UNITED STATES
SECURITIES AND EXCHANGE COMMISSION
Washington, D.C. 20549
FORM 6-K
REPORT OF FOREIGN PRIVATE ISSUER PURSUANT TO RULE 13a-16 OR 15d-16
UNDER THE SECURITIES EXCHANGE ACT OF 1934
For the month of June 2023
Commission File Number: 001-32210

| NORTHERN DYNASTY MINERALS LTD. |
| (Translation of registrant’s name into English) |
14th Floor - 1040 W Georgia St., Vancouver, BC, V6E 4H1
(Address of principal executive offices)
Indicate by check mark whether the registrant files or will file annual reports under cover Form 20-F or Form 40-F.
☐ Form 20-F ☒ Form 40-F
Indicate by check mark if the registrant is submitting the Form 6-K in paper as permitted by Regulation S-T Rule 101(b)(1): ☐
Indicate by check mark if the registrant is submitting the Form 6-K in paper as permitted by Regulation S-T Rule 101(b)(7): ☐
SUBMITTED HEREWITH
| Exhibits | Description | |
| 2 |
SIGNATURES
Pursuant to the requirements of the Securities Exchange Act of 1934, the registrant has duly caused this report to be signed on its behalf by the undersigned, thereunto duly authorized.
|
| Northern Dynasty Minerals Ltd. |
| |
|
| (Registrant) |
| |
|
|
|
|
|
| Date: June 9, 2023 | By: | /s/ Trevor Thomas |
|
|
| By: | Trevor Thomas |
|
|
| Title: | Secretary and General Counsel |
|
| 3 |
SH |�zrZ
EXHIBIT 99.1

2023 AMENDED TECHNICAL REPORT
ON THE
PEBBLE PROJECT, SOUTHWEST ALASKA, USA
NORTHERN DYNASTY MINERALS LTD.
Effective Date – May 19, 2023
Issue date June 1, 2023
Qualified Persons
J. David Gaunt, PGeo.
James Lang, PGeo.
Eric Titley, PGeo.
Hassan Ghaffari, PEng.
Stephen Hodgson, PEng.
|
| TABLE OF CONTENTS |
|
|
| ||
|
|
|
|
|
| ||
| 1.0 | SUMMARY |
| 1 |
| ||
| 1.1 | Introduction |
| 1 |
| ||
|
| 1.1.1 | Forward Looking Information |
| 2 |
| |
| 1.2 | Project Location |
| 4 |
| ||
| 1.3 | Property Description |
| 4 |
| ||
| 1.4 | Geological Setting and Mineralization |
| 5 |
| ||
| 1.5 | Mineral Resource |
| 6 |
| ||
| 1.6 | Mineral Processing and Metallurgical Testing |
| 6 |
| ||
| 1.7 | Environmental, Permitting and Social Conditions |
| 8 |
| ||
| 1.8 | Interpretation and Conclusions |
| 13 |
| ||
| 1.9 | Recommendations |
| 13 |
| ||
|
| 1.9.1 | Resource Recommendations |
| 13 |
| |
|
| 1.9.2 | Metallurgy Recommendations |
| 14 |
| |
|
|
|
|
|
| ||
| 2.0 | INTRODUCTION |
| 15 |
| ||
| 2.1 | Terms of Reference and Purpose |
| 15 |
| ||
| 2.2 | Sources of Information and Data |
| 15 |
| ||
| 2.3 | Qualified Persons and Site Visits |
| 16 |
| ||
|
| 2.3.1 | Hassan Ghaffan Site Visit |
| 16 |
| |
|
| 2.3.2 | David Gaunt Site Visit |
| 16 |
| |
|
| 2.3.3 | Eric Titley Site Visit |
| 16 |
| |
|
| 2.3.4 | Stephen Hodgson Site Visit |
| 17 |
| |
|
| 2.3.5 | James Lang Site Visit |
| 17 |
| |
|
|
|
|
|
| ||
| 3.0 | RELIANCE ON OTHER EXPERTS |
| 18 |
| ||
| 3.1 | Overview |
| 18 |
| ||
| 3.2 | Reliance by Stephen Hodgson |
| 18 |
| ||
| 3.3 | Reliance by David Gaunt |
| 19 |
| ||
|
|
|
|
|
| ||
| 4.0 | PROPERTY DESCRIPTION AND LOCATION |
| 20 |
| ||
| 4.1 | Introduction |
| 20 |
| ||
Northern Dynasty Minerals Ltd.
2023 Amended Technical Report on the
Pebble Project, Southwest Alaska
| i |

| 4.2 | Mineral Tenure |
| 20 |
| ||
| 4.3 | Royalties |
| 22 |
| ||
| 4.4 | Surface Rights |
| 23 |
| ||
| 4.5 | Environmental Liabilities |
| 23 |
| ||
| 4.6 | Permits |
| 23 |
| ||
|
|
|
|
|
| ||
| 5.0 | ACCESSIBILITY, CLIMATE, LOCAL RESOURCES, INFRASTRUCTURE AND PHYSIOGRAPHY ACCESSIBILITY |
| 25 |
| ||
| 5.1 | Access |
| 25 |
| ||
| 5.2 | Climate |
| 26 |
| ||
| 5.3 | Infrastructure |
| 26 |
| ||
| 5.4 | Local Resources |
| 27 |
| ||
| 5.5 | Physiography |
| 27 |
| ||
|
|
|
|
|
| ||
| 6.0 | HISTORY |
| 28 |
| ||
| 6.1 | Overview |
| 28 |
| ||
| 6.2 | Historical Sample Preparation and Analysis |
| 30 |
| ||
|
| 6.2.1 | Sample Preparation |
| 30 |
| |
|
| 6.2.2 | Sample Analysis |
| 30 |
| |
| 6.3 | Historical Resource Estimates |
| 31 |
| ||
| 6.4 | Ownership History |
| 32 |
| ||
|
|
|
|
|
| ||
| 7.0 | GEOLOGICAL SETTING AND MINERALIZATION |
| 34 |
| ||
| 7.1 | Regional Geology |
| 34 |
| ||
| 7.2 | Property Geology |
| 35 |
| ||
|
| 7.2.1 | Kahiltna Flysch |
| 35 |
| |
|
| 7.2.2 | Diorite and Granodiorite Sills |
| 35 |
| |
|
| 7.2.3 | Alkalic Intrusions and Associated Breccias |
| 37 |
| |
|
| 7.2.4 | Hornblende Granodiorite Intrusions |
| 37 |
| |
|
| 7.2.5 | Volcanic-Sedimentary cover sequence |
| 37 |
| |
| 7.3 | Hornblende Monzonite Porphyry Intrusions |
| 38 |
| ||
|
| 7.3.1 | Eocene Volcanic Rocks and Intrusions |
| 38 |
| |
|
| 7.3.2 | Glacial Sediments |
| 38 |
| |
|
| 7.3.3 | District Structure |
| 38 |
| |
Northern Dynasty Minerals Ltd.
2023 Amended Technical Report on the
Pebble Project, Southwest Alaska
| ii |

| 7.4 | Deposit Geology |
| 40 |
| ||
|
| 7.4.1 | Rock Types |
| 40 |
| |
|
| 7.4.2 | Structure |
| 41 |
| |
| 7.5 | Deposit Alteration Styles |
| 47 |
| ||
|
| 7.5.1 | Pre-hydrothermal Hornfels |
| 47 |
| |
|
| 7.5.2 | Hydrothermal Alteration |
| 47 |
| |
|
|
| 7.5.2.1 | Early Potassic and Sodic-Potassic Alteration |
| 47 |
|
|
|
| 7.5.2.2 | Vein Types Associated with Early Potassic and Sodic-Potassic Alteration |
| 48 |
|
|
|
| 7.5.2.3 | Intermediate Illite ± Kaolinite Alteration |
| 50 |
|
|
|
| 7.5.2.4 | Late Advanced Argillic Alteration |
| 50 |
|
|
|
| 7.5.2.5 | Propylitic Alteration |
| 51 |
|
|
|
| 7.5.2.6 | Quartz-Sericite-Pyrite and Quartz-Illite-Pyrite Alteration |
| 51 |
|
|
| 7.5.3 | Post-Hydrothermal Alteration |
| 52 |
| |
| 7.6 | Deposit Mineralization Styles |
| 52 |
| ||
|
| 7.6.1 | Supergene Mineralization and Leached Cap |
| 52 |
| |
|
| 7.6.2 | Hypogene Mineralization |
| 53 |
| |
|
|
|
|
|
| ||
| 8.0 | DEPOSIT TYPES |
| 57 |
| ||
| 8.1 | Deposit Types |
| 57 |
| ||
|
|
|
|
|
| ||
| 9.0 | EXPLORATION |
| 58 |
| ||
| 9.1 | Overview |
| 58 |
| ||
|
| 9.1.1 | Geological Mapping |
| 58 |
| |
|
| 9.1.2 | Geophysical Surveys |
| 58 |
| |
|
| 9.1.3 | Geochemical Surveys |
| 59 |
| |
|
|
|
|
|
| ||
| 10.0 | DRILLING |
| 60 |
| ||
| 10.1 | Location of all Drill Holes |
| 60 |
| ||
| 10.2 | Summary of Drilling 2001 to 2013 |
| 61 |
| ||
| 10.3 | Drill Sections |
| 66 |
| ||
| 10.4 | Bulk Density Results |
| 72 |
| ||
| 10.5 | Conclusions |
| 72 |
| ||
|
|
|
|
|
| ||
| 11.0 | SAMPLE PREPARATION, ANALYSES, AND SECURITY |
| 73 |
| ||
| 11.1 | Sampling Method and Approach |
| 73 |
| ||
|
| 11.1.1 | Northern Dynasty 2002 Drilling |
| 73 |
| |
Northern Dynasty Minerals Ltd.
2023 Amended Technical Report on the
Pebble Project, Southwest Alaska
| iii |

|
| 11.1.2 | Northern Dynasty 2003 Drilling |
| 73 |
| |
|
| 11.1.3 | Northern Dynasty 2004 Drilling |
| 74 |
| |
|
| 11.1.4 | Northern Dynasty 2005 Drilling |
| 74 |
| |
|
| 11.1.5 | Northern Dynasty 2006 Drilling |
| 74 |
| |
|
| 11.1.6 | Northern Dynasty and Pebble Partnership 2007 Drilling |
| 74 |
| |
|
| 11.1.7 | Pebble Partnership 2008 Drilling |
| 75 |
| |
|
| 11.1.8 | FMMUSA 2008 Drilling |
| 75 |
| |
|
| 11.1.9 | Pebble Partnership 2009 Drilling |
| 75 |
| |
|
| 11.1.10 | Pebble Partnership 2010 Drilling |
| 75 |
| |
|
| 11.1.11 | Pebble Partnership 2011 Drilling |
| 75 |
| |
|
| 11.1.12 | Pebble Partnership 2012 Drilling |
| 76 |
| |
|
| 11.1.13 | Pebble Partnership 2013 Drilling |
| 76 |
| |
|
| 11.1.14 | Pebble Partnership 2018 Drilling |
| 76 |
| |
|
| 11.1.15 | Pebble Partnership 2019 Drilling |
| 76 |
| |
| 11.2 | Sample Preparation |
| 77 |
| ||
|
| 11.2.1 | 2002 Sample Preparation |
| 77 |
| |
|
| 11.2.2 | 2003 Sample Preparation |
| 77 |
| |
|
| 11.2.3 | 2004-2013 and 2018 Sample Preparation |
| 77 |
| |
| 11.3 | Sample Analysis |
| 77 |
| ||
|
| 11.3.1 | 2002 Sample Analysis |
| 77 |
| |
|
| 11.3.2 | 2003 Sample Analysis |
| 79 |
| |
|
| 11.3.3 | 2002, 2004-2013 and 2018 Sample Analysis |
| 81 |
| |
|
| 11.3.4 | Bulk Density Determinations |
| 87 |
| |
| 11.4 | Quality Control/Quality Assurance |
| 87 |
| ||
|
| 11.4.1 | Quality Assurance and Quality Control |
| 87 |
| |
|
| 11.4.2 | Standards |
| 89 |
| |
|
| 11.4.3 | Duplicates |
| 90 |
| |
|
| 11.4.4 | Blanks |
| 92 |
| |
|
| 11.4.5 | QA/QC on Other Elements |
| 92 |
| |
|
| 11.4.6 | Rhenium Study |
| 92 |
| |
| 11.5 | Bulk Density Validation |
| 94 |
| ||
Northern Dynasty Minerals Ltd.
2023 Amended Technical Report on the
Pebble Project, Southwest Alaska
| iv |

| 11.6 | Survey Validation |
| 95 |
| ||
| 11.7 | Data Environment |
| 95 |
| ||
|
| 11.7.1 | Error Detection Processes |
| 96 |
| |
|
| 11.7.2 | Analysis Hierarchies |
| 96 |
| |
|
| 11.7.3 | Wedges |
| 97 |
| |
|
| 11.7.4 | Control of QA/QC |
| 97 |
| |
| 11.8 | Verification of Drilling Data |
| 97 |
| ||
| 11.9 | Conclusions |
| 98 |
| ||
|
|
|
|
|
| ||
| 12.0 | DATA VERIFICATION |
| 99 |
| ||
| 12.1 | David Gaunt Data Verification |
| 99 |
| ||
| 12.2 | James Lang Data Verification |
| 99 |
| ||
| 12.3 | Eric Titley Data Verification |
| 100 |
| ||
| 12.4 | Hassan Ghaffari Data Verification |
| 100 |
| ||
| 12.5 | Stephen Hodgson Data Verification |
| 101 |
| ||
|
|
|
|
|
| ||
| 13.0 | MINERAL PROCESSING AND METALLURGICAL TESTING |
| 102 |
| ||
| 13.1 | Test Programs Summary |
| 102 |
| ||
|
| 13.1.1 | 2003 to 2005 Testwork |
| 102 |
| |
|
| 13.1.2 | 2006 to 2010 Testwork |
| 102 |
| |
|
| 13.1.3 | 2011 to 2013 Testwork |
| 105 |
| |
| 13.2 | Comminution Tests |
| 106 |
| ||
|
| 13.2.1 | Bond Grindability Tests |
| 106 |
| |
|
| 13.2.2 | Bond Low Energy Impact Tests |
| 107 |
| |
|
| 13.2.3 | SMC Tests |
| 108 |
| |
|
| 13.2.4 | MacPherson Autogenous Grindability Tests |
| 109 |
| |
| 13.3 | Flotation Concentration Tests |
| 109 |
| ||
|
| 13.3.1. | Recovery of Bulk Flotation Concentrate |
| 110 |
| |
|
| 13.3.1.1 | Flotation Kinetics and Preliminary Optimization |
| 110 |
| |
|
| 13.3.1.2 | Flotation Tests on variability Samples |
| 111 |
| |
|
| 13.3.1.3 | Flotation Tests Optimization |
| 113 |
| |
|
| 13.3.1.4 | Flotation Tests on Bulk Composites |
| 114 |
| |
|
| 13.3.1.5 | Flotation Tests on Continuous Composites |
| 114 |
| |
Northern Dynasty Minerals Ltd.
2023 Amended Technical Report on the
Pebble Project, Southwest Alaska
| v |

|
| 13.3.2 | Separation of Molybdenum and Copper |
| 115 |
| |
|
| 13.3.2.1 | SGS Separation Work, 2011 and 2012 |
| 115 |
| |
|
| 13.3.2.2 | G&T Separation Work |
| 119 |
| |
|
| 13.3.3 | Rhenium Recovery into Molybdenum Concentrate |
| 119 |
| |
|
| 13.3.4 | Pyrite Flotation |
| 120 |
| |
| 13.4 | Gold Recovery Tests |
| 121 |
| ||
|
| 13.4.1 | Gravity Recoverable Gold Tests |
| 121 |
| |
| 13.5 | MAP Tests for Molybdenum and Rhenium Recovery |
| 122 |
| ||
|
| 13.5.1 | Preliminary Leaching Tests |
| 122 |
| |
|
| 13.5.2 | POX and Hot Cure Leaching Confirmation Tests |
| 122 |
| |
|
| 13.5.3 | Metal Extractions from Pregnant Leach Solution Tests |
| 124 |
| |
| 13.6 | Auxiliary Tests |
| 125 |
| ||
|
| 13.6.1 | Concentrate Filtration |
| 125 |
| |
| 13.7 | Quality of Concentrates |
| 125 |
| ||
| 13.8 | Geometallurgy |
| 126 |
| ||
|
| 13.8.1 | Introduction |
| 126 |
| |
|
| 13.8.2 | Description of Geometallurgical Domains |
| 127 |
| |
| 13.9 | Metal Recovery Projection |
| 130 |
| ||
|
| 13.9.1 | Metal Projections of Copper, Gold, Silver and Molybdenum –2014/2018, Tetra Tech. |
| 130 |
| |
|
| 13.9.1.1 | Metal Recovery Projection Basis – 2014/2018, Tetra Tech |
| 130 |
| |
|
| 13.9.1.2 | Effects of Primary Grind Size on Metal Recoveries |
| 131 |
| |
|
| 13.9.2 | Metal Recovery Projection Results |
| 135 |
| |
|
| 13.9.3 | Rhenium Recovery Estimate – 2020 |
| 136 |
| |
|
|
|
|
|
| ||
| 14.0 | MINERAL RESOURCE ESTIMATES |
| 137 |
| ||
| 14.1 | Summary |
| 137 |
| ||
| 14.2 | Geological Interpretation Used In Estimation |
| 138 |
| ||
| 14.3 | Development of Rhenium Database for Estimation |
| 141 |
| ||
|
| 14.3.1 | Introduction |
| 141 |
| |
|
| 14.3.2 | Data Used to Develop the Regression Equation |
| 142 |
| |
|
| 14.3.3 | Data Analysis 145 |
| 144 |
| |
|
| 14.3.4 | Validation |
| 146 |
| |
Northern Dynasty Minerals Ltd.
2023 Amended Technical Report on the
Pebble Project, Southwest Alaska
| vi |

| 14.4 | Exploratory Data Analysis |
| 149 |
| ||
|
| 14.4.1 | Assays |
| 149 |
| |
|
| 14.4.2 | Capping |
| 156 |
| |
|
| 14.4.3 | Composites |
| 156 |
| |
| 14.5 | Bulk Density |
| 157 |
| ||
| 14.6 | Spatial Analysis |
| 157 |
| ||
| 14.7 | Resource Block Model |
| 159 |
| ||
| 14.8 | Interpolation Plan |
| 160 |
| ||
| 14.9 | Reasonable Prospects of Economic Extraction |
| 161 |
| ||
| 14.10 | Mineral Resource Classification |
| 162 |
| ||
| 14.11 | Copper Equivalency |
| 162 |
| ||
| 14.12 | Cutoff Grade |
| 163 |
| ||
| 14.13 | Block Model Validation |
| 164 |
| ||
| 14.14 | Comparison with Previous Estimate |
| 168 |
| ||
| 14.15 | Factors that may Affect the Resource Estimates |
| 168 |
| ||
|
|
|
|
|
| ||
| 15.0 | ADJACENT PROPERTIES |
| 169 |
| ||
|
|
|
|
|
| ||
| 16.0 | OTHER RELEVANT DATA AND INFORMATION |
| 170 |
| ||
| 16.1 | Project Setting |
| 170 |
| ||
|
| 16.1.1 | Jurisdictional Setting |
| 170 |
| |
|
| 16.1.2 | Environmental and Social Setting |
| 170 |
| |
| 16.2 | Baseline Studies – Existing Environment |
| 172 |
| ||
|
| 16.2.1 | Climate and Meteorology |
| 173 |
| |
|
| 16.2.2 | Surface Water Hydrology and Quality |
| 174 |
| |
|
| 16.2.2.1 | Surface Water Hydrology |
| 174 |
| |
|
| 16.2.2.2 | Surface Water Quality |
| 175 |
| |
|
| 16.2.3 | Groundwater Hydrology and Quality |
| 175 |
| |
|
| 16.2.3.1 | Groundwater Hydrology |
| 175 |
| |
|
| 16.2.3.2 | Groundwater Quality |
| 176 |
| |
|
| 16.2.4 | Geochemical Characterization |
| 176 |
| |
|
| 16.2.5 | Wetlands |
| 177 |
| |
|
| 16.2.6 | Fish, Fish Habitat and Aquatic Invertebrates |
| 177 |
| |
|
| 16.2.6.1 | Fish and Fish Habitat |
| 178 |
| |
Northern Dynasty Minerals Ltd.
2023 Amended Technical Report on the
Pebble Project, Southwest Alaska
| vii |

|
| 16.2.7 | Marine Habitats |
| 178 |
| |
|
| 16.2.7.1 | Marine Nearshore Habitats |
| 178 |
| |
|
| 16.2.7.2 | Marine Benthos |
| 179 |
| |
|
| 16.2.7.3 | Nearshore Fish and Invertebrates |
| 179 |
| |
| 16.3 | Potential Environmental Effects and Proposed Mitigation Measures |
| 180 |
| ||
| 16.4 | Economy and Social Conditions |
| 180 |
| ||
|
| 16.4.1 | Community Consultation and Stakeholder Relations |
| 182 |
| |
| 16.5 | Project Permitting |
| 184 |
| ||
|
| 16.5.1 | Project Permitting |
| 184 |
| |
|
| 16.5.2 | Closure |
| 195 |
| |
|
|
|
|
|
| ||
| 17.0 | INTERPRETATION AND CONCLUSIONS |
| 196 |
| ||
| 17.1 | General |
| 196 |
| ||
| 17.2 | Geology and Mineral Resource Estimate |
| 196 |
| ||
|
| 17.2.1 | Geology |
| 196 |
| |
|
| 17.2.2 | Drilling, Sampling and Drill Hole Database |
| 196 |
| |
|
| 17.2.3 | Mineral Resource |
| 196 |
| |
|
| 17.2.4 | Eastern Extension |
| 197 |
| |
| 17.3 | Metallurgical Testwork and Process Design |
| 198 |
| ||
| 17.4 | Environmental |
| 199 |
| ||
| 17.5 | Other Studies |
| 199 |
| ||
|
| 17.5.1 | Additional Resource Evaluation |
| 199 |
| |
|
| 17.5.2 | Additional Metallurgical Testwork |
| 199 |
| |
| 17.6 | Risks and Opportunities |
| 200 |
| ||
|
| 17.6.1 | Overview |
| 200 |
| |
|
| 17.6.2 | Resource Opportunities |
| 200 |
| |
|
| 17.6.3 | Metallurgy Opportunities |
| 200 |
| |
|
| 17.6.4 | Resource Risks |
| 201 |
| |
|
| 17.6.5 | Metallurgy Risks |
| 201 |
| |
|
| 17.6.6 | Social, Legal, and Permitting Risks |
| 201 |
| |
|
|
|
|
|
| ||
| 18.0 | RECOMMENDATIONS |
| 204 |
| ||
| 18.1 | Recommended Program for Resources |
| 204 |
| ||
| 18.2 | Recommended Program for Metallurgy |
| 204 |
| ||
Northern Dynasty Minerals Ltd.
2023 Amended Technical Report on the
Pebble Project, Southwest Alaska
| viii |

| 19.0 | REFERENCES |
| 205 |
| ||
| 19.1 | Geology |
| 205 |
| ||
| 19.2 | Mineral Processing |
| 211 |
| ||
| 19.3 | Environmental/Social/permitting |
| 212 |
| ||
|
|
|
|
|
| ||
| 20.0 | CERTIFICATES |
|
|
| ||
Northern Dynasty Minerals Ltd.
2023 Amended Technical Report on the
Pebble Project, Southwest Alaska
| ix |

LIST OF TABLES
| Table 1‑1 Pebble Resource Estimate using a 0.3% CuEq cutoff |
| 6 |
|
| Table 1‑2 Projected Metallurgical Recoveries – 2018, Tetra Tech.. |
| 8 |
|
| Table 6‑1 Teck Drilling on the Sill Prospect to the End of 1997. |
| 29 |
|
| Table 6‑2 Teck Drilling on the Pebble Deposit to the End of 1997. |
| 29 |
|
| Table 6‑3 Total Teck Drilling on the Property to the End of 1997. |
| 30 |
|
| Table 6‑4 Teck Resource Estimates. |
| 31 |
|
| Table 10‑1 Summary of Drilling to December 2019. |
| 63 |
|
| Table 10‑2 Summary of All Bulk Density (g/cm3) Results. |
| 72 |
|
| Table 11‑1 ALS Aqua Regia Digestion Multi-Element Analytical Method ME-ICP41 |
| 78 |
|
| Table 11‑2 ALS Additional Analytical Procedures. |
| 79 |
|
| Table 11‑3 ALS Precious Metal Fire Assay Analytical Methods. |
| 79 |
|
| Table 11‑4 SGS Copper Analytical Method ICAY50. |
| 80 |
|
| Table 11‑5 SGS Gold Fire Assay Analytical Methods. |
| 80 |
|
| Table 11‑6 SGS Aqua Regia Digestion Multi-Element Analytical Method ICP70. |
| 81 |
|
| Table 11‑7 ALS Four Acid Digestion Multi-Element Analytical Method ME-ICP61a. |
| 82 |
|
| Table 11‑8 ALS Four Acid Digestion Multi-Element Analytical Method ME-MS61 |
| 83 |
|
| Table 11‑9 ALS Mercury Aqua Regia Digestion Analytical Methods. |
| 84 |
|
| Table 11‑10 ALS Copper Speciation Analytical Methods. |
| 84 |
|
| Table 11‑11 BVCCL Four Acid Digestion Multi-Element Analytical Method MA270. |
| 85 |
|
| Table 11‑12 BVCCL Precious Metal Fire Assay Analytical Method. |
| 85 |
|
| Table 11‑13 QA/QC Sample Types Used. |
| 88 |
|
| Table 13‑1 Testwork Programs and Reports 2006 to 2010. |
| 103 |
|
| Table 13‑2 Subsequent Testwork Programs and Reports, 2011 to 2014. |
| 106 |
|
| Table 13‑3 Pebble West Rod Mill Data Comparison, SGS January 2012**. |
| 107 |
|
| Table 13‑4 Pebble West Ball Mill Data Comparison, SGS January 2012**. |
| 107 |
|
| Table 13‑5 Bond Low-Energy Impact Test Results, SGS January 2012. |
| 108 |
|
| Table 13‑6 Major SMC Data Comparison on Pebble West Samples-SGS Test Report Sept.2014. |
| 108 |
|
| Table 13‑7 Major SMC Data Comparison on Pebble East Samples-SGS Summary Report Sept.2014. |
| 109 |
|
| Table 13‑8 MacPherson Autogenous Grindability Test Results, SGS January 2012. |
| 109 |
|
Northern Dynasty Minerals Ltd.
2023 Amended Technical Report on the
Pebble Project, Southwest Alaska
| i |

| Table 13‑9 Summary of Locked-Cycle Test Variability Test Results. |
| 112 |
|
| Table 13‑10 Locked-Cycle Test Results on Pebble Variability Samples, SGS 2014. |
| 113 |
|
| Table 13‑11 Locked-Cycle Test Results of Bulk Samples, SGS 2012. |
| 114 |
|
| Table 13‑12 Locked-Cycle Test Results of Molybdenum Flotation, SGS 2011-2012. |
| 118 |
|
| Table 13‑13 Molybdenum Recovery, G&T 2011 |
| 119 |
|
| Table 13‑14 Molybdenum Open Cycle Cleaner Flotation Test Results (Mo-F13, SGS 2012). |
| 120 |
|
| Table 13‑15 MAP Test Samples Assay Results. |
| 123 |
|
| Table 13‑16 POX and Alkaline Leach Test Results. |
| 123 |
|
| Table 13‑17 (NH4)2MoO4 and MoO3 Analysis Results. |
| 125 |
|
| Table 13‑18 LCT Cu-Mo Concentrate Major Elements Analysis Results – SGS 2014. |
| 125 |
|
| Table 13‑19 LCT Cu Concentrate Major Elements Analysis Results – SGS 2014. |
| 126 |
|
| Table 13‑20 LCT Mo Concentrate Major Elements Analysis Results – SGS 2014. |
| 126 |
|
| Table 13‑21 Summary of Batch Recovery Change per 10µm Primary Grind Size Reduction.. |
| 134 |
|
| Table 13‑22 Summary of LCT Recovery Change per 10µm Primary Grind Size Reduction.. |
| 135 |
|
| Table 13‑23 Change in Metal Recovery for 10µm Primary Grind Size Reduction, P80 150µm to 300µm.. |
| 135 |
|
| Table 13‑24 Projected Metallurgical Recoveries – 2018 Tetra Tech.. |
| 136 |
|
| Table 14‑1 Pebble Deposit Mineral Resource Estimate at a 0.3% CuEq cutoff |
| 138 |
|
| Table 14‑2 Pebble Deposit Metal Domains. |
| 140 |
|
| Table 14‑3 Correlation coefficients between rhenium and other elements. |
| 145 |
|
| Table 14‑4 Predicted and actual rhenium for 50 withheld validation samples, at 10 ft scale and at 50 ft scale. |
| 148 |
|
| Table 14‑5 Pebble Deposit Assay Database Descriptive Global Statistics. |
| 149 |
|
| Table 14‑6 Pebble Deposit Capping Values. |
| 156 |
|
| Table 14‑7 Pebble Deposit Composite Mean Values. |
| 157 |
|
| Table 14‑8 Pebble Deposit Variogram Parameters. |
| 158 |
|
| Table 14‑9 Pebble Deposit Search Ellipse Parameters. |
| 159 |
|
| Table 14‑10 Pebble Deposit 2020 Block Model Parameters. |
| 160 |
|
| Table 14‑11 Pebble Deposit Interpolation Domain Boundaries. |
| 161 |
|
| Table 14‑12 Pebble Deposit Conceptual Pit Parameters. |
| 162 |
|
| Table 16‑1 Permits Required for the Pebble Project. |
| 191 |
|
Northern Dynasty Minerals Ltd.
2023 Amended Technical Report on the
Pebble Project, Southwest Alaska
| ii |

LIST OF FIGURES
| Figure 1‑1 Property Location Map |
| 4 |
|
| Figure 4‑1 Mineral Claim Map with Exploration Lands and Resource Lands |
| 21 |
|
| Figure 5‑1 Property Location and Access Map |
| 25 |
|
| Figure 7‑1 Location of the Pebble Deposit & Regional Geological Setting of Southwest Alaska |
| 36 |
|
| Figure 7‑2 Rock Types in the Pebble District |
| 39 |
|
| Figure 7‑3 Geology of the Pebble Deposit Showing Section Locations |
| 42 |
|
| Figure 7‑4 Plan View of Alteration and Metal Distribution in the Pebble Deposit |
| 43 |
|
| Figure 7‑5 Geology, Alteration and Distribution of Metals on Section A-A’ |
| 44 |
|
| Figure 7‑6 Geology, Alteration and Metal Distribution on Section B-B’ |
| 45 |
|
| Figure 7‑7 Geology, Alteration and Metal Distribution on Section C-C’ |
| 46 |
|
| Figure 7‑8 Drill Core Photograph Showing Chalcopyrite Mineralization |
| 55 |
|
| Figure 7‑9 Drill Core Photograph Showing Chalcopyrite and Bornite Mineralization |
| 56 |
|
| Figure 10‑1 Location of all Drill Holes |
| 60 |
|
| Figure 10‑2 Location of Drill Holes – Pebble Deposit Area |
| 62 |
|
| Figure 10‑3 Location of Drill Holes and Representative Sections - Pebble Deposit Area |
| 67 |
|
| Figure 10‑4 Cross Section 1401500E |
| 68 |
|
| Figure 10‑5 Cross Section 1407900E |
| 69 |
|
| Figure 10-6 Longitudinal Section 2156000N |
| 70 |
|
| Figure 10‑7 Longitudinal Section 2157500N |
| 71 |
|
| Figure 11‑1 Pebble Project 2010 to 2013 Drill Core Sampling and Analytical Flow Chart |
| 86 |
|
| Figure 11‑2 Performance of the Copper Standard CGS-16 in 2008 |
| 88 |
|
| Figure 11‑3 Performance of the Gold Standard CGS-16 in 2008 |
| 89 |
|
| Figure 11‑4 Comparison of Gold Duplicate Assay Results for 2004 to 2010 |
| 91 |
|
| Figure 11‑5 Comparison of Copper Duplicate Assay Results for 2004 to 2010 |
| 91 |
|
| Figure 11‑6 Performance of Standard PLP-1 for Rhenium |
| 93 |
|
| Figure 11‑7 Performance of Control Sample PLP-2 for Rhenium |
| 93 |
|
| Figure 11‑8 Scatterplots in Log Format of Original vs 2020 Re-analysis for Copper and Molybdenum |
| 94 |
|
| Figure 13‑1 Basic Testwork Flowsheet, SGS 2011 |
| 112 |
|
| Figure 13‑2 Basic Testwork Flowsheet, SGS 2011 |
| 116 |
|
| Figure 13‑3 Rhenium Grade and Recovery Relationship (SGS 2012) |
| 120 |
|
Northern Dynasty Minerals Ltd.
2023 Amended Technical Report on the
Pebble Project, Southwest Alaska
| i |

| Figure 13‑4 Pyrite Flotation Kinetics Test Results |
| 121 |
|
| Figure 13‑5 Metal Extraction Steps Tested by SGS |
| 124 |
|
| Figure 13‑6 The Effect of Primary Grind Fineness of Copper Recovery to Rougher Concentrate |
| 131 |
|
| Figure 13‑7 Effect of Primary Grind Size on Cu, Au and Mo Recovery to Batch Copper Concentrate |
| 132 |
|
| Figure 13‑8 Cu, Au, and Mo Recovery into a 26% Batch Cu Concentrate |
| 133 |
|
| Figure 14‑1 Pebble Deposit Plan View of Drill Holes and Block Model Extent (red rectangle) |
| 141 |
|
| Figure 14‑2 Growth in the percentage of drill-hole sample intervals with rhenium assays |
| 142 |
|
| Figure 14‑3 Block Model (red line); DDH Collars and Re analyses; Lacking (grey), Existing (yellow), 2020 Pulps (red) |
| 144 |
|
| Figure 14‑4 Rhenium Versus Molybdenum |
| 146 |
|
| Figure 14‑5 Rhenium predications versus actual rhenium assays for withheld validation samples |
| 147 |
|
| Figure 14‑6 Pebble Deposit Copper Assay Domain Box and Whisker Plots |
| 150 |
|
| Figure 14‑7 Pebble Deposit Gold Assay Domain Box and Whisker Plots |
| 151 |
|
| Figure 14‑8 Pebble Deposit Molybdenum Assay Box and Whisker Plots |
| 152 |
|
| Figure 14‑9 Pebble Deposit Silver Assay Box-and-Whisker Plots |
| 153 |
|
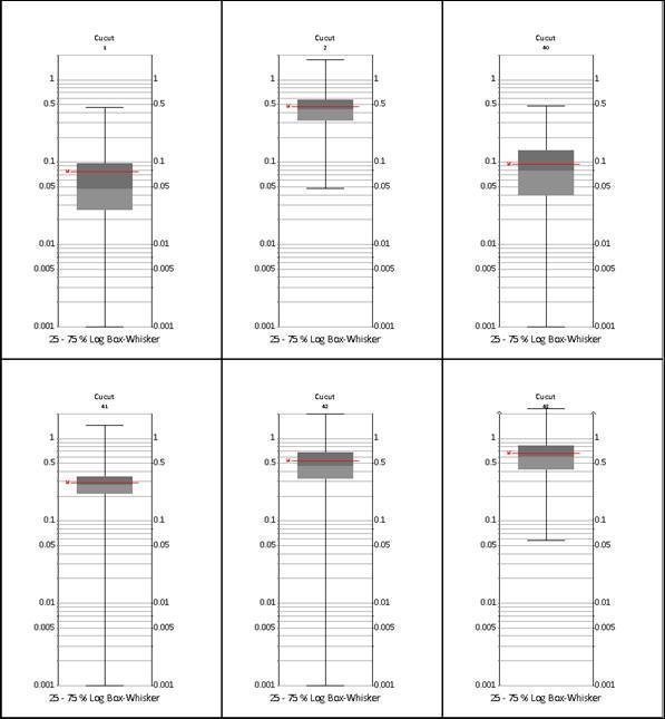
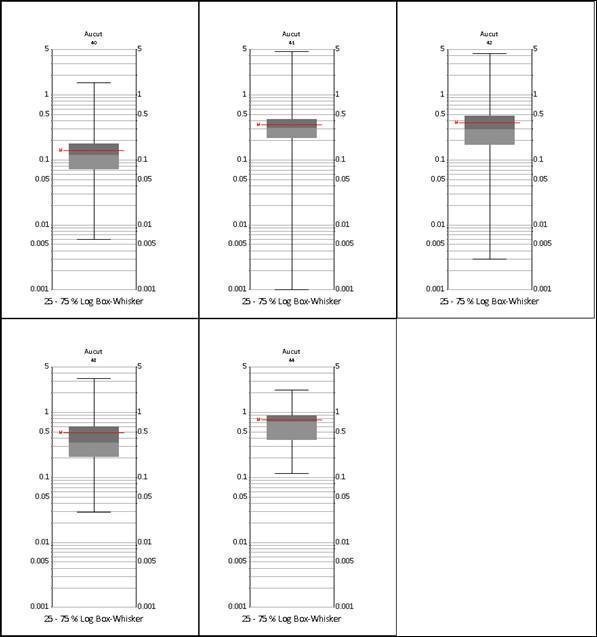
| Figure 14‑10 Pebble Deposit Rhenium Assay Box-and-Whisker Plots |
| 154 |
|
| Figure 14‑11 Pebble Deposit Copper Grade Domains |
| 155 |
|
| Figure 14‑12 Pebble Deposit Vertical Section 2158700N Block and Composite Copper Grades; Section Line Location Shown in Figure 7‑3 |
| 165 |
|
| Figure 14‑13 Copper Swath Plot at 2157000N |
| 166 |
|
| Figure 14‑14 Gold Swath Plot at 2157000N |
| 166 |
|
| Figure 14‑15 Molybdenum Swath Plot at 2157000N |
| 167 |
|
| Figure 14‑16 Rhenium Swath Plot at 2157000N |
| 167 |
|
| Figure 16‑1 Bristol Bay Watersheds |
| 171 |
|
| Figure 16‑2 Local Watershed Boundaries |
| 174 |
|
| Figure 17‑1 Untested Exploration Potential East of Drillhole 6348 |
| 198 |
|
APPENDICES
|
|
| Appendix A - Claims List |
| 220 |
|
Northern Dynasty Minerals Ltd.
2023 Amended Technical Report on the
Pebble Project, Southwest Alaska
| ii |

| UNIT MEASURES AND ABBREVIATIONS | |
| Mine Plan proposed in Pebble Environmental Impact Statement (July 2020) | 2020 Mine Plan |
| Above mean sea level | amsl |
| Acre | ac |
| Alaska Department of Environmental Conservation | ADEC |
| Alaska Department of Fish and Game | ADFG |
| Alaska Department of Natural Resources | ADNR |
| Alaska Peninsula Corporation | APC |
| Ampere | A |
| Annum (year) | a |
| Anadromous Waters Catalog | AWC |
| Acid Potential | AP |
| Acid Rock Drainage | ARD |
| Aqua Regia (HNO3-HCl) | AR |
| Atomic absorption spectroscopy | AAS |
| Billion | B |
| Billion years ago | Ga |
| Brittle-ductile fault | BDF |
| Centimetre | cm |
| Carbon-In-Leach | CIL |
| Clean Water Act | CWA |
| Cominco Exploration Research Laboratory | CERL |
| Compensation Mitigation Plan (November 2020) | CMP |
| Cubic centimetre | cm3 |
| Cubic feet per minute | cfm |
| Cubic feet per second | ft3/s |
| Cubic foot | ft3 |
| Cubic inch | in3 |
| Cubic metre | m3 |
| Day | d |
| Days per week | d/wk |
| Days per year (annum) | d/a |
| Degree | ° |
| Degrees Celsius | °C |
| Degrees Fahrenheit | °F |
| Environmental Impact Statement | EIS |
| U.S. Environmental Protection Agency | EPA |
| Final Environmental Impact Study (July 2020) | FEIS |
| Fire Assay | FA |
| Gram | g |
| Grams per cubic centimetre | g/cm3 |
Northern Dynasty Minerals Ltd.
2023 Amended Technical Report on the
Pebble Project, Southwest Alaska
| 1 |

| UNIT MEASURES AND ABBREVIATIONS | |
| Grams per litre | g/L |
| Grams per tonne | g/t |
| Gallons per minute | GPM |
| Gravity Recoverable Gold | GRG |
| Greater than | > |
| Health, safety and environment | HSE |
| Hectare (10,000 m2) | ha |
| Horsepower | hp |
| Hours | h |
| Hours per day | h/d |
| Hours per week | h/w |
| Hours per year | h/a |
| Iliamna Natives Limited | INL |
| Inch | in |
| Induced Polarization geophysics | IP |
| Inductively coupled plasma atomic emission spectroscopy | ICP-AES |
| Inductively coupled plasma mass spectrometry | ICP-MS |
| Kaskanak Creek | KC |
| Kilo (thousand) | k |
| Kilogram | kg |
| Kilograms per hour | kg/h |
| Kilograms per square metre | kg/m2 |
| Kilometre | km |
| Kilometres per hour | km/h |
| Kilopascal | kPa |
| Kilotonne | kt |
| Kilowatt | kW |
| Kilowatt hour | kWh |
| Kilowatt hours per tonne (metric ton) | kWh/t |
| Kilowatt hours per year | kWh/a |
| Least Environmentally Destructive Practicable Alternative | LEDPA |
| Less than | < |
| Litres | L |
| Litres per minute | L/m |
| Locked Cycle Test | LCT |
| Maximum potential acidity | MPA |
| Metal Leaching | ML |
| Metres | m |
| Metres above sea level | masl |
| Millions of years ago | Ma |
| Metric tonne | t |
| Microns | µm |
Northern Dynasty Minerals Ltd.
2023 Amended Technical Report on the
Pebble Project, Southwest Alaska
| 2 |

| UNIT MEASURES AND ABBREVIATIONS | |
| Milligram | mg |
| Milligrams per litre | mg/l |
| Millilitre | mL |
| Millimetre | mm |
| Million | M |
| Million tonnes | Mt |
| Minute (plane angle) | ‘ |
| Minute (time) | min |
| Molybdenum Autoclave Process | MAP |
| Month | mo |
| National Environmental Policy Act | NEPA |
| National Instrument 43-101 | NI 43-101 |
| Neutralizing Potential | NP |
| Neutralization potential ratio | NPR |
| North Fork Koktuli | NFK |
| Northern and Southern quartz vein domains | NQV and SQV |
| National Oceanic and Atmospheric Administration | NOAA |
| Ounce | oz |
| Parts per million | ppm |
| Parts per billion | ppb |
| Potentially acid generating | PAG |
| Percent | % |
| Pounds | lb |
| Pounds per square inch | psi |
| Pounds per ton | lb/ton |
| Pressure Oxidation | POX |
| Quality Control/Quality Assurance | QA/QC |
| Qualified Person | QP |
| Quartz Sericite Pyrite | QSP |
| Quantitative Evaluation of Materials by Scanning Electron Microscopy | QEMSCAN |
| Revolutions per minute | rpm |
| Rivers and Harbors Act | RHA |
| Request for Appeal (January 2021) | RFA |
| Record of Decision (November 2020) | ROD |
| SAG Mill Comminution | SMC |
| Semi-autogenous grinding | SAG |
| Sulphidize, acidify, recycle and thicken | SART |
| Second (plane angle) | “ |
| Second (time) | s |
| Square | cm2 |
| Square foot | ft2 |
| Square inch | in2 |
Northern Dynasty Minerals Ltd.
2023 Amended Technical Report on the
Pebble Project, Southwest Alaska
| 3 |

| UNIT MEASURES AND ABBREVIATIONS | |
| Square kilometre | km2 |
| Square metre | m2 |
| South Fork Koktuli | SFK |
| Three dimensional | 3D |
| Tonnes | t |
| Thousand tonnes (1,000 kg) | kt |
| Tons (imperial) | tons |
| Total dissolved solids | TDS |
| Upper Talarik Creek | UTC |
| U.S. Army Corps of Engineers | USACE |
| Vibrating wire piezometer | VWP |
| Volt | V |
| Week | wk |
| Year (annum) | a |
Northern Dynasty Minerals Ltd.
2023 Amended Technical Report on the
Pebble Project, Southwest Alaska
| 4 |

1.0 SUMMARY
1.1 Introduction
The Pebble deposit in southwest Alaska was acquired by Northern Dynasty Minerals Ltd. (Northern Dynasty or the Company) in 2001. Northern Dynasty and, subsequently, the Pebble Limited Partnership (Pebble Partnership) in which Northern Dynasty currently owns a 100% interest, have conducted significant exploration, environmental, and engineering studies to advance the Pebble Project.
Comprehensive deposit delineation, environmental, socioeconomic, and engineering studies of the Pebble deposit began in 2004 and continued through 2013. These activities led to an overall expansion of the Pebble deposit and significantly increased the knowledge of the environmental conditions at the site. As this work continued, Northern Dynasty published several Technical Reports to update the mineral resource estimate for the Pebble deposit and completed a Preliminary Assessment on the Pebble Project in February 2011. Since 2011, after considering stakeholder feedback, the Pebble Partnership developed a plan for the Pebble Project on the basis of a substantially smaller mine facility footprint, and with other material revisions. As a result, the economic analysis included in the 2011 Preliminary Assessment is considered by Northern Dynasty to be out of date such that it can no longer be relied upon.
In December 2017, Pebble Partnership filed an application for permits, triggering the requirement for an Environmental Impact Statement (EIS) under the National Environmental Policy Act (NEPA)1. The EIS was prepared by the US Army Corps of Engineers (USACE) with the Final EIS (FEIS) published in July 2020. In November 2020, USACE issued its Record of Decision (ROD) denying the Pebble Partnership’s application. The Pebble Partnership’s Request for Appeal (RFA) was accepted by USACE and on April 25, 2023, the USACE Pacific Ocean Division remanded the decision back to the USACE Alaska District to re-evaluate specific issues. The USACE Alaska District has been instructed to review the appeal decision and to notify the parties how it plans to proceed within 45 days.
On January 30, 2023, the US Environmental Protection Agency (EPA) issued a Final Determination under Section 404(c) of the Clean Water Act (CWA), imposing limitations on the use of certain waters in the Bristol Bay watershed. The Company and Pebble Partnership plan to seek judicial review of the Final Determination. The inability to successfully challenge the EPA’s Final Determination may ultimately mean that the Company will be unable to proceed with the development of the Pebble Project as currently envisioned or at all.
In September 2020, Northern Dynasty published a Technical Report to document studies of the occurrence of rhenium and to estimate the rhenium mineral resources in the deposit. No revisions have been made to the Pebble Deposit mineral data base since that time but the resource report has been updated to incorporate recoverable metal.
____________
1 The Pebble Partnership’s application included a Project Description with a proposed mine plan for the EIS process. The plan was updated as the EIS process advanced. The Project Description in the FEIS is referenced in this document as the “2020 Mine Plan”.
Northern Dynasty Minerals Ltd.
2023 Amended Technical Report on the
Pebble Project, Southwest Alaska
| Page 1 |

The purpose of this report (the 2023 Amended Technical Report) is to update the current status of the Pebble Project, particularly with respect to the permitting issues.
1.1.1 Forward Looking Information
The 2023 Amended Technical Report includes certain statements that may be deemed "forward-looking statements" under the United States Private Securities Litigation Reform Act of 1995 and under applicable provisions of Canadian provincial securities laws. Other than statements of historical facts, all statements in the 2023 Amended Technical Report which address permitting, development and production for the Project are forward-looking statements. These include statements regarding:
| · | the political and public support for the permitting process; |
|
|
|
| · | the ability to secure the issuance of a positive ROD following the USACE’s remand and the ability of the Pebble Project to secure all required Federal and State permits; |
|
|
|
| · | exploration potential of the Project; |
|
|
|
| · | future demand for copper, gold and other metals; |
|
|
|
| · | the ability of the Pebble Partnership to challenge the Final Determination issued by the EPA under Section 404(c) of the CWA; and |
|
|
|
| · | the potential addition of partners to the Project. |
Although Northern Dynasty believes the expectations expressed in these forward-looking statements are based on reasonable assumptions, such statements should not be in any way be construed as guarantees that the Project will secure all required government permits, establish the commercial feasibility of the Project, achieve the required financing, or develop the Project. Such forward-looking statements or information related to the 2023 Amended Technical Report include but are not limited to statements or information with respect to the estimates of mineral resource, projected metallurgical recoveries, plans for further development, market price of precious and base metals, and other statements that are not statement of fact.
Forward-looking statements are necessarily based upon a number of factors and assumptions that, while considered reasonable by Northern Dynasty as of the date of such statements, are inherently subject to significant business, economic and competitive uncertainties and contingencies. Assumptions used by Northern Dynasty to develop forward-looking statements include:
| · | the Project will obtain all required environmental and other permits and all land use and other licenses without undue delay; |
|
|
|
| · | any feasibility studies prepared for the development of the Project will be positive; |
|
|
|
| · | Northern Dynasty’s estimates of Mineral Resources will not change, and Northern Dynasty will be successful in converting Mineral Resources to Mineral Reserves; |
|
|
|
| · | Northern Dynasty will be able to establish the commercial feasibility of the Project; |
|
|
|
| · | Northern Dynasty will be able to secure the financing required to develop the Project; and |
|
|
|
| · | the EPA’s Final Determination will ultimately not be successful in restricting or prohibiting development of the Pebble Project. |
Northern Dynasty Minerals Ltd.
2023 Amended Technical Report on the
Pebble Project, Southwest Alaska
| Page 2 |

The likelihood of future mining at the Project is subject to a large number of risks and will require achievement of a number of technical, economic and legal objectives, including:
| · | obtaining necessary permits, licenses and approvals without undue delay, including without delay due to third party opposition or changes in government policies; |
|
|
|
| · | finalization of the mine plan for the Project; |
|
|
|
| · | the completion of feasibility studies demonstrating that any Pebble Project mineral resources that can be economically mined; |
|
|
|
| · | completion of all necessary engineering for mining and processing facilities; |
|
|
|
| · | the inability of Northern Dynasty to secure a partner for the development of the Project; and |
|
|
|
| · | receipt by Northern Dynasty of significant additional financing to fund these objectives as well as funding mine construction, which financing may not be available to Northern Dynasty on acceptable terms or on any terms at all. |
Northern Dynasty is also subject to the specific risks inherent in the mining business as well as general economic and business conditions, such as the current uncertainties with regard to COVID-19. Investors should also consider the risk factors identified in its Annual Information Form for the year ended December 31, 2022, as filed on SEDAR and included in the Company’s annual report on Form 40-F filed by the Company with the Securities Exchange Commission (SEC) on EDGAR.
The NEPA EIS process requires a comprehensive “alternatives assessment” be undertaken to consider a broad range of development alternatives, the final project design and operating parameters for the Project and associated infrastructure may vary significantly from that currently contemplated. As a result, the Company will continue to consider various development options and no final project design has been selected at this time.
For more information on Northern Dynasty, investors should review Northern Dynasty’s filings with the United States Securities and Exchange Commission at www.sec.gov and its home jurisdiction filings that are available at www.sedar.com.
Northern Dynasty Minerals Ltd.
2023 Amended Technical Report on the
Pebble Project, Southwest Alaska
| Page 3 |

1.2 Project Location
The Pebble Project is located in southwest Alaska, approximately 200 miles southwest of Anchorage, 17 miles northwest of the village of Iliamna, 100 miles northeast of Bristol Bay, and approximately 60 miles west of Cook Inlet (Figure 1‑1).
Figure 1‑1 Property Location Map

1.3 Property Description
Northern Dynasty holds, indirectly through Pebble East Claims Corporation and Pebble West Claims Corporation, wholly-owned subsidiaries of the Pebble Partnership, a 100% interest in a contiguous block of 1,840 mining claims and lease hold locations covering approximately 274 square miles (which includes the Pebble Deposit).
Northern Dynasty Minerals Ltd.
2023 Amended Technical Report on the
Pebble Project, Southwest Alaska
| Page 4 |

1.4 Geological Setting and Mineralization
Pebble is a porphyry-style copper-gold-molybdenum-silver-rhenium deposit that comprises the Pebble East and Pebble West zones of approximately equal size, with slightly lower-grade mineralization in the center of the deposit where the two zones merge. The Pebble deposit is located at the intersection of crustal-scale structures that are oriented both parallel and obliquely to a magmatic arc which was active in the mid-Cretaceous and which developed in response to the northward subduction of the Pacific Plate beneath the Wrangellia Superterrane.
The oldest rock within the Pebble district is the Jurassic-Cretaceous age Kahlitna flysch, composed of turbiditic clastic sedimentary rocks, interbedded basalt flows and associated gabbro intrusions. During the mid-Cretaceous (99 to 96 Ma), the Kahlitna assemblage was intruded first by approximately coeval granodiorite and diorite sills and slightly later by alkalic monzonite intrusions. At approximately 90 Ma, hornblende diorite porphyry plutons of the Kaskanak batholith were emplaced. Copper-gold-molybdenum-silver-rhenium mineralization is related to smaller granodiorite plutons and dykes that are similar in composition to, and emplaced near and above the margins of, the Kaskanak batholith.
The Pebble East and Pebble West zones are coeval hydrothermal centers within a single magmatic-hydrothermal system. The movement of mineralizing fluids was constrained by a broadly vertical fracture system acting in conjunction with a hornfels aquitard that induced extensive lateral fluid migration. The large size of the deposit, as well as variations in metal grade and ratios, may be the result of multiple stages of metal introduction and redistribution.
Mineralization in the Pebble West zone extends from surface to approximately 3,000 ft depth and is centered on four small granodiorite plutons. Mineralization is hosted by flysch, diorite and granodiorite sills, and alkalic intrusions and breccias. The Pebble East zone is of higher grade and extends to a depth of at least 5,810 ft; mineralization on the eastern side of the zone was later dropped 1,970 to 2,950 ft by normal faults which bound the northeast-trending East Graben. East zone mineralization is hosted by a granodiorite plutons and dykes, and by adjacent granodiorite sills and flysch. The East and West zone granodiorite plutons merge with depth.
Mineralization at Pebble is predominantly hypogene, although the Pebble West zone contains a thin zone of variably developed supergene mineralization overlain by a thin leached cap. Disseminated and vein-hosted copper-gold-molybdenum-silver-rhenium mineralization, dominated by chalcopyrite and locally accompanied by bornite, is associated with early potassic alteration in the shallow part of the Pebble East zone and with early sodic-potassic alteration in the Pebble West zone and deeper portions of the Pebble East zone. Rhenium occurs in molybdenite and high rhenium concentrations are present in molybdenite concentrates. Elevated palladium concentrations occur in many parts of the deposit but are highest in rocks affected by advanced argillic alteration. High-grade copper-gold mineralization is associated with younger advanced argillic alteration that overprinted potassic and sodic-potassic alteration and was controlled by a syn-hydrothermal, brittle-ductile fault zone located near the eastern margin of the Pebble East zone. Late quartz veins introduced additional molybdenum into several parts of the deposit.
Northern Dynasty Minerals Ltd.
2023 Amended Technical Report on the
Pebble Project, Southwest Alaska
| Page 5 |

1.5 Mineral Resource
The current resource estimate is based on approximately 59,000 assays obtained from 699 drill holes. The resource was estimated by ordinary kriging and is presented in Table 1‑1. The tabulation is based on copper equivalency (CuEq) that incorporates the contribution of copper, gold and molybdenum. Although the estimate includes silver and rhenium, neither were used as part of the copper equivalency calculation in order to facilitate comparison with previous estimates which did not consider the economic contribution of either of these metals.
Table 1‑1 Pebble Resource Estimate using a 0.3% CuEq cutoff
| Classification | Tonnes | Grades | Recoverable Metal | |||||||||
|
| Million | CuEq % | Cu % | Au g/t | Ag g/t | Mo ppm | Re ppm | Cu B lb | Au M oz | Ag M oz | Mo B lb | Re Kg |
| Measured | 527 | 0.65 | 0.33 | 0.35 | 1.7 | 178 | 0.32 | 3.35 | 4.58 | 20.4 | 0.15 | 118,000 |
| Indicated | 5,929 | 0.77 | 0.41 | 0.34 | 1.7 | 246 | 0.41 | 49.64 | 49.24 | 228.9 | 2.62 | 1,731,000 |
| M+I | 6,456 | 0.76 | 0.40 | 0.34 | 1.7 | 240 | 0.40 | 52.99 | 53.82 | 249.3 | 2.78 | 1,849,000 |
| Inferred | 4,454 | 0.55 | 0.25 | 0.25 | 1.2 | 226 | 0.36 | 22.66 | 28.11 | 121.7 | 1.81 | 1,025,000 |
Notes:
David Gaunt, P.Geo., a qualified person as defined under 43-101 who is not independent of Northern Dynasty, is responsible for the estimate. The effective date is May 19, 2023.
Copper equivalent (CuEq) calculations use metal prices: US$1.85/lb for Cu, US$902/oz for Au and US$12.50/lb for Mo, and recoveries: 85% Cu, 69.6% Au, and 77.8% Mo (Pebble West zone) and 89.3% Cu, 76.8% Au, 83.7% Mo (Pebble East zone).
Recovered metal based on recoveries in Table 1-2 and Table 13-24.
The mineral resource estimate is constrained by a conceptual pit shell that was developed using a Lerchs-Grossman algorithm and is based in the following parameters: 42 degree pit slope; metal prices and recoveries of US$1,540.00/oz and 61% Au, US$3.63/lb and 91% Cu, US$20.00/oz and 67% Ag and US$12.36/lb and 81% Mo, respectively; a mining cost of US$1.01/ton with a US$0.03/ton/bench increment and other costs (including processing, G&A and transport) of US$6.74/ton.
Per the calculation outlined in Section 14.12, recent company work has demonstrated that using appropriate and likely inputs for commodity prices, concentrate grades, payable copper, and realization charges results in a cutoff grade of 0.22% CuEq. The QP believes that the use of a 0.3% CuEq cutoff grade to express the Pebble resources is conservative and provides continuity with previous estimates.
The QP has reviewed the technical information, and other factors that may affect the estimate including permitting and external legal counsel's letter regarding the ROD appeal and Final Determination, and believes that there are reasonable prospects of economic extraction.
1.6 Mineral Processing and Metallurgical Testing
Metallurgical testwork for the Pebble Project was initiated by Northern Dynasty in 2003 and continued under the direction of Northern Dynasty until 2008. From 2008 to 2013, metallurgical testwork progressed under the direction of the Pebble Partnership.
Northern Dynasty Minerals Ltd.
2023 Amended Technical Report on the
Pebble Project, Southwest Alaska
| Page 6 |

Geometallurgical studies were initiated by the Pebble Partnership in 2008 and continued through 2012. The principal objective of this work was to quantify significant differences in metal deportment that may result in variations in metal recoveries during mineral processing. The results of the geometallurgical studies indicate that the deposit comprises several geometallurgical (or material type) domains. These domains are defined by distinct, internally consistent copper and gold deportment characteristics that correspond spatially with changes in silicate and sulphide alteration mineralogy.
Metallurgical testwork and associated analytical procedures were performed by recognized testing facilities with extensive experience with this analysis, with this type of deposit, and with the Pebble Project. The samples selected for the comminution, copper/gold/molybdenum bulk flotation, and copper molybdenum separation testing were representative of the various types and styles of mineralization at the Pebble deposit.
A conventional flotation process is proposed to produce copper concentrate and molybdenum concentrate. The flotation test results on variability samples derived from the 103 locked cycle flotation and the subsequent copper-molybdenum separation flotation tests indicate that marketable copper and molybdenum concentrates can be produced. The copper concentrate will also contain gold and silver contents that meet or exceed payable levels in representative smelter contracts; the molybdenum concentrate will contain significant rhenium (Re), with a reported grade range from 791 to 832 g/t Re observed in the locked cycle test (LCT) results of the copper-molybdenum separation.
A preliminary hydrometallurgical test program was performed on rougher and cleaner molybdenum concentrates to investigate the production of the marketable products of molybdenum trioxide (MoO3) and ammonium perrhenate (NH4ReO4). The test program included pressure oxidation leach, a series of metal extractions/purifications from the pregnant leach solution, and a calcination process. The tested methods were found technically feasible. Satisfactory dissolution rates of molybdenum and rhenium were obtained from the rougher molybdenum concentrate samples, while additional alkaline leach is required on the pressure oxidation leach residues for the cleaner molybdenum concentrate samples.
In this technical report, the metal recovery projections of copper, gold, silver and molybdenum stay the same as those published in the 2018 technical report. A rhenium recovery estimate at a high level has been completed and included. Table 1‑2 provides projected metals recoveries via flotation concentration for metals and a gravity circuit for gold. The recovery estimate bases are summarized as follows:
|
| · | The initial metal recovery projections of copper, gold, silver and molybdenum were published in 2014 based on a combined flotation and cyanide leach method. A total of 111 locked cycle tests on the 103 samples representing 8 geometallurgical domains across the east and west of Pebble deposit were reviewed to establish the copper, gold and molybdenum distributions to the bulk copper-molybdenum concentrate. Ten of the 111 locked cycle flotation tests with silver assay results were utilized to estimate the silver recovery to the bulk flotation concentrate. |
|
|
|
|
|
| · | The 2018 metal recoveries were updated to reflect the changes of the proposed processing methods, including the exclusion of the cyanide leach process and the implementation of a finer primary grind particle size. The flotation tests on composite samples indicate a general increase of metal recoveries with a decreasing primary grind size. |
|
|
|
|
|
| · | The 2020 metal recovery projections were further updated to include the rhenium recovery to the molybdenum concentrate. The estimated rhenium recovery was 70.8%, based on the 10 LCT results of the rhenium recovery to the bulk concentrate, a one LCT stage recovery result in the subsequent separation of copper and molybdenum, as well as a recovery adjustment due to the reduction of primary grind size. |
Northern Dynasty Minerals Ltd.
2023 Amended Technical Report on the
Pebble Project, Southwest Alaska
| Page 7 |

Table 1‑2 Projected Metallurgical Recoveries – 2018, Tetra Tech
| Domain | Flotation Recovery % | |||||
| Cu Con, 26% Cu | Mo Con, 50% Mo | |||||
| Cu | Au | Ag | Mo | Re | ||
| Supergene: |
|
|
|
|
| |
| Sodic Potassic | 78.7 | 63.6 | 67.5 | 53.9 | 70.8 | |
| Illite Pyrite | 72.1 | 46.5 | 67.8 | 66.3 | 70.8 | |
| Hypogene: |
|
|
|
|
| |
| Illite Pyrite | 89.8 | 45.6 | 66.6 | 76.1 | 70.8 | |
| Sodic Potassic | 90.1 | 63.2 | 67.0 | 80.1 | 70.8 | |
| Potassic | 93.7 | 63.6 | 66.5 | 85.4 | 70.8 | |
| Quartz Pyrophyllite | 94.7 | 65.2 | 64.4 | 80.4 | 70.8 | |
| Sericite | 89.6 | 40.6 | 66.5 | 75.9 | 70.8 | |
| Quartz Sericite Pyrite | 89.8 | 32.9 | 66.9 | 86.1 | 70.8 | |
1.7 Environmental, Permitting and Social Conditions
The Pebble deposit is located on state land that has been specifically designated for mineral exploration and development. The project area has been the subject of two comprehensive land-use planning exercises conducted by the Alaska Department of Natural Resources (ADNR), the first in the 1980s and the second completed in 2005. ADNR identified five land parcels (including Pebble) within the Bristol Bay planning area as having “significant mineral potential,” and where the planning intent is to accommodate mineral exploration and development. These parcels total 2.7% of the total planning area (ADNR, 2005).
Environmental standards and permitting requirements in Alaska are stable, objective, rigorous and science-driven. These features are an asset to projects like Pebble that are being designed to meet U.S. and international best practice standards of design and performance.
Northern Dynasty began an extensive field study program in 2004 to characterize the existing physical, chemical, biological, and social environments in the Bristol Bay and Cook Inlet areas where the Pebble Project might occur. The Pebble Partnership compiled the data for the 2004-2008 study period into a multi-volume Environmental Baseline Document (EBD) (PLP, 2012). These studies have been designed to:
|
| · | Fully characterize the existing biophysical and socioeconomic environment; |
|
|
|
|
|
| · | Support environmental analyses required for effective input into Project design; |
|
|
|
|
|
| · | Provide a strong foundation for internal environmental and social impact assessment to support corporate decision-making; |
|
|
|
|
|
| · | Provide the information required for stakeholder consultation and eventual mine permitting in Alaska; and, |
|
|
|
|
|
| · | Provide a baseline for long-term monitoring of potential changes associated with mine development. |
Northern Dynasty Minerals Ltd.
2023 Amended Technical Report on the
Pebble Project, Southwest Alaska
| Page 8 |

Additional data collected from the 2009-2013 period was compiled into the Supplemental EBD (PLP, 2018) and transmitted to USACE. In 2017, select environmental baseline studies were re-initiated and expanded. Monitoring data collected through 2019 has been provided to USACE.
The baseline study program includes:
| surface water hydrology | wildlife |
| groundwater hydrology | air quality |
| surface and groundwater quality | cultural resources |
| Geochemistry | subsistence |
| snow surveys | land use |
| fish and aquatic resources | recreation |
| Noise | socioeconomics |
| Wetlands | visual aesthetics |
| trace elements | climate and meteorology |
| fish habitat – stream flow modeling | Iliamna Lake |
| Marine |
|
Clean Water Act (CWA) Permitting Process
The FEIS published by the USACE on July 24, 2020 culminated a 2 ½-year long, intensive review process under NEPA. Led by the USACE, the Pebble FEIS also involved eight federal cooperating agencies (including the EPA and US Fish & Wildlife Service), three state cooperating agencies (including the ADNR and the Alaska Department of Environmental Conservation), the Lake & Peninsula Borough and federally recognized tribes.
The FEIS was viewed by the Company as positive in that it found impacts to fish and wildlife would not be expected to affect subsistence harvest levels, there would be no measurable change to the commercial fishing industry including prices, and there were a number of positive socioeconomic impacts on local communities.
The CWA 404 Permit Application was submitted in December 2017, and the permitting process over the next three years involved the Pebble Partnership being actively engaged with the USACE on the evaluation of the Pebble Project. There were numerous meetings between representatives of the USACE and the Pebble Partnership regarding, among other things, compensatory mitigation for the Pebble Project. The Pebble Partnership submitted several draft compensatory mitigation plans to the USACE, each refined to address comments from the USACE and that the Pebble Partnership believed were consistent with mitigation proposed and approved for other major development projects in Alaska. In late June 2020, USACE verbally identified the “significant degradation” of certain aquatic resources, with the requirement of new compensatory mitigation. The Pebble Partnership understood from these discussions that the new compensatory mitigation plan for the Pebble Project would include in-kind, in-watershed mitigation and continued its work to meet these new USACE requirements.
Northern Dynasty Minerals Ltd.
2023 Amended Technical Report on the
Pebble Project, Southwest Alaska
| Page 9 |

The USACE formally advised the Pebble Partnership by letter dated August 20, 2020 that it had made preliminary factual determinations under Section 404(b)(1) of the CWA that the Pebble Project as proposed would result in significant degradation to aquatic resources. In connection with this preliminary finding of significant degradation, the USACE formally informed the Pebble Partnership that in-kind compensatory mitigation within the Koktuli River watershed would be required to compensate for all direct and indirect impacts caused by discharges into aquatic resources at the mine site. The USACE requested the submission of a new compensatory mitigation plan to address this finding within 90 days of its letter. Accordingly, the Pebble Partnership developed a compensatory mitigation plan (CMP) to align with the requirements outlined by the USACE. This plan envisioned creation of a 112,445-acre Koktuli Conservation Area on land belonging to the State of Alaska in the Koktuli River watershed downstream of the Project. The objective of the preservation of the Koktuli Conservation Area was to allow the long-term protection of a large and contiguous ecosystem that contains valuable aquatic and upland habitats. If adopted, the Koktuli Conservation Area would preserve 31,026 acres of aquatic resources within the ‘aquatic resource of national importance’-designated Koktuli River watershed. The conservation area was selected to protect and preserve physical, chemical, and biological functions highlighted as important in the project review. Preservation of the Koktuli Conservation Area was proposed with the objective of minimizing the threat to, and preventing the decline of, aquatic resources in the Koktuli River watershed from potential future actions, with the objective of ensuring the sustainability of fish and wildlife species that depend on these aquatic resources, while protecting the subsistence lifestyle of the residents of Bristol Bay and commercial and recreational sport fisheries. The plan was submitted to the USACE on November 4, 2020.
On November 25, 2020, the USACE issued a ROD rejecting the Pebble Partnership’s permit application. The ROD rejected the CMP as “non-compliant” and determined the project would cause “Significant Degradation” and be contrary to the public interest. Accordingly, the USACE rejected Pebble Partnership’s permit application.
The Pebble Partnership submitted its request for appeal of the ROD on January 19, 2021. The request for appeal reflected the Pebble Partnership’s position that the USACE's ROD and permitting decision – including its “Significant Degradation” finding, its ‘public interest review' findings, and its perfunctory rejection of the Pebble Partnership's CMP – were contrary to law, unprecedented in Alaska, and fundamentally unsupported by the administrative record, including the Pebble Project FEIS. The reasons for appeal asserted by the Pebble Partnership included: (i) the finding of “Significant Degradation” by the USACE was contrary to law and unsupported by the record; (ii) the USACE’s rejection of the CMP was contrary to the USACE regulations and guidance, including the failure to provide the Pebble Partnership with an opportunity to correct the alleged deficiencies; and (iii) the determination by the USACE that the Pebble Project is not in the public interest was contrary to law and unsupported by the public record. In a letter dated February 24, 2021, the USACE confirmed the Pebble Partnership’s RFA is "complete and meets the criteria for appeal." The USACE appointed a Review Officer to oversee the administrative appeal process. The appeal was reviewed by the USACE based on the administrative record and any clarifying information provided. The appeal was governed by the policies and procedures of the USACE administrative appeal regulations.
On April 25, 2023, the USACE Pacific Ocean Division issued an Administrative Appeal Decision that remanded the permit decision back to the USACE – Alaska District to re-evaluate specific issues. Key elements of the decision included the following conclusions reached by the review officer of the USACE Pacific Ocean Division (Review Officer):
|
| · | The Review Officer generally concluded that the Pebble Partnership’s arguments that the finding of "significant degradation" by the Alaska District is contrary to law and unsupported by the record did not have merit but agreed with the Pebble Partnership that the Alaska District’s use of a certain watershed scale for analysis was not supported by the record and remanded this portion of the decision to the Alaska District Engineer for reconsideration, additional evaluation and documentation sufficient to support the decision. |
Northern Dynasty Minerals Ltd.
2023 Amended Technical Report on the
Pebble Project, Southwest Alaska
| Page 10 |

|
| · | The Review Officer concluded that the argument that the CMP was improperly rejected without providing the Pebble Partnership an opportunity to correct the alleged deficiencies did have merit. As a result, the Review Officer remanded the decision to the Alaska District Engineer for reconsideration, additional evaluation and documentation sufficient to support the decision with the specific directions that: |
|
| o | the Alaska District should provide complete and detailed comments to the Pebble Partnership on the CMP and that the Pebble Partnership is to have sufficient time to address those comments prior to finalizing a revised CMP for review; and |
|
|
|
|
|
| o | if a CMP is determined to be acceptable and adequately offsets direct and indirect impacts, a new Public Interest Review (PIR) and Section 404(b)(1) analysis may be required. |
|
| · | The Review Officer concluded that certain elements of the Pebble Partnership’s arguments regarding the PIR analysis had merit and remanded those portions to the Alaska District Engineer for reconsideration, additional evaluation and documentation sufficient to support the decision, |
|
|
|
|
|
| · | The Review Officer concluded that the Pebble Partnership’s arguments that the Record Decision failed to adequately consider the State of Alaska’s interest as the landownership and its designation of the land for mineral development did not have merit. |
As a result of the remand decision, and in light of the EPA’s Final Determination, the District has been instructed to review the appeal decision and to notify the parties how it plans to proceed within 45 days of the date of the remand.
The timing for the final decision remains uncertain. There is no assurance that the Company’s appeal of the ROD will be successful on remand or that the required permits for the Pebble Project will ultimately be issued.
EPA Proposed and Final Determination
On September 9, 2021, the EPA announced it planned to reinitiate the process of making a CWA Section 404(c) determination for the waters of Bristol Bay. This would set aside the 2019 withdrawal of that action, which was based on a 2017 settlement agreement between the EPA and the Pebble Partnership and supported by the results of the 2020 FEIS. On May 25, 2022, the EPA issued its Revised Proposed Determination for public comment. The public comment period on the Revised Proposed Determination was subsequently extended through September 6, 2022. The EPA issued its Final Determination on January 30, 2023. This Final Determination is the concluding step in the administrative process set forth in 40 C.F.R. Part 231, which governs EPA’s authority under Section 404(c) to veto permit decisions. The EPA’s administrative determination can be challenged by filing a lawsuit in U.S. federal district court seeking reversal of that decision.
The Final Determination includes the determinations of the EPA that:
|
| · | the discharges of dredged or fill material for the construction and routine operation of the mine identified in the 2020 Mine Plan at the Pebble deposit will have unacceptable adverse effects on anadromous fishery areas in the South Fork Koktuli River (“SFK”) and North Fork Koktuli River (“NFK”) watersheds; |
|
|
|
|
|
| · | discharges of dredged or fill material associated with developing the Pebble deposit anywhere in the mine site area within the SFK and NFK watersheds that would result in the same or greater levels of loss or streamflow changes as the 2020 Mine Plan also will have unacceptable adverse effects on anadromous fishery areas in these watersheds because such discharges would involve the same aquatic resources characterized as part of the evaluation of the 2020 Mine Plan; and |
|
|
|
|
|
| · | discharges of dredged or fill material for the construction and routine operation of a mine at the Pebble deposit anywhere in the SFK, NFK, and Upper Talarik Creek (“UTC”) watersheds will have unacceptable adverse effects on anadromous fishery areas if the effects of such discharges are similar or greater in nature and magnitude to the adverse effects of the 2020 Mine Plan. |
Northern Dynasty Minerals Ltd.
2023 Amended Technical Report on the
Pebble Project, Southwest Alaska
| Page 11 |

Based on these determinations, the Final Determination:
|
| · | prohibits the specification of waters of the United States within the Defined Area of Prohibition, as defined in the Final Determination, as disposal sites for the discharge of dredged or fill material for the construction and routine operation of the 2020 Mine Plan. This includes future proposals to construct and operate a mine to develop the Pebble deposit that result in any of the same aquatic resource loss or streamflow changes as the 2020 Mine Plan. Moreover, dredged or fill material need not originate within the boundary of the Pebble deposit to be associated with developing the Pebble deposit and, thus, subject to the prohibition. For purposes of the prohibition, the “2020 Mine Plan” is (i) the mine plan described in Pebble Partnership’s June 8, 2020 CWA Section 404 permit application and the FEIS; and (ii) future proposals to construct and operate a mine to develop the Pebble deposit with discharges of dredged or fill material into waters of the United States within the Defined Area for Prohibition that would result in the same or greater levels of loss or streamflow changes as the mine plan described in Pebble Partnership’s June 8, 2020 CWA Section 404 permit application. The Defined Area for Prohibition covers approximately 24.7 square miles (63.9 km2) and includes the area covered by the mine footprint of the 2020 Mine Plan; and |
|
|
|
|
|
| · | restricts the use of waters of the United States within the Defined Area for Restriction, as defined in the Final Determination, for specification as disposal sites for the discharge of dredged or fill material associated with future proposals to construct and operate a mine to develop the Pebble deposit that would either individually or cumulatively result in adverse effects similar or greater in nature and magnitude to the adverse effects of the 2020 Mine Plan. The Defined Area for Restriction encompasses certain headwaters for the SFK, NFK and UTC watersheds and covers an area of approximately 309 square miles (800 km2). |
The Company and the Pebble Partnership plan to seek judicial review of the Final Determination in an appropriate United States federal district court. The Company anticipates that Pebble Partnership will continue to assert the following arguments, among others, in any judicial proceedings:
|
| o | the EPA’s Final Determination is premature and not authorized by the CWA and, accordingly, is contrary to law and precedent; |
|
|
|
|
|
| o | the EPA erred when it did not exhaust the Section 404(q) elevation procedures prior to initiating its Section 404(c) procedures as the EPA’s authority under Section 404(c) is narrowly prescribed by the CWA and is only to be used as a last resort; |
|
|
|
|
|
| o | the EPA’s decision to restrict development of 309-square-miles of land is legally and technically unsupportable; |
|
|
|
|
|
| o | the EPA has not demonstrated that the development of the Pebble deposit will have unacceptable adverse effects under Section 404(c); |
|
|
|
|
|
| o | the EPA has not demonstrated any impacts to Bristol Bay fisheries that would justify the extreme measures in the Final Determination and, further, the Final Determination contradicts the conclusion in the FEIS that the Pebble Project was “not expected to have a measurable impact on fish populations”; |
|
|
|
|
|
| o | the EPA’s Final Determination violates the rights of the State of Alaska established under the Alaska Statehood Act, and related laws, and would undermine the State’s legally protected interests in the development of lands it acquired and intended for mineral development; and |
|
|
|
|
|
| o | the EPA must consider the benefits of the Pebble Project in light of the critical need for minerals essential to the renewable energy transition, as well as the environmental and social costs that would result from not developing the Project. |
Northern Dynasty Minerals Ltd.
2023 Amended Technical Report on the
Pebble Project, Southwest Alaska
| Page 12 |

