0001437749-23-013417cpsh20230509_8k.htm
false 0000814676 0000814676 2023-05-05 2023-05-05


 
UNITED STATES
SECURITIES AND EXCHANGE COMMISSION
WASHINGTON, D.C. 20549
 
 
FORM 8-K
 
 
CURRENT REPORT
PURSUANT TO SECTION 13 OR 15(D)
OF THE SECURITIES EXCHANGE ACT OF 1934
 
Date of Report (Date of Earliest Event Reported): May 5, 2023
 
 
 
CPS TECHNOLOGIES CORP.
(Exact Name of Registrant as Specified in Charter)
 
 
 
 
Delaware
 
0-16088
 
04-2832509
(State or Other Jurisdiction
of Incorporation or Organization)
 
(Commission
File Number)
 
(I.R.S. Employer
Identification No.)
 
 
111 South Worcester Street
 
02766
Norton,
 
 MA
   
(Address of Principal Executive Offices)
 
(Zip Code)
 
Registrants telephone number, including area code: (508) 222-0614
 
Not Applicable
(Former name or former address, if changed since last report)
 
Check the appropriate box below if the Form 8-K filing is intended to simultaneously satisfy the filing obligation of the Registrant under any of the following provisions:
 
Written communications pursuant to Rule 425 under the Securities Act (17 CFR 230.425)
Soliciting material pursuant to Rule 14a-12 under the Exchange Act (17 CFR 240.14a-12)
Pre-commencement communications pursuant to Rule 14d-2(b) under the Exchange Act (17 CFR 240.14d-2(b))
Pre-commencement communications pursuant to Rule 13e-4(c) under the Exchange Act (17 CFR 240.13e-4(c))
 
Securities registered pursuant to Section 12(b) of the Act:
 
Title of each class
 
Trading
Symbol(s)
 
Name of each exchange
on which registered
Common Stock, $0.01 par value
 
CPSH
 
Nasdaq Capital Market
 
Indicate by check mark whether the Registrant is an emerging growth company as defined in Rule 405 of the Securities Act of 1933 (§230.405 of this chapter) or Rule 12b-2 of the Securities Exchange Act of 1934 (§240.12b-2 of this chapter).
 
Emerging growth company   
 
If an emerging growth company, indicate by check mark if the Registrant has elected not to use the extended transition period for complying with any new or revised financial accounting standards provided pursuant to Section 13(a) of the Exchange Act.  ☐
 


 
 

