi) low single-digit royalties, including potential future minimum annual royalties, on net sales of each target, and (vii) minimum diligence to advance licensed assets consisting of at least $1.0 million in development spend annually through 2021. Under the Regents License Agreement, the Company recorded: (i) $25,000 in license maintenance fees as research and development expense for each of the years ended December 31, 2023 and 2022, and (ii) approximately $0.1 million in patent costs as general and administrative expense for each of the years ended December 31, 2023 and 2022.

F-15


 

The Regents License Agreement will expire upon the later of the expiration date of the longest-lived patent rights or the 15th anniversary of the first commercial sale of a licensed product. The Regents may terminate the Regents License Agreement if: (i) a material breach by the Company is not cured within a reasonable time, (ii) the Company files a claim asserting the Regents licensed patent rights are invalid or unenforceable and (iii) the Company files for bankruptcy. The Company may terminate the agreement at any time upon at least 60 days’ written notice.

Effective January 1, 2022, the Company entered into a Research Agreement (the “Research Agreement”) with the Regents for further research on a ROR1 therapeutic development program. Under this four-year agreement that expires on December 31, 2025, the Regents will receive payments aggregating $1.6 million, with quarterly payments of $125,000 in 2022, $131,250 in 2023, and $137,813 in 2024 and 2025. The Company recorded $0.5 million in research and development expense under this agreement in each of the years ended December 31, 2023 and 2022.

The California Institute for Regenerative Medicine (“CIRM”) Award

In August 2017, and as amended and restated in December 2020, CIRM awarded an $18.3 million grant to researchers at UC San Diego to advance the Company’s Phase 1/2 clinical trial evaluating zilovertamab in combination with ibrutinib for the treatment of patients with B-cell lymphoid malignancies, including MCL and CLL. This study is known as CIRM-0001, or Cirmtuzumab and Ibrutinib for Relapsed Lymphoma or Leukemia (the “CIRLL study”). The Company: (i) conducted this study in collaboration with UC San Diego, (ii) received $14.5 million in development milestones under research subaward agreements during the award project period from October 1, 2017 through March 31, 2022, (iii) was committed to and met certain co-funding requirements, and (iv) was required to provide UC San Diego progress and financial update reports throughout the award period. The subaward does not bear a royalty payment commitment, nor is the subaward otherwise refundable. As of December 31, 2023, the Company believes it has met its obligations under the CIRM award and UC San Diego subawards.

The National Institutes of Health (“NIH”) Grant Awards

The NIH has awarded the Company three research and development grants for up to $4.0 million to support preclinical activities for the Company’s ONCT-534 and ONCT-216 programs, including $1.0 million payable to subawardees. Under the terms of the grant awards, the Company is entitled to receive reimbursement in arrears of incurring allowable expenditures. The earned NIH funds are non-refundable and the Company is required to provide periodic progress performance reports. During the years ended December 31, 2023 and 2022, the Company received $0.4 million and $1.2 million, respectively, in award payments from the NIH. During the years ended December 31, 2023 and 2022, the Company recorded $0.8 million and $1.1 million, respectively, in NIH grant revenue and had $0.5 million and $0.1 million in unbilled receivables as of December 31, 2023 and 2022, respectively, which has been included in prepaid and other assets.

SPH USA, a Related Party

License and Development Agreement (“LDA”)

In November 2018, and as amended in August 2020, the Company entered into the LDA with SPH USA for: (i) the territory of the People’s Republic of China, Hong Kong, Macau, and Taiwan (“Greater China”), and (ii) rights to manufacture, develop, market, distribute and sell all of the Company’s product candidates under the Georgetown License Agreement and the Regents License Agreement (exclusive to Greater China only). Under the LDA, SPH USA is solely responsible for: (a) all preclinical and clinical development activities required in order to obtain regulatory approval in Greater China for such product candidates, (b) any third-party license milestone or royalty payments owed under the Georgetown License Agreement and the Regents License Agreement, and (c) paying the Company a low single digit royalty on net sales in the territory.

The LDA will expire upon the expiration of the last royalty term for the last licensed product. The LDA may be terminated by: (i) SPH USA on a country/region-by-country/region or product by product basis with 180 days written notice, (ii) either party upon material breach that is not cured within 90 days, and (iii) either party in the event the other party declares insolvency or bankruptcy. There has been no significant activity under this agreement for the years ended December 31, 2023 and 2022. See Note 4.

F-16


 

Contingent Value Rights Agreement (“CVR Agreement”)

Pursuant to the GTx merger agreement entered into in June 2019 (the “Merger”), the Company, a representative of holders of the CVRs, and Computershare, Inc. as rights agent entered into the CVR Agreement. Pursuant to the CVR Agreement, the Company’s stockholders of record as of immediately prior to the Merger received one CVR for each share of the Company’s common stock held immediately prior to the Merger.

As amended on November 1, 2021, the CVR Agreement entitles holders of CVRs to receive: (i) 50% of certain net proceeds received by the Company during the 15-year period after the closing of the Merger (the “CVR Term”) from a transaction, if any, resulting in the grant, sale, or transfer of DAARI technology to a third party that occurs during the 10-year period after the closing of the Merger (or in the 11th year if based on a term sheet approved during the initial 10-year period); and (ii) 5% of net sales of products by Parent or its affiliates during the CVR Term incorporating the DAARI technology. As of December 31, 2023, no transactions or net sales relating to the DAARI technology had occurred.

6.
Fair Value

As of December 31, 2023 and December 31, 2022, the following fair value hierarchy tables presents the Company’s financial assets measured at fair value on a recurring basis (in thousands):

 

 

Total

 

 

Quoted Prices in Active Markets for Identical Assets (Level 1)

 

 

Significant Other Observable Inputs (Level 2)

 

 

Significant Unobservable Inputs (Level 3)

 

As of December 31, 2023

 

 

 

 

 

 

 

 

 

 

 

 

Short term investments:

 

 

 

 

 

 

 

 

 

 

 

 

U.S. Treasury debt securities

 

$

23,844

 

 

$

10,912

 

 

$

12,932

 

 

$

 

Commercial Paper

 

 

2,737

 

 

 

 

 

 

2,737

 

 

 

 

U.S. Government Agency

 

 

977

 

 

 

 

 

 

977

 

 

 

 

Total short-term investments

 

$

27,558

 

 

$

10,912

 

 

$

16,646

 

 

$

 

 

 

 

 

 

 

 

 

 

 

 

 

 

 

 

 

Total

 

 

Quoted Prices in Active Markets for Identical Assets (Level 1)

 

 

Significant Other Observable Inputs (Level 2)

 

 

Significant Unobservable Inputs (Level 3)

 

As of December 31, 2022

 

 

 

 

 

 

 

 

 

 

 

 

Short term investments:

 

 

 

 

 

 

 

 

 

 

 

 

U.S. Treasury debt securities

 

$

21,688

 

 

$

21,688

 

 

$

 

 

$

 

Commercial Paper

 

 

2,936

 

 

 

 

 

 

2,936

 

 

 

 

U.S. Government Agency

 

 

1,958

 

 

 

 

 

 

1,958

 

 

 

 

Total short-term investments

 

$

26,582

 

 

$

21,688

 

 

$

4,894

 

 

$

 

 

 

 

 

 

 

 

 

 

 

 

 

 

Valuation of short-term investments

The Company classifies its money market funds, treasury notes and treasury bills as Level 1 assets under the fair value hierarchy, as these assets have been valued using quoted market prices for identical assets in active markets without any valuation adjustment. The Company classifies its commercial paper and U.S. government sponsored enterprise securities as Level 2 assets under the fair value hierarchy, as these assets have been valued using information obtained through a third-party pricing service at each balance sheet date, using observable market inputs that may include trade information, broker or dealer quotes, bids, offers, or a combination of these data sources. The Company does not hold any short-term investments classified as Level 3, which are securities valued using unobservable inputs.

The Company’s policy is to recognize transfers between levels of the fair value hierarchy on the date of the event or change in circumstances that caused the transfer. The Company did not transfer any investment securities between the classification levels during the years ended December 31, 2023 and 2022.

F-17


 

7.
Stockholders’ Equity

ATM Program

In December 2021, the Company entered into an Open Market Sale AgreementSM (the “Sales Agreement”) with Jefferies LLC, pursuant to which the Company is able to offer and sell, from time to time in its sole discretion, shares of its common stock having an aggregate offering price of up to $50.0 million. The Company has no obligation to sell any shares under the Sales Agreement and may at any time suspend solicitation and offers under the Sales Agreement. During the years ended December 31, 2023 and 2022, the Company sold 55,274 and 402,068 shares of common stock for net proceeds of $1.2 million and $9.6 million, respectively.

Common Stock Warrants

A summary of warrant activity and changes in warrants outstanding is presented below:

 

 

Number of
Shares Underlying Warrants

 

 

Weighted-Average
Exercise Price per Share

 

 

Weighted-Average Remaining Contractual Term

 

Balance Outstanding - December 31, 2021

 

 

211,746

 

 

$

210.00

 

 

 

3.31

 

Expired

 

 

(41,225

)

 

 

772.80

 

 

 

 

Balance Outstanding - December 31, 2022

 

 

170,521

 

 

 

74.00

 

 

 

2.94

 

Issued / Exercised / Forfeited / Expired

 

 

 

 

 

 

 

 

 

Balance Outstanding - December 31, 2023

 

 

170,521

 

 

$

74.00

 

 

 

1.94

 

 

As of December 31, 2023 and 2022, all warrants met the criteria for classification in stockholders’ equity.

Equity Incentive Plans

Contemporaneous with the Merger closing: (i) Oncternal’s 2015 Equity Incentive Plan, as amended (“2015 Plan”) was assumed by the Company, and (ii) the Company adopted the 2019 Incentive Award Plan (“2019 Plan”) under which the sum of: (a) 97,708 shares of common stock, and (b) an annual increase on the first day of each calendar year beginning January 1, 2020, and ending on and including January 1, 2029, equal to the lesser of (A) 5% of the aggregate number of shares of common stock outstanding on the final day of the immediately preceding calendar year and (B) such smaller number of shares of common stock as is determined by the Board, are reserved for issuance.

In July 2015, Oncternal adopted the 2015 Plan which provided for the issuance of shares of common stock for incentive stock options, non-statutory stock options, restricted stock awards, restricted stock unit awards and other stock awards to its employees, members of its board of directors and consultants. In general, the options issued under the 2015 Plan expire ten years from the date of grant and vest over a four-year period. Certain grants vest based on the achievement of development or regulatory milestones. The 2015 Plan was terminated as to new grant awards in June 2019.

The 2019 Plan provides for the issuance of shares of common stock for incentive stock options, non-statutory stock options, restricted stock awards, restricted stock unit awards and other stock awards to its employees, members of its board of directors and consultants. In general, the stock options issued under the 2019 Plan expire ten years from the date of grant and vest over a four-year period. Certain stock option grants vest based on the achievement of development or regulatory milestones. The 2019 Plan allows for the early exercise of all stock option grants if authorized by the board of directors at the time of grant.

F-18


 

In February 2021, the Company’s board of directors adopted the 2021 Employment Inducement Incentive Award Plan (the “Inducement Plan”). The Inducement Plan is a non-shareholder approved stock plan adopted pursuant to the “inducement exception” provided under Nasdaq listing rules. The Inducement Plan is used exclusively for the issuance of non-statutory stock options to certain new hires who satisfy the requirements to be granted inducement grants under Nasdaq rules as an inducement material to the individual’s entry into employment with the Company. The terms of the Inducement Plan are substantially similar to the terms of the 2019 Plan. As amended in May 2021 and December 2021, the Company has reserved 140,000 shares for the issuance of common stock under the Inducement Plan.

A summary of the Company’s stock option activity under the 2015 Plan, 2019 Plan and Inducement Plan is as follows:

 

 

Number of
Options

 

 

Weighted-
Average
Exercise
Price

 

 

Weighted-
Average
Remaining
Contractual
Term
(in years)

 

 

Aggregate
Intrinsic
Value

 

Outstanding at December 31, 2022

 

 

425,766

 

 

$

83.25

 

 

 

 

 

 

 

Granted

 

 

173,794

 

 

$

16.49

 

 

 

 

 

 

 

Cancelled

 

 

(51,487

)

 

$

69.09

 

 

 

 

 

 

 

Outstanding at December 31, 2023

 

 

548,073

 

 

$

56.51

 

 

 

7.4

 

 

$

155,648

 

Options vested and expected to vest at December 31, 2023

 

 

548,073

 

 

$

56.51

 

 

 

7.4

 

 

$

155,648

 

Vested and exercisable at December 31, 2023

 

 

279,184

 

 

$

74.09

 

 

 

7.1

 

 

$

68,418

 

 

The weighted average grant date fair value per share of option grants for the years ended December 31, 2023 and 2022 was $13.33 and $25.81 per share, respectively. The intrinsic value is calculated as the difference between the fair value of the Company’s common stock at December 31, 2023 of the option exercise and the exercise price of that stock option. There were no stock options exercised during the years ended December 31, 2023 and 2022.

In October 2023, the Company repriced certain stock options held by employees and consultants. The repricing action was taken by the Company's board of directors to align the stock options with current market conditions and to retain key employees. The board of directors determined that the original exercise prices of the stock options were no longer reflective of the current market value of the Company's common stock.

As a result of the repricing, the exercise prices of the stock options were adjusted to reflect the fair value of the Company's common stock as of October 2, 2023. The vesting schedules and other terms of the stock options were unchanged. The repricing was implemented through an amendment to the existing stock option agreements, which was approved by the board of directors. The repriced stock options are subject to terms such that any exercises prior to a premium end date shall use the original exercise price prior to the repricing amendment.

The fair value of the repriced stock options was determined using the Black-Scholes option-pricing model. The incremental fair value of vested stock options resulted in a one-time charge to stock-based compensation expense of $0.4 million. The incremental fair value of unvested options of $0.4 million will be recognized over the remaining vesting period of the stock options.

F-19


 

Restricted Stock Unit Awards

Restricted stock unit awards (“RSUs”) are rights to receive shares of the Company’s common stock upon satisfaction of specific vesting conditions. The Company began issuing RSUs in the first quarter of 2022. The RSUs generally vest over an 18 month to two-year period. RSUs activity under the 2019 Plan is summarized as follows:

 

 

 

 

 

 

 

 

 

 

 

 

Number of Restricted Stock Units

 

 

Weighted-Average Remaining Contractual Term (in years)

 

 

Weighted-Average Grant Date Fair Value

 

Nonvested at December 31, 2022

 

 

50,438

 

 

 

 

 

$

32.80

 

Granted

 

 

 

 

 

 

 

 

 

Vested

 

 

(30,537

)

 

 

 

 

$

35.56

 

Forfeited/ Repurchased

 

 

(1,344

)

 

 

 

 

$

32.16

 

Nonvested at December 31, 2023

 

 

18,557

 

 

 

0.1

 

 

$

28.32

 

Units expected to vest as of December 31, 2023

 

 

18,557

 

 

 

0.1

 

 

$

28.32

 

The weighted average grant date fair value per share of RSU grants for the years ended December 31, 2023 and 2022 was none and $33.01 per share, respectively. The total fair value of shares vested during the year ended December 31, 2023 was $0.4 million. The total fair value of shares vested during the year ended December 31, 2022 was nominal.

Stock-Based Compensation Expense

The weighted-average assumptions used in the Black-Scholes option pricing model to determine the fair value of stock option grants were as follows:

 

 

 

Years Ended
December 31,

 

 

 

2023

 

 

2022

 

Risk-free interest rate

 

 

4.1

%

 

 

2.2

%

Expected volatility

 

 

100.6

%

 

 

100.5

%

Expected term (in years)

 

 

6.0

 

 

 

6.1

 

Expected dividend yield

 

 

%

 

 

%

 

Expected volatility. The expected volatility assumption is based on a blend of volatilities of the Company’s share price and a peer group of similar companies whose share prices are publicly available. The volatility of the Company’s shares price was measured using the closing share price beginning June 10, 2019, the date of the closing of the Merger, through the current period. The peer group was developed based on companies in the life sciences industry with comparable characteristics to the Company including enterprise value, risk profiles, position within the industry, and with historical share price information sufficient to meet the expected life of the stock-based awards. The Company will continue to apply this process until a sufficient amount of historical information regarding the volatility of its own stock price becomes available.

Expected term. The expected term represents the period of time that options are expected to be outstanding. Due to limited historical exercise behavior, it determined the expected life assumption using the simplified method for employees, which is an average of the contractual term of the option and its vesting period. The expected term for nonemployee options is generally the remaining contractual term.

Risk-free interest rate. The risk-free interest rate is based on the implied yield on the U.S. Treasury securities with a maturity date similar to the expected term of the associated stock option award.

Expected dividend yield. The Company bases the expected dividend yield assumption on the fact that it has never paid cash dividends and has no present intention to pay cash dividends and, therefore, used an expected dividend yield of zero.

F-20


 

RSUs represent rights to receive shares of common stock contingent upon satisfaction of specific vesting conditions. The stock-based compensation expense for these awards was determined using the closing price on the grant date applied to the total number of shares that were anticipated to fully vest.

Stock-based compensation expense recognized for all equity awards has been reported in the statements of operations as follows (in thousands):

 

 

Years Ended
December 31,

 

 

 

2023

 

 

2022

 

Research and development

 

$

4,064

 

 

$

4,055

 

General and administrative

 

 

3,436

 

 

 

3,376

 

 

$

7,500

 

 

$

7,431

 

 

As of December 31, 2023, the unrecognized compensation cost related to non-vested stock options was $7.7 million, which is expected to be recognized over a weighted-average period of 1.9 years.

As of December 31, 2023, the unrecognized compensation cost related to non-vested restricted stock units was nominal, which is expected to be recognized in the first quarter of 2024.

Common Stock Reserved for Future Issuance

Common stock reserved for future issuance is as follows:

 

 

December 31,

 

 

 

2023

 

 

2022

 

Common stock warrants

 

 

170,521

 

 

 

170,521

 

Common stock options outstanding

 

 

548,073

 

 

 

425,785

 

Restricted stock unit awards unvested and outstanding

 

 

18,557

 

 

 

50,454

 

Common stock available for issuance under Inducement Plan and 2019 Plan

 

 

94,909

 

 

 

61,500

 

 

 

 

832,060

 

 

 

708,260

 

 

8.
Income Taxes

A reconciliation of the Company’s effective tax rate and federal statutory tax rate is as follows (in thousands):

 

 

Years Ended
December 31,

 

 

 

2023

 

 

2022

 

Federal income taxes

 

$

(8,290

)

 

$

(9,276

)

State income taxes, net of federal benefit

 

 

(58

)

 

 

(2,820

)

Permanent items

 

 

8

 

 

 

3

 

Stock based compensation

 

 

1,172

 

 

 

831

 

Research and development credit carryforwards

 

 

(2,910

)

 

 

(4,747

)

State rate change

 

 

1,222

 

 

 

 

Other, net

 

 

196

 

 

 

(48

)

Change in valuation allowance

 

 

8,660

 

 

 

16,057

 

Provision for income taxes

 

$

 

 

$

 

F-21


 

Significant components of the Company’s net deferred tax assets are as follows (in thousands):

 

 

December 31,

 

 

 

2023

 

 

2022

 

Deferred tax assets:

 

 

 

 

 

 

Net operating loss carryforwards

 

$

29,997

 

 

$

27,889

 

Research and development credit carryforwards

 

 

10,958

 

 

 

7,804

 

Accrued expenses

 

 

676

 

 

 

860

 

Capitalized research and development costs

 

 

22,501

 

 

 

19,153

 

Stock based compensation

 

 

2,406

 

 

 

2,188

 

Other, net

 

 

90

 

 

 

29

 

Total deferred tax assets

 

 

66,628

 

 

 

57,923

 

Valuation allowance

 

 

(66,561

)

 

 

(57,899

)

Deferred tax assets, net

 

 

67

 

 

 

24

 

Deferred tax liabilities:

 

 

 

 

 

 

Right of use asset

 

 

(67

)

 

 

(24

)

Total deferred tax liabilities

 

 

(67

)

 

 

(24

)

Net deferred tax assets

 

$

 

 

$

 

 

As of December 31, 2023 and 2022, management assessed the realizability of deferred tax assets and evaluated the need for a valuation allowance for deferred tax assets on a jurisdictional basis. This evaluation utilizes the framework contained in ASC 740, Income Taxes, wherein management analyzes all positive and negative evidence available at the balance sheet date to determine whether all or some portion of the Company's deferred tax assets will not be realized. Under this guidance, a valuation allowance must be established for deferred tax assets when it is more-likely-than-not that the asset will not be realized. In assessing the realization of the Company's deferred tax assets, management considers all available evidence, both positive and negative.

In concluding on the evaluation, management placed significant emphasis on guidance in ASC 740, which states that “a cumulative loss in recent years is a significant piece of negative evidence that is difficult to overcome.” Based upon available evidence, it was concluded on a more-likely-than-not basis that all deferred tax assets were not realizable as of December 31, 2023. Accordingly, a valuation allowance of $66.6 million has been recorded to offset this deferred tax asset. The valuation allowance increased by $8.7 million and $16.1 million for the years ended December 31, 2023 and 2022, respectively.

At December 31, 2023, the Company had federal and state net operating loss (NOL) carryforwards of approximately $119.5 million and $70.4 million, respectively. Of the federal and state net operating losses at December 31, 2023, $93.2 million and none, respectively, do not expire, and the remaining federal and state net operating loss carryforwards will begin expiring in 2033 and 2029, respectively, unless previously utilized. At December 31, 2023, the Company also had federal and state research and development credit carryforwards of approximately $4.3 million and $2.9 million, respectively. The federal research and development credit carryforwards will begin expiring in 2034 unless previously utilized. The state research and development credits do not expire.

Utilization of the net operating losses and credits may be subject to substantial annual limitations due to federal and state ownership change limitations provided by the Internal Revenue Code Section 382 and 383 and similar state provisions. Such annual limitations could result in the expiration of the net operating losses and credits before their utilization. The Company has not performed a Section 382 analysis to determine whether ownership changes will impact the use of net operating loss carryforwards and credits carryforwards and limit their ability to offset future taxable income. For financial statement purposes, the Company has included the federal and state net operating losses and credits in the schedule of deferred tax assets offset with a full valuation allowance. If eliminated, the related asset would be removed from the deferred tax asset schedule with a corresponding reduction in the valuation allowance. Due to the existence of the valuation allowance, limitations created by historical ownership changes will not impact the Company’s effective tax rate in the future.

The Company recognizes a tax benefit from an uncertain tax position when it is more likely than not that the position will be sustained upon examination, including resolutions of any related appeals or litigation processes, based on the technical merits. Income tax positions must meet a more likely than not recognition at the effective date

F-22


 

to be recognized. At December 31, 2023 and 2022, there were no unrecognized tax benefits recorded in the consolidated financial statements. The Company does not expect any material changes to unrecognized tax benefits within the next twelve months.

The Company is subject to taxation in the United States federal and state jurisdictions. The Company’s 2014 through 2023 federal income tax and state income tax returns are subject to examination by federal and state tax authorities due to the carryforward of unutilized net operating losses and research and development credits. The Company is not currently under examination by any tax authority.

The Company’s policy is to recognize interest and penalties related to income tax matters in income tax expense. The Company has not recognized interest or penalties in its consolidated statements of operations since inception.

F-23


 

Item 9. Changes in and Disagreements with Accountants on Accounting and Financial Disclosure.

None.

Item 9A. Controls and Procedures.

Disclosure Controls and Procedures

We maintain disclosure controls and procedures (as defined in Rules 13a-15(e) and 15d-15(e) of the Securities Exchange Act of 1934, as amended (the "Exchange Act")) that are designed to ensure that information required to be disclosed in the reports that we file or submit under the Exchange Act is recorded, processed, summarized, and reported within the time periods specified in the SEC's rules and forms and that such information is accumulated and communicated to our management, including our principal executive officer and principal financial officer, as appropriate, to allow for timely decisions regarding required disclosures.

We have carried out an evaluation, under the supervision and with the participation of our management, including our principal executive officer and principal financial officer, of the effectiveness of the design and operation of our disclosure controls and procedures (as defined in Rules 13a-15(e) and 15d-15(e) under the Exchange Act) as of December 31, 2023, the end of the period covered by this Annual Report. Based on the evaluation of these disclosure controls and procedures, our principal executive officer and principal financial officer have concluded that our disclosure controls and procedures were effective as of December 31, 2023.

Management's Report on Internal Control Over Financial Reporting

We, as management of Oncternal Therapeutics, Inc., are responsible for establishing and maintaining adequate internal control over financial reporting, as such term is defined in Securities Exchange Act Rule 13a-15(f). Internal control over financial reporting is a process designed to provide reasonable assurance regarding the reliability of financial reporting and the preparation of financial statements for external purposes in accordance with United States generally accepted accounting principles. Any system of internal control, no matter how well designed, has inherent limitations, including the possibility that a control can be circumvented or overridden and misstatements due to error or fraud may occur and not be detected. Also, because of changes in conditions, internal control effectiveness may vary over time. Accordingly, even an effective system of internal control will provide only reasonable assurance that the objectives of the internal control system are met.

Under the supervision and with the participation of management, including our principal executive officer and principal financial officer, we conducted an evaluation of the effectiveness of our internal control over financial reporting as of December 31, 2023 using the criteria for effective internal control over financial reporting as described in "Internal Control — Integrated Framework," issued by the Committee of Sponsoring Organizations of the Treadway Commission (2013 framework). Based on this evaluation, we concluded that, as of December 31, 2023, our internal control over financial reporting was effective.

Changes in Internal Control Over Financial Reporting

There were no changes in our internal control over financial reporting during the fourth quarter of 2023 that have materially affected, or are reasonably likely to materially affect, our internal control over financial reporting.

 

Item 9B. Other Information.

Rule 10b5-1 Trading Arrangements

From time to time, our officers (as defined in Rule 16a–1(f) of the Exchange Act) and directors may enter into Rule 10b5-1 or non-Rule 10b5-1 trading arrangements (as each such term is defined in Item 408 of Regulation S-K). During the three months ended December 31, 2023, none of our officers or directors adopted, modified or terminated any such trading arrangements.

Restated Charter

On March 4, 2024, the Company filed a restated certificate of incorporation (the “Restated Charter”) that integrated into one document the Company’s restated certificate of incorporation, as amended and supplemented to date. The Restated Charter only restated and integrated, and did not further amend, the provisions of the Company’s restated certificate of incorporation. The filing of the Restated Charter was authorized by the Board in accordance with Section 245 of the Delaware General Corporation Law.

Item 9C. Disclosure Regarding Foreign Jurisdictions that Prevent Inspections.

Not applicable.

92


 

PART III

Item 10. Directors, Executive Officers and Corporate Governance.

Information required by this item will be contained in our definitive Proxy Statement to be filed with the Securities and Exchange Commission on Schedule 14A in connection with our 2024 Annual Meeting of Stockholders or the Proxy Statement, which is expected to be filed not later than 120 days after the end of our fiscal year ended December 31, 2023, under the headings “Executive Officers,” “Election of Directors,” “Information Regarding the Board of Directors and Corporate Governance,” and “Delinquent Section 16(a) Reports,” and is incorporated herein by reference.

Item 11. Executive Compensation.

The information required by this item regarding executive compensation is incorporated by reference to the information set forth in the sections titled “Executive Compensation” in our Proxy Statement.

Item 12. Security Ownership of Certain Beneficial Owners and Management and Related Stockholder Matters.

The information required by this item regarding security ownership of certain beneficial owners and management is incorporated by reference to the information set forth in the section titled “Security Ownership of Certain Beneficial Owners and Management” in our Proxy Statement.

The information required by Item 201(d) of Regulation S-K is incorporated by reference to the information set forth in the section titled “Executive Compensation” in our Proxy Statement.

The information required by this item regarding certain relationships and related transactions and director independence is incorporated by reference to the information set forth in the sections titled “Transactions with Related Parties” and “Election of Directors – Independence of the Board of Directors,” respectively, in our Proxy Statement.

Item 14. Principal Accountant Fees and Services.

The information required by this item regarding principal accountant fees and services is incorporated by reference to the information set forth in the section titled “Principal Accountant Fees and Services” in our Proxy Statement.

93


 

PART IV

Item 15. Exhibits and Financial Statement Schedules.

(a) Documents filed as part of this report.

1. Financial Statements

The consolidated financial statements of Oncternal Therapeutics, Inc. listed below are set forth in Item 8 of this Annual Report for the year ended December 31, 2023:

 

Report of Independent Registered Public Accounting Firm (BDO USA, P.C.; San Diego, California; PCAOB ID#243)

F-1

Consolidated Balance Sheets

F-3

Consolidated Statements of Operations and Comprehensive Loss

F-4

Consolidated Statements of Cash Flows

F-5

Consolidated Statements of Stockholders’ Equity

F-6

Consolidated Notes to Financial Statements

F-7

 

2. Financial Statement Schedules

These schedules have been omitted because the required information is included in the financial statements or notes thereto or because they are not applicable or not required.

3. Exhibits

A list of exhibits is set forth on the Exhibit Index immediately preceding the signature page of this Annual Report and is incorporated herein by reference.

ITEM 16. FORM 10-K SUMMARY

None.

 

94


 

 

Exhibit

 

 

 

Incorporation by Reference

 

Number

 

Exhibit Description

 

Form

 

File no.

 

Exhibit No.

