abcl-20230630000170305712-31Q22023false00017030572023-01-012023-06-3000017030572023-07-31xbrli:shares00017030572022-12-31iso4217:USD00017030572023-06-30iso4217:USDxbrli:shares0001703057abcl:ResearchFeesMember2022-04-012022-06-300001703057abcl:ResearchFeesMember2023-04-012023-06-300001703057abcl:ResearchFeesMember2022-01-012022-06-300001703057abcl:ResearchFeesMember2023-01-012023-06-300001703057us-gaap:LicenseMember2022-04-012022-06-300001703057us-gaap:LicenseMember2023-04-012023-06-300001703057us-gaap:LicenseMember2022-01-012022-06-300001703057us-gaap:LicenseMember2023-01-012023-06-300001703057abcl:MilestonePaymentsMember2022-04-012022-06-300001703057abcl:MilestonePaymentsMember2023-04-012023-06-300001703057abcl:MilestonePaymentsMember2022-01-012022-06-300001703057abcl:MilestonePaymentsMember2023-01-012023-06-300001703057us-gaap:RoyaltyMember2022-04-012022-06-300001703057us-gaap:RoyaltyMember2023-04-012023-06-300001703057us-gaap:RoyaltyMember2022-01-012022-06-300001703057us-gaap:RoyaltyMember2023-01-012023-06-3000017030572022-04-012022-06-3000017030572023-04-012023-06-3000017030572022-01-012022-06-300001703057us-gaap:CommonStockMember2022-12-310001703057us-gaap:AdditionalPaidInCapitalMember2022-12-310001703057us-gaap:RetainedEarningsMember2022-12-310001703057us-gaap:AccumulatedOtherComprehensiveIncomeMember2022-12-310001703057us-gaap:CommonStockMember2023-01-012023-03-310001703057us-gaap:AdditionalPaidInCapitalMember2023-01-012023-03-3100017030572023-01-012023-03-310001703057us-gaap:AccumulatedOtherComprehensiveIncomeMember2023-01-012023-03-310001703057us-gaap:RetainedEarningsMember2023-01-012023-03-310001703057us-gaap:CommonStockMember2023-03-310001703057us-gaap:AdditionalPaidInCapitalMember2023-03-310001703057us-gaap:RetainedEarningsMember2023-03-310001703057us-gaap:AccumulatedOtherComprehensiveIncomeMember2023-03-3100017030572023-03-310001703057us-gaap:CommonStockMember2023-04-012023-06-300001703057us-gaap:AdditionalPaidInCapitalMember2023-04-012023-06-300001703057us-gaap:AccumulatedOtherComprehensiveIncomeMember2023-04-012023-06-300001703057us-gaap:RetainedEarningsMember2023-04-012023-06-300001703057us-gaap:CommonStockMember2023-06-300001703057us-gaap:AdditionalPaidInCapitalMember2023-06-300001703057us-gaap:RetainedEarningsMember2023-06-300001703057us-gaap:AccumulatedOtherComprehensiveIncomeMember2023-06-300001703057us-gaap:CommonStockMember2021-12-310001703057us-gaap:AdditionalPaidInCapitalMember2021-12-310001703057us-gaap:RetainedEarningsMember2021-12-310001703057us-gaap:AccumulatedOtherComprehensiveIncomeMember2021-12-3100017030572021-12-310001703057us-gaap:CommonStockMember2022-01-012022-03-310001703057us-gaap:AdditionalPaidInCapitalMember2022-01-012022-03-3100017030572022-01-012022-03-310001703057us-gaap:AccumulatedOtherComprehensiveIncomeMember2022-01-012022-03-310001703057us-gaap:RetainedEarningsMember2022-01-012022-03-310001703057us-gaap:CommonStockMember2022-03-310001703057us-gaap:AdditionalPaidInCapitalMember2022-03-310001703057us-gaap:RetainedEarningsMember2022-03-310001703057us-gaap:AccumulatedOtherComprehensiveIncomeMember2022-03-3100017030572022-03-310001703057us-gaap:CommonStockMember2022-04-012022-06-300001703057us-gaap:AdditionalPaidInCapitalMember2022-04-012022-06-300001703057us-gaap:AccumulatedOtherComprehensiveIncomeMember2022-04-012022-06-300001703057us-gaap:RetainedEarningsMember2022-04-012022-06-300001703057us-gaap:CommonStockMember2022-06-300001703057us-gaap:AdditionalPaidInCapitalMember2022-06-300001703057us-gaap:RetainedEarningsMember2022-06-300001703057us-gaap:AccumulatedOtherComprehensiveIncomeMember2022-06-3000017030572022-06-300001703057us-gaap:ComputerEquipmentMember2022-12-310001703057us-gaap:ComputerEquipmentMember2023-06-300001703057us-gaap:LandMember2022-12-310001703057us-gaap:LandMember2023-06-300001703057us-gaap:BuildingMember2022-12-310001703057us-gaap:BuildingMember2023-06-300001703057abcl:LaboratoryEquipmentMember2022-12-310001703057abcl:LaboratoryEquipmentMember2023-06-300001703057us-gaap:LeaseholdImprovementsMember2022-12-310001703057us-gaap:LeaseholdImprovementsMember2023-06-300001703057abcl:OperatingLeaseRightOfUseAssetsMember2022-12-310001703057abcl:OperatingLeaseRightOfUseAssetsMember2023-06-300001703057abcl:LicenseBasedIntangibleAssetsMember2023-06-300001703057us-gaap:TechnologyBasedIntangibleAssetsMember2023-06-300001703057us-gaap:InProcessResearchAndDevelopmentMember2023-06-30abcl:jointVenture0001703057abcl:DayhuJointVentureMember2023-06-30xbrli:pure0001703057abcl:BeedieJointVentureMember2023-06-300001703057abcl:DayluJVLoanMembersrt:MaximumMemberabcl:DayhuJointVentureMember2021-01-012021-03-31iso4217:CAD0001703057abcl:DayluJVLoanMemberabcl:DayhuJointVentureMember2021-01-012021-03-310001703057abcl:DayluJVLoanMemberabcl:DayhuJointVentureMember2022-12-310001703057abcl:DayluJVLoanMemberabcl:DayhuJointVentureMember2023-06-300001703057srt:MinimumMemberabcl:NewDayluLoanMemberabcl:DayhuJointVentureMember2022-07-012022-07-310001703057abcl:NewDayluLoanMembersrt:MaximumMemberabcl:DayhuJointVentureMember2023-01-012023-06-300001703057abcl:NewDayluLoanMemberabcl:DayhuJointVentureMember2023-01-012023-01-310001703057srt:MaximumMemberabcl:BeedieJointVentureMember2023-01-012023-06-300001703057srt:MaximumMemberabcl:BeedieJointVentureMember2022-06-012022-06-300001703057abcl:BeedieJointVentureMember2022-06-012022-06-300001703057abcl:PreInitialPublicOfferingPlanMember2022-12-310001703057abcl:PreInitialPublicOfferingPlanMember2023-01-012023-06-300001703057abcl:PreInitialPublicOfferingPlanMember2023-06-300001703057abcl:TwoThousandTwentyShareOptionAndIncentivePlanMember2022-12-310001703057abcl:TwoThousandTwentyShareOptionAndIncentivePlanMember2023-01-012023-06-300001703057abcl:TwoThousandTwentyShareOptionAndIncentivePlanMember2023-06-300001703057us-gaap:RestrictedStockUnitsRSUMemberabcl:TwoThousandTwentyShareOptionAndIncentivePlanMember2022-12-310001703057us-gaap:RestrictedStockUnitsRSUMemberabcl:TwoThousandTwentyShareOptionAndIncentivePlanMember2023-01-012023-06-300001703057us-gaap:RestrictedStockUnitsRSUMemberabcl:TwoThousandTwentyShareOptionAndIncentivePlanMember2023-06-300001703057us-gaap:ResearchAndDevelopmentExpenseMember2022-04-012022-06-300001703057us-gaap:ResearchAndDevelopmentExpenseMember2023-04-012023-06-300001703057us-gaap:ResearchAndDevelopmentExpenseMember2022-01-012022-06-300001703057us-gaap:ResearchAndDevelopmentExpenseMember2023-01-012023-06-300001703057us-gaap:SellingAndMarketingExpenseMember2022-04-012022-06-300001703057us-gaap:SellingAndMarketingExpenseMember2023-04-012023-06-300001703057us-gaap:SellingAndMarketingExpenseMember2022-01-012022-06-300001703057us-gaap:SellingAndMarketingExpenseMember2023-01-012023-06-300001703057us-gaap:GeneralAndAdministrativeExpenseMember2022-04-012022-06-300001703057us-gaap:GeneralAndAdministrativeExpenseMember2023-04-012023-06-300001703057us-gaap:GeneralAndAdministrativeExpenseMember2022-01-012022-06-300001703057us-gaap:GeneralAndAdministrativeExpenseMember2023-01-012023-06-300001703057us-gaap:FairValueInputsLevel3Memberabcl:TrianniMemberabcl:ContingentConsiderationMember2023-03-310001703057us-gaap:FairValueInputsLevel3Memberabcl:TrianniMemberabcl:ContingentConsiderationMember2023-04-012023-06-300001703057us-gaap:FairValueInputsLevel3Memberabcl:TrianniMemberabcl:ContingentConsiderationMember2023-06-300001703057us-gaap:FairValueInputsLevel3Memberabcl:TetraGeneticMemberabcl:ContingentConsiderationMember2023-03-310001703057us-gaap:FairValueInputsLevel3Memberabcl:TetraGeneticMemberabcl:ContingentConsiderationMember2023-04-012023-06-300001703057us-gaap:FairValueInputsLevel3Memberabcl:TetraGeneticMemberabcl:ContingentConsiderationMember2023-06-300001703057us-gaap:FairValueInputsLevel3Memberabcl:TrianniMemberabcl:ContingentConsiderationMember2022-12-310001703057us-gaap:FairValueInputsLevel3Memberabcl:TrianniMemberabcl:ContingentConsiderationMember2023-01-012023-06-300001703057us-gaap:FairValueInputsLevel3Memberabcl:TetraGeneticMemberabcl:ContingentConsiderationMember2022-12-310001703057us-gaap:FairValueInputsLevel3Memberabcl:TetraGeneticMemberabcl:ContingentConsiderationMember2023-01-012023-06-300001703057abcl:TrianniMemberus-gaap:MeasurementInputDiscountRateMember2023-06-300001703057abcl:TetraGeneticMemberus-gaap:MeasurementInputDiscountRateMember2023-06-300001703057us-gaap:FairValueInputsLevel1Memberabcl:MarketableSecuritiesMemberus-gaap:USGovernmentAgenciesDebtSecuritiesMemberus-gaap:FairValueMeasurementsRecurringMember2023-06-300001703057abcl:MarketableSecuritiesMemberus-gaap:USGovernmentAgenciesDebtSecuritiesMemberus-gaap:FairValueMeasurementsRecurringMemberus-gaap:FairValueInputsLevel2Member2023-06-300001703057us-gaap:FairValueInputsLevel3Memberabcl:MarketableSecuritiesMemberus-gaap:USGovernmentAgenciesDebtSecuritiesMemberus-gaap:FairValueMeasurementsRecurringMember2023-06-300001703057abcl:MarketableSecuritiesMemberus-gaap:USGovernmentAgenciesDebtSecuritiesMemberus-gaap:FairValueMeasurementsRecurringMember2023-06-300001703057us-gaap:FairValueInputsLevel1Memberabcl:MarketableSecuritiesMemberus-gaap:FairValueMeasurementsRecurringMemberus-gaap:CertificatesOfDepositMember2023-06-300001703057abcl:MarketableSecuritiesMemberus-gaap:FairValueMeasurementsRecurringMemberus-gaap:FairValueInputsLevel2Memberus-gaap:CertificatesOfDepositMember2023-06-300001703057us-gaap:FairValueInputsLevel3Memberabcl:MarketableSecuritiesMemberus-gaap:FairValueMeasurementsRecurringMemberus-gaap:CertificatesOfDepositMember2023-06-300001703057abcl:MarketableSecuritiesMemberus-gaap:FairValueMeasurementsRecurringMemberus-gaap:CertificatesOfDepositMember2023-06-300001703057us-gaap:FairValueInputsLevel1Memberabcl:MarketableSecuritiesMemberus-gaap:FairValueMeasurementsRecurringMemberus-gaap:CommercialPaperMember2023-06-300001703057abcl:MarketableSecuritiesMemberus-gaap:FairValueMeasurementsRecurringMemberus-gaap:FairValueInputsLevel2Memberus-gaap:CommercialPaperMember2023-06-300001703057us-gaap:FairValueInputsLevel3Memberabcl:MarketableSecuritiesMemberus-gaap:FairValueMeasurementsRecurringMemberus-gaap:CommercialPaperMember2023-06-300001703057abcl:MarketableSecuritiesMemberus-gaap:FairValueMeasurementsRecurringMemberus-gaap:CommercialPaperMember2023-06-300001703057us-gaap:FairValueInputsLevel1Memberabcl:MarketableSecuritiesMemberus-gaap:CorporateBondSecuritiesMemberus-gaap:FairValueMeasurementsRecurringMember2023-06-300001703057abcl:MarketableSecuritiesMemberus-gaap:CorporateBondSecuritiesMemberus-gaap:FairValueMeasurementsRecurringMemberus-gaap:FairValueInputsLevel2Member2023-06-300001703057us-gaap:FairValueInputsLevel3Memberabcl:MarketableSecuritiesMemberus-gaap:CorporateBondSecuritiesMemberus-gaap:FairValueMeasurementsRecurringMember2023-06-300001703057abcl:MarketableSecuritiesMemberus-gaap:CorporateBondSecuritiesMemberus-gaap:FairValueMeasurementsRecurringMember2023-06-300001703057us-gaap:FairValueInputsLevel1Memberabcl:MarketableSecuritiesMemberus-gaap:FairValueMeasurementsRecurringMemberus-gaap:AssetBackedSecuritiesMember2023-06-300001703057abcl:MarketableSecuritiesMemberus-gaap:FairValueMeasurementsRecurringMemberus-gaap:FairValueInputsLevel2Memberus-gaap:AssetBackedSecuritiesMember2023-06-300001703057us-gaap:FairValueInputsLevel3Memberabcl:MarketableSecuritiesMemberus-gaap:FairValueMeasurementsRecurringMemberus-gaap:AssetBackedSecuritiesMember2023-06-300001703057abcl:MarketableSecuritiesMemberus-gaap:FairValueMeasurementsRecurringMemberus-gaap:AssetBackedSecuritiesMember2023-06-300001703057us-gaap:FairValueInputsLevel1Memberabcl:MarketableSecuritiesMemberus-gaap:FairValueMeasurementsRecurringMember2023-06-300001703057abcl:MarketableSecuritiesMemberus-gaap:FairValueMeasurementsRecurringMemberus-gaap:FairValueInputsLevel2Member2023-06-300001703057us-gaap:FairValueInputsLevel3Memberabcl:MarketableSecuritiesMemberus-gaap:FairValueMeasurementsRecurringMember2023-06-300001703057abcl:MarketableSecuritiesMemberus-gaap:FairValueMeasurementsRecurringMember2023-06-300001703057abcl:AccruedRoyaltiesPayableMember2022-01-012022-12-310001703057abcl:AccruedRoyaltiesPayableMember2023-01-012023-06-300001703057abcl:GovernmentContribution1Member2023-06-300001703057abcl:GovernmentContribution1Membercountry:CAabcl:PhaseOneAndTwoMemberMember2023-01-012023-06-300001703057abcl:GovernmentContribution1Membercountry:CAabcl:PhaseOneMember2023-01-012023-06-300001703057abcl:GovernmentContribution1Membercountry:CAabcl:PhaseTwoMember2023-01-012023-06-300001703057abcl:GovernmentContribution2Membercountry:CA2023-06-300001703057abcl:GovernmentContribution2Membercountry:CA2023-01-012023-06-300001703057abcl:GovernmentContribution2Member2023-01-012023-06-300001703057abcl:GovernmentContribution2Member2023-06-300001703057stpr:CA-BCabcl:GovernmentContribution2Member2023-06-300001703057stpr:CA-BCabcl:GovernmentContribution2Member2023-01-012023-06-300001703057stpr:CA-BCabcl:GovernmentContribution2Membersrt:MaximumMember2023-01-012023-06-300001703057stpr:CA-BCabcl:GovernmentContribution2Membersrt:MaximumMember2023-06-300001703057abcl:GovernmentContribution2ProvincialFundingMember2023-01-012023-06-300001703057abcl:GovernmentContribution2ProvincialFundingMember2023-06-30
UNITED STATES
SECURITIES AND EXCHANGE COMMISSION
WASHINGTON, DC 20549
_________________________________________________________
FORM 10-Q
_________________________________________________________
(Mark One)
| | | | | |
| x | QUARTERLY REPORT PURSUANT TO SECTION 13 OR 15(d) OF THE SECURITIES EXCHANGE ACT OF 1934 |
For the quarterly period ended June 30, 2023
OR
| | | | | |
| o | TRANSITION REPORT PURSUANT TO SECTION 13 OR 15(d) OF THE SECURITIES EXCHANGE ACT OF 1934 |
For the transition period from _________ to _________
Commission File Number: 001-39781
_________________________________________________________
AbCellera Biologics Inc.
(Exact Name of Registrant as Specified in its Charter)
_________________________________________________________
| | | | | |
| British Columbia | Not Applicable |
( State or other jurisdiction of incorporation or organization) | (I.R.S. Employer Identification No.) |
2215 Yukon Street Vancouver, BC | V5Y 0A1 |
| (Address of principal executive offices) | (Zip Code) |
Registrant’s telephone number, including area code: (604) 559-9005
_________________________________________________________
Securities registered pursuant to Section 12(b) of the Act:
| | | | | | | | | | | | | | |
| Title of each class | | Trading Symbol(s) | | Name of each exchange on which registered |
| Common shares, no par value per share | | ABCL | | The Nasdaq Stock Market |
Indicate by check mark whether the registrant (1) has filed all reports required to be filed by Section 13 or 15(d) of the Securities Exchange Act of 1934 during the preceding 12 months (or for such shorter period that the registrant was required to file such reports), and (2) has been subject to such filing requirements for the past 90 days. Yes x No o
Indicate by check mark whether the registrant has submitted electronically every Interactive Data File required to be submitted pursuant to Rule 405 of Regulation S-T (§232.405 of this chapter) during the preceding 12 months (or for such shorter period that the registrant was required to submit such files). Yes x No o
Indicate by check mark whether the registrant is a large accelerated filer, an accelerated filer, a non-accelerated filer, smaller reporting company, or an emerging growth company. See the definitions of “large accelerated filer,” “accelerated filer,” “smaller reporting company,” and “emerging growth company” in Rule 12b-2 of the Exchange Act.
| | | | | | | | | | | | | | |
| Large accelerated filer | x | | Accelerated filer | o |
| | | | |
| Non-accelerated filer | o | | Smaller reporting company | o |
| | | | |
| Emerging growth company | o | | | |
If an emerging growth company, indicate by check mark if the registrant has elected not to use the extended transition period for complying with any new or revised financial accounting standards provided pursuant to Section 13(a) of the Exchange Act. o
Indicate by check mark whether the registrant is a shell company (as defined in Rule 12b-2 of the Exchange Act). Yes o No x
As of July 31, 2023, the registrant had 289,355,867 common shares, no par value per share, outstanding.
Table of Contents
Summary of the Material and Other Risks Associated with Our Business
Our business is subject to numerous material and other risks and uncertainties. You should carefully consider the following information about these risks, together with the other information appearing elsewhere in this Quarterly Report, including our financial statements and related notes hereto. The occurrence of any of the following risks could have a material adverse effect on our business, financial condition, results of operations and future growth prospects. The risks and uncertainties described below may change over time and other risks and uncertainties, including those that we do not currently consider material, may impair our business. These risks include, but are not limited to, the following:
•We have incurred losses in certain years since inception and we may not be able to generate sufficient revenue to maintain profitability.
•Our quarterly and annual operating results have fluctuated significantly in the past and may fluctuate significantly in the future, which makes our future operating results difficult to predict and could cause our operating results to fall below expectations.
•Unstable market and economic conditions may have serious adverse consequences on our business, financial condition, and stock price.
•Our commercial success depends on the quality of our antibody discovery and development engine and the acceptance by new and existing partners in our industry.
•Failure to execute our business strategy could adversely impact our growth and profitability.
•If we cannot maintain and expand current partnerships and enter new partnerships that generate discovery programs for antibodies, our business could be adversely affected.
•In recent periods, we have depended on a limited number of partners for our revenue, the loss of any of which could have an adverse impact on our business.
•Development of a biologic is inherently uncertain, and it is possible that none of the antibody drug candidates discovered using our antibody discovery and development engine that are further developed by our partners will receive marketing approval or become viable commercial products, on a timely basis or at all.
•The failure of our partners to meet their contractual obligations to us could adversely affect our business.
•We may be unable to manage our current and future growth effectively, which could make it difficult to execute on our business strategy.
•We have invested, and expect to continue to invest, in research and development efforts that further enhance our antibody discovery and development engine. Such investments in technology are inherently risky and may affect our operating results. If the return on these investments is lower or develops more slowly than we expect, our revenue and operating results may suffer.
•Our partners have significant discretion in determining when and whether to make announcements, if any, about the status of our partnerships, including about clinical developments and timelines for advancing collaborative programs with the antibodies that we have discovered, and the price of our common shares may decline as a result of announcements of unexpected results or developments.
•Our partners may not achieve projected discovery and development milestones and other anticipated key events in the expected timelines or at all, which could have an adverse impact on our business and could cause the price of our common shares to decline.
•The life sciences and biotechnology platform technology market is highly competitive, and if we cannot compete successfully with our competitors, we may be unable to increase or sustain our revenue, or sustain profitability.
•Upgrading and integrating our business systems could result in implementation issues and business disruptions.
•If we are unable to obtain and maintain sufficient intellectual property protection for our technology, including our discovery and development engine and Celium, our proprietary antibody visualization software, or if the scope of the intellectual property protection obtained is not sufficiently broad, our competitors could develop and commercialize technologies or a platform similar or identical to ours, and our ability to successfully sell our data packages may be impaired.
•If we fail to maintain proper and effective internal control over financial reporting, our operating results and our ability to operate our business could be harmed.
•Sales of a substantial number of our common shares in the public market could cause our share price to fall significantly, even if our business is doing well.
Investing in our common shares involves a high degree of risk. You should carefully consider the risks and uncertainties contained in Part II, Item 1A, Risk Factors, together with all other information in this Quarterly Report on Form 10-Q, including our consolidated financial statements and related notes and “Management’s Discussion and Analysis of Financial Condition and Results of Operations,” as well as our other filings with the Securities and Exchange Commission, or the SEC, before investing in our common stock. Any of the risk factors we describe below under Part II, Item 1A, Risk Factors, could adversely affect our business, financial condition or results of operations. The market price of our common stock could decline if one or more of these risks or uncertainties were to occur, which may cause you to lose all or part of the money you paid to buy our common shares. Additional risks that are currently unknown to us or that we currently believe to be immaterial may also impair our business. Certain statements below are forward-looking statements. See “Forward-Looking Information” in this Quarterly Report on Form 10-Q.
PART I—FINANCIAL INFORMATION
Item 1. Financial Statements.
AbCellera Biologics Inc.
Condensed Consolidated Balance Sheets
(All figures in U.S. dollars. Amounts are expressed in thousands except share data)
(Unaudited) | | | | | | | | | | | | |
| December 31, 2022 | | June 30, 2023 | |
| Assets | | | | |
| Current assets: | | | | |
| Cash and cash equivalents | $ | 386,535 | | | $ | 179,747 | | |
| Marketable securities | 499,950 | | | 615,947 | | |
| Total cash, cash equivalents, and marketable securities | 886,485 | | | 795,694 | | |
| Accounts and accrued receivable | 38,593 | | | 45,678 | | |
| Restricted cash | 25,000 | | | 25,000 | | |
| Other current assets | 75,413 | | | 64,363 | | |
| Total current assets | 1,025,491 | | | 930,735 | | |
| Long-term assets: | | | | |
| Property and equipment, net | 217,255 | | | 259,640 | | |
| Intangible assets, net | 131,502 | | | 126,747 | | |
| Goodwill | 47,806 | | | 47,806 | | |
| Investments in and loans to equity accounted investees | 72,522 | | | 58,792 | | |
| Other long-term assets | 46,331 | | | 113,446 | | |
| Total long-term assets | 515,416 | | | 606,431 | | |
| Total assets | $ | 1,540,907 | | | $ | 1,537,166 | | |
| Liabilities and shareholders' equity | | | | |
| Current liabilities: | | | | |
| Accounts payable and other liabilities | $ | 33,150 | | | $ | 52,395 | | |
| Contingent consideration payable | 44,211 | | | 54,874 | | |
| Accrued royalties payable | 19,347 | | | 3,094 | | |
| Deferred revenue | 21,612 | | | 8,542 | | |
| Total current liabilities | 118,320 | | | 118,905 | | |
| Long-term liabilities: | | | | |
| Operating lease liability | 76,675 | | | 78,079 | | |
| Deferred revenue | 19,516 | | | 27,716 | | |
| Deferred government contributions | 40,801 | | | 76,354 | | |
| Contingent consideration payable | 16,054 | | | 5,774 | | |
| Deferred tax liability | 33,178 | | | 33,178 | | |
| Other long-term liabilities | 3,086 | | | 2,333 | | |
| Total long-term liabilities | 189,310 | | | 223,434 | | |
| Total liabilities | 307,630 | | | 342,339 | | |
| Commitments and contingencies | | | | |
| Shareholders' equity: | | | | |
Common shares: no par value, unlimited authorized shares at December 31, 2022 and June 30, 2023: 286,851,595 and 289,189,469 shares issued and outstanding at December 31, 2022 and June 30, 2023, respectively | 734,365 | | | 744,756 | | |
| Additional paid-in capital | 74,118 | | | 96,423 | | |
| Accumulated other comprehensive (loss) | (1,391) | | | (1,899) | | |
| Accumulated earnings | 426,185 | | | 355,547 | | |
| Total shareholders' equity | 1,233,277 | | | 1,194,827 | | |
| Total liabilities and shareholders' equity | $ | 1,540,907 | | | $ | 1,537,166 | | |
The accompanying notes are an integral part of these condensed consolidated financial statements.
AbCellera Biologics Inc.
Condensed Consolidated Statements of Income (Loss) and Comprehensive Income (Loss)
(All figures in U.S. dollars. Amounts are expressed in thousands except share and per share data)
(Unaudited)
| | | | | | | | | | | | | | | | | | | | | | | | | | |
| | Three months ended June 30, | | Six months ended June 30, |
| | 2022 | | 2023 | | 2022 | | 2023 |
| Revenue: | | | | | | | | |
| Research fees | | $ | 12,538 | | | $ | 9,830 | | | $ | 21,871 | | | $ | 20,400 | |
| Licensing revenue | | 147 | | | 226 | | | 377 | | | 598 | |
| Milestone payments | | - | | | - | | | - | | | 1,250 | |
| Royalty revenue | | 33,232 | | | - | | | 340,249 | | | - | |
| Total revenue | | 45,917 | | | 10,056 | | | 362,497 | | | 22,248 | |
| Operating expenses: | | | | | | | | |
| Royalty fees | | 5,210 | | | - | | | 49,847 | | | - | |
Research and development(1) | | 26,685 | | | 36,473 | | | 53,052 | | | 89,120 | |
Sales and marketing(1) | | 3,120 | | | 3,841 | | | 5,490 | | | 7,612 | |
General and administrative(1) | | 14,412 | | | 15,521 | | | 28,680 | | | 30,655 | |
| Depreciation and amortization | | 4,886 | | | 5,610 | | | 8,875 | | | 11,124 | |
| Total operating expenses | | 54,313 | | | 61,445 | | | 145,944 | | | 138,511 | |
| Income (loss) from operations | | (8,396) | | | (51,389) | | | 216,553 | | | (116,263) | |
| Other (income) expense | | | | | | | | |
| Interest (income) | | (1,414) | | | (10,779) | | | (2,079) | | | (20,537) | |
| Grants and incentives | | (1,535) | | | (4,576) | | | (6,730) | | | (7,951) | |
| Other | | 1,439 | | | 1,970 | | | 1,438 | | | (1,624) | |
| Total other (income) | | (1,510) | | | (13,385) | | | (7,371) | | | (30,112) | |
| Net earnings (loss) before income tax | | (6,886) | | | (38,004) | | | 223,924 | | | (86,151) | |
| Income tax (recovery) expense | | (101) | | | (7,476) | | | 62,136 | | | (15,513) | |
| Net earnings (loss) | | $ | (6,785) | | | $ | (30,528) | | | $ | 161,788 | | | $ | (70,638) | |
| Foreign currency translation adjustment | | (211) | | | 122 | | | 296 | | | (508) | |
| Comprehensive income (loss) | | $ | (6,996) | | | $ | (30,406) | | | $ | 162,084 | | | $ | (71,146) | |
| | | | | | | | |
| Net earnings (loss) per share attributable to common shareholders | | | | | | | | |
| Basic | | $ | (0.02) | | | $ | (0.11) | | | $ | 0.57 | | | $ | (0.24) | |
| Diluted | | $ | (0.02) | | | $ | (0.11) | | | $ | 0.52 | | | $ | (0.24) | |
| Weighted-average common shares outstanding | | | | | | | | |
| Basic | | 284,686,542 | | 288,905,587 | | 284,292,312 | | 288,357,081 |
| Diluted | | 284,686,542 | | 288,905,587 | | 313,361,183 | | 288,357,081 |
The accompanying notes are an integral part of these condensed consolidated financial statements.
1Exclusive of depreciation and amortization
AbCellera Biologics Inc.
Condensed Consolidated Statements of Stockholders’ Equity
(All figures in U.S. dollars. Amounts are expressed in thousands except share data)
(Unaudited)
| | | | | | | | | | | | | | | | | | | | | | | | | | | | | | | | | | | | | | |
| | Common Shares | | Additional Paid-in Capital | | Accumulated Earnings | | Accumulated Other Comprehensive Income (loss) | | Total Shareholders' Equity |
| | Shares | | Amount | | | | |
| Balances as of December 31, 2022 | | 286,851,595 | | $ | 734,365 | | | $ | 74,118 | | | $ | 426,185 | | | $ | (1,391) | | | $ | 1,233,277 | |
| Shares issued and restricted stock units ("RSUs") vested under stock option plan | | 1,574,919 | | 8,451 | | (7,962) | | - | | - | | 489 |
| Stock-based compensation expense | | - | | - | | 15,474 | | - | | - | | 15,474 |
| Foreign currency translation adjustment | | - | | - | | - | | - | | (630) | | (630) |
| Net loss | | - | | - | | - | | (40,110) | | - | | (40,110) |
| Balances as of March 31, 2023 | | 288,426,514 | | $ | 742,816 | | | $ | 81,630 | | | $ | 386,075 | | | $ | (2,021) | | | $ | 1,208,500 | |
| Shares issued and restricted stock units ("RSUs") vested under stock option plan | | 762,955 | | 1,940 | | (1,606) | | - | | - | | 334 |
| Stock-based compensation expense | | - | | - | | 16,399 | | - | | - | | 16,399 |
| Foreign currency translation adjustment | | - | | - | | - | | - | | 122 | | 122 |
| Net loss | | - | | - | | - | | (30,528) | | - | | (30,528) |
| Balances as of June 30, 2023 | | 289,189,469 | | $ | 744,756 | | | $ | 96,423 | | | $ | 355,547 | | | $ | (1,899) | | | $ | 1,194,827 | |
| | | | | | | | | | | | | | | | | | | | | | | | | | | | | | | | | | | | | | |
| | Common Shares | | Additional Paid-in Capital | | Accumulated Earnings | | Accumulated Other Comprehensive Income (loss) | | Total Shareholders' Equity |
| | Shares | | Amount | | | | |
| Balances as of December 31, 2021 | | 283,257,104 | | $ | 722,430 | | | $ | 35,357 | | | $ | 267,666 | | | $ | 280 | | | $ | 1,025,733 | |
| Shares issued and restricted stock units ("RSUs") vested under stock option plan | | 1,264,077 | | 3,325 | | (2,922) | | - | | - | | 403 |
| Share-based compensation expense | | - | | - | | 12,291 | | - | | - | | 12,291 |
| Foreign currency translation adjustment | | - | | - | | - | | - | | 507 | | 507 |
| Net earnings | | - | | - | | - | | 168,573 | | - | | 168,573 |
| Balances as of March 31, 2022 | | 284,521,181 | | $ | 725,755 | | | $ | 44,726 | | | $ | 436,239 | | | $ | 787 | | | $ | 1,207,507 | |
| Shares issued and restricted stock units ("RSUs") vested under stock option plan | | 531,121 | | 1,070 | | (838) | | - | | - | | 232 |
| Share-based compensation expense | | - | | - | | 12,113 | | - | | - | | 12,113 |
| Foreign currency translation adjustment | | - | | - | | - | | - | | (211) | | (211) |
| Net loss | | - | | - | | - | | (6,785) | | - | | (6,785) |
| Balances as of June 30, 2022 | | 285,052,302 | | $ | 726,825 | | | $ | 56,001 | | | $ | 429,454 | | | $ | 576 | | | $ | 1,212,856 | |
The accompanying notes are an integral part of these condensed consolidated financial statements.
AbCellera Biologics Inc.
Condensed Consolidated Statements of Cash Flows
(Expressed in thousands of U.S. dollars)
(Unaudited)
| | | | | | | | | | | |
| Six months ended June 30, |
| 2022 | | 2023 |
| Cash flows from operating activities: | | | |
| Net earnings (loss) | $ | 161,788 | | | $ | (70,638) | |
| Cash flows from operating activities: | | | |
| Depreciation of property and equipment | 3,681 | | | 5,810 | |
| Amortization of intangible assets | 5,213 | | | 5,314 | |
| Amortization of operating lease right-of-use assets | 2,120 | | | 3,252 | |
| Stock-based compensation | 24,404 | | | 31,873 | |
| Other | (298) | | | (4,429) | |
| Changes in operating assets and liabilities: | | | |
| Accounts and accrued research fees receivable | (6,963) | | | (24,269) | |
| Accrued royalties receivable | 106,583 | | | 9,260 | |
| Income taxes payable | 52,251 | | | 22,884 | |
| Accounts payable and accrued liabilities | (1,882) | | | (2,827) | |
| Deferred revenue | (2,979) | | | (4,870) | |
| Accrued royalties payable | 28,049 | | | (16,253) | |
| Deferred grant income | 5,406 | | | 25,566 | |
| Other assets | (4,139) | | | (4,833) | |
| Net cash provided by (used in) operating activities | 373,234 | | | (24,160) | |
| Cash flows from investing activities: | | | |
| Purchases of property and equipment | (45,817) | | | (42,185) | |
| Purchase of marketable securities | (134,306) | | | (528,891) | |
| Proceeds from marketable securities | 145,808 | | | 422,814 | |
| Receipt of grant funding | 8,098 | | | 7,693 | |
| Long-term investments and other assets | (11,657) | | | (36,757) | |
| Investment in and loans to equity accounted investees | (15,694) | | | (6,673) | |
| Net cash used in investing activities | (53,568) | | | (183,999) | |
| Cash flows from financing activities: | | | |
| Payment of liability for in-licensing agreement and contingent consideration | (4,133) | | | (677) | |
| Proceeds (repayment) from long-term debt and exercise of stock options | 2,175 | | | 638 | |
| Net cash used in financing activities | (1,958) | | | (39) | |
| Effect of exchange rate changes on cash and cash equivalents | (1,411) | | | 584 | |
| Increase (decrease) in cash and cash equivalents | 316,297 | | | (207,614) | |
| Cash and cash equivalents and restricted cash, beginning of period | 501,142 | | | 414,651 | |
| Cash and cash equivalents and restricted cash, end of period | $ | 817,439 | | | $ | 207,037 | |
| Restricted cash included in other assets | 1,824 | | | 2,290 | |
| Total cash, cash equivalents, and restricted cash shown on the balance sheet | $ | 815,615 | | | $ | 204,747 | |
| Supplemental disclosure of non-cash investing and financing activities | | | |
| Property and equipment in accounts payable | 2,146 | | | 11,718 | |
| Right-of-use assets obtained in exchange for operating lease obligation | 796 | | | 2,945 | |
The accompanying notes are an integral part of these condensed consolidated financial statements.
AbCellera Biologics Inc.
Notes to Unaudited Condensed Consolidated Financial Statements
(All figures in U.S. dollars. Amounts are expressed in thousands except share data)
(Unaudited)
1. Nature of operations
AbCellera Biologics Inc.’s (the “Company”) mission is to bring better antibody drugs to patients faster, solve long-standing problems, and transform how antibody drugs are discovered. The Company aims to bring antibody therapeutics from target to clinic by combining expertise, technologies, and infrastructure to build an engine for antibody drug discovery and development. The Company uses the engine to work with partners to build a large and diversified portfolio of royalty (and equivalent) stakes in future antibody drugs. The Company partners with companies of all sizes - from innovative biotechnology companies to leading pharmaceutical companies - propelling programs to the clinic, together.
2. Basis of presentation
The accompanying unaudited interim condensed consolidated financial statements of the Company have been prepared in accordance with generally accepted accounting principles in the United States of America (“U.S. GAAP”) and pursuant to the rules and regulations of the Securities and Exchange Commission (the “SEC”) for interim financial information. Accordingly, the year-end condensed consolidated financial statement data was derived from audited financial statements and these financial statements do not include all the information and footnotes required for complete financial statements. These statements should be read in conjunction with the audited consolidated financial statements of the Company and the accompanying notes thereto for the year ended December 31, 2022.
These unaudited interim condensed consolidated financial statements reflect all adjustments, consisting solely of normal recurring adjustments, which, in the opinion of management, are necessary for a fair presentation of results for the interim periods presented. The results of operations for the three and six months ended June 30, 2022 and 2023 are not necessarily indicative of results that can be expected for a full year. These unaudited interim condensed consolidated financial statements follow the same significant accounting policies as those described in the notes to the audited consolidated financial statements of the Company for the year ended December 31, 2022, except for the new accounting guidance adopted during the period (Note 13).
All amounts expressed in these condensed consolidated financial statements of the Company and the accompanying notes thereto are expressed in thousands of U.S. dollars, except for share data and where otherwise indicated. References to “$” are to U.S. dollars and references to “C$” and “CAD” are to Canadian dollars.
3. Significant accounting policies
Use of estimates
The preparation of the consolidated financial statements in accordance with U.S. GAAP requires management to make estimates and assumptions that affect the reported amounts of assets and liabilities and disclosure of contingent liabilities at the date of the financial statements and the reported amounts of revenues and expenses during the reporting period. Areas of significant estimates include, but are not limited to, revenue recognition including evaluating whether contractual obligations represent distinct performance obligations, determining whether an option for additional goods or services represents a material right, allocating the transaction price to performance obligations within a contract, and assessing the recognition and possible future reversal of variable consideration, the fair value of acquired intangible assets, contingent consideration payable, and the estimates of stock-based compensation awards. The Company bases its estimates on historical experience, known trends and other market-specific or other relevant factors that it believes to be reasonable under the circumstances. On an ongoing basis, management evaluates its estimates when there are changes in circumstances, facts and experience. Changes in estimates are recorded in the period in which they become known. Actual results could significantly differ from those estimates.
Recent accounting pronouncements not yet adopted
The Company has reviewed recent accounting pronouncements and concluded that they are either not applicable to the Company or no material impact is expected in the condensed consolidated financial statements as a result of future adoption.