 
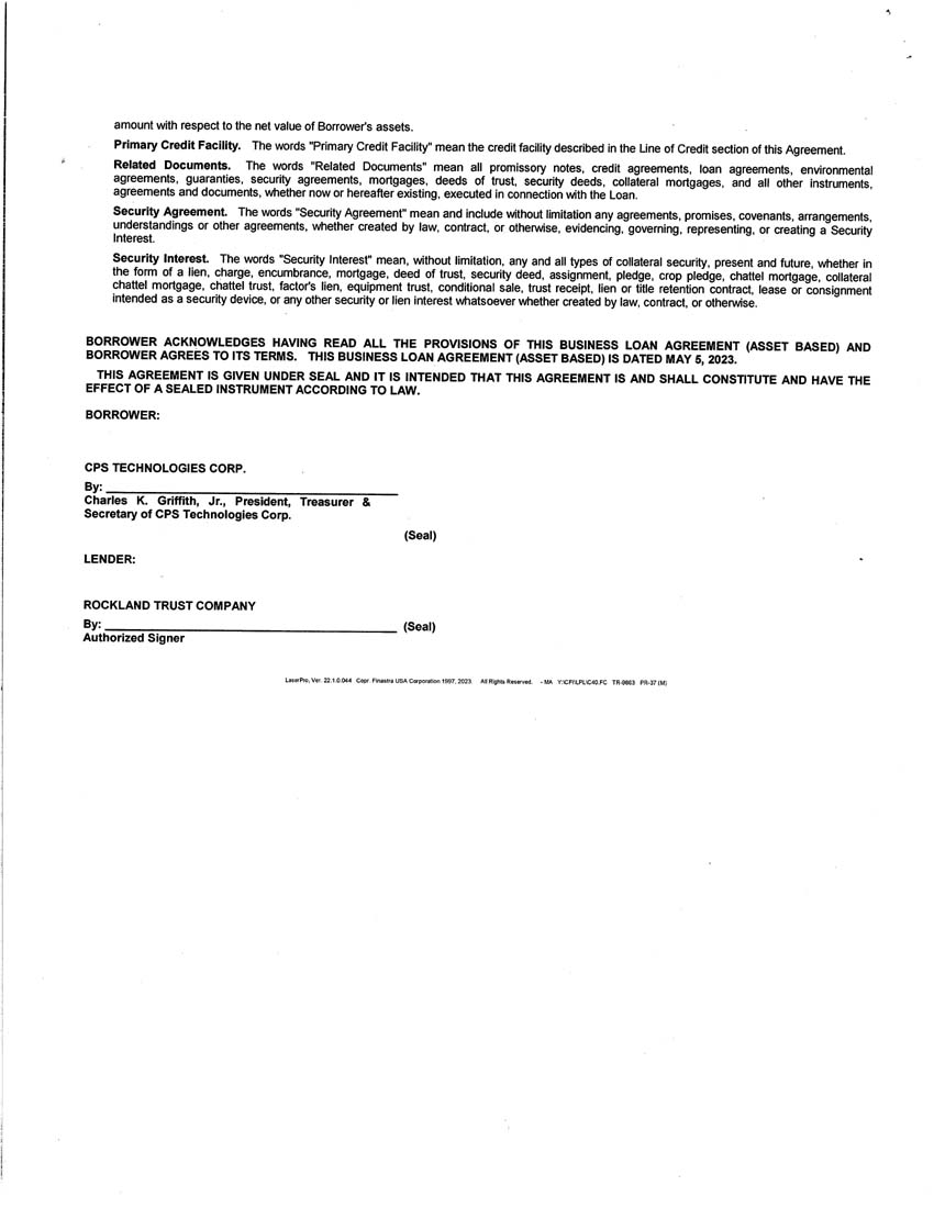
Item 1.01          Entry into a Material Definitive Agreement.
 
On May 5, 2023, CPS Technologies Corp. (the “Company”) entered into a Business Loan Agreement (Asset Based) (the “Loan Agreement”) by and between the Company, as borrower, and Rockland Trust Company, as lender (the “Lender”). The Loan Agreement provides for a revolving line of credit to the Company of the lesser of $3.0 million and 80% of the aggregate of eligible accounts, such amounts to be disbursed by Lender to the Company from time to time pursuant to certain promissory notes.
 
The Loan Agreement replaced the Company’s previous $2.5 million line of credit (the “Prior Loan Agreement”) entered into on September 15, 2019, by and between the Company, as borrower, and The Massachusetts Business Development Corporation, as lender. The Company’s obligations under the Prior Loan Agreement were satisfied in full and the Prior Loan Agreement was terminated in connection with the entrance into the Loan Agreement.
 
The outstanding principal amount of any advance shall accrue interest at a variable interest rate based on changes in an independent index, which is the prime rate as published in the Wall Street Journal as the National Prime Rate (the “Index”), which current Index is eight percent (8.0%) per annum. The Company’s obligations under the Loan Agreement are secured by substantially all of the Company’s assets, excluding any current and future capital leases or equipment not financed by Rockland Trust Company. The Lender has agreed to make advances under the Loan Agreement to the Company until May 5, 2024, unless extended by the Lender. As of May 5, 2023, nothing was outstanding under the Loan Agreement.
 
         The Loan Agreement also contains affirmative and negative covenants, including a requirement that the Company furnish to the Lender by the fifteenth (15th) day of each month an aging of the Company’s accounts receivable aging details and accounts payable details, insurance policy/rider for foreign account receivables and a borrowing base certificate with supporting detail and any other documentation the Lender deems necessary. The Company has also agreed to deliver to the Lender within one hundred twenty (120) days after the end of each fiscal year a balance sheet, a statement of income and expense for the year, and a statement of change in financial position with an unqualified audit level report prepared by an independent public accountant.
 
