0001654954-23-011790ped_8k.htm

 

UNITED STATES

SECURITIES AND EXCHANGE COMMISSION

WASHINGTON, D.C. 20549

 

FORM 8-K

 

CURRENT REPORT

PURSUANT TO SECTION 13 OR 15(D) OF THE SECURITIES EXCHANGE ACT OF 1934

 

Date of Report (Date of Earliest Event Reported): September 12, 2023

 

PEDEVCO Corp.

(Exact name of registrant as specified in its charter)

 

Texas

 

001-35922 

 

22-3755993

(State or other jurisdiction of 

incorporation or organization)

 

(Commission

file number) 

 

(IRS Employer 

Identification No.)

 

575 N. Dairy Ashford, Suite 210 Houston, Texas

 

77079

 (Address of principal executive offices)

 

(Zip Code) 

 

Registrant’s telephone number, including area code: (713) 221-1768

 

Check the appropriate box below if the Form 8-K filing is intended to simultaneously satisfy the filing obligation of the registrant under any of the following provisions (see General Instruction A.2. below):

 

Written communications pursuant to Rule 425 under the Securities Act (17 CFR 230.425)

 

 

Soliciting material pursuant to Rule 14a-12 under the Exchange Act (17 CFR 240.14a-12)

 

 

Pre-commencement communications pursuant to Rule 14d-2(b) under the Exchange Act (17 CFR 240.14d-2(b))

 

 

Pre-commencement communications pursuant to Rule 13e-4(c) under the Exchange Act (17 CFR 240.13e-4(c))

 

Securities registered pursuant to Section 12(b) of the Act:

 

Title of each class

Trading Symbol(s)

Name of each exchange on which registered

Common Stock, $0.001 par value per share 

PED

NYSE American

 

Indicate by check mark whether the registrant is an emerging growth company as defined in Rule 405 of the Securities Act of 1933 (§230.405 of this chapter) or Rule 12b-2 of the Securities Exchange Act of 1934 (§240.12b-2 of this chapter).

 

Emerging growth company   

 

If an emerging growth company, indicate by check mark if the registrant has elected not to use the extended transition period for complying with any new or revised financial accounting standards provided pursuant to Section 13(a) of the Exchange Act.   ☐

 

 

 

 

Item 1.01 Entry into a Material Agreement.

 

On September 12, 2023, PEDEVCO Corp. (the “Company”) and Evolution Petroleum Corporation (“Evolution”) entered into a Participation Agreement for the joint development of a portion of the Company’s Permian Basin Asset known as the Chaveroo oilfield, located in Chaves and Roosevelt Counties, New Mexico (the “Chaveroo Field” and the “Chaveroo Farmout Transaction”).

 

Pursuant to the Participation Agreement, the Company and Evolution identified twelve “Development Blocks” covering approximately 16,000 gross leasehold acres consisting of all leasehold rights from the surface to the base of the San Andres formation, where the Company currently holds leasehold interests (“Existing Leases”), in which the parties may jointly develop by drilling and completion of up to nine horizontal San Andres wells in each Development Block in accordance with the terms of the agreement, which terms include, but are not limited to: (i) Evolution shall make an initial payment of $401,733.00 to the Company in exchange for a 50% working interest share in the Existing Leases, covering the initial two Development Blocks (which equals Evolution’s share of the acreage portion for nine drilling locations therein); (ii) upon completion of the wells in each Development Block, Evolution will have the right, but not the obligation, to acquire a 50% working interest share in the next Development Block in exchange for the payment of $450 per net acre of Existing Leases held by the Company in such block, and participate on a 50% working interest share basis in the drilling and completion of up to nine horizontal San Andres wells in such Development Block; (iii) the parties shall enter into a standard operating agreement with the Company serving as the operator with respect to the development of the assets; (iv) if either party elects not to participate in the development of a Development Block, the other party may develop such Development Block independently with the non-participating party not required to participate in the same; (v) the creation of an area of mutual interest by the parties comprised of lands in the Chaveroo Field; and (vi) certain other terms and conditions standard in such participation agreements.

 

The Participation Agreement has an initial term expiring on December 31, 2025, but continues in full force and effect for so long as the parties continue to develop the Development Blocks in accordance with the terms of the agreement. The Participation Agreement includes customary representations and warranties of the parties and also provides that any new leases acquired by the Company within certain identified tracts within two years from the date of the agreement will become Existing Leases under the agreement.

 

The foregoing description of the Participation Agreement set forth herein does not purport to be complete and is qualified in its entirety by reference to the full text thereof, a copy of which is filed as Exhibit 10.1 to this Current Report on Form 8-K and is incorporated herein by reference.

 

Item 8.01. Other Events

 

On September 13, 2023, the Company issued a press release announcing the Chaveroo Farmout Transaction. A copy of the press release is filed herewith as Exhibit 99.1 and is incorporated by reference into this Item 8.01.

 

Item 9.01. Financial Statements and Exhibits.

 

(d) Exhibits.

 

Exhibit No.

 

Description

10.1+*

 

Participation Agreement, dated September 12, 2023, entered into by and between PEDEVCO Corp. and Evolution Petroleum Corporation

99.1*

 

Press Release dated September 13, 2023

104

 

Inline XBRL for the cover page of this Current Report on Form 8-K

 

* Filed herewith.

 

 

2

 

 

+ Certain schedules and exhibits have been omitted pursuant to Item 601(a)(5) of Regulation S-K. A copy of any omitted schedule or exhibit will be furnished supplementally to the Securities and Exchange Commission upon request; provided, however that the Company may request confidential treatment pursuant to Rule 24b-2 of the Securities Exchange Act of 1934, as amended, for any schedule or exhibit so furnished.

 

The inclusion of any website address in this Form 8-K, and any exhibit thereto, is intended to be an inactive textual reference only and not an active hyperlink. The information contained in, or that can be accessed through, such website is not part of or incorporated into this Form 8-K.

 

Forward-Looking Statements

 

The press release furnished as Exhibit 99.1, to this Current Report on Form 8-K, contains forward-looking statements within the safe harbor provisions under the federal securities laws, including The Private Securities Litigation Reform Act of 1995, and, as such, may involve known and unknown risks, uncertainties and assumptions. These forward-looking statements relate to the Company’s current expectations and are subject to the limitations and qualifications set forth in the press release as well as in the Company’s other filings with the Securities and Exchange Commission, including, without limitation, that actual events and/or results may differ materially from those projected in such forward-looking statements, and that well results and development costs may not be as expected, the future price of oil may make future development of the field uneconomic, vendor availability may hinder or restrict the pace of development, new or amended environmental legislation or regulatory initiatives could result in increased costs, operational restrictions or delays, capital to fund future development on acceptable terms may not be available to the parties when and if needed to fund development, Evolution Petroleum Corporation may elect not to participate in the development of additional blocks, and the parties may not realize acceptable returns on their investments and may suffer losses. These statements also involve known and unknown risks, which may cause the results of the Company and its subsidiaries to be materially different than those expressed or implied in such statements, as described in greater detail in the press release furnished as Exhibit 99.1. Accordingly, readers should not place undue reliance on any forward-looking statements. Forward-looking statements may include comments as to the Company’s beliefs and expectations as to future financial performance, events and trends affecting its business and are necessarily subject to uncertainties, many of which are outside the Company’s control. More information on potential factors that could affect the Company’s financial results is included from time to time in the “Cautionary Note Regarding Forward-Looking Statements,” “Risk Factors” and “Management’s Discussion and Analysis of Financial Condition and Results of Operations” sections of the Company’s periodic and current filings with the SEC, including the Form 10-Qs and Form 10-Ks, filed with the SEC and available at www.sec.gov and the Company’s website at https://www.PEDEVCO.com/ped/sec_filings, and specifically including the Company’s Annual Report on Form 10-K for the year ended December 31, 2022 and the Company’s Quarterly Report on Form 10-Q for the quarter ended June 30, 2023. Forward-looking statements speak only as of the date they are made. The Company undertakes no obligation to publicly update or revise any forward-looking statements, whether as a result of new information, future events or otherwise that occur after that date, except as otherwise provided by law.

 

 

3

 

 

SIGNATURES

 

Pursuant to the requirements of the Securities Exchange Act of 1934, the registrant has duly caused this report to be signed on its behalf by the undersigned hereunto duly authorized.

 

 

PEDEVCO CORP.

    

Date:  September 12, 2023

By:/s/Dr. Simon G. Kukes

 

 

Dr. Simon G. Kukes 
  Chief Executive Officer 

 

 

4

 

0001654954-23-011790ped_ex991.htm

EXHIBIT 99.1

 

Evolution Petroleum and PEDEVCO Enter into Strategic Partnership to Jointly

Develop PEDEVCO’s Chaveroo Field in the Permian Basin

 

HOUSTON, TX / GLOBE NEWSWIRE / September 13, 2023 / Evolution Petroleum Corporation (NYSE American: EPM) ("Evolution") and PEDEVCO Corp. (NYSE American: PED) (“PEDEVCO”) today announced entry into a definitive Participation Agreement to jointly develop PEDEVCO’s Chaveroo oilfield in the Northwest Shelf (“NWS”) of southeastern New Mexico, a conventional oil-bearing San Andres field in the Permian Basin located in Chaves and Roosevelt Counties. The Chaveroo field was originally developed with vertical wells on 40-acre spacing. PEDEVCO has drilled ten horizontal infill wells on ~20-acre spacing which yields most of the field’s current production. The agreement covers approximately 16,000 acres with average working interest (“WI”) and net revenue interest (“NRI”) of 100% and 82%, respectively, all currently owned by PEDEVCO. Evolution will farm-in for an average 50% WI in future horizontal drilling locations on a block-by-block basis with PEDEVCO remaining the operator.

 

Key Highlights

 

 

·

Represents significant collaboration between two experienced independent U.S. publicly traded onshore oil and gas companies.