There is no assurance that any judicial review would be successful in overturning the Final Determination or that the USACE’s remand of the negative ROD will result in issuance of a positive ROD. If not withdrawn or overturned, the Final Determination would prevent the Company from developing the Pebble deposit as set out in the 2020 Mine Plan or in any other mine plan that the EPA would consider as resulting in “adverse effects similar or greater in nature and magnitude to the adverse effects of the 2020 Mine Plan.”
Alaska Governor Mike Dunleavy has publicly indicated that the State will pursue legal action against the EPA to challenge the Final Determination as indicated in a January 31, 2023 news release. Excerpts include: "EPA’s veto sets a dangerous precedent. Alarmingly, it lays the foundation to stop any development project, mining or non-mining, in any area of Alaska with wetlands and fish bearing streams,” said Alaska Governor Mike Dunleavy. “…The veto disregards the Alaska Statehood Act, violates the CWA, and departs from basic scientific methodology. Of particular concern is EPA’s failure to demonstrate why the Army Corps of Engineers was wrong when it reviewed the same scientific data but arrived at the opposite conclusion-that the proposed mine plan “would not be expected to have a measurable effect on fish numbers or result in long-term changes to the health of the commercial fisheries in Bristol Bay.”2
1.8 Interpretation and Conclusions
The technical report documents the current resource of the Pebble Deposit within the context of the current environmental permitting circumstance. Pebble is a significant deposit of copper, gold, molybdenum, silver, and rhenium. Products from mining this deposit could support development of alternative energy supply and other purposes of strategic national significance.
Based on the work carried out, this study should be followed by further technical and economic studies leading to an advancement of the project to the next level of development.
1.9 Recommendations
1.9.1 Resource Recommendations
Elevated levels of palladium, vanadium, titanium and tellurium have been noted in raw analytical data and in metallurgical studies. A scoping level program is recommended to determine their potential for inclusion in future resource estimates. Such a study would focus on these metals’ deportment, distribution and the best approach to their quantification.
$100,000
____________
2 https://gov.alaska.gov/epas-preemptive-veto-sets-dangerous-precedent/
Northern Dynasty Minerals Ltd.
2023 Amended Technical Report on the
Pebble Project, Southwest Alaska
| Page 13 |

1.9.2 Metallurgy Recommendations
Review metallurgical testwork to date to identify opportunities to optimize treatment of supergene mineralization within the deposit, and provide recommendations on future sampling and testwork.
$50,000
Complete an initial assessment of potential treatment methods of molybdenum concentrates to optimize the value of molybdenum and rhenium.
$50,000
Northern Dynasty Minerals Ltd.
2023 Amended Technical Report on the
Pebble Project, Southwest Alaska
| Page 14 |

2.0 INTRODUCTION
The Pebble property hosts a significant deposit of copper, gold, molybdenum, silver, and rhenium on state lands in southwest Alaska designated for mineral exploration and development.
Alaska was granted statehood in 1959 along with 28% of the state’s land base for the explicit purpose of developing land and resources to support the state’s government and citizenry. The Alaska State Constitution states: “It is the policy of the State of Alaska … to encourage the development of its resources by making them available for maximum use consistent with the public interest.” The lands surrounding Pebble within the Bristol Bay Area Plan were received by the State from the U.S. government as part of the three-way Cook Inlet Land Exchange of 1976 and were recognized by the State at that time for their mineral prospectivity.
The Pebble deposit was originally discovered in 1989 and was acquired by Northern Dynasty in 2001. Since that time, Northern Dynasty and subsequently the Pebble Partnership3 have conducted significant mineral exploration, environmental baseline data collection, and engineering work on the Pebble Project.
This technical report has been prepared for Northern Dynasty Minerals Ltd., a mineral exploration and development company based in Vancouver, Canada, and publicly traded on the Toronto Stock Exchange under the symbol ‘NDM’ and on the NYSE American exchange under the symbol ‘NAK’. Northern Dynasty is currently the sole owner of the Pebble Partnership which owns the Pebble Project.
2.1 Terms of Reference and Purpose
The authors have prepared this technical report for Northern Dynasty in general accordance with the guidelines provided in National Instrument (NI) 43-101 Standards of Disclosure for Mineral Projects.
The main purpose of this technical report is to update the status of the Pebble Project to reflect recent permitting actions and to support the Company’s year end filings.
2.2 Sources of Information and Data
Information and studies obtained from Northern Dynasty and the Pebble Partnership for the 2023 Technical Report include:
|
| · | Information relating to permits, environmental studies, social or community impacts, surface rights, royalties, agreements and encumbrances relevant to this report; |
|
|
|
|
|
| · | Information from geophysical, geochemical and geological surveys and drilling conducted by Northern Dynasty and the Pebble Partnership, and a previous operator; |
____________
3 Additional information on the history of the Pebble Partnership and Pebble Project is provided in Section 6.0.
Northern Dynasty Minerals Ltd.
2023 Amended Technical Report on the
Pebble Project, Southwest Alaska
| Page 15 |

|
| · | Information on metallurgical, geotechnical and other engineering studies by Northern Dynasty and the Pebble Partnership; |
|
|
|
|
|
| · | Discussions with Northern Dynasty and Pebble Partnership personnel; and |
|
|
|
|
|
| · | Inspection of the Pebble Project and surrounding area by QPs indicated in Section 2.3. |
Information and studies from third-party sources used for this report are included in the references. The authors have reviewed this information and are satisfied the information is accurate.
The principal units of measure used in this report are U.S. Standard Units. Exceptions are noted and include the mineral resource estimate, and other instances dictated by convention. Monetary amounts are in United States dollars, unless otherwise stated.
2.3 Qualified Persons and Site Visits
The Qualified Persons (QPs) responsible for this technical report and the dates of their most recent site visits4 are described below.
2.3.1 Hassan Ghaffan Site Visit
QP Hassan Ghaffari visited the Pebble site on September 1 and 2, 2010. The reasons for that visit were to witness the drilling program, then underway, to collect metallurgical samples, inspect core storage, and observe the Project site, including the proposed areas for the crushers and processing plant.
2.3.2 David Gaunt Site Visit
QP David Gaunt has made multiple visits to the Project at Iliamna, AK since his involvement in the Project starting in 2001. The most recent visit made by QP Gaunt was completed on September 1 and 2, 2010. During this visit a review of drill core logging and sampling was conducted. Also at this time, QP Gaunt extensively consulted with project geologists regarding their interpretation of geological units, structure and alteration as it relates to domaining of the Pebble deposit for estimation. These visits ensure that the most evolved geological model was incorporated into the mineral resource estimate.
2.3.3 Eric Titley Site Visit
QP Eric Titley most recently visited the Pebble Project site at Iliamna, AK on September 20 and 21, 2011, to review drill core logging, sampling, quality assurance and quality control (QA/QC) and core storage procedures with geological and technical staff there. QP Titley was accompanied on this visit by a representative of Nicholson Analytical Consultants (NAC). The visit also included a tour of the Fairbanks, AK sample preparation laboratory of ALS Minerals (ALS) and the long-term storage facility for assay rejects at Delta Junction, AK on 19 September 2011. QP Eric Titley previously conducted site visits to the Iliamna site and these same facilities on August 25 to 27, 2008, with NAC, and with Analytical Laboratory Consultants (ALC) from May 29 to 31, 2007. In 2007, the visit also included visits to active drill rigs in the field. In separate visits, QP Titley and NAC (2008, 2011), and ALC (2007), visited the ALS assay laboratory in North Vancouver, BC, while drill core samples from the Pebble Project were being analyzed. These visits provide assurance that appropriate procedures were followed at these facilities.
____________
4 All Qualified Persons are not independent of Northern Dynasty with the exception of Hassan Ghaffari.
Northern Dynasty Minerals Ltd.
2023 Amended Technical Report on the
Pebble Project, Southwest Alaska
| Page 16 |

2.3.4 Stephen Hodgson Site Visit
QP Stephen Hodgson most recently visited the site on October 17 and 18, 2019. One of the reasons for that visit was to witness the hydro-geological drilling program underway at the time. QP Hodgson first visited the site in 1991 and has visited multiple times since joining the Northern Dynasty team in 2005. The duration of these trips ranged from a single day to several days. The visits included reconnaissance of the deposit location, possible site infrastructure sites and transportation corridors, interacting with the site teams supervising the various drill programs, and meeting with local residents. These site visits have provided QP Hodgson with an extensive knowledge of the various project components and support for his understanding of the Pebble deposit.
2.3.5 James Lang Site Visit
QP James Lang was physically present at the Project area every year from 2003 through 2019, for a total of approximately 650 days. His most recent visit was for three days in September 2019, at which time he led a technical tour of the property including examination of drill core. From 2003 until March 2007, he was geological consultant to the Pebble Project and completed numerous studies on the geological characteristics of the Project. From March 2007 through 2010 he was resident Chief Geologist for the Project, and until March 2021 continued to function as Chief Geologist. Since March 2021, QP Lang has assumed the role of consulting Chief Geologist for the Project. During these years of involvement with the Project, QP Lang either personally acquired, supervised the acquisition of, or validated historical geological and related data on the Project. Consequently, he is familiar with the geology, topography, physical features, access, location and infrastructure of the Project.
Northern Dynasty Minerals Ltd.
2023 Amended Technical Report on the
Pebble Project, Southwest Alaska
| Page 17 |

3.0 RELIANCE ON OTHER EXPERTS
3.1 Overview
Standard professional procedures were followed in preparing the contents of this report. Data used in this report has been verified where possible and the authors have no reason to believe that the data was not collected in a professional manner.
A QP has not independently verified the legal status or title of the claims or exploration permits and has not investigated the legality of any of the underlying agreement(s) that may exist concerning the Pebble property and has relied on legal counsel in terms of the confirmation of these matters.
In some cases, the QPs are relying on reports, opinions, and statements from experts who are not QPs for information concerning legal, environmental and socio-economic factors relevant to the technical report.
The following QPs who prepared this report relied on information provided by a number of experts who are not QPs.
3.2 Reliance by Stephen Hodgson
|
| · | Stephen Hodgson, PEng., relied on a letter from Trevor Thomas, Northern Dynasty’s legal counsel, dated May 19, 2023, confirming that title to the claims comprising the Pebble Project is held in the name of Pebble East Claims Corp. and Pebble West Claims Corp. (subsidiaries of the Pebble Partnership) and these are in good standing. The QPs haves also relied on Northern Dynasty for matters relating to permits, surface rights, royalties, agreements, and encumbrances relevant to this report and discussed in Section 4; |
|
|
|
|
|
| · | Stephen Hodgson, PEng., relied on letters from Bruce Jenkins, Northern Dynasty’s Executive Vice President Environment and Sustainability, dated May 19, 2023 and Sean Magee, BA, previously Northern Dynasty’s Vice President Public Affairs, dated May 19, 2023, for matters relating to environmental studies and social or community impact, respectively, discussed in Section 16. |
Northern Dynasty Minerals Ltd.
2023 Amended Technical Report on the
Pebble Project, Southwest Alaska
| Page 18 |

3.3 Reliance by David Gaunt
|
| · | David Gaunt, PGeo., relied on a letter from Trevor Thomas, Northern Dynasty’s legal counsel, dated May 19, 2023, confirming that title to the claims comprising the Pebble Project is held in the name of Pebble East Claims Corp. and Pebble West Claims Corp. (subsidiaries of the Pebble Partnership) and these are in good standing. The QPs haves also relied on Northern Dynasty for matters relating to permits, surface rights, royalties, agreements, and encumbrances relevant to this report and discussed in Section 4; |
|
|
|
|
|
| · | David Gaunt, PGeo., relied in part, for his opinion on reasonable prospects for economic extraction on a letter dated May 17, 2023 from Thomas M. Barba, an attorney with Steptoe & Johnson LLP, an international law firm headquartered in Washington, D.C., which describes the availability of legal options to challenge to the EPA’s Final Determination. |
Northern Dynasty Minerals Ltd.
2023 Amended Technical Report on the
Pebble Project, Southwest Alaska
| Page 19 |

4.0 PROPERTY DESCRIPTION AND LOCATION
4.1 Introduction
The Pebble property is located in southwest Alaska, approximately 200 miles southwest of Anchorage, 17 miles northwest of the village of Iliamna, 100 miles northeast of Bristol Bay, and approximately 60 miles west of Cook Inlet (Figure 1‑1).
The property is centred, approximately, at latitude 59°53′54" N and longitude 155°17′44" W, and is located on the United States Geological Survey (USGS) topographic maps Iliamna D6 and D7, in Townships 2–5 South, Ranges 33–38 West, Seward Meridian.
The Pebble Partnership uses the U.S. State Plane Coordinate System (as Alaska 5005) as the preferred grid, measured in feet.
4.2 Mineral Tenure
Northern Dynasty holds indirectly through Pebble East Claims Corporation and Pebble West Claims Corporation, wholly-owned subsidiaries of the wholly-owned Pebble Partnership, a 100% interest in a contiguous block of 1,840 administratively active mining claims and leasehold locations covering approximately 274 square miles (which includes the Pebble Deposit). Teck Resources Limited (Teck) holds a 4% pre-payback net profits interest (after debt service), followed by a 5% after-payback net profits interest in any mine production from the Exploration Lands, which are shown in Figure 4‑1 and further described in Section 6.0 History.
In June 2020, the Pebble Partnership established the Pebble Performance Dividend LLP to distribute a 3% Net Profits Royalty Interest in the Pebble Project to adult residents of Bristol Bay villages that have subscribed as participants. The Pebble Performance Dividend will distribute a guaranteed minimum annual payment of US $3 million each year the Pebble mine operates beginning at the outset of project construction.
State mineral claims in Alaska are kept in good standing by performing annual assessment work or in lieu of assessment work by paying $100 per year per 40 acre (0.06 mi2) mineral claim, and by paying annual escalating State rental fees each year. Assessment work is due annually by noon of September 1. However, credit for excess assessment work can be banked for a maximum of four years after work is performed and can be applied as necessary to continue to hold the claims in good standing. The Project claims have a variable amount of assessment work credit available that can be applied in this way. Annual assessment work obligations for the Project total US$442,900 and are due each year on September 1. The 2022 annual Affidavit of Labor on the claims was registered with the ADNR on August 18, 2022. Annual State rentals for 2023 are approximately US$912,880 and are payable no later than 90 days after the assessment work is due (approximately November 30).
The details of the administratively active mining claims and leasehold locations are provided in Appendix A (ADL refers to the Alaska Department of Lands).
The claim boundaries have not been surveyed.
Northern Dynasty Minerals Ltd.
2023 Amended Technical Report on the
Pebble Project, Southwest Alaska
| Page 20 |

Figure 4‑1 Mineral Claim Map with Exploration Lands and Resource Lands

Northern Dynasty Minerals Ltd.
2023 Amended Technical Report on the
Pebble Project, Southwest Alaska
| Page 21 |

4.3 Royalties
On July 27, 2022, Northern Dynasty announced that the Pebble Partnership, together with certain other wholly-owned subsidiaries of the Pebble Partnership, had entered into an agreement (the “Royalty Agreement”) with an investor (the “Royalty Holder”) to receive up to $60 million over the next two years, in return for the right to receive a portion of the future gold and silver production from the Pebble Project for the life of the mine. The Pebble Partnership received an initial payment of US$12 million from the Royalty Holder concurrently with execution of the Royalty Agreement and granted the option to the Royalty Holder to increase its investment to $60 million, in aggregate. The Pebble Partnership retained the right to 100% of the copper production from the Pebble Project.
Per the terms of the Royalty Agreement, the Royalty Holder made the initial payment of US$12 million in exchange for the right to receive 2% of the payable gold production and 6% of the payable silver production from the Pebble Project, in each case after accounting for a notional payment by the Royalty Holder of $1,500 per ounce of gold and $10 per ounce of silver, respectively, for the life of the mine. If, in the future, spot prices exceed $4,000 per ounce of gold or $50 per ounce of silver, then the Pebble Partnership will share in 20% of the excess price for either metal. Additionally, the Pebble Partnership will retain a portion of the metal produced for recovery rates in excess of 60% for gold and 65% for silver, and so is incentivized to continually improve operations over the life of the mine. Within two years of the date of the Royalty Agreement, the Royalty Holder has the right to invest additional funds, in $12 million increments for the right to receive additional increments of 2% of gold production and 6% silver production, to an aggregate total of $60 million, in return for the right to receive 10% of the payable gold and 30% of the payable silver (in each case, in the aggregate) on the same terms as the first tranche of the investment. The Royalty Holder is under no obligation to invest additional amounts to increase its interest in the gold and silver production in the Pebble Project.
The Pebble Partnership has also granted to the Royalty Holder a right of first refusal in respect of the sale of any gold or silver production from the Pebble Project pursuant to a streaming, royalty or other similar transaction in exchange for an upfront payment. The Royalty Holder has granted to the Pebble Partnership a right of first refusal should it propose to sell any of its rights under the Royalty Agreement.
Subject to certain conditions, the Royalty Agreement does not restrict Northern Dynasty’s ability to form partnerships to assist in the development of the Pebble Project, for example (but not restricted to) other mining companies or Alaska Native Corporations.
Teck Resources Limited (Teck) holds a 4% pre-payback net profits interest (after debt service), followed by a 5% after-payback net profits interest in any mine production from the Exploration Lands, which are shown in Figure 4 1 and further described in Section 6 History.
In June 2020, the Pebble Partnership established the Pebble Performance Dividend LLP to distribute a 3% net profits royalty interest in the Pebble Project to adult residents of Bristol Bay villages that have subscribed as participants. The Pebble Performance Dividend will distribute a guaranteed minimum annual payment of $3 million each year the Pebble mine operates, beginning at the outset of Project construction.
Northern Dynasty Minerals Ltd.
2023 Amended Technical Report on the
Pebble Project, Southwest Alaska
| Page 22 |

4.4 Surface Rights
Northern Dynasty currently does not own surface rights associated with the mineral claims that comprise the Pebble property. All lands are held by the State of Alaska, and surface rights may be acquired from the state government once areas required for mine development have been determined and permits awarded.
Both the access corridor north of Iliamna Lake as defined by the Least Environmentally Destructive Practicable Alternative (LEDPA) and the originally proposed corridor crossing Iliamna Lake are owned by a number of landowners, including the State of Alaska, Alaska Native Village Corporations, and private individuals. Pebble Partnership has completed access agreements with two Native Village Corporations and a private individual. Negotiations have advanced with other Native Village Corporations and individuals, but no agreements are in place. In June 2021, Pedro Bay Corporation announced they had signed an agreement whereby a fund had obtained an option to buy easements on portions of their land to set aside for conservation. Pedro Bay Corporation and the fund announced the exercise of the option in December 2022. While the Pebble Partnership has not explored the full range of options available to it with this announcement, its current assumption is that the route defined in the June 2020 FEIS is no longer practicable and thus does not qualify as the LEDPA. Accordingly, the Pebble Partnership is analyzing the amended version of the southern alternative originally proposed for the transportation route.
4.5 Environmental Liabilities
Environmental liabilities associated with the Pebble Project include removal of structures and equipment, closure of monitoring wells, and removal of piezometers. The State of Alaska holds a $2 million reclamation security associated with removal and reclamation of these liabilities.
4.6 Permits
Permits necessary for exploration drilling and other field programs associated with pre-development assessment of the Pebble Project are obtained as required.
Ultimate development of the Pebble Project will require a range of Federal and Alaska State permits.
In November 2020, in its ROD, USACE denied Pebble Partnership’s permit application. The Pebble Partnership submitted a request for appeal of the ROD to the USACE Pacific Ocean Division on January 19, 2021. The USACE Pacific Ocean Division issued its Administrative Appeal Decision on April 25, 2023. That decision did not sustain the permit denial decision on the Pebble Project that was originally made by the USACE Alaska District, and instead remanded the matter back to the Alaska District to re-evaluate specific issues. As a result of the remand decision, and in light of the EPA’s Final Determination, the Alaska District has been instructed to review the appeal decision and to notify the parties how it plans to proceed within 45 days of the date of the Administrative Appeal Decision. There is no assurance that a positive ROD will ultimately be obtained by the Pebble Partnership or that the required environmental permits for the Pebble Project as described in the Project Description will be obtained.
Northern Dynasty Minerals Ltd.
2023 Amended Technical Report on the
Pebble Project, Southwest Alaska
| Page 23 |

On September 9, 2021, the EPA announced it planned to re-initiate the process of making a CWA Section 404(c) determination for the waters of Bristol Bay. This set aside the 2019 withdrawal of the original proposed determination that was based on a 2017 settlement agreement between the EPA and Pebble Partnership. On May 25, 2022, the EPA announced that it intended to advance its pre-emptive veto of the Pebble Project and published its Revised Proposed Determination. The public comment period on the Revised Proposed Determination was subsequently extended through September 6, 2022. The EPA issued its Final Determination on January 30, 2023. The Final Determination established a “defined area for prohibition” coextensive with the current mine plan footprint in which the EPA would prohibit the disposal of dredged or fill material for the Pebble Project. The Final Determination established a 309-square-mile “defined area for restriction” that encompasses the area of the Pebble Project. The Pebble Partnership believes that there are numerous legal and factual flaws in the Final Determination and submitted comprehensive comments outlining its objections to the Revised Proposed Determination.
The EPA’s administrative determination can be challenged by filing a lawsuit in a U.S. federal district court seeking reversal of that decision. The Company and Pebble Partnership plan to seek judicial review of the Final Determination in an appropriate United States federal district court. Alaska Governor Mike Dunleavy has publicly indicated that the State will pursue legal action against the EPA to challenge the Final Determination.
The Final Determination will negatively affect the ability of the Pebble Partnership to obtain required permitting and develop the 2020 Mine Plan unless successfully challenged or withdrawn. There is no assurance that any challenge by the Pebble Partnership to the EPA’s Final Determination will be successful.
Refer to Section 16-5 – “Project Permitting” for a detailed discussion of the CWA permitting process and the EPA’s Final Determination.
The Bristol Bay Forever public initiative was approved by Alaskan voters in November 2014. Based on that initiative, development of the Pebble Project requires legislative approval upon securing all other permits and authorizations.
Northern Dynasty Minerals Ltd.
2023 Amended Technical Report on the
Pebble Project, Southwest Alaska
| Page 24 |

5.0 ACCESSIBILITY, CLIMATE, LOCAL RESOURCES, INFRASTRUCTURE AND PHYSIOGRAPHY ACCESSIBILITY
5.1 Access
The Pebble property is located in southwest Alaska (see Figure 5‑1). The map shows the proposed infrastructure corridor for the Pebble project, as contained in the revised NEPA permit submission.
Figure 5‑1Property Location and Access Map

Source: Northern Dynasty
Northern Dynasty Minerals Ltd.
2023 Amended Technical Report on the
Pebble Project, Southwest Alaska
| Page 25 |

Access to the property is typically via air travel from the city of Anchorage, which is situated at the northeastern end of Cook Inlet and is connected to the national road network via Interstate Highway 1 through Canada to the USA. Anchorage is serviced daily by several regularly scheduled flights to major airport hubs in the USA.
From Anchorage, there are regular flights to Iliamna. Charter flights may also be arranged from Anchorage. From Iliamna, access to the Pebble property is by helicopter.
5.2 Climate
The climate of the Pebble Project area is transitional; it is more continental in winter because of frozen water bodies and more maritime in summer because of the influence of the open water of Iliamna Lake and, to a lesser extent, the Bering Sea and Cook Inlet. Mean monthly temperatures in the deposit area range from about 11.4 °F in January to 50.8 °F in July (at the Pebble 1 meteorological station). The mean annual precipitation in the deposit area is estimated to be 54.6 inches (at the Pebble 1 meteorological station). About one-third of this precipitation falls as snow. The wettest months are August through October.
The climate is sufficiently moderate to allow a well-planned mineral exploration program to be conducted year-round (at Pebble.
5.3 Infrastructure
There is a modern airfield at Iliamna, with two paved 4,920 ft airstrips, that services the communities of Iliamna and Newhalen. The runways are suitable for DC-6 and Hercules cargo aircraft and for commercial jet aircraft.
There are paved roads that connect the villages of Iliamna and Newhalen to the airport and to each other and a partly paved, partly gravel road that extends to a proposed Newhalen River crossing near Nondalton. The property is currently not connected to any of these local communities by road; a road would be planned as part of the project design.
There is no access road that connects the communities nearest the Pebble Project to the coast on Cook Inlet. From the coast, at Williamsport on Iniskin Bay, there is an 18.6 mile state-maintained road that terminates at the east end of Iliamna Lake, where watercraft and transport barges may be used to access Iliamna. The route from Williamsport, over land to Pile Bay on Iliamna Lake, is currently used to transport bulk fuel, equipment and supplies to communities around the lake during the summer months.
Also during summer, supplies have been barged up the Kvichak River, approximately 43.4 miles southwest of Iliamna, from Kvichak Bay on the North Pacific Ocean.
A small run-of-river hydroelectric installation on the nearby Tazamina River provides power for the three communities in the summer months. Supplemental power generation using diesel generators is required during winter months.
Northern Dynasty Minerals Ltd.
2023 Amended Technical Report on the
Pebble Project, Southwest Alaska
| Page 26 |

5.4 Local Resources
Iliamna and surrounding communities have a combined population of just over 400 people. As such, there is limited local commercial infrastructure except that which services seasonal sports fishing and hunting.
5.5 Physiography
The property is situated at approximately 1,000 ft amsl in an area described as subarctic tundra. It is characterized by gently rolling hills and an absence of permafrost.
The Pebble property lies 80.5 km (50 miles) west of the Alaska Range in the Nushagak-Big River Hills, an area of rolling hills and low mountains separated by wide, shallow valleys blanketed with glacial deposits that contain numerous small, shallow lakes and are cut by several major meandering streams. The elevation ranges from 250 m (820 ft) amsl to 841 m (2,758 ft) amsl at Kaskanak Peak, the highest point on the property (Rebagliati, C.M., and Haslinger, J.M., 2003).
Tundra plant communities (mixtures of shrub and herbaceous plants) cover the project area. Willow is common only along streams, and sparse patches of dense alder are confined to better drained areas where coarse soils have developed. Poorly drained regions underlain by fine soils support dwarf birch and grasses (Detterman and Reed, 1973).
Northern Dynasty Minerals Ltd.
2023 Amended Technical Report on the
Pebble Project, Southwest Alaska
| Page 27 |

6.0 HISTORY
6.1 Overview
Cominco Alaska, a division of Cominco Ltd., now Teck Resources Limited (Teck), began reconnaissance exploration in the Pebble region in the mid-1980s and in 1984 discovered the Sharp Mountain gold prospect near the southern margin of the current property. Gold was discovered in drusy quartz veins of probable Tertiary age near the peak of Sharp Mountain (anonymous Teck report, 1984). Grab samples of veins in talus ranged from 0.045 oz/ton Au to 9.32 oz/ton Au and 3.0 oz/ton Ag. No record of further work is available, but similar quartz veins were encountered in 2004 during surface mapping of the property conducted by Northern Dynasty. Most of these veins trend north-south and dip steeply.
In 1987, examination and sampling of several prominent limonitic and hematitic alteration zones yielded anomalous gold concentrations from the Sill prospect, which was recognized as a precious-metal, epithermal-vein occurrence, and from outcrops over and surrounding what later became the Pebble area, but which at that time was of uncertain affinity. These discoveries were followed by several years of exploration including soil sampling, geophysical surveys and diamond drilling.
Geophysical surveys were conducted on the property between 1988 and 1997. The surveys were dipole-dipole induced polarization (IP) surveys for a total of 122 line-km, and were completed by Zonge Geosciences. This work defined a chargeability anomaly about 31.1 square miles in extent within Cretaceous age rocks which surround the eastern to southern margins of the Kaskanak batholith. The anomaly measures about 13 miles north-south and up to 6.3 miles east-west; the western margin of the anomaly overlaps the contact of the Kaskanak batholith, whereas to the east the anomaly is masked by Late Cretaceous to Eocene cover sequences. The broader anomaly was found to contain 11 distinct centres with stronger chargeability, many of which were later demonstrated to be coincident with extensive copper, gold and molybdenum soil geochemical anomalies. All known zones of mineralization of Cretaceous age on the Pebble property occur within the broad IP anomaly.
Diamond drilling was first conducted on the property during the 1988 exploration program which included 24 diamond drill holes at the Sill epithermal gold prospect soil sampling, geological mapping, two diamond drill holes at the Pebble target) and three holes totaling 893 ft on a target (later named the 25 Gold Zone by Northern Dynasty) located 3.7 miles south of the Pebble deposit.
Drilling at the Sill prospect intersected mineralization with gold grades that justified further exploration, but the initial Pebble drill holes yielded only modest encouragement. In 1989, an expanded soil-sampling program, the initial stages of the induced polarization (IP) surveys described above and nine diamond drill holes were completed at the Pebble target, 15 diamond drill holes were completed at the Sill prospect and three diamond drill holes were completed elsewhere on the property. Although limited in scope, the IP survey at Pebble displayed response characteristics of a large porphyry-copper system. Subsequent drilling by Teck intersected significant intervals of porphyry-style gold, copper and molybdenum mineralization, validating this interpretation.
Northern Dynasty Minerals Ltd.
2023 Amended Technical Report on the
Pebble Project, Southwest Alaska
| Page 28 |

Table 6‑1 Teck Drilling on the Sill Prospect to the End of 1997
| Year | No. of Drill Holes | Feet | Metres |
| 1988 | 24 | 7,048 | 2,148 |
| 1989 | 15 | 3,398 | 1,036 |
| Total | 39 | 10,446 | 3,184 |
Table 6‑2 Teck Drilling on the Pebble Deposit to the End of 1997
| Year | No. of Drill Holes | Feet | Metres |
| 1988 | 2 | 554 | 169 |
| 1989 | 9 | 3,131 | 954 |
| 1990 | 25 | 10,021 | 3,054 |
| 1991 | 48 | 28,129 | 8,574 |
| 1992 | 14 | 6,609 | 2,014 |
| 1997 | 20 | 14,696 | 4,479 |
| Total | 118 | 63,140 | 19,245 |
Exploration was accelerated when it became apparent that a significant copper-gold porphyry deposit had been discovered at Pebble. In 1990 and 1991, 25 and 48 diamond drill holes, respectively, were completed. In 1991, baseline environmental and engineering studies were initiated and weather stations were established. A preliminary economic evaluation was undertaken by Teck in 1991, and was updated in 1992 on the basis of 14 new diamond drill holes. In 1993, an IP survey and a four-hole diamond-drill program were completed at the target that was later named the 25 Gold Zone. In 1997, Teck completed an IP survey, geochemical sampling, geological mapping and 20 diamond drillholes within and near the Pebble deposit).
From 1988 to 1995, Teck undertook several soil geochemical surveys on the property and collected a total of 7,337 samples (Bouley et al., 1995).
Teck drilled 125 holes in the Pebble area between 1988 and 1997 for a total of 65,295.5 ft. These holes include 118 holes drilled in what later became known as Pebble West and seven holes drilled elsewhere on the property. Of the Pebble West holes, 94 were drilled vertically and 20 were inclined from −45° to −70° at various orientations. Two holes drilled by Teck in 1997 in Pebble West were abandoned before reaching the bedrock target. Teck also completed 39 drill holes on the Sill prospect for a total of 10,445.5 ft in 1988 and 1989.
Northern Dynasty Minerals Ltd.
2023 Amended Technical Report on the
Pebble Project, Southwest Alaska
| Page 29 |

Table 6‑3 Total Teck Drilling on the Property to the End of 1997
| Year | No. of Drill Holes | Feet | Metres |
| 1988 | 26 | 7,602 | 2,317 |
| 1989 | 27 | 7,422 | 2,262 |
| 1990 | 25 | 10,021 | 3,054 |
| 1991 | 48 | 28,129 | 8,574 |
| 1992 | 14 | 6,609 | 2,014 |
| 1993 | 4 | 1,263 | 385 |
| 1997 | 20 | 14,696 | 4,479 |
| Total | 164 | 75,741 | 23,086 |
6.2 Historical Sample Preparation and Analysis
6.2.1 Sample Preparation
Teck drill core was transported from the drill site by helicopter to a logging and sampling site in the village of Iliamna. The core from within the Pebble deposit was typically sampled on 10 ft intervals and most core from Cretaceous age units was sampled. Samples from the Sill and other areas were typically 5 ft in length, with shorter samples in areas of vein mineralization. Samples consisted of mechanically-split drill core. The samples were transported by air charter to Anchorage and by air freight to Vancouver, BC. All coarse rejects from 1988 through 1997 and all pulps from 1988 and most from 1989 have been discarded. The remaining pulps were later shipped by Northern Dynasty to a secure warehouse at Surrey, BC, for long-term storage.
Teck samples collected in the 1988 and 1989 drill programs were prepared and analyzed by Cominco Exploration and Research Laboratory (CERL) in Vancouver, BC., including all samples from the Sill Deposit, 568 samples from the first 11 holes in the Pebble West deposit, and 178 sample from the three holes in the 25 Zone. In 1990, 1991 and 1992, Teck drilled 87 holes comprising 4,224 samples in the Pebble West deposit, and added four holes and 100 samples in an area southeast of the 25 Zone in 1993. Samples from these programs were prepared and analyzed by ALS Minerals (ALS) Laboratories in North Vancouver, BC (formerly Chemex Labs Inc.). During the 1997 program, Teck drilled 20 holes and took 1,214 core samples that were prepared by ALS Laboratories in Anchorage. Core samples processed at the ALS facilities were by drying, weighing, crushing to 70% passing 10 mesh and then splitting to a 250 g sub-sample; the 250 g sub-sample was pulverized to 85% passing 200 mesh.
6.2.2 Sample Analysis
Teck systematically assayed for gold in the Cretaceous intersections from all drill holes completed on the property from 1988 through 1997. Copper analysis was added when the Pebble porphyry discovery hole was drilled in 1989, and single element copper analysis continued for all Cretaceous intersections in 1989. Selective single element molybdenum assays and single element silver analyses were added to some holes in 1989. These methods were by AR digestion with an AAS finish. In 1990, Teck added multi-element analysis to the analytical protocol, which included the determination of copper, molybdenum, silver and 29 additional elements by AR digestion with an ICP-AES finish. In 1991 and 1992, some sections of core were analyzed using AR digestion the multi-element ICP-AES analysis method that included copper, molybdenum and silver , and 29 additional elements, and some were analyzed using single element copper analysis by AR digestion with an AAS finish. Gold was determined in 1991 and 10992 at ALS by FA fusion of a 10 g sub-sample followed by and AAS finish. Only four holes were drilled by Teck in 1993, on targets south of the Pebble West deposit, and these were only assayed for gold by FA-fusion and for copper by a single element AR digestion AAS method.
Northern Dynasty Minerals Ltd.
2023 Amended Technical Report on the
Pebble Project, Southwest Alaska
| Page 30 |

No drilling was completed from 1994 to 1996.
In the 1997 Teck program, a 250 g pulp sample was shipped from ALS Anchorage to CERL in Vancouver, BC, for copper analysis using an aqua regia (AR) digestion with inductively coupled plasma atomic emission spectroscopy (ICP-AES) finish. Gold was analyzed using fire assay (FA) on a one assay-ton sample with atomic absorption spectroscopy (AAS) finish. Trace elements also were analyzed by AR digestion and ICP-AES finish. One blind standard was inserted for every 20 samples analyzed. One duplicate sample was taken for every 10 samples analyzed.
Teck analyzed a total of 6,987 core samples from 164 drill holes, including 676 samples analyzed from 39 drill holes on the Sill prospect.
QP Eric Titley has reviewed all aspects of the Teck sampling and analytical program and deems as them to be of a suitable standard.
6.3 Historical Resource Estimates
Teck prepared several resource estimates on the Pebble deposit during the 1990s, employing block models estimated with either kriging or inverse distance (ID) weighting. The cut-off grade used was 0.3% CuEq based on metal prices of $1.00/lb of copper and $375/oz of gold. These estimates are summarized in Table 6‑4.
Table 6‑4 Teck Resource Estimates
| Year | Tonnage (million) |
| Cu (%) | Au (oz/ton) |
| 1990 | 200 |
| 0.35 | 0.01 |
| 1991 | 500 |
| 0.35 | 0.01 |
| 1992 | 460 |
| 0.40 | 0.01 |
| 2000 | 1,000 |
| 0.30 | 0.01 |
These historical estimates are considered both relevant and reliable, as the methodology was consistent with industry standards at the time of estimation. The historical estimates are classified as Inferred. However, no QP has done sufficient work to evaluate these historical estimates and Northern Dynasty is not treating the historical estimates as current Mineral Resources. More recent estimates are described in Section 14.0.
Northern Dynasty Minerals Ltd.
2023 Amended Technical Report on the
Pebble Project, Southwest Alaska
| Page 31 |

6.4 Ownership History
In October 2001, Northern Dynasty acquired, through its Alaskan subsidiary, a two-part Pebble Property purchase option previously secured by Hunter Dickinson Group Inc. (HDGI) from an Alaskan subsidiary of Teck Cominco Limited, now Teck. In particular, HDGI assigned this two-part option (the Teck Option) as 80% to Northern Dynasty while retaining 20% thereof. The first part of the Teck Option permitted Northern Dynasty to purchase (through its Alaskan subsidiary) 80% of the previously drilled portions of the Pebble Property on which the majority of the then known copper mineralization occurred (the “Resource Lands Option”). Northern Dynasty could exercise the Resource Lands Option through the payment of cash and shares aggregating $10 million prior to November 30, 2004. The second part of the Teck Option permitted Northern Dynasty to earn a 50% interest in the exploration area outside of the Resource Lands (the “Exploration Lands Option”). Northern Dynasty could exercise the Explorations Lands Option by doing some 18,288 m (60,000 ft) of exploration drilling by November 30, 2004, which it completed on time. The HDGI assignment of the Teck Option also allowed Northern Dynasty to purchase the other 20% of the Teck Option retained by HDGI for its fair value.
In November 2004, Northern Dynasty exercised the Resource Lands Option and acquired 80% of the Resource Lands. In February 2005, Teck elected to sell its residual 50% interest in the Exploration Lands to Northern Dynasty for $4 million. Teck still retains a 4% pre-payback advance net profits royalty interest (after debt service) and 5% after-payback net profits interest royalty in any mine production from the Exploration Lands portion of the Pebble property.
In June 2006, Northern Dynasty acquired, through its Alaska subsidiaries, the remaining HDGI 20% interest in the Resource Lands and Exploration Lands by acquiring HDGI from its shareholders and through its various subsidiaries had thereby acquired an aggregate 100% interest in the Pebble Property, subject only to the Teck net-profits royalties on the Exploration Lands described above (see Section 4). At that time, Northern Dynasty operated the Pebble Property through a general Alaskan partnership with one of its subsidiaries.
In July 2007, the Pebble Partnership was created and an indirect wholly-owned subsidiary of Anglo American plc (Anglo American) subscribed for 50% of the Pebble Partnership's equity effective July 31, 2007. Over the next 6 years, Anglo American spent $573 million on exploration, resource estimation, environmental data collection and technical studies, with a significant portion spent on engineering of possible mine development models, as well as related infrastructure, power, and transportation systems prior to withdrawing from the project. In December 2013, Northern Dynasty exercised its right to acquire Anglo American’s interest in the Pebble Partnership and now holds a 100% interest in the Pebble Partnership.
On December 15, 2017, Northern Dynasty entered into a Framework Agreement with First Quantum Minerals Ltd. (First Quantum) which contemplated that an affiliate of First Quantum would subsequently execute an option agreement with Northern Dynasty with an option payment of US$150 million staged over four years. This option would entitle First Quantum to acquire the right to earn a 50% interest in the Pebble Partnership for US$1.35 billion. First Quantum made an early option payment of US$37.5 million to Northern Dynasty, applied solely for the purposes of progressing the permitting of the Pebble Project but withdrew from the project in 2018.
Northern Dynasty Minerals Ltd.
2023 Amended Technical Report on the
Pebble Project, Southwest Alaska
| Page 32 |

On June 29, 2010, Northern Dynasty entered into an agreement with Liberty Star Uranium and Metals Corp. and its subsidiary, Big Chunk Corp. (together, Liberty Star), pursuant to which Liberty Star sold 23.8 square miles of claims (the 95 Purchased Claims) to a U.S. subsidiary of Northern Dynasty in consideration for both a $1 million cash payment and a secured convertible loan from Northern Dynasty in the amount of $3 million. The parties agreed, through various amendments to the original agreement, to increase the principal amount of the Loan by $730,174. Northern Dynasty later agreed to accept transfer of 199 claims (the Settlement Claims) located north of the ground held 100% by the Pebble Partnership in settlement of the Loan, and subsequently both the Purchased Claims and the Settlement Claims were transferred to an Northern Dynasty subsidiary and ultimately to Pebble West Claims Corporation, a subsidiary of the Pebble Partnership.
On January 31, 2012, the Pebble Partnership entered into a Limited Liability Company Agreement with Full Metal Minerals (USA) Inc. (FMMUSA), a wholly-owned subsidiary of Full Metal Minerals Corp., to form Kaskanak Copper LLC (the LLC). Under the agreement, the Pebble Partnership could earn a 60% interest in the LLC, which indirectly owned 100% of the Kaskanak claims, by incurring exploration expenditures of at least US$3 million and making annual payments of $50,000 to FMMUSA over a period ending on December 31, 2013. On May 8, 2013, the Pebble Partnership purchased FMMUSA’s entire ownership interest in the LLC for a cash consideration of $750,000. As a result, the Pebble Partnership gained a 100% ownership interest in the LLC, the indirect owner of a 100% interest in a group of 464 claims located south and west of other ground held by the Pebble Partnership. In 2014 the LLC was merged into Pebble East Claims Corporation, a subsidiary of the Pebble Partnership, which now holds title to these claims.
There has been no production from the Pebble Property.
Northern Dynasty Minerals Ltd.
2023 Amended Technical Report on the
Pebble Project, Southwest Alaska
| Page 33 |

7.0 GEOLOGICAL SETTING AND MINERALIZATION
7.1 Regional Geology
The tectonic and magmatic history of southwest Alaska is complex (Decker et al., 1994; Plafker and Berg, 1994). It includes formation of foreland sedimentary basins between tectonostratigraphic terranes, amalgamation of these terranes and their translation along crustal-scale strike-slip faults, and episodic magmatism and formation of related mineral occurrences. The overview presented here is based largely on Goldfarb et al. (2013) and its contained references.
The allochthonous Wrangellia superterrane comprises the amalgamated Wrangellia, Alexander and Peninsular oceanic arc terranes that approached North America from the southwest in the early Mesozoic. West-dipping subduction beneath the superterrane formed the Late Triassic to Early Jurassic Talkeetna oceanic arc, which is now preserved in the Peninsular terrane east of Pebble (Figure 7‑1). Several foreland sedimentary basins dominated by Jurassic to Cretaceous flysch, including the Kahiltna basin that hosts the Pebble deposit (Kalbas et al., 2007), formed between Wrangellia and pericratonic terranes and previously amalgamated allochthonous terranes of the Intermontane belt (Wallace et al., 1989; McClelland et al., 1992). Basin closure occurred as Wrangellia accreted to North America by the late Early Cretaceous (Detterman and Reed, 1980; Hampton et al., 2010). Between approximately 115 to 110 Ma and 97 to 90 Ma, the strata in the foreland basins were folded, complexly faulted and subjected to low-grade regional metamorphism (Bouley et al., 1995; Goldfarb et al., 2013). Intrusions at Pebble are undeformed (Goldfarb et al., 2013) and were probably emplaced during a period when at least local extension occurred across southwest Alaska in the mid-Cretaceous (e.g. Pavlis et al., 1993). The relative importance of extensional versus compressional structures to the formation of the Pebble deposit is not well constrained, although an important syn-hydrothermal transpressional fault occurs in the eastern part of the deposit.
Since the early Late Cretaceous, deformation in southwest Alaska has occurred mostly on major dextral strike-slip faults that broadly parallel to the continental margin (Figure 7‑1). The major Denali fault in central Alaska forms the contact between the Intermontane Belt and the collapsed flysch basins. Subparallel faults with less substantial displacement are located south of the Denali fault, and the Pebble district is located between what are probably terminal strands of the dextral Lake Clark fault zone (Figure 7‑1); Shah et al., 2009). The Lake Clark fault zone marks the poorly defined boundary between the Peninsular terrane to the southeast and the Kahiltna terrane, which hosts Pebble, to the northwest (Figure 7‑1). Haeussler and Saltus (2005) propose 16.1 miles of dextral offset along the Lake Clark fault zone, most of which is interpreted to have occurred prior to approximately 38 to 36 million years ago. Recent field studies of geomorphology along the Lake Clark fault indicate that this structure has not experienced seismic activity for at least the last 10,000 years (Haeussler and Saltus, 2005, 2011; Koehler, 2010; Koehler and Reger, 2011). Other sub-parallel strike-slip faults also form terrane boundaries in the region, including the Mulchatna and Bruin Bay faults (Figure 7‑1). Goldfarb et al. (2013) propose that most or all movement on these smaller structures occurred during oroclinal bending in the Tertiary, after formation of the Pebble deposit.
Northern Dynasty Minerals Ltd.
2023 Amended Technical Report on the
Pebble Project, Southwest Alaska
| Page 34 |

The initiation of magmatism and metallogenesis in the Pebble district approximately coincides with the onset of dextral transpression during basin collapse (Goldfarb et al., 2013). Alkalic to subalkalic intrusions were emplaced between approximately 100 and 88 Ma (Bouley et al., 1995; Amato et al., 2007; Hart et al., 2010; Lang et al., 2013; Olson et al., 2017, 2020). Alaska-type ultramafic complexes were emplaced at Kemuk, which is enriched in platinum group elements (Iriondo et al., 2003; Foley et al., 1997), and a mineralogically similar alkalic ultramafic body, albeit probably emplaced at shallow depths and without known enrichment in platinum group elements, occurs at Pebble (Bouley et al., 1995). Porphyry Cu-Mo±Au±Ag mineralization in the region is associated dominantly with subalkalic, felsic to intermediate intrusions formed between 97 and 90 Ma, and includes deposits at Pebble, Neacola (Reed and Lanphere, 1973; Young et al., 1997) and possibly the undated Iliamna prospect (Figure 7‑1). Late Cretaceous intermediate to felsic intrusions are subalkalic and were emplaced between 75 and 60 Ma (e.g., Couture and Siddorn, 2007; Goldfarb et al., 2013). Porphyry Cu-Au±Mo and/or reduced intrusion-related gold mineralization associated with these rocks (Figure 7‑1) formed at the Whistler deposit (Hames and Roberts, 2020), located about 93.2 miles northeast of Pebble, at Kijik River (Kreiner et al., 2020), the Bonanza Hills (Anderson et al., 2013) and Shotgun (Rombach and Newberry, 2001). Late Cretaceous to intrusions are common in the Kahiltna terrane and widespread, voluminous Eocene volcanic rocks cover much of the Kahiltna terrane and are associated with epithermal precious metal mineralization (Bundtzen and Miller, 1997). Igneous rocks of the mid-Cretaceous, Late Cretaceous, and Eocene magmatic suites are present within the Pebble district.
7.2 Property Geology
7.2.1 Kahiltna Flysch
The oldest rock type in the Pebble district is the Kahiltna flysch, which comprises basinal turbidites, interbedded basalt flows and lesser breccias, and minor gabbroid intrusions. The Kahiltna flysch forms a northeast-trending belt about 250 miles long, which has experienced multiple stages of igneous and hydrothermal activity (Figure 7‑1); Goldfarb, 1997; Young et al., 1997). The flysch in the vicinity of Pebble is at least 99 to 96 million years old, based on the maximum age of cross-cutting intrusions. Sediments were predominately derived from intermediate igneous source rocks and consist of siltstone, mudstone, subordinate wacke and rare, thin, lensoidal beds of matrix-supported pebble conglomerate (Figure 7‑1). Bedding ranges from laminar to thick and is commonly poorly defined. Bouma sequences (Bouley et al., 1995), graded beds and load casts demonstrate that the stratigraphy is right-way-up.
The flysch locally contains thick layers of basalt flows, lesser breccias and minor mafic volcaniclastic rocks located mostly in the southwest and northern parts of the district. Undated gabbros cut the flysch and volcanic rocks in several areas and are interpreted to be related either to the basaltic volcanic rocks within the flysch or to younger diorite sills.
7.2.2 Diorite and Granodiorite Sills
Diorite and granodiorite sills intruded the Kahiltna flysch (Figure 7‑2A) at approximately 96 Ma. These two rock types are interpreted to be approximately coeval, based on the similarity in their distribution and style of occurrence; they are only well documented within the Pebble deposit.
Northern Dynasty Minerals Ltd.
2023 Amended Technical Report on the
Pebble Project, Southwest Alaska
| Page 35 |

Figure 7‑1 Location of the Pebble Deposit & Regional Geological Setting of Southwest Alaska

Note: Modified slightly from Anderson et al. (2013). Dashed lines separate terranes: KB=Kuskokwim Basin; TT=Togiak Terrane; PT=Peninsular Terrane; FT=Farewell Terrane; CzC=Cenozoic cover. Filled circles are the locations of mineral deposits discussed in this text. Major dextral strike-slip faults are indicated by solid lines.
Diorite sills are laterally extensive and range from less than 10 ft to greater than 300 ft in thickness. They are most common as stacked sheets in the western part of the Pebble deposit. The sills are medium grained and weakly porphyritic, with common plagioclase and hornblende and minor pyroxene set in a very fine-grained groundmass of plagioclase and hornblende (Figure 7‑2B).
Three laterally continuous granodiorite sills occur within the Pebble deposit. They are up to 1,000 ft thick, with the thickest portions in the northeast part of the deposit. The sills range from fine to medium grained, with common plagioclase and hornblende as well as minor amounts of apatite, in a very fine-grained groundmass of potassium feldspar and quartz with minor to accessory magnetite, apatite and zircon (Figure 7‑2C).
Northern Dynasty Minerals Ltd.
2023 Amended Technical Report on the
Pebble Project, Southwest Alaska
| Page 36 |

7.2.3 Alkalic Intrusions and Associated Breccias
A complex suite of alkalic porphyry intrusions, that ranges from biotite pyroxenite, monzodiorite, monzonite to syenomonzonite, monzonite and monzodiorite, and associated breccias extends occur in the southwest quadrant of the Pebble deposit and extend several miles to the south (Schrader, 2001; Hart et al., 2010; Goldfarb et al., 2013). Isotopic dates on diorite and granodiorite sills, biotite pyroxenite and alkalic intrusions indicate that they are approximately coeval and were emplaced between 99 and 96 Ma (Schrader, 2001; Olson, 2015). Early intrusions are medium-grained, biotite monzonite porphyries (Figure 7‑2D) that commonly contain scattered potassium feldspar megacrysts up to a few centimetres in size. Later intrusions are fine-grained porphyritic biotite monzodiorite (Figure 7‑2E). All intrusive phases contain angular to subrounded xenoliths of flysch, diorite and, in the younger monzodiorite phase, xenoliths of older alkalic intrusions. Many of the intrusions grade laterally into breccias.
Breccias in the alkalic complex are complicated. Subordinate intrusion breccias have angular to subangular fragments in a cement of a relatively younger porphyritic biotite monzodiorite intrusion. Fragments of diorite sills, early alkalic biotite monzonite porphyry intrusions and flysch are most common xenoliths. In the common breccias, the matrices dominantly consist of a rock flour composed of subangular to subrounded fragments of these same rock types (Figure 7‑2F). Hydrothermal cement is absent, and fragments range from a few millimetres to tens of metres in size. Locally, intersections of diorite and granodiorite sills within the breccia bodies may correlate laterally with undisturbed sills. Due to the internal complexity of the alkalic rocks and breccias within the deposit, the complex is modeled as a single unit, loosely interpreted as a megabreccia.
7.2.4 Hornblende Granodiorite Intrusions
Granodiorite intrusions include the Kaskanak batholith and numerous smaller bodies, mostly within or proximal to zones of porphyry-style mineralization around the margins of the batholith. All isotopic dates on these rocks are approximately 90 Ma (Bouley et al., 1995; Lang et al., 2013). The Kaskanak batholith is dominantly a medium-grained hornblende granodiorite porphyry, with minor equigranular hornblende quartz monzonite. Granodiorite intrusions spatially associated with porphyry-style mineralization throughout the Pebble district are all mineralogically and texturally similar to the main phase of the Kaskanak batholith (Figure 7‑2G). All of these intrusions are characterized by common hornblende, plagioclase and minor quartz and titanite, set in a fine-grained groundmass of quartz, plagioclase, potassium feldspar, apatite, zircon and magnetite. Megacrysts of potassium feldspar are up to 0.6 in in size, increase in both size and concentration with depth (from less than 2% to greater than 5%) and poikilitically enclose plagioclase and hornblende phenocrysts.
7.2.5 Volcanic-Sedimentary cover sequence
Cretaceous rock types 90 Ma or older are unconformably overlain by well-bedded sedimentary and volcanic rocks (Figure 7‑2H), informally called the cover sequence. The cover sequence is up to 2,200 ft thick over the eastern edge of the Pebble deposit, and basalt flows with lesser interbeds of clastic sedimentary rocks are up to at least 6,400 ft thick within the East Graben. The sequence occurs mostly on, and thickens toward, the east side of the district, and is widespread to the southwest, south and north of Pebble. Sedimentary rock types are facing right-way-up but have been tilted about 20o east in the deposit area, and include pebble to boulder conglomerate, wacke, siltstone and mudstone. Plant fossils are common in wacke, and coal-bearing seams up to approximately 1.5 ft thick have been intersected by drilling. Volcanic to sub-volcanic rocks include basalt flows and mafic dykes and sills. Volcaniclastic rocks are abundant and contain angular fragments ranging from basalt to rhyolite within a matrix of comminuted volcanic material. The cover sequence is cut by minor narrow, dykes and sills of felsic to intermediate composition. Lang et al., (2013) report that basalts in the East Graben are cut by 65 Ma hornblende monzonite porphyry intrusions, and Olson et al. (2017) assign sedimentary and volcanic rocks that overlie the eastern part of the deposit to the late Paleocene to Eocene Talarik Formation, which may correlate with the widespread Copper Lake Formation of Detterman and Reed (1980).
Northern Dynasty Minerals Ltd.
2023 Amended Technical Report on the
Pebble Project, Southwest Alaska
| Page 37 |

7.3 Hornblende Monzonite Porphyry Intrusions
Two porphyry intrusions of hornblende monzonite, up to 820 ft thick, cut basalts within the East Graben and have been dated at approximately 65 Ma (Lang et al., 2013). They are medium-grained and porphyritic, with common plagioclase and lesser hornblende set in a fine-grained groundmass of potassium feldspar, plagioclase and minor magnetite. These intrusions are not hydrothermally altered.
7.3.1 Eocene Volcanic Rocks and Intrusions
Volcanic and sub-volcanic intrusive rocks on the east side of the district are dated at approximately 46 to 48 Ma (Bouley et al., 1995; Lang et al., 2013). These rocks are mostly exposed on Koktuli Mountain east of the deposit and in the East Graben; reconnaissance drill intersections suggest they are also common in the southeast part of the district beneath glacial cover. Rock types include felsic dykes, brecciated rhyolite flows, fine-grained, equigranular to porphyritic biotite-bearing hornblende latite intrusions and coarse-grained hornblende monzonite porphyry.
7.3.2 Glacial Sediments
Unconsolidated glacial sediments of Pleistocene to recent age cover the valley floors and the flanks of the higher hills (Detterman and Reed, 1973; Hamilton and Klieforth, 2010). The sediments are typically less than 100 ft thick, but drill intersections range up to 525 ft in the wide valley in the southeast part of the district. Ice flow directions over the deposit were to the south-southwest, and the glaciers had retreated by approximately 11 Ka (Detterman and Reed, 1973; Hamilton and Klieforth, 2010).
7.3.3 District Structure
The structural history of the district outside of the Pebble deposit is poorly understood due to a paucity of outcrop and marker horizons. The Kahiltna flysch exhibits shallow to moderate dips to the east, south and southeast, which may reflect doming around the margins of the Kaskanak batholith. Folds in the flysch are open, and most inter-limb angles are less than 20°. Folding and related deformation predate hydrothermal activity at Pebble (Bouley et al., 1995; Goldfarb et al., 2013).
Faults are abundant throughout the Pebble district. A metallogenically significant, northeast-trending, syn-hydrothermal brittle-ductile fault zone (BDF) is described later in this section. Most faults are brittle normal or normal-oblique structures that cut and displace all rock types in the district and, in many cases, have been inferred from discontinuities in airborne magnetic and electromagnetic data. The most prominent faults strike north-northeast and northwest, with fewer striking east. The most important of these faults bound the northeast-trending East Graben, which is believed to be a negative flower structure that down-drops high-grade mineralization on the east side of the Pebble deposit. Brittle faults cut Eocene rock types, but precursor structures may have been periodically active since the mid-Cretaceous (L. Rankin, pers. comm., 2011). There is no geological evidence to suggest that these faults have been recently active.
Northern Dynasty Minerals Ltd.
2023 Amended Technical Report on the
Pebble Project, Southwest Alaska
| Page 38 |

Figure 7‑2 Rock Types in the Pebble District

Notes:
A: Kahiltna flysch with interbedded siltstone and wacke affected by biotite-rich potassic alteration.
B: Diorite sill cut by magnetite-rich veins with intense biotite-rich potassic alteration.
C: Granodiorite sill with crowded porphyritic texture and pervasive potassic alteration.
D: Biotite monzonite porphyry member of the alkalic suite.
E: Late biotite monzodiorite porphyry member of the alkalic suite with angular xenoliths of flysch.
F: Diatreme breccia from the alkalic suite with polylithic fragments in a matrix of rock flour.
G: Pebble East zone granodiorite porphyry pluton with relict hornblende phenocrysts selectively altered to biotite.
H: Sharp contact between mineralized granodiorite sill and overlying basal conglomerate of the cover sequence at the top of the Pebble East zone.
Northern Dynasty Minerals Ltd.
2023 Amended Technical Report on the
Pebble Project, Southwest Alaska
| Page 39 |

7.4 Deposit Geology
The characteristics of the Pebble deposit are shown in plan view in Figure 7‑3 and Figure 7‑4 Plan View of Alteration and Metal Distribution in the Pebble Deposit, and in cross-section in Figure 7.3-3 to Figure 7.3-5 . Geological interpretation of the Pebble deposit is based almost entirely on diamond drill intersections. Greater detail on the geology of the Pebble deposit is available in Lang et al. (2013), Olson (2015), and Olson et al. (2017, 2020).
7.4.1 Rock Types
The deposit is hosted by Kahiltna flysch, diorite and granodiorite sills, alkalic intrusions and breccias, granodiorite stocks, and granodiorite to granite dykes Figure 7‑3 and Figure 7‑5. Within the deposit, the Kahiltna flysch is a well-bedded siltstone with less than 10% coarser-grained wacke interbeds; basalt and gabbro are absent. Bedding within the flysch typically dips less than 25o to the east. The flysch was intruded by diorite sills, granodiorite sills and rocks of the alkalic suite prior to hydrothermal activity. The diorite sills are found only in the western half of the deposit (Figure 7‑5), whereas some granodiorite sills extend across the entire deposit. Intrusions and breccias of the alkalic suite occupy the southwest quadrant of the deposit (Figure 7‑3).
The deposit is centered on a group of Kaskanak suite intrusions. Olson (2015) describes the sequence and composition of the intrusions within the Pebble deposit as: 1) earliest, voluminous equigranular granodiorite equivalent to the Kaskanak batholith; 2) transitionally porphyritic granodiorite stocks; 3) early-mineral granodiorite porphyry; 4) inter-mineral quartz granite porphyry; and 5) minor late-mineral high-silica quartz granite porphyry. Due to scale, the Kaskanak intrusions are simplified on Figure 7‑3 and are shown as the larger Pebble East zone pluton and four smaller bodies in the Pebble West zone. The north contact of the Pebble East zone pluton is close to vertical, and its upper contact dips shallowly to the west; it remains undelineated to the south, and has been dropped into the East Graben by the ZG1 normal fault. Contacts of stocks in the Pebble West zone dip steeply to moderately outward. Drill intersections of equigranular granodiorite at depths more than ~3,300 feet below the deposit support the hypothesis that the observed porphyry dikes and stocks in the upper part of the deposit emanate and were derived from a deeper reservoir of granodiorite at depth that is part of the main mass of the Kaskanak batholith.
The Pebble East zone is entirely concealed by the east-thickening cover sequence. The contact between the flysch and the cover sequence ranges from sharp and undisturbed to structurally disrupted with slippage along the contact. The lower half of the sequence comprises a thick basal conglomerate with well-rounded cobbles and boulders of intrusive and volcanic rock types of unknown provenance, overlain by complex, interlayered, discontinuous lenses of pebble conglomerate, wacke, siltstone, and mudstone. The upper half of the sequence comprises volcanic and volcaniclastic rocks (Figure 7‑5) dominated by basalt or andesite and intruded by minor felsic to intermediate sills and/or dykes.
Northern Dynasty Minerals Ltd.
2023 Amended Technical Report on the
Pebble Project, Southwest Alaska
| Page 40 |

The East Graben is filled by basalt flows and lesser sedimentary rocks that have an uncertain relationship to the cover sequence. The graben fill ranges from approximately 4,265 ft thick north of the ZE fault to a thickness of up to at least 6,400 ft to the south. Basalts in the lower half of the graben are cut by two ~65 Ma monzonite porphyry intrusions, which makes them older than the rocks that cover the Pebble East zone. The age of the upper part of the graben fill is unknown but similarities of the sedimentary layers to some rock types in the cover sequence suggests that they may be coeval.
Eocene rocks are rare within and proximal to the Pebble deposit. Where thus far encountered, they comprise narrow felsic dykes, a pink hornblende monzonite intrusion intersected at depth in the central part of the East Graben, and a rhyolite flow breccia at the top of the East Graben, south of the ZE fault.
7.4.2 Structure
Within the western part of the Pebble deposit, the Kahiltna flysch occurs as an open, M-shaped anticline with axes that plunge shallowly to the east-southeast (Rebagliati and Payne, 2006). The folding predates intrusive activity at Pebble and diorite sills are commonly thicker where they exploited the hinges of the folds. Folding did not affect the cover sequence.
A brittle-ductile fault zone (BDF) has been identified on the east side of the Pebble deposit (Figure 7‑3) where it manifests a zone of deformation defined by distributed cataclastic seams and healed breccias. It strikes north-northeast, extends at least 1.86 miles along strike, is up to 650 ft wide and is vertical to steeply west-dipping. The BDF is truncated on the east by the ZG1 fault (Figure 7‑5) and does not affect the cover sequence. Displacement was dextral-oblique/reverse (S. Goodman, pers. comm., 2008), and correlation of alteration domains across the fault limits post-hydrothermal lateral displacement to less than 1,310 ft. The BDF was active before, during and after hydrothermal activity. Deformation is most intense in flysch north of the Pebble East Zone pluton but is weaker within the intrusion, suggesting that the BDF was more active before or during emplacement of the stock. Syn-hydrothermal control on mineralization by the BDF is indicated by the much higher grades of copper and gold and higher vein density within the structural zone compared to adjacent, undeformed host rocks. The characteristics of deformation along the BDF, and its timing relative to hydrothermal activity at Pebble, support at least a local compressional to transpressional environment during the formation of the deposit. Local deformation of veins indicates some post-hydrothermal movement on the BDF.
Brittle faults within the Pebble deposit conform to the district-scale patterns described above (Figure 7‑3). The ZB, ZC and ZD faults occur in the Pebble West zone and exhibit normal offset of diorite and granodiorite sills of between 50 ft and 300 ft. Normal displacement on the ZJ and ZI faults is not well constrained. The ZA fault has about 100 ft of apparent reverse movement. A minimum of 820 ft of normal displacement occurred across the steeply west-dipping ZF fault, juxtaposing mineralized sodic-potassic alteration in the east against poorly mineralized, propylitic and quartz-sericite-pyrite alteration to the west. Scissors-style, south-side-down normal displacement on the ZE fault increases from around 100 ft on its western end to about 980 ft on the east side of the deposit. The ZG1 fault forms the western boundary of the East Graben and has well-defined normal displacement of approximately 2,100 ft in the north and 2,900 ft in the south, based on offset of the contact between the deposit and the cover sequence (Figure 7‑5). The ZG2 fault, which is parallel to the ZG1 fault, has between 880 ft and 1,800 ft of normal displacement. The ZH fault and possible parallel structures farther east mark the eastern margin of the East Graben but remain undelineated. Many of these brittle faults localized intermediate to mafic dykes and a date of 84 Ma for an andesite dyke by Schrader (2001) indicates that brittle faults were active at least from that time and likely continued at least until the Eocene (Olson, 2015).
Northern Dynasty Minerals Ltd.
2023 Amended Technical Report on the
Pebble Project, Southwest Alaska
| Page 41 |

Figure 7‑3 Geology of the Pebble Deposit Showing Section Locations

| Note: | The late Cretaceous cover sequence occurs to the east of the dark yellow line and has been removed for clarity. |
|
| Cross-sections A-A’, B-B’ and C-C’ are shown in Figure 7‑5, Figure 7‑6 and Figure 7‑7, respectively. The brittle-ductile fault zone (BDF) is indicated by the cross-hatched pattern. The dashed outline of the estimated resources at a 0.3% CuEq cut-off is used as a reference point for alteration and grade distribution in Figure 7‑4 Plan View of Alteration and Metal Distribution in the Pebble Deposit. |
|
| White areas are either undrilled or rock types below cover sequence unknown. See Figure 7‑1 for geology legend. |
Northern Dynasty Minerals Ltd.
2023 Amended Technical Report on the
Pebble Project, Southwest Alaska
| Page 42 |

Figure 7‑4 Plan View of Alteration and Metal Distribution in the Pebble Deposit

| Note: | Grades are shown as they appear in a previously completed resource block model (Gaunt et al., 2010), at the contact between the deposit and the overlying cover sequence, which has been removed. These grades are not derived from the current resource estimate. The QP has reviewed the limited drilling completed subsequent to the drafting of these figures. In the QP’s opinion, the additional drilling makes no material difference to the information as presented. This statement applies to Figures 7-4, 7-5, 7-6, and 7-7. For geological reference, the resource outline matches that shown in Figure 7‑3 . |
|
| A simplified distribution of alteration types is shown on the map at upper left. NQV and SQV are the northern and southern quartz vein domains (>50% quartz veins). |
Northern Dynasty Minerals Ltd.
2023 Amended Technical Report on the
Pebble Project, Southwest Alaska
| Page 43 |

Figure 7‑5 Geology, Alteration and Distribution of Metals on Section A-A’

| Note: | Location of section is shown in Figure 7‑3, and grade legends in Figure 7‑4 Plan View of Alteration and Metal Distribution in the Pebble Deposit |
Northern Dynasty Minerals Ltd.
2023 Amended Technical Report on the
Pebble Project, Southwest Alaska
| Page 44 |

Figure 7‑6 Geology, Alteration and Metal Distribution on Section B-B’

| Note: | Location of section is shown in Figure 7‑3, and legend for grade ranges and alteration in Figure 7‑4 Plan View of Alteration and Metal Distribution in the Pebble Deposit |
Northern Dynasty Minerals Ltd.
2023 Amended Technical Report on the
Pebble Project, Southwest Alaska
| Page 45 |

Figure 7‑7 Geology, Alteration and Metal Distribution on Section C-C’

| Note: | Location of section is shown in Figure 7‑6, and legend for grade ranges and alteration in Figure 7‑4 Plan View of Alteration and Metal Distribution in the Pebble Deposit |
Northern Dynasty Minerals Ltd.
2023 Amended Technical Report on the
Pebble Project, Southwest Alaska
| Page 46 |

7.5 Deposit Alteration Styles
Alteration styles are summarized below in the order of their interpreted relative ages.
7.5.1 Pre-hydrothermal Hornfels
Hornfels related to intrusion of the Kaskanak batholith pre-dates hydrothermal activity and is found in all Cretaceous rock types, except granodiorite plutons and dykes. The hornfels aureole to the batholith is narrow south of Pebble but extends well east of the batholith in the vicinity of the deposit, which suggests that the batholith underlies the deposit, a concept supported by magnetic data (Shah et al., 2009; Anderson et al., 2013). Hornfels-altered flysch is massive but highly susceptible to brittle fracture, although the narrow alteration envelopes around veins indicate that permeability between fractures was low. Hornfels in flysch outside the deposit comprises biotite, K-feldspar, albite, plagioclase and quartz with minor pyrite and other accessory minerals.
7.5.2 Hydrothermal Alteration
Numerous stages of hydrothermal alteration are present, including potassic (also sometimes called K- or potassium-silicate alteration), sodic-potassic, illite±kaolinite, pyrophyllite and sericite advanced argillic, quartz-illite-pyrite, propylitic, and quartz-sericite-pyrite associations, as well as a variety of vein types. Sericite is defined herein as fine-grained, crystalline white mica, whereas illite is very fine-grained, non-crystalline white mica (Harraden et al., 2013). Advanced argillic alteration follows the naming convention of Meyer and Hemley (1967), although there are some differences noted in Pebble alteration. Most metals were introduced during early potassic and sodic-potassic alteration, with significant enhancement of grade in areas overprinted by younger advanced argillic alteration.
7.5.2.1 EARLY POTASSIC AND SODIC-POTASSIC ALTERATION
Most copper-gold-molybdenum-silver-rhenium mineralization coincides with early potassic and sodic-potassic alteration. Potassic alteration occurs mostly in the upper part of the Pebble East zone, whereas sodic-potassic alteration occurs in the Pebble West zone and below potassic alteration in the Pebble East zone. Sodic-potassic alteration is distinguished from potassic primarily by the presence of albite and a higher concentration of carbonate minerals (Gregory and Lang, 2011, 2012; Gregory, 2017). Associated vein types are described below.
Potassic alteration occurs in all rock types and is most intense in flysch and granodiorite sills near the Pebble East zone pluton, within the Pebble East zone pluton and in small areas of the Pebble West zone (Gregory and Lang, 2009). It is weakest in the area between the Pebble East and Pebble West zone centers. The assemblage includes potassium feldspar, quartz and biotite with trace to minor ankerite or ferroan dolomite, apatite and rutile. Sulphides include disseminated chalcopyrite and pyrite with minor molybdenite and bornite (Gregory and Lang, 2009). The proportion of biotite to potassium feldspar correlates with the original Fe-Mg concentration of host rocks and, thus, is highest in flysch and diorite sills.
Northern Dynasty Minerals Ltd.
2023 Amended Technical Report on the
Pebble Project, Southwest Alaska
| Page 47 |

Intrusive rocks in the Pebble West zone are affected by early sodic-potassic alteration which comprises albite, biotite, potassium feldspar and quartz, accompanied by ankerite, ferroan dolomite, trace apatite, magnetite and, locally, siderite. The concentration of carbonate minerals increases with depth. Sulphides include pyrite and chalcopyrite that both generally decrease in concentration with depth. Sodic-potassic alteration of sedimentary rocks is mineralogically similar to that in the intrusions and is typically pervasive.
In the Pebble East zone, sodic-potassic alteration occurs below potassic alteration and is distinguished from similar alteration in the Pebble West zone by the presence of epidote and calcite and by lower metal grades. The potassic to sodic-potassic transition occurs over vertical distances of less than 330 ft. In the Pebble East zone pluton, cores and rims of zoned plagioclase phenocrysts are replaced by calcite-epidote and albite, respectively. Hornblende phenocrysts were replaced by biotite and then by chlorite. Hematitized igneous magnetite is also present. The igneous groundmass was replaced by fine-grained quartz, potassium feldspar, and variable albite. Mineralization is weak in this alteration and decreases with depth, and commonly comprises 2% pyrite and trace to minor chalcopyrite and molybdenite. This alteration is difficult to distinguish from peripheral propylitic alteration and its potential equivalence to well-mineralized sodic-potassic alteration in the Pebble West zone remains unclear.
Potassic alteration overprints sodic-potassic alteration but the two alteration types are interpreted to be coeval and therefore are treated as a single alteration event. The apparent relative timing is likely a consequence of telescoping and/or changing fluid chemistry during cooling. The paragenetic and spatial relationship between sodic-potassic alteration in the Pebble East and Pebble West zones and peripheral propylitic alteration is not established.
7.5.2.2 VEIN TYPES ASSOCIATED WITH EARLY POTASSIC AND SODIC-POTASSIC ALTERATION
Four major quartz-sulphide vein types, comprising 80% of all veins in the deposit, are associated with early potassic and sodic-potassic alteration and are classified as types A, B, M and C. Each type includes varieties that broadly correlate with lateral and/or vertical position in the deposit. The naming conventions, while similar to common porphyry vein nomenclature, are not exact equivalents similarly named to vein types described from other deposits (e.g., Gustafson and Hunt, 1975; Clark, 1993; Gustafson and Quiroga, 1995). For clarity in the sections that follow, the term selvage is used to denote minerals lining the interior walls of a dilatant vein, whereas envelope refers to alteration in the host rock to a vein.
Total density of vein types A, B and C across most of the Pebble deposit is between 5 and 15 vol % (using the criteria of Haynes and Titley (1980) and excluding alteration envelopes). Lower concentrations occur near the margins of the deposit and at depth below the 0.3% CuEq resource boundary. Higher concentrations occur within or proximal to the Pebble East zone pluton and locally proximal to the smaller granodiorite plutons in the Pebble West zone. Vein density does not correlate consistently with rock type and, in most cases patterns extend smoothly across lithological contacts. Measurements in oriented drill core do not reveal any significant or consistent preferred vein orientations.
Northern Dynasty Minerals Ltd.
2023 Amended Technical Report on the
Pebble Project, Southwest Alaska
| Page 48 |