4. Net earnings (loss) per share
Basic and diluted net earnings (loss) per share attributable to common shareholders was calculated as follows:
| | | | | | | | | | | | | | | | | | | | | | | | | | |
| | Three months ended June 30, | | Six months ended June 30, |
| | 2022 | | 2023 | | 2022 | | 2023 |
| Basic earnings (loss) per share | | | | | | | | |
| Net earnings (loss) attributable to common shareholders - basic | | $ | (6,785) | | | $ | (30,528) | | | $ | 161,788 | | | $ | (70,638) | |
| Weighted-average common shares outstanding - basic | | 284,686,542 | | 288,905,587 | | 284,292,312 | | 288,357,081 |
| Net earnings (loss) per share attributable to common shareholders - basic | | $ | (0.02) | | | $ | (0.11) | | | $ | 0.57 | | | $ | (0.24) | |
| | | | | | | | |
| Diluted earnings (loss) per share | | | | | | | | |
| Net earnings (loss) attributable to common shareholders - diluted | | $ | (6,785) | | | $ | (30,528) | | | $ | 161,788 | | | $ | (70,638) | |
| Weighted-average common shares outstanding - basic | | 284,686,542 | | 288,905,587 | | 284,292,312 | | 288,357,081 |
| Stock options and RSUs | | - | | - | | 29,068,871 | | - |
| Weighted-average common shares outstanding - diluted | | 284,686,542 | | 288,905,587 | | 313,361,183 | | 288,357,081 |
| Net earnings (loss) per share attributable to common shareholders - diluted | | $ | (0.02) | | | $ | (0.11) | | | $ | 0.52 | | | $ | (0.24) | |
The Company’s potentially dilutive securities, which include stock options and restricted share units (“RSUs”), have been excluded from the computation of diluted net loss per share for the three months ended June 30, 2022, and the three and six months ended June 30, 2023 as the effect would be to reduce the net loss per share. Therefore, the weighted-average number of common shares outstanding for the three months ended June 30, 2022 and the three and six months ended June 30, 2023 used to calculate both basic and diluted net loss per share attributable to common shareholders is the same.
The Company excluded 48,678,673 and 11,937,411 potential common shares for the three and six months ended June 30, 2022, and 50,707,389 and 50,775,907 potential common shares for the three and six months ended June 30, 2023, from the computation of diluted net earnings (loss) per share attributable to common shareholders because including them would have had an anti-dilutive effect.
5. Property and equipment, net
Property and equipment, net consisted of the following:
| | | | | | | | | | | | | | |
| | December 31, 2022 | | June 30, 2023 |
| Computers | | $ | 8,303 | | | $ | 8,582 | |
| Land | | 53,405 | | | 53,405 | |
| Building | | 11,361 | | | 26,523 | |
| Laboratory equipment | | 41,256 | | | 58,216 | |
| Leasehold improvements | | 40,567 | | | 56,589 | |
| Operating lease right-of-use assets | | 80,838 | | | 80,532 | |
| Property and equipment | | 235,730 | | | 283,847 | |
| Less accumulated depreciation | | (18,475) | | | (24,207) | |
| Property and equipment, net | | $ | 217,255 | | | $ | 259,640 | |
As of December 31, 2022 and June 30, 2023, property and equipment includes leasehold improvements and construction in progress in the amount of $25.6 million and $56.4 million, respectively, and construction deposits of nil and $10.5 million, respectively, that have not commenced depreciation. Depreciation expense on property and equipment for the three and six months ended June 30, 2022 was $2.3 million and $3.7 million, respectively, and $3.0 million and $5.8 million for the three and six months ended June 30, 2023, respectively.
6. Intangible assets
Intangible assets consisted of the following:
| | | | | | | | | | | | | | | | | |
| June 30, 2023 |
| Gross carrying amount | | Accumulated amortization | | Net book value |
| License | $ | 38,433 | | | $ | 21,856 | | | $ | 16,577 | |
| Technology | 52,700 | | | 6,540 | | | 46,160 | |
| IPR&D | 64,010 | | | - | | | 64,010 | |
| $ | 155,143 | | | $ | 28,396 | | | $ | 126,747 | |
Amortization expense on intangible assets subject to amortization is estimated to be as follows for each of the next five years ended June 30:
| | | | | |
| Amortization Expense |
| 2024 | $ | 9,059 | |
| 2025 | 4,297 | |
| 2026 | 4,297 | |
| 2027 | 4,297 | |
| 2028 | 4,297 | |
| $ | 26,247 | |
7. Investments in and loans to equity accounted investees, and other long-term assets
The Company has entered into two separate 50% joint ventures, Dayhu JV and Beedie JV, as part of the construction of future office and laboratory headquarters. To date, the Company has recorded immaterial amounts of proportionate income or loss with respect to either venture.
Dayhu JV
During 2020, the Company entered into a joint venture with Dayhu ("Dayhu JV"). As of June 30, 2023, the equity investment balance was $41.1 million.
In March, 2021, the Company made a commitment of up to CAD $82.7 million ($62.5 million at June 30, 2023) to the Dayhu JV (Dayhu JV Loan) to fund the construction at a rate referenced to a Canadian bank prime rate adjusted for applicable margins as defined in the agreement, and repayment on the earlier of thirty months from the date of initial advancement and September 1, 2023, or upon the trigger of certain liquidity events as defined in the agreement.
The loan is secured by the underlying land and future assets of the Dayhu JV. At December 31, 2022, and June 30, 2023, the outstanding related party loan balance was $38.1 million and nil, respectively, to the Dayhu JV and is included in investment in and loans to equity accounted investees.
In July 2022, the Company entered into an agreement of up to CAD $46.0 million ($34.7 million at June 30, 2023) with Dayhu (New Dayhu Loan) to replace Dayhu’s portion of the outstanding Dayhu JV Loan balance as at January 1, 2023, at a rate referenced to a Canadian bank prime rate adjusted for applicable margins as defined in the agreement. The agreement has a maturity of December 31, 2025, with a call provision, callable by the Company after September 30, 2023, including customary make whole provisions. The loan is secured by the underlying land and existing and future assets of the Dayhu JV. In January 2023, the Company issued CAD $46.0 million ($34.7 million at June 30, 2023) to Dayhu from
the New Dayhu loan, which was used to repay, in part, Dayhu’s 50% portion of the Dayhu JV Loan. At June 30, 2023, the loan balance was $34.7 million and is included in other long-term assets.
Beedie JV
In March, 2021, the Company entered into the Beedie joint venture ("Beedie JV"). As of June 30, 2023, the equity investment balance was $17.7 million.
In June 2022, the Company made a commitment to our partner Beedie for a land loan of up to CAD $7.5 million ($5.7 million at June 30, 2023) plus a construction loan for up to 80% of Beedie’s share of construction costs. The commitment is at a rate referenced to a Canadian bank prime rate adjusted for applicable margins as defined in the agreement, and repayment on the earlier of thirty months from the date of initial advancement of the construction loan and
five years from the initial advancement of the land loan, or upon the triggering of certain repayment events as defined in the agreement. The loan is secured by the underlying land and existing and future assets of the Beedie JV. The loan receivable balance, which was solely related to the land loan to date, was CAD $7.5 million ($5.7 million as at June 30, 2023) and is included in other long-term assets.
8. Other assets and liabilities
Other assets
| | | | | | | | | | | | | | |
| | December 31, 2022 | | June 30, 2023 |
| Tax deposits and receivables | | $ | 64,817 | | | $ | 40,555 | |
| Prepaid expenses and other | | 9,064 | | | 22,361 | |
| Materials and supplies | | 1,532 | | | 1,447 | |
| Total other current assets | | $ | 75,413 | | | $ | 64,363 | |
In addition to the JV loans and non-marketable securities disclosed in Note 7 and Note 11, respectively, taxes receivable included within other long-term assets were nil and $17.4 million of as of December 31, 2022 and June 30, 2023, respectively.
Current accounts payable and other liabilities
| | | | | | | | | | | | | | |
| | December 31, 2022 | | June 30, 2023 |
| Accounts payable and accrued liabilities | | $ | 14,780 | | | $ | 21,025 | |
| Current portion of operating lease liability | | 5,583 | | | 5,953 | |
| Payroll liabilities | | 6,454 | | | 3,859 | |
| Current portion of deferred government contributions | | 6,285 | | | 6,521 | |
| Income taxes payable | | 48 | | | 15,037 | |
| Total current accounts payable and other liabilities | | $ | 33,150 | | | $ | 52,395 | |
9. Shareholders’ equity
The following table summarizes the Company’s stock option activity under the Pre-IPO Plan since December 31, 2022:
| | | | | | | | | | | |
| Number of Shares | | Weighted- Average Exercise Price |
| Outstanding as of December 31, 2022 | 33,694,150 | | $ | 0.90 | |
| Granted | - | | - | |
| Exercised | (1,746,480) | | 0.46 | |
| Forfeited | (2,000) | | 1.17 | |
| Outstanding as of June 30, 2023 | 31,945,670 | | $ | 0.92 | |
| Options exercisable as of June 30, 2023 | 24,845,004 | | $ | 0.75 | |
The following table summarizes the Company’s stock option activity under the 2020 Plan since December 31, 2022:
| | | | | | | | | | | |
| Number of Shares | | Weighted- Average Exercise Price |
| Outstanding as of December 31, 2022 | 12,322,933 | | $ | 14.81 | |
| Granted | 2,028,710 | | 9.89 | |
| Exercised | - | | - | |
| Forfeited | (180,295) | | 14.06 | |
| Outstanding as of June 30, 2023 | 14,171,348 | | $ | 14.11 | |
| Options exercisable as of June 30, 2023 | 3,446,208 | | $ | 17.09 | |
The following table summarizes the Company’s RSU activity under the 2020 Plan since December 31, 2022:
| | | | | | | | | | | |
| Number of Shares | | Weighted- Average Grant Date Fair Value |
| Outstanding as of December 31, 2022 | 3,946,985 | | $ | 13.71 | |
| Granted | 1,337,818 | | 9.88 | |
| Vested and settled | (591,394) | | 14.15 | |
| Forfeited | (103,038) | | 13.83 | |
| Outstanding as of June 30, 2023 | 4,590,371 | | $ | 12.54 | |
As of June 30, 2023, the number of shares available for issuance under the 2020 Plan was 32,591,154, which includes awards granted and outstanding under the Pre-IPO Plan that are forfeited after December 10, 2020.
Stock-based compensation:
Stock-based compensation expense was classified in the condensed consolidated statements of income (loss) and comprehensive income (loss) as follows:
| | | | | | | | | | | | | | | | | | | | | | | |
| Three months ended June 30, | | Six months ended June 30, |
| 2022 | | 2023 | | 2022 | | 2023 |
| Research and development | $ | 6,264 | | | $ | 8,078 | | | $ | 12,201 | | | $ | 15,574 | |
| Sales and marketing | 475 | | | 1,329 | | | 1,469 | | | 2,600 | |
| General and administrative | 5,374 | | | 6,992 | | | 10,734 | | | 13,699 | |
| $ | 12,113 | | | $ | 16,399 | | | $ | 24,404 | | | $ | 31,873 | |
10. Revenue
The disaggregated revenue categories are presented on the face of the condensed consolidated statements of income (loss) and comprehensive income (loss). Deferred revenue outstanding in each respective period is as follows:
| | | | | | | | | | | | | | | | | | | | | | | |
| December 31, 2021 | | June 30, 2022 | | December 31, 2022 | | June 30, 2023 |
| Deferred revenue | $ | 34,954 | | | $ | 32,004 | | | $ | 41,128 | | | $ | 36,258 | |
During the three and six months ended June 30, 2022 and 2023, the Company recognized $6.3 million and $7.7 million, respectively, and $4.0 million and $8.1 million respectively, of revenue that had been included in deferred revenue as of December 31, 2021 and December 31, 2022, respectively.
11. Financial instruments
Fair Value Measurements
The Company categorizes its financial assets and liabilities measured at fair value into a three-level hierarchy established by U.S. GAAP that prioritizes those inputs to valuation techniques used to measure fair value based on the degree to which they are observable. The three levels of the fair value hierarchy are as follows: Level 1 inputs are quoted prices in active markets for identical assets and liabilities; Level 2 inputs, other than quoted prices included within Level 1, are observable for the asset or liability either directly or indirectly; and Level 3 inputs are not observable in the market.
The Company’s financial instruments consist of cash and cash equivalents, restricted cash, marketable securities, accounts receivable, loans receivable, loans to equity accounted investees, accounts payable and payroll liabilities, royalties payable, and contingent consideration payable. The carrying values of cash and cash equivalents, restricted cash, accounts receivable, accounts payable and payroll liabilities, royalties payable, loans receivable, and loans to equity accounted investees approximate their fair values, and primarily classified as level 2. At June 30, 2023, the Company also held non-marketable securities included in other long term assets of $32.3 million (December 31, 2022 - $18.5 million).
Contingent Consideration
Contingent consideration related to business acquisitions is recorded at fair value on the acquisition date and adjusted on a recurring basis for changes in its fair value. Changes in the fair value of contingent consideration liabilities can result from changes in anticipated payments and changes in assumed discount periods and rates. These inputs are unobservable in the market and are therefore categorized as Level 3 inputs. There were no changes to the valuation technique and inputs used in these fair value measurements since acquisition.
The following table presents the changes in fair value of the liability for contingent consideration:
| | | | | | | | | | | | | | | | | |
| Three Months Ended June 30, 2023 | Liability at beginning of the period | | Increase (decrease) in fair value of liability for contingent consideration | | Liability at end of the period |
| Trianni (i) | $ | 20,903 | | | $ | 1,068 | | | $ | 21,971 | |
| TetraGenetics (ii) | $ | 37,706 | | | $ | 971 | | | $ | 38,677 | |
| | | | | | | | | | | | | | | | | |
| Six months ended June 30, 2023 | Liability at beginning of the period | | Increase (decrease) in fair value of liability for contingent consideration | | Liability at end of the period |
| Trianni (i) | $ | 23,505 | | | $ | (1,534) | | | $ | 21,971 | |
| TetraGenetics (ii) | $ | 36,760 | | | $ | 1,917 | | | $ | 38,677 | |
i)The estimated fair value of the earn-out payments relates to a specific customer license ending on April 9, 2024, was determined by estimating the payout of the expected future net cash flows associated to the specific customer license
during the earn-out period. The significant assumptions include the amount and timing of projected future net revenues received by us from the specific customer license, discounted at 22%, the rate that measures the risks inherent in the future cash flows.
ii)The estimated fair value of potential future successful milestone payouts was determined by estimating the expected future cash flows associated with the potential milestone events. The significant assumptions include the amount and timing of projected future cash flows, risk adjusted for various factors including probability of success, discounted at 10.7%, the rate that measures the risks inherent in the future cash flows.
Marketable Securities
As part of the Company’s cash management strategy, the Company holds high credit quality marketable securities that are available to support the Company’s current operations.
Level 2 marketable securities in the fair value hierarchy were based on quoted market prices to the extent available or alternative pricing sources and models utilizing market observable inputs to determine fair value. There were no transfers between Level 1, Level 2 and Level 3 during the period.
The following table presents information about the Company’s marketable securities that are measured at fair value on a recurring basis and indicates the level of the fair value hierarchy used to determine such fair values:
| | | | | | | | | | | | | | | | | | | | | | | |
| Fair Value Measurements at June 30, 2023: |
| Level 1 | | Level 2 | | Level 3 | | Total |
| Marketable securities | | | | | | | |
| U.S. government agencies | $ | 153,373 | | | $ | - | | | $ | - | | | $ | 153,373 | |
| Certificate of deposit | - | | | 260,564 | | | - | | | 260,564 | |
| Commercial paper | - | | | 68,045 | | | - | | | 68,045 | |
| Corporate bonds | - | | | 110,494 | | | - | | | 110,494 | |
| Asset backed securities | - | | | 23,471 | | | - | | | 23,471 | |
| $ | 153,373 | | | $ | 462,574 | | | $ | - | | | $ | 615,947 | |
12. Commitments and contingencies
From time to time, the Company may become involved in routine litigation arising in the ordinary course of business. At each reporting date, the Company evaluates whether or not a potential loss amount or a potential range of loss is probable and reasonably estimable under the provisions of the authoritative guidance that addresses accounting for contingencies. The Company does not have contingency reserves established for any litigation liabilities and any of the costs related to such legal proceedings are expensed as incurred.
The Company may enter into certain agreements with strategic partners in the ordinary course of operations that may include investments in collaborative arrangements, contractual milestone payments related to the achievement of
pre-specified research, development, regulatory and commercialization events and indemnification provisions, which are common in such agreements.
Pursuant to the agreements, the Company may be obligated to make research and development and regulatory milestone payments upon the occurrence of certain events and upon receipt of royalty payments in the low single-digits to mid-twenties based on certain net sales targets. During the three and six months ended June 30, 2022 $5.2 million and $49.8 million was expensed related to such obligation, respectively, and during the three and six months ended June 30, 2023, no amounts were expensed related to such obligations. As of December 31, 2022 and June 30, 2023, $19.3 million and $3.1 million was included in current liabilities.
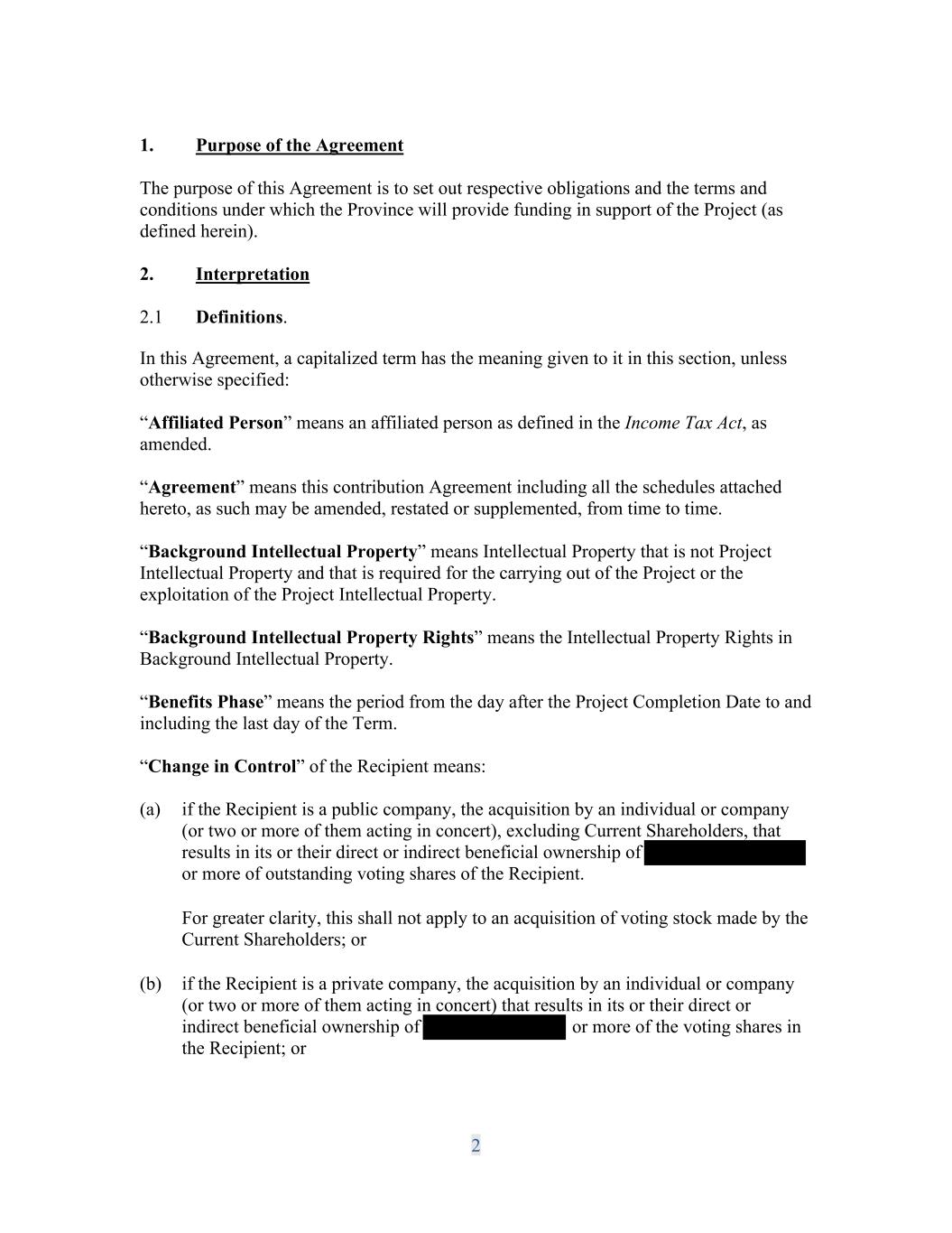
13. Government contributions
In 2020, the Company received a funding commitment from the Government of Canada under Innovation, Science and Economic Development’s (ISED) Strategic Innovation Fund (SIF) for a total of CAD $175.6 million ($132.6 million as of June 30, 2023), collectively "Government Contribution 1" which is intended to support research and development
efforts related to the discovery of antibodies to treat COVID-19, and to build technology and manufacturing infrastructure for antibody therapeutics against future pandemic threats.
In May of 2023, the Company entered into multi-year contribution agreements with the Government of Canada and the Government of British Columbia, collectively "Government Contribution 2." These investments are intended to build new capabilities in Canada to develop, manufacture, and deliver antibody medicines to patients through Phase 1 clinical trials and build expertise in translational science, technical operations, and clinical operations and research.
Government Contribution 1
Since inception, the Company incurred $96.3 million in expenditures in respect of the Canadian government's Strategic Innovation Fund (SIF), of which $46.1 million and $50.2 million relate to phase 1 and 2, respectively. Spending under phase 1 of the agreement and such amounts are non-repayable, while repayment on phase 2 of the funding is conditional on achieving certain revenue thresholds over a specified period of time as prescribed in the agreement. As of June 30, 2023, no amounts have been accrued related to the repayment terms.
Government Contribution 2
The Government of Canada has committed up to CAD $225.0 million ($169.9 million as of June 30, 2023) of which CAD $56.2 million ($42.4 million as of June 30, 2023) is non-repayable, CAD $78.8 million ($59.5 million as of June 30, 2023) is repayable and CAD $90.0 million ($68.0 million as of June 30, 2023) is conditionally repayable. Both the repayable and conditionally repayable amounts are repayable starting in 2033. The repayable and conditionally repayable amounts are treated as repayable, and are included in deferred government contributions. The repayable funding is payable over fifteen years and the conditionally repayable portion repaid based on a computed percentage rate of the Company’s revenue over a period of up to fifteen years, at a factor of up to 1.4 times the original conditionally repayable grant. Receipt of funds is dependent upon the Company’s co-investment expenditures over the term of the agreement. The agreement will expire on the later of April 30, 2047, or the date of the last repayment, unless earlier terminated. The Company considered the contractual terms of the repayable portion of a below-market rate government contribution, and determined that the interest rate is affected by legal restrictions prescribed by a governmental agency. Therefore, the Company will not impute interest on the repayable portion of the government contribution, and it is to be measured equal to the proceeds received.
For the quarter ended June 30, 2023, the Company has claimed $13.6 million under the federal funding, of which $10.2 million is repayable, and included in deferred government contributions on the consolidated balance sheet. The remainder is non-repayable and relates to research and development expenditures of $0.8 million which is reflected in other income, and capital asset expenditures of $2.6 million which is included in deferred government contributions and amortized into other income over the average asset life of 8.5 years. At June 30, 2023, $0.1 million is included in accounts payable and other liabilities, and $2.5 million is included in deferred government contributions on the consolidated balance sheet.
The Government of British Columbia has committed up to CAD $75.0 million ($56.6 million as of June 30, 2023) which includes partial reimbursement of certain eligible expenditures up to CAD $37.5 million ($28.3 million as of June 30, 2023) towards eligible infrastructure investments paid over five years; and a CAD $37.5 million ($28.3 million as of June 30, 2023) conditional portion paid upon achievement of certain defined milestones, including upon the Company’s undertaking of certain clinical trial activities in British Columbia. The CAD $75.0 million ($56.6 million as of June 30, 2023) is repayable starting in 2032, over up to fifteen years, up to a maximum of CAD $64.0 million ($48.3 million as of June 30, 2023) based on a percentage rate of the Company’s revenue exceeding a given threshold. The agreement will expire on the earlier of 2047, or the date of the last repayment, unless earlier terminated, conditional on achieving certain revenue thresholds over a specified period of time as prescribed in the agreement. As of June 30, 2023, no amounts have been accrued related to the repayment terms.
For the quarter ended June 30, 2023, the Company has claimed $10.1 million under the provincial funding related to capital asset expenditures which is included in deferred government contributions and amortized into other income over the average asset life of 8.5 years. At June 30, 2023, $0.2 million is included in accounts payable and other liabilities, and $9.9 million included in deferred government contributions on the consolidated balance sheet.
The Company has agreed to certain financial and non-financial covenants and other obligations, including cross default provisions associated with other Canadian funding, and restrictive covenants on dividend payments or other shareholder distributions that would prevent the Company in satisfying its obligations under the arrangement. Other obligations in relation to the project include the maintenance of certain gross capital expenditures in Canada, certain research and development expenditures in Canada, and the achievement of certain headcount requirements in Canada. In
addition, the Company has granted notice and consent rights to the counterparties upon certain events related to a change in control (as defined in the agreements) of the Company.
Pursuant to the agreements, certain customary events of default, such as the Company’s breach of its covenants and obligations under the respective agreements, its insolvency, winding up or dissolution, and other similar events, may permit the Governments of Canada and British Columbia to declare an event of default under the respective agreements. Upon an event of default, subject to applicable cure, the Governments of Canada and British Columbia may exercise a number of remedies, including suspending or terminating funding under the respective agreements, demanding repayment of funding previously received and/or terminating the respective agreements. This funding and its associated conditional repayments are not secured by any of AbCellera’s assets or that of the project.
Item 2. Management’s Discussion and Analysis of Financial Condition and Results of Operations.
CAUTIONARY NOTE REGARDING FORWARD-LOOKING STATEMENTS
This Quarterly Report on Form 10-Q includes “forward-looking statements” within the meaning of the U.S. Private Securities Litigation Reform Act of 1995, as amended, and “forward-looking information” within the meaning of Canadian securities laws, or collectively, forward-looking statements. Forward-looking statements include statements that may relate to our plans, objectives, goals, strategies, future events, future revenue or performance, capital expenditures, financing needs and other information that is not historical information. Many of these statements appear, in particular, under the headings “Risk Factors,” and “Management’s Discussion and Analysis of Financial Condition and Results of Operations”. Forward-looking statements can often be identified by the use of terminology such as “subject to”, “believe,” “anticipate,” “plan,” “expect,” “intend,” “estimate,” “project,” “may,” “will,” “should,” “would,” “could,” “can,” the negatives thereof, variations thereon and similar expressions, or by discussions of strategy. In addition, any statements or information that refer to expectations, beliefs, plans, projections, objectives, performance or other characterizations of future events or circumstances, including any underlying assumptions, are forward-looking. In particular, these forward-looking statements include, but are not limited to:
•our expectations regarding the rate and degree of market acceptance of our antibody discovery and development engine;
•companies and technologies in our industry that compete with our business;
•our ability to manage and grow our business by introducing our antibody discovery and development engine to new partners and expanding our relationships with existing partners;
•our operating results and financial performance;
•our partners’ ability to achieve projected discovery and development milestones and other anticipated key events, including commercial sales resulting in royalties owed to us, in the expected timelines or at all;
•our ability to provide our partners with a full solution from target identification to investigational new drug, or IND, application submission;
•our partners’ ability to develop and commercialize a molecule discovered by us, on a timely basis or at all;
•our expectations regarding the completion of our good manufacturing practices, or GMP, facility and our manufacturing capabilities;
•our ability to establish and maintain intellectual property protection for our technologies and workflows and avoid or defend against claims of patent infringement;
•our ability to attract, hire and retain key personnel and to manage our personnel growth effectively;
•our ability to obtain additional financing in future offerings;
•the volatility of the trading price of our common shares;
•business disruptions affecting our operations and the development of our antibody discovery and development engine;
•our ability to avoid material weaknesses or significant deficiencies in our internal control over financial reporting in the future;
•our expectations regarding our Passive Foreign Investment Company, or PFIC, status for our taxable year ended December 31, 2023, or any future taxable year;
•our expectations regarding our recent business acquisitions and our ability to realize the intended benefits of such acquisitions;
•our expectations regarding the use of our cash resources;
•our expectations about market trends; and
•our ability to predict and adapt to government regulation.
We may not actually achieve the plans, intentions, or expectations disclosed in our forward-looking statements, and you should not place undue reliance on our forward-looking statements. Actual results or events could differ materially from the plans, intentions, and expectations disclosed in the forward-looking statements. We have included important factors in the cautionary statements included in this Quarterly Report, particularly in “Summary of the Material and Other Risks Associated with Our Business” above and “Risk Factors” below, that we believe could cause actual results or events to differ materially from our forward-looking statements. We operate in a competitive and rapidly changing environment and new risks and uncertainties emerge from time to time, and it is not possible for us to predict all risks and uncertainties
that could have an impact on the forward-looking statements contained in this Quarterly Report. Our forward-looking statements do not reflect the potential impact of any future acquisitions, mergers, dispositions, collaborations, joint ventures, or investments we may make or enter.
Additionally, inflation generally affects us by increasing our employee-related costs and certain other expenses. Our financial condition and results of operations may also be impacted by other factors we may not be able to control, such as global supply chain disruptions, uncertain global economic conditions, global trade disputes or political instability as further discussed in the section “Risk Factors” in this Quarterly Report.
You should read this Quarterly Report and the documents that we file with the Securities and Exchange Commission, or the SEC, with the understanding that our actual future results may differ materially from what we expect. The forward-looking statements contained in this Quarterly Report are made as of the date of this Quarterly Report, and we do not assume any obligation to update any forward-looking statements, whether as a result of new information, future events or otherwise, except as required by applicable law.
In addition, statements that “we believe” and similar statements reflect our beliefs and opinions on the relevant subject. These statements are based upon information available to us as of the date of this Quarterly Report, and while we believe such information forms a reasonable basis for such statements, such information may be limited or incomplete. Our statements should not be read to indicate that we have conducted an exhaustive inquiry into, or review of, all potentially available relevant information. These statements are inherently uncertain, and investors are cautioned not to unduly rely upon these statements.
This Quarterly Report includes statistical and other industry and market data that we obtained from industry publications and research, surveys, and studies conducted by third parties as well as our own estimates of potential market opportunities. All market data used in this Quarterly Report involves assumptions and limitations, and you are cautioned not to give undue weight to such data. Industry publications and third-party research, surveys, and studies generally indicate that their information has been obtained from sources believed to be reliable, although they do not guarantee the accuracy or completeness of such information. Our estimates of the potential market opportunities for our product candidates include several key assumptions based on our industry knowledge, industry publications, third-party research, and other surveys, which may be based on a small sample size and may fail to accurately reflect market opportunities. While we believe that our internal assumptions are reasonable, no independent source has verified such assumptions.
We express all amounts in this Quarterly Report on Form 10-Q in U.S. dollars, except where otherwise indicated. References to “$” and “US$” are to U.S. dollars and references to “C$” and “CAD$” are to Canadian dollars.
Except as otherwise indicated, references in this Quarterly Report on Form 10-Q to “AbCellera,” the “Company,” “we,” “us” and “our” refer to AbCellera Biologics Inc. and its consolidated subsidiaries.
Overview
We are a team of scientists, engineers, creatives, and business professionals addressing the barriers of conventional antibody drug development. We believe investments in technology will improve the quality, speed, and success of drug development and that long-term value creation begins with building a great company that can create multiple products, repeatedly and successfully.
We focus on the development of antibody-based drugs and are committed to improving discovery and development. We aim to be the best in the world in bringing antibody therapeutics from target to the start of clinical testing by combining expertise, technologies, and infrastructure to build an integrated engine for antibody drug discovery and development. We think deeply about capital allocation and strive to maximize long-term value while mitigating the risks that are inherent in drug development and in scaling a company. We look for opportunities where we believe low-risk investments in building technology and operational efficiency can create a sustained competitive advantage and drive long-term value by making biologics drug development faster and more efficient.
We structure our agreements in a way that is designed to align our partners’ economic interests with our own. We partner with companies of all sizes and government organizations to propel programs to the clinic, together. We enable discovery against targets that have traditionally been intractable, and we accelerate programs against less difficult targets.
Our deals emphasize participation in the success and upside of future antibody therapeutic candidates. Our partnership agreements include near-term payments for technology access, research and intellectual property rights, and downstream payments in the form of clinical and commercial milestones, and royalties on net sales. We also participate in
alternative investment opportunities including equity in our business partners and various rights for deeper involvement in moving molecules forward. Longer-term we are eligible to receive additional payments upon satisfaction of clinical and commercial milestones, which we refer to as milestone payments, as well as royalties on net sales of approved products derived from antibodies that we discover for our partners. Our discovery partnerships generally include royalty payments on net sales in the single-digit to low-double digit range.
We focus a substantial portion of our resources on research and development efforts towards strengthening our discovery and development engine and we expect to continue to make significant investments in this area for the foreseeable future. We expect to continue to incur significant expenses, and we expect such expenses to increase substantially in connection with our ongoing activities, including as we:
•invest in research and development activities to improve our antibody discovery and development engine including investments in building our new headquarters through our joint ventures and building a new small-scale manufacturing facility;
•market and sell our solutions to existing and new partners;
•expand and enhance operations to deliver programs, including investments in manufacturing;
•acquire businesses or technologies to support the growth of our business;
•attract, hire and retain qualified personnel; and
•continue to establish, protect and defend our intellectual property and patent portfolio, including our ongoing litigation.
To date, we have financed our operations primarily from revenue from our antibody discovery partnerships in the form of royalty revenue, government funding from grants, and from the issuance and sale of convertible preferred shares and notes, and common shares. Additionally, we have twice secured significant government co-investments in the form of non-dilutive capital.
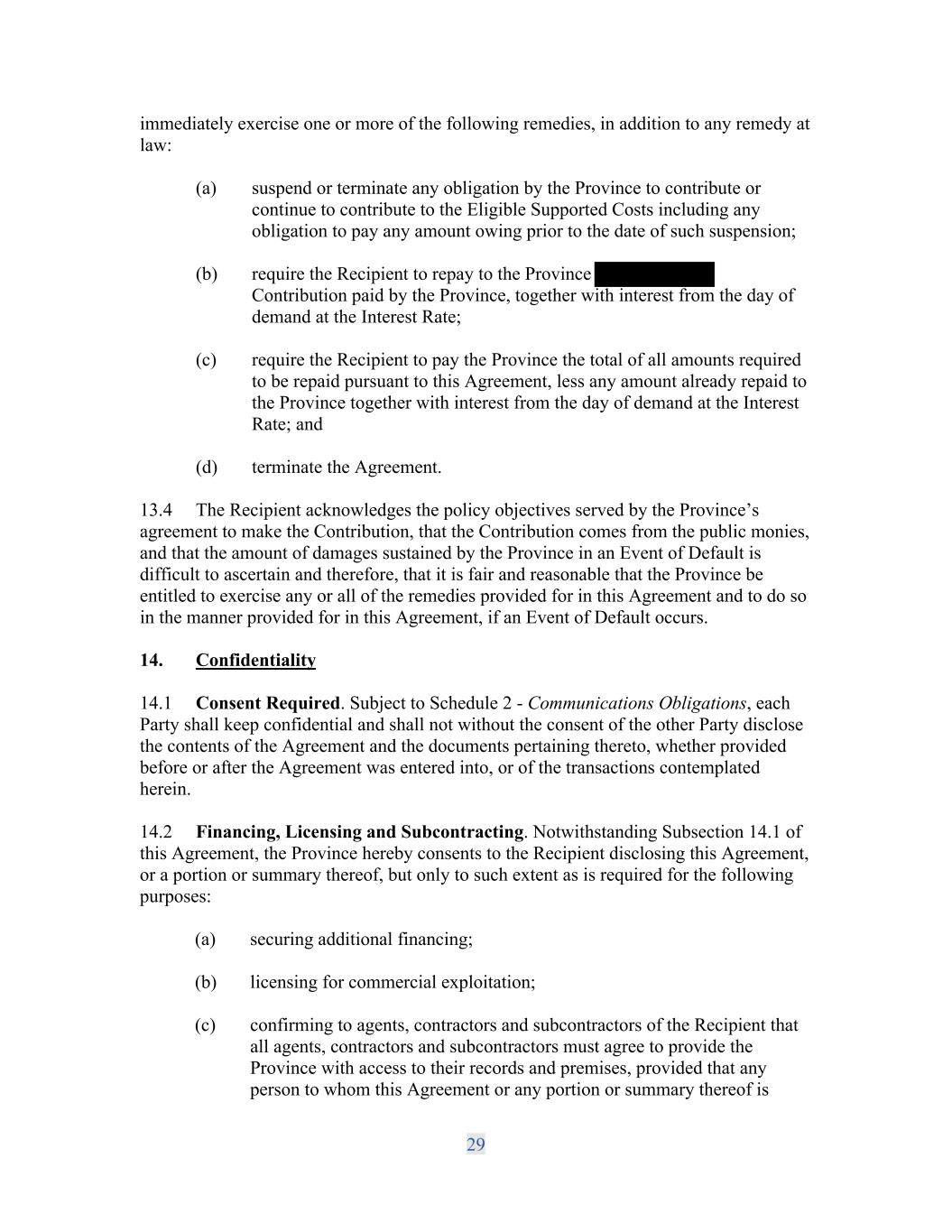
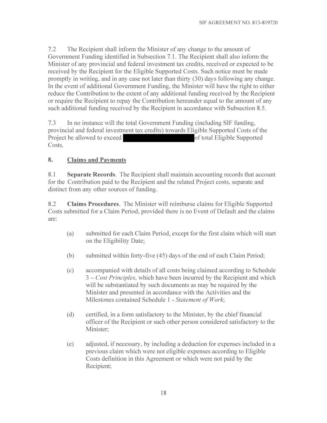
We have grown the number of programs that we have under contract with our partners, as illustrated by the following chart. In the second quarter of 2023, we had 5 partnered program starts and had a cumulative total of 177 discovery programs that are either completed, in progress or under contract with 41 partners as of June 30, 2023.