 

Filing

Date

 

 3.1*

 

Restated Certificate of Incorporation of the Registrant dated March 4, 2024

 

 

 

 

 

 

 

 

 

 

 

 

 

 

 

 

 

 

 

 

 

 3.2

 

Amended and Restated Bylaws of the Registrant

 

8-K

 

000-50549

 

3.3

 

10-Jun-19

 

 

 

 

 

 

 

 

 

 

 

 

 

 4.1

 

Form of Common Stock Warrant, issued by Registrant pursuant to the Securities Purchase Agreement dated May 19, 2020, between the Registrant and the purchasers signatory thereto (“May 2020 Purchase Agreement”)

 

8-K

 

000-50549

 

4.1

 

21-May-20

 

 

 

 

 

 

 

 

 

 

 

 

 

 4.2

 

Form of Placement Agent Warrant, issued by Registrant pursuant to the May 2020 Purchase Agreement

 

8-K

 

000-50549

 

4.2

 

21-May-20

 

 

 

 

 

 

 

 

 

 

 

 

 

 4.3

 

Form of Common Stock Warrant, issued by Registrant pursuant to the Securities Purchase Agreement dated July 17, 2020, between the Registrant and the purchasers signatory thereto (the “July 2020 Purchase Agreement”)

 

8-K

 

000-50549

 

4.1

 

21-Jul-20

 

 

 

 

 

 

 

 

 

 

 

 

 

 4.4

 

Form of Placement Agent Warrant, issued by Registrant pursuant to the July 2020 Purchase Agreement

 

8-K

 

000-50549

 

4.2

 

21-Jul-20

 

 

 

 

 

 

 

 

 

 

 

 

 

 4.5

 

Form of Underwriter Warrant, issued by Registrant pursuant to the Amended and Restated Underwriting Agreement dated August 27, 2020, between the Registrant and H.C. Wainwright & Co., LLC (“H.C. Wainwright”)

 

8-K

 

000-50549

 

4.1

 

31-Aug-20

 

 

 

 

 

 

 

 

 

 

 

 

 

 4.6

 

Form of Underwriter Warrant, issued by Registrant pursuant to the Amended and Restated Underwriting Agreement dated November 17, 2020, between the Registrant and H.C. Wainwright

 

8-K

 

000-50549

 

4.1

 

19-Nov-20

 

 

 

 

 

 

 

 

 

 

 

 

 

 4.7

 

Form of Underwriter Warrant, issued by Registrant pursuant to the Amended and Restated Underwriting Agreement dated December 9, 2020, between the Registrant and H.C. Wainwright

 

8-K

 

000-50549

 

4.1

 

11-Dec-20

 

 

 

 

 

 

 

 

 

 

 

 

 

 4.8*

 

Description of Securities of the Registrant

 

 

 

 

 

 

 

 

 

 

 

 

 

 

 

 

 

 

 

 

 

 10.1

 

Contingent Value Rights Agreement (“CVR Agreement”) dated June 7, 2019, between the Registrant, Marc S. Hanover, as the Holders’ Representative (“Holders’ Representative”), and Computershare Investor Services, as Rights Agent (“Rights Agent”)

 

8-K

 

000-50549

 

10.1

 

10-Jun-19

 

 

 

 

 

 

 

 

 

 

 

 

 

 10.1A

 

First Amendment to CVR Agreement dated November 1, 2021, between the Registrant, Holders’ Representative, and Rights Agent

 

10-Q

 

000-50549

 

10.1

 

4-Nov-21

 

 

 

 

 

 

 

 

 

 

 

 

 

 10.2†

 

Exclusive License Agreement between Georgetown University and the Registrant dated March 26, 2014 (the “Georgetown License Agreement”)

 

S-4

 

333-230758

 

10.47

 

8-Apr-19

 

 

 

 

 

 

 

 

 

 

 

 

 

 10.2A

 

Amendment to the Georgetown License Agreement dated March 17, 2016

 

S-4

 

333-230758

 

10.48

 

8-Apr-19

 

 

 

 

 

 

 

 

 

 

 

 

 

95


 

 10.3†

 

License Agreement between Oncternal Therapeutics, Inc. and Velos Biopharma Holdings, LLC dated February 6, 2018

 

S-4

 

333-230758

 

10.54

 

8-Apr-19

 

 

 

 

 

 

 

 

 

 

 

 

 

 10.4†

 

Amended and Restated License Agreement between Oncternal Therapeutics, Inc. and UC San Diego dated August 31, 2018 (the “UCSD License Agreement”)

 

S-4

 

333-230758

 

10.55

 

8-Apr-19

 

 

 

 

 

 

 

 

 

 

 

 

 

 10.4A†

 

Amendment #1 to the UCSD License Agreement Amended dated March 25, 2019

 

S-4

 

333-230758

 

10.56

 

8-Apr-19

 

 

 

 

 

 

 

 

 

 

 

 

 

 10.4B†

 

Amendment #2 to the UCSD License Agreement dated May 15, 2019

 

10-K

 

000-50549

 

10.13

 

16-Mar-20

 

 

 

 

 

 

 

 

 

 

 

 

 

 10.4C†

 

Amendment #3 to the UCSD License Agreement dated February 5, 2021

 

10-K

 

000-50549

 

10.14

 

11-Mar-21

 

 

 

 

 

 

 

 

 

 

 

 

 

10.4D

 

Amendment #4 to the UCSD License Agreement dated January 22, 2024

 

8-K

 

000-50549

 

10.1

 

23-Jan-24

 

 

 

 

 

 

 

 

 

 

 

 

 

 10.5†

 

Amended and Restated License Agreement between the University of Tennessee Research Foundation and the Registrant dated March 9, 2022 (the “UTRF License Agreement”)

 

10-Q

 

000-50549

 

10.1

 

3-Nov-22

 

 

 

 

 

 

 

 

 

 

 

 

 

10.5A†

 

First Amendment to the UTRF License Agreement dated August 22, 2022

 

10-Q

 

005-50549

 

10.1

 

3-Nov-22

 

 

 

 

 

 

 

 

 

 

 

 

 

10.5B†*

 

Second Amendment to the UTRF License Agreement dated March 4, 2024

 

 

 

 

 

 

 

 

 

 

 

 

 

 

 

 

 

 

 

 

 

 10.6#

 

Employment Agreement dated September 5, 2019 between the Registrant and Gunnar F. Kaufmann, Ph.D.

 

10-Q

 

000-50549

 

10.2

 

8-Nov-19

 

 

 

 

 

 

 

 

 

 

 

 

 

10.6A#

 

Letter agreement with Gunnar Kaufmann, Ph.D. dated March 31, 2023

 

10-Q

 

000-50549

 

10.3

 

4-May-23

 

 

 

 

 

 

 

 

 

 

 

 

 

10.6B#†

 

Advisory Services Agreement effective June 14, 2023 between the Registrant and Gunnar F. Kaufmann, Ph.D.

 

10-Q

 

000-50549

 

10.1

 

10-Aug-23

 

 

 

 

 

 

 

 

 

 

 

 

 

 10.7#

 

Employment Agreement dated September 12, 2019 between the Registrant and James B. Breitmeyer, M.D.

 

10-Q

 

000-50549

 

10.4

 

8-Nov-19

 

 

 

 

 

 

 

 

 

 

 

 

 

10.7A#

 

Letter agreement with James B. Breitmeyer, M.D. dated March 31, 2023

 

10-Q

 

000-50549

 

10.1

 

4-May-23

 

 

 

 

 

 

 

 

 

 

 

 

 

 10.8#

 

Employment Agreement dated September 5, 2019 between the Registrant and Richard G. Vincent

 

10-Q

 

000-50549

 

10.5

 

8-Nov-19

 

 

 

 

 

 

 

 

 

 

 

 

 

10.8A#

 

Letter agreement with Richard G. Vincent dated March 31, 2023

 

10-Q

 

000-50549

 

10.4

 

4-May-23

 

 

 

 

 

 

 

 

 

 

 

 

 

 10.9#

 

Amended and Restated Employment Agreement dated January 6, 2021 between the Registrant and Raj Krishnan, Ph.D.

 

10-Q

 

000-50549

 

10.1

 

5-Aug-21

 

 

 

 

 

 

 

 

 

 

 

 

 

10.9A#

 

Letter agreement with Raj Krishnan, Ph.D. dated March 31, 2023

 

10-Q

 

000-50549

 

10.6

 

4-May-23

 

 

 

 

 

 

 

 

 

 

 

 

 

 10.10#

 

Employment Agreement dated April 12, 2021 between the Registrant and Chase Leavitt

 

10-Q

 

000-50549

 

10.2

 

5-Aug-21

 

96


 

 

 

 

 

 

 

 

 

 

 

 

 

10.10A#

 

Letter agreement with Chase Leavitt dated March 31, 2023

 

10-Q

 

000-50549

 

10.5

 

4-May-23

 

 

 

 

 

 

 

 

 

 

 

 

 

 10.11#

 

Employment Agreement dated May 17, 2021 between the Registrant and Salim Yazji, M.D.

 

10-Q

 

000-50549

 

10.3

 

5-Aug-21

 

 

 

 

 

 

 

 

 

 

 

 

 

10.11A#

 

Letter agreement with Salim Yazji, M.D. dated March 31, 2023

 

10-Q

 

000-50549

 

10.2

 

4-May-23

 

 

 

 

 

 

 

 

 

 

 

 

 

 10.12#

 

Annual Incentive Plan of the Registrant

 

10-K

 

000-50549

 

10.12

 

9-Mar-22

 

 

 

 

 

 

 

 

 

 

 

 

 

 10.13#

 

Form of Indemnification Agreement

 

10-K

 

000-50549

 

10.31

 

16-Mar-20

 

 

 

 

 

 

 

 

 

 

 

 

 

 10.14#*

 

Non-Employee Director Compensation Program of Registrant

 

 

 

 

 

 

 

 

 

 

 

 

 

 

 

 

 

 

 

 

 

 10.15#*

 

2015 Equity Incentive Plan of Private Oncternal, as amended (the “2015 Plan”)

 

 

 

 

 

 

 

 

 

 

 

 

 

 

 

 

 

 

 

 

 

 10.15A#

 

Form of Stock Option Agreement under the 2015 Plan

 

S-4

 

333-230758

 

10.58

 

8-Apr-19

 

 

 

 

 

 

 

 

 

 

 

 

 

 10.15B#

 

Form of Early Exercise Stock Option Agreement under the 2015 Plan

 

S-4

 

333-230758

 

10.59

 

8-Apr-19

 

 

 

 

 

 

 

 

 

 

 

 

 

 10.16#*

 

2019 Incentive Award Plan of the Registrant (the “2019 Plan”)

 

 

 

 

 

 

 

 

 

 

 

 

 

 

 

 

 

 

 

 

 

 10.16A#

 

Form of Stock Option Agreement under the 2019 Plan

 

10-K

 

000-50549

 

10.18.1

 

10-Mar-22

 

 

 

 

 

 

 

 

 

 

 

 

 

 10.16B#

 

Form of Restricted Stock Unit under the 2019 Plan

 

10-K

 

000-50549

 

10.18.2

 

10-Mar-22

 

 

 

 

 

 

 

 

 

 

 

 

 

 10.17#*

 

2021 Employment Inducement Incentive Award Plan of the Registrant, as amended (the “Inducement Plan”)

 

 

 

 

 

 

 

 

 

 

 

 

 

 

 

 

 

 

 

 

 

 10.17A#

 

Form of Stock Option under the Inducement Plan

 

10-K

 

000-50549

 

10.19.1

 

10-Mar-22

 

 

 

 

 

 

 

 

 

 

 

 

 

 21.1

 

Subsidiaries

 

10-K

 

000-50549

 

21.1

 

16-Mar-20

 

 

 

 

 

 

 

 

 

 

 

 

 

 23.1*

 

Consent of Independent Registered Public Accounting Firm

 

 

 

 

 

 

 

 

 

 

 

 

 

 

 

 

 

 

 

 

 

 24.1*

 

Power of Attorney (see Signature Page)

 

 

 

 

 

 

 

 

 

 

 

 

 

 

 

 

 

 

 

 

 

 31.1*

 

Certification of Chief Executive Officer of the Registrant, as required by Rule 13a-14(a) or Rule 15d-14(a) under the Securities Exchange Act of 1934, as amended

 

 

 

 

 

 

 

 

 

 

 

 

 

 

 

 

 

 

 

 

 

 31.2*

 

Certification of Chief Financial Officer of the Registrant, as required by Rule 13a-14(a) or Rule 15d-14(a) under the Securities Exchange Act of 1934, as amended

 

 

 

 

 

 

 

 

 

 

 

 

 

 

 

 

 

 

 

 

 

 32.1‡

 

Certification of Chief Executive Officer pursuant to Section 906 of the Sarbanes-Oxley Act of 2002

 

 

 

 

 

 

 

 

 

 

 

 

 

 

 

 

 

 

 

 

 

 32.2‡

 

Certification of Chief Financial Officer pursuant to Section 906 of the Sarbanes-Oxley Act of 2002

 

 

 

 

 

 

 

 

 

 

 

 

 

 

 

 

 

 

 

 

 

97.1*

 

Policy for Recovery of Erroneously Awarded Compensation

 

 

 

 

 

 

 

 

 

 

 

 

 

 

 

 

 

 

 

 

 

97


 

 101.INS*

 

Inline XBRL Instance Document – the instance document does not appear in the Interactive Data File because XBRL tags are embedded within the Inline XBRL document

 

 

 

 

 

 

 

 

 

 

 

 

 

 

 

 

 

 

 

 

 

    101.SCH*

 

Inline XBRL Taxonomy Extension Schema With Embedded Linkbase Documents

 

 

 

 

 

 

 

 

 

 

 

 

 

 

 

 

 

 

 

 

 

 104*

 

Cover Page Interactive Data File (formatted as Inline XBRL and contained in Exhibit 101)

 

 

 

 

 

 

 

 

 

 

 

 

 

    *

 

Filed herewith

    ‡

 

Furnished herewith

    #

 

Management contract or compensatory plan

    †

 

Pursuant to Item 601(b)(10) of Regulation S-K, certain confidential portions of this exhibit were omitted by means of marking such portions with an asterisk because the identified confidential portions (i) are not material and (ii) would be competitively harmful if publicly disclosed.

 

98


 

Signatures

Pursuant to the requirements of the Section 13 or 15(d) of the Securities and Exchange Act of 1934, the registrant has duly caused this report to be signed on its behalf by the undersigned, thereunto duly authorized.

 

 

 

Oncternal Therapeutics, Inc.

 

 

 

 

Date: March 7, 2024

 

By:

/s/ James B. Breitmeyer

 

 

 

James B. Breitmeyer, M.D., Ph.D.

President and Chief Executive Officer

 

POWER OF ATTORNEY

KNOW ALL PERSONS BY THESE PRESENTS, that each person whose signature appears below constitutes and appoints Dr. James B. Breitmeyer, M.D., Ph.D. and Richard G. Vincent, and each of them, as his or her true and. lawful attorneys-in-fact and agents, each with full power of substitution and resubstitution, for him or her and in his or her name, place and stead, in any and all capacities, to sign any and all amendments (including post-effective amendments) to this report, and to file the same, with all exhibits thereto, and other documents in connection therewith, with the Securities and Exchange Commission, granting unto said attorneys-in-fact and agents, and each of them, full power and authority to do and perform each and every act and thing requisite and necessary to be done in connection therewith, as fully to all intents and purposes as he might or could do in person, hereby ratifying and confirming all that said attorneys-in-fact and agents, or either of them, or their or his substitutes or substitute, may lawfully do or cause to be done by virtue hereof.

Pursuant to the requirements of the Securities Exchange Act of 1934, this report has been signed below by the following persons on behalf of the registrant and in the capacities and on the dates indicated

 

Signature

 

Title

 

Date

 

 

 

 

 

/s/ James B. Breitmeyer

 

President, Chief Executive Officer and Member of the Board of Directors

 

March 7, 2024

James B. Breitmeyer, M.D., Ph.D.

 

(Principal Executive Officer)

 

 

 

 

 

 

 

/s/ Richard G. Vincent

 

Chief Financial Officer

 

March 7, 2024

Richard G. Vincent

 

(Principal Financial Officer)

 

 

 

 

 

 

 

/s/ David F. Hale

 

Chairman of the Board of Directors

 

March 7, 2024

David F. Hale

 

 

 

 

 

 

 

 

 

/s/ Michael G. Carter

 

Director

 

March 7, 2024

Michael G. Carter, M.B., ChB, FRCP

 

 

 

 

 

 

 

 

 

/s/ Jill DeSimone

 

Director

 

March 7, 2024

Jill DeSimone

 

 

 

 

 

 

 

 

 

/s/ Daniel L. Kisner

 

Director

 

March 7, 2024

Daniel L. Kisner

 

 

 

 

 

 

 

 

 

/s/ William R. LaRue

 

Director

 

March 7, 2024

William R. LaRue

 

 

 

 

 

 

 

 

 

/s/ Rosemary Mazanet

 

Director

 

March 7, 2024

Rosemary Mazanet, M.D., Ph.D.

 

 

 

 

 

 

 

 

 

/s/ Xin Nakanishi

 

Director

 

March 7, 2024

Xin Nakanishi, Ph.D.

 

 

 

 

 

 

 

 

 

/s/ Robert Wills

 

Director

 

March 7, 2024

Robert Wills, Ph.D.

 

 

 

 

 

 

 

 

 

/s/ Charles P. Theuer

 

Director

 

March 7, 2024

Charles P. Theuer, M.D., Ph.D.

 

 

 

 

 

99


EX-3.1

EXHIBIT 3.1

 

RESTATED
CERTIFICATE OF INCORPORATION
OF
ONCTERNAL THERAPEUTICS, INC.

(Pursuant to Section 245 of the General Corporation Law of the State of Delaware)

Oncternal Therapeutics, Inc., a corporation organized and existing under the General Corporation Law of the State of Delaware (the “Corporation”), does hereby certify as follows:

FIRST: The name of the Corporation is Oncternal Therapeutics, Inc.

SECOND: The Corporation, which was originally known as GTx, Inc., originally filed its Certificate of Incorporation with the Secretary of State of the State of Delaware on September 4, 2003.

THIRD: The Restated Certificate of Incorporation hereby restates and integrates into a single instrument and does not further amend the provisions of the Corporation’s Certificate of Incorporation as thereto amended or supplemented, and there is no discrepancy between those provisions and the provisions of the restated certificate.

FOURTH: The Restated Certificate of Incorporation was duly adopted by the Board of Directors of the Corporation in accordance with the provisions of Section 245 of the General Corporation Law of the State of Delaware, setting forth this Restated Certificate of Incorporation and declaring this Restated Certificate of Incorporation to be advisable.

FIFTH: The Certificate of Incorporation of this Corporation is hereby restated in its entirety to read as follows:

article I

The name of the corporation is Oncternal Therapeutics, Inc. (the “Corporation”).

article II

The address of the Corporation’s registered office in the State of Delaware is:

251 Little Falls Drive
Wilmington, Delaware 19808
County of New Castle

The name of its registered agent at such address is The Prentice‑Hall Corporation System, Inc.

article III

The purpose of the Corporation is to engage in any lawful act or activity for which a corporation may be organized under the Delaware General Corporation Law (“DGCL”).

article IV
A.
Authorized Stock. The total number of shares which the Corporation shall have authority to issue is one hundred twenty-five million (125,000,000), consisting of one hundred twenty million (120,000,000) shares of Common Stock, par value $0.001 per share (the “Common Stock”), and five million (5,000,000) shares of Preferred Stock, par value $0.001 per share (the “Preferred Stock”).

Effective at 12:01 a.m., Eastern Time, on January 8, 2024 (the “Effective Time”) pursuant to the DGCL of this Certificate of Amendment of the Restated Certificate of Incorporation of the Corporation, as amended, each 20 shares of the Corporation’s common stock, par value $0.001 per share, issued and outstanding immediately prior to the Effective Time (the “Old Shares”) shall automatically be combined into one validly issued, fully paid and non-assessable share of common stock

 


 

without any further action by the Corporation or the holder thereof, subject to the treatment of fractional share interests as described below (the “Reverse Stock Split”). The Corporation shall not issue fractional shares in connection with the Reverse Stock Split. Holders of Old Shares who would otherwise be entitled to receive a fraction of a share on account of the Reverse Stock Split shall receive, upon surrender of the stock certificates formerly representing the Old Shares, in lieu of such fractional share, an amount in cash equal to the product of (1) the closing sale price per share of the common stock as reported by The Nasdaq Capital Market on the last trading day preceding the Effective Time by (2) the number of Old Shares held by such holder that would otherwise have been exchanged for such fractional share interests.

B.
Preferred Stock. The Preferred Stock may be issued from time to time in one or more series. The Board of Directors is hereby expressly authorized at any time and from time to time to provide for the issuance of all or any of the shares of the Preferred Stock in one or more series, and to fix the number of shares and to determine or alter for each such series, such voting powers, full or limited, or no voting powers, and such designation, preferences, and relative, participating, optional, or other rights and such qualifications, limitations, or restrictions thereof, as shall be stated and expressed in the resolution or resolutions adopted by the Board of Directors providing for the issuance of such shares to the fullest extent as may now or hereafter be permitted by the DGCL. The Board of Directors is also expressly authorized to increase or decrease the number of shares of any series subsequent to the issuance of shares of that series, but not below the number of shares of such series then outstanding. In case the number of shares of any series shall be decreased in accordance with the foregoing sentence, the shares constituting such decrease shall resume the status that they had prior to the adoption of the resolution originally fixing the number of shares of such series.
C.
Common Stock.
1.
Voting Rights. Each outstanding share of Common Stock shall entitle the holder thereof to one vote on each matter properly submitted to the stockholders of the Corporation for their vote; provided, however, that, except as otherwise required by law, holders of Common Stock shall not be entitled to vote on any amendment to this Certificate of Incorporation (which as used herein, shall mean the certificate of incorporation of the Corporation, as amended from time to time, including any certificate of designation filed with respect to any series of Preferred Stock) that relates solely to the terms of one or more outstanding series of Preferred Stock if the holders of such affected series are entitled, either separately or together as a class with the holders of one or more other such series, to vote thereon by law or pursuant to this Certificate of Incorporation.
2.
Dividends. Subject to the rights of the holders of any series of Preferred Stock then outstanding, the holders of shares of Common Stock shall be entitled to receive, when and if declared by the Board of Directors, out of the assets of the Corporations which are by law available therefor, dividends payable either in cash, in property or in shares of capital stock.
3.
Dissolution, Liquidation or Winding Up. In the event of any dissolution, liquidation or winding up of the affairs of the Corporation, after distribution in full of the preferential amounts, if any, to be distributed to the holders of shares of any series of Preferred Stock then outstanding, the holders of Common Stock shall be entitled, unless otherwise provided by law or this Certificate of Incorporation, to receive all of the remaining assets of the Corporation of whatever kind available for distribution to stockholders ratably in proportion to the number of shares of Common Stock held by them respectively.
article V
A.
Management of Business. The business and affairs of the Corporation shall be managed by or under the direction of its Board of Directors.
B.
Number of Directors. The authorized number of directors of the Corporation shall be determined from time to time exclusively by resolution adopted by the affirmative vote of a majority of the authorized number of directors at any regular or special meeting of such Board of Directors, within any limits prescribed in the Bylaws of the Corporation.
C.
Classes of Directors. Subject to the rights of the holders of any series of Preferred Stock to elect additional directors under specified circumstances, the directors shall be divided into three classes, as nearly equal in number as possible, designated as Class I, Class II and Class III, respectively. At the annual meeting of stockholders held in 2005, the

2

 


 

term of office of the Class I directors shall expire and Class I directors shall be elected for a term ending on the date of the third annual meeting of stockholders following the annual meeting at which such director was elected. At the annual meeting of stockholders held in 2006, the term of office of the Class II directors shall expire and Class II directors shall be elected for a term ending on the date of the third annual meeting of stockholders following the annual meeting at which such director was elected. At the annual meeting of stockholders held in 2007, the term of office of the Class III directors shall expire and Class III directors shall be elected for a term ending on the date of the third annual meeting of stockholders following the annual meeting at which such director was elected. At each succeeding annual meeting of stockholders, directors shall be elected for a term ending on the date of the third annual meeting of stockholders following the annual meeting at which such director was elected to succeed the directors of the class whose terms expire at such annual meeting. If any newly created directorship may, consistently with the rule that the three classes shall be as nearly equal in number as possible, be allocated to more than one class, the Board of Directors shall allocate it to the available class whose term of office is due to expire at the earliest date following such allocation. Notwithstanding any provision of this section to the contrary, each director shall serve until his or her successor is duly elected and qualified or until his or her death, resignation, disqualification or removal. No decrease in the number of directors constituting the Board of Directors shall shorten the term of any incumbent director.
D.
Vacancies. Subject to the rights of the holders of any series of Preferred Stock then outstanding, any vacancies on the Board of Directors resulting from death, resignation, disqualification, removal or other causes and any newly created directorships resulting from any increase in the number of directors, shall, unless the Board of Directors determines by resolution that any such vacancies or newly created directorships shall be filled by the stockholders, except as otherwise provided by law, be filled only by the affirmative vote of a majority of the directors then in office, even though less than a quorum of the Board of Directors, and not by the stockholders. Any director elected in accordance with the preceding sentence shall hold office for the remainder of the full term of the director for which the vacancy was created or occurred and until such director’s successor shall have been elected and qualified or until his or her death, resignation, disqualification or removal.
E.
Elections. The directors of the Corporation need not be elected by written ballot unless the Bylaws of the Corporation so provide.
article VI
A.
Action by Stockholders. No action required or permitted to be taken by the stockholders of the Corporation shall be taken except at a duly called annual or special meeting of stockholders of the Corporation, and no action shall be taken by the stockholders by written consent.
B.
Special Meetings of Stockholders. Special meetings of stockholders of the Corporation may be called only by the Chairman of the Board, the Chief Executive Officer or by the Board of Directors acting pursuant to a resolution adopted by a majority of the authorized number of directors, and any power of stockholders to call a special meeting is specifically denied. Only such business shall be considered at a special meeting of stockholders as shall have been stated in the notice for such meeting.
C.
Advance Notice. Advance notice of stockholder nominations for the election of directors and of business to be brought by stockholders before any meeting of the stockholders of the Corporation shall be given in the manner provided in the Bylaws of the Corporation.
article VII

The Board of Directors is expressly empowered to adopt, amend or repeal the Bylaws of the Corporation. Any adoption, amendment or repeal of the Bylaws of the Corporation by the Board of Directors shall require the approval of a majority of the directors then in office. The stockholders shall also have power to adopt, amend or repeal the Bylaws of the Corporation; provided, however, that, in addition to any vote of the holders of any class or series of stock of the Company required by law or by this Restated Certificate of Incorporation, the affirmative vote of the holders of at least sixty‑six and two‑thirds percent (66 ⅔%) of the voting power of all of the then‑outstanding shares of the capital stock of the Corporation entitled to vote generally in the election of directors, voting together as a single class, shall be required to adopt, amend or repeal any provision of the Bylaws of the Corporation.

3

 


 

article VIII
A.
Limitation of Liability. Except to the extent that the DGCL prohibits the elimination or limitation of liability of directors for breaches of fiduciary duty, no director of the Corporation shall be liable to the Corporation or its stockholders for monetary damages for breach of his or her fiduciary duty as director. If the DGCL or any other statute of the State of Delaware hereafter is amended to authorize the further elimination or limitation of the liability of directors of the Corporation, then the liability of a director of the Corporation shall be limited to the fullest extent permitted by the statutes of the State of Delaware, as so amended, and such elimination or limitation of liability shall be in addition to, and not in lieu of, the limitation on the liability of a director provided by the foregoing provisions of this Article VIII.
B.
Indemnification. The Corporation shall indemnify each person who is or was a party or is threatened to be made a party to any threatened, pending or completed action, suit or proceeding, whether civil, criminal, administrative or investigative, by reason of the fact that the person is or was a director, officer, employee or agent of the Corporation, or is or was serving at the request of the Corporation as a director, officer, employee or agent of another corporation or of a partnership, joint venture, trust or other enterprise, from and against all expense, liability and loss (including, without limitation, attorney’s fees, judgments, fines, penalties and amounts paid in settlement) actually and reasonably incurred or suffered by such person in connection with such action, suit or proceeding, to the fullest extent permitted under the DGCL, as it exists on the date hereof or as it may hereafter be amended; provided, however, that, except with respect to proceedings to enforce rights to indemnification, the Corporation shall not be required to indemnify any such person seeking indemnification in connection with an action, suit or proceeding (or part thereof) initiated by such person unless such action, suit or proceeding (or part thereof) was authorized by the Board of Directors.
C.
Repeal and Modification. Any repeal or modification of the foregoing provisions of this Article VIII shall not affect adversely any right or protection of any director, officer, employee or agent of the Corporation existing at the time of such repeal or modification.
article IX
A.
Reservation of Rights. The Company reserves the right to amend, alter, change or repeal any provision contained in this Certificate of Incorporation, in the manner now or hereafter prescribed by statute, except as provided in section B of this Article IX, and all rights conferred upon the stockholders herein are granted subject to this reservation.
B.
Requisite Vote. Notwithstanding any other provisions of this Certificate of Incorporation or any provision of law which might otherwise permit a lesser vote or no vote, but in addition to any affirmative vote of the holders of any particular class or series of the voting stock of the Company required by law, this Certificate of Incorporation or any certificate of designation of Preferred Stock, the affirmative vote of the holders of at least sixty‑six and two‑thirds percent (66 ⅔%) of the voting power of all of the then‑outstanding shares of the capital stock of the Corporation entitled to vote generally in the election of directors, voting together as a single class, shall be required to alter, amend or repeal Articles V, VI, VII, VIII and IX of this Certificate of Incorporation.

IN WITNESS WHEREOF, this Restated Certificate of Incorporation, which restates and integrates the certificate of incorporation of the Corporation, and which has been duly adopted in accordance with Section 245 of the Delaware General Corporation Law, has been executed on behalf of Oncternal Therapeutics, Inc. by the undersigned officer, thereunto duly authorized, this 4th day of March, 2024.

Oncternal Therapeutics, Inc.

 

By: /s/ Chase Leavitt

Chase Leavitt

Secretary

 

4

 


EX-4.8

Exhibit 4.8

 

Description of the Registrant’s SECURITIES Registered Pursuant to Section 12 Of the Securities Exchange Act of 1934

 

Oncternal Therapeutics, Inc. (“we,” “us,” and “our”) has one class of securities registered pursuant to Section 12 of the Securities Exchange Act of 1934, as amended: common stock.

 

Description of Common Stock

General

 

The following summary of the terms of our common stock does not purport to be complete and is subject to and qualified in its entirety by reference to our Restated Certificate of Incorporation (the “certificate of incorporation”), and Amended and Restated Bylaws (“bylaws”), which are filed as exhibits to our most recent Annual Report on Form 10-K and are incorporated by reference herein. We encourage you to read our certificate of incorporation and our bylaws for additional information.

 

Under our certificate of incorporation, the total number of shares of all classes of stock that we have authority to issue is 125,000,000, consisting of 120,000,000 shares of common stock, par value $0.001 per share, and 5,000,000 shares of preferred stock, par value $0.001 per share.

 

The following summary description of our capital stock is based on the provisions of our certificate of incorporation and bylaws, the applicable provisions of the General Corporation Law of the State of Delaware (“DGCL”), and the agreements described below. This information may not be complete in all respects and is qualified entirely by reference to the provisions of our certificate of incorporation and bylaws, the DGCL and such agreements. For information on how to obtain copies of our certificate of incorporation, bylaws and such agreements, which are incorporated by reference as exhibits to the Annual Report on Form 10-K of which this Exhibit is a part.

 

Common Stock

 

Voting Rights

 

The holders of our common stock are entitled to one vote for each share held of record on all matters properly submitted to a vote of stockholders; provided, however, that, except as otherwise required by law, holders of common stock shall not be entitled to vote on any amendment to the certification of incorporation that relates to solely to the terms of any outstanding series of preferred stock if the holders such preferred stock are entitled to vote thereon by law or pursuant to the certification of incorporation. The holders of our common stock do not have cumulative voting rights in the election of directors.

 

Dividends

 

Subject to preferences that may be applicable to any outstanding shares of preferred stock, the holders of common stock are entitled to receive ratably such dividends as may be declared by our board of directors out of legally available funds.

 

Dissolution, Liquidation or Winding Up

 

Upon our liquidation, dissolution or winding up, holders of our common stock are entitled to share ratably in all assets remaining after payment of liabilities and the liquidation preferences of any outstanding shares of preferred stock.

 

Rights and Preferences

 

Holders of common stock have no preemptive rights and no right to convert their common stock into any other securities. There are no redemption or sinking fund provisions applicable to our common stock. The rights of the

1


holders of our common stock are subject to, and may be adversely affected by, the rights of holders of shares of any preferred stock that we may designate and issue in the future.

 

Listing

 

Our common stock is listed on the Nasdaq Capital Market under the symbol “ONCT.”