 

·

Potential to unlock significant value from the Chaveroo field which has an estimated original oil in place (OOIP) of over 700 million barrels with less than 5% recovered to date.

 

·

“Block-by-Block” farm-in agreement at fixed price per net acre payable by Evolution to PEDEVCO over 12 development blocks with up to nine drilling locations per development block.

 

·

At closing, Evolution will fund its share of the acreage portion for the initial two development blocks, covering nine total drilling locations.

 

·

Evolution, upon funding of its proportionate share of the development of the wells within a development block, becomes eligible to farm-in to the next development block.

 

·

Learnings from recent horizontal development combined with the extensive vertical delineation of the field has proved up the field for full development via horizontal infill drilling.

 

·

Strategic partnership further diversifies and increases Evolution’s oil commodity exposure, while allowing PEDEVCO to more aggressively develop the Chaveroo oilfield while freeing it to allocate capital to growth initiatives in the DJ Basin of Colorado and Wyoming.

 

·

Strategic partnership increases both parties’ ability to throttle organic development, while continuing to pursue accretive M&A activities as they become available.

 

Kelly Loyd, President and Chief Executive Officer of Evolution, commented, “We are excited to announce our strategic partnership and entry into the Permian basin with PEDEVCO, an organization that shares our goal of providing superior total returns to shareholders. As a 50% WI owner in the initial development blocks and holder of the right to farm-in to the subsequent development blocks, we look forward to our direct collaboration and involvement with the PEDEVCO team as we partner in the further development of the Chaveroo field. The wells drilled and infrastructure installed by PEDEVCO has helped prepare it for full development. Executing on this strategic partnership allows us to add a crucial component to our asset base, the ability to add to production and reserves via drilling of highly attractive yet cost effective wells that we anticipate will be supportive of our dividend for many years to come.”

 

 

 

 

Mr. Loyd concluded, “There will be times when the most accretive acquisitions are in the ground and times when they are in the market; today’s announcement puts us in a position to thrive in either environment. This view remains critical as we continue to evaluate and execute opportunities that prudently grow the business on a risk-adjusted basis and provide superior through-cycle returns. In the past, we have primarily grown our business through PDP acquisitions, and we expect this trend will continue. However, with our new strategic partnership with PEDEVCO, we can now more easily provide superior returns to our shareholders when the acquisition environment is out of favor. In short, we view today’s announcement as another important step in our continued corporate evolution, and we appreciate the ongoing support of our shareholders and business partners.”

 

Mr. Schick, President of PEDEVCO added, “We believe this strategic partnership allows PEDEVCO to accelerate the development and, importantly, value of our Chaveroo field. With our increasing activity in the DJ Basin of Colorado and Wyoming, this strategic partnership with Evolution provides us with a solid and experienced partner to aggressively move the development of this high-quality asset forward. We believe our work over the past five years has de-risked in-fill horizontal development of this asset and provided valuable data to continue to enhance results in the field. We look forward to working with Evolution as our partner on this exciting project.”

 

Advisors

 

Greathouse Hollway McFadden Trachtenberg acted as legal counsel for Evolution. Roth Capital Partners acted as financial advisor for PEDEVCO.

 

Evolution Petroleum Conference Call

 

As previously announced, Evolution Petroleum will host a conference call on Wednesday, September 13, 2023, at 2:00 p.m. Eastern (1:00 p.m. Central) to discuss its fiscal year-end 2023 financial and operating results and outlook. To access the call, please dial 1-844-481-2813 (Toll-free) or 1-412-317-0677. Participants should ask to join the Evolution Petroleum Corporation call. To listen live via webcast, click the link EPM FY'23 Earnings Call or go to the Company's website at www.evolutionpetroleum.com. A webcast replay will be available through September 13, 2024, via the webcast link above and on Evolution's website at www.ir.evolutionpetroleum.com.

 

About Evolution Petroleum

 

Evolution Petroleum Corporation is an independent energy company focused on maximizing total shareholder returns through the ownership of and investment in onshore oil and natural gas properties in the U.S. The Company aims to build and maintain a diversified portfolio of long-life oil and natural gas properties through acquisitions, selective development opportunities, production enhancements, and other exploitation efforts. Properties include non-operated interests in the following areas: the Jonah Field in Sublette County, Wyoming; the Williston Basin in North Dakota; the Barnett Shale located in North Texas; the Hamilton Dome Field located in Hot Springs County, Wyoming; the Delhi Holt-Bryant Unit in the Delhi Field in Northeast Louisiana; as well as small overriding royalty interests in four onshore Texas wells. Visit www.evolutionpetroleum.com for more information.

 

 

 

 

About PEDEVCO Corp.

 

PEDEVCO Corp. (NYSE American: PED), is a publicly traded energy company engaged in the acquisition and development of strategic, high growth energy projects in the United States. The Company's principal assets are its Permian Basin Asset located in the Northwest Shelf of the Permian Basin in eastern New Mexico, and its D-J Basin Asset located in the D-J Basin in Weld and Morgan Counties, Colorado, and Laramie County, Wyoming. PEDEVCO is headquartered in Houston, Texas. Visit www.pedevco.com for more information.

 

Cautionary Statement

 

This press release includes forward-looking statements as defined by the Securities and Exchange Commission (“SEC”). Statements in this press release regarding each of Evolution Petroleum’s and PEDEVCO’s businesses that are not historical facts represent "forward-looking" statements that involve risks and uncertainties. For a discussion of such risks and uncertainties, which could cause actual results to differ from those contained in any forward-looking statements, refer to the heading "Risk Factors" contained in each company’s annual and periodic reports filed with the Securities and Exchange Commission. Neither Evolution Petroleum nor PEDEVCO undertake any obligation to update any forward-looking statement. Inclusion of estimated OOIP is not consistent with “proved reserves” as defined by the SEC, OOIP is an internal estimate calculated by PEDEVCO based on geological studies performed by analyzing all existing vertical wells in the field.

 

Evolution Petroleum Contact:

 

Investor Relations

(713) 935-0122

info@evolutionpetroleum.com

 

PEDEVCO Contact:

 

PEDEVCO Corp.

(713) 221-1768

PR@pedevco.com

 

 

 

|a��<T 0001654954-23-011790ped_ex101.htm

EXHIBIT 10.1

 

Participation Agreement

 

Chaveroo Development Project

 

This Participation Agreement (“Agreement”), dated and effective as of September 12, 2023 (the “Effective Date”), is by and between PEDEVCO Corp. (“PED”), whose address is 575 N. Dairy Ashford, Suite 210, Houston, Texas 77079, and Evolution Petroleum Corporation (“EPM”), whose address is 1155 Dairy Ashford Rd., Suite 425, Houston, Texas 77079. EPM and PED are sometimes each individually referred to as a “Party” and collectively referred to herein as the “Parties”.

 

RECITALS

 

 

A.

PED owns Oil and Gas leasehold interests in the Existing Leases (defined below) in the Chaveroo Field located in Chavez and Roosevelt Counites of New Mexico being further described on Exhibit “A” attached hereto (the “Project Area”).

 

 

 

 

B.

EPM has familiarity with the Project Area and is desirous of acquiring certain rights in the Existing Leases and Project Area.

 

 

 

 

C.

The Parties desire to jointly develop the Project Area for the production of Oil, Gas and other hydrocarbons in accordance with this Agreement.

 

 

 

FOR GOOD AND VALUABLE CONSIDERATION, the receipt and sufficiency of which are hereby acknowledged, the Parties hereby agree as follows:

 

ARTICLE I.

DEFINITIONS

 

As used in this Agreement, the following words and terms shall have the meanings provided below:

 

 

A.

Acquiring Party shall have the meaning set forth in Section 11.1.

 

B.

Acquisition Costs shall have the meaning set forth in Section 11.2.

 

C.

Acreage Purchase Priceshall mean four-hundred fifty dollars ($450.00) per net leasehold acre.

 

D.

Active Block shall mean a Development Block where the Working Interest has been conveyed by Assignment to EPM.

 

E.

AFE shall mean the authority for expenditure for a well to be drilled on the Project Area issued in accordance with the Operating Agreement.

 

F.

Affiliateshall mean, with respect to any Person, any other Person directly or indirectly controlling, controlled by, or under common control with such other Person. For such purposes, the term “control” means the possession, direct or indirect, of the power to direct or cause the direction of the management and policies of a Person, whether through the ownership of voting securities, by contract or otherwise.

 

G.

AMI shall have the meaning set forth in Article XI.

 

H.

AMI Acquisition shall have the meaning set forth in Article XI.

 

I.

AMI Offering Notice shall have the meaning set forth in Article XI.

 

J.

AMI Term shall have the meaning set forth in Article XI.

 

K.

Assignment shall mean the Assignment of Oil and Gas Leases in the form and content of Exhibit “D-1” attached hereto, or the Assignment of Wellbore Working Interest in the form and content of Exhibit “D-2” attached hereto, as applicable, and made a part of this Agreement.

 

L.

Burdensshall mean all royalties (including lessor’s royalty), overriding royalties, production payments, net profits interests and other burdens upon, measured by or payable out of production (excluding, for the avoidance of doubt, any severance taxes, ad valorem taxes or production taxes).

 

 

 

 

 

M.

Business Day shall mean each day of the week except Saturday, Sunday and any other day on which commercial banks in the State of Texas are generally not open for business.

 

N.

Change of Control shall mean, with respect to either Party, a merger, consolidation, sale or transfer of substantially all of a Party’s assets or stock to an unaffiliated third party.

 

O.

Claims shall mean all third-party claims (including, without limitation, claims by any Governmental Authority), losses, damages, liabilities, obligations, costs, expenses, attorney’s fees and expenses, fines, penalties, remedial actions, causes of action or judgement of any kind or character (hereinafter referred to as “Claim”, in the singular, and as “Claims”, in the multiple).

 

P.