Results of operations
The following table summarizes our key operating results for the three and six months ended June 30, 2022 and June 30, 2023. All figures are in U.S. dollars and amounts are expressed in thousands, except per share data: | | | | | | | | | | | | | | | | | | | | | | | | | | |
| | Three Months Ended June 30, | | Six Months Ended June 30, |
| | 2022 | | 2023 | | 2022 | | 2023 |
| Revenue: | | | | | | | | |
| Research fees | | $ | 12,538 | | | $ | 9,830 | | | $ | 21,871 | | | $ | 20,400 | |
| Licensing revenue | | 147 | | | 226 | | | 377 | | | 598 | |
| Milestone payments | | - | | | - | | | - | | | 1,250 | |
| Royalty revenue | | 33,232 | | | - | | | 340,249 | | | - | |
| Total revenue | | 45,917 | | | 10,056 | | | 362,497 | | | 22,248 | |
| | | | | | | | |
| Operating expenses: | | | | | | | | |
| Royalty fees | | 5,210 | | | - | | | 49,847 | | | - | |
Research and development(1) | | 26,685 | | | 36,473 | | | 53,052 | | | 89,120 | |
| Other operating expenses | | 22,418 | | 24,972 | | 43,045 | | 49,391 |
| Total operating expenses | | 54,313 | | 61,445 | | 145,944 | | 138,511 |
| Income (loss) from operations | | (8,396) | | (51,389) | | 216,553 | | (116,263) |
| Total other (income) | | (1,510) | | (13,385) | | (7,371) | | (30,112) |
| Net earnings (loss) before income tax | | (6,886) | | (38,004) | | 223,924 | | (86,151) |
| Net earnings (loss) | | $ | (6,785) | | | $ | (30,528) | | | $ | 161,788 | | | $ | (70,638) | |
| | | | | | | | |
| Net earnings (loss) per share attributable to common shareholders | | | | | | | | |
| Basic | | $ | (0.02) | | | $ | (0.11) | | | $ | 0.57 | | | $ | (0.24) | |
| Diluted | | $ | (0.02) | | | $ | (0.11) | | | $ | 0.52 | | | $ | (0.24) | |
____________________________________
(1)Exclusive of depreciation and amortization
Operating expenses include stock-based compensation as follows:
| | | | | | | | | | | | | | | | | | | | | | | | | | |
| | Three months ended June 30, | | Six months ended June 30, |
| | 2022 | | 2023 | | 2022 | | 2023 |
| Research and development | | $ | 6,264 | | | $ | 8,078 | | | $ | 12,201 | | | $ | 15,574 | |
| Sales and marketing | | 475 | | | 1,329 | | | 1,469 | | | 2,600 | |
| General and administrative | | 5,374 | | | 6,992 | | | 10,734 | | | 13,699 | |
| | | $ | 12,113 | | | $ | 16,399 | | | $ | 24,404 | | | $ | 31,873 | |
Key Factors Affecting Our Results of Operations and Future Performance
We believe that our financial performance has been, and in the foreseeable future will continue to be, primarily driven by multiple factors as described below, each of which presents growth opportunities for our business. These factors also pose important challenges that we must successfully address to sustain our growth and improve our results of operations. Our ability to successfully address these challenges is subject to various risks and uncertainties, including those described in Part II, Item 1A, Risk Factors.
•Securing additional programs under contract. Our potential to grow revenue, in both the near and long term, is dependent on our ability to secure additional programs under contract from new and existing partners. For existing partners, we seek to expand our relationships with them to cover multi-year, multi-target programs. Since our first commercial partnership in 2015, as of June 30, 2023, we had 177 discovery programs that are either completed, in
progress or under contract with 41 partners. We are building our business development team across the major biotechnology geographic hubs to bring in new partners and new programs under contract, and we believe that we have a significant opportunity to continue to increase the number of partners who have programs based on our discovery and development engine. Our ability to continue to grow our number of programs under contract is dependent upon our ability to educate the market and support the business through investment in our sales and marketing efforts and through further research and development to enhance our discovery differentiation.
•Our partners successfully developing and commercializing the antibodies that we discover. We estimate that, based on the terms of our existing contracts and estimates of historical rates of success of antibody drug development, the vast majority of the potential value for each program under contract is represented by potential future milestone payments and royalties rather than research fees. As a result, we believe our business and our future results of operations will be highly reliant on the degree to which our partners successfully develop and commercialize the antibodies that we discover based on contracts with our partners. As our partners continue to advance development of the antibodies that we have discovered, we expect to start receiving additional milestone payments and royalties if any partners commence commercial sales of such antibodies.
•Rate and timing of selecting and initiating discovery projects by our partners. Once programs are secured under contract, partners must select targets and agree on a detailed statement of work before we commence discovery research on any antibodies. The rate and timing of such selection and initiation differs from partner to partner. Research fees that we recognize under our partnerships depend on our delivery of antibodies for development by our partners and delays by our partners in selecting targets and agreeing on statements of work will impact revenue recognition.
•Investing in enhancements to our discovery and development engine. Our ability to maintain and expand our partnerships is dependent on the advantages our discovery and development engine delivers to our partners. We intend to maintain our leading position through investments in research and development to refine and add capabilities in areas such as computation, protein engineering, immunization technologies, genetically engineered rodents and cell line selection. We have successfully executed and will continue to look for strategic technology acquisitions to improve, broaden and deepen our capabilities and expertise in antibody discovery and development, or those that offer opportunities to expand our partnership business into adjacent therapeutic modalities. We intend to devote substantial resources to continue to improve our discovery differentiation which will impact our financial performance.
•Scaling our operations to execute on discovery programs. As we secure additional programs under contract and as our partners initiate discovery programs, our operational capacity to execute such research activities may become strained. We are making significant investments in capital and time to increase our ability to address future growth, including building new headquarters through our Dayhu and Beedie joint ventures, building a new small-scale manufacturing facility, investing in research and development, and continuing to hire talented personnel across functions. We have new facilities under development scheduled to take occupancy in 2024 that are intended to materially expand capacity. As we expand our workforce, we expect a significant increase in our operating expenses, including stock-based compensation.
Key Business Metrics
We regularly review the following key business metrics to evaluate our business, measure our performance, identify trends affecting our business, formulate financial projections and make strategic decisions. We believe that the following metrics are important to understand our current business. These metrics may change or may be substituted for additional or different metrics as our business develops.
| | | | | | | | | | | | | | | | | | | | |
| Cumulative Metrics | | June 30, 2022 | | June 30, 2023 | | Change % |
| Number of discovery partners | | 38 | | 41 | | 8 | % |
| Programs under contract | | 164 | | 177 | | 8 | % |
| Partnered program starts | | 88 | | 106 | | 20 | % |
| Molecules in the clinic | | 6 | | 9 | | 50 | % |
The table below outlines the details of molecules in the clinic as of June 30, 2023:
| | | | | | | | | | | | | | | | | | | | | | | | | | |
| Molecule | | Most advanced stage | | Partner | | Therapy areas | | Program type |
| Bamlanivimab (LY-CoV555) | | Marketed, EUA | | Eli Lilly and Company | | Infectious disease – COVID-19 | | AbCellera Pre-partnered Program - Partnered |
| Bebtelovimab (LY-CoV1404) | | Marketed, EUA | | Eli Lilly and Company | | Infectious disease – COVID-19 | | AbCellera Pre-partnered Program - Partnered |
| TAK-920/DNL919 | | Phase 1 | | Denali Therapeutics Inc. | | Neurology - Alzheimer's Disease | | AbCellera Partner-initiated Discovery |
| Undisclosed | | Phase 1 | | Teva Pharmaceutical Industries Ltd. | | Neuroscience | | AbCellera Partner-initiated Discovery |
| Undisclosed | | Phase 1 | | Undisclosed | | Undisclosed | | Trianni license |
| NBL-012 | | Phase 1 | | NovaRock Biotherapeutics Inc. | | Dermatology, gastrointestinal, immunology | | Trianni license |
| NBL-015/FL-301 | | Phase 1 | | NovaRock Biotherapeutics Inc. | | Oncology | | Trianni license |
| NBL-020 | | IND/CTA authorized | | NovaRock Biotherapeutics Inc. | | Oncology | | Trianni license |
| IVX-01 | | Clinical field study | | Invetx | | Animal health | | AbCellera Partner-initiated Discovery |
Number of discovery partners represents the unique number of partners with whom we have executed partnership contracts. We view this metric as an indication of the competitiveness of our engine and our level of market penetration. The metric also relates to our opportunities to secure programs under contract.
Programs under contract represent the number of antibody development programs that are under contract for delivery of discovery research activities. A program under contract is counted when a contract is executed with a partner under which we commit to discover or deliver antibodies against one selected target. A target is any relevant antigen for which a partner seeks our support in developing binding antibodies. We view this metric as an indication of commercial success and technological competitiveness. It further relates to revenue from access fees. The cumulative number of programs under contract with downstream participation is related to our ability to generate future revenue from milestone payments and royalties.
Partnered program starts represent the number of unique programs under contract for which we have commenced the discovery effort. The discovery effort commences on the later of (i) the day on which we receive sufficient reagents to start discovery of antibodies against a target and (ii) the day on which the kick-off meeting for the program is held. We view this metric as an indication of our operational capacity to execute on programs under contract. It is also an indication of the selection and initiation of discovery projects by our partners and the resulting potential for near-term payments. Cumulatively, partnered program starts with downstream participation indicate our total opportunities to earn downstream revenue from milestone fees and royalties in the mid- to long-term.
Molecules in the clinic represent the count of unique molecules for which an Investigational New Drug, or IND, New Animal Drug, or equivalent under other regulatory regimes, application has been approved based on an antibody that was discovered either by us or by a partner using licensed AbCellera technology. Where the date of such application approval is not known to us, the date of the first public announcement of a clinical trial will be used for the purpose of this metric. We view this metric as an indication of our near- and mid-term potential revenue from milestone fees and potential royalty payments in the long term.
Summary partnership agreements with pharmaceutical and biotechnology companies that include downstream participation from 2016 to June 30, 2023:
| | | | | | | | | | | | | | | | | | | | | | | |
| Partner | | # of Targets & Duration | | Therapeutic Indication or Modality | | Date Announced | |
| RQ Biotechnology Ltd. | | Up to 3 targets, multi-year | | Infectious disease | | March 22, 2023 | |
| AbbVie Inc. | | Up to 5 targets, multi-year | | Undisclosed | | December 15, 2022 | |
| | | | | | | | | | | | | | | | | | | | | | | |
| Rallybio Corporation | | Up to 5 targets, multi-year | | Rare metabolic disorder and undisclosed | | December 1, 2022 | |
| Atlas' stealth stage company | | Up to 3 targets, multi-year | | Undisclosed | | August 3, 2022 | |
| Undisclosed biotechnology company | | Up to 3 targets, multi-year | | Undisclosed | | June 29, 2022 | * |
| Empirico Inc. | | 2 additional targets | | Undisclosed | | May 3, 2022 | |
| Everest Medicines Ltd. | | Up to 10 targets, multi-year | | Oncology and undisclosed | | September 22, 2021 | |
| Moderna, Inc. | | Up to 6 targets, multi-year | | RNA-encoded antibodies | | September 15, 2021 | |
| EQRx, Inc. | | Multi-target, multi-year | | Oncology and immunology (initially) | | August 4, 2021 | |
| Tachyon Inc. | | Single target | | Oncology | | August 3, 2021 | |
| Undisclosed biotechnology company | | Up to 4 targets, multi-year | | Undisclosed | | June 30, 2021 | * |
| Angios | | Multi-target, multi-year | | Ophthalmology | | May 6, 2021 | |
| Undisclosed biotechnology company | | Multi-target, multi-year | | Oncology | | May 6, 2021 | * |
| Empirico Inc. | | 5 targets, multi-year | | Undisclosed | | April 14, 2021 | |
| Gilead Sciences, Inc. | | 8 targets, multi-year | | Undisclosed | | April 1, 2021 | |
| Abdera Therapeutics Inc. | | 9 targets, multi-year | | Oncology | | January 14, 2021 | |
| Invetx, Inc. | | Multi-target, multi-year | | Animal Health | | November 19, 2020 | |
| Kodiak Sciences Inc. | | Multi-target, multi-year | | Ophthalmology | | October 29, 2020 | |
| IGM Biosciences, Inc. | | Multi-target, multi-year | | Oncology and immunology | | September 24, 2020 | |
| Undisclosed | | Single target | | Bispecific | | June 3, 2020 | * |
| Eli Lilly and Company | | Up to 9 targets, multi-year | | COVID-19 program and additional indications | | May 22, 2020 | * |
| Regeneron Pharmaceuticals, Inc. | | Multi-target, multi-year | | Multiple undisclosed | | March 16, 2020 | * |
| Invetx, Inc. | | Multi-target, multi-year | | Animal health | | February 23, 2020 | |
| Undisclosed | | Multi-target, multi-year | | Cell therapy | | September 25, 2019 | * |
| Gilead Sciences, Inc. | | Single target | | Infectious disease | | June 13, 2019 | |
| Denali Therapeutics, Inc. | | 8 targets, multi-year | | Neurological diseases | | February 28, 2019 | |
| Novartis AG | | Up to 10 targets, multi-year | | Undisclosed | | February 14, 2019 | |
| Autolus Therapeutics plc | | Single target | | Cell therapy (CAR-T) | | November 29, 2018 | |
| Denali Therapeutics, Inc. | | Single target | | Neurological diseases | | June 12, 2018 | |
| Undisclosed mid-cap biopharmaceutical company | | Undisclosed | | Undisclosed | | January 25, 2018 | |
| Teva Pharmaceutical Industries Ltd. | | Single target | | Membrane protein | | June 13, 2017 | |
| Pfizer Inc. | | Multi-target, multi-year | | Membrane protein | | January 5, 2017 | |
| Undisclosed global biotechnology company | | Multi-target, multi-year | | Undisclosed | | November 4, 2016 | |
| Kodiak Sciences Inc. | | Single target | | Ophthalmology | | August 24, 2016 | |
| Teva Pharmaceutical Industries Ltd. | | Undisclosed | | Undisclosed | | February 2, 2016 | |
| * Effective date of agreement | | | | | | | |
Results of Operations
Comparison of the three and six months ended June 30, 2022 and June 30, 2023:
Revenue
| | | | | | | | | | | | | | | | | | | | | | | | | | | | | | | | | | | | | | | | | | | | | | | | | | |
| | Three Months Ended June 30, | | Change | | Six Months Ended June 30, | | Change |
| | 2022 | | 2023 | | Amount | | % | | 2022 | | 2023 | | Amount | | % |
| Revenue: | | | | | | | | | | | | | | | | |
| Research fees | | $ | 12,538 | | | $ | 9,830 | | | $ | (2,708) | | | (22) | % | | $ | 21,871 | | | $ | 20,400 | | | $ | (1,471) | | | (7) | % |
| Licensing revenue | | 147 | | | 226 | | | 79 | | | 54 | % | | 377 | | | 598 | | | 221 | | | 59 | % |
| Milestone payments | | - | | | - | | | - | | | 100 | % | | - | | | 1,250 | | | 1,250 | | 100 | % |
| Royalty revenue | | 33,232 | | | - | | | (33,232) | | | (100) | % | | 340,249 | | | - | | | (340,249) | | | (100) | % |
| Total revenue | | $ | 45,917 | | | $ | 10,056 | | | $ | (35,861) | | | (78) | % | | $ | 362,497 | | | $ | 22,248 | | | $ | (340,249) | | | (94) | % |
Revenue decreased by $35.9 million from the three months ended June 30, 2022 compared to the three months ended June 30, 2023. The decrease was driven primarily by the absence of royalty revenue recognized in the period since the U.S. Food and Drug Administration (FDA) announced that bebtelovimab is no longer authorized for emergency use in any U.S. region in the fourth quarter of 2022. The decrease in research fees was attributable to the timing and progress of our research and development efforts and no new milestones were reached within the quarter.
Revenue decreased by $340.2 million from the six months ended June 30, 2022 compared to the six months ended June 30, 2023. The decrease was driven primarily by the absence of royalty revenue recognized in the period since the FDA announced that bebtelovimab is no longer authorized for emergency use in any U.S. region in the fourth quarter of 2022. Research fees decreased by $1.5 million due to the timing and progress of our research and development efforts. The $1.3 million increase in milestone payments relates to milestone achievements in the first quarter of 2023.
Operating Expenses
Royalty Fees
| | | | | | | | | | | | | | | | | | | | | | | | | | | | | | | | | | | | | | | | | | | | | | | | | | |
| | Three Months Ended June 30, | | Change | | Six Months Ended June 30, | | Change |
| | 2022 | | 2023 | | Amount | | % | | 2022 | | 2023 | | Amount | | % |
| Royalty fees | | 5,210 | | | - | | | (5,210) | | | (100) | % | | 49,847 | | | - | | | (49,847) | | | (100) | % |
Royalty fees for the three and six months ended June 30, 2022 were $5.2 million and $49.8 million, respectively, and no royalty fees were recognized in the three and six months ended June 30, 2023. Royalty fees were attributable to the royalty revenues received by the Company from sales of bamlanivimab and bebtelovimab by Eli Lilly and Company ("Lilly") due to AbCellera’s collaborations in pandemic response.
Research and Development
| | | | | | | | | | | | | | | | | | | | | | | | | | | | | | | | | | | | | | | | | | | | | | | | | | |
| | Three Months Ended June 30, | | Change | | Six Months Ended June 30, | | Change |
| | 2022 | | 2023 | | Amount | | % | | 2022 | | 2023 | | Amount | | % |
| Research and development | | 26,685 | | | 36,473 | | | 9,788 | | | 37 | % | | 53,052 | | | 89,120 | | | 36,068 | | | 68 | % |
Research and development expenses increased by $9.8 million, or 37%, from the three months ended June 30, 2022 compared to the three months ended June 30, 2023. Research and development expenses reflect the continued growth in program execution, platform development, forward integration, and investment in partnered and pre-partnered programs, all of which contribute to increased capabilities and capacity of AbCellera's engine for antibody discovery and development. The increase includes a $5.3 million increase in compensation-related expenses consistent with the increase in headcount and a $4.4 million increase in facilities, supplies and services expenditure consistent with the overall growth of the Company.
Research and development expenses increased by $36.1 million, or 68%, from the six months ended June 30, 2022 compared to the six months ended June 30, 2023. Research and development expenses reflect the continued growth in program execution, platform development, forward integration, and investment in partnered and pre-partnered programs, all of which contribute to increased capabilities and capacity of AbCellera's engine for antibody discovery and development. Approximately $20.0 million of the increase is related to a specific one time investment in co-development and pre-partnered programs in the first quarter of 2023. The remaining increase includes a $7.2 million increase in compensation-related expenses consistent with the increase in headcount and a $8.8 million increase in facilities, supplies and services expenditure consistent with the overall growth of the Company.
Sales and Marketing
| | | | | | | | | | | | | | | | | | | | | | | | | | | | | | | | | | | | | | | | | | | | | | | | | | |
| | Three Months Ended June 30, | | Change | | Six Months Ended June 30, | | Change |
| | 2022 | | 2023 | | Amount | | % | | 2022 | | 2023 | | Amount | | % |
| Sales and marketing | | 3,120 | | | 3,841 | | | 721 | | | 23 | % | | 5,490 | | | 7,612 | | | 2,122 | | | 39 | % |
Sales and marketing expenses increased by $0.7 million, or 23%, from the three months ended June 30, 2022 compared to the three months ended June 30, 2023. The increase was attributable to business development activity, consulting fees, and compensation costs of $0.7 million.
Sales and marketing expenses increased by $2.1 million, or 39%, from the six months ended June 30, 2022 compared to the six months ended June 30, 2023. The increase was attributable to business development activity, consulting fees, and compensation costs of $2.1 million.
General and Administrative
| | | | | | | | | | | | | | | | | | | | | | | | | | | | | | | | | | | | | | | | | | | | | | | | | | |
| | Three Months Ended June 30, | | Change | | Six Months Ended June 30, | | Change |
| | 2022 | | 2023 | | Amount | | % | | 2022 | | 2023 | | Amount | | % |
| General and administrative | | 14,412 | | | 15,521 | | | 1,109 | | | 8 | % | | 28,680 | | | 30,655 | | | 1,975 | | | 7 | % |
General and administrative expenses increased by $1.1 million, or 8%, from the three months ended June 30, 2022 compared to the three months ended June 30, 2023. An increase of $1.7 million in compensation-related costs driven by the increase in headcount was partially offset by a decrease in legal and consulting fees of $0.6 million.
General and administrative expenses increased by $2.0 million, or 7%, from the six months ended June 30, 2022 compared to the six months ended June 30, 2023. $1.8 million of the increase in general and administrative expense is compensation-related and driven by the increase in headcount. The remaining increase in software, licensing, and facility expenses incurred to support the growth of the Company was offset by a decrease in legal and consulting fees.
Depreciation and Amortization
| | | | | | | | | | | | | | | | | | | | | | | | | | | | | | | | | | | | | | | | | | | | | | | | | | |
| | Three Months Ended June 30, | | Change | | Six Months Ended June 30, | | Change |
| | 2022 | | 2023 | | Amount | | % | | 2022 | | 2023 | | Amount | | % |
| Depreciation and amortization | | 4,886 | | | 5,610 | | | 724 | | | 15 | % | | 8,875 | | | 11,124 | | | 2,249 | | | 25 | % |
Depreciation and amortization expenses increased by $0.7 million, or 15%, from the three months ended June 30, 2022 compared to the three months ended June 30, 2023. Depreciation expense increased by $0.7 million due to the depreciation of equipment and facilities related to capital equipment purchases.
Depreciation and amortization expenses increased by $2.2 million, or 25%, from the six months ended June 30, 2022 compared to the six months ended June 30, 2023. Depreciation expense increased by $2.2 million due to the depreciation of equipment and facilities related to capital equipment purchases.
Interest (Income)
| | | | | | | | | | | | | | | | | | | | | | | | | | | | | | | | | | | | | | | | | | | | | | | | | | |
| | Three Months Ended June 30, | | Change | | Six Months Ended June 30, | | Change |
| | 2022 | | 2023 | | Amount | | % | | 2022 | | 2023 | | Amount | | % |
| Interest (income) | | (1,414) | | | (10,779) | | | (9,365) | | | 662 | % | | (2,079) | | | (20,537) | | | (18,458) | | | 888 | % |
Interest income increased by $9.4 million, or 662%, from the three months ended June 30, 2022 compared to the three months ended June 30, 2023. The increase was primarily driven by an increase in interest rates on our cash and cash equivalents and marketable securities balances in the quarter ended June 30, 2023, compared to the period ended June 30, 2022.
Interest income increased by $18.5 million, or 888%, from the six months ended June 30, 2022 compared to the six months ended June 30, 2023. The increase was primarily driven by an increase in interest rates on our cash and cash equivalents and marketable securities balances in the quarter ended June 30, 2023, compared to the period ended June 30, 2022.
Grants and Incentives (Income)
| | | | | | | | | | | | | | | | | | | | | | | | | | | | | | | | | | | | | | | | | | | | | | | | | | |
| | Three Months Ended June 30, | | Change | | Six Months Ended June 30, | | Change |
| | 2022 | | 2023 | | Amount | | % | | 2022 | | 2023 | | Amount | | % |
| Grants and incentives | | (1,535) | | | (4,576) | | | (3,041) | | | 198 | % | | (6,730) | | | (7,951) | | | (1,221) | | | 18 | % |
Grants and incentives increased by $3.0 million, or 198%, from the three months ended June 30, 2022 compared to the three months ended June 30, 2023. This increase was primarily driven by activity relating to research and development expenditures that are eligible for the SIF project for the period.
Grants and incentives increased by $1.2 million, or 18%, from the six months ended June 30, 2022 compared to the six months ended June 30, 2023. The increase was primarily driven by activity relating to research and development expenditures that are eligible for the SIF project for the period.
Other (Income)
| | | | | | | | | | | | | | | | | | | | | | | | | | | | | | | | | | | | | | | | | | | | | | | | | | |
| | Three Months Ended June 30, | | Change | | Six Months Ended June 30, | | Change |
| | 2022 | | 2023 | | Amount | | % | | 2022 | | 2023 | | Amount | | % |
| Other | | 1,439 | | | 1,970 | | | 531 | | | 37 | % | | 1,438 | | | (1,624) | | | (3,062) | | | (213) | % |
Other increased by $0.5 million from the three months ended June 30, 2022 compared to the three months ended June 30, 2023. The increase included a $1.3 million loss on fair value adjustments related to held-for-trading marketable securities and contingent consideration, and a foreign exchange gain of $0.8 million due to fluctuations in the Canadian and U.S. dollar exchange rate.
Other decreased by $3.1 million from the six months ended June 30, 2022 compared to the six months ended June 30, 2023. The decrease included other income of $0.5 million, a $2.3 million gain on fair value adjustments related to held-for-trading marketable securities and contingent consideration, and a foreign exchange gain of $0.2 million due to fluctuations in the Canadian and U.S. dollar exchange rate.
Income Tax (Recovery) Expense
| | | | | | | | | | | | | | | | | | | | | | | | | | | | | | | | | | | | | | | | | | | | | | | | | | |
| | Three Months Ended June 30, | | Change | | Six Months Ended June 30, | | Change |
| | 2022 | | 2023 | | Amount | | % | | 2022 | | 2023 | | Amount | | % |
| Income tax (recovery) expense | | (101) | | | (7,476) | | | (7,375) | | | 7302 | % | | 62,136 | | | (15,513) | | | (77,649) | | | (125) | % |
Income tax recovery increased by $7.4 million from the three months ended June 30, 2022 compared to the three months ended June 30, 2023. The increase was driven by the current net loss in the period and a change in effective income tax rates.
Income tax expense decreased by $77.6 million from the six months ended June 30, 2022 compared to the six months ended June 30, 2023. The decrease was driven by a decrease in current net earnings in the period and a change in effective income tax rates.
Liquidity and Capital Resources
As of June 30, 2023, we had $795.7 million of cash, cash equivalents and marketable securities, comprising $179.7 million in cash and cash equivalents and $615.9 million in marketable securities. The decrease of $90.8 million since December 31, 2022, was primarily from cash flow from operations with an increase in research and development activity and continued investment in the capacity and capabilities of AbCellera’s discovery and development engine in six months ended June 30, 2023.
We have generated positive operating cash flow cumulatively since our inception in 2012 and in every year from 2018 to 2022. We intend to significantly invest in our business, and as a result may incur operating losses in future periods. We will continue to invest in research and development efforts towards expanding our capabilities and expertise along our discovery and development engine, the building of our business development team and marketing our solutions to new and existing partners, and the expansion of our future office headquarters, and related infrastructure, including execution of long-term office-lease arrangements. Based on our current business plan, we believe that our existing cash, cash equivalents, marketable securities, and anticipated cash flows from operations and government contributions, will be sufficient to meet our working capital and capital expenditure needs and do not anticipate the need of external funding over at least the next 36 months following the date of this report.
Government of Canada and Government of British Columbia Contributions
In May 2023, we entered into multi-year contribution agreements with the Government of Canada and the Government of British Columbia. Under the agreements, up to $169.9 million ($225.0 million CAD) and $56.6 million ($75.0 million CAD) was committed by the Government of Canada and the Government of British Columbia, respectively, to build new capabilities in Canada to develop, manufacture, and deliver antibody medicines to patients through Phase 1 clinical trials and build expertise in translational science, technical operations, and clinical operations and research. See Note 13 to our condensed consolidated financial statements for further information related to the government contributions.
Cash Flows
The following table summarizes our cash flows for the periods presented:
| | | | | | | | | | | | | | |
| | Six Months Ended June 30, |
| | 2022 | | 2023 |
| Net cash provided by (used in): | | | | |
| Operating activities | | $ | 373,234 | | | $ | (24,160) | |
| Investing activities | | (53,568) | | | (183,999) | |
| Financing activities | | (1,958) | | | (39) | |
| Effect of exchange rate fluctuations on cash and cash equivalents | | (1,411) | | | 584 | |
| Net increase (decrease) in cash and cash equivalents | | $ | 316,297 | | | $ | (207,614) | |
Operating activities
Net cash provided by operating activities decreased from $373.2 million provided by operations in the six months ended June 30, 2022 to $24.2 million used in operations in the six months ended June 30, 2023. The decrease in cash flows from operations is attributable to no royalty revenue and a reduction in royalty-related payments in the period, in addition to an increase in expenditures that reflect AbCellera’s investment in research and development activities and growth of the company.
Investing activities
Net cash used in investing activities increased from $53.6 million in the six months ended June 30, 2022 to $184.0 million in the six months ended June 30, 2023. Investing activities during the six months ended June 30, 2022 were primarily attributable to purchases of property and equipment and purchases of long-term investments. For the six months ended June 30, 2023, investing activities included the purchase of property and equipment, long-term investments, and marketable securities.
Financing activities
Net cash used in financing activities was $2.0 million for the six months ended June 30, 2022 due to the payment of an intangible asset obligation and contingent consideration payment, partly offset by proceeds from long-term debt and the exercise of options for common stock. Net cash used in financing activities was $0.7 million for the six months ended June 30, 2023 due to a contingent consideration payment, partly offset by proceeds from the exercise of options for common stock.
Critical Accounting Policies and Significant Judgements and Estimates
Detailed information about our critical accounting policies and estimates is set forth in Part II, Item 7 of our Annual Report on Form 10-K for the year ended December 31, 2022. There have been no significant changes to these policies during the three months ended June 30, 2023.
Item 3. Quantitative and Qualitative Disclosures About Market Risk.
Our exposure to market risk is described in Part II. Item 7A. Quantitative and Qualitative Disclosures About Market Risk of our annual report on Form 10-K for the year ended December 31, 2022. We believe our exposure to market risk has not changed materially since then.
Item 4. Controls and Procedures.
Disclosure Controls and Procedures
Our “disclosure controls and procedures,” as defined in Rules 13a-15(e) and 15d-15(e) under the Exchange Act, are designed to ensure that information required to be disclosed by an issuer in the reports that it files or submits under the Exchange Act is recorded, processed, summarized and reported, within the time periods specified in the SEC’s rules and forms. Disclosure controls and procedures are designed to ensure that information required to be disclosed is accumulated and communicated to the issuer’s management, including its principal executive and principal financial officers, to allow timely decisions regarding required disclosure. The Chief Executive Officer (CEO) and the Chief Financial Officer (CFO), with assistance from other members of management, have reviewed the effectiveness of our disclosure controls and procedures as of June 30, 2023 and, based on their evaluation, have concluded that the disclosure controls and procedures were effective as of such date.
Changes in Internal Control over Financial Reporting
There was no change in our internal control over financial reporting that occurred during the period covered by this Quarterly Report on Form 10-Q that has materially affected, or is reasonably likely to materially affect, our internal control over financial reporting.
PART II—OTHER INFORMATION
Item 1. Legal Proceedings.
On January 19, 2023, the Patent Trial & Appeals Board (“PTAB”) issued its Final Written Decision in the Inter Partes Review of U.S. Patent No. 10,087,408 (“the ’408 Patent”). See Berkeley Lights, Inc. v. Univ. of British Columbia, IPR2021-01250, US Pat. No. 10,087,408, Paper 38 (PTAB Jan. 19, 2023). In its Final Written Decision, the PTAB found against Defendant Berkeley Lights, Inc. and upheld the validity of all challenged claims of the ’408 Patent. The Company subsequently moved to lift the stay in view of the PTAB’s decision. Berkeley Lights opposed the motion. In July 2023, the PTAB issued a written opinion denying Berkeley Lights’ request for rehearing of its prior written decision.
In the pending matter Sabariah Schrader, Executrix of the Estate of John William Schrader et al. v. Carl Lars Genghis Hansen, et al., the Company recently filed a Notice of Application seeking to dismiss certain Company affiliates from the matter. No hearing date has been set. No other activity is occurring with respect to this matter. The Company believes that Plaintiffs’ claim is meritless and frivolous in all respects and intends to defend itself appropriately.
There have been no material changes to legal proceedings as set forth in our annual report on Form 10-K for the period ended December 31, 2022.
Item 1A. Risk Factors.
Risks Related to Our Business and Strategy
We have incurred losses in certain years since inception and we may not be able to generate sufficient revenue to maintain profitability.
We expect to continue investing in our business. We expect to experience fluctuations in revenue and expenses which makes it difficult to evaluate our business. We may incur losses that are materially larger than what we have previously incurred. We have incurred losses in certain years since our inception and anticipate that we may incur significant losses for the foreseeable future. We expect that our operating expenses will continue to increase significantly, including as we:
•invest in research and development activities to improve our discovery and development engine;
•market our solutions to new and existing partners;
•acquire businesses or technologies to support our business;
•attract, hire and retain qualified personnel;
•maintain, expand, enforce, protect and defend our intellectual property portfolio;
•prosecute and defend our ongoing and any future patent litigation;
•build our new GMP manufacturing facility;
•create additional infrastructure to support our operations, including expanding our sales and marketing organization;
•add operational, financial and management information systems and personnel to support our operations as a public company; and
•experience any delays or encounter issues with any of the above.
Our expenses could increase beyond expectations for a variety of reasons, including our growth strategy and the increase in our operations. Since our inception, we have financed our operations primarily from royalty revenue, revenue from upfront payments generated through our receipt of technology access fees and discovery research fees through the performance of service contracts with our partners, payments from partners upon the satisfaction of clinical milestones, government funding and one-off government grants, the incurrence of indebtedness, and from private placements of our common and convertible preferred shares. Given our strategy and plans to invest in enhancing and scaling our business, we will need to generate significant additional revenue to achieve and sustain future profitability. Even though we have achieved profitability, we cannot be sure that we will remain profitable for any sustained period of time. We may not be able to generate sufficient revenue to sustain profitability and our recent and historical growth should not be considered indicative of our future performance.
Our revenue has fluctuated from period to period, and our revenue for any historical period may not be indicative of results that may be expected for any future period.
During the years ended December 31, 2020, 2021, and 2022, we received payments from our partnership contracts generated upon the satisfaction of clinical milestones, licensing revenue derived from use of the Trianni platform, research fees for research performed for our partners, and royalty payments on sales of bamlanivimab and bebtelovimab. In 2022, we continued to receive royalty payments primarily on sales of bebtelovimab. Upfront technology access fees are generated upon execution of our partnership agreements. Research and discovery fees are generated by research activities that we perform for our partners, the timing and nature of which are dictated by the commencement of antibody discovery campaigns selected by our partners. Clinical milestone payments are generated upon the achievement of development milestones by our partners with respect to the antibodies that we deliver. We are also eligible to receive royalty payments upon net sales of antibodies that we have discovered for our partners. In 2020, 2021, and 2022, these royalty payments related to our partnership with Lilly upon sales of bamlanivimab and bebtelovimab, antibodies designed to treat and prevent COVID-19. Therefore, royalty payments that we have received in recent periods are derived from a compound developed in a single partnership. In November 2022, the FDA announced that bebtelovimab was no longer authorized for emergency use in any U.S. region and, as a result, we do not expect to generate significant revenue from royalties associated with Lilly’s sales of our COVID-19 antibodies. For the six months ended June 30, 2023, we did not generate any royalty revenues. We currently do not generate significant recurring revenue and, until such time as we establish significant recurring revenue, if at all, we will be prone to regular fluctuations in our revenue dependent on the timing of our entry into
partnership agreements, our partners initiating discovery programs, and our partners achieving development milestones or commercial sales with respect to drug candidates utilizing antibodies discovered using our discovery and development engine. We do not expect to generate significant recurring revenue unless and until such time as we secure additional programs under contract that, in the aggregate, result in regular and continuous execution of new partnership contracts, research discovery activities, achievement of development milestones or commencement of commercial sales. However, we are unable to predict whether and the extent to which the minimum annual payments under our partnership agreements will be exceeded, or the timing of the achievement of any milestones under these agreements, if they are achieved at all. In some cases, the timing and likelihood of payments to us under these agreements is dependent on our partners’ successful utilization of the antibodies discovered using our discovery and development engine, which is outside of our control. Because of these factors, our operating results could vary materially from quarter to quarter from our forecasts.
Our quarterly and annual operating results have fluctuated significantly in the past and may fluctuate significantly in the future, which makes our future operating results difficult to predict and could cause our operating results to fall below expectations.
Our quarterly and annual operating results have fluctuated in the past and may fluctuate in the future, which makes it difficult for us to predict our future operating results. These fluctuations may occur due to a variety of factors, many of which are outside of our control, including, but not limited to:
•the level of demand for our antibody discovery and development engine and solutions, which may vary significantly;
•royalty payments received from our partnership with Lilly upon sales of bamlanivimab or bebtelovimab, which may vary significantly and are dependent on obtaining emergency use authorization by the FDA;
•the timing and cost of, and level of investment in, research, development and commercialization activities relating to our discovery and development engine and technology, which may change from time to time;
•the start and completion of programs in which our discovery and development engine is utilized;
•the relative reliability and robustness of our discovery and development engine, including the data generation and computational tools within our discovery and development engine;
•the introduction of new technologies, platform features or software, by us or others in our industry;
•expenditures that we may incur to acquire, develop or commercialize additional technologies;
•expenditures involved in preparing, filing, prosecuting, maintaining, defending and enforcing patent claims, including costs related to our intellectual property litigation with Berkeley Lights, and the outcome of this and any other future patent litigation we may be involved in;
•costs related to our civil litigation with the Estate of John Schrader, or Schrader, and the outcome of this and any other future civil litigations we may be involved in;
•the degree of competition in our industry and any change in the competitive landscape of our industry, including consolidation among our competitors or future partners;
•natural disasters, outbreaks of disease or public health crises, such as the COVID-19 pandemic;
•the timing and nature of any future acquisitions or strategic partnerships;
•future accounting pronouncements or changes in our accounting policies; and
•general social, political and economic conditions and other factors, including inflationary pressures and factors unrelated to our operating performance or the operating performance of our competitors.
For example, 2020 was the first year in which we received payments from a partner beyond upfront fees. The antibody, bamlanivimab developed by Lilly, has undergone clinical testing and has received emergency use authorization, or EUA, from the FDA, and we have received associated milestone payments and royalties on net sales in 2020, 2021, and 2022. Lilly progressed into these clinical trials at a greatly accelerated pace as a result of the Coronavirus Treatment Acceleration Program, which is a special emergency program for possible coronavirus therapies created by the FDA in 2020 to expedite the development of potentially safe and effective life-saving treatments to combat the COVID-19 pandemic. With respect to other or future product candidates, there is no assurance that any of our partners or collaborators will be able to advance a product candidate through clinical development on this timeframe again in the future, or at all. We initiated our partnering program in 2015 and have only had three AbCellera discovery programs and three Trianni programs result in milestone or royalty payments to us to date, and we have not yet had a program receive marketing approval. There is no guarantee that we will continue to generate the levels of revenue, particularly milestone and royalty revenues, from our partnerships as we have experienced in recent periods. In addition, we have only recently begun to
generate licensing revenue from our Trianni humanized rodent platform. There can be no assurance that we will continue to generate or expand our licensing revenue from this product offering in future periods.
The effect of one of the factors discussed above, or the cumulative effects of a combination of factors discussed above, could result in large fluctuations and unpredictability in our quarterly and annual operating results. As a result, comparing our operating results on a period-to-period basis may not be meaningful. Investors should not rely on our past results as an indication of our future performance.
We may need to raise additional capital to fund our existing operations, improve our discovery and development engine or expand our operations. If we are unable to raise additional capital on terms acceptable to us or at all or generate cash flows necessary to maintain or expand our operations, we may not be able to compete successfully, which would harm our business, operations, and financial condition.
Based on our current business plan, we believe our existing cash and cash equivalents, marketable securities, and anticipated cash flows from operations and government contributions, will be sufficient to meet our working capital and capital expenditure needs over at least the next 36 months following the date of this report. If our available cash resources together with our anticipated cash flow from operations are insufficient to satisfy our liquidity requirements including because of lower demand for our antibody discovery and development engine, or the realization of other risks described in this annual report, we may be required to raise additional capital prior to such time through issuances of equity or convertible debt securities, entrance into a credit facility or another form of third party funding or seek other debt financing. Such additional financing may not be available on terms acceptable to us or at all.
In any event, we may consider raising additional capital in the future to expand our business, to pursue strategic investments, to take advantage of financing opportunities or for other reasons. For example, this may include reasons such as to:
•increase our sales and marketing efforts to drive market recognition of our discovery and development engine and address competitive developments;
•fund development and marketing efforts of our current and future programs;
•expand the capabilities of our discovery and development engine into adjacent therapeutic modalities, including vaccine development and cell therapy;
•acquire, license or invest in technologies;
•acquire or invest in complementary businesses or assets; and
•finance capital expenditures and general and administrative expenses.
