UNITED STATES
SECURITIES AND EXCHANGE COMMISSION
Washington, D.C. 20549
SCHEDULE 14A
(Rule 14a-101)
INFORMATION REQUIRED IN PROXY STATEMENT
SCHEDULE 14A INFORMATION
Proxy Statement Pursuant to Section 14(a) of the
Securities Exchange Act of 1934
(Amendment No. )
Filed by the Registrant ⌧ | Filed by a Party other than the Registrant ◻ |
Check the appropriate box: | |
◻ | Preliminary Proxy Statement |
◻ | Confidential, For Use of the Commission Only (as permitted by Rule 14a-6(e)(2)) |
◻ | Definitive Proxy Statement |
⌧ | Definitive Additional Materials |
◻ | Soliciting Material under §240.14a-12 |
READY CAPITAL CORPORATION
(Name of Registrant as Specified In Its Charter)
(Name of Person(s) Filing Proxy Statement, if Other Than the Registrant)
Payment of Filing Fee (Check the appropriate box):
⌧ | No fee required. | |
◻ | Fee paid previously with preliminary materials: | |
◻ | Fee computed on table in exhibit required by Item 25(b) per Exchange Act Rules 14a(i)(1) and 0-11 | |
| Online Go to www.investorvote.com/RC2023 or scan the QR code — login details are located in the shaded bar below. Important Notice Regarding the Availability of Proxy Materials for the Ready Capital Corporation Stockholders' Meeting to be Held on August 22, 2023 Under Securities and Exchange Commission rules, you are receiving this notice that the proxy materials for the annual stockholders’ meeting are available on the Internet. Follow the instructions below to view the materials and vote online or request a copy. The items to be voted on and location of the annual meeting are on the reverse side. Your vote is important! This communication presents only an overview of the more complete proxy materials that are available to you on the Internet. We encourage you to access and review all of the important information contained in the proxy materials before voting. The proxy statement and annual report to stockholders are available at: Easy Online Access — View your proxy materials and vote. Step 1: Go to www.investorvote.com/RC2023. Step 2: Click on the icon on the right to view meeting materials. Step 3: Return to the investorvote.com window and follow the instructions on the screen to log in. Step 4: Make your selections as instructed on each screen for your delivery preferences. Step 5: Vote your shares. When you go online, you can also help the environment by consenting to receive electronic delivery of future materials. Obtaining a Copy of the Proxy Materials – If you want to receive a copy of the proxy materials, you must request one. There is no charge to you for requesting a copy. Please make your request as instructed on the reverse side on or before August 12, 2023 to facilitate timely delivery. 03UEND Stockholder Meeting Notice www.investorvote.com/RC2023 |
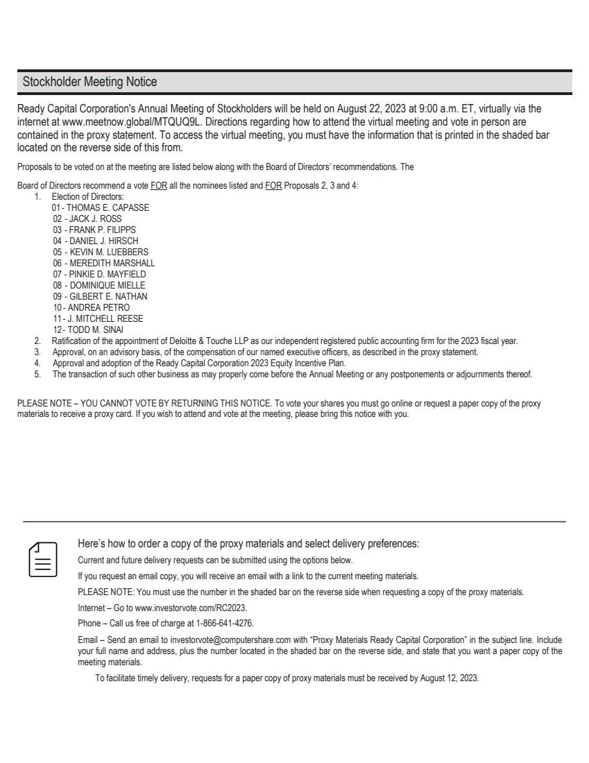
| Ready Capital Corporation's Annual Meeting of Stockholders will be held on August 22, 2023 at 9:00 a.m. ET, virtually via the internet at www.meetnow.global/MTQUQ9L. Directions regarding how to attend the virtual meeting and vote in person are contained in the proxy statement. To access the virtual meeting, you must have the information that is printed in the shaded bar located on the reverse side of this from. Proposals to be voted on at the meeting are listed below along with the Board of Directors’ recommendations. The Board of Directors recommend a vote FOR all the nominees listed and FOR Proposals 2, 3 and 4: 1. Election of Directors: 01 - THOMAS E. CAPASSE 02 - JACK J. ROSS 03 - FRANK P. FILIPPS 04 - DANIEL J. HIRSCH 05 - KEVIN M. LUEBBERS 06 - MEREDITH MARSHALL 07 - PINKIE D. MAYFIELD 08 - DOMINIQUE MIELLE 09 - GILBERT E. NATHAN 10 - ANDREA PETRO 11 - J. MITCHELL REESE 12- TODD M. SINAI 2. Ratification of the appointment of Deloitte & Touche LLP as our independent registered public accounting firm for the 2023 fiscal year. 3. Approval, on an advisory basis, of the compensation of our named executive officers, as described in the proxy statement. 4. Approval and adoption of the Ready Capital Corporation 2023 Equity Incentive Plan. 5. The transaction of such other business as may properly come before the Annual Meeting or any postponements or adjournments thereof. PLEASE NOTE – YOU CANNOT VOTE BY RETURNING THIS NOTICE. To vote your shares you must go online or request a paper copy of the proxy materials to receive a proxy card. If you wish to attend and vote at the meeting, please bring this notice with you. Here’s how to order a copy of the proxy materials and select delivery preferences: Current and future delivery requests can be submitted using the options below. If you request an email copy, you will receive an email with a link to the current meeting materials. PLEASE NOTE: You must use the number in the shaded bar on the reverse side when requesting a copy of the proxy materials. Internet – Go to www.investorvote.com/RC2023. Phone – Call us free of charge at 1-866-641-4276. Email – Send an email to investorvote@computershare.com with “Proxy Materials Ready Capital Corporation” in the subject line. Include your full name and address, plus the number located in the shaded bar on the reverse side, and state that you want a paper copy of the meeting materials. To facilitate timely delivery, requests for a paper copy of proxy materials must be received by August 12, 2023. Stockholder Meeting Notice |