Closing or “Close” shall mean the execution of this Agreement and the consummation of the sale of the Working Interest Share for the Initial Development Block as set forth in Section 4.7 and the date of consummation of the sale of the Working Interest Share for each Subsequent Development Block.

 

Q.

Completion or “Complete” shall mean a single Operation intended to cause or enable a Well to become capable of producing Oil and/or Gas in one or more zones, including, but not limited to, the setting of production casing, perforating, well stimulation and production testing conducted in such Operation. In the event a well is never Completed for the production of Oil, Gas and other hydrocarbons for whatever reason, then said well shall be deemed to be Complete upon Operator’s proposal to either temporarily abandon or plug and abandon the Wellbore of any such well.

 

R.

Development Block shall have the meaning set forth in Section 3.1.

 

S.

Drilling and Spacing Unit shall mean those lands designated by the governing regulatory body in the state where the lands are located to identify which mineral and leasehold interests will be included in determining those parties which may have the opportunity to either (i) participate in the well(s) with a cost bearing working interest or (ii) receive a royalty or overriding royalty in the well(s).

 

T.

Effective Date shall mean the date set forth in the introductory paragraph of this Agreement.

 

U.

Excluded Liabilities shall have the meaning set forth in Section 6.5.

 

V.

Excluded Wellor “Excluded Wells” shall mean any well (and together, all wells) existing on the Project Area in which PED has a Working Interest as of the Effective Date of this Agreement.

 

W.

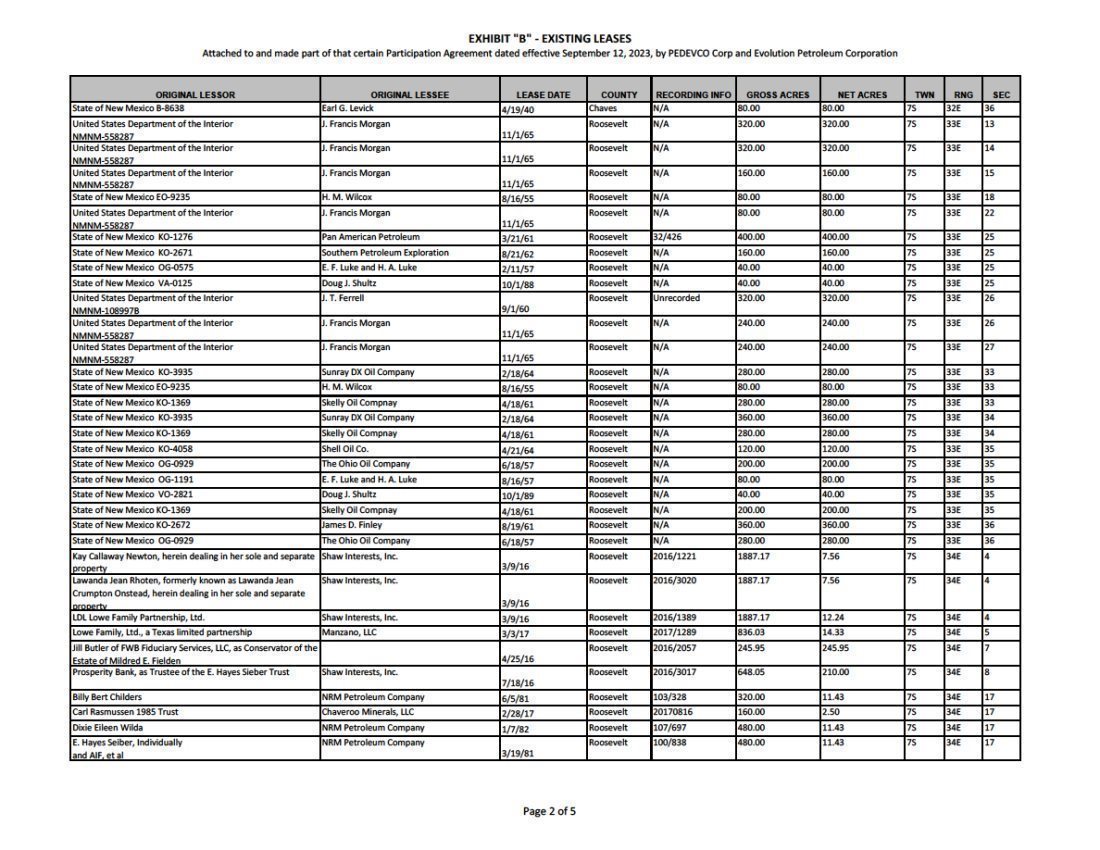
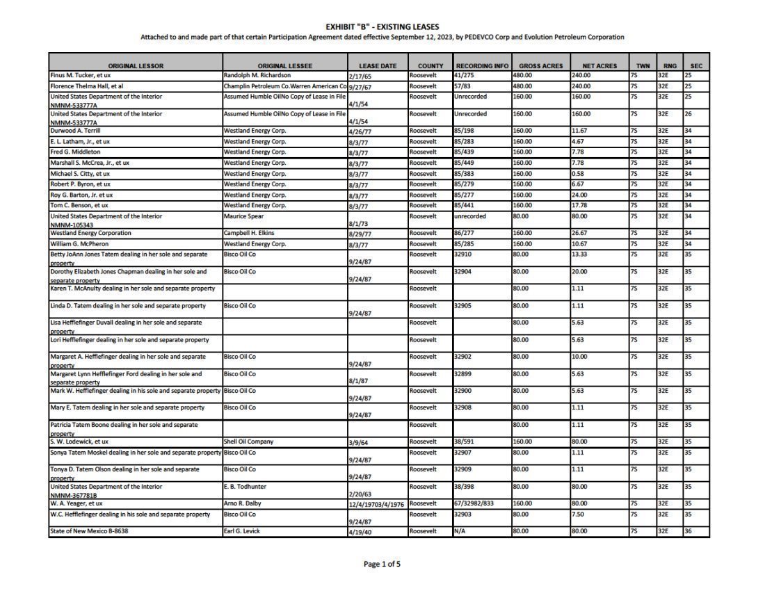
Existing Leases shall mean those Oil and Gas leases set forth on Exhibit “B” to this Agreement.

 

X.

Governmental Authority shall mean any and all federal, state, tribal, municipal, county or other local governmental authorities.

 

Y.

Infrastructure Project shall have the meaning set forth in Section 5.5.

 

Z.

Initial Development Blocks shall have the meaning set forth in Section 4.2

 

AA.

Initial Development Wells shall have the meaning set forth in Section 5.2

 

BB.

Initial Purchase Price shall have the meaning set forth in Section 4.2.

 

CC.

Initial Term shall have the meaning set forth in Article XII.

 

DD.

Initial Test Well shall mean the first well drilled under this Agreement to test the San Andres Main Pay Formation.

 

EE.

Knowledge shall mean that a Person (including a Party) will be deemed to have Knowledge of a particular fact or other matter if that Person or an officer or manager of that Person is actually aware that fact or matter without the duty to inquire.

 

FF.

Lease shall mean a contractual right or deed by which a landowner authorizes exploration for and production of Oil and/or Gas on lands owned in whole or in party by such landowner.

 

GG.

Lease Saving Operation shall have the meaning set forth in Section 4.5.

 

HH.

Leasehold NRIshall mean with respect to a Party’s Working Interest in a Lease (or a specific depth or formation in such Lease, as applicable), such Party’s interest in and to all hydrocarbons produced, saved and sold from or allocated to such Lease (or such specific depth or formation, as appliable), after giving effect to all Burdens of such Party; provided that if a Party’s Working Interest in any Lease differs as to any part or depth of such Lease, then a separate calculation shall be made as to such part or depth.

 

 

 

 

 

II.

New Mexico Renewal Leasesshall have the meaning set forth in Section 4.8

 

JJ.

New Mexico Renewal Period shall have the meaning set forth in Section 4.8

 

KK.

Non-Acquiring Partyshall have the meaning set forth in Section 11.1.

 

LL.

Oil and/or “Gas” mean oil, gas, casinghead gas, gas condensate, their constituent products and/or all other liquid or gaseous hydrocarbons and other marketable substances produced therewith, unless an intent to limit the inclusiveness of this term is specifically and expressly stated in this Agreement.

 

MM.

Operating Agreementor “OA” shall have the meaning set forth in Section 7.1.

 

NN.

Operation or “Operations” shall include, but not be limited to, all operations related to the exploration, development, production, transportation, storage, field processing, or marketing of hydrocarbons as contemplated under this Agreement.

 

OO.

Operator has the meaning set forth in Section 7.1.

 

PP.

Participating Partyshall mean any Party that elects, or is deemed to have elected, to participate in any proposal made by the Operator under this Agreement, and “Non-Participating Party” shall mean any Party that elects, or is deemed to have elected, not to participate in any proposal made by the Operator under this Agreement.

 

QQ.

PED ORRI shall have the meaning set forth in Article XIV.

 

RR.

Permitted Encumbrances shall mean the terms and conditions of the Existing Leases; any Burdens, liens, rights or interests of record in the chain title to the Existing Leases as of the Effective Date or listed on Exhibit B; all contracts and agreements of record in the chain of title to the Existing Leases or disclosed on Exhibit G; all Claims or other matters listed on Exhibit G; liens for Taxes that are not yet due and payable; conventional rights of reassignment upon final intention to abandon or release any of the Existing Leases (that have not been transferred); easements, conditions, covenants, restrictions, servitudes, permits, rights of way, surface leases and other rights in the Existing Leases for the purpose of operations, facilities, roads, alleys, highways, railways, pipelines, transmission lines, distributions lines, power lines, telephone lines, removal of timber, grazing, logging operations, canals, ditches, reservoirs and other like purposes, or for the joint or common use of real estate, rights-of-way, facilities and equipment, which in each case, do not materially impair the operation or use of any of the Existing Leases; and all other encumbrances, instruments, permits, obligations, defects and irregularities affecting the Existing Leases that individually or in the aggregate (i) are not such as to materially interfere with the operation or use of any of the Existing Leases, (ii) reduce the net acres in any Existing Leases to an amount less than the number of net acres set forth on Exhibit B for the depths shown, or (iii) increases the Burdens on any existing Leases in excess of the Burdens set forth on Exhibit B.