 

Transfer Agent and Registrar

 

The transfer agent and registrar for our common stock is Computershare Trust Company, N.A. Its address is 150 Royall Street, Canton, MA 02021.

 

Anti-Takeover Effects of Provisions of Delaware Law and Our Charter Documents

 

Delaware Takeover Statute.

 

We are subject to Section 203 of the DGCL. Section 203 generally prohibits a public Delaware corporation such as us from engaging in a “business combination” with an “interested stockholder” for a period of three years following the time that the stockholder became an interested stockholder, unless:

prior to the time the stockholder became an interested stockholder, the board of directors of the corporation approved either the business combination or the transaction which resulted in the stockholder becoming an interested stockholder;
upon consummation of the transaction which resulted in the stockholder becoming an interested stockholder, the interested stockholder owned at least 85% of the voting stock of the corporation outstanding at the time the transaction commenced, excluding for purposes of determining the number of shares outstanding (a) shares owned by persons who are directors and also officers and (b) employee stock plans in which employee participants do not have the right to determine confidentially whether shares held subject to the plan will be tendered in a tender or exchange offer; or
at or subsequent to the time the stockholder became an interested stockholder, the business combination is approved by the board and authorized at an annual or special meeting of stockholders, and not by written consent, by the affirmative vote of at least 66-2/3% of the outstanding voting stock which is not owned by the interested stockholder.

 

Section 203 defines a business combination to include:

any merger or consolidation involving the corporation and the interested stockholder;
any sale, lease, exchange, mortgage, pledge, transfer or other disposition (in one transaction or a series of transactions) involving the interested stockholder of 10% or more of the assets of the corporation (or its majority-owned subsidiary);
subject to exceptions, any transaction that results in the issuance or transfer by the corporation of any stock of the corporation to the interested stockholder;
subject to exceptions, any transaction involving the corporation that has the effect, directly or indirectly, of increasing the proportionate share of the stock or any class or series of the corporation beneficially owned by the interested stockholder; and
the receipt by the interested stockholder of the benefit, directly or indirectly (except proportionately as a stockholder of such corporation), of any loans, advances, guarantees, pledges or other financial benefits, other than certain benefits set forth in Section 203, provided by or through the corporation.

 

In general, Section 203 defines an interested stockholder as any entity or person beneficially owning 15% or more of the outstanding voting stock of the corporation and any entity or person that is an affiliate or associate of such entity or person.

 

Charter Documents.

 

Our certificate of incorporation and bylaws provide that our board of directors be divided into three classes of directors, as nearly equal in number as possible, with each class serving a staggered three-year term. The

2


classification system of electing directors may tend to discourage a third party from making a tender offer or otherwise attempting to obtain control of us since the classification of the board of directors generally increases the difficulty of replacing a majority of directors. In addition, our certificate of incorporation and bylaws:

provide that any action required or permitted to be taken by our stockholders must be effected at a duly called annual or special meeting of stockholders and may not be effected by any consent in writing;
establish advance notice requirements for nominations for election to our board of directors or for proposing matters that can be acted upon at a stockholder meeting;
provide that the authorized number of directors may be changed only by resolution of the board of directors; and
provide that special meetings of our stockholders may be called only by the chairman of our board of directors, our chief executive officer or our board of directors pursuant to a resolution adopted by a majority of the total number of authorized directors.

The DGCL provides generally that the affirmative vote of a majority of the shares entitled to vote is required to amend a corporation’s bylaws, unless a corporation’s certificate of incorporation requires a greater percentage or also confers the power upon the corporation’s directors. Our bylaws may be amended or repealed by:

the affirmative vote of a majority of our directors then in office; or
the affirmative vote of the holders of at least 66-2/3% of the voting power of all then-outstanding shares of our capital stock entitled to vote generally in the election of directors

 

The foregoing provisions of our certificate of incorporation may be amended or repealed only with the affirmative vote of a majority of our directors and the affirmative vote of the holders of at least 66-2/3% of the voting power of all then-outstanding shares of our capital stock entitled to vote generally in the election of directors. These and other provisions contained in our certificate of incorporation and bylaws could delay or discourage some types of transactions involving an actual or potential change in our control or change in our management, including transactions in which stockholders might otherwise receive a premium for their shares over then current prices, and may limit the ability of stockholders to remove current management or approve transactions that stockholders may deem to be in their best interests and, therefore, could adversely affect the price of our common stock.

3


EX-10.14

EXHIBIT 10.14

 

ONCTERNAL THERAPEUTICS, INC.

NON-EMPLOYEE DIRECTOR COMPENSATION PROGRAM

 

This program has been updated to reflect the Company’s one-for-twenty reverse stock split effected by the Company on January 8, 2024.

Non-employee members of the board of directors (the “Board”) of Oncternal Therapeutics, Inc. (the “Company”) shall be eligible to receive cash and equity compensation as set forth in this Non-Employee Director Compensation Program (this “Program”) effective from and after March 18, 2021 (the “Effective Date”). The cash and equity compensation described in this Program shall be paid or be made, as applicable, automatically and without further action of the Board, to each member of the Board who is not an employee of the Company or any parent or subsidiary of the Company (each, a “Non-Employee Director”) who may be eligible to receive such cash or equity compensation, unless such Non-Employee Director declines the receipt of such cash or equity compensation by written notice to the Company. This Program shall remain in effect until it is revised or rescinded by further action of the Board. This Program may be amended, modified or terminated by the Board at any time in its sole discretion. The terms and conditions of this Program shall supersede any prior cash and/or equity compensation arrangements between the Company and any of its Non-Employee Directors.

1. Cash Compensation.

(a) Annual Retainers. Each Non-Employee Director shall be eligible to receive an annual retainer of $40,000 for service on the Board.

(b) Additional Annual Retainers. In addition, a Non-Employee Director shall receive the following additional annual retainers, as applicable:

(i) Chairperson of the Board. A Non-Employee Director serving as Chairperson of the Board shall receive an additional annual retainer of $35,000 for such service.

(ii) Audit Committee. A Non-Employee Director serving as Chairperson of the Audit Committee shall receive an additional annual retainer of $15,000 for such service. Each Non-Employee Director serving as a member of the Audit Committee (other than the Chairperson) shall receive an additional annual retainer of $7,500 for such service.

(iii) Compensation Committee. A Non-Employee Director serving as Chairperson of the Compensation Committee shall receive an additional annual retainer of $10,000 for such service. Each Non-Employee Director serving as a member of the Compensation Committee (other than the Chairperson) shall receive an additional annual retainer of $5,000 for such service.

(iv) Nominating and Corporate Governance Committee. A Non-Employee Director serving as Chairperson of the Nominating and Corporate Governance Committee shall receive an additional annual retainer of $8,000 for such service. Each Non-Employee Director serving as a member of the Nominating and Corporate Governance Committee (other than the Chairperson) shall receive an additional annual retainer of $4,000 for such service.

(v) Science & Technology Committee. Each Non-Employee Director serving as a member of the Science & Technology Committee shall receive an additional annual retainer of $8,000 for such service.

 


 

(c) Payment of Retainers. The annual retainers described in Sections 1(a) and 1(b) shall be earned on a quarterly basis based on a calendar quarter and shall be paid by the Company in arrears not later than the fifteenth day following the end of each calendar quarter. In the event a Non-Employee Director does not serve as a Non-Employee Director, or in the applicable positions described in Section 1(b), for an entire calendar quarter, the retainer paid to such Non-Employee Director shall be prorated for the portion of such calendar quarter actually served as a Non-Employee Director, or in such position, as applicable.

2. Equity Compensation. Non-Employee Directors shall be granted the equity awards described below. The awards described below shall be granted under and shall be subject to the terms and provisions of the Company’s 2019 Incentive Award Plan or any other applicable Company equity incentive plan then-maintained by the Company (the “Equity Plan”) and shall be granted subject to the execution and delivery of award agreements, including attached exhibits, in substantially the forms previously approved by the Board, setting forth the vesting schedule applicable to such awards and such other terms as may be required by the Equity Plan. All applicable terms of the Equity Plan apply to this Program as if fully set forth herein, and all grants of stock options hereby are subject in all respects to the terms of the Equity Plan. For the avoidance of doubt, the share numbers in this Section 2 shall be subject to adjustment as provided in the Equity Plan.

(a) Initial Awards. Each Non-Employee Director who is initially elected or appointed to the Board following the Effective Date shall be automatically granted an option to purchase 2,500 shares of the Company’s common stock, on the date of such initial election or appointment. The awards described in this Section 2(b) shall be referred to as “Initial Awards.” No Non-Employee Director shall be granted more than one (1) Initial Award.

(b) Subsequent Awards. A Non-Employee Director who (i) is serving on the Board as of the date of any annual meeting of the Company’s stockholders and (ii) will continue to serve as a Non-Employee Director immediately following such meeting, shall be automatically granted an option to purchase 1,250 shares of the Company’s common stock, or with respect to the Non-Employee Director serving as Chairperson of the Board, an option to purchase 1,875 shares of the Company's common stock, on the date of such annual meeting. The awards described in this Section 2(c) shall be referred to as “Subsequent Awards.” For the avoidance of doubt, a Non-Employee Director elected for the first time to the Board at an annual meeting of the Company’s stockholders shall only receive an Initial Award in connection with such election, and shall not receive any Subsequent Award on the date of such meeting as well. In the event a Non-Employee Director has not been serving as a member of the Board for twelve (12) months as of the date of any Subsequent Award, the Board may determine to prorate the Subsequent Award to such Non-Employee Director to reflect the number of months served since such initial election through the date of the Subsequent Award.

(c) Termination of Employment of Employee Directors. Members of the Board who are employees of the Company or any parent or subsidiary of the Company who subsequently terminate their employment with the Company and any parent or subsidiary of the Company and remain on the Board will not receive an Initial Award pursuant to Section 2(b) above, but to the extent that they are otherwise eligible, will be eligible to receive, after termination from employment with the Company and any parent or subsidiary of the Company, Subsequent Awards as described in Section 2(c) above.

(d) Terms of Awards Granted to Non-Employee Directors

(i) Purchase Price. The per share exercise price of each option granted to a Non-Employee Director shall equal the Fair Market Value (as defined in the Equity Plan) of a share of common stock on the date the option is granted.

 


 

(ii) Vesting. One thirty-sixth of each Initial Award shall vest and become exercisable in substantially equal installments on each monthly anniversary of the date of grant, so that the options subject to each such type of award shall be fully vested on the three-year anniversary of the date of grant, subject to the Non-Employee Director continuing in service on the Board through each such vesting date. One-twelfth of each Subsequent Award shall vest and/or become exercisable in substantially equal installments on each monthly anniversary of the date of grant, so that each Subsequent Award options shall be fully vested on the one-year anniversary of the date of grant, subject to the Non-Employee Director continuing in service on the Board through such vesting date. Unless otherwise determined by the Board, no portion of an Initial Award or Subsequent Award which is unvested and/or exercisable at the time of a Non-Employee Director’s termination of service on the Board shall become vested and/or exercisable thereafter. All of a Non-Employee Director’s Initial Awards and Subsequent Awards shall vest in full upon the occurrence of a Change in Control (as defined in the Equity Plan).

(iii) Term. The term of each stock option granted to a Non-Employee Director shall be ten (10) years from the date the option is granted. Upon a Non-Employee Director’s cessation of service on the Board for any reason, his or her options to purchase shares of the Company’s common stock granted under this Program shall remain exercisable for twelve (12) months following the cessation of his or her service on the Board (or such longer period as the Board may determine in its discretion on or after the date of grant of such stock options).

 

 

 


EX-10.15

EXHIBIT 10.15

 

Oncternal Therapeutics, Inc.

2015 EQUITY INCENTIVE PLAN

This plan document has been updated to reflect the Company’s one-for-twenty reverse stock split effected by the Company on January 8, 2024 and the adjustments for the merger of the Company with GTx, Inc. in June 2019.

1.
Purpose.

The purpose of the Plan is to advance the interests of the Company’s stockholders by enhancing the Company’s ability to attract, retain and motivate persons who make (or are expected to make) important contributions to the Company by providing such persons with equity ownership opportunities and thereby better aligning the interests of such persons with those of the Company’s stockholders. Capitalized terms used in the Plan are defined in Section 11 below.

2.
Eligibility.

Service Providers are eligible to be granted Awards under the Plan, subject to the limitations described herein.

3.
Administration and Delegation.
(a)
Administration. The Plan will be administered by the Administrator. The Administrator shall have authority to determine which Service Providers will receive Awards, to grant Awards and to set all terms and conditions of Awards (including, but not limited to, vesting, exercise and forfeiture provisions). In addition, the Administrator shall have the authority to take all actions and make all determinations contemplated by the Plan and to adopt, amend and repeal such administrative rules, guidelines and practices relating to the Plan as it shall deem advisable. The Administrator may correct any defect or ambiguity, supply any omission or reconcile any inconsistency in the Plan or any Award in the manner and to the extent it shall deem necessary or appropriate to carry the Plan and any Awards into effect, as determined by the Administrator. The Administrator shall make all determinations under the Plan in the Administrator’s sole discretion and all such determinations shall be final and binding on all persons having or claiming any interest in the Plan or in any Award.
(b)
Appointment of Committees. To the extent permitted by Applicable Laws, the Board may delegate any or all of its powers under the Plan to one or more Committees. The Board may abolish any Committee at any time and re-vest in itself any previously delegated authority.
4.
Stock Available for Awards.
(a)
Number of Shares. Subject to adjustment under Section 8 hereof, Awards may be made under the Plan covering up to 31,556 shares of Common Stock. If any Award expires or lapses or is terminated, surrendered or canceled without having been fully exercised or is forfeited in whole or in part (including as the result of shares of Common Stock subject to such Award being repurchased by the Company at or below the original issuance price), in any case in a manner that results in any shares of Common Stock covered by such Award not being issued or being so reacquired by the Company, the unused Common Stock covered by such Award shall again be available for the grant of Awards under the Plan. Further, shares of Common Stock delivered (either by actual delivery or attestation) to the Company by a Participant to satisfy the applicable exercise or purchase price of Award and/or to satisfy any applicable tax withholding obligation (including shares retained by the Company from the Award being exercised or purchased and/or creating the tax obligation) shall be added to the number of shares of Common Stock

 


 

available for the grant of Awards under the Plan. However, in the case of Incentive Stock Options (as hereinafter defined), the foregoing provisions shall be subject to any limitations under the Code. Shares of Common Stock issued under the Plan may consist in whole or in part of authorized but unissued shares, shares purchased on the open market or treasury shares.
(b)
Substitute Awards. In connection with a merger or consolidation of an entity with the Company or the acquisition by the Company of property or stock of an entity, the Administrator may grant Awards in substitution for any options or other stock or stock-based awards granted prior to such merger or consolidation by such entity or an affiliate thereof. Substitute Awards may be granted on such terms as the Administrator deems appropriate in the circumstances, notwithstanding any limitations on Awards contained in the Plan. Substitute Awards shall not count against the overall share limit set forth in Section 4(a) hereof, except as may be required by reason of Section 422 of the Code.
5.
Stock Options.
(a)
General. The Administrator may grant Options to any Service Provider, subject to the limitations on Incentive Stock Options described below. The Administrator shall determine the number of shares of Common Stock to be covered by each Option, the exercise price of each Option and the conditions and limitations applicable to the exercise of each Option, including conditions relating to Applicable Laws, as it considers necessary or advisable.
(b)
Incentive Stock Options. The Administrator may grant Options intended to qualify as Incentive Stock Options only to employees of the Company, any of the Company’s present or future “parent corporations” or “subsidiary corporations” as defined in Sections 424(e) or (f) of the Code, respectively, and any other entities the employees of which are eligible to receive Incentive Stock Options under the Code. All Options intended to qualify as Incentive Stock Options shall be subject to and shall be construed consistently with the requirements of Section 422 of the Code. Neither the Company nor the Administrator shall have any liability to a Participant, or any other party, (i) if an Option (or any part thereof) which is intended to qualify as an Incentive Stock Option fails to qualify as an Incentive Stock Option or (ii) for any action or omission by the Administrator that causes an Option not to qualify as an Incentive Stock Option, including without limitation, the conversion of an Incentive Stock Option to a Non-Qualified Stock Option or the grant of an Option intended as an Incentive Stock Option that fails to satisfy the requirements under the Code applicable to an Incentive Stock Option. Any Option that is intended to qualify as an Incentive Stock Option, but fails to so qualify for any reason, including without limitation, the portion of any Option becoming exercisable in excess of the $100,000 limitation described in Treasury Regulation Section 1.422-4, shall be treated as a Non-Qualified Stock Option for all purposes.
(c)
Exercise Price. The Administrator shall establish the exercise price of each Option and specify the exercise price in the applicable Award Agreement. The exercise price shall be not less than 100% of the Fair Market Value on the date the Option is granted. In the case of an Incentive Stock Option granted to an employee who, at the time of grant of the Option, owns (or is treated as owning under Section 424 of the Code) stock representing more than 10% of the voting power of all classes of stock of the Company (or a “parent corporation” or “subsidiary corporation” thereof within the meaning of Sections 424(e) or 424(f) of the Code, respectively), the per share exercise price shall be no less than 110% of the Fair Market Value on the date the Option is granted.
(d)
Duration of Options. Each Option shall be exercisable at such times and subject to such terms and conditions as the Administrator may specify in the applicable Award Agreement, provided that the term of any Option shall not exceed ten years. In the case of an Incentive Stock Option granted to an employee who, at the time of grant of the Option, owns (or is treated as owning under Section 424 of the Code) stock representing more than 10% of the voting power of all classes of stock of the Company (or

2


 

a “parent corporation” or “subsidiary corporation” thereof within the meaning of Sections 424(e) or 424(f) of the Code, respectively), the term of the Option shall not exceed five years.
(e)
Exercise of Option; Notification of Disposition. Options may be exercised by delivery to the Company of a written notice of exercise, in a form approved by the Administrator (which may be an electronic form), signed by the person authorized to exercise the Option, together with payment in full (i) as specified in Section 5(f) hereof for the number of shares for which the Option is exercised and (ii) as specified in Section 9(e) hereof for any applicable withholding taxes. Unless otherwise determined by the Administrator, an Option may not be exercised for a fraction of a share of Common Stock. If an Option is designated as an Incentive Stock Option, the Participant shall give prompt notice to the Company of any disposition or other transfer of any shares of Common Stock acquired from the Option if such disposition or transfer is made (i) within two years from the grant date with respect to such Option or (ii) within one year after the transfer of such shares to the Participant (other than any such disposition made in connection with a Change in Control). Such notice shall specify the date of such disposition or other transfer and the amount realized, in cash, other property, assumption of indebtedness or other consideration, by the Participant in such disposition or other transfer.
(f)
Payment Upon Exercise. Common Stock purchased upon the exercise of an Option granted under the Plan shall be paid for in cash or by check, payable to the order of the Company, or, to the extent permitted by the Administrator, by:
(i)
(A) delivery of an irrevocable and unconditional undertaking by a broker acceptable to the Company to deliver promptly to the Company sufficient funds to pay the exercise price and any required tax withholding, or (B) delivery by the Participant to the Company of a copy of irrevocable and unconditional instructions to a broker acceptable to the Company to deliver promptly to the Company cash or a check sufficient to pay the exercise price and any required tax withholding;
(ii)
delivery (either by actual delivery or attestation) of shares of Common Stock owned by the Participant valued at their Fair Market Value, provided (A) such method of payment is then permitted under Applicable Laws, (B) such Common Stock, if acquired directly from the Company, was owned by the Participant for such minimum period of time, if any, as may be established by the Company at any time, and (C) such Common Stock is not subject to any repurchase, forfeiture, unfulfilled vesting or other similar requirements;
(iii)
surrendering shares of Common Stock then issuable upon exercise of the Option valued at their Fair Market Value on the date of exercise;
(iv)
delivery of a promissory note of the Participant to the Company on terms determined by the Administrator;
(v)
delivery of property of any other kind which constitutes good and valuable consideration as determined by the Administrator; or
(vi)
any combination of the above permitted forms of payment (including cash or check).
(g)
Early Exercise of Options. The Administrator may provide in the terms of an Award Agreement that the Service Provider may exercise an Option in whole or in part prior to the full vesting of the Option in exchange for unvested shares of Restricted Stock with respect to any unvested portion of the Option so exercised. Shares of Restricted Stock acquired upon the exercise of any unvested portion of an Option shall be subject to such terms and conditions as the Administrator shall determine.

3


 

6.
Restricted Stock; Restricted Stock Units.
(a)
General. The Administrator may grant Restricted Stock, or the right to purchase Restricted Stock, to any Service Provider, subject to the right of the Company to repurchase all or part of such shares at their issue price or other stated or formula price from the Participant (or to require forfeiture of such shares if issued at no cost) in the event that conditions specified by the Administrator in the applicable Award Agreement are not satisfied prior to the end of the applicable restriction period or periods established by the Administrator for such Award. In addition, the Administrator may grant to Service Providers Restricted Stock Units, which may be subject to vesting and forfeiture conditions during applicable restriction period or periods, as set forth in an applicable Award Agreement.
(b)
Terms and Conditions for All Restricted Stock and Restricted Stock Unit Awards. The Administrator shall determine and set forth in the applicable Award Agreement the terms and conditions applicable to each Restricted Stock and Restricted Stock Unit Award, including the conditions for vesting and repurchase (or forfeiture) and the issue price, in each case, if any.
(c)
Additional Provisions Relating to Restricted Stock.
(i)
Dividends. Participants holding shares of Restricted Stock will be entitled to all ordinary cash dividends paid with respect to such shares, unless otherwise provided by the Administrator in the applicable Award Agreement. In addition, unless otherwise provided by the Administrator, if any dividends or distributions are paid in shares, or consist of a dividend or distribution to holders of Common Stock of property other than an ordinary cash dividend, the shares or other property will be subject to the same restrictions on transferability and forfeitability as the shares of Restricted Stock with respect to which they were paid. Each dividend payment will be made as provided in the applicable Award Agreement, but in no event later than the end of the calendar year in which the dividends are paid to stockholders of that class of stock or, if later, the 15th day of the third month following the later of (A) the date the dividends are paid to stockholders of that class of stock, and (B) the date the dividends are no longer subject to forfeiture.
(ii)
Stock Certificates. The Company may require that any stock certificates issued in respect of shares of Restricted Stock be deposited in escrow by the Participant, together with a stock power endorsed in blank, with the Company (or its designee).
(d)
Additional Provisions Relating to Restricted Stock Units.
(i)
Settlement. Upon the vesting of a Restricted Stock Unit, the Participant shall be entitled to receive from the Company one share of Common Stock or an amount of cash or other property equal to the Fair Market Value of one share of Common Stock on the settlement date, as provided in the applicable Award Agreement. The Administrator may provide that settlement of Restricted Stock Units shall occur upon or as soon as reasonably practicable after the vesting of the Restricted Stock Units or shall instead be deferred, on a mandatory basis or at the election of the Participant, in a manner that complies with Section 409A.
(ii)
Voting Rights. A Participant shall have no voting rights with respect to any Restricted Stock Units unless and until shares are delivered in settlement thereof.
(iii)
Dividend Equivalents. To the extent provided by the Administrator, a grant of Restricted Stock Units may provide a Participant with the right to receive Dividend Equivalents. Dividend Equivalents may be paid currently or credited to an account for the Participant, may be settled in cash and/or shares of Common Stock and may be subject to the same restrictions on transfer and forfeitability as the Restricted Stock Units with respect to which the Dividend

4


 

Equivalents are paid, as determined by the Administrator, subject, in each case, to such terms and conditions as the Administrator shall establish and set forth in the applicable Award Agreement.
7.
Other Stock-Based Awards.

Other Stock-Based Awards may be granted hereunder to Participants, including, without limitation, Awards entitling Participants to receive shares of Common Stock to be delivered in the future. Such Other Stock-Based Awards shall also be available as a form of payment in the settlement of other Awards granted under the Plan, as stand-alone payments and/or as payment in lieu of compensation to which a Participant is otherwise entitled. Other Stock-Based Awards may be paid in shares of Common Stock, cash or other property, as the Administrator shall determine. Subject to the provisions of the Plan, the Administrator shall determine the terms and conditions of each Other Stock-Based Award, including any purchase price, transfer restrictions, vesting conditions and other terms and conditions applicable thereto, which shall be set forth in the applicable Award Agreement.

8.
Adjustments for Changes in Common Stock and Certain Other Events.
(a)
In the event that the Administrator determines that any dividend or other distribution (whether in the form of cash, Common Stock, other securities, or other property), reorganization, merger, consolidation, combination, repurchase, recapitalization, liquidation, dissolution, or sale, transfer, exchange or other disposition of all or substantially all of the assets of the Company, or exchange of Common Stock or other securities of the Company, issuance of warrants or other rights to purchase Common Stock or other securities of the Company, or other similar corporate transaction or event, as determined by the Administrator, affects the Common Stock such that an adjustment is determined by the Administrator to be appropriate in order to prevent dilution or enlargement of the benefits or potential benefits intended by the Company to be made available under the Plan or with respect to any Award, then the Administrator may, in such manner as it may deem equitable, adjust any or all of:
(i)
the number and kind of shares of Common Stock (or other securities or property) with respect to which Awards may be granted or awarded (including, but not limited to, adjustments of the limitations in Section 3 hereof on the maximum number and kind of shares which may be issued);
(ii)
the number and kind of shares of Common Stock (or other securities or property) subject to outstanding Awards;
(iii)
the grant or exercise price with respect to any Award; and
(iv)
the terms and conditions of any Awards (including, without limitation, any applicable financial or other performance “targets” specified in an Award Agreement).
(b)
In the event of any transaction or event described in Section 8(a) hereof (including without limitation any Change in Control) or any unusual or nonrecurring transaction or event affecting the Company or the financial statements of the Company, or any change in any Applicable Laws or accounting principles, the Administrator, on such terms and conditions as it deems appropriate, either by the terms of the Award or by action taken prior to the occurrence of such transaction or event and either automatically or upon the Participant’s request, is hereby authorized to take any one or more of the following actions whenever the Administrator determines that such action is appropriate in order to (i) prevent dilution or enlargement of the benefits or potential benefits intended by the Company to be made available under the Plan or with respect to any Award granted or issued under the Plan, (ii) to facilitate such transaction or event or (iii) give effect to such changes in Applicable Laws or accounting principles:

5


 

(i)
To provide for the cancellation of any such Award in exchange for either an amount of cash or other property with a value equal to the amount that could have been obtained upon the exercise or settlement of such Award or realization of the Participant’s rights had such Award been currently exercisable, payable and fully vested, as applicable; provided that, if the amount that could have been obtained upon the exercise or settlement of such Award or realization of the Participant’s rights, in any case, is equal to or less than zero, then such Award may be terminated without payment;
(ii)
To provide that such Award shall vest and, to the extent applicable, be exercisable as to all shares covered thereby, notwithstanding anything to the contrary in the Plan or the provisions of such Award;
(iii)
To provide that such Award be assumed by the successor or survivor corporation, or a parent or subsidiary thereof, or shall be substituted for by awards covering the stock of the successor or survivor corporation, or a parent or subsidiary thereof, with appropriate adjustments as to the number and kind of shares and applicable exercise or purchase price, in all cases, as determined by the Administrator;
(iv)
To make adjustments in the number and type of shares of Common Stock (or other securities or property) subject to outstanding Awards, and/or in the terms and conditions of (including the grant or exercise price), and the criteria included in, outstanding Awards which may be granted in the future;
(v)
To replace such Award with other rights or property selected by the Administrator; and/or
(vi)
To provide that the Award will terminate and cannot vest, be exercised or become payable after the applicable event.
(c)
Notwithstanding the provisions of Section 8(b) above, if a Change in Control occurs and a Participant’s Awards are not continued, converted, assumed, or replaced with a substantially similar award by (i) the Company, or (ii) a successor entity or its parent or subsidiary (an “Assumption”), and provided that the Participant has not had a Termination of Service, then the Administrator may provide that, immediately prior to the Change in Control, such Awards shall become fully vested, exercisable and/or payable, as applicable, and all forfeiture, repurchase and other restrictions on such Awards shall lapse, in which case, such Awards shall be canceled upon the consummation of the Change in Control in exchange for the right to receive the Change in Control consideration payable to other holders of Common Stock (A) which may be on such terms and conditions as apply generally to holders of Common Stock under the Change in Control documents (including, without limitation, any escrow, earn-out or other deferred consideration provisions) or such other terms and conditions as the Administrator may provide, and (B) determined by reference to the number of shares subject to such Awards and net of any applicable exercise price; provided that to the extent that any Awards constitute “nonqualified deferred compensation” that may not be paid upon the Change in Control under Section 409A without the imposition of taxes thereon under Section 409A, the timing of such payments shall be governed by the applicable Award Agreement (subject to any deferred consideration provisions applicable under the Change in Control documents); and provided, further, that if the amount to which a Participant would be entitled upon the settlement or exercise of such Award at the time of the Change in Control is equal to or less than zero, then such Award may be terminated without payment. The Administrator shall determine whether an Assumption of an Award has occurred in connection with a Change in Control.
(d)
In connection with the occurrence of any Equity Restructuring, and notwithstanding anything to the contrary in this Section 8, the Administrator will equitably adjust each

6


 

outstanding Award, which adjustments may include adjustments to the number and type of securities subject to each outstanding Award and/or the exercise price or grant price thereof, if applicable, the grant of new Awards to Participants, and/or the making of a cash payment to Participants, as the Administrator deems appropriate to reflect such Equity Restructuring. The adjustments provided under this Section 8(e) shall be nondiscretionary and shall be final and binding on the affected Participant and the Company; provided that whether an adjustment is equitable shall be determined by the Administrator.
(e)
In the event of any pending stock dividend, stock split, combination or exchange of shares, merger, consolidation or other distribution (other than normal cash dividends) of Company assets to stockholders, or any other change affecting the shares of Common Stock or the share price of the Common Stock, including any Equity Restructuring, or if necessary to comply with Applicable Laws or the Code, or for reasons of administrative convenience, the Administrator may, in its sole discretion, refuse to permit the exercise of any Award during a period of up to thirty days prior to the consummation of any such transaction; provided, however, that in the event the vested portion of an Award is not exercisable on the date the Award would otherwise expire pursuant to the terms set forth in the Award Agreement governing such Award as a result of the Administrator’s exercise of discretion pursuant to this Section 8(e), then the expiration of the Award shall be extended through the date that is thirty days following the date on which the Administrator first permits the Award to be exercised (but in no event shall the expiration of the Award be extended beyond the tenth anniversary of the date of grant of such Award.
(f)
Except as expressly provided in the Plan or pursuant to action of the Administrator under the Plan, no Participant shall have any rights by reason of any subdivision or consolidation of shares of stock of any class, the payment of any dividend, any increase or decrease in the number of shares of stock of any class or any dissolution, liquidation, merger, or consolidation of the Company or any other corporation. Except as expressly provided in the Plan or pursuant to action of the Administrator under the Plan, no issuance by the Company of shares of stock of any class, or securities convertible into shares of stock of any class, shall affect, and no adjustment by reason thereof shall be made with respect to, the number of shares of Common Stock subject to an Award or the grant or exercise price of any Award. The existence of the Plan, any Award Agreements and the Awards granted hereunder shall not affect or restrict in any way the right or power of the Company to make or authorize (i) any adjustment, recapitalization, reorganization or other change in the Company’s capital structure or its business, (ii) any merger, consolidation dissolution or liquidation of the Company or sale of Company assets or (iii) any sale or issuance of securities, including without limitation, securities with rights superior to those of the Common Stock or which are convertible into or exchangeable for Common Stock. The Administrator may treat Participants and Awards (or portions thereof) differently under this Section 8.
9.
General Provisions Applicable to Awards.
(a)
Transferability of Awards. Except as the Administrator may otherwise determine or provide in an Award Agreement or otherwise, in any case in accordance with Applicable Laws, Awards shall not be sold, assigned, transferred, pledged or otherwise encumbered by the person to whom they are granted, either voluntarily or by operation of law, except by will or the laws of descent and distribution, and, during the life of the Participant, shall be exercisable only by the Participant. References to a Participant, to the extent relevant in the context, shall include references to authorized transferees.
(b)
Documentation. Each Award shall be evidenced in an Award Agreement, which may be in such form (written, electronic or otherwise) as the Administrator shall determine. Each Award may contain terms and conditions in addition to those set forth in the Plan.
(c)
Discretion. Except as otherwise provided by the Plan, each Award may be made alone or in addition or in relation to any other Award. The terms of each Award to a Participant need not be identical, and the Administrator need not treat Participants or Awards (or portions thereof) uniformly.