On the east side of the Pebble East zone there are two domains characterized by 50 to 90% quartz veins. These two zones are surrounded by and gradational with a larger zone that contains greater than 20% quartz veins of either the A1 or B1 vein subtypes (see below). These zones of high vein density probably reflect repeated refracturing and dilation that accommodated repeated vein precipitation events. The first domain is located north of the ZE fault in a broadly cylindrical zone 330 to 1,640 ft wide and extending up to 1,970 ft below the cover sequence. Veins in this first zone are not deformed and controlling faults have not been identified. The second area forms a north-northeast-trending, nearly vertical, tabular zone that lies within the zone of brittle-ductile deformation (described above). This second area is truncated to the east by the ZG1 fault, continues into the East Graben and is open below depths of 4,920 ft. Veins in this zone are commonly deformed and locally brecciated and formed during syn-hydrothermal deformation along the BDF or a precursor structure.
Type A Veins
Type A veins are the oldest of the four types and include subtypes A1, A2 and A3. The A1 subtype is the most common and occurs mostly within the upper 2,300 ft of the Pebble East zone pluton. These veins are sinuous to anastomosing, discontinuous, and typically have diffuse contacts. They contain quartz, trace to minor potassium feldspar, less than 1 to 2% pyrite, lesser chalcopyrite, and rare molybdenite. Potassium feldspar alteration envelopes are commonly narrow, diffuse, and a few millimetres wide. They occur within zones of pervasive, weakly mineralized potassic alteration.
The A2 veins occur below approximately 3,300 ft in the Pebble East zone pluton and have characteristics transitional between quartz veins and pegmatites. They are characterized by potassium feldspar selvages and coarse-grained cores of euhedral to subhedral quartz. Coarse clots of biotite are locally present along with trace chalcopyrite, molybdenite and/or pyrite. The A2 veins are sinuous, discontinuous, irregular, have diffuse contacts and lack alteration envelopes.
A3 veins are transitional between vein types A1 and B1 and are most common below 2,500 ft in the Pebble East zone pluton. The A3 veins are typically anastomosing, sinuous to irregular and have diffuse contacts with prominent potassium feldspar envelopes. They contain quartz with trace to minor potassium feldspar and biotite, and locally contain up to 3% pyrite, minor chalcopyrite and rare molybdenite.
Type B Veins
Type B veins cut type A veins and include subtypes B1, B2 and B3. These are spatially coincident with potassic and sodic-potassic alteration, are the most widespread veins at Pebble and are most abundant within and proximal to the Pebble East zone pluton.
B1 veins are the most common subtype and are planar, continuous, have sharp contacts, and are typically 0.1 to 1.2 in wide. They are dominated by quartz with trace to minor biotite, potassium feldspar, apatite and/or rutile. The veins typically contain 2 to 5% of both pyrite and chalcopyrite with minor molybdenite and local bornite. Potassium feldspar (±biotite) alteration envelopes are ubiquitous, highly variable in width and contain disseminated chalcopyrite, pyrite and molybdenite.
B2 veins occur below 2,600 ft depth in the Pebble East zone and broadly coincide with sodic-potassic alteration. They contain quartz and minor K-feldspar and have narrow, weak potassium feldspar or biotite alteration envelopes. B2 veins transition upward into B1 veins and are distinguished from B1 veins by green chlorite pseudomorphs after coarse aggregates of locally preserved hydrothermal biotite and by minor calcite and epidote. The veins typically contain less than 2% pyrite, and minor chalcopyrite, and molybdenite.
B3 veins are most common in the north-central and south-central part of the Pebble East zone, and below 5,600 ft depth in the lower grade domain between the Pebble East and Pebble West zones. These veins are similar to B1 veins but contain molybdenite as the dominant sulphide and have only sporadic, weak, potassium feldspar alteration envelopes. B3 veins are planar and can be greater than 3.3 ft in width. B3 veins cut vein types A, B1, B2 and, locally, C veins; B3 veins are interpreted to represent a late substage of early alteration which locally introduced significant molybdenum to the Pebble deposit.
Northern Dynasty Minerals Ltd.
2023 Amended Technical Report on the
Pebble Project, Southwest Alaska
| Page 49 |

Type M Veins
Type M veins are associated with magnetite-bearing sodic-potassic alteration within and proximal to diorite sills in the Pebble West zone. Paragenetically they formed between vein types B1 and C. They are planar to irregular and are typically 0.4 to 2 inches wide. These veins comprise mostly magnetite and quartz with lesser ankerite and potassium feldspar as well as greater than 10% chalcopyrite and pyrite with minor molybdenite. The M veins have narrow potassium feldspar alteration envelopes.
Type C Veins
Type C veins are the most abundant veins in the western half of the deposit. The C veins cut A and B veins (except possibly the B3 subtype) and are contemporaneous with or slightly younger than M veins. C veins at Pebble are defined according to their relative timing and do not resemble the C veins defined by Gustafson and Quiroga (1995). The veins contain mostly quartz, locally abundant ankerite or ferroan dolomite, minor to trace potassium feldspar, magnetite and biotite, and 10% (locally up to 50%) sulphides. Sulphides include pyrite and chalcopyrite, variable molybdenite, trace arsenopyrite and rare bornite. The veins are planar, have sharp contacts, range from less than 0.4 in to approximately 2 in wide and commonly contain vugs along their central axis. Alteration envelopes are prominent with similar mineralogy to the veins and can be up to 10 times the width of the vein in the more permeable intrusive host rocks. Where the alteration envelopes to several C veins overlap, drill intersections up to approximately 15 ft in length can grade up to several percent copper.
7.5.2.3 INTERMEDIATE ILLITE ± KAOLINITE ALTERATION
Illite ± kaolinite alteration is coincident with and overprints early potassic and sodic-potassic alteration. Alteration intensity is highest at moderate depths within the Pebble East zone pluton. In these rocks, illite replaces phenocrysts of plagioclase previously altered to potassium feldspar and locally replaces the potassically altered igneous matrix. This alteration style is weakest in flysch in the Pebble West zone. Minor pyrite co-precipitated with illite but is likely a local reconstitution of older sulphides. Fracture or fault control is rarely apparent. Kaolinite accompanies illite in alteration of previously sodic-potassic altered areas where it replaces albite.
7.5.2.4 LATE ADVANCED ARGILLIC ALTERATION
Advanced argillic alteration occurs only in the East Zone, where it is associated with the highest grades of copper and gold in the deposit. Advanced argillic alteration occurs within and adjacent to the BDF. This alteration comprises a pyrophyllite-quartz-sericite-chalcopyrite-pyrite zone within the BDF that is bounded to the west by an upwardly-flaring envelope of sericite-quartz-pyrite-bornite-digenite-chalcopyrite alteration to the west (cf., Khashgerel et al., 2009). Advanced argillic alteration is truncated on the east by the ZG1 fault but deep intersections in hole 6348 (see Figure 10‑3 and Figure 10‑5 for location) demonstrate that this alteration and its associated high grade mineralization continues eastward into the graben. Both the sericite and the pyrophyllite alteration types replace potassic and sodic alteration. The sericite alteration is locally replaced by younger quartz-sericite-pyrite alteration.
Northern Dynasty Minerals Ltd.
2023 Amended Technical Report on the
Pebble Project, Southwest Alaska
| Page 50 |

Pyrophyllite alteration is accompanied by quartz, sericite, pyrite and chalcopyrite. Pyrite concentration is commonly greater than 5% and is much higher than in adjacent early potassic alteration. Pyrophyllite alteration is coincident with but overprints the southern zone of high quartz vein density; quartz-sulphide veins within this zone are commonly deformed. Veins associated with pyrophyllite alteration are irregular, narrow, contain pyrite ± chalcopyrite in massive to semi-massive concentrations, contain variable quartz, and lack visible alteration envelopes. Pyrophyllite alteration has not been identified in the northern zone of high quartz vein density.
Pervasive sericite alteration forms an upward-flaring envelope west of the pyrophyllite alteration. Sericite alteration occurs in the upper 1,000 ft of the deposit on the downthrown southern side of the ZE fault. This alteration is pervasive and dominated by white sericite that replaces feldspars previously affected by potassic and illite alteration. Pyrite concentration is intermediate between pyrophyllite alteration and early potassic alteration and decreases with depth. Sericite alteration is distinguished by high-sulphidation hypogene copper minerals represented by various combinations of bornite, covellite, digenite, tennantite-tetrahedrite, and locally trace enargite. These minerals commonly replace the rims of chalcopyrite and pyrite precipitated during early potassic alteration. Minor quartz-rich veins with pyrite are related to this alteration, are narrow and irregular, and locally have well-developed envelopes with quartz, sericite, pyrite and high sulphidation copper minerals.
7.5.2.5 PROPYLITIC ALTERATION
Propylitic alteration extends at least 3 miles south of the deposit and to the limit of drilling 1.4 miles to the north. Weak propylitic alteration also occurs throughout the eastern half of the Kaskanak batholith. This alteration comprises chlorite, epidote, calcite, quartz, magnetite and pyrite, minor albite and hematite, and trace chalcopyrite. Sulphide concentration is less than 3% and is mostly pyrite.
Type H veins occur locally and at low vein density throughout propylitic alteration. They contain calcite, hematized magnetite, quartz, albite, epidote, pyrite and trace to minor chalcopyrite. H veins are planar, less than 0.4 in wide and have alteration envelopes similar in mineralogy and width to the veins.
Polymetallic type E veins occur locally south of the deposit, in areas of propylitic and quartz-sericite-pyrite alteration. Rarely, E veins cut sodic-potassic alteration in the Pebble West zone. The E veins are planar, can be up to two feet in width, have sharp contacts with host rocks and locally have weak sericite alteration envelopes. These veins contain various combinations of quartz, calcite, pyrite (locally arsenian), sericite, sphalerite, galena, minor chalcopyrite and trace arsenopyrite, tennantite-tetrahedrite, freibergite, argentite and native gold.
7.5.2.6 QUARTZ-SERICITE-PYRITE AND QUARTZ-ILLITE-PYRITE ALTERATION
The QSP alteration occurs closer to the centre of the deposit than does the propylitic alteration, but where these two alteration types overlap the QSP alteration is younger. QSP alteration, which is equivalent to classic phyllic alteration, is commonly texture-destructive and forms a halo around the deposit with inner and outer alteration fronts that dip steeply away from the core of the deposit. This halo extends at least 2.6 miles south of the deposit and 0.9 miles north; it is weakly developed west of the ZF fault where it partially overprints propylitic alteration. It occurs at depth in the north part of the East Graben but its full distribution east of the ZG1 fault is not established. In the Pebble East zone, the transition from potassic or advanced argillic alteration to intense, pervasive QSP alteration typically occurs over 50 to 60 ft. Weak QSP alteration occurs sporadically throughout the Pebble West zone with a more gradual outward transition than in the Pebble East zone.
Northern Dynasty Minerals Ltd.
2023 Amended Technical Report on the
Pebble Project, Southwest Alaska
| Page 51 |

Mineralogy of QSP alteration includes quartz, sericite, 8 to 20% pyrite, minor to trace ankerite, rutile and apatite, and rare pyrrhotite. Zones are cut by up to 10% pyrite-rich type D veins (Gustafson and Hunt, 1975) with variable amounts of quartz and trace rutile, chalcopyrite and ankerite. D veins are planar, have sharp contacts with host rocks and range from less than 1 in to 5 ft in width. Alteration envelopes are typically wider than the veins and form intense pervasive QSP alteration where they coalesce.
Quartz-illite-pyrite (QIP) alteration partially replaces potassic and/or sodic-potassic alteration in the upper, central part of the deposit. QIP alteration is interpreted as a zone of former weak to moderate, grade-destructive QSP alteration, located at the transition between sodic-potassic and potassic alteration, that was later overprinted by low-temperature illite alteration as the hydrothermal system waned. QIP alteration is texturally and mineralogically similar to QSP alteration, except that illite is the main phyllosilicate phase rather than sericite (Harraden et al., 2012). The pyrite concentration in QIP alteration is typically 5 to 10%, which occurs mostly in type D veins and their alteration envelopes. Domains between the QIP alteration envelopes preserve relict sodic-potassic alteration that host most of the copper mineralization that remains in this zone.
7.5.3 Post-Hydrothermal Alteration
The youngest alteration at Pebble is clay alteration, which is common within 50 ft of the contact between the cover sequence and underlying Cretaceous rocks. Young, brittle faults that cut the deposit, in particular the ZG1 fault, host or are closely associated with basalt dikes related to volcanic rocks in the cover sequence. The faults and dikes are surrounded by narrow alteration zones of epidote, calcite, chlorite, and pyrite. An extremely small proportion of mineralization in the deposit is affected by this alteration.
7.6 Deposit Mineralization Styles
Mineralization in the Pebble West zone is mostly hypogene, with a thin zone of mostly weak supergene overprint beneath a thin leached cap. Mineralization in the Pebble East zone is entirely hypogene with no preservation of leaching or paleo-supergene below the unconformity with the cover sequence.
7.6.1 Supergene Mineralization and Leached Cap
A thin leached cap occurs at the top of the Pebble West zone. Strong leaching is rarely more than 33 ft thick but is highly variable, and weak oxidation along fractures locally extends to depths of up to 500 ft along or near brittle faults. Hypogene pyrite is commonly preserved in the leached zone, and minor malachite, chrysocolla and native copper are present locally.
Supergene mineralization occurs only in the Pebble West zone where the cover sequence is absent. Similar to the overlying leached cap, the thickness of supergene mineralization is highly variable. It locally extends to a depth of 560 ft in strongly fractured zones, but on average is closer to 200 ft in average thickness and tapers toward the margins of the resource. In the supergene zone, pyrite is typically rimmed by chalcocite, covellite and minor bornite, and complete replacement of pyrite is rare (Gregory and Lang, 2009; Gregory et al., 2012). The transition to hypogene mineralization with depth is gradational over vertical intervals of up to approximately 100 feet. Supergene processes increased copper grade up to approximately 50% across narrow intervals but the upgrading is typically much less.
Northern Dynasty Minerals Ltd.
2023 Amended Technical Report on the
Pebble Project, Southwest Alaska
| Page 52 |

7.6.2 Hypogene Mineralization
Patterns of metal grades and ratios at Pebble correspond closely to alteration styles, with only weak or local relationships to host rock. The preserved deposit has a flat tabular geometry when the 20° post-hydrothermal tilt is removed. Copper and gold grades diminish below approximately 1,300 ft depth in the Pebble West zone but extend much deeper in the Pebble East zone, particularly within and proximal to the BDF. Laterally, grades decrease gradually toward the north and south margins of the deposit, where mineralization terminates over short distances due to the overprint by intense, grade-destructive QSP alteration. Moderate grades with the shortest vertical extent are observed in the middle of the deposit between the Pebble East and Pebble West zones. There is a general correspondence between copper and gold grades outside of the Pebble East zone pluton; within the Pebble East zone pluton, there is a closer correspondence between copper and molybdenum at low grades of gold, except where gold-rich advanced argillic alteration is present. On the west side of the deposit, mineralization extends to the normal/oblique ZF fault, but drilling has been too shallow to determine if the deposit continues to the west at depth. On the east side, the deposit was down-dropped by the ZG1 fault and continuation of high-grade mineralization into the East Graben has been confirmed by drilling. Molybdenum exhibits a more diffuse pattern, is open at depth and, in some areas, domains with strongly elevated grade corresponds with higher densities of molybdenite-rich type B3 veins.
Mineralization was primarily introduced during early potassic and sodic-potassic alteration. Copper is hosted primarily by chalcopyrite (Figure 7‑8) that is locally accompanied by minor bornite (Figure 7‑4 Plan View of Alteration and Metal Distribution in the Pebble Deposit) and trace tennantite-tetrahedrite. The pyrite to chalcopyrite ratio is typically close to one in potassic alteration in the Pebble East zone but is commonly much higher in the Pebble West zone where sulphide-rich type C and, locally, type D veins are present. Gold occurs primarily as electrum inclusions in chalcopyrite with minor amounts hosted by silicate alteration minerals and pyrite, and rarely as gold telluride inclusions in pyrite (Gregory et al., 2013). Diorite sills with magnetite-rich alteration and type M veins have relatively high gold concentrations. Molybdenite occurs in quartz veins and as intergrowths with disseminated chalcopyrite.
Incipient to weak illite±kaolinite alteration had little effect on grade, whereas strong alteration reduced the grade of copper and gold but left molybdenum largely undisturbed. Gold liberated during illite±kaolinite alteration was reconstituted as high-fineness inclusions (gold grains with less than 10 wt% Ag) in newly formed pyrite (Gregory and Lang 2009; Gregory et al., 2013). These patterns are consistent with the effects of illite alteration on grade in many porphyry deposits (e.g., Seedorf et al., 2005; Sillitoe, 2010).
Advanced argillic alteration zones have much higher grades of copper and gold but similar molybdenum compared to adjacent early potassic alteration. Pyrophyllite alteration precipitated high concentrations of pyrite and chalcopyrite and both minerals contain inclusions of high-fineness gold (Gregory et al., 2013). During sericite alteration, bornite, covellite, digenite and trace enargite or tennantite replaced chalcopyrite formed during early potassic alteration and also precipitated minor additional pyrite (Gregory and Lang, 2009). In general, gold occurs as high-fineness inclusions in later pyrite and high-sulphidation copper minerals, whereas electrum predominates in relict early chalcopyrite (Gregory et al., 2013).
The zone of high quartz vein density along the BDF is typically well-mineralized where it has been overprinted by pyrophyllite alteration. The northern zone of high quartz vein density has average to low grades of copper and gold except in small areas where higher grades reflect the presence of the sericite subtype of advanced argillic alteration.
Northern Dynasty Minerals Ltd.
2023 Amended Technical Report on the
Pebble Project, Southwest Alaska
| Page 53 |

The late QSP alteration is invariably destructive of both copper and molybdenum mineralization. Gold concentrations, however, remain consistent at 0.15 to 0.5 g/t, and locally exceed 1 g/t (Lang et al., 2008). The QIP alteration has a similar effect on copper, molybdenum and gold but is not completely pervasive, such that copper and molybdenum grades are reduced and some of the gold now occurs as high-fineness inclusions in pyrite formed by breakdown of older sulphides (Gregory et al., 2013).
Grade variation within the cores of the Pebble East and Pebble West zones shows a weak, local relationship to rock type. Higher than average copper and gold grades are spatially related to highly reactive, iron-rich diorite sills, a relationship common in porphyry deposits (e.g., Ray, Arizona; Phillips et al., 1974). On the margins of the deposit and in the lower grade area between the Pebble East and Pebble West Zones, relatively impermeable flysch affected by pre-hydrothermal hornfels has lower grades than adjacent, more permeable granodiorite sills.
Rhenium
The Pebble deposit is remarkable for its very large endowment in rhenium, for which a resource is estimated in Section 14 of this report that compares favourably with the largest known global resources of rhenium (Sinclair et al., 2009). Rhenium is one of the lesser-known metals and is one of the rarest elements on earth, with a crustal abundance of less than one part per billion (John et al., 2017). The United States, under Executive Order 13817, has caused rhenium to be placed on its list of critical minerals, stating that it “is essential to the economic and national security of the United States that has a supply chain vulnerable to disruption.” (US Department of the Interior news release, May 18, 2018). Rhenium typically does not form discrete minerals in nature, but because of its valence and atomic radius instead almost exclusively substitutes for molybdenum in the lattice of molybdenite (e.g., McCandless et al., 1993; Barton et al., 2019). Globally most rhenium is recovered from flue dust created during the roasting of molybdenite concentrates, most of which come from porphyry-style deposits like Pebble (John et al., 2017). Elevated concentrations of rhenium occur throughout the Pebble deposit and, as expected, the concentrations of rhenium and molybdenum are very closely correlated. Molybdenite concentrates produced during metallurgical testwork on the Pebble deposit, as described in Section 13 of this report, contain up to 960 ppm rhenium, which places Pebble in the upper echelon of porphyry deposits (e.g., McCandless et al., 1993; Barton et al., 2019). Detailed rhenium deportment studies have not yet been completed to determine if the concentration of rhenium in molybdenite varies spatially across the Pebble deposit or in paragenetically distinct stages of molybdenite precipitation, e.g., molybdenite in late B3 veins compared to molybdenite in earlier potassic or sodic-potassic alteration. Visual inspection of the 3D distribution of molybdenum to rhenium ratios in assay results across the Pebble deposit, however, suggests a general consistency with limited variation.
The Pebble deposit also contains elevated concentrations of the platinum group metal palladium, which is also considered a critical mineral by the Department of the Interior. This places Pebble among a very small minority of porphyry deposits known to contain significant palladium concentrations (e.g., McFall et al., 2018; Hanley et al., 2020). The highest concentrations of palladium at Pebble occur in or proximal to areas affected by advanced argillic alteration, but elevated palladium occurs in many parts of the deposit including within the proposed open pit. The deportment of palladium remains essentially unstudied at Pebble. A single sample of pyrite from the pyrophyllite alteration zone was analyzed by in-situ laser ablation ICP-MS and found to contain elevated palladium in undetermined form (Gregory et al. (2013). The deportment of palladium in porphyry deposits can be complex (e.g., Hanley et al., 2020) and a more detailed study of palladium deportment at Pebble is warranted to determine the degree to which this metal can be recovered to a chalcopyrite and/or pyrite concentrate.
Northern Dynasty Minerals Ltd.
2023 Amended Technical Report on the
Pebble Project, Southwest Alaska
| Page 54 |

Figure 7‑8 Drill Core Photograph Showing Chalcopyrite Mineralization

Northern Dynasty Minerals Ltd.
2023 Amended Technical Report on the
Pebble Project, Southwest Alaska
| Page 55 |

Figure 7‑9 Drill Core Photograph Showing Chalcopyrite and Bornite Mineralization

Northern Dynasty Minerals Ltd.
2023 Amended Technical Report on the
Pebble Project, Southwest Alaska
| Page 56 |

8.0 DEPOSIT TYPES
8.1 Deposit Types
The Pebble deposit is classified as a copper-gold-molybdenum porphyry deposit. The principal features of porphyry copper deposits, as summarized recently by John et al. (2010), include:
|
| · | Mineralization defined by copper and other minerals which occur as disseminations and in veins and breccias which are relatively evenly distributed throughout their host rocks; |
|
|
|
|
|
| · | Large tonnage amenable to bulk mining methods; |
|
|
|
|
|
| · | Low to moderate copper grades, typically between 0.3% and 2.0%; |
|
|
|
|
|
| · | A genetic relationship to porphyritic intrusions of intermediate composition that typically formed in convergent-margin tectonic settings; |
|
|
|
|
|
| · | A metal assemblage dominated by various combinations of copper, gold, molybdenum and silver, but commonly with other associated metals of low concentration; and, |
|
|
|
|
|
| · | A spatial association with other styles of intrusion-related mineralization, including skarns, polymetallic replacements and veins, distal disseminated gold-silver deposits, and intermediate to high-sulphidation epithermal deposits. |
These characteristics correspond closely to the principal features of the Pebble deposit as described in Section 7.0 of this report. This report focuses exclusively on the Pebble porphyry deposit; other deposits of intrusion-related skarn, vein and porphyry style mineralization have been encountered elsewhere on the Pebble property but have not been the subject of detailed exploration or delineation.
The Pebble deposit has many characteristics typical of porphyry deposits as a group, but it is unusual in terms of its sheer size and the variety and scale of its contained metal. Pebble has one of the largest metal endowments of any gold-bearing copper porphyry deposit currently known. Pebble also has a very large endowment in both molybdenum and, as cited previously, in rhenium. The presence of palladium further highlights its unusual character. The bases for these estimations of metal endowment in the Pebble deposit are fully described in Section 14.0 of this report.
Northern Dynasty Minerals Ltd.
2023 Amended Technical Report on the
Pebble Project, Southwest Alaska
| Page 57 |

9.0 EXPLORATION
9.1 Overview
Geological, geochemical and geophysical surveys were conducted in the Pebble Project area from 2001 to 2007 by Northern Dynasty and since mid-2007 by the Pebble Partnership. The types of historical surveys and their results are summarized below. More detailed descriptions of historical exploration programs and results may be found in Rebagliati and Haslinger (2003), Haslinger et al. (2004), Rebagliati and Payne (2006 and 2007), Rebagliati and Lang (2009) and Rebagliati et al. (2005, 2008, 2009 and 2010).
9.1.1 Geological Mapping
Between 2001 and 2006, the entire Pebble property was mapped for rock type, structure and alteration at a scale of 1:10,000. This work provided an important geological framework for interpretation of other exploration data and drilling programs. A geological map of the Pebble deposit was also constructed but, due to a paucity of outcrop, was based solely on drillhole information. The content and interpretation of district and deposit scale geological maps have not changed materially from the information presented by Rebagliati et al. (2009 and 2010).
9.1.2 Geophysical Surveys
In 2001, dipole-dipole IP surveys totalling 19.3 line-mi were completed by Zonge Geosciences for Northern Dynasty, following up on and augmenting similar surveys completed by Teck.
During 2002, a ground magnetometer survey totalling 11.6 line-mi was completed at Pebble. The survey was conducted by MPX Geophysics Ltd., based in Richmond Hill, Ontario. The principal objective of this survey was to obtain a higher resolution map of magnetic patterns than was available from existing regional government magnetic maps. The focus of this work was the area surrounding mineralization in the 37 Skarn zone in the southern part of the Pebble district. A helicopter-based airborne magnetic survey was flown over the entire Pebble property in 2007. A total of 2,344 line-km (1,456.5 line-mi) were flown at 200 m (656 ft) line spacing, covering an area of 425 square km (164.5 square miles). The survey lines were flown at a mean terrain clearance of 60 m (196.8 ft) along flight lines oriented 135° at a line spacing of 200 m (656 ft), with tie lines oriented 045° at a spacing of 2 km (1.24 miles). Immediately over the Pebble deposit, an area of 23 square km (14.4 square miles) was surveyed at a 100 m (328 ft line) spacing for a total of 342 line-km (212.5 line-mi km), without additional tie lines.
During 2007, a limited magnetotelluric survey was completed by GSY-USA Inc., the U.S. subsidiary of Geosystem SRL of Milan, Italy, under the supervision of Northern Dynasty geologists. The survey focused on the area of drilling in the Pebble East zone and comprised 196 stations on nine east-west lines and one north-south line, at a nominal station spacing of 656 ft. Interpretation, including 3D inversion, was completed by Mr. Donald Hinks of Rio Tinto Zinc.
In July 2009, Spectrem Air Limited, an Anglo American-affiliated company based in South Africa, completed an airborne electromagnetic, magnetic and radiometric survey over the Pebble area. A total of 2,386 line-mi was surveyed in two flight block configurations, including a regional block covering an area of about 18.6 x 7.5 miles at a line spacing of 0.95 miles, and a more detailed block which covered the Pebble property using a line spacing of 820 ft.
Northern Dynasty Minerals Ltd.
2023 Amended Technical Report on the
Pebble Project, Southwest Alaska
| Page 58 |

The orientation of flight lines was 135° for both surveys, with additional tie-lines flown orthogonally. The objectives of this work included provision of geophysical constraints for structural and geological interpretation in areas with significant glacial cover.
Between the second half of 2009 and mid-2010, a total of 120.5 line-mi of IP chargeability and resistivity data were collected by Zonge Engineering and Research Organization Inc. (Zonge Engineering) for the Pebble Partnership. This survey was conducted in the southern and northern parts of the property and used a line spacing of about 0.5 miles; the objective of this survey was to extend the area of IP coverage completed prior to 2001 by Teck and during 2001 by Northern Dynasty.
During 2010, an airborne electromagnetic (EM) and magnetometer geophysical survey was completed on the Pebble property totalling 4,009 line-mi. This survey was conducted by Geotech Ltd. of Aurora, Ontario.
The USGS collected gravity data from 136 stations distributed over an area of approximately 2,317 square miles during 2008 and 2009.
9.1.3 Geochemical Surveys
Between 2001 and 2003, Northern Dynasty collected 1,026 soil samples (Rebagliati and Lang, 2009). Typical sample spacing in the central part of the large geochemical grid was 100 ft to 250 ft along lines spaced 122 to 400 ft to 750 ft apart; samples were more widely spaced near the north, west and southwest margins of the grid.
These sampling programs outlined high-contrast, coincident anomalies in gold, copper, molybdenum and other metals in an area that measures at least 5.6 miles north-south by up to 2.5 miles east-west, with strong but smaller anomalies in several outlying zones. All soil geochemical anomalies lie within the IP chargeability anomaly described above. Three very limited surficial geochemical surveys were completed by the Pebble Partnership in 2010 and 2011; no significant geochemical anomalies were identified. A total of 126 samples, comprising 113 till and 13 soil samples, were collected on the KAS claims located in the southern end of the property; samples were on lines spaced approximately 8,000 ft apart with a sample spacing of approximately 1,300 ft. A total of 109 soil samples were collected from two small areas located approximately 11 miles to the west-northwest and 15 miles west of the Pebble deposit; samples were spaced approximately 330 ft apart on lines that were irregularly spaced to accommodate terrain features.
Additional surveys were completed between 2007 and 2012 by researchers from the USGS and the University of Alaska Anchorage (see summary in Kelley et al., 2013 and contained references). The types of surveys that were completed by these groups include: (1) hydrogeochemical surveys in several parts of the Pebble property which obtained multi-element inductively coupled plasma mass spectrometry (ICP-MS) data from samples of surface waters; (2) determination of copper isotope ratios in surface waters; (4) heavy indicator mineral analyses of glacial till; and (4) orientation surveys which utilized a variety of weak extraction geochemical techniques. The results of these surveys were largely consistent with the results obtained by earlier soil sampling programs.
Northern Dynasty Minerals Ltd.
2023 Amended Technical Report on the
Pebble Project, Southwest Alaska
| Page 59 |

10.0 DRILLING
10.1 Location of all Drill Holes
Extensive drilling totaling 1,048,509.8 ft has been completed in 1,389 holes on the Pebble Project. These drill campaigns took place during 19 of the 26 years between 1988 and 2013, and in 2018 and 2019. The spatial distribution and type of holes drilled is illustrated in Figure 10‑1. A detail of the drilling in the “Deposit Area” is shown in Figure 10‑2.
Figure 10‑1 Location of all Drill Holes

Drilling completed by Teck (1988 to 1997) is described briefly in Section 6.0 and will not be discussed further here.
All drill hole collars have been surveyed using a differential global positioning system (GPS). All holes were resurveyed in 2008 and 2009, with the exception of the Sill holes. A digital terrain model for the site was generated by photogrammetric methods in 2004. All post- Teck drill holes have been surveyed downhole, typically using a single shot magnetic gravimetric tool. A total of 989 holes were drilled vertically (-90°) and 192 were inclined from -42° to -85° at various azimuths.
Northern Dynasty Minerals Ltd.
2023 Amended Technical Report on the
Pebble Project, Southwest Alaska
| Page 60 |

10.2 Summary of Drilling 2001 to 2013
The Pebble deposit has been drilled extensively (Figure 10‑2). Drilling statistics and a summary of drilling by various categories to the end of the 2013 exploration program are compiled in Table 10.2-1. This includes seven drill holes completed by FMMUSA, drilled by Peak Exploration (USA) Corp. in the area in 2008; these holes were drilled on claims that are now part of the Pebble property and have been added to the Pebble dataset. Detailed descriptions of the programs and results for 2009 and preceding years may be found in technical reports by Rebagliati and Haslinger (2003 and 2004), Haslinger et al. (2004), Rebagliati and Payne (2005, 2006 and 2007), and Rebagliati et al. (2008, 2009 and 2010). Detailed information on the 2010 through 2013 drill programs may be found in technical reports by Gaunt et al. (2014 and 2018).
Most of the footage on the Pebble Project was drilled using diamond core drills. Only 18,716 ft was percussion-drilled from 229 rotary drill holes. Many of the cored holes were advanced through overburden, using a tricone bit with no core recovery. These overburden lengths are included in the core drilling total.
From early 2004 through 2013, all Pebble drill core was geotechnically logged on a drill run basis. Almost 70,000 measurements were made for a variety of geotechnical parameters on 737,000 ft of core drilling. Recovery is generally very good and averages 98.2% overall; two-thirds of all measured intervals have 100% core recovery. Detailed (domain-based) geotechnical logging and downhole surveys were also conducted between 2007 and 2012. Proper domain selection is the basis for rock mass classification and domain-based data is used extensively in open pit and underground mine design. In order to maximize the information from the 2007-2012 drill programs, several tools and techniques were added to a number of holes including: triple tube drilling, core orientation, acoustic televiewer probe and comprehensive point load testing complemented by laboratory UCS testing. Additionally, all Pebble drill core from the 2002 through 2013, 2018 and 2019 drill programs was photographed in a digital format.
Northern Dynasty Minerals Ltd.
2023 Amended Technical Report on the
Pebble Project, Southwest Alaska
| Page 61 |

Figure 10‑2 Location of Drill Holes – Pebble Deposit Area

Northern Dynasty Minerals Ltd.
2023 Amended Technical Report on the
Pebble Project, Southwest Alaska
| Page 62 |

Table 10‑1 Summary of Drilling to December 2019
|
| No. of Holes | Feet | Metres |
| By Operator | |||
| Teck 1 | 164 | 75,741.0 | 23,086 |
| Northern Dynasty | 578 | 495,069.5 | 150,897 |
| Pebble Partnership 2 | 640 | 472,249.3 | 143,942 |
| FMMUSA | 7 | 5,450.0 | 1,661 |
| Total | 1,389 | 1,048,509.8 | 319,586 |
| By Type | |||
| Core 1,5 | 1,160 | 1,027,671.9 | 313,234 |
| Percussion 6 | 229 | 20,838.0 | 6,351 |
| Total | 1,389 | 1,048,509.8 | 319,586 |
| By Year | |||
| 1988 1 | 26 | 7,601.5 | 2,317 |
| 1989 1 | 27 | 7,422.0 | 2,262 |
| 1990 | 25 | 10,021.0 | 3,054 |
| 1991 | 48 | 28,129.0 | 8,574 |
| 1992 | 14 | 6,609.0 | 2,014 |
| 1993 | 4 | 1,263.0 | 385 |
| 1997 | 20 | 14,695.5 | 4,479 |
| 2002 | 68 | 37,236.8 | 11,350 |
| 2003 | 67 | 71,226.6 | 21,710 |
| 2004 | 267 | 165,567.7 | 50,465 |
| 2005 | 114 | 81,978.5 | 24,987 |
| 2006 3 | 48 | 72,826.9 | 22,198 |
| 2007 4 | 92 | 167,666.9 | 51,105 |
| 2008 5 | 241 | 184,726.4 | 56,305 |
| 2009 | 33 | 34,947.5 | 10,652 |
| 2010 | 66 | 57,582.0 | 17,551 |
| 2011 | 85 | 50,767.7 | 15,474 |
| 2012 | 81 | 35,760.2 | 10,900 |
| 2013 | 29 | 6,190.0 | 1,887 |
| 2018 | 28 | 4,374.2 | 1,333 |
| 2019 | 6 | 1,917.4 | 584 |
| Total | 1,389 | 1,048,509.8 | 319,586 |
| By Area | |||
| East | 149 | 450,047.3 | 137,174 |
| West | 447 | 349,128.7 | 106,414 |
| Main 7 | 83 | 9,629.8 | 2,935 |
| NW | 215 | 49,951.1 | 15,225 |
| North | 84 | 30,927.0 | 9,427 |
| NE | 15 | 1,495.0 | 456 |
| South | 117 | 48,387.8 | 14,749 |
| 25 Zone | 8 | 4,047.0 | 1,234 |
| 37 Zone | 7 | 4,252.0 | 1,296 |
| 38 Zone | 20 | 14,221.5 | 4,335 |
| 52 Zone | 5 | 2,534.0 | 772 |
| 308 Zone | 1 | 879.0 | 268 |
| Eastern | 5 | 621.5 | 189 |
| Southern | 147 | 64,374.4 | 19,621 |
| SW | 39 | 6,658.8 | 2,030 |
| Sill | 39 | 10,445.5 | 3,184 |
| Cook Inlet | 8 | 909.5 | 277 |
| Total | 1,389 | 1,048,509.8 | 319,586 |
Notes to table:
1. Includes holes drilled on the Sill prospect.
Northern Dynasty Minerals Ltd.
2023 Amended Technical Report on the
Pebble Project, Southwest Alaska
| Page 63 |

2. Holes started by Northern Dynasty and finished by the Pebble Partnership are included as the Pebble Partnership.
3. Drill holes counted in the year in which they were completed.
4. Wedged holes are counted as a single hole including full length of all wedges drilled.
5. Includes FMMUSA drill holes; data acquired in 2010.
6. Percussion holes were drilled for engineering and environmental purposes. Shallow (<15 ft) auger holes not included.
7. Comprises holes drilled entirely in Tertiary cover rocks within the Pebble West and Pebble East areas.
Some numbers may not sum exactly due to rounding.
The drill hole database includes drill holes completed up until 2019; the drilling completed after 2012 is outside the area of the resource estimate. Highlights of drilling completed by Northern Dynasty and the Pebble Partnership between 2001 and 2019 include:
|
| · | Northern Dynasty drilled 68 holes for a total of 37,237 ft during 2002. The objective of this work was to test the strongest IP chargeability and multi-element geochemical anomalies outside of the Pebble deposit, as known at that time, but within the larger and broader IP chargeability anomaly described above. This program discovered the 38 Zone porphyry copper-gold-molybdenum deposit, the 52 Zone porphyry copper occurrence, the 37 Zone gold-copper skarn deposit, the 25 Zone gold deposit, and several small occurrences in which gold values exceeded 3.0 g/t. |
|
|
|
|
|
| · | In 2003, Northern Dynasty drilled 67 holes for a total of 71,227 ft, mainly within and adjacent to the Pebble West zone to determine continuity of mineralization and to identify and extend higher grade zones. Most holes were drilled to the 0 ft elevation above mean sea level and were 900 to 1,200 ft in length. Eight holes for a total of 5,804 ft were drilled outside the Pebble deposit to test for extensions and new mineralization at four other zones on the property, including the 38 Zone porphyry copper-gold-molybdenum deposit and the 37 Zone gold-copper skarn deposit. |
|
|
|
|
|
| · | Drilling by Northern Dynasty in 2004 totalled 165,481 ft in 266 holes. Of this total, 131,211 ft were drilled in 147 exploration holes in the Pebble deposit; one exploration hole 879 ft in length was completed in the southern part of the property that discovered the 308 Zone porphyry copper-gold-molybdenum deposit. Additional drilling included 21,335 ft in 26 metallurgical holes in Pebble West zone, 9,127 ft in 54 geotechnical holes and 3,334 ft in 39 water monitoring holes, of which 33 holes for a total of 2,638 ft were percussion holes. During the 2004 drilling program, Northern Dynasty identified a significant new porphyry centre on the eastern side of the Pebble deposit (the Pebble East zone) beneath the cover sequence (as described in Section 7). |
|
|
|
|
|
| · | In 2005, Northern Dynasty drilled 81,979 ft in 114 holes. Of these drill holes, 13 for a total of 12,198 ft were drilled mainly for engineering and metallurgical purposes in the Pebble West zone. Seventeen drill holes for a total of 60,696 ft were drilled in the Pebble East zone. The results confirmed the presence of the Pebble East zone and further demonstrated that it was of large size and contained higher grades of copper, gold and molybdenum than the Pebble West zone. The Pebble East zone remained completely open at the end of 2005. A further 13 holes for a total of 2,986 ft were cored for engineering purposes outside the Pebble deposit area. An additional 6,099 ft of drilling was completed in 71 non-core water monitoring wells. |
|
|
|
|
|
| · | Drilling during 2006 focused on further expansion of the Pebble East zone. Drilling comprised 72,827 ft in 48 holes. Twenty of these holes were drilled in the Pebble East zone, including 17 exploration holes and three engineering holes for a total of 68,504 ft. The Pebble East zone again remained fully open at the conclusion of the 2006 drilling program. In addition, 2,710 ft were drilled in 14 engineering core holes and 1,612 ft were drilled in 14 monitoring well percussion holes elsewhere on the property. |
Northern Dynasty Minerals Ltd.
2023 Amended Technical Report on the
Pebble Project, Southwest Alaska
| Page 64 |

|
| · | Drilling in 2007 continued to focus on the Pebble East zone. A total of 151,306 ft of delineation drilling in 34 holes extended Pebble East to the northeast, northwest, south and southeast; the zone nonetheless remained open in these directions, as well as to the east in the East Graben. Additional drilling included 10,167 ft in nine metallurgical holes in Pebble West, along with 4,367 ft in 26 engineering holes and 1,824 ft in 23 percussion holes for monitoring wells across the property. |
|
|
|
|
|
| · | In 2008, 234 holes were drilled totalling 184,726 ft, the most extensive drilling on the project in any year to date. A total of 136,266 ft of delineation and infill drilling, including six oriented holes, was completed in 31 holes in Pebble East. This drilling further expanded the Pebble East zone. Fifteen metallurgical holes for a total of 14,511 ft were drilled in the Pebble West zone. One 2,949 ft infill/geotechnical holes totaling 3,133 ft were drilled in the Pebble West zone. Geotechnical drilling elsewhere on the property included 103 core holes for a total of 18,806 ft. Hydrogeology and geotechnical drilling outside of the Pebble deposit accounted for 82 percussion holes for a total of 6,745 ft. In 2010, the Pebble Partnership acquired the data for seven holes totalling 5,450 ft drilled by FMMUSA in 2008. These drill holes are located near the Property on land that is now controlled by the Pebble Partnership and provided information on the regional geology. |
|
|
|
|
|
| · | The Pebble Partnership drilled 34,948 ft in 33 core drill holes in 2009. Five delineation holes were completed for 6,076 ft around the margins of Pebble West and 21 exploration holes for a total of 22,018 ft were drilled elsewhere on the property. In addition, seven geotechnical core holes were drilled for a total of 6,854 ft. |
|
|
|
|
|
| · | In 2010, the Pebble Partnership drilled 57,582 ft in 66 core holes. Forty-eight exploration holes totalling 54,208 ft were drilled over a broad area of the property outside the Pebble deposit. An additional 3,374 ft were drilled in 18 geotechnical holes within the deposit area and to the west. |
|
|
|
|
|
| · | In 2011, the Pebble Partnership drilled 50,768 ft in 85 core holes. Eleven holes were drilled in the deposit area totalling 33,978 ft. Of these, two holes were drilled in Pebble East for metallurgical and hydrogeological purposes. The other nine holes in the deposit area were drilled for further delineation of Pebble West and the area immediately to the south. These results indicated the potential for resource expansion to depth in the Pebble West zone. Six holes totalling 8,780 ft were also drilled outside the Pebble deposit area to the west and south. In addition, 8,010.2 ft was drilled in 68 geotechnical holes within and to the north, west and south of the deposit. |
|
|
|
|
|
| · | The Pebble Partnership drilled 35,760 ft in 81 core holes in 2012. Eleven h0les totalling 13,754 ft were drilled in the southern and western parts of the Pebble West zone. The results show potential for lateral resource expansion in this area and further delineation drilling is warranted. Six holes totalling 6,585 ft. were drilled to test exploration targets to the south on the Kaskanak claim block, to the northwest and south of Pebble, and on the KAS claim block further south. An additional 64 geotechnical and hydrogeological holes were drilled totalling 15,422 ft. Of this drilling, 41 holes were within the deposit area and 15 geotechnical holes were drilled at sites near the deposit, and eight geotechnical holes were completed near Cook Inlet. |
|
|
|
|
|
| · | The Pebble Partnership drilled 6,190 ft in 29 core holes for geotechnical purposes in 2013 at sites west, south and southwest of the deposit area. |
|
|
|
|
|
| · | The Pebble Partnership drilled 4,374.2 feet in 28 core holes for geotechnical purposes in 2018 to test tailings and water storage facilities in areas remote from the Pebble deposit. |
|
|
|
|
|
| · | The Pebble Partnership drilled 1,917.4 feet in six percussion holes adjacent to the Pebble deposit to enable hydrological testing in 2019. |
|
|
|
|
|
| · | No holes were drilled in 2014, 2015, 2016 or 2017. |
Northern Dynasty Minerals Ltd.
2023 Amended Technical Report on the
Pebble Project, Southwest Alaska
| Page 65 |

A re-survey program of holes drilled at Pebble from 1988 to 2009 was conducted during the 2008 and 2009 field seasons. For consistency throughout the project, the resurvey program referenced the control network established by R&M Consultants in the U.S. State Plane Coordinate System Alaska Zone 5 NAVD88 Geoid99. The resurvey information was applied to the drill collar coordinates in the database in late 2009.
In 2009 and 2013, the survey locations, hole lengths, naming conventions and numbering designations of the Pebble drill holes were reviewed. This exercise confirmed that several shallow, non-cored, overburden drill holes described in some engineering and environmental reports were essentially the near-surface pre-collars of existing bedrock diamond drill holes. As these pre-collar and bedrock holes have redundant traces, the geologic information was combined into a single trace in the same manner as the wedged holes. In addition, a number of very shallow (less than 15 ft), small diameter, water-monitoring auger holes were removed from the exploration drill hole database, as they did not provide any geological or geochemical information.
10.3 Drill Sections
The locations of drill holes and four representative sections through the Pebble deposit are shown on Figure 10-3. The sections illustrate drill hole traces, topographic and overburden surfaces along with colour coded block model CuEq grades from the mineral resource estimate in Section 14. CuEq calculations use metal prices: US$1.85/lb for Cu, US$902/oz for Au and US$12.50/lb for Mo, and recoveries: 85% Cu, 69.6% Au, and 77.8% Mo (Pebble West zone) and 89.3% Cu, 76.8% Au, 83.7% Mo (Pebble East zone).
Figure 10-4 Cross Section 1401500E and Figure 10-5 Cross Section 1407900E are looking west. Figure 10-6 Longitudinal Section 2157500N and Figure 10-7 Longitudinal Section 2156000N are looking north.
Northern Dynasty Minerals Ltd.
2023 Amended Technical Report on the
Pebble Project, Southwest Alaska
| Page 66 |

Figure 10‑3Location of Drill Holes and Representative Sections - Pebble Deposit Area

Northern Dynasty Minerals Ltd.
2023 Amended Technical Report on the
Pebble Project, Southwest Alaska
| Page 67 |

Figure 10‑4 Cross Section 1401500E

Northern Dynasty Minerals Ltd.
2023 Amended Technical Report on the
Pebble Project, Southwest Alaska
| Page 68 |

Figure 10‑5 Cross Section 1407900E

Northern Dynasty Minerals Ltd.
2023 Amended Technical Report on the
Pebble Project, Southwest Alaska
| Page 69 |

Figure 10-6 Longitudinal Section 2156000N

Northern Dynasty Minerals Ltd.
2023 Amended Technical Report on the
Pebble Project, Southwest Alaska
| Page 70 |

Figure 10‑7 Longitudinal Section 2157500N

Northern Dynasty Minerals Ltd.
2023 Amended Technical Report on the
Pebble Project, Southwest Alaska
| Page 71 |

10.4 Bulk Density Results
Bulk density measurements were collected from drill core samples, as described in Section 11.4. A summary of all bulk density results is provided in Table 10‑2.
Table 10‑2 Summary of All Bulk Density (g/cm3) Results
| Age | No. of Measurements | Density Mean | Density Median |
| Quaternary | 34 | 2.60 | 2.61 |
| Tertiary | 2,703 | 2.57 | 2.57 |
| Cretaceous | 8,671 | 2.66 | 2.64 |
| All | 11,775 | 2.63 | 2.62 |
10.5 Conclusions
The Pebble drilling and sampling program was carried out in a proficient manner consistent with industry standard practice. An overall average core recovery of 96.3% and RQD of 73% were calculated from geotechnical measurements taken from core in the year 2004 through 2013 drill programs. These core recovery and core competency factors are considered reasonable, and unlikely to materially impact the accuracy and reliability of the results. No significant higher-grade intervals within lower grade intersections of core were encountered.
QP Titley considers this program to be reasonable and adequate for the purposes of sampling and assessing the Pebble Deposit and associated deposit areas targeted.
Information on the historical drilling is presented in Sections 6.1.
Northern Dynasty Minerals Ltd.
2023 Amended Technical Report on the
Pebble Project, Southwest Alaska
| Page 72 |

11.0 SAMPLE PREPARATION, ANALYSES, AND SECURITY
11.1 Sampling Method and Approach
The Pebble deposit has been explored by extensive core drilling, with 81,188 samples taken from drill core for assay analysis. Nearly all potentially mineralized Cretaceous core drilled and recovered has been sampled by halving in 10 ft lengths. Similarly, all core recovered from the Late Cretaceous to Early Tertiary cover sequence (referred to as Tertiary5 here and in Sections 12.0 and 13.0) has also been sampled, typically on 20 ft sample lengths, with some shorter sample intervals in areas of geologic interest. Unconsolidated overburden material, where it exists, is generally not recovered by core drilling and therefore not usually sampled. For details of the main rock units in the Pebble deposit and mineralization, see Section 7.0.
Rock chips from the 229 rotary percussion holes were generally not sampled for assay analysis, as the holes were drilled for monitoring wells and environmental purposes. Only 35 samples were taken from the drill chips of 26 rotary percussion holes outside the Pebble deposit area, which were drilled for condemnation purposes.
For details of the main rock units in the Pebble deposit and mineralization, see Section 7.0. Sampling methods and procedures for drill holes completed by Teck are described in Sections 6.2.1 and 6.2.2 of this report.
Half cores remaining after sampling were replaced in the original core boxes and stored at Iliamna, AK in a secure compound. Later geological, metallurgical and environmental sampling took place on a small portion of this remaining core. Crushed reject samples from the 2006 through 2013 and the 2018 analytical programs are stored in locked containers at Delta Junction, AK. Drill core assay pulps from the 1989 through 2013 and the 2018 programs are stored at a secure warehouse in Surrey, BC.
11.1.1 Northern Dynasty 2002 Drilling
In 2002, 68 drill holes were completed by Quest America Drilling Inc. (Quest). All holes were NQ2 diameter (2 inches/5.08 cm). The core was boxed at the rig and transported daily by helicopter to the secure logging facility in Iliamna. A total of 2,467 core samples, averaging 10 ft long, were collected by Northern Dynasty personnel. Sampling was performed by mechanically splitting the core in half lengthwise.
11.1.2 Northern Dynasty 2003 Drilling
In 2003, drilling was completed by contractor Quest. All core was NQ2 diameter. The core was boxed at the rig and transported daily by helicopter to the secure logging facility at the village of Iliamna. Samples averaged 10 ft long. Sampling was performed by mechanically splitting the core in half lengthwise. Coarse rejects were stored at SGS Mineral Services in Fairbanks, Alaska, until early 2005, and then discarded.
_________________________
5Tertiary in usage throughout this section is a collective reference to all unmineralized rocks of the cover sequence that directly overlies the Pebble deposit.
Northern Dynasty Minerals Ltd.
2023 Amended Technical Report on the
Pebble Project, Southwest Alaska
| Page 73 |

11.1.3 Northern Dynasty 2004 Drilling
Most of the 2004 drilling was also completed by Quest, with some footage drilled by Boart Longyear Company (Boart Longyear) and Midnight Sun Drilling Co. Ltd. Core diameters included NQ2, HQ (2.5 in/6.35 cm diameter) and PQ (3.3 in/8.31 cm diameter). Thirty-three rotary percussion water well, engineering and environmental holes were also completed. The 2004 drilling program included 26 larger diameter (PQ and HQ) holes for metallurgical testing. The core was boxed at the rig and transported daily by helicopter to the secure logging facility in the village of Iliamna. A total of 12,865 Cretaceous (syn-mineralization) samples averaging 10 ft long were taken in 2004; 10,893 samples were mechanically split half-core samples and 1,972 samples were of the metallurgical type. The metallurgical samples were taken by sawing an off-centre slice representing 20% of the core volume, which was submitted for assay analysis. The remaining 80% was used for metallurgical purposes. No intact drill core remains after this type of metallurgical sampling, only assay reject and pulp samples. In addition, 904 Tertiary (post-mineralization) samples averaging 15 ft long were taken for trace element analysis. Tertiary samples were collected by mechanically splitting the core in half lengthwise. The average core recovery for all samples taken in 2004 was 97.6%.
11.1.4 Northern Dynasty 2005 Drilling
In 2005, drilling was again completed by contractor Quest. Core diameters included NQ2, HQ and PQ core. The core was boxed at the rig and transported daily by helicopter to the secure logging facility in the village of Iliamna. A total of 4,378 Cretaceous samples and 1,435 Tertiary samples were collected. Of the Cretaceous samples, 3,541 were taken by sawing the core in half lengthwise. The remaining 837 Cretaceous samples and all Tertiary samples were from metallurgical holes, and were sampled using the 20% off-centre saw method described in Section 11.1.3. Cretaceous samples averaged 10 ft long and Tertiary samples averaged 20 ft long. The average core recovery for all 2005 core holes was 98.4%. In addition to the core drilling, a total of 6,100 ft was drilled in 71 rotary percussion holes by Foundex Pacific Inc. (Foundex) for water monitoring purposes. No samples were collected or analyzed from these holes.
11.1.5 Northern Dynasty 2006 Drilling
The drilling contractors in 2006 were American Recon Inc. (American Recon) and Boart Longyear. Drill holes were NQ2 and HQ in diameter. A total of 13 shallow rotary percussion holes were also completed for environmental purposes by Foundex. The core was boxed at the rig and transported daily by helicopter to the secure logging facility at Iliamna. The 2,759 Cretaceous samples collected averaged 10 ft long and the 1,847 Tertiary samples averaged 20 ft long. The Cretaceous samples were collected by sawing the core in half lengthwise, and the Tertiary samples were collected by the 20% off-centre saw method described in Section 11.1.3. Average core recovery in 2006 was 98.7%.
11.1.6 Northern Dynasty and Pebble Partnership 2007 Drilling
The drilling contractors used in 2007 were American Recon, Quest and Boart Longyear. Drill holes were NQ2 and HQ in diameter, and were drilled for geological and metallurgical purposes. Additional drilling was completed by Foundex to establish monitoring wells, but core was not recovered from these holes. Several holes included wedges; in cases where the wedged hole successfully extended beyond the total depth of the parent hole, they were treated as extensions of their parent holes and overlapping information was ignored. The core was boxed at the rig and transported daily by helicopter to the secure logging facility at Iliamna. A total of 12,664 samples were taken from the 72 drill holes. The 9,485 Cretaceous samples averaged 10 ft long, and the 3,179 Tertiary samples averaged 20 ft long. The Cretaceous samples were collected by sawing the core in half lengthwise, and the Tertiary samples were collected by the 20% off-centre saw method described in Section 11.1.3. The average core recovery for 2007 drill holes was 99.7%.
Northern Dynasty Minerals Ltd.
2023 Amended Technical Report on the
Pebble Project, Southwest Alaska
| Page 74 |

11.1.7 Pebble Partnership 2008 Drilling
The drilling contractors used in 2008 were American Recon, Boart Longyear and Foundex. Drill holes were NQ, HQ and PQ in diameter, and were drilled for delineation, geotechnical and metallurgical purposes. The core was boxed at the rig and transported daily by helicopter to the secure logging facility at Iliamna. The large 1.7 to 2.2 lb Cretaceous rock assay pulps and the 0.5 lb Tertiary waste rock pulps from these years are stored in a secure warehouse at Surrey, BC. A total of 12,701 samples were taken in 2008 by the Pebble Partnership. The 9,312 Cretaceous samples averaged 10 ft long and the 3,389 Tertiary samples averaged 20 ft long. The Cretaceous samples were collected by sawing the core in half lengthwise. The Tertiary samples and assay samples from metallurgical holes were collected using the 20% off-centre saw method described in Section 11.1.3. The remaining 80% of the core from the Cretaceous portions of the metallurgical holes were used for metallurgical testing.
11.1.8 FMMUSA 2008 Drilling
In 2010, the Pebble Partnership acquired the data for seven holes with 414 samples drilled by FMMUSA in 2008. These drill holes are located on land that is now controlled by the Pebble Partnership, and provided information on the regional geology. These holes are located some distance from the Pebble deposit and were not used in the mineral resource estimate.
11.1.9 Pebble Partnership 2009 Drilling
The drilling contractor used for 2009 drilling was American Recon. Drill holes were NQ, HQ and PQ in diameter. The core was boxed at the rig and transported daily by helicopter to the secure logging facility at Iliamna. A total of 2,835 mainstream samples were collected in 2009. The 2,555 Cretaceous samples averaged 10 ft long and the 280 Tertiary samples averaged 20 ft long. The Cretaceous samples were collected by sawing the core in half lengthwise. Tertiary samples were collected using the 20% off-centre saw method described in Section 11.1.3.
11.1.10 Pebble Partnership 2010 Drilling
Drilling contractors used for 2010 drilling were American Recon and Foundex. Drill holes were NQ and HQ in diameter. The core was boxed at the rig and transported daily by helicopter to the secure logging facility at Iliamna. A total of 4,714 mainstream samples were taken in 2010. The 4,463 Cretaceous samples and the 251 Tertiary samples averaged 10 ft long. All samples were taken by sawing the core in half lengthwise.
11.1.11 Pebble Partnership 2011 Drilling
Drill contractors American Recon, Quest and Foundex completed 85 holes in 2011. The hole numbering sequences are 11526 through 11542 for 17 district exploration holes and GH11-229 through GH11-296 for 68 geotechnical holes. Most of these holes were drilled vertically except for 11526, 11528, 11530, 11532, 11533 and 11539, which were inclined at -80°, and 11529, drilled at -75°. Among 68 geotechnical holes, 43 were sonic drilling. A total of 4,281 mainstream samples were taken. The 3,674 Cretaceous samples averaged 10 ft in length and the 607 Tertiary samples averaged 20 ft in length. Cretaceous samples were taken by sawing the core in half lengthwise. Tertiary samples were taken by the 20% off-centre saw-cut method described above.
Northern Dynasty Minerals Ltd.
2023 Amended Technical Report on the
Pebble Project, Southwest Alaska
| Page 75 |
11.1.12 Pebble Partnership 2012 Drilling
Drill contractors Quest and Foundex completed 81 holes in 2012. The hole numbering sequences are 12543 through 12562 for 20 exploration, delineation and hydrological holes, and GH12-297 through GH12-357S for 61 geotechnical holes. Most of 12-series holes were drilled with dips of -65° to -80°, and azimuths of 90° to 270° except for 12546, 12554, 12558, 12559, 12561 and 12562, which were drilled vertically. All GH-series holes were drilled vertically. Among 61 geotechnical holes, 31 were completed by sonic drilling. Of the 81 holes, 14 h0les were drilled in the southern and western parts of the Pebble West zone; 6 holes were drilled in the broader claim area to test exploration targets to the south on the Kaskanak claim block to the northwest and south and the KAS claim block further south; and the 61 geotechnical and hydrogeological holes were drilled in the deposit area (45 holes), in Site A (8 holes) and in the area 50 miles to the southeast near Cook Inlet (8 holes). A total of 2,681 core samples (2,537 Cretaceous samples and the 144 Tertiary samples) were taken in 2012. The Cretaceous samples averaged 10 feet in length and were taken by sawing the core in half lengthwise. Tertiary samples averaged 20 ft in length and were taken by the 20% off-centre cut method.
11.1.13 Pebble Partnership 2013 Drilling
Drill contractor Foundex completed vertical drilling in 37 holes at sites near the deposit in 2013. These holes numbered GH13-358 through GH13-383 were drilled PQ and HQ size for geotechnical and hydrogeological purposes. A total of 523 samples were taken: 1 from Quaternary, 124 from Tertiary and 398 from Cretaceous strata. The Cretaceous and Quaternary samples average 10 feet in length and were taken by sawing the core in half lengthwise. The Tertiary samples average 15 feet in length and were taken by the 20% off-centre cut method.
11.1.14 Pebble Partnership 2018 Drilling
In 2018, 28 vertical geotechnical holes were drilled to test tailings and water storage facilities.
11.1.15 Pebble Partnership 2019 Drilling
Six reverse circulation (RC) percussion holes were drilled by T&J Enterprises for hydrogeological site investigation in 2019 in support of the ongoing EIS process. The work consisted of drilling vertically through overburden and bedrock, followed by the installation of pumping wells, monitoring wells, and grouted-in vibrating wire piezometers (VWPs). These holes were not sampled for assay.
Essentially, all of the potentially mineralized Cretaceous rock recovered by drilling on the Pebble Project is subject to sample preparation and assay analysis for copper, gold, molybdenum and a number of other elements. Similarly, all Late Cretaceous to Early Tertiary cover sequence (Tertiary) rock cored and recovered during the drill program is also subject to sample preparation and geochemical analysis by multi-element methods. Since 2007, all sampling at Pebble has been undertaken by employees or contractors under the supervision of a QP. The QP believes these processes are acceptable for use in geological and resource modelling for the Pebble deposit.
Northern Dynasty Minerals Ltd.
2023 Amended Technical Report on the
Pebble Project, Southwest Alaska
| Page 76 |

11.2 Sample Preparation
11.2.1 2002 Sample Preparation
In 2002, the samples were prepared at the Fairbanks laboratory of ALS, which has been certified under an International Organization for Standardization (ISO) 9001 since 1999. The sample bags were verified against the numbers listed on the shipment notice. In 2002, the entire sample of half-core was dried, weighed and crushed to 70% passing 10 mesh (2 mm), then a 250 g split was taken and pulverized to 85% passing 200 mesh (75 µm). The pulp was split, and approximately 125 g were shipped by commercial airfreight for analysis at the ALS laboratory in North Vancouver. The remaining pulps were shipped to a secure warehouse at Surrey, BC for long-term storage. The coarse rejects were held for several months at the Fairbanks laboratory until all quality assurance/quality control (QA/QC) measures were completed and were then discarded.
11.2.2 2003 Sample Preparation
The 2003 samples were prepared at the SGS Mineral Services (SGS) sample preparation laboratory in Fairbanks. After verification of the sample bag numbers against the shipment notice, the entire sample of half-core was dried, weighed and crushed to 75% passing 10 mesh (2 mm). A 400 g split was taken and pulverized to 95% passing 200 mesh (75 µm), and pulps were shipped by commercial airfreight to the SGS laboratories in either Toronto, ON, or Rouyn, QC. The assay pulps were returned for storage at the Surrey warehouse. Coarse rejects were held for several months at the Fairbanks laboratory until all QA/QC measures were completed and were then discarded.
11.2.3 2004-2013 and 2018 Sample Preparation
For the 2004 through 2013 and 2018 drill programs, the ALS sample preparation laboratory in Fairbanks performed the sample preparation work. The laboratory received the half-core Cretaceous samples and the off-centre saw splits from the Tertiary samples and metallurgical holes, verified the sample numbers against the sample shipment notice and performed the sample drying, weighing, crushing and splitting. ALS of North Vancouver pulverized the samples from 2004 through 2006 (as described for 2002 samples), and ALS Fairbanks pulverized the samples from 2007 through 2013 and 2018. Assay pulps were returned for long-term storage at the Surrey warehouse. Crushed reject samples from the 2006 through 2013 and 2018 analytical programs are stored in locked containers at Delta Junction, AK.
11.3 Sample Analysis
11.3.1 2002 Sample Analysis
Analytical work for the 2002 drilling program was completed by ALS of North Vancouver, BC, an ISO 9002 certified laboratory. All samples were analyzed for copper, molybdenum, silver and additional elements by multi-element analysis and for gold by fire assay.
Multi-element analysis for 34 elements, including copper, molybdenum and silver, was by AR digestion of a 0.5 g sample with an ICP-AES finish (ALS code ME-ICP41 shown in Table 11-1).
Northern Dynasty Minerals Ltd.
2023 Amended Technical Report on the
Pebble Project, Southwest Alaska
| Page 77 |

Table 11‑1 ALS Aqua Regia Digestion Multi-Element Analytical Method ME-ICP41
| Element | Symbol | Units | Lower Limit | Upper Limit |
| Element | Symbol | Units | Lower Limit | Upper Limit |
| Silver | Ag | ppm | 0.2 | 100 | Magnesium | Mg | % | 0.01 | 15 | |
| Aluminum | Al | % | 0.01 | 15 | Manganese | Mn | ppm | 5 | 10,000 | |
| Arsenic | As | ppm | 2 | 10,000 | Molybdenum | Mo | ppm | 1 | 10,000 | |
| Boron | B | ppm | 10 | 10,000 | Sodium | Na | % | 0.01 | 10% | |
| Barium | Ba | ppm | 10 | 10,000 | Nickel | Ni | ppm | 1 | 10,000 | |
| Beryllium | Be | ppm | 0.5 | 100 | Phosphorus | P | ppm | 10 | 10,000 | |
| Bismuth | Bi | ppm | 2 | 10,000 | Lead | Pb | ppm | 2 | 10,000 | |
| Calcium | Ca | % | 0.01 | 15 | Sulfur | S | % | 0.01 | 10 | |
| Cadmium | Cd | ppm | 0.5 | 500 | Antimony | Sb | ppm | 2 | 10,000 | |
| Cobalt | Co | ppm | 1 | 10,000 | Scandium | Sc | ppm | 1 | 10,000 | |
| Chromium | Cr | ppm | 1 | 10,000 | Strontium | Sr | ppm | 1 | 10,000 | |
| Copper | Cu | ppm | 1 | 10,000 | Titanium | Ti | % | 0.01 | 10 | |
| Iron | Fe | % | 0.01 | 15 | Thallium | Tl | ppm | 10 | 10,000 | |
| Gallium | Ga | ppm | 10 | 10,000 | Uranium | U | ppm | 10 | 10,000 | |
| Mercury | Hg | ppm | 1 | 10,000 | Vanadium | V | ppm | 1 | 10,000 | |
| Potassium | K | % | 0.01 | 10 | Tungsten | W | ppm | 10 | 10,000 | |
| Lanthanum | La | ppm | 10 | 10,000 | Zinc | Zn | ppm | 2 | 10,000 | |
|
|
|
|
|
|
|
|
|
|
|
|
A total of 1,715 samples from 26 drill holes exhibiting porphyry style copper-gold mineralization were assayed for copper by AR digestion with an AAS finish to the ppm level (ALS code Cu-AA46 shown in Table 11‑2). Five copper assays greater than 10,000 ppm in hole 2037 were also assayed by this method. A further 271 samples from 5 drill holes were assayed for copper by four-acid (HNO3-HClO4-HF-HCl) digestion AAS (ALS code Cu-AA61 in Table 11‑2) and 62 samples from drill hole 2034 were assayed for molybdenum by four-acid digestion with an AAS finish (ALS code Mo-AA61 shown in Table 11‑2). Two samples with Pb and Zn concentrations >10,000 ppm by method ME-ICP41 were reanalyzed by four-acid digestion AAS (ALS codes Pb-AA46 and Zn-AA46 respectively, these methods also shown in Table 11‑2).
Northern Dynasty Minerals Ltd.
2023 Amended Technical Report on the
Pebble Project, Southwest Alaska
| Page 78 |

Table 11‑2 ALS Additional Analytical Procedures
| Element | Symbol | Method Code | Digestion | Instrument | Sample Mass (g) | Units | Lower Limit | Upper Limit |
| Copper | Cu | Cu-AA46 | Aqua regia | AAS | 0.4 | % | 0.01 | 50 |
| Lead | Pb | Pb-AA46 | Aqua regia | AAS | 0.4 | % | 0.01 | 50 |
| Zinc | Zn | Zn-AA46 | Aqua regia | AAS | 0.4 | % | 0.01 | 50 |
| Copper | Cu | Cu-AA61 | Four-acid | AAS | 0.4 | ppm | 1 | 10000 |
| Copper | Cu | Cu-AA62 | Four-acid | AAS | 0.4 | % | 0.01 | 50 |
| Copper | Cu | Cu-OG62 | Four-acid | ICP-AES | 0.4 | % | 0.01 | 40 |
Gold concentrations were determined by 30 g FA fusion with lead as a collector and an AAS finish (ALS code Au-AA23 in Table 11‑3). Four samples that returned gold results greater than 10,000 ppb (10 g/t), were re-analyzed by one assay ton FA fusion with a gravimetric finish (ALS code Au-GRAV21 in Table 11‑3). Seven samples from hole 2013 were analyzed for gold, platinum and palladium by 30 g FA fusion with ICP finish (ALS code PGM-ICP23 in Table 11‑3). In 2007, and additional 459 samples from 11 other 2002 holes were analyzed by this method.
Table 11‑3 ALS Precious Metal Fire Assay Analytical Methods
| Element | Symbol | Method Code | Instrument | Sample Mass (g) | Units | Lower Limit | Upper Limit |
| Gold | Au | Au-AA23 | AAS | 30 | ppm | 0.005 | 10 |
| Gold | Au | Au-GRA21 | Gravimetric | 30 | ppm | 0.05 | 1000 |
| Gold | Au | PGM-ICP23 | ICP-AES | 30 | ppm | 0.001 | 10 |
| Platinum | Pt | PGM-ICP23 | ICP-AES | 30 | ppm | 0.005 | 10 |
| Palladium | Pd | PGM-ICP23 | ICP-AES | 30 | ppm | 0.001 | 10 |
11.3.2 2003 Sample Analysis
Analytical work for the 2003 drilling program was completed by SGS Canada Inc. of Toronto, ON, an ISO 9002 registered, ISO 17025 accredited laboratory. All samples were assayed for copper by a total digestion ICP-AES method and for gold by FA. An AR digestion multi-element geochemical package was used for 33 additional elements including copper, molybdenum and silver.
Copper assays were completed at SGS Toronto, ON. Samples were fused with sodium peroxide, digested in dilute nitric acid and the solution analyzed by ICP-AES, with results in percent on SGS method ICAY50 as detailed in Table 11‑4.
Northern Dynasty Minerals Ltd.
2023 Amended Technical Report on the
Pebble Project, Southwest Alaska
| Page 79 |

Table 11‑4 SGS Copper Analytical Method ICAY50
| Element | Symbol | Digestion | Instrument | Sample Mass (g) | Units | Lower Limit | Upper Limit |
| Copper | Cu | Sodium Peroxide Fusion | ICP-AES | 0.2 | % | 0.01 | 10 |
Gold analyses were completed at SGS Rouyn, QC, by one assay ton (30 g) lead-collection FA fusion with AAS finish, with results reported in ppb. Ten samples that returned gold results greater than 2,000 ppb (2 g/t) were re-analyzed by 30 g FA fusion with a gravimetric finish, with results reported in g/t. The SGS analytical methods for gold are listed in Table 11‑5.
Table 11‑5 SGS Gold Fire Assay Analytical Methods
| Element | Symbol | Method Code | Instrument | Sample Mass (g) | Units | Lower Limit | Upper Limit |
| Gold | Au | FA305 | AAS | 30 | ppb | 5 | 2000 |
| Gold | Au | FA30G | Gravimetric | 30 | g/t | 0.03 | 1000 |
All samples were subject to multi-element analysis for 33 elements including copper, molybdenum and sulphur by AR digestion with an ICP-AES finish at SGS Toronto by SGS method ICP70. The elements reported, units and detection limits are listed in Table 11‑6.
Northern Dynasty Minerals Ltd.
2023 Amended Technical Report on the
Pebble Project, Southwest Alaska
| Page 80 |

Table 11‑6 SGS Aqua Regia Digestion Multi-Element Analytical Method ICP70
| Element | Symbol | Units | Lower Limit | Upper Limit |
| Element | Symbol | Units | Lower Limit | Upper Limit |
| Silver | Ag | ppm | 0.2 | 10 |
| Molybdenum | Mo | ppm | 1 | 10000 |
| Aluminum | Al | % | 0.01 | 15 |
| Sodium | Na | % | 0.01 | 15 |
| Arsenic | As | ppm | 3 | 10000 |
| Nickel | Ni | ppm | 1 | 10000 |
| Barium | Ba | ppm | 1 | 10000 |
| Phosphorus | P | % | 0.01 | 1 |
| Beryllium | Be | ppm | 0.5 | 2500 |
| Lead | Pb | ppm | 2 | 10000 |
| Bismuth | Bi | ppm | 5 | 10000 |
| Sulphur | S | % | 0.01 | 10 |
| Calcium | Ca | % | 0.01 | 15 |
| Antimony | Sb | ppm | 5 | 10000 |
| Cadmium | Cd | ppm | 1 | 10000 |
| Scandium | Sc | ppm | 0.5 | 10000 |
| Cobalt | Co | ppm | 1 | 10000 |
| Tin | Sn | ppm | 10 | 10000 |
| Chromium | Cr | ppm | 1 | 10000 |
| Strontium | Sr | ppm | 0.5 | 5000 |
| Copper | Cu | ppm | 0.5 | 10000 |
| Titanium | Ti | % | 0.01 | 15 |
| Iron | Fe | % | 0.01 | 15 |
| Vanadium | V | ppm | 2 | 10000 |
| Potassium | K | % | 0.01 | 15 |
| Tungsten | W | ppm | 10 | 10000 |
| Lanthanum | La | ppm | 0.5 | 10000 |
| Yttrium | Y | ppm | 0.5 | 10000 |
| Lithium | Li | ppm | 1 | 10000 |
| Zinc | Zn | ppm | 0.5 | 10000 |
| Magnesium | Mg | % | 0.01 | 15 |
| Zirconium | Zr | ppm | 0.5 | 10000 |
| Manganese | Mn | ppm | 2 | 10000 |
|
|
|
|
|
|
In addition, 30 samples were analyzed for whole-rock geochemical analysis by lithium metaborate fusion with an x-ray fluorescence (XRF) finish. All duplicates were analyzed at ALS laboratory in North Vancouver, BC.
11.3.3 2002, 2004-2013 and 2018 Sample Analysis
Analytical work in 2002, from 2004 to 2013 and 2018 was completed by ALS of North Vancouver. Total copper and molybdenum concentrations were determined by an intermediate-grade multi-element analytical method. A four-acid digestion was followed by ICP-AES finish (ALS code ME-ICP61a). This multi-element method was also used to determine 31 additional elements including sulphur. The elements reported, units and detection limits are listed in Table 11‑7.
Northern Dynasty Minerals Ltd.
2023 Amended Technical Report on the
Pebble Project, Southwest Alaska
| Page 81 |

Table 11‑7 ALS Four Acid Digestion Multi-Element Analytical Method ME-ICP61a
| Element | Symbol | Units | Lower Limit | Upper Limit |
| Element | Symbol | Units | Lower Limit | Upper Limit |
| Silver | Ag | ppm | 1 | 200 |
| Molybdenum | Mo | ppm | 10 | 50000 |
| Aluminum | Al | % | 0.05 | 50 |
| Sodium | Na | % | 0.05 | 30 |
| Arsenic | As | ppm | 50 | 100000 |
| Nickel | Ni | ppm | 10 | 100000 |
| Barium | Ba | ppm | 50 | 50000 |
| Phosphorus | P | ppm | 50 | 100000 |
| Beryllium | Be | ppm | 10 | 10000 |
| Lead | Pb | ppm | 20 | 100000 |
| Bismuth | Bi | ppm | 20 | 50000 |
| Sulphur | S | % | 0.05 | 10 |
| Calcium | Ca | % | 0.05 | 50 |
| Antimony | Sb | ppm | 50 | 50000 |
| Cadmium | Cd | ppm | 10 | 10000 |
| Scandium | Sc | ppm | 50 | 50000 |
| Cobalt | Co | ppm | 10 | 50000 |
| Strontium | Sr | ppm | 10 | 100000 |
| Chromium | Cr | ppm | 10 | 100000 |
| Thorium | Th | ppm | 50 | 50000 |
| Copper | Cu | ppm | 10 | 100000 |
| Titanium | Ti | % | 0.05 | 30 |
| Iron | Fe | % | 0.05 | 50 |
| Thallium | Tl | ppm | 50 | 50000 |
| Gallium | Ga | ppm | 50 | 50000 |
| Uranium | U | ppm | 50 | 50000 |
| Potassium | K | % | 0.1 | 30 |
| Vanadium | V | ppm | 10 | 100000 |
| Lanthanum | La | ppm | 50 | 50000 |
| Tungsten | W | ppm | 50 | 50000 |
| Magnesium | Mg | % | 0.05 | 50 |
| Zinc | Zn | ppm | 20 | 100000 |
| Manganese | Mn | ppm | 10 | 100000 |
|
|
|
|
|
|
In 2004 and 2005, approximately one sample in 10 was also analyzed for copper by a high-grade, four-acid digestion method with AAS finish (ALS code Cu-AA62). Details on this and other copper check assay and overlimit methods employed are in Table 11‑2.
Gold content was determined by 30 g lead collection FA fusion with AAS finish (ALS code Au-AA23). A total of 14 samples from this period returned gold values greater than 10 ppm; they were re-analyzed by 30 g FA fusion with a gravimetric finish (ALS code Au-GRA21), with results reported in ppm. From drill hole number 7371 onward, gold, platinum and palladium concentrations were determined by 30 g FA fusion with ICP-AES finish (ALS code PGM-ICP23). In 2002, 464 samples from 12 holes in the 25 Zone, 37 Zone and nearby were also analyzed by method PGM-ICP23. Table 11‑3 provides further details on the sample size and detection limits of the ALS precious metal fire assay methods used. A single silver value >200 ppm was re-analyzed by AR digestion AAS (Method Ag-AA62 on Table 11‑2). Beginning in 2004 for Tertiary rocks and 2007 for Cretaceous rocks, samples were analyzed for 48 elements including copper, molybdenum, silver and rhenium by four-acid digestion followed by ICP-AES and inductively coupled plasma–mass spectroscopy finish (ICP-MS). Information on this method (ALS code ME-MS61) is listed in Table 11‑8.
Northern Dynasty Minerals Ltd.
2023 Amended Technical Report on the
Pebble Project, Southwest Alaska
| Page 82 |