 

SS.

Person shall mean an individual corporation, partnership, trust, estate, unincorporated organization, association, or legal entity.

 

TT.

Project or “Project Area” shall mean the lands set forth on Exhibit “A”.

 

UU.

Qualifying Wells shall mean a well that is set forth on Exhibit “C”, or as otherwise mutually agreed by the Parties.

 

VV.

San Andres Formationshall have the meaning set forth in Section 4.2

 

WW.

San Andres Main Pay Formation shall have the meaning set forth in Article VIII.

 

XX.

Subsequent Development Blocks shall have the meaning set forth in Section 4.2.

 

YY.

Subsequent Wells shall mean any well that is drilled under this Agreement that is not a Qualifying Well.

 

ZZ.

Tax or “Taxes” shall mean any taxes, assessments and other governmental charges in the nature of a tax imposed by any Governmental Authority, including income, profits, gross receipts, stamp, alternative or add-on minimum, ad valorem, real property, personal property, transfer, real property transfer, value added, sales, use, customs, duties, capital stock, franchise, excise, withholding, severance, production, estimated or other tax, including any interest, penalty or addition thereto.

 

 

 

 

 

AAA.

Wellbore shall mean a hole drilled into the subsurface of the earth for the extraction of Oil and/or Gas.

 

BBB.

Working Interest shall mean, with respect to a Qualifying Well (or a specific depth or formation in such Qualifying Well, as applicable), the interest in such Qualifying Well or Lease (or the applicable depth or formation) that is burdened with the obligation to bear and pay costs and expenses of maintenance, development and operations on or in connection with such Qualifying Well or Lease, but without regard to the effect of any Burdens.

 

CCC.

Working Interest Share or “Working Interest Shares” shall mean a Party’s or Parties’ cost-bearing and ownership interest in the Project Area, including the Existing Leases, the Qualifying Wells, the Subsequent Wells and the AMI as set forth in Section 5.1.

 

ARTICLE II.

EXHIBITS

 

Section 2.1 Exhibits. The following Exhibits are attached to and made a part of this Agreement:

 

EXHIBIT “A” – Description of Project Area Lands

 

EXHIBIT “B” – List of Existing Leases

 

EXHIBIT “C”- List of Qualifying Wells

 

EXHIBIT “D-1” – Form of Assignment of Oil and Gas Leases

 

EXHIBIT “D-2”- Form of Assignment of Wellbore Working Interest

 

EXHIBIT “E” – Form of Operating Agreement (including exhibits)

 

EXHIBIT “F” – Memorandum of Agreement

 

EXHIBIT “G” – Permitted Encumbrances

 

ARTICLE III.

LANDS AND DEVELOPMENT BLOCKS

 

Section 3.1 Development Blocks. The Project Area shall be comprised of the individual “Development Blocks” as set forth below, which shall include the Qualifying Wells for each Development Block as set forth in Exhibit “C”:

 

Development Block #1:

Section 5, Township 8 South, Range 33 East, (W2;W2 E2, being 480 gross acres more or less)

 

Development Block #2:

Section 25, Township 7 South, Range 33 East, (All, being 640.00 gross acres more or less)

Section 30, Township 7 South, Range 34 East, (All, being 505.48 gross acres more or less)

 

Development Block #3:

Section 18, Township 7 South, Range 33 East, (All, being 499.16 gross acres more or less)

Section 19, Township 7 South, Range 33 East, (All, being 502.36 gross acres more or less)

 

 

 

 

Development Block #4:

Section 31, Township 7 South, Range 33 East, (All, being 640.00 gross acres more or less)

Section 6, Township 8 South, Range 33 East, (All, being 640.00 gross acres more or less)

 

Development Block #5:

Section 1, Township 8 South, Range 32 East, (All, being 640.00 gross acres more or less)

Section 2, Township 8 South, Range 32 East, (All, being 640.00 gross acres more or less)

 

Development Block #6:

Section 25, Township 7 South, Range 32 East, (All, being 640.00 gross acres more or less)

Section 36, Township 7 South, Range 32 East, (All, being 640.00 gross acres more or less)

 

Development Block 7:

Section 35, Township 7 South, Range 32 East, (All, being 640.00 gross acres more or less)

Section 3, Township 8 South, Range 32 East, (All, being 640.00 gross acres more or less)

 

Development Block #8:

Section 20, Township 7 South, Range 34 East, (All, being 640.00 gross acres more or less)

Section 29, Township 7 South, Range 34 East, (All, being 640.00 gross acres more or less)

 

Development Block #9:

Section 5, Township 7 South, Range 34 East, (All, being 640.00 gross acres more or less)

Section 8, Township 7 South, Range 34 East, (All, being 640.00 gross acres more or less)

Section 17, Township 7 South, Range 34 East, (All, being 640.00 gross acres more or less)

 

Development Block #10:

Section 2, Township 8 South, Range 33 East, (E/2 and E/2 of the W/2, being 480.00 gross acres more or less)

Section 3, Township 8 South, Range 33 East, (E/2 of the W/2, being 480.00 gross acres more or less)

Section 4, Township 8 South, Range 33 East, (E/2 of the E/2, being 160.00 gross acres more or less)

Section 5, Township 8 South, Range 33 East, (E/2 of the E/2, being 160.00 gross acres more or less)

 

Development Block #11:

Section 35, Township 7 South, Range 33 East, (W/2 W/2 and E/2, being 480.00 gross acres more or less)

Section 36, Township 7 South, Range 33 East, (E/2 W/2 and E/2, being 480.00 gross acres more or less)

 

Development Block #12:

Section 33, Township 7 South, Range 33 East, (All, being 640.00 gross acres more or less)

Section 34, Township 7 South, Range 34 East, (W/2 and W/2 E/2, being 480.00 gross acres more or less)

 

Limited ONLY to those depths from the surface of the Earth to the base of the San Andres Formation

 

(For illustrative purposes the Development Blocks are shown on Plat A-2 of Exhibit “A”)

 

ARTICLE IV.

LEASES & CLOSING

 

Section 4.1 Project Area. The Project Area shall include the Oil and Gas Leases within the Project Area as shown on Exhibit “A”, with the Leases being identified on Exhibit “B” (the “Existing Leases”). The Existing Leases cover approximately fifteen thousand, five hundred eighty-eight (15,588) gross and net leasehold acres.

 

 

 

 

Section 4.2 Initial Development Blocks Purchase Price. At Closing, EPM will pay cash consideration to PED in the amount of three hundred sixty-five thousand, seven hundred thirty-three Dollars ($365,733.00), (the “Initial Purchase Price”), in exchange for a fifty percent (50%) Working Interest Share in the Existing Leases, being limited only to the lands in the Initial Development Blocks, as defined below, and furthermore such assignment shall only cover those depths from the surface of the earth to the base of the “San Andres Formation” which shall be defined as the stratigraphic equivalent of that interval found between the depths of 3,520 MD and 4,849’ MD as found on the gamma ray log for the Atlantic Richfield operated State BF #11 well (aka Haley Chaveroo SA Unit #40 well) (API # 30-005-20792) located in the Section 3, Township 8 South, Range 33 East of Chaves County, New Mexico. Development Block #1 and Development Block #2 are collectively hereafter referred to as the “Initial Development Blocks” and the remaining Development Blocks shall be collectively referred to as the “Subsequent Development Blocks”. At Closing, PED shall assign to EPM a fifty percent (50%) Working Interest Share in the Existing Leases by execution and delivery of the Assignment of Oil and Gas Leases attached to this Agreement as Exhibit “D-1” as to the Existing Leases contained in the Initial Development Blocks. All Excluded Wells shall be listed as excluded assets on any Assignment, unless otherwise designated as set forth in Section 4.5.

 

Section 4.3 Acquisition of Additional Development Blocks. Following Completion of the Initial Development Wells, EPM will have the right, but not the obligation, to acquire a fifty percent (50%) Working Interest Share in each of the Subsequent Development Blocks, subject to, and in accordance with, the terms and conditions set forth in Section 5.4 including execution and delivery of the Assignment for each Subsequent Development Block.

 

Section 4.4 Royalty Burdens. In each Existing Lease and other Leases in the Project Area wherein EPM acquires its Working Interest Share, EPM will acquire such Working Interest Share subject to its proportionate share of all Burdens filed of record as of the Effective Date in the official public records of the County and/or the State Land Office of New Mexico where the Existing Leases and such other Leases in the Project Area are located. EPM agrees to be bound by all the terms and provisions of the Existing Leases and other Leases in the Project Area wherein it acquires a Working Interest Share to the extent PED is bound thereby.