7


 

(d)
Termination of Status. The Administrator shall determine the effect on an Award of the disability, death, retirement, authorized leave of absence or any other change or purported change in a Participant’s Service Provider status and the extent to which, and the period during which, the Participant, the Participant’s legal representative, conservator, guardian or Designated Beneficiary may exercise rights under the Award, if applicable.
(e)
Withholding. Each Participant shall pay to the Company, or make provision satisfactory to the Administrator for payment of, any taxes required by law to be withheld in connection with Awards to such Participant no later than the date of the event creating the tax liability. Except as the Administrator may otherwise determine, all such payments shall be made in cash or by certified check. Notwithstanding the foregoing, to the extent permitted by the Administrator, Participants may satisfy such tax obligations in whole or in part by delivery of shares of Common Stock, including shares retained from the Award creating the tax obligation, valued at their Fair Market Value. The Company may, to the extent permitted by Applicable Laws, deduct any such tax obligations from any payment of any kind otherwise due to a Participant.
(f)
Amendment of Award. The Administrator may amend, modify or terminate any outstanding Award, including but not limited to, substituting therefor another Award of the same or a different type, changing the date of exercise or settlement, and converting an Incentive Stock Option to a Non-Qualified Stock Option. The Participant’s consent to such action shall be required unless (i) the Administrator determines that the action, taking into account any related action, would not materially and adversely affect the Participant, or (ii) the change is permitted under Section 8 and 10(f) hereof.
(g)
Conditions on Delivery of Stock. The Company will not be obligated to deliver any shares of Common Stock pursuant to the Plan or to remove restrictions from shares previously delivered under the Plan until (i) all conditions of the Award have been met or removed to the satisfaction of the Company, (ii) in the opinion of the Company’s counsel, all other legal matters in connection with the issuance and delivery of such shares have been satisfied, including any applicable securities laws and any applicable stock exchange or stock market rules and regulations, and (iii) the Participant has executed and delivered to the Company such representations or agreements as the Administrator deems necessary or appropriate to satisfy the requirements of any Applicable Laws. The inability of the Company to obtain authority from any regulatory body having jurisdiction, which authority is determined by the Administrator to be necessary to the lawful issuance and sale of any securities hereunder, shall relieve the Company of any liability in respect of the failure to issue or sell such shares as to which such requisite authority shall not have been obtained.
(h)
Acceleration. The Administrator may at any time provide that any Award shall become immediately vested and/or exercisable in full or in part, free of some or all restrictions or conditions, or otherwise realizable in full or in part, as the case may be.
10.
Miscellaneous.
(a)
No Right To Employment or Other Status. No person shall have any claim or right to be granted an Award, and the grant of an Award shall not be construed as giving a Participant the right to continued employment or any other relationship with the Company. The Company expressly reserves the right at any time to dismiss or otherwise terminate its relationship with a Participant free from any liability or claim under the Plan or any Award, except as expressly provided in an applicable Award Agreement.
(b)
No Rights As Stockholder; Certificates. Subject to the provisions of the applicable Award Agreement, no Participant or Designated Beneficiary shall have any rights as a stockholder with respect to any shares of Common Stock to be distributed with respect to an Award until becoming the record

8


 

holder of such shares. Notwithstanding any other provision of the Plan, unless otherwise determined by the Administrator or required by any Applicable Laws, the Company shall not be required to deliver to any Participant certificates evidencing shares of Common Stock issued in connection with any Award and instead such shares of Common Stock may be recorded in the books of the Company (or, as applicable, its transfer agent or stock plan administrator). The Company may place legends on stock certificates issued under the Plan deemed necessary or appropriate by the Administrator in order to comply with Applicable Laws.
(c)
Effective Date and Term of Plan. The Plan shall become effective on the date on which it is adopted by the Board. No Awards shall be granted under the Plan after the completion of ten years from the earlier of (i) the date on which the Plan was adopted by the Board or (ii) the date the Plan was approved by the Company’s stockholders, but Awards previously granted may extend beyond that date in accordance with the terms of the Plan.
(d)
Amendment of Plan. The Administrator may amend, suspend or terminate the Plan or any portion thereof at any time; provided that no amendment of the Plan shall materially and adversely affect any Award outstanding at the time of such amendment without the consent of the affected Participant. Awards outstanding under the Plan at the time of any suspension or termination of the Plan shall continue to be governed in accordance with the terms of the Plan and the applicable Award Agreement, as in effect prior to such suspension or termination. The Board shall obtain stockholder approval of any Plan amendment to the extent necessary to comply with Applicable Laws.
(e)
Provisions for Foreign Participants. The Administrator may modify Awards granted to Participants who are foreign nationals or employed outside the United States or establish subplans or procedures under the Plan to address differences in laws, rules, regulations or customs of such foreign jurisdictions with respect to tax, securities, currency, employee benefit or other matters.
(f)
Section 409A.
(i)
General. The Company intends that all Awards be structured in compliance with, or to satisfy an exemption from, Section 409A, such that no adverse tax consequences, interest, or penalties under Section 409A apply in connection with any Awards. Notwithstanding anything herein or in any Award Agreement to the contrary, the Administrator may, without a Participant’s prior consent, amend this Plan and/or Awards, adopt policies and procedures, or take any other actions (including amendments, policies, procedures and actions with retroactive effect) as are necessary or appropriate to preserve the intended tax treatment of Awards under the Plan, including without limitation, any such actions intended to (A) exempt this Plan and/or any Award from the application of Section 409A, and/or (B) comply with the requirements of Section 409A, including without limitation any such regulations, guidance, compliance programs and other interpretative authority that may be issued after the date of grant of any Award. The Company makes no representations or warranties as to the tax treatment of any Award under Section 409A or otherwise. The Company shall have no obligation under this Section 10(f) or otherwise to take any action (whether or not described herein) to avoid the imposition of taxes, penalties or interest under Section 409A with respect to any Award and shall have no liability to any Participant or any other person if any Award, compensation or other benefits under the Plan are determined to constitute non-compliant, “nonqualified deferred compensation” subject to the imposition of taxes, penalties and/or interest under Section 409A.
(ii)
Separation from Service. With respect to any Award that constitutes “nonqualified deferred compensation” under Section 409A, any payment or settlement of such Award that is to be made upon a termination of a Participant’s Service Provider relationship shall, to the extent necessary to avoid the imposition of taxes under Section 409A, be made only upon

9


 

the Participant’s “separation from service” (within the meaning of Section 409A), whether such “separation from service” occurs upon or subsequent to the termination of the Participant’s Service Provider relationship. For purposes of any such provision of this Plan or any Award Agreement relating to any such payments or benefits, references to a “termination,” “termination of employment” or like terms shall mean “separation from service.”
(iii)
Payments to Specified Employees. Notwithstanding any contrary provision in the Plan or any Award Agreement, any payment(s) of “nonqualified deferred compensation” that are otherwise required to be made under an Award to a “specified employee” (as defined under Section 409A and determined by the Administrator) as a result of his or her “separation from service” shall, to the extent necessary to avoid the imposition of taxes under Code Section 409A(a)(2)(B)(i), be delayed until the expiration of the six-month period immediately following such “separation from service” (or, if earlier, until the date of death of the specified employee) and shall instead be paid (in a manner set forth in the Award agreement) on the day that immediately follows the end of such six-month period or as soon as administratively practicable thereafter (without interest). Any payments of “nonqualified deferred compensation” under such Award that are, by their terms, payable more than six months following the Participant’s “separation from service” shall be paid at the time or times such payments are otherwise scheduled to be made.
(g)
Limitations on Liability. Notwithstanding any other provisions of the Plan, no individual acting as a director, officer, other employee or agent of the Company will be liable to any Participant, former Participant, spouse, beneficiary, or any other person for any claim, loss, liability, or expense incurred in connection with the Plan or any Award, nor will such individual be personally liable with respect to the Plan because of any contract or other instrument he or she executes in his or her capacity as an Administrator, director, officer, other employee or agent of the Company. The Company will indemnify and hold harmless each director, officer, other employee and agent of the Company to whom any duty or power relating to the administration or interpretation of the Plan has been or will be granted or delegated, against any cost or expense (including attorneys’ fees) or liability (including any sum paid in settlement of a claim with the Administrator’s approval) arising out of any act or omission to act concerning this Plan unless arising out of such person’s own fraud or bad faith.
(h)
Lock-Up Period. The Company may, at the request of any representative of the underwriters (the “Managing Underwriter”) or otherwise, in connection with any registration of the offering of any securities of the Company under the Securities Act, prohibit Participants from, directly or indirectly, selling or otherwise transferring any shares of Common Stock or other securities of the Company during a period of up to one hundred eighty days following the effective date of a registration statement of the Company filed under the Securities Act.
(i)
Right of First Refusal.
(i)
Before any shares of Common Stock held by a Participant or any permitted transferee (each, a “Holder”) may be sold, pledged, assigned, hypothecated, transferred, or otherwise disposed of (each, a “Transfer”), the Company or its assignee(s) shall have a right of first refusal to purchase the shares of Common Stock proposed to be Transferred on the terms and conditions set forth in this Section 10(i) (the “Right of First Refusal”). In the event that the Company’s charter, bylaws and/or a stockholders’ agreement applicable to the shares of Common Stock contain a right of first refusal with respect to the shares of Common Stock, such right of first refusal shall apply to the shares of Common Stock to the extent such provisions are more restrictive than the Right of First Refusal set forth in this Section 10(i) and the Right of First Refusal set forth in this Section 10(i) shall not in any way restrict the operation of the Company’s charter, bylaws or the operation of any applicable stockholders’ agreement.

10


 

(ii)
In the event any Holder desires to Transfer any shares of Common Stock, the Holder shall deliver to the Company a written notice (the “Notice”) stating: (A) the Holder’s bona fide intention to sell or otherwise Transfer such shares of Common Stock; (B) the name of each proposed purchaser or other transferee (“Proposed Transferee”); (C) the number of shares of Common Stock to be Transferred to each Proposed Transferee; and (D) the price for which the Holder proposes to Transfer the shares of Common Stock (the “Offered Price”), and the Holder shall offer such shares of Common Stock at the Offered Price to the Company or its assignee(s).
(iii)
Within twenty-five days after receipt of the Notice, the Company and/or its assignee(s) may elect in writing to purchase all, but not less than all, of the shares of Common Stock proposed to be Transferred to any one or more of the Proposed Transferees by delivery of a written exercise notice to the Holder (a “Company Notice”). The purchase price (“Purchase Price”) for the shares of Common Stock repurchased under this Section 10(i) shall be the Offered Price.
(iv)
Payment of the Purchase Price shall be made, at the option of the Company or its assignee(s), in cash (by check or wire transfer), by cancellation of all or a portion of any outstanding indebtedness of the Holder to the Company (or, in the case of repurchase by an assignee, to the assignee), or by any combination thereof, within five days after delivery of the Company Notice or in the manner and at the times mutually agreed to by the Company and the Holder. Should the Offered Price specified in the Notice be payable in property other than cash, the Company or its assignee shall have the right to pay the purchase price in the form of cash equal in amount to the value of such property, as determined by the Administrator.
(v)
If all or a portion of the shares of Common Stock proposed in the Notice to be Transferred are not purchased by the Company and/or its assignee(s) as provided in this Section 10(i), then the Holder may sell or otherwise Transfer such shares of Common Stock to that Proposed Transferee at the Offered Price or at a higher price; provided that such sale or other Transfer is consummated within sixty days after the date of the Notice; and provided, further, that any such sale or other Transfer is effected in accordance with any Applicable Laws and the Proposed Transferee agrees in writing that the provisions of this Plan and the applicable Award Agreement and any other applicable agreements governing the shares of Common Stock to be Transferred shall continue to apply to the shares of Common Stock in the hands of such Proposed Transferee. If the shares of Common Stock described in the Notice are not Transferred to the Proposed Transferee within such sixty-day period, a new Notice shall be given to the Company, and the Company and/or its assignees shall again be offered the Right of First Refusal, as provided herein, before any shares of Common Stock held by the Holder may be sold or otherwise Transferred.
(vi)
Anything to the contrary contained in this Section 10(i) notwithstanding and to the extent permitted by the Administrator, the Transfer of any or all of the shares of Common Stock during a Participant’s lifetime or upon a Participant’s death by will or intestacy to the Participant’s Immediate Family or a trust for the benefit of the Participant’s Immediate Family shall be exempt from the Right of First Refusal. As used herein, “Immediate Family” shall mean spouse, lineal descendant or antecedent, father, mother, brother or sister or stepchild (whether or not adopted). In such case, the transferee or other recipient shall receive and hold the shares of Common Stock so Transferred subject to the provisions of this Plan (including the Right of First Refusal), the applicable Award Agreement and any other applicable agreements governing the shares of Common Stock to be Transferred, and there shall be no further Transfer of such shares of Common Stock except in accordance with the terms of this Section 10(i) (or otherwise as expressly provided under the Plan).

11


 

(vii)
The Right of First Refusal shall terminate as to all shares of Common Stock if the Company becomes a Publicly Listed Company upon such occurrence.
(j)
Data Privacy. As a condition of receipt of any Award, each Participant explicitly and unambiguously consents to the collection, use and transfer, in electronic or other form, of personal data as described in this paragraph by and among, as applicable, the Company and its subsidiaries and affiliates for the exclusive purpose of implementing, administering and managing the Participant’s participation in the Plan. The Company and its subsidiaries and affiliates may hold certain personal information about a Participant, including but not limited to, the Participant’s name, home address and telephone number, date of birth, social security or insurance number or other identification number, salary, nationality, job title(s), any shares of stock held in the Company or any of its subsidiaries and affiliates, details of all Awards, in each case, for the purpose of implementing, managing and administering the Plan and Awards (the “Data”). The Company and its subsidiaries and affiliates may transfer the Data amongst themselves as necessary for the purpose of implementation, administration and management of a Participant’s participation in the Plan, and the Company and its subsidiaries and affiliates may each further transfer the Data to any third parties assisting the Company in the implementation, administration and management of the Plan. These recipients may be located in the Participant’s country, or elsewhere, and the Participant’s country may have different data privacy laws and protections than the recipients’ country. Through acceptance of an Award, each Participant authorizes such recipients to receive, possess, use, retain and transfer the Data, in electronic or other form, for the purposes of implementing, administering and managing the Participant’s participation in the Plan, including any requisite transfer of such Data as may be required to a broker or other third party with whom the Company or the Participant may elect to deposit any shares of Common Stock. The Data related to a Participant will be held only as long as is necessary to implement, administer, and manage the Participant’s participation in the Plan. A Participant may, at any time, view the Data held by the Company with respect to such Participant, request additional information about the storage and processing of the Data with respect to such Participant, recommend any necessary corrections to the Data with respect to the Participant or refuse or withdraw the consents herein in writing, in any case without cost, by contacting his or her local human resources representative. The Company may cancel Participant’s ability to participate in the Plan and, in the Administrator’s discretion, the Participant may forfeit any outstanding Awards if the Participant refuses or withdraws his or her consents as described herein. For more information on the consequences of refusal to consent or withdrawal of consent, Participants may contact their local human resources representative.
(k)
Severability. In the event any portion of the Plan or any action taken pursuant thereto shall be held illegal or invalid for any reason, the illegality or invalidity shall not affect the remaining parts of the Plan, and the Plan shall be construed and enforced as if the illegal or invalid provisions had not been included, and the illegal or invalid action shall be null and void.
(l)
Governing Documents. In the event of any contradiction between the Plan and any Award Agreement or any other written agreement between a Participant and the Company or any Subsidiary of the Company that has been approved by the Administrator, the terms of the Plan shall govern, unless it is expressly specified in such Award Agreement or other written document that a specific provision of the Plan shall not apply.
(m)
Governing Law. The provisions of the Plan and all Awards made hereunder shall be governed by and interpreted in accordance with the laws of the State of Delaware, disregarding choice-of-law principles of the law of any state that would require the application of the laws of a jurisdiction other than such state.
(n)
Restrictions on Shares; Claw-Back Provisions. Shares of Common Stock acquired in respect of Awards shall be subject to such terms and conditions as the Administrator shall determine, including, without limitation, restrictions on the transferability of shares of Common Stock, the right of the

12


 

Company to repurchase shares of Common Stock, the right of the Company to require that shares of Common Stock be transferred in the event of certain transactions, tag-along rights, bring-along rights, redemption and co-sale rights and voting requirements. Such terms and conditions may be additional to those contained in the Plan and may, as determined by the Administrator, be contained in the applicable Award Agreement or in an exercise notice, stockholders’ agreement or in such other agreement as the Administrator shall determine, in each case in a form determined by the Administrator. The issuance of such shares of Common Stock shall be conditioned on the Participant’s consent to such terms and conditions and the Participant’s entering into such agreement or agreements. All Awards (including any proceeds, gains or other economic benefit actually or constructively received by Participant upon any receipt or exercise of any Award or upon the receipt or resale of any shares of Common Stock underlying the Award) shall be subject to the provisions of any claw-back policy implemented by the Company, including, without limitation, any claw-back policy adopted to comply with the requirements of the Dodd-Frank Wall Street Reform and Consumer Protection Act and any rules or regulations promulgated thereunder, to the extent set forth in such claw-back policy and/or in the applicable Award Agreement. Notwithstanding the foregoing, it shall be a condition to the issuance of any shares of Common Stock pursuant to an Award under this Plan that the Participant shall agree in writing to be bound by the terms and conditions of, and become a party to, any stockholders’ agreement of the Company.
(o)
Titles and Headings. The titles and headings of the Sections in the Plan are for convenience of reference only and, in the event of any conflict, the text of the Plan, rather than such titles or headings, shall control.
(p)
Conformity to Securities Laws. Participant acknowledges that the Plan is intended to conform to the extent necessary with all provisions of the Securities Act and the Exchange Act and any and all regulations and rules promulgated by the Securities and Exchange Commission thereunder, and state securities laws and regulations. Notwithstanding anything herein to the contrary, the Plan and all Awards granted hereunder shall be administered only in such a manner as to conform to such laws, rules and regulations. To the extent permitted by Applicable Laws, the Plan and all Award Agreements shall be deemed amended to the extent necessary to conform to such laws, rules and regulations.
11.
Definitions. As used in the Plan, the following words and phrases shall have the following meanings:
(a)
Administrator” means the Board or a Committee to the extent that the Board’s powers or authority under the Plan have been delegated to such Committee.
(b)
Applicable Laws” means the requirements relating to the administration of equity incentive plans under U.S. federal and state securities, tax and other applicable laws, rules and regulations, the applicable rules of any stock exchange or quotation system on which the Common Stock is listed or quoted and the applicable laws and rules of any foreign country or other jurisdiction where Awards are granted or issued under the Plan.
(c)
Award” means, individually or collectively, a grant under the Plan of Options, Restricted Stock, Restricted Stock Units or Other Stock-Based Awards.
(d)
Award Agreement” means a written agreement evidencing an Award, which agreements may be in electronic medium and shall contain such terms and conditions with respect to an Award as the Administrator shall determine, consistent with and subject to the terms and conditions of the Plan.
(e)
Board” means the Board of Directors of the Company.

13


 

(f)
Cause,” with respect to a Participant, means “Cause” (or any term of similar effect) as defined in such Participant’s employment agreement with the Company if such an agreement exists and contains a definition of Cause (or term of similar effect), or, if no such agreement exists or such agreement does not contain a definition of Cause (or term of similar effect), then Cause shall include, but not be limited to: (i) the Participant’s unauthorized use or disclosure of confidential information or trade secrets of the Company or any material breach of a written agreement between the Participant and the Company, including without limitation a material breach of any employment, confidentiality, non-compete, non-solicit or similar agreement; (ii) the Participant’s commission of, indictment for or the entry of a plea of guilty or nolo contendere by the Participant to, a felony under the laws of the United States or any state thereof or any crime involving dishonesty or moral turpitude (or any similar crime in any jurisdiction outside the United States); (iii) the Participant’s gross negligence or willful misconduct or the Participant’s willful or repeated failure or refusal to substantially perform assigned duties; (iv) any act of fraud, embezzlement, material misappropriation or dishonesty committed by the Participant against the Company; or (v) any acts, omissions or statements by a Participant which the Company reasonably determines to be materially detrimental or damaging to the reputation, operations, prospects or business relations of the Company.
(g)
Change in Control” means (i) a merger or consolidation of the Company with or into any other corporation or other entity or person, (ii) a sale, lease, exchange or other transfer in one transaction or a series of related transactions of all or substantially all of the Company’s assets, or (iii) any other transaction, including the sale by the Company of new shares of its capital stock or a transfer of existing shares of capital stock of the Company, the result of which is that a third party that is not an affiliate of the Company or its stockholders (or a group of third parties not affiliated with the Company or its stockholders) immediately prior to such transaction acquires or holds capital stock of the Company representing a majority of the Company’s outstanding voting power immediately following such transaction; provided that the following events shall not constitute a “Change in Control”: (A) a transaction (other than a sale of all or substantially all of the Company’s assets) in which the holders of the voting securities of the Company immediately prior to the merger or consolidation hold, directly or indirectly, at least a majority of the voting securities in the successor corporation or its parent immediately after the merger or consolidation; (B) a sale, lease, exchange or other transaction in one transaction or a series of related transactions of all or substantially all of the Company’s assets to an affiliate of the Company; (C) an initial public offering of any of the Company’s securities; (D) a reincorporation of the Company solely to change its jurisdiction; or (E) a transaction undertaken for the primary purpose of creating a holding company that will be owned in substantially the same proportion by the persons who held the Company’s securities immediately before such transaction. Notwithstanding the foregoing, if a Change in Control would give rise to a payment or settlement event with respect to any Award that constitutes “nonqualified deferred compensation,” the transaction or event constituting the Change in Control must also constitute a “change in control event” (as defined in Treasury Regulation §1.409A-3(i)(5)) in order to give rise to the payment or settlement event for such Award, to the extent required by Section 409A.
(h)
Code” means the Internal Revenue Code of 1986, as amended, and the regulations issued thereunder.
(i)
Committee” means one or more committees or subcommittees of the Board, which may be comprised of one or more directors and/or executive officers of the Company, in either case, to the extent permitted in accordance with Applicable Laws.
(j)
Common Stock” means the common stock of the Company.
(k)
Company” means Oncternal Therapeutics, Inc., a Delaware corporation, or any successor thereto. Except where the context otherwise requires, the term “Company” includes any of the Company’s present or future parent or subsidiary corporations as defined in Sections 424(e) or (f) of the

14


 

Code and any other business venture (including, without limitation, joint venture or limited liability company) in which the Company has a significant interest, as determined by the Administrator.
(l)
Consultantmeans any person, including any advisor, engaged by the Company or a parent or subsidiary of the Company to render services to such entity.
(m)
Designated Beneficiarymeans the beneficiary or beneficiaries designated, in a manner determined by the Administrator, by a Participant to receive amounts due or exercise rights of the Participant in the event of the Participant’s death or incapacity. In the absence of an effective designation by a Participant, “Designated Beneficiary” shall mean the Participant’s estate.
(n)
Director means a member of the Board.
(o)
Disability” means a permanent and total disability within the meaning of Section 22(e)(3) of the Code, as it may be amended from time to time.
(p)
Dividend Equivalents” means a right granted to a Participant pursuant to Section 6(d)(3) hereof to receive the equivalent value (in cash or shares of Common Stock) of dividends paid on shares of Common Stock.
(q)
Employee” means any person, including officers and Directors, employed by the Company (within the meaning of Section 3401(c) of the Code) or any parent or subsidiary of the Company.
(r)
Equity Restructuring” means, as determined by the Administrator, a non-reciprocal transaction between the Company and its stockholders, such as a stock dividend, stock split, spin-off or recapitalization through a large, nonrecurring cash dividend, that affects the shares of Common Stock (or other securities of the Company) or the share price of Common Stock (or other securities of the Company) and causes a change in the per share value of the Common Stock underlying outstanding Awards.
(s)
Exchange Act means the Securities Exchange Act of 1934, as amended.
(t)
Fair Market Value” means, as of any date, the value of Stock determined as follows: (i) if the Common Stock is listed on any established stock exchange, its Fair Market Value shall be the closing sales price for such Common Stock as quoted on such exchange for such date, or if no sale occurred on such date, the first market trading day immediately prior to such date during which a sale occurred, as reported in The Wall Street Journal or such other source as the Administrator deems reliable; (ii) if the Common Stock is not traded on a stock exchange but is quoted on a national market or other quotation system, the last sales price on such date, or if no sales occurred on such date, then on the date immediately prior to such date on which sales prices are reported, as reported in The Wall Street Journal or such other source as the Administrator deems reliable; or (iii) in the absence of an established market for the Common Stock, the Fair Market Value thereof shall be determined by the Administrator.
(u)
Good Reason” shall mean (a) a change in the Participant’s position with the Company (or its subsidiary employing the Participant) that materially reduces the Participant’s authority, duties or responsibilities, (b) a material diminution in the Participant’s level of base compensation, except in connection with a general reduction in the base compensation of the Company’s personnel with similar status and responsibilities or (c) a relocation of the Participant’s place of employment by more than 50 miles, provided that such change, reduction or relocation is effected by the Company (or its subsidiary employing the Participant) without the Participant’s consent. Notwithstanding the foregoing, Good Reason shall only exist if Participant shall have provided the Company with written notice within sixty (60) days of the initial occurrence of any of the foregoing events or conditions, and the Company or any successor or affiliate fails to eliminate the conditions constituting Good Reason within thirty (30) days after receipt of

15


 

written notice of such event or condition from Participant. Participant's resignation from employment with the Company for “Good Reason” must occur within six (6) months following the initial occurrence of one of the foregoing events or conditions. Notwithstanding the foregoing, if Participant is a party to a written employment or consulting agreement with the Company (or its subsidiary) in which the term “good reason” is defined, then “Good Reason” shall be as such term is defined in the applicable written employment or consulting agreement.
(v)
Incentive Stock Option” means an “incentive stock option” as defined in Section 422 of the Code.
(w)
Non-Qualified Stock Optionmeans an Option that is not intended to be or otherwise does not qualify as an Incentive Stock Option.
(x)
Option” means an option to purchase Common Stock.
(y)
Other Stock-Based Awards” means other Awards of shares of Common Stock, and other Awards that are valued in whole or in part by reference to, or are otherwise based on, shares of Common Stock or other property.
(z)
Participant means a Service Provider who has been granted an Award under the Plan.
(aa)
Plan” means this 2015 Equity Incentive Plan.
(bb)
Publicly Listed Company” means that the Company or its successor (i) is required to file periodic reports pursuant to Section 12 of the Exchange Act and (ii) the Common Stock is listed on one or more National Securities Exchanges (within the meaning of the Exchange Act) or is quoted on NASDAQ or a successor quotation system.
(cc)
Restricted Stock” means Common Stock awarded to a Participant pursuant to Section 6 hereof that is subject to certain vesting conditions and other restrictions.
(dd)
Restricted Stock Unit” means an unfunded, unsecured right to receive, on the applicable settlement date, one share of Common Stock or an amount in cash or other consideration determined by the Administrator equal to the value thereof as of such payment date, which right may be subject to certain vesting conditions and other restrictions.
(ee)
Section 409A” means Section 409A of the Code and all regulations, guidance, compliance programs and other interpretative authority thereunder.
(ff)
Securities Act” means the Securities Act of 1933, as amended from time to time.
(gg)
Service Provider” means an Employee, Consultant or Director.
(hh)
Termination of Service” means the date the Participant ceases to be a Service Provider.

16


 

ONCTERNAL THERAPEUTICS, INC.

2015 EQUITY INCENTIVE PLAN

CALIFORNIA SUPPLEMENT

The Administrator has adopted this supplement for purposes of satisfying the requirements of Section 25102(o) of the California Corporations Code and the regulations issued thereunder (“Section 25102(o)”). Notwithstanding anything to the contrary contained in the Plan and except as otherwise determined by the Administrator, the provisions set forth in this supplement shall apply to all Awards granted under the Plan to a Participant who is a resident of the State of California on the date of grant (a “California Participant”) and which are intended to be exempt from registration in California pursuant to Section 25102(o). This supplement shall not apply to Awards granted to California Participants or after the date on which the Company becomes a Publicly Listed Company. Definitions in the Plan are applicable to this supplement.

12.
Additional Limitations On Options.
(a)
Maximum Duration of Options. No Options granted to California Participants will be granted for a term in excess of 10 years.
(b)
Minimum Exercise Period Following Termination. Unless a California Participant’s Service Provider relationship is terminated for Cause, in the event of termination of such Participant’s Service Provider relationship, to the extent required by Applicable Laws, he or she shall have the right to exercise an Option, to the extent that he or she was otherwise entitled to exercise such Option on the date employment terminated, as follows: (i) at least six months from the date of termination, if termination was caused by such Participant’s death or Disability and (ii) at least 30 days from the date of termination, if termination was caused other than by such Participant’s death or Disability.
13.
Additional Limitations For Restricted Stock Awards, Restricted Stock Units and Other Stock-Based Awards. The terms of all Restricted Stock Awards, Restricted Stock Units and Other Stock-Based Awards granted to California Participants shall comply, to the extent applicable, with Section 260.140.41 or Section 260.140.42 of the California Code of Regulations.
14.
Adjustments. The Administrator will make such adjustments to an Award held by a California Participant as may be required by Section 260.140.41 or Section 260.140.42 of the California Code of Regulations.
15.
Additional Requirement To Provide Information To California Participants. To the extent required by Section 260.140.46 of the California Code of Regulations, the Company shall provide to each California Participant and to each California Participant who acquires Common Stock pursuant to the Plan, not less frequently than annually, copies of annual financial statements (which need not be audited). The Company shall not be required to provide such statements to key persons whose duties in connection with the Company assure their access to equivalent information. In addition, this information requirement shall not apply to the Plan to the extent that it complies with all conditions of Rule 701 of the Securities Act (“Rule 701”) as determined by the Administrator; provided that for purposes of determining such compliance, any registered domestic partner shall be considered a “family member” as that term is defined in Rule 701.
16.
Stockholder Approval; Additional Limitations On Timing Of Awards. The Plan will be submitted for the approval of the Company’s stockholders within twelve (12) months after the date of the Board’s adoption of the Plan. Awards may be granted or awarded prior to such stockholder approval; provided that no Award granted to a California Participant shall become exercisable, vested or realizable,

 


 

as applicable to such Award, unless the Plan has been approved by the Company’s stockholders within twelve months before or after the date the Plan was adopted by the Administrator; and provided, further, that if such approval has not been obtained at the end of said twelve-month period, all Awards previously granted or awarded under the Plan to California Participants shall thereupon be canceled and become null and void.