Table 11‑8 ALS Four Acid Digestion Multi-Element Analytical Method ME-MS61
| Element | Symbol | Unit | Lower Limit | Upper Limit |
| Element | Symbol | Units | Lower Limit | Upper Limit |
| Silver | Ag | ppm | 0.01 | 100 |
| Sodium | Na | % | 0.01 | 10 |
| Aluminum | Al | % | 0.01 | 50 |
| Niobium | Nb | ppm | 0.1 | 500 |
| Arsenic | As | ppm | 0.2 | 10000 |
| Nickel | Ni | ppm | 0.2 | 10000 |
| Barium | Ba | ppm | 10 | 10000 |
| Phosphorous | P | ppm | 10 | 10000 |
| Beryllium | Be | ppm | 0.05 | 1000 |
| Lead | Pb | ppm | 0.5 | 10000 |
| Bismuth | Bi | ppm | 0.01 | 10000 |
| Rubidium | Rb | ppm | 0.1 | 500 |
| Calcium | Ca | % | 0.01 | 50 |
| Rhenium | Re | ppm | 0.002 | 50 |
| Cadmium | Cd | ppm | 0.02 | 500 |
| Sulphur | S | % | 0.01 | 10 |
| Cerium | Ce | ppm | 0.01 | 500 |
| Antimony | Sb | ppm | 0.05 | 1000 |
| Cobalt | Co | ppm | 0.1 | 10000 |
| Scandium | Sc | ppm | 0.1 | 250 |
| Chromium | Cr | ppm | 1 | 10000 |
| Selenium | Se | ppm | 1 | 1000 |
| Cesium | Cs | ppm | 0.05 | 500 |
| Tin | Sn | ppm | 0.2 | 500 |
| Copper | Cu | ppm | 0.2 | 10000 |
| Strontium | Sr | ppm | 0.2 | 10000 |
| Iron | Fe | % | 0.01 | 50 |
| Tantalum | Ta | ppm | 0.05 | 100 |
| Gallium | Ga | ppm | 0.05 | 500 |
| Tellurium | Te | ppm | 0.05 | 500 |
| Germanium | Ge | ppm | 0.05 | 500 |
| Thorium | Th | ppm | 0.01 | 500 |
| Hafnium | Hf | ppm | 0.1 | 500 |
| Titanium | Ti | % | 0.005 | 10 |
| Indium | In | ppm | 0.005 | 500 |
| Thallium | Tl | ppm | 0.02 | 500 |
| Potassium | K | % | 0.01 | 10 |
| Uranium | U | ppm | 0.1 | 500 |
| Lanthanum | La | ppm | 0.5 | 500 |
| Vanadium | V | ppm | 1 | 10000 |
| Lithium | Li | ppm | 0.2 | 500 |
| Tungsten | W | ppm | 0.1 | 10000 |
| Magnesium | Mg | % | 0.01 | 50 |
| Yttrium | Y | ppm | 0.1 | 500 |
| Manganese | Mn | ppm | 5 | 100000 |
| Zinc | Zn | ppm | 2 | 10000 |
| Molybdenum | Mo | ppm | 0.05 | 10000 |
| Zirconium | Zr | ppm | 0.5 | 500 |
As adjuncts to ALS methods ME-ICP61 and ME-MS61, mercury was determined by aqua regia digestion with cold vapour AAS finish (ALS method Hg-CV41) and aqua regia digestion ICP-MS (ALS method Hg-MS42) on samples where method ME-ICP61a is not performed. Table 11‑9 provides further details on these methods.
Northern Dynasty Minerals Ltd.
2023 Amended Technical Report on the
Pebble Project, Southwest Alaska
| Page 83 |

Table 11‑9 ALS Mercury Aqua Regia Digestion Analytical Methods
| Element | Symbol | Method Code | Sample Mass (g) | Units | Lower Limit | Upper Limit |
|
| Mercury | Hg | Hg-CV41 | 0.5 | ppm | 0.01 | 100 |
|
| Mercury | Hg | Hg-MS42 | 0.5 | ppm | 0.005 | 100 |
|
A total of 13,371 samples were subject to sequential copper speciation analyses that included: oxide copper analysis by citric acid leach AAS finish; non-sulphide copper analysis by 5% sulphuric acid leach AAS finish and cyanide leachable copper on the sample residue of the sulphuric acid leach by cyanide leach AAS finish (ALS codes Cu-AA04, Cu-AA05 and Cu-AA17). These methods and the database codes associated with them are outlined in Table 11‑10 ALS Copper Speciation Analytical .
Table 11‑10 ALS Copper Speciation Analytical Methods
| Database Code | Method Code | Leach | Sample Mass (g) | Units | Lower Limit | Upper Limit |
|
| CuOx | Cu-AA04 | Citric acid | 0.25 | % | 0.01 | 10 |
|
| CuS | Cu-AA05 | 5% Sulphuric acid | 0.5 | % | 0.01 | 10 |
|
| CuCN | Cu-AA17 | Cyanide | 2 | % | 0.01 | 10 |
|
A total of 222 samples from a drill hole in Pebble East were analyzed for precious metals (ALS code Au-SCR21 modified to include platinum and palladium). A 1,000 g pulp sample was screened at 100 µm (Tyler 150 mesh) and the entire plus fraction was weighed and analyzed by FA ICP finish and two 30 g minus fractions.
All duplicates since 2004 have been analyzed at Acme Analytical Laboratories (Acme), now Bureau Veritas Commodities Canada Ltd. (BVCCL) in Vancouver, BC, using similar methods to those at ALS. Acme (BVCCL) code MA270, a four-acid digestion with ICP-AES finish, was used to determine total concentrations for copper, molybdenum and 38 additional elements. Table 11‑11 lists the elements analyzed and the detection limits of this method.
Northern Dynasty Minerals Ltd.
2023 Amended Technical Report on the
Pebble Project, Southwest Alaska
| Page 84 |

Table 11‑11 BVCCL Four Acid Digestion Multi-Element Analytical Method MA270
| Element | Symbol | Units | Lower Limit |
| Element | Symbol | Units | Lower Limit |
| Silver | Ag | ppm | 0.5 |
| Sodium | Na | % | 0.01 |
| Aluminum | Al | % | 0.01 |
| Niobium | Nb | ppm | 0.5 |
| Arsenic | As | ppm | 5 |
| Nickel | Ni | ppm | 0.5 |
| Barium | Ba | ppm | 5 |
| Phosphorus | P | % | 0.01 |
| Beryllium | Be | ppm | 5 |
| Lead | Pb | ppm | 0.5 |
| Bismuth | Bi | ppm | 0.5 |
| Rubidium | Rb | ppm | 0.5 |
| Calcium | Ca | % | 0.01 |
| Sulphur | S | % | 0.05 |
| Cadmium | Cd | ppm | 0.5 |
| Antimony | Sb | ppm | 0.5 |
| Cerium | Ce | ppm | 5 |
| Scandium | Sc | ppm | 1 |
| Cobalt | Co | ppm | 1 |
| Tin | Sn | ppm | 0.5 |
| Chromium | Cr | ppm | 1 |
| Strontium | Sr | ppm | 5 |
| Copper | Cu | ppm | 0.5 |
| Tantalum | Ta | ppm | 0.5 |
| Iron | Fe | % | 0.01 |
| Thorium | Th | ppm | 0.5 |
| Hafnium | Hf | ppm | 0.5 |
| Titanium | Ti | % | 0.001 |
| Potassium | K | % | 0.01 |
| Uranium | U | ppm | 0.5 |
| Lanthanum | La | ppm | 0.5 |
| Vanadium | V | ppm | 10 |
| Lithium | Li | ppm | 0.5 |
| Tungsten | W | ppm | 0.5 |
| Magnesium | Mg | % | 0.01 |
| Yttrium | Y | ppm | 0.5 |
| Manganese | Mn | ppm | 5 |
| Zinc | Zn | ppm | 5 |
| Molybdenum | Mo | ppm | 0.5 |
| Zirconium | Zr | ppm | 0.5 |
Check assays for gold were determined by Acme (BVCCL) code FA330, a 30 g FA fusion with ICP-AES finish. Table 11‑12 lists the details for this method.
Table 11‑12 BVCCL Precious Metal Fire Assay Analytical Method
| Element | Symbol | Method Code | Instrument | Units | Sample Mass (g) | Lower Limit |
| Gold | Au | FA330 | ICP-AES | ppb | 30 | 2 |
In 2010, 115 till samples were also analyzed at Acme (BVCCL) in Vancouver. The samples were dried and sieved to 230 mesh (63 µm), and a 15 g sub-sample was digested in aqua regia and analyzed by ICP-MS (Acme (BVCCL) code 1F05).
Northern Dynasty Minerals Ltd.
2023 Amended Technical Report on the
Pebble Project, Southwest Alaska
| Page 85 |

Figure 11‑1 illustrates the sampling and analytical flowchart for the 2010 through 2013 drill programs.
Figure 11‑1 Pebble Project 2010 to 2013 Drill Core Sampling and Analytical Flow Chart

Northern Dynasty Minerals Ltd.
2023 Amended Technical Report on the
Pebble Project, Southwest Alaska
| Page 86 |
11.3.4 Bulk Density Determinations
Density measurements were made at 100 ft intervals within continuous rock units, and at least once in each rock unit less than 100 ft wide. Rocks chosen for analysis were typical of the surrounding rock. Where the sample interval occurred in a section of missing core, or poorly consolidated material unsuitable for measurement, the nearest intact piece of core was measured instead.
Core samples free of visible moisture were selected; they ranged from 3 to 12 in long, and averaged 8 in. The samples were dried, weighed in air on a digital scale (capacity 4.4 lb.) and the mass in air (MA) recorded to the nearest 0.1 g. Then, the sample was suspended in water below the scale and its weight in water (Mw) entered into the same table. Calculation of the density was conducted using the following formula:
Density = MA ⁄ (MA – Mw)
Core-sized pieces of aluminum were used as density standards at site starting in 2008. A total of 9,951 density measurements of Tertiary and Cretaceous rocks were taken using a water immersion method on whole and half drill core samples at the Iliamna core logging facility.
11.4 Quality Control/Quality Assurance
QP Titley has reviewed the data verification procedures followed by Northern Dynasty and the Pebble Partnership and by third parties on behalf of them, and believes these procedures are consistent with industry best practices and acceptable for use in geological and resource modelling.
11.4.1 Quality Assurance and Quality Control
Northern Dynasty maintained an effective QA/QC program consistent with industry best practices, which was continued from 2007 to 2013 under the Pebble Partnership. This program is in addition to the QA/QC procedures used internally by the analytical laboratories. The QA/QC program has also been subject to independent review by Analytical Laboratory Consultants Ltd (ALC, 2004 to 2007) and Nicholson Analytical Consulting (NAC, 2008 to 2012). The analytical consultants provide ongoing monitoring, including facility inspection and timely reporting of the performance of standards, blanks and duplicates in the sampling and analytical program. The results of this program indicate that analytical results are of a high quality, suitable for use in detailed modelling and resource evaluation studies.
Table 11‑13 describes the QA/QC sample types used in the program. The performance of the copper-gold standard CGS-16 is illustrated in Figure 11‑2 and Figure 11‑3. A comparison of the matched-pair duplicate assay results of ALS and Acme (BVCCL) for 2004 through 2010 is provided in Figure 11‑4 and Figure 11‑5.
Northern Dynasty Minerals Ltd.
2023 Amended Technical Report on the
Pebble Project, Southwest Alaska
| Page 87 |

Table 11‑13 QA/QC Sample Types Used
| QC Code | Sample Type |
| Description | Percent of Total |
| MS | Regular Mainstream | · | Regular samples submitted for preparation and analysis at the primary laboratory. | 89% |
| ST | Standard (Certified Reference Material) | · | Mineralized material in pulverized form with a known concentration and distribution of element(s) of interest. | 4.5% or 9 in 200 |
|
|
| · | Randomly inserted using pre-numbered sample tags. |
|
| DP | Duplicate or Replicate | · | An additional split taken from the remaining pulp reject, coarse reject, ¼ core or ½ core remainder. | 4.5% or 9 in 200 |
|
|
| · | Random selection using pre-numbered sample tags. |
|
| SD | Standard Duplicate | · | Standard reference sample submitted with duplicates and replicates to the check laboratory. | <1% |
| BL | Blank | · | Sample containing negligible or background amounts of elements of interest, to test for contamination. | 2% 1 in 50 |
Figure 11‑2 Performance of the Copper Standard CGS-16 in 2008

Northern Dynasty Minerals Ltd.
2023 Amended Technical Report on the
Pebble Project, Southwest Alaska
| Page 88 |

Figure 11‑3 Performance of the Gold Standard CGS-16 in 2008

11.4.2 Standards
Standard reference materials were inserted into the Cretaceous sample stream (approximately 9 samples for every 200 samples) after sample preparation as anonymous (blind), consecutively-numbered pulps. These standards are in addition to internal standards routinely analyzed by the analytical laboratories. Standards were inserted in the field by the use of sample tags, on which the "ST" designation for "Standard" was pre-marked. For the Tertiary waste rock analytical program, coarse blanks were inserted at the sample tags positions marked as ST until late 2008 and, since then a commercial pulp blank has been used.
Standard performance was monitored by charting the analytical results over time against the concentration of the control elements. The results are compared with the expected value and range, as determined by round-robin analysis. A total of 32 different standard reference materials were used to monitor the assay results from 1997 through 2018 and 2020 rhenium analysis programs. Copper and gold standards were inserted during the 1997 through 2020 programs. Molybdenum standards were added in September 2008.
In December 2007, several tons of coarse reject samples from Pebble East and Pebble West were pulled from storage and shipped to Ore Research & Exploration Pty Ltd (OREAS) in Melbourne, Australia, for the production of ten matrix-matched certified reference materials. These standards (PLP-1 through PLP-10) became available in late 2009 and have been used to monitor the Pebble analytical results since that time. Nine of the standards from mineralized Cretaceous rocks are certified for gold, copper, molybdenum, silver and arsenic. One low- grade standard (PLP-2) is from Tertiary rock and is certified for copper, molybdenum, arsenic, silver and mercury.
Northern Dynasty Minerals Ltd.
2023 Amended Technical Report on the
Pebble Project, Southwest Alaska
| Page 89 |

A standard determination outside the control limits indicates a control failure. The control limits used are as follows:
|
| · | warning limits: ±2 standard deviations; and, |
|
|
|
|
|
| · | control limits: ±3 standard deviations. |
When a control failure occurred, the laboratory was notified and the affected range of samples re‑analyzed. By the end of the program, no sample intervals had outstanding QA/QC issues. The standard monitoring program provides a good indication of the overall accuracy of the analytical results.
11.4.3 Duplicates
Random duplicate samples were selected and tagged in the field by the use of sample tags on which the “DP” designation for “duplicate” was pre-marked. From 2004 onward, samples to be duplicated were split by ALS at Fairbanks and submitted to Acme (BVCCL) in Vancouver for pulverization.
The original samples were assayed by ALS of North Vancouver and the corresponding duplicate samples were assayed by Acme (BVCCL) of Vancouver. The approximately 2,000 coarse reject, inter-laboratory duplicate assay results from 2004 to 2010 match well; the correlation coefficients are 0.96 for gold, 0.98 for copper and 0.98 for molybdenum. In 2011 and 2013, the duplicate analyses rate of 9 in 200 samples was continued and the number of duplicate samples analyzed was doubled. The protocol was modified so that after every 20th mainstream sample analyzed within the regular sample stream an in-line, intra-laboratory coarse reject duplicate (a “prep-rep” duplicate) was analyzed. In addition to this, the original pulp of this sample was sent to Acme (BVCCL) in Vancouver for inter-laboratory check assaying when final QA/QC on the original samples was completed.
Figure 11‑4 and Figure 11‑5 provide a comparison of the matched-pair duplicate assay results of ALS and Acme (BVCCL) for 2004 through 2010.
Northern Dynasty Minerals Ltd.
2023 Amended Technical Report on the
Pebble Project, Southwest Alaska
| Page 90 |

| Figure 11‑4 Comparison of Gold Duplicate Assay Results for 2004 to 2010 | Figure 11‑5 Comparison of Copper Duplicate Assay Results for 2004 to 2010 |
|
|
|
Northern Dynasty Minerals Ltd.
2023 Amended Technical Report on the
Pebble Project, Southwest Alaska
| Page 91 |

11.4.4 Blanks
A total of 1,362 field blanks have been inserted since 2004 to test for contamination. This is in addition to the analytical blanks routinely inserted with the samples by the assay laboratories as a part of their internal quality control procedures. In 2004, coarse landscape dolomite was inserted as a blank material. This material was replaced by gravel landscape material between 2005 and late 2008. In late 2008, the gravel blank was replaced by a quarried grey granitic landscape rock. This material has a lithological matrix similar to the Pebble Cretaceous host rocks.
About 1 lb of the blank was placed in a sample bag, given a sequential sample number in the sequence and randomly inserted one to six times per drill hole after the regular core samples were split at Iliamna. These blank samples were processed in sample number order along with the regular samples.
Of the blanks inserted, 444 were included in the Tertiary waste rock sample program in the position marked for the standard. In late 2008, a commercial precious metals pulp blank was inserted with the Tertiary waste rock samples. In late 2009, the use of matrix-matched low grade Tertiary standard PLP-2 was initiated.
The majority of assay results for the blanks report at or below the detection limit. The maximum values reported in the current results are gold (0.028 g/t) and copper (0.057%). No significant contamination occurred during sample preparation, with a few minor exceptions, possibly due to cross-sample mixing errors during crushing.
11.4.5 QA/QC on Other Elements
The four-acid digestion ICP-AES 33 multi-element analytical method employed from 2004 through 2013 (ALS method ME-ICP61) is optimized for copper and molybdenum analysis. The copper and molybdenum assays were monitored by internal laboratory and external standards.
Parallel to this method (as described in Section 11.0), an ICP-MS 48 multi-element method (ALS Method ME-MS61) was also used to determine the same 25 elements above and 23 additional elements. The ICP-MS method gives lower detection limits for most of the elements.
11.4.6 Rhenium Study
In July 2020, the original assay pulps from 938 sample intervals cored in years 1991, 2003, 2004 and 2005 Pebble deposit drilling were retrieved from a company warehouse for a study on the relationship between rhenium and molybdenum concentrations. The selected samples were originally analyzed for copper, molybdenum and other elements, but had not been analyzed for rhenium. Samples were submitted to ALS laboratory in North Vancouver for multi-element analysis by four acid digestion ICP-MS finish (ALS method ME-MS61), along with 52 Pebble project-based standards, 17 nominal blanks and 48 duplicates. In addition to rhenium and molybdenum, the concentrations of copper, silver and 44 other elements were also determined in this study. The performance of standard PLP-1 for rhenium is illustrated in Figure 11‑6 The pre-2020 results and year 2020 results from ALS are highlighted by lighter and darker shaded lines respectively. The performance of the nominal (low element concentration) blank PLP-2 for rhenium is similarly presented in Figure 11‑7. As the control samples used had not originally been subject to round-robin analysis for rhenium, results of several hundred analyses at ALS laboratory were used to establish reasonable concentration levels for them. These levels were corroborated with results obtained by other analytical laboratories using similar analytical methods.
Northern Dynasty Minerals Ltd.
2023 Amended Technical Report on the
Pebble Project, Southwest Alaska
| Page 92 |

Figure 11‑6 Performance of Standard PLP-1 for Rhenium

Figure 11‑7 Performance of Control Sample PLP-2 for Rhenium

Based on the results of this study, the QP is of the opinion that the rhenium results obtained are suitable for use in this technical report.
Northern Dynasty Minerals Ltd.
2023 Amended Technical Report on the
Pebble Project, Southwest Alaska
| Page 93 |

As part of the 2020 rhenium study, additional elements including copper and molybdenum were analyzed by the multi-element method employed. The copper and molybdenum results obtained in 2020 were compared with the original assay results. These comparisons are presented in Figure 11‑8 as scatterplots in log format of the original results versus the new results. A reasonable level of correspondence in concentrations of the matched pairs was obtained for each element.
Figure 11‑8 Scatterplots in Log Format of Original vs 2020 Re-analysis for Copper and Molybdenum


In the opinion of the QP, the reanalysis of these samples for copper and molybdenum lends further credence to the veracity of the assay results for these elements and the appropriateness of their use in this technical report.
11.5 Bulk Density Validation
The bulk density data were reviewed prior to the July 2008 resource estimation. The following types of errors were noted: entry errors, standards labelled as regular samples, incorrectly calculated density values based on the mass in air and mass in water values entered and extremely high or low-density values without appropriate explanation. These errors were investigated and corrected prior to including the data for resource estimation.
Two other possible sources of error in the measurements were identified: the presence of moisture in the mass in air measurement for some samples, and the presence of porosity and permeability of the bulk rock mass not determinable by the method. The former will result in measurements that are somewhat overstated, and the latter in measurements that are understated in terms of the dry in situ bulk density.
Northern Dynasty Minerals Ltd.
2023 Amended Technical Report on the
Pebble Project, Southwest Alaska
| Page 94 |

11.6 Survey Validation
In 1988, Teck established a survey control network including the Pebble Beach base monument in the deposit area using U.S. State Plane Coordinate System Alaska Zone 5. This monument was tied to the NGS State Monuments Koktuli, PIG and RAP at Iliamna and formed the base for subsequent drill collar surveys. In 2004, air photo panels and a control network were established using NAD 83 US State Plane Coordinate System Alaska Zone 5 with elevations corrected to NAVD88 based on Geoid99.
In 2005, differences between the elevations of surveyed drill collars in the deposit area and the digital elevation model (DEM) topography were observed. In early 2008, a re-survey program was initiated to investigate and resolve these discrepancies. A consistent error was identified in the collar coordinates from some years, and questions arose as to whether drill collars had been surveyed to the top of the drill casing or to ground level. In September 2008, two new control points - Pebble 1 and Pebble 2 - were established by R&M Consultants Inc. of Anchorage in the deposit area; they tied these two points and the Pebble Beach monument into the 2004 control network and an x, y, z linear coordinate correction was applied to resolve previously observed drill hole elevation discrepancies.
Subsequently, during the 2008 and 2009 field seasons, all holes drilled at the Pebble Project since inception in 1988 were re-surveyed using a real time kinematic (RTK) GPS, referencing the coordinates of the Pebble Beach monument as established by the 2008 re-survey to gain a complete set of consistently acquired collar survey data. The majority of the drill holes were marked with a wooden post and an aluminum tag. In cases where the post was missing, the original coordinates were used to find evidence of the drill hole. Any hole missing a drill post was re-marked, and this was noted in the database. The resurveys were taken to the top of tundra over the centre of the drill hole. Where a drill hole could not be located, the resurveyed coordinate was taken at the original drill collar coordinates and the elevation re-established in the new system.
All post Teck holes were down hole surveyed by single shot magnetic methods. In 2008, several angle holes were also surveyed by a non-magnetic gyroscopic tool.
11.7 Data Environment
All drill logs collected on the Pebble Project have been compiled in a SQL Server database. Drill hole logs have been entered into notebook computers running a digital data entry module for the Pebble Project at the core shack in Iliamna prior to 2018. During the pre-2018 drilling programs, the core logging computers were synchronized on a daily basis with the site master database on the file server in the Iliamna geology office. Since 2018 data entry is to a cloud-based server. Core photographs are also transferred to the file server in the Iliamna geology office on a daily basis. In the geology office, the logs are reviewed and validated, and initial corrections made.
Prior to 2018, site data was transmitted on a weekly basis to the Vancouver office, where the logging data are imported into the Project master database and merged with digital assay results provided by the analytical laboratories. After importing, a further printing, validation and verification step follows. Since 2018, a cloud-based application has been used. Any errors noted are submitted to the Iliamna office for correction. If analytical re-runs are required, the relevant laboratories are notified and corrections are made to the corresponding results within the project master database. Parallel to this, an independent QA/QC consultant compiled the sample log data from the site with assay data received directly from the laboratories for the 2004 through 2012 programs as part of an ongoing monitoring process. Compiled data are exported to the site database, to resource estimators, and to other users as required.
Northern Dynasty Minerals Ltd.
2023 Amended Technical Report on the
Pebble Project, Southwest Alaska
| Page 95 |

11.7.1 Error Detection Processes
Error detection within the data entry modules is used in the core shack and the Iliamna geology office as part of the data verification process. This process standardizes and documents the data entry, restricts data which can be entered and processed, and enables corrections to be made at an early stage. Users are prompted to make selections from ‘pick-lists’, when appropriate, and other entries are restricted to reasonable ranges of input. In other instances, information must be entered and certain steps completed prior to advancing to the next step. After the logs have been entered, they are reviewed and validated by the logger and printed.
Site data are transmitted to the Pebble database compilation group on a regular basis. The compiled data from the header, survey, assay, geology and geotechnical tables are validated for missing, overlapping or duplicated intervals or sample numbers, and for matching drill hole lengths in each table. Drill hole collars and traces are viewed on plan view and in section by a geologist as a visual check on the validity of the collar and survey information.
As the analytical data are returned from the laboratory, they are merged with the site sampling data , and the gold, copper, molybdenum and silver values of the regular samples and QA/QC samples are reviewed. Particular attention is paid to standards that have failed QA/QC as they are targeted for immediate review; re-runs are requested from the analytical laboratory if necessary.
11.7.2 Analysis Hierarchies
The first valid QA/QC-passed analytical result received from the primary laboratory has the highest priority in the analytical hierarchy. If the same analytical method is used more than once, no averaging is done. If different analytical methods are employed on the same sample, the most appropriate combination of digestion and analytical method is selected and used.
For gold analysis, FA determined by gravimetric finish supersedes results by AAS or ICP finish, particularly where the AAS or ICP results are designated as over limits. For copper analysis done on Cretaceous rocks after 2004, ALS intermediate grade multi-element analytical method (ALS method ME-ICP61) supersedes copper by low grade multi-element method (ALS method ME-MS61).
In the case of all other elements, including molybdenum, silver and sulphur analyses from 2007 through 2013, the multi-element method (ALS method ME-MS61) supersedes the intermediate grade multi-element method (ALS method ME-ICP61), unless the low-grade method results are greater than the upper detection limit. In that case, the intermediate grade method result prevails. All rhenium results are by ALS method ME-MS61. Infrequent extremely high results for Cu, Mo, Ag, Pb or Zn were reanalyzed by single element over limit analytical methods that supersede the original result.
Northern Dynasty Minerals Ltd.
2023 Amended Technical Report on the
Pebble Project, Southwest Alaska
| Page 96 |

11.7.3 Wedges
Some long holes, particularly in Pebble East, were intentionally wedged. This was undertaken when drilling conditions in the parent hole deteriorated to such an extent that continuation to target depth was impractical. For consistency of sample support for geological and resource modelling, mother hole/wedge hole combinations are represented by singular linear traces in the database. In treating the wedged portion of a hole that successfully extends beyond its parent hole, the following approach was used. The wedged portion of the hole was treated as a continuation of the mother hole from the point where the wedge starts. The information from the mother hole and the wedge was blended onto a string that follows the mother hole to the wedge point, and then follows the wedge (and the wedge surveys) to the end of the hole. The ‘best available’ information from the two hole strings was combined to produce one linear drill hole trace.
11.7.4 Control of QA/QC
Data are made available to the technical team for immediate use after the error trapping and initial review process is complete. However, at the time the data is made available, validation, verification and analytical QA/QC may still be in progress on recently-generated information. At the time the drill data was exported from the primary database for use in the current resource estimate, the results had been validated and all assay results had passed analytical QA/QC.
11.8 Verification of Drilling Data
The 1997 and prior Teck data were validated by Northern Dynasty in 2003 using:
|
| · | the digital data and printed information; |
|
|
|
|
|
| · | digital assay results obtained directly from ALS and Cominco Exploration Research laboratories, where available; and |
|
|
|
|
|
| · | selected re-analysis of the original assay pulps. |
Most of the pre-2002 data in the current database is derived from a digital compilation created by Teck in 1999. Twenty-eight gold results from 1988 and 1989 holes, which existed only on hand-written drill logs, were added to the database. A complete set of original information, including original drill logs, does not exist for all historical holes, particularly for those drilled in the Sill zone in 1988 and 1989. Assay data for the 1988 and 1989 holes drilled in Pebble West and 25 zone is from a combination of CERL assay certificates, the Teck digital compilation file and the original drill logs. The data compiled by Teck appears to be of good quality and matches the digital analytical data received directly from the CERL and ALS laboratories, with few exceptions. Most differences appear to be due to separately reported over-limits and re-runs. The small number of errors identified in the Teck data, including mismatched assay data, conversion errors, unapplied over-limits and typographical errors were corrected.
The 2002 analytical data were also verified and validated. A few errors were identified and corrected. When the 2003 digital data were verified against the assay certificates, some differences with the printed certificates were identified. In 2003, the analytical results were provided by SGS in a digital format that included SGS internal standards, duplicates and blanks. These digital results differed from the values on the corresponding printed certificates in two ways: digits in excess of three significant figures were recorded, and results were not trimmed to the upper detection limit value. As a result, sixteen 2003 gold assays over 2,000 ppb had incorrect values assigned to them in the database. This was corrected by applying the correct FA over-limit re-run result to these samples in the database. No over-limits existed in the 2003 copper results so there were no errors with this element. The lone over-limit molybdenum value was left untrimmed, because this result was substantiated by an ALS check assay. Results from 2003 for elements other than gold, copper and molybdenum were left untrimmed in the database.
Northern Dynasty Minerals Ltd.
2023 Amended Technical Report on the
Pebble Project, Southwest Alaska
| Page 97 |

Norwest Corporation reported on additional data verification done in conjunction with the resource estimate in a technical report dated the February 20, 2004. “Norwest received, from Northern Dynasty, the initial Pebble drill hole database in the form of an assay, collar, downhole survey and geology file. An audit was undertaken of 5% of the data within these files. Digital files were compared to original assay certificates and survey records. It was determined that the downhole survey file had an unacceptable number of errors. The assay file had an error rate of approximately 1.2%. This was considered acceptable for this level of study.” These errors were investigated and subsequently corrected by Northern Dynasty.
The ongoing error-trapping and verification process for drill hole data collected from 2004 to 2019 is described in Section 11.7.1. Typically, validation and verification work was completed within a few months of completion of a drill hole, although some QA/QC issues took longer to resolve. Work at the Iliamna office consisted mostly of validating the site data entry and resolving errors that were identified. Additional validation and verification work was performed in the Vancouver office. This consisted of checking the site data tables for missing, overlapping, unacceptable and mismatching entries, and reviewing the analytical QA/QC results. During verification of the data, a low number of errors were recorded. Erroneously labelled standards in the sample log were the main source of error. Digital values not matching the analytical certificates were the next area of concern. In this case, the digital data were usually correct, as the certificates had been superseded by new results from QA/QC re-runs.
In addition to typical database validation procedures, the copper, gold and molybdenum data included in Northern Dynasty news releases prior to 2009 were manually verified against the results on the ALS analytical certificates.
A significant amount of due diligence and analytical QA/QC for copper, gold and molybdenum has been completed on the samples that were used in the current mineral resource estimate. This verification and validation work performed on the digital database provides confidence that it is of good quality and acceptable for use in geological and resource modelling of the Pebble deposit.
11.9 Conclusions
Work on the Pebble drill programs included: collar and down hole surveys, geology and geotechnical logs, density measurements, core photography, sampling and extensive analytical and QAQC work, particularly for Cu, Au, Mo, Ag and Re – the key elements of interest.
The sample preparation, security and analytical procedures performed on drill core samples are in accordance with good industry standard practices. The QP considers the sample preparation, sample security and analytical procedures on the drill core adequate in modeling the Pebble deposit and in support of this Technical Report..
Northern Dynasty Minerals Ltd.
2023 Amended Technical Report on the
Pebble Project, Southwest Alaska
| Page 98 |

12.0 DATA VERIFICATION
12.1 David Gaunt Data Verification
QP David Gaunt was involved in the due diligence program and conducted the original modelling of the deposit prior to its acquisition by Northern Dynasty in 2001. He has been directly involved in resource estimation of the project continuously since that time. In this capacity he has worked directly with site personnel including QA/QC supervisors, project geologists, engineering personnel, data loggers, and other management personnel. QP David Gaunt either authored or supervised all resource estimates completed on the project from 2003 through to 2022 and has extensive knowledge of this work. QP David Gaunt has conducted numerous site visits to review aspects of the program such as drilling, sample procedures, geological interpretation, and QA/QC status. The most recent visit to site was conducted in 2010. All aspects of the project pertinent to resource estimation were deemed to be of suitable standard.
In the months immediately prior to the completion of this technical report, QP David Gaunt extensively reviewed all aspects of the resource estimate. This included a detailed review of the analytical QA/QC to ensure informing drill hole data was fully validated. The approach to dataset domaining was reviewed to ensure that domain accurately reflected the prevailing geologic understanding of the deposit and effectively partitioned the data into coherent, singular populations. Descriptive statistics were reviewed and top cuts revisited to ensure high grades samples were not disproportionately affecting block estimates. Variography and kriging parameters for all metals were validated and correlation parameters for molybdenum and rhenium were checked. Classification criteria and resultant 3D volumes were reviewed to ensure appropriate classification of interpolated blocks, as were inputs for the reasonable prospects Lerchs Grossman shell to define the resource tally.
Subsequent verification analyses on estimated grades lends credence to their accuracy, spatial distribution and correspondence with informing drill data.
12.2 James Lang Data Verification
QP James Lang has been directly involved in the acquisition, curation, and review of geological, exploration, drilling, and other related types of data on the Pebble Project from 2003 to the effective date of this report. He was physically on the Project site every year through 2019 for a total of over 650 days. His most recent visit to the Project was for three days in September 2019, to guide a technical review of the project by a third party. Prior to 2007, QP Lang completed numerous, specialized geological studies of both the Pebble deposit and the surrounding environs for Northern Dynasty. From 2007-2010, QP Lang was on-site Chief Geologist for the Project on behalf of Northern Dynasty and the Pebble Partnership, supervising the geology team and their activities, including QA/QC oversight of their data collection methods, supervision of geometallurgical and metal deportment studies, modeling in support of deposit delineation and exploration, and characterization of the physical and mineralogical properties of the deposit. QP Lang was a member of the Geology and Exploration Technical Committee of the Pebble Partnership from 2007-2013. Since 2013, QP Lang has remained responsible for the limited geological activities that have occurred on the Project and the curation of geological data.
Northern Dynasty Minerals Ltd.
2023 Amended Technical Report on the
Pebble Project, Southwest Alaska
| Page 99 |

Verification of the geological data presented in this Report was achieved by three primary means. Firstly, by the direct participation of QP Lang in the acquisition of much of the data used in this Report, secondly by his historical and ongoing custodianship of the geological data and its review in the context of newly acquired analytical data presented and regional context provided by third-party studies referenced in this Report, and thirdly by thorough review of all sections of this report for which he is responsible. During the period from 2003 until present, there have been no limitations placed on the ability of QP Lang to verify the data used herein, and there have been no material failures in the verification of said data. QP Lang deems these data to be appropriate to and adequate for the purposes of this Report.
12.3 Eric Titley Data Verification
QP Eric Titley was involved in the due diligence program on exploration conducted by Teck that ultimately resulted in the acquisition of the Pebble Project by Northern Dynasty in 2001. He has been directly involved in the exploration, drilling, sampling, analytical, QA/QC and data management programs of the Pebble Project on behalf of Northern Dynasty and Pebble Partnership continuously since then. Northern Dynasty and Pebble Partnership systematically validated and verified results from its exploration programs on the Pebble Project as they progressed between May 2002 and October 2019. QP Eric Titley supervised the analytical, QAQC and data management aspects of these programs on behalf of Northern Dynasty and Pebble Partnership and has extensive knowledge of this work. QP Eric Titley conducted site visits, most recently in September 2011, to review the ongoing drilling, sampling, and analytical QA/QC operations. All aspects of these programs were deemed to be of a suitable standard.
QP Eric Titley extensively reviewed and re-assessed the drill hole database used in the current resource estimate. This involved detailed comparison of the resource database with original source records that support it, including a number of original laboratory assay certificates. A high level of concordance between the resource database and the original source records was indicated by this study. In addition, over 900 original assay pulps from the 1991 through 2005 drill programs within the current resource area were retrieved and subject to multi-element analysis. Re-analysis results included copper, molybdenum, silver and rhenium. The new copper, molybdenum and silver analyses compare with the original assays to an acceptable level. The 900 plus new rhenium analyses were used to upgrade the data support for this element in the resource database. Immediately prior to completion of this technical report, QP Eric Titley reviewed and checked several components of the drill hole database compiled for the Pebble Project to confirm its veracity. In the QP’s opinion the data is adequate for the purposes used in this technical report.
12.4 Hassan Ghaffari Data Verification
QP Hassan Ghaffari was involved in the metallurgical testwork review, metal recovery projections, and processing design since 2012 when Tetra Tech was retained by Northern Dynasty to conduct an internal engineering study for the Pebble Project. He also supervised Ting Lu, PEng during the preparation of Section 13, Mineral Processing and Metallurgical Testing, of the 2014, 2018, and 2020 technical reports for Northern Dynasty.
Northern Dynasty Minerals Ltd.
2023 Amended Technical Report on the
Pebble Project, Southwest Alaska
| Page 100 |

In his QP’s capacity, QP Hassan Ghaffari has reviewed the relevant mineral processing and metallurgical test reports that were completed by reputational commercial laboratories and leading processing equipment manufacturers. QP Hassan Ghaffari has conducted due diligence by reviewing the background, procedures and results of the testing programs. He analyzed original test data and communication documents to verify the test results for metal recovery projections. All aspects of these programs were deemed to be of suitable standard.
In the months immediately prior to the completion of this technical report, QP Hassan Ghaffari extensively reviewed all aspects of the test results regarding rhenium distributions and recovery methods, as well as the projected rhenium recovery based on the results of the conventional flotation tests.
In the QP Hassan Ghaffari’s opinion, the verification work conducted for the testwork review and metal projections is adequate for the purposes used in this technical report.
12.5 Stephen Hodgson Data Verification
QP Stephen Hodgson has served many years in engineering leadership positions for the Pebble Project, including studies of the project in 1991 and 1992 for a previous owner. He joined Northern Dynasty as Vice President Engineering in 2005 and has been engaged in the project since that time, managing engineering studies. With the creation of the Pebble Partnership in 2007, he was Director of Engineering until 2011. Between 2011 and 2013, he served as a member of the project’s Steering Committee and resumed the engineering leadership role in 2013. In 2017, he was named Senior Vice President Engineering and Project Director for the Pebble Partnership with responsibility for the technical aspects of the project, including oversight of the development of the Project Description. He left that role in 2021 and continues as Vice President Engineering for Northern Dynasty.
QP Hodgson has visited the Pebble site many times, the most recent occasion in October 2019 to observe and oversee the collection of engineering and other data for project design for the environmental assessment process. He has interacted continuously with the Geological team during his tenure with Northern Dynasty and Pebble Partnership, including collaborating in the development of enclosing pits to define resources. QP Hodgson has reviewed all sections of this report and discussed the information presented by each of the authors.
During his tenure as Senior Vice President Engineering and Project Director for the Pebble Partnership, QP Hodgson interacted continuously with the members of the Pebble Partnership team responsible for the NEPA permitting process.
QP Hodgson’s opinion is, given his tenure on and in-depth knowledge of the Pebble Project and his interaction with the geological and resource teams, these data are appropriate and adequate for the purposes of this technical report. His interaction with the permitting team supports his opinion the information provided in Section 16.5 provides a reasonable account of the permitting status of the project.
Northern Dynasty Minerals Ltd.
2023 Amended Technical Report on the
Pebble Project, Southwest Alaska
| Page 101 |

13.0 MINERAL PROCESSING AND METALLURGICAL TESTING
Metallurgical testwork for the Pebble Project was initiated by Northern Dynasty in 2003, and continued under the direction of Northern Dynasty until 2008. From 2008 to 2013, metallurgical testwork progressed under the direction of the Pebble Partnership. During the same period, geometallurgy studies were conducted by Pebble Partnership and continued until 2012. This section includes testwork review with a focus on tests completed from 2011 to 2014, geometallurgical studies, and an updated metal recovery projection. The testwork conducted prior to 2011 supported the subsequent effort, with the results of that later work used as the basis of the metallurgical assessment. However, the scope of the earlier work and its results are summarized in this section.
13.1 Test Programs Summary
Metallurgical testwork between 2005 and 2012 for the Pebble Project can be divided into three stages. The first stage testwork was conducted from 2003 to 2005 to understand the metallurgical response of the mineralized materials and to develop a baseline process flowsheet. The second stage testwork, conducted between 2006 and 2010, was performed to optimize the baseline flowsheet on variability samples and to investigate appropriate processing methods to improve metal recoveries. The third stage testwork from 2011 to 2014 was focused on metallurgical verification tests on samples representing each metallurgical domain at the property in batch, pilot, and locked cycle tests. Additional testwork conducted at this stage included evaluations of the performance of a secondary gold recovery plant, which has now been removed from the proposed process plant, and pressure oxidation of molybdenum concentrates to recover molybdenum and rhenium, and the subsequent metal extractions.
13.1.1 2003 to 2005 Testwork
The first stage metallurgical testwork was performed by different laboratories. Vancouver based Process Research Associates Ltd (PRA) testwork was preliminary in nature, which was followed by testwork completed by G&T Metallurgical Services Ltd. (G&T) in Kamloops, BC. Based on their test results, a comprehensive metallurgy test program was carried out at SGS Lakefield (SGS) laboratories located in Lakefield, ON. The basic flowsheet from PRA was optimized by testing on primary grind size, regrind size, flotation and gold leaching. In addition, comminution data were obtained from samples covering all of the lithology and alteration combinations in the mineral resource. A few miscellaneous tests were also performed including settling and filtration and concentrates properties. The SGS test results demonstrated that marketable concentrate over 26% copper could be obtained and production of molybdenum as a separate concentrate and gold doré by leaching were viable.
13.1.2 2006 to 2010 Testwork
The second stage metallurgical testwork, conducted between 2006 and 2010, covered comminution, gravity separation, flotation, leaching, settling tests and other miscellaneous testwork as listed in Table 13‑1. The main purpose of the testwork was to optimize the process flowsheet to incorporate supergene mineralization from the western portion of the Pebble deposit, and to explore the performance variability of composite samples from Pebble West zone and Pebble East zone mineralization.
Northern Dynasty Minerals Ltd.
2023 Amended Technical Report on the
Pebble Project, Southwest Alaska
| Page 102 |

Table 13‑1 Testwork Programs and Reports 2006 to 2010
| Test Program | Laboratory | Report Date |
| Metal Recoveries Related Programs: Comminution/Flotation/Leaching Tests | ||
| Screen Analysis Data on Rod Mill Feed | Phillips Enterprises, LLC | Apr 17, 2008 |
| Rod Mill Grindability Test Data | Phillips Enterprises, LLC | Apr 18, 2008 |
| Screen Analysis Data on Rod Mill Product | Phillips Enterprises, LLC | May 13, 2008 |
| Bond Abrasion Test Data | Phillips Enterprises, LLC | Apr 22, 2008 |
| Ball Mill Grindability Test Data | Phillips Enterprises, LLC | Jun 6, 2008 |
| Screen Analysis Data on Ball Mill Feed | Phillips Enterprises, LLC | Jun 10, 2008 |
| Screen Analysis Data on Ball Mil Product | Phillips Enterprises, LLC | Jun 24, 2008 |
| Mail to the Pebble Partnership c/o Mr. Alex Doll, Final Report of Comminution QA/QC Testing | Phillips Enterprises, LLC | Jul 18, 2008 |
| Technical Memorandum to Steve Moult of Pebble Partnership, Grinding Throughput Calculation Procedure for Mine Production Schedules | DJB Consultants Inc (DJB) | Sep 30, 2008 |
| E-Mail Transmission, Compare JK SimMet SABC-A and SABC-B Throughput Prediction to Morrell Total Power Calculation for Selected 2010 SMC Samples; Also, Morrell HPGR Predictions | Contract Support Services | Jan 21, 2010 |
| E-Mail Transmission, Final Report, Pebble LOM Simulations, Years 1 to 13: SABC-A vs. SABC-B Circuit Options | Contract Support Services | Apr 7, 2010 |
| E-Mail Transmission, Final Report, Pebble LOM Simulations, Years 1 to 25: SABC-A vs. SABC-B Circuit Options | Contract Support Services | Apr 29, 2010 |
| E-Mail Transmission, Summary of Results, Pebble LOM Simulations: Years 1–45: SABC-A Revision B, Correct Year 8 Throughput | Contract Support Services | Dec 30, 2010 |
| E-Mail Transmission, Summary of Results, Pebble LOM Simulations, Years 1–45: SABC-B Circuit Option, Comparison with SABC-A | Contract Support Services | Dec 30, 2010 |
| An Investigation into the Recovery of Copper, Gold, and Molybdenum by Laboratory Flotation from Pebble Samples. Project 10926-008 Report #1 | SGS Lakefield | Jul 6, 2006 |
| An Investigation into Copper, Gold, and Molybdenum Recovery from Pebble East Phase I Composites. Project 11486-003 Report #1 | SGS Lakefield | Jun 30, 2009 |
| An Investigation into Bulk Flotation of Pebble East and West Composites, Project 11486-003 Report #2 | SGS Lakefield | Jun 26, 2009 |
| An Investigation into Aging of Pebble East Phase I Samples. Project 11486-003 Report #3 | SGS Lakefield | Jun 30, 2009 |
| Tank Cell e500 Mechanical Testwork | Outotec | Mar 11, 2010 |
Northern Dynasty Minerals Ltd.
2023 Amended Technical Report on the
Pebble Project, Southwest Alaska
| Page 103 |

| Test Program | Laboratory | Report Date |
| Copper Sulphide Jar Mill Testing Test Plant Report #20002007 | Metso | Apr 12, 2010 |
| An Investigation into the Recovery of Copper, Gold, and Moly from Pebble East and West zones. Project 12072-002 Report #2 | SGS Lakefield | Dec 21, 2009, Jan 24, 2010 |
| Determination of GRG Content Final Report Revised # T1144 | COREM | May 27, 2010 |
| Gravity Modelling Report Project # KRTS 20587 | Knelson Research & Technology Centre | Aug 17, 2010 |
| Settling Tests | ||
| Summary of High Rate Thickening Test Results Tailings Samples | Outotec | Apr 2, 2010 |
| Outotec Thickener Interpretation and Recommendations for Test Data Report TH-0493 | Outotec | Apr 9, 2010 |
| Thickener Test Data Report # TH-0493 | Outotec | Apr 9, 2010 |
| Thickener Test Data Report # TH-0493_R1 | Outotec | Apr 16, 2010 |
| Thickener Test Data Report # TH-0497 | Outotec | Jun 2, 2010 |
| Outotec Thickener Interpretation and Recommendations for Test Data Report TH-0497 | Outotec | Jun 17, 2010 |
| Filtration Tests | ||
| Test Report 12875T1 Pebble Partnership | Larox | Mar 8, 2010, Apr 7, 2010 |
| Rheology Tests | ||
| Report of Investigation into The Response of the Pebble Project Rougher Tailings to Sedimentation and Rheology Testing | FL Smith | Mar 2010 |
The major observations from the second testwork campaign are summarized as follows:
|
| · | Bulk flotation testwork was intended to optimize the flowsheet to treat the supergene and transition zones in Pebble West. Most samples achieved the 26% copper concentrate target, in the variability tests and the locked cycle tests. |
|
|
|
|
|
| · | Copper-molybdenum locked cycle separation tests demonstrated, of the circuit feed, more than 99% of the copper was recovered to copper concentrate and 92.6 to 98.4% of the molybdenum was recovered to molybdenum concentrate. |
|
|
|
|
|
| · | The molybdenum concentrate, obtained from the last cleaner stage of the open circuit tests, was found to contain significant rhenium, with grades ranging up to 960 g/t, and the copper content observed was between 1.8% and 5.9%. |
|
|
|
|
|
| · | Gravity recoverable gold (GRG) was determined to optimize gravity gold recovery. The obtained recovery was similar to previous testwork. |
|
|
|
|
|
| · | Pyrite flotation was conducted with pyrite concentrate subjected to gold leaching tests. The average gold extraction was 55% by leaching for 48 hours. |
|
|
|
|
|
| · | Other metallurgical testwork conducted in this period included tailings thickening, regrinding jar tests, and copper concentrate thickening and filtration. |
Northern Dynasty Minerals Ltd.
2023 Amended Technical Report on the
Pebble Project, Southwest Alaska
| Page 104 |

13.1.3 2011 to 2013 Testwork
The Pebble Partnership continued metallurgical testwork during 2011 and 2013. The major goals of the 2011 and 2013 testwork program were as follows:
|
| · | Complete QEMSCAN (Quantitative Evaluation of Materials by Scanning Electron Microscopy) analysis of the variability sample inventory to support geometallurgical studies; |
|
|
|
|
|
| · | Conduct additional flotation variability tests to ensure samples of each metallurgical domain type are represented; |
|
|
|
|
|
| · | Conduct continuous flotation testwork to generate product for downstream testwork |
|
|
|
|
|
| · | Conduct testwork related with the design of the secondary recovery gold plant, which has subsequently been removed from the process design and will not be discussed in detail herein; and |
|
|
|
|
|
| · | Perform an initial program to test a Molybdenum Autoclave Process (MAP) on Pebble concentrates for molybdenum and rhenium recovery. |
Northern Dynasty Minerals Ltd.
2023 Amended Technical Report on the
Pebble Project, Southwest Alaska
| Page 105 |

Table 13‑2 Subsequent Testwork Programs and Reports, 2011 to 2014
| Test Program | Laboratory | Report Date |
| Metal Recoveries – Comminution/Flotation/Leaching | ||
| An Investigation into Ultrafine Grinding of Pilot Plant Concentrates from the Pebble Deposit | SGS Lakefield | Feb 9, 2011 |
| An Investigation into the Grindability Characteristics of a Single Sample W-214-215 from the Pebble West zone | SGS Lakefield | Apr 6, 2011 |
| Continuous Flotation of Five Composites from the Pebble Deposit | SGS Lakefield | Jun 21, 2011 |
| Copper Molybdenum Separation Testing on a Pebble Bulk Concentrate | G&T Metallurgical Services Ltd. | Sep 22, 2011 |
| An Investigation into the Recovery of Copper, Gold, and Molybdenum from the Pebble Deposit; Incomplete; Progress Report, Project 12072-003 and -007 | SGS Lakefield | Jan 24, 2012 |
| Concentrate Quality | ||
| An Investigation by High Definition Mineralogy into the Mineralogy Characteristics of Five Concentrate Samples from Five Different Composites | SGS Lakefield | Mar 23, 2011 |
| An Investigation into a Deportment Study of Gold in Eight Samples from the Pebble Gold zone | SGS Lakefield | Jun 17, 2011 |
| An Investigation by High Definition Mineralogy into the Mineralogy Characteristics of Eight Products of Three Pilot Plant Samples | SGS Lakefield | Jun 23, 2011 |
| Filtration | ||
| Filtration Test Report | Outotec | Jun 17, 2011 |
| Rheology Tests | ||
| Grinding Transfer Stream Rheology Testwork Report, Report # PBL-5172 R02 Rev 0 & Rev 1 | Paterson & Cooke | Sep 2011, Oct 2011 |
| Bulk Tailings Rheology Testwork Report. Report # 4303207-25-RP-002 | Paterson & Cooke | Nov 2011 |
| An Investigation into the Recovery of Copper, Gold, and Molybdenum from the Pebble Deposit; Incomplete; Final Report, Project 12072-003 and -007 | SGS Lakefield | Sep 24, 2014 |
13.2 Comminution Tests
` 13.2.1 Bond Grindability Tests
The Bond rod mill index (RWi) and Bond ball mill work index (BWi) are listed in Table 13‑3 and, Table 13‑5, respectively.
Northern Dynasty Minerals Ltd.
2023 Amended Technical Report on the
Pebble Project, Southwest Alaska
| Page 106 |

Table 13‑3 Pebble West Rod Mill Data Comparison, SGS January 2012**
|
| RWi (kWh/t) | |||
| Core Year | 2004 | 2005, 2006 | 2008 | 2011 |
| Composites | - | W1 to W177 | W178 to W394 | W395 to W445 |
| Year Tested | 2005 | 2008, 2010, 2011 | 2009, 2010, 2011 | 2011 |
| Results Available | 295 | 47 | 19 | 3 |
| Average | 15.6 | 14.4 | 13.0 | 15.3 |
| Minimum* | 9.7 | 10.1 | 11.0 | 11.6 |
| Median | 15.3 | 14.0 | 12.8 | 12.6 |
| Maximum* | 24.3 | 20.4 | 19.5 | 21.7 |
| Notes: | *Minimum and maximum refer to softest and hardest values for the grindability test. |
|
| **Drilled samples are from the Pebble West zone at a grind particle size of 1.4 mm or 14 mesh. |
Table 13‑4 Pebble West Ball Mill Data Comparison, SGS January 2012**
|
| BWi (kWh/t) | |||
| Core Year | 2004 | 2005, 2006 | 2008 | 2011 |
| Composites | - | W1 to W177 | W178 to W394 | W395 to W445 |
| Year Tested | 2005 | 2008, 2010, 2011 | 2009, 2010, 2011 | 2011 |
| Results Available | 295 | 57 | 72 | 2 |
| Average | 14.2 | 14.0 | 13.4 | 11.7 |
| Minimum* | 7.7 | 8.4 | 8.0 | 11.4 |
| Median | 14.0 | 13.7 | 12.7 | 11.7 |
| Maximum* | 22.1 | 21.7 | 20.4 | 12.1 |
| Notes: | *Minimum and maximum refer to softest and hardest values for the grindability test. |
|
| **Drilled samples are from the Pebble West zone, at a grind particle size of 0.147 mm or 100 mesh for the 2005 tests, and 0.204 mm/65 mesh for the remaining tests. |
13.2.2 Bond Low Energy Impact Tests
Comminution testwork was carried out on samples collected between 2004 and 2010, and summarized in the January 2012 SGS report. These data are reproduced in Table 13‑5 through Table 13‑8. The testwork completed is considered to be representative of the deposit.
Northern Dynasty Minerals Ltd.
2023 Amended Technical Report on the
Pebble Project, Southwest Alaska
| Page 107 |

Table 13‑5 shows the Bond low-energy impact test results on Pebble West zone samples. The tests were completed by Philips Enterprises, LLC under the supervision of SGS.
Table 13‑5 Bond Low-Energy Impact Test Results, SGS January 2012
|
| CWi (kWh/t) | Rock Density g/cm3 | ||
| Average | Minimum | Maximum | ||
| Average* | 9.9 | 5.3 | 17.8 | 2.52 |
| Minimum | 3.7 | 1.6 | 8.1 | 2.38 |
| Median | 10.0 | 5.3 | 17.7 | 2.54 |
| Maximum | 15.6 | 10.5 | 33.9 | 2.68 |
Note: *Average of 22 drilling samples from Pebble West zone.
13.2.3 SMC Tests
The SAG Mill Comminution (SMC) test is to provide impact breakage parameters in a cost-effective means when a full drop weight test JK Drop-Weight test is not available due to the limited sample quantities. Additional SMC tests were conducted on Pebble West and Pebble East drill core samples in 2012. The major test results including the direct measurements of sample densities and JK Drop-Weight index (DWi), the calculated JK rock breakage parameters A x b, and the t10 values are summarized in Table 13‑6 for Pebble West zone and Table 13‑7 for Pebble East samples. Test results since 2004 are also presented.
Table 13‑6 Major SMC Data Comparison on Pebble West Samples-SGS Test Report Sept.2014
|
| DWi kWh/m3 | A x b | t10@1kWh/t | Density (g/cm3) | |||||||||||
| Core Years | 2005, 2006 | 2008 | 2011 | 2004 | 2005, 2006 | 2008 | 2011 | 2005, 2006 | 2008 | 2011 | 2004 | 2005, 2006 | 2008 | 2011 | |
| Comp | W1 to W177 | W178 to W394 | W395 to W445 | - | W1 to W177 | W178 to W394 | W395 to W445 | W1 to W177 | W178 to W394 | W395 to W445 | - | W1 to W177 | W178 to W394 | W395 to W445 | |
| Years Tested | 2008, 2010, 2011 | 2009, 2010, 2011 | 2011 | 2005 | 2008, 2010, 2011 | 2009, 2010, 2011 | 2011 | 2008, 2010, 2011 | 2009, 2010, 2011 | 2011 | 2005 | 2008, 2010, 2011 | 2009, 2010, 2011 | 2011 | |
| Results Available | 53 | 64 | 15 | 47 | 53 | 64 | 15 | 53 | 64 | 15 | 47 | 53 | 64 | 15 | |
| Average | 6.46 | 6.12 | 6.94 | 45.7 | 44.0 | 50.1 | 43.6 | 31.8 | 34.8 | 31.3 | 2.59 | 2.60 | 2.60 | 2.62 | |
| Minimum* | 2.74 | 1.79 | 2.61 | 98.3 | 89.4 | 135.2 | 98.9 | 46.5 | 62.3 | 48.1 | 2.49 | 2.43 | 2.38 | 2.44 | |
| Median | 5.93 | 5.78 | 7.47 | 43.1 | 43.2 | 45.6 | 35.9 | 31.7 | 33.6 | 29.7 | 2.59 | 2.62 | 2.59 | 2.64 | |
| Maximum* | 11.5 | 10.9 | 11.1 | 26.0 | 24.0 | 26.1 | 24.5 | 21.3 | 22.8 | 21.5 | 2.89 | 2.76 | 2.90 | 2.74 | |
Notes: * Minimum and maximum refer to softest and hardest values for the grindability test.
Northern Dynasty Minerals Ltd.
2023 Amended Technical Report on the
Pebble Project, Southwest Alaska
| Page 108 |

Table 13‑7 Major SMC Data Comparison on Pebble East Samples-SGS Summary Report Sept.2014
|
| DWi kWh/m3 | A x b | t10@1kWh/t | Density (g/cm3) | |||||||||
| Phase | I | II | III | I | II | III | I | II | III | I | II | III | |
| Results Available | 134 | 182 | 44 | 134 | 182 | 44 | 134 | 182 | 44 | 134 | 182 | 44 | |
| Average | 4.93 | 6.16 | 3.88 | 57.9 | 45.7 | 75.3 | 40.1 | 33.1 | 46.2 | 2.61 | 2.59 | 2.59 | |
| Minimum* | 1.69 | 2.59 | 1.61 | 150 | 98.3 | 158.8 | 68.8 | 51.2 | 70.6 | 2.50 | 2.49 | 2.53 | |
| Median | 4.85 | 6.04 | 3.79 | 54.3 | 43.1 | 68.1 | 39.5 | 32.3 | 45.0 | 2.61 | 2.59 | 2.58 | |
| Maximum* | 8.81 | 10.3 | 6.3 | 30.0 | 26.0 | 41.5 | 25.9 | 22.7 | 31.6 | 2.87 | 2.89 | 2.69 | |
Notes: * Minimum and maximum refer to softest and hardest values for the grindability test.
13.2.4 MacPherson Autogenous Grindability Tests
Two variable samples from the Pebble West zone were blended and sent to SGS Lakefield for MacPherson autogenous grindability tests. The test results are shown in Table 13‑8. The composite sample was categorized as medium with respect to the throughput rate, the specific energy input, and the final grind. The composite sample is near the median of the Pebble West distribution for A x b, DWi and BWi.
Table 13‑8 MacPherson Autogenous Grindability Test Results, SGS January 2012
| Sample | Feed Rate (kg/h) | F80 (µm) | P80 (µm) | Gross Work Index (kWh/t) | Correlated Work Index (kWh/t) | Gross Energy Input (kWh/t) | Hardness Percentile |
| W214/215 | 12.4 | 22,176 | 331 | 13.6 | 12.6 | 6.5 | 31 |
13.3 Flotation Concentration Tests
Focusing on the on-site production of three final products, namely copper concentrate, molybdenum concentrate and gold gravity concentrate, flotation tests conducted on Pebble since 2011 primarily consisted of:
|
| · | bulk flotation to produce a copper-molybdenum flotation concentrate with associated gold and rhenium; |
|
|
|
|
|
| · | molybdenum flotation to produce the final copper concentrate and molybdenum concentrate; and, |
|
|
|
|
|
| · | pyrite flotation with the concentrate being subjected to cyanide leaching; however, cyanide leaching has been removed from the proposed processing method for the Pebble deposit. |
Northern Dynasty Minerals Ltd.
2023 Amended Technical Report on the
Pebble Project, Southwest Alaska
| Page 109 |

Other separation techniques were also tested at a preliminary level to optimize metal recoveries and concentrate grades, including:
|
| · | gravity recoverable gold (GRG) tests (section 13.4); |
|
|
|
|
|
| · | sulphidization, acidification, recycling, and thickening (SART) process tests to recover copper from leaching circuit residue. SART test results are not included due to removing cyanide applications in the process design; and |
|
|
|
|
|
| · | pressure oxidation tests conducted on molybdenum flotation concentrates and metal extractions to recover molybdenum and rhenium (Section 13.5). |
13.3.1. Recovery of Bulk Flotation Concentrate
13.3.1.1 FLOTATION KINETICS AND PRELIMINARY OPTIMIZATION
In 2011 and 2012 test programs, SGS investigated flotation kinetic properties. Both rougher flotation and first cleaner flotation were tested on various samples; pH value, reagent type/dosage/addition points and pulp density factors were varied in order to determine optimized conditions for subsequent batch cleaner and locked-cycle tests.
The 2011 program focused on bulk rougher kinetics tests on composite samples representing supergene and hypogene rock types. The 2012 program included rougher flotation kinetics on the individual variability sample W182, representing supergene, and four domain composite samples, namely K-silicate, supergene, sodic potassic and illite-pyrite. Additional first cleaner kinetics was also investigated on the four domain samples.
The observations from the two programs are summarized as follows:
|
| · | Rougher pH Level (SGS 2011) | |
|
|
|
|
|
|
|
| - | By increasing pH values of the rougher flotation stage to about 8.5, metal recoveries to rougher concentrate can be significantly increased. This was attributed to the low average natural pH value of the four sample types (i.e., 5.8, 5.7, 7.2 and 6.2). |
|
|
|
|
|
|
| · | Rougher Reagent Dosage and Addition Points (SGS 2011) | |
|
|
|
|
|
|
|
| - | A rougher flotation collector comparison was made between using only potassium ethyl xanthate (PEX) as the collector versus PEX with the promoter (AERO 3894) added. It was observed that metal recoveries increased for supergene with the addition of AERO 3894; however, metal recovery increases were not demonstrated for other samples. |
|
|
|
|
|
|
|
| - | Collector dosages for PEX and AERO 3894 were tested at 27.5 g/t and 45 g/t, respectively. The results indicated that adding 27.5 g/t PEX was sufficient for the first two rougher stages. The optimized retention time is about 12 minutes for the rougher stage. |
|
|
|
|
|
|
| · | Rougher Sulphidization (SGS 2012) | |
|
|
|
|
|
|
|
| - | Tests on sample W182 were performed to investigate the effect in the rougher stage of using sodium hydrosulphide (NaHS) to achieve a target of a reduction potential (-140 mV measured with silver/silver cleaner) electrode. There were no observed effects on metal recoveries to the rougher concentrate. |
Northern Dynasty Minerals Ltd.
2023 Amended Technical Report on the
Pebble Project, Southwest Alaska
| Page 110 |

|
| · | Rougher Pulp Density (SGS 2012) | |
|
|
|
|
|
|
|
| - | Tests on one composite sample indicated that reducing pulp density from 30 to 25% improved gold and molybdenum recovery significantly, while copper recovery was unaffected. |
|
|
|
|
|
|
| · | Flotation Rate (SGS 2011/2012) | |
|
|
|
|
|
|
|
| - | The supergene sample was found to be the slowest to recover copper, gold and molybdenum in the rougher flotation stage and the K-silicate sample the fastest. The indicated retention time for rougher flotation is approximately 12 minutes. At the first cleaner stage, all samples presented similar flotation rates in terms of copper recovery, with the molybdenum recovery rate being the slowest. The retention time indicated by the tests for first cleaner flotation is six minutes. |
13.3.1.2 FLOTATION TESTS ON VARIABILITY SAMPLES
SGS has conducted significant flotation testwork since mid-2009 on both the Pebble West and Pebble East zones. The baseline flowsheet is shown in Figure 13‑1. The target pH value for the rougher flotation stage was set at 8.5, and the P80 feed particle size was about 200 µm. The regrind size, reagent dosage and types and pH levels in the cleaner flotation stage were varied across the testwork in order to determine the optimal copper grade of the bulk concentrate.
SGS conducted batch cleaner tests on 146 variability samples from the Pebble West and Pebble East zones. The variability samples represented the flotation domains as described in Section 13.3.1, and should be considered representative of the mineralized material. Five of the variable batch cleaner tests were performed on the low copper grade samples. At an average feed grade of 0.16% copper, a bulk concentrate containing about 29.3% copper can be recovered at a 68.1% recovery. This indicates that a saleable concentrate can be produced from low-grade mineralized material.
SGS also performed locked-cycle tests on 107 variability samples from the Pebble West and Pebble East zones, the results of which are summarized in Table 13‑9. The average metal recoveries were higher than with the batch tests, while the metal grades of the concentrates were slightly lower. Three duplicate locked-cycle tests were performed, with results in a similar range to those obtained from the variable locked-cycle tests.
Northern Dynasty Minerals Ltd.
2023 Amended Technical Report on the
Pebble Project, Southwest Alaska
| Page 111 |

Figure 13‑1 Basic Testwork Flowsheet, SGS 2011

Table 13‑9 Summary of Locked-Cycle Test Variability Test Results

Samples from ten LCT tests were submitted for rhenium and silver assays to complete a mass balance. The recoveries of rhenium and silver to the 3rd cleaner concentrate was calculated as 73.4% and 62.7%, respectively, as shown in Table 13‑10. A linear relationship between the recovery of molybdenum and rhenium can be observed on the ten sets of data. This can be attributed to the rhenium occurrence as a solid substitution for molybdenite atoms on the molybdenite lattice structure (SME, 2018).
Northern Dynasty Minerals Ltd.
2023 Amended Technical Report on the
Pebble Project, Southwest Alaska
| Page 112 |

Table 13‑10 Locked-Cycle Test Results on Pebble Variability Samples, SGS 2014
| Test #/Composite | Cu/Mo Concentrate Grade, %, g/t | Cu/Mo Concentrate Recovery % | ||||||||
|
| Cu | Au | Mo | Ag | Re | Cu | Au | Mo | Ag | Re |
| LCT1/W182 | 28.8 | 12.3 | 0.38 | 69 | 9.7 | 67.2 | 41.4 | 43.8 | 29.6 | 42.0 |
| LCT4/W265 | 30.5 | 33.9 | 0.67 | 76 | 10.0 | 82.2 | 68.6 | 68.6 | 48.9 | 58.5 |
| LCT7/W223 | 27.3 | 21.7 | 0.7 | 60 | 18.4 | 72.7 | 67.8 | 74.7 | 62.9 | 76.3 |
| LCT41/W181 | 31.9 | 24.6 | 0.31 | 90 | 6.0 | 73.0 | 56.5 | 51.5 | 62.9 | 45.9 |
| LCT62/V101 | 31.2 | 11.4 | 0.45 | 74 | 5.3 | 93.0 | 64.9 | 82.2 | 80.8 | 83.2 |
| LCT63/V102 | 29.5 | 10.6 | 0.51 | 81 | 8.2 | 94.2 | 56.9 | 86.7 | 81.4 | 87.8 |
| LCT64/V130 | 24.2 | 18.0 | 1.80 | 104 | 32.8 | 89.3 | 61.1 | 96.4 | 74.7 | 96.3 |
| LCT66/V222 | 24.8 | 3.8 | 2.07 | 82 | 33.1 | 83.9 | 29.1 | 89.9 | 73.0 | 91.0 |
| LCT69/V263 | 24.3 | 6.0 | 1.40 | 65 | 26.3 | 84.2 | 35.7 | 67.0 | 63.1 | 71.0 |
| LCT89/W312 | 18.0 | 11.6 | 1.05 | 99 | 22.1 | 56.2 | 37.7 | 77.5 | 49.6 | 82.4 |
13.3.1.3 FLOTATION TESTS OPTIMIZATION
SGS made a few attempts to improve the copper grade in the obtained bulk concentrate for samples with high clay and/or pyrite/chalcopyrite content. SGS observed that:
|
| · | Adding sodium silicate did not appear to have a beneficial impact on the selectivity of metal recovered to rougher flotation concentrate; |
|
|
|
|
|
| · | Reducing pulp density from 35% to 28% solids improved metal recoveries, especially with molybdenum; |
|
|
|
|
|
| · | For samples high in pyrite, adding dextrin helped to achieve the desired 26% copper of bulk concentrate copper/gold/molybdenum; however, it was also noted that extra fuel oil will be required when adding dextrin. SGS also recommend considering a ratio of sulphur to copper of 10.0 to identify if dextrin addition is required; |
|
|
|
|
|
| · | The effects of regrind size, and pulp temperature were further investigated in batch cleaner flotation tests and in the locked-cycle tests. The testwork was performed by SGS in both 2011 and 2012, resulting in the following major conclusions: the investigated regrind size P80 of 15 to 58 µm had little impact on copper recovery or grades, while a finer regrind size benefitted both gold and molybdenum recovery; and, |
|
|
|
|
|
| · | There was no observed impact from changing the pulp temperature from 5°C to 25°C on metal metallurgical performance. |
SGS also compared two other frothers (HP700 and W22 C) with the primary frother, methyl isobutyl carbinol (MIBC). SGS found that the HP700 froth bed was less stable than that of the MIBC; W22 C showed better molybdenum recovery, and a lower dosage produced similar metal recoveries. SGS also compared the lower cost collector sodium ethyl xanthate (SEX) with PEX, and concluded that interchanging SEX and PEX had no effect on metal recoveries.
Northern Dynasty Minerals Ltd.
2023 Amended Technical Report on the
Pebble Project, Southwest Alaska
| Page 113 |

13.3.1.4 FLOTATION TESTS ON BULK COMPOSITES
As part of SGS’s 2011 test program, bulk flotation tests on a locked-cycle scale were conducted on illite-pyrite, carbonate and supergene composites. The purpose of this testwork was to produce large quantities of products that could be used for vendor testwork. It should be noted that the carbonate composite sample was an early geometallurgical domain type classification, and was redefined as sodic potassic in later geometallurgical studies. The locked-cycle test results are shown below in Table 13‑11 SGS observed that the illite-pyrite composite did not reach the target copper grade of 26%. SGS suspected this may be caused by a low head grade and the presence of high levels of pyrite and clay minerals.
Table 13‑11 Locked-Cycle Test Results of Bulk Samples, SGS 2012
| Composite | Regrind Size P80 µm | Cu/Mo Concentrate Grade | Cu/Mo Concentrate Recovery % | |||||
| Cu % | Au | Mo % | Cu | Au | Mo | |||
| g/t | oz/ton | |||||||
| Illite-Pyrite | 28 | 10.4 | 11.2 | 0.327 | 0.20 | 77.0 | 40.3 | 34.9 |
| Carbonate | 37 | 28.4 | 10.7 | 0.312 | 1.25 | 79.4 | 43.5 | 59.8 |
| Supergene | 38 | 27.1 | 16.0 | 0.467 | 1.64 | 70.6 | 47.3 | 70.0 |
13.3.1.5 FLOTATION TESTS ON CONTINUOUS COMPOSITES
A continuous flotation plant was utilized on five composite samples from the Pebble deposit to generate additional quantities of sample for vendor testwork. The five composites ranged in head grade from 0.28 to 0.57% Cu, from 0.30 to 0.46 g/t Au, and from 0.010 to 0.028% Mo. The main purpose of this continuous flotation testwork was to generate product for downstream testwork and to evaluate the implementation of a gravity circuit on a portion of the feed to the regrind mill.
The pilot plant was completed over a series of day shifts and continuous runs. Overall, 28 runs were completed: 17 on the commissioning, 3 on the sodic potassic, 2 on the K-silicate, 3 on the supergene, and 3 on the illite pyrite composites. The addition of a Knelson concentrator in the regrind circuit of a pilot plant was challenging due to the amount of water generated by the Knelson circuit. The additional water generated was finally managed by using a thickener to treat the Knelson tailings stream. Any further continuous testwork would ideally be completed on a higher feed rate and a sufficient amount of operation time reserved for reagent optimization. The continuous flotation results for the K-Silicate composite were close to the locked cycle test results, with the exception that molybdenum recoveries were slightly lower. The continuous flotation copper recovery for the supergene composite was higher compared to the locked cycle test result. For the remaining three composites, copper and gold recoveries were 7% lower, on average. Except for the supergene composite, molybdenum losses to the rougher tail were almost twice as high as in the locked cycle test. Final concentrate molybdenum recoveries were almost half the LCT recoveries. The molybdenum recovery to the final concentrate would likely improve with longer retention times in the 2nd and 3rd cleaning stages.
Northern Dynasty Minerals Ltd.
2023 Amended Technical Report on the
Pebble Project, Southwest Alaska
| Page 114 |

One of the main purposes of the pilot plant was to determine the amount of gold that could be recovered by adding a Knelson concentrator in the regrind circuit. The Knelson concentrator treated a 33% bleed stream from the regrind cyclone underflow. The average gold recovery to the Knelson concentrate ranged from 2.6% for the Supergene composite to 7.5% for the K-silicate composite. A comparison of metallurgical performance with and without the Knelson concentrator indicated similar overall Au recoveries to a 26% copper concentrate.
13.3.2 Separation of Molybdenum and Copper
Separation of molybdenum from copper in the bulk flotation concentrate was tested by SGS in the 2011 and 2012 programs. In addition, G&T also performed separation tests on one sample in 2011.
13.3.2.1 SGS SEPARATION WORK, 2011 AND 2012
Preliminary separation tests for molybdenum and copper were performed on three composite samples, including illite-pyrite, carbonate and supergene (SGS 2011). The locked-cycle tests in the 2011 program employed a basic flowsheet, as shown in Figure 13‑2. The cycle numbers were varied in order to achieve the target grade of a final molybdenum concentrate.
Northern Dynasty Minerals Ltd.
2023 Amended Technical Report on the
Pebble Project, Southwest Alaska
| Page 115 |

Figure 13‑2 Basic Testwork Flowsheet, SGS 2011

Northern Dynasty Minerals Ltd.
2023 Amended Technical Report on the
Pebble Project, Southwest Alaska
| Page 116 |

The 2011 program results outlined in Table 13‑12 show that only the carbonate composite achieved a molybdenum grade of 50%, while the other two composite samples were unable to produce a marketable molybdenum product. Increasing the locked cycles from 3 to 6 for the illite-pyrite composite produced only a marginal increase in molybdenum grade.
As part of the 2012 testing program, further tests to improve the molybdenum separation were conducted on four domain samples. The commissioning sample, which represented the sodic potassic domain, was used to optimize the flotation conditions required for copper-molybdenum separation. A series of open cycle and kinetic tests were conducted to establish the conditions for the commissioning composite locked cycle test. Results of the locked cycle tests are provided also in Table 13‑12.
Locked cycle test results for the latter three composites were found to be below expectation. It should be noted that the locked cycle tests conducted on the illite pyrite, sodic potassic and supergene composites were carried out without the open cycle tests to confirm conditions (due to their smaller mass compared to the commissioning composite), and by a different flotation operator than previous. Molybdenum head grades of the bulk cleaner concentrates from the three problematic domain samples were also below typical values achieved in locked cycle tests which may have contributed to the poor results. Further investigation confirmed that major molybdenum loss occurred in the rougher circuit.
Addition of the flotation reagent Sodium Hydrosulfide (NaSH) in the rougher state was found to be too high, resulting in unacceptable molybdenum depression. Adding a scavenger stage to the rougher flotation resulted in significant improvements in molybdenum recovery of approximately 15% for the sodic potassic composite, and over 30% for the illite pyrite composite. The scavenger tests were not conducted for the supergene composite due to lack of sample.
Northern Dynasty Minerals Ltd.
2023 Amended Technical Report on the
Pebble Project, Southwest Alaska
| Page 117 |