 

Section 4.5 Lease Saving Operation. Any Non-Participating Party in an Operation which serves to extend the term of Lease(s) that is not otherwise maintained (a “Lease Saving Operation”), shall forfeit any Non-Participating Party’s interest in that portion of the Lease(s) which is held by such operation and any affected Development Block with the Non-Participating Party’s Working Interest Share in the affected Development Block and Qualifying Wells shall be adjusted accordingly. The Non-Participating Party in any Lease Saving Operation shall assign to the Participating Parties their respective Working Interest Share(s) in the portion of the Lease(s) extended by such Lease Saving Operation on the form of Assignment attached hereto as Exhibit “D-1”. If a Party chooses to participate with only a portion of its Working Interest in any Lease Saving Operation, then the Party shall assign only that share of its Working Interest for which it elects not to participate with. Any Assignment made under this Section 4.5 shall be effective as of the day following the completion of the Lease Saving Operation and shall be assigned free and clear of any Burdens other than the lessor’s royalty and any other known Burdens existing as of the Effective Date. The first well drilled in any Drilling and Spacing Unit on the Project Area shall be considered a Lease Saving Operation as to any leasehold interest within said Drilling and Spacing Unit. Furthermore, in the event a Lease Saving Operation is to be conducted on an Excluded Well holding any portion of the Existing Leases, then at PED’s option and in its sole discretion it may propose the Lease Saving Operation to EPM as if EPM was a fifty percent (50%) Working Interest owner in said well. Upon receipt of PED’s proposal for any such Excluded Well, EPM will have thirty (30) days to either (a) elect to acquire a fifty percent (50%) Working Interest in said Excluded Well on the form of Assignment attached hereto as Exhibit “D-2” and participate in the operation to return the Excluded Well to production, or (b) forfeit its right to acquire or reassign to PED if necessary, any interest in that portion of any Existing Lease which is held by the Lease Saving Operation on an Excluded Well with the Non-Participating Party’s Working Interest Share in the affected Development Block and Qualifying Wells being adjusted accordingly, or (c) participate in the operation to return the Excluded Well to production, but EPM shall not have any plugging, abandonment or restoration liability for such Excluded Well; provided however, for each failed Lease Saving Operation on an Excluded Well, EPM agrees to pay to PED an amount equal to what would have been EPM’s Working Interest Share had EPM participated in the plugging, abandonment or restoration expense of such Excluded Well, such amount not to exceed Forty Thousand Dollars ($40,000.00) net to EPM per Excluded Well.

 

 

 

 

Section 4.6 Proportionate Reduction. Should PED own less than one-hundred percent (100%) Working Interest Share in any of the Existing Leases, or any other Leases in the Project Area wherein it acquires a Working Interest Share, EPM’s assigned Working Interest Share shall be proportionately reduced as to the interest PED is able to deliver in said Leases so that PED and EPM each own one-half (1/2) of such lesser Working Interest Share.

 

Section 4.7 Closing. “Closing” shall occur concurrently with the full execution of this Agreement by the Parties and delivery of the Assignment of the Working Interest in the Initial Development Blocks. Closing for any Subsequent Development Blocks shall occur as provided in Section 5.4.

 

Section 4.8 Renewal & Leasing of State Leases. PED, in its sole discretion, may seek to acquire Leases covering the tracts identified below (the New Mexico Renewal Leases”). If PED acquires any of the New Mexico Renewal Leases within two (2) years from the Effective Date (the New Mexico Renewal Period), the acquired Leases shall become Existing Leases for the purposes of this Agreement and EPM shall pay the Acreage Purchase Price to PED with respect to its Working Interest Share of such Leases, if acquired by EPM pursuant to Section 5.4. EPM will be restricted from acquiring any interest in the New Mexico Renewal Leases during the New Mexico Lease Renewal Period, other than pursuant the terms and conditions of Article IV and Article V. Upon the expiration of the New Mexico Lease Renewal Period, any acquisition of interests within the lands described below by either Party would be deemed an AMI Acquisition if during the AMI Term and handled accordingly.

 

TWN 8 South, Range 32 East

Section 2 - 160 acres being the E/2 E/2

Section 1 – 560 acres being the S/2, N/2 N/2, SW NE, SW NW

 

TWN 7 South, Range 32 East

Section 31 - 640 acres being All of the section

Section 36 - 560 acres being N/2, SE, W/2 SW

 

Section 4.9 Compliance or AFE Option. Except in the case of a Lease Saving Operation as provided in Section 4.5, all costs and liabilities associated with plugging, abandonment and restoration of the Excluded Wells in the Project Area shall remain the responsibility of PED and shall not be transferred to EPM. Notwithstanding the foregoing, EPM agrees to pay its proportionate share (not to exceed $2.00 per barrel of net oil sold) to the State of New Mexico, in accordance with the negotiated terms of a compliance agreement that may be entered by PED (or an Affiliate thereof) with the State of New Mexico covering some or all of the Excluded Wells. In the absence of a compliance agreement, EPM agrees to pay PED up to $100,000 per Qualifying Well drilled for plugging, abandonment and restoration expense, with said amount being included in the AFE.

 

ARTICLE V.

PARTICIPATION

 

Section 5.1 Initial Development Blocks. Upon Closing of this Agreement, and subject to the terms, conditions and provisions of this Agreement, PED and EPM shall own their respective Working Interest Share of the Existing Leases within the Initial Development Blocks in the percentages set forth below:

 

 

 

 

Working Interest Share in the Project Area

PEDEVCO CORP.*

 

50.00%

EVOLUTION PETROLEUM CORPORATION

 

50.00%

 

100.00%

*held by subsidiaries of PED

Section 5.2 Initial Development Wells. The Parties will be required to participate, with their proportionate Working Interest Share in the “Initial Development Wells” described below, subject to the Operating Agreement provided for in Article VII of this Agreement:

 

 

i.

State 502H Well: Section 5, TWN 8 South, Range East

 

 

SHL (SE SW/ SW SE)

FTP (800’ FSL & 1,320 FWL)

LTP (100’ FNL & 1,320 FWL)

 

 

 

 

ii.

State 503H Well: Section 5, TWN 8 South, Range East

 

 

SHL (SE SW/ SW SE)

FTP (800’ FSL & 2,649 FWL)

LTP (100’ FNL & 2,657 FWL)

 

 

 

 

iii.

State 504H Well: Section 5, TWN 8 South, Range East

 

 

SHL (SE SW/ SW SE)

FTP (800’ FSL & 1,320 FWL)

LTP (100’ FNL & 1,320 FWL)

 

Section 5.3 Qualifying Wells. The Qualifying Wells for each Development Block are identified on Exhibit “C”.

 

Section 5.4 Subsequent Development Blocks & Subsequent Wells. Following Completion of all of the Qualifying Wells in the Initial Development Blocks, EPM shall earn the right, but not the obligation, to acquire its Working Interest Share in Development Block #3 with the condition that EPM is a Participating Party, and has fully funded its Working Interest Share in all the Qualifying Wells in the Initial Development Blocks. Thereafter, so long as EPM is a Participating Party in Development Block #3 and has fully funded its Working Interest Share in all the Qualifying Wells therein, EPM shall have the option, but not the obligation, to acquire its Working Interest Share in Development Block #4, and, thereafter, so long as EPM is a Participating Party in Development Block #4 and has fully funded its Working Interest Share in all the Qualifying Wells therein, EPM shall have the right, but not the obligation, to acquire its Working Interest Share in Development Block #5, and so forth and so on until EPM has acquired its Working Interest Share in all of the Subsequent Development Blocks at which time this Agreement shall terminate and the Project Area will be governed by the Operating Agreement. Subject to the procedures set forth in Section 6.2 (which shall include an extension of time for EPM’s payment pursuant to PED’s timing to cure any title defects, such extension not exceed ninety (90) days), EPM shall have one-hundred (100) days from the date of Completion for the last Qualifying Well in each Development Block so long as ninety (90) days have passed since the date of first sales for at least one Qualifying Well in the Development Block, to submit payment to PED an amount equal to its proportionate Working Interest Share of net acres in such applicable Development Block multiplied by the Acreage Purchase Price. EPM may acquire its Working Interest Share in the remaining Development Blocks by submitting payment to PED within one hundred (100) days from the Completion date of the last Qualifying Well in a Development Block (plus any extension pursuant to PED’s timing to cure title defects as set forth in Section 6.2, such extension not to exceed ninety (90) days), so long as ninety (90) days have passed since the date of first sales for at least one Qualifying Well in the preceding Development Block and PED shall execute and deliver the Assignment for such Development Block. If EPM fails to timely submit payment for any Subsequent Development Block and such failure follows fifteen (15) Business Days written notice to EPM, EPM will have no additional rights to those Leases and lands within such Subsequent Development Block or any and all remaining Subsequent Development Blocks for which it has not acquired an interest and this Agreement shall terminate. After termination of this Agreement, the Active Blocks and any acreage acquired under the AMI will be governed by the Operating Agreement. For the avoidance of doubt, either Party may propose Qualifying Wells in an Active Block. Notwithstanding the foregoing, EPM shall be considered a Participating Party that has fully-funded its Working Interest Share and eligible to participate in the next Subsequent Development Block if it has either (i) funded all of its Working Interest Share in the Qualifying Wells within an Active Block, excluding any additional interest of PED it may participate with or (ii) funded 100% of at least half of the total number of Qualifying Wells in said Active Block. All Subsequent Wells shall be governed by the Operating Agreement, but only PED may propose a Subsequent Well until this Agreement is terminated.

 

 

 

 

Section 5.5 Infrastructure Investments. The Parties will have the opportunity to participate, with up to their proportionate Working Interest Share, in any infrastructure project proposed by PED or EPM that is constructed on the Project Area, or on lands located within 5 miles from the boundary of the Project Area, for which the primary purpose of the project is for the development of the Project Area (hereinafter an “Infrastructure Project”). Infrastructure Projects may include, but are not limited to, Oil and Gas pipelines, midstream processing facilities, water supply facilities and saltwater disposal wells, gathering and facilities. PED, or the designated Operator, may allocate to and charge the well(s) an amount that is commensurate with the market rate for similar services available in the area at the time the Infrastructure Project is constructed, as reasonably determined by PED or the designated Operator, the intent of this Section 5.4 being that a Non-Participating Party in any Infrastructure Project should not realize financial benefit at the expense of the Participating Parties in any Infrastructure Project. PED, or the designated Operator, shall provide written notice to the Parties of any proposed Infrastructure Project, along with design specifications, construction plans and estimated costs. The Parties will have ninety (90) days from receipt of any Infrastructure Project proposal to make their election in writing as to their decision to participate. Failure to deliver such notice of election within said prescribed period shall be deemed an election not to participate. The Participating Parties in an Infrastructure Project shall pay each invoice received from PED, or the designated Operator, related thereto within thirty (30) days from receipt, but in no event shall the invoice be sent prior to the expiration of such ninety (90) day election period. Failure to timely pay an invoice related to an Infrastructure Project shall be deemed an election not to participate in the Infrastructure Project, and any such non-paying party shall be deemed a Non-Participating Party upon the date that such payment is thirty (30) days past due. Any Non-Participating Party in an Infrastructure Project shall forfeit their interest in the Infrastructure Project (including any/all payments made previously) upon the date that such payment is thirty (30) days past due.