Our present and future funding requirements will depend on many factors, including:
•our ability to achieve revenue growth;
•the cost of expanding our operations, including our sales and marketing efforts;
•our rate of progress in selling access to our discovery and development engine and marketing activities associated therewith;
•our rate of progress in, and cost of research and development activities associated with, antibody discovery;
•the effect of competing technological and market developments;
•the costs involved in preparing, filing, prosecuting, maintaining, defending and enforcing patent claims, including costs related to our intellectual property litigation with Berkeley Lights, and the outcome of this and any other future patent litigation we may be involved in; and
•costs related to our civil litigation with Schrader, and the outcome of this and any other future civil litigations we may be involved in; and
•costs related to any domestic and international expansion.
The various ways we could raise additional capital carry potential risks. If we raise funds by issuing equity securities, dilution to our shareholders would result. Any preferred equity securities issued also would likely provide for rights, preferences or privileges senior to those of holders of our common shares. If we raise funds by issuing debt
securities, those debt securities would have rights, preferences and privileges senior to those of holders of our common shares. Debt financing and preferred equity financing, if available, may also involve agreements that include covenants restricting our ability to take specific actions, such as incurring additional debt, selling or licensing our assets, making product acquisitions, making capital expenditures, or declaring dividends. For example, our agreement with the Strategic Innovation Fund, or SIF, requires us to obtain consent in the event that an individual or company (or two or more of them acting in concert) acquires the direct or indirect beneficial ownership of 20% or more of our voting securities. In the event consent is not obtained, the agreement may be terminated and we will be obligated to repay all or a portion of the contribution amounts from SIF.
If we are unable to obtain adequate financing or financing on terms satisfactory to us, if we require it, our ability to continue to pursue our business objectives and to respond to business opportunities, challenges, or unforeseen circumstances could be significantly limited, and could have a material adverse effect on our business, financial condition, results of operations and prospects.
Unstable market and economic conditions may have serious adverse consequences on our business, financial condition, and stock price.
From time to time, the global credit and financial markets have experienced extreme volatility and disruptions, including severely diminished liquidity and credit availability, declines in consumer confidence, declines in economic growth, increases in unemployment rates and uncertainty about economic stability. There can be no assurance that future deterioration in credit and financial markets and confidence in economic conditions will not occur. Our general business strategy may be adversely affected by any such economic downturn, volatile business environment or continued unpredictable and unstable market conditions. The financial markets and the global economy may also be adversely affected by the current or anticipated impact of military conflict, including the conflict between Russia and Ukraine, terrorism or other geopolitical events. Sanctions imposed by the United States and other countries in response to such conflicts, including the one in Ukraine, may also adversely impact the financial markets and the global economy, and any economic countermeasures by the affected countries or others could exacerbate market and economic instability. Moreover, there has been recent instability of the global banking system. Continued disruptions in the banking system, both in the U.S. or abroad, may impact our or our customers’ liquidity and, as a result, negatively impact our business and operating results. If the current equity and credit markets deteriorate, it may make any necessary debt or equity financing more difficult, more costly and more dilutive. Failure to secure any necessary financing in a timely manner and on favorable terms could have a material adverse effect on our growth strategy, financial performance and stock price. In addition, there is a risk that one or more of our current service providers, manufacturers and other partners may not survive an economic downturn, which could directly affect our ability to attain our operating goals on schedule and on budget.
Our commercial success depends on the quality of our antibody discovery and development engine and technological capabilities and their acceptance by new and existing partners in our industry.
We utilize our antibody discovery and development engine to identify antibodies for further development and potential commercialization by our partners. As a result, the quality and sophistication of our discovery and development engine is critical to our ability to conduct our research discovery activities and to deliver more promising molecules and to accelerate and lower the costs of discovery as compared to traditional methods for our partnerships. In particular, our business depends, among other things, on:
•our discovery and development engine’s ability to successfully identify therapeutic antibodies on the desired timeframes that can ultimately be used to prevent and treat diseases;
•our ability to execute on our strategy to enter into new partnerships with new or existing partners and establish a robust internal pipeline of antibody discovery programs;
•our ability to increase awareness of the capabilities of our technology and solutions;
•our partners’ and potential partners’ willingness to adopt new technologies;
•whether our discovery and development engine reliably provides advantages over legacy and other alternative technologies and is perceived by customers to be cost effective;
•the rate of adoption of our solutions by pharmaceutical companies, biotechnology companies of all sizes, government organizations and non-profit organizations and others;
•prices we charge for our data packages and the discoveries that we make;
•the relative reliability and robustness of our discovery and development engine;
•our ability to develop new solutions for partners;
•if competitors develop a platform that performs functional testing of cells at a greater throughput than us;
•the timing and scope of any approval that may be required by the FDA, or any other regulatory body for drugs that are developed based on antibodies discovered by us;
•the impact of our investments in innovation and commercial growth;
•negative publicity regarding our or our competitors’ technologies resulting from defects or errors; and
•our ability to further validate our technology through research and accompanying publications.
There can be no assurance that we will successfully address any of these or other factors that may affect the market acceptance of our discovery and development engine. If we are unsuccessful in achieving and maintaining market acceptance of our discovery and development engine, our business, financial condition, results of operations and prospects could be adversely affected.
Failure to execute our business strategy could adversely impact our growth and profitability.
Our strategy focuses on the development of antibody-based drugs and improving the way these drugs are discovered and developed. Our strategy assumes a certain degree of capital and capacity growth development. Factors such as insufficient capital, inflation, supply chain interruptions, inadequate forecasting, increases in construction material costs, or labor shortages could interfere with the successful execution of our strategy and our ability to timely build infrastructure to satisfy capacity needs and support business growth. If we are unable to successfully execute on this strategy, this could negatively impact our future results of operations and market capitalization. For additional discussion of our business strategy, please see the section entitled “Item 1. Business” included in our Annual Report on Form 10-K for the year ended December 31, 2022.
If we cannot maintain and expand current partnerships and agreements and enter new partnerships that generate discovery programs for antibodies, our business could be adversely affected.
Our primary focus is on the discovery of antibodies for targets that are selected by our partners. Our partners then use the data packages provided by us to develop their own drug candidates without our involvement. As a result, our success depends on our ability to expand the number and scope of our partnerships. Many factors may impact the success of these partnerships, including our ability to perform our obligations, our partners’ satisfaction with our data packages, our partners’ ability to successfully develop, secure regulatory approval for and commercialize drug candidates using antibodies discovered using our discovery and development engine, our partners’ internal priorities (including fluctuations in research and developments budgets), our partners’ resource allocation decisions and competitive opportunities, disagreements with partners, the costs required of either party to the partnerships and related financing needs, and operating, legal and other risks in any relevant jurisdiction.
In our partnership programs, we maintain rights to large unique data sets that connect information at the level of single-cell measurements, DNA sequence and protein function. We use this data to create an accelerating flywheel of learning: data generation from our partnership business provides the basis for AI modules that lead to expanded capabilities and faster data generation which supports our partnership business. As a result, in addition to reducing our revenue or delaying the development of our future solutions, the loss of one or more of these relationships may reduce our exposure to such information, thus hindering our efforts to further our technological differentiation and improve our discovery and development engine. In certain of our partnership programs, we may elect to make additional investments in certain partnership agreements at progressive stages of preclinical development, clinical development, and commercialization in exchange for an increased share of product sales. Because of the inherent uncertainties in drug development described elsewhere in these Risk Factors, there can be no assurance that any additional investments we may elect to make would yield meaningful return, if at all.
We engage in conversations with companies regarding potential partnerships on an ongoing basis. These conversations may not result in a commercial agreement. Even if an agreement is reached, the resulting relationship may not be successful, including due to our inability to discover any usable antibodies for the selected targets or the antibodies that we do discover may not be successfully developed or commercialized by our partners. In such circumstances, we would not generate any substantial revenues from such a collaboration in the form of discovery research fees, milestone
payments, royalties or otherwise. Speculation in the biotechnology industry about our existing or potential partnerships can be a catalyst for adverse speculation about us, or our data packages, which can adversely affect our reputation and our business.
A reduction in demand and research and development activities by current and prospective partners may adversely affect our business.
Our business could be adversely affected by any significant decrease in drug research and development expenditures by pharmaceutical and biotechnology companies, as well as by government agencies or private foundations. Similarly, economic factors and industry trends that affect our partners in these industries also affect their research and development budgets and, consequentially, our business as well.
Our partners include researchers at pharmaceutical and biotechnology companies. Our ability to continue to grow and win new business is dependent in large part upon the ability and willingness of the pharmaceutical and biotechnology industries to continue to spend on molecules in the non-clinical phases of research and development (and in particular discovery and development assessment) and to outsource the products and services we provide. Furthermore, our partners continue to search for ways to maximize the return on their investments with a focus on lowering research and development costs per drug candidate. Fluctuations in the expenditure amounts in each phase of the research and development budgets of these researchers and their organizations could have a significant effect on the demand for our products and services. Research and development budgets fluctuate due to changes in available resources, mergers of pharmaceutical and biotechnology companies, spending priorities (including available resources of our biotechnology partners, particularly those that are cash-negative, who may be highly focused on rationing their liquid assets in a challenging funding environment), general economic conditions, institutional budgetary policies and the impact of government regulations, including potential drug pricing legislation. Available funding for biotechnology partners in particular may be affected by the capital markets, investment objectives of venture capital investors and priorities of biopharmaceutical industry sponsors.
In recent periods, we have depended on a limited number of partners for our revenue, the loss of any of which could have an adverse impact on our business.
In recent periods, a limited number of partnerships accounted for a significant portion of our revenues. For example, royalty revenue for years ended December 31, 2020, 2021, and 2022, have come exclusively from our partnership with Lilly. Milestone payments and licensing revenue for the years ended December 31, 2020, 2021, and 2022, have come exclusively from our partnership with Lilly and use of the Trianni platform. Because a significant portion of our revenue in 2020, 2021, and 2022 was derived from sales of bamlanivimab and bebtelovimab, the reduction in sales of these compounds that we have experienced in recent periods have reduced or eliminated our royalty revenues attributed to sales of this compound. For example, for the six months ended June 30, 2023, we did not receive any royalty revenues from our partnership with Lilly. If these reductions are not offset by increases in other sources of revenue, our results of operations for future periods may be materially and adversely affected.
Our existing partnerships cover a large number of current programs under contract, and therefore represent a large portion of potential downstream value. In addition, our partnership agreements are typically terminable at will with 90 days’ notice prior to identification of a target, after which point they may only be terminated for cause. As a result, if we fail to maintain our relationships with our partners or if any of our partners discontinue their programs, our future results of operations could be materially and adversely affected.
Development of a biological molecule is inherently uncertain, and it is possible that none of the antibody-drug candidates discovered using our antibody discovery and development engine that are further developed by our partners will receive marketing approval or become viable commercial products, on a timely basis, or at all.
We use our discovery and development engine to offer antibodies to partners who are engaged in antibody discovery and development. These partners include large cap pharmaceutical companies, biotechnology companies of all sizes and non-profit and government organizations. While we receive upfront payments generated through our receipt of technology access fees and discovery research fees for performing research activities for our partners, we estimate that the vast majority of the economic value of the contracts that we enter into with our partners is in the downstream payments that are payable if certain milestones are met or approved products are sold. As a result, our future growth is dependent on the ability of our partnerships to successfully develop and commercialize therapies based on antibodies discovered using our discovery and development engine. Due to our reliance on our partners, the risks relating to product development,
regulatory clearance, authorization or approval and commercialization apply to us derivatively through the activities of our partners. While we believe our discovery and development engine is capable of identifying high quality antibodies, there can be no assurance that our partnerships will successfully develop, secure marketing approvals for and commercialize any drug candidates based on the antibodies that we discover. As a result, we may not realize the intended benefits of our partnerships. We initiated our partnering program in 2015 and have only had three AbCellera discovery programs and three Trianni programs result in milestone or royalty payments to us to date, and we have not yet had a program receive clinical marketing approval.
Due to the uncertain, time-consuming and costly clinical development and regulatory approval process, there may not be successful development of any drug candidates with the antibodies that we discover, or we and our partners may choose to discontinue the development of these drug candidates for a variety of reasons, including due to safety, risk versus benefit profile, exclusivity, competitive landscape, commercialization potential, production limitations or prioritization of their resources. It is possible that none of these drug candidates will ever receive regulatory approval and, even if approved, such drug candidates may never be successfully commercialized. For example, under our research agreement with Lilly, we are eligible to receive and have received payments upon the achievement of certain development milestones and are eligible to receive royalties resulting from sales of both COVID-19 and non-COVID-19 products that incorporate antibodies we discovered. While we have received milestone and royalty payments from this collaboration, there can be no assurance that we will receive additional milestone payments or any royalties in the future. For example, in November 2022, the FDA announced bebtelovimab is no longer authorized for emergency use in the U.S., and Lilly and its authorized distributors have paused commercial distribution until further notice by the FDA. Furthermore, there can be no assurance that Lilly will be successful in its further development of bebtelovimab.
In addition, even if these drug candidates receive regulatory approval in the United States, the drug candidates may never obtain approval or commercialize such drugs outside of the United States, which would limit their full market potential and therefore our ability to realize their potential downstream value. Furthermore, approved drugs may not achieve broad market acceptance among physicians, patients, the medical community and third-party payors, in which case revenue generated from their sales would be limited. Likewise, we or our partners have to make decisions about which clinical stage and preclinical drug candidates to develop and advance, and we or our partners may not have the resources to invest in all of the drug candidates that contain antibodies discovered using our discovery and development engine, or clinical data and other development considerations may not support the advancement of one or more drug candidates. Decision-making about which drug candidates to prioritize involves inherent uncertainty, and our partners’ development program decision-making and resource prioritization decisions, which are outside of our control, may adversely affect the potential value of those partnerships. Additionally, subject to its contractual obligations to us, if one more of our partners is involved in a business combination, the partner might deemphasize or terminate the development or commercialization of any drug candidate that utilizes an antibody that we have discovered. If one of our strategic partners terminates its agreement with us, we may find it more difficult to attract new partners.
We are also subject to industry-wide FDA and other regulatory risk. The number of new drug applications, or NDAs, and biologics license applications, or BLAs, approved by the FDA varies significantly over time and if there were to be an extended reduction in the number of NDAs and BLAs approved by the FDA, the biotechnology industry would contract and our business would be materially harmed.
The failure to effectively advance, market and sell suitable drug candidates with the antibodies that we discover could have a material adverse effect on our business, financial condition, results of operations and prospects, and cause the market price of our common shares to decline. In addition to the inherent uncertainty in drug development addresses above, our ability to forecast our future revenues may be limited.
The failure of our partners to meet their contractual obligations to us could adversely affect our business.
Our reliance on our partners poses a number of additional risks, including the risk that they may not perform their contractual obligations to us to our standards, in compliance with applicable legal or contractual requirements, in a timely manner or at all; they may not maintain the confidentiality of our proprietary information; and disagreements or disputes could arise that could cause delays in, or termination of, the research, development or commercialization of products using our antibodies or result in litigation or arbitration.
In addition, certain of our partners are large, multinational organizations that run many programs concurrently, and we are dependent on their ability to accurately track and make milestone payments to us pursuant to the terms of our agreements with them. Any failure by them to inform us when milestones are reached and make related payments to us could adversely affect our results of operations.
Moreover, some of our partners are located in markets subject to political and social risk, corruption, infrastructure problems and natural disasters, and are often subject to country-specific privacy and data security risk as well as burdensome legal and regulatory requirements. Any of these factors could adversely impact their financial condition and results of operations, which could impair their ability to meet their contractual obligations to us, which may have a material adverse effect on our business, financial condition and results of operations.
We may be unable to manage our current and future growth effectively, which could make it difficult to execute on our business strategy.
Since our inception in 2012, we have experienced rapid growth and anticipate further growth in our business operations. This growth requires managing complexities across all aspects of our business, including complexities associated with increased headcount, integration of acquisitions, expansion of international operations, expansion of facilities, including our new GMP facility, execution on new lines of business and implementations of appropriate systems and controls to grow the business. Our growth has required significant time and attention from our management, and placed strains on our operational systems and processes, financial systems and internal controls and other aspects of our business.
We expect to continue to increase headcount and to hire more specialized personnel in the future as we grow our business. We will need to continue to hire, train and manage additional qualified scientists, engineers, laboratory personnel, client and account services personnel and sales and marketing staff and improve and maintain our technology to properly manage our growth. We may also need to hire, train and manage individuals with expertise that is separate, supplemental or different from expertise that we currently have, and accordingly we may not be successful in hiring, training and managing such individuals. For example, if our new hires perform poorly, if we are unsuccessful in hiring, training, managing and integrating these new employees, or if we are not successful in retaining our existing employees, our business may be harmed. Improving our technology and processes have required us to hire and retain additional scientific, engineering, sales and marketing, software, manufacturing, distribution and quality assurance personnel. As a result, we have experienced rapid headcount growth, resulting in approximately 590 employees as of June 30, 2023. We currently serve partners around the world and plan to continue to expand to new international jurisdictions as part of our growth strategy, which will lead to increased dispersion of our employees. Moreover, we expect that we will need to hire additional accounting, finance and other personnel in connection with our efforts to comply with the requirements of being a public company. As a public company, our management and other personnel need to devote a substantial amount of time towards maintaining compliance with these requirements. A risk associated with maintaining this rate of growth, for example, is that we may face challenges integrating, developing and motivating our rapidly growing and increasingly dispersed employee base.
We may not be able to maintain the quality, reliability or robustness of our discovery and development engine, or the expected turnaround times of our solutions and support, or to satisfy customer demand as we grow. Our ability to manage our growth properly will require us to continue to improve our operational, financial and management controls, as well as our reporting systems and procedures. If we are unable to manage our growth properly, we may experience future weaknesses in our internal controls, which we may not successfully remediate on a timely basis or at all. To effectively manage our growth, we must continue to improve our operational and manufacturing systems and processes, our financial systems and internal controls and other aspects of our business and continue to effectively expand, train and manage our personnel. The time and resources required to improve our existing systems and procedures, implement new systems and procedures and to adequately staff such existing and new systems and procedures is uncertain, and failure to complete this in a timely and efficient manner could adversely affect our operations and negatively impact our business and financial results.
We have invested, and expect to continue to invest, in research and development efforts that further enhance our antibody discovery and development engine. Such investments in technology are inherently risky and may affect our operating results. If the return on these investments is lower or develops more slowly than we expect, our revenue and operating results may suffer.
We use our discovery and development engine for the discovery of antibodies and, since our inception, we have dedicated a substantial portion of our resources on the development of our engine and the technology that we incorporate to further enhance our antibody discovery and development engine. These investments may involve significant time, risks, and uncertainties, including the risk that the expenses associated with these investments may affect operating results and that such investments may not generate sufficient technological advantage relative to alternatives in the market which would, in turn, impact revenues to offset liabilities assumed and expenses associated with these new investments. The industry in which we operate changes rapidly as a result of technological and drug developments, which may render our
solutions less desirable. We believe that we must continue to invest a significant amount of time and resources in our discovery and development engine to maintain and improve our competitive position. If we do not achieve the benefits anticipated from these investments, if the achievement of these benefits is delayed, or if our discovery and development engine is not able to accelerate the process of antibody discovery as quickly as we anticipate, our revenue and operating results may be adversely affected.
Our partners have significant discretion in determining when and whether to make announcements, if any, about the status of our partnerships, including about clinical developments and timelines for advancing collaborative programs, and the price of our common shares may decline as a result of announcements of unexpected results or developments.
Our partners have significant discretion in determining when and whether to make announcements about the status of our partnerships, including about preclinical and clinical developments and timelines for advancing antibodies discovered using our discovery and development engine. We do not plan to disclose the development status and progress of individual drug candidates of our partners, unless and until those partners do so first. Our partners may wish to report such information more or less frequently than we intend to or may not wish to report such information at all, in which case we would not report that information either. In addition, if partners choose to announce a collaboration with us, there is no guarantee that we will recognize research discovery fees in that quarter or even the following quarter, as such fees are not payable to us until our partner begins discovery activities. The price of our common shares may decline as a result of the public announcement of unexpected results or developments in our partnerships, or as a result of our partners withholding such information.
Our partners may not achieve projected discovery and development milestones and other anticipated key events in the expected timelines or at all, which could have an adverse impact on our business and could cause the price of our common shares to decline.
From time to time, we may make public statements regarding the expected timing of certain milestones and key events, as well as regarding developments and milestones under our partnerships, to the extent that our partners have publicly disclosed such information or permit us to make such disclosures. Certain of our partners have also made public statements regarding their expectations for the development of programs under partnership with us and they and other partners may in the future make additional statements about their goals and expectations for partnerships with us. The actual timing of these events can vary dramatically due to a number of factors such as delays or failures in our or our current and future partners’ antibody discovery and development programs, the amount of time, effort, and resources committed by us and our current and future partners, and the numerous uncertainties inherent in the development of drugs. As a result, there can be no assurance that our partners’ current and future programs will advance or be completed in the time frames we or they expect. If our partners fail to achieve one or more of these milestones or other key events as planned, our business could be materially adversely affected and the price of our common shares could decline.
Our future success is dependent on the eventual approval and commercialization of products developed by our partners for which we have no control over the clinical development plan, regulatory strategy or commercialization efforts.
Our business model is dependent on the eventual progression of therapeutic candidates discovered or initially developed utilizing our discovery and development engine into clinical trials and commercialization. This requires us to attract partners and enter into agreements with them that contain obligations for the partners to pay us milestone payments as well as royalties on sales of approved products for the therapeutic candidates they develop that are generated utilizing our discovery and development engine. Given the nature of our relationships with our partners, we do not control the progression, clinical development, regulatory strategy or eventual commercialization, if approved, of these therapeutic candidates. As a result, our future success and the potential to receive milestones and royalties are entirely dependent on our partners’ efforts over which we have no control. Additionally, unless publicly disclosed by our partners, we do not have access to information related to our partners’ preclinical studies or clinical trial results, including serious adverse events, or ongoing communications with the FDA or other regulatory authorities regarding our partners’ development strategy, which limits our visibility into how such programs may be progressing. If our partners determine not to proceed with the future development of a drug candidate discovered or initially developed utilizing our discovery and development engine, or if they implement preclinical, clinical or regulatory strategies that ultimately do not result in the further development or approval of the therapeutic candidate, we will not receive the benefits of our partnerships, which may have a material and adverse effect on our operations.
The life sciences and biotechnology platform technology market is highly competitive, and if we cannot compete successfully with our competitors, we may be unable to increase or sustain our revenue, or sustain profitability.
We face significant competition in the life sciences technology market. Our technologies address antibody therapeutic discovery challenges that are addressed by other platform technologies controlled by companies that have a variety of business models, including the development of internal pipelines of therapeutics, technology licensing, and the sale of instruments and devices. Examples of technical competition at different steps of our discovery and development engine include:
•In the field of single-cell screening, companies that provide access to similar technologies such as Berkeley Lights, HiFiBio Inc., Ligand Pharmaceuticals Inc., and Sphere Fluidics Ltd.
•In antibody RepSeq, companies that provide access to similar technologies such as 10X Genomics Inc., Adaptive Biotechnologies Corp., Atreca Inc. and Distributed Bio Inc. (acquired by Charles River Laboratories in 2021)
•In bispecific antibody engineering, from companies that provide access to similar technologies such as Abbvie Inc., Genmab A/S, Merus N.V. and Zymeworks Inc.
•In discovery using genetically engineered rodents, companies that provide access to similar technologies such as Ablexis LLC, Crescendo Biologics Ltd., Harbour Antibodies BV, Kymab Ltd., Ligand Pharmaceuticals Inc., Alloy Therapeutics LLC, and RenBio Inc.
We also face direct business competition from companies that provide antibody discovery services using technologies such as hybridoma and display. Companies with discovery business models that include downstream payments include Adimab LLC, Distributed Bio Inc. (acquired by Charles River Laboratories in 2021) and WuXi Biologics Inc. In addition, we compete with a variety of fee-for-service contract research organizations that provide services, in most cases using legacy technologies, that compete with one or more steps in our discovery and development engine. In addition, our partners may also elect to develop their workflows on legacy systems rather than rely on our discovery and development engine.
Our competitors and potential competitors may enjoy a number of competitive advantages over us. For example, these may include:
•longer operating histories;
•larger customer bases;
•greater brand recognition and market penetration;
•greater financial resources;
•greater technological and research and development resources;
•better system reliability and robustness;
•greater selling and marketing capabilities; and
•better established, larger scale and lower cost manufacturing capabilities.
As a result, our competitors and potential competitors may be able to respond more quickly to changes in customer requirements, devote greater resources to the development, promotion and sale of their platforms or instruments than we can or sell their platforms or instruments, or offer solutions competitive with our discovery and development engine and solutions at prices designed to win significant levels of market share. In addition, we may encounter challenges in marketing our solutions with our pricing model, which is structured to capture the potential downstream revenues associated with drug candidates that were discovered using our discovery and development engine. Our partners and potential partners may prefer one or more pricing models employed by our competitors that involve upfront payments rather than downstream revenues. We may not be able to compete effectively against these organizations.
In addition, competitors may be acquired by, receive investments from or enter into other commercial relationships with larger, well-established and well-financed companies. Certain of our competitors may be able to secure key inputs from vendors on more favorable terms, devote greater resources to marketing and promotional campaigns, adopt more aggressive pricing policies and devote substantially more resources to technology and platform development than we can. If we are unable to compete successfully against current and future competitors, we may be unable to increase market
adoption and sales of our discovery and development engine, which could prevent us from increasing our revenue or sustaining profitability.
Our antibody discovery and development engine may not meet the expectations of our partners, which means our business, financial condition, results of operations and prospects could suffer.
Our success depends on, among other things, the market’s confidence that our discovery and development engine is capable of substantially shortening the amount of time necessary to perform certain research activities as compared to the use of legacy and other alternative technologies, and will enable more efficient or improved pharmaceutical and biotechnology product development. For example, while we have in the past been able to identify a potential drug candidate for human testing within 90 days, there is no assurance that we will be able to do so on this timeframe again in the future, or at all. To date, we have only had three AbCellera discovery programs and three Trianni programs result in milestone or royalty payments to us. While our partnership with Lilly has produced bamlanivimab and bebtelovimab, antibodies for which Lilly was granted two EUAs by the FDA, we have not yet had a program receive full marketing approval. We also believe that pharmaceutical and biotechnology companies are likely to be particularly sensitive to defects and errors in the use of our discovery and development engine, including if our engine fails to deliver meaningful acceleration of certain research timelines accompanied by results at least as good as the results generated using legacy or other alternative technologies. There can be no guarantee that our discovery and development engine will meet the expectations of pharmaceutical and biotechnology companies.
If we are unable to support demand for our antibody discovery and development engine, including ensuring that we have adequate teams and facilities to meet increased demand, or if we are unable to successfully manage our anticipated growth, our business could suffer.
We have experienced significant growth in the number of programs under contract in recent periods for which we are conducting research discovery activities. As we secure additional programs under contract and as our partners initiate discovery programs, our operational capacity to execute such research activities may become strained. We are also planning to devote significant resources to vertical integration into our discovery and development engine. As a result, our strategy requires us to successfully scale our teams and facilities to meet future demand for our solutions. Our ability to grow our capacity will depend on our ability to expand our workforce and our facilities and increase efficiency through automation and software solutions. We may also need to purchase additional equipment, some of which can take several months or more to procure and set up. There is no assurance that any of these increases in scale, expansion of personnel, equipment, software and computing capacities or process enhancements will be successfully implemented and in a timely manner. For example, we are currently expanding our facilities in Vancouver, British Columbia and internationally. Such facilities require purpose-built buildings often with rezoning requirements. Such projects are typically long in duration and subject to delays. Failure to manage this growth could result in delays, higher costs, declining quality, and slower responses to competitive challenges. A failure in any one of these areas could make it difficult for us to meet market expectations for our data packages and could damage our reputation and the prospects for our business.
Our management uses certain key business metrics to evaluate our business, measure our performance, identify trends affecting our business, formulate financial projections and make strategic decisions and such metrics may not accurately reflect all of the aspects of our business needed to make such evaluations and decisions, in particular as our business continues to grow.
In addition to our consolidated financial results, our management regularly reviews a number of operating and financial metrics, including number of programs under contract, the trend of potential downstream revenue terms (milestones and royalties) of the portfolio, the performance of the portfolio in probability of success in achieving clinical milestones as compared to historical averages and the performance of the portfolio in the time taken to achieve clinical milestones, to evaluate our business, measure our performance, identify trends affecting our business, formulate financial projections and make strategic decisions. We believe that these metrics are representative of our current business; however, these metrics may not accurately reflect all aspects of our business and we anticipate that these metrics may change or may be substituted for additional or different metrics as our business grows and as we introduce new solutions. If our management fails to review other relevant information or change or substitute the key business metrics they review as our business grows, their ability to accurately formulate financial projections and make strategic decisions may be compromised and our business, financial results and future growth prospects may be adversely impacted.
The sizes of the markets and forecasts of market growth for the demand of our antibody discovery and development engine and other of our key performance indicators are based on a number of complex assumptions and estimates and may be inaccurate.
We estimate annual total addressable markets and forecasts of market growth for our discovery and development engine, data packages and technologies. We have also developed a standard set of key performance indicators in order to enable us to assess the performance of our business in and across multiple markets, and to forecast future revenue. These estimates, forecasts and key performance indicators are based on a number of complex assumptions, internal and third party estimates and other business data, including assumptions and estimates relating to our ability to generate revenue from the development of new workflows. While we believe our assumptions and the data underlying our estimates and key performance indicators are reasonable, there are inherent challenges in measuring or forecasting such information. As a result, these assumptions and estimates may not be correct and the conditions supporting our assumptions or estimates may change at any time, thereby reducing the predictive accuracy of these underlying factors and indicators. As a result, our estimates of the annual total addressable market and our forecasts of market growth and future revenue from technology access fees, discovery research fees, milestone payments or royalties may prove to be incorrect, and our key business metrics may not reflect our actual performance. For example, if the annual total addressable market or the potential market growth for our discovery and development engine is smaller than we have estimated or if the key business metrics we utilize to forecast revenue are inaccurate, it may impair our sales growth and have an adverse impact on our business, financial condition, results of operations and prospects.
We must adapt to rapid and significant technological change and respond to introductions of new products and technologies by competitors to remain competitive.
We provide our antibody discovery solution and capabilities in industries that are characterized by significant enhancements and evolving industry standards. As a result, our partners’ needs are rapidly evolving. If we do not appropriately innovate and invest in new technologies, our discovery and development engine may become less desirable in the markets we serve, and our partners could move to new technologies offered by our competitors or engage in antibody discovery themselves. Though we believe partners in our markets display a significant amount of loyalty to their supplier of research or a particular product or service, we also believe that because of the initial time investment required by many of our partners to reach a decision about whether to partner with us, it may be difficult to regain that customer once the customer enters into a partnership or collaboration agreement with a competitor. Without the timely introduction of new solutions and technological enhancements, our offerings will likely become less competitive over time, in which case our competitive position and operating results could suffer. Accordingly, we focus significant efforts and resources on the development and identification of new technologies and markets to further broaden and deepen our capabilities and expertise in antibody discovery and development. For example, to the extent we fail to timely introduce new and innovative technologies or solutions, adequately predict our partners’ needs or fail to obtain desired levels of market acceptance, our business may suffer and our operating results could be adversely affected.
We depend on our information technology systems, and any failure of these systems could harm our business.
We depend on information technology and telecommunications systems for significant elements of our operations, including our laboratory information management system, our computational biology system, our knowledge management system, our customer reporting, our discovery and development engine, our advanced automation systems, and advanced application software. We have installed, and expect to expand, a number of enterprise software systems that affect a broad range of business processes and functional areas, including for example, systems handling human resources, financial controls and reporting, contract management, regulatory compliance and other infrastructure operations. These implementations were expensive and required a significant effort in terms of both time and effort. In addition to the aforementioned business systems, we intend to extend the capabilities of both our preventative and detective security controls by augmenting the monitoring and alerting functions, the network design and the automatic countermeasure operations of our technical systems. These information technology and telecommunications systems support a variety of functions, including manufacturing operations, laboratory operations, data analysis, quality control, customer service and support, billing, research and development activities, scientific and general administrative activities. A significant risk in implementing these systems, for example, is the integration and communication between separate IT systems.
Information technology and telecommunications systems are vulnerable to damage from a variety of sources, including telecommunications or network failures, malicious software, bugs or viruses, human acts and natural disasters. Moreover, despite network security and back-up measures, some of our servers are potentially vulnerable to physical or electronic break-ins, computer viruses and similar disruptive problems. Any disruption or loss of information technology or
telecommunications systems on which critical aspects of our operations depend could have an adverse effect on our business and our reputation, and we may be unable to regain or repair our reputation in the future.
Upgrading and integrating our business systems could result in implementation issues and business disruptions.
In recent years, we have been and will continue updating and consolidating systems and automating processes in many parts of our business with a variety of systems, including in connection with the integration of acquired businesses. The expansion and ongoing implementation of operational systems may occur at a future date based on value to the business. In general, the process of planning and preparing for these types of integrated, wide-scale implementations is extremely complex and are required to address a number of challenges, including information security assessment and remediation, data conversion, network and system cutover, user training, and integration with existing processes or systems. Incongruities in any of these areas could cause operational problems during implementation including inconsistent practices, delayed report and/or data shipments, missed sales, billing errors and accounting errors.
Security breaches, loss of data and other disruptions could compromise sensitive information related to our business or protected health information or prevent us from accessing critical information and expose us to liability, which could adversely affect our business and our reputation.
In the ordinary course of our business, we collect and store petabytes of sensitive data, including legally protected health information, personally identifiable information, intellectual property and proprietary business information owned or controlled by ourselves or our strategic partners. We manage and maintain our applications and data by utilizing a combination of on-site systems, managed data center systems and cloud-based data center systems. These applications and data encompass a wide variety of business-critical information, including research and development information, commercial information and business and financial information. We face four primary risks relative to protecting this critical information: loss of access risk, inappropriate disclosure risk, inappropriate modification risk and the risk of being unable to adequately monitor our controls over the first three risks.
Although we take measures to protect sensitive information from unauthorized access or disclosure, our information technology and infrastructure and that of any third-party provider we may utilize, may be vulnerable to attacks by hackers or viruses or breached due to employee error, malfeasance or other disruptions. Any such breach or interruption could compromise our networks and the information stored there could be accessed by unauthorized parties, publicly disclosed, lost or stolen. Any such access, disclosure or other loss of information could result in legal claims or proceedings, liability under laws that protect the privacy of personal information, such as the Health Insurance Portability and Accountability Act of 1996 (“HIPAA”), and regulatory penalties. Although we have implemented security measures and a formal enterprise security program to prevent unauthorized access to sensitive data, there is no guarantee that we can protect our systems from breach. Unauthorized access, loss or dissemination could also disrupt our operations (including our ability to conduct our analyses, pay providers, conduct research and development activities, collect, process and prepare company financial information, provide information about any future products, and manage the administrative aspects of our business) and damage our reputation, any of which could adversely affect our business.
HIPAA, as amended by the Health Information Technology for Economic and Clinical Health Act (“HITECH”), and its implementing regulations, impose certain requirements relating to the privacy, security, transmission and breach reporting of individually identifiable health information upon entities subject to the law, such as health plans, healthcare clearinghouses and healthcare providers and their respective business associates that perform services for them that involve individually identifiable health information. Mandatory penalties for HIPAA violations can be significant, and criminal and monetary penalties, as well as injunctive relief, may be imposed for HIPAA violations. Although drug manufacturers are not directly subject to HIPAA, prosecutors are increasingly using HIPAA-related theories of liability against drug manufacturers and their agents and we also could be subject to criminal penalties if we knowingly obtain individually identifiable health information from a HIPAA-covered entity in a manner that is not authorized or permitted by HIPAA.
Furthermore, in the event of a breach as defined by HIPAA, HIPAA regulations impose specific reporting requirements to regulators, individuals impacted by the breach and the media. Issuing such notifications can be costly, time and resource intensive, and can generate significant negative publicity. Breaches of HIPAA may also constitute contractual violations that could lead to contractual damages or terminations. In addition, U.S. states have enacted and are considering enacting laws relating to the protection of patient health and other data, which may be more rigorous than, or impose additional requirements beyond those required by, HIPAA. For example, the California Consumer Privacy Act (“CCPA”), which became effective on January 1, 2020, gives California residents expanded rights to access and delete their personal information, opt out of certain personal information sharing and receive detailed information about how their personal
information is used by requiring covered companies to provide new disclosures to California consumers (as that term is broadly defined) and provide such consumers new ways to opt-out of certain sales of personal information. The CCPA provides for civil penalties for violations as well as a limited private right of action for data breaches, which may increase the volume of data breach litigation. While limited CCPA exemptions may apply to portions of our business, the recency of the CCPA’s implementing regulations and the California Attorney General’s enforcement activity means our obligations under the CCPA could evolve in the future, which may increase our compliance costs and potential liability.
Further, a California ballot initiative, the California Privacy Rights Act, or CPRA, was passed by California voters on November 3, 2020. The CPRA, which became effective on January 1, 2023, creates additional obligations with respect to processing and storing personal information. Additionally, some observers have noted that the CCPA, as modified by the CPRA could mark the beginning of a trend toward more stringent privacy legislation in the U.S., which could increase our potential liability and adversely affect our business. Already, in the United States, we have witnessed significant developments at the state level. For example, Virginia, Utah, Colorado, and Connecticut have all enacted comprehensive consumer privacy laws. While these state laws incorporate many similar concepts of the CCPA and CPRA, there are also several key differences in the scope, application, and enforcement of the law that will change the operational practices of regulated businesses. The new laws will, among other things, impact how regulated businesses collect and process personal sensitive data, conduct data protection assessments, transfer personal data to affiliates, and respond to consumer rights requests.
A number of other states have proposed new privacy laws, some of which are similar to the above discussed recently passed laws. Such proposed legislation, if enacted, may add additional complexity, variation in requirements, restrictions and potential legal risk, require additional investment of resources in compliance programs, impact strategies and the availability of previously useful data and could result in increased compliance costs and/or changes in business practices and policies. The existence of comprehensive privacy laws in different states in the country would make our compliance obligations more complex and costly and may increase the likelihood that we may be subject to enforcement actions or otherwise incur liability for noncompliance.
We may also become subject to laws and regulations in non-U.S. countries covering data privacy and the protection of health-related and other personal information. In particular, the European Economic Area (“EEA”) has adopted data protection laws and regulations that impose significant compliance obligations. Laws and regulations in these jurisdictions apply broadly to the collection, use, storage, disclosure, processing and security of personal information that identifies or may be used to identify an individual, such as names, contact information, and sensitive personal data such as health data. These laws and regulations are subject to frequent revisions and differing interpretations, and have generally become more stringent over time.
The collection, use, storage, disclosure, transfer, or other processing of personal data regarding individuals in the EEA including personal health data, is subject to the EU General Data Protection Regulation (“EU GDPR”) and similarly, processing of personal data regarding individuals in the UK is subject to the UK General Data Protection Regulation and the UK Data Protection Act 2018 (“UK GDPR” and together with the EU GDPR “GDPR”). The GDPR is wide-ranging in scope and imposes numerous requirements on companies that process personal data, including requirements relating to processing health and other sensitive data, obtaining consent of the individuals to whom the personal data relates, providing information to individuals regarding data processing activities, implementing safeguards to protect the security and confidentiality of personal data, providing notification of data breaches, and taking certain measures when engaging third-party processors. The GDPR also imposes strict rules on the transfer of personal data to countries outside the EEA/UK, including the United States, and permits data protection authorities to impose large penalties for violations of the GDPR, including potential fines of up to €20 million ((£17.5 million under UK GDPR) or 4% of annual global revenues, whichever is greater. The GDPR also confers a private right of action on data subjects and consumer associations to lodge complaints with supervisory authorities, seek judicial remedies, and obtain compensation for damages resulting from violations of the GDPR. In addition, the GDPR includes restrictions on cross-border data transfers of personal data to countries outside the EEA/UK that are not considered by the European Commission and UK government as providing “adequate” protection to personal data (“third countries”), including the United States. The GDPR may increase our responsibility and liability in relation to personal data that we process where such processing is subject to the GDPR, and we may be required to put in place additional mechanisms to ensure compliance with the GDPR, including as implemented by individual countries. Compliance with the GDPR is rigorous and time-intensive process that may increase our cost of doing business or require us to change our business practices, and despite those efforts, there is a risk that we may be subject to fines and penalties, litigation, and reputational harm in connection with our European activities.