Table 13‑12 Locked-Cycle Test Results of Molybdenum Flotation, SGS 2011-2012
| Composite | Regrind Size P80 µm | Mo Concentrate | Cu Concentrate | |||||||||||||
| Grade | Recovery % | Grade | Recovery % | |||||||||||||
| Cu % | Au | Mo % | Cu | Au | Mo | Cu% | Au |
|
|
|
| |||||
| g/t | Mo | g/t | oz/ton | Mo % | Cu | Au | Mo | |||||||||
| SGS 2011 | ||||||||||||||||
| Illite-Pyrite | 28 | 5.93 | 15.4 | 0.500 | 11.6 | 0.7 | 0.9 | 32.3 | 10.5 | 11.1 | 0.324 | 0.015 | 76.3 | 39.4 | 2.6 | |
| Carbonate | 37 | 1.81 | 3.96 | 0.116 | 49.7 | 0.1 | 0.4 | 55.5 | 29.0 | 10.9 | 0.318 | 0.091 | 79.3 | 43.1 | 4.2 | |
| Supergene | 38 | 3.46 | 3.84 | 0.112 | 38.7 | 0.4 | 0.5 | 68.9 | 28.1 | 16.5 | 0.482 | 0.027 | 70.2 | 46.8 | 1.1 | |
| SGS 2012 |
|
|
|
|
|
|
|
|
|
|
|
|
|
|
| |
| Commission | - | 1.86 | 2.12 | 0.062 | 48.2 | 0.2 | 0.3 | 92.7 | 21.8 | 11.2 | 0.327 | 0.068 | 99.8 | 99.7 | 7.3 | |
| Sodic Potassic | - | 3.01 | N/A | N/A | 41.1 | 0.1 | N/A | 83.6 | 23.3 | N/A | N/A | 0.074 | 99.9 | N/A | 16.4 | |
| Illite-Pyrite | - | 3.19 | N/A | N/A | 43.5 | 0.02 | N/A | 79.8 | 23.8 | N/A | N/A | 0.14 | 99.8 | N/A | 20.2 | |
| Supergene | - | 2.42 | N/A | N/A | 43.8 | 0.1 | N/A | 86.9 | 29.8 | N/A | N/A | 0.078 | 99.9 | N/A | 13.1 | |
Notes: SGS 2011 recovery is based on the overall feed; SGS 2012 recovery is based on the circuit feed to the copper-molybdenum separation flotation.
Northern Dynasty Minerals Ltd.
2023 Amended Technical Report on the
Pebble Project, Southwest Alaska
| Page 118 |

13.3.2.2 G&T SEPARATION WORK
G&T tested molybdenum recovery from bulk flotation concentrate, using one sample of copper-molybdenum bulk concentrate (G&T 2011). The head analysis indicated that the bulk concentrate had high levels of pyrite (about 13.2%) and galena (about 0.5%). Due to the limited sample size, only two batch cleaner tests were performed on the bulk concentrate sample. A regrind stage was used in Test 1, while no regrinding was performed in Test 2. The test results are summarized in Table 13‑13.
Test 1 and Test 2 results were 50.6% and 47.6% for molybdenum grades in the final molybdenum concentrates, and recoveries were 76.2% and 74.7% molybdenum, respectively. G&T recommended further testing be considered, including locked-cycle tests and other potential reagent schedules.
Table 13‑13 Molybdenum Recovery, G&T 2011
|
| Regrind Size P80 µm | Grade | Recovery % | |||||
| Cu % | Au | Mo % | Cu | Au | Mo | |||
| g/t | oz/ton | |||||||
| Test 1 | 33 | - | - | - | - | - | - | - |
| Molybdenum Concentrate | - | 1.45 | 2.36 | 0.0689 | 50.6 | 0.1 | 0.2 | 76.2 |
| Molybdenum 3rd Cl Tail | - | 12.9 | 18.9 | 0.552 | 12.1 | 0.1 | 0.2 | 3.0 |
| Molybdenum 2nd Cl Tail | - | 24.2 | 35.4 | 1.034 | 3.89 | 1.2 | 3.1 | 6.9 |
| Molybdenum 1st Cl Tail | - | 24.3 | 27.7 | 0.809 | 1.47 | 5.3 | 10.4 | 11.3 |
| Molybdenum Ro Tail | - | 26.3 | 14.2 | 0.415 | 0.02 | 93.3 | 86.2 | 2.6 |
| Test 2 | 49 | - | - | - | - | - | - | - |
| Molybdenum Concentrate | - | 2.74 | 3.92 | 0.114 | 47.6 | 0.1 | 0.3 | 74.7 |
| Molybdenum 3rd Cl Tail | - | 14.8 | 21.2 | 0.619 | 8.18 | 0.1 | 0.2 | 1.4 |
| Molybdenum 2nd Cl Tail | - | 21.3 | 38.4 | 1.12 | 5.51 | 0.5 | 1.5 | 4.3 |
| Molybdenum 1st Cl Tail | - | 27.9 | 28.4 | 0.829 | 0.80 | 3.6 | 6.5 | 3.6 |
| Molybdenum Ro Tail | - | 26.0 | 13.9 | 0.406 | 0.12 | 95.8 | 91.5 | 16.0 |
Ro – rougher; Cl - cleaner
13.3.3 Rhenium Recovery into Molybdenum Concentrate
Rhenium will report to the molybdenum concentrate in molybdenum flotation process. A rhenium mass balance was reported by SGS in 2012 with the test results of an open circuit batch molybdenum cleaner flotation test (Table 13‑14, Mo-F13). Figure 13‑3 presents the rhenium recovery and grade data. Rhenium grade of over 900 g/t was observed in the 5th and 6th cleaner molybdenum concentrates. A linear relationship is also noticed between molybdenum recovery and rhenium recovery.
Northern Dynasty Minerals Ltd.
2023 Amended Technical Report on the
Pebble Project, Southwest Alaska
| Page 119 |

Table 13‑14 Molybdenum Open Cycle Cleaner Flotation Test Results (Mo-F13, SGS 2012)
| Products | Weight | Assays | Distributions | |||||||
| g | % | Cu % | Mo % | Au g/t | Re g/t | Cu % | Mo % | Au % | Re % | |
| Mo 6th Cl Conc | 42.9 | 1.21 | 1.59 | 49.0 | 1.75 | 926 | 0.1 | 69.2 | 0.2 | 71.4 |
| Mo 6th Cl Tail | 2.5 | 0.07 | 3.69 | 40.8 | 2.17 | 759 | 0 | 3.4 | 0 | 3.4 |
| Mo 5th Cl Tail | 5.1 | 0.14 | 5.76 | 33.9 | 3.79 | 651 | 0 | 5.7 | 0.1 | 6 |
| Mo 4th Cl Tail | 3.2 | 0.09 | 11 | 18.1 | 7.82 | 341 | 0 | 1.9 | 0.1 | 2 |
| Mo 3rd Cl Tail | 6.5 | 0.18 | 18.6 | 8.29 | 14.3 | 163 | 0.2 | 1.8 | 0.2 | 1.9 |
| Mo 2nd Cl Tail | 17.4 | 0.49 | 30.1 | 2.85 | 17.6 | 47.6 | 0.7 | 1.6 | 0.8 | 1.5 |
| Mo 1st Cl Scav Conc | 7.9 | 0.22 | 14.7 | 18.6 | 12.9 | 364 | 0.2 | 4.8 | 0.3 | 5.2 |
| Mo 1st Cl Scav Tail | 104.3 | 2.94 | 25 | 0.58 | 15.2 | 13.1 | 3.6 | 2 | 4.2 | 2.5 |
| Rougher Sc Conc | 116.9 | 3.3 | 23.8 | 1.24 | 13.3 | 24 | 3.9 | 4.8 | 4.2 | 5 |
| Rougher Scav Tail | 3235.5 | 91.3 | 20.2 | 0.046 | 10.4 | <0.2 | 91.2 | 4.9 | 89.9 | 1.2 |
| Head (calc.) | 3542.2 | 100 | 20.2 | 0.86 | 10.6 | 15.7 | 100 | 100 | 100 | 100 |
Figure 13‑3 Rhenium Grade and Recovery Relationship (SGS 2012)

13.3.4 Pyrite Flotation
The purpose of a pyrite flotation is to concentrate gold bearing sulphide minerals prior to a subsequent cyanide leach process. This pyrite flotation stage will be unlikely implemented as the cyanide leach circuit has been excluded from the processing methods for Pebble deposit. Nonetheless, the following is a brief summary of the testwork related to pyrite flotation.
Northern Dynasty Minerals Ltd.
2023 Amended Technical Report on the
Pebble Project, Southwest Alaska
| Page 120 |

A pyrite flotation step was included as part of the locked cycle variability tests. The pyrite flotation stage gold recoveries from the initial samples were found to be highly variable in a four-minute laboratory flotation process. In order to optimize the pyrite flotation metallurgy, SGS performed a series of kinetics tests on the first scavenger tailings samples generated from four domain composite samples. Results of the tests are summarized in Figure 13‑4 which shows the optimum laboratory flotation time occurs at approximately eight minutes.
Figure 13‑4 Pyrite Flotation Kinetics Test Results

13.4 Gold Recovery Tests
Both gravity concentration and cyanide leaching methods were investigated as part of metallurgical test program to recover gold from the mineralized samples.
13.4.1 Gravity Recoverable Gold Tests
Three composite samples, representing illite-pyrite, carbonate and supergene mineralization types, were tested for gravity recoverable gold potential in COREM’s facility (COREM, 2010). GRG tests were carried out on the variable samples reground to a target particle size P80 of 25 µm. Using a modified GRG test, the supergene sample had the highest GRG content of 33%, followed by illite-pyrite with 29% GRG and carbonate at 23%.
In 2011, four composite samples from the continuous testwork program were tested for gravity recoverable gold. K-silicate sample had the highest GRG potential at 49%, followed by sodic potassic (41%), supergene (33%), commissioning (26%), and illite pyrite (25%).
Northern Dynasty Minerals Ltd.
2023 Amended Technical Report on the
Pebble Project, Southwest Alaska
| Page 121 |

13.5 MAP Tests for Molybdenum and Rhenium Recovery
SGS conducted a preliminary pressure oxidation testing program on molybdenum concentrates to establish a conceptual hydrometallurgical process flowsheet for molybdenum and rhenium recovery. The testwork is named as Molybdenum Autoclave Process (MAP) testwork. The MAP testwork provides a potential processing method to recover molybdenum and rhenium utilising a hydrometallurgical method. The MAP testwork includes initial leaching tests to establish test conditions, subsequent confirmation leaching tests and metal extraction tests from pregnant leach solutions.
13.5.1 Preliminary Leaching Tests
Preliminary leaching tests were conducted in one-stage pressure oxidation (POX) leach with a Hot Cure process and in the two-stage leach including the POX/Hot Cure process plus an alkaline leach on the POX residues. The tested concentrate samples ranged from 11.6 to 47.2% Mo representing rougher to cleaner grades of the molybdenum concentrates that were composited from varied flotation tests.
A total of 21 pressure oxidation leach tests were conducted at 230 oC and 100 psi O2 for 2 hours with additional hot cure process in 14 tests, that is, to continue the leaching process at 95 oC and a normal pressure for varied time. Alkaline leaching tests were performed in the six leaching tests. Major observation from the preliminary tests are:
|
| · | The extraction of molybdenum is inferior to copper and rhenium, it also decreases with the increasing molybdenum head grade. This indicates that one-stage leaching is only applicable for low grade molybdenum concentrate (rougher concentrate). Leach on the residues seems to be required for the higher-molybdenum grade concentrates. |
|
|
|
|
|
| · | Hot Cure process and the addition of magnesium can improve the molybdenum extraction; however, leaching at a lower pulp density of 4.0% reduced from 7.5%, and the addition of copper do not help the molybdenum dissolution. |
|
|
|
|
|
| · | MoS2 and MoO3 are major molybdenum species with small amounts of FeMoO4 in hot cure resides that is the feed to the alkaline leach; MoS2 is the only molybdenum components in the alkaline residues. |
The presence of the non-dissolved molybdenum sulphide explains the low molybdenum extraction when treating high grade molybdenum concentrates. Low iron content in the cleaner molybdenum concentrates may be one of the major reasons for the incomplete oxidation of the molybdenum sulphide.
13.5.2 POX and Hot Cure Leaching Confirmation Tests
Five additional molybdenum concentrate samples were prepared from various flotation tests to confirm the leaching observations in the previous one-stage leaching tests. The solids concentration of the leaching tests was increased to about 10% by weight; while other test conditions such as leach temperature, pressure, and time are the same as POX 7 that is conducted at 230 oC and 100 psi O2 for 2 hours POX leach and 4 hours of hot cure.
Northern Dynasty Minerals Ltd.
2023 Amended Technical Report on the
Pebble Project, Southwest Alaska
| Page 122 |
The molybdenum concentration of the tested concentrate samples ranged from 12.2 to 48.1% Mo, which is similar to the previous samples in the previous tests. The concentrations of copper, iron, rhenium of the tested samples are listed in Table 13‑15.
Table 13‑15 MAP Test Samples Assay Results
| MAP Samples | Cu % | Mo % | Re g/t | Fe% | S2- % |
| S-1 | 3.15 | 48.1 | 356 | 2.41 | 35.2 |
| S-2 | 10.7 | 28.9 | 239 | 10.2 | 31.3 |
| S-3 | 20.9 | 12.2 | 119 | 20.8 | 31.9 |
| S-4 | 12.8 | 26.3 | 258 | 13.0 | 31.9 |
| S-5 | 4.73 | 42.1 | 410 | 4.94 | 33.0 |
Ten POX and Hot Cure leach tests were completed on the different molybdenum concentrates with the results listed in Table 13‑16. Similarly, Mo recoveries were high with low molybdenum head grades and low for the high-grade molybdenum concentrate samples. Adding Fe3+, Mg and NH4 to the POX and Hot Cure leach process of the final molybdenum concentrate samples, the dissolution rates were improved to 33 to 45% from 7 to 15%. The result confirmed the possibility of using one-stage POX/hot cure leach for rougher molybdenum concentrates, and the requirement of the two-stage leaching for the high-grade molybdenum concentrates.
Table 13‑16 POX and Alkaline Leach Test Results
| Test # | Sample # | Head (calc) | POX Diss | Head (calc) | POX Diss | Head (calc) | POX Diss | POX Diss |
| Mo% | Mo% | Cu% | Cu% | Re g/t | Re% | Fe% | ||
| Ro Conc | ||||||||
| POX24 | S-3 | 10.7 | 90.9 | 19.0 | 99.7 | n/a | n/a | 26.1 |
| Mo 1st Cl + Scav Conc | ||||||||
| POX23 | S-2 | 27.3 | 79.9 | 10.6 | 99.9 | n/a | n/a | 89.4 |
| POX25 | S-4 | 24.9 | 99.2 | 13.1 | 100.0 | 259 | 99.9 | 87.3 |
| Final Mo Con | ||||||||
| POX22 | S-1 | 47.1 | 7.6 | 3.2 | 99.6 | 310 | 98.3 | 83.6 |
| POX27 | S-1 | 46.7 | 15.1 | 5.9 | 99.7 | 319 | 93.3 | 91.9 |
| POX28 | S-1 | 46.6 | 12.4 | 3.0 | 99.5 | 306 | n/a | 83.2 |
| POX31 | S-1 | 46.0 | 7.1 | 2.9 | 99.6 | 387 | 100.0 | 84.7 |
| POX26 | S-5 | 28.7 | 45.1 | 5.9 | 99.7 | 354 | 93.3 | 91.9 |
| POX29 | S-5 | 38.2 | 42.1 | 4.7 | 99.8 | 400 | 99.6 | 86.1 |
| POX30 | S-5 | 40.0 | 33.1 | 3.9 | 99.7 | 392 | n/a | 94.4 |
Northern Dynasty Minerals Ltd.
2023 Amended Technical Report on the
Pebble Project, Southwest Alaska
| Page 123 |

13.5.3 Metal Extractions from Pregnant Leach Solution Tests
A series of the major metal extraction steps from the pregnant leach solution (PLS) were tested on a batch scale level by SGS that involve the bulk loading of molybdenum and rhenium via Solvent Extraction (SX), sulphur stripping, bulk stripping of molybdenum and rhenium, rhenium recovery tests of Ion Exchange (IX) and elution, precipitation of silica and arsenic, molybdenum crystallization and calcination to produce MoO3. The extraction tests are plotted on Figure 13‑5 with the major results and observations are summarized as follows.
Figure 13‑5 Metal Extraction Steps Tested by SGS

After the removal of rhenium and impurities of silica and arsenic, the molybdenum strip liquor was evaporated by boiling off water to crystalize ammonium molybdate ((NH4)2MoO4). SGS conducted such tests at 75% and 87.5% evaporation rate. The solubility of Mo in this solution at room temperature was found to be about 130 g/L. Two calcinations tests were further conducted to produce molybdenum trioxide (MoO3) from the ammonium molybdate using a tube furnace by SGS. Table 13‑17 presents the quality of (NH4)2MoO4 and MoO3.
Northern Dynasty Minerals Ltd.
2023 Amended Technical Report on the
Pebble Project, Southwest Alaska
| Page 124 |

Table 13‑17 (NH4)2MoO4 and MoO3 Analysis Results
| Products | Mo% | As% | Si% |
| Al % | SO4% |
| 75% Evaporation |
|
|
|
|
|
|
| (NH4)2MoO4 Product | 57.8 | <0.001 | <0.07 |
| 0.07 | 0.8 |
| MoO3 Product | 67.3 | <0.001 | <0.07 |
| 1.59 | 0.2 |
| 87.5% Evaporation |
|
|
|
|
|
|
| (NH4)2MoO4 Product | 58.2 | <0.001 | <0.07 |
| <0.02 | 0.9 |
| MoO3 Product | 66.6 | <0.001 | <0.07 |
| 1.45 | 0.3 |
13.6 Auxiliary Tests
13.6.1 Concentrate Filtration
Outotec tested the filtration rates and cake moisture on a copper concentrate sample (Outotec June 2011). Three tests with varied pumping times were performed at Outotec’s laboratory. With a feed solids density of 58 to 60% by weight, the cake moisture for all three tests was less than 9%. The measured filtration rate was between 569 and 663 kg/m2/h.
13.7 Quality of Concentrates
The results of the detailed assays obtained on all the variability locked cycle test copper/molybdenum 3rd cleaner concentrates were completed and reported in the 2014 SGS report. Table 13‑18 shows the major elements distributions. The median concentrations of the potentially payable elements in the final copper/molybdenum concentrates are 27.5% Cu, 15.5 g/t Au, 1.07% Mo, 20.2 g/t Re and 71 g/t Ag.
Table 13‑18 LCT Cu-Mo Concentrate Major Elements Analysis Results – SGS 2014
| Variability Samples | Cu % | Au g/t | Mo % | S % | Fe % | Re g/t | Ag g/t |
| Average | 27.1 | 16.9 | 1.26 | 34.6 | 29.9 | 23.7 | 75 |
| Min | 17.6 | 1.2 | 0.07 | 23.5 | 23.5 | 1.3 | 20 |
| Median | 27.5 | 15.5 | 1.07 | 34.4 | 29.9 | 20.2 | 71 |
| Max | 39.0 | 52.7 | 4.82 | 40.7 | 34.5 | 122.0 | 151 |
Northern Dynasty Minerals Ltd.
2023 Amended Technical Report on the
Pebble Project, Southwest Alaska
| Page 125 |

The detailed elemental analysis was also completed on the copper-molybdenum concentrate samples of the variability LCT as reported in the 2014 SGS report. The results indicate that Pebble bulk concentrate will not be problematic in terms of deleterious elements. The assays showed that more than 90% of the 103 variability samples were below the penalty triggers for mercury (Hg), antimony (Sb), arsenic (As), and zinc (Zn), with the exception of 10 samples from illite pyrite and sodic potassic zones.
The elemental analysis of copper concentrates and molybdenum concentrates from the copper/molybdenum separation testwork are listed in Table 13‑19 and Table 13‑20. The reported rhenium grade in the LCT molybdenum concentrate ranged from 791 to 832 g/t Re.
Table 13‑19 LCT Cu Concentrate Major Elements Analysis Results – SGS 2014
|
| Cu % | Au g/t | Mo % | S% | Fe % | Re g/t | Ag g/t |
| Illite Pyrite | 23.0 | 10.2 | 0.026 | 36.1 | 31.8 | 0.4 | 91 |
| Supergene | 29.3 | 11.4 | 0.065 | 33.0 | 28.9 | 1.5 | 104 |
| Sodic Potassic | 24.0 | 8.54 | 0.011 | 36.2 | 33.1 | <0.2 | 37 |
| K-Silicate | 24.0 | 8.41 | 0.021 | 36.6 | 32.9 | 0.3 | 39 |
| Commission | 21.2 | 10.6 | 0.032 | 35.0 | 32.1 | 0.5 | 80 |
Table 13‑20 LCT Mo Concentrate Major Elements Analysis Results – SGS 2014
|
| Cu % | Au g/t | Mo % | S% | Fe % | Re g/t | Ag g/t |
| Illite Pyrite | 3.94 | 3.42 | 42.6 | 38.5 | 5.33 | 791 | 31.6 |
| Supergene | 2.45 | 3.87 | 43.7 | 34.0 | 3.84 | 832 | 23.2 |
| Sodic Potassic | 3.71 | 3.60 | 43.0 | 34.9 | 5.31 | 830 | 22.9 |
| K-Silicate | 2.53 | 1.34 | 50.9 | 36.7 | 3.34 | n/a | 11.1 |
| Commission | 1.94 | 2.12 | 47.8 | 35.9 | 3.37 | 812 | <40 |
13.8 Geometallurgy
13.8.1 Introduction
Geometallurgical studies were initiated by the Pebble Partnership in 2008, and continued through 2012. The studies were conducted in partnership between the Geology and Metallurgy Departments. The principal objective of this work was to quantify significant differences in metal deportment, meaning the mineralogical association of a given metal that may result in variations in metal recoveries during mineral processing.
Characterization of the respective geometallurgical domains within the deposit was based on the acquisition of detailed mineralogical data determined using QEMSCAN mineral mapping technology. QEMSCAN was used to form the basis for definition of the geometallurgical domains as follows:
|
| · | To determine the mineralogy of samples; |
Northern Dynasty Minerals Ltd.
2023 Amended Technical Report on the
Pebble Project, Southwest Alaska
| Page 126 |

|
| · | To classify them by alteration assemblage; |
|
|
|
|
|
| · | To assess variations in copper mineral speciation; and, |
|
|
|
|
|
| · | To locate gold inclusions down to 1 µm in diameter and characterize their size, shape, composition and host mineralogy. |
The results of the geometallurgical studies indicate that the deposit comprises numerous geometallurgical domains. These domains are defined by distinct, internally consistent copper and gold deportment characteristics that correspond spatially with changes in silicate alteration mineralogy. Overall metal deportment reflects characteristics developed during both the initial stage of metal introduction that occurred during specific stages of alteration and subsequent redistribution by overprinting alteration types.
Chalcopyrite is the dominant copper mineral in most of the deposit. Bornite is a greatly subordinate component that is most abundant in advanced argillic alteration. Supergene mineralization, in the form of chalcocite and lesser bornite and covellite, forms rims on and partially replaces hypogene chalcopyrite in the near surface portion of the western half of the deposit, where mineralization was exposed subsequent to glaciation (there is no evidence for paleo-supergene effects in the eastern part of the deposit that is located beneath the post-hypogene rocks of the cover sequence). Hypogene pyrite is present in much of the supergene zone where it typically has been partially replaced by the supergene copper minerals. Molybdenum deportment does not vary appreciably across the deposit, and this metal occurs exclusively in the mineral molybdenite. The deportment of silver and palladium has not been studied in detail. Rhenium, as discussed in the Mineralization section above, occurs as a substitution for molybdenum in the matrix of molybdenite, but the potential for spatial and temporal variations in the degree of substitution has not been studied.
Gold has a more variable deportment across the deposit than the other primary metals of economic interest, and this behavior can be related directly to variations in predicted gold recoveries to different metallurgical products, as determined by metallurgical testwork. Gold occurs mostly as inclusions in chalcopyrite, pyrite, and to a much lesser extent, in silicate alteration minerals. The proportion of gold hosted by chalcopyrite, pyrite, and the silicate alteration minerals varies significantly between volumetric domains that were affected by different types or combinations of hydrothermal alteration (see Gregory et al., 2013, for additional details). The consequence of these differences in gold deportment is that different alteration domains exhibit different degrees of recovery to different processing materials, such as copper concentrates versus pyrite concentrates versus silicate tailings. It is this knowledge of the relationship between hydrothermal alteration, as defined in a three-dimensional alteration model for the Pebble deposit, and the specific deportment of gold micro-inclusions that allows the spatial variations in gold recovery across the deposit to be modelled.
13.8.2 Description of Geometallurgical Domains
Hypogene mineralization in the Pebble deposit has been divided into seven geometallurgical domains, the boundaries of which correspond to the distribution of specific alteration types and their combination within the three-dimensional alteration model. The most volumetrically significant geometallurgical domains are the potassic (in some places referred to as K-silicate or potassium silicate) and sodic-potassic domains, whereas the illite-pyrite, QSP (quartz-sericite-pyrite), quartz-pyrophyllite, sericite, and 8431M domains are smaller. Two additional domains occur in the western part of the Pebble deposit where the sodic-potassic and illite-pyrite domains are overprinted by supergene alteration. These domains are being used to constrain the geometallurgical parameters in the resource block model. Specific metallurgical recoveries have been applied to each geometallurgical domain, as further described below in Section 0.
Northern Dynasty Minerals Ltd.
2023 Amended Technical Report on the
Pebble Project, Southwest Alaska
| Page 127 |

Potassic Domain
The potassic domain is concentrated near the top of the main granodiorite pluton and its immediate host rocks in the eastern part of the deposit. Material in this domain is dominated by K-feldspar, quartz, and minor biotite, and has been variably overprinted by illite. The copper sulphide minerals are dominated by chalcopyrite, accompanied by a subequal concentration of pyrite and, more rarely, traces of sphalerite. Gold occurs dominantly as inclusions in chalcopyrite. This material type is volumetrically most important in the Pebble East zone and is predicted to have the best metallurgical response due to low clay and pyrite concentrations and a close association of gold with chalcopyrite.
Sodic-Potassic Domain
Material in the sodic-potassic domain is dominated by K-feldspar, quartz, albite and biotite, accompanied by low concentrations of subequal illite and kaolinite. Chalcopyrite is the main copper sulphide mineral and the ratio of pyrite to chalcopyrite is moderate and a bit higher than in the potassic domain. The carbonate minerals siderite and ferroan dolomite are also commonly present. Gold occurs as inclusions in both chalcopyrite and pyrite. It is the dominant geometallurgical domain in the western part of the deposit and extends to depth to the east, below the potassic domain. Supergene mineralization is present in the uppermost part of this domain in the western part of the deposit (see below).
Illite-Pyrite Domain
The mineralogical characteristics of the illite-pyrite domain reflect successive, partial overprints of quartz-sericite-pyrite and later illite alteration on an early stage of well-mineralized sodic-potassic and/or potassic alteration. Illite-pyrite material is dominated by K-feldspar, quartz, illite and biotite. The illite-pyrite domain has a high concentration of pyrite and a high ratio of pyrite to chalcopyrite. This assemblage occurs in the shallow part of the eastern portion of the Pebble West zone and also extends to the east where it replaces potassic alteration below the cover sequence. Supergene mineralization affects the upper part of the illite-pyrite domain in the western part of the deposit that is not concealed by the younger cover sequence (see below). Gold deports as inclusions both within early chalcopyrite that is part of the early sodic-potassic and potassic alteration, and to a greater extent in pyrite that formed during the later alteration overprints. The high clay and pyrite concentrations are expected to lead to processing challenges that could include the increase of reagent consumptions and/or the decrease of flotation selectivity between copper minerals and pyrite. Additionally, the gold-pyrite association will result in a lower gold recovery to the final copper flotation concentrate compared to the sodic-potassic and potassic geometallugical domains.
Quartz-Sericite-Pyrite (QSP) Domain
The quartz-sericite-pyrite domain occurs on the north and south margins of the alteration model. This alteration is a late stage overprint around the margins of the deposit and is strongly grade destructive for copper, molybdenum, and gold that originally formed during earlier alteration types. This material is dominated by quartz and sericite, has a very high pyrite concentration, and contains very little chalcopyrite. As a consequence, both grade and recovery of this domain are very low and it would form a part of the normal processing stream.
Northern Dynasty Minerals Ltd.
2023 Amended Technical Report on the
Pebble Project, Southwest Alaska
| Page 128 |

Quartz-Pyrophyllite Domain
The quartz-pyrophyllite domain is coincident with the distribution of quartz pyrophyllite alteration. It occurs in the easternmost part of the deposit where it has typically overprinted an older zone of potassic alteration with a very high concentration of quartz veins. This material is composed mostly of quartz, sericite, and pyrophyllite. -pyrophyllite assemblage. This domain has high concentrations of both pyrite (average 9.7 wt%) and chalcopyrite (average 3.8 wt%), along with very low concentrations of bornite. Gold mostly occurs as inclusions in chalcopyrite, with lesser amounts in pyrite and silicate alteration minerals. This is the highest grade material in the deposit and has favourable gold deportment, but also has higher clay and pyrite concentrations.
Sericite Domain
The high-grade sericite domain is not to be confused with the very low grade quartz-sericite-pyrite domain. The sericite domain is characterized by quartz, sericite, minor pyrophyllite, and variable concentrations of K-feldspar. This material occurs in two areas within the Pebble East zone. The main and most intense volume of sericite domain occurs south of the ZE fault and forms an envelope to the western side of the quartz-pyrophyllite domain. A second, much weaker and smaller area of sericite domains occurs in the Pebble East zone, just north of the ZE fault. The copper minerals are dominated by chalcopyrite accompanied by trace to minor bornite, digenite and covellite, traces of the arsenic-bearing sulphosalts enargite and tennantite, and trace sphalerite. The pyrite concentration is high but the pyrite to chalcopyrite ratio is moderate due to high copper grade. Gold inclusions occur in both chalcopyrite and pyrite, and to a much lesser extent in bornite and digenite. The domain has high concentrations of both clay and pyrite and variable gold deportment; this may have implications for mineral processing but the high-tenor copper sulphides may yield a higher concentrate grade.
8431M Domain
The 8431M domain is a variant on the potassic domain. It occurs as a small volume of rock in the vicinity of drill holes 8431M and 11527 in the western part of the deposit and is surrounded by the sodic-potassic domain. The material contains abundant biotite and K-feldspar, lesser quartz and illite, and also contains a relatively higher concentration of magnetite similar to that found in altered diorite sills (see above). The copper minerals are dominated by chalcopyrite and the concentration of pyrite is relatively low, yielding a lower than average pyrite to chalcopyrite ratio. The concentration of molybdenite is also very high. Metallurgical tests from hole 8431M have the highest gold recoveries in the western part of the deposit. This is unusual because most of the gold occurs as inclusions in pyrite, but it is believed that the larger grain size of the gold inclusions results in liberation and therefore higher than expected recovery. Because the 8431M geometallurgical domain is so small, it has been included with the surrounding sodic-potassic geometallurgical domain for modeling purposes.
Supergene Domains
A thin, irregular zone of supergene mineralization of variable thickness extends across the near-surface part of much of the western part of the deposit. The zone is characterized by weak enrichment of copper that manifests partial replacement of hypogene chalcopyrite and rimming of hypogene pyrite by supergene chalcocite and lesser bornite and covellite. Geometallurgically, supergene mineralization is defined as all material with cyanide soluble copper above 20%. Supergene effects overprint the near surface parts of the sodic-potassic and illite-pyrite domains in the western part of the deposit and require consideration as two additional geometallurgical domains.
Northern Dynasty Minerals Ltd.
2023 Amended Technical Report on the
Pebble Project, Southwest Alaska
| Page 129 |

13.9 Metal Recovery Projection
13.9.1 Metal Projections of Copper, Gold, Silver and Molybdenum –2014/2018, Tetra Tech.
13.9.1.1 METAL RECOVERY PROJECTION BASIS – 2014/2018, TETRA TECH
The adjusted analysis made to predict metal recoveries can be summarized as follows, starting from the new changes made in the analysis followed by the original analysis basis that are still applicable.
Adjusted Analysis Basis
The following considerations were made in adjusting the metal recoveries:
|
| · | Removing recoveries of copper, gold, and silver from the gold and SART plants; |
|
|
|
|
|
| · | Reducing the primary grind size P80 from about 200 µm to 125 µm with corresponding improved metal recoveries; |
|
|
|
|
|
| · | Adjusting the copper recovery by applying an average recovery increase of 0.5% per 10 µm reduction of primary grind size; and |
|
|
|
|
|
| · | Applying a similar same recovery change factor for gold, silver, and molybdenum. |
Valid Considerations from the Original Analysis in 2014
The following considerations were utilized in the original analysis and are still valid:
|
| · | A review of the 103 available samples, eight were excluded from the analysis – 5 of 8 because they were below the 0.20% Cu cut-off grade, and 3 of 8 because they were contaminated by drilling fluid; |
|
|
|
|
|
| · | The remaining 95 samples were used to determine copper, gold and molybdenum recoveries; |
|
|
|
|
|
| · | Silver recovery was based on a dataset of 10 samples due to incomplete silver assay data for the testwork; |
|
|
|
|
|
| · | Locked cycle test recovery distributions were reviewed for each geometallurgical domain type to determine if domains could be grouped into similar recovery domains; |
Northern Dynasty Minerals Ltd.
2023 Amended Technical Report on the
Pebble Project, Southwest Alaska
| Page 130 |

|
| · | The outcome of this analysis established seven recovery domains for copper, six for gold, and seven for molybdenum; |
|
|
|
|
|
| · | Recoveries were determined using the median value of each dataset; |
|
|
|
|
|
| · | Copper-molybdenum separation efficiency was assumed to be 92.7% molybdenum recovery to the molybdenum concentrate; and |
|
|
|
|
|
| · | Gold recovery included an incremental 1.0% for the gravity circuit. |
13.9.1.2 EFFECTS OF PRIMARY GRIND SIZE ON METAL RECOVERIES
Four testwork programs were conducted in 2005 and 2006 by SGS to investigate the impacts of the primary grind size on metal recoveries with different composite samples in rougher flotation, batch cleaner flotation and locked-cycle flotation tests. A general observation was made that higher metal recoveries can be obtained with a finer primary grinding size, with just a few exceptions that mainly resulted from the inconsistent test conditions. The primary size effect testing results are plotted and connected with trendline by SGS as presented in Figure 13‑6 to Figure 13‑8.
Figure 13‑6 The Effect of Primary Grind Fineness of Copper Recovery to Rougher Concentrate
Northern Dynasty Minerals Ltd.
2023 Amended Technical Report on the
Pebble Project, Southwest Alaska
| Page 131 |

Figure 13‑7 Effect of Primary Grind Size on Cu, Au and Mo Recovery to Batch Copper Concentrate
Northern Dynasty Minerals Ltd.
2023 Amended Technical Report on the
Pebble Project, Southwest Alaska
| Page 132 |

Figure 13‑8 Cu, Au, and Mo Recovery into a 26% Batch Cu Concentrate

Northern Dynasty Minerals Ltd.
2023 Amended Technical Report on the
Pebble Project, Southwest Alaska
| Page 133 |

The observed linear relationship between the primary grind size and metal recovery change was mathematically summarized by SGS as follows:
“Linear trendlines that were fitted to the data sets suggested that in only 4 cases the metal recovery improved with coarser grinds compared with 20 cases that produced inferior recoveries at a coarse grind. Metal losses of Cu, Au, and Mo typically ranged between 0.5% to 1.0% per 10 microns increase in grind size.”
Similar observations were obtained from the batch cleaner and locked cycle flotation tests as shown in the Table 13‑21 to Table 13‑23. It can be noted that the metal recovery increase in the locked cycle flotation tests is lower as compared with the batch cleaner flotation tests. The average metal increase per 10 µm reduction of primary grind size from the locked cycle tests are 0.48% for copper, 0.15% for gold, and 0.34% for molybdenum.
Table 13‑21 Summary of Batch Recovery Change per 10µm Primary Grind Size Reduction
| Composite | Product | Change per 10 µm Size Reduction (% Recovery) | ||
| Cu | Au | Mo | ||
| 2005G | Ro+Scav Concentrate | 0.62 | 0.24 | 0.53 |
| 2005Y | Ro+Scav Concentrate | 0.70 | 0.37 | 0.53 |
| 2006G | Ro+Scav Concentrate | 0.28 | 0.23 | 0.24 |
| 2006Y | Ro+Scav Concentrate | 0.50 | 0.22 | 0.40 |
| 2005G | Cu/Mo Concentrate | 0.62 | NA | 0.44 |
| 2005Y | Cu/Mo Concentrate | 0.86 | NA | 0.59 |
| 2006G | Cu/Mo Concentrate | 0.33 | NA | 0.51 |
| 2006Y | Cu/Mo Concentrate | 0.49 | NA | 0.44 |
Northern Dynasty Minerals Ltd.
2023 Amended Technical Report on the
Pebble Project, Southwest Alaska
| Page 134 |

Table 13‑22 Summary of LCT Recovery Change per 10µm Primary Grind Size Reduction
| Composite | Product | Change per 10 µm Size Reduction (% Recovery) | ||
| Cu | Au | Mo | ||
| 2005G | Ro+Scav Concentrate | 0.32 | 0.19 | 0.28 |
| 2005Y | Ro+Scav Concentrate | 0.66 | 0.14 | 0.52 |
| 2006G | Ro+Scav Concentrate | 0.20 | 0.16 | 0.22 |
| 2006Y | Ro+Scav Concentrate | 0.48 | 0.19 | 0.38 |
| 2005G | Cu/Mo Concentrate | 0.34 | 0.24 | 0.16 |
| 2005Y | Cu/Mo Concentrate | 0.76 | 0.01 | 0.67 |
| 2006G | Cu/Mo Concentrate | 0.18 | 0.13 | 0.12 |
| 2006Y | Cu/Mo Concentrate | 0.65 | 0.25 | 0.40 |
Table 13‑23 Change in Metal Recovery for 10µm Primary Grind Size Reduction, P80 150µm to 300µm
| Composite | Product | Cu % | Au % | Mo % |
| PBA | Cu/Mo Concentrate | 0.38 | -0.46 | 0.59 |
| PBB | Cu/Mo Concentrate | 0.57 | 0.15 | 1.46 |
| PBC | Cu/Mo Concentrate | 0.54 | 0.68 | 0.31 |
| PBD | Cu/Mo Concentrate | 0.45 | -0.43 | 0.58 |
| PBE | Cu/Mo Concentrate | 0.34 | 0.01 | -0.1 |
| PBF | Cu/Mo Concentrate | 0.54 | 0.38 | 0.57 |
| PBA | Ro+Scav Concentrate | 0.84 | -1.05 | 0.84 |
| PBB | Ro+Scav Concentrate | 0.29 | 0.50 | 1.61 |
| PBC | Ro+Scav Concentrate | 0.41 | 0.34 | -0.01 |
| PBD | Ro+Scav Concentrate | 0.40 | 0.01 | 0.72 |
| PBE | Ro+Scav Concentrate | 0.79 | 0.31 | 0.70 |
| PBF | Ro+Scav Concentrate | 0.51 | 0.46 | 0.64 |
13.9.2 Metal Recovery Projection Results
The adjusted metal recoveries are presented in Table 13‑24, excluding the recovery of gold, silver and copper from the leaching circuit and SART process. The flotation recoveries are adjusted based on the previous projection but at a finer primary grind P80 of 125 µm.
Northern Dynasty Minerals Ltd.
2023 Amended Technical Report on the
Pebble Project, Southwest Alaska
| Page 135 |

Table 13‑24 Projected Metallurgical Recoveries – 2018 Tetra Tech
| Domain | Flotation Recovery % | |||
| Cu Con, 26% Cu | Mo Con, 50% Mo | |||
| Cu | Au | Ag | Mo | |
| Supergene: |
|
|
|
|
| Sodic Potassic | 78.7 | 63.6 | 67.5 | 53.9 |
| Illite Pyrite | 72.1 | 46.5 | 67.8 | 66.3 |
| Hypogene: |
|
|
|
|
| Illite Pyrite | 89.8 | 45.6 | 66.6 | 76.1 |
| Sodic Potassic | 90.1 | 63.2 | 67.0 | 80.1 |
| Potassic | 93.7 | 63.6 | 66.5 | 85.4 |
| QP | 94.7 | 65.2 | 64.4 | 80.4 |
| Sericite | 89.6 | 40.6 | 66.5 | 75.9 |
| QSP | 89.8 | 32.9 | 66.9 | 86.1 |
13.9.3 Rhenium Recovery Estimate – 2020
Copper-molybdenum porphyry deposits are the world’s primary source of rhenium (SME, 2018). The metallurgical test work from 2011 to 2013 on Pebble deposit indicates that significant rhenium can be recovered to the bulk Cu-Mo flotation concentrate and further concentrated into the final molybdenum flotation concentrate. The overall rhenium recovery is determined by the rhenium recovery to the bulk copper-molybdenum concentrate and the separation efficiency of the rhenium into the molybdenum concentrate in the subsequent copper-molybdenum separation stage. The estimated rhenium recovery is about 70.8% on average for all the domains based on the following considerations:
|
| · | The available rhenium distributions to the bulk copper/molybdenum concentrates are based on the 10 of the 111 LCT tests on variability samples. The average recovery was calculated as 73.4% representing five of the eight geometallurgical domains. |
|
|
|
|
|
| · | The application of a similar separation efficiency of molybdenum as of 92.7% in the copper-molybdenum separation to estimate the rhenium stage recovery, considering the significant linear relationship between the molybdenum and rhenium bulk and circuit recovery test data (Section 0 and 0). |
|
|
|
|
|
| · | The adjustment of the overall rhenium recovery by applying a similar factor for an average recovery increase of 0.5% per 10 µm reduction of primary grind size. |
Northern Dynasty Minerals Ltd.
2023 Amended Technical Report on the
Pebble Project, Southwest Alaska
| Page 136 |

14.0 MINERAL RESOURCE ESTIMATES
14.1 Summary
The current estimate is based on all core holes in the vicinity of the block model extents, completed to the end of 2013. No additional drilling has taken place in the vicinity of the resource area since 2013, nor have any additional analyses have been obtained since that time for copper, gold, molybdenum, or silver. Furthermore, a review of the statistical, geostatistical and domaining approach to estimation and classification has shown that it remains valid and appropriate so these estimated grades and have not changed since that time. No additional analyses have been added for rhenium since the fall of 2020 (Gaunt et al, 2020) and so this estimated grade has not changed since that time. Inputs and cutoff grade selection have been validated by recent company work and these parameters have remained constant, resulting in no change in the overall resource.
The updated Pebble resource estimate is presented in Table 14‑1. Tonnes have been rounded to the nearest million. Of the total resource, the Measured category represents approximately 5%, the Indicated category represents 54%, and the Inferred category represents approximately 41%. The QP is relying on the letter by legal counsel, per Section 3, that provides an avenue to resolving the current permitting challenges. Accordingly, in the opinion of the QP, there are reasonable prospects for economic extraction of the resource.
Northern Dynasty Minerals Ltd.
2023 Amended Technical Report on the
Pebble Project, Southwest Alaska
| Page 137 |

Table 14‑1 Pebble Deposit Mineral Resource Estimate at a 0.3% CuEq cutoff
| Classification | Tonnes | Grades | Recoverable Metal | |||||||||
|
| Million | CuEq% | Cu % | Au g/t | Ag g/t | Mo ppm | Re ppm | Cu B lb | Au M oz | Ag M oz | Mo B lb | Re Kg |
| Measured | 527 | 0.65 | 0.33 | 0.35 | 1.7 | 178 | 0.32 | 3.35 | 4.58 | 20.4 | 0.15 | 118,000 |
| Indicated | 5,929 | 0.77 | 0.41 | 0.34 | 1.7 | 246 | 0.41 | 49.64 | 49.24 | 228.9 | 2.62 | 1,731,000 |
| M+I | 6,456 | 0.76 | 0.40 | 0.34 | 1.7 | 240 | 0.40 | 52.99 | 53.82 | 249.3 | 2.78 | 1,849,000 |
| Inferred | 4,454 | 0.55 | 0.25 | 0.25 | 1.2 | 226 | 0.36 | 22.66 | 28.11 | 121.7 | 1.81 | 1,025,000 |
Notes:
David Gaunt, P.Geo., a qualified person as defined under 43-101 who is not independent of Northern Dynasty, is responsible for the estimate. The effective date is May 19, 2023.
Copper equivalent (CuEq) calculations use metal prices: US$1.85/lb for Cu, US$902/oz for Au and US$12.50/lb for Mo, and recoveries: 85% Cu, 69.6% Au, and 77.8% Mo (Pebble West zone) and 89.3% Cu, 76.8% Au, 83.7% Mo (Pebble East zone).
Recovered metal based on recoveries in Table 1-2 and Table 13-24.
The mineral resource estimate is constrained by a conceptual pit shell that was developed using a Lerchs-Grossman algorithm and is based in the following parameters: 42 degree pit slope; metal prices and recoveries of US$1,540.00/oz and 61% Au, US$3.63/lb and 91% Cu, US$20.00/oz and 67% Ag and US$12.36/lb and 81% Mo, respectively; a mining cost of US$1.01/ton with a US$0.03/ton/bench increment and other costs (including processing, G&A and transport) of US$6.74/ton.
Per the calculation outlined in Section 14.12, recent company work has demonstrated that using appropriate and likely inputs for commodity prices, concentrate grades, payable copper, and realization charges results in a cutoff grade of 0.22% CuEq. The QP believes that the use of a 0.3% CuEq cutoff grade to express the Pebble resources is conservative and provides continuity with previous estimates.
The QP has reviewed the technical information, and other factors that may affect the estimate including permitting and external legal counsel's letter regarding the ROD appeal and Final Determination, and believes that there are reasonable prospects of economic extraction.
14.2 Geological Interpretation Used In Estimation
The Pebble deposit extends for a strike length of approximately 13,000 ft, a width of 7,700 ft, and to a depth of at least 5,810 ft. Metal distribution within the Pebble deposit is affected by lithology, alteration, weathering and structure such that the distribution cannot be constrained on the basis of a single attribute. Further, the distribution of each of the metals differs in accordance with the differing response of those metals to the thermal and chemical environments prevailing at the time of deposition. Therefore, for the purpose of resource estimation domains were developed for each of the five metals.
Northern Dynasty Minerals Ltd.
2023 Amended Technical Report on the
Pebble Project, Southwest Alaska
| Page 138 |

These domains are defined by deposit orientation, geology and grade. Three boundaries are common to all metals: 1) the north-south divide that separates the deposit into east and west portions and marks a change in the dip of the stratigraphy from flat lying to gently east dipping, 2) the east-trending fault (ZE Fault) that divides the eastern portion of the deposit into two zones, and 3) the north-northeast trending ZG Fault which constrains the deposit to the east. The shape and location of the domain boundary differs among the metals but in general is gently east-dipping and separates an upper higher-grade zone (copper, gold and silver) from a lower grade zone; this lower-grade zone underlies both western and eastern parts of the deposit. East of the east-west divide the higher-grade zone is divided into a north and a south domain by the ZE Fault. In the case of molybdenum, in contrast to the other metals, the upper, western zone is lower-grade and the underlying zone is higher grade. The domaining developed for molybdenum was used for rhenium estimation given the very high statistical and spatial correlation between these two metals.
There are two additional domains for copper: leached and supergene; both are located in the near-surface western portion of the deposit and both have been interpreted based on copper speciation data. Copper grade distribution is further constrained by two lower-grade domains that overlie portions of the east and west halves of the deposit. The gold domains also contain a very small low-grade domain immediately above the western higher-grade domain.
The bulk density domains are described in Section 14.5.
The above described domains are tabulated in Table 14‑2.
As a general statement domain code 40 will identify lower grade portions of the deposit, domain code 41 will identify upper, higher grade portions in the western half of the deposit, whereas domain codes 42 and 43 will identify northern and southern quadrants respectively in the eastern half of the deposit.
Northern Dynasty Minerals Ltd.
2023 Amended Technical Report on the
Pebble Project, Southwest Alaska
| Page 139 |

Table 14‑2 Pebble Deposit Metal Domains
| Domain | Code | Description |
| Ag low grade | 40 | Hypogene at depth |
| Ag moderate grade | 41 | West part near surface |
| Ag Northeast | 42 | East part, North of ZE fault |
| Ag Southeast | 43 | East part, South of ZE fault |
| Au low grade | 40 | Hypogene at depth |
| Au moderate grade | 41 | West part near surface |
| Au Northeast | 42 | East part north of ZE fault |
| Au Southeast | 43 | East Part south of ZE fault |
| Cu Leach | 1 | Cu/Leach |
| Cu Supergene | 2 | Cu/Supergene |
| Cu low grade | 40 | Hypogene at depth |
| Cu moderate grade | 41 | Hypogene West near surface |
| Cu Hypogene Northeast | 42 | East part north of ZE fault |
| Cu Hypogene Southeast | 43 | East part south of ZE fault |
| Mo/Re low grade | 40 | Above 70ppm cap |
| Mo/Re high grade | 41 | Below 70ppm cap west |
| Mo/Re high grade Northeast | 42 | Above 70ppm cap, east part north of ZE fault |
| Mo/Re high grade Southeast | 43 | Above 70ppm cap, east part south of ZE fault |
Separate variables were set up in the block model for each of the metals, each metal domain and for bulk density (noted as SG0 to SG3 and SG10 in Section 14.5). This approach allowed for the application of a unique suite of search strategies and kriging parameters to each metal domain based on its geostatistical characteristics.
The distribution of drill holes relative to the extent of the block model is shown in Figure 14‑1 Pebble Deposit Plan View of Drill Holes and Block Model Extent (red rectangle).
Northern Dynasty Minerals Ltd.
2023 Amended Technical Report on the
Pebble Project, Southwest Alaska
| Page 140 |

Figure 14‑1 Pebble Deposit Plan View of Drill Holes and Block Model Extent (red rectangle)

14.3 Development of Rhenium Database for Estimation
14.3.1 Introduction
As shown in Figure 14‑2 Growth in the percentage of drill-hole sample intervals with rhenium assays
rhenium assays did not become a standard part of the drill hole assay program until 2008. This leaves slightly less than half (45%) of the drill-hole data base with no direct measurement of rhenium in the Pebble Project area. Spatially, the area deficient in rhenium analyses is located primarily in the western portion of the Pebble deposit.
Northern Dynasty Minerals Ltd.
2023 Amended Technical Report on the
Pebble Project, Southwest Alaska
| Page 141 |

Figure 14‑2 Growth in the percentage of drill-hole sample intervals with rhenium assays

With rhenium now recognized as a strategic commodity that should be included in the inventory of revenue-producing metals produced as by-products during copper-molybdenum extraction, it is important that the resource block model incorporates a reliable prediction of rhenium grade for every potential ore block.
The problem of missing rhenium analyses can be overcome by assigning reliable predictions of grades to any drill-hole interval that is missing a direct measurement of rhenium. Such predictions can be made by developing a regression equation based on a correlated variable. In the case of Pebble this approach is viable due to the extraordinarily strong correlation between rhenium and molybdenum, with the latter having been assayed in 99% of the drill-hole sample intervals. This approach is not new, in the mining industry there are numerous examples of grade prediction by regression for base metals, and it is also very often employed to predict uranium grades from gamma logs, as described in the CIM’s Best Practice Guideline (CIM, 2003).
14.3.2 Data Used to Develop the Regression Equation
The database used for this study includes assays for 72,873 drill-hole sample intervals from the Pebble Project, dating back to 1988, 39,936 of which have rhenium assays. To ensure that the rhenium predictions are most accurate for material above the resource threshold of 0.3% CuEq, the data used for the regression study did not include any drill-hole sample intervals where CuEq < 0.3%. This reduces the number of sample intervals to 18,554.
Northern Dynasty Minerals Ltd.
2023 Amended Technical Report on the
Pebble Project, Southwest Alaska
| Page 142 |

A few of the multi-element ICP assays were done using an aqua regia digestion to put the metals into solution. For some elements, aqua regia results in only a partial digestion. A four-acid digestion with nitric, perchloric, hydrofluoric and hydrochloric acids break down most silicate and oxide minerals, allowing for near-total analyses of most elements. Since over 99.9% of the CuEq >0.3% intervals were analyzed use a four-acid digestion, the very few that were done with an aqua regia digestion were dropped, leaving 18,536 sample intervals for the regression study.
In 2020, to better inform the regression analysis, approximately 1000 additional sample pulps were retrieved and analysed for rhenium. These additional samples were selected based on a range of molybdenum grades and to provide spatial coverage in areas lacking rhenium data, specifically in the western part of the Pebble deposit area (Figure 14‑3). Of the 1000 additional rhenium analyses, 50 were intentionally excluded from the data base so that they could be used to check the reliability of the regression equation after it had been developed (Srivastava, 2020).
Northern Dynasty Minerals Ltd.
2023 Amended Technical Report on the
Pebble Project, Southwest Alaska
| Page 143 |

Figure 14‑3 Block Model (red line); DDH Collars and Re analyses; Lacking (grey), Existing (yellow), 2020 Pulps (red)

14.3.3 Data Analysis
Table 14‑3 shows the correlation coefficients between Re and each of 21 possible predictors. The only strong correlation is with molybdenum: +0.87. The correlations between Re and several of the other elements (barium, potassium, lead, strontium, zinc) are not significantly different from zero; and for the others, their correlations with rhenium are very weak at best.
Northern Dynasty Minerals Ltd.
2023 Amended Technical Report on the
Pebble Project, Southwest Alaska
| Page 144 |

Table 14‑3 Correlation coefficients between rhenium and other elements
| Ag | Al | As | Ba | Ca | Cd | Co |
| +0.02 | +0.02 | +0.02 | 0.00 | −0.09 | −0.02 | −0.07 |
|
| ||||||
| Cr | Cu | Fe | K | Mg | Mn | Mo |
| −0.04 | +0.16 | −0.14 | 0.00 | −0.12 | −0.13 | +0.87 |
|
| ||||||
| Na | Ni | Pb | Sb | Sr | V | Zn |
| −0.08 | −0.07 | −0.01 | −0.02 | 0.00 | −0.10 | 0.00 |
Figure 14‑4 shows a scatterplot of rhenium versus molybdenum on a log-log scale. The linear relationship between the logarithms of the two elements results in the regression equation having the following form when expressed in terms of the raw, untransformed variables (with both measured in units of parts-per-million):
Re = 0.002269 · Mo0.951
Northern Dynasty Minerals Ltd.
2023 Amended Technical Report on the
Pebble Project, Southwest Alaska
| Page 145 |

Figure 14‑4 Rhenium Versus Molybdenum

14.3.4 Validation
Subsequent to the development of the regression formula, rhenium assays for the 50 withheld samples were provided so that the reliability of the prediction could be assessed using data that had not played any role in the development of the regression equation (Srivastava, 2020).
Figure 14-5 shows the rhenium grades predicted by the regression equation versus the rhenium assays actually reported by the lab.
Northern Dynasty Minerals Ltd.
2023 Amended Technical Report on the
Pebble Project, Southwest Alaska
| Page 146 |

Figure 14‑5 Rhenium predications versus actual rhenium assays for withheld validation samples

The blue dots in Figure 14‑5 are the 50 withheld validation sample assays from the initial data base. For these 50 samples, there is a small bias, with the predicted rhenium values being slightly conservative at about 15% lower than the actual assays. The correlation between the actual assays and the predictions is an excellent +0.97.
For the purpose of grade estimation into the block model, the reliability of the rhenium predictions is actually better than the blue dots in Figure 14‑5 suggest. Each of the blue dots corresponds to an assay from a 10’ interval in a drill-hole, a volume much smaller than the 75 ft x 75 ft x 50 ft blocks used in the resource block model. Predictions for small volumes are always more uncertain than predictions made for larger volumes. In order to test the reliability of the rhenium predictions for larger volumes, the 50 validation samples were intentionally chosen in consecutive runs that were 50 ft to 60 ft in length.
Table 14-4 shows the 50 validation samples and their grouping into nine consecutive runs. The green triangles on Figure 14-5 show the comparison between predicted and actual rhenium at the 50 ft to 60 ft scale, approximately the height of resource blocks. The correlation coefficient, which was excellent at the 10 ft scale, is an even stronger +0.99 at the scale closer to the size of resource blocks.
Northern Dynasty Minerals Ltd.
2023 Amended Technical Report on the
Pebble Project, Southwest Alaska
| Page 147 |

Table 14‑4 Predicted and actual rhenium for 50 withheld validation samples, at 10 ft scale and at 50 ft scale
| Hole ID | From (feet) | To (feet) | Length (feet) | Re-actual (ppm) | Re-predicted (ppm) | Re-actual (ppm) | Re-predicted (ppm) |
| 5319M | 312 | 322 | 10 | 0.253 | 0.198 | 0.124 | 0.114 |
| 5319M | 322 | 332 | 10 | 0.093 | 0.094 | ||
| 5319M | 332 | 342 | 10 | 0.095 | 0.076 | ||
| 5319M | 342 | 352 | 10 | 0.090 | 0.076 | ||
| 5319M | 352 | 362 | 10 | 0.090 | 0.129 | ||
| 4257 | 299 | 309 | 10 | 0.355 | 0.198 | 0.341 | 0.283 |
| 4257 | 309 | 319 | 10 | 0.260 | 0.181 | ||
| 4257 | 319 | 329 | 10 | 0.691 | 0.661 | ||
| 4257 | 329 | 339 | 10 | 0.305 | 0.283 | ||
| 4257 | 339 | 349 | 10 | 0.155 | 0.111 | ||
| 4257 | 349 | 359 | 10 | 0.282 | 0.266 | ||
| 4217 | 199 | 209 | 10 | 0.958 | 0.612 | 0.475 | 0.368 |
| 4217 | 209 | 219 | 10 | 0.256 | 0.215 | ||
| 4217 | 219 | 229 | 10 | 0.191 | 0.283 | ||
| 4217 | 229 | 239 | 10 | 0.332 | 0.300 | ||
| 4217 | 239 | 249 | 10 | 0.818 | 0.531 | ||
| 4217 | 249 | 259 | 10 | 0.296 | 0.266 | ||
| 4203 | 268 | 278 | 10 | 0.360 | 0.350 | 1.662 | 1.470 |
| 4203 | 278 | 288 | 10 | 5.470 | 4.160 | ||
| 4203 | 288 | 298 | 10 | 0.555 | 0.677 | ||
| 4203 | 298 | 308 | 10 | 0.203 | 0.181 | ||
| 4203 | 308 | 318 | 10 | 0.622 | 0.416 | ||
| 4203 | 318 | 328 | 10 | 2.760 | 3.038 | ||
| 4195 | 99 | 117 | 18 | 0.720 | 0.367 | 1.076 | 0.745 |
| 4195 | 117 | 129 | 12 | 3.070 | 1.802 | ||
| 4195 | 129 | 139 | 10 | 1.320 | 1.027 | ||
| 4195 | 139 | 149 | 10 | 0.521 | 0.531 | ||
| 4195 | 149 | 169 | 20 | 0.355 | 0.416 | ||
| 3135 | 448 | 458 | 10 | 0.065 | 0.072 | 0.057 | 0.062 |
| 3135 | 458 | 468 | 10 | 0.068 | 0.058 | ||
| 3135 | 468 | 478 | 10 | 0.049 | 0.058 | ||
| 3135 | 478 | 488 | 10 | 0.067 | 0.072 | ||
| 3135 | 488 | 498 | 10 | 0.036 | 0.030 | ||
| 3135 | 498 | 508 | 10 | 0.055 | 0.085 | ||
| 3104 | 128 | 138 | 10 | 0.039 | 0.183 | 0.268 | 0.238 |
| 3104 | 138 | 148 | 10 | 0.227 | 0.195 | ||
| 3104 | 148 | 158 | 10 | 0.283 | 0.256 | ||
| 3104 | 158 | 168 | 10 | 0.126 | 0.117 | ||
| 3104 | 168 | 178 | 10 | 0.667 | 0.441 | ||
| 3104 | 468 | 479.5 | 11.5 | 0.938 | 0.433 | 0.544 | 0.348 |
| 3104 | 479.5 | 488 | 8.5 | 0.465 | 0.278 | ||
| 3104 | 488 | 498 | 10 | 0.389 | 0.234 | ||
| 3104 | 498 | 508 | 10 | 0.470 | 0.428 | ||
| 3104 | 508 | 518 | 10 | 0.386 | 0.345 | ||
| 3082 | 349 | 359 | 10 | 0.821 | 0.787 | 0.714 | 0.644 |
| 3082 | 359 | 369 | 10 | 0.561 | 0.575 | ||
| 3082 | 369 | 379 | 10 | 0.703 | 0.638 | ||
| 3082 | 379 | 389 | 10 | 0.695 | 0.573 | ||
| 3082 | 389 | 401.9 | 12.9 | 0.754 | 0.622 |
Northern Dynasty Minerals Ltd.
2023 Amended Technical Report on the
Pebble Project, Southwest Alaska
| Page 148 |

The results of the blind, hindsight validation study confirm that the following regression equation:
Re=0.002269 · Mo0.951
produces excellent predictions of rhenium at the scale of the sample interval and even better predictions at the scale of the resource blocks. Even though there is a small bias in the predictions for the 50 samples chosen for the validation study, it is slight and is considered to be conservative.
The regression equation was used to populate missing rhenium analyses into the drill database and these values along with the existing rhenium results were used to estimate rhenium into the Pebble block model.
14.4 Exploratory Data Analysis
14.4.1 Assays
Global descriptive statistics for all non-zero copper, gold, silver, molybdenum, and rhenium assays are presented in
Table 14‑5 Pebble Deposit Assay Database Descriptive Global Statistics.
Table 14‑5 Pebble Deposit Assay Database Descriptive Global Statistics
| Statistic (Non-zero) | Length (ft) | Ag (ppm) | Au (g/t) | Cu (%) | Mo (ppm) | Re (ppm) |
| Mean | 9.97 | 1.57 | 0.32 | 0.33 | 191.3 | 0.33 |
| Median | 10.00 | 1.00 | 0.23 | 0.26 | 130 | 0.22 |
| Standard Deviation | 1.86 | 5.02 | 1.50 | 0.31 | 298.26 | 0.49 |
| Coefficient of Variation | 0.19 | 3.20 | 4.63 | 0.94 | 1.56 | 1.49 |
| Kurtosis | 23.31 | 30529 | 41613 | 28.36 | 2,455 | 1285 |
| Skewness | 2.1 | 155.3 | 189.9 | 2.9 | 29.00 | 20.26 |
| Minimum | 0.001 | 0.1 | 0.001 | 0.001 | 0.20 | 0.001 |
| Maximum | 55 | 1030 | 334.8 | 9.29 | 32200 | 43.93 |
| Count | 59105 | 58876 | 59114 | 58912 | 59114 | 58093 |
Descriptive statistics were generated for each of the metal domains and these are summarized graphically as box-and-whisker plots in Figure 14‑6 Pebble Deposit Copper Assay Domain Box and Whisker Plots to Figure 14‑10.
Northern Dynasty Minerals Ltd.
2023 Amended Technical Report on the
Pebble Project, Southwest Alaska
| Page 149 |

Figure 14‑6 Pebble Deposit Copper Assay Domain Box and Whisker Plots

Note: M = arithmetic mean
Northern Dynasty Minerals Ltd.
2023 Amended Technical Report on the
Pebble Project, Southwest Alaska
| Page 150 |

Figure 14‑7 Pebble Deposit Gold Assay Domain Box and Whisker Plots

Note: M = arithmetic mean
Northern Dynasty Minerals Ltd.
2023 Amended Technical Report on the
Pebble Project, Southwest Alaska
| Page 151 |

Figure 14‑8 Pebble Deposit Molybdenum Assay Box and Whisker Plots

Note: M = arithmetic mean
Northern Dynasty Minerals Ltd.
2023 Amended Technical Report on the
Pebble Project, Southwest Alaska
| Page 152 |

Figure 14‑9 Pebble Deposit Silver Assay Box-and-Whisker Plots

Note: M = arithmetic mean
Northern Dynasty Minerals Ltd.
2023 Amended Technical Report on the
Pebble Project, Southwest Alaska
| Page 153 |

Figure 14‑10 Pebble Deposit Rhenium Assay Box-and-Whisker Plots

As described in Section 14.3 there are four basic domains for copper, gold, molybdenum, silver and rhenium, plus additional leach and supergene domains for copper. A north-south soft boundary separates the flat-lying western portion of the deposit from the gently east-dipping eastern portion of the deposit and it is for this reason that the deposit is broadly divided into east and west halves despite physical continuity. The eastern portion of the deposit is divided into northern and southern quadrants by an east-west fault (the ZE fault) which always defines a hard boundary between these two zones.
Northern Dynasty Minerals Ltd.
2023 Amended Technical Report on the
Pebble Project, Southwest Alaska
| Page 154 |

For copper, gold, and silver the west half of the deposit has a flat lying, near surface high-grade domain (41) which is underlain by a low-grade domain (40). As indicated on the box-and-whisker plots (Figure 14‑6 Pebble Deposit Copper Assay Domain Box and Whisker Plots, Figure 14‑7 Pebble Deposit Gold Assay Domain Box and Whisker Plots, Figure 14‑9) there is a marked difference in mean grades for these zones and, as such, these domains are separated by a planar, gently east-dipping hard boundary that extends into the eastern portion of the deposit beneath the northeast and southeast hypogene domains.
For molybdenum and rhenium the west half of the deposit has a thin, flat lying near surface low grade domain (40) which is underlain by a higher-grade domain (41) as shown by the grades in the box-and-whisker plots (Figure 14‑8 Pebble Deposit Molybdenum Assay Box and Whisker Plots and Figure 14‑10). These domains are separated by a planar, flat lying hard boundary that extends into the eastern portion of the deposit into the upper reaches of the northeast and southeast hypogene domains.
The box-and-whisker plots also indicate that the fault-bounded domains (42, 43) have similar average grades for all metals however their separation into domains by a hard boundary is required due the displacement along the ZE fault plane. The copper leach zone is also clearly distinguishable although the supergene zone is not markedly different from the other high-grade domains. Five of the six domains are shown in Figure 14‑11. This east-west section is located north of the east west trending ZE fault so zone 43 is not visible. The east-west divide is clearly visible between zones 41 in the west and 42 in the east.
Figure 14‑11 Pebble Deposit Copper Grade Domains

Northern Dynasty Minerals Ltd.
2023 Amended Technical Report on the
Pebble Project, Southwest Alaska
| Page 155 |

14.4.2 Capping
Capping is the process of reducing statistically anomalous high values (outliers) within a sample population in order to avoid the disproportionate influence these values could have on block estimation. The determination of appropriate capping levels is subjective but is commonly established by reference to cumulative frequency plots of the metal assays. Prominent breaks in the plot line, particularly at the upper end, infer a sub-population of values separate from the main population. The break in the trend defines the capping value and all assays above that point are reduced to the capping value.
Capping values applied to the Pebble assays were determined for each domain and are shown in Table 14‑6.
Table 14‑6 Pebble Deposit Capping Values
| Code | Explanation | Units | Cap |
| 40 | Ag - Hypogene at depth | g/t | 35 |
| 41 | Ag - Hypogene West near surface | g/t | 19 |
| 42 | Ag - North of ZE fault | g/t | 13 |
| 43 | Ag - South of ZE fault | g/t | 70 |
| 40 | Au - Hypogene at depth | g/t | 2.8 |
| 41 | Au - Hypogene West near surface | g/t | 7.0 |
| 42 | Au - North of ZE fault | g/t | 7.7 |
| 43 | Au - South of ZE fault | g/t | 4.3 |
| 1 | Cu - Leach | % | 0.25 |
| 2 | Cu - Supergene | % | 2.2 |
| 40 | Cu - Hypogene at depth | % | 0.8 |
| 41 | Cu - Hypogene West near surface | % | 2.0 |
| 42 | Cu - North of ZE fault | % | 2.4 |
| 43 | Cu - South of ZE fault | % | 2.4 |
| 40 | Mo - Below 70ppm cap | ppm | 300 |
| 41 | Mo - Above 70ppm cap west | ppm | 2100 |
| 42 | Mo - Above 70ppm cap, north of ZE fault | ppm | 2800 |
| 43 | Mo - Above 70ppm cap, south of ZE fault | ppm | 2800 |
| 40 | Re - Below 70ppm cap | ppm | 0.7 |
| 41 | Re - Above 70ppm cap west | ppm | 3.0 |
| 42 | Re - Above 70ppm cap, north of ZE fault | ppm | 3.9 |
| 43 | Re - Above 70ppm cap, south of ZE fault | ppm | 5.8 |
14.4.3 Composites
Compositing to a common length overcomes the influence of sample length on grade weighting within the resource estimate. Samples were composited to 50 ft lengths to match the anticipated bench height. Although the compositing is not intended to ensure the composite intervals will coincide with the benches, the composite length results in grades that match the resolution of those that can be expected from bench-scale sampling. The number of composites and their mean values, are given in Table 14‑7.
Northern Dynasty Minerals Ltd.
2023 Amended Technical Report on the
Pebble Project, Southwest Alaska
| Page 156 |
Table 14‑7 Pebble Deposit Composite Mean Values
| Metal | Composites | Mean |
| Ag (g/t) | 16,210 | 1.17 |
| Au (g/t) | 12,254 | 0.31 |
| Cu (%) | 16,184 | 0.24 |
| Mo (ppm) | 16,170 | 140 |
| Re (ppm) | 11.914 | 0.32 |
| Bulk Density (g/cm3) | 9,830 | 2.62 |
14.5 Bulk Density
The database contains values for 9,830 bulk density measurements. These measurements were made on 0.1 m samples of drill core selected from locations throughout the Pebble deposit so as to reasonably reflect deposit-wide variations in rock mass. These values were not composited because they are spatially isolated and not appropriate for compositing; hence were employed directly in the interpolation process. Five separate bulk density domains were identified:
|
| 1. | Pyrite cap within the western portion of the deposit (SGZ1); |
|
|
|
|
|
| 2. | Pyrite cap within the eastern portion of the deposit (SGZ2); |
|
|
|
|
|
| 3. | Cretaceous hanging wall (SGZ3); |
|
|
|
|
|
| 4. | Tertiary unmineralized rock east of the ZG1 Fault (SGZ10); and, |
|
|
|
|
|
| 5. | Tertiary unmineralized rock west of the ZG1 Fault (SGZ11). |
The kriged bulk density measurements within these domains were used to calculate tonnages.
14.6 Spatial Analysis
The Pebble variography and search ellipse parameters are presented in Table 14‑8 and Table 14‑9, respectively.
Northern Dynasty Minerals Ltd.
2023 Amended Technical Report on the
Pebble Project, Southwest Alaska
| Page 157 |

Table 14‑8 Pebble Deposit Variogram Parameters
| Domain | Variogram Weights | S1 Axis Range (ft) | S2 Axis Range (ft) | ||||||
| S0 | S1 | S2 | Major | Semi-major | Minor | Major | Semi-major | Minor | |
| Ag40 | 0.52 | 0.41 | 0.00 | 750 | 475 | 1,500 | 0 | 0 | 0 |
| Ag41 | 0.30 | 0.33 | 0.00 | 450 | 360 | 475 | 0 | 0 | 0 |
| Ag42 | 0.08 | 0.34 | 0.26 | 600 | 600 | 600 | 700 | 2,250 | 1,500 |
| Ag43 | 0.13 | 0.49 | 0.00 | 1,300 | 800 | 1,200 | 0 | 0 | 0 |
| Au40 | 0.46 | 0.54 | 0.00 | 700 | 700 | 350 | 0 | 0 | 0 |
| Au41 | 0.16 | 0.26 | 0.29 | 250 | 250 | 200 | 1,200 | 850 | 800 |
| Au42 | 0.43 | 0.57 | 0.00 | 1,100 | 1,500 | 800 | 0 | 0 | 0 |
| Au43 | 0.20 | 0.70 | 0.00 | 900 | 600 | 450 | 0 | 0 | 0 |
| Cu1 | 0.31 | 0.48 | 0.21 | 700 | 700 | 350 | 700 | 700 | 350 |
| Cu2 | 0.40 | 0.60 | 0.00 | 900 | 520 | 520 | 0 | 0 | 0 |
| Cu40 | 0.15 | 0.60 | 0.00 | 1,400 | 1,300 | 550 | 0 | 0 | 0 |
| Cu41 | 0.11 | 0.25 | 0.30 | 450 | 700 | 450 | 4,000 | 1,300 | 1,300 |
| Cu42 | 0.13 | 0.12 | 0.30 | 370 | 500 | 700 | 1,400 | 1,100 | 700 |
| Cu43 | 0.12 | 0.49 | 0.00 | 1,500 | 1,300 | 500 | 0 | 0 | 0 |
| Mo40 | 0.28 | 0.72 | 0.00 | 900 | 200 | 450 | 0 | 0 | 0 |
| Mo41 | 0.19 | 0.16 | 0.30 | 600 | 1,000 | 500 | 1,700 | 1,000 | 1,600 |
| Mo42 | 0.38 | 0.19 | 0.35 | 1,200 | 1,200 | 1,200 | 1,200 | 1,200 | 1,200 |
| Mo43 | 0.47 | 0.23 | 0.30 | 1,300 | 1,900 | 900 | 1,900 | 2,000 | 1,000 |
| Re40 | 0.20 | 0.07 | 0.73 | 150 | 150 | 120 | 1500 | 900 | 700 |
| Re41 | 0.27 | 0.31 | 0.42 | 160 | 260 | 325 | 900 | 700 | 575 |
| Re42 | 0.29 | 0.20 | 0.51 | 400 | 400 | 400 | 1200 | 1200 | 1100 |
| Re43 | 0.38 | 0.05 | 0.57 | 300 | 300 | 300 | 1700 | 1700 | 850 |
| SG0 | 0.44 | 0.56 | 0.00 | 1,350 | 1,350 | 800 | 0 | 0 | 0 |
| SG10 | 0.34 | 0.41 | 0.00 | 1,350 | 850 | 950 | 0 | 0 | 0 |
| SG1 | 0.46 | 0.54 | 0.00 | 640 | 485 | 450 | 0 | 0 | 0 |
| SG2 | 0.37 | 0.63 | 0.00 | 1,700 | 1,280 | 500 | 0 | 0 | 0 |
| SG3 | 0.42 | 0.40 | 0.00 | 1,825 | 1,610 | 900 | 0 | 0 | 0 |
Northern Dynasty Minerals Ltd.
2023 Amended Technical Report on the
Pebble Project, Southwest Alaska
| Page 158 |