 

Section 5.6 Hedging. Each Party shall have the right to hedge its proportionate share of production from any well drilled under this Agreement in which it is a Participating Party and has fully funded its Working Interest Share in all the Active Blocks.

 

Section 5.7 Purchase Rights. If any or all of the Development Blocks are sold, conveyed or otherwise transferred by PED prior to EPM having an opportunity to purchase its proportionate share in all the Development Blocks, EPM will have the option to acquire its 50% Working Interest Share in the remaining Development Blocks for the price of $450 per net acre; provided, however, that EPM shall have no such purchase right in connection with a Change of Control of PED so long as (a) there is no material change in the application of the terms and conditions of this Agreement as they affect EPM, (b) there is no material increase to the liability and/or responsibility of EPM, and (c) the acquiring party expressly assumes all obligations of PED under this Agreement.

 

ARTICLE VI.

TITLE REPRESENTATIONS AND VERIFICATION

 

Section 6.1 Title Review. EPM has had the opportunity to examine the title to the Existing Leases in the Initial Development Blocks and has satisfied itself as to that title. By execution of this Agreement and upon receipt of the Assignment, EPM accepts title to the Existing Leases in the Initial Development Blocks and waives any claims for adjustment other than for breach of the special warranty of title or representations provided by PED in Section 6.3 below or in the Assignment, which is a limited warranty of title by, through and under PED, but not otherwise. EPM shall be permitted to examine title for the Existing Leases in the Subsequent Development Blocks, however EPM’s examination of title under this Section 6.1 shall in no way extend the period of time EPM has to make payments for Subsequent Development Blocks under Section 5.4.

 

 

 

 

Section 6.2 Title Failures. EPM shall provide written notice to PED of any title defect it identifies which in EPMs sole discretion, materially affects the marketable title of an Existing Lease in any Subsequent Development Block. Any such notice for the next Subsequent Development Block shall be provided to PED no later than forty-five (45) days from the date of Completion for the last Qualifying Well in the preceding Development Block. Within fifteen (15) Business Days of receipt of written notification by EPM to PED of any title defect(s), PED shall notify EPM of its decision whether to seek to cure any such title defect(s). Time is of the essence and if PED does not notify EPM within such period of its decision, PED shall be deemed to have elected not to cure the title defect(s). If PED (i) does not elect to cure the title defect(s) within fifteen (15) Business Days from PED’s receipt of notice of said title defect(s) or (ii) does not cure the title defect(s) for any reason within ninety (90) days from PED’s receipt of notice of said title defect(s), EPM may take assignment of the Subsequent Development Block, but exclude the defective Lease(s) from the Assignment. In such event, EPM shall only pay PED for the portion of the Existing Leases within said Subsequent Development Block that are not subject to the identified title defect(s), and EPM’s Working Interest Share in such Subsequent Development Block shall be reduced accordingly. In the event the aggregate title defects for any Subsequent Development Block exceed twenty percent (20%) of the net leasehold acres within said Development Block, EPM, in its sole discretion, may instead elect to require PED to substitute the impacted Development Block with the next Subsequent Development Block. Any Lease subject to any title defect, and the mineral interest covered thereby, shall be excluded from the Assignment of any Development Block and shall no longer be subject to this Agreement.

 

Section 6.3 Representation. PED represents that other than the Permitted Encumbrances, (i) to its Knowledge, there are no liens, Claims or Burdens affecting the Existing Leases; (ii) the Existing Leases are, to its Knowledge, valid and subsisting in accordance with their terms, and are legal, valid and binding obligations of the parties thereto, and their respective successors and assigns; (iii) to its Knowledge all bonus payments for the acquisition of the Existing Leases have been fully paid and any delay rental payments necessary to maintain the Existing Leases have been fully paid prior to the Effective Date, (iv) it has no Knowledge of any Claim having been made by the lessor or lessee of any of the Existing Leases regarding default or failure to perform under the terms of the Existing Leases that has not been resolved prior to the execution of this Agreement;(v) to its Knowledge, no default by lessor or lessee has occurred and is continuing with respect to any material provision of any of the Existing Leases; (vi) no default has occurred and is continuing with respect to any provision of any of the Existing Leases and, to its Knowledge, all Existing Leases are in full force and effect; (vii) with respect to the Existing Leases, (a) PED has paid its pro-rata share of all ad valorem, property, production, severance, excise, and similar Taxes and assessments that have become due and payable, and all Tax returns required to be filed by PED have been timely filed, (b) there are no Tax deficiencies assessed against or audits in progress by any Governmental Authority, (c) there are no existing Tax liens, (viii) all rentals, royalties, shut-in royalties, overriding royalties and other payments due pursuant to or with respect to the Leases have been properly paid, excluding amounts properly held in suspense; and (ix) the Existing Leases are not subject to any preferential purchase rights applicable to the transactions contemplated hereby.

 

Section 6.4 Survival of Title Representations. The representations set forth in Section 6.3 above shall survive for a period of six (6) months after each Closing. The representations shall remain true and correct for the Existing Leases as of the Effective Date in the Initial Development Blocks and as of the date of the Closing for each Subsequent Development Block as if made at such time of Closing.

 

Section 6.5 Excluded Liabilities. Other than as agreed to by EPM as provided in Section 4.5 and 4.9, EPM shall not assume and shall not be obligated to assume or be obliged to pay, perform, or otherwise discharge any obligations or liabilities of PED to the extent that they are (such excluded obligations and liabilities, the “Excluded Liabilities”):

 

 

(i)

attributable or arise out of the Excluded Wells;

 

(ii)

Taxes imposed on or with respect to the ownership or operation of the Excluded Wells or the production of hydrocarbons or the receipt of proceeds therefrom that are attributable to any Tax period (or portion thereof);

 

(iii)

liabilities associated with the disposal or transportation of any hazardous materials from the Project Area which occurred prior to Closing;

 

 

 

 

 

 

 

(iv)

death or personal injury to third party individuals related to or arising out of PED’s or any of its Affiliates’ ownership or operation of the Existing Leases occurring prior to Closing;

 

(v)

Claims, liens or encumbrances arising prior to each Closing; and

 

(vi)

any unpaid royalties with respect to the ownership or operation of the Existing Leases occurring prior to Closing, whether currently producing or not.

 

ARTICLE VII.

OPERATING AGREEMENT

 

Section 7.1 Model Form Operating Agreement. The Project Area shall be governed by the A.A.P.L 1989 Model Form Operating Agreement in substantially the form as the operating agreement attached hereto as Exhibit “E” (the “Operating Agreement” or “OA”) naming an Affiliate to be designated and controlled by PED as “Operator” thereunder. The Operator may be replaced (i) for cause by a vote of the majority of the Working Interest represented by the Parties in the Project Area, including the then-Operator’s interest, if applicable, or (ii) if PED elects to not participate in a well, the Operator with respect to such well may be replaced by the majority of the Working Interest participating in such well. PED will have no obligation to serve as Operator for any well in which it is a Non-Participating Party. PED shall use commercially reasonable efforts to cause the Operator to provide an AFE for any well drilled under this Agreement, not later than thirty (30) Business Days prior to commencement of actual drilling operations for each such well. Simultaneously with the execution of this Agreement the Parties shall execute the Operating Agreement. The provisions of the Operating Agreement shall be applicable to all operations hereunder. Provided, however, in the event of a conflict between this Agreement and the Operating Agreement, the provisions of this Agreement shall apply.

 

Section 7.2 Non-Consent Elections. Non-Participating Parties shall have the option, but not the obligation, to assign their Working Interest Share as to any well proposed under the OA to the Participating Parties in lieu of the Non-Consent provisions of the OA. If a Non-Participating Party elects to assign their interest in lieu of being deemed non-consent under the OA, then said party shall assign their interest in the affected Wellbore to the Participating Parties on the form of Assignment attached here as Exhibit “D-2”. Any Assignment made under this Section 7.2 shall be effective as of the day following the completion of the proposed Operation and shall be assigned free and clear of any Burdens except for Burdens existing as of the Effective Date and an Overriding Royalty Interest in favor of assignor equal to the lesser of a two and one-half percent (2.5%) ORRI that has been proportionately reduced by the assignor’s Working Interest Share, or an amount that results in a Participating Party not receiving less than a seventy-eight percent (78%) Leasehold NRI in the interest being assigned to the Participating Parties if Burdens allow for same. The Parties may elect to participate with only a portion of their Working Interest Share, in which case they shall assign that portion of their Working Interest Share which they elect not to participate with to the other Participating Parties under this Section 7.2. This Section 7.2 shall not apply to any proposal under the OA which is considered a Lease Saving Operation. For the avoidance of doubt, a Party would retain any ORRI or royalty interest existing as of the Effective Date which it acquired from a third party after the Effective Date regardless of the resulting Leasehold NRI delivered to the Participating Parties. Provided however, any such acquired royalty interest or ORRI would be subject to the AMI.

 

ARTICLE VIII.

INITIAL TEST WELL

 

PED shall use commercially reasonable efforts to spud, or cause to be spud, the Initial Test Well to test the San Andres Main Pay Formation on the Project Area on or before December 31, 2023 and thereafter continue with due diligence to drill and Complete the Initial Development Wells. The “San Andres Main Pay Formation” shall be defined as the stratigraphic equivalent of that interval found between the depths of 4,309 MD and 4,375’ MD as found on the gamma ray log for the Atlantic Richfield operated State BF #11 well (API # 30-005-20792) located in Section 3, Township 8 South, Range 33 east of Chaves County, New Mexico. PED shall have no obligation under this Agreement to spud the Initial Test Well, however in the event that PED fails to spud the Initial Test Well on or before December 31, 2024, EPM shall, at its sole option, have the right to (i) terminate this Agreement and PED shall return all payments made by EPM to PED under this Agreement in exchange for a re-assignment of any and all interests assigned to EPM by PED hereunder or (ii) replace the Operator for the Initial Development Wells.