To enable the transfer of personal data outside of the EEA or the UK, adequate safeguards (for example, the European Commission approved Standard Contractual Clauses (“SCCs”)) must be implemented in compliance with
European and UK data protection laws. In addition, transfers made pursuant to the SCCs (and other similar appropriate transfer safeguards) need to be assessed on a case-by-case basis taking into account the legal regime applicable in the destination country, in particular regarding applicable surveillance laws and relevant rights of individuals with respect to the transferred personal data, to ensure an “essentially equivalent” level of protection to that guaranteed in the EEA in the jurisdiction where the data importer is based (“Transfer Impact Assessment”). On June 4, 2021, the EC issued new forms of standard contractual clauses for data transfers from controllers or processors in the EU/EEA (or otherwise subject to the GDPR) to controllers or processors established outside the EU/EEA. The new standard contractual clauses replace the standard contractual clauses that were adopted previously under the EU Data Protection Directive. The UK is not subject to the EC’s new standard contractual clauses but has published its own transfer mechanism, the International Data Transfer Agreement and International Data Transfer Addendum (“IDTA”), which enable transfers from the UK, and has also implemented a similar Transfer Impact Assessment requirement. We will be required to implement these new safeguards and carry out Transfer Impact Assessments when conducting restricted data transfers under the GDPR and doing so will require significant effort and cost, and may result in us needing to make strategic considerations around where EEA or UK personal data is stored and transferred, and which service providers we can utilize for the processing of EEA/UK personal data. On July 10, 2023, the European Commission adopted an adequacy decision for the new EU-US Data Privacy Framework (“DPF”), the new transatlantic framework designed to support transfers of personal data from the EU to companies in the US that self-certify compliance with the DPF’s privacy requirements, without having to implement additional safeguards. The DPF replaces the Privacy Shield, which was invalidated by the European Court of Justice in July 2020. As with the previous two transatlantic frameworks, it remains to be seen whether the DPF will withstand review by the European courts.
Although the UK is regarded as a third country under the EU GDPR, the European Commission has issued a decision recognizing the UK as providing adequate protection under the EU GDPR (“Adequacy Decision”) and, therefore, transfers of personal data originating in the EEA to the UK remain unrestricted. The UK government has confirmed that personal data transfers from the UK to the EEA remain free flowing. The UK Government has also now introduced a Data Protection and Digital Information Bill (“UK Bill”) into the UK legislative process. The aim of the UK Bill is to reform the UK’s data protection regime following Brexit. If passed, the final version of the UK Bill may have the effect of further altering the similarities between the UK and EEA data protection regime and threaten the UK Adequacy Decision from the EU Commission. This may lead to additional compliance costs and could increase our overall risk. The respective provisions and enforcement of the EU GDPR and UK GDPR may further diverge in the future and create additional regulatory challenges and uncertainties.
The interpretation and application of consumer, health-related and data protection laws in the United States, the EEA, and elsewhere are often uncertain, contradictory and in flux. Any failure or perceived failure to comply with federal, state or foreign laws or regulations, contractual or other legal obligations related to data privacy or data protection may result in claims, warnings, communications, requests or investigations from individuals, supervisory authorities or other legal or regulatory authorities in relation to our processing of personal data. It is possible that these laws may be interpreted and applied in a manner that is inconsistent with our practices. If so, this could result in government-imposed fines or orders requiring that we change our practices, which could adversely affect our business. In addition, these privacy regulations vary between states, may differ from country to country, and may vary based on whether testing is performed in the United States or in the local country. Complying with these various laws could cause us to incur substantial costs or require us to change our business practices and compliance procedures in a manner adverse to our business.
Furthermore, the loss of clinical trial data from completed or future clinical trials could result in delays in our regulatory approval efforts and significantly increase our costs to recover or reproduce the data. Likewise, we rely on other third parties for the manufacture of our product candidates and to conduct clinical trials, and similar events relating to their computer systems could also have a material adverse effect on our business.
We may be unable to adequately protect our information systems from cyberattacks, which could result in the disclosure of confidential or proprietary information, including personal data, damage our reputation, and subject us to significant financial and legal exposure.
We rely on information technology systems that we or our third-party providers operate to process, transmit and store electronic information in our day-to-day operations. In connection with our product discovery efforts, we may collect and use a variety of personal data, such as names, mailing addresses, email addresses, phone numbers and clinical trial information. A successful cyberattack could result in the theft or destruction of intellectual property, data, or other misappropriation of assets, or otherwise compromise our confidential or proprietary information and disrupt our operations. Cyberattacks are increasing in their frequency, sophistication and intensity, and have become increasingly difficult to detect. We may not be able to anticipate all types of security threats, and we may not be able to implement preventive measures effective against all such security threats. The techniques used by cyber criminals change frequently, may not be
recognized until launched, and can originate from a wide variety of sources, including outside groups such as external service providers, organized crime affiliates, terrorist organizations or hostile foreign governments or agencies. Cyberattacks could include industrial espionage, wire fraud and other forms of cyber fraud, the deployment of harmful malware, including ransomware, denial-of-service, social engineering fraud or other means to threaten data security, confidentiality, integrity and availability. A successful cyberattack could cause serious negative consequences for us, including, without limitation, the disruption of operations, the misappropriation of confidential business information, including financial information, trade secrets, financial loss and the disclosure of corporate strategic plans. Although we devote resources to protect our information systems, we realize that cyberattacks are a threat, and there can be no assurance that our efforts will prevent information security breaches that would result in business, legal, financial, or reputational harm to us, or would have a material adverse effect on our results of operations and financial condition. If we were to experience an attempted or successful cybersecurity attack of our information systems or data, the costs associated with the investigation, remediation and potential notification of the attack to counterparties, data subjects, regulators or others, including costs to deploy additional personnel and protection technologies, train employees, and engage third-party experts and consultants, could be material. In addition, following any such attack, our remediation efforts may not be successful. Any failure to prevent or mitigate security breaches or improper access to, use of, or disclosure of our clinical data or patients’ personal data could result in significant liability under state, federal and international law and may cause a material adverse impact to our reputation, affect our ability to conduct new studies, and potentially disrupt our business.
Our marketing department is expanding, and if we are unable to continue this growth and effectively execute on our marketing strategy, our business may be adversely affected.
We continue to expand our commercial organization in order to effectively market our solutions to existing and new partners. Competition for employees capable of negotiating and entering into partnerships with pharmaceutical and biotechnology companies is intense. We may not be able to attract and retain personnel or be able to build an efficient and effective sales organization, which could negatively impact sales and market acceptance of our discovery and development engine and limit our revenue growth and potential profitability. In addition, the time and cost of establishing a specialized sales, marketing and service force for a particular service may be difficult to justify in light of the revenue generated or projected.
To perform sales, marketing, and partner support successfully, we will face a number of risks, including that our sales, marketing force may be unable to initiate and execute successful commercialization activities with respect to new products or markets we may seek to enter. If our sales and marketing efforts are not successful, our new technologies and products may not gain market acceptance, which could materially impact our business operations.
Our expected future growth will impose significant added responsibilities on members of management, including the need to identify, recruit, maintain and integrate additional employees. Our future financial performance and our ability to successfully sell our programs and to compete effectively will depend, in part, on our ability to manage this potential future growth effectively, without compromising quality.
The loss of any member of our senior management team or our ability to attract and retain talent across the Company, including senior management, could adversely affect our business.
We are highly dependent upon our senior management and other members of our management team as well as our senior scientists, software engineers and salespeople. Our success depends on the skills, experience and performance of key members of our senior management team, scientists, software engineers, salespeople and our other employees. The individual and collective efforts of our employees will be important as we continue to develop our discovery and development engine, and as we expand our commercial activities. The loss or incapacity of existing members of our executive management team could adversely affect our operations if we experience difficulties in hiring qualified successors. While certain of our executive officers are party to employment contracts with us, we cannot guarantee their retention for any period of time beyond the applicable notice period.
Our research and development programs and laboratory operations depend on our ability to attract and retain highly skilled scientists and engineers. We may not be able to attract or retain qualified scientists and engineers in the future due to the competition for qualified personnel among life science businesses. We also face competition from universities and public and private research institutions in recruiting and retaining highly qualified scientific and engineering personnel. We may have difficulties locating, recruiting or retaining qualified salespeople and other employees. Recruiting and retention difficulties can limit our ability to support our research and development and sales
programs. A key risk in this area, for example, is that certain of our employees are at-will, which means that either we or the employee may terminate their employment at any time
We have made technology acquisitions and expect to acquire businesses or assets or make investments in other companies or technologies that could negatively affect our operating results, dilute our shareholders’ ownership, increase our debt or cause us to incur significant expense.
We have made technology acquisitions and expect to pursue acquisitions of businesses and assets in the future. We also may pursue strategic alliances and joint ventures that leverage our technologies and industry experience to expand our offerings or distribution. Although we have acquired other businesses or assets in the past, we may not be able to find suitable partners or acquisition or asset purchase candidates in the future, and we may not be able to complete such transactions on favorable terms, if at all. The competition for partners or acquisition candidates may be intense, and the negotiation process will be time-consuming and complex. If we make any acquisitions, we may not be able to integrate these acquisitions successfully into our existing business, these acquisitions may not strengthen our competitive position, the transactions may be viewed negatively by partners or investors, we may be unable to retain key employees of any acquired business, relationships with key suppliers, manufacturers or partners of any acquired business may be impaired due to changes in management and ownership, and we could assume unknown or contingent liabilities. Any future acquisitions also could result in the incurrence of debt, contingent liabilities or future write-offs of intangible assets or goodwill, any of which could have a material adverse effect on our business, financial condition, results of operations and prospects. We cannot guarantee that we will be able to fully recover the costs of any acquisition. Integration of an acquired company also may disrupt ongoing operations and require management resources that we would otherwise focus on developing our existing business. We may not realize the anticipated benefits of any acquisition, technology license, strategic alliance or joint venture. We also may experience losses related to investments in other companies, which could have a material adverse effect on our business, financial condition, results of operations and prospects. Acquisitions may also expose us to a variety of international and business related risks, including intellectual property, regulatory laws, local laws, tax and accounting.
To finance any acquisitions or asset purchase, we may choose to issue securities as consideration, which would dilute the ownership of our shareholders. Additional funds may not be available on terms that are favorable to us, or at all. If the price of our common shares is low or volatile, we may not be able to acquire companies or assets using our securities as consideration.
Our business is subject to government regulation and the regulatory approval and maintenance process may be expensive, time-consuming and uncertain both in timing and in outcome, and certain agreements to which we are a party contain covenants and other obligations that constrain our business activities.
Our data packages are currently not subject to approval by the FDA. However, our business could in the future become subject to regulation by the FDA, or comparable international agencies. For example, in May 2020, we announced that we received a commitment from the Government of Canada under Innovation, Science and Economic Development’s, or ISED, Strategic Innovation Fund, or SIF, of up to CAD $175.6 million ($132.6 million as of June 30, 2023), the proceeds of which are being used to build a GMP facility in Vancouver, British Columbia, which will house our manufacturing and manufacturing support infrastructure. This facility, once completed, will become subject to various regulations, which could include regular inspections, certifications and audits. Further, in May 2023, we entered into multi-year contribution agreements where up to $169.9 million ($225.0 million CAD) and $56.6 million ($75.0 million CAD) was committed by the Government of Canada and the Government of British Columbia, respectively, to build new capabilities in Canada to develop, manufacture, and deliver antibody medicines to patients through Phase 1 clinical trials and build expertise in translational science, technical operations, and clinical operations and research. Such regulatory approval processes or clearances may be expensive, time-consuming and uncertain, and our failure to obtain or comply with such approvals and clearances could have an adverse effect on our business, financial condition and operating results. In addition, changes to the current regulatory framework, including the imposition of additional or new regulations, including regulation of our data packages, could arise at any time, which may negatively affect our ability to obtain or maintain FDA or comparable regulatory approval of our data packages or future products, if required.
Our agreements with the Government of Canada and Government of British Columbia includes certain financial and non-financial covenants and other obligations in relation to the project, including restrictions on dividend payments that would prevent the Company from satisfying the obligations under the agreements, the maintenance of certain gross capital expenditures in Canada, certain research and development expenditures in Canada, and the achievement of certain headcount requirements in Canada. In addition, the Company has agreed to notice and consent rights to the counterparties upon certain events related to a change in control of the Company. Breach of the covenants and obligations under the respective agreements with the Government of Canada and British Columbia, subject to applicable cure, may result in
suspending, or terminating funding under the respective agreements, demanding repayment of funding previously received and/or terminating the respective agreements, reputational damages that could impact future government relationships, and have adverse consequences on our business.
Our billing and collections processing activities are time-consuming, and any delay in transmitting invoices or failure to comply with applicable billing requirements, could have an adverse effect on our future revenue.
Billing for our data packages can be time-consuming, as many of our partners are large pharmaceutical or biotechnology companies and engage various models for their accounts payable matters, including outsourcing to third parties. We may face increased risk in our collection efforts, including long collection cycles and the risk that we may never collect at all, which could require to write-off significant accounts receivable and recognize bad debt expenses, which could adversely affect our business, financial condition, results of operations and prospects.
If our operating facilities become damaged or inoperable or we are required to vacate a facility, our ability to conduct and pursue our research and development efforts may be jeopardized.
We currently derive the majority of our revenue based upon scientific and engineering research and development and testing conducted in Vancouver, British Columbia. Our facilities and equipment could be harmed or rendered inoperable or inaccessible by natural or man-made disasters or other circumstances beyond our control, including fire, earthquake, power loss, communications failure, war or terrorism, or another catastrophic event, such as a pandemic or similar outbreak or public health crisis, which may render it difficult or impossible for us to support our partners and develop updates, upgrades and other improvements to our discovery and development engine, advanced automation systems, and advanced application and workflow software for some period of time. The inability to address system issues could develop if our facilities are inoperable or suffers a loss of utilization for even a short period of time, may result in the loss of partners or harm to our reputation, and we may be unable to regain those partners or repair our reputation in the future. Furthermore, our facilities and the equipment we use to perform our research and development work could be unavailable or costly and time-consuming to repair or replace. It would be difficult, time-consuming and expensive to rebuild our facilities, to locate and qualify new facilities or license or transfer our proprietary technology to a third-party. Even in the event we are able to find a third-party to assist in research and development efforts, we may be unable to negotiate commercially reasonable terms to engage with the third party.
We carry insurance for damage to our property and the disruption of our business, but this insurance may not cover all of the risks associated with damage or disruption to our business, may not provide coverage in amounts sufficient to cover our potential losses and may not continue to be available to us on acceptable terms, if at all.
Our insurance policies are expensive and protect us only from some business risks, which leaves us exposed to significant uninsured liabilities.
We do not carry insurance for all categories of risk that our business may encounter and our policies have limits and significant deductibles. Some of the policies we currently maintain include general liability, property, umbrella and directors’ and officers’ insurance.
Any additional insurance coverage we acquire in the future, may not be sufficient to reimburse us for any expenses or losses we may suffer. Moreover, insurance coverage is becoming increasingly expensive and in the future we may not be able to maintain insurance coverage at a reasonable cost or in sufficient amounts to protect us against losses. A successful liability claim, or series of claims, in which judgments exceed our insurance coverage could adversely affect our business, financial condition, results of operations and prospects, including preventing or limiting the use of our discovery and development engine to discover antibodies.
Operating as a public company makes it more difficult and more expensive for us to obtain director and officer liability insurance, and we may be required to accept reduced policy limits and coverage, seek alternative insurance options or incur substantially higher costs to obtain the same or similar coverage. As a result, it may be more difficult for us to attract and retain qualified people to serve on our board of directors, our board committees or as executive officers. Any significant uninsured liability may require us to pay substantial amounts, which would adversely affect our business, financial condition, results of operations and prospects.
Security breaches, loss of data and other disruptions could compromise sensitive information related to our business or prevent us from accessing critical information and expose us to liability, which could adversely affect our business and our reputation.
In the ordinary course of our business, we generate and store sensitive data, including research data, intellectual property and proprietary business information owned or controlled by ourselves or our employees, partners and other parties. We manage and maintain our applications and data utilizing a combination of on-site systems and cloud-based data centers. We utilize external security and infrastructure vendors to manage parts of our data centers. These applications and data encompass a wide variety of business-critical information, including research and development information, commercial information and business and financial information. We face a number of risks relative to protecting this critical information, including loss of access risk, inappropriate use or disclosure, accidental exposure, unauthorized access, inappropriate modification and the risk of our being unable to adequately monitor and audit and modify our controls over our critical information. This risk extends to the third-party vendors and subcontractors we use to manage this sensitive data or otherwise process it on our behalf. Further, to the extent our employees are working remotely, additional risks may arise as a result of depending on the networking and security put into place by the employees. The secure processing, storage, maintenance and transmission of this critical information are vital to our operations and business strategy, and we devote significant resources to protecting such information. Although we take reasonable measures to protect sensitive data from unauthorized access, use or disclosure, no security measures can be perfect and our information technology and infrastructure may be vulnerable to attacks by hackers or infections by viruses or other malware or breached due to employee erroneous actions or inactions by our employees or contractors, malfeasance or other malicious or inadvertent disruptions. Any such breach or interruption could compromise our networks and the information stored there could be accessed by unauthorized parties, publicly disclosed, lost or stolen. Any such access, breach, or other loss of information could result in legal claims or proceedings. Unauthorized access, loss or dissemination could also disrupt our operations and damage our reputation, any of which could adversely affect our business.
International expansion of our business exposes us to business, regulatory, political, operational, financial and economic risks associated with doing business outside of Canada and the United States.
We currently have operations in Canada, the United States, Australia and the United Kingdom and our business strategy incorporates future international expansion. Doing business internationally involves a number of risks including:
•multiple, conflicting and changing laws and regulations such as privacy regulations, tax laws, export and import restrictions, tariffs, economic sanctions and embargoes, employment laws, regulatory requirements and other governmental approvals, permits and licenses;
•failure by us or our distributors to obtain approvals to conduct our business in various countries;
•differing intellectual property rights;
•complexities and difficulties in obtaining intellectual property protection, enforcing our intellectual property and defending against third party intellectual property claims;
•difficulties in staffing and managing foreign operations;
•logistics and regulations associated with shipping systems and parts and components for systems, consumables and reagent kits, as well as transportation delays;
•travel restrictions that limit the ability of marketing, presales, sales, services and support teams to service partners;
•financial risks, such as longer payment cycles, difficulty collecting accounts receivable, the impact of local and regional financial crises on demand and payment for our data packages, and exposure to foreign currency exchange rate fluctuations;
•international trade disputes that could result in tariffs and other protective measures;
•natural disasters, political and economic instability, including wars, terrorism and political unrest, outbreak of disease, boycotts, curtailment of trade and other business restrictions; and
•regulatory and compliance risks that relate to maintaining accurate information and control over sales and distributors’ activities that may fall within the purview of the Canadian Corruption of Foreign Public Officials Act, or CFPOA, or U.S. Foreign Corrupt Practices Act, or FCPA, its books and records provisions, or its anti-bribery provisions.
Any of these factors could significantly harm our future international expansion and operations and, consequently, our business, financial condition, results of operations and prospects. In addition, certain international markets are subject to significant political and economic uncertainty, including for example the effect of the withdrawal of the United Kingdom from the European Union. Significant political and economic developments in international markets for which we intend to operate, or the perception that any of them could occur, creates further challenges for operating in these markets in addition to creating instability in global economic conditions.
Our business is subject to risks relating to foreign currency exchange rates.
We currently have operations in Canada, the United States, Australia and the United Kingdom and our business strategy incorporates future international expansion. Substantially all of our revenue is paid in US dollars. We expect that our US dollar earned revenue will continue to account for a significant percentage of our total revenue for the foreseeable future.
Changes in foreign currency exchange rates, could materially adversely impact our results. Foreign currencies in which we record expenses could be subject to unfavorable exchange rates with the U.S. dollar, resulting in a reduction in the amount of cash flow (and an increase in the amount of expenses) that we recognize and causing fluctuations in reported financial results. We also carry foreign currency exposure associated with differences between where we conduct business, including receipt of government funding denominated in foreign currencies. For example, certain contracts are denominated in currencies other than the currency in which we incur expenses related to those contracts. Where expenses are incurred in currencies other than those in which contracts are priced, fluctuations in the relative value of those currencies could have a material adverse effect on our results of operations.
Our exposure to currency exchange rate fluctuations results from the currency translation exposure associated with the preparation of our consolidated financial statements, as well as from the exposure associated with transactions of our subsidiaries that are denominated in a currency other than the respective subsidiary’s functional currency. While our financial results are reported in U.S. Dollars, the financial statements of certain of our equity method investments are prepared using the local currency as the functional currency. During consolidation, these results are translated into U.S. Dollars by applying appropriate exchange rates. As a result, fluctuations in the exchange rate of the U.S. Dollar relative to the local currencies in which our equity method investments report could cause significant fluctuations in our reported results. Moreover, as exchange rates vary, our operating results may differ materially from our expectations. Adjustments resulting from financial statement translations are included as a separate component of shareholders’ equity.
Our business activities are subject to the FCPA and other anti-bribery and anti-corruption laws of the United States and other countries in which we operate, as well as U.S. and certain foreign export controls and trade sanctions. Violations of such legal requirements could subject us to liability.
We are subject to the FCPA, which among other things prohibits companies and their third-party intermediaries from offering, promising, giving or authorizing others to give anything of value, either directly or indirectly, to non-U.S. government officials for the purpose of obtaining or retaining business or securing any other improper advantage. The FCPA also requires public companies to make and keep books and records that accurately and fairly reflect the transactions of the corporation and to devise and maintain an adequate system of internal accounting controls. Companies in the biotechnology and biopharmaceutical field are highly regulated and therefore involve interactions with public officials, including officials of non-U.S. governments. Additionally, in many other countries, hospitals are owned and operated by the government, and doctors and other hospital employees would be considered foreign officials under the FCPA. We are also subject to the Canadian equivalent to the FCPA, the CFPOA. These laws are complex and far-reaching in nature, and, as a result, there is no certainty that all of our employees, agents or contractors will comply with such laws and regulations. Any violations of these laws, or allegations of such violations, could disrupt our operations, involve significant management distraction, involve significant costs and expenses, including legal fees, and could result in a material adverse effect on our business, financial condition, results of operations and prospects. We could also suffer severe penalties, including criminal and civil penalties, disgorgement and other remedial measures.
In addition, our data packages may be subject to U.S. and foreign export controls and trade sanctions. Compliance with applicable regulatory requirements regarding the export of our data packages may create delays in us providing our data packages in international markets or, in some cases, prevent the export thereof to some countries altogether. Furthermore, U.S. export control laws and economic sanctions prohibit the shipment of certain products and services to countries, governments, and persons targeted by U.S. sanctions. If we fail to comply with export regulations and such economic sanctions, penalties could be imposed, including fines and/or denial of certain export privileges. Moreover, any
new export restrictions, new legislation or shifting approaches in the enforcement or scope of existing regulations, or in the countries, persons, or products targeted by such regulations, could result in decreased use of our data packages by, or in our decreased ability to export our data packages to, existing or potential customers with international operations. Any decreased use of our data packages or limitation on our ability to export or sell our data packages would likely adversely affect our business.
We rely on a limited number of suppliers for laboratory equipment and materials and may not be able to find replacements or immediately transition to alternative suppliers.
We rely on a limited number of suppliers to provide certain consumables and equipment that we use in our operations, as well as reagents and other laboratory materials involved in the development of our technology. Fluctuations in the availability and price of materials and equipment could have an adverse effect on our ability to meet our development goals with our partners and thus our results from operations as well as future partnership opportunities. An interruption in the availability of raw materials or our laboratory operations could occur if we encounter delays, quality issues or other difficulties in securing these consumables, equipment, reagents or other materials, and if we cannot then obtain an acceptable substitute. In addition, while we believe suitable additional or alternative suppliers are available to accommodate our operations, if needed, any transition to new or additional suppliers may cause delays in our processing of samples or development and commercialization of our technology. Any such interruption could significantly affect our business, financial condition, results of operations and reputation.
We must continue to secure and maintain sufficient and stable supplies of raw materials. Any shortage of raw materials or materials necessary for our operations may adversely affect our business.
Unexpected shortages in raw materials or other materials and other unanticipated events could adversely affect our business, prospects, financial condition and results of operation.
In addition, as we grow, our existing suppliers may not be able to meet our increasing demand, and we may need to find additional suppliers. There is no assurance that we will always be able to secure suppliers who provide raw materials at the specification, quantity and quality levels that we demand (or at all) or be able to negotiate acceptable fees and terms of services with any such suppliers. Identifying a suitable supplier is an involved process that requires us to become satisfied with their quality control, responsiveness and service, financial stability and labor and other ethical practices. Even if we are able to expand existing sources, we may encounter delays and added costs as a result of the time it takes to train suppliers in our methods and quality control standards.
We historically have not entered into agreements with our suppliers but secure our raw materials and component parts we use in our equipment on a purchase order basis. Our suppliers may reduce or cease their supply of raw materials, component parts and outsourced services and products to us at any time in the future. If the supply of raw materials, component parts and the outsourced services and products is interrupted due to shortages or other reasons, our operations may be delayed. If any such event occurs, our operation and financial position may be adversely affected.
We use biological and hazardous materials that require considerable expertise and expense for handling, storage and disposal and may result in claims against us.
We work with materials, including chemicals, biological agents and compounds that could be hazardous to human health and safety or the environment. Our operations also produce hazardous and biological waste products. Federal, provincial, state and local laws and regulations govern the use, generation, manufacture, storage, handling and disposal of these materials and wastes. We are subject to periodic inspections by Canadian provincial and federal authorities to ensure compliance with applicable laws. Compliance with applicable environmental laws and regulations is expensive, and current or future environmental laws and regulations may restrict our operations. If we do not comply with applicable regulations, we may be subject to fines and penalties.
In addition, we cannot eliminate the risk of accidental injury or contamination from these materials or wastes, which could cause an interruption of our commercialization efforts, research and development programs and business operations, as well as environmental damage resulting in costly clean-up and liabilities under applicable laws and regulations. In the event of contamination or injury, we could be liable for damages or penalized with fines in an amount exceeding our resources and our operations could be suspended or otherwise adversely affected. Furthermore, environmental laws and regulations are complex, change frequently and have tended to become more stringent. We cannot predict the impact of such changes and cannot be certain of our future compliance.
Our discovery and development engine utilizes various species of animals that could contract disease or die and could otherwise subject us to controversy and adverse publicity, which may interrupt our business operations or harm our reputation.
Our discovery and development engine utilizes animals to discover and produce antibodies. We cannot completely eliminate the risks of animals contracting disease, or a natural or man-made disaster that could cause death to valuable production animals, or those of the CRO that maintain our mouse colonies. We cannot make any assurance that we or our CROs will be able to contain or reverse any such instance of disease. Although we maintain backup colonies of our animals, disease or death on a broad scale could materially interrupt business operations as animals are a key part of our antibody discovery and development programs, which could have a material adverse effect on our results of operations and financial condition.
Further, genetic engineering and testing of animals has been the subject of controversy and adverse publicity. Animal rights groups and other organizations and individuals in the United States, the EU and other jurisdictions have attempted to stop animal testing activities by pressing for legislation and regulation in these areas and by disrupting these activities through protests and other means. To the extent the activities of these groups are successful, our research and development activities and the ability for us and our partners to use our discovery and development engine could be interrupted or delayed, our costs could increase and our reputation could be harmed.
Once completed, our manufacturing operations will be dependent upon third party suppliers, including single source suppliers, making us vulnerable to supply shortages and price fluctuations, which could harm our business.
We are building a GMP facility in Vancouver, British Columbia, to house our manufacturing and manufacturing support infrastructure. We anticipate that some of the suppliers of critical components or materials for our processes may be single or sole source suppliers and the replacement of these suppliers or the identification and qualification of suitable second sources may require significant time, effort and expense, and could result in delays in production, which could negatively impact our business operations and revenue. There can be no assurance that our supply of components necessary for the operation of this facility will not be limited, interrupted, or of satisfactory quality or continue to be available at acceptable prices. In addition, loss of any critical component provided by a single source supplier could require us to change the design of our manufacturing process based on the functions, limitations, features and specifications of the replacement components.
In addition, several other non-critical components and materials that comprise our systems are currently manufactured by a single supplier or a limited number of suppliers. In many of these cases, we have not yet qualified alternate suppliers and rely upon purchase orders, rather than long-term supply agreements. A supply interruption or an increase in demand beyond our current suppliers’ capabilities could harm our ability to manufacture our systems unless and until new sources of supply are identified and qualified. Our reliance on these suppliers subjects us to a number of risks that could harm our business, including:
•interruption of supply resulting from modifications to or discontinuation of a supplier’s operations;
•delays in product shipments resulting from uncorrected defects, reliability issues, or a supplier’s variation in a component;
•a lack of long-term supply arrangements for key components with our suppliers;
•inability to obtain adequate supply in a timely manner, or to obtain adequate supply on commercially reasonable terms;
•difficulty and cost associated with locating and qualifying alternative suppliers for our components in a timely manner;
•a modification or change in a manufacturing process or part that unknowingly or unintentionally negatively impacts the operation of our systems;
•production delays related to the evaluation and testing of products from alternative suppliers, and corresponding regulatory qualifications;
•delay in delivery due to our suppliers prioritizing other customer orders over ours;
•damage to our brand reputation caused by defective components produced by our suppliers;
•increased cost of our warranty program due to product repair or replacement based upon defects in components produced by our suppliers; and
•fluctuation in delivery by our suppliers due to changes in demand from us or their other partners.
Any interruption in the supply of components or materials, or our inability to obtain substitute components or materials from alternate sources at acceptable prices in a timely manner, could impair our ability to meet the demand of our partners, which would have an adverse effect on our business.
Although we expect our recent business acquisitions will result in synergies and other benefits to us, we may not realize those benefits because of difficulties related to integration and uncertainties related to certain assets acquired as a result of the acquisitions.
In November 2020, we consummated the Trianni acquisition. In September 2021, we consummated the TetraGenetics acquisition. We expect that the integration process will require significant time and resources, and we may not be able to manage the process successfully.
Potential difficulties we may encounter as part of the integration process include (i) the challenge of integrating complex systems, operating procedures, regulatory compliance programs, technology, networks and other assets of the acquisitions in a seamless manner that minimizes any adverse impact on our employees, patients, suppliers and other business partners; and (ii) potential unknown liabilities, liabilities that are significantly larger than we currently anticipate and unforeseen increased expenses or delays associated with the acquisitions, including costs to integrate the businesses that may exceed the costs that we currently anticipate. As part of our ongoing research and development we may make changes in our planned use of in process research and development which could result in a future impairment of the corresponding intangible asset.
For instance, in connection with the acquisition, we acquired a suite of transgenic humanized rodent lines currently being validated and available for discovery projects in the near future. There can be no assurance that these rodent lines will ever be validated or available for use by us or our partners. Further, it is possible that we will experience disruption of either company’s or both companies’ ongoing businesses, including as we continue to service Trianni’s existing contracts for the foreseeable future. In addition, we have only recently begun to generate licensing revenue from our Trianni humanized rodent platform. There can be no assurance that we will continue to generate or expand our licensing revenue from this product offering in future periods. Accordingly, the contemplated benefits of the Trianni acquisition may not be realized fully, or at all, or may take longer to realize than expected.
Risks Related to Our Intellectual Property
If we are unable to obtain and maintain sufficient intellectual property protection for our technology, including our discovery and development engine and Celium, our proprietary antibody visualization software, or if the scope of the intellectual property protection obtained is not sufficiently broad, our competitors could develop and commercialize technologies or a platform similar or identical to ours, and our ability to successfully sell our data packages may be impaired.
We rely on patent protection as well as trademark, copyright, trade secret and other intellectual property rights protection and contractual restrictions to protect our proprietary technologies, all of which provide limited protection and may not adequately protect our rights or permit us to gain or keep a competitive advantage. If we fail to protect our intellectual property, third parties may be able to compete more effectively against us. In addition, we may incur substantial litigation costs in our attempts to recover or restrict the use of our intellectual property.
To the extent our intellectual property offers inadequate protection, or is found to be invalid or unenforceable, we would be exposed to a greater risk of direct competition. If our intellectual property does not provide adequate coverage of our competitors’ products and services, our competitive position could be adversely affected, as could our business. Both the patent application process and the process of managing patent disputes can be time-consuming and expensive.
Our success depends in large part on our ability to obtain and maintain adequate protection of the intellectual property we may own solely and jointly with others or otherwise have rights to, particularly patents, in the United States, Canada and in other countries with respect to our discovery and development engine, our software and our technologies, without infringing the intellectual property rights of others.
We strive to protect and enhance the proprietary technologies that we believe are important to our business, including seeking patents intended to cover our discovery and development engine and related technologies and uses thereof, as we deem appropriate. Our patents and patent applications in the United States, Canada and certain foreign
jurisdictions relate to our technology. However, obtaining and enforcing patents in our industry is costly, time-consuming and complex, and we may fail to apply for patents on important products and technologies in a timely fashion or at all, or we may fail to apply for patents in potentially relevant jurisdictions. There can be no assurance that the claims of our patents (or any patent application that issues as a patent), will exclude others from making, using or selling our technology or technology that is substantially similar to ours. We also rely on trade secrets to protect aspects of our business that are not amenable to, or that we do not consider appropriate for, patent protection. In countries where we have not sought and do not seek patent protection, third parties may be able to manufacture and sell our technology without our permission, and we may not be able to stop them from doing so. We may not be able to file and prosecute all necessary or desirable patent applications, or maintain, enforce and license any patents that may issue from such patent applications, at a reasonable cost or in a timely manner. It is also possible that we will fail to identify patentable aspects of our research and development output before it is too late to obtain patent protection. We may not have the right to control the preparation, filing and prosecution of patent applications, or to maintain the rights to patents licensed to third parties. Therefore, these patents and applications may not be prosecuted and enforced in a manner consistent with the best interests of our business.
As of June 30, 2023, we owned or exclusively licensed over 80 issued or allowed patents and over 80 pending patent applications worldwide. We own registered trademarks and trademark applications for AbCellera, AbCellera Australia Pty. Ltd. (formerly Channel Bio), Celium, Trianni, the Trianni Mouse, and AbCellera Boston (formerly TetraGenetics Inc.) in the U.S., Canada, Australia and Europe. It is possible that none of our pending patent applications will result in issued patents in a timely fashion or at all, and even if patents are granted, they may not provide a basis for intellectual property protection of commercially viable products or services, may not provide us with any competitive advantages, or may be challenged and invalidated by third parties. It is possible that others will design around our current or future patented technologies. As a result, our owned and licensed patents and patent applications comprising our patent portfolio may not provide us with sufficient rights to exclude others from commercializing technology and products similar to any of our technology.
It is possible that in the future some of our patents, licensed patents and patent applications may be challenged at the United States Patent and Trademark Office, or USPTO, or in proceedings before the patent offices of other jurisdictions. We may not be successful in defending any such challenges made against our patents or patent applications. Any successful third-party challenge to our patents could result in loss of exclusivity or freedom to operate, patent claims being narrowed, the unenforceability or invalidity of such patents, in whole or in part, which could limit our ability to stop others from using or commercializing similar or identical technology and products, limit the duration of the patent protection of our technology, and increased competition to our business. We may have to challenge the patents or patent applications of third parties. The outcome of patent litigation or other proceeding can be uncertain, and any attempt by us to enforce our patent rights against others or to challenge the patent rights of others may not be successful, or, if successful, may take substantial time and result in substantial cost, and may divert our efforts and attention from other aspects of our business.
Any changes we make to our technology, including changes that may be required for commercialization or that cause them to have what we view as more advantageous properties may not be covered by our existing patent portfolio, and we may be required to file new applications and/or seek other forms of protection for any such alterations to our technology. There can be no assurance that we would be able to secure patent protection that would adequately cover an alternative to our technology.
The patent positions of life sciences companies can be highly uncertain and involve complex legal and factual questions for which important legal principles remain unresolved. No consistent policy regarding the breadth of claims allowed in such companies’ patents has emerged to date in the United States or elsewhere. Courts frequently render opinions in the biotechnology field that may affect the patentability of certain inventions or discoveries.
Changes in patent law in the United States and other jurisdictions could diminish the value of patents in general, thereby impairing our ability to protect our technology.
Changes in either the patent laws or in interpretations of patent laws in the United States or other countries or regions may diminish the value of our intellectual property. We cannot predict the breadth of claims that may be allowed or enforced in our patents or in third-party patents. We may not develop additional proprietary platforms, methods and technologies that are patentable.
Assuming that other requirements for patentability are met, prior to March 16, 2013, in the United States, the first to invent the claimed invention was entitled to the patent, while outside the United States, the first to file a patent
application was entitled to the patent. On or after March 16, 2013, under the Leahy-Smith America Invents Act, or the America Invents Act, enacted in September 16, 2011, the United States transitioned to a first inventor to file system in which, assuming that other requirements for patentability are met, the first inventor to file a patent application will be entitled to the patent on an invention regardless of whether a third-party was the first to invent the claimed invention. A third-party that files a patent application in the USPTO on or after March 16, 2013, but before us could therefore be awarded a patent covering an invention of ours even if we had made the invention before it was made by such third-party. This will require us to be cognizant of the time from invention to filing of a patent application. Since patent applications in the United States and most other countries are confidential for a period of time after filing or until issuance, we cannot be certain that we or our licensors were the first to either (i) file any patent application related to our technology or (ii) invent any of the inventions claimed in our or our licensor’s patents or patent applications.
The America Invents Act also includes a number of significant changes that affect the way patent applications will be prosecuted and also may affect patent litigation. These include allowing third-party submission of prior art to the USPTO during patent prosecution and additional procedures to attack the validity of a patent by USPTO administered post-grant proceedings, including post-grant review, inter partes review and derivation proceedings. Because of a lower evidentiary standard in USPTO proceedings compared to the evidentiary standard in United States federal courts necessary to invalidate a patent claim, a third-party could potentially provide evidence in a USPTO proceeding sufficient for the USPTO to hold a claim invalid even though the same evidence would be insufficient to invalidate the claim if first presented in a district court action. Accordingly, a third - party may attempt to use the USPTO procedures to invalidate our patent claims that would not have been invalidated if first challenged by the third - party as a defendant in a district court action. Therefore, the America Invents Act and its implementation could increase the uncertainties and costs surrounding the prosecution of our owned or in-licensed patent applications and the enforcement or defense of our owned or in-licensed issued patents, all of which could have a material adverse effect on our business, financial condition, results of operations and prospects.
In addition, the patent position of companies in the biotechnology field is particularly uncertain. Various courts, including the United States Supreme Court have rendered decisions that affect the scope of patentability of certain inventions or discoveries relating to biotechnology. These decisions state, among other things, that a patent claim that recites an abstract idea, natural phenomenon or law of nature (for example, the relationship between particular genetic variants and cancer) are not themselves patentable. Precisely what constitutes a law of nature or abstract idea is uncertain, and it is possible that certain aspects of our technology could be considered natural laws. Accordingly, the evolving case law in the United States may adversely affect our and our licensors’ ability to obtain new patents or to enforce existing patents and may facilitate third-party challenges to any owned or licensed patents.