18

 


EX-10.16

EXHIBIT 10.16

 

Oncternal Therapeutics, Inc.

2019 INCENTIVE AWARD PLAN

This plan document has been updated to reflect the Company’s one-for-twenty reverse stock split effected by the Company on January 8, 2024.

ARTICLE I.

Purpose

The Plan’s purpose is to enhance the Company’s ability to attract, retain and motivate persons who make (or are expected to make) important contributions to the Company by providing these individuals with equity ownership opportunities. Capitalized terms used in the Plan are defined in Article XI.

ARTICLE II.

Eligibility

Service Providers are eligible to be granted Awards under the Plan, subject to the limitations described herein.

ARTICLE III.

Administration and Delegation
3.1
Administration. The Plan is administered by the Administrator. The Administrator has authority to determine which Service Providers receive Awards, grant Awards and set Award terms and conditions, subject to the conditions and limitations in the Plan. The Administrator also has the authority to take all actions and make all determinations under the Plan, to interpret the Plan and Award Agreements and to adopt, amend and repeal Plan administrative rules, guidelines and practices as it deems advisable. The Administrator may correct defects and ambiguities, supply omissions and reconcile inconsistencies in the Plan or any Award as it deems necessary or appropriate to administer the Plan and any Awards. The Administrator’s determinations under the Plan are in its sole discretion and will be final and binding on all persons having or claiming any interest in the Plan or any Award.
3.2
Appointment of Committees. To the extent Applicable Laws permit, the Board may delegate any or all of its powers under the Plan to one or more Committees or officers of the Company or any of its Subsidiaries. The Board may abolish any Committee or re-vest in itself any previously delegated authority at any time.
ARTICLE IV.

Stock Available for Awards
4.1
Number of Shares. Subject to adjustment under Article VIII and the terms of this Article IV, Awards may be made under the Plan covering up to the Overall Share Limit. As of the Effective Date, the Company will cease granting awards under the Prior Plan; however, Prior Plan Awards will remain subject to the terms of the applicable Prior Plan. Shares issued under the Plan may consist of authorized but unissued Shares, Shares purchased on the open market or treasury Shares.
4.2
Share Recycling. If all or any part of an Award or Prior Plan Award expires, lapses or is terminated, exchanged for cash, surrendered, repurchased, canceled without having been fully exercised or forfeited, in any case, in a manner that results in the Company acquiring Shares covered by the Award or

 


 

Prior Plan Award at a price not greater than the price (as adjusted to reflect any Equity Restructuring) paid by the Participant for such Shares or not issuing any Shares covered by the Award or Prior Plan Award, the unused Shares covered by the Award or Prior Plan Award will, as applicable, become or again be available for Award grants under the Plan. Further, Shares delivered (either by actual delivery or attestation) to the Company by a Participant to satisfy the applicable exercise or purchase price of an Award or Prior Plan Award and/or to satisfy any applicable tax withholding obligation (including Shares retained by the Company from the Award or Prior Plan Award being exercised or purchased and/or creating the tax obligation) will, as applicable, become or again be available for Award grants under the Plan. The payment of Dividend Equivalents in cash in conjunction with any outstanding Awards or Prior Plan Awards shall not count against the Overall Share Limit.
4.3
Incentive Stock Option Limitations. Notwithstanding anything to the contrary herein, no more than 357,142 Shares may be issued pursuant to the exercise of Incentive Stock Options.
4.4
Substitute Awards. In connection with an entity’s merger or consolidation with the Company or the Company’s acquisition of an entity’s property or stock, the Administrator may grant Awards in substitution for any Options or other stock or stock-based awards granted before such merger or consolidation by such entity or its affiliate. Substitute Awards may be granted on such terms as the Administrator deems appropriate, notwithstanding limitations on Awards in the Plan. Substitute Awards will not count against the Overall Share Limit (nor shall Shares subject to a Substitute Award be added to the Shares available for Awards under the Plan as provided above), except that Shares acquired by exercise of substitute Incentive Stock Options will count against the maximum number of Shares that may be issued pursuant to the exercise of Incentive Stock Options under the Plan. Additionally, in the event that a company acquired by the Company or any Subsidiary or with which the Company or any Subsidiary combines has shares available under a pre-existing plan approved by stockholders and not adopted in contemplation of such acquisition or combination, the shares available for grant pursuant to the terms of such pre-existing plan (as adjusted, to the extent appropriate, using the exchange ratio or other adjustment or valuation ratio or formula used in such acquisition or combination to determine the consideration payable to the holders of common stock of the entities party to such acquisition or combination) may be used for Awards under the Plan and shall not reduce the Shares authorized for grant under the Plan (and Shares subject to such Awards shall not be added to the Shares available for Awards under the Plan as provided above); provided that Awards using such available shares shall not be made after the date awards or grants could have been made under the terms of the pre-existing plan, absent the acquisition or combination, and shall only be made to individuals who were not Employees or Directors prior to such acquisition or combination.
4.5
Non-Employee Director Compensation. Notwithstanding any provision to the contrary in the Plan, the Administrator may establish compensation for non-employee Directors from time to time, subject to the limitations in the Plan. The Administrator will from time to time determine the terms, conditions and amounts of all such non-employee Director compensation in its discretion and pursuant to the exercise of its business judgment, taking into account such factors, circumstances and considerations as it shall deem relevant from time to time, provided that the sum of any cash compensation, or other compensation, and the value (determined as of the grant date in accordance with Financial Accounting Standards Board Accounting Standards Codification Topic 718, or any successor thereto) of Awards granted to a non-employee Director as compensation for services as a non-employee Director during any fiscal year of the Company may not exceed $750,000 increased to $1,000,000 in the fiscal year of a non-employee Director’s initial service as a non-employee Director. The Administrator may make exceptions to this limit for individual non-employee Directors in extraordinary circumstances, as the Administrator may determine in its discretion, provided that the non-employee Director receiving such additional compensation may not participate in the decision to award such compensation or in other contemporaneous compensation decisions involving non-employee Directors.

2


 

ARTICLE V.

Stock Options and Stock Appreciation Rights
5.1
General. The Administrator may grant Options or Stock Appreciation Rights to Service Providers subject to the limitations in the Plan, including any limitations in the Plan that apply to Incentive Stock Options. The Administrator will determine the number of Shares covered by each Option and Stock Appreciation Right, the exercise price of each Option and Stock Appreciation Right and the conditions and limitations applicable to the exercise of each Option and Stock Appreciation Right. A Stock Appreciation Right will entitle the Participant (or other person entitled to exercise the Stock Appreciation Right) to receive from the Company upon exercise of the exercisable portion of the Stock Appreciation Right an amount determined by multiplying the excess, if any, of the Fair Market Value of one Share on the date of exercise over the exercise price per Share of the Stock Appreciation Right by the number of Shares with respect to which the Stock Appreciation Right is exercised, subject to any limitations of the Plan or that the Administrator may impose and payable in cash, Shares valued at Fair Market Value or a combination of the two as the Administrator may determine or provide in the Award Agreement.
5.2
Exercise Price. The Administrator will establish each Option’s and Stock Appreciation Right’s exercise price and specify the exercise price in the Award Agreement. The exercise price will not be less than 100% of the Fair Market Value on the grant date of the Option or Stock Appreciation Right.
5.3
Duration. Each Option or Stock Appreciation Right will be exercisable at such times and as specified in the Award Agreement, provided that the term of an Option or Stock Appreciation Right will not exceed ten (10) years. Notwithstanding the foregoing and unless determined otherwise by the Company, in the event that on the last business day of the term of an Option or Stock Appreciation Right (other than an Incentive Stock Option) (i) the exercise of the Option or Stock Appreciation Right is prohibited by Applicable Law, as determined by the Company, or (ii) Shares may not be purchased or sold by the applicable Participant due to any Company insider trading policy (including blackout periods) or a “lock-up” agreement undertaken in connection with an issuance of securities by the Company, the term of the Option or Stock Appreciation Right shall be extended until the date that is thirty (30) days after the end of the legal prohibition, black-out period or lock-up agreement, as determined by the Company; provided, however, in no event shall the extension last beyond the ten- (10)-year term of the applicable Option or Stock Appreciation Right. Notwithstanding the foregoing, if the Participant, prior to the end of the term of an Option or Stock Appreciation Right, violates the non-competition, non-solicitation, confidentiality or other similar restrictive covenant provisions of any employment contract, confidentiality and nondisclosure agreement or other agreement between the Participant and the Company or any of its Subsidiaries, the right of the Participant and the Participant’s transferees to exercise any Option or Stock Appreciation Right issued to the Participant shall terminate immediately upon such violation, unless the Company otherwise determines. In addition, if, prior to the end of the term of an Option or Stock Appreciation Right, the Participant is given notice by the Company or any of its Subsidiaries of the Participant’s Termination of Service by the Company or any of its Subsidiaries for Cause, and the effective date of such Termination of Service is subsequent to the date of the delivery of such notice, the right of the Participant and the Participant’s transferees to exercise any Option or Stock Appreciation Right issued to the Participant shall be suspended from the time of the delivery of such notice until the earlier of (i) such time as it is determined or otherwise agreed that the Participant’s service as a Service Provider will not be terminated for Cause as provided in such notice or (ii) the effective date of the Participant’s Termination of Service by the Company or any of its Subsidiaries for Cause (in which case the right of the Participant and the Participant’s transferees to exercise any Option or Stock Appreciation Right issued to the Participant will terminate immediately upon the effective date of such Termination of Service).
5.4
Exercise. Options and Stock Appreciation Rights may be exercised by delivering to the Company a written notice of exercise, in a form the Administrator approves (which may be electronic),

3


 

signed by the person authorized to exercise the Option or Stock Appreciation Right, together with, as applicable, payment in full (i) as specified in Section 5.5 for the number of Shares for which the Award is exercised and (ii) as specified in Section 9.5 for any applicable taxes. Unless the Administrator otherwise determines, an Option or Stock Appreciation Right may not be exercised for a fraction of a Share.
5.5
Payment Upon Exercise. Subject to any Company insider trading policy (including blackout periods) and Applicable Laws, the exercise price of an Option must be paid by:
(a)
cash, wire transfer of immediately available funds or by check payable to the order of the Company, provided that the Company may limit the use of one of the foregoing payment forms if one or more of the payment forms below is permitted;
(b)
if there is a public market for Shares at the time of exercise, unless the Company otherwise determines, (A) delivery (including electronically or telephonically to the extent permitted by the Company) of an irrevocable and unconditional undertaking by a broker acceptable to the Company to deliver promptly to the Company sufficient funds to pay the exercise price, or (B) the Participant’s delivery to the Company of a copy of irrevocable and unconditional instructions to a broker acceptable to the Company to deliver promptly to the Company cash or a check sufficient to pay the exercise price; provided that such amount is paid to the Company at such time as may be required by the Administrator;
(c)
to the extent permitted by the Administrator, delivery (either by actual delivery or attestation) of Shares owned by the Participant valued at their Fair Market Value;
(d)
to the extent permitted by the Administrator, surrendering Shares then issuable upon the Option’s exercise valued at their Fair Market Value on the exercise date;
(e)
to the extent permitted by the Administrator, delivery of a promissory note or any other property that the Administrator determines is good and valuable consideration; or
(f)
to the extent permitted by the Company, any combination of the above payment forms approved by the Administrator.
ARTICLE VI.

Restricted Stock; Restricted Stock Units
6.1
General. The Administrator may grant Restricted Stock, or the right to purchase Restricted Stock, to any Service Provider, subject to the Company’s right to repurchase all or part of such Shares at their issue price or other stated or formula price from the Participant (or to require forfeiture of such Shares) if conditions the Administrator specifies in the Award Agreement are not satisfied before the end of the applicable restriction period or periods that the Administrator establishes for such Award. In addition, the Administrator may grant to Service Providers Restricted Stock Units, which may be subject to vesting and forfeiture conditions during the applicable restriction period or periods, as set forth in an Award Agreement. The Administrator will determine and set forth in the Award Agreement the terms and conditions for each Restricted Stock and Restricted Stock Unit Award, subject to the conditions and limitations contained in the Plan.
6.2
Restricted Stock.
(a)
Dividends. Participants holding Shares of Restricted Stock will be entitled to all ordinary cash dividends paid with respect to such Shares, unless the Administrator provides otherwise in the Award Agreement. In addition, unless the Administrator provides otherwise, if any dividends or

4


 

distributions are paid in Shares, or consist of a dividend or distribution to holders of Common Stock of property other than an ordinary cash dividend, the Shares or other property will be subject to the same restrictions on transferability and forfeitability as the Shares of Restricted Stock with respect to which they were paid.
(b)
Stock Certificates. The Company may require that the Participant deposit in escrow with the Company (or its designee) any stock certificates issued in respect of Shares of Restricted Stock, together with a stock power endorsed in blank.
6.3
Restricted Stock Units.
(a)
Settlement. The Administrator may provide that settlement of Restricted Stock Units will occur upon or as soon as reasonably practicable after the Restricted Stock Units vest or will instead be deferred, on a mandatory basis or at the Participant’s election, in a manner intended to comply with Section 409A.
(b)
Stockholder Rights. A Participant will have no rights of a stockholder with respect to Shares subject to any Restricted Stock Unit unless and until the Shares are delivered in settlement of the Restricted Stock Unit.
(c)
Dividend Equivalents. If the Administrator provides, a grant of Restricted Stock Units may provide a Participant with the right to receive Dividend Equivalents. Dividend Equivalents may be paid currently or credited to an account for the Participant, settled in cash or Shares and subject to the same restrictions on transferability and forfeitability as the Restricted Stock Units with respect to which the Dividend Equivalents are granted and subject to other terms and conditions as set forth in the Award Agreement.
ARTICLE VII.

Other Stock or Cash Based Awards

Other Stock or Cash Based Awards may be granted to Participants, including Awards entitling Participants to receive Shares to be delivered in the future and including annual or other periodic or long-term cash bonus awards (whether based on specified Performance Criteria or otherwise), in each case subject to any conditions and limitations in the Plan. Such Other Stock or Cash Based Awards will also be available as a payment form in the settlement of other Awards, as standalone payments and as payment in lieu of compensation to which a Participant is otherwise entitled. Other Stock or Cash Based Awards may be paid in Shares, cash or other property, as the Administrator determines. Subject to the provisions of the Plan, the Administrator will determine the terms and conditions of each Other Stock or Cash Based Award, including any purchase price, performance goal (which may be based on the Performance Criteria), transfer restrictions, and vesting conditions, which will be set forth in the applicable Award Agreement.

ARTICLE VIII.

Adjustments for Changes in Common Stock
and Certain Other Events
8.1
Equity Restructuring. In connection with any Equity Restructuring, notwithstanding anything to the contrary in this Article VIII, the Administrator will equitably adjust each outstanding Award as it deems appropriate to reflect the Equity Restructuring, which may include adjusting the number and type of securities subject to each outstanding Award and/or the Award’s exercise price or grant price (if applicable), granting new Awards to Participants, and making a cash payment to Participants. The adjustments provided under this Section 8.1 will be nondiscretionary and final and binding on the affected

5


 

Participant and the Company; provided that the Administrator will determine whether an adjustment is equitable.
8.2
Corporate Transactions. In the event of any dividend or other distribution (whether in the form of cash, Common Stock, other securities, or other property), reorganization, merger, consolidation, combination, amalgamation, repurchase, recapitalization, liquidation, dissolution, or sale, transfer, exchange or other disposition of all or substantially all of the assets of the Company, or sale or exchange of Common Stock or other securities of the Company, Change in Control, issuance of warrants or other rights to purchase Common Stock or other securities of the Company, other similar corporate transaction or event, other unusual or nonrecurring transaction or event affecting the Company or its financial statements or any change in any Applicable Laws or accounting principles, the Administrator, on such terms and conditions as it deems appropriate, either by the terms of the Award or by action taken prior to the occurrence of such transaction or event (except that action to give effect to a change in Applicable Law or accounting principles may be made within a reasonable period of time after such change) and either automatically or upon the Participant’s request, is hereby authorized to take any one or more of the following actions whenever the Administrator determines that such action is appropriate in order to (x) prevent dilution or enlargement of the benefits or potential benefits intended by the Company to be made available under the Plan or with respect to any Award granted or issued under the Plan, (y) to facilitate such transaction or event or (z) give effect to such changes in Applicable Laws or accounting principles:
(a)
To provide for the cancellation of any such Award in exchange for either an amount of cash or other property with a value equal to the amount that could have been obtained upon the exercise or settlement of the vested portion of such Award or realization of the Participant’s rights under the vested portion of such Award, as applicable; provided that, if the amount that could have been obtained upon the exercise or settlement of the vested portion of such Award or realization of the Participant’s rights, in any case, is equal to or less than zero, then the Award may be terminated without payment;
(b)
To provide that such Award shall vest and, to the extent applicable, be exercisable as to all Shares covered thereby, notwithstanding anything to the contrary in the Plan or the provisions of such Award;
(c)
To provide that such Award be assumed by the successor or survivor corporation, or a parent or subsidiary thereof, or shall be substituted for by awards covering the stock of the successor or survivor corporation, or a parent or subsidiary thereof, with appropriate adjustments as to the number and kind of Shares and/or applicable exercise or purchase price, in all cases, as determined by the Administrator;
(d)
To make adjustments in the number and type of Shares (or other securities or property) subject to outstanding Awards and/or with respect to which Awards may be granted under the Plan (including, but not limited to, adjustments of the limitations in Article IV hereof on the maximum number and kind of Shares which may be issued) and/or in the terms and conditions of (including the grant or exercise price), and the criteria included in, outstanding Awards;
(e)
To replace such Award with other rights or property selected by the Administrator; and/or
(f)
To provide that the Award will terminate and cannot vest, be exercised or become payable after the applicable event.
8.3
Effect of Non-Assumption in a Change in Control. Notwithstanding the provisions of Section 8.2 above, if a Change in Control occurs and a Participant’s Awards are not continued, converted,

6


 

assumed, or replaced with a substantially similar award by (a) the Company, or (b) a Successor Entity (as defined below) or its parent or subsidiary (an “Assumption”), and provided that the Participant has not had a Termination of Service, then, immediately prior to the Change in Control, such Awards shall become fully vested, exercisable and/or payable, as applicable, and all forfeiture, repurchase and other restrictions on such Awards shall lapse, in which case, such Awards shall be canceled upon the consummation of the Change in Control in exchange for the right to receive the Change in Control consideration payable to other holders of Common Stock (i) which may be on such terms and conditions as apply generally to holders of Common Stock under the Change in Control documents (including, without limitation, any escrow, earn-out or other deferred consideration provisions) or such other terms and conditions as the Administrator may provide, and (ii) determined by reference to the number of Shares subject to such Awards and net of any applicable exercise price; provided that to the extent that any Awards constitute “nonqualified deferred compensation” that may not be paid upon the Change in Control under Section 409A without the imposition of taxes thereon under Section 409A, the timing of such payments shall be governed by the applicable Award Agreement (subject to any deferred consideration provisions applicable under the Change in Control documents); and provided, further, that if the amount to which a Participant would be entitled upon the settlement or exercise of such Award at the time of the Change in Control is equal to or less than zero, then such Award may be terminated without payment. The Administrator shall determine whether an Assumption of an Award has occurred in connection with a Change in Control.
8.4
Administrative Stand Still. In the event of any pending stock dividend, stock split, combination or exchange of Shares, merger, consolidation or other distribution (other than normal cash dividends) of Company assets to stockholders, or any other extraordinary transaction or change affecting the Shares or the share price of Common Stock, including any Equity Restructuring or any securities offering or other similar transaction, for administrative convenience, the Administrator may refuse to permit the exercise of any Award for up to sixty (60) days before or after such transaction.
8.5
General. Except as expressly provided in the Plan or the Administrator’s action under the Plan, no Participant will have any rights due to any subdivision or consolidation of Shares of any class, dividend payment, increase or decrease in the number of Shares of any class or dissolution, liquidation, merger, or consolidation of the Company or other corporation. Except as expressly provided with respect to an Equity Restructuring under Section 8.1 above or the Administrator’s action under the Plan, no issuance by the Company of Shares of any class, or securities convertible into Shares of any class, will affect, and no adjustment will be made regarding, the number of Shares subject to an Award or the Award’s grant or exercise price. The existence of the Plan, any Award Agreements and the Awards granted hereunder will not affect or restrict in any way the Company’s right or power to make or authorize (i) any adjustment, recapitalization, reorganization or other change in the Company’s capital structure or its business, (ii) any merger, consolidation dissolution or liquidation of the Company or sale of Company assets or (iii) any sale or issuance of securities, including securities with rights superior to those of the Shares or securities convertible into or exchangeable for Shares. The Administrator may treat Participants and Awards (or portions thereof) differently under this Article VIII.
ARTICLE IX.

General Provisions Applicable to Awards
9.1
Transferability. Except as the Administrator may determine or provide in an Award Agreement or otherwise for Awards other than Incentive Stock Options, Awards may not be sold, assigned, transferred, pledged or otherwise encumbered, either voluntarily or by operation of law, except by will or the laws of descent and distribution, or, subject to the Administrator’s consent, pursuant to a domestic relations order, and, during the life of the Participant, will be exercisable only by the Participant. References to a Participant, to the extent relevant in the context, will include references to a Participant’s authorized transferee that the Administrator specifically approves.

7


 

9.2
Documentation. Each Award will be evidenced in an Award Agreement, which may be written or electronic, as the Administrator determines. Each Award may contain terms and conditions in addition to those set forth in the Plan.
9.3
Discretion. Except as the Plan otherwise provides, each Award may be made alone or in addition or in relation to any other Award. The terms of each Award to a Participant need not be identical, and the Administrator need not treat Participants or Awards (or portions thereof) uniformly.
9.4
Termination of Status. The Administrator will determine how the disability, death, retirement, authorized leave of absence or any other change or purported change in a Participant’s Service Provider status affects an Award and the extent to which, and the period during which, the Participant, the Participant’s legal representative, conservator, guardian or Designated Beneficiary may exercise rights under the Award, if applicable.
9.5
Withholding. Each Participant must pay the Company, or make provision satisfactory to the Administrator for payment of, any taxes required by law to be withheld in connection with such Participant’s Awards by the date of the event creating the tax liability. The Company may deduct an amount sufficient to satisfy such tax obligations based on the applicable statutory withholding rates (or such other rate as may be determined by the Company after considering any accounting consequences or costs) from any payment of any kind otherwise due to a Participant. In the absence of a contrary determination by the Company (or, with respect to withholding pursuant to clause (ii) below with respect to Awards held by individuals subject to Section 16 of the Exchange Act, a contrary determination by the Administrator), all tax withholding obligations will be calculated based on the minimum applicable statutory withholding rates. Subject to any Company insider trading policy (including blackout periods), Participants may satisfy such tax obligations (i) in cash, by wire transfer of immediately available funds, by check made payable to the order of the Company, provided that the Company may limit the use of the foregoing payment forms if one or more of the payment forms below is permitted, (ii) to the extent permitted by the Administrator, in whole or in part by delivery of Shares, including Shares delivered by attestation and Shares retained from the Award creating the tax obligation, valued at their Fair Market Value on the date of delivery, (iii) if there is a public market for Shares at the time the tax obligations are satisfied, unless the Company otherwise determines, (A) delivery (including electronically or telephonically to the extent permitted by the Company) of an irrevocable and unconditional undertaking by a broker acceptable to the Company to deliver promptly to the Company sufficient funds to satisfy the tax obligations, or (B) delivery by the Participant to the Company of a copy of irrevocable and unconditional instructions to a broker acceptable to the Company to deliver promptly to the Company cash or a check sufficient to satisfy the tax withholding; provided that such amount is paid to the Company at such time as may be required by the Administrator, or (iv) to the extent permitted by the Company, any combination of the foregoing payment forms approved by the Administrator. Notwithstanding any other provision of the Plan, the number of Shares which may be so delivered or retained pursuant to clause (ii) of the immediately preceding sentence shall be limited to the number of Shares which have a Fair Market Value on the date of delivery or retention no greater than the aggregate amount of such liabilities based on the maximum individual statutory tax rate in the applicable jurisdiction at the time of such withholding (or such other rate as may be required to avoid the liability classification of the applicable award under generally accepted accounting principles in the United States of America); provided, however, to the extent such Shares were acquired by Participant from the Company as compensation, the Shares must have been held for the minimum period required by applicable accounting rules to avoid a charge to the Company’s earnings for financial reporting purposes; provided, further, that, any such Shares delivered or retained shall be rounded up to the nearest whole Share to the extent rounding up to the nearest whole Share does not result in the liability classification of the applicable Award under generally accepted accounting principles in the United States of America. If any tax withholding obligation will be satisfied under clause (ii) above by the Company’s retention of Shares from the Award creating the tax obligation and there is a public market for Shares at the time the tax obligation is satisfied, the Company

8


 

may elect to instruct any brokerage firm determined acceptable to the Company for such purpose to sell on the applicable Participant’s behalf some or all of the Shares retained and to remit the proceeds of the sale to the Company or its designee, and each Participant’s acceptance of an Award under the Plan will constitute the Participant’s authorization to the Company and instruction and authorization to such brokerage firm to complete the transactions described in this sentence.
9.6
Amendment of Award; Repricing. The Administrator may amend, modify or terminate any outstanding Award, including by substituting another Award of the same or a different type, changing the exercise or settlement date, and converting an Incentive Stock Option to a Non-Qualified Stock Option. The Participant’s consent to such action will be required unless (i) the action, taking into account any related action, does not materially and adversely affect the Participant’s rights under the Award, or (ii) the change is permitted under Article VIII or pursuant to Section 10.6. Notwithstanding the foregoing or anything in the Plan to the contrary, the Administrator may, without the approval of the stockholders of the Company, reduce the exercise price per share of outstanding Options or Stock Appreciation Rights or cancel outstanding Options or Stock Appreciation Rights in exchange for cash, other Awards or Options or Stock Appreciation Rights with an exercise price per share that is less than the exercise price per share of the original Options or Stock Appreciation Rights.
9.7
Conditions on Delivery of Stock. The Company will not be obligated to deliver any Shares under the Plan or remove restrictions from Shares previously delivered under the Plan until (i) all Award conditions have been met or removed to the Company’s satisfaction, (ii) as determined by the Company, all other legal matters regarding the issuance and delivery of such Shares have been satisfied, including any applicable securities laws and stock exchange or stock market rules and regulations, and (iii) the Participant has executed and delivered to the Company such representations or agreements as the Administrator deems necessary or appropriate to satisfy any Applicable Laws. The Company’s inability to obtain authority from any regulatory body having jurisdiction, which the Administrator determines is necessary to the lawful issuance and sale of any securities, will relieve the Company of any liability for failing to issue or sell such Shares as to which such requisite authority has not been obtained.
9.8
Acceleration. The Administrator may at any time provide that any Award will become immediately vested and fully or partially exercisable, free of some or all restrictions or conditions, or otherwise fully or partially realizable.
9.9
Additional Terms of Incentive Stock Options. The Administrator may grant Incentive Stock Options only to employees of the Company, any of its present or future parent or subsidiary corporations, as defined in Sections 424(e) or (f) of the Code, respectively, and any other entities the employees of which are eligible to receive Incentive Stock Options under the Code. If an Incentive Stock Option is granted to a Greater Than 10% Stockholder, the exercise price will not be less than 110% of the Fair Market Value on the Option’s grant date, and the term of the Option will not exceed five (5) years. All Incentive Stock Options will be subject to and construed consistently with Section 422 of the Code. By accepting an Incentive Stock Option, the Participant agrees to give prompt notice to the Company of dispositions or other transfers (other than in connection with a Change in Control) of Shares acquired under the Option made within (i) two years from the grant date of the Option or (ii) one year after the transfer of such Shares to the Participant, specifying the date of the disposition or other transfer and the amount the Participant realized, in cash, other property, assumption of indebtedness or other consideration, in such disposition or other transfer. Neither the Company nor the Administrator will be liable to a Participant, or any other party, if an Incentive Stock Option fails or ceases to qualify as an “incentive stock option” under Section 422 of the Code. Any Incentive Stock Option or portion thereof that fails to qualify as an “incentive stock option” under Section 422 of the Code for any reason, including becoming exercisable with respect to Shares having a Fair Market Value exceeding the $100,000 limitation under Treasury Regulation Section 1.422-4, will be a Non-Qualified Stock Option.

9


 

ARTICLE X.