Table 14‑9 Pebble Deposit Search Ellipse Parameters
| Domain | Ellipse Orientation (°) | Ellipse Dimensions (ft) | ||||
| Bearing | Plunge | Dip | Major | Semi-major | Minor | |
| Ag40 | 120.0 | 0.0 | 60.0 | 565 | 355 | 1,125 |
| Ag41 | 180.0 | 0.0 | 0.0 | 340 | 270 | 355 |
| Ag42 | 130.0 | 0.0 | -60.0 | 525 | 1,690 | 1,125 |
| Ag43 | 20.0 | 40.0 | 0.0 | 975 | 600 | 900 |
| Au40 | 0.0 | -0.5 | 0.0 | 510 | 510 | 260 |
| Au41 | 70.0 | 0.0 | -0.5 | 800 | 600 | 560 |
| Au42 | 290.0 | 20.0 | 0.0 | 825 | 1,110 | 600 |
| Au43 | 79.0 | -17.0 | -10.0 | 715 | 460 | 350 |
| Cu1 | 40.0 | 0.0 | 0.0 | 550 | 530 | 270 |
| Cu2 | 30.0 | 0.0 | -0.5 | 675 | 390 | 400 |
| Cu40 | 72.0 | -30.0 | -28.0 | 1,100 | 1,020 | 425 |
| Cu41 | 53.0 | -20.0 | -79.0 | 2,900 | 950 | 950 |
| Cu42 | 290.0 | 40.0 | -0.5 | 1,023 | 830 | 540 |
| Cu43 | 310.0 | 58.0 | -17.0 | 1,180 | 1,030 | 400 |
| Mo40 | 160.0 | 0.0 | 90.0 | 720 | 155 | 350 |
| Mo41 | 180.0 | 0.0 | -90.0 | 1,200 | 800 | 1,200 |
| Mo42 | 130.0 | 0.5 | -90.0 | 900 | 890 | 900 |
| Mo43 | 143.0 | -68.0 | -26.0 | 1,230 | 1,430 | 710 |
| Re40 | 79.0 | -7.0 | -19 | 1500 | 900 | 700 |
| Re41 | 340 | 0 | 0 | 900 | 700 | 575 |
| Re42 | 324 | 29 | -78 | 1200 | 1200 | 1100 |
| Re43 | 60 | 0 | -80 | 1700 | 1700 | 850 |
| SG0 | 30.0 | 0.0 | 0.0 | 1,000 | 1,000 | 600 |
| SG10 | 40.0 | 0.0 | -90.0 | 1,050 | 450 | 550 |
| SG1 | 88.0 | 6.0 | 40.0 | 450 | 350 | 325 |
| SG2 | 117.0 | -34.0 | 22.0 | 1,300 | 1,000 | 370 |
| SG3 | 80.0 | 0.0 | 0.0 | 1,300 | 1,200 | 660 |
14.7 Resource Block Model
The block model parameters are set out in Table 14‑10.
Northern Dynasty Minerals Ltd.
2023 Amended Technical Report on the
Pebble Project, Southwest Alaska
| Page 159 |

Table 14‑10 Pebble Deposit 2020 Block Model Parameters
| Origin* | Coordinates | Dimensions | Number | Size (ft) | Rotation (°) |
| x | 1396025 | Columns | 279 | 75 | 0 |
| Y | 2147800 | Rows | 246 | 75 | - |
| Z | -5500 | Levels | 150 | 50 | - |
14.8 Interpolation Plan
Grade interpolation was carried out in three passes: the search ellipse used for the first pass had axes that measured 95% of the variographic range (those shown in Table 14-9), the second pass used search ellipse axes equal to 150% of the range and the third pass used search ellipse dimensions equal to 300% of the range.
The first and second passes were limited to a minimum of eight and a maximum of 24 composites, with a maximum of three composites from any one drill hole. For the third pass the minimum number of composites was set to five.
Domain boundaries were ‘hard’ (interpolation using composites only from within a given domain) with the exception of the east-west divide. The boundary restrictions are set out in Table 14‑11.
Northern Dynasty Minerals Ltd.
2023 Amended Technical Report on the
Pebble Project, Southwest Alaska
| Page 160 |

Table 14‑11 Pebble Deposit Interpolation Domain Boundaries
| Domain Estimated | Domains Sourced |
| Ag40 | Ag zone 40 |
| Ag41 | Ag zone 41, 42, 43 |
| Ag42 | Ag zone 42, 41 |
| Ag43 | Ag zone 43, 41 |
| Au40 | Ag zone 40 |
| Au41 | Au zone 41, 42, 43 |
| Au42 | Au zone 42, 41 |
| Au43 | Au zone 43, 41 |
| Cu1 | Cu zone 1 |
| Cu2 | Cu zone 2 |
| Cu40 | Cu zone 40 |
| Cu41 | Cu zone 41, 42, 43 |
| Cu42 | Cu zone 42, 41 |
| Cu43 | Cu zone 43, 41 |
| Mo40 | Mo zone 40 |
| Mo41 | Mo zone 41, 42, 43 |
| Mo42 | Mo zone 42, 41 |
| Mo43 | Mo zone 43, 41 |
| Re40 | Mo zone 40 |
| Re41 | Mo zone 41, 42, 43 |
| Re42 | Mo zone 42, 41 |
| Re43 | Mo zone 43, 41 |
14.9 Reasonable Prospects of Economic Extraction
The resource estimate is constrained by a conceptual pit that was developed using a Lerchs-Grossman algorithm and is based on the parameters set out in Table 14‑12.
Northern Dynasty Minerals Ltd.
2023 Amended Technical Report on the
Pebble Project, Southwest Alaska
| Page 161 |

Table 14‑12 Pebble Deposit Conceptual Pit Parameters
| Parameter | Units | Cost ($) | Value | |
| Metal Price | Gold | $/oz | - | 1540.00 |
| Copper | $/lb | - | 3.63 | |
| Molybdenum | $/lb | - | 12.36 | |
| Silver | $/oz |
| 20.00 | |
| Metal Recovery | Copper | % | - | 91 |
| Gold | % | - | 61 | |
| Molybdenum | % | - | 81 | |
| Silver | % | - | 67 | |
| Operating Cost | Mining (mineralized material or waste) | $/ton mined | 1.01 | - |
| Added haul lift from depth | $/ton/bench | 0.03 | - | |
| Process | ||||
| -Process cost adjusted by total crushing energy | $/ton milled | 4.40 | - | |
| -Transportation | $/ton milled | 0.46 | - | |
| -Environmental | $/ton milled | 0.70 | - | |
| -G&A | $/ton milled | 1.18 | - | |
| Block Model | Current block model | ft | - | 75 x 75 x 50 |
| Density | Mineralized material and waste rock | - | - | Block model |
| Pit Slope Angles | - | degrees | - | 42 |
For further discussion regarding factors that might affect reasonable prospects for economic extraction, please refer to Section 14.15.
14.10 Mineral Resource Classification
Resources are classified as Measured, Indicated and Inferred. For a block to qualify as Measured, the average distance to the nearest three drill holes must be 250 ft or less of the block centroid. For a block to qualify as Indicated, the average distance from the block centroid to the nearest three holes must be 500 ft or less. For a block to qualify as Inferred it will generally be within 600 ft laterally and 300 ft vertically of a single drill hole. Blocks were plotted according to the above criteria and then individual 3D solids were created encompassing the block extents while eliminating outliers. These solids were then used to assign the final block classification.
14.11 Copper Equivalency
The resource has been tabulated on the basis of copper equivalency (CuEq); gold and molybdenum are converted to equivalent copper grade and those equivalencies are added to the copper grade. Neither silver nor rhenium grades were estimated prior to 2014 and 2020 respectively; therefore, to permit a direct comparison between previous resource estimates, neither metal was included in the current CuEq calculation. To further maintain the comparison between the previous and current estimates, the CuEq formula is predicated upon the metal prices and metal recoveries used in the 2011 estimate. This does not affect the actual metal grades reported, only their equivalent copper grades when calculating the copper equivalent value.
Northern Dynasty Minerals Ltd.
2023 Amended Technical Report on the
Pebble Project, Southwest Alaska
| Page 162 |

Metallurgical testing has determined that metal recoveries in the eastern portion of the deposit (west of State plane easting 1405600) can be expected to be higher than those for the western portion of the deposit. Therefore, separate equivalency estimates were made for the western and eastern portions of the deposit. The formulae used for the conversion are given as follows:
| CuEq General Equation = |
| Cu% + ((Au g/t * (Au recovery / Cu recovery) * (Au $ per gram / Cu $ per %)) + ((Mo % *(Mo recovery / Cu recovery) * ((Mo $ per %) / Cu $ per %)) |
|
|
|
|
| CuEq (Pebble West) = |
| Cu% + ((Au g/t * (0.696/0.85) * (29.00/40.75)) + ((Mo % * (0.778/0.85) * (275.58/40.79)) |
|
|
|
|
| CuEq (Pebble East) = |
| Cu% + ((Au g/t * (0.768/0.893) * (29.00/40.79)) + ((Mo % * (0.837/0.893) * (275.58/40.79)) |
Where:
|
| · | Pebble West Au recovery = 69.6%; |
|
|
|
|
|
| · | Pebble East Au recovery = 76.8%; |
|
|
|
|
|
| · | Pebble West Cu recovery = 85%; |
|
|
|
|
|
| · | Pebble East Cu recovery = 89.3%; |
|
|
|
|
|
| · | Pebble West Mo recovery = 77.8%; |
|
|
|
|
|
| · | Pebble East Mo recovery = 83.7%; |
|
|
|
|
|
| · | Cu price = $1.85/lb; |
|
|
|
|
|
| · | Au price = $902/oz; |
|
|
|
|
|
| · | Mo price = $12.50/lb; |
|
|
|
|
|
| · | all metal prices are based on the estimate in the 2011 technical report; |
|
|
|
|
|
| · | g/oz = 31.10348; and, |
|
|
|
|
|
| · | lb/% = 22.046. |
14.12 Cutoff Grade
Previous resource estimates for the Pebble deposit used a 0.3% CuEq cutoff grade and the QP believes maintaining that cutoff for consistency is important for eliminating the volatility which a “current” cut-off would incur. To confirm the 0.3% CuEq cutoff is still valid, the following calculation was completed using recent data:
|
| · | Copper price – $3.50 /lb |
|
| · | Copper concentrate – 26% Cu |
Northern Dynasty Minerals Ltd.
2023 Amended Technical Report on the
Pebble Project, Southwest Alaska
| Page 163 |

|
| · | Payable copper – 82% of mined copper (with metallurgical recovery and smelter deductions) |
|
| · | Realization charges: |
|
| o | Copper treatment charges – $70 /dmt |
|
| o | Copper refining charges – $0.07 /lb |
|
| o | Copper concentrate ocean shipping – $50 /wmt (assume 7% moisture) |
|
| · | Realization charges per pound of mined copper: |
|
| o | Copper treatment charges – $0.15 /lb of mined copper |
|
| o | Copper refining charges – $0.09 /lb of mined copper |
|
| o | Copper concentrate ocean shipping – $0.11 /lb of mined copper |
|
| o | Total realization charges – $0.35 /lb of mined copper |
|
| · | Unit net revenue – $2.52 /lb of mined copper |
|
| · | Operating costs – $10.96 /ton |
|
| · | Cutoff grade calculation: |
|
| o | Mined copper with value equal to operating costs – 4.35 lb |
|
| o | Equivalent grade – 0.22% CuEq |
Given this calculation, it is evident the 0.3% CuEq cutoff grade is conservative and understates the size of the resource. Furthermore the cutoff is consistent with previous Pebble resource estimates, offering the advantage of direct comparison with those tallies.
14.13 Block Model Validation
The resource estimate was validated in two ways.
The block model was inspected visually for correspondence between composite grades and block grades. This inspection was carried out on vertical sections at 100-foot intervals both east-west and north-south. There is close agreement between composite and block grades. By way of example, Figure 14‑12 shows the correlation between block and composite copper grades for vertical section 2158700 N.
Northern Dynasty Minerals Ltd.
2023 Amended Technical Report on the
Pebble Project, Southwest Alaska
| Page 164 |

Figure 14‑12 Pebble Deposit Vertical Section 2158700N Block and Composite Copper Grades; Section Line Location Shown in Figure 7‑3

The second type of validation consisted of swath plot analysis in which the variation in metal grade for both estimated blocks and informing samples is compared along a nominated section. The comparison for copper, gold, molybdenum and rhenium presented in Figure 14‑13 to Figure 14‑16 shows that there is reasonable agreement between the two.
Northern Dynasty Minerals Ltd.
2023 Amended Technical Report on the
Pebble Project, Southwest Alaska
| Page 165 |

Figure 14‑13 Copper Swath Plot at 2157000N

Figure 14‑14 Gold Swath Plot at 2157000N

Northern Dynasty Minerals Ltd.
2023 Amended Technical Report on the
Pebble Project, Southwest Alaska
| Page 166 |

Figure 14‑15 Molybdenum Swath Plot at 2157000N

Figure 14‑16 Rhenium Swath Plot at 2157000N

Northern Dynasty Minerals Ltd.
2023 Amended Technical Report on the
Pebble Project, Southwest Alaska
| Page 167 |

14.14 Comparison with Previous Estimate
This resource estimate represents an update to the previous Pebble resource estimate only in that the quantities of recoverable metal have been added to the resource table. No other work or additional information has been added to the previously estimated metal grades (copper, gold, molybdenum, silver) so they have not changed from that previously reported, nor has the deposit’s overall tonnage.
14.15 Factors that may Affect the Resource Estimates
These mineral resource estimates may ultimately be affected by a broad range of environmental, permitting, legal, title, socio-economic, marketing, and political factors pertaining to the specific characteristics of the Pebble deposit (including its scale, location, orientation and polymetallic nature) as well as its setting (from a natural, social, jurisdictional and political perspective).
The mineral resource estimates contained herein have not been adjusted for any risk that the required environmental permits may not be obtained for the Pebble Project. The QP has reviewed the technical information and other factors that may affect the estimate including permitting and external legal counsel's letter regarding the remand of the negative ROD and Final Determination, and believes that there is reasonable prospects of economic extraction.
Other relevant factors which may affect the mineral resource estimate include changes to the geological, geotechnical and geometallurgical models, infill drilling to convert mineral resources to a higher classification, drilling to test for extensions to known resources, collection of additional bulk density data and significant changes to commodity prices. It should be noted that all factors pose potential risks and opportunities, of greater or lesser degree, to the current mineral resource.
Northern Dynasty Minerals Ltd.
2023 Amended Technical Report on the
Pebble Project, Southwest Alaska
| Page 168 |

15.0 ADJACENT PROPERTIES
There are no properties adjacent to the Pebble Project relevant to this report.
Northern Dynasty Minerals Ltd.
2023 Amended Technical Report on the
Pebble Project, Southwest Alaska
| Page 169 |

16.0 OTHER RELEVANT DATA AND INFORMATION
16.1 Project Setting
16.1.1 Jurisdictional Setting
The Pebble Project is located in Alaska, a state with a constitution that encourages resource development and a citizenry that broadly supports such development. Alaska has a strong tradition of mineral development and hard-rock mining.
Environmental standards and permitting requirements in Alaska are stable, objective, rigorous and science-driven. These features are an asset to projects like Pebble that are being designed to meet U.S. and international best practice standards of design and performance. Alaska has an experienced Large Mine Permitting Team (LMPT) to facilitate the permitting process and ensure an integrated strategy for federal and state permitting.
The Pebble deposit is located on state land that has been specifically designated for mineral exploration and development. The Pebble Project area has been the subject of two comprehensive land-use planning exercises conducted by the ADNR; the first in the 1980s and the second completed in 2005. ADNR identified five land parcels (including Pebble) within the Bristol Bay planning area as having “significant mineral potential,” and where the planning intent is to accommodate mineral exploration and development. These parcels total 2.7% of the total planning area (ADNR, 2005).
16.1.2 Environmental and Social Setting
The Pebble deposit is located under rolling, permafrost-free terrain in the Iliamna region of southwest Alaska, approximately 200 miles southwest of Anchorage and 60 miles west of Cook Inlet. The surface elevation over the deposit ranges from approximately 800 to 1,200 ft amsl, although mountains in the region reach 3,000 to 4,000 ft amsl. Vegetation generally consists of wetland and scrub communities with some coniferous and deciduous forested areas that become more common eastward toward the Aleutian Range.
The deposit area lies at a drainage divide between the Nushagak River and Kvichak River systems (Figure 16‑1). The Nushagak River system drains to Bristol Bay at Dillingham, 220 river miles southwest of the deposit area. The Kvichak River system drains into Bristol Bay near the community of Naknek, 140 river/lake miles to the southwest.
The tributaries of the Nushagak River in the deposit area are the North Fork Koktuli (NFK), South Fork Koktuli (SFK), while the tributary of the Kvichak River is Upper Talarik Creek (UTC). The deposit area is within the uppermost reaches of these streams and their flow is small within the project footprint. Approximately 17 miles from the deposit area, the NFK and SFK streams merge to form the main Koktuli River. The Koktuli River is tributary to the lower Mulchatna River, which drains Figure 16‑1 via the lower Nushagak River to Bristol Bay at Dillingham, 220 river miles southwest of the deposit area. The UTC flows into Iliamna Lake, which in turn drains into Bristol Bay via the Kvichak River 140 river/lake miles to the southwest (Figure 16‑1).
Northern Dynasty Minerals Ltd.
2023 Amended Technical Report on the
Pebble Project, Southwest Alaska
| Page 170 |
Figure 16‑1 Bristol Bay Watersheds

The Kvichak and Nushagak River systems are two of nine major systems that drain to Bristol Bay and support important Pacific salmon runs, most notably sockeye salmon (Jones et al., 2013). The Kvichak and Nushagak watersheds total 22,965 square miles, of which the NFK, SFK and UTC watersheds comprise only 355 square miles, or approximately 0.8% of the total Bristol Bay watershed of 45,246 square miles (USGS 2013). Government data indicate that, over the past decades, the combined Kvichak and Nushagak river systems have contributed about 20 to 30% of total Bristol Bay sockeye salmon escapement. This means approximately 70 to 80% of Bristol Bay sockeye production is hydrologically isolated from any potential effects of the Pebble Project.
Based on field studies conducted by the Pebble Partnership over ten years, along with other government studies, e.g. Alaska Department of Fish and Game (ADFG) 2009, independent consultants estimated the NFK, SFK and UTC watersheds generally produce less than 0.5% of the total Bristol Bay sockeye run (harvest plus escapement). The NFK and SFK watersheds, within which all major mine site infrastructure for the Pebble Project is located, produces less than 1/10th of 1% (or <0.1%) of all Bristol Bay sockeye.
Wildlife using the deposit area includes various species of raptors and upland birds, brown bear, caribou and moose. Although no listed species are known to use the deposit area, several species listed under the Endangered Species Act—Steller’s eider, northern sea otter, Steller sea lion, humpback whale, and the Cook Inlet beluga whale—as well as harbour seals protected under the Marine Mammal Protection Act, are known to be present in Cook Inlet and some western Cook Inlet shoreline communities.
Northern Dynasty Minerals Ltd.
2023 Amended Technical Report on the
Pebble Project, Southwest Alaska
| Page 171 |

The Pebble deposit area and areas of potential transportation corridors are isolated and sparsely populated. The Pebble deposit is located within the Lake and Peninsula Borough, which has a population of about 1,500 persons in 18 communities. The closest villages – Iliamna, Newhalen and Nondalton – lie approximately 17-19 miles from the deposit site. Pedro Bay, a small village 43 miles from the deposit, sits adjacent to the proposed transportation corridor. The population of Newhalen, the largest village, is about 215 full-time residents. A road connects the villages of Newhalen and Iliamna and extends to a proposed crossing of the Newhalen River just south of Nondalton. Otherwise, there are only local roads in the villages. Another road connects Williamsport on Iliamna Bay in Cook Inlet with Pile Bay at the east end of Iliamna Lake. Summer barges up the Kvichak River and on Iliamna Lake provide some freight service into the communities on Iliamna Lake. All of the communities are serviced by an airport or airstrip to provide year-round access. The airport serving Iliamna and Newhalen is a substantial facility that is available to a wide range of aircraft.
The total population within the Bristol Bay region is approximately 7,000. The largest population center of the region is Dillingham, located on Bristol Bay approximately 125 miles southwest of the deposit. It has a about 2,200 full-time residents, or 30% of the region’s population.
16.2 Baseline Studies – Existing Environment
Northern Dynasty began an extensive field study program in 2004 to characterize the existing physical, chemical, biological and social environments in the Bristol Bay and Cook Inlet areas where the Pebble Project might occur. The Pebble Partnership compiled the data for the 2004 to 2008 study period into a multi-volume Environmental Baseline Document (EBD) (PLP, 2012). Supplemental environmental reports (SEBD) incorporate data collected from the period 2009 to 2012. Monitoring data collected through 2019 was provided to USACE. These studies have been designed to:
|
| · | fully characterize the existing biophysical and socioeconomic environment; |
|
|
|
|
|
| · | support environmental analyses required for effective input into the Pebble Project design; |
|
|
|
|
|
| · | provide a strong foundation for internal environmental and social impact assessment to support corporate decision making; |
|
|
|
|
|
| · | provide the information required for stakeholder consultation and eventual mine permitting in Alaska; and, |
|
|
|
|
|
| · | establish a baseline for long term monitoring to assess potential changes associated with future mine development. |
Northern Dynasty Minerals Ltd.
2023 Amended Technical Report on the
Pebble Project, Southwest Alaska
| Page 172 |

The baseline study program includes:
| · | surface water hydrology | · | wildlife |
| · | groundwater hydrology | · | air quality |
| · | surface and groundwater quality | · | cultural resources |
| · | geochemistry | · | subsistence |
| · | snow surveys | · | land use |
| · | fish and aquatic resources | · | recreation |
| · | noise | · | socioeconomics |
| · | wetlands | · | visual aesthetics |
| · | trace elements | · | climate and meteorology |
| · | fish habitat – stream flow modeling | · | Iliamna Lake |
| · | marine |
|
|
The following sections highlight key environmental topics; more detail is provided in the EBD (2012), SEBC and the Project EIS.
16.2.1 Climate and Meteorology
Meteorological monitoring data were collected from six meteorological stations located in the mine (Bristol Bay drainage) study area and three stations located in the Cook Inlet study area near Iliamna Bay (PLP, 2012). Meteorological monitoring in the area near the deposit occurs at an elevation between 800 to 2,300 ft amsl. Monitoring in the Cook Inlet study area occurs near sea level.
Data collected at all stations included wind speed and direction, wind direction standard deviation and air temperature. Collected data at stations where instrumentation has been installed include differential temperature, solar radiation, barometric pressure, relative humidity, precipitation and, in summer, evaporation. Meterological monitoring was suspended at the Pebble 1 station in 2014 and restarted in 2017. A new monitoring station was installed near the then proposed Amakdedori Port site in 2017. Monitoring at the remaining stations was suspended in 2013 after sufficient baseline data was collected.
Mean monthly temperatures in the deposit area range from about 50.8°F in July to 11.4°F in January. The mean annual precipitation is estimated to be 54.6 inches per year, about one-third of which falls as snow. The wettest months are August through October.
Northern Dynasty Minerals Ltd.
2023 Amended Technical Report on the
Pebble Project, Southwest Alaska
| Page 173 |

16.2.2 Surface Water Hydrology and Quality
16.2.2.1 SURFACE WATER HYDROLOGY
The Bristol Bay drainage basin encompasses 45,246 square miles in southwest Alaska. The map in Figure 16‑2 shows the study area, which is principally defined as the 355 square miles within the SFK, NFK and UTC drainages. The Nushagak and Kvichak watersheds constitute 51% of the Bristol Bay basin area (USGS 2013). The deposit location straddles the watershed boundary between the SFK and UTC and lies close to the headwaters of the NFK. The area studied near the deposit encompasses the drainages of these three watercourses as well as the headwaters of Kaskanak Creek. While the deposit area and potential mine footprint does not affect the Kaskanak Creek headwaters, it was included in the study design to allow for comprehensive long term monitoring of mine operations.
Figure 16‑2 Local Watershed Boundaries

Annual stream flow patterns in the mine study area are generally characterized by a bi-modal hydrograph with high flows in spring resulting from snowmelt and low flows in early to mid-summer resulting from dry conditions and depleting snowpacks. Frequent rainstorms in late summer and early autumn contribute to another high-flow period. The lowest flows occur in winter when most precipitation falls as snow and remains frozen until spring. Loss and gain of surface flow to groundwater plays a prominent role in the flow patterns of all study area creeks and rivers, causing some upstream sites to run dry seasonally while causing others to be dominated by baseflow due to gains.
Northern Dynasty Minerals Ltd.
2023 Amended Technical Report on the
Pebble Project, Southwest Alaska
| Page 174 |

During winter and summer low-flow periods, stream flows are primarily fed by groundwater discharge. Observed baseflows were higher during summers than winters due to snowmelt recharge of aquifers and intermittent rainstorms. Baseflows were lowest in late winter after several months without surface runoff. Low-flow conditions are also influenced by fluctuations in surface storage features such as lakes, ponds and wetlands; however, changes in surface storage are minimized during the late winter freeze.
16.2.2.2 SURFACE WATER QUALITY
Surface water quality sampling within the study area occurred between 2004 and 2014 at numerous locations in the NFK, SFK, UTC and KC drainages. Stream samples were collected from 44 locations during 50 sampling events from April 2004 through December 2008. Lake and pond samples were collected from 19 lakes once or twice per year during 2006 and 2007. Seep samples were collected from 11 to 127 sample locations, depending on the year, two to five times per year. Altogether, over 1,000 samples were collected from streams, more than 600 samples from seeps, and approximately 50 samples from lakes.
Surface water in the study area is characterized by cool, clear waters with near-neutral pH that are well-oxygenated, low in alkalinity, and generally low in nutrients and other trace elements. Water types ranged from calcium-magnesium-sodium-bicarbonate to calcium-magnesium-sodium-sulphate. Water quality occasionally exceeded Alaska water quality criteria for trace elements such as copper and iron, likely due to mineralized rock in the area. Additionally, cyanide was present in detectable concentrations; there were consistently detectable concentrations of dissolved organic carbon; and no detectable concentrations of petroleum hydrocarbons, polychlorinated biphenyls (PCBs), or pesticides found.
16.2.3 Groundwater Hydrology and Quality
16.2.3.1 GROUNDWATER HYDROLOGY
Beginning in 2004, Northern Dynasty established an extensive groundwater monitoring network across the study area. The Pebble Partnership expanded the monitoring network to refine the understanding of the groundwater flow regime; between 2004 and 2019 groundwater monitoring data were collected over variable periods of time at more than 500 monitoring locations.
The hydrostratigraphy of the Project area includes three main units: unconsolidated sediments, weathered bedrock, and competent bedrock. The unconsolidated sediments, deposited during multiple episodes of glaciation, have variable hydrogeologic properties ranging from highly permeable sands and gravels to very low permeability clays. The weathered bedrock unit, which outcrops along ridges and hilltops, tends to be more permeable than the underlying competent bedrock. No permafrost has been identified in the study area.
In 2019 six boreholes were drilled and instrumented to the northeast of the proposed open pit. The stratigraphy encountered in these holes was broadly similar, consisting of 90 to 100 ft of Quaternary glacial sediments overlying Tertiary conglomerate and Cretaceous granodiorite. Two 6 in. nominal diameter pumping wells were installed to target zones interpreted to be more permeable (ie weathered bedrock and Tertiary-Cretaceous contact). Monitoring wells were installed in the weathered bedrock and vibrating wire piezometers were installed in both bedrock units and unconsolidated sediments. Slug tests conducted in the two monitoring wells yielded hydraulic conductivity estimates for the weathered bedrock at this location ranging from the order of 10-3 to 10-5 ft/s.
Northern Dynasty Minerals Ltd.
2023 Amended Technical Report on the
Pebble Project, Southwest Alaska
| Page 175 |

In addition, a 72-hour pumping test was conducted in a previously installed pumping well in the Bulk Tailings Storage Facility Seepage Collection Pond area. The pumping test was conducted at a rate of approximately 4 gpm, and drawdown was observed in the pumping well and at instruments located approximately 30 ft away. Hydraulic conductivity estimates from this test for the interpreted bedrock aquifer were on the order of 10-6 ft/s, comparable to values for weathered bedrock from previous studies at the site.
Throughout the study area the water table mimics surface topography in a subdued fashion; it is generally located near or at ground surface in low-lying areas, and at greater depths near ridges and ridge tops. Flowing artesian conditions, where groundwater levels are above ground surface, are observed in some low-lying discharge areas. Groundwater elevations are typically observed to be lowest during the spring prior to snowmelt, and highest immediately following freshet and/or autumn rains. Groundwater-surface water interactions within the study area are complex due to the heterogeneous nature of the surficial geology and variable topography.
16.2.3.2 GROUNDWATER QUALITY
Groundwater wells were located within the Pebble deposit resource area (10 wells at seven locations), and along the three surface water drainage basins identified as reflective of groundwater flow from the Pebble deposit resource area. Sample analysis shows high dissolved oxygen levels at most locations, with most median pH values ranging from 5.3 to 8.5. Sites with elevated trace metal concentrations were generally in the vicinity of the deposit. The EBD and SEBD compared the results of groundwater quality sampling with the most stringent benchmark water quality criteria derived from Title 18 of the Alaska Administrative Code, Chapter 75 (18AAC75), and Alaska Water Quality Criteria (ADEC, 2008).
16.2.4 Geochemical Characterization
Northern Dynasty and the Pebble Partnership conducted a comprehensive geochemical characterization program to understand the metal leaching (ML) and acid rock drainage (ARD) potential associated with the rock types present in the general deposit area within the Pebble Project study area. The ML/ARD study was designed to characterize the materials that could be produced from the mining and milling process at the Pebble deposit, including both waste rock and tailings material (PLP, 2012). Classification of acid generating potential is based on Mine Environment Neutral Drainage (MEND, 1991) guidelines that classify rock as potentially acid generating (PAG), uncertain or non-PAG based on the neutralization potential ratio (NPR), defined as the neutralization potential (NP) divided by maximum potential acidity (MPA). Detailed characterization and classification of PAG and non-PAG materials enable engineers to design appropriate materials handling, sorting and storage strategies to ensure the long-term protection of water quality.
Acid-base accounting results indicate that the Tertiary units are dominantly non-PAG. Minor components of the Tertiary volcanic rocks (less than 1% based on testing) contain pyrite mineralization and have been found to be PAG and some generated acid in laboratory tests. The pre-Tertiary samples from the porphyry-mineralized rock from the deposit area have variable acid generation potential. Pre-Tertiary rock was found to be dominantly PAG due to elevated acid potential (AP) values resulting from increased sulphur concentrations and the low levels of carbonate minerals. In the pre-Tertiary samples, acidic conditions occur quickly in core with low NP. Field data suggest that the onset to acidic conditions is about 20 years, while laboratory kinetic tests show that the delay to the onset of acidic conditions is expected to be between a decade and several decades for PAG rock.
Northern Dynasty Minerals Ltd.
2023 Amended Technical Report on the
Pebble Project, Southwest Alaska
| Page 176 |

The majority of the overburden samples analyzed have been classified as non-PAG, with very low total sulphur content dominated by sulphide. For pre-Tertiary material, metal mobility tests identified copper as the main contaminant in the leachate. Subaqueous conditions also produced the dissolution of gypsum and iron carbonate, as well as arsenic leaching. Weathering of the mineralized pre-Tertiary material under oxidizing conditions produced an acidic leachate dominated by sulphate and calcium. Non-PAG tests indicated that the oxidation of pyrite resulted in low pH conditions, which increased metal mobility.
16.2.5 Wetlands
Section 404 of the Clean Water Act (CWA) governs the discharge of dredged or fill materials into waters of the U.S., including wetlands. The USACE issues Section 404 permits with oversight by the EPA. Given the Pebble Project’s location and scope, the information required to support the Pebble Partnership’s Section 404 permit application is significant. Accordingly, Northern Dynasty and the Pebble Partnership conducted an extensive, multi-year wetlands study program at Pebble in both the Bristol Bay and Cook Inlet drainages.
The study area is much larger than the deposit area. This entire study area has been mapped to determine the occurrence of wetlands and to characterize baseline conditions. Overall, water bodies, wetlands and transitional wetlands represent 9,826 acres, or 33.4%, of the study area. Of the 375 water features evaluated in the overall study area, 308 (82.1%) were classified as lakes or perennial ponds, the vast majority of which were open water. The remaining 67 water features (17.9%) were classified as seasonal ponds or the drawdown areas of perennial ponds, which were roughly evenly encountered as open water or partially vegetated/barren ground.
Wetlands delineation in the field for the alternate access routes north and south of Iliamna Lake has been completed.
16.2.6 Fish, Fish Habitat and Aquatic Invertebrates
Extensive aquatic habitat studies, initiated in 2004, were conducted from 2004 to 2008. They have varied in scope, study area and level of effort, as the information base has grown and specific data needs have become more defined. The aquatic habitat study program encompassed the three main deposit area drainages (NFK, SFK and UTC) and the Koktuli River, and in and around Iliamna Lake. Completed studies include:
|
| · | Fish population and density estimates using various field methods (dip netting, electro-fishing, snorkeling and aerial surveys); |
|
|
|
|
|
| · | Fish habitat studies (main-channel and off-channel transects and habitat preferences); |
|
|
|
|
|
| · | Fish habitats/assemblages above Frying Pan Lake; |
|
|
|
|
|
| · | Salmon escapement estimates; |
Northern Dynasty Minerals Ltd.
2023 Amended Technical Report on the
Pebble Project, Southwest Alaska
| Page 177 |

|
| · | Spring spawning counts and radio telemetry for rainbow trout; |
|
|
|
|
|
| · | Radio telemetry of arctic grayling to assess stream fidelity; |
|
|
|
|
|
| · | Overwintering studies for salmon, trout and grayling; |
|
|
|
|
|
| · | Frying Pan Lake northern pike population estimate; |
|
|
|
|
|
| · | Geo-referenced video aquatic habitat mapping; |
|
|
|
|
|
| · | Intermittent flow reach, habitat and fish use; and |
|
|
|
|
|
| · | Fish tissue measurements for trace metals. |
16.2.6.1 FISH AND FISH HABITAT
Project Site
The deposit area is characterized by small headwater streams of poor habitat quality and low fish density. Fish production is naturally limited by physical and chemical factors in these reaches, most notably intermittent flow with extreme low flow hydrology and oligotrophic conditions that constrain aquatic productivity. The lowest reaches of the three study area streams outside the deposit area have more stable hydrologic conditions and support numerous salmon and resident species.
The macro-invertebrate and periphyton studies near the Pebble deposit are part of the overall program of baseline investigations to describe the current aquatic conditions in the study area. Baseline information on macro-invertebrate and periphyton community assemblages is valued because the biota are essential components of the aquatic food web, and their community structure, particularly with respect to the more sensitive taxa, are an indicator of habitat and water quality.
The main objective of the macro-invertebrate and periphyton field and laboratory program was to characterize the diversity, abundance and density of macro-invertebrates and periphyton within freshwater habitats in the study area. Macro-invertebrates and periphyton were sampled in the study area in 2004, 2005 and 2007 as part of the environmental baseline studies for the Pebble Project. In 2004, 20 sites in the study area were sampled and of these, eight sites (five in the immediate vicinity of the deposit) were selected for continued sampling in 2005, and 10 were sampled in 2007.
Potential Transportation Corridors
Data from the AWC and field observations by independent experts indicate that many, but not all, waters in the area support anadromous fish populations, including all five Pacific salmon species (Chinook, sockeye, coho, pink, and chum) plus rainbow trout, Dolly Varden, and Arctic char. Population densities vary based on stream size and morphology, which can restrict population sizes or limit access to upstream habitats.
16.2.7 Marine Habitats
16.2.7.1 MARINE NEARSHORE HABITATS
The nearshore marine habitat study area focused on areas in the lower Cook Inlet region. The western shorelines from Kameshak Bay north to Knoll Head are composed of a diversity of habitats, including steep rocky cliffs, cobble or pebble beaches and extensive sand/mud flats. Eelgrass is found at a number of locations and habitats; eelgrass, along with macro-algae, is an important substrate for spawning Pacific herring. Overall, the habitats in the study area provide a wide range of habitat types, resulting in a wide range of biological assemblages.
Northern Dynasty Minerals Ltd.
2023 Amended Technical Report on the
Pebble Project, Southwest Alaska
| Page 178 |

Data collected in Iliamna and Iniskin bays in 2010 and 2011 indicate that Pacific herring are the predominant species present in the nearshore environment, primarily in Iniskin Bay. Chum and pink salmon are the predominant salmonids found in the bays, with smaller populations of coho and sockeye also present.
16.2.7.2 MARINE BENTHOS
The littoral and subtidal habitats in lower Cook Inlet support diverse communities of marine and anadromous species of ecological and economic importance. The marine benthos study’s intent was to characterize benthic assemblages in marine habitats in the lower Cook Inlet region.
The marine investigations were undertaken over a five-year period from 2004 to 2008, and included several habitat sampling events, mostly in mid to late summer. Each intertidal habitat type provides feeding areas for different pelagic and demersal fish and invertebrates that forage over the intertidal zone during high tides. The estuarine and nearshore rearing habitats of juvenile salmonids are an important component of the intertidal zone, especially for pink and chum salmon that out-migrate from streams along the shoreline and elsewhere in Cook Inlet. Another important component of the intertidal zone is the substrate used for spawning by Pacific herring.
16.2.7.3 NEARSHORE FISH AND INVERTEBRATES
The study of nearshore fish and macroinvertebrates has been undertaken to collect baseline data on the abundance, distribution and seasonality of major aquatic species on the western side of Cook Inlet (PLP, 2012). These marine investigations were undertaken between 2004 and 2008. The study area is a complex marine ecosystem with numerous fish and macro-invertebrate species that use the area for juvenile rearing, refuge, adult residence, migration, foraging, staging and reproduction.
The study area also functions as a rearing area for juvenile Pacific herring. Herring was the dominant fish species, and young-of-the-year and one-year-olds were the dominant life stages found from March through November in the several sampling years, with peak occurrences noted during the summer (PLP, 2012).
The nearshore area is also a rearing area for juvenile salmon, which, as a group, were second to herring in abundance. Juvenile pink and chum salmon were the most abundant salmonid species, and showed a typical spring and summer outmigration as young-of-the-year fish. Juvenile chum displayed a short outmigration period during May and June, while juvenile pink salmon remained in the area into August. Both species were largely gone by September.
Northern Dynasty Minerals Ltd.
2023 Amended Technical Report on the
Pebble Project, Southwest Alaska
| Page 179 |

16.3 Potential Environmental Effects and Proposed Mitigation Measures
The application of sound engineering, environmental planning and best management practices, including compliance with existing U.S. federal and state environmental laws, regulations and guidelines, will ensure that all of the environmental issues associated with the development and operation of the Pebble Project can be effectively addressed and managed.
The major environmental pathways include air, water and terrestrial resources. During the preliminary stages of the Pebble Project, Northern Dynasty identified key environmental issues and design drivers that have formed the basis of baseline data collection, environmental and social analysis and continuing stakeholder consultations influencing the Pebble Project design. The effects assessment has confirmed these as important issues and design drivers, and has identified mitigation measures for each. The key mitigation strategies for these drivers include:
|
| · | Water: development of a water management plan that maximizes the collection and diversion of groundwater, snowmelt and direct precipitation away from the mine site; |
|
|
|
|
|
| · | Wetlands: implementation of a water management plan (in accordance with USACE guidelines and regulations) to reduce wetland impacts; |
|
|
|
|
|
| · | Aquatic habitats: development of a water management plan and habitat mitigation measures that includes strategies to effectively manage the release of treated water in compliance with anticipated regulatory requirements to maintain downstream flows and to protect downstream fish habitat and aquatic environments; |
|
|
|
|
|
| · | Air quality: implementation of air emissions and dust suppression strategies; and |
|
|
|
|
|
| · | Marine environment: minimize the port facility’s footprint in the intertidal zone, particularly in soft sediment intertidal areas. |
Direct integration of these and other appropriate measures into the Pebble Project design and operational strategies are expected to effectively mitigate possible environmental effects and minimize residual environmental effects associated with the construction, operation and eventual closure of any proposed mine at the Pebble Project.
16.4 Economy and Social Conditions
The Alaska economy is dependent on natural resources for both employment and government revenue. Oil and natural gas, mining, transportation, forestry, fishing and seafood processing, as well as tourism, represent a significant proportion of the overall private sector economy, with oil and gas contributing a significant majority of state government revenues on an annual basis.
Of the approximately 730,000 people living in Alaska on a full-time basis, more than half live in the greater Anchorage area. Approximately 21% of Alaska’s population is of Native ancestry.
The Pebble Deposit is located in southwest Alaska’s Lake and Peninsula Borough, home to an estimated 1,500 people in 18 local villages. At more 30,000 sq. miles, the Lake and Peninsula Borough is among the least densely populated boroughs or counties in the country. There are no roads into the borough, and few roads within it, contributing to an extremely high cost of living and limited job and other economic opportunities for local residents.
Northern Dynasty Minerals Ltd.
2023 Amended Technical Report on the
Pebble Project, Southwest Alaska
| Page 180 |

The communities in closest proximity to Pebble are Nondalton, Iliamna and Newhalen. Pedro Bay lies on the northern shore of Iliamna Lake, approximately 43 miles east of Iliamna and adjacent to the proposed transportation corridor. Igiugig and Kokhanok are the other two villages located on Iliamna Lake. While the Pebble Partnership has generated employment for residents of villages throughout the Lake and Peninsula Borough and broader Bristol Bay region over the past fifteen years, those communities surrounding Iliamna Lake have provided the greatest proportion of the local workforce.
With project infrastructure planned to connect the proposed mine site to the villages of Iliamna, Newhalen and Pedro Bay, these and other communities are expected to continue to be important sources of project labour in future.
The Bristol Bay Borough is the only other organized borough in the Bristol Bay region, with about 900 full-time residents in three villages. A significant portion of the Bristol Bay region is not contained within an organized borough; the Dillingham Census Area comprises 11 different communities. About 7,000 people call the Bristol Bay region home, with the largest population center in Dillingham.
Most Bristol Bay villages have fewer than 150 - 200 full-time residents. A majority of the population is of Alaska Native descent and Yup’ik or Denai’ina heritage. Virtually all the region’s residents participate to some degree in subsistence fishing, hunting and gathering activities. Subsistence is considered to be central to Alaska Native culture, and provides an important food source for local residents.
There are 13 incorporated first and second class cities in the Bristol Bay region and 31 tribal entities as recognized by the US Bureau of Indian Affairs. There are also 24 Alaska Native Village Corporations created under the Alaska Native Claims Settlement Act, four of which – Alaska Peninsula Corporation, Iliamna Natives Limited, Kijik Corporation, and Pedro Bay Corporation6 – hold surface rights for significant areas of land near the Pebble Project or along its proposed transportation infrastructure corridors.
The private sector economy of the Bristol Bay region is dominated by commercial salmon fishing. Although the resource upon which the industry is based healthy, the economics of the fishery have declined significantly over the past several decades due to the rise of global salmon aquaculture and various domestic policy and market factors. Ex-vessel prices for sockeye salmon, the dominant species in the Bristol Bay fishery, have fallen from an inflation-adjusted peak of $3.75/lb in 1988 to a 10-year average of just under $1.00/lb in the 1990s and $0.60/lb in the 2000s. In recent years, ex-vessel prices have exceeded $1.00/lb.
As a result of these declines, the percentage of Bristol Bay fishing licenses and related employment held by residents of the region has fallen precipitously, as has the region’s overall economic health. Bristol Bay’s economy today is characterized by a high proportion of non-resident labour and business ownership. Key private-sector industries are highly seasonal, such that unemployment among year-round residents is particularly high.
_________________________
6 Ownership of Alaska Peninsula Corporation is comprised of shareholders from five communities, of which two – Newhalen and Kokanok – are located on Iliamna Lake. Kijik is the Native Village Corporation for Nondalton.
Northern Dynasty Minerals Ltd.
2023 Amended Technical Report on the
Pebble Project, Southwest Alaska
| Page 181 |

Bristol Bay communities also face among the highest costs of living in the U.S., due to the requirement to fly in many of the goods and commodities required for daily life, including fuel for heating homes and operating vehicles. Energy costs, in particular, are a significant deterrent to economic development.
As a result of a lack of jobs and economic opportunity in the region, Bristol Bay communities are slowly losing population as residents seek opportunities in other parts of the state. For example, the population of the Lake and Peninsula Borough declined 17% between 2000 and 2010, while the Bristol Bay Borough lost more than 23% of its population. This erosion continued in the subsequent decade with the Lake and Peninsula Borough population dropping by a further 10% by 2020 and the Bristol Bay Borough an additional 15%. In several communities, schools have closed or are threatened with closure as a result of diminishing enrolment.
A subsistence lifestyle is practiced by the vast majority of residents of Bristol Bay communities, including fishing for salmon and other species, hunting of terrestrial mammals and birds, and gathering berries. Salmon, in particular, are considered a critically important resource for the region, from a cultural, economic and environmental perspective.
16.4.1 Community Consultation and Stakeholder Relations
Pebble Project technical programs are supported by stakeholder engagement activities in Alaska. The objective of stakeholder outreach programs undertaken by the Pebble Partnership are to:
|
| · | advise residents of nearby communities and other regional interests about Pebble work programs and other activities being undertaken in the field; |
|
|
|
|
|
| · | provide information about the proposed development plan for the Pebble Project, including potential environmental, social and operational effects, proposed mitigation and environmental safeguards; |
|
|
|
|
|
| · | allow the Pebble Partnership to better understand and address stakeholder priorities and concerns with respect to development of the Pebble Project; |
|
|
|
|
|
| · | encourage stakeholder and public participation in the relevant regulatory and permitting processes for Pebble; and |
|
|
|
|
|
| · | facilitate economic and other opportunities associated with advancement and development of the Pebble Project for local residents, communities and companies. |
In addition to meeting with stakeholder groups and individuals, and providing project briefings in communities throughout Bristol Bay and the State of Alaska, the Pebble Partnership’s outreach and engagement program has included:
|
| · | workforce and business development initiatives intended to enhance economic opportunities for regional residents and Alaska Native corporations; |
|
|
|
|
|
| · | initiatives to develop partnerships with Alaska Native corporations, commercial fishing interests and other in-region groups and individuals; |
|
|
|
|
|
| · | outreach to elected officials and political staff at the national, state and local levels; and |
|
|
|
|
|
| · | outreach to third-party organizations and special interest groups with an interest in the Pebble Project, including business organizations, community groups, outdoor recreation interests, Alaska Native entities, commercial and sport fishery interests, conservation organizations, among others. |
Northern Dynasty Minerals Ltd.
2023 Amended Technical Report on the
Pebble Project, Southwest Alaska
| Page 182 |

Through these various stakeholder initiatives, the Company seeks to advance a science-based project design that is responsive to stakeholder priorities and concerns, provides meaningful benefits and opportunities to local residents, businesses and Alaska Native corporations, and energizes the economy of Southwest Alaska.
Right-of-Way Agreements
In parallel with its technical work, the Pebble Partnership has carried out an active program of engagement and consultation with stakeholders in the area of the Pebble Project in parallel with its technical work, including discussions to secure stakeholder agreements to support the project’s development. Right-of-way agreements established to date are described below. These agreements cover land access routes for infrastructure alternatives proposed in the EIS documents.
Agreements with Alaska Native Village Corporations
In November 2018 and May 2019, the Pebble Partnership finalized Right-of-Way Agreements with Alaska Peninsula Corporation (APC) and Iliamna Natives Limited (INL) respectively, securing the right to use defined portions of each Alaska Native village corporations’ lands for the construction and operation of transportation infrastructure associated with the Pebble Project.
The Right-of-Way Agreements secure access to portions of several proposed transportation and infrastructure routes to the Pebble Project site for construction and operation of the proposed mine, and represent a significant milestone in the developing relationship between Pebble and the Alaska Native people of the region.
The agreements with APC and INL include the following provisions:
|
| · | the Pebble Partnership will make annual toll payments to Alaska Native village corporations upon whose lands Pebble-related transportation infrastructure is built and operated, and pay other fees prior to and during project construction and operation; |
|
|
|
|
|
| · | INL and APC will be granted ‘Preferred Contractor’ status at Pebble, which provides a preferential opportunity to bid on Pebble-related contracts located on their lands; and |
|
|
|
|
|
| · | PEBBLE PARTNERSHIP and the two Alaska Native village corporation parties have agreed to negotiate a profit sharing agreement that will ensure APC, INL and their shareholders benefit directly from the profits generated by mining activity in the region. |
Additionally, transportation and other infrastructure for a mine at Pebble is expected to benefit APC, INL, their shareholders and villages through access to lower cost power, equipment and supplies, as well as enhanced economic activity in the region. Spur roads connecting to local villages will allow local residents to access jobs at the Pebble mine site, port site and ferry landing sites.
The USACE’s identification of the Northern Transportation Route as the draft LEDPA for the Pebble Project required that the Pebble Partnership secure additional Right-of-Way Agreements (“ROW”) with Alaska Native village corporations and other private landowners with land holdings along the northern route. The Pebble Partnership was in the process of securing these additional ROW agreements but suspended those efforts, pending appeal of the November 25, 2020 ROD. Further, the purchase of conservation easements from PBC indicates the route identified as the LEDPA in the FEIS may no longer be viable.
Northern Dynasty Minerals Ltd.
2023 Amended Technical Report on the
Pebble Project, Southwest Alaska
| Page 183 |

Bristol Bay Revenue Sharing Program
On June 16, 2020, Northern Dynasty announced the Pebble Partnership had established the Pebble Performance Dividend LLP to provide for a local revenue sharing program with the objective of ensuring that full-time residents of communities in southwest Alaska will benefit directly from the future operation of the proposed Pebble Project. The intention is for the Pebble Performance Dividend LLP to distribute cash generated from a 3% net profits royalty interest in the Pebble Project to adult residents of Bristol Bay villages that have subscribed as participants, with a guaranteed minimum aggregate annual payment of US$3 million each year the Pebble mine operates beginning at the outset of project construction and with future payments following capital payback expected to increase beyond this initial amount.
Logistics MOU with Alaska Peninsula Corporation
The Company announced on July 6, 2020 that the Pebble Partnership entered into a memorandum of understanding (the “MOU”) with the APC, which envisages that APC will lead the development of a consortium of Alaska Native village corporations to provide logistics services to the project. It is contemplated that the final agreement will include access road maintenance, truck transport, port operations and other logistical services should the development of the mine proceed. The MOU is consistent with the Company’s strategy of ensuring the development of the Pebble Project will benefit local Alaska communities and people. The MOU is not a binding final contract and will require further negotiation of definitive contracts. There is no assurance that these contracts will be concluded.
16.5 Project Permitting
This section is presented in US Standard units as used in the permitting application and Project Description submitted to the USACE in June 2020.
Pebble Partnership filed a CWA 404 permitting application with USACE on December 22, 2017. USACE confirmed that Pebble’s permit application was complete in January 2018 and that an EIS was required to comply with its NEPA review of the Pebble Project. The NEPA EIS process included a comprehensive ‘alternatives assessment’ that considered a broad range of development alternatives.
16.5.1 Project Permitting
On December 22, 2017, the Pebble Partnership submitted a Department of the Army permit application to USACE for authorization to discharge fill material and conduct work in navigable waters, which requires approval under Section 404 of the CWA and Section 10 of the RHA.
The December 2017 permitting application described open pit mining, processing, and related operations at the mine site and offsite infrastructure to support the development and operation of the mine. The offsite infrastructure included an access road from the mine site to Iliamna Lake with a ferry crossing of the lake connecting to an extension of the access road south of Iliamna Lake to a port site on Cook Inlet at Amakdedori. A natural gas pipeline would cross Cook Inlet to Amakdedori then parallel the access road and ferry to the mine site. As part of the alternatives assessment, Pebble Partnership described a second access route which would parallel the north shore of Iliamna Lake to a Cook Inlet port site on Iliamna Bay.
Northern Dynasty Minerals Ltd.
2023 Amended Technical Report on the
Pebble Project, Southwest Alaska
| Page 184 |

USACE confirmed that the permit application was complete on January 8, 2018 and an EIS was required to comply with its NEPA review of the Pebble Project. As the lead federal agency for the EIS, USACE identified other federal actions that would be required for the project and invited those agencies to participate in the EIS process. Other Federal, State, tribal, and local entities with jurisdiction or special expertise were also invited to participate as cooperating agencies to assist with EIS development. The NEPA EIS process included a comprehensive alternatives assessment that considered a broad range of development alternatives. The scoping phase of the EIS commenced on April 1, 2018, including 90 days for public comment. USACE issued the scoping report on August 31, 2018. The report outlined the numerous environmental, social, and cultural issues that would be carried forward for analysis in the EIS. In addition, the report identified a range of development alternatives that would be considered in addition to the initial proposal by the Pebble Partnership.
The draft EIS was published on February 20, 2019. USACE initiated a public comment period, which included public hearings in affected communities and in Anchorage, and was completed on July 2, 2019. More than 300,000 comments were received by USACE and were considered in the preparation of the FEIS. A preliminary FEIS was provided to cooperating agencies in February 2020.
On March 17, 2020, USACE informed the Pebble Partnership that its draft LEDPA would be the option which used a transportation route north of Iliamna Lake, versus the Pebble Partnership’s original proposal of a ferry crossing of Iliamna Lake to a port southeast of the lake. After consideration, the Pebble Partnership changed its proposed project to the LEDPA. The revised proposal eliminated the ferry crossing of Iliamna Lake and replaced it with an 82-mile road, concentrate pipeline, and water return pipeline paralleling the north shore of Iliamna Lake to a new marine terminal in Iliamna Bay. The alignment of the natural gas pipeline was also revised to come ashore at the proposed marine terminal and to follow the revised road route. These revisions required collection of additional environmental and engineering data. The revised Project Description was submitted to USACE on June 8, 2020 as part of a Revised Permit Application.
The Pebble Partnership was actively engaged with USACE through the permitting process, including numerous meetings regarding, among other things, compensatory mitigation. The Pebble Partnership submitted several draft compensatory mitigation plans (CMPs) to USACE, each refined to address comments from USACE and that the Pebble Partnership believed were consistent with mitigation proposed and approved for other major development projects in Alaska.
In late June 2020, USACE verbally identified a preliminary finding of significant degradation of certain aquatic resources, with the requirement of new compensatory mitigation. The Pebble Partnership understood from these discussions that the new compensatory mitigation plan for the Pebble Project would include in-kind, in-watershed mitigation and continued its work to meet these new USACE requirements.
The FEIS was published on July 24, 2020. The document was viewed by the Pebble Partnership as favourable in that it found impacts to fish and wildlife would not be expected to affect subsistence harvest levels, there would be no measurable change to the commercial fishing industry including prices, and a number of positive socioeconomic impacts on local communities.
Northern Dynasty Minerals Ltd.
2023 Amended Technical Report on the
Pebble Project, Southwest Alaska
| Page 185 |

USACE formally advised the Pebble Partnership by letter dated August 20, 2020 that it had made preliminary factual determinations under Section 404(b)(1) of the CWA that the Pebble Project as proposed would result in significant degradation to aquatic resources. In connection with this preliminary finding of significant degradation, USACE formally informed the Pebble Partnership that in-kind compensatory mitigation within the Koktuli River Watershed would be required to compensate for all direct and indirect impacts caused by discharges into aquatic resources at the mine site. USACE requested the submission of a new CMP to address this finding within 90 days of its letter.
In response, the Pebble Partnership developed a CMP to align with the requirements outlined by USACE. This plan envisioned creation of a 112,445-acre Koktuli Conservation Area on land belonging to the State of Alaska in the Koktuli River Watershed downstream of the Pebble Project. The objective of the preservation of the Koktuli Conservation Area was to allow the long-term protection of a large and contiguous ecosystem that contains valuable aquatic and upland habitats. If adopted, the Koktuli Conservation Area would preserve 31,026 acres of aquatic resources within the Koktuli River Watershed, which has been designated as an aquatic resource of national importance. The proposed conservation area was selected to protect and preserve physical, chemical, and biological functions found to be important during the project review. Preservation of the Koktuli Conservation Area was designed to minimize the threat to, and prevent the decline of, aquatic resources in the Koktuli River Watershed resulting from potential future actions, with the objective of ensuring the sustainability of fish and wildlife species that depend on these aquatic resources, while protecting the subsistence lifestyle of the residents of Bristol Bay and commercial and recreational sport fisheries. The revised CMP was submitted to USACE on November 4, 2020.
On November 25, 2020, USACE issued a ROD rejecting Pebble Partnership’s permit application. USACE determined the CMP to be “non-compliant” and concluded that the Project would cause “Significant Degradation” and be contrary to the public interest.
The Pebble Partnership submitted its RFA of the ROD on January 19, 2021. The RFA reflected the Pebble Partnership’s position that USACE's ROD and permitting decision, including its significant degradation finding, its public interest review findings, and its rejection of Pebble's CMP, are contrary to law, unprecedented in Alaska, and unsupported by the administrative record, in particular the Pebble Project FEIS. The specific reasons for appeal asserted by the Pebble Partnership included: (i) the finding of “Significant Degradation” by USACE was contrary to law and unsupported by the record; (ii) USACE’s rejection of the CMP was contrary to USACE regulations and guidance, including the failure to provide the Pebble Partnership with an opportunity to correct the alleged deficiencies; and, (iii) the determination by USACE that the Pebble Project was not in the public interest was contrary to law and unsupported by the public record.
On January 8, 2021, the State of Alaska, acting in its role as owner of the Pebble deposit, announced that it would also appeal the decision. The State’s news release characterized the ROD as a “… flawed decision [that] creates a dangerous precedent that will undoubtedly harm Alaska’s future …”. The State filed its request for appeal on January 22, 2021. That appeal was rejected on the basis that the State did not have standing to pursue an administrative appeal with USACE.
In a letter dated February 24, 2021, USACE confirmed the Pebble Partnership’s RFA is "complete and meets the criteria for appeal." USACE appointed a Review Officer to oversee the administrative appeal process. The appeal was reviewed by USACE based on the administrative record and any clarifying information provided. The appeal was governed by the policies and procedures of USACE administrative appeal regulations.
Northern Dynasty Minerals Ltd.
2023 Amended Technical Report on the
Pebble Project, Southwest Alaska
| Page 186 |

On April 25, 2023, the USACE Pacific Ocean Division issued its Administrative Appeal Decision and remanded the permit decision back to the USACE – Alaska District to re-evaluate specific issues Key elements of the decision included the following conclusions reached by the Review Officer:
|
| · | The Review Officer generally concluded that the Pebble Partnership’s arguments that the finding of "significant degradation" by the Alaska District is contrary to law and unsupported by the record did not have merit but agreed with the Pebble Partnership that the Alaska District’s use of a certain watershed scale for analysis was not supported by the record and remanded this portion of the decision to the Alaska District Engineer for reconsideration, additional evaluation and documentation sufficient to support the decision. |
|
|
|
|
|
| · | The Review Officer concluded that the argument that the CMP was improperly rejected without providing the Pebble Partnership an opportunity to correct the alleged deficiencies did have merit. As a result, the Review Officer remanded the decision to the Alaska District Engineer for reconsideration, additional evaluation and documentation sufficient to support the decision with the specific directions that: |
|
| o | the Alaska District should provide complete and detailed comments to the Pebble Partnership on the CMP and that the Pebble Partnership is to have sufficient time to address those comments prior to finalizing a revised CMP for review; and |
|
|
|
|
|
| o | if a CMP is determined to be acceptable and adequately offsets direct and indirect impacts, a new PIR and Section 404(b)(1) analysis may be required. |
|
| · | The Review Officer concluded that certain elements of the Pebble Partnership’s arguments regarding the PIR analysis had merit and remanded those portions to the Alaska District Engineer for reconsideration, additional evaluation and documentation sufficient to support the decision, |
The Review Officer concluded that the Pebble Partnership’s arguments that the Record Decision failed to adequately consider the State of Alaska’s interest as the landownership and its designation of the land for mineral development did not have merit.
As a result of the remand decision, and in light of the EPA’s Final Determination, the District was instructed to review the appeal decision and to notify the parties how it plans to proceed within 45 days. There is no assurance that a positive ROD will ultimately be obtained by the Pebble Partnership or that the required environmental permits for the June 2020 Revised Project Application will be obtained.
In addition to USACE permits, the Pebble Project will require Federal permits from the US Coast Guard and the Bureau of Safety and Environmental Enforcement, as well as authorizations from National Oceanic and Atmospheric Administration (NOAA) Fisheries and the US Fish and Wildlife Service. Several other federal approvals will also be required. There is no certainty that these federal permits and authorizations will be granted.
Numerous environmental permits and plans will also be required by various State and local agencies. The Pebble Partnership will work with applicable permitting agencies and the State of Alaska’s large mine permitting team to provide complete permit applications in an orderly manner. There is no certainty that these Federal permits and authorizations will be granted.
Northern Dynasty Minerals Ltd.
2023 Amended Technical Report on the
Pebble Project, Southwest Alaska
| Page 187 |

EPA Proposed and Final Determinations
In February 2014, the EPA announced a pre-emptive regulatory action under Section 404(c) of the CWA to consider restriction or a prohibition of mining activities associated with the Pebble Deposit, referred to as the Original Proposed Determination. From 2014-2017, Northern Dynasty and the Pebble Partnership focused on a multi-dimensional strategy, including legal and other initiatives to ward off the Original Proposed Determination. These efforts were successful, resulting in the joint settlement agreement announced on May 12, 2017, enabling the Pebble Project to move forward with state and federal permitting. As part of the joint settlement agreement, the EPA agreed to initiate a process that led to the withdrawal of the Original Proposed Determination in July 2019.
On September 9, 2021, the EPA announced it planned to re-initiate the process of making a CWA Section 404(c) determination for the waters of Bristol Bay, which would set aside the 2019 withdrawal of the Original Proposed Determination that was based on a 2017 settlement agreement between the EPA and Pebble Partnership. The Company believes the results of the Pebble FEIS support the 2019 withdrawal. As part of its review process, the EPA issued a letter dated January 27, 2022, to the Pebble Partnership advising as to the EPA’s belief that the discharge of dredged or fill material associated with mining of the Pebble Project could result in unacceptable adverse effects on important fishery areas and of its intent to issue a Revised Proposed Determination. The EPA’s letter was also addressed to the USACE and the State of Alaska Department of Natural Resources. The EPA invited the Pebble Partnership, the USACE, and the State of Alaska Department of Natural Resources to submit information “to demonstrate that no unacceptable adverse effects to aquatic resources” would result from the Pebble Project. The Pebble Partnership responded to the EPA on March 28, 2022 contesting both the factual claim by the EPA as to the impact on aquatic resources and the legal basis on which the EPA has proposed to act.
The State of Alaska also responded to the EPA’s letter by letter dated March 28, 2022. The State of Alaska advised the EPA of its position that the issuance of a Section 404(c) veto would contravene the Alaska Statehood Act, the Cook Inlet Land Exchange Act and potentially the “takings clause” of the United States Constitution.
On May 25, 2022, the EPA announced that it intended to advance its pre-emptive veto of the Pebble Project and issued a Revised Proposed Determination. The Revised Proposed Determination proposed a "defined area for prohibition" coextensive with the current mine plan footprint in which the EPA would prohibit the disposal of dredged or fill material for the Pebble Project. The Revised Proposed Determination also proposed a 309-square-mile "defined area for restriction."
On January 30, 2023, the EPA issued the Final Determination under Section 404(c) of the CWA, imposing limitations on the use of certain waters in the Bristol Bay watershed as disposal sites for certain discharges of dredged or fill material associated with development of a mine at the Pebble deposit. This Final Determination is the concluding step in the administrative process set forth in 40 C.F.R. Part 231, which governs EPA’s authority under Section 404(c) to veto permit decisions. The Administrative Procedure Act ("APA"), 5 USC §551 et seq., which governs judicial review of agency decisions, provides that individuals aggrieved by agency action may seek judicial review of any "final agency action." The EPA’s administrative determination can be challenged by filing a lawsuit in U.S. federal district court seeking reversal of that decision.
Northern Dynasty Minerals Ltd.
2023 Amended Technical Report on the
Pebble Project, Southwest Alaska
| Page 188 |

The Final Determination includes the determinations of the EPA that:
|
| · | the discharges of dredged or fill material for the construction and routine operation of the mine identified in the 2020 Mine Plan at the Pebble deposit will have unacceptable adverse effects on anadromous fishery areas in the SFK and NFK watersheds; |
|
|
|
|
|
| · | discharges of dredged or fill material associated with developing the Pebble deposit anywhere in the mine site area within the SFK and NFK watersheds that would result in the same or greater levels of loss or streamflow changes as the 2020 Mine Plan also will have unacceptable adverse effects on anadromous fishery areas in these watersheds, because such discharges would involve the same aquatic resources characterized as part of the evaluation of the 2020 Mine Plan; and |
|
|
|
|
|
| · | discharges of dredged or fill material for the construction and routine operation of a mine at the Pebble deposit anywhere in the SFK, NFK, and UTC watersheds will have unacceptable adverse effects on anadromous fishery areas if the effects of such discharges are similar or greater in nature and magnitude to the adverse effects of the 2020 Mine Plan. |
Based on these determinations, the Final Determination:
|
| · | prohibits the specification of waters of the United States within the Defined Area of Prohibition, as defined in the Final Determination, as disposal sites for the discharge of dredged or fill material for the construction and routine operation of the 2020 Mine Plan. This includes future proposals to construct and operate a mine to develop the Pebble deposit that result in any of the same aquatic resource loss or streamflow changes as the 2020 Mine Plan. Moreover, dredged or fill material need not originate within the boundary of the Pebble deposit to be associated with development of the Pebble deposit and, thus, subject to the prohibition. For purposes of the prohibition, the “2020 Mine Plan” is (i) the mine plan described in the Pebble Partnership’s June 8, 2020 CWA Section 404 permit application and the FEIS; and (ii) future proposals to construct and operate a mine to develop the Pebble deposit with discharges of dredged or fill material into waters of the United States within the Defined Area for Prohibition that would result in the same or greater levels of loss or streamflow changes as the mine plan described in the Pebble Partnership’s June 8, 2020 CWA Section 404 permit application. The Defined Area for Prohibition covers approximately 24.7 square miles (63.9 km2) and includes the area covered by the mine footprint of the 2020 Mine Plan; and |
|
|
|
|
|
| · | restricts the use of waters of the United States within the Defined Area for Restriction, as defined in the Final Determination, for specification as disposal sites for the discharge of dredged or fill material associated with future proposals to construct and operate a mine to develop the Pebble deposit that would either individually or cumulatively result in adverse effects similar or greater in nature and magnitude to the adverse effects of the 2020 Mine Plan. The Defined Area for Restriction encompasses certain headwaters for the SFK, NFK and UTC watersheds and covers an area of approximately 309 square miles (800 km2). |
|
|
|
|
|
| · | The Company and Pebble Partnership plan to seek judicial review of the Final Determination in an appropriate United States federal district court. The Company anticipates that the Pebble Partnership will continue to assert the following arguments, among others, in any judicial proceedings: |
|
| o | the EPA’s Final Determination is premature and not authorized by the CWA and, accordingly, is contrary to law and precedent; |
Northern Dynasty Minerals Ltd.
2023 Amended Technical Report on the
Pebble Project, Southwest Alaska
| Page 189 |

|
| o | the EPA erred when it did not exhaust the Section 404(q) elevation procedures prior to initiating its Section 404(c) procedures as the EPA’s authority under Section 404(c) is narrowly prescribed by the CWA and is only to be used as a last resort; |
|
|
|
|
|
| o | the EPA’s decision to restrict development of 309-square-miles of land is legally and technically unsupportable; |
|
|
|
|
|
| o | the EPA has not demonstrated that the development of the Pebble deposit will have unacceptable adverse effects under Section 404(c); |
|
|
|
|
|
| o | the EPA has not demonstrated any impacts to Bristol Bay fisheries that would justify the extreme measures in the Final Determination and, further, the Final Determination contradicts the conclusion in the FEIS that the Pebble Project was “not expected to have a measurable impact on fish populations”; |
|
|
|
|
|
| o | the EPA’s Final Determination violates the rights of the State of Alaska established under the Alaska Statehood Act, and related laws, and would undermine the State’s legally protected interests in the development of lands it acquired and intended for mineral development; and |
|
|
|
|
|
| o | the EPA must consider the benefits of the Pebble Project in light of the critical need for minerals essential to the renewable energy transition, as well as the environmental and social costs that would result from not developing the Project. |
There is no assurance that any judicial review would be successful in overturning the Final Determination or that the remand of the ROD will result in issuance of a positive ROD. If not withdrawn or overturned, the Final Determination would prevent the Company from developing the Pebble deposit as set out in the 2020 Mine Plan or in any other mine plan that the EPA would consider as resulting in “adverse effects similar or greater in nature and magnitude to the adverse effects of the 2020 Mine Plan.”
Alaska Governor Mike Dunleavy has publicly indicated that the State will pursue legal action against the EPA to challenge the Final Determination as indicated in a January 31, 2023 news release. Excerpts include: "EPA’s veto sets a dangerous precedent. Alarmingly, it lays the foundation to stop any development project, mining or non-mining, in any area of Alaska with wetlands and fish bearing streams,” said Alaska Governor Mike Dunleavy. “…The veto disregards the Alaska Statehood Act, violates the CWA, and departs from basic scientific methodology. Of particular concern is EPA’s failure to demonstrate why the Army Corps of Engineers was wrong when it reviewed the same scientific data but arrived at the opposite conclusion-that the proposed mine plan “would not be expected to have a measurable effect on fish numbers or result in long-term changes to the health of the commercial fisheries in Bristol Bay.”7
In addition to the permits issued by USACE, the Pebble Project must receive an array of additional Federal permits from the US Coast Guard, the Bureau of Safety and Environmental Enforcement, as well as authorizations from NOAA Fisheries, the US Fish and Wildlife Service, and several other federal agencies.
_________________________
7 https://gov.alaska.gov/epas-preemptive-veto-sets-dangerous-precedent/
Northern Dynasty Minerals Ltd.
2023 Amended Technical Report on the
Pebble Project, Southwest Alaska
| Page 190 |

Numerous environmental permits and plans will also be required by various State and local agencies. The State of Alaska utilizes a process for permitting mines through its large mine permitting team, with involvement from all State agencies required to issue permits for mine construction and operation. The Pebble Partnership will work with applicable permitting agencies and the large mine permitting team to provide complete permit applications in an orderly manner. Table 16‑1 lists the types of permits that are expected to be required for the Pebble Project. Multiple permits of certain types may have to be applied for to accommodate the full scope of facilities.
In November 2014, Alaskan voters approved the Bristol Bay Forever public initiative. Based on that initiative, development of the Pebble Project requires legislative approval upon securing all other permits and authorizations.
Table 16‑1 Permits Required for the Pebble Project
| Agency | Approval Type | Project-related Examples |
| Federal | ||
| BATF | License to Transport Explosives | Construction explosives acquisition and use |
| Permit and License for Use of Explosives | Construction explosives acquisition and use | |
| BSEE | Right-of-Way Authorization for Natural Gas Pipeline | Subsea natural gas pipeline in OCS waters |
| DHS | Airport Security Operations Plan | Iliamna Airport |
| Port Facility Security Coordinator Certification | Marine terminal | |
| Port Security Operations Plan | Marine terminal | |
| EPA | Facility Response Plan (required to be submitted to EPA, however EPA does not provide plan approvals) | Fuel storage facilities, fuel transport on the mine roadway |
| RCRA Registration for Identification Number | Storage and disposal of hazardous wastes | |
| Spill Prevention, Control, and Countermeasure (SPCC) Plan (SPCC plans are not required to be submitted or approved by EPA. The plan will be reviewed and certified by a Professional Engineer licensed in Alaska) | Fuel storage facilities | |
| FAA | Notice of Controlled Firing Area for Blasting | Construction and mining blasting activity |
| FCC | Radio License | Radios |
| MSHA | Mine Identification Number | Mine site |
| Notification of Legal Identity | Mine site | |
Northern Dynasty Minerals Ltd.
2023 Amended Technical Report on the
Pebble Project, Southwest Alaska
| Page 191 |

| Agency | Approval Type | Project-related Examples |
| NMFS | Magnuson-Stevens Fishery Conservation and Management Act Consultation documentation | Necessary in areas where mine, road, or marine terminal activity affect essential fish habitat |
| USACE | Clean Water Act Section 404 permit for Discharge of Dredge or Fill Material into Waters of the U.S. | Fill into wetlands for a variety of facilities at the mine, road, pipelines, marine terminal |
| Rivers and Harbors Act Section 10 Construction of any structure in or over any Navigable Waters of the U.S. | Road bridges and causeway; marine terminal docking and ship-loading facilities and maintenance dredging. | |
| USCG | Facility Response Plan | Fuel storage facilities |
| Fuel Offloading Plan; Person in Charge Certification | Offloading fuel from barges at the port | |
| Hazardous Cargo Offloading Plan; Port Operations Manual Approval | Offloading hazardous cargo from ships | |
| Navigation Lighting and Marking Aids Permit | Port facilities | |
| Rivers and Harbors Act Section 9 Construction Permit for a Bridge or Causeway across Navigable Waters | Bridge along road | |
| USDOT | Registration for Identification Number to Transport Hazardous Wastes | Transport of hazardous wastes to approved disposal site |
| USFWS | Bald and Golden Eagle Protection Act Programmatic Take Permit | May be necessary in areas where mine, road, or marine terminal activity may disturb eagles |
| Migratory Bird Treaty Act Consultation documentation | May be necessary in areas where mine, road, or marine terminal activity may disturb migratory birds | |
| USFWS/NMFS | Endangered Species Act Incidental Take Authorization | May be necessary at the marine terminal and for sub-sea pipeline construction where activities could disturb northern sea otter, Beluga whale, Steller sea lion, Steller’s eider |
| Marine Mammal Protection Act Incidental Take Authorization; Letter of Authorization | May be necessary at marine terminal where activities could disturb northern sea otter, Beluga whale, Steller sea lion, harbor seal, Dall’s porpoise |
Northern Dynasty Minerals Ltd.
2023 Amended Technical Report on the
Pebble Project, Southwest Alaska
| Page 192 |

| Agency | Approval Type | Project-related Examples |
| State | ||
| ADEC | Alaska Solid Waste Program Integrated Waste Management Permit/Plan Approval | Tailings disposal, waste rock disposal, landfills |
| Reclamation Plan Approval and Bonding | Required prior to construction. | |
| Alaska Solid Waste Program Solid Waste Disposal Permit; Open Burn Permit | Construction waste material disposal | |
| Clean Water Act Section 402 Alaska Pollutant Discharge Elimination System Water Discharge Permit | Water discharges from water treatment plans at the mine site. | |
| Approval to Construct and Operate a Public Water Supply System | Mine and port, and construction camps | |
| Clean Air Act Air Quality Control Permit to Construct and Operate – Prevention of Significant Deterioration | Power plant and other non-mobile air emissions; fugitive dust; applicable to mine, road, and port | |
| Clean Air Act Title V Operating Permit | Power plant and other non-mobile air emissions; fugitive dust; applicable to mine and road | |
| Clean Air Act Title I Operating Permit | Non-mobile air emissions; stationary sources, fugitive dust; applicable to port and Kenai compressor station | |
| Clean Water Act Section 401 Certification | Certification of the Section 404 Permit. | |
| Clean Water Act Section 402 Stormwater Construction and Multi-Sector General Permit; Stormwater Discharge Pollution Prevention Plan | Surface water runoff discharges at mine, road, and marine terminal | |
| Food Sanitation Permit | Mine and port, and construction camps | |
| Oil Discharge Prevention and Contingency Plan (ODPCP or “C” Plan) | Fuel storage and transfer facilities, port and mine | |
| ADF&G | Fish collection permits for monitoring | Required for construction and monitoring |
| Fish Habitat Permit | Required for most work in anadromous streams and for most work in resident fish streams that might affect fish passage. | |
Northern Dynasty Minerals Ltd.
2023 Amended Technical Report on the
Pebble Project, Southwest Alaska
| Page 193 |

| Agency | Approval Type | Project-related Examples |
| ADNR | Alaska Dam Safety Program Certificate of Approval to Construct a Dam | Tailings dam, seepage control dams |
| Alaska Dam Safety Program Certificate of Approval to Operate a Dam | Tailings dam, seepage control dams | |
| Reclamation Plan Approval and Bonding | Required prior to construction. | |
| Lease of other State Lands | Any miscellaneous other state lands to be used by the Pebble Project – none identified at this time | |
| Material Sale on State Land | Materials removed from quarry sites for construction | |
| Mill Site Permit | All facilities on State lands | |
| Mining license | All facilities on State lands | |
| Miscellaneous Land Use Permit | All facilities on State lands | |
| National Historic Preservation Act Section 106 Review | Area of Potential Effect | |
| Pipeline Rights-of-Way Lease | Natural gas, concentrate, and water return pipelines on State lands and natural gas pipeline in State waters | |
| Fiber Optic Cable Right-of-Way Lease | Fiber Optic Cable on State lands and in State waters | |
| Powerline Right-of-Way Lease | Powerlines to support electric power distribution | |
| Road Right-of-Way Lease | Road between mine and marine terminal | |
| Temporary Water Use Permit; Permit to Appropriate Water | Surface and groundwater flow reductions | |
| Tidelands Lease | Port structures below high tide line | |
| Upland Mining Lease | All facilities on State lands | |
| ADOL | Certificate of Inspection for Fired and Unfired Pressure Vessels |
|
| ADOT&PF | Driveway Permit | Road |
|
| Utility Permit on Right-of-Way | Natural gas pipeline on the Kenai Peninsula |
| ADPS | Approval to Transport Hazardous Materials | Transport of hazardous materials along the road |
| Life and Fire Safety Plan Check | Mine and port | |
| State Fire Marshall Plan Review Certificate of Approval | For each individual building | |
| Local | ||
| KPB | Conditional Use Permit |
|
| Floodplain Development Permit |
| |
| Multi-Agency Permit Application |
| |
Northern Dynasty Minerals Ltd.
2023 Amended Technical Report on the
Pebble Project, Southwest Alaska
| Page 194 |

| Agency | Approval Type | Project-related Examples |
| L&PB | Lake and Peninsula Borough Development Permit | Mine and road area within the Lake and Peninsula Borough |
ADEC = Alaska Department of Environmental Conservation
ADF&G = Alaska Department of Fish and Game
ADOT/PF = Alaska Department of Transportation and Public Facilities
ADPS = Alaska Department of Public Safety
BATF = U.S. Bureau of Alcohol, Tobacco, and Firearms
BSEE = Bureau of Safety and Environmental Enforcement
DHS = U.S. Department of Homeland Security
EPA = U.S. Environmental Protection Agency
FAA = Federal Aviation Administration
FCC = Federal Communications Commission
FERC = Federal Energy Regulatory Commission
L&PB = Lake and Peninsula Borough
MSHA = U.S. Mine Safety and Health Administration
NMFS = National Marine Fisheries Service
RCRA = Resource Conservation and Recovery Act
SHPO = State Historic Preservation Officer
USACE = U.S. Army Corps of Engineers
USCG = U.S. Coast Guard
USDOT = U.S. Department of Transportation
USFWS = U.S. Fish and Wildlife Service
16.5.2 Closure
The Pebble Partnership’s core operating principles are governed by a commitment to conduct all mining operations, including reclamation and closure, in a manner that adheres to socially and environmentally responsible stewardship while maximizing benefits to State and local stakeholders. The Pebble Partnership has adopted a philosophy of “design for closure” in the development of the Project that incorporates closure and long-term post-closure water management considerations into all aspects of the project design to ensure that all regulatory requirements, as well as landowner obligations, are met at closure.
Reclamation and closure of the Project falls under the jurisdiction of the ADNR Division of Mining, Land, and Water, and the ADEC. A miner may not engage in a mining operation until the ADNR has approved a reclamation plan for the operation. The Pebble Partnership submitted a preliminary closure plan to USACE in support of the EIS analysis. Four phases of closure are envisioned for the project. This plan would be subject to analysis and review during the State’s permitting processes.
Northern Dynasty Minerals Ltd.
2023 Amended Technical Report on the
Pebble Project, Southwest Alaska
| Page 195 |