Issued patents covering our discovery and development engine could be found invalid or unenforceable if challenged.
The issuance of a patent is not conclusive as to its inventorship, scope, validity or enforceability. Some of our patents or patent applications (including licensed patents) may be challenged at a future point in time in opposition, derivation, reexamination, inter partes review, post-grant review or interference. Any successful third party challenge to our patents in this or any other proceeding could result in the unenforceability or invalidity of such patents or amendment to our patents in such a way that they no longer cover our discovery and development engine, which may lead to increased competition to our business, which could harm our business. In addition, in patent litigation in the United States, defendant counterclaims alleging invalidity or unenforceability are commonplace. The outcome following legal assertions of invalidity and unenforceability during patent litigation is unpredictable. If a defendant were to prevail on a legal assertion of invalidity or unenforceability, we would lose at least part, and perhaps all, of the patent protection on certain aspects of our discovery and development engine. In addition, if the breadth or strength of protection provided by our patents and patent applications is threatened, regardless of the outcome, it could dissuade companies from collaborating with us to license, develop or commercialize current or future products.
We may not be aware of all third party intellectual property rights potentially relating to our discovery and development engine. Publications of discoveries in the scientific literature often lag behind the actual discoveries, and patent applications in the United States and other jurisdictions are typically not published until approximately 18 months after filing or, in some cases, not until such patent applications issue as patents. We or our licensors might not have been the first to make the inventions covered by each of our pending patent applications and we or our licensors might not have been the first to file patent applications for these inventions. There is also no assurance that all of the potentially relevant prior art relating to our patents and patent applications or licensed patents and patent applications has been found, which could be used by a third party to challenge their validity, or prevent a patent from issuing from a pending patent application.
To determine the priority of these inventions, we may have to participate in interference proceedings, derivation proceedings or other post-grant proceedings declared by the USPTO that could result in substantial cost to us. The outcome of such proceedings is uncertain. No assurance can be given that other patent applications will not have priority over our patent applications. In addition, changes to the patent laws of the United States allow for various post-grant opposition proceedings that have not been extensively tested, and their outcome is therefore uncertain. Furthermore, if third parties bring these proceedings against our patents, we could experience significant costs and management distraction.
We rely on in-licenses from third parties. If we lose these rights, our business may be materially adversely affected, our ability to develop improvements to our discovery and development engine may be negatively and substantially impacted, and if disputes arise, we may be subjected to future litigation as well as the potential loss of or limitations on our ability to incorporate the technology covered by these license agreements.
We are party to a royalty-bearing license agreement with the University of British Columbia that grants us exclusive rights to exploit certain patent rights that are related to our systems. Through our acquisition of Lineage, we obtained an exclusive license from Stanford University to patents and patent applications directed toward immune repertoire sequencing. We may need to obtain additional licenses from others to advance our research, development and commercialization activities. Some of our license agreements impose, and we expect that any future exclusive in-license agreements will impose, various development, diligence, commercialization and other obligations on us. We may enter into engagements in the future, with other licensors under which we obtain certain intellectual property rights relating to our discovery and development engine. These engagements take the form of exclusive license or of actual ownership of intellectual property rights or technology from third parties. Our rights to use the technology we license are subject to the continuation of and compliance with the terms of those agreements. In some cases, we may not control the prosecution, maintenance or filing of the patents to which we hold licenses, or the enforcement of those patents against third parties.
Moreover, disputes may arise with respect to our licensing or other upstream agreements, including:
•the scope of rights granted under the agreements and other interpretation-related issues;
•the extent to which our systems and consumables, technology and processes infringe on intellectual property of the licensor that is not subject to the licensing agreement;
•the sublicensing of patent and other rights under our collaborative development relationships;
•our diligence obligations under the license agreements and what activities satisfy those diligence obligations;
•the inventorship and ownership of inventions and know-how resulting from the joint creation or use of intellectual property by our licensors and us and our partners; and
•the priority of invention of patented technology.
In spite of our efforts to comply with our obligations under our in-license agreements, our licensors might conclude that we have materially breached our obligations under our license agreements and might therefore, including in connection with any aforementioned disputes, terminate the relevant license agreement, thereby removing or limiting our ability to develop and commercialize technology covered by these license agreements. If any such in-license is terminated, or if the licensed patents fail to provide the intended exclusivity, competitors or other third parties might have the freedom to market or develop technologies similar to ours. In addition, absent the rights granted to us under such license agreements, we may infringe the intellectual property rights that are the subject of those agreements, we may be subject to litigation by the licensor, and if such litigation by the licensor is successful we may be required to pay damages to our licensor, or we may be required to cease our development and commercialization activities which are deemed infringing, and in such event we may ultimately need to modify our activities or technologies to design around such infringement, which may be time- and resource-consuming, and which may not be ultimately successful. Any of the foregoing could have a material adverse effect on our business, financial condition, results of operations and prospects.
In addition, our rights to certain components of our discovery and development engine are licensed to us on a non-exclusive basis. The owners of these non-exclusively licensed technologies are therefore free to license them to third parties, including our competitors, on terms that may be superior to those offered to us, which could place us at a competitive disadvantage. Moreover, our licensors may own or control intellectual property that has not been licensed to us and, as a result, we may be subject to claims, regardless of their merit, that we are infringing or otherwise violating the licensor’s rights. In addition, certain of our agreements with third parties may provide that intellectual property arising under these agreements, such as data that could be valuable to our business, will be owned by the counterparty, in which
case, we may not have adequate rights to use such data or have exclusivity with respect to the use of such data, which could result in third parties, including our competitors, being able to use such data to compete with us.
If we cannot acquire or license rights to use technologies on reasonable terms or if we fail to comply with our obligations under such agreements, we may not be able to commercialize new technologies or services in the future and our business could be harmed.
In the future, we may identify third party intellectual property and technology we may need to license in order to engage in our business, including to develop or commercialize new technologies or services, and the growth of our business may depend in part on our ability to acquire, in-license or use this technology. However, such licenses may not be available to us on acceptable terms or at all. The licensing or acquisition of third-party intellectual property rights is a competitive area, and several more established companies may pursue strategies to license or acquire third party intellectual property rights that we may consider attractive or necessary. These established companies may have a competitive advantage over us due to their size, capital resources and greater development or commercialization capabilities. In addition, companies that perceive us to be a competitor may be unwilling to assign or license rights to us. Even if such licenses are available, we may be required to pay the licensor in return for the use of such licensor’s technology, lump-sum payments, payments based on certain milestones such as sales volumes, or royalties based on sales of our discovery and development engine. In addition, such licenses may be non-exclusive, which could give our competitors access to the same intellectual property licensed to us. We may also need to acquire or negotiate licenses to patents or patent applications before or after introducing a new service. The acquisition and licensing of third-party patent rights is a competitive area, and other companies may also be pursuing strategies to acquire or license third party patent rights that we may consider attractive. We may not be able to acquire or obtain necessary licenses to patents or patent applications. Even if we are able to obtain a license to patent rights of interest, we may not be able to secure exclusive rights, in which case others could use the same rights and compete with us.
In spite of our best efforts, our licensors might conclude that we have materially breached our license agreements and might therefore terminate the license agreements, thereby removing our ability to develop and commercialize technology covered by these license agreements. If these licenses are terminated, or if the underlying intellectual property fails to provide the intended exclusivity, competitors would have the freedom to seek regulatory approval of, and to market, technologies identical to ours. This could have a material adverse effect on our competitive position, business, financial condition, results of operations and prospects. Additionally, termination of these agreements or reduction or elimination of our rights under these agreements, or restrictions on our ability to freely assign or sublicense our rights under such agreements when it is in the interest of our business to do so, may result in our having to negotiate new or reinstated agreements with less favorable terms, or cause us to lose our rights under these agreements, including our rights to important intellectual property or technology or impede, or delay or prohibit the further development or commercialization of one or more technologies that rely on such agreements.
While we still face all of the risks described herein with respect to those agreements, we cannot prevent third parties from also accessing those technologies. In addition, our licenses may place restrictions on our future business opportunities.
In addition to the above risks, intellectual property rights that we license in the future may include sublicenses under intellectual property owned by third parties, in some cases through multiple tiers. The actions of our licensors may therefore affect our rights to use our sublicensed intellectual property, even if we are in compliance with all of the obligations under our license agreements. Should our licensors or any of the upstream licensors fail to comply with their obligations under the agreements pursuant to which they obtain the rights that are sublicensed to us, or should such agreements be terminated or amended, our ability to further commercialize our technology may be materially harmed.
Further, we may not have the right to control the prosecution, maintenance and enforcement of all of our licensed and sublicensed intellectual property, and even when we do have such rights, we may require the cooperation of our licensors and upstream licensors, which may not be forthcoming. Our business could be adversely affected if we or our licensors are unable to prosecute, maintain and enforce our licensed and sublicensed intellectual property effectively.
Our licensors may have relied on third-party consultants or collaborators or on funds from third parties such that our licensors are not the sole and exclusive owners of the patents and patent applications we in-license. If other third parties have ownership rights to patents or patent applications we in-license, they may be able to license such patents to our competitors, and our competitors could market competing products and technology. This could have a material adverse effect on our competitive position, business, financial conditions, results of operations and prospects.
Our business, financial condition, results of operations and prospects could be materially and adversely affected if we are unable to enter into necessary agreements on acceptable terms or at all, if any necessary licenses are subsequently terminated, if the licensors fail to abide by the terms of the licenses or fail to prevent infringement by third parties, or if the acquired or licensed patents or other rights are found to be invalid or unenforceable. Moreover, we could encounter delays in the introduction of services while we attempt to develop alternatives. Defense of any lawsuit or failure to obtain any of these licenses on favorable terms could prevent us from commercializing products, which could harm our business, financial condition, results of operations and prospects.
We may not be able to protect our intellectual property rights throughout the world.
Filing, prosecuting and defending patents on our discovery and development engine, software, systems, workflows and processes in all countries throughout the world would be prohibitively expensive, and our intellectual property rights in some countries outside the United States and Canada can be less extensive than those in the United States and Canada. In addition, the laws of some foreign countries do not protect intellectual property rights to the same extent as the laws of the United States and Canada, and even where such protection is nominally available, judicial and governmental enforcement of such intellectual property rights may be lacking. Whether filed in the United States or abroad, our patent applications may be challenged or may fail to result in issued patents. Further, we may encounter difficulties in protecting and defending such rights in foreign jurisdictions. Consequently, we may not be able to prevent third parties from practicing our inventions in some or all countries outside the United States and Canada, or from selling or importing products made using our inventions in and into the United States, Canada or other jurisdictions. For example, as a result of the Russia sanctions and the potential retaliatory acts from Russia, we may be unable to obtain patent rights to our Trianni and microfluidic platforms as well as bamlanivimab which are protected in other jurisdictions around the world. Competitors may use our technologies in jurisdictions where we have not obtained patent protection to develop their own platform or technologies and may also sell their products or services to territories where we have patent protection, but enforcement is not as strong as that in the United States and Canada. These platforms and technologies may compete with ours. Our patents or other intellectual property rights may not be effective or sufficient to prevent them from competing. In addition, certain countries have compulsory licensing laws under which a patent owner may be compelled to grant licenses to other parties. Furthermore, many countries limit the enforceability of patents against other parties, including government agencies or government contractors. In these countries, the patent owner may have limited remedies, which could materially diminish the value of any patents. In many foreign countries, patent applications and/or issued patents, or parts thereof, must be translated into the native language. If our patent applications or issued patents are translated incorrectly, they may not adequately cover our technologies; in some countries, it may not be possible to rectify an incorrect translation, which may result in patent protection that does not adequately cover our technologies in those countries.
Many companies have encountered significant problems in protecting and defending intellectual property rights in foreign jurisdictions. The legal systems of many other countries do not favor the enforcement of patents and other intellectual property protection, particularly those relating to biotechnology, which could make it difficult for us to stop the misappropriation or other violations of our intellectual property rights including infringement of our patents in such countries. Proceedings to enforce our patent rights in foreign jurisdictions could result in substantial cost and divert our efforts and attention from other aspects of our business, could put our patents at risk of being invalidated or interpreted narrowly and our patent applications at risk of not issuing, and could provoke third parties to assert claims against us. We may not prevail in any lawsuits that we initiate, or that are initiated against us, and the damages or other remedies awarded, if any, may not be commercially meaningful. In addition, changes in the law and legal decisions by courts in the United States and Canada and foreign countries may affect our ability to obtain adequate protection for our technologies and the enforcement of intellectual property. Accordingly, our efforts to enforce our intellectual property rights around the world may be inadequate to obtain a significant commercial advantage from the intellectual property that we develop or license.
Intellectual property rights do not necessarily address all potential threats to our competitive advantage.
The degree of future protection afforded by our intellectual property rights is uncertain because intellectual property rights have limitations and may not adequately protect our business or permit us to maintain our competitive advantage. For example:
•others may be able to make products that are similar to any product candidates we may develop or utilize similar technology but that are not covered by the claims of the patents that we license or may own in the future;
•we, or our current or future collaborators, might not have been the first to make the inventions covered by the issued patents and pending patent applications that we license or may own in the future;
•we, or our current or future collaborators, might not have been the first to file patent applications covering certain of our or their inventions;
•others may independently develop similar or alternative technologies or duplicate any of our technologies without infringing our owned or licensed intellectual property rights;
•it is possible that our pending patent applications or those that we may own in the future will not lead to issued patents;
•issued patents that we hold rights to may be held invalid or unenforceable, including as a result of legal challenges by our competitors;
•our competitors might conduct research and development activities in countries where we do not have patent rights and then use the information learned from such activities to develop competitive products for sale in our major commercial markets;
•we cannot ensure that any patents issued to us or our licensors will provide a basis for an exclusive market for our commercially viable product candidates or will provide us with any competitive advantages;
•we cannot ensure that our commercial activities or product candidates will not infringe upon the patents of others;
•we cannot ensure that we will be able to further commercialize our technology on a substantial scale, if approved, before the relevant patents that we own or license expire;
•we cannot ensure that any of our patents, or any of our pending patent applications, if issued, or those of our licensors, will include claims having a scope sufficient to protect our technology;
•we may not develop additional proprietary technologies that are patentable;
•the patents or intellectual property rights of others may harm our business; and
•we may choose not to file a patent application in order to maintain certain trade secrets or know-how, and a third party may subsequently file a patent covering such intellectual property.
Should any of these events occur, they could have a material adverse effect on our business, financial condition, results of operations and prospects.
If we are unable to protect the confidentiality of our information and our trade secrets, the value of our technology could be materially adversely affected and our business could be harmed.
We rely heavily on trade secrets and confidentiality agreements to protect our unpatented know-how, technology and other proprietary information, including parts of our discovery and development engine, and to maintain our competitive position. However, trade secrets and know-how can be difficult to protect. In addition to pursuing patents on our technology, we take steps to protect our intellectual property and proprietary technology by entering into agreements, including confidentiality agreements, non-disclosure agreements and intellectual property assignment agreements, with our employees, consultants, academic institutions, corporate partners and, when needed, our advisers. However, we cannot be certain that such agreements have been entered into with all relevant parties, and we cannot be certain that our trade secrets and other confidential proprietary information will not be disclosed or that competitors will not otherwise gain access to our trade secrets or independently develop substantially equivalent information and techniques. For example, any of these parties may breach the agreements and disclose our proprietary information, including our trade secrets, and we may not be able to obtain adequate remedies for such breaches. Such agreements may not be enforceable or may not provide meaningful protection for our trade secrets or other proprietary information in the event of unauthorized use or disclosure or other breaches of the agreements, and we may not be able to prevent such unauthorized disclosure, which could adversely impact our ability to establish or maintain a competitive advantage in the market. If we are required to assert our rights against such party, it could result in significant cost and distraction.
Monitoring unauthorized disclosure and detection of unauthorized disclosure is difficult, and we do not know whether the steps we have taken to prevent such disclosure are, or will be, adequate. If we were to enforce a claim that a third party had illegally obtained and was using our trade secrets, it would be expensive and time-consuming, and the outcome would be unpredictable. In addition, some courts both within and outside the United States and Canada may be less willing, or unwilling, to protect trade secrets.
We also seek to preserve the integrity and confidentiality of our confidential proprietary information by maintaining physical security of our premises and physical and electronic security of our information technology systems,
but it is possible that these security measures could be breached. If any of our confidential proprietary information were to be lawfully obtained or independently developed by a competitor or other third party, absent patent protection, we would have no right to prevent such competitor from using that technology or information to compete with us, which could harm our competitive position. If any of our trade secrets were to be disclosed to or independently discovered by a competitor or other third party, it could harm our business, financial condition, results of operations and prospects.
We may be subject to claims that our employees, consultants or independent contractors have wrongfully used or disclosed confidential information of third parties or that our employees have wrongfully used or disclosed alleged trade secrets of their former employers.
We have employed and expect to employ individuals who were previously employed at universities or other companies. Although we try to ensure that our employees, consultants, advisors and independent contractors do not use the proprietary information or know-how of others in their work for us, we may be subject to claims that our employees, advisors, consultants or independent contractors have inadvertently or otherwise used or disclosed intellectual property, including trade secrets or other proprietary information of their former employers or other third parties, or to claims that we have improperly used or obtained such trade secrets. Litigation may be necessary to defend against these claims. If we fail in defending such claims, in addition to paying monetary damages, we may lose valuable intellectual property rights and face increased competition to our business. A loss of key research personnel work product could hamper or prevent our ability to commercialize potential technologies and solutions, which could harm our business. Even if we are successful in defending against these claims, litigation could result in substantial costs and be a distraction to management.
In addition, while it is our policy to require our employees and contractors who may be involved in the conception or development of intellectual property to execute agreements assigning such intellectual property to us, we may be unsuccessful in executing such an agreement with each party who, in fact, conceives or develops intellectual property that we regard as our own. The assignment of intellectual property rights may not be self-executing, or the assignment agreements may be breached, and we may be forced to bring claims against third parties, or defend claims that they may bring against us, to determine the ownership of what we regard as our intellectual property. Any of the foregoing could harm our business, financial condition, results of operations and prospects.
We may not be able to protect and enforce our trademarks and trade names, or build name recognition in our markets of interest thereby harming our competitive position.
The registered or unregistered trademarks or trade names that we own may be challenged, infringed, circumvented, declared generic, lapsed or determined to be infringing on or dilutive of other marks. We may not be able to protect our rights in these trademarks and trade names, which we need in order to build name recognition. In addition, third parties may in the future file for registration of trademarks similar or identical to our trademarks, thereby impeding our ability to build brand identity and possibly leading to market confusion. If they succeed in registering or developing common law rights in such trademarks, and if we are not successful in challenging such rights, we may not be able to use these trademarks to develop brand recognition of our discovery and development engine. In addition, there could be potential trade name or trademark infringement claims brought by owners of other registered trademarks or trademarks that incorporate variations of our registered or unregistered trademarks or trade names. Further, we have and may in the future enter into agreements with owners of such third party trade names or trademarks to avoid potential trademark litigation which may limit our ability to use our trade names or trademarks in certain fields of business.
We have not yet registered certain of our trademarks in all of our potential markets, although we have registered AbCellera in the United States and Canada as well as certain of our trademarks outside of the United States and Canada. If we apply to register these trademarks in other countries, and/or other trademarks in the United States, Canada and other countries, our applications may not be allowed for registration in a timely fashion or at all; and further, our registered trademarks may not be maintained or enforced. In addition, opposition or cancellation proceedings may in the future be filed against our trademark applications and registrations, and our trademarks may not survive such proceedings. In addition, third parties may file first for our trademarks in certain countries. If they succeed in registering such trademarks, and if we are not successful in challenging such third party rights, we may not be able to use these trademarks to market our technologies in those countries. If we do not secure registrations for our trademarks, we may encounter more difficulty in enforcing them against third parties than we otherwise would. If we are unable to establish name recognition based on our trademarks and trade names, we may not be able to compete effectively, which could harm our business, financial condition, results of operations and prospects. And, over the long-term, if we are unable to establish name recognition based on our trademarks, then our marketing abilities may be materially adversely impacted.
We may be subject to claims challenging the inventorship of our patents and other intellectual property.
We or our licensors may be subject to claims that former employees, partners or other third parties have an interest in our owned or in-licensed patents, trade secrets or other intellectual property as an inventor or co-inventor. Litigation may be necessary to defend against these and other claims challenging inventorship of our or our licensors’ ownership of our owned or in-licensed patents, trade secrets or other intellectual property. If we or our licensors fail in defending any such claims, in addition to paying monetary damages, we may lose valuable intellectual property rights, such as exclusive ownership of, or right to use, intellectual property that is important to our systems, including our software, workflows, consumables and reagent kits. Even if we are successful in defending against such claims, litigation could result in substantial costs and be a distraction to management and other employees, and certain partners or partners may defer engaging with us until the particular dispute is resolved. Any of the foregoing could have a material adverse effect on our business, financial condition, results of operations and prospects.
We are and in the future may be involved in litigation and other proceedings related to intellectual property, which could be time-intensive and costly and may adversely affect our business, financial condition, results of operations and prospects.
In recent years, there has been significant litigation in the United States and other jurisdictions involving intellectual property rights. We are and may in the future be involved with litigation or actions at the USPTO or the patent offices of other jurisdictions with various third parties that claim we or our partners using our solutions have misappropriated, misused or infringed other parties’ intellectual property rights. We expect that the number of such claims may increase as our business and the level of competition in our industry segments grow. Any infringement claim, regardless of its validity, could harm our business by, among other things, resulting in time-consuming and costly litigation, diverting management’s time and attention from the development of the business, requiring the payment of monetary damages (including treble damages, attorneys’ fees, costs and expenses) or royalty payments, or result in potential or existing partners delaying purchases of our data packages or entering into engagements with us pending resolution of the dispute.
As we move into new markets and applications for our discovery and development engine, incumbent participants in such markets may assert their patents and other proprietary rights against us as a means of slowing our entry into such markets or as a means to extract substantial license and royalty payments from us. Our competitors and others may now and, in the future, have significantly larger and more mature patent portfolios than we currently have. In addition, future litigation may involve patent holding companies or other adverse patent owners who have no relevant product or service revenue and against whom our own patents may provide little or no deterrence or protection. Therefore, our commercial success may depend in part upon our ability to develop, manufacture, market and sell any products and services that we may develop and use without infringing, misappropriating or otherwise violating the intellectual property and proprietary rights of third parties, or the invalidity of such patents or proprietary rights.
Our research, development and commercialization activities may in the future be subject to claims that we infringe or otherwise violate patents or other intellectual property rights owned or controlled by third parties. There is a substantial amount of litigation and other patent challenges, both within and outside the United States and Canada, involving patent and other intellectual property rights in the biotechnology industry, including patent infringement lawsuits, interferences, oppositions and inter partes review proceedings before the USPTO, and corresponding foreign patent offices. Third parties may initiate legal proceedings against us or our licensor, and we or our licensor may initiate legal proceedings against third parties. The outcome of such proceedings would be uncertain and could have a material adverse effect on the success of our business. Numerous U.S., Canadian and foreign issued patents and pending patent applications, which are owned by third parties, exist in the fields in which we are developing our discovery and development engine. As the biotechnology industry expands and more patents are issued, the risk increases that our technologies may be subject to claims of infringement of the patent rights of third parties.
Additionally, the risks of being involved in such litigation and proceedings may increase if our technology nears commercialization. Numerous significant intellectual property issues have been litigated, are being litigated and will likely continue to be litigated, between existing and new participants in our existing and targeted markets, and one or more third parties may assert that our technologies infringe their intellectual property rights as part of a business strategy to impede our successful entry into or growth in those markets.
The legal threshold for initiating litigation or contested proceedings is low, so that even lawsuits or proceedings with a low probability of success might be initiated and require significant resources to defend. An unfavorable outcome in any such proceeding could require us to cease using the related technology or developing or commercializing our
technology, or to attempt to license rights to it from the prevailing party, which may not be available on commercially reasonable terms, or at all.
Third parties may assert that we are employing their proprietary technology without authorization. We are also aware of issued U.S. patents and patent applications with subject matter related to our discovery and development engine, systems, workflows and processes, and there may be other related third party patents or patent applications of which we are not aware.
It is possible that we are or may become aware of patents or pending patent applications that we think do not relate to our technology or that we believe are invalid or unenforceable, but that may nevertheless be interpreted to encompass our technology and to be valid and enforceable. Thus, we do not know with certainty that our technology, or our development and commercialization thereof, do not and will not infringe, misappropriate or otherwise violate any third party’s intellectual property.
In addition, we may receive in the future, correspondence from third parties referring to the relevance of such third parties’ intellectual property to our technology, our workflows or our advanced automated systems, and we are currently engaged in litigation with such third parties (i.e., Berkeley Lights and Schrader). Because patent applications can take many years to issue, there may be currently pending patent applications which may later result in issued patents that our current or future programs or technologies may infringe. In addition, similar to what other companies in our industry have experienced, we expect our competitors and others may have patents or may in the future obtain patents and claim that making, having made, using, selling, offering to sell or importing our discovery and development engine, or the systems, workflows, consumables and reagent kits that comprise our discovery and development engine, infringes these patents. As to pending third party applications, we cannot predict with any certainty which claims will issue, if any, or the scope of such issued claims. Additionally, pending patent applications that have been published can, subject to certain limitations, be later amended in a manner that could cover our discovery and development engine, including our systems, workflows, consumables and reagent kits. Under the applicable law of certain jurisdictions, the scope of a patent claim is determined by an interpretation of the law, the written disclosure in a patent and the patent’s prosecution history. Our interpretation of the relevance or the scope of a patent or a pending application may be incorrect, which may negatively impact our ability to market our technologies. We may incorrectly determine that our technologies are not covered by a third party patent or may incorrectly predict whether a third party’s pending application will issue with claims of relevant scope. Our determination of the expiration date of any patent in the United States or abroad that we consider relevant may be incorrect, which may negatively impact our ability to develop and market our technologies.
There can be no assurance that we will prevail in any suit initiated against us by third parties, successfully settle or otherwise resolve patent infringement claims. A court of competent jurisdiction could hold that third party patents are valid, enforceable and infringed, which could materially and adversely affect our ability and the ability of our licensor to commercialize any technology we may develop and any other technologies covered by the asserted third-party patents. Third parties making claims against us may be able to obtain injunctive or other relief, which could block our ability to develop, commercialize and sell data packages, and could result in the award of substantial damages against us, including treble damages, attorney’s fees, costs and expenses if we are found to have willfully infringed. In the event of a successful claim of infringement against us, we may be required to pay damages and ongoing royalties, and obtain one or more licenses from third parties, or be prohibited from selling certain products or services. We may not be able to obtain these licenses on acceptable or commercially reasonable terms, if at all, or these licenses may be non-exclusive, which could result in our competitors and other third parties gaining access to the same intellectual property. In addition, we could encounter delays and incur significant costs in service introductions while we attempt to develop alternative processes, technologies or services, or redesign our technologies or services, to avoid infringing third party patents or proprietary rights. Defense of any lawsuit or failure to obtain any of these licenses or to develop a workaround could prevent us from commercializing products or services, and the prohibition of sale or the threat of the prohibition of sale of any of our data packages could materially affect our business and our ability to gain market acceptance for our technologies. Furthermore, because of the substantial amount of discovery required in connection with intellectual property litigation or administrative proceedings, there is a risk that some of our confidential information could be compromised by disclosure.
In addition, our agreements with some of our partners, suppliers or other entities with whom we do business require us to defend or indemnify these parties to the extent they become involved in infringement claims, including the types of claims described above. We could also voluntarily agree to defend or indemnify third parties in instances where we are not obligated to do so if we determine it would be important to our business relationships. If we are required or agree to defend or indemnify third parties in connection with any infringement claims, we could incur significant costs and expenses that could adversely affect our business, financial condition, results of operations and prospects.
Any uncertainties resulting from the initiation and continuation of any litigation or administrative proceeding could have a material adverse effect on our ability to raise additional funds or otherwise have a material adverse effect on our business, results of operations, financial condition and prospects.
The outcome of our litigation with Berkeley Lights may adversely affect our business, financial condition, results of operations and prospects.
In July 2020, we filed a complaint against Berkeley Lights, in the United States District Court for the District of Delaware, alleging that Berkeley Lights infringed and continues to infringe, directly and indirectly, the following patents exclusively licensed by the Company, including U.S. Patent Nos. 10,107,812; 10,274,494; 10,466,241; 10,578,618; 10,697,962; 10,087,408; 10,421,936 and 10,704,018, by making, using, offering for sale, selling and/or importing Berkeley Lights’ Beacon Optofluidic System. In August 2020, we filed an additional related complaint against Berkeley Lights in the United States District Court for the District of Delaware, alleging that Berkeley Lights infringed and continues to infringe, directly and indirectly, U.S. Patent Nos. 10,718,768; 10,738,270; 10,746,737 and 10,753,933. In September 2020, we filed another complaint against Berkeley Lights in the United States District Court for the District of Delaware, alleging that Berkeley Lights infringed and continues to infringe, directly and indirectly, U.S. Patent Nos. 10,775,376; 10,775,377 and 10,775,378. On December 3, 2020, the judge assigned to these three lawsuits ordered that they be transferred to the U.S. District Court for the Northern District of California. In these lawsuits, we are seeking, among other things, a judgment of infringement, a permanent injunction and damages (including lost profits, a reasonable royalty, reasonable costs and attorney’s fees and treble damages for willful infringement). In February 2021, these lawsuits were consolidated and assigned to the Honorable Judge Lucy Koh. In February 2021, Berkeley Lights filed a motion seeking leave to amend its counterclaims to add the allegations of unfair competition (as plead in the case described below) against AbCellera only. In July 2021, the Court allowed Berkeley to amend its counterclaims to add the unfair competition claims subject to our right to seek dismissal with prejudice should the counterclaims not overcome objections previously presented by us to the court. The Company is continuing to oppose the unfounded counterclaim and we intend to seek dismissal with prejudice. In March 2021, the court set this matter down for a jury trial with a December 12, 2022 start date. In July 2021, Berkeley Lights filed a Petition for inter partes review of U.S. Patent No. 10,087,408 that we exclusively license from the University of British Columbia. In July 2021, Berkeley Lights filed a second Petition for inter partes review of U.S. Patent No. 10,421,936 that we exclusively license from the University of British Columbia. In August 2021, Berkeley Lights filed a third Petition for inter partes review of U.S. Patent No. 10,738,270 that we exclusively license from the University of British Columbia. In August 2021, the court stayed the patent litigation against Berkeley Lights in view of the Petitions for inter partes review filed by Berkeley Lights. In January 2022, the PTAB denied one petition and instituted one petition. In February 2022, the PTAB denied the final petition. Trial on the instituted petition occurred in November 2022. In January 2023, the PTAB issued its Final Written Decision with respect to our U.S. Patent No. 10,087,408 rejecting all of Berkeley Lights’ grounds of unpatentability and determining that none of the challenged claims are unpatentable. In July 2023, the PTAB issued a written opinion denying Berkeley Lights’ request for rehearing of its prior written decision. Because the three aforementioned inter partes review matters have been resolved, we have sought relief from the Court to lift the pending stay and resume our patent infringement action against Berkeley Lights.
In August 2020, Berkeley Lights filed a complaint in the Northern District of California against us and our wholly-owned subsidiary Lineage Inc. The complaint includes two counts of unfair competition and one count of non-infringement of a U.S. patent: Patent No. 10,058,839 (the “’839 patent”). Berkeley Lights is seeking, among other things, damages and a declaratory judgment of non-infringement of the ’839 patent. We filed a motion to dismiss the action for lack of jurisdiction and failure to state a claim upon which relief can be granted pursuant to Federal Rules of Civil Procedure 12(b) 1, 2, and 6. In January 2021, the Court determined that there was no jurisdiction over AbCellera or Lineage and dismissed the unfair competition claims but ordered jurisdictional discovery on a limited basis with respect to AbCellera only regarding Berkeley Lights’ request for declaratory judgment on the ’839 patent. In July 2021, Berkeley Lights voluntarily dismissed this lawsuit.
In the event that Berkeley Lights were to prevail in the litigation against us, as a result of which Berkeley Lights could continue to sell its products, it could reduce our competitive advantage and differentiation in the market place, impairing our ability to bring in new business. Furthermore, Berkeley Lights may seek to invalidate the asserted patents during the litigation. If Berkeley Lights succeeds in invalidating the asserted patents, the strength of our intellectual property portfolio could be adversely affected and our ability to protect our technology, business and reputation or to generate licensing revenue from our intellectual property would be adversely impacted.
The outcome of our civil litigation with Schrader may adversely affect our business, financial condition, results of operations and prospects.
The Company recently became aware of a civil lawsuit filed by the Estate of John Schrader and another corporate entity naming as co-defendants the Company, some of its affiliates and Dr. Carl Hansen, the Company's CEO. The lawsuit
was filed in October 2022, in the Supreme Court of British Columbia (Vancouver). The complaint alleges breach of an implied partnership or joint venture between Dr. John Schrader and Dr. Hansen and further alleges patent infringement of an issued Canadian patent (No. 2,655,511). The complaint seeks financial damages as well as other declarations. The Company believes that the claims are meritless and frivolous in all respects and intends to defend itself appropriately.
Intellectual property litigation could cause us to spend substantial resources and distract our personnel from their normal responsibilities.
Litigation or other legal proceedings relating to intellectual property claims, even if resolved in our favor, may cause us to incur substantial costs and divert the attention of our management and technical personnel from their normal responsibilities in defending against any of these claims. Parties making claims against us may be able to sustain the costs of complex patent litigation more effectively than we can because they have substantially greater resources. Such litigation or proceedings could substantially increase our operating costs and reduce the resources available for development activities or any future sales, marketing, or distribution activities. We may not have sufficient financial or other resources to conduct such litigation or proceedings adequately. Some of our competitors may be able to sustain the costs of such litigation or proceedings more effectively than we can because of their greater financial resources and more mature and developed intellectual property portfolios. Uncertainties resulting from the initiation and continuation of intellectual property proceedings could harm our ability to compete in the marketplace. In addition, because of the substantial amount of discovery required in connection with intellectual property litigation, there is a risk that some of our confidential information could be compromised by disclosure during this type of litigation. Any of the foregoing could harm our business, financial condition, results of operations and prospects.
We may become involved in lawsuits to protect or enforce our intellectual property, which could be expensive, time consuming and unsuccessful and have a material adverse effect on the success of our business.
Third parties, including our competitors, could be infringing, misappropriating or otherwise violating our intellectual property rights. Monitoring unauthorized use of our intellectual property is difficult and costly. From time to time, we seek to analyze our competitors’ products and services, and may in the future seek to enforce our rights against potential infringement, misappropriation or violation of our intellectual property. However, the steps we have taken to protect our proprietary rights may not be adequate to enforce our rights as against such infringement, misappropriation or violation of our intellectual property. We may not be able to detect unauthorized use of, or take appropriate steps to enforce, our intellectual property rights. Any inability to meaningfully enforce our intellectual property rights could harm our ability to compete and reduce demand for our data packages.
Litigation may be necessary for us to enforce our patent and proprietary rights or to determine the scope, coverage and validity of the proprietary rights of others. We are currently engaged in a lawsuit with Berkeley Lights based upon our allegations of its infringement of our intellectual property rights and we may become involved in additional lawsuits in the future. We are also engaged in a civil lawsuit with Schrader based upon allegations of, among other things, infringement of their intellectual property. If we do not prevail in such legal proceedings, we may be required to pay damages, we may lose significant intellectual property protection for our technologies, such that competitors could copy our technologies and we could be forced to cease selling certain of our data packages. Any litigation that may be necessary in the future could result in substantial costs and diversion of resources and could have a material adverse effect on our business, financial condition, results of operations and prospects. In any lawsuit we bring to enforce our intellectual property rights, a court may refuse to stop the other party from using the technology at issue on grounds that our intellectual property rights do not cover the technology in question. Further, in such proceedings, the defendant could counterclaim that our intellectual property is invalid or unenforceable and the court may agree, in which case we could lose valuable intellectual property rights. The outcome in any such lawsuits are unpredictable. Even if we do prevail in any future litigation related to intellectual property rights, the cost and time requirements of the litigation could negatively impact our financial results.
Obtaining and maintaining our patent protection depends on compliance with various required procedures, document submissions, fee payments and other requirements imposed by governmental patent agencies, and our patent protection could be reduced or eliminated for non-compliance with these requirements.
Periodic maintenance fees, renewal fees, annuity fees and various other governmental fees on issued United States and most foreign patents and/or applications will be due to be paid to the USPTO and various governmental patent agencies outside of the United States at several stages over the lifetime of the patents and/or applications in order to maintain such patents and patent applications. We have systems in place to remind us to pay these fees, and we engage an outside service and rely on our outside counsel to pay these fees due to non-U.S. patent agencies. The USPTO and various
non-U.S. governmental patent agencies require compliance with a number of procedural, documentary, fee payment and other similar provisions during the patent application process. We employ reputable law firms and other professionals to help us comply, and in many cases, an inadvertent lapse can be cured by payment of a late fee or by other means in accordance with the applicable rules. However, there are situations in which non-compliance can result in abandonment or lapse of the patent or patent application, resulting in partial or complete loss of patent rights in the relevant jurisdiction. Non-compliance events that could result in abandonment or lapse of a patent or patent application include failure to respond to official actions within prescribed time limits, non-payment of fees and failure to properly legalize and submit formal documents. In such an event, if we or our licensors fail to maintain the patents and patent applications covering our products and technology our competitors may be able to enter the market with similar or identical products or technology without infringing our patents and this circumstance would have a material adverse effect on our business.
Patent terms may be inadequate to protect our competitive position on our technology for an adequate amount of time.
Patents have a limited lifespan. In the United States, if all maintenance fees are timely paid, the natural expiration of a patent is generally 20 years from its earliest U.S. non-provisional filing date. Various extensions may be available, but the life of a patent, and the protection it affords, is limited. Even if patents covering our discovery and development engine or technology are obtained, once the patent life has expired, we may be open to competition from others. If our discovery and development engine or technologies require extended development and/or regulatory review, patents protecting our discovery and development engine or technologies might expire before or shortly after we are able to successfully commercialize them. As a result, our owned and licensed patent portfolio may not provide us with sufficient rights to exclude others from commercializing processes or technologies similar or identical to ours.
Our use of open source software could compromise our ability to offer our data packages and subject us to possible litigation.
We use open source software in connection with our technology and computational engine of our platform, Celium. Companies that incorporate open source software into their technologies and services have, from time to time, faced claims challenging their use of open source software and compliance with open source license terms. As a result, we could be subject to lawsuits by parties claiming ownership of what we believe to be open source software or claiming noncompliance with open source licensing terms. Some open source software licenses require users who distribute software containing open source software to publicly disclose all or part of the source code to the licensee’s software that incorporates, links or uses such open source software, and make available to third parties for no cost, any derivative works of the open source code created by the licensee, which could include the licensee’s own valuable proprietary code. While we monitor our use of open source software and try to ensure that none is used in a manner that would require us to disclose our proprietary source code or that would otherwise breach the terms of an open source agreement, such use could inadvertently occur, or could be claimed to have occurred, in part because open source license terms are often ambiguous. There is little legal precedent in this area and any actual or claimed requirement to disclose our proprietary source code or pay damages for breach of contract could harm our business and could help third parties, including our competitors, develop technologies that are similar to or better than ours. Any of the foregoing could harm our business, financial condition, results of operations and prospects.
Some intellectual property that we have in-licensed may have been discovered through government funded programs and thus may be subject to federal regulations such as “march-in” rights, certain reporting requirements and a preference for U.S.-based companies. Compliance with such regulations may limit our exclusive rights, and limit our ability to contract with non-U.S. manufacturers.