 

 

 

 

ARTICLE IX.

ACCESS TO DATA

 

During any Operation, EPM’s duly authorized representatives shall have access at their own risk to the location or site of any Operation and shall agree to be bound by all policies and procedures of the Operator with respect to the same. Operator shall also provide the following data to EPM for any well drilled on the Project Area in which EPM is a Participating Party:

 

 

(a)

Notification of spud and location plat.

 

 

 

 

(b)

Copies of all well information including, without limitation, daily Operations reports, flowback reports, all logs, drill stem tests and core samples which Operator acquires as a result of its Operations on the Project Area.

 

 

 

 

(c)

Copies of any title opinions or ownership reports obtained by Operator that pertain to the Initial Development Wells.

 

 

 

 

(d)

Copies of all surveys prepared, and forms filed with regulatory agencies.

 

 

 

 

(e)

All information participants are entitled to receive under the provisions of the Operating Agreement and any other information reasonably requested. Operator shall not be required to provide any information that is not within its possession or information Operator is restricted from providing by law or contractual obligation.

 

ARTICLE X.

NOTICES

 

All notices and communications required or permitted under this Agreement shall be in writing and addressed as set forth below. Any communication or delivery hereunder shall be deemed to have been duly made and the receiving Party charged with notice (a) if personally delivered, when received, (b) if sent by facsimile transmission, when received, (c) if mailed, five Business Days after mailing, certified mail, return receipt requested, (d) if sent by overnight courier, one day after sending, or (e) upon receipt by electronic mail, with receipt confirmed by the recipient. All notices shall be addressed as follows:

 

If to PEDEVCO:

 

PEDEVCO Corp.

Attn: Mr. J. Douglas Schick

575 N. Dairy Ashford, Suite 210

Houston, Texas 77079

Phone No. (713) 574-7901

dschick@Pedevco.com

 

If to EPM:

 

Evolution Petroleum Corporation

Attn: Kelly W. Loyd

1155 Dairy Ashford Rd.

Suite 425

Houston, TX  77079

Phone No. (713) 935-0122

kloyd@evolutionpetroleum.com

 

 

 

 

ARTICLE XI.

AREA OF MUTUAL INTEREST

 

Section 11.1 AMI. The Parties hereby establish an Area of Mutual Interest (“AMI”) comprised of the lands included within the Project Area, as described on the Exhibit “A” attached hereto. From and after the Effective Date and for a period of three (3) months following the termination of this Agreement (the “AMI Term”), should any Party to this Agreement acquire any Oil and Gas Lease or any other interest in Oil and Gas leasehold rights, including but not limited to farm-ins, subleases, term assignments, or other agreement covering lands within the AMI (an “AMI Acquisition”), such Party (the “Acquiring Party”) shall offer to the other Party (the “Non-Acquiring Party”) the opportunity to participate in the AMI Acquisition. The Non-Acquiring Party will have the right, but not the obligation, to participate and acquire up to their Working Interest Share of the AMI Acquisition according to their Working Interest as provided in Section 5.1. The notice provided by any Acquiring Party shall be provided no later than thirty (30) days after the date of the AMI Acquisition and shall include the legal description of the AMI Acquisition (including the names and API numbers of any existing Wellbores), the name of the party from whom the interest is being acquired, the total out of pocket Acquisition Costs, any obligations to be assumed by the Acquiring Parties, a copy of the Lease or agreement under which such interest is being acquired, and access to all due diligence records in the Acquiring Party’s possession related to the same (the “AMI Offering Notice”). The Non-Acquiring Party shall have twenty (20) Business Days after receipt of an AMI Offering Notice to make its written election whether to participate in acquiring its proportionate share of the AMI Acquisition. Any interest that is jointly acquired under this Article XI shall be subject to the Operating Agreement, however any AMI Acquisition that is owned entirely by a single Party after being offered to the Non-Acquiring Party shall no longer be subject to this Agreement or the Operating Agreement unless it is located within an existing Drilling and Spacing Unit that is jointly owned by the Parties, in which event it shall be governed by the Operating Agreement. This Section 11.1 shall only apply to the acquisition of Oil and Gas Leases or any other interest in Oil and Gas leasehold rights and shall not apply to corporate mergers or acquisitions at the company or entity level. For the avoidance of doubt, neither Party shall have such purchase right in connection with a corporate business combination transaction involving the other Party and/or its subsidiaries (e.g., a merger or stock acquisition), or the acquisition of all or substantially all of the business and assets of the other Party and its subsidiaries so long as the Acquiring Party(ies) in the business and asset acquisition agree to assume all of the other Party’s obligation under this Agreement and the Operating Agreement.

 

Section 11.2 AMI Offering Settlement. Upon receipt of an election from a Non-Acquiring Party to participate and acquire a proportionate share of any AMI Acquisition, the Acquiring Party will send invoices to such participating Non-Acquiring Party for its proportionate share of the total out of pocket costs incurred with respect to the AMI Acquisition with reasonable supporting documentation. The Non-Acquiring Party shall be responsible for payment of its proportionate share of all costs associated with the AMI Acquisition, including but not limited to, mineral takeoffs, Oil and Gas Lease ownership reports, acquisition title opinions and other legal expenses associated with the AMI Acquisition, title curative, Oil and Gas Lease bonuses, delay rentals, all expenses and/or fees associated with farm-ins, broker’s fees, prepaid rentals and any other cost or expense associated with the AMI Acquisition, (the “Acquisition Costs”). The participating Non-Acquiring Party shall pay such invoice within thirty (30) days from receipt thereof. Failure to timely pay an invoice shall be deemed an election not to acquire its proportionate share of the AMI Offering, and the Non-Acquiring Party may be deemed a non-participating Party in the AMI Acquisition.

 

Upon receipt of timely payment of an invoice from a participating Non-Acquiring Party for their proportionate share of the Acquisition Costs, the Acquiring Party shall immediately assign to the Non-Acquiring Party their respective Working Interest Share(s) in the AMI Acquisition associated with such payment on the form of Assignment attached hereto as Exhibit “D-1”. The Acquiring Party of any AMI Acquisition shall not burden the acquired interest with any additional Burdens, liens or other encumbrances.

 

 

 

 

Section 11.3 AMI Exclusions. The terms of this Article XI shall not apply to:

 

(i) any acquisition of an Oil and Gas interest within the AMI if the interest is being acquired from a Party to this Agreement and such interest is already subject to this Agreement.

(ii) any acquisition of New Mexico Renewal Leases if acquired within the New Mexico Lease Renewal Period;

(iii) renewals of the Existing Leases if acquired within ninety (90) days of expiration of the underlying Lease.

 

ARTICLE XII.  

TERM OF AGREEMENT

 

This Agreement shall be effective as of the Effective Date and shall continue and remain in full force and effect until December 31, 2025 (the “Initial Term”) or until terminated pursuant to Section 5.4. Upon the termination of this Agreement, any wells or Leases that are jointly owned by the Parties in the Project Area shall be governed by the terms of the Operating Agreement.

 

ARTICLE XIII.

INSURANCE

 

At all times while conducting operations under this agreement, the Operator (for the account of the Parties hereto) shall maintain insurance coverage as provided for in the Operating Agreement.

 

ARTICLE XIV.

SUCCESSORS AND ASSIGNS

 

The provisions of this Agreement shall be binding upon and inure to the benefit of the Parties hereto, their heirs, executors, representatives, successors and assigns. Subject to the terms set forth in Section 5.7, each of the Parties hereto shall have the right to assign all or any portion of its rights and obligations under the terms and provisions of this Agreement upon written notice to the other Party. Any assignment by EPM of undeveloped acreage acquired under this Agreement shall be subject to a two percent (2%) overriding royalty interest in favor of PED, (hereinafter, the “PED ORRI”); provided, however that the PED ORRI shall not apply to any assignment (i) to an EPM Affiliate, (ii) by a Change of Control of EPM, and (iii) shall also not apply to any existing Wellbores at the time of the Assignment. In any such assignment the assigning Party shall furnish its assignee with a copy of this Agreement and all exhibits attached hereto and the assignees shall evidence their acceptance in writing to be bound by the terms and provisions hereof.

 

 

 

 

ARTICLE XV.

REPRESENTATIONS AND WARRANTIES

 

Section 15.1 Representations and Warranties of PED. PED represents and warrants to EPM the following:

 

 

(a.)

neither the execution and delivery of this Agreement, nor the consummation of the transaction contemplated hereby, nor the compliance with the terms hereof, will violate, conflict with, result in the creation of a lien or encumbrance upon, or an acceleration of, or constitute a default, breach or violation or an event that, with notice or lapse of time or both, would be a default, breach or violation under, or result in an acceleration of any instrument, contract, agreement, commitment, order, writ, injunction, decree, statute, rule or regulation applicable to such or the properties conveyed under this Agreement, except where such conflict, violation, breach, default, acceleration or creation would not be material;

 

 

 

 

(b.)

there are no suits, actions, litigations, Claims, demands, audits, or other proceedings pending, or threatened (i) with respect to the interest being conveyed under this Agreement, (ii) otherwise relating to the Project Area or (iii) questioning the validity of, or seeking to prevent the consummation of, this Agreement or any other action taken or to be taken in connection therewith;

 

 

 

 

(c.)

none of the interest to be conveyed under this Agreement is subject to any tax partnership agreement or is otherwise treated, or required to be treated, as held in an arrangement requiring a partnership income Tax Return to be filed under Subchapter K of Chapter 1 of Subtitle A of the Code; and

 

 

 

 

(d.)