Miscellaneous
10.1
No Right to Employment or Other Status. No person will have any claim or right to be granted an Award, and the grant of an Award will not be construed as giving a Participant the right to continued employment or any other relationship with the Company. The Company expressly reserves the right at any time to dismiss or otherwise terminate its relationship with a Participant free from any liability or claim under the Plan or any Award, except as expressly provided in an Award Agreement.
10.2
No Rights as Stockholder; Certificates. Subject to the Award Agreement, no Participant or Designated Beneficiary will have any rights as a stockholder with respect to any Shares to be distributed under an Award until becoming the record holder of such Shares. Notwithstanding any other provision of the Plan, unless the Administrator otherwise determines or Applicable Laws require, the Company will not be required to deliver to any Participant certificates evidencing Shares issued in connection with any Award and instead such Shares may be recorded in the books of the Company (or, as applicable, its transfer agent or stock plan administrator). The Company may place legends on stock certificates issued under the Plan that the Administrator deems necessary or appropriate to comply with Applicable Laws.
10.3
Effective Date and Term of Plan. The Plan was approved by the Board on April 16, 2019. The Plan shall be effective (the “Effective Date”) on the day prior to the date of the closing of the transactions contemplated by that certain Agreement and Plan of Merger and Reorganization, dated as of March 6, 2019 by and among the Company, Grizzly Merger Sub, Inc. and Oncternal Therapeutics, Inc. (as amended, the “Merger Agreement”), provided that it is approved by a majority of the Company’s stockholders at a duly held meeting prior to such date and occurring within twelve (12) months following the date the Board approved Plan, and provided further that the effectiveness of the Plan is subject to the consummation of the transactions contemplated by the Merger Agreement. If the Plan is not approved by the Company’s stockholders within the foregoing time frame, or if the Merger Agreement is terminated prior to the consummation of the transactions contemplated thereby, the Plan will not become effective. The Plan shall remain in effect until the tenth (10th) anniversary of the date the Board adopted the Plan, but Awards previously granted may extend beyond that date in accordance with the Plan. The Plan will be submitted for approval of the Company's stockholders within twelve (2) months following the date the Board approved the Plan.
10.4
Amendment of Plan. The Administrator may amend, suspend or terminate the Plan at any time; provided that no amendment, other than an increase to the Overall Share Limit, may materially and adversely affect any Award outstanding at the time of such amendment without the affected Participant’s consent. No Awards may be granted under the Plan during any suspension period or after the Plan’s termination. Awards outstanding at the time of any Plan suspension or termination will continue to be governed by the Plan and the Award Agreement, as in effect before such suspension or termination. The Board will obtain stockholder approval of any Plan amendment to the extent necessary to comply with Applicable Laws.
10.5
Provisions for Foreign Participants. The Administrator may modify Awards granted to Participants who are foreign nationals or employed outside the United States or establish subplans or procedures under the Plan to address differences in laws, rules, regulations or customs of such foreign jurisdictions with respect to tax, securities, currency, employee benefit or other matters.
10.6
Section 409A.
(a)
General. The Company intends that all Awards be structured to comply with, or be exempt from, Section 409A, such that no adverse tax consequences, interest, or penalties under Section

10


 

409A apply. Notwithstanding anything in the Plan or any Award Agreement to the contrary, the Administrator may, without a Participant’s consent, amend this Plan or Awards, adopt policies and procedures, or take any other actions (including amendments, policies, procedures and retroactive actions) as are necessary or appropriate to preserve the intended tax treatment of Awards, including any such actions intended to (A) exempt this Plan or any Award from Section 409A, or (B) comply with Section 409A, including regulations, guidance, compliance programs and other interpretative authority that may be issued after an Award’s grant date. The Company makes no representations or warranties as to an Award’s tax treatment under Section 409A or otherwise. The Company will have no obligation under this Section 10.6 or otherwise to avoid the taxes, penalties or interest under Section 409A with respect to any Award and will have no liability to any Participant or any other person if any Award, compensation or other benefits under the Plan are determined to constitute noncompliant “nonqualified deferred compensation” subject to taxes, penalties or interest under Section 409A.
(b)
Separation from Service. If an Award constitutes “nonqualified deferred compensation” under Section 409A, any payment or settlement of such Award upon a termination of a Participant’s Service Provider relationship will, to the extent necessary to avoid taxes under Section 409A, be made only upon the Participant’s “separation from service” (within the meaning of Section 409A), whether such “separation from service” occurs upon or after the termination of the Participant’s Service Provider relationship. For purposes of this Plan or any Award Agreement relating to any such payments or benefits, references to a “termination,” “termination of employment” or like terms means a “separation from service.”
(c)
Payments to Specified Employees. Notwithstanding any contrary provision in the Plan or any Award Agreement, any payment(s) of “nonqualified deferred compensation” required to be made under an Award to a “specified employee” (as defined under Section 409A and as the Administrator determines) due to his or her “separation from service” will, to the extent necessary to avoid taxes under Section 409A(a)(2)(B)(i) of the Code, be delayed for the six- (6)-month period immediately following such “separation from service” (or, if earlier, until the specified Employee’s death) and will instead be paid (as set forth in the Award Agreement) on the day immediately following such six- (6)month period or as soon as administratively practicable thereafter (without interest). Any payments of “nonqualified deferred compensation” under such Award payable more than six (6) months following the Participant’s “separation from service” will be paid at the time or times the payments are otherwise scheduled to be made.
10.7
Limitations on Liability. Notwithstanding any other provisions of the Plan, no individual acting as a director, officer, other Employee or agent of the Company or any Subsidiary will be liable to any Participant, former Participant, spouse, beneficiary, or any other person for any claim, loss, liability, or expense incurred in connection with the Plan or any Award, and such individual will not be personally liable with respect to the Plan because of any contract or other instrument executed in his or her capacity as an Administrator, director, officer, other Employee or agent of the Company or any Subsidiary. The Company will indemnify and hold harmless each director, officer, other Employee and agent of the Company or any Subsidiary that has been or will be granted or delegated any duty or power relating to the Plan’s administration or interpretation, against any cost or expense (including attorneys’ fees) or liability (including any sum paid in settlement of a claim with the Administrator’s approval) arising from any act or omission concerning this Plan unless arising from such person’s own fraud or bad faith.
10.8
Data Privacy. As a condition for receiving any Award, each Participant explicitly and unambiguously consents to the collection, use and transfer, in electronic or other form, of personal data as described in this section by and among the Company and its Subsidiaries and affiliates exclusively for implementing, administering and managing the Participant’s participation in the Plan. The Company and its Subsidiaries and affiliates may hold certain personal information about a Participant, including the Participant’s name, address and telephone number; birthdate; social security, insurance number or other

11


 

identification number; salary; nationality; job title(s); any Shares held in the Company or its Subsidiaries and affiliates; and Award details, to implement, manage and administer the Plan and Awards (the “Data”). The Company and its Subsidiaries and affiliates may transfer the Data amongst themselves as necessary to implement, administer and manage a Participant’s participation in the Plan, and the Company and its Subsidiaries and affiliates may transfer the Data to third parties assisting the Company with Plan implementation, administration and management. These recipients may be located in the Participant’s country, or elsewhere, and the Participant’s country may have different data privacy laws and protections than the recipients’ country. By accepting an Award, each Participant authorizes such recipients to receive, possess, use, retain and transfer the Data, in electronic or other form, to implement, administer and manage the Participant’s participation in the Plan, including any required Data transfer to a broker or other third party with whom the Company or the Participant may elect to deposit any Shares. The Data related to a Participant will be held only as long as necessary to implement, administer, and manage the Participant’s participation in the Plan. A Participant may, at any time, view the Data that the Company holds regarding such Participant, request additional information about the storage and processing of the Data regarding such Participant, recommend any necessary corrections to the Data regarding the Participant or refuse or withdraw the consents in this Section 10.8 in writing, without cost, by contacting the local human resources representative. The Company may cancel Participant’s ability to participate in the Plan and, in the Administrator’s discretion, the Participant may forfeit any outstanding Awards if the Participant refuses or withdraws the consents in this Section 10.8. For more information on the consequences of refusing or withdrawing consent, Participants may contact their local human resources representative.
10.9
Severability. If any portion of the Plan or any action taken under it is held illegal or invalid for any reason, the illegality or invalidity will not affect the remaining parts of the Plan, and the Plan will be construed and enforced as if the illegal or invalid provisions had been excluded, and the illegal or invalid action will be null and void.
10.10
Governing Documents. If any contradiction occurs between the Plan and any Award Agreement or other written agreement between a Participant and the Company (or any Subsidiary) that the Administrator has approved, the Plan will govern, unless it is expressly specified in such Award Agreement or other written document that a specific provision of the Plan will not apply.
10.11
Governing Law. The Plan and all Awards will be governed by and interpreted in accordance with the laws of the State of Delaware, disregarding any state’s choice-of-law principles requiring the application of a jurisdiction’s laws other than the State of Delaware.
10.12
Claw-back Provisions. All Awards (including, without limitation, any proceeds, gains or other economic benefit actually or constructively received by Participant upon any receipt or exercise of any Award or upon the receipt or resale of any Shares underlying the Award) shall be subject to the provisions of any claw-back policy implemented by the Company, including, without limitation, any claw-back policy adopted to comply with Applicable Laws (including the Dodd-Frank Wall Street Reform and Consumer Protection Act and any rules or regulations promulgated thereunder) as and to the extent set forth in such claw-back policy or the Award Agreement.
10.13
Titles and Headings. The titles and headings in the Plan are for convenience of reference only and, if any conflict, the Plan’s text, rather than such titles or headings, will control.
10.14
Conformity to Securities Laws. Participant acknowledges that the Plan is intended to conform to the extent necessary with Applicable Laws. Notwithstanding anything herein to the contrary, the Plan and all Awards will be administered only in conformance with Applicable Laws. To the extent Applicable Laws permit, the Plan and all Award Agreements will be deemed amended as necessary to conform to Applicable Laws.

12


 

10.15
Relationship to Other Benefits. No payment under the Plan will be taken into account in determining any benefits under any pension, retirement, savings, profit sharing, group insurance, welfare or other benefit plan of the Company or any Subsidiary except as expressly provided in writing in such other plan or an agreement thereunder.
10.16
Broker-Assisted Sales. In the event of a broker-assisted sale of Shares in connection with the payment of amounts owed by a Participant under or with respect to the Plan or Awards, including amounts to be paid under the final sentence of Section 9.5: (a) any Shares to be sold through the broker-assisted sale will be sold on the day the payment first becomes due, or as soon thereafter as practicable; (b) such Shares may be sold as part of a block trade with other Participants in the Plan in which all participants receive an average price; (c) the applicable Participant will be responsible for all broker’s fees and other costs of sale, and by accepting an Award, each Participant agrees to indemnify and hold the Company harmless from any losses, costs, damages, or expenses relating to any such sale; (d) to the extent the Company or its designee receives proceeds of such sale that exceed the amount owed, the Company will pay such excess in cash to the applicable Participant as soon as reasonably practicable; (e) the Company and its designees are under no obligation to arrange for such sale at any particular price; and (f) in the event the proceeds of such sale are insufficient to satisfy the Participant’s applicable obligation, the Participant may be required to pay immediately upon demand to the Company or its designee an amount in cash sufficient to satisfy any remaining portion of the Participant’s obligation.
ARTICLE XI.

Definitions

As used in the Plan, the following words and phrases will have the following meanings:

11.1
Administrator” means the Board or a Committee to the extent that the Board’s powers or authority under the Plan have been delegated to such Committee.
11.2
Applicable Laws” means the requirements relating to the administration of equity incentive plans under U.S. federal and state securities, tax and other applicable laws, rules and regulations, the applicable rules of any stock exchange or quotation system on which the Common Stock is listed or quoted and the applicable laws and rules of any foreign country or other jurisdiction where Awards are granted.
11.3
Award” means, individually or collectively, a grant under the Plan of Options, Stock Appreciation Rights, Restricted Stock, Restricted Stock Units or Other Stock or Cash Based Awards.
11.4
Award Agreement” means a written agreement evidencing an Award, which may be electronic, that contains such terms and conditions as the Administrator determines, consistent with and subject to the terms and conditions of the Plan.
11.5
Board” means the Board of Directors of the Company.
11.6
Cause” means (a) if a Participant is a party to a written employment or consulting agreement with the Company or any of its Subsidiaries or an Award Agreement in which the term “cause” is defined, “Cause” as defined in such agreement, and (b) if no such agreement exists, (i) the Administrator’s determination that the Participant failed to substantially perform the Participant’s duties (other than any such failure resulting from the Participant’s Disability); (ii) the Administrator’s determination that the Participant failed to carry out, or comply with any lawful and reasonable directive of the Board or the Participant’s immediate supervisor; (iii) the occurrence of any act or omission by the Participant that could reasonably be expected to result in (or has resulted in) the Participant’s conviction, plea of no contest, plea

13


 

of nolo contendere, or imposition of unadjudicated probation for any felony or indictable offense or crime involving moral turpitude; (iv) the Participant’s unlawful use (including being under the influence) or possession of illegal drugs on the premises of the Company or any of its Subsidiaries or while performing the Participant’s duties and responsibilities for the Company or any of its Subsidiaries; or (v) the Participant’s commission of an act of fraud, embezzlement, misappropriation, misconduct, or breach of fiduciary duty against the Company or any of its Subsidiaries.
11.7
Change in Control” means and includes each of the following:
(a)
A transaction or series of transactions (other than an offering of Common Stock to the general public through a registration statement filed with the Securities and Exchange Commission or a transaction or series of transactions that meets the requirements of clauses (i) and (ii) of subsection (c) below) whereby any “person” or related “group” of “persons” (as such terms are used in Sections 13(d) and 14(d)(2) of the Exchange Act) (other than the Company, any of its Subsidiaries, an employee benefit plan maintained by the Company or any of its Subsidiaries or a “person” that, prior to such transaction, directly or indirectly controls, is controlled by, or is under common control with, the Company) directly or indirectly acquires beneficial ownership (within the meaning of Rule 13d-3 under the Exchange Act) of securities of the Company possessing more than 50% of the total combined voting power of the Company’s securities outstanding immediately after such acquisition; or
(b)
During any period of two (2) consecutive years, individuals who, at the beginning of such period, constitute the Board together with any new Director(s) (other than a Director designated by a person who shall have entered into an agreement with the Company to effect a transaction described in subsections (a) or (c)) whose election by the Board or nomination for election by the Company’s stockholders was approved by a vote of at least two-thirds of the Directors then still in office who either were Directors at the beginning of the two- (2)-year period or whose election or nomination for election was previously so approved, cease for any reason to constitute a majority thereof; or
(c)
The consummation by the Company (whether directly involving the Company or indirectly involving the Company through one or more intermediaries) of (x) a merger, consolidation, reorganization, or business combination or (y) a sale or other disposition of all or substantially all of the Company’s assets in any single transaction or series of related transactions or (z) the acquisition of assets or stock of another entity, in each case other than a transaction:
(i)
which results in the Company’s voting securities outstanding immediately before the transaction continuing to represent (either by remaining outstanding or by being converted into voting securities of the Company or the person that, as a result of the transaction, controls, directly or indirectly, the Company or owns, directly or indirectly, all or substantially all of the Company’s assets or otherwise succeeds to the business of the Company (the Company or such person, the “Successor Entity”)) directly or indirectly, at least a majority of the combined voting power of the Successor Entity’s outstanding voting securities immediately after the transaction, and
(ii)
after which no person or group beneficially owns voting securities representing 50% or more of the combined voting power of the Successor Entity; provided, however, that no person or group shall be treated for purposes of this clause (ii) as beneficially owning 50% or more of the combined voting power of the Successor Entity solely as a result of the voting power held in the Company prior to the consummation of the transaction.

Notwithstanding the foregoing, (x) the transactions contemplated by the Merger Agreement shall not constitute a Change in Control for purposes of this Plan, and (y) if a Change in Control constitutes a payment event with respect to any Award (or portion of any Award) that provides for the deferral of

14


 

compensation that is subject to Section 409A, to the extent required to avoid the imposition of additional taxes under Section 409A, the transaction or event described in subsection (a), (b) or (c) with respect to such Award (or portion thereof) shall only constitute a Change in Control for purposes of the payment timing of such Award if such transaction also constitutes a “change in control event,” as defined in Treasury Regulation Section 1.409A-3(i)(5).

The Administrator shall have full and final authority, which shall be exercised in its discretion, to determine conclusively whether a Change in Control has occurred pursuant to the above definition, the date of the occurrence of such Change in Control and any incidental matters relating thereto; provided that any exercise of authority in conjunction with a determination of whether a Change in Control is a “change in control event” as defined in Treasury Regulation Section 1.409A-3(i)(5) shall be consistent with such regulation.

11.8
Code” means the Internal Revenue Code of 1986, as amended, and the regulations issued thereunder.
11.9
Committee” means one or more committees or subcommittees of the Board, which may include one or more Company directors or executive officers, to the extent Applicable Laws permit. To the extent required to comply with the provisions of Rule 16b-3, it is intended that each member of the Committee will be, at the time the Committee takes any action with respect to an Award that is subject to Rule 16b-3, a “non-employee director” within the meaning of Rule 16b-3; however, a Committee member’s failure to qualify as a “non-employee director” within the meaning of Rule 16b-3 will not invalidate any Award granted by the Committee that is otherwise validly granted under the Plan.
11.10
Common Stock” means the common stock of the Company.
11.11
Company” means Oncternal Therapeutics, Inc., a Delaware corporation (f/k/a GTx, Inc.), or any successor.
11.12
Consultant” means any person, including any adviser, engaged by the Company or its parent or Subsidiary to render services to such entity if the consultant or adviser: (a) renders bona fide services to the Company; (b) renders services not in connection with the offer or sale of securities in a capital-raising transaction and does not directly or indirectly promote or maintain a market for the Company’s securities; and (c) is a natural person.
11.13
Designated Beneficiary” means the beneficiary or beneficiaries the Participant designates, in a manner the Administrator determines, to receive amounts due or exercise the Participant’s rights if the Participant dies or becomes incapacitated. Without a Participant’s effective designation, “Designated Beneficiary” will mean the Participant’s estate.
11.14
Director” means a Board member.
11.15
Disability” means a permanent and total disability under Section 22(e)(3) of the Code, as amended.
11.16
Dividend Equivalents” means a right granted to a Participant under the Plan to receive the equivalent value (in cash or Shares) of dividends paid on Shares.
11.17
Employee” means any employee of the Company or its Subsidiaries.

15


 

11.18
Equity Restructuring” means a nonreciprocal transaction between the Company and its stockholders, such as a stock dividend, stock split, spin-off or recapitalization through a large, nonrecurring cash dividend, that affects the number or kind of Shares (or other Company securities) or the share price of Common Stock (or other Company securities) and causes a change in the per share value of the Common Stock underlying outstanding Awards.
11.19
Exchange Act” means the Securities Exchange Act of 1934, as amended.
11.20
Fair Market Value” means, as of any date, the value of a Share determined as follows: (a) if the Common Stock is listed on any established stock exchange, its Fair Market Value will be the closing sales price for such Common Stock as quoted on such exchange for such date, or if no sale occurred on such date, the last day preceding such date during which a sale occurred, as reported in The Wall Street Journal or another source the Administrator deems reliable; (b) if the Common Stock is not traded on a stock exchange but is quoted on a national market or other quotation system, the closing sales price on such date, or if no sales occurred on such date, then on the last date preceding such date during which a sale occurred, as reported in The Wall Street Journal or another source the Administrator deems reliable; or (c) without an established market for the Common Stock, the Administrator will determine the Fair Market Value in its discretion.
11.21
Good Reason” means (a) if a Participant is a party to a written employment or consulting agreement with the Company or any of its Subsidiaries or an Award Agreement in which the term “good reason” is defined, “Good Reason” as defined in such agreement, and (b) if no such agreement exists, (i) a change in the Participant’s position with the Company (or its Subsidiary employing the Participant) that materially reduces the Participant’s authority, duties or responsibilities or the level of management to which he or she reports, (ii) a material diminution in the Participant’s level of compensation (including base salary, fringe benefits and target bonuses under any corporate performance-based incentive programs) or (iii) a relocation of the Participant’s place of employment by more than 50 miles, provided that such change, reduction or relocation is effected by the Company (or its Subsidiary employing the Participant) without the Participant’s consent.
11.22
Greater Than 10% Stockholder” means an individual then owning (within the meaning of Section 424(d) of the Code) more than 10% of the total combined voting power of all classes of stock of the Company, its parent or subsidiary corporation, as defined in Section 424(e) and (f) of the Code, respectively.
11.23
Incentive Stock Option” means an Option intended to qualify as an “incentive stock option” as defined in Section 422 of the Code.
11.24
Non-Qualified Stock Option” means an Option not intended or not qualifying as an Incentive Stock Option.
11.25
Option” means an option to purchase Shares.
11.26
Other Stock or Cash Based Awards” means cash awards, awards of Shares, and other awards valued wholly or partially by referring to, or are otherwise based on, Shares or other property.
11.27
Overall Share Limit” means the sum of (a) 83,938 Shares; (b) any Shares which are subject to Prior Plan Awards as of the Effective Date which become available for issuance under the Plan pursuant to Article IV (which number added to the Overall Share Limit pursuant to this clause (b) shall not exceed 13,917 Shares); and (c) an annual increase on the first day of each calendar year beginning January 1, 2020 and ending on and including January 1, 2029, equal to the lesser of (i) 5% of the aggregate number

16


 

of Shares outstanding on the final day of the immediately preceding calendar year and (ii) such smaller number of Shares as is determined by the Board.
11.28
Participant” means a Service Provider who has been granted an Award.
11.29
Performance Criteria” mean the criteria (and adjustments) that the Administrator may select for an Award to establish performance goals for a performance period, which may include the following: net earnings or losses (either before or after one or more of interest, taxes, depreciation, amortization, and non-cash equity-based compensation expense); gross or net sales or revenue or sales or revenue growth; net income (either before or after taxes) or adjusted net income; profits (including but not limited to gross profits, net profits, profit growth, net operation profit or economic profit), profit return ratios or operating margin; budget or operating earnings (either before or after taxes or before or after allocation of corporate overhead and bonus); cash flow (including operating cash flow and free cash flow or cash flow return on capital); return on assets; return on capital or invested capital; cost of capital; return on stockholders’ equity; total stockholder return; return on sales; costs, reductions in costs and cost control measures; expenses; working capital; earnings or loss per share; adjusted earnings or loss per share; price per share or dividends per share (or appreciation in or maintenance of such price or dividends); regulatory achievements or compliance; implementation, completion or attainment of objectives relating to research, development, regulatory, commercial, or strategic milestones or developments; market share; economic value or economic value added models; division, group or corporate financial goals; customer satisfaction/growth; customer service; employee satisfaction; recruitment and maintenance of personnel; human resources management; supervision of litigation and other legal matters; strategic partnerships and transactions; financial ratios (including those measuring liquidity, activity, profitability or leverage); debt levels or reductions; sales-related goals; financing and other capital raising transactions; cash on hand; acquisition activity; investment sourcing activity; and marketing initiatives, any of which may be measured in absolute terms or as compared to any incremental increase or decrease. Such performance goals also may be based solely by reference to the Company’s performance or the performance of a Subsidiary, division, business segment or business unit of the Company or a Subsidiary, or based upon performance relative to performance of other companies or upon comparisons of any of the indicators of performance relative to performance of other companies. The Committee may provide for exclusion of the impact of an event or occurrence which the Committee determines should appropriately be excluded, including (a) restructurings, discontinued operations, extraordinary items, and other unusual, infrequently occurring or non-recurring charges or events, (b) asset write-downs, (c) litigation or claim judgments or settlements, (d) acquisitions or divestitures, (e) reorganization or change in the corporate structure or capital structure of the Company, (f) an event either not directly related to the operations of the Company, Subsidiary, division, business segment or business unit or not within the reasonable control of management, (g) foreign exchange gains and losses, (h) a change in the fiscal year of the Company, (i) the refinancing or repurchase of bank loans or debt securities, (j) unbudgeted capital expenditures, (k) the issuance or repurchase of equity securities and other changes in the number of outstanding shares, (l) conversion of some or all of convertible securities to Common Stock, (m) any business interruption event (n) the cumulative effects of tax or accounting changes in accordance with U.S. generally accepted accounting principles, or (o) the effect of changes in other laws or regulatory rules affecting reported results.
11.30
Plan” means this Oncternal Therapeutics, Inc. 2019 Incentive Award Plan.
11.31
Prior Plan” means the GTx, Inc. 2013 Equity Incentive Plan, as amended to date.
11.32
Prior Plan Award” means an award outstanding under the Prior Plan as of the Plan’s effective date under Section 10.3.

17


 

11.33
Restricted Stock” means Shares awarded to a Participant under Article VI subject to certain vesting conditions and other restrictions.
11.34
Restricted Stock Unit” means an unfunded, unsecured right to receive, on the applicable settlement date, one Share or an amount in cash or other consideration determined by the Administrator to be of equal value as of such settlement date, subject to certain vesting conditions and other restrictions.
11.35
Rule 16b-3” means Rule 16b-3 promulgated under the Exchange Act.
11.36
Section 409A” means Section 409A of the Code and all regulations, guidance, compliance programs and other interpretative authority thereunder.
11.37
Securities Act” means the Securities Act of 1933, as amended.
11.38
Service Provider” means an Employee, Consultant or Director.
11.39
Shares” means shares of Common Stock.
11.40
Stock Appreciation Right” means a stock appreciation right granted under Article V.
11.41
Subsidiary” means any entity (other than the Company), whether domestic or foreign, in an unbroken chain of entities beginning with the Company if each of the entities other than the last entity in the unbroken chain beneficially owns, at the time of the determination, securities or interests representing at least 50% of the total combined voting power of all classes of securities or interests in one of the other entities in such chain.
11.42
Substitute Awards” shall mean Awards granted or Shares issued by the Company in assumption of, or in substitution or exchange for, awards previously granted, or the right or obligation to make future awards, in each case by a company acquired by the Company or any Subsidiary or with which the Company or any Subsidiary combines.
11.43
Termination of Service” means the date the Participant ceases to be a Service Provider.

* * * * *

18


EX-10.17

EXHIBIT 10.17

 

Oncternal Therapeutics, Inc.

2021 EMPLOYMENT INDUCEMENT INCENTIVE AWARD PLAN

This plan document has been updated to reflect the Company’s one-for-twenty reverse stock split effected by the Company on January 8, 2024.

ARTICLE I.

Purpose

The Plan’s purpose is to enhance the Company’s ability to attract, retain and motivate Eligible Persons who are expected to make important contributions to the Company by providing these individuals with equity ownership opportunities. Capitalized terms used in the Plan are defined in Article XI.

ARTICLE II.

Eligibility

Eligible Persons are eligible to be granted Awards under the Plan, subject to the limitations described herein.

ARTICLE III.

Administration and Delegation
3.1
Administration. The Plan is administered by the Committee. The Administrator has authority to determine which Eligible Persons receive Awards, grant Awards and set Award terms and conditions, subject to the conditions and limitations in the Plan. The Administrator also has the authority to take all actions and make all determinations under the Plan, to interpret the Plan and Award Agreements and to adopt, amend and repeal Plan administrative rules, guidelines and practices as it deems advisable. The Administrator may correct defects and ambiguities, supply omissions and reconcile inconsistencies in the Plan or any Award as it deems necessary or appropriate to administer the Plan and any Awards. The Administrator’s determinations under the Plan are in its sole discretion and will be final and binding on all persons having or claiming any interest in the Plan or any Award. The Board may abolish the Committee or re-vest in itself any previously delegated authority at any time; provided, however, that any action taken by the Board in connection with the administration of the Plan shall not be deemed approved by the Board unless such actions are approved by a majority of the Independent Directors. Awards under the Plan will be approved by (a) the Company’s Compensation Committee comprised entirely of Independent Directors or (b) a majority of the Company’s Independent Directors.

3.2 Actions Required Upon Grant of Award. Following the issuance of any Award under the Plan, the Company shall, in accordance with the listing requirements of the applicable securities exchange, (a) promptly issue a press release disclosing the material terms of the grant, including the recipient(s) of the grant and the number of shares involved (and if the disclosure relates to an award to only one person, or to executive officers, or the award was individually negotiated, then the disclosure must include the identity of the recipient), and (b) notify the applicable securities exchange of such grant no later than the earlier to occur of (i) five calendar days after entering into the agreement to issue the Award or (ii) the date of the public announcement of the Award.

ARTICLE IV.

Stock Available for Awards

 


 

4.1
Number of Shares. Subject to adjustment under Article VIII and the terms of this Article IV, Awards may be made under the Plan covering up to the Overall Share Limit. Shares issued under the Plan may consist of authorized but unissued Shares, Shares purchased on the open market or treasury Shares.
4.2
Share Recycling. If all or any part of an Award expires, lapses or is terminated, exchanged for cash, surrendered, repurchased, canceled without having been fully exercised or forfeited, in any case, in a manner that results in the Company acquiring Shares covered by the Award at a price not greater than the price (as adjusted to reflect any Equity Restructuring) paid by the Participant for such Shares or not issuing any Shares covered by the Award, the unused Shares covered by the Award will, as applicable, become or again be available for Award grants under the Plan. Further, Shares delivered (either by actual delivery or attestation) to the Company by a Participant to satisfy the applicable exercise or purchase price of an Award and/or to satisfy any applicable tax withholding obligation (including Shares retained by the Company from the Award being exercised or purchased and/or creating the tax obligation) will, as applicable, become or again be available for Award grants under the Plan. The payment of Dividend Equivalents in cash in conjunction with any outstanding Awards shall not count against the Overall Share Limit.
ARTICLE V.

Stock Options and Stock Appreciation Rights
5.1
General. The Administrator may grant Options or Stock Appreciation Rights to Eligible Persons subject to the limitations in the Plan. The Administrator will determine the number of Shares covered by each Option and Stock Appreciation Right, the exercise price of each Option and Stock Appreciation Right and the conditions and limitations applicable to the exercise of each Option and Stock Appreciation Right. A Stock Appreciation Right will entitle the Participant (or other person entitled to exercise the Stock Appreciation Right) to receive from the Company upon exercise of the exercisable portion of the Stock Appreciation Right an amount determined by multiplying the excess, if any, of the Fair Market Value of one Share on the date of exercise over the exercise price per Share of the Stock Appreciation Right by the number of Shares with respect to which the Stock Appreciation Right is exercised, subject to any limitations of the Plan or that the Administrator may impose and payable in cash, Shares valued at Fair Market Value or a combination of the two as the Administrator may determine or provide in the Award Agreement. All Options granted under the Plan shall be Non-Qualified Stock Options.
5.2
Exercise Price. The Administrator will establish each Option’s and Stock Appreciation Right’s exercise price and specify the exercise price in the Award Agreement. The exercise price will not be less than 100% of the Fair Market Value on the grant date of the Option or Stock Appreciation Right.
5.3
Duration. Each Option or Stock Appreciation Right will be exercisable at such times and as specified in the Award Agreement, provided that the term of an Option or Stock Appreciation Right will not exceed ten (10) years. Notwithstanding the foregoing and unless determined otherwise by the Company, in the event that on the last business day of the term of an Option or Stock Appreciation Right (i) the exercise of the Option or Stock Appreciation Right is prohibited by Applicable Law, as determined by the Company, or (ii) Shares may not be purchased or sold by the applicable Participant due to any Company insider trading policy (including blackout periods) or a “lock-up” agreement undertaken in connection with an issuance of securities by the Company, the term of the Option or Stock Appreciation Right shall be extended until the date that is thirty (30) days after the end of the legal prohibition, black-out period or lock-up agreement, as determined by the Company; provided, however, in no event shall the extension last beyond the ten- (10)-year term of the applicable Option or Stock Appreciation Right. Notwithstanding the foregoing, if the Participant, prior to the end of the term of an Option or Stock Appreciation Right, violates the non-competition, non-solicitation, confidentiality or other similar restrictive covenant provisions of any

2


 

employment contract, confidentiality and nondisclosure agreement or other agreement between the Participant and the Company or any of its Subsidiaries, the right of the Participant and the Participant’s transferees to exercise any Option or Stock Appreciation Right issued to the Participant shall terminate immediately upon such violation, unless the Company otherwise determines. In addition, if, prior to the end of the term of an Option or Stock Appreciation Right, the Participant is given notice by the Company or any of its Subsidiaries of the Participant’s Termination of Service by the Company or any of its Subsidiaries for Cause, and the effective date of such Termination of Service is subsequent to the date of the delivery of such notice, the right of the Participant and the Participant’s transferees to exercise any Option or Stock Appreciation Right issued to the Participant shall be suspended from the time of the delivery of such notice until the earlier of (i) such time as it is determined or otherwise agreed that the Participant’s service as a Service Provider will not be terminated for Cause as provided in such notice or (ii) the effective date of the Participant’s Termination of Service by the Company or any of its Subsidiaries for Cause (in which case the right of the Participant and the Participant’s transferees to exercise any Option or Stock Appreciation Right issued to the Participant will terminate immediately upon the effective date of such Termination of Service).
5.4
Exercise. Options and Stock Appreciation Rights may be exercised by delivering to the Company a written notice of exercise, in a form the Administrator approves (which may be electronic), signed by the person authorized to exercise the Option or Stock Appreciation Right, together with, as applicable, payment in full (i) as specified in Section 5.5 for the number of Shares for which the Award is exercised and (ii) as specified in Section 9.5 for any applicable taxes. Unless the Administrator otherwise determines, an Option or Stock Appreciation Right may not be exercised for a fraction of a Share.
5.5
Payment Upon Exercise. Subject to any Company insider trading policy (including blackout periods) and Applicable Laws, the exercise price of an Option must be paid by:
(a)
cash, wire transfer of immediately available funds or by check payable to the order of the Company, provided that the Company may limit the use of one of the foregoing payment forms if one or more of the payment forms below is permitted;
(b)
if there is a public market for Shares at the time of exercise, unless the Company otherwise determines, (A) delivery (including electronically or telephonically to the extent permitted by the Company) of an irrevocable and unconditional undertaking by a broker acceptable to the Company to deliver promptly to the Company sufficient funds to pay the exercise price, or (B) the Participant’s delivery to the Company of a copy of irrevocable and unconditional instructions to a broker acceptable to the Company to deliver promptly to the Company cash or a check sufficient to pay the exercise price; provided that such amount is paid to the Company at such time as may be required by the Administrator;
(c)
to the extent permitted by the Administrator, delivery (either by actual delivery or attestation) of Shares owned by the Participant valued at their Fair Market Value;
(d)
to the extent permitted by the Administrator, surrendering Shares then issuable upon the Option’s exercise valued at their Fair Market Value on the exercise date;
(e)
to the extent permitted by the Administrator, delivery of a promissory note or any other property that the Administrator determines is good and valuable consideration; or
(f)
to the extent permitted by the Company, any combination of the above payment forms approved by the Administrator.