Some of our intellectual property rights may have been generated through the use of U.S. government funding and are therefore subject to certain federal regulations. As a result, the U.S. government may have certain rights to intellectual property embodied in our technology pursuant to the Bayh-Dole Act of 1980, or Bayh-Dole Act, and implementing regulations. These U.S. government rights in certain inventions developed under a government-funded program include a non-exclusive, non-transferable, irrevocable worldwide license to use inventions for any governmental purpose. In addition, the U.S. government has the right to require us or our licensors to grant exclusive, partially exclusive, or non-exclusive licenses to any of these inventions to a third party if it determines that: (i) adequate steps have not been taken to commercialize the invention; (ii) government action is necessary to meet public health or safety needs; or (iii) government action is necessary to meet requirements for public use under federal regulations (also referred to as “march-in rights”). The U.S. government also has the right to take title to these inventions if we, or the applicable licensor, fail to disclose the invention to the government and fail to file an application to register the intellectual property within specified time limits. These time limits have recently been changed by regulation, and may change in the future. Intellectual property generated
under a government funded program is also subject to certain reporting requirements, compliance with which may require us or the applicable licensor to expend substantial resources. To date, only our work in helping develop bamlanivimab may be subject to government funding or “march-in” rights. In addition, the U.S. government requires that any products embodying the subject invention or produced through the use of the subject invention be manufactured substantially in the United States. The manufacturing preference requirement can be waived if the owner of the intellectual property can show that reasonable but unsuccessful efforts have been made to grant licenses on similar terms to potential licensees that would be likely to manufacture substantially in the United States or that under the circumstances domestic manufacture is not commercially feasible. This preference for U.S. manufacturers may limit our ability to contract with non-U.S. product manufacturers for products covered by such intellectual property. To the extent any of our future intellectual property is generated through the use of U.S. government funding, the provisions of the Bayh-Dole Act may similarly apply.
Risks Related to Ownership of Our Common Shares
If we fail to maintain proper and effective internal control over financial reporting, our operating results and our ability to operate our business could be harmed.
Ensuring that we have effective internal financial and accounting controls and procedures in place so that we can produce financial statements that are, in all material respects, in conformity with accounting principles generally accepted in the United States of America, on a timely basis is a costly and time-consuming effort that needs to be re-evaluated annually. We are also subject to the reporting and compliance requirements of Section 404 of the Sarbanes-Oxley Act of 2002, as amended, or the Sarbanes-Oxley Act, which require annual management assessment of the effectiveness of our internal control over financial reporting. Our internal control over financial reporting is a process designed to provide reasonable assurance regarding the reliability of financial reporting and the preparation of financial statements in accordance with generally accepted accounting principles.
Implementing any appropriate changes to our internal controls may distract our officers and employees, entail substantial costs to modify our existing processes, and take significant time to complete. These changes may not, however, be effective in maintaining the adequacy of our internal controls, and any failure to maintain that adequacy, or consequent inability to produce accurate financial statements on a timely basis, could increase our operating costs and harm our business. In our efforts to maintain proper and effective internal control over financial reporting, we may discover significant deficiencies or material weaknesses in our internal control over financial reporting, which we may not successfully remediate on a timely basis or at all. Any failure to remediate any significant deficiencies or material weaknesses identified by us or to implement required new or improved controls, or difficulties encountered in their implementation, could cause us to fail to meet our reporting obligations or result in material misstatements in our financial statements. If we identify one or more material weaknesses in the future, it could result in an adverse reaction in the financial markets due to a loss of confidence in the reliability of our financial statements, which may harm the market price of our shares.
Future sales and issuances of our common shares or rights to purchase common shares, including pursuant to our Employee Share Option and Incentive Plan, or EIP, could result in additional dilution of the percentage ownership of our shareholders and could cause our share price to fall.
We expect that significant additional capital will be needed in the future to continue our planned operations, including expanded research and development activities, and costs associated with operating as a public company. To raise capital, we may sell common shares, convertible securities or other equity securities in one or more transactions at prices and in a manner we determine from time to time. If we sell common shares, convertible securities or other equity securities, investors may be materially diluted by subsequent sales. Such sales may also result in material dilution to our existing shareholders, and new investors could gain rights, preferences, and privileges senior to the holders of our common shares.
Pursuant to our incentive plan, our management is authorized to grant equity incentive awards to our employees, directors and consultants.
Initially, the aggregate number of our common shares that may be issued pursuant to share awards under the EIP was 21,280,000 shares. The number of common shares reserved for issuance under the EIP shall be cumulatively increased on January 1, 2022 and each January 1 thereafter by 5% of the total number of common shares outstanding on December 31 of the preceding calendar year or a lesser number of shares determined by our board of directors. Unless our board of directors elects not to increase the number of shares available for future grant each year, our shareholders may experience additional dilution, which could cause our share price to fall.
Raising additional capital may cause dilution to our existing shareholders, restrict our operations or require us to relinquish rights to our technologies.
We may seek additional capital through a combination of public and private equity offerings, debt financings, strategic partnerships and alliances and licensing arrangements. To the extent that we raise additional capital through the sale of equity or convertible debt securities, your ownership interest will be diluted, and the terms may include liquidation or other preferences that adversely affect your rights as a shareholder. The incurrence of indebtedness would result in increased fixed payment obligations and could involve certain restrictive covenants, such as limitations on our ability to incur additional debt, limitations on our ability to acquire or license intellectual property rights and other operating restrictions that could adversely impact our ability to conduct our business. If we raise additional funds through strategic partnerships and alliances and licensing arrangements with third parties, we may have to relinquish valuable rights to our technologies or grant licenses on terms unfavorable to us.
We do not intend to pay dividends on our common shares, so any returns will be limited to the value of our common shares.
We currently anticipate that we will retain future earnings for the development, operation, expansion and continued investment into our business and do not anticipate declaring or paying any cash dividends for the foreseeable future. In addition, we may enter into agreements that prohibit us from paying cash dividends without prior written consent from our contracting parties, or which other terms prohibiting or limiting the amount of dividends that may be declared or paid on our common shares. For example, our multi-year contribution agreements with the Government of Canada and the Government of British Columbia that we entered into in May 2023 contain restrictions on our ability to declare and pay dividends. Any return to shareholders will therefore be limited to the appreciation of their common shares, which may never occur.
Our principal shareholders and management own a significant percentage of our shares and will be able to exert significant influence over matters subject to shareholder approval.
Our executive officers, directors, and 5% shareholders beneficially currently own over twenty percent of our common shares in the aggregate, based on ownership information filed by such holders. Therefore, these shareholders have the ability to influence us through this ownership position. These shareholders may be able to determine all matters requiring shareholder approval. For example, these shareholders may be able to control elections of directors, amendments of our organizational documents or approval of any merger, sale of assets or other major corporate transaction. This may prevent or discourage unsolicited acquisition proposals or offers for our common shares that you may feel are in your best interest as one of our shareholders.
Sales of a substantial number of our common shares in the public market could cause our share price to fall significantly, even if our business is doing well.
Sales of a substantial number of our common shares in the public market could occur at any time. If our shareholders sell, or the market perceived that our shareholders intend to sell, substantial amounts of our common shares in the public market, the market price of our common shares could decline significantly.
We have filed registration statements on Form S-3 and on Form S-8 to register our common shares that are issuable pursuant to our equity incentive plans. Shares registered under Form S-8 will be available for sale in the public market subject to vesting arrangements and exercise of options.
Additionally, certain holders of our common shares have rights, subject to some conditions, to require us to file one or more registration statements covering their shares or to include their shares in registration statements that we may file for ourselves or other shareholders. If we were to register the resale of these shares, they could be freely sold in the public market. If these additional shares are sold, or if it is perceived that they will be sold, in the public market, the trading price of our common shares could decline.
We are governed by the corporate laws of Canada which in some cases have a different effect on shareholders than the corporate laws of the United States.
We are governed by the Business Corporations Act (British Columbia), or BCBCA, and other relevant laws, which may affect the rights of shareholders differently than those of a company governed by the laws of a U.S. jurisdiction, and may, together with our charter documents, have the effect of delaying, deferring or discouraging another party from acquiring control of our company by means of a tender offer, a proxy contest or otherwise, or may affect the price an
acquiring party would be willing to offer in such an instance. The material differences between the BCBCA and Delaware General Corporation Law, or DGCL, that may have the greatest such effect include, but are not limited to, the following: (i) for certain corporate transactions (such as mergers and amalgamations or amendments to our articles) the BCBCA generally requires the voting threshold to be a special resolution approved by 66 2/3% of shareholders, or as set out in the articles, as applicable, whereas DGCL generally only requires a majority vote; and (ii) under the BCBCA a holder of 5% or more of our common shares can requisition a special meeting of shareholders, whereas such right does not exist under the DGCL. We cannot predict whether investors will find our company and our common shares less attractive because we are governed by foreign laws.
Our articles and certain Canadian legislation contain provisions that may have the effect of delaying, preventing or making undesirable an acquisition of all or a significant portion of our shares or assets or preventing a change in control.
Certain provisions of our articles and certain provisions under the BCBCA, together or separately, could discourage, delay or prevent a merger, acquisition or other change in control of us that shareholders may consider favorable, including transactions in which they might otherwise receive a premium for their common shares. These provisions include the establishment of a staggered board of directors, which divides the board into three groups, with directors in each group serving a three-year term. The existence of a staggered board can make it more difficult for shareholders to replace or remove incumbent members of our board of directors. As such, these provisions could also limit the price that investors might be willing to pay in the future for our common shares, thereby depressing the market price of our common shares. In addition, because our board of directors is responsible for appointing the members of our management team, these provisions may frustrate or prevent any attempts by our shareholders to replace or remove our current management by making it more difficult for shareholders to replace members of our board of directors. Among other things, these provisions include the following:
•shareholders cannot amend our articles unless such amendment is approved by shareholders holding at least 66 2/3% of the shares entitled to vote on such approval;
•our board of directors may, without shareholder approval, issue preferred shares in one or more series having any terms, conditions, rights, preferences and privileges as the board of directors may determine; and
•shareholders must give advance notice to nominate directors or to submit proposals for consideration at shareholders’ meetings.
A non-Canadian must file an application for review with the Minister responsible for the Investment Canada Act and obtain approval of the Minister prior to acquiring control of a “Canadian business” within the meaning of the Investment Canada Act, where prescribed financial thresholds are exceeded. A reviewable acquisition may not proceed unless the Minister is satisfied that the investment is likely to be of net benefit to Canada. If the applicable financial thresholds were exceeded such that a net benefit to Canada review would be required, this could prevent or delay a change of control and may eliminate or limit strategic opportunities for shareholders to sell their common shares. Furthermore, limitations on the ability to acquire and hold our common shares may be imposed by the Competition Act (Canada). This legislation has a pre-merger notification regime and mandatory waiting period that applies to certain types of transactions that meet specified financial thresholds, and permits the Commissioner of Competition to review any acquisition or establishment, directly or indirectly, including through the acquisition of shares, of control over or of a significant interest in us.
Our articles designate specific courts in Canada and the United States as the exclusive forum for certain litigation that may be initiated by our shareholders, which could limit our shareholders’ ability to obtain a favorable judicial forum for disputes with us.
Pursuant to our articles, unless we consent in writing to the selection of an alternative forum, the courts of the Province of British Columbia and the appellate courts therefrom shall, to the fullest extent permitted by law, be the sole and exclusive forum for: (a) any derivative action or proceeding brought on our behalf; (b) any action or proceeding asserting a claim of breach of fiduciary duty owed by any director, officer or other employee of ours to us; (c) any action or proceeding asserting a claim arising out of any provision of the BCBCA or our articles (as either may be amended from time to time); or (d) any action or proceeding asserting a claim or otherwise related to our affairs, or the Canadian Forum Provision. The Canadian Forum Provision will not apply to any causes of action arising under the Securities Act or the Exchange Act. In addition, our articles further provide that unless we consent in writing to the selection of an alternative forum, the United States District Court for the District of Delaware shall be the sole and exclusive forum for resolving any complaint filed in the United States asserting a cause of action arising under the Securities Act, or the U.S. Federal Forum
Provision. In addition, our articles provide that any person or entity purchasing or otherwise acquiring any interest in our common shares is deemed to have notice of and consented to the Canadian Forum Provision and the U.S. Federal Forum Provision; provided, however, that shareholders cannot and will not be deemed to have waived our compliance with the U.S. federal securities laws and the rules and regulations thereunder.
The Canadian Forum Provision and the U.S. Federal Forum Provision in our articles may impose additional litigation costs on shareholders in pursuing any such claims. Additionally, the forum selection clauses in our amended articles may limit our shareholders’ ability to bring a claim in a judicial forum that they find favorable for disputes with us or our directors, officers or employees, which may discourage the filing of lawsuits against us and our directors, officers and employees, even though an action, if successful, might benefit our shareholders. In addition, while the Delaware Supreme Court ruled in March 2020 that federal forum selection provisions purporting to require claims under the Securities Act be brought in federal court are “facially valid” under Delaware law, there is uncertainty as to whether other courts, including courts in Canada and other courts within the U.S., will enforce our U.S. Federal Forum Provision. If the U.S. Federal Forum Provision is found to be unenforceable, we may incur additional costs associated with resolving such matters. The U.S. Federal Forum Provision may also impose additional litigation costs on shareholders who assert that the provision is not enforceable or invalid. The courts of the Province of British Columbia and the United States District Court for the District of Delaware may also reach different judgments or results than would other courts, including courts where a shareholder considering an action may be located or would otherwise choose to bring the action, and such judgments may be more or less favorable to us than our shareholders.
Because we are a Canadian company, it may be difficult to serve legal process or enforce judgments against us.
We are incorporated and maintain operations in Canada. In addition, while certain of our directors and officers reside in the United States, many of them reside outside of the United States. Accordingly, service of process upon us may be difficult to obtain within the United States. Furthermore, because substantially all of our assets are located outside the United States, any judgment obtained in the United States against us, including one predicated on the civil liability provisions of the U.S. federal securities laws, may not be collectible within the United States. Therefore, it may not be possible to enforce those actions against us.
In addition, it may be difficult to assert U.S. securities law claims in original actions instituted in Canada. Canadian courts may refuse to hear a claim based on an alleged violation of U.S. securities laws against us or these persons on the grounds that Canada is not the most appropriate forum in which to bring such a claim. Even if a Canadian court agrees to hear a claim, it may determine that Canadian law and not U.S. law is applicable to the claim. If U.S. law is found to be applicable, the content of applicable U.S. law must be proved as a fact, which can be a time-consuming and costly process. Certain matters of procedure will also be governed by Canadian law. Furthermore, it may not be possible to subject foreign persons or entities to the jurisdiction of the courts in Canada. Similarly, to the extent that our assets are located in Canada, investors may have difficulty collecting from us any judgments obtained in the U.S. courts and predicated on the civil liability provisions of U.S. securities provisions.
If our estimates or judgments relating to our critical accounting policies prove to be incorrect or financial reporting standards or interpretations change, our results of operations could be adversely affected.
The preparation of financial statements in conformity with generally accepted accounting principles in the United States, or U.S. GAAP, requires management to make estimates and assumptions that affect the amounts reported in the consolidated financial statements and accompanying notes. We base our estimates on historical experience, known trends and events, and various other factors that we believe to be reasonable under the circumstances, as provided in “Management’s Discussion and Analysis of Financial Condition and Results of Operations—Critical Accounting Policies and Estimates.” The results of these estimates form the basis for making judgments about the carrying values of assets and liabilities that are not readily apparent from other sources. Our results of operations may be adversely affected if our assumptions change or if actual circumstances differ from those in our assumptions, which could cause our results of operations to fall below the expectations of securities analysts and investors, resulting in a decline in the trading price of our common shares.
Additionally, we regularly monitor our compliance with applicable financial reporting standards and review new pronouncements and drafts thereof that are relevant to us. As a result of new standards, changes to existing standards and changes in their interpretation, we might be required to change our accounting policies, alter our operational policies, and implement new or enhance existing systems so that they reflect new or amended financial reporting standards, or we may
be required to restate our published financial statements. Such changes to existing standards or changes in their interpretation may have an adverse effect on our reputation, business, financial position, and profit.
Our disclosure controls and procedures may not prevent or detect all errors or acts of fraud.
We are subject to certain reporting requirements of the Exchange Act. Our disclosure controls and procedures are designed to reasonably assure that information required to be disclosed by us in reports we file or submit under the Exchange Act is accumulated and communicated to management, recorded, processed, summarized, and reported within the time periods specified in the rules and forms of the SEC. We believe that any disclosure controls and procedures or internal controls and procedures, no matter how well conceived and operated, can provide only reasonable, not absolute, assurance that the objectives of the control system are met. These inherent limitations include the realities that judgments in decision-making can be faulty, and that breakdowns can occur because of simple error or mistake. Additionally, controls can be circumvented by the individual acts of some persons, by collusion of two or more people or by an unauthorized override of the controls. Accordingly, because of the inherent limitations in our control system, misstatements or insufficient disclosures due to error or fraud may occur and not be detected.
If we or our non-U.S. subsidiary is a CFC there could be materially adverse U.S. federal income tax consequences to certain U.S. Holders of our common shares.
Each “Ten Percent Shareholder” (as defined below) in a non-U.S. corporation that is classified as a controlled foreign corporation, or a CFC, for U.S. federal income tax purposes generally is required to include in income for U.S. federal tax purposes such Ten Percent Shareholder’s pro rata share of the CFC’s “Subpart F income,” global intangible low taxed income, and investment of earnings in U.S. property, even if the CFC has made no distributions to its shareholders. Subpart F income generally includes dividends, interest, rents, royalties, gains from the sale of securities and income from certain transactions with related parties. In addition, a Ten Percent Shareholder that realizes gain from the sale or exchange of shares in a CFC may be required to classify a portion of such gain as dividend income rather than capital gain. An individual that is a Ten Percent Shareholder with respect to a CFC generally would not be allowed certain tax deductions or foreign tax credits that would be allowed to a Ten Percent Shareholder that is a U.S. corporation. Failure to comply with these reporting obligations may subject a Ten Percent Shareholder to significant monetary penalties and may prevent the statute of limitations with respect to such Ten Percent Shareholder’s U.S. federal income tax return for the year for which reporting was due from starting.
A non-U.S. corporation generally will be classified as a CFC for U.S. federal income tax purposes if Ten Percent Shareholders own, directly, indirectly, or constructively, more than 50% of either the total combined voting power of all classes of stock of such corporation entitled to vote or of the total value of the stock of such corporation. A “Ten Percent Shareholder” is a United States person (as defined by the Code) who owns or is considered to own 10% or more of the total combined voting power of all classes of stock entitled to vote or 10% or more of the total value of all classes of stock of such corporation.
The determination of CFC status is complex and includes attribution rules, the application of which is not entirely certain. In addition, recent changes to the attribution rules relating to the determination of CFC status may make it difficult to determine our CFC status for any taxable year. In addition, those changes to the attribution rules may result in ownership of the stock of our non-U.S. subsidiaries being attributed to our U.S. subsidiaries, which could result in our non-U.S. subsidiaries being treated as CFCs and certain U.S. Holders of our common shares being treated as Ten Percent Shareholders of such non-U.S. subsidiary CFCs. In addition, it is possible that a shareholder treated as a U.S. person for U.S. federal income tax purposes will acquire, directly or indirectly, enough of our common shares to be treated as a Ten Percent Shareholder. We believe that we and our non-U.S. subsidiaries will not be treated as CFCs in the 2022 taxable year solely by virtue of direct or indirect ownership by Ten Percent Shareholders. However, we believe that our non-U.S. subsidiaries may be treated as CFCs in the 2022 taxable year due to attribution rules that deem constructive ownership by our U.S. subsidiaries. It is unclear whether we would be treated as a CFC in a subsequent taxable year. We cannot provide any assurances that we will assist holders of our common shares in determining whether we or any of our non-U.S. subsidiaries are treated as a CFC or whether any holder of the common shares is treated as a Ten Percent Shareholder with respect to any such CFC or furnish to any Ten Percent Shareholders information that may be necessary to comply with the aforementioned reporting and tax paying obligations.
U.S. Holders should consult their tax advisors with respect to the potential adverse U.S. tax consequences of becoming a Ten Percent Shareholder in a CFC, including the possibility and consequences of becoming a Ten Percent Shareholder in our non-U.S. subsidiaries that may be treated as CFCs due to the changes to the attribution rules. If we are
classified as both a CFC and a PFIC (as defined below), we generally will not be treated as a PFIC with respect to those U.S. Holders that meet the definition of a Ten Percent Shareholder during the period in which we are a CFC (referred to as the “CFC/PFIC overlap rule”). A “U.S. Holder” is a holder who, for U.S. federal income tax purposes, is a beneficial owner of our common shares and is (i) an individual who is a citizen or resident of the United States, (ii) a corporation, or other entity taxable as a corporation, created or organized in or under the laws of the United States, any state therein or the District of Columbia, (iii) an estate the income of which is subject to U.S. federal income taxation regardless of its source or (iv) a trust if (1) a U.S. court is able to exercise primary supervision over the administration of the trust and one or more U.S. persons have authority to control all substantial decisions of the trust or (2) the trust has a valid election to be treated as a U.S. person under applicable U.S. Treasury Regulations. Recent proposed changes to PFIC regulations, if adopted, would expand the definition of “U.S. Holder” for purposes of the CFC/PFIC overlap rule and other PFIC rules, elections, and reporting requirements discussed below. The proposed regulations would require domestic partnerships and S-corporations to be treated as an aggregate of their partners or shareholders rather than as entities, which may result in such partners and shareholders to now be subject to the PFIC rules where they previously were not. It is unclear whether these proposed regulations may be adopted or if they will undergo further modifications before they are finalized. If adopted, it is also unclear when will be the effective date of the final regulations.
Our U.S. shareholders may suffer adverse tax consequences if we are characterized as a PFIC.
The rules governing passive foreign investment companies, or PFICs, can have adverse effects on U.S. Holders for U.S. federal income tax purposes. Generally, if, for any taxable year, at least 75% of our gross income is passive income (such as interest income), or at least 50% of the gross value of our assets (determined on the basis of a weighted quarterly average) is attributable to assets that produce passive income or are held for the production of passive income (including cash), we would be characterized as a PFIC for U.S. federal income tax purposes. The determination of whether we are a PFIC, which must be made annually after the close of each taxable year, depends on the particular facts and circumstances and may also be affected by the application of the PFIC rules, which are subject to differing interpretations. Our status as a PFIC will depend on the composition of our income and the composition and value of our assets (including goodwill and other intangible assets), which will be affected by how, and how quickly, we utilize any cash that was raised in any of our financing transactions. If we were a publicly traded CFC or not a CFC for any part of such year, the value of our assets generally may be determined by reference to the fair market value of our common shares, which may be volatile. Moreover, our ability to earn specific types of income that will be treated as non-passive for purposes of the PFIC rules is uncertain with respect to future years. We believe we were not classified as a PFIC during the taxable year ended December 31, 2022. The determination of whether we are a PFIC is a fact-intensive determination made on an annual basis applying principles and methodologies that in some circumstances are unclear and subject to varying interpretation. Accordingly, we cannot provide any assurances regarding our PFIC status for any current or future taxable years.
If we are classified as a PFIC, a U.S. Holder would be subject to adverse U.S. federal income tax consequences, such as ineligibility for certain preferred tax rates on capital gains or on actual or deemed dividends, interest charges on certain taxes treated as deferred, and additional reporting requirements under U.S. federal income tax laws and regulations. A U.S. Holder may in certain circumstances mitigate adverse tax consequences of the PFIC rules by filing an election to treat the PFIC as a qualified electing fund, or QEF, or, if shares of the PFIC are “marketable stock” for purposes of the PFIC rules, by making a mark-to-market election with respect to the shares of the PFIC. U.S. Holders are urged to consult their own tax advisors regarding the potential consequences if we were or were to become classified as a PFIC, including the availability, and advisability, of, and procedure for, making QEF or mark-to-market elections.
Tax authorities may disagree with our positions and conclusions regarding certain tax positions, resulting in unanticipated costs, taxes or non-realization of expected benefits.
A tax authority may disagree with tax positions that we have taken, which could result in increased tax liabilities. For example, the U.S. Internal Revenue Service or another tax authority could challenge our allocation of income by tax jurisdiction and the amounts paid between our affiliated companies pursuant to our intercompany arrangements and transfer pricing policies, including amounts paid with respect to our intellectual property development. Similarly, a tax authority could assert that we are subject to tax in a jurisdiction where we believe we have not established a taxable connection, often referred to as a “permanent establishment” under international tax treaties, and such an assertion, if successful, could increase our expected tax liability in one or more jurisdictions. A tax authority may take the position that material income tax liabilities, interest and penalties are payable by us, in which case, we expect that we might contest such assessment. Contesting such an assessment may be lengthy and costly and if we were unsuccessful in disputing the assessment, the implications could increase our anticipated effective tax rate, where applicable.
Changes in tax law could adversely affect our business and financial condition.
The rules dealing with U.S. federal, state, and local and non-U.S. taxation are constantly under review by persons involved in the legislative process, the U.S. Internal Revenue Service, the U.S. Treasury Department and other taxing authorities. Changes to tax laws or tax rulings, or changes in interpretations of existing laws (which changes may have retroactive application), could adversely affect us or holders of our common stock. These changes could subject us to additional income-based taxes and non-income taxes (such as payroll, sales, use, value-added, digital tax, net worth, property, and goods and services taxes), which in turn could materially affect our financial position and results of operations. Additionally, new, changed, modified, or newly interpreted or applied tax laws could increase our customers’ and our compliance, operating and other costs, as well as the costs of our products. In recent years, many such changes have been made, and changes are likely to continue to occur in the future. As we expand the scale of our business activities, any changes in the U.S. and non-U.S. taxation of such activities may increase our effective tax rate and harm our business, financial condition, and results of operations.
General Risk Factors
The ongoing military action between Russia and Ukraine and related sanctions could adversely affect our business, financial condition, and patent administration.
In February of 2022, Russian military forces invaded Ukraine, and sustained conflict and disruption in the region is likely. Although the length, impact and outcome of the ongoing military conflict in Ukraine is highly unpredictable, this conflict could lead to significant market disruptions, including significant volatility in commodity prices and supply of energy resources, instability in financial markets, higher inflation, supply chain interruptions, political and social instability, cyber attacks and cybersecurity threats, and could also aggravate the other risk factors that we identify herein.
In addition, the impact of sanctions against Russia and the potential retaliatory acts from Russia, could have a material adverse effect on our business and intellectual property rights. For example, we may be unable to obtain patent rights to our Trianni and microfluidic platforms as well as bamlanivimab which are protected in other jurisdictions around the world.
Impairment charges pertaining to goodwill, identifiable intangible assets or other long-lived assets from our mergers and acquisitions could have an adverse impact on our results of operations and the market value of our common stock.
The total purchase price pertaining to our acquisitions in recent years have been allocated to net tangible assets, identifiable intangible assets, in-process research and development and goodwill. Refer to Note 20 of our consolidated financial statements in our Annual Report on Form 10-K for the year ended December 31, 2022 for additional information. To the extent the value of goodwill or identifiable intangible assets or other long-lived assets become impaired, we will be required to incur material charges relating to the impairment. Any impairment charges could have a material adverse impact on our results of operations and the market value of our common stock.
Our employees, consultants and commercial partners may engage in misconduct or other improper activities, including non-compliance with regulatory standards and requirements, and insider trading.
We are exposed to the risk of fraud or other misconduct by our employees, consultants and commercial partners. Misconduct by these parties could include intentional failures to comply with the applicable laws and regulations in the United States, Canada and abroad, report financial information or data accurately or disclose unauthorized activities to us. These laws and regulations may restrict or prohibit a wide range of pricing, discounting and other business arrangements. Such misconduct could result in legal or regulatory sanctions and cause serious harm to our reputation. It is not always possible to identify and deter employee misconduct, and any other precautions we take to detect and prevent this activity may not be effective in controlling unknown or unmanaged risks or losses, or in protecting us from governmental investigations or other actions or lawsuits stemming from a failure to comply with these laws or regulations. If any such actions are instituted against us, and we are not successful in defending ourselves or asserting our rights, those actions could result in the imposition of significant civil, criminal and administrative penalties, which could have a significant impact on our business. Whether or not we are successful in defending against such actions or investigations, we could incur substantial costs, including legal fees and divert the attention of management in defending ourselves against any of these claims or investigations.
The market price of our common shares may be volatile, and you could lose all or part of your investment.
The trading price of our common shares is highly volatile and subject to wide fluctuations in response to various factors, some of which are beyond our control, including limited trading volume. These factors include:
•actual or anticipated fluctuations in our financial condition and operating results, including fluctuations in our quarterly and annual results;
•the introduction of new technologies or enhancements to existing technology by us or others in our industry;
•our inability to establish additional collaborations;
•departures of key scientific or management personnel;
•announcements of significant acquisitions, strategic partnerships, joint ventures or capital commitments by us or our competitors;
•our failure to meet the estimates and projections of the investment community or that we may otherwise provide to the public;
•publication of research reports about us or our industry, or antibody discovery in particular, or positive or negative recommendations or withdrawal of research coverage by securities analysts;
•changes in the market valuations of similar companies;
•overall performance of the equity markets;
•sales of our common shares by us or our shareholders in the future;
•trading volume of our common shares;
•disputes or other developments relating to proprietary rights, including patents, litigation matters and our ability to obtain patent protection for our technologies;
•significant lawsuits, including patent or shareholder litigation;
•general political and economic conditions, including those resulting from the conflict between Russia and Ukraine and the attendant sanctions; and
•other events or factors, many of which are beyond our control.
In addition, the stock market in general, and The Nasdaq Global Select Market and technology and life sciences companies in particular, have experienced extreme price and volume fluctuations that have often been unrelated or disproportionate to the operating performance of these companies. Broad market and industry factors may negatively affect the market price of our common shares, regardless of our actual operating performance. In the past, securities class action litigation has often been instituted against companies following periods of volatility in the market price of a company’s securities. This type of litigation, if instituted, could result in substantial costs and a diversion of management’s attention and resources, which would harm our business, financial condition and results of operations.
Requirements associated with being a public company will increase our costs significantly, as well as divert significant company resources and management attention.
As of this report, we are subject to the reporting requirements of the Exchange Act or the other rules and regulations of the SEC and any securities exchange relating to public companies. Sarbanes-Oxley, as well as rules subsequently adopted by the SEC and The Nasdaq Stock Market LLC, or Nasdaq, to implement provisions of Sarbanes-Oxley, impose significant requirements on public companies, including requiring establishment and maintenance of effective disclosure and financial controls and changes in corporate governance practices. Further, pursuant to the Dodd-Frank Wall Street Reform and Consumer Protection Act of 2010, the SEC has adopted additional rules and regulations in these areas, such as mandatory ‘‘say on pay’’ voting requirements that apply to us since we ceased to be an emerging growth company. Stockholder activism, the current political environment and the current high level of government intervention and regulatory reform may lead to substantial new regulations and disclosure obligations, which may lead to additional compliance costs and impact the manner in which we operate our business in ways we cannot currently anticipate. Compliance with the various reporting and other requirements applicable to public companies requires considerable time and attention of management. We cannot assure you that we will satisfy our obligations as a public company on a timely basis.
We expect the rules and regulations applicable to public companies to substantially increase our legal and financial compliance costs and to make some activities more time-consuming and costly. If these requirements divert the attention of our management and personnel from other business concerns, they could have a material adverse effect on our business, financial condition and results of operations. The increased costs will decrease our net income or increase our net loss and may require us to reduce costs in other areas of our business. In addition, as a public company, it may be more difficult or more costly for us to obtain certain types of insurance, including directors’ and officers’ liability insurance, and we may be forced to accept reduced policy limits and coverage or incur substantially higher costs to obtain the same or similar coverage. The impact of these events could also make it more difficult for us to attract and retain qualified personnel to serve on our board of directors, our board committees or as executive officers.
If securities or industry analysts do not publish research or publish inaccurate or unfavorable research about our business, our share price and trading volume could decline.
The trading market for our common shares will depend in part on the research and reports that securities or industry analysts publish about us or our business. If one or more of these analysts ceases coverage of our company or fails to publish reports on us regularly, demand for our shares could decrease, which might cause our share price and trading volume to decline.
Adverse developments affecting the financial services industry, such as actual events or concerns involving liquidity, defaults, or non-performance by financial institutions or transactional counterparties, could adversely affect the Company’s current and projected business operations and its financial condition and results of operations.
The majority of our cash and cash equivalents are maintained in high credit quality and liquid held for trading marketable securities, bank accounts and term deposits at Canadian banking institutions. Cash and cash equivalent held in depository accounts may exceed the C$100,000 Canadian Deposit Insurance Corporation insurance limits. Actual events involving limited liquidity, defaults, non-performance or other adverse developments that affect financial institutions, transactional counterparties or other companies in the financial services industry or the financial services industry generally, or concerns or rumors about any events of these kinds or other similar risks, have in the past and may in the future lead to market-wide liquidity problems. For example, in the first quarter of 2023, a number of financial institutions in the U.S. were placed into receivership by the Federal Deposit Insurance Corporation. Any material loss that we may experience in the future could have a material adverse effect on our financial condition and could materially impact our ability to pay our operational expenses or make other payments. Although we were not a depositor with any such financial institution placed into receivership, if the banking institutions that hold our deposits were to fail, we could lose all or a portion of those amounts held in excess of applicable insurance limitations. In such an event, our access to our cash in amounts adequate to finance our operations could be significantly impaired by the financial institutions with which we have arrangements directly facing liquidity constraints or failures.
In addition, if we were to borrow money in the future and if any of our lenders or counterparties to any such instruments were to be placed into receivership, we may be unable to access such funds. In addition, if any of our customers, suppliers or other parties with whom we conduct business are unable to access funds pursuant to such instruments or lending arrangements with such a financial institution, such parties’ ability to pay or perform their obligations to us or to enter into new commercial arrangements requiring additional payments to us or additional funding could be adversely affected.
Although we assess our banking and customer relationships as we believe necessary or appropriate, our access to funding sources and other credit arrangements in amounts adequate to finance or capitalize our current and projected future business operations could be significantly impaired by factors that affect our company, the financial institutions with which the Company has credit agreements or arrangements directly, or the financial services industry or economy in general. These factors could include, among others, events such as liquidity constraints or failures, the ability to perform obligations under various types of financial, credit or liquidity agreements or arrangements, disruptions or instability in the financial services industry or financial markets, or concerns or negative expectations about the prospects for companies in the financial services industry. These factors could involve financial institutions or financial services industry companies with which we have financial or business relationships, but could also include factors involving financial markets or the financial services industry generally.
The results of events or concerns that involve one or more of these factors could include a variety of material and adverse impacts on our current and projected business operations and our financial condition and results of operations. These could include, but may not be limited to, the following:
•Delayed access to deposits or other financial assets or the uninsured loss of deposits or other financial assets;
•Potential or actual breach of statutory, regulatory or contractual obligations, including obligations that require the Company to maintain letters of credit or other credit support arrangements;
•Termination of cash management arrangements and/or delays in accessing or actual loss of funds subject to cash management arrangements.
Item 2. Unregistered Sales of Equity Securities and Use of Proceeds.
None.
Item 5. Other Information
During the three months ended June 30, 2023, none of the Company’s directors or officers (as defined in Rule 16a-1(f) of the Securities Exchange Act of 1934) adopted, terminated or modified a Rule 10b5-1 trading arrangement or non-Rule 10b5-1 trading arrangement (as such terms are defined in Item 408 of Regulation S-K).
Item 6. Exhibits.
The following exhibits are filed with this Quarterly Report on Form 10-Q:
| | | | | | | | |
Exhibit Number | | Description |
| | |
| 3.1 | | |
| 4.1 | | |
| 4.2 | | |
| 10.1*† | | |
| 10.2*† | | |
| 31.1* | | |
| 31.2* | | |
| 32.1** | | |
| 32.2** | | |
| | |
| 101.INS* | | Inline XBRL Instance Document – the instance document does not appear in the Interactive Data File because XBRL tags are embedded within the Inline XBRL document. |
| 101.SCH* | | Inline XBRL Taxonomy Extension Schema Document |
| 101.CAL* | | Inline XBRL Taxonomy Extension Calculation Linkbase Document |
| 101.DEF* | | Inline XBRL Taxonomy Extension Definition Linkbase Document |
| 101.LAB* | | Inline XBRL Taxonomy Extension Label Linkbase Document |
| 101.PRE* | | |
| 104 | | Inline XBRL Taxonomy Extension Presentation Linkbase Document |
_________________________________________
* Filed herewith.
** The certifications furnished in Exhibit 32.1 and 32.2 hereto are deemed to be furnished with this Quarterly Report on Form 10-Q and will not be deemed to be “filed” for purposes of Section 18 of the Securities Exchange Act of 1934, as amended, except to the extent that the Registrant specifically incorporates them by reference
† Certain provisions, schedules and/or similar attachments to this exhibit have been omitted pursuant to Item 601(a)(5) and/or Item 601(b)(10)(iv), as applicable, of Regulation S-K. The Registrant agrees to furnish an unredacted, supplemental copy (including any omitted schedule or attachment) to the Securities Exchange Commission upon request. Redactions and omissions entered by the Company are shown in black.