17.0 INTERPRETATION AND CONCLUSIONS
17.1 General
The 2023 Amended Technical Report for the Pebble Project has been completed in accordance with NI 43-101. The report confirms the resource estimate as published in an August 2020 Technical Report and updates the status of the Pebble Project relative to permitting progress. These programs suggest that the project merits follow up with further technical and economic studies leading to an advancement of the project to the next level of development.
17.2 Geology and Mineral Resource Estimate
17.2.1 Geology
The Pebble property hosts a significant copper-gold-molybdenum-silver-rhenium deposit. The exploration and drilling programs completed thus far are appropriate to the type of the deposit. The exploration, drilling, geological modelling and research work support the interpreted genesis of the mineralization. Mineralization at Pebble is open in several directions and offers the opportunity, with additional drilling, to expand the resource base.
17.2.2 Drilling, Sampling and Drill Hole Database
The Pebble drilling and sampling program was carried out in a proficient manner consistent with industry standard practice. The core recovery and core competency factors are considered reasonable, and unlikely to materially impact the accuracy and reliability of the results. The drill hole database was compiled from collar surveys, down hole surveys, geology logs, geotechnical logs, and density measurements that were reliably performed and adequate for the purpose. The sampling, sample preparation, security, assaying and analytical QAQC protocols, particularly for Cu, Au, Mo, Ag and Re – the key elements of interest, were reliably performed in accordance with good industry standard practices. The QP considers the resulting drill hole database to be of reasonable quality and suitable for use in modeling the Pebble deposit and in support of this Technical Report.
17.2.3 Mineral Resource
It is the opinion of the QP of this report that the drill database for the Pebble deposit is reliable and sufficient to support the current mineral resource estimate.
In the opinion of the QP, the estimates of mineral resources for the Pebble Project conform to industry best practices and meet requirements of the Canadian Institute of Mining and Metallurgy.
Technical factors which may affect the Mineral Resource estimate include changes to the geological, geotechnical and geometallurgical models, infill drilling to convert mineral resources to a higher classification, drilling to test for extensions to known resources, and significant changes to commodity prices. It should be noted that all factors pose potential risks and opportunities, of greater or lesser degree, to the current mineral resource.
Northern Dynasty Minerals Ltd.
2023 Amended Technical Report on the
Pebble Project, Southwest Alaska
| Page 196 |

Furthermore, this mineral resource estimate may ultimately be affected by a broad range of environmental, permitting, legal, title, socio-economic, marketing and political factors pertaining to the specific characteristics of the Pebble deposit. The QP has reviewed the technical information and other factors that may affect the estimate including permitting and external legal counsel’s letter regarding the remand of the negative ROD and Final Determination, and believes that there is reasonable prospects of economic extraction.
The current Pebble resource differs from the previously reported resource estimate in that recoverable metal is now reported in the resource table.
Elevated levels of palladium, vanadium, titanium and tellurium have been noted in raw analytical data and in metallurgical studies. The potential economic contribution of these metals should be assessed.
Approximately 41% of the currently estimated resource is classified as Inferred. The resource used as the basis for a prefeasibility or feasibility study, as defined by NI 43-101, must be classified as Measured or Indicated. There may be a future requirement to upgrade some portion of the Inferred resource to Measured or Indicated categories through additional drilling. It is likely not necessary or desirable to upgrade all of the Inferred Resource in the immediate future, but the prioritization of areas to be upgraded should involve an integrated study of future mining and metallurgical objectives.
17.2.4 Eastern Extension
Drill hole 6348 (see Figure 10‑3 and Figure 10‑5 for location) is perhaps the most significant drill intersection in the Pebble deposit. It intersected 949 ft of mineralization with an average grade of 1.24% copper, 0.74 g/t gold and 0.042% molybdenum, or 1.92% CuEq8, before the hole was lost at a depth of 5,663 ft in the ZG1 Fault (Figure 17‑1). This drill hole and the intersected mineralization lie east of the ZG1 Fault and follow up drilling of the Cretaceous host rocks to this mineralization has not yet been completed, leaving the extent of this high-grade mineralization unknown. This area represents a significant exploration target. Given the depth of this target and the expense of drilling at the Pebble Project, it is recommended that a study be undertaken to determine the best approach to exploring it. Such a study would determine the drill pattern to be employed, outline any potential issues and determine the type of equipment which will optimize the chances of successful completion of follow-up holes.
_______________
8 CuEq uses metal prices: $3.00/lb Cu; $1,400/oz Au; $9.50/lb Mo. Individual grades are 1.24% Cu, 0.79 g/t Au, 0.042% Mo
Northern Dynasty Minerals Ltd.
2023 Amended Technical Report on the
Pebble Project, Southwest Alaska
| Page 197 |

Figure 17‑1Untested Exploration Potential East of Drillhole 6348

17.3 Metallurgical Testwork and Process Design
Metallurgical testwork and associated analytical procedures were performed by recognized testing facilities with extensive experience with this analysis, with this type of deposit, and with the Pebble Project. The samples selected for the comminution, copper/gold/molybdenum bulk flotation, and copper molybdenum separation testing were representative of the various types and styles of mineralization present at the Pebble deposit.
The test results on variability samples derived from the 103 lock cycle flotation tests indicate that marketable copper and molybdenum concentrates can be produced with gold and silver contents that meet or exceed payable levels in representative smelter contracts.
The molybdenum concentrate will contain significant rhenium. The reported grades in the locked cycle flotation results are between 791 to 832 g/t Re.
A preliminary hydrometallurgical test program was also completed on the rougher and cleaner molybdenum concentrates for the recovery of molybdenum and rhenium. The process includes a pressure oxidation (POX) via Molybdenum Autoclave Process (MAP) and Hot Cure process, as well as a series of metal extractions/purifications from the pregnant leach solution.
At the current stage, a conventional flotation process is proposed to produce copper concentrate and molybdenum concentrate. The 2018 projections of copper, gold, silver and molybdenum remain the same in this technical report, while a high-level recovery estimate of rhenium to be about 70.8% on average for all the domains.
Northern Dynasty Minerals Ltd.
2023 Amended Technical Report on the
Pebble Project, Southwest Alaska
| Page 198 |

17.4 Environmental
Exploration activities completed to date have been conducted under the relevant state permits.
The Pebble Project is currently subject to a CWA 404 permitting process for a proposed mine in Alaska.
17.5 Other Studies
As funding becomes available, the following additional recommendations are proposed in support of future technical studies:
17.5.1 Additional Resource Evaluation
|
| · | A conditional simulation study should be completed to determine the optimal drill spacing to move inferred resources to more confident classifications for a NI 43-101 compliant prefeasibility study. |
17.5.2 Additional Metallurgical Testwork
|
| · | Additional copper-molybdenum separation testwork in order to optimize molybdenum and rhenium grade and recovery to the molybdenum concentrate, and reduce levels of copper reporting to the molybdenum concentrate. Future testwork to optimize molybdenum recovery can be investigated by (1) increasing the cleaning circuit retention time and (2) optimizing reagent dosages. |
|
|
|
|
|
| · | Variability metallurgical testwork should be carried out to further investigate the behaviours and responses of silver and rhenium of the samples across the Pebble deposit. This can be completed by conducting batch and locked cycle flotation tests with variability samples. At present, there are 10 locked cycle tests with silver and rhenium assays to support a mass balance calculation, whereas the remainder of the tests only contained the assay results of the bulk concentrate. |
|
|
|
|
|
| · | Ensure that the number of comminution and flotation variability samples tested for each respective geometallurgical domain unit reflects the timing and expected proportions of each contained within future engineering mine plans. |
|
|
|
|
|
| · | Conduct rougher flotation tests at varied grind size on each geometallurgical domain sample to confirm the size impacts on metal recoveries especially for gold, silver, and molybdenum and conduct locked cycle tests to verify the rougher flotation test results. The locked cycle test results, together with the cost considerations, will help to confirm the primary size selection and comminution circuit design in the next phase of work. |
|
|
|
|
|
| · | Further testwork for MAP on high grade molybdenum concentrates and metal extractions are recommended to establish baseline hydrometallurgical process flowsheets. A preliminary economical assessment is recommended to fully evaluate the application of the hydrometallurgical method for molybdenum and rhenium recovery. |
Northern Dynasty Minerals Ltd.
2023 Amended Technical Report on the
Pebble Project, Southwest Alaska
| Page 199 |

17.6 Risks and Opportunities
17.6.1 Overview
A number of risks and opportunities exist relative to the Pebble Mineral Resource Estimate. This section highlights several of these but is not an exhaustive list.
17.6.2 Resource Opportunities
|
| · | The Pebble property includes a number of opportunities to expand the Mineral Resource estimate through future exploration. The most significant opportunity is reflected by drill hole 6348 which intersected 949 ft with an average grade of 1.24% copper, 0.74 g/t gold, and 0.042% molybdenum, or 1.92% CuEq9. This drill hole lies east of the ZG1 Fault and follow up drilling of the Cretaceous host rocks to this mineralization has not yet been completed, thereby leaving the extent of this high-grade mineralization unknown. |
|
|
|
|
|
| · | Geophysical and geochemical surveys and reconnaissance exploration drilling have identified several targets located well outside the current Pebble resource estimate area that warrant future exploration. |
|
|
|
|
|
| · | Elevated levels of palladium, vanadium, titanium, and tellurium have been noted in raw analytical data and in metallurgical studies and represent opportunities to further benefit the economics of the Pebble deposit. |
17.6.3 Metallurgy Opportunities
|
| · | Flotation: a number of measures have been developed recently which could improve flotation performance at Pebble, including advances in coarse particle flotation. Further analysis of these advances could benefit Pebble. |
|
|
|
|
|
| · | Supergene flotation performance: the supergene domains at Pebble contribute a significant portion of the process plant feed during the first several years of operation. Additional testwork and analysis could determine if alternate strategies could be employed to improve recoveries in these zones. |
|
|
|
|
|
| · | Pre-sorting: pre-sorting techniques have become accepted components of many new process plants. A study could be warranted to determine if pre-sorting could enhance Pebble outcomes. |
|
|
|
|
|
| · | Gold recovery: analysis of alternate secondary gold recovery technologies could improve the financial results and enhance the permitting process. |
|
|
|
|
|
| · | Molybdenum refinery: the molybdenum concentrate production creates the opportunity to add a molybdenum concentrate refinery to produce a value-added product in Alaska and reduce overall carbon footprint of Project by reduced shipping. |
Northern Dynasty Minerals Ltd.
2023 Amended Technical Report on the
Pebble Project, Southwest Alaska
| Page 200 |

17.6.4 Resource Risks
The Mineral Resource estimates may ultimately be affected by a broad range of environmental, permitting, legal, title, socio-economic, marketing, and political factors pertaining to the specific characteristics of the Pebble deposit (including its scale, location, orientation and polymetallic nature) as well as its setting (from a natural, social, jurisdictional and political perspective).
Factors that may affect the Mineral Resource estimate include:
|
| · | changes to the geological, geotechnical, and geometallurgical models as a result of additional drilling or new studies; |
|
|
|
|
|
| · | changes to the rhenium:molybdenum correlation coefficients and resultant regression equation due to additional drilling; |
|
|
|
|
|
| · | changes to commodity prices resulting in changes to the test for reasonable prospects for eventual economic extraction; and |
|
|
|
|
|
| · | changes to the metallurgical recoveries resulting in changes to the test for reasonable prospects for eventual economic extraction. |
The QP for the resource estimate has reviewed the technical information, and other factors that may affect the estimate including permitting and external legal counsel’s letter regarding the ROD appeal and Final Determination, and believes that there is a reasonable prospect of economic extraction.
17.6.5 Metallurgy Risks
|
| · | Process recoveries: the metallurgical testwork completed on the Pebble deposit has been extensive but additional work is required to complete a feasibility study and design. |
|
|
|
|
|
| · | Deleterious elements: the metallurgical testwork highlighted the low levels of impurity elements in the Pebble feed materials and correspondingly low deportment to saleable products, and likewise the process plant design incorporated no special treatment steps to manage impurities in the feed. There is a risk that pockets of the Pebble deposit will contain elevated levels of deleterious elements that could report to the concentrates products at levels which could incur penalty charges or adversely influence the saleability of the products. Operational controls could avoid these potential impacts. |
17.6.6 Social, Legal, and Permitting Risks
|
| · | Land tenure: The Pebble deposit lies within claims on State land, for which there is a defined process to gaining tenure. However, both the access corridor north of Iliamna Lake as defined by the LEDPA and the originally proposed corridor crossing the lake are owned by a number of landowners, including the State of Alaska, Alaska Native Village Corporations, and private individuals. Pebble Partnership has access agreements with two Native Village Corporations and a private individual. A third agreement was negotiated but was terminated by Pebble Partnership in December 2022. Negotiations have advanced with other Native Village Corporations and individuals, but no agreements are in place. In June 2021, Pedro Bay Corporation announced they had signed an agreement whereby a fund had obtained an option to establish three conservation easements across the proposed access road. Pedro Bay Corporation and the fund announced the exercise of the option on December 22, 2022. While Pebble Partnership has not explored the full range of options available to it with this announcement, its current assumption is that the route defined in the June 2020 FEIS is no longer practicable and thus does not qualify as the LEDPA. |
Northern Dynasty Minerals Ltd.
2023 Amended Technical Report on the
Pebble Project, Southwest Alaska
| Page 201 |

|
| · | Project opposition: the Pebble Project is the subject of significant public opposition, in Alaska and elsewhere in the United States. |
|
|
|
|
|
| · | Legal actions: Northern Dynasty is named in a consolidated putative class action lawsuit in the United States and several putative class action lawsuits in Canada, while Pebble Partnership is subject to a government investigation regarding public statements made regarding the Project. While these matters do not directly affect the development of the Project, they could negatively impact Northern Dynasty’s and the Pebble Partnership’s ability to finance the development of the Project or the ability to obtain required permitting. |
|
|
|
|
|
| · | USACE Record of Decision: in November 2020, USACE denied Pebble Partnership’s permit application. USACE has issued an Administrative Appeal Decision remanding the ROD to the Alaska District to re-evaluate specific issues. In light of the EPA’s Final Determination, the Alaska District has been instructed to review the appeal decision and to notify the parties how it plans to proceed within 45 days of the date of the Administrative Appeal Decision. There is no assurance that a positive ROD will ultimately be obtained by the Pebble Partnership on remand or that the required environmental permit for the Proposed Project will be obtained. Northern Dynasty’s inability to address these issues may mean that the Company is ultimately not able to secure the environmental permits that are required to develop the Pebble Project. Further, there is no assurance that either (i) the remand process of the ROD ordered under the Administrative Appeal Decision will enable the Pebble Partnership to respond to the USACE’s comments on the CMP to adequately address the direct and indirect impacts of the Pebble Project; (ii) Pebble Partnership will successful in its efforts to present a revised CMP to the Alaska District of the USACE under the USACE’s remand process that will address the concerns of the USACE as to the impacts of the Pebble Project, or (iii) the USACE will ultimately conduct any further analysis of the record or CMP on remand as a result of the EPA’s Final Determination. |
Northern Dynasty Minerals Ltd.
2023 Amended Technical Report on the
Pebble Project, Southwest Alaska
| Page 202 |

|
| · | EPA: on September 9, 2021, the EPA announced it planned to re-initiate the process of making a CWA Section 404(c) determination for the waters of Bristol Bay, which would set aside the 2019 withdrawal of the original proposed determination that was based on a 2017 settlement agreement between the EPA and Pebble Partnership. On May 25, 2022, the EPA announced that it intended to advance its pre-emptive veto of the Pebble Project and published the Revised Proposed Determination. The public comment period on the Revised Proposed Determination was subsequently extended through September 6, 2022. The EPA issued its Final Determination on January 30, 2023. The Final Determination established a “defined area for prohibition” coextensive with the current mine plan footprint in which the EPA would prohibit the disposal of dredged or fill material for the Pebble Project. The Final Determination also established a 309-square-mile “defined area for restriction” that encompasses the area of the Pebble Project. The Pebble Partnership believes that there are numerous legal and factual flaws in the Final Determination and submitted comprehensive comments outlining its objections to the Revised Proposed Determination. However, the Final Determination will negatively affect the ability of the Pebble Partnership to obtain required permitting and develop the Proposed Project unless successfully challenged or withdrawn. There is no assurance that any challenge by the Pebble Partnership to the EPA’s Final Determination will be successful. |
|
|
|
|
|
| · | Bristol Bay Forever: the Bristol Bay Forever was a public initiative approved by Alaskan voters in November 2014. Based on that initiative, development of the Pebble Project requires legislative approval upon securing all other permits and authorizations. |
Northern Dynasty Minerals Ltd.
2023 Amended Technical Report on the
Pebble Project, Southwest Alaska
| Page 203 |

18.0 RECOMMENDATIONS
18.1 Recommended Program for Resources
Elevated levels of palladium, vanadium, titanium and tellurium have been noted in raw analytical data and in metallurgical studies. A scoping level program is recommended to determine their potential for inclusion in future resource estimates. Such a study would focus on these metals’ deportment, distribution and the best approach to their quantification.
$100,000
18.2 Recommended Program for Metallurgy
Review metallurgical testwork to date to identify opportunities to optimize treatment of supergene mineralization within the deposit and provide recommendations on future sampling and testwork.
$50,000
Complete an initial assessment of potential treatment methods of molybdenum concentrates to optimize the value of molybdenum and rhenium.
$50,000
Northern Dynasty Minerals Ltd.
2023 Amended Technical Report on the
Pebble Project, Southwest Alaska
| Page 204 |

19.0 REFERENCES
19.1 Geology
Amato, J.M., Foley, C., Heizler, M., and Esser, R., 2007, 40Ar/39Ar and U-Pb geochronology, geochemistry, and tectonic setting of three episodes of Cretaceous-Eocene calc-alkaline magmatism in the Lake Clark Region, southwestern Alaska: in Ridgway, K.D., Trop, J.M., Glen, J.M.G., and O’Neill, J.M., eds., Tectonic Growth of a Collisional Continental Margin: Crustal Evolution of Southern Alaska: Geological Society of America Special Paper 431, p. 455-475.
Anderson, E.D., Hitzman, M.W., Monecke, T., Bedrosian, P.A., Shah, A.K., and Kelley, K.D., 2013, Geological analysis of aeromagnetic data from southwestern Alaska: Implications for exploration in the area of the Pebble porphyry Cu-Au-Mo deposit. Economic Geology, in press.
Bouley, B.A., St. George, P., and Wetherbee, P.K., 1995, Geology and discovery at Pebble Copper, a copper-gold porphyry system in southwest Alaska: in Schroeter, T.G., ed., Porphyry Deposits of the Northwestern Cordillera of North America, CIM Special Volume 46, p. 422-435.
Bundtzen, T.K., and Miller, M.L., 1997, Precious metals associated with Late Cretaceous-early Tertiary igneous rocks of southwestern Alaska: in Goldfarb, R.J., and Miller, L.D., eds., Mineral Deposits of Alaska: Economic Geology Monograph 9, p. 242-286.
CIM, 2003, Best Practices in Uranium Estimation Guidelines
Clark, A.H., 1993, Are outsized porphyry copper deposits either anatomically or environmentally distinctive? Society of Economic Geologists Special Publication 2, p. 213-283.
Couture, J.F., and Siddorn, J., 2007, Technical report on the Whistler Cu-Au exploration project, Alaska Range, Alaska. Available on www.sedar.com, 92 p.
Decker, J., Bergman, S.C., Blodgett, R.B., Box, S.E., Bundtzen, T.L., Clough, J.G., Coonrad, W.L., Gilbert, W.G., Miller, M.L., Murphy, J.M., Robinson, M.S., and Wallace, W.K., 1994, Geology of southwestern Alaska: in Plafker, G., and Berg, H.C., eds., The Geology of Alaska. Geological Society of America, The Geology of North America, v. G-1., p. 285-310.
Detterman, R.L., and Reed, B.L, 1973. Surficial Deposits of the Iliamna Quadrange, Alaska, U.S. Geological Survey Bulletin 1368-A, 64 p.
Detterman, R.L., and Reed, B.L., 1980, Stratigraphy, structure, and economic geology of the Iliamna quadrangle, Alaska: U.S. Geological Survey Bulletin 1368-B, 86 p.
Foley, J.Y., Light, T.D., Nelson, S.W., and Harris, R.A., 1997, Mineral occurrences associated with mafic-ultramafic and related alkaline complexes in Alaska; in Goldfarb, R.J., and Miller, L.D., eds., Mineral Deposits of Alaska. Economic Geology Monograph 9, p. 396-449.
Northern Dynasty Minerals Ltd.
2023 Amended Technical Report on the
Pebble Project, Southwest Alaska
| Page 205 |

Gaunt, J.D., Rebagliati, C.M., Lang, J., Titley, E., Melis, L., Barratt, D., and Hodgson, S., 2010, Technical report on the 2009 program and update on mineral resources and metallurgy, Pebble copper-gold-molybdenum project, Alaska. Available on www.sedar.com, 195 p.
Gaunt, J.D., C.M., Lang, J., Titley, E., and Lu, T., 2014, Technical report on the Pebble Project, Southwest Alaska, USA. Available on www.sedar.com, 170 p.
Gaunt, J.D., C.M., Lang, J., Titley, E., Lu, T., and Hodgson, S. 2018, Technical report on the Pebble Project, Southwest Alaska, USA. Available on www.sedar.com, 191 p.
Goldfarb, R.J., 1997, Metallogenic evolution of Alaska; in Goldfarb, R.J., and Miller, L.D., eds., Mineral Deposits of Alaska, Society of Economic Geologists Monograph 9, p. 4-34.
Goldfarb, R.J., Hart, C.J.R, and Anderson, E.D., 2013, Regional tectonic framework of the Pebble deposit: Economic Geology, in press.
Gregory, M.J., 2017. A fluid inclusion and stable isotope study of the Pebble porphyry copper-gold-molybdenum deposit, Alaska. Ore Geology Reviews, v. 80, p. 1279-1303.
Gregory, M., and Lang, J., 2009, Hydrothermal controls on copper sulphide speciation, metal distribution and gold deportment in the Pebble porphyry Cu-Au-Mo deposit, southwest Alaska: Proceedings of the 10th Biennial Meeting of the Society for Geology Applied to Mineral Deposits, Townsville, Australia, p. 524-526.
Gregory, M.J., and Lang, J.R., 2011, Controls on Au deportment in the Pebble Cu-Au-Mo porphyry deposit, Alaska: in Williams, P.J., Oliver, N., and Rusk, B., eds., Let’s Talk Ore Deposits: Proceedings of the Eleventh Biennial SGA Meeting, Antofagasta, Chile, p. 524-526.
Gregory, M.J., and Lang, J.R., 2012, The Pebble porphyry Cu-Au-Mo deposit, Alaska. Society of Mining Engineers Annual Meeting, Seattle, preprint 12-141.
Gregory, M.J., Lang, J.R., Gilbert, S., and Hoal, K.O., 2013, Geometallurgy of the Pebble copper-gold-molybdenum deposit, Alaska: Implications for gold distribution and paragenesis: Economic Geology, in press.
Gustafson, L.B., and Hunt, J.P., 1975, The porphyry copper deposit at El Salvador,Chile: Economic Geology, v. 70, p. 857–912.
Gustafson, L.B., and Quiroga G., J., 1995, Patterns of mineralization and alteration below the porphyry copper orebody at El Salvador, Chile: Economic Geology, v. 90, p. 2-16.
Haeussler, P.J., and Saltus, R.W., 2005, 26 km of offset on the Lake Clark fault since late Eocene time: U.S. Geological Survey, Professional Paper 1709A, 4 p.
Haeussler, P.J., and Saltus, R.W., 2011, Location and Extent of Tertiary Structures in Cook Inlet Basin, Alaska, and Mantle Dynamics that Focus deformation and Subsidence, in Dumoulin, J.A., and Galloway, J.P., eds., Studies by the U.S. Geological Survey in Alaska 2008–2009: U.S. Geological Survey Professional Paper 1776–D, 26 p.
Northern Dynasty Minerals Ltd.
2023 Amended Technical Report on the
Pebble Project, Southwest Alaska
| Page 206 |

Hamilton, T., and Klieforth, R.F., 2010, Surficial geologic map of parts of the D-6 and D-7 quadrangles, Pebble project area, southwestern Alaska: Alaska Division of Geological & Geophysical Surveys, Report of Investigation 2009-4, 19 p.
Hames, B.P., and Roberts, M.D. (2020). The Whistler porphyry Au-Cu deposit, Alaska. In Sharman, E.R., Lang, J.R., and Chapman, J.B. (Eds.) Porphyry Deposits of the Northwestern Cordillera of North America: A 25-Year Update. Canadian Institute of Mining and Metallurgy Special Volume 57. Montreal, QC: Canadian Institute of Mining, Metallurgy and Petroleum. In Press.
Hampton, B.A., Ridgway, K.D., and Gehrels, G.E., 2010, A detrital record of Mesozoic island arc accretion and exhumation in the North American Cordillera: U-Pb geochronology of the Kahiltna basin, southern Alaska: Tectonics, v. 29, TC4015, doi:10.1029/2009TC002544, 21p.
Hanley, J., Kerr, M., LeFort, D., Warren, M., Mackenzie, M., and Sedge, C., 2020, Platinum-group element (PGE) enrichment in alkalic porphyry Cu-Au deposits in the Canadian cordillera: new insights from mineralogical and fluid inclusion studies. In Sharman, E.R., Lang, J.R., and Chapman, J.B. (Eds.) Porphyry Deposits of the Northwestern Cordillera of North America: A 25-Year Update. Canadian Institute of Mining and Metallurgy Special Volume 57. Montreal, QC: Canadian Institute of Mining, Metallurgy and Petroleum. In Press.
Harraden, C.L., McNulty, B.A., Gregory, M.J., and Lang, J.R., 2012, Shortwave infrared spectral analysis of hydrothermal alteration associated with the Pebble porphyry copper-gold-molybdenum deposit, Iliamna, Alaska, USA: Economic Geology, in press.
Hart CJR, 2010. Intrusive rocks associated with the Pebble porphyry Cu-Au-Mo deposit, southwest Alaska. GSA Denver annual meeting abstract 182738.
Hart, C.J., Lang, J.R., Goldfarb, R.J., and Farmer, G.L., 2010, Intrusive rocks associated with the Pebble porphyry Cu-Au-Mo deposit, southwest Alaska. Geological Society of America Abstracts with Programs, v. 42, p. 676.
Haslinger, R.J., Payne, J.G., Price, S., and Rebagliati, C.M., 2004, 2003 Summary report on the Pebble porphyry gold-copper project, Iliamna Lake area, southwestern Alaska, USA. Available on www.sedar.com, 119 p.
Hawley, C., 2004 Alaska resource data file, Iliamna quadrangle, Alaska: U.S. Geological Survey Open-File Report 2004-105, 118 p.
Haynes, F.H., and Titley, S.R., 1980, The evolution of fracture-related permeability within the Ruby Star Granodiorite, Sierrita porphyry copper deposit, Pima County, Arizona: Economic Geology, v. 75, p. 673-683.
Northern Dynasty Minerals Ltd.
2023 Amended Technical Report on the
Pebble Project, Southwest Alaska
| Page 207 |

Iriondo, A., Kunk, M.J., and Wilson, F.H., 2003, 40Ar/39Ar geochronology of igneous rocks in the Taylor Mountains and Dillingham quadrangles in SW Alaska: U.S. Geological Survey Open-File Report 03-0421.
John, D.A., Ayuso, R.A., Barton, M.D., Blakely, R.J., Bodnar, R.J., Dilles, J.H., Gray, F., Graybeal, F.T., Mars, J.C., McPhee, D.K., Seal, R.R., Taylor, R.D., and Vikre, P.G., 2010, Porphyry copper deposit model, chapter B of Mineral Deposit Models for Resource Assessment. U.S. Geological Survey, Scientific Investigations Report 2010-5070-B, 169 p.
John, D.A., Seal, R.R., II, and Polyak, D.E., 2017, Rhenium, chapter P of Schulz, K.J., DeYoung, J.H., Jr., Seal, R.R., II, and Bradley, D.C. (eds.), Critical mineral resources of the United States—Economic and environmental geology and prospects for future supply. U.S. Geological Survey Professional Paper 1802, p. P1–P49
Kalbas, J.L., Ridgeway, K.D., and Gehrels, G.E., 2007, Stratigraphy, depositional systems, and provenance of the Lower Cretaceous Kahiltna assemblage, western Alaska Range: Basin development in response to oblique collision: in Ridgeway, K.D., Trop, J.M., Glen, J.M.G, Evolution of Southern Alaska: Geological Society of America Special Paper 431, p. 307-344.
Kelley, K.D., Eppinger, R.G., Lang, J., Smith, S.M., and Fey, D.L., 2011, Porphyry Cu indicator minerals in till as an exploration tool: example from the giant Pebble porphyry Cu-Au-Mo deposit, Alaska, : Geochemistry: Exploration, Environment, Analysis, v. 11, p. 321-334.
Khashgerel, B., Rye, R.O., Kavalieris, I, and Hayashi, K., 2009, Thesericitic to advanced argillic transition: Stable isotope and mineralogical characteristics from the Hugo Dummett porphyry Cu-Au deposit, OyuTolgoi district, Mongolia: Economic Geology, v. 104, p. 1087-1110.
Koehler, R.D., and Reger, R.D., 2011, Reconnaissance evaluation of the Lake Clark fault, Tyonek area, Alaska. State of Alaska Department of Natural Resources, Division of Geological & Geophysical Surveys, PRELIMINARY INTERPRETIVE REPORT 2011-1, 10 p.
Koehler, R.D., 2010, Technical review of a trench across a potential fault scarp feature east of lower Talarik Creek, Lake Iliamna area, southwestern Alaska. State of Alaska Department of Natural Resources, Alaska Division of Geological & Geophysical Surveys, MISCELLANEOUS PUBLICATION 139, 12 p.
Kreiner, D.C., Jones III, J.V., Kelley, K.D., and Graham, G.E. (2020). Tectonic and magmatic controls on the metallogenesis of porphyry deposits in Alaska. In Sharman, E.R., Lang, J.R., and Chapman, J.B. (Eds.) Porphyry Deposits of the Northwestern Cordillera of North America: A 25-Year Update. Canadian Institute of Mining and Metallurgy Special Volume 57. Montreal, QC: Canadian Institute of Mining, Metallurgy and Petroleum. In Press.
Kremenetskii, A.A., Popov, V.S., and Gromalova, N.A., 2012, The formation age of ores from the Pebble Cu-Au-Mo giant deposit (Alaska, United States). Doklady Earth Sciences, v. 442, part 2, p. 196-201.
Northern Dynasty Minerals Ltd.
2023 Amended Technical Report on the
Pebble Project, Southwest Alaska
| Page 208 |

Lang, J.R., Gregory, M.J., Rebagliati, C.M., Payne, J.G., Oliver, J.L., and Roberts, K., 2012, Geology and magmatic-hydrothermal evolution of the giant Pebble porphyry copper-gold-molybdenum deposit, southwest Alaska, USA. Economic Geology, in press.
Lang, J.R., Rebagliati, C.M., Roberts, K., and Payne, J.G., 2008, The Pebble copper-gold-molybdenum porphyry deposit, southwest Alaska USA: Proceedings of PACRIM 2008, AUSIMM, p. 27-32.
Lang, J.R., Stanley, C.R., and Thompson, J.F.H., 1995, Porphyry copper-gold deposits related to alkalic igneous rocks in the Triassic-Jurassic arc terranes of British Columbia. In: Pierce, F.W, and Bolm, J.G., eds., Porphyry Copper Deposits of the American Cordillera. Arizona Geological Society Digest, v. 20, p. 219-236.
McCandless, T.E., Ruiz, J., and Campbell, A.R., 1993, Rhenium behaviour in molybdenite in hypogene and near-surface environments: Implications for Re-Os geochronometry: Geochimicaet Cosmochimica Acta, v. 57, p. 889-905.
McClelland, W.C., Gehrels, G.E., and Saleeby, J.B., 1992, Upper Jurassic-Lower Cretaceous basinal strata along the Cordilleran Margin: Implications for the accretionary history of the Alexander-Wrangellia-Peninsular Terrane: Tectonics, v. 11, p. 823-835.
McFall, K.A., Naden, J., Roberts, S., Baker, T., Spratt, J., and McDonald, I., 2018, Platinum-group minerals in the Skouries Cu-Au (Pd, Pt, Te) porphyry deposit. Ore Geology Reviews, v. 99, p. 344-364.
Meyer, C., and Hemley, J.J., 1967, Wall rock alteration. In: Barnes, H.L., ed., Geochemistry of hydrothermal ore deposits: New York, Holt, Rhinehart and Winston, p. 166-235.
Olson, N.H. (2015). The geology, geochronology, and geochemistry of the Kaskanak batholith, and other Late Cretaceous to Eocene magmatism at the Pebble porphyry Cu-Au-Mo deposit, SW Alaska. Unpublished M.Sc thesis, Oregon State University.
Olson, N.H., Dilles, J.H., Kent, A.J.R., and Lang, J.R. (2017). Geochemistry of the Cretaceous Kaskanak batholith and genesis of the Pebble porphyry Cu-Au-Mo deposit, Southwest Alaska. American Mineralogist, v. 102, p. 1597–1621.
Olson, N.H., Lang, J.R., and Dilles, J.H. (2020). The Pebble porphyry Cu-Au-Mo deposit, southwestern Alaska. In Sharman, E.R., Lang, J.R., and Chapman, J.B. (Eds.) Porphyry Deposits of the Northwestern Cordillera of North America: A 25-Year Update. Canadian Institute of Mining and Metallurgy Special Volume 57. Montreal, QC: Canadian Institute of Mining, Metallurgy and Petroleum. In Press
Pavlis, T.L., Sisson, V.B., Foster, H., Nokleberg, W.J., and Plafker, G., 1993, Constraints on crustal extension in the western Yukon-Tanana terrane, central Alaska: Tectonics, v. 12, p. 103-122.
Phillips, C.H., Gambell, N.A., and Fountain, D.S., 1974, Hydrothermal alteration, mineralization and zoning in the Ray deposit: Economic Geology, v. 69, p. 1237-1250.
Northern Dynasty Minerals Ltd.
2023 Amended Technical Report on the
Pebble Project, Southwest Alaska
| Page 209 |

Plafker, G., and Berg, H.C., 1994, Overview of the geology and tectonic evolution of Alaska: in Plafker, G., and Berg, H.C., eds., The Geology of Alaska: Geological Society of America, The Geology of North America, v. G-1, p. 989-1021.
Rebagliati, C.M., and Haslinger, R.J., 2003, Summary report on the Pebble copper-gold porphyry project, Iliamna Lake area, southwestern Alaska, USA. Available on www.sedar.com.94 p.
Rebagliati. C.M. and Haslinger, R.J., 2004. Technical Report on the Pebble. January 2004.
Rebagliati. C.M. and Haslinger, R.J., Payne, J.G., and Price, C.M., 2004. Technical Report on the Pebble Project. May 2004.Rebagliati, C.M., Payne, J.G., and Lang, J.R., 2005, 2004 summary report on the Pebble porphyry gold-copper project, Iliamna Lake area, southwestern Alaska, USA. Available on www.sedar.com.79 p.
Rebagliati, C.M., and Payne, J.G., 2006, 2005 summary report on the Pebble porphyry copper-gold project, Iliamna Lake area, southwestern Alaska, USA. Available on www.sedar.com.111 p.
Rebagliati, C.M., and Payne, J.G., 2007, 2006 summary report on the Pebble porphyry copper-gold-molybdenum project, Iliamna Lake area, southwestern Alaska, USA. Available on www.sedar.com.119 p.
Rebagliati, C.M., Lang, J.R., Titley, E., Gaunt, J.D., Rennie, D., Melis, L., Barratt, D., and Hodgson, S., 2008, Technical report on the 2007 program and updates on metallurgy and resources. Available on www.sedar.com.
Rebagliati, C.M., Lang, J.R., Titley, E., Gaunt, J.D., Rennie, D., Melis, L., Barratt, D., and Hodgson, S., 2009, Technical report on the 2008 program and updates on mineral resources and metallurgy. Available on www.sedar.com.
Rebagliati, M., and Lang, J., 2009, The Pebble porphyry copper-gold-molybdenum discovery, Alaska, USA. Conference Proceedings, New GenGold 2009, Case Histories of Discoveries, Perth, p. 121-132.
Rebagliati. C.M., Lang, J.R., Titley, E., Gaunt, J.D., Melis, L., Barratt, D., Hodgson, S., 2010. Technical Report on the 2009 Program and Update on Mineral Resources and Metallurgy. Pebble Copper-Gold-Molybdenum Project, Iliamna Lake Area, Southwestern Alaska, USA for Northern Dynasty Minerals Ltd. March 2010. 194 pages.
Reed, B.L., and Lanphere, M.A., 1973, Alaska-Aleutian Range batholith: Geochronology, chemistry, and relation to circum-Pacific plutonism: Geological Society of America Bulletin, v. 84, p. 2583-2610.
Rombach, C., and Newberry, R., 2001, Shotgun deposit: Granite porphyry-hosted gold-arsenic mineralization in southwestern Alaska, USA: Mineralium Deposita, v. 36, p. 607-621.
Schrader, C.M., 2001, Geochronology and geology of the Pebble Cu-Au-Mo porphyry and the Sill Au-Ag epithermal deposits, southwest Alaska. Unpublished M.Sc thesis, University of Georgia, Athens, 109 p.
Northern Dynasty Minerals Ltd.
2023 Amended Technical Report on the
Pebble Project, Southwest Alaska
| Page 210 |

Seedorff, E., Dilles, J.H., Proffett, J.M., Einaudi, M.T., Zurcher, L., Stavast, W.J.A., Johnson, D.A., and Barton, M.D., 2005, Porphyry deposits: Characteristics and origin of hypogene features: in Hedenquist, J.W., Thompson, J.F., Goldfarb, R.J., and Richards, J.P., eds., Economic Geology 100thAnniversary Volume, 1905-2005. Society of Economic Geologists, p. 251-298.
Shah, A., Bedrosian, P., Anderson, E., Kelley, K., and Lang, J., 2009, Geophysical data used to characterize the regional setting of the Pebble porphyry deposit in southwest Alaska: Geological Society of America Annual Meeting, Program with Abstracts, v. 41, p. 493.
Sillitoe, R.H., 2010, Porphyry copper systems: Economic Geology, v. 105, p. 3-41.Sinclair, W.D., Jonasson, I., Kirkham, R.V., and Soregaroli, A.E., 2009, Rhenium and other platinum-group metals in porphyry deposits. Geological Survey of Canada, Open File 6181.
Srivastava, M, 2020 Prediction of Missing Rhenium for Pebble, 2020, Internal Company Memo
Wallace WK, Hanks CL and JF Rogers, 1989, The southern Kahiltna terrane: Implications for the tectonic evolution of southwestern Alaska. GSA Bulletin 101, 1389-1407.
Wallace, W.E., Hanks, C.L., and Rogers, J.F., 1989, The southern Kahiltna terrane: Implications for the tectonic evolution of southwestern Alaska: Geological Society of America Bulletin, v. 101, p. 1389-1407.
Young, L.E., St. George, P., and Bouley, B.A., 1997, Porphyry copper deposits in relation to the magmatic history and palinspastic restoration of Alaska: in Goldfarb, R.J., and Miller, L.D., eds., Mineral Deposits of Alaska: Society of Economic Geologists Monograph 9, p. 306-333.
Website
SEDAR (System for Electronic Document Analysis and Retrieval): www.sedar.com
US Geological Survey (USGS), 2017. Rhenium, Chapter P of Critical Mineral Resources of the United States—Economic and Environmental Geology and Prospects for Future Supply. https://pubs.usgs.gov/pp/1802/p/pp1802p.pdf
19.2 Mineral Processing
G & T Metallurgical Services Ltd., 2011. Copper Molybdenum Separation Testing on a Pebble Bulk Concentrate. September 22, 2011.
Outotec (Canada) Ltd., 2010. Outotec Thickener Interpretations and Recommendations for Test Data. Report TH-0493, Pebble Project, April 9, 2010.
Outotec (Canada) Ltd., 2010. Outotec Thickener Interpretations and Recommendations for Test Data. Report TH-0497, Pebble Project. June 17, 2010.
Northern Dynasty Minerals Ltd.
2023 Amended Technical Report on the
Pebble Project, Southwest Alaska
| Page 211 |

SGS-Lakefield Research Ltd., 2010. An Investigation into the Pebble East and Pebble West Metallurgical Programs. Project #12072-002 Final Report, May 3, 2010.
SGS-Lakefield Research Ltd., 2010. An Investigation into the Recovery of Copper, Gold, and Molybdenum from Samples from Pebble East and West Deposits. Project #12072-002-Report #2, May 10, 2010.
SGS-Lakefield Research Ltd., 2014. A Summary of Pebble East and West Metallurgical Programs. September 5, 2014.
SGS-Lakefield Research Ltd., 2010. An Investigation into the Recovery of Copper, Gold, and Molybdenum from Samples from Pebble East and West Deposits. Project #12072-003/007-Report #3 Rev 1, Semtember 24, 2014.
SME Mineral Processing & Extractive Metallurgy Handbook, 2018 Review of MAP Development Work, Dreisinger Consulting Inc., September 16, 2012
19.3 Environmental/Social/permitting
Alaska Department of Fish and Game (ADFG), Divisions of Sport Fish and Commercial Fisheries, June 2022. 2021 Bristol Bay Area Annual Management Report, Fishery Management Report No. 22-14
Alaska Department of Fish and Game (ADFG), Divisions of Sport Fish and Commercial Fisheries, June 2021. 2020 Bristol Bay Area Annual Management Report, Fishery Management Report No. 21-16Alaska Department of Fish and Game (ADFG), 2010. 2009 Bristol Bay Area Annual Management Report. Fishery Management Report No. 10-25.
Alaska Department Fish and Game (ADFG), 2013. Anadromous Waters Catalog. https://www.adfg.alaska.gov/sf/SARR/AWC/index.cfm
Alaska Department of Fish and Game (ADFG), 2020. Bristol Bay Salmon Escapement (2019). https://www.adfg.alaska.gov/index.cfm?adfg=commercialbyareabristolbay.escapement
Alaska Department of Natural Resources, 2005. Bristol Bay Area Plan for State Lands. http://dnr.alaska.gov/mlw/planning/areaplans/bristol/pdf/bbap_complete.pdf
Jones, M. et al, 2012. 2012 Bristol Bay Area Management Report No. 13-20.
Mine Environmental Neutral Drainage Program, 1991. Acid Road Drainage Prediction Manual, MEND Project 1.16.1b, CANMET – MSL Division, Department of Energy, Mines and Resources, Canada.
PLP (Pebble Limited Partnership), 2012. Pebble Project Environmental Baseline Document 2004 through 2008. Pebble Limited Partnership, Anchorage, AK
PLP, 2018. Pebble Project Supplemental Environmental Baseline Document. Pebble Limited Partnership Anchorage, AK
Northern Dynasty Minerals Ltd.
2023 Amended Technical Report on the
Pebble Project, Southwest Alaska
| Page 212 |