PED is (i) a corporation, duly formed, validly existing and in good standing under the laws of the state of formation, (ii) is duly qualified and/or licensed (through its operating subsidiaries), as may be required, and it (or its operating subsidiaries) is in good standing in the State of New Mexico, and (iii) has all requisite power and authority and the necessary approvals to enter into this Agreement and consummate the transactions contemplated hereby.

 

Section 15.2 Representations and Warranties of EPM. EPM represents and warrants to PED the following:

 

 

(a.)

neither the execution and delivery of this Agreement, nor the consummation of the transaction contemplated hereby, nor the compliance with the terms hereof, will violate, conflict with, result in the creation of a lien or encumbrance upon, or an acceleration of, or constitute a default, breach or violation or an event that, with notice or lapse of time or both, would be a default, breach or violation under, or result in an acceleration of any instrument, contract, agreement, commitment, order, writ, injunction, decree, statute, rule or regulation applicable to such or the properties conveyed under this Agreement, except where such conflict, violation, breach, default, acceleration or creation would not be material;

 

 

 

 

(b.)

there are no suits, actions, litigations, Claims, demands, audits, or other proceedings pending, or threatened questioning the validity of, or seeking to prevent the consummation of, this Agreement or any other action taken or to be taken in connection therewith; and

 

 

 

 

(c.)

EPM is (i) a corporation, duly formed, validly existing and in good standing under the laws of the state of formation, (ii) will, within fifteen (15) days of execution of this Agreement, file an application to become a duly qualified and/or licensed entity, as may be required, in good standing in the State of New Mexico, and (iii) has all requisite power and authority and the necessary approvals to enter into this Agreement and consummate the transactions contemplated hereby.

 

ARTICLE XVI.

OTHER

 

Section 16.1 Headings. The headings of the Articles and Sections of this Agreement are for guidance and convenience of reference only and shall not limit or otherwise affect the meaning or construction of any of the terms or provisions of this Agreement.

 

 

 

 

Section 16.2 Confidentiality. The Parties hereby agree to consult with each other before issuing any press release or making any public statement with respect to this Agreement or the transactions contemplated hereby and, except for any press releases and public announcements the making of which may be required by applicable law or any listing agreement with any national securities exchange, unless consented to in writing by each Party, no press release or other public disclosure concerning the transactions contemplated under this Agreement or this Agreement, or any information provided by one Party to the other hereunder shall be made, and each Party agrees to use its commercially reasonable best efforts to prevent disclosure of this transaction and the terms hereof other than (i) to directors and officers of the Parties, and employees, agents and Affiliates of the Parties who are involved in the ordinary course of business with this transaction, all of which shall be instructed to comply with the confidentiality provisions hereof or (ii) as required by applicable law or regulation, or in response to lawful process or subpoena or other valid or enforceable order of a court of competent jurisdiction (with notice to the other Party). The Parties are aware, and shall ensure that its representatives to whom any information related to the transactions contemplated hereunder are disclosed are also aware, of the general nature of applicable securities laws, including without limitation, all applicable securities laws which may prohibit a person who has material, non-public information concerning the matters which are the subject of this Agreement from: (i) trading in securities of either Party; or (ii) communicating such information to another person.

 

Section 16.3 Relationship of the Parties. This Agreement is not intended to create, and nothing herein shall be construed to create, an association, a trust or joint venture, a mining partnership or any other partnership of any kind. Notwithstanding any provision herein that the rights and liabilities of the Parties hereunder are several and not joint or collective, or that this Agreement and the Operations contemplated hereby shall not constitute a partnership, if, for federal income tax purposes, or any corresponding state law, this Agreement and the Operations contemplated hereby are nonetheless regarded as a partnership, each Party hereto elects to be excluded from the application of all or any part of the provisions Subchapter K, Chapter 1, Subtitle A of the Internal Revenue Code of 2017, as amended, a permitted and authorized by Section 761 thereof and the regulations promulgated thereunder, and from the application of any comparable provision under applicable state law. Should there be any requirement that each Party hereto further evidence this election, each Party hereto agrees to execute such documents and to furnish such other evidence as may be required.

 

Section 16.4 Further Assurances. The Parties to this Agreement agree to execute and deliver from time to time such further instruments and do such other acts as may be reasonably requested and necessary to effectuate the purposes of this Agreement.

 

Section 16.5 Conflicts. In the event of a conflict between the terms and provisions of this Agreement and the terms and provisions of any of the Exhibits attached hereto, including the Operating Agreement, the provisions of this Agreement shall control and prevail.

 

Section 16.6 Amendments; Waiver. Except for waivers specifically provided for in this Agreement, this Agreement may not be amended nor any rights hereunder waived except by an instrument in writing signed by the Party to be charged with such amendment or waiver and delivered by such Party to the Party claiming the benefit of such amendment or waiver. The waiver or failure of any party to this Agreement to enforce any provision of this Agreement shall not be construed or operate as a waiver of any further breach of such provision or of any other provision of this Agreement.

 

Section 16.7 Governing Law; Venue. This Agreement and the transactions contemplated hereby shall be construed in accordance with, and governed by, the laws of the State of Texas, without regard to its conflicts of laws rules. Each of the Parties hereto consents to the exclusive jurisdiction and venue of the courts of Harris County, Texas.

 

Section 16.8 Entire Agreement. This Agreement and the Exhibits attached hereto constitutes the entire understanding among the parties to this Agreement with respect to the subject matter hereof, superseding all negotiations, prior discussions and prior agreements and understandings relating to such subject matter. There are no representations, agreement, arrangements, or understandings, oral or written, between or among the Parties hereto relating to the subject matter of this Agreement that are not fully expressed herein.

 

Section 16.9 No Third-Party Beneficiaries. This Agreement is intended only to benefit the parties hereto and their respective permitted successors and assigns.

 

 

 

 

Section 16.10 Severability. If, for any reason and for so long as, any clause or provision of this Agreement is held by a court of competent jurisdiction to be illegal, invalid, unenforceable, or unconscionable under any present or future law (or interpretation thereof), the remainder of this Agreement shall not be affected by such illegality or invalidity. Any such invalid provision shall be deemed severed from this Agreement as if this Agreement had been executed with the invalid provision eliminated. The surviving provisions of this Agreement shall remain in full force and effect unless the removal of the invalid provision destroys the legitimate purposes of this Agreement, in which event this Agreement shall be null and void. The Parties shall negotiate in a commercially reasonable manner as to any required modifications to this Agreement.

 

Section 16.11 Counterparts/Fax Signatures. This Agreement may be executed by the Parties hereto in any number of counterparts, each of which shall be deemed an original instrument, but all of which together shall constitute but one and the same instrument. Signatures exchanged by fax or .pdf signatures shall be considered binding.

 

Section 16.12 Adequate Opportunity to Review. Each Party acknowledges that it has had an adequate opportunity to review this Agreement and to submit the same to legal counsel for review and comment. Furthermore, the Parties agree and understand that the terms of this Agreement are the result of negotiations between the Parties. Every covenant, term and provision of this Agreement will be construed simply according to its fair meaning and not strictly for or against any Party or Parties.

 

[Signature Page Follows]

 

 

 

 

IN WITNESS WHEREOF, the parties to this Agreement have executed this Agreement effective as of the Effective Date.

 

  PEDEVCO CORP.
       
By: /s/ J. Douglas Schick

 

 

J. Douglas Schick, CEO  
     
  EVOLUTION PETROLEUM CORPORATION  

 

 

 

 

 

By:

/s/ Kelly W. Loyd

 

 

 

Kelly W. Loyd, President & CEO

 

 

 

 

 

EXHIBIT “A” – Project Area Lands

 

Attached to and made a part of that certain Participation Agreement dated September 12, 2023, by and between PEDEVCO CORP. and EVOLUTION PETROLEUM CORPORATION.

 

(To be attached)

 

 

 

 

 

 
 

 

 

 

 
 

 

 

 

 
 

 

 

 

 
 

 

 

 

 
 

 

 

 
 

 

 

 

 
 

 

 

 

 
 

 

 

EXHIBIT “D-1” – Form of Assignment for Oil and Gas Leases

 

Attached to and made a part of that certain Participation Agreement dated September 12, 2023, by and between PEDEVCO CORP.  and EVOLUTION PETROLEUM CORPORATION.

 

(To be attached)

 

 

 

 

EXHIBIT “D-2” – Form of Assignment of Wellbore Working Interest

 

Attached to and made a part of that certain Participation Agreement dated September 12, 2023, by and between PEDEVCO CORP.  and EVOLUTION PETROLEUM CORPORATION.

 

(To be attached)

 

 

 

 

EXHIBIT “E” – Form of Operating Agreement

 

Attached to and made a part of that certain Participation Agreement dated September 12, 2023, by and between PEDEVCO CORP.  and EVOLUTION PETROLEUM CORPORATION.

 

(To be attached)

 

 

 

 

EXHIBIT “F” – Form of Memorandum of Agreement

 

Attached to and made a part of that certain Participation Agreement dated September 12, 2023, by and between PEDEVCO CORP.  and EVOLUTION PETROLEUM CORPORATION.

 

(To be attached)

 

 

 

 

 

EXHIBIT “G” – Permitted Encumbrances

 

Attached to and made a part of that certain Participation Agreement dated September 12, 2023, by and between PEDEVCO CORP.  and EVOLUTION PETROLEUM CORPORATION.

 

Encumbrances which may be created by PEDEVCO Corp. and/or its subsidiaries on some or all of the Existing Leases following the Effective Date in connection with security interests granted in the same under future security or credit agreements or facilities (including reserve-based lending facilities), which encumbrances shall be disclosed by PEDEVCO Corp. to Evolution Petroleum Corporation in writing (electronic mail acceptable).  However, PEDEVCO CORP shall use commercially reasonable efforts to obtain partial release of any such liens or encumbrances that may burden the interest to be assigned to EVOLUTION PETROLEUM prior to each Closing.