SIGNATURES
Pursuant to the requirements of the Securities Exchange Act of 1934, the registrant has duly caused this report to be signed on its behalf by the undersigned thereunto duly authorized.
| | | | | | | | |
| AbCellera Biologics Inc. |
| | |
Date: August 3, 2023 | By: | /s/ Carl L.G. Hansen |
| | Carl L.G. Hansen, Ph.D. Chief Executive Officer (Principal Executive Officer) |
| | |
Date: August 3, 2023 | By: | /s/ Andrew Booth |
| | Andrew Booth Chief Financial Officer (Principal Financial Officer) |
abcellerabccontributiona
1 CONTRIBUTION AGREEMENT (Project Peregrine) This Agreement made Between: HIS MAJESTY THE KING IN RIGHT OF THE PROVINCE OF BRITISH COLUMBIA, as represented by the Ministry of Jobs, Economic Development and Innovation (the “Province”) And: ABCELLERA BIOLOGICS INC., a corporation duly incorporated under the laws of British Columbia, having its head office located at 2215 Yukon Street, Vancouver, BC V5Y 0A1 (the “Recipient”) RECITALS WHEREAS I- Recipient is a Canadian company that engages in research and development (R&D) partnerships to discover and develop next-generation therapeutic antibodies; Recipient has requested seventy-five million dollars ($75,000,000) in financial contributions from the Province to support Project Peregrine; II- The Province agrees to make contributions of up to seventy-five million dollars ($75,000,000) to support Project Peregrine, and subject to Recipient entering an agreement with the Minister of Industry for the Strategic Innovation Fund (“Federal SIF Agreement”); III- the Project involves: • constructing a biotechnology campus to transition discovered antibodies to Clinical Trials; and • advancing a portfolio of antibody drug programs, including research, development, regulatory compliance activities and execution of Phase 1 Clinical Trials. NOW, THEREFORE in accordance with the mutual covenants and agreements herein, the Province and Recipient agree as follows:
2 1. Purpose of the Agreement The purpose of this Agreement is to set out respective obligations and the terms and conditions under which the Province will provide funding in support of the Project (as defined herein). 2. Interpretation 2.1 Definitions. In this Agreement, a capitalized term has the meaning given to it in this section, unless otherwise specified: “Affiliated Person” means an affiliated person as defined in the Income Tax Act, as amended. “Agreement” means this contribution Agreement including all the schedules attached hereto, as such may be amended, restated or supplemented, from time to time. “Background Intellectual Property” means Intellectual Property that is not Project Intellectual Property and that is required for the carrying out of the Project or the exploitation of the Project Intellectual Property. “Background Intellectual Property Rights” means the Intellectual Property Rights in Background Intellectual Property. “Benefits Phase” means the period from the day after the Project Completion Date to and including the last day of the Term. “Change in Control” of the Recipient means: (a) if the Recipient is a public company, the acquisition by an individual or company (or two or more of them acting in concert), excluding Current Shareholders, that results in its or their direct or indirect beneficial ownership of or more of outstanding voting shares of the Recipient. For greater clarity, this shall not apply to an acquisition of voting stock made by the Current Shareholders; or (b) if the Recipient is a private company, the acquisition by an individual or company (or two or more of them acting in concert) that results in its or their direct or indirect beneficial ownership of or more of the voting shares in the Recipient; or
3 (c) if the Recipient enters into a binding obligation to sell, sells or otherwise disposes of all or substantially all of its assets. “Claim Period” means the following quarters of a calendar year: January 1 to March 31, April 1 to June 30, July 1 to September 30 and October 1 to December 31. “Clinical Trial” means any clinical study involving the administration of a product to a human subject. “Collaboration” means the Recipient’s association with one or more Collaboration Partners for the purpose of research and development. “Collaboration Partner” means, other than the Recipient and its affiliates, any Canadian based Small and Medium Sized Enterprise, any Canadian Research Institute, any licensed or accredited academic, post-secondary institution in Canada that is/are involved in the Collaboration. “Conditional Portion” shall have the meaning set forth in Section 4.1(b). “Contribution” means the funding, in Canadian dollars, made available by the Province under this Agreement. “Co-op Student” means a student, enrolled at a post-secondary school in Canada, who is employed by the Recipient in BC for two (2) Co-op Terms, i.e., a total of eight (8) months of full-time co-op placement. “Co-op Term” means a four (4) month full-time position. “Current Shareholders” means Thermopylae Holdings Ltd. with Dr. Carl Lars Genghis Hansen as the beneficial owner. “Designated Person” means a person that is: (a) Designated under the Special Economic Measures Act (Canada); (b) Listed on any other Sanctions-related list maintained by the Government of Canada, according to the most current version published by the Government of Canada via Global Affairs Canada, at its official website or any replacement website or other replacement official publication of such list or lists; or (c) Listed on any other Sanctions- related list or is a “designated person” under any applicable Canadian law. “Dispose” means, as regards a Project Asset, the transferring outside British Columbia for a purpose other than research and development or manufacturing by the Recipient, selling, leasing or otherwise disposing including, in the case of a prototype or pilot plant,
4 the transfer to commercial production, but in any event, shall not include abandoning the Project Asset for legitimate business reasons, such as the disposal of obsolete or disused equipment or materials. “Eligibility Date” means . “Eligible Supported Costs” means the costs associated with work performed in Canada, or outside of Canada to the extent explicitly permitted in this Agreement that are incurred and paid by the Recipient in respect of the Project, excluding any costs prohibited or deemed ineligible elsewhere in this Agreement. “Event of Default” means the events of default listed in Subsection 13.1. “Execution Date” means the date of the last signature to this Agreement such that the Agreement is signed and dated by all Parties. “Fair Market Value” means the price that would be agreed to in an open and unrestricted market between knowledgeable and willing parties dealing at arm’s length, who are fully informed and not under any compulsion to transact. “Force Majeure” means event or effect that cannot be reasonably anticipated or controlled and is not due to the negligence or willful misconduct of the affected Party. Force Majeure includes, but is not limited to, acts of God, acts of war, acts of public enemies, terrorism, strikes, fires, explosions, pandemic, actions of the elements, floods, or other similar causes beyond the control of the Parties in the performance of the Agreement where non-performance, by exercise of reasonable diligence, cannot be prevented. “FTE” or “Full Time Equivalent” means the equivalent to a full-time employee who would be responsible to work at least 2,000 hours for the Recipient when calculated on an annual basis. Each equivalent to a full-time employee is calculated by dividing (a) by (b) where (a) = the aggregate of all hours worked by each employee who works for the Recipient including hours taken by them as paid vacation, sick leave, and for other similar reasons, calculated on an annual basis, and (b) = 2,000 hours. “FTE Rate” means the average salary per hour for an employee in BC for the calendar year 2032. “Government Fiscal Year” means the period from April 1 of one year to March 31 of the following year. “Gross Business Revenues” or “GBR” means revenue in the currency reported in the audited consolidated financial statements of the Recipient, as determined in accordance with generally accepted accounting principles as applied by the Recipient on a consistent basis.
5 “Healthy Participant” means an individual (who is not a Patient) that is or that becomes a participant in research, either as a recipient of the test article or as a control. “Intellectual Property” means all inventions, whether or not patented or patentable, all commercial and technical information, whether or not constituting trade secrets, and all copyrightable works, industrial designs, integrated circuit topographies, and trademarks, whether or not registered or registrable. “Intellectual Property Rights” means all rights recognized by law in or to Intellectual Property, including but not limited to Intellectual Property rights protected through legislation. These shall include patents, copyrights, industrial design rights, integrated circuit topography rights, rights in trademarks and trade names, all rights in applications and registrations for any of the foregoing, and all rights in trade secrets and confidential information. “Interest Rate” means the interest rate calculated in accordance with section 4(2) of the Interest on Overdue Accounts Receivable Regulation (B.C. Reg. 214/83) made under the Financial Administration Act; “Joint Research Projects” shall have the meaning set forth in Section 4.2(g). “Material Change” means a significant change in the scope, objectives, outcomes or benefits of the Project including without limitation, the following: (a) The Project is not completed or not expected to be completed by the Project Completion Date; (b) a change in the locations where the Project is to be performed as identified in Subsection 5.2. “Milestone” means a significant point or event in the Project as set forth in Section 4.2, the accomplishment of which would trigger payment from the Province to the Recipient as set forth in Section 8.2. “Party” means the Province, or the Recipient, and collectively “Parties”. “Patient” means any individual with or at risk of a specific health condition, whether or not the individual currently receives any therapy to prevent or treat that condition. Patients are the individuals who directly experience the benefits and harms associated with medical products. “Platform Intellectual Property” shall be comprised of Project Intellectual Property generally applicable to the discovery, development, and manufacturing of therapeutic antibodies.
6 “Program Intellectual Property” shall be comprised of Project Intellectual Property related to antibody drug candidates, including but not limited to the composition of matter, manufacturing, formulation, and use thereof. “Project” means the project as described in Schedule 1 - Statement of Work. “Project Asset” means an asset which, in whole or in part, has been acquired, created, developed, advanced and/or contributed to by the Contribution. “Project Completion Date” means . “Project Intellectual Property” means all Intellectual Property conceived, produced, developed or reduced to practice in carrying out the Project by the Recipient and/or any Affiliated Persons of the Recipient, or any of their employees, agents, contractors or assigns. Project Intellectual Property shall be comprised of Platform Intellectual Property and Program Intellectual Property. “Project Intellectual Property Rights” means the Intellectual Property Rights in the Project Intellectual Property. “Province Performance Participation Period” shall have the meaning set forth in Subsection 4.3. “Recipient Fiscal Year” means the period for which the Recipient’s accounts in respect of its business or property are prepared for purposes of assessment under the Income Tax Act, as amended. For clarity, “Recipient Fiscal Year” means the period from January 1 of one year to December 31 of the same year. “Research Institution” means any for the purposes of research activities. “Resulting Products” means all products, services or processes that: (a) are produced using the Project Intellectual Property; or (b) incorporate any of the Project Intellectual Property. “Sanctions” means economic or financial sanctions or trade embargoes imposed, administered or enforced from time to time by the Government of Canada. “Schedule” means a schedule to this Agreement, including any amendments or supplements. “Similar Goods” means goods or services that closely resemble the goods or services being transferred, in respect of their component materials, form, function and
7 characteristics, and are capable of performing an equivalent function as, and of being commercially interchangeable with, the goods being transferred. “Small and Medium Sized Enterprises” means commercial (for-profit) businesses, operating in British Columbia, with fewer than 500 employees. Excluded are non-profit and government organizations, schools, hospitals, subsidiaries, co-operatives, and finance and leasing companies. “SMB Research Projects” shall have the meaning set forth in Section 4.2(h). “Term” means the duration of this Agreement as set out in Subsection 3.2 of this Agreement. “Work Phase” means the period from the Eligibility Date to and including the Project Completion Date. 2.2 Currency. Unless otherwise indicated, all dollar amounts referred to in this Agreement are to the currency of Canada. If any currency conversion shall be required in connection with any payments to the Province under this Agreement, such conversion shall be made by using the average of the exchange rates for the purchase and sale of United States Dollars reported by the Wall Street Journal (U.S., Western Edition) on the last day of the Recipient Fiscal Year. 2.3 Singular/Plural. Wherever from the context it appears appropriate, each term stated in either the singular or plural shall include the singular and the plural. 2.4 Entire Agreement. Unless amended in writing by the Parties, this Agreement comprises the entire agreement between the Parties in relation to the Project. No prior document, negotiation, provision, undertaking or agreement in relation to the subject matter of this Agreement has legal effect. No representation or warranty, whether express, implied or otherwise, has been made by the Province to the Recipient, except as expressly set out in this Agreement. 2.5 Inconsistency. In case of inconsistency or conflict between a provision contained in the part of the Agreement preceding the signatures and a provision contained in any of the Schedules to this Agreement, the provision contained in the part of the Agreement preceding the signatures will prevail. 2.6 Schedules. This Agreement contains the following Schedules as described below, which form an integral part of this Agreement: Schedule 1 - Statement of Work Schedule 2 - Communications Obligations Schedule 3 - Cost Principles Schedule 4 - Reporting Requirements Schedule 5 - Contested Proceedings
18 6.5 Creation of Environmental Sustainability Plan (a) The Recipient will create an environmental sustainability plan within one (1) year of the Execution Date, to the satisfaction of the Province. The plan will outline how the Recipient aims to reduce and limit its negative environmental impacts and contribute to Canada’s target of achieving a net- zero emissions economy by 2050. (b) The plan should touch on a variety of environmental themes, including but not limited to: measuring and reporting greenhouse gas (GHG) emissions for its Canadian operations, actions to reduce or offset GHG emissions of Canadian operations, climate change risks for the recipient, waste reduction, water management and supply chain greening. The plan must contain baseline figures, identify areas for improvement, present feasible, measurable targets, and establish strategies necessary to achieve outlined goals. (c) The Recipient must include in the Sustainability Plan any and all commitments made in the Section entitled “Reduction of Environmental Impacts” above. Failure to meet any of the commitments made in the Section entitled “Reduction of Environmental Impacts” above may constitute an Event of Default. (d) The Recipient may further include in the Sustainability Plan additional targets in respect of environmental outcomes, which are not commitments made in the Section entitled “Reduction of Environmental Impacts.” The achievement of supplementary targets set out by the Recipient through its Sustainability Plan are not obligations in respect of this Agreement. A failure by the Recipient to meet the supplementary targets will not constitute an Event of Default. (e) For the duration of the Work Phase, the Recipient will provide an annual update of the plan to the Province outlining further steps, actions and refinements that will be taken to further environmental sustainability objectives. (f) The Recipient will report to the Province annually on progress achieved regarding its Environmental Sustainability Plan, for the duration of the term, including progress against the specified targets. 6.6 Amendment. The Recipient shall provide written notice to the Province of any changes which may have an impact on Schedule 1 – Statement of Work. The Recipient shall provide to the satisfaction of the Province sufficient written reasons to justify modifications to the Agreement. At the Province’s sole discretion, the Province may request a formal amendment to be executed by the Parties. The Parties agree to negotiate
19 in good faith such amendments. Failure to agree may result in the Province declaring an Event of Default in accordance with this Agreement. 7. Government Funding 7.1 The Recipient represents that the list below states all funding from federal, provincial, territorial or municipal governments in Canada (“Government Funding”), requested or received by the Recipient or that the Recipient currently expects to request or receive to cover any of the Eligible Supported Costs. The list below excludes provincial and federal investment tax credits. Federal $ 225,000,000 (Strategic Innovation Fund) Provincial $ 75,000,000 (Province of British Columbia) Territorial $ 0 Municipal $ 0 Total $ 300,000,000 7.2 The Recipient shall inform the Province of any change to the amount of Government Funding identified in Subsection 7.1. The Recipient shall also inform the Province of any provincial and federal investment tax credits, received or expected to be received by the Recipient for the Eligible Supported Costs. Such notice must be made promptly in writing, and in any case not later than thirty (30) days following any change. In the event of additional Government Funding, the Province will have the right to either reduce the Contribution to the extent of any additional funding received by the Recipient or require the Recipient to repay the Contribution hereunder equal to the amount of any such additional funding received by the Recipient in accordance with Subsection 8.5. 7.3 In no instance will the total Government Funding (including SIF funding, provincial and federal investment tax credits) towards Eligible Supported Costs of the Project be allowed to exceed of total Eligible Supported Costs. 8. Claims and Payments 8.1 Separate Records. The Recipient shall maintain accounting records that account for the Contribution paid to the Recipient and the related Project costs, separate and distinct from any other sources of funding. 8.2 Claims Procedures. The Province will reimburse claims for Eligible Supported Costs and Milestones submitted for a Claim Period, provided there is no Event of Default and the claims are: (a) submitted for each Claim Period, except for the first claim which will start on the Eligibility Date;
20 (b) submitted within forty-five (45) days of the end of each Claim Period; (c) accompanied with details of all costs being claimed according to Schedule 3 – Cost Principles, which have been incurred by the Recipient and which will be substantiated by such documents as may be required by the Province and presented in accordance with the Activities contained in Schedule 1 - Statement of Work, and, details of all Milestones being claimed according to Section 4.2; (d) certified, in a form satisfactory to the Province, by the chief financial officer of the Recipient or such other person considered satisfactory to the Province; (e) adjusted, if necessary, by including a deduction for expenses included in a previous claim which were not eligible expenses according to Eligible Supported Costs definition in this Agreement or which were not paid by the Recipient; (f) accompanied by a report containing: (i) the Recipient’s revised projections of the Project cash flows for the current Government Fiscal Year; (ii) an identification of any planned or completed transfer to commercial production, transfer outside of Canada, sale, lease or other disposal of equipment funded in whole or in part by the Contribution; (iii) an itemized list of foreign sub-contracting costs, if any; (iv) the foreign exchange rates used in the claim; (v) progress report as specified in Subsection 1.2 of Schedule 4 - Reporting Requirements; and (vi) such other information as the Province may request from time to time. (g) accompanied by a statement from the Recipient repeating and confirming the representations set out in Section 10 of this Agreement as required by Subsection 10.3, and a certification that there are no Events of Defaults (and no state of facts exist which, with the giving of notice or the passing of time, or both, would constitute an Event of Default); and (h) accompanied by the Recipient’s travel policy (first claim only).
21 8.3 Final Claim Procedures. The Recipient shall submit, within forty-five (45) days after the Project Completion Date, the final claim along with: (a) an itemized statement certified by the Recipient’s chief financial officer, or such other person considered satisfactory to the Province, attesting to the total Eligible Supported Costs for the Project incurred and paid; (b) a statement of the total government funding (federal, provincial and municipal funding as well as tax credits) received or requested to cover the Eligible Supported Costs of the Project; and (c) a final progress report on the Project, as more fully described in Subsection 1.3 of Schedule 4 - Reporting Requirements. 8.4 Payment Procedures. (a) The Province shall review and approve the documentation submitted by the Recipient following the receipt of the Recipient’s claim and in the event of any deficiency in the documentation, the Province will notify the Recipient and the Recipient shall immediately take action to address and rectify the deficiency. (b) Subject to the maximum Contribution amounts set forth in Subsection 4.1 and all other conditions contained in this Agreement, the Province shall pay to the Recipient the Eligible Supported Costs and Milestones set forth in the Recipient's claim, in accordance with the Province’s customary practices. (c) The Province may request at any time that the Recipient provide satisfactory evidence to demonstrate that all Eligible Supported Costs and Milestones claimed have been paid. 8.5 Overpayment by the Province. Where the Province determines that the amount of the Contribution disbursed exceeds the amount to which the Recipient is entitled, the Recipient shall repay to the Province, promptly and no later than thirty (30) days from notice from the Province, the amount of the overpayment together with interest at the Interest Rate from the date of the notice to the day of payment to the Province in full. Any such amount is a debt due to the Province and is recoverable as such. 9. Reporting, Monitoring, Audit and Evaluation 9.1 Reports. The Recipient agrees to provide the Province with the reports as described in Schedule 4 - Reporting Requirements, to the Province’s satisfaction. 9.2 Additional Information. Upon request of the Province and at no cost to the Province, the Recipient shall promptly elaborate upon any report submitted or provide such additional information as may be requested.
22 9.3 Province’s Right to Audit Accounts and Records. The Recipient shall, at its own expense, maintain and preserve in Canada and make available for audit and examination by the Province or the Province’s representatives all books, accounts and records relating to this Agreement or the Project held by the Recipient, its Affiliated Persons, agents and contractors and of the information necessary to ensure compliance with the terms and conditions of this Agreement, including repayment to the Province. The Province will have the right to conduct such audits at the Province’s expense as may be considered necessary. Unless otherwise agreed to in writing by the Province, the Recipient and its Affiliated Persons, agents and contractors shall maintain and preserve all books, accounts, invoices, receipts and records and all other documentation related to this Agreement until the end of the Recipient Fiscal Year that ends seven (7) years after the fiscal year of the date on which they were created. 9.4 Access to Records. The Recipient shall, at all times, ensure that its agents, employees, assigns, contractors, and Affiliated Persons are obligated to provide to the Province or its authorized representatives records and other information that are in possession of those agents, employees, assigns, contractors, and Affiliated Persons and that relate to this Agreement or to the use of the Contribution. 9.5 Access to Premises. The Recipient and its Affiliated Persons shall provide the representatives of the Province reasonable access to premises to inspect and assess the progress of the Project or any element thereof and supply promptly on request such data as the Province may reasonably require for statistical or Project evaluation purposes. 9.6 Evaluation. The Recipient shall, at its own expense, participate in the preparation of case studies reporting on the outcomes of the Project, to be completed by the Province or the Province’s agents, in order to assist in the Province’s preparation of an overall evaluation of the value and effectiveness of the Contribution. 10. Representations, Warranties and Covenants 10.1 Representations. The Recipient represents and warrants that: (a) it is duly incorporated under Canadian law and validly existing and in good standing and has the power and authority to carry on its business, to hold property and to enter into this Agreement and undertakes to take all necessary action to maintain itself in good standing, to preserve its legal capacity and to remain incorporated in a Canadian jurisdiction; (b) signatories to the Agreement have been duly authorized to execute and deliver this Agreement; (c) the execution, delivery and performance of this Agreement have been duly and validly authorized and that when executed and delivered, the
23 Agreement will constitute a legal, valid and binding obligation enforceable in accordance with its terms; (d) it is under no obligation or prohibition, nor is it subject to or threatened by any actions, suits or proceedings that could or would prevent compliance with the Agreement. The Recipient shall inform the Province forthwith of any such occurrence; (e) the execution and delivery of this Agreement and the performance by the Recipient of its obligations hereunder will not, with or without the giving of notice or the passage of time or both: (i) violate the provisions of the Recipient’s by-laws, any other corporate governance document subscribed to by the Recipient or any resolution of the Recipient; (ii) violate any judgment, decree, order or award of any court, government agency, regulatory authority or arbitrator; or (iii) conflict with or result in the breach or termination of any material term or provision of, or constitute a default under, or cause any acceleration under, any license, permit, concession, franchise, indenture, mortgage, lease, equipment lease, contract, permit, deed of trust or any other instrument or agreement by which it is bound; (f) it has obtained or will obtain all necessary licences and permits in relation to the Project, which satisfy the requirements of all regulating bodies of appropriate jurisdiction; (g) it owns or holds sufficient rights in any Intellectual Property required to carry out the Project; (h) the description of the Project in Schedule 1 - Statement of Work is complete and accurate; (i) it is in compliance with Sanctions; (j) it is not, nor are any of its respective officers or directors, a Designated Person; and (k) no part of the Contribution will be used, directly or indirectly, by the Recipient, in violation of Sanctions. 10.2 Covenants. The Recipient covenants and agrees that: (a) it is solely responsible for providing or obtaining the funding, in addition
24 to the Contribution, required to carry out the Project and the fulfilment of the Recipient’s other obligations under this Agreement; (b) no Material Change within the control of the Recipient will be made without the prior written consent of the Province. In the event that the Province does not consent to such a Material Change, the Province may exercise the remedies set out in Section 13; (c) a Change in Control is subject to the written consent of Canada’s Minister of Industry: (i) In the case where the Recipient is a private company, the Recipient shall notify the Province in writing no later than thirty (30) days prior to the date from which the Recipient expects to have a Change in Control; (ii) In the case where the Recipient is a public company, the Recipient shall notify the Province in writing when a Change in Control is publicly disclosed or no later than seven (7) days following any public announcement of a Change in Control; (iii) As a result of Recipient’s notification of the Change in Control, Canada’s Minister of Industry may require additional due diligence to determine the impacts of the Change in Control, such as the following, but not be limited to: the legal status of the Recipient pursuant to the Federal SIF Agreement’s terms and conditions; the impact on the Recipient’s finances and the Project to ensure that the Recipient is able to complete the Project; and, any other considerations that may emerge. The purpose of the due diligence is to ensure that Canada’s Minister of Industry can fully evaluate any additional considerations that were not identified at the time of authorizing the funding; (iv) in the case where the Recipient is a public company, it shall notify the Province, in writing, of any Current Shareholders having acquired a direct or indirect beneficial ownership of or more of the outstanding shares of voting stock of the Recipient, no later than thirty (30) days following such event. (v) In the event that Canada’s Minister of Industry does not consent to a Change in Control further to the notification pursuant to Subsections 10.2(c)(i) and 10.2(c)(ii), Canada’s Minister of Industry may exercise the remedies set out in Subsection 14.3 of the Federal SIF Agreement; (d) it shall retain possession and control of all Project Assets the cost of which has been contributed to by the Province under the Agreement, and the Recipient shall not Dispose of the same without the prior written consent of the Province, other than in the ordinary course of business where the
25 aggregate book value of such Project Assets for each occurrence is no greater than ; (e) it shall comply with the federal visibility requirements set out in Schedule 2 - Communications Obligations; (f) it shall comply with all laws and regulations applicable to it; (g) it will maintain in effect policies and procedures reasonably designed to ensure compliance by itself and its respective directors and officers with Sanctions; (h) it will conduct its business in compliance with Sanctions; (i) it will not use, directly or indirectly, the Contribution in violation of Sanctions; (j) it will not act in any other manner that would result in the violation of Sanctions; and (k) it will cause its controlled Affiliates to comply with Subsection 10.2(g) to Subsection 10.2(j). 10.3 Renewal of Representations. It is a condition precedent to any disbursement under this Agreement that the representations, warranties and covenants contained in this Agreement are true at the time of payment and that the Recipient is not in default of compliance with any terms of this Agreement. 11. Intellectual Property 11.1 Background Intellectual Property. The Recipient must own the Background Intellectual Property or hold sufficient Background Intellectual Property Rights to permit the Project to be carried out. 11.2 Project Intellectual Property. The Recipient must exclusively own and retain ownership of the Project Intellectual Property in Canada for the Term, unless otherwise agreed to by Canada’s Minister of Industry. The Recipient shall take appropriate steps to protect the Project Intellectual Property. For clarity, the Recipient shall manage the preparation, filing, prosecution, maintenance and enforcement of Program Intellectual Property in a commercially reasonable manner consistent with its overall portfolio of antibody programs, but this clarification does not relieve the Recipient of any other obligations herein. 11.3 Exploitation of Project Intellectual Property. The Recipient must own or hold sufficient Intellectual Property Rights to exploit the Project Intellectual Property and to make, construct, use, license, assign, commercialize, sell or have sold the Resulting Products, unless otherwise agreed to by Canada’s Minister of Industry.
27 Intellectual Property during the Term, along with the Recipient’s plan for enforcement of its Project Intellectual Property. 12. Indemnification and Limitation of Liability 12.1 Indemnification. Except for any claims arising from the gross negligence of, or willful misconduct by, the Province’s employees, officers, agents or servants, the Recipient agrees, at all times, to indemnify and save harmless, the Province and any of its officers, servants, employees or agents from all and against all claims and demands, actions, suits or other proceedings (and all losses, costs and damages relating thereto) by whomsoever made, brought or prosecuted (all of the foregoing collectively, the “Claims”), where such Claims are asserted or arise from the Province being a Party to this Agreement and exercising its rights and performing its obligations under this Agreement, to the extent such Claims result from: (a) the Project, its operation, conduct or any other aspect thereof; (b) the performance or non-performance of this Agreement, or the breach or failure to comply with any term, condition, representation or warranty of this Agreement by the Recipient, its Affiliated Persons, its officers, employees and agents, or by a third party or its officers, employees, or agents; (c) the design, construction, operation, maintenance and repair of any part of the Project; or, (d) any omission or other wilful or negligent act or delay of the Recipient, its Affiliated Person or a third party and their respective employees, officers, or agents. 12.2 Limitation of Liability. Notwithstanding anything to the contrary contained herein, the Province shall not be liable for any direct, indirect, special or consequential damages of the Recipient nor for the loss of revenues or profits arising from, based upon, occasioned by or attributable to the execution of this Agreement, regardless of whether such a liability arises in tort (including negligence), contract, fundamental breach or breach of a fundamental term, misrepresentation, breach of warranty, breach of fiduciary duty, indemnification or otherwise. 12.3 The Province, its agents, employees and servants will not be held liable in the event the Recipient enters into a loan, a capital or operating lease or other long-term obligation in relation to the Project for which the Contribution is provided. 13. Default and Remedies 13.1 Event of Default. The Province may declare an Event of Default has occurred if:
28 (a) the Recipient has failed or neglected to pay the Province any amount due in accordance with this Agreement; (b) the Project is not completed in accordance with Schedule 1 – Statement of Work to the Province’s satisfaction by the Project Completion Date or the Project is abandoned in whole or in part; (c) the Recipient has not, in the opinion of the Province, met or satisfied a term, covenant, or condition of this Agreement; (d) the Recipient becomes bankrupt or insolvent, goes into receivership, or takes the benefit of any statute, from time to time in force, relating to bankrupt or insolvent debtors; (e) an order is made or the Recipient has passed a resolution for the winding up or dissolution of the Recipient, or the Recipient is dissolved or wound up; (f) the Recipient has, in the opinion of the Province, ceased to carry on business or has sold all or substantially all of its assets or enters into a letter of intent or binding obligation to sell all or substantially all of its assets; (g) the Recipient fails to fulfill any of the contractual obligations set out in this Agreement; (h) a representation, covenant, warranty, or statement contained herein or in any document, report, or certificate delivered to the Province hereunder or in connection therewith is false or misleading at the time it was made; and (i) the Recipient fails to comply with the obligations regarding audit and evaluation, as set out in Section 9. 13.2 Notice and Rectification Period. Except in the case of an Event of Default under Subsection 13.1(d), (e), and (f) above, the Province will not declare that an Event of Default has occurred unless the Parties have attempted to resolve the issue in accordance with Schedule 6 – Resolution Process. If the Parties are unable to resolve this issue, the Province may give written notice to the Recipient of the occurrence which, in the Province’s opinion, constitutes an Event of Default and the Recipient fails, within thirty (30) days of receipt of the notice, either to correct the condition or event or demonstrate, to the satisfaction of the Province that it has taken such steps as are necessary to correct the condition, failing which the Province may declare that an Event of Default has occurred. 13.3 Remedies on Default. If, after following the process in Schedule 6 – Resolution Process, the Province declares that an Event of Default has occurred, the Province may
29 immediately exercise one or more of the following remedies, in addition to any remedy at law: (a) suspend or terminate any obligation by the Province to contribute or continue to contribute to the Eligible Supported Costs including any obligation to pay any amount owing prior to the date of such suspension; (b) require the Recipient to repay to the Province Contribution paid by the Province, together with interest from the day of demand at the Interest Rate; (c) require the Recipient to pay the Province the total of all amounts required to be repaid pursuant to this Agreement, less any amount already repaid to the Province together with interest from the day of demand at the Interest Rate; and (d) terminate the Agreement. 13.4 The Recipient acknowledges the policy objectives served by the Province’s agreement to make the Contribution, that the Contribution comes from the public monies, and that the amount of damages sustained by the Province in an Event of Default is difficult to ascertain and therefore, that it is fair and reasonable that the Province be entitled to exercise any or all of the remedies provided for in this Agreement and to do so in the manner provided for in this Agreement, if an Event of Default occurs. 14. Confidentiality 14.1 Consent Required. Subject to Schedule 2 - Communications Obligations, each Party shall keep confidential and shall not without the consent of the other Party disclose the contents of the Agreement and the documents pertaining thereto, whether provided before or after the Agreement was entered into, or of the transactions contemplated herein. 14.2 Financing, Licensing and Subcontracting. Notwithstanding Subsection 14.1 of this Agreement, the Province hereby consents to the Recipient disclosing this Agreement, or a portion or summary thereof, but only to such extent as is required for the following purposes: (a) securing additional financing; (b) licensing for commercial exploitation; (c) confirming to agents, contractors and subcontractors of the Recipient that all agents, contractors and subcontractors must agree to provide the Province with access to their records and premises, provided that any person to whom this Agreement or any portion or summary thereof is
30 disclosed shall execute a non-disclosure agreement prior to such disclosure; or (d) to (i) Recipient’s accountants/accounting firms, banks, financing sources, lawyers and related parties under substantially equivalent confidentiality obligations; (ii) in connection with any formal legal proceeding for the enforcement of this Agreement; (iii) as required by the regulations of the United States Securities and Exchange Commission (“SEC”), provided that all Confidential Information regarding the Province shall be redacted from such disclosures to the maximum extent allowed by the SEC; and (iv) in response to lawful process, subject to a written protective order. 14.3 Payments. Notwithstanding Subsection 14.1 of this Agreement, the Province may disclose any information relating to the amount of each payment made by the Recipient whether due or paid. 15. General 15.1 No Assignment of Agreement. No Party shall assign the Agreement or any part thereof without the prior written consent of the Province. Any attempt by a Party to assign this Agreement or any part thereof, without the express written consent of the Province, is void. 15.2 Annual Appropriation. Notwithstanding any other provision of this Agreement, the payment of money by the Province to the Recipient pursuant to this Agreement is subject to: (a) there being sufficient monies available in an appropriation, as defined in the Financial Administration Act, R.S.B.C. 1996, c.138 (the “FAA”) to enable the Province in any fiscal year or part thereof when any such payment may be required, to make that payment; and (b) Treasury Board, as defined in the FAA, not having controlled or limited, pursuant to the FAA, expenditure under any appropriation referred to in subsection (a). 15.3 Successors and Assigns. This Agreement is binding upon the Recipient, its successors and permitted assigns. 15.4 Event of Force Majeure. The Recipient will not be in default by reason only of any failure in the performance of the Project in accordance with Schedule 1 – Statement of Work if such failure arises without the fault or negligence of the Recipient and is caused by any event of Force Majeure. 15.5 Applicable Law. This Agreement will be interpreted in accordance with the laws of the province of British Columbia and federal laws of Canada applicable therein.
31 15.6 Dispute Resolution. If a dispute arises concerning the application or interpretation of this Agreement, the Parties will attempt to resolve the matter through good faith negotiation, and may, if necessary and the Parties consent in writing, resolve the matter through mediation or arbitration by a mutually acceptable mediator or by arbitration in accordance with the Commercial Arbitration Code set out in the schedule to the Commercial Arbitration Act (Canada), as amended, and all regulations made pursuant to that Act. 15.7 No Amendment. No amendment to this Agreement shall be effective unless it is made in writing and signed by the Parties hereto. 15.8 Contribution Agreement Only. This Agreement is a contribution Agreement only, not a contract for services or a contract of service or employment, and nothing in this Agreement, the Parties relationship or actions is intended to create, or be construed as creating, a partnership, employment or agency relationship between them. The Recipient is not in any way authorized to make a promise, agreement or contract and to incur any liability on behalf of the Province or to represent itself as an agent, employee or partner of the Province, including in any agreement with a third party, nor shall the Recipient make a promise, agreement or contract and incur any liability on behalf of the Province, and the Recipient shall be solely responsible for all deductions and remittances required by law in relation to its employees. 15.9 No Waiver. The rights and remedies of the Province under this Agreement shall be cumulative and not exclusive of any right or remedy that he or she would otherwise have. The fact that the Province refrains from exercising a remedy it is entitled to exercise under this Agreement will not constitute a waiver of such right and any partial exercise of a right will not prevent the Province in any way from later exercising any other right or remedy under this Agreement or other applicable law. 15.10 Consent of the Province. Whenever this Agreement provides for the Province to render a decision or for the Recipient to obtain the consent or agreement of the Province, such decision shall be reasonable on the facts and circumstance and such consent or agreement will not be unreasonably withheld but the Province may make the issuance of such consent or agreement subject to reasonable conditions. 15.11 No conflict of interest. The Recipient and its Affiliated Persons, consultants and any of their respective advisors, partners, directors, officers, shareholders, employees, agents and volunteers shall not engage in any activity where such activity creates a real, apparent or potential conflict of interest in the sole opinion of the Province, with the carrying out of the Project. For greater certainty, and without limiting the generality of the foregoing, a conflict of interest includes a situation where anyone associated with the Recipient owns or has an interest in an organization that is carrying out work related to the Project. 15.12 Disclose potential conflict of interest. The Recipient shall disclose to the Province without delay any actual or potential situation that may be reasonably
32 interpreted as either a conflict of interest or a potential conflict of interest. 15.13 Severability. Any provision of this Agreement which is prohibited by law or otherwise deemed ineffective will be ineffective only to the extent of such prohibition or ineffectiveness and will be severable without invalidating or otherwise affecting the remaining provisions of the Agreement. 15.14 Signature in Counterparts. This Agreement may be signed in counterparts and such counterparts may be delivered by acceptable electronic transmission, including portable document format (PDF), each of which when executed and delivered is deemed to be an original, and when taken together, will constitute one and the same Agreement. 15.15 Tax. The Recipient acknowledges that financial funding from government programs may have tax implications for its organization and that advice should be obtained from a qualified tax professional. 16. Contact Information & Notices 16.1 Form and Timing of Notice. Any notice or other communication under this Agreement shall be made in writing. The Province or the Recipient may send any written notice by any pre-paid method, including regular or registered mail, courier or email. Notice will be considered as received upon delivery by the courier, upon the Party confirming receipt of the email or one (1) day after the email is sent, whichever the sooner or five (5) calendar days after being mailed. 16.2 Any notices to the Province in fulfillment of obligations such as claims, reporting, and any other documents stipulated under this Agreement, will be addressed to: Major Investments Office Attn: Executive Director Email address: MajorInvestmentsContracts@gov.bc.ca Notwithstanding the foregoing, claims forms will not be sent by email unless otherwise agreed to in writing by the Province. 16.3 Any notices to the Recipient will be addressed to: AbCellera Biologics Inc. Attn: Tryn Stimart, Chief Legal and Compliance Officer Address: 2215 Yukon Street, Vancouver, BC V5Y 0A1 Fax No: n/a Email address: legal@abcellera.com. 16.4 Change of Contact Information. Each of the Parties may change the address, which they have stipulated in this Agreement by notifying in writing the other Party of the new address, and such change shall be deemed to take effect fifteen (15) calendar days
33 after receipt of such notice. [REMAINDER OF THIS PAGE INTENTIONALLY LEFT BLANK]
34 IN WITNESS WHEREOF the Parties hereto have executed this Agreement through duly authorized representatives. HIS MAJESTY THE KING IN RIGHT OF THE PROVINCE OF BRITISH COLUMBIA, as represented by the Ministry of Jobs, Economic Development and Innovation Per: Ministry of Jobs, Economic Development and Innovation Date Fazil Mihlar, Deputy Minister Deputy Minister ABCELLERA BIOLOGICS INC. Per: Date Andrew Booth, Chief Financial Officer (CFO) I have the authority to bind the Corporation. May 23, 2023 23 May 2023
54 SCHEDULE 5 – CONTESTED PROCEEDINGS The Recipient is involved in a civil lawsuit filed by the Estate of John Schrader and another corporate entity naming as co-defendants the Recipient, some of its affiliates and Dr. Carl Hansen, the Recipient’s CEO. The lawsuit, No. S228332 (Vancouver Registry) was filed October 14, 2022, in the Supreme Court of British Columbia (Vancouver). The complaint alleges breach of an implied partnership or joint venture between Dr. John Schrader and Dr. Hansen and further alleges patent infringement of an issued Canadian patent (No. 2,655,511). The complaint seeks financial damages as well as other declarations. The Recipient believes that the claim is meritless and frivolous in all respects and intends to defend itself appropriately.
abcellera813-8197inalcon
o
:
DocumentExhibit 31.1
CERTIFICATION PURSUANT TO
RULES 13a-14(a) AND 15d-14(a) UNDER THE SECURITIES EXCHANGE ACT OF 1934,
AS ADOPTED PURSUANT TO SECTION 302 OF THE SARBANES-OXLEY ACT OF 2002
I, Carl L. G. Hansen certify that:
1.I have reviewed this quarterly report of AbCellera Biologics Inc.;
2.Based on my knowledge, this report does not contain any untrue statement of a material fact or omit to state a material fact necessary to make the statements made, in light of the circumstances under which such statements were made, not misleading with respect to the period covered by this report;
3.Based on my knowledge, the financial statements, and other financial information included in this report, fairly present in all material respects the financial condition, results of operations and cash flows of the registrant as of, and for, the periods presented in this report;
4.The registrant's other certifying officer(s) and I are responsible for establishing and maintaining disclosure controls and procedures (as defined in Exchange Act Rules 13a-15(e) and 15d-15(e)) and internal control over financial reporting (as defined in Exchange Act Rules 13a-15(f) and 15d-15(f)) for the registrant and have:
(a)Designed such disclosure controls and procedures, or caused such disclosure controls and procedures to be designed under our supervision, to ensure that material information relating to the registrant, including its consolidated subsidiaries, is made known to us by others within those entities, particularly during the period in which this report is being prepared;
(b)Designed such internal control over financial reporting, or caused such internal control over financial reporting to be designed under our supervision, to provide reasonable assurance regarding the reliability of financial reporting and the preparation of financial statements for external purposes in accordance with generally accepted accounting principles;
(c)Evaluated the effectiveness of the registrant's disclosure controls and procedures and presented in this report our conclusions about the effectiveness of the disclosure controls and procedures, as of the end of the period covered by this report based on such evaluation; and
(d)Disclosed in this report any change in the registrant's internal control over financial reporting that occurred during the registrant's most recent fiscal quarter (the registrant's fourth fiscal quarter in the case of an annual report) that has materially affected, or is reasonably likely to materially affect, the registrant's internal control over financial reporting; and
5.The registrant's other certifying officer(s) and I have disclosed, based on our most recent evaluation of internal control over financial reporting, to the registrant's auditors and the audit committee of the registrant's board of directors (or persons performing the equivalent functions):
(a)All significant deficiencies and material weaknesses in the design or operation of internal control over financial reporting which are reasonably likely to adversely affect the registrant's ability to record, process, summarize and report financial information; and
(b)Any fraud, whether or not material, that involves management or other employees who have a significant role in the registrant's internal control over financial reporting.
| | | | | | | | |
Date: August 3, 2023 | By: | /s/ Carl L. G. Hansen |
| | Carl L. G. Hansen, Ph.D. Chief Executive Officer and Director (Principal Executive Officer) |
0%">