PLP, 2020. Pebble Project Description. POA-2017-217 Updated May 2020
US Army Corps of Engineers, 2020. Pebble Project EIS Final Impact Statement. Department of the Army. Alaska District. July 2020
US Army Corps of Engineers, 2023. Administrative Appeal Decision Clean Water Act - Pebble Limited Partnership POA-2017-00271 Alaska District April 24, 2023
U.S. Fish and Wildlife Service, Culvert Design Guidelines for Ecological Function, U.S. Fish and Wildlife Service Alaska Fish Passage Program, Revision 5, February 5th, 2020
US Geological Survey (USGS), 2013. Watershed Boundary Dataset. https://www.usgs.gov/core-science-systems/ngp/national-hydrography/watershed-boundary-dataset
State of Alaska, Department of Labor and Workforce Development, January 18, 2013 Press Release No. 13-03.
Northern Dynasty Minerals Ltd.
2023 Amended Technical Report on the
Pebble Project, Southwest Alaska
| Page 213 |
|
|
|
|
|
|
20.0 CERTIFICATES
David Gaunt, P.Geo.
14TH FLOOR, 1040 WEST GEORGIA ST.
VANCOUVER, BRITISH COLUMBIA
Telephone: 604-684-6365 Fax: 604-662-8956
davidgaunt@hdimining.com
I, J. David Gaunt, P.Geo., am a Professional Geologist in the City of Vancouver, in the Province of British Columbia.
|
| 1. | I am co-author of this report entitled “2023 Amended Technical Report on the Pebble Project, Southwest Alaska, USA”, effective date May 19, 2023. I am responsible for sections 1.5, 1.9.1, 2.3.2, 3.3, 6.3, 10.3, 12.1, 14, 17.2.3, 17.5.1, 17.6.2, 17.6.4 and 18.1. |
|
|
|
|
|
| 2. | I have been involved with the project since 2001, and co-authored technical reports in 2008, 2009 and 2014. |
|
|
|
|
|
| 3. | I am a member in good standing of: Engineers and Geoscientists British Columbia, registration No.20050, and The Prospectors and Developers Association of Canada. |
|
|
|
|
|
| 4. | I am a graduate of Acadia University, Nova Scotia (B.Sc., Geology, 1985). |
|
|
|
|
|
| 5. | I have practiced my profession continuously since graduation and have been involved in mineral exploration and resource estimation for precious and base metals in Canada, USA, Mexico, Argentina, Chile, Australia, Spain, Hungary, Afghanistan, China, and South Africa. I have previous experience with intrusion related copper gold deposits, notably Veladero, and Pebble. |
|
|
|
|
|
| 6. | As a result of my qualifications and experience I am a Qualified Person as defined in National Instrument 43–101. |
|
|
|
|
|
| 7. | I am not independent of the issuer, Northern Dynasty Minerals Ltd. |
|
|
|
|
|
| 8. | I have visited the Pebble Project several times, most recently on September 1st and 2nd, 2010, and have been involved in the resource estimates relating to Pebble since 2001. I have had previous involvement on the property as an author of technical reports in 2021, 2020, 2018, 2014, 2010, 2009 and 2008. |
|
|
|
|
|
| 9. | I have read National Instrument 43-101, Form 43-101FI and this report has been prepared in compliance with NI 43-101 and Form 43-101FI. |
|
|
|
|
|
| 10. | I am not aware or any material fact or material change with respect to the subject matter of this technical report, which is not reflected in the report, the omission of which to disclose would make this report misleading. |
Dated in Vancouver on this 1st day of June, 2023,
J. David Gaunt
J. David Gaunt, P.Geo.
|
|
|
|
|
|
James R. Lang Ph.D, P.Geo
4052 Hook Place
Naramata, BC V0H 1N1
Ph 604-351-8860 jimlang@hdimining.com
I, James R. Lang Ph.D, P.Geo., of Naramata, British Columbia, Canada, do hereby certify that:
|
| 1) | I am consultant to Hunter Dickinson Inc., with office located at the address shown above. |
|
|
|
|
|
| 2) | I graduated with a B.Sc. in geology from Michigan State University, East Lansing, Michigan, USA in 1983, and received M.Sc. and PhD degrees in economic geology from the University of Arizona, Tucson, Arizona, USA in 1986 and 1991, respectively. |
|
|
|
|
|
| 3) | I am a registered member of Engineers and Geoscientists British Columbia, Registration Number 25376. |
|
|
|
|
|
| 4) | I have worked as an economic geologist for 35 consecutive years, and have conducted applied research and grassroots to brownfields exploration for numerous companies in the mineral sector. I have been the geology technical lead on positive feasibility studies at the Xietongmen and Sisson porphyry deposits and for exploration and earlier-stage economic studies on other porphyry deposits including Pebble, Maggie, Kwanika, and Lorraine. I have consulted on the geology of many porphyry and related deposits in China, Chile, the Yukon, British Columbia, Mexico, the United States, Spain and elsewhere, and on other deposit types in numerous jurisdictions. |
|
|
|
|
|
| 5) | I have read the definition of “qualified person” set out in National Instrument 43-101 (“NI 43-101”) and certify that by reason of my education, affiliation with a professional association (as defined by NI 43-101) and past relevant work experience, I fulfill the requirements to be a “qualified person” for the purposes of NI 43-101. |
|
|
|
|
|
| 6) | I am co-author of this Technical Report titled “2023 Amended Technical Report on the Pebble Project, Southwest Alaska, USA”, effective date May 19, 2023. I am responsible for sections 1.4, 2.3.5, 6.1, 7, 8, 9, 10.2, 12.2, 13.8, 17.2.1, 17.2.4 and 19.1 of this report. |
|
|
|
|
|
| 7) | I have been physically present at the project area every year from 2003 to 2019 for a total of over 650 days. From 2007 through 2010 I acted as resident Chief Geologist for the project. My most recent visit was for three days in September 2019. I am familiar with the geology, topography, physical features, access, location and infrastructure. I have had prior involvement with the property as an author of technical reports in 2021, 2020, 2018, 2014, 2010, 2009, 2008 and 2005. |
|
|
|
|
|
| 8) | I am not aware of any material fact or material change with respect to the subject matter of the Technical Report that is not reflected in the Technical Report, the omission to disclose which might make the Technical Report misleading. |
|
|
|
|
|
| 9) | I am NOT independent of the issuer, Northern Dynasty Minerals Ltd., applying all tests in Section 1.5 of National Instrument 43-101. |
|
|
|
|
|
| 10) | I have read National Instrument 43-101 and Form 43-101F1, and the Technical Report has been prepared in compliance with that instrument and form. |
|
|
|
|
|
| 11) | As of the date of the certificate, to the best of my knowledge, information and belief, the technical report contains all scientific and technical information that is required to be disclosed to make the technical report not misleading. |
Dated this 1st day of June, 2023,
James Lang
James R. Lang, Ph.D., P.Geo.
|
|
|
|
|
|
Eric D. Titley
15th Floor – 1040 West Georgia Street,
Vancouver, British Columbia, Canada, V6E 4H1
Tel. 604-684-6365, Email: EricTitley@hdimining.com
I, Eric D. Titley, P.Geo., do hereby certify that:
I am Senior Manager | Resource Geology, at the above address.
|
| 1. | I am a graduate of the University of Waterloo, Waterloo, Ontario with a Bachelor of Science degree in Earth Sciences (Geography minor) in 1980. |
|
|
|
|
|
| 2. | I have practiced my profession continuously since graduation on mineral exploration projects in Canada, the United States, Mexico, South Africa, Poland, Brazil, Chile, Ireland, China, and Australia. I have considerable experience related to geological data management and QAQC on mineral exploration projects, including porphyry copper deposits such as Gibraltar, Mt. Milligan, Kemess, Prosperity, Maggie, Berg, Pine, Duke and Ike in British Columbia, Casino in Yukon, Xietongmen in China, and Andacollo Chile, as well as Pebble. |
|
|
|
|
|
| 3. | I am a Professional Geoscientist registered with Engineers and Geoscientists British Columbia, Registration / Licence Number 19518. |
|
|
|
|
|
| 4. | I have read the definition of “qualified person” set out in National Instrument 43-101 (“NI 43101”) and certify that by reason of my education, affiliation with a professional association (as defined in NI 43-101) and past relevant work experience, I fulfill the requirements to be a “qualified person” for the purposes of NI 43-101. |
|
|
|
|
|
| 5. | I am co-author of this Technical Report titled “2023 Amended Technical Report on the Pebble Project, Southwest Alaska, USA”, effective date May 19, 2023. I am responsible for sections 2.3.3, 6.2, 10.1, 10.5, 11, 12.3 and 17.2.2 of this report. |
|
|
|
|
|
| 6. | The Technical Report is based on my knowledge of the project area and drilling database included in the Technical Report, and on review of published and unpublished information on the property and surrounding areas. |
|
|
|
|
|
| 7. | I conducted my most recent site visit to the Pebble Project on the 20th and 21st of September 2011. I also visited the Pebble Project from August 25th to 27th in 2008, and from May 29th to 30th in 2007. |
|
|
|
|
|
| 8. | I have had prior involvement with the property as an author of technical reports in 2021, 2020, 2018, 2014, 2010, 2009 and 2008, and ongoing management of the Pebble drilling database and analytical quality control programs since 2001. |
|
|
|
|
|
| 9. | I am not independent of Northern Dynasty and affiliated companies applying the tests in section 1.5 of National Instrument 43-101. |
|
|
|
|
|
| 10. | I have read National Instrument 43-101 and Form 43-101F1, and the Technical Report has been prepared in compliance with that Instrument and Form. |
|
|
|
|
|
| 11. | At the effective date of the Technical Report, to the best of my knowledge, information and belief, the part of the Technical Report for which I am responsible, contains all the scientific and technical information that is required to be disclosed to make the technical report not misleading. |
|
|
|
|
Dated this 1st day of June, 2023,
Eric D. Titley
Eric D. Titley, P.Geo
|
|
|
|
|
|
I, Hassan Ghaffari, P.Eng., M.A.Sc. do hereby certify:
|
| · | I am a Director of Metallurgy with Tetra Tech Inc. with a business address at Suite 1000, 10th Floor, 885 Dunsmuir Street, Vancouver, BC, V6C 1N5. |
|
|
|
|
|
| · | This certificate applies to the technical report entitled “2023 Amended Technical Report on the Pebble Project, Southwest Alaska, USA”, with an effective date of May 19, 2023 (the “Technical Report”). |
|
|
|
|
|
| · | I am a graduate of the University of Tehran (M.A.Sc., Mining Engineering, 1990) and the University of British Columbia (M.A.Sc., Mineral Process Engineering, 2004). |
|
|
|
|
|
| · | I am a member in good standing of the Engineers and Geoscientists British Columbia (#30408). |
|
|
|
|
|
| · | My relevant experience includes 30 years of experience in mining and mineral processing plant operation, engineering, project studies and management of various types of mineral processing, including hydrometallurgical and mineral processing for large porphyry copper deposits, such Copper Fox Schaft Creek, Seabridge KSM, KGHM Ajax, Mount Milligan and Pebble. |
|
|
|
|
|
| · | I am a “Qualified Person” for the purposes of National Instrument 43-101 Standards of Disclosure for Mineral Projects (NI 43-101) for those sections of the Technical Report that I am responsible for preparing. |
|
|
|
|
|
| · | I conducted a personal inspection of the Pebble Property on September 1 and 2, 2010. |
|
|
|
|
|
| · | I am responsible for Sections 1.6, 1.9.2, 2.3.1, 12.4, 13.1-13.7, 13.9, 17.3, 17.5.2, 17.6.3, 17.6.5, 18.2 and 19.2 of the Technical Report. |
|
|
|
|
|
| · | I am independent of Northern Dynasty Minerals Ltd. as Independence is defined by Section 1.5 of NI 43-101. |
|
|
|
|
|
| · | I have had previous involvement with the Pebble property that is the subject of the Technical Report, in acting as a Qualified Person for the “Preliminary Assessment of the Pebble Project, southwest Alaska” with an effective date of February 15, 2011, and 2021 Technical Report on the Pebble Project, Southwest Alaska, USA”, with an effective date of February 24, 2021. |
|
|
|
|
|
| · | I have read NI 43-101 and the sections of the Technical Report that I am responsible for have been prepared in compliance with NI 43-101. |
|
|
|
|
|
| · | As of the date of this certificate, to the best of my knowledge, information and belief, the section of the Technical Report that I am responsible for contain all scientific and technical information that is required to be disclosed to make the technical report not misleading. |
Signed and dated this 1st day of June, 2023 at Vancouver, British Columbia.
| Hassan Ghaffari |
|
| Hassan Ghaffari, P. Eng., M.Sc. Director of Metallurgy Tetra Tech Inc. |
|
|
|
|
|
|
|
Stephen Hodgson, P.Eng.
202 – 1099 Marinaside Crescent, Vancouver, British Columbia V6Z 2Z3
stephenhodgson@hdimining.com
I, Stephen Hodgson, P.Eng., do hereby certify that:
|
| 1. | I am an officer of Northern Dynasty Minerals Ltd., with a business office at Suite 1400-1040 West Georgia Street, Vancouver, British Columbia. |
|
|
|
|
|
| 2. | I am a graduate of the University of Alberta (B.Sc, Mineral Engineering, Mining, 1976). |
|
|
|
|
|
| 3. | I am a member in good standing of Engineers and Geoscientists British Columbia, License number 18501. |
|
|
|
|
|
| 4. | I have practiced my profession continuously since graduation in mine operations in Canada and the United States, as a consulting mining engineer in Canada, the United States, Peru, Chile, Vietnam, Venezuela, Kyrgyzstan, Australia, New Caledonia, South Africa, Russia, and Mongolia, and as a Vice President of Engineering in the United States. |
|
|
|
|
|
| 5. | I have read the definition of “qualified person” set out in National Instrument 43-101 and certify that by reason of my education, affiliation with a professional association as defined by NI 43-101, and past relevant work experience, I fulfill the requirements to be a “qualified person” for the purpose of NI 43-101. |
|
|
|
|
|
| 6. | I am a co-author of the technical report entitled, “2023 Amended Technical Report on the Pebble Project, Alaska, USA”, effective date May 19, 2023. I am responsible for Sections 1.1, 1.2, 1.3, 1.7, 1.8, 2.1, 2.2, 2.3.4, 3.1, 3.2, 4, 5, 6.4, 12.5, 16, 17.1, 17.4, 17.6.1, 17.6.6, and 19.3 of the report. |
|
|
|
|
|
| 7. | I have led the Northern Dynasty engineering team and provided management services for the Company since 2005. During the periods 2007-2011 and 2017-2021, I was also the engineering lead for the Pebble Partnership. I have considerable experience related to project development and operations, including porphyry copper deposits such as Pebble. This includes the consultant’s Mining Lead for the Lomas Bayas and Antamina project feasibility studies and the consultant’s Manager for the initial round of studies on the Oyu Tolgoi project. |
|
|
|
|
|
| 8. | I have visited the Pebble Project numerous times, most recently for two days in October 2019. I am familiar with the geology, topography, and physical features of the property. |
|
|
|
|
|
| 9. | I am not independent of the issuer, Northern Dynasty Minerals Ltd. |
|
|
|
|
|
| 10. | I have been an author of technical reports on the Pebble project in 2021, 2020, 2018, 2014, 2010, 2009 and 2008. |
|
|
|
|
|
| 10. | I have read the Instrument and the sections of the Technical Report that I am responsible for have been prepared in compliance with the Instrument. |
|
|
|
|
|
| 11. | As of the date of this certificate, to the best of my knowledge, information and belief, the sections of the Technical Report that I am responsible for contain all scientific and technical information that is required to be disclosed to make the Technical Report not misleading. |
Signed on this 1st day of June, 2023,
Stephen Hodgson
Stephen Hodgson, P.Eng.
|
|
|
|
|
|
Appendix A - Claims List
| PEBBLE EAST CLAIMS |
| 553008 |
| KAK 78 |
| 553573 |
| PEBB 35 |
| 638825 |
| PEB 47 | ||
| ADL # |
| CLAIM NAME |
| 553009 |
| KAK 79 |
| 553574 |
| PEBB 36 |
| 638826 |
| PEB 48 |
| 552871 |
| SOUTH PEBBLE 113 |
| 553010 |
| KAK 80 |
| 553575 |
| PEBB 37 |
| 638827 |
| PEB 49 |
| 552872 |
| SOUTH PEBBLE 114 |
|
|
|
|
| 553576 |
| PEBB 38 |
| 638828 |
| PEB 50 |
| 552873 |
| SOUTH PEBBLE 115 |
| ADL # |
| CLAIM NAME |
| 553577 |
| PEBB 39 |
| 638829 |
| PEB 51 |
| 552931 |
| KAK 1 |
| 553011 |
| KAK 81 |
| 553578 |
| PEBE 1 |
| 638830 |
| PEB 52 |
| 552932 |
| KAK 2 |
| 553012 |
| KAK 82 |
|
|
|
|
| 638835 |
| PEB 57 |
| 552933 |
| KAK 3 |
| 553013 |
| KAK 83 |
| ADL # |
| CLAIM NAME |
| 638836 |
| PEB 58 |
| 552936 |
| KAK 6 |
| 553014 |
| KAK 84 |
| 553579 |
| PEBE 2 |
| 638837 |
| PEB 59 |
| 552937 |
| KAK 7 |
| 553015 |
| KAK 85 |
| 553580 |
| PEBE 3 |
|
|
|
|
| 552938 |
| KAK 8 |
| 553016 |
| KAK 86 |
| 553581 |
| PEBE 4 |
| ADL # |
| CLAIM NAME |
| 552939 |
| KAK 9 |
| 553017 |
| KAK 87 |
| 553582 |
| PEBE 5 |
| 638838 |
| PEB 60 |
| 552940 |
| KAK 10 |
| 553018 |
| KAK 88 |
| 553583 |
| PEBE 6 |
| 638839 |
| PEB 61 |
| 552941 |
| KAK 11 |
| 553019 |
| KAK 89 |
| 553584 |
| PEBE 7 |
| 638840 |
| PEB 62 |
| 552948 |
| KAK 18 |
| 553500 |
| PEBA 74 |
| 553585 |
| PEBE 8 |
| 638841 |
| PEB 63 |
| 552949 |
| KAK 19 |
| 553501 |
| PEBA 75 |
| 553586 |
| PEBE 9 |
| 638842 |
| PEB 64 |
| 552950 |
| KAK 20 |
| 553502 |
| PEBA 76 |
| 553587 |
| PEBE 10 |
| 638843 |
| PEB 65 |
| 552951 |
| KAK 21 |
| 553517 |
| PEBA 91 |
| 553589 |
| PEBF 2 |
| 638844 |
| PEB 66 |
| 552952 |
| KAK 22 |
| 553518 |
| PEBA 92 |
| 553590 |
| PEBF 3 |
| 638850 |
| PEB 72 |
| 552953 |
| KAK 23 |
| 553519 |
| PEBA 93 |
| 553591 |
| PEBF 4 |
| 638851 |
| PEB 73 |
| 552954 |
| KAK 24 |
| 553522 |
| PEBA 96 |
| 553592 |
| PEBF 5 |
| 638852 |
| PEB 74 |
| 552955 |
| KAK 25 |
| 553523 |
| PEBA 97 |
| 553593 |
| PEBF 6 |
| 638853 |
| PEB 75 |
| 552959 |
| KAK 29 |
| 553524 |
| PEBA 98 |
| 553595 |
| PEBF 8 |
| 638854 |
| PEB 76 |
| 552960 |
| KAK 30 |
| 553525 |
| PEBA 99 |
| 553596 |
| PEBF 9 |
| 638855 |
| PEB 77 |
| 552961 |
| KAK 31 |
| 553526 |
| PEBA 100 |
| 553597 |
| PEBF 10 |
| 638856 |
| PEB 78 |
| 552962 |
| KAK 32 |
| 553527 |
| PEBA 101 |
| 553598 |
| PEBF 11 |
| 638857 |
| PEB 79 |
| 552963 |
| KAK 33 |
| 553528 |
| PEBA 102 |
| 553599 |
| PEBF 12 |
| 638858 |
| PEB 80 |
| 552964 |
| KAK 34 |
| 553529 |
| PEBA 103 |
| 553600 |
| PEBF 13 |
| 638865 |
| PEB 87 |
| 552965 |
| KAK 35 |
| 553530 |
| PEBA 104 |
| 553602 |
| PEBF 15 |
| 638866 |
| PEB 88 |
| 552966 |
| KAK 36 |
| 553531 |
| PEBA 105 |
| 553603 |
| PEBF 16 |
| 638867 |
| PEB 89 |
| 552967 |
| KAK 37 |
| 553532 |
| PEBA 106 |
| 553604 |
| PEBF 17 |
| 638868 |
| PEB 90 |
| 552968 |
| KAK 38 |
| 553533 |
| PEBA 107 |
| 553605 |
| PEBF 18 |
| 638869 |
| PEB 91 |
| 552969 |
| KAK 39 |
| 553534 |
| PEBA 108 |
| 553606 |
| PEBF 19 |
| 638870 |
| PEB 92 |
| 552970 |
| KAK 40 |
| 553535 |
| PEBA 109 |
| 553607 |
| PEBF 20 |
| 638871 |
| PEB 93 |
| 552971 |
| KAK 41 |
| 553536 |
| PEBA 110 |
| 553615 |
| SILL 6155 |
| 638872 |
| PEB 94 |
| 552972 |
| KAK 42 |
| 553537 |
| PEBA 111 |
| 553616 |
| SILL 6156 |
| 638873 |
| PEB 95 |
| 552973 |
| KAK 43 |
| 553538 |
| PEBA 112 |
| 553617 |
| SILL 6256 |
| 638874 |
| PEB 96 |
| 552974 |
| KAK 44 |
| 553539 |
| PEBB 1 |
| 638779 |
| PEB 1 |
| 638875 |
| PEB 97 |
| 552975 |
| KAK 45 |
| 553540 |
| PEBB 2 |
| 638780 |
| PEB 2 |
| 638886 |
| PEB 108 |
| 552976 |
| KAK 46 |
| 553541 |
| PEBB 3 |
| 638781 |
| PEB 3 |
| 638887 |
| PEB 109 |
| 552977 |
| KAK 47 |
| 553542 |
| PEBB 4 |
| 638782 |
| PEB 4 |
| 638888 |
| PEB 110 |
| 552978 |
| KAK 48 |
| 553543 |
| PEBB 5 |
| 638783 |
| PEB 5 |
| 638889 |
| PEB 111 |
| 552979 |
| KAK 49 |
| 553544 |
| PEBB 6 |
| 638784 |
| PEB 6 |
| 638890 |
| PEB 112 |
| 552980 |
| KAK 50 |
| 553545 |
| PEBB 7 |
| 638785 |
| PEB 7 |
| 638891 |
| PEB 113 |
| 552981 |
| KAK 51 |
| 553546 |
| PEBB 8 |
| 638786 |
| PEB 8 |
| 638892 |
| PEB 114 |
| 552982 |
| KAK 52 |
| 553547 |
| PEBB 9 |
| 638791 |
| PEB 13 |
| 638893 |
| PEB 115 |
| 552983 |
| KAK 53 |
| 553548 |
| PEBB 10 |
| 638792 |
| PEB 14 |
| 640061 |
| PEB N-1 |
| 552984 |
| KAK 54 |
| 553549 |
| PEBB 11 |
| 638793 |
| PEB 15 |
| 640062 |
| PEB N-2 |
| 552985 |
| KAK 55 |
| 553550 |
| PEBB 12 |
| 638794 |
| PEB 16 |
| 640063 |
| PEB N-3 |
| 552986 |
| KAK 56 |
| 553551 |
| PEBB 13 |
| 638795 |
| PEB 17 |
| 640064 |
| PEB N-4 |
| 552987 |
| KAK 57 |
| 553552 |
| PEBB 14 |
| 638796 |
| PEB 18 |
| 640065 |
| PEB N-5 |
| 552988 |
| KAK 58 |
| 553553 |
| PEBB 15 |
| 638797 |
| PEB 19 |
| 640066 |
| PEB N-6 |
| 552989 |
| KAK 59 |
| 553554 |
| PEBB 16 |
| 638798 |
| PEB 20 |
| 640067 |
| PEB N-7 |
| 552990 |
| KAK 60 |
| 553555 |
| PEBB 17 |
| 638799 |
| PEB 21 |
| 640068 |
| PEB N-8 |
| 552991 |
| KAK 61 |
| 553556 |
| PEBB 18 |
| 638800 |
| PEB 22 |
| 640069 |
| PEB N-9 |
| 552992 |
| KAK 62 |
| 553557 |
| PEBB 19 |
| 638801 |
| PEB 23 |
| 640070 |
| PEB N-10 |
| 552993 |
| KAK 63 |
| 553558 |
| PEBB 20 |
| 638802 |
| PEB 24 |
| 640071 |
| PEB N-11 |
| 552994 |
| KAK 64 |
| 553559 |
| PEBB 21 |
| 638807 |
| PEB 29 |
| 640072 |
| PEB N-12 |
| 552995 |
| KAK 65 |
| 553560 |
| PEBB 22 |
| 638808 |
| PEB 30 |
| 640073 |
| PEB N-13 |
| 552996 |
| KAK 66 |
| 553561 |
| PEBB 23 |
| 638809 |
| PEB 31 |
| 640074 |
| PEB N-14 |
| 552997 |
| KAK 67 |
| 553562 |
| PEBB 24 |
| 638810 |
| PEB 32 |
| 640075 |
| PEB N-15 |
| 552998 |
| KAK 68 |
| 553563 |
| PEBB 25 |
| 638811 |
| PEB 33 |
| 640076 |
| PEB N-16 |
| 552999 |
| KAK 69 |
| 553564 |
| PEBB 26 |
| 638812 |
| PEB 34 |
| 640077 |
| PEB N-17 |
| 553000 |
| KAK 70 |
| 553565 |
| PEBB 27 |
| 638813 |
| PEB 35 |
| 640078 |
| PEB N-18 |
| 553001 |
| KAK 71 |
| 553566 |
| PEBB 28 |
| 638814 |
| PEB 36 |
| 640079 |
| PEB N-19 |
| 553002 |
| KAK 72 |
| 553567 |
| PEBB 29 |
| 638815 |
| PEB 37 |
| 640080 |
| PEB N-20 |
| 553003 |
| KAK 73 |
| 553568 |
| PEBB 30 |
| 638816 |
| PEB 38 |
| 640081 |
| PEB N-21 |
| 553004 |
| KAK 74 |
| 553569 |
| PEBB 31 |
| 638821 |
| PEB 43 |
| 640082 |
| PEB N-22 |
| 553005 |
| KAK 75 |
| 553570 |
| PEBB 32 |
| 638822 |
| PEB 44 |
| 640083 |
| PEB N-23 |
| 553006 |
| KAK 76 |
| 553571 |
| PEBB 33 |
| 638823 |
| PEB 45 |
| 640084 |
| PEB N-24 |
| 553007 |
| KAK 77 |
| 553572 |
| PEBB 34 |
| 638824 |
| PEB 46 |
| 640085 |
| PEB N-25 |
|
|
|
|
|
|
| 640086 |
| PEB N-26 |
| 642388 |
| PEB EB 51 |
| 643900 |
| PEB SE 2 |
| 644208 |
| PEB SE 45 |
| 640087 |
| PEB N-27 |
| 642389 |
| PEB EB 52 |
| 643901 |
| PEB SE 3 |
| 644209 |
| PEB SE 46 |
| 640088 |
| PEB N-28 |
| 642390 |
| PEB EB 53 |
| 643902 |
| PEB SE 4 |
| 644210 |
| PEB SE 47 |
| 640089 |
| PEB N-29 |
| 642391 |
| PEB EB 54 |
| 643903 |
| PEB SE 5 |
| 644211 |
| PEB SE 48 |
| 640090 |
| PEB N-30 |
| 642392 |
| PEB EB 55 |
| 643904 |
| PEB SE 6 |
| 644212 |
| PEB SE 49 |
| 640091 |
| PEB N-31 |
| 642393 |
| PEB EB 56 |
| 643905 |
| PEB SE 7 |
| 644213 |
| PEB SE 50 |
| 640092 |
| PEB N-32 |
| 642394 |
| PEB EB 57 |
| 643906 |
| PEB SE 8 |
| 644214 |
| PEB SE 51 |
| 640093 |
| PEB N-33 |
| 642395 |
| PEB EB 58 |
| 643907 |
| PEB SE 9 |
| 644215 |
| PEB SE 52 |
| 640094 |
| PEB N-34 |
| 642396 |
| PEB EB 59 |
| 643908 |
| PEB SE 10 |
| 644216 |
| PEB SE 53 |
| 640095 |
| PEB N-35 |
| 642397 |
| PEB EB 60 |
| 643909 |
| PEB SE 11 |
| 644217 |
| PEB SE 54 |
| 640096 |
| PEB N-36 |
| 642398 |
| PEB EB 61 |
| 643910 |
| PEB SE 12 |
| 644218 |
| PEB SE 55 |
| 642057 |
| SOUTH PEBBLE 101 |
| 642399 |
| PEB EB 62 |
| 643911 |
| PEB SE 13 |
| 644219 |
| PEB SE 56 |
| PEBBLE EAST CLAIMS |
| 642400 |
| PEB EB 63 |
| 643912 |
| PEB SE 14 |
| 644220 |
| PEB SE 57 | ||
| ADL # |
| CLAIM NAME |
| 642401 |
| PEB EB 64 |
| 643913 |
| PEB SE 15 |
| 644221 |
| PEB SE 58 |
| 642058 |
| SOUTH PEBBLE 102 |
|
|
|
|
| 643914 |
| PEB SE 16 |
| 644225 |
| PEB SE A8 |
| 642059 |
| SOUTH PEBBLE 103 |
| ADL # |
| CLAIM NAME |
| 643915 |
| PEB SE 17 |
| 644226 |
| PEB SE A9 |
| 642060 |
| SOUTH PEBBLE 104 |
| 642402 |
| PEB EB 65 |
|
|
|
|
| 644227 |
| PEB SE A10 |
| 642061 |
| SOUTH PEBBLE 105 |
| 642403 |
| PEB EB 66 |
| ADL # |
| CLAIM NAME |
| 644228 |
| PEB SE A11 |
| 642062 |
| SOUTH PEBBLE 106 |
| 642404 |
| PEB EB 67 |
| 643916 |
| PEB SE 18 |
|
|
|
|
| 642334 |
| PEB EBA 1 |
| 642405 |
| PEB EB 68 |
| 643917 |
| PEB SE 19 |
| ADL # |
| CLAIM NAME |
| 642335 |
| PEB EBA 2 |
| 642406 |
| PEB EB 69 |
| 643918 |
| PEB SE 20 |
| 644229 |
| PEB SE A12 |
| 642336 |
| PEB EBA 3 |
| 642407 |
| PEB EB 70 |
| 643919 |
| PEB SE 21 |
| 644230 |
| PEB SE A13 |
| 642337 |
| PEB EBA 4 |
| 642408 |
| PEB EB 71 |
| 643920 |
| PEB SE 22 |
| 644231 |
| PEB EB 75 |
| 642338 |
| PEB EB 1 |
| 642409 |
| PEB EB 72 |
| 643921 |
| PEB SE 23 |
| 644232 |
| PEB EB 76 |
| 642339 |
| PEB EB 2 |
| 642410 |
| PEB EB 73 |
| 643922 |
| PEB SE 24 |
| 644233 |
| PEB EB 77 |
| 642340 |
| PEB EB 3 |
| 642411 |
| PEB EB 74 |
| 643923 |
| PEB SE 25 |
| 644234 |
| PEB EB 78 |
| 642341 |
| PEB EB 4 |
| 642412 |
| PEB WB 1 |
| 643924 |
| PEB SE 26 |
| 644235 |
| PEB EB 79 |
| 642342 |
| PEB EB 5 |
| 642413 |
| PEB WB 2 |
| 643925 |
| PEB SE 27 |
| 644236 |
| PEB EB 80 |
| 642343 |
| PEB EB 6 |
| 642414 |
| PEB WB 3 |
| 643926 |
| PEB SE 28 |
| 644237 |
| PEB EB 81 |
| 642344 |
| PEB EB 7 |
| 642415 |
| PEB WB 4 |
| 643927 |
| PEB SE 29 |
| 644238 |
| PEB EB 82 |
| 642345 |
| PEB EB 8 |
| 642416 |
| PEB WB 5 |
| 643928 |
| PEB SE 30 |
| 644239 |
| PEB EB 83 |
| 642346 |
| PEB EB 9 |
| 642417 |
| PEB WB 6 |
| 643929 |
| PEB SE 31 |
| 644240 |
| PEB EB 84 |
| 642347 |
| PEB EB 10 |
| 642418 |
| PEB WB 7 |
| 643930 |
| PEB SE 32 |
| 644241 |
| PEB EB 85 |
| 642348 |
| PEB EB 11 |
| 642419 |
| PEB WB 8 |
| 643931 |
| PEB NW A1 |
| 644242 |
| PEB EB 86 |
| 642349 |
| PEB EB 12 |
| 642420 |
| PEB WB 9 |
| 643932 |
| PEB NW A2 |
| 644243 |
| PEB EB 87 |
| 642350 |
| PEB EB 13 |
| 642421 |
| PEB WB 10 |
| 643933 |
| PEB NW A3 |
| 644244 |
| PEB EB 88 |
| 642351 |
| PEB EB 14 |
| 642422 |
| PEB WB 11 |
| 643934 |
| PEB NW A4 |
| 644245 |
| PEB EB 89 |
| 642352 |
| PEB EB 15 |
| 642423 |
| PEB WB 12 |
| 643935 |
| PEB NW 1 |
| 644246 |
| PEB EB 90 |
| 642353 |
| PEB EB 16 |
| 642424 |
| PEB WB 13 |
| 643936 |
| PEB NW 2 |
| 644247 |
| PEB EB 91 |
| 642354 |
| PEB EB 17 |
| 642425 |
| PEB WB 14 |
| 643937 |
| PEB NW 3 |
| 644248 |
| PEB EB 92 |
| 642355 |
| PEB EB 18 |
| 642426 |
| PEB WB 15 |
| 643938 |
| PEB NW 4 |
| 644249 |
| PEB EB 93 |
| 642356 |
| PEB EB 19 |
| 642427 |
| PEB WB 16 |
| 643939 |
| PEB NW 5 |
| 644250 |
| PEB EB 94 |
| 642357 |
| PEB EB 20 |
| 642428 |
| PEB WB 17 |
| 643940 |
| PEB NW 6 |
| 644251 |
| PEB EB 95 |
| 642358 |
| PEB EB 21 |
| 642429 |
| PEB WB 18 |
| 643941 |
| PEB NW 7 |
| 644252 |
| PEB EB A5 |
| 642359 |
| PEB EB 22 |
| 642430 |
| PEB WB 19 |
| 643942 |
| PEB NW 8 |
| 644253 |
| PEB EB A6 |
| 642360 |
| PEB EB 23 |
| 642431 |
| PEB WB 20 |
| 643943 |
| PEB NW 9 |
| 644254 |
| PEB EB A7 |
| 642361 |
| PEB EB 24 |
| 642432 |
| PEB WB 21 |
| 643944 |
| PEB NW 10 |
| 644255 |
| PEB EB A8 |
| 642362 |
| PEB EB 25 |
| 642433 |
| PEB WB 22 |
| 643945 |
| PEB NW 11 |
| 644256 |
| PEB WB 40 |
| 642363 |
| PEB EB 26 |
| 642434 |
| PEB WB 23 |
| 643946 |
| PEB NW 12 |
| 644257 |
| PEB WB 41 |
| 642364 |
| PEB EB 27 |
| 642435 |
| PEB WB 24 |
| 643947 |
| PEB NW 13 |
| 644258 |
| PEB WB 42 |
| 642365 |
| PEB EB 28 |
| 642436 |
| PEB WB 25 |
| 643948 |
| PEB NW 14 |
| 644259 |
| PEB WB 43 |
| 642366 |
| PEB EB 29 |
| 642437 |
| PEB WB 26 |
| 643949 |
| PEB NW 15 |
| 644260 |
| PEB WB 44 |
| 642367 |
| PEB EB 30 |
| 642438 |
| PEB WB 27 |
| 643950 |
| PEB NW 16 |
| 644261 |
| PEB WB 45 |
| 642368 |
| PEB EB 31 |
| 642439 |
| PEB WB 28 |
| 643951 |
| PEB NW 17 |
| 644262 |
| PEB WB 46 |
| 642369 |
| PEB EB 32 |
| 642440 |
| PEB WB 29 |
| 643952 |
| PEB NW 18 |
| 644263 |
| PEB WB 47 |
| 642370 |
| PEB EB 33 |
| 642441 |
| PEB WB 30 |
| 643953 |
| PEB NW 19 |
| 644264 |
| PEB WB 48 |
| 642371 |
| PEB EB 34 |
| 642442 |
| PEB WB 31 |
| 643954 |
| PEB NW 20 |
| 644265 |
| PEB WB 49 |
| 642372 |
| PEB EB 35 |
| 642443 |
| PEB WB 32 |
| 643955 |
| PEB NW 21 |
| 644266 |
| PEB WB 50 |
| 642373 |
| PEB EB 36 |
| 642444 |
| PEB WB 33 |
| 643956 |
| PEB NW 22 |
| 644267 |
| PEB WB 51 |
| 642374 |
| PEB EB 37 |
| 642445 |
| PEB WB 34 |
| 643957 |
| PEB NW 23 |
| 644268 |
| PEB WB 52 |
| 642375 |
| PEB EB 38 |
| 642446 |
| PEB WB 35 |
| 643958 |
| PEB NW 24 |
| 644269 |
| PEB WB 53 |
| 642376 |
| PEB EB 39 |
| 642447 |
| PEB WB 36 |
| 644196 |
| PEB SE 33 |
| 644270 |
| PEB WB 54 |
| 642377 |
| PEB EB 40 |
| 642448 |
| PEB WB 37 |
| 644197 |
| PEB SE 34 |
| 644271 |
| PEB WB 55 |
| 642378 |
| PEB EB 41 |
| 642449 |
| PEB WB 38 |
| 644198 |
| PEB SE 35 |
| 644272 |
| PEB WB 56 |
| 642379 |
| PEB EB 42 |
| 642450 |
| PEB WB 39 |
| 644199 |
| PEB SE 36 |
| 644273 |
| PEB WB 57 |
| 642380 |
| PEB EB 43 |
| 643892 |
| PEB SE A1 |
| 644200 |
| PEB SE 37 |
| 644274 |
| PEB WB 58 |
| 642381 |
| PEB EB 44 |
| 643893 |
| PEB SE A2 |
| 644201 |
| PEB SE 38 |
| 644275 |
| PEB WB 59 |
| 642382 |
| PEB EB 45 |
| 643894 |
| PEB SE A3 |
| 644202 |
| PEB SE 39 |
| 644276 |
| PEB WB 60 |
| 642383 |
| PEB EB 46 |
| 643895 |
| PEB SE A4 |
| 644203 |
| PEB SE 40 |
| 644277 |
| PEB WB 61 |
| 642384 |
| PEB EB 47 |
| 643896 |
| PEB SE A5 |
| 644204 |
| PEB SE 41 |
| 644278 |
| PEB WB 62 |
| 642385 |
| PEB EB 48 |
| 643897 |
| PEB SE A6 |
| 644205 |
| PEB SE 42 |
| 644279 |
| PEB WB 63 |
| 642386 |
| PEB EB 49 |
| 643898 |
| PEB SE A7 |
| 644206 |
| PEB SE 43 |
| 644305 |
| SP 194 |
| 642387 |
| PEB EB 50 |
| 643899 |
| PEB SE 1 |
| 644207 |
| PEB SE 44 |
| 644306 |
| SP 195 |
|
|
|
|
|
|
| 644307 |
| SP 196 |
| 646614 |
| PEB K 9 |
| 649740 |
| KAK 296 |
| 516813 |
| PEBBLE BEACH 5548 |
| 644308 |
| SP 197 |
| 646615 |
| PEB K 10 |
| 649741 |
| KAK 297 |
| 516814 |
| PEBBLE BEACH 5549 |
| 644309 |
| SP 198 |
| 646616 |
| PEB K 11 |
| 649742 |
| KAK 298 |
| 516815 |
| PEBBLE BEACH 5550 |
| 644389 |
| KAK 93 |
| 646617 |
| PEB K 12 |
| 649743 |
| KAK 299 |
| 516816 |
| PEBBLE BEACH 5551 |
| 644390 |
| KAK 94 |
| 648906 |
| PEB WB 64 |
| 649744 |
| KAK 300 |
| 516817 |
| PEBBLE BEACH 5552 |
| 644391 |
| KAK 95 |
| 648907 |
| PEB WB 65 |
| 649745 |
| KAK 301 |
| 516818 |
| PEBBLE BEACH 5553 |
| 644392 |
| KAK 96 |
| 648908 |
| PEB WB 66 |
| 649746 |
| KAK 302 |
| 516819 |
| PEBBLE BEACH 5554 |
| 644393 |
| KAK 97 |
| 648909 |
| PEB WB 67 |
| 649747 |
| KAK 303 |
| 516820 |
| PEBBLE BEACH 5651 |
| 644394 |
| KAK 98 |
| 649677 |
| KAK 233 |
| 649748 |
| KAK 304 |
| 516821 |
| PEBBLE BEACH 5652 |
| 644395 |
| KAK 99 |
| 649678 |
| KAK 234 |
| 649749 |
| KAK 305 |
| 516822 |
| PEBBLE BEACH 5653 |
| 644396 |
| KAK 100 |
| 649679 |
| KAK 235 |
| 649750 |
| KAK 306 |
| 516823 |
| PEBBLE BEACH 5654 |
| 644397 |
| KAK 101 |
| 649680 |
| KAK 236 |
| 649751 |
| KAK 307 |
| 516824 |
| PEBBLE BEACH 5751 |
| 644398 |
| KAK 102 |
| 649681 |
| KAK 237 |
| 649752 |
| KAK 308 |
| 516825 |
| PEBBLE BEACH 5752 |
| 644399 |
| KAK 103 |
| 649682 |
| KAK 238 |
| 649753 |
| KAK 309 |
| 516826 |
| PEBBLE BEACH 5753 |
| 644400 |
| KAK 104 |
| 649683 |
| KAK 239 |
| 649754 |
| KAK 310 |
| 516827 |
| PEBBLE BEACH 5754 |
| 644401 |
| KAK 105 |
| 649684 |
| KAK 240 |
| 649755 |
| KAK 311 |
| 516828 |
| PEBBLE BEACH 5852 |
| 644402 |
| KAK 106 |
| 649685 |
| KAK 241 |
| 649756 |
| KAK 312 |
| 516829 |
| PEBBLE BEACH 5853 |
| 644403 |
| KAK 107 |
| 649686 |
| KAK 242 |
| 649757 |
| KAK 313 |
| 516830 |
| PEBBLE BEACH 5854 |
| 644404 |
| KAK 108 |
| 649687 |
| KAK 243 |
| 649758 |
| KAK 314 |
| 516831 |
| PEBBLE BEACH 5952 |
| 644405 |
| KAK 109 |
| 649688 |
| KAK 244 |
| 649759 |
| KAK 315 |
| 516832 |
| PEBBLE BEACH 5953 |
| PEBBLE EAST CLAIMS |
| 649689 |
| KAK 245 |
| 649760 |
| KAK 316 |
| 516833 |
| PEBBLE BEACH 5954 | ||
| ADL # |
| CLAIM NAME |
| 649690 |
| KAK 246 |
| 649761 |
| KAK 317 |
| 516834 |
| PEBBLE BEACH 6052 |
| 644406 |
| KAK 110 |
|
|
|
|
| 649762 |
| KAK 318 |
| 516835 |
| PEBBLE BEACH 6053 |
| 644407 |
| KAK 111 |
| ADL # |
| CLAIM NAME |
| 649763 |
| KAK 319 |
| 516836 |
| PEBBLE BEACH 6054 |
| 644408 |
| KAK 112 |
| 649691 |
| KAK 247 |
|
|
|
|
| 516837 |
| PEBBLE BEACH 6153 |
| 644409 |
| KAK 113 |
| 649692 |
| KAK 248 |
| ADL # |
| CLAIM NAME |
| 516838 |
| PEBBLE BEACH 6154 |
| 644410 |
| KAK 114 |
| 649693 |
| KAK 249 |
| 649764 |
| KAK 320 |
|
|
|
|
| 644411 |
| KAK 115 |
| 649694 |
| KAK 250 |
| 649765 |
| KAK 321 |
| ADL # |
| CLAIM NAME |
| 644412 |
| KAK 116 |
| 649695 |
| KAK 251 |
| 649766 |
| KAK 322 |
| 516839 |
| PEBBLE BEACH 4651 |
| 644413 |
| KAK 117 |
| 649696 |
| KAK 252 |
| 649767 |
| KAK 323 |
| 516840 |
| PEBBLE BEACH 4652 |
| 644414 |
| KAK 118 |
| 649697 |
| KAK 253 |
| 649768 |
| KAK 324 |
| 516841 |
| PEBBLE BEACH 4653 |
| 644415 |
| KAK 119 |
| 649698 |
| KAK 254 |
| 649769 |
| KAK 325 |
| 516842 |
| PEBBLE BEACH 4751 |
| 644421 |
| KAK 125 |
| 649699 |
| KAK 255 |
| 649770 |
| KAK 326 |
| 516843 |
| PEBBLE BEACH 4752 |
| 644422 |
| KAK 126 |
| 649700 |
| KAK 256 |
| 657903 |
| KAK 340 |
| 516844 |
| PEBBLE BEACH 4753 |
| 644423 |
| KAK 127 |
| 649701 |
| KAK 257 |
| 657904 |
| KAK 341 |
| 516845 |
| PEBBLE BEACH 4851 |
| 644424 |
| KAK 128 |
| 649702 |
| KAK 258 |
| 657905 |
| KAK 342 |
| 516846 |
| PEBBLE BEACH 4852 |
| 644425 |
| KAK 129 |
| 649703 |
| KAK 259 |
| 657906 |
| KAK 343 |
| 516847 |
| PEBBLE BEACH 4853 |
| 644426 |
| KAK 130 |
| 649704 |
| KAK 260 |
| 657915 |
| KAK 352 |
| 516848 |
| PEBBLE BEACH 4951 |
| 644467 |
| KAK 171 |
| 649705 |
| KAK 261 |
| 657916 |
| KAK 353 |
| 516849 |
| PEBBLE BEACH 4952 |
| 644468 |
| KAK 172 |
| 649706 |
| KAK 262 |
| 657917 |
| KAK 354 |
| 516850 |
| PEBBLE BEACH 4953 |
| 644469 |
| KAK 173 |
| 649707 |
| KAK 263 |
| 657918 |
| KAK 355 |
| 516851 |
| PEBBLE BEACH 5048 |
| 644470 |
| KAK 174 |
| 649708 |
| KAK 264 |
| 657927 |
| KAK 364 |
| 516852 |
| PEBBLE BEACH 5049 |
| 644471 |
| KAK 175 |
| 649709 |
| KAK 265 |
| 657928 |
| KAK 365 |
| 516853 |
| PEBBLE BEACH 5050 |
| 644472 |
| KAK 176 |
| 649710 |
| KAK 266 |
| 657929 |
| KAK 366 |
| 516854 |
| PEBBLE BEACH 5051 |
| 644473 |
| KAK 177 |
| 649711 |
| KAK 267 |
| 657930 |
| KAK 367 |
| 516855 |
| PEBBLE BEACH 5052 |
| 644474 |
| KAK 178 |
| 649712 |
| KAK 268 |
| 657940 |
| KAK 377 |
| 516856 |
| PEBBLE BEACH 5053 |
| 644475 |
| KAK 179 |
| 649713 |
| KAK 269 |
| 663828 |
| KAK 136A |
| 516857 |
| PEBBLE BEACH 5148 |
| 644476 |
| KAK 180 |
| 649714 |
| KAK 270 |
| 663829 |
| KAK 137A |
| 516858 |
| PEBBLE BEACH 5149 |
| 644477 |
| KAK 181 |
| 649715 |
| KAK 271 |
| 663846 |
| KAK 168A |
| 516859 |
| PEBBLE BEACH 5150 |
| 644478 |
| KAK 182 |
| 649716 |
| KAK 272 |
| 663847 |
| KAK 169A |
| 516860 |
| PEBBLE BEACH 5151 |
| 644479 |
| KAK 183 |
| 649717 |
| KAK 273 |
| 663848 |
| KAK 170A |
| 516861 |
| PEBBLE BEACH 5152 |
| 644480 |
| KAK 184 |
| 649718 |
| KAK 274 |
|
|
|
|
| 516862 |
| PEBBLE BEACH 5153 |
| 644481 |
| KAK 185 |
| 649719 |
| KAK 275 |
| PEBBLE WEST CLAIMS |
| 516863 |
| PEBBLE BEACH 5248 | ||
| 644482 |
| KAK 186 |
| 649720 |
| KAK 276 |
| ADL # |
| CLAIM NAME |
| 516864 |
| PEBBLE BEACH 5249 |
| 644483 |
| KAK 187 |
| 649721 |
| KAK 277 |
| 516769 |
| SILL 5951 |
| 516865 |
| PEBBLE BEACH 5250 |
| 644881 |
| KAK 188 |
| 649722 |
| KAK 278 |
| 516770 |
| SILL 5952 |
| 516866 |
| PEBBLE BEACH 5251 |
| 644882 |
| KAK 189 |
| 649723 |
| KAK 279 |
| 516779 |
| SILL 6051 |
| 516867 |
| PEBBLE BEACH 5252 |
| 644883 |
| KAK 190 |
| 649724 |
| KAK 280 |
| 516780 |
| SILL 6052 |
| 516868 |
| PEBBLE BEACH 5253 |
| 644884 |
| KAK 191 |
| 649725 |
| KAK 281 |
| 516789 |
| SILL 6151 |
| 516869 |
| PEBBLE BEACH 5348 |
| 644885 |
| KAK 192 |
| 649726 |
| KAK 282 |
| 516790 |
| SILL 6152 |
| 516870 |
| PEBBLE BEACH 5349 |
| 644886 |
| KAK 193 |
| 649727 |
| KAK 283 |
| 516797 |
| SILL 6247 |
| 516871 |
| PEBBLE BEACH 5350 |
| 644887 |
| KAK 194 |
| 649728 |
| KAK 284 |
| 516798 |
| SILL 6248 |
| 516872 |
| PEBBLE BEACH 5351 |
| 644888 |
| KAK 195 |
| 649729 |
| KAK 285 |
| 516799 |
| SILL 6249 |
| 516873 |
| PEBBLE BEACH 5352 |
| 646604 |
| PEBBLE BEACH 5942 |
| 649730 |
| KAK 286 |
| 516800 |
| SILL 6250 |
| 516874 |
| PEBBLE BEACH 5353 |
| 646605 |
| PEBBLE BEACH 5943 |
| 649731 |
| KAK 287 |
| 516801 |
| SILL 6251 |
| 516879 |
| SILL 6351 |
| 646606 |
| PEB K 1 |
| 649732 |
| KAK 288 |
| 516802 |
| SILL 6252 |
| 516880 |
| SILL 6352 |
| 646607 |
| PEB K 2 |
| 649733 |
| KAK 289 |
| 516806 |
| PEBBLE BEACH 5448 |
| 516888 |
| SILL 6451 |
| 646608 |
| PEB K 3 |
| 649734 |
| KAK 290 |
| 516807 |
| PEBBLE BEACH 5449 |
| 516889 |
| SILL 6452 |
| 646609 |
| PEB K 4 |
| 649735 |
| KAK 291 |
| 516808 |
| PEBBLE BEACH 5450 |
| 516948 |
| PEBBLE BEACH 3850 |
| 646610 |
| PEB K 5 |
| 649736 |
| KAK 292 |
| 516809 |
| PEBBLE BEACH 5451 |
| 516949 |
| PEBBLE BEACH 3851 |
| 646611 |
| PEB K 6 |
| 649737 |
| KAK 293 |
| 516810 |
| PEBBLE BEACH 5452 |
| 516950 |
| PEBBLE BEACH 3852 |
| 646612 |
| PEB K 7 |
| 649738 |
| KAK 294 |
| 516811 |
| PEBBLE BEACH 5453 |
| 516951 |
| PEBBLE BEACH 3950 |
| 646613 |
| PEB K 8 |
| 649739 |
| KAK 295 |
| 516812 |
| PEBBLE BEACH 5454 |
| 516952 |
| PEBBLE BEACH 3951 |
|
|
|
|
|
|
| 516953 |
| PEBBLE BEACH 3952 |
| 524748 |
| PEBBLE BEACH 3452 |
| 524819 |
| PEBBLE BEACH 4955 |
| 531379 |
| PEBBLE BEACH 4046 |
| 516954 |
| PEBBLE BEACH 4050 |
| 524749 |
| PEBBLE BEACH 3453 |
| 524820 |
| PEBBLE BEACH 5054 |
| 531380 |
| PEBBLE BEACH 4047 |
| 516955 |
| PEBBLE BEACH 4051 |
| 524750 |
| PEBBLE BEACH 3454 |
| 524821 |
| PEBBLE BEACH 5055 |
| 531381 |
| PEBBLE BEACH 4142 |
| 516956 |
| PEBBLE BEACH 4052 |
| 524751 |
| PEBBLE BEACH 3455 |
| 524822 |
| PEBBLE BEACH 5154 |
| 531382 |
| PEBBLE BEACH 4143 |
| 516957 |
| PEBBLE BEACH 4150 |
| 524752 |
| PEBBLE BEACH 3552 |
| 524823 |
| PEBBLE BEACH 5155 |
| 531383 |
| PEBBLE BEACH 4144 |
| 516958 |
| PEBBLE BEACH 4151 |
| 524753 |
| PEBBLE BEACH 3553 |
| 524824 |
| PEBBLE BEACH 5254 |
| 531384 |
| PEBBLE BEACH 4145 |
| 516959 |
| PEBBLE BEACH 4152 |
| 524754 |
| PEBBLE BEACH 3554 |
| 524825 |
| PEBBLE BEACH 5255 |
| 531385 |
| PEBBLE BEACH 4146 |
| 516960 |
| PEBBLE BEACH 4250 |
| 524755 |
| PEBBLE BEACH 3555 |
| 524826 |
| PEBBLE BEACH 5354 |
| 531386 |
| PEBBLE BEACH 4147 |
| 516961 |
| PEBBLE BEACH 4251 |
| 524756 |
| PEBBLE BEACH 3652 |
| 524827 |
| PEBBLE BEACH 5355 |
| 531387 |
| PEBBLE BEACH 4244 |
| 516962 |
| PEBBLE BEACH 4252 |
| 524757 |
| PEBBLE BEACH 3653 |
| 524828 |
| PEBBLE BEACH 5455 |
| 531388 |
| PEBBLE BEACH 4245 |
| 516963 |
| PEBBLE BEACH 4253 |
| 524758 |
| PEBBLE BEACH 3654 |
| 524829 |
| PEBBLE BEACH 5648 |
| 531389 |
| PEBBLE BEACH 4246 |
| 516964 |
| PEBBLE BEACH 4254 |
| 524759 |
| PEBBLE BEACH 3655 |
| 524830 |
| PEBBLE BEACH 5649 |
| 531390 |
| PEBBLE BEACH 4247 |
| 516965 |
| PEBBLE BEACH 4350 |
| 524760 |
| PEBBLE BEACH 3752 |
| 524831 |
| PEBBLE BEACH 5650 |
| 531391 |
| PEBBLE BEACH 4344 |
| 516966 |
| PEBBLE BEACH 4351 |
| 524761 |
| PEBBLE BEACH 3753 |
| 524832 |
| PEBBLE BEACH 5748 |
| 531392 |
| PEBBLE BEACH 4345 |
| 516967 |
| PEBBLE BEACH 4352 |
| 524762 |
| PEBBLE BEACH 3754 |
| 524833 |
| PEBBLE BEACH 5749 |
| 531393 |
| PEBBLE BEACH 4346 |
| 516968 |
| PEBBLE BEACH 4353 |
| 524763 |
| PEBBLE BEACH 3755 |
| 524834 |
| PEBBLE BEACH 5750 |
| 531394 |
| PEBBLE BEACH 4347 |
| 516969 |
| PEBBLE BEACH 4354 |
| 524764 |
| PEBBLE BEACH 3848 |
| 524835 |
| PEBBLE BEACH 5848 |
| 531395 |
| PEBBLE BEACH 4444 |
| 516970 |
| PEBBLE BEACH 4451 |
| 524765 |
| PEBBLE BEACH 3849 |
| 524836 |
| PEBBLE BEACH 5849 |
| 531396 |
| PEBBLE BEACH 4445 |
| 516971 |
| PEBBLE BEACH 4452 |
| 524766 |
| PEBBLE BEACH 3853 |
| 524837 |
| PEBBLE BEACH 5850 |
| 531397 |
| PEBBLE BEACH 4446 |
| 516972 |
| PEBBLE BEACH 4453 |
| 524767 |
| PEBBLE BEACH 3854 |
| 524838 |
| PEBBLE BEACH 5851 |
| 531398 |
| PEBBLE BEACH 4447 |
| 516973 |
| PEBBLE BEACH 4551 |
| 524768 |
| PEBBLE BEACH 3855 |
| 524839 |
| PEBBLE BEACH 5948 |
| 531399 |
| PEBBLE BEACH 4544 |
| 516974 |
| PEBBLE BEACH 4552 |
| 524769 |
| PEBBLE BEACH 3948 |
| 524840 |
| PEBBLE BEACH 5949 |
| 531400 |
| PEBBLE BEACH 4547 |
| 516975 |
| PEBBLE BEACH 4553 |
| 524770 |
| PEBBLE BEACH 3949 |
| 524841 |
| PEBBLE BEACH 5950 |
| 531401 |
| PEBBLE BEACH 4644 |
| 524511 |
| SILL 5543 |
| 524771 |
| PEBBLE BEACH 3953 |
| 524842 |
| PEBBLE BEACH 5951 |
| 531402 |
| PEBBLE BEACH 4645 |
| 524512 |
| SILL 5544 |
| 524772 |
| PEBBLE BEACH 3954 |
| 524843 |
| PEBBLE BEACH 6048 |
| 531403 |
| PEBBLE BEACH 4646 |
| 524515 |
| SILL 5643 |
| 524773 |
| PEBBLE BEACH 3955 |
| 524844 |
| PEBBLE BEACH 6049 |
| 531404 |
| PEBBLE BEACH 4647 |
| 524516 |
| SILL 5644 |
| 524774 |
| PEBBLE BEACH 4048 |
| 524845 |
| PEBBLE BEACH 6050 |
| 531405 |
| PEBBLE BEACH 4744 |
| 524519 |
| SILL 5743 |
| 524775 |
| PEBBLE BEACH 4049 |
| 524846 |
| PEBBLE BEACH 6051 |
| 531406 |
| PEBBLE BEACH 4745 |
| PEBBLE WEST CLAIMS |
| 524776 |
| PEBBLE BEACH 4053 |
| 524847 |
| PEBBLE BEACH 6148 |
| 531407 |
| PEBBLE BEACH 4746 | ||
| ADL # |
| CLAIM NAME |
| 524777 |
| PEBBLE BEACH 4054 |
| 524848 |
| PEBBLE BEACH 6149 |
| 531408 |
| PEBBLE BEACH 4747 |
| 524520 |
| SILL 5744 |
|
|
|
|
| 524849 |
| PEBBLE BEACH 6150 |
| 531409 |
| PEBBLE BEACH 4844 |
| 524523 |
| SILL 5843 |
| ADL # |
| CLAIM NAME |
| 524850 |
| PEBBLE BEACH 6151 |
| 531410 |
| PEBBLE BEACH 4845 |
| 524524 |
| SILL 5844 |
| 524778 |
| PEBBLE BEACH 4055 |
|
|
|
|
| 531411 |
| PEBBLE BEACH 4846 |
| 524527 |
| SILL 5943 |
| 524779 |
| PEBBLE BEACH 4148 |
| ADL # |
| CLAIM NAME |
| 531412 |
| PEBBLE BEACH 4847 |
| 524528 |
| SILL 5944 |
| 524780 |
| PEBBLE BEACH 4149 |
| 524851 |
| PEBBLE BEACH 6248 |
|
|
|
|
| 524531 |
| SILL 6043 |
| 524781 |
| PEBBLE BEACH 4153 |
| 524852 |
| PEBBLE BEACH 6249 |
| ADL # |
| CLAIM NAME |
| 524532 |
| SILL 6044 |
| 524782 |
| PEBBLE BEACH 4154 |
| 524853 |
| PEBBLE BEACH 6250 |
| 531413 |
| PEBBLE BEACH 4944 |
| 524535 |
| SILL 6143 |
| 524783 |
| PEBBLE BEACH 4155 |
| 524854 |
| PEBBLE BEACH 6251 |
| 531414 |
| PEBBLE BEACH 4945 |
| 524536 |
| SILL 6144 |
| 524784 |
| PEBBLE BEACH 4248 |
| 524855 |
| PEBBLE BEACH 6252 |
| 531415 |
| PEBBLE BEACH 4946 |
| 524539 |
| SILL 6243 |
| 524785 |
| PEBBLE BEACH 4249 |
| 524856 |
| PEBBLE BEACH 6253 |
| 531416 |
| PEBBLE BEACH 4947 |
| 524540 |
| SILL 6244 |
| 524786 |
| PEBBLE BEACH 4255 |
| 524857 |
| PEBBLE BEACH 6254 |
| 531417 |
| PEBBLE BEACH 5044 |
| 524541 |
| SILL 6245 |
| 524787 |
| PEBBLE BEACH 4348 |
| 524858 |
| PEBBLE BEACH 6348 |
| 531418 |
| PEBBLE BEACH 5045 |
| 524542 |
| SILL 6246 |
| 524788 |
| PEBBLE BEACH 4349 |
| 524859 |
| PEBBLE BEACH 6349 |
| 531419 |
| PEBBLE BEACH 5046 |
| 524543 |
| SILL 6343 |
| 524789 |
| PEBBLE BEACH 4355 |
| 524860 |
| PEBBLE BEACH 6350 |
| 531420 |
| PEBBLE BEACH 5047 |
| 524544 |
| SILL 6344 |
| 524790 |
| PEBBLE BEACH 4448 |
| 524861 |
| PEBBLE BEACH 6351 |
| 531421 |
| PEBBLE BEACH 5144 |
| 524550 |
| SILL 6443 |
| 524791 |
| PEBBLE BEACH 4449 |
| 524862 |
| PEBBLE BEACH 6352 |
| 531422 |
| PEBBLE BEACH 5145 |
| 524551 |
| SILL 6444 |
| 524792 |
| PEBBLE BEACH 4450 |
| 524863 |
| PEBBLE BEACH 6353 |
| 531423 |
| PEBBLE BEACH 5146 |
| 524557 |
| SILL 6543 |
| 524793 |
| PEBBLE BEACH 4454 |
| 524864 |
| PEBBLE BEACH 6354 |
| 531424 |
| PEBBLE BEACH 5147 |
| 524558 |
| SILL 6544 |
| 524794 |
| PEBBLE BEACH 4455 |
| 525849 |
| PEBBLE BEACH 6152 |
| 531425 |
| PEBBLE BEACH 5244 |
| 524568 |
| SILL 6643 |
| 524795 |
| PEBBLE BEACH 4548 |
| 531355 |
| PEBBLE BEACH 3642 |
| 531426 |
| PEBBLE BEACH 5245 |
| 524569 |
| SILL 6644 |
| 524796 |
| PEBBLE BEACH 4549 |
| 531356 |
| PEBBLE BEACH 3643 |
| 531427 |
| PEBBLE BEACH 5246 |
| 524579 |
| SILL 6743 |
| 524797 |
| PEBBLE BEACH 4550 |
| 531357 |
| PEBBLE BEACH 3644 |
| 531428 |
| PEBBLE BEACH 5247 |
| 524580 |
| SILL 6744 |
| 524798 |
| PEBBLE BEACH 4554 |
| 531358 |
| PEBBLE BEACH 3645 |
| 531429 |
| PEBBLE BEACH 5344 |
| 524595 |
| SILL 6843 |
| 524799 |
| PEBBLE BEACH 4555 |
| 531359 |
| PEBBLE BEACH 3742 |
| 531430 |
| PEBBLE BEACH 5345 |
| 524596 |
| SILL 6844 |
| 524800 |
| PEBBLE BEACH 4648 |
| 531360 |
| PEBBLE BEACH 3743 |
| 531431 |
| PEBBLE BEACH 5346 |
| 524611 |
| SILL 6943 |
| 524801 |
| PEBBLE BEACH 4649 |
| 531361 |
| PEBBLE BEACH 3744 |
| 531432 |
| PEBBLE BEACH 5347 |
| 524612 |
| SILL 6944 |
| 524802 |
| PEBBLE BEACH 4650 |
| 531362 |
| PEBBLE BEACH 3745 |
| 531433 |
| PEBBLE BEACH 5444 |
| 524630 |
| SILL 7043 |
| 524803 |
| PEBBLE BEACH 4654 |
| 531363 |
| PEBBLE BEACH 3842 |
| 531434 |
| PEBBLE BEACH 5445 |
| 524631 |
| SILL 7044 |
| 524804 |
| PEBBLE BEACH 4655 |
| 531364 |
| PEBBLE BEACH 3843 |
| 531435 |
| PEBBLE BEACH 5446 |
| 524649 |
| SILL 7143 |
| 524805 |
| PEBBLE BEACH 4748 |
| 531365 |
| PEBBLE BEACH 3844 |
| 531436 |
| PEBBLE BEACH 5447 |
| 524650 |
| SILL 7144 |
| 524806 |
| PEBBLE BEACH 4749 |
| 531366 |
| PEBBLE BEACH 3845 |
| 531437 |
| PEBBLE BEACH 5544 |
| 524668 |
| SILL 7243 |
| 524807 |
| PEBBLE BEACH 4750 |
| 531367 |
| PEBBLE BEACH 3846 |
| 531438 |
| PEBBLE BEACH 5545 |
| 524669 |
| SILL 7244 |
| 524808 |
| PEBBLE BEACH 4754 |
| 531368 |
| PEBBLE BEACH 3847 |
| 531439 |
| PEBBLE BEACH 5546 |
| 524684 |
| SILL 7343 |
| 524809 |
| PEBBLE BEACH 4755 |
| 531369 |
| PEBBLE BEACH 3942 |
| 531440 |
| PEBBLE BEACH 5547 |
| 524685 |
| SILL 7344 |
| 524810 |
| PEBBLE BEACH 4848 |
| 531370 |
| PEBBLE BEACH 3943 |
| 531441 |
| PEBBLE BEACH 5644 |
| 524698 |
| SILL 7443 |
| 524811 |
| PEBBLE BEACH 4849 |
| 531371 |
| PEBBLE BEACH 3944 |
| 531442 |
| PEBBLE BEACH 5645 |
| 524699 |
| SILL 7444 |
| 524812 |
| PEBBLE BEACH 4850 |
| 531372 |
| PEBBLE BEACH 3945 |
| 531443 |
| PEBBLE BEACH 5646 |
| 524712 |
| SILL 7543 |
| 524813 |
| PEBBLE BEACH 4854 |
| 531373 |
| PEBBLE BEACH 3946 |
| 531444 |
| PEBBLE BEACH 5647 |
| 524713 |
| SILL 7544 |
| 524814 |
| PEBBLE BEACH 4855 |
| 531374 |
| PEBBLE BEACH 3947 |
| 531445 |
| PEBBLE BEACH 5744 |
| 524714 |
| SILL 7545 |
| 524815 |
| PEBBLE BEACH 4948 |
| 531375 |
| PEBBLE BEACH 4042 |
| 531446 |
| PEBBLE BEACH 5745 |
| 524715 |
| SILL 7546 |
| 524816 |
| PEBBLE BEACH 4949 |
| 531376 |
| PEBBLE BEACH 4043 |
| 531447 |
| PEBBLE BEACH 5746 |
| 524716 |
| SILL 7547 |
| 524817 |
| PEBBLE BEACH 4950 |
| 531377 |
| PEBBLE BEACH 4044 |
| 531448 |
| PEBBLE BEACH 5747 |
| 524717 |
| SILL 7548 |
| 524818 |
| PEBBLE BEACH 4954 |
| 531378 |
| PEBBLE BEACH 4045 |
| 531449 |
| PEBBLE BEACH 5844 |
|
|
|
|
|
|
| 531450 |
| PEBBLE BEACH 5845 |
| 540453 |
| SILL 8048 |
| 542603 |
| PEBBLE BEACH 5842 |
| 566657 |
| PEBBLE BEACH 2838 |
| 531451 |
| PEBBLE BEACH 5846 |
| 540454 |
| SILL 8143 |
| 542604 |
| PEBBLE BEACH 5843 |
| 566658 |
| PEBBLE BEACH 2839 |
| 531452 |
| PEBBLE BEACH 5847 |
| 540455 |
| SILL 8144 |
| 552929 |
| SOUTH PEBBLE 171 |
| 566659 |
| PEBBLE BEACH 2840 |
| 531453 |
| PEBBLE BEACH 5944 |
| 540456 |
| SILL 8145 |
| 552930 |
| SOUTH PEBBLE 172 |
| 566660 |
| PEBBLE BEACH 2841 |
| 531454 |
| PEBBLE BEACH 5945 |
| 540457 |
| SILL 8146 |
| 566247 |
| PEBBLE BEACH 1936 |
| 566697 |
| PEBBLE BEACH 3238 |
| 531455 |
| PEBBLE BEACH 5946 |
| 540458 |
| SILL 8147 |
| 566248 |
| PEBBLE BEACH 1937 |
| 566698 |
| PEBBLE BEACH 3239 |
| 531456 |
| PEBBLE BEACH 5947 |
| 540459 |
| SILL 8148 |
| 566249 |
| PEBBLE BEACH 1938 |
| 566699 |
| PEBBLE BEACH 3240 |
| 531457 |
| PEBBLE BEACH 6044 |
| 540460 |
| SILL 8243 |
| 566250 |
| PEBBLE BEACH 1939 |
| 566700 |
| PEBBLE BEACH 3241 |
| 531458 |
| PEBBLE BEACH 6045 |
| 540461 |
| SILL 8244 |
| 566251 |
| PEBBLE BEACH 1940 |
| 566701 |
| PEBBLE BEACH 3242 |
| 531459 |
| PEBBLE BEACH 6046 |
| 540462 |
| SILL 8245 |
| 566252 |
| PEBBLE BEACH 1941 |
| 566737 |
| PEBBLE BEACH 3038 |
| 531460 |
| PEBBLE BEACH 6047 |
| 540463 |
| SILL 8246 |
| 566287 |
| PEBBLE BEACH 2036 |
| 566738 |
| PEBBLE BEACH 3039 |
| 531461 |
| PEBBLE BEACH 6144 |
| 540464 |
| SILL 8247 |
| 566288 |
| PEBBLE BEACH 2037 |
| 566739 |
| PEBBLE BEACH 3040 |
| 531462 |
| PEBBLE BEACH 6145 |
| 540465 |
| SILL 8248 |
| 566289 |
| PEBBLE BEACH 2038 |
| 566740 |
| PEBBLE BEACH 3041 |
| 531463 |
| PEBBLE BEACH 6146 |
| 540466 |
| SILL 8343 |
| 566290 |
| PEBBLE BEACH 2039 |
| 566751 |
| PEBBLE BEACH 3252 |
| 531464 |
| PEBBLE BEACH 6147 |
| 540467 |
| SILL 8344 |
| 566291 |
| PEBBLE BEACH 2040 |
| 566752 |
| PEBBLE BEACH 3253 |
| 531648 |
| PEBBLE BEACH 4545 |
| 540468 |
| SILL 8443 |
| 566292 |
| PEBBLE BEACH 2041 |
| 566753 |
| PEBBLE BEACH 3254 |
| 531649 |
| PEBBLE BEACH 4546 |
| 540469 |
| SILL 8444 |
| 566327 |
| PEBBLE BEACH 2136 |
| 566754 |
| PEBBLE BEACH 3255 |
| 540399 |
| PEBBLE BEACH 5555 |
| 540470 |
| SILL 8543 |
| 566328 |
| PEBBLE BEACH 2137 |
| 566767 |
| PEBBLE BEACH 3338 |
| 540400 |
| PEBBLE BEACH 5655 |
| 540471 |
| SILL 8544 |
| 566329 |
| PEBBLE BEACH 2138 |
| 566768 |
| PEBBLE BEACH 3339 |
| 540401 |
| PEBBLE BEACH 5755 |
| 540472 |
| SILL 8643 |
| 566330 |
| PEBBLE BEACH 2139 |
| 566769 |
| PEBBLE BEACH 3340 |
| 540402 |
| PEBBLE BEACH 5855 |
| 540473 |
| SILL 8644 |
| 566331 |
| PEBBLE BEACH 2140 |
| 566770 |
| PEBBLE BEACH 3341 |
| 540403 |
| PEBBLE BEACH 5955 |
| 541245 |
| PB 113 |
| 566332 |
| PEBBLE BEACH 2141 |
| 566771 |
| PEBBLE BEACH 3342 |
| 540404 |
| PEBBLE BEACH 6055 |
| 541246 |
| PB 114 |
| 566367 |
| PEBBLE BEACH 2236 |
| 566781 |
| PEBBLE BEACH 3352 |
| 540405 |
| PEBBLE BEACH 6155 |
| 541247 |
| PB 115 |
| 566368 |
| PEBBLE BEACH 2237 |
| 566782 |
| PEBBLE BEACH 3353 |
| 540406 |
| PEBBLE BEACH 6255 |
| 541248 |
| PB 116 |
| 566369 |
| PEBBLE BEACH 2238 |
| 566783 |
| PEBBLE BEACH 3354 |
| 540407 |
| PEBBLE BEACH 6355 |
| 541249 |
| PB 117 |
| 566370 |
| PEBBLE BEACH 2239 |
| 566784 |
| PEBBLE BEACH 3355 |
| 540408 |
| PEBBLE BEACH 6448 |
| 541250 |
| PB 118 |
| 566371 |
| PEBBLE BEACH 2240 |
| 566793 |
| PEBBLE BEACH 3438 |
| 540409 |
| PEBBLE BEACH 6449 |
| 541251 |
| PB 119 |
| 566372 |
| PEBBLE BEACH 2241 |
| 566794 |
| PEBBLE BEACH 3439 |
| 540410 |
| PEBBLE BEACH 6450 |
| 541252 |
| PB 120 |
| 566373 |
| PEBBLE BEACH 2242 |
| 566795 |
| PEBBLE BEACH 3440 |
| 540411 |
| PEBBLE BEACH 6451 |
| 542561 |
| PEBBLE BEACH 4856 |
| 566407 |
| PEBBLE BEACH 2336 |
| 566796 |
| PEBBLE BEACH 3441 |
| 540412 |
| PEBBLE BEACH 6452 |
| 542562 |
| PEBBLE BEACH 4956 |
| 566408 |
| PEBBLE BEACH 2337 |
| 566797 |
| PEBBLE BEACH 3446 |
| 540413 |
| PEBBLE BEACH 6453 |
| 542563 |
| PEBBLE BEACH 5056 |
| 566409 |
| PEBBLE BEACH 2338 |
| 566798 |
| PEBBLE BEACH 3447 |
| 540414 |
| PEBBLE BEACH 6454 |
| 542564 |
| PEBBLE BEACH 5156 |
| 566410 |
| PEBBLE BEACH 2339 |
| 566799 |
| PEBBLE BEACH 3448 |
| 540415 |
| PEBBLE BEACH 6455 |
| 542565 |
| PEBBLE BEACH 5256 |
| 566411 |
| PEBBLE BEACH 2340 |
| 566800 |
| PEBBLE BEACH 3449 |
| 540416 |
| PEBBLE BEACH 6548 |
| 542566 |
| PEBBLE BEACH 5356 |
| 566412 |
| PEBBLE BEACH 2341 |
| 566801 |
| PEBBLE BEACH 3450 |
| 540417 |
| PEBBLE BEACH 6549 |
| 542567 |
| PEBBLE BEACH 5456 |
| 566413 |
| PEBBLE BEACH 2342 |
| 566802 |
| PEBBLE BEACH 3451 |
| PEBBLE WEST CLAIMS |
| 542568 |
| PEBBLE BEACH 5556 |
| 566447 |
| PEBBLE BEACH 2436 |
| 566811 |
| PEBBLE BEACH 3538 | ||
| ADL # |
| CLAIM NAME |
| 542569 |
| PEBBLE BEACH 5656 |
| 566448 |
| PEBBLE BEACH 2437 |
| 566812 |
| PEBBLE BEACH 3539 |
| 540418 |
| PEBBLE BEACH 6550 |
|
|
|
|
| 566449 |
| PEBBLE BEACH 2438 |
| 566813 |
| PEBBLE BEACH 3540 |
| 540419 |
| PEBBLE BEACH 6551 |
| ADL # |
| CLAIM NAME |
| 566450 |
| PEBBLE BEACH 2439 |
| 566814 |
| PEBBLE BEACH 3541 |
| 540420 |
| PEBBLE BEACH 6552 |
| 542570 |
| PEBBLE BEACH 5756 |
|
|
|
|
| 566815 |
| PEBBLE BEACH 3546 |
| 540421 |
| PEBBLE BEACH 6553 |
| 542571 |
| PEBBLE BEACH 5856 |
| ADL # |
| CLAIM NAME |
| 566816 |
| PEBBLE BEACH 3547 |
| 540422 |
| PEBBLE BEACH 6554 |
| 542572 |
| PEBBLE BEACH 5956 |
| 566451 |
| PEBBLE BEACH 2440 |
|
|
|
|
| 540423 |
| PEBBLE BEACH 6555 |
| 542573 |
| PEBBLE BEACH 6056 |
| 566452 |
| PEBBLE BEACH 2441 |
| ADL # |
| CLAIM NAME |
| 540424 |
| SILL 7643 |
| 542574 |
| PEBBLE BEACH 6156 |
| 566453 |
| PEBBLE BEACH 2442 |
| 566817 |
| PEBBLE BEACH 3548 |
| 540425 |
| SILL 7644 |
| 542575 |
| PEBBLE BEACH 6256 |
| 566487 |
| PEBBLE BEACH 2536 |
| 566818 |
| PEBBLE BEACH 3549 |
| 540426 |
| SILL 7645 |
| 542576 |
| PEBBLE BEACH 6356 |
| 566488 |
| PEBBLE BEACH 2537 |
| 566819 |
| PEBBLE BEACH 3550 |
| 540427 |
| SILL 7646 |
| 542577 |
| PEBBLE BEACH 6456 |
| 566489 |
| PEBBLE BEACH 2538 |
| 566820 |
| PEBBLE BEACH 3551 |
| 540428 |
| SILL 7647 |
| 542578 |
| PEBBLE BEACH 6556 |
| 566490 |
| PEBBLE BEACH 2539 |
| 566829 |
| PEBBLE BEACH 3638 |
| 540429 |
| SILL 7648 |
| 542579 |
| PEBBLE BEACH 4642 |
| 566491 |
| PEBBLE BEACH 2540 |
| 566830 |
| PEBBLE BEACH 3639 |
| 540430 |
| SILL 7743 |
| 542580 |
| PEBBLE BEACH 4643 |
| 566492 |
| PEBBLE BEACH 2541 |
| 566831 |
| PEBBLE BEACH 3640 |
| 540431 |
| SILL 7744 |
| 542581 |
| PEBBLE BEACH 4742 |
| 566527 |
| PEBBLE BEACH 2636 |
| 566832 |
| PEBBLE BEACH 3641 |
| 540432 |
| SILL 7745 |
| 542582 |
| PEBBLE BEACH 4743 |
| 566528 |
| PEBBLE BEACH 2637 |
| 566833 |
| PEBBLE BEACH 3646 |
| 540433 |
| SILL 7746 |
| 542583 |
| PEBBLE BEACH 4842 |
| 566529 |
| PEBBLE BEACH 2638 |
| 566834 |
| PEBBLE BEACH 3647 |
| 540434 |
| SILL 7747 |
| 542584 |
| PEBBLE BEACH 4843 |
| 566530 |
| PEBBLE BEACH 2639 |
| 566835 |
| PEBBLE BEACH 3648 |
| 540435 |
| SILL 7748 |
| 542585 |
| PEBBLE BEACH 4942 |
| 566531 |
| PEBBLE BEACH 2640 |
| 566836 |
| PEBBLE BEACH 3649 |
| 540436 |
| SILL 7843 |
| 542586 |
| PEBBLE BEACH 4943 |
| 566532 |
| PEBBLE BEACH 2641 |
| 566837 |
| PEBBLE BEACH 3650 |
| 540437 |
| SILL 7844 |
| 542587 |
| PEBBLE BEACH 5042 |
| 566567 |
| PEBBLE BEACH 2736 |
| 566838 |
| PEBBLE BEACH 3651 |
| 540438 |
| SILL 7845 |
| 542588 |
| PEBBLE BEACH 5043 |
| 566568 |
| PEBBLE BEACH 2737 |
| 566847 |
| PEBBLE BEACH 3738 |
| 540439 |
| SILL 7846 |
| 542589 |
| PEBBLE BEACH 5142 |
| 566569 |
| PEBBLE BEACH 2738 |
| 566848 |
| PEBBLE BEACH 3739 |
| 540440 |
| SILL 7847 |
| 542590 |
| PEBBLE BEACH 5143 |
| 566570 |
| PEBBLE BEACH 2739 |
| 566849 |
| PEBBLE BEACH 3740 |
| 540441 |
| SILL 7848 |
| 542591 |
| PEBBLE BEACH 5242 |
| 566571 |
| PEBBLE BEACH 2740 |
| 566850 |
| PEBBLE BEACH 3741 |
| 540442 |
| SILL 7943 |
| 542592 |
| PEBBLE BEACH 5243 |
| 566572 |
| PEBBLE BEACH 2741 |
| 566851 |
| PEBBLE BEACH 3746 |
| 540443 |
| SILL 7944 |
| 542593 |
| PEBBLE BEACH 5342 |
| 566607 |
| PEBBLE BEACH 3138 |
| 566852 |
| PEBBLE BEACH 3747 |
| 540444 |
| SILL 7945 |
| 542594 |
| PEBBLE BEACH 5343 |
| 566608 |
| PEBBLE BEACH 3139 |
| 566853 |
| PEBBLE BEACH 3748 |
| 540445 |
| SILL 7946 |
| 542595 |
| PEBBLE BEACH 5442 |
| 566609 |
| PEBBLE BEACH 3140 |
| 566854 |
| PEBBLE BEACH 3749 |
| 540446 |
| SILL 7947 |
| 542596 |
| PEBBLE BEACH 5443 |
| 566610 |
| PEBBLE BEACH 3141 |
| 566855 |
| PEBBLE BEACH 3750 |
| 540447 |
| SILL 7948 |
| 542597 |
| PEBBLE BEACH 5542 |
| 566637 |
| PEBBLE BEACH 2938 |
| 566856 |
| PEBBLE BEACH 3751 |
| 540448 |
| SILL 8043 |
| 542598 |
| PEBBLE BEACH 5543 |
| 566638 |
| PEBBLE BEACH 2939 |
| 566865 |
| PEBBLE BEACH 3838 |
| 540449 |
| SILL 8044 |
| 542599 |
| PEBBLE BEACH 5642 |
| 566639 |
| PEBBLE BEACH 2940 |
| 566866 |
| PEBBLE BEACH 3839 |
| 540450 |
| SILL 8045 |
| 542600 |
| PEBBLE BEACH 5643 |
| 566640 |
| PEBBLE BEACH 2941 |
| 566867 |
| PEBBLE BEACH 3840 |
| 540451 |
| SILL 8046 |
| 542601 |
| PEBBLE BEACH 5742 |
| 566655 |
| PEBBLE BEACH 2836 |
| 566868 |
| PEBBLE BEACH 3841 |
| 540452 |
| SILL 8047 |
| 542602 |
| PEBBLE BEACH 5743 |
| 566656 |
| PEBBLE BEACH 2837 |
| 566877 |
| PEBBLE BEACH 3938 |
|
|
|
|
|
|
| 566878 |
| PEBBLE BEACH 3939 |
| 566965 |
| PEBBLE BEACH 5538 |
| 567052 |
| PEBBLE BEACH 6653 |
| 567937 |
| SILL 6145 |
| 566879 |
| PEBBLE BEACH 3940 |
| 566966 |
| PEBBLE BEACH 5539 |
| 567053 |
| PEBBLE BEACH 6654 |
| 567938 |
| SILL 6146 |
| 566880 |
| PEBBLE BEACH 3941 |
| 566967 |
| PEBBLE BEACH 5540 |
| 567054 |
| PEBBLE BEACH 6655 |
| 567939 |
| SILL 6147 |
| 566889 |
| PEBBLE BEACH 4038 |
| 566968 |
| PEBBLE BEACH 5541 |
| 567055 |
| PEBBLE BEACH 6656 |
| 567940 |
| SILL 6148 |
| 566890 |
| PEBBLE BEACH 4039 |
| 566969 |
| PEBBLE BEACH 5638 |
| 567064 |
| PEBBLE BEACH 6746 |
| 567941 |
| SILL 6149 |
| 566891 |
| PEBBLE BEACH 4040 |
| 566970 |
| PEBBLE BEACH 5639 |
| 567065 |
| PEBBLE BEACH 6747 |
| 567942 |
| SILL 6150 |
| 566892 |
| PEBBLE BEACH 4041 |
| 566971 |
| PEBBLE BEACH 5640 |
| 567066 |
| PEBBLE BEACH 6748 |
| 567943 |
| SILL 6153 |
| 566901 |
| PEBBLE BEACH 4138 |
| 566972 |
| PEBBLE BEACH 5641 |
| 567067 |
| PEBBLE BEACH 6749 |
| 567944 |
| SILL 6154 |
| 566902 |
| PEBBLE BEACH 4139 |
| 566973 |
| PEBBLE BEACH 5738 |
| 567068 |
| PEBBLE BEACH 6750 |
| 567947 |
| SILL 6253 |
| 566903 |
| PEBBLE BEACH 4140 |
| 566974 |
| PEBBLE BEACH 5739 |
| 567069 |
| PEBBLE BEACH 6751 |
| 567948 |
| SILL 6254 |
| 566904 |
| PEBBLE BEACH 4141 |
| 566975 |
| PEBBLE BEACH 5740 |
| 567083 |
| PEBBLE BEACH 6846 |
| 567949 |
| SILL 6255 |
| 566905 |
| PEBBLE BEACH 4238 |
| 566976 |
| PEBBLE BEACH 5741 |
| 567084 |
| PEBBLE BEACH 6847 |
| 567951 |
| SILL 6345 |
| 566906 |
| PEBBLE BEACH 4239 |
| 566977 |
| PEBBLE BEACH 5838 |
| 567085 |
| PEBBLE BEACH 6848 |
| 567952 |
| SILL 6346 |
| 566907 |
| PEBBLE BEACH 4240 |
| 566978 |
| PEBBLE BEACH 5839 |
| 567086 |
| PEBBLE BEACH 6849 |
| 567953 |
| SILL 6347 |
| 566908 |
| PEBBLE BEACH 4241 |
| 566979 |
| PEBBLE BEACH 5840 |
| 567087 |
| PEBBLE BEACH 6850 |
| 567954 |
| SILL 6348 |
| 566909 |
| PEBBLE BEACH 4242 |
| 566980 |
| PEBBLE BEACH 5841 |
| 567088 |
| PEBBLE BEACH 6851 |
| 567955 |
| SILL 6349 |
| 566910 |
| PEBBLE BEACH 4243 |
| 566981 |
| PEBBLE BEACH 5938 |
| 567102 |
| PEBBLE BEACH 6946 |
| 567956 |
| SILL 6350 |
| 566911 |
| PEBBLE BEACH 4338 |
| 566982 |
| PEBBLE BEACH 5939 |
| 567103 |
| PEBBLE BEACH 6947 |
| 567957 |
| SILL 6353 |
| 566912 |
| PEBBLE BEACH 4339 |
| 566983 |
| PEBBLE BEACH 5940 |
| 567104 |
| PEBBLE BEACH 6948 |
| 567958 |
| SILL 6354 |
| 566913 |
| PEBBLE BEACH 4340 |
| 566984 |
| PEBBLE BEACH 5941 |
| 567105 |
| PEBBLE BEACH 6949 |
| 567959 |
| SILL 6355 |
| 566914 |
| PEBBLE BEACH 4341 |
| 566985 |
| PEBBLE BEACH 6038 |
| 567106 |
| PEBBLE BEACH 6950 |
| 567960 |
| SILL 6356 |
| 566915 |
| PEBBLE BEACH 4342 |
| 566986 |
| PEBBLE BEACH 6039 |
| 567107 |
| PEBBLE BEACH 6951 |
| 567961 |
| SILL 6445 |
| 566916 |
| PEBBLE BEACH 4343 |
| 566987 |
| PEBBLE BEACH 6040 |
| 567841 |
| SILL 5343 |
| 567962 |
| SILL 6446 |
| 566917 |
| PEBBLE BEACH 4438 |
| 566988 |
| PEBBLE BEACH 6041 |
| 567842 |
| SILL 5344 |
| 567963 |
| SILL 6447 |
| 566918 |
| PEBBLE BEACH 4439 |
| 566989 |
| PEBBLE BEACH 6042 |
| 567843 |
| SILL 5345 |
| 567964 |
| SILL 6448 |
| 566919 |
| PEBBLE BEACH 4440 |
| 566990 |
| PEBBLE BEACH 6043 |
| 567844 |
| SILL 5346 |
| 567965 |
| SILL 6449 |
| 566920 |
| PEBBLE BEACH 4441 |
| 566991 |
| PEBBLE BEACH 6138 |
| 567845 |
| SILL 5347 |
| 567966 |
| SILL 6450 |
| 566921 |
| PEBBLE BEACH 4442 |
| 566992 |
| PEBBLE BEACH 6139 |
| 567855 |
| SILL 5443 |
| 567967 |
| SILL 6453 |
| 566922 |
| PEBBLE BEACH 4443 |
| 566993 |
| PEBBLE BEACH 6140 |
| 567856 |
| SILL 5444 |
| 567968 |
| SILL 6454 |
| 566923 |
| PEBBLE BEACH 4538 |
| 566994 |
| PEBBLE BEACH 6141 |
| 567857 |
| SILL 5445 |
| 567969 |
| SILL 6455 |
| 566924 |
| PEBBLE BEACH 4539 |
| 566995 |
| PEBBLE BEACH 6142 |
| 567858 |
| SILL 5446 |
| 567970 |
| SILL 6456 |
| 566925 |
| PEBBLE BEACH 4540 |
| 566996 |
| PEBBLE BEACH 6143 |
| 567859 |
| SILL 5447 |
| 567971 |
| SILL 6545 |
| 566926 |
| PEBBLE BEACH 4541 |
| 566997 |
| PEBBLE BEACH 6238 |
| 567860 |
| SILL 5448 |
| 567972 |
| SILL 6546 |
| 566927 |
| PEBBLE BEACH 4542 |
| 566998 |
| PEBBLE BEACH 6239 |
| 567869 |
| SILL 5545 |
| 567973 |
| SILL 6547 |
| 566928 |
| PEBBLE BEACH 4543 |
| 566999 |
| PEBBLE BEACH 6240 |
| 567870 |
| SILL 5546 |
| 567974 |
| SILL 6548 |
| 566929 |
| PEBBLE BEACH 4638 |
| 567000 |
| PEBBLE BEACH 6241 |
| 567871 |
| SILL 5547 |
| 567975 |
| SILL 6549 |
| 566930 |
| PEBBLE BEACH 4639 |
| 567001 |
| PEBBLE BEACH 6242 |
| 567872 |
| SILL 5548 |
| 567976 |
| SILL 6550 |
| 566931 |
| PEBBLE BEACH 4640 |
| 567002 |
| PEBBLE BEACH 6243 |
| 567873 |
| SILL 5549 |
| 567977 |
| SILL 6551 |
| 566932 |
| PEBBLE BEACH 4641 |
| 567003 |
| PEBBLE BEACH 6244 |
| 567881 |
| SILL 5645 |
| 567978 |
| SILL 6552 |
| 566933 |
| PEBBLE BEACH 4738 |
| 567004 |
| PEBBLE BEACH 6245 |
| 567882 |
| SILL 5646 |
| 567979 |
| SILL 6553 |
| 566934 |
| PEBBLE BEACH 4739 |
| 567005 |
| PEBBLE BEACH 6246 |
| 567883 |
| SILL 5647 |
| 567980 |
| SILL 6554 |
| 566935 |
| PEBBLE BEACH 4740 |
| 567006 |
| PEBBLE BEACH 6247 |
| 567884 |
| SILL 5648 |
| 567981 |
| SILL 6555 |
| 566936 |
| PEBBLE BEACH 4741 |
| 567007 |
| PEBBLE BEACH 6338 |
| 567885 |
| SILL 5649 |
| 567982 |
| SILL 6556 |
| 566937 |
| PEBBLE BEACH 4838 |
| 567008 |
| PEBBLE BEACH 6339 |
| 567886 |
| SILL 5650 |
| 568175 |
| SILL 8345 |
| PEBBLE WEST CLAIMS |
| 567009 |
| PEBBLE BEACH 6340 |
| 567893 |
| SILL 5745 |
| 568176 |
| SILL 8346 | ||
| ADL # |
| CLAIM NAME |
| 567010 |
| PEBBLE BEACH 6341 |
| 567894 |
| SILL 5746 |
| 568177 |
| SILL 8347 |
| 566938 |
| PEBBLE BEACH 4839 |
|
|
|
|
| 567895 |
| SILL 5747 |
| 568178 |
| SILL 8348 |
| 566939 |
| PEBBLE BEACH 4840 |
| ADL # |
| CLAIM NAME |
| 567896 |
| SILL 5748 |
| 568255 |
| SILL 8743 |
| 566940 |
| PEBBLE BEACH 4841 |
| 567011 |
| PEBBLE BEACH 6342 |
|
|
|
|
| 568256 |
| SILL 8744 |
| 566941 |
| PEBBLE BEACH 4938 |
| 567012 |
| PEBBLE BEACH 6343 |
| ADL # |
| CLAIM NAME |
| 642755 |
| BC 267 |
| 566942 |
| PEBBLE BEACH 4939 |
| 567013 |
| PEBBLE BEACH 6344 |
| 567897 |
| SILL 5749 |
|
|
|
|
| 566943 |
| PEBBLE BEACH 4940 |
| 567014 |
| PEBBLE BEACH 6345 |
| 567898 |
| SILL 5750 |
| ADL # |
| CLAIM NAME |
| 566944 |
| PEBBLE BEACH 4941 |
| 567015 |
| PEBBLE BEACH 6346 |
| 567905 |
| SILL 5845 |
| 642756 |
| BC 268 |
| 566945 |
| PEBBLE BEACH 5038 |
| 567016 |
| PEBBLE BEACH 6347 |
| 567906 |
| SILL 5846 |
| 642757 |
| BC 269 |
| 566946 |
| PEBBLE BEACH 5039 |
| 567017 |
| PEBBLE BEACH 6438 |
| 567907 |
| SILL 5847 |
| 642758 |
| BC 270 |
| 566947 |
| PEBBLE BEACH 5040 |
| 567018 |
| PEBBLE BEACH 6439 |
| 567908 |
| SILL 5848 |
| 642759 |
| BC 271 |
| 566948 |
| PEBBLE BEACH 5041 |
| 567019 |
| PEBBLE BEACH 6440 |
| 567909 |
| SILL 5849 |
| 642766 |
| BC 278 |
| 566949 |
| PEBBLE BEACH 5138 |
| 567020 |
| PEBBLE BEACH 6441 |
| 567910 |
| SILL 5850 |
| 642767 |
| BC 279 |
| 566950 |
| PEBBLE BEACH 5139 |
| 567021 |
| PEBBLE BEACH 6442 |
| 567911 |
| SILL 5851 |
| 642768 |
| BC 280 |
| 566951 |
| PEBBLE BEACH 5140 |
| 567022 |
| PEBBLE BEACH 6443 |
| 567917 |
| SILL 5945 |
| 642769 |
| BC 281 |
| 566952 |
| PEBBLE BEACH 5141 |
| 567023 |
| PEBBLE BEACH 6444 |
| 567918 |
| SILL 5946 |
| 642770 |
| BC 282 |
| 566953 |
| PEBBLE BEACH 5238 |
| 567024 |
| PEBBLE BEACH 6445 |
| 567919 |
| SILL 5947 |
| 642777 |
| BC 289 |
| 566954 |
| PEBBLE BEACH 5239 |
| 567025 |
| PEBBLE BEACH 6446 |
| 567920 |
| SILL 5948 |
| 642778 |
| BC 290 |
| 566955 |
| PEBBLE BEACH 5240 |
| 567026 |
| PEBBLE BEACH 6447 |
| 567921 |
| SILL 5949 |
| 642779 |
| BC 291 |
| 566956 |
| PEBBLE BEACH 5241 |
| 567035 |
| PEBBLE BEACH 6546 |
| 567922 |
| SILL 5950 |
| 642780 |
| BC 292 |
| 566957 |
| PEBBLE BEACH 5338 |
| 567036 |
| PEBBLE BEACH 6547 |
| 567923 |
| SILL 5953 |
| 642781 |
| BC 293 |
| 566958 |
| PEBBLE BEACH 5339 |
| 567045 |
| PEBBLE BEACH 6646 |
| 567927 |
| SILL 6045 |
| 642788 |
| BC 300 |
| 566959 |
| PEBBLE BEACH 5340 |
| 567046 |
| PEBBLE BEACH 6647 |
| 567928 |
| SILL 6046 |
| 642789 |
| BC 301 |
| 566960 |
| PEBBLE BEACH 5341 |
| 567047 |
| PEBBLE BEACH 6648 |
| 567929 |
| SILL 6047 |
| 642790 |
| BC 302 |
| 566961 |
| PEBBLE BEACH 5438 |
| 567048 |
| PEBBLE BEACH 6649 |
| 567930 |
| SILL 6048 |
| 642791 |
| BC 303 |
| 566962 |
| PEBBLE BEACH 5439 |
| 567049 |
| PEBBLE BEACH 6650 |
| 567931 |
| SILL 6049 |
| 642792 |
| BC 304 |
| 566963 |
| PEBBLE BEACH 5440 |
| 567050 |
| PEBBLE BEACH 6651 |
| 567932 |
| SILL 6050 |
| 642799 |
| BC 311 |
| 566964 |
| PEBBLE BEACH 5441 |
| 567051 |
| PEBBLE BEACH 6652 |
| 567933 |
| SILL 6053 |
| 642800 |
| BC 312 |
|
|
|
|
|
|
| 642801 |
| BC 313 |
| 642914 |
| BC 426 |
| 645654 |
| SP 364 |
|
| 642802 |
| BC 314 |
| 642915 |
| BC 427 |
| 645655 |
| SP 365 |
|
| 642803 |
| BC 315 |
| 642916 |
| BC 428 |
| 645656 |
| SP 366 |
|
| 642810 |
| BC 322 |
| 642917 |
| BC 429 |
| 645657 |
| SP 367 |
|
| 642811 |
| BC 323 |
| 642918 |
| BC 430 |
| 645658 |
| SP 368 |
|
| 642812 |
| BC 324 |
| 642919 |
| BC 431 |
| 645659 |
| SP 369 |
|
| 642813 |
| BC 325 |
| 643432 |
| BC 1001 |
|
|
|
|
|
| 642814 |
| BC 326 |
|
|
|
|
|
|
|
|
|
| 642821 |
| BC 333 |
| ADL # |
| CLAIM NAME |
|
|
|
|
|
| 642822 |
| BC 334 |
| 643433 |
| BC 1002 |
|
|
|
|
|
| 642823 |
| BC 335 |
| 643434 |
| BC 1003 |
|
|
|
|
|
| 642824 |
| BC 336 |
| 643435 |
| BC 1004 |
|
|
|
|
|
| 642825 |
| BC 337 |
| 643436 |
| BC 1005 |
|
|
|
|
|
| 642826 |
| BC 338 |
| 643437 |
| BC 1006 |
|
|
|
|
|
| 642827 |
| BC 339 |
| 643438 |
| BC 1007 |
|
|
|
|
|
| 642834 |
| BC 346 |
| 643439 |
| BC 1008 |
|
|
|
|
|
| 642835 |
| BC 347 |
| 643440 |
| BC 1009 |
|
|
|
|
|
| 642836 |
| BC 348 |
| 643441 |
| BC 1010 |
|
|
|
|
|
| 642837 |
| BC 349 |
| 644292 |
| SP 181 |
|
|
|
|
|
| 642838 |
| BC 350 |
| 644293 |
| SP 182 |
|
|
|
|
|
| 642839 |
| BC 351 |
| 644294 |
| SP 183 |
|
|
|
|
|
| 642840 |
| BC 352 |
| 644295 |
| SP 184 |
|
|
|
|
|
| 642841 |
| BC 353 |
| 644296 |
| SP 185 |
|
|
|
|
|
| 642842 |
| BC 354 |
| 644297 |
| SP 186 |
|
|
|
|
|
| 642843 |
| BC 355 |
| 644298 |
| SP 187 |
|
|
|
|
|
| 642850 |
| BC 362 |
| 644299 |
| SP 188 |
|
|
|
|
|
| 642851 |
| BC 363 |
| 644300 |
| SP 189 |
|
|
|
|
|
| 642852 |
| BC 364 |
| 644301 |
| SP 190 |
|
|
|
|
|
| 642853 |
| BC 365 |
| 644318 |
| SP 207 |
|
|
|
|
|
| 642854 |
| BC 366 |
| 644319 |
| SP 208 |
|
|
|
|
|
| 642855 |
| BC 367 |
| 644320 |
| SP 209 |
|
|
|
|
|
| 642856 |
| BC 368 |
| 644321 |
| SP 210 |
|
|
|
|
|
| 642857 |
| BC 369 |
| 644322 |
| SP 216 |
|
|
|
|
|
| 642858 |
| BC 370 |
| 644323 |
| SP 225 |
|
|
|
|
|
| 642859 |
| BC 371 |
| 644324 |
| SP 226 |
|
|
|
|
|
| 642860 |
| BC 372 |
| ADL # |
| CLAIM NAME |
|
|
|
|
|
| 642861 |
| BC 373 |
| 644325 |
| SP 227 |
|
|
|
|
|
| 642862 |
| BC 374 |
| 644326 |
| SP 228 |
|
|
|
|
|
| 642869 |
| BC 381 |
| 644327 |
| SP 229 |
|
|
|
|
|
| 642870 |
| BC 382 |
| 644328 |
| SP 230 |
|
|
|
|
|
| 642871 |
| BC 383 |
| 644329 |
| SP 231 |
|
|
|
|
|
| 642872 |
| BC 384 |
| 644330 |
| SP 232 |
|
|
|
|
|
| 642873 |
| BC 385 |
| 644331 |
| SP 235 |
|
|
|
|
|
| 642874 |
| BC 386 |
| 644332 |
| SP 236 |
|
|
|
|
|
| 642875 |
| BC 387 |
| 644333 |
| SP 237 |
|
|
|
|
|
| 642876 |
| BC 388 |
| 644334 |
| SP 238 |
|
|
|
|
|
| 642877 |
| BC 389 |
| 644335 |
| SP 239 |
|
|
|
|
|
| 642878 |
| BC 390 |
| 644336 |
| SP 245 |
|
|
|
|
|
| 642879 |
| BC 391 |
| 644733 |
| SOUTH PEBBLE 234 |
|
|
|
|
|
| 642880 |
| BC 392 |
| 644734 |
| SOUTH PEBBLE 240 |
|
|
|
|
|
| 642881 |
| BC 393 |
| 644735 |
| SOUTH PEBBLE 241 |
|
|
|
|
|
| 642888 |
| BC 400 |
| 644736 |
| SOUTH PEBBLE 242 |
|
|
|
|
|
| PEBBLE WEST CLAIMS |
| 644737 |
| SOUTH PEBBLE 243 |
|
|
|
|
| ||
| ADL # |
| CLAIM NAME |
| 644738 |
| SOUTH PEBBLE 244 |
|
|
|
|
|
| 642889 |
| BC 401 |
| 645612 |
| SP 322 |
|
|
|
|
|
| 642890 |
| BC 402 |
| 645613 |
| SP 323 |
|
|
|
|
|
| 642891 |
| BC 403 |
| 645614 |
| SP 324 |
|
|
|
|
|
| 642892 |
| BC 404 |
| 645615 |
| SP 325 |
|
|
|
|
|
| 642893 |
| BC 405 |
| 645616 |
| SP 326 |
|
|
|
|
|
| 642894 |
| BC 406 |
| 645617 |
| SP 327 |
|
|
|
|
|
| 642895 |
| BC 407 |
| 645618 |
| SP 328 |
|
|
|
|
|
| 642896 |
| BC 408 |
| 645630 |
| SP 340 |
|
|
|
|
|
| 642897 |
| BC 409 |
| 645631 |
| SP 341 |
|
|
|
|
|
| 642898 |
| BC 410 |
| 645632 |
| SP 342 |
|
|
|
|
|
| 642899 |
| BC 411 |
| 645633 |
| SP 343 |
|
|
|
|
|
| 642900 |
| BC 412 |
| 645634 |
| SP 344 |
|
|
|
|
|
| 642907 |
| BC 419 |
| 645635 |
| SP 345 |
|
|
|
|
|
| 642908 |
| BC 420 |
| 645642 |
| SP 352 |
|
|
|
|
|
| 642909 |
| BC 421 |
| 645643 |
| SP 353 |
|
|
|
|
|
| 642910 |
| BC 422 |
| 645644 |
| SP 354 |
|
|
|
|
|
| 642911 |
| BC 423 |
| 645645 |
| SP 355 |
|
|
|
|
|
| 642912 |
| BC 424 |
| 645646 |
| SP 356 |
|
|
|
|
|
| 642913 |
| BC 425 |
| 645647 |
| SP 357 |
|
|
|
|
|
|
|
|
|
|
|
|
|
|
|
|
| SUMMARY: |
|
|
|
|
|
|
|
|
| PEBBLE EAST CLAIMS |
| 751 |
|
| PEBBLE WEST CLAIMS |
| 1089 |
|
| TOTAL NUMBER OF CLAIMS |
| 1840 |
|
|
|
|
|
|
|
|
|
|
|
|
|
|
|
|
|
|
|
|
|
|
| Resource Lands |
|
|
|
| Exploration Lands |
|
|