3


 

ARTICLE VI.

Restricted Stock; Restricted Stock Units
6.1
General. The Administrator may grant Restricted Stock, or the right to purchase Restricted Stock, to any Eligible Person, subject to the Company’s right to repurchase all or part of such Shares at their issue price or other stated or formula price from the Participant (or to require forfeiture of such Shares) if conditions the Administrator specifies in the Award Agreement are not satisfied before the end of the applicable restriction period or periods that the Administrator establishes for such Award. In addition, the Administrator may grant to Eligible Persons Restricted Stock Units, which may be subject to vesting and forfeiture conditions during the applicable restriction period or periods, as set forth in an Award Agreement. The Administrator will determine and set forth in the Award Agreement the terms and conditions for each Restricted Stock and Restricted Stock Unit Award, subject to the conditions and limitations contained in the Plan.
6.2
Restricted Stock.
(a)
Dividends. Participants holding Shares of Restricted Stock will be entitled to all ordinary cash dividends paid with respect to such Shares, unless the Administrator provides otherwise in the Award Agreement. In addition, unless the Administrator provides otherwise, if any dividends or distributions are paid in Shares, or consist of a dividend or distribution to holders of Common Stock of property other than an ordinary cash dividend, the Shares or other property will be subject to the same restrictions on transferability and forfeitability as the Shares of Restricted Stock with respect to which they were paid.
(b)
Stock Certificates. The Company may require that the Participant deposit in escrow with the Company (or its designee) any stock certificates issued in respect of Shares of Restricted Stock, together with a stock power endorsed in blank.
6.3
Restricted Stock Units.
(a)
Settlement. The Administrator may provide that settlement of Restricted Stock Units will occur upon or as soon as reasonably practicable after the Restricted Stock Units vest or will instead be deferred, on a mandatory basis or at the Participant’s election, in a manner intended to comply with Section 409A.
(b)
Stockholder Rights. A Participant will have no rights of a stockholder with respect to Shares subject to any Restricted Stock Unit unless and until the Shares are delivered in settlement of the Restricted Stock Unit.
(c)
Dividend Equivalents. If the Administrator provides, a grant of Restricted Stock Units may provide a Participant with the right to receive Dividend Equivalents. Dividend Equivalents may be paid currently or credited to an account for the Participant, settled in cash or Shares and subject to the same restrictions on transferability and forfeitability as the Restricted Stock Units with respect to which the Dividend Equivalents are granted and subject to other terms and conditions as set forth in the Award Agreement.
ARTICLE VII.

Other Stock or Cash Based Awards

Other Stock or Cash Based Awards may be granted to Participants, including Awards entitling Participants to receive Shares to be delivered in the future and including annual or other periodic or

4


 

long-term cash bonus awards, in each case subject to any conditions and limitations in the Plan. Such Other Stock or Cash Based Awards will also be available as a payment form in the settlement of other Awards, as standalone payments and as payment in lieu of compensation to which a Participant is otherwise entitled. Other Stock or Cash Based Awards may be paid in Shares, cash or other property, as the Administrator determines. Subject to the provisions of the Plan, the Administrator will determine the terms and conditions of each Other Stock or Cash Based Award, including any purchase price, performance goal, transfer restrictions, and vesting conditions, which will be set forth in the applicable Award Agreement.

ARTICLE VIII.

Adjustments for Changes in Common Stock
and Certain Other Events
8.1
Equity Restructuring. In connection with any Equity Restructuring, notwithstanding anything to the contrary in this Article VIII, the Administrator will equitably adjust each outstanding Award as it deems appropriate to reflect the Equity Restructuring, which may include adjusting the number and type of securities subject to each outstanding Award and/or the Award’s exercise price or grant price (if applicable), granting new Awards to Participants, and making a cash payment to Participants. The adjustments provided under this Section 8.1 will be nondiscretionary and final and binding on the affected Participant and the Company; provided that the Administrator will determine whether an adjustment is equitable.
8.2
Corporate Transactions. In the event of any dividend or other distribution (whether in the form of cash, Common Stock, other securities, or other property), reorganization, merger, consolidation, combination, amalgamation, repurchase, recapitalization, liquidation, dissolution, or sale, transfer, exchange or other disposition of all or substantially all of the assets of the Company, or sale or exchange of Common Stock or other securities of the Company, Change in Control, issuance of warrants or other rights to purchase Common Stock or other securities of the Company, other similar corporate transaction or event, other unusual or nonrecurring transaction or event affecting the Company or its financial statements or any change in any Applicable Laws or accounting principles, the Administrator, on such terms and conditions as it deems appropriate, either by the terms of the Award or by action taken prior to the occurrence of such transaction or event (except that action to give effect to a change in Applicable Law or accounting principles may be made within a reasonable period of time after such change) and either automatically or upon the Participant’s request, is hereby authorized to take any one or more of the following actions whenever the Administrator determines that such action is appropriate in order to (x) prevent dilution or enlargement of the benefits or potential benefits intended by the Company to be made available under the Plan or with respect to any Award granted or issued under the Plan, (y) to facilitate such transaction or event or (z) give effect to such changes in Applicable Laws or accounting principles:
(a)
To provide for the cancellation of any such Award in exchange for either an amount of cash or other property with a value equal to the amount that could have been obtained upon the exercise or settlement of the vested portion of such Award or realization of the Participant’s rights under the vested portion of such Award, as applicable; provided that, if the amount that could have been obtained upon the exercise or settlement of the vested portion of such Award or realization of the Participant’s rights, in any case, is equal to or less than zero, then the Award may be terminated without payment;
(b)
To provide that such Award shall vest and, to the extent applicable, be exercisable as to all Shares covered thereby, notwithstanding anything to the contrary in the Plan or the provisions of such Award;
(c)
To provide that such Award be assumed by the successor or survivor corporation, or a parent or subsidiary thereof, or shall be substituted for by awards covering the stock of the successor

5


 

or survivor corporation, or a parent or subsidiary thereof, with appropriate adjustments as to the number and kind of Shares and/or applicable exercise or purchase price, in all cases, as determined by the Administrator;
(d)
To make adjustments in the number and type of Shares (or other securities or property) subject to outstanding Awards and/or with respect to which Awards may be granted under the Plan (including, but not limited to, adjustments of the limitations in Article IV hereof on the maximum number and kind of Shares which may be issued) and/or in the terms and conditions of (including the grant or exercise price), and the criteria included in, outstanding Awards;
(e)
To replace such Award with other rights or property selected by the Administrator; and/or
(f)
To provide that the Award will terminate and cannot vest, be exercised or become payable after the applicable event.
8.3
Effect of Non-Assumption in a Change in Control. Notwithstanding the provisions of Section 8.2 above, if a Change in Control occurs and a Participant’s Awards are not continued, converted, assumed, or replaced with a substantially similar award by (a) the Company, or (b) a Successor Entity (as defined below) or its parent or subsidiary (an “Assumption”), and provided that the Participant has not had a Termination of Service, then, immediately prior to the Change in Control, such Awards shall become fully vested, exercisable and/or payable, as applicable, and all forfeiture, repurchase and other restrictions on such Awards shall lapse, in which case, such Awards shall be canceled upon the consummation of the Change in Control in exchange for the right to receive the Change in Control consideration payable to other holders of Common Stock (i) which may be on such terms and conditions as apply generally to holders of Common Stock under the Change in Control documents (including, without limitation, any escrow, earn-out or other deferred consideration provisions) or such other terms and conditions as the Administrator may provide, and (ii) determined by reference to the number of Shares subject to such Awards and net of any applicable exercise price; provided that to the extent that any Awards constitute “nonqualified deferred compensation” that may not be paid upon the Change in Control under Section 409A without the imposition of taxes thereon under Section 409A, the timing of such payments shall be governed by the applicable Award Agreement (subject to any deferred consideration provisions applicable under the Change in Control documents); and provided, further, that if the amount to which a Participant would be entitled upon the settlement or exercise of such Award at the time of the Change in Control is equal to or less than zero, then such Award may be terminated without payment. The Administrator shall determine whether an Assumption of an Award has occurred in connection with a Change in Control.
8.4
Administrative Stand Still. In the event of any pending stock dividend, stock split, combination or exchange of Shares, merger, consolidation or other distribution (other than normal cash dividends) of Company assets to stockholders, or any other extraordinary transaction or change affecting the Shares or the share price of Common Stock, including any Equity Restructuring or any securities offering or other similar transaction, for administrative convenience, the Administrator may refuse to permit the exercise of any Award for up to sixty (60) days before or after such transaction.
8.5
General. Except as expressly provided in the Plan or the Administrator’s action under the Plan, no Participant will have any rights due to any subdivision or consolidation of Shares of any class, dividend payment, increase or decrease in the number of Shares of any class or dissolution, liquidation, merger, or consolidation of the Company or other corporation. Except as expressly provided with respect to an Equity Restructuring under Section 8.1 above or the Administrator’s action under the Plan, no issuance by the Company of Shares of any class, or securities convertible into Shares of any class, will affect, and no adjustment will be made regarding, the number of Shares subject to an Award or the Award’s grant or

6


 

exercise price. The existence of the Plan, any Award Agreements and the Awards granted hereunder will not affect or restrict in any way the Company’s right or power to make or authorize (i) any adjustment, recapitalization, reorganization or other change in the Company’s capital structure or its business, (ii) any merger, consolidation dissolution or liquidation of the Company or sale of Company assets or (iii) any sale or issuance of securities, including securities with rights superior to those of the Shares or securities convertible into or exchangeable for Shares. The Administrator may treat Participants and Awards (or portions thereof) differently under this Article VIII.
ARTICLE IX.

General Provisions Applicable to Awards
9.1
Transferability. Except as the Administrator may determine or provide in an Award Agreement or otherwise, Awards may not be sold, assigned, transferred, pledged or otherwise encumbered, either voluntarily or by operation of law, except by will or the laws of descent and distribution, or, subject to the Administrator’s consent, pursuant to a domestic relations order, and, during the life of the Participant, will be exercisable only by the Participant. References to a Participant, to the extent relevant in the context, will include references to a Participant’s authorized transferee that the Administrator specifically approves.
9.2
Documentation. Each Award will be evidenced in an Award Agreement, which may be written or electronic, as the Administrator determines. Each Award may contain terms and conditions in addition to those set forth in the Plan.
9.3
Discretion. Except as the Plan otherwise provides, each Award may be made alone or in addition or in relation to any other Award. The terms of each Award to a Participant need not be identical, and the Administrator need not treat Participants or Awards (or portions thereof) uniformly.
9.4
Termination of Status. The Administrator will determine how the disability, death, retirement, authorized leave of absence or any other change or purported change in a Participant’s Service Provider status affects an Award and the extent to which, and the period during which, the Participant, the Participant’s legal representative, conservator, guardian or Designated Beneficiary may exercise rights under the Award, if applicable.
9.5
Withholding. Each Participant must pay the Company, or make provision satisfactory to the Administrator for payment of, any taxes required by law to be withheld in connection with such Participant’s Awards by the date of the event creating the tax liability. The Company may deduct an amount sufficient to satisfy such tax obligations based on the applicable statutory withholding rates (or such other rate as may be determined by the Company after considering any accounting consequences or costs) from any payment of any kind otherwise due to a Participant. In the absence of a contrary determination by the Company (or, with respect to withholding pursuant to clause (ii) below with respect to Awards held by individuals subject to Section 16 of the Exchange Act, a contrary determination by the Administrator), all tax withholding obligations will be calculated based on the minimum applicable statutory withholding rates. Subject to any Company insider trading policy (including blackout periods), Participants may satisfy such tax obligations (i) in cash, by wire transfer of immediately available funds, by check made payable to the order of the Company, provided that the Company may limit the use of the foregoing payment forms if one or more of the payment forms below is permitted, (ii) to the extent permitted by the Administrator, in whole or in part by delivery of Shares, including Shares delivered by attestation and Shares retained from the Award creating the tax obligation, valued at their Fair Market Value on the date of delivery, (iii) if there is a public market for Shares at the time the tax obligations are satisfied, unless the Company otherwise determines, (A) delivery (including electronically or telephonically to the extent permitted by the Company) of an irrevocable and unconditional undertaking by a broker acceptable to the Company to deliver promptly to the Company sufficient funds to satisfy the tax obligations, or (B) delivery by the Participant to the

7


 

Company of a copy of irrevocable and unconditional instructions to a broker acceptable to the Company to deliver promptly to the Company cash or a check sufficient to satisfy the tax withholding; provided that such amount is paid to the Company at such time as may be required by the Administrator, or (iv) to the extent permitted by the Company, any combination of the foregoing payment forms approved by the Administrator. Notwithstanding any other provision of the Plan, the number of Shares which may be so delivered or retained pursuant to clause (ii) of the immediately preceding sentence shall be limited to the number of Shares which have a Fair Market Value on the date of delivery or retention no greater than the aggregate amount of such liabilities based on the maximum individual statutory tax rate in the applicable jurisdiction at the time of such withholding (or such other rate as may be required to avoid the liability classification of the applicable award under generally accepted accounting principles in the United States of America); provided, however, to the extent such Shares were acquired by Participant from the Company as compensation, the Shares must have been held for the minimum period required by applicable accounting rules to avoid a charge to the Company’s earnings for financial reporting purposes; provided, further, that, any such Shares delivered or retained shall be rounded up to the nearest whole Share to the extent rounding up to the nearest whole Share does not result in the liability classification of the applicable Award under generally accepted accounting principles in the United States of America. If any tax withholding obligation will be satisfied under clause (ii) above by the Company’s retention of Shares from the Award creating the tax obligation and there is a public market for Shares at the time the tax obligation is satisfied, the Company may elect to instruct any brokerage firm determined acceptable to the Company for such purpose to sell on the applicable Participant’s behalf some or all of the Shares retained and to remit the proceeds of the sale to the Company or its designee, and each Participant’s acceptance of an Award under the Plan will constitute the Participant’s authorization to the Company and instruction and authorization to such brokerage firm to complete the transactions described in this sentence.
9.6
Amendment of Award; Repricing. The Administrator may amend, modify or terminate any outstanding Award, including by substituting another Award of the same or a different type and changing the exercise or settlement date. The Participant’s consent to such action will be required unless (i) the action, taking into account any related action, does not materially and adversely affect the Participant’s rights under the Award, or (ii) the change is permitted under Article VIII or pursuant to Section 10.6. Notwithstanding the foregoing or anything in the Plan to the contrary, the Administrator may, without the approval of the stockholders of the Company, reduce the exercise price per share of outstanding Options or Stock Appreciation Rights or cancel outstanding Options or Stock Appreciation Rights in exchange for cash, other Awards or Options or Stock Appreciation Rights with an exercise price per share that is less than the exercise price per share of the original Options or Stock Appreciation Rights.
9.7
Conditions on Delivery of Stock. The Company will not be obligated to deliver any Shares under the Plan or remove restrictions from Shares previously delivered under the Plan until (i) all Award conditions have been met or removed to the Company’s satisfaction, (ii) as determined by the Company, all other legal matters regarding the issuance and delivery of such Shares have been satisfied, including any applicable securities laws and stock exchange or stock market rules and regulations, and (iii) the Participant has executed and delivered to the Company such representations or agreements as the Administrator deems necessary or appropriate to satisfy any Applicable Laws. The Company’s inability to obtain authority from any regulatory body having jurisdiction, which the Administrator determines is necessary to the lawful issuance and sale of any securities, will relieve the Company of any liability for failing to issue or sell such Shares as to which such requisite authority has not been obtained.
9.8
Acceleration. The Administrator may at any time provide that any Award will become immediately vested and fully or partially exercisable, free of some or all restrictions or conditions, or otherwise fully or partially realizable.

8


 

ARTICLE X.

Miscellaneous
10.1
No Right to Employment or Other Status. No person will have any claim or right to be granted an Award, and the grant of an Award will not be construed as giving a Participant the right to continued employment or any other relationship with the Company. The Company expressly reserves the right at any time to dismiss or otherwise terminate its relationship with a Participant free from any liability or claim under the Plan or any Award, except as expressly provided in an Award Agreement.
10.2
No Rights as Stockholder; Certificates. Subject to the Award Agreement, no Participant or Designated Beneficiary will have any rights as a stockholder with respect to any Shares to be distributed under an Award until becoming the record holder of such Shares. Notwithstanding any other provision of the Plan, unless the Administrator otherwise determines or Applicable Laws require, the Company will not be required to deliver to any Participant certificates evidencing Shares issued in connection with any Award and instead such Shares may be recorded in the books of the Company (or, as applicable, its transfer agent or stock plan administrator). The Company may place legends on stock certificates issued under the Plan that the Administrator deems necessary or appropriate to comply with Applicable Laws.
10.3
Effective Date and Term of Plan. The Plan shall be effective on the date approved by the Board. The Plan shall remain in effect until terminated by the Administrator, but Awards previously granted may extend beyond that date in accordance with the Plan.
10.4
Amendment of Plan. The Administrator may amend, suspend or terminate the Plan at any time; provided that no amendment, other than an increase to the Overall Share Limit, may materially and adversely affect any Award outstanding at the time of such amendment without the affected Participant’s consent. No Awards may be granted under the Plan during any suspension period or after the Plan’s termination. Awards outstanding at the time of any Plan suspension or termination will continue to be governed by the Plan and the Award Agreement, as in effect before such suspension or termination. The Board will obtain stockholder approval of any Plan amendment to the extent necessary to comply with Applicable Laws.
10.5
Provisions for Foreign Participants. The Administrator may modify Awards granted to Participants who are foreign nationals or employed outside the United States or establish subplans or procedures under the Plan to address differences in laws, rules, regulations or customs of such foreign jurisdictions with respect to tax, securities, currency, employee benefit or other matters.
10.6
Section 409A.
(a)
General. The Company intends that all Awards be structured to comply with, or be exempt from, Section 409A, such that no adverse tax consequences, interest, or penalties under Section 409A apply. Notwithstanding anything in the Plan or any Award Agreement to the contrary, the Administrator may, without a Participant’s consent, amend this Plan or Awards, adopt policies and procedures, or take any other actions (including amendments, policies, procedures and retroactive actions) as are necessary or appropriate to preserve the intended tax treatment of Awards, including any such actions intended to (A) exempt this Plan or any Award from Section 409A, or (B) comply with Section 409A, including regulations, guidance, compliance programs and other interpretative authority that may be issued after an Award’s grant date. The Company makes no representations or warranties as to an Award’s tax treatment under Section 409A or otherwise. The Company will have no obligation under this Section 10.6 or otherwise to avoid the taxes, penalties or interest under Section 409A with respect to any Award and will have no liability to any Participant or any other person if any Award, compensation or other benefits under the Plan are determined to constitute noncompliant “nonqualified deferred compensation” subject to taxes,

9


 

penalties or interest under Section 409A.
(b)
Separation from Service. If an Award constitutes “nonqualified deferred compensation” under Section 409A, any payment or settlement of such Award upon a termination of a Participant’s Service Provider relationship will, to the extent necessary to avoid taxes under Section 409A, be made only upon the Participant’s “separation from service” (within the meaning of Section 409A), whether such “separation from service” occurs upon or after the termination of the Participant’s Service Provider relationship. For purposes of this Plan or any Award Agreement relating to any such payments or benefits, references to a “termination,” “termination of employment” or like terms means a “separation from service.”
(c)
Payments to Specified Employees. Notwithstanding any contrary provision in the Plan or any Award Agreement, any payment(s) of “nonqualified deferred compensation” required to be made under an Award to a “specified employee” (as defined under Section 409A and as the Administrator determines) due to his or her “separation from service” will, to the extent necessary to avoid taxes under Section 409A(a)(2)(B)(i) of the Code, be delayed for the six- (6)-month period immediately following such “separation from service” (or, if earlier, until the specified employee’s death) and will instead be paid (as set forth in the Award Agreement) on the day immediately following such six- (6)month period or as soon as administratively practicable thereafter (without interest). Any payments of “nonqualified deferred compensation” under such Award payable more than six (6) months following the Participant’s “separation from service” will be paid at the time or times the payments are otherwise scheduled to be made.
10.7
Limitations on Liability. Notwithstanding any other provisions of the Plan, no individual acting as a director, officer, other Employee or agent of the Company or any Subsidiary will be liable to any Participant, former Participant, spouse, beneficiary, or any other person for any claim, loss, liability, or expense incurred in connection with the Plan or any Award, and such individual will not be personally liable with respect to the Plan because of any contract or other instrument executed in his or her capacity as an Administrator, director, officer, other Employee or agent of the Company or any Subsidiary. The Company will indemnify and hold harmless each director, officer, other Employee and agent of the Company or any Subsidiary that has been or will be granted or delegated any duty or power relating to the Plan’s administration or interpretation, against any cost or expense (including attorneys’ fees) or liability (including any sum paid in settlement of a claim with the Administrator’s approval) arising from any act or omission concerning this Plan unless arising from such person’s own fraud or bad faith.
10.8
Data Privacy. As a condition for receiving any Award, each Participant explicitly and unambiguously consents to the collection, use and transfer, in electronic or other form, of personal data as described in this section by and among the Company and its Subsidiaries and affiliates exclusively for implementing, administering and managing the Participant’s participation in the Plan. The Company and its Subsidiaries and affiliates may hold certain personal information about a Participant, including the Participant’s name, address and telephone number; birthdate; social security, insurance number or other identification number; salary; nationality; job title(s); any Shares held in the Company or its Subsidiaries and affiliates; and Award details, to implement, manage and administer the Plan and Awards (the “Data”). The Company and its Subsidiaries and affiliates may transfer the Data amongst themselves as necessary to implement, administer and manage a Participant’s participation in the Plan, and the Company and its Subsidiaries and affiliates may transfer the Data to third parties assisting the Company with Plan implementation, administration and management. These recipients may be located in the Participant’s country, or elsewhere, and the Participant’s country may have different data privacy laws and protections than the recipients’ country. By accepting an Award, each Participant authorizes such recipients to receive, possess, use, retain and transfer the Data, in electronic or other form, to implement, administer and manage the Participant’s participation in the Plan, including any required Data transfer to a broker or other third party with whom the Company or the Participant may elect to deposit any Shares. The Data related to a

10


 

Participant will be held only as long as necessary to implement, administer, and manage the Participant’s participation in the Plan. A Participant may, at any time, view the Data that the Company holds regarding such Participant, request additional information about the storage and processing of the Data regarding such Participant, recommend any necessary corrections to the Data regarding the Participant or refuse or withdraw the consents in this Section 10.8 in writing, without cost, by contacting the local human resources representative. The Company may cancel Participant’s ability to participate in the Plan and, in the Administrator’s discretion, the Participant may forfeit any outstanding Awards if the Participant refuses or withdraws the consents in this Section 10.8. For more information on the consequences of refusing or withdrawing consent, Participants may contact their local human resources representative.
10.9
Severability. If any portion of the Plan or any action taken under it is held illegal or invalid for any reason, the illegality or invalidity will not affect the remaining parts of the Plan, and the Plan will be construed and enforced as if the illegal or invalid provisions had been excluded, and the illegal or invalid action will be null and void.
10.10
Governing Documents. If any contradiction occurs between the Plan and any Award Agreement or other written agreement between a Participant and the Company (or any Subsidiary) that the Administrator has approved, the Plan will govern, unless it is expressly specified in such Award Agreement or other written document that a specific provision of the Plan will not apply.
10.11
Governing Law. The Plan and all Awards will be governed by and interpreted in accordance with the laws of the State of Delaware, disregarding any state’s choice-of-law principles requiring the application of a jurisdiction’s laws other than the State of Delaware.
10.12
Claw-back Provisions. All Awards (including, without limitation, any proceeds, gains or other economic benefit actually or constructively received by Participant upon any receipt or exercise of any Award or upon the receipt or resale of any Shares underlying the Award) shall be subject to the provisions of any claw-back policy implemented by the Company, including, without limitation, any claw-back policy adopted to comply with Applicable Laws (including the Dodd-Frank Wall Street Reform and Consumer Protection Act and any rules or regulations promulgated thereunder) as and to the extent set forth in such claw-back policy or the Award Agreement.
10.13
Titles and Headings. The titles and headings in the Plan are for convenience of reference only and, if any conflict, the Plan’s text, rather than such titles or headings, will control.
10.14
Conformity to Securities Laws. Participant acknowledges that the Plan is intended to conform to the extent necessary with Applicable Laws. Notwithstanding anything herein to the contrary, the Plan and all Awards will be administered only in conformance with Applicable Laws. To the extent Applicable Laws permit, the Plan and all Award Agreements will be deemed amended as necessary to conform to Applicable Laws.
10.15
Relationship to Other Benefits. No payment under the Plan will be taken into account in determining any benefits under any pension, retirement, savings, profit sharing, group insurance, welfare or other benefit plan of the Company or any Subsidiary except as expressly provided in writing in such other plan or an agreement thereunder.
10.16
Broker-Assisted Sales. In the event of a broker-assisted sale of Shares in connection with the payment of amounts owed by a Participant under or with respect to the Plan or Awards, including amounts to be paid under the final sentence of Section 9.5: (a) any Shares to be sold through the broker-assisted sale will be sold on the day the payment first becomes due, or as soon thereafter as practicable; (b) such Shares may be sold as part of a block trade with other Participants in the Plan in which all participants

11


 

receive an average price; (c) the applicable Participant will be responsible for all broker’s fees and other costs of sale, and by accepting an Award, each Participant agrees to indemnify and hold the Company harmless from any losses, costs, damages, or expenses relating to any such sale; (d) to the extent the Company or its designee receives proceeds of such sale that exceed the amount owed, the Company will pay such excess in cash to the applicable Participant as soon as reasonably practicable; (e) the Company and its designees are under no obligation to arrange for such sale at any particular price; and (f) in the event the proceeds of such sale are insufficient to satisfy the Participant’s applicable obligation, the Participant may be required to pay immediately upon demand to the Company or its designee an amount in cash sufficient to satisfy any remaining portion of the Participant’s obligation.
10.17
Stockholder Approval. It is expressly intended that approval of the Company’s stockholders not be required as a condition of the effectiveness of the Plan, and the Plan’s provisions shall be interpreted in a manner consistent with such intent for all purposes. Specifically, Nasdaq Stock Market Rule 5635(c) generally requires stockholder approval for stock option plans or other equity compensation arrangements adopted by companies whose securities are listed on the Nasdaq Stock Market pursuant to which stock awards or stock may be acquired by officers, directors, employees or consultants of such companies. Nasdaq Stock Market Rule 5635(c)(4) provides an exemption in certain circumstances for “employment inducement” awards (within the meaning of Nasdaq Stock Market Rule 5635(c)(4)). Notwithstanding anything to the contrary herein, if the Company’s securities are traded on the Nasdaq Stock Market, then Awards under the Plan may only be made to Employees who have not previously been an Employee or director of the Company or any Subsidiary, or following a bona fide period of non-employment by the Company or any Subsidiary, in each case as an inducement material to the Employee’s entering into employment with the Company or any Subsidiary. Awards under the Plan will be approved by (a) the Company’s Compensation Committee comprised entirely of Independent Directors or (b) a majority of the Company’s Independent Directors. Accordingly, pursuant to Nasdaq Stock Market Rule 5635(c)(4), the issuance of Awards and the shares issuable upon exercise or vesting of such Awards pursuant to the Plan are not subject to the approval of the Company’s stockholders.
ARTICLE XI.

Definitions

As used in the Plan, the following words and phrases will have the following meanings:

11.1
Administrator” means the Committee.
11.2
Applicable Laws” means the requirements relating to the administration of equity incentive plans under U.S. federal and state securities, tax and other applicable laws, rules and regulations, the applicable rules of any stock exchange or quotation system on which the Common Stock is listed or quoted and the applicable laws and rules of any foreign country or other jurisdiction where Awards are granted.
11.3
Award” means, individually or collectively, a grant under the Plan of Options, Stock Appreciation Rights, Restricted Stock, Restricted Stock Units or Other Stock or Cash Based Awards.
11.4
Award Agreement” means a written agreement evidencing an Award, which may be electronic, that contains such terms and conditions as the Administrator determines, consistent with and subject to the terms and conditions of the Plan.
11.5
Board” means the Board of Directors of the Company.

12


 

11.6
Cause” means (a) if a Participant is a party to a written employment or consulting agreement with the Company or any of its Subsidiaries or an Award Agreement in which the term “cause” is defined, “Cause” as defined in such agreement, and (b) if no such agreement exists, (i) the Administrator’s determination that the Participant failed to substantially perform the Participant’s duties (other than any such failure resulting from the Participant’s Disability); (ii) the Administrator’s determination that the Participant failed to carry out, or comply with any lawful and reasonable directive of the Board or the Participant’s immediate supervisor; (iii) the occurrence of any act or omission by the Participant that could reasonably be expected to result in (or has resulted in) the Participant’s conviction, plea of no contest, plea of nolo contendere, or imposition of unadjudicated probation for any felony or indictable offense or crime involving moral turpitude; (iv) the Participant’s unlawful use (including being under the influence) or possession of illegal drugs on the premises of the Company or any of its Subsidiaries or while performing the Participant’s duties and responsibilities for the Company or any of its Subsidiaries; or (v) the Participant’s commission of an act of fraud, embezzlement, misappropriation, misconduct, or breach of fiduciary duty against the Company or any of its Subsidiaries.
11.7
Change in Control” means and includes each of the following:
(a)
A transaction or series of transactions (other than an offering of Common Stock to the general public through a registration statement filed with the Securities and Exchange Commission or a transaction or series of transactions that meets the requirements of clauses (i) and (ii) of subsection (c) below) whereby any “person” or related “group” of “persons” (as such terms are used in Sections 13(d) and 14(d)(2) of the Exchange Act) (other than the Company, any of its Subsidiaries, an employee benefit plan maintained by the Company or any of its Subsidiaries or a “person” that, prior to such transaction, directly or indirectly controls, is controlled by, or is under common control with, the Company) directly or indirectly acquires beneficial ownership (within the meaning of Rule 13d-3 under the Exchange Act) of securities of the Company possessing more than 50% of the total combined voting power of the Company’s securities outstanding immediately after such acquisition; or
(b)
During any period of two (2) consecutive years, individuals who, at the beginning of such period, constitute the Board together with any new Director(s) (other than a Director designated by a person who shall have entered into an agreement with the Company to effect a transaction described in subsections (a) or (c)) whose election by the Board or nomination for election by the Company’s stockholders was approved by a vote of at least two-thirds of the Directors then still in office who either were Directors at the beginning of the two- (2)-year period or whose election or nomination for election was previously so approved, cease for any reason to constitute a majority thereof; or
(c)
The consummation by the Company (whether directly involving the Company or indirectly involving the Company through one or more intermediaries) of (x) a merger, consolidation, reorganization, or business combination or (y) a sale or other disposition of all or substantially all of the Company’s assets in any single transaction or series of related transactions or (z) the acquisition of assets or stock of another entity, in each case other than a transaction:
(i)
which results in the Company’s voting securities outstanding immediately before the transaction continuing to represent (either by remaining outstanding or by being converted into voting securities of the Company or the person that, as a result of the transaction, controls, directly or indirectly, the Company or owns, directly or indirectly, all or substantially all of the Company’s assets or otherwise succeeds to the business of the Company (the Company or such person, the “Successor Entity”)) directly or indirectly, at least a majority of the combined voting power of the Successor Entity’s outstanding voting securities immediately after the transaction, and

13


 

(ii)
after which no person or group beneficially owns voting securities representing 50% or more of the combined voting power of the Successor Entity; provided, however, that no person or group shall be treated for purposes of this clause (ii) as beneficially owning 50% or more of the combined voting power of the Successor Entity solely as a result of the voting power held in the Company prior to the consummation of the transaction.

Notwithstanding the foregoing, (x) the transactions contemplated by the Merger Agreement shall not constitute a Change in Control for purposes of this Plan, and (y) if a Change in Control constitutes a payment event with respect to any Award (or portion of any Award) that provides for the deferral of compensation that is subject to Section 409A, to the extent required to avoid the imposition of additional taxes under Section 409A, the transaction or event described in subsection (a), (b) or (c) with respect to such Award (or portion thereof) shall only constitute a Change in Control for purposes of the payment timing of such Award if such transaction also constitutes a “change in control event,” as defined in Treasury Regulation Section 1.409A-3(i)(5).

The Administrator shall have full and final authority, which shall be exercised in its discretion, to determine conclusively whether a Change in Control has occurred pursuant to the above definition, the date of the occurrence of such Change in Control and any incidental matters relating thereto; provided that any exercise of authority in conjunction with a determination of whether a Change in Control is a “change in control event” as defined in Treasury Regulation Section 1.409A-3(i)(5) shall be consistent with such regulation.

11.8
Code” means the Internal Revenue Code of 1986, as amended, and the regulations issued thereunder.
11.9
Committee” means the Compensation Committee of the Board comprised of two or more Directors, each of whom is intended to qualify as a Non-Employee Director and an Independent Director.
11.10
Common Stock” means the common stock of the Company.
11.11
Company” means Oncternal Therapeutics, Inc., a Delaware corporation, or any successor.
11.12
Consultant” means any person, including any adviser, engaged by the Company or its parent or Subsidiary to render services to such entity if the consultant or adviser: (a) renders bona fide services to the Company; (b) renders services not in connection with the offer or sale of securities in a capital-raising transaction and does not directly or indirectly promote or maintain a market for the Company’s securities; and (c) is a natural person.
11.13
Designated Beneficiary” means the beneficiary or beneficiaries the Participant designates, in a manner the Administrator determines, to receive amounts due or exercise the Participant’s rights if the Participant dies or becomes incapacitated. Without a Participant’s effective designation, “Designated Beneficiary” will mean the Participant’s estate.
11.14
Director” means a Board member.
11.15
Disability” means a permanent and total disability under Section 22(e)(3) of the Code, as amended.
11.16
Dividend Equivalents” means a right granted to a Participant under the Plan to receive the equivalent value (in cash or Shares) of dividends paid on Shares.

14


 

11.17
Eligible Person” means any prospective Employee who has not previously been an Employee or Director of the Company or any Subsidiary, or who is commencing employment with the Company or any Subsidiary following a bona fide period of non-employment by the Company or any Subsidiary, if he or she is granted an Award in connection with his or her commencement of employment with the Company or any Subsidiary and such grant is an inducement material to his or her entering into employment with the Company or any Subsidiary (within the meaning of Nasdaq Stock Market Rule IM-5636-1 or any successor rule, if the Company’s securities are traded on the Nasdaq Stock Market, and/or the applicable requirements of any other established stock exchange on which the Company’s securities are traded, as applicable, as such rules and requirements may be amended from time to time). The Administrator may in its discretion adopt procedures from time to time to ensure that a prospective Employee is eligible to participate in the Plan prior to the granting of any Awards to such individual under the Plan (including without limitation a requirement that each such prospective Employee certify to the Company prior to the receipt of an Award under the Plan that he or she has not been previously employed by the Company or any Subsidiary, or if previously employed, has had a bona fide period of non-employment, and that the grant of Awards under the Plan is an inducement material to his or her agreement to enter into employment with the Company or any Subsidiary).
11.18
Employee” means any employee of the Company or its Subsidiaries.
11.19
Equity Restructuring” means a nonreciprocal transaction between the Company and its stockholders, such as a stock dividend, stock split, spin-off or recapitalization through a large, nonrecurring cash dividend, that affects the number or kind of Shares (or other Company securities) or the share price of Common Stock (or other Company securities) and causes a change in the per share value of the Common Stock underlying outstanding Awards.
11.20
Exchange Act” means the Securities Exchange Act of 1934, as amended.
11.21
Fair Market Value” means, as of any date, the value of a Share determined as follows: (a) if the Common Stock is listed on any established stock exchange, its Fair Market Value will be the closing sales price for such Common Stock as quoted on such exchange for such date, or if no sale occurred on such date, the last day preceding such date during which a sale occurred, as reported in The Wall Street Journal or another source the Administrator deems reliable; (b) if the Common Stock is not traded on a stock exchange but is quoted on a national market or other quotation system, the closing sales price on such date, or if no sales occurred on such date, then on the last date preceding such date during which a sale occurred, as reported in The Wall Street Journal or another source the Administrator deems reliable; or (c) without an established market for the Common Stock, the Administrator will determine the Fair Market Value in its discretion.
11.22
Good Reason” means (a) if a Participant is a party to a written employment or consulting agreement with the Company or any of its Subsidiaries or an Award Agreement in which the term “good reason” is defined, “Good Reason” as defined in such agreement, and (b) if no such agreement exists, (i) a change in the Participant’s position with the Company (or its Subsidiary employing the Participant) that materially reduces the Participant’s authority, duties or responsibilities or the level of management to which he or she reports, (ii) a material diminution in the Participant’s level of compensation (including base salary, fringe benefits and target bonuses under any corporate performance-based incentive programs) or (iii) a relocation of the Participant’s place of employment by more than 50 miles, provided that such change, reduction or relocation is effected by the Company (or its Subsidiary employing the Participant) without the Participant’s consent.
11.23
Independent Director” means a Director of the Company who is not an Employee of the Company or any Subsidiary and who qualifies as “independent” within the meaning of Nasdaq Stock

15


 

Market Rule 5605(a)(2), or any successor rule, if the Company’s securities are traded on the Nasdaq Stock Market, and/or the applicable requirements of any other established stock exchange on which the Company’s securities are traded, as applicable, as such rules and requirements may be amended from time to time.
11.24
Non-Employee Director” means a “non-employee director” within the meaning of Rule 16b-3.
11.25
Non-Qualified Stock Option” means an Option not intended or not qualifying as an “incentive stock option” as defined in Section 422 of the Code.
11.26
Option” means an option to purchase Shares.
11.27
Other Stock or Cash Based Awards” means cash awards, awards of Shares, and other awards valued wholly or partially by referring to, or are otherwise based on, Shares or other property.
11.28
Overall Share Limit” means 140,000 Shares.
11.29
Participant” means an Eligible Person who has been granted an Award.
11.30
Plan” means this Oncternal Therapeutics, Inc. 2021 Employment Inducement Incentive Award Plan.
11.31
Restricted Stock” means Shares awarded to a Participant under Article VI subject to certain vesting conditions and other restrictions.
11.32
Restricted Stock Unit” means an unfunded, unsecured right to receive, on the applicable settlement date, one Share or an amount in cash or other consideration determined by the Administrator to be of equal value as of such settlement date, subject to certain vesting conditions and other restrictions.
11.33
Rule 16b-3” means Rule 16b-3 promulgated under the Exchange Act.
11.34
Section 409A” means Section 409A of the Code and all regulations, guidance, compliance programs and other interpretative authority thereunder.
11.35
Securities Act” means the Securities Act of 1933, as amended.
11.36
Service Provider” means an Employee, Consultant or Director.
11.37
Shares” means shares of Common Stock.
11.38
Stock Appreciation Right” means a stock appreciation right granted under Article V.
11.39
Subsidiary” means any entity (other than the Company), whether domestic or foreign, in an unbroken chain of entities beginning with the Company if each of the entities other than the last entity in the unbroken chain beneficially owns, at the time of the determination, securities or interests representing at least 50% of the total combined voting power of all classes of securities or interests in one of the other entities in such chain.
11.40
Termination of Service” means the date the Participant ceases to be a Service Provider.

* * * * *

16


EX-10.5B

EXHIBIT 10.5B

 

[***] Certain information in this document has been excluded pursuant to Regulation S-K,

Item 601(b)(10). Such excluded information is not material and would likely cause

competitive harm to the registrant if publicly disclosed.

 

SECOND AMENDMENT TO THE AMENDED AND RESTATED LICENSE
AGREEMENT BETWEEN THE UNIVERSITY OF TENNESSEE
RESEARCH FOUNDATION AND ONCTERNAL THERAPEUTICS, INC.

This Second Amendment to the Amended and Restated License Agreement Between the University of Tennessee Research Foundation and Oncternal Therapeutics, Inc. (“First Amendment”), effective as of the latest date of signing below, between the University of Tennessee Research Foundation, having an office at 910 Madison Avenue, Suite 827, Memphis TN 38163 (“UTRF”) and Oncternal Therapeutics, Inc., a company organized and existing under the laws of California and having its principal place of business at 12230 El Camino Real, Suite 230, San Diego, CA 92130 (“LICENSEE”), herein after referred to as the “Parties.”

BACKGROUND

WHEREAS, UTRF and LICENSEE entered into the Amended and Restated License Agreement between University of Tennessee Research Foundation and Oncternal Therapeutics, Inc. (“Agreement”) having an Effective Date of March 9, 2022;

WHEREAS, UTRF and LICENSEE entered into a First Amendment to the Amended and Restated License between University of Tennessee Research Foundation and Oncternal Therapeutics (“First Amendment”) having an Effective Date of August 22, 2022 adding additional patents and invention disclosures to Article 1.6 and to update the table of Licensed Patents in Appendix A; and

WHEREAS, the Parties desire to amend the Agreement to include additional invention disclosures within Article 1.6 and to update the table of Licensed Patents in Appendix A;

NOW, THEREFORE, the Parties hereto agree as follows:

ARTICLE 1 AMENDMENT

1.1 Article 1.6 is amended to read as follows:

1.6 “Invention Disclosure” means the UTRF file numbers:

(a) [***].

(b) [***].

(c) [***].

(d) [***].

(e) [***].

(f) [***].

(g) [***].

(h) [***].

(i) [***].

-1-


EXHIBIT 10.5B

 

(j) [***].

 

1.2 Delete Appendix A in the First Amendment in its entirety and replace with the Appendix A attached to this Second Amendment.

1.3 ALL OTHER PROVISIONS of the Agreement and First Amendment shall remain in full force and effect.

ARTICLE 2 MISCELLANEOUS

2.1 This Second Amendment is entered into in the State of Tennessee and shall be construed, interpreted and applied in accordance with the laws of the State of Tennessee without giving effect to any conflict of laws provisions thereof.

2.2 The Parties hereto acknowledge that this Second Amendment together with the Agreement and First Amendment sets forth the entire understanding and agreement hereto as to the subject matter thereof and supersedes all prior understandings and agreements.

2.3 The provisions of this Second Amendment are severable, and in the event that any provision shall be determined to be invalid or unenforceable under any controlling body of the law, such invalidity or unenforceability shall not in any way affect the validity or enforceability of the remaining provisions hereof

IN WITNESS WHEREOF, the Parties execute this Second Amendment by their duly authorized representatives and acknowledge that they understand and agree to be bound by its terms and conditions.


 

 

-2-


EXHIBIT 10.5B

 

UNIVERSITY OF TENNESSEE RESEARCH FOUNDATION (“UTRF”)

 

ONCTERNAL THERAPEUTICS, INC.
(“LICENSEE”)

Signature: /s/ Todd A. Ponzio, Ph.D.

 

/s/ James B. Breitmeyer, M.D., Ph.D.

Name: Todd A. Ponzio, Ph.D.

 

Name: James B. Breitmeyer, M.D., Ph.D.

Title: VP, UTRF

 

 Title: President & CEO

Date: March 4, 2024

 

Date: March 4, 2024


 

 

-3-


EXHIBIT 10.5B

 

APPENDIX A

[***]

-4-


EX-23.1

EXHIBIT 23.1

 

 

Consent of Independent Registered Public Accounting Firm

 

 

 

We hereby consent to the incorporation by reference in the Registration Statements on Form S-3 (No.333-254985) and Form S-8 (Nos. 333-233288, 333-254581, and 333-263703) of Oncternal Therapeutics, Inc. (the Company) of our report dated March 7, 2024, relating to the consolidated financial statements, which appears in this Annual Report on Form 10-K. Our report contains an explanatory paragraph regarding the Company’s ability to continue as a going concern.

 

 

/s/ BDO USA, P.C.

San Diego, California

 

March 7, 2024

 

 


EX-31.1

Exhibit 31.1

 

CERTIFICATION OF CHIEF EXECUTIVE OFFICER PURSUANT TO

SECTION 302 OF THE SARBANES-OXLEY ACT OF 2002

 

I, James B. Breitmeyer, certify that:

 

1.
I have reviewed this Annual Report on Form 10-K of Oncternal Therapeutics, Inc.;
2.
Based on my knowledge, this report does not contain any untrue statement of a material fact or omit to state a material fact necessary to make the statements made, in light of the circumstances under which such statements were made, not misleading with respect to the period covered by this report;

 

3.
Based on my knowledge, the consolidated financial statements, and other financial information included in this report, fairly present in all material respects the financial condition, results of operations and cash flows of the registrant as of, and for, the periods presented in this report;

 

4.
The registrant’s other certifying officer(s) and I are responsible for establishing and maintaining disclosure controls and procedures (as defined in Exchange Act Rules 13a-15(e) and 15d-15(e)) and internal control over financial reporting (as defined in Exchange Act Rules 13a-15(f) and 15d-15(f)) for the registrant and have:

 

a.
Designed such disclosure controls and procedures, or caused such disclosure controls and procedures to be designed under our supervision, to ensure that material information relating to the registrant, including its consolidated subsidiaries, is made known to us by others within those entities, particularly during the period in which this report is being prepared;

 

b.
Designed such internal control over financial reporting, or caused such internal control over financial reporting to be designed under our supervision, to provide reasonable assurance regarding the reliability of financial reporting and the preparation of financial statements for external purposes in accordance with generally accepted accounting principles;

 

c.
Evaluated the effectiveness of the registrant’s disclosure controls and procedures and presented in this report our conclusions about the effectiveness of the disclosure controls and procedures, as of the end of the period covered by this report based on such evaluation; and

 

d.
Disclosed in this report any change in the registrant’s internal control over financial reporting that occurred during the registrant’s fourth fiscal quarter that has materially affected, or is reasonably likely to materially affect, the registrant’s internal control over financial reporting; and

 

5.
The registrant’s other certifying officer and I have disclosed, based on our most recent evaluation of internal control over financial reporting, to the registrant’s auditors and the audit committee of the registrant’s board of directors (or persons performing the equivalent functions):

 

a.
All significant deficiencies and material weaknesses in the design or operation of internal control over financial reporting which are reasonably likely to adversely affect the registrant’s ability to record, process, summarize and report financial information; and

 

b.
Any fraud, whether or not material, that involves management or other employees who have a significant role in the registrant’s internal control over financial reporting.

 

 

 

/s/ James B. Breitmeyer

 

 

President and Chief Executive Officer

 

 

(Principal Executive Officer)

Dated: March 7, 2024

 

 

 


EX-31.2

Exhibit 31.2

 

CERTIFICATION OF CHIEF FINANCIAL OFFICER PURSUANT TO

SECTION 302 OF THE SARBANES-OXLEY ACT OF 2002

 

I, Richard G. Vincent, certify that:

 

1.
I have reviewed this Annual Report on Form 10-K of Oncternal Therapeutics, Inc.;
2.
Based on my knowledge, this report does not contain any untrue statement of a material fact or omit to state a material fact necessary to make the statements made, in light of the circumstances under which such statements were made, not misleading with respect to the period covered by this report;

 

3.
Based on my knowledge, the consolidated financial statements, and other financial information included in this report, fairly present in all material respects the financial condition, results of operations and cash flows of the registrant as of, and for, the periods presented in this report;

 

4.
The registrant’s other certifying officer(s) and I are responsible for establishing and maintaining disclosure controls and procedures (as defined in Exchange Act Rules 13a-15(e) and 15d-15(e)) and internal control over financial reporting (as defined in Exchange Act Rules 13a-15(f) and 15d-15(f)) for the registrant and have:

 

a.
Designed such disclosure controls and procedures, or caused such disclosure controls and procedures to be designed under our supervision, to ensure that material information relating to the registrant, including its consolidated subsidiaries, is made known to us by others within those entities, particularly during the period in which this report is being prepared;

 

b.
Designed such internal control over financial reporting, or caused such internal control over financial reporting to be designed under our supervision, to provide reasonable assurance regarding the reliability of financial reporting and the preparation of financial statements for external purposes in accordance with generally accepted accounting principles;

 

c.
Evaluated the effectiveness of the registrant’s disclosure controls and procedures and presented in this report our conclusions about the effectiveness of the disclosure controls and procedures, as of the end of the period covered by this report based on such evaluation; and

 

d.
Disclosed in this report any change in the registrant’s internal control over financial reporting that occurred during the registrant’s fourth fiscal quarter that has materially affected, or is reasonably likely to materially affect, the registrant’s internal control over financial reporting; and

 

5.
The registrant’s other certifying officer and I have disclosed, based on our most recent evaluation of internal control over financial reporting, to the registrant’s auditors and the audit committee of the registrant’s board of directors (or persons performing the equivalent functions):

 

a.
All significant deficiencies and material weaknesses in the design or operation of internal control over financial reporting which are reasonably likely to adversely affect the registrant’s ability to record, process, summarize and report financial information; and

 

b.
Any fraud, whether or not material, that involves management or other employees who have a significant role in the registrant’s internal control over financial reporting.

 

 

 

/s/ Richard G. Vincent

 

 

Chief Financial Officer

 

 

(Principal Financial Officer)

Dated: March 7, 2024

 

 

 


EX-32.1

 

Exhibit 32.1

CERTIFICATION

Pursuant to Section 906 of the Sarbanes-Oxley Act of 2002

(Subsections (a) and (b) of Section 1350, Chapter 63 of Title 18, United States Code)

 

In connection with the Annual Report on Form 10-K of Oncternal Therapeutics, Inc. (the “Company”) for the period ended December 31, 2023, as filed with the Securities and Exchange Commission on the date hereof (the “Report”), I, James B. Breitmeyer, as Chief Executive Officer of the Company, certify, pursuant to 18 U.S.C. Section 1350, as adopted pursuant to Section 906 of the Sarbanes-Oxley Act of 2002, that to my knowledge:

 

1.
The Report fully complies with the requirements of Section 13(a) or 15(d) of the Securities Exchange Act of 1934; and

 

2.
The information contained in the Report fairly presents, in all material respects, the financial condition and results of operations of the Company.

 

 

/s/ James B. Breitmeyer

 

President and Chief Executive Officer

 

(Principal Executive Officer)

Dated: March 7, 2024

 

The foregoing certification is being furnished solely to accompany the Report pursuant to 18 U.S.C. Section 1350, and is not being filed for purposes of Section 18 of the Securities Exchange Act of 1934, as amended, and is not to be incorporated by reference into any filing of the Company, whether made before or after the date hereof, regardless of any general incorporation language in such filing. A signed original of this written statement required by Section 906 has been provided to the Company and will be retained by the Company and furnished to the Securities and Exchange Commission or its staff upon request.

 


EX-32.2

 

Exhibit 32.2

CERTIFICATION

Pursuant to Section 906 of the Sarbanes-Oxley Act of 2002

(Subsections (a) and (b) of Section 1350, Chapter 63 of Title 18, United States Code)

 

In connection with the Annual Report on Form 10-K of Oncternal Therapeutics, Inc. (the “Company”) for the period ended December 31, 2023, as filed with the Securities and Exchange Commission on the date hereof (the “Report”), I, Richard G. Vincent, as Chief Financial Officer of the Company, certify, pursuant to 18 U.S.C. Section 1350, as adopted pursuant to Section 906 of the Sarbanes-Oxley Act of 2002, that to my knowledge:

 

1.
The Report fully complies with the requirements of Section 13(a) or 15(d) of the Securities Exchange Act of 1934; and

 

2.
The information contained in the Report fairly presents, in all material respects, the financial condition and results of operations of the Company.

 

 

/s/ Richard G. Vincent

 

Chief Financial Officer

 

(Principal Financial Officer)

Dated: March 7, 2024

 

The foregoing certification is being furnished solely to accompany the Report pursuant to 18 U.S.C. Section 1350, and is not being filed for purposes of Section 18 of the Securities Exchange Act of 1934, as amended, and is not to be incorporated by reference into any filing of the Company, whether made before or after the date hereof, regardless of any general incorporation language in such filing. A signed original of this written statement required by Section 906 has been provided to the Company and will be retained by the Company and furnished to the Securities and Exchange Commission or its staff upon request.

 

|US-DOCS\109979343.1||


EX-97.1

EXHIBIT 97.1

 

http://api.rkd.refinitiv.com/api/FilingsRetrieval3/.77632429.0000950170-24-027984img224024147_0.jpg.ashx 

Policy for Recovery of Erroneously Awarded Compensation

Oncternal Therapeutics, Inc. (“Oncternal”) has adopted this Policy for Recovery of Erroneously Awarded Compensation (this “Policy”), effective as of October 2, 2023 (the “Effective Date”). Capitalized terms used in this Policy but not otherwise defined are defined under the heading “Definitions.”

Persons Subject to Policy

This Policy applies to current and former Officers of Oncternal.

Compensation Subject to Policy

This Policy applies to Incentive-Based Compensation received on or after the Effective Date. For purposes of this Policy, the date on which Incentive-Based Compensation is “received” shall be determined under the Applicable Rules, which generally provide that Incentive-Based Compensation is “received” in Oncternal’s fiscal period during which the relevant Financial Reporting Measure is attained or satisfied, without regard to whether the grant, vesting or payment of the Incentive-Based Compensation occurs after the end of that period.

Recovery of Compensation

If Oncternal is required to prepare a Restatement, Oncternal shall recover, reasonably promptly, the portion of any Incentive-Based Compensation that is Erroneously Awarded Compensation, unless the Compensation Committee (the “Committee”) of the Board of Directors (the “Board”) of Oncternal has determined that recovery would be Impracticable. Recovery shall be required in accordance with the preceding sentence regardless of whether the applicable Officer engaged in misconduct or otherwise caused or contributed to the requirement for the Restatement and regardless of whether or when restated financial statements are filed by Oncternal. For clarity, the recovery of Erroneously Awarded Compensation under this Policy will not give rise to any person’s right to voluntarily terminate employment for “good reason,” or due to a “constructive termination” (or any similar term of like effect) under any plan, program or policy of or agreement with Oncternal or any of its affiliates.

Manner of Recovery; Limitation on Duplicative Recovery

The Committee shall, in its sole discretion, determine the manner of recovery of any Erroneously Awarded Compensation, which may include, without limitation, reduction or cancellation by Oncternal or an affiliate of Oncternal of Incentive-Based Compensation or Erroneously Awarded Compensation, reimbursement or repayment by any person subject to this Policy of the Erroneously Awarded Compensation, and, to the extent permitted by law, an offset of the Erroneously Awarded Compensation against other compensation payable by Oncternal or an affiliate of Oncternal to such person. Notwithstanding the foregoing, unless otherwise prohibited by the Applicable Rules, to the extent this Policy provides for recovery of Erroneously Awarded Compensation already recovered by Oncternal pursuant to Section 304 of the Sarbanes-Oxley Act of 2002 or Other Recovery Arrangements, the amount of Erroneously Awarded Compensation already recovered by Oncternal from the recipient

 


 

of such Erroneously Awarded Compensation may be credited to the amount of Erroneously Awarded Compensation required to be recovered pursuant to this Policy from such person.

Administration

This Policy shall be administered, interpreted and construed by the Committee, which is authorized to make all determinations necessary, appropriate or advisable for such purpose. The Board may re-vest in itself the authority to administer, interpret and construe this Policy in accordance with applicable law, and in such event references in this Policy to the “Committee” shall be deemed to be references to the Board. Subject to any permitted review by the applicable national securities exchange or association pursuant to the Applicable Rules, all determinations and decisions made by the Committee pursuant to the provisions of this Policy shall be final, conclusive and binding on all persons, including Oncternal and its affiliates, equityholders and employees. The Committee may delegate administrative duties with respect to this Policy to one or more directors or employees of Oncternal, as permitted under applicable law, including any Applicable Rules.

Interpretation

This Policy will be interpreted and applied in a manner that is consistent with the requirements of the Applicable Rules, and to the extent this Policy is inconsistent with such Applicable Rules, it shall be deemed amended to the minimum extent necessary to ensure compliance therewith.

No Indemnification; No Liability

Oncternal shall not indemnify or insure any person against the loss of any Erroneously Awarded Compensation pursuant to this Policy, nor shall Oncternal directly or indirectly pay or reimburse any person for any premiums for third-party insurance policies that such person may elect to purchase to fund such person’s potential obligations under this Policy. None of Oncternal, an affiliate of Oncternal or any member of the Committee or the Board shall have any liability to any person as a result of actions taken under this Policy.

Application; Enforceability

Except as otherwise determined by the Committee or the Board, the adoption of this Policy does not limit, and is intended to apply in addition to, any other clawback, recoupment, forfeiture or similar policies or provisions of Oncternal or its affiliates, including any such policies or provisions of such effect contained in any employment agreement, bonus plan, incentive plan, equity-based plan or award agreement thereunder or similar plan, program or agreement of Oncternal or an affiliate or required under applicable law (the “Other Recovery Arrangements”). The remedy specified in this Policy shall not be exclusive and shall be in addition to every other right or remedy at law or in equity that may be available to Oncternal or an affiliate of Oncternal.

Severability

The provisions in this Policy are intended to be applied to the fullest extent of the law; provided, however, to the extent that any provision of this Policy is found to be unenforceable or invalid under any applicable law, such provision will be applied to the maximum extent permitted, and shall automatically be deemed amended in a manner consistent with its objectives to the extent necessary to conform to any limitations required under applicable law.

2


 

Amendment and Termination

The Board or the Committee may amend, modify or terminate this Policy in whole or in part at any time and from time to time in its sole discretion. This Policy will terminate automatically when Oncternal does not have a class of securities listed on a national securities exchange or association.

Definitions

Applicable Rules” means Section 10D of the Exchange Act, Rule 10D-1 promulgated thereunder, the listing rules of the national securities exchange or association on which Oncternal’s securities are listed, and any applicable rules, standards or other guidance adopted by the Securities and Exchange Commission or any national securities exchange or association on which Oncternal’s securities are listed.

Erroneously Awarded Compensation” means the amount of Incentive-Based Compensation received by a current or former Officer that exceeds the amount of Incentive-Based Compensation that would have been received by such current or former Officer based on a restated Financial Reporting Measure, as determined on a pre-tax basis in accordance with the Applicable Rules.

Exchange Act” means the Securities Exchange Act of 1934, as amended.

Financial Reporting Measure” means any measure determined and presented in accordance with the accounting principles used in preparing Oncternal’s financial statements, and any measures derived wholly or in part from such measures, including GAAP, IFRS and non-GAAP/IFRS financial measures, as well as stock or share price and total equityholder return.

GAAP” means United States generally accepted accounting principles.

IFRS” means international financial reporting standards as adopted by the International Accounting Standards Board.

Impracticable” means: (a) the direct costs paid to third parties to assist in enforcing recovery would exceed the Erroneously Awarded Compensation; provided that Oncternal: (i) has made reasonable attempts to recover the Erroneously Awarded Compensation; (ii) documented such attempt(s); and (iii) provided such documentation to the relevant listing exchange or association; or (b) recovery would likely cause an otherwise tax-qualified retirement plan, under which benefits are broadly available to employees of Oncternal, to fail to meet the requirements of 26 U.S.C. 401(a)(13) or 26 U.S.C. 411(a) and the regulations thereunder.

Incentive-Based Compensation” means, with respect to a Restatement, any compensation that is granted, earned, or vested based wholly or in part upon the attainment of one or more Financial Reporting Measures and received by a person: (a) after beginning service as an Officer; (b) who served as an Officer at any time during the performance period for that compensation; (c) while the issuer has a class of its securities listed on a national securities exchange or association; and (d) during the applicable Three-Year Period.

Officer” means each person who serves as an executive officer of Oncternal, as defined in Rule 10D1(d) under the Exchange Act.

Restatement” means an accounting restatement to correct Oncternal’s material noncompliance with any financial reporting requirement under securities laws, including restatements that correct an error

3


 

in previously issued financial statements: (a) that is material to the previously issued financial statements; or (b) that would result in a material misstatement if the error were corrected in the current period or left uncorrected in the current period.

Three-Year Period” means, with respect to a Restatement, the three completed fiscal years immediately preceding the date that the Board, a committee of the Board, or the officer or officers of Oncternal authorized to take such action if Board action is not required, concludes, or reasonably should have concluded, that Oncternal is required to prepare such Restatement, or, if earlier, the date on which a court, regulator or other legally authorized body directs Oncternal to prepare such Restatement. The “Three-Year Period” also includes any transition period (that results from a change in Oncternal’s fiscal year) within or immediately following the three completed fiscal years identified in the preceding sentence. However, a transition period between the last day of Oncternal’s previous fiscal year end and the first day of its new fiscal year that comprises a period of nine to 12 months shall be deemed a completed fiscal year.

4