In connection with the Loan Agreement, the Company has also entered into that certain Promissory Note (the “Note”) in the principal amount of $3 million. The Company shall make monthly payments of accrued interest on the principal amount of the Note, and payment of the Note is on demand of the Lender.
 
The Company has also entered into that certain Commercial Security Agreement (the “Security Agreement”) with the Lender, pursuant to which the Lender was granted a security interest in the Company’s assets.
 
         The foregoing descriptions of the Loan Agreement, Note and Security Agreement do not purport to be complete and are qualified in their entireties by reference to the full texts of each of the Loan Agreement, Note and Security Agreement, which are attached hereto as Exhibit 10.1, Exhibit 10.2 and Exhibit 10.3, respectively, and incorporated by reference herein.
 
Item 1.02         Termination of a Material Definitive Agreement.
 
On May 5, 2023, the Company voluntarily terminated the Prior Loan Agreement. The Company did not incur any early termination penalties in connection with the termination of the Prior Loan Agreement.
 
         The credit line under the Prior Loan Agreement bore interest at the rate of LIBOR plus 6.50% and was secured by substantially all of the assets of the Company. The Prior Loan Agreement included a financial covenant requiring the Company to meet quarterly income/loss targets provided at least on an annual basis by the Company for the following year.
 
The information set forth in Item 1.01 of this Form 8-K above regarding the Prior Loan Agreement is incorporated by reference in response to this Item 1.02.
 
 

 
 
Item 9.01      Financial Statements and Exhibits.
 
(d)                  Exhibits
 
Exhibit
Description
   
10.1
   
10.2
   
10.3
   
104 Cover Page Interactive Data File (embedded within the Inline XBRL document)
 
 

 
SIGNATURES
 
Pursuant to the requirements of the Securities Exchange Act of 1934, as amended, the Registrant has duly caused this report to be signed on its behalf by the undersigned, hereunto duly authorized.
 
 
CPS TECHNOLOGIES CORP.
     
DATE: May ___, 2023
By:
 
/s/ Charles K. Griffith, Jr.
     
Charles K. Griffith, Jr.
     
Chief Financial Officer and acting President
Chdd
       
 
 
Image Exhibit

Exhibit 10.1

 

http://api.rkd.refinitiv.com/api/FilingsRetrieval3/.73580142.0001437749-23-013417a_page1.jpg.ashx

 

 

 
http://api.rkd.refinitiv.com/api/FilingsRetrieval3/.73580142.0001437749-23-013417a_page2.jpg.ashx

 

 

 
http://api.rkd.refinitiv.com/api/FilingsRetrieval3/.73580142.0001437749-23-013417a_page3.jpg.ashx

 

 

 
http://api.rkd.refinitiv.com/api/FilingsRetrieval3/.73580142.0001437749-23-013417a_page4.jpg.ashx

 

 

 
http://api.rkd.refinitiv.com/api/FilingsRetrieval3/.73580142.0001437749-23-013417a_page5.jpg.ashx

 

 

 
http://api.rkd.refinitiv.com/api/FilingsRetrieval3/.73580142.0001437749-23-013417a_page6.jpg.ashx

 

 

 
http://api.rkd.refinitiv.com/api/FilingsRetrieval3/.73580142.0001437749-23-013417a_page7.jpg.ashx

 

 

 
http://api.rkd.refinitiv.com/api/FilingsRetrieval3/.73580142.0001437749-23-013417a_page8.jpg.ashx

 

 
Image Exhibit

Exhibit 10.2 

 

http://api.rkd.refinitiv.com/api/FilingsRetrieval3/.73580142.0001437749-23-013417b_page1.jpg.ashx

 

 

 
http://api.rkd.refinitiv.com/api/FilingsRetrieval3/.73580142.0001437749-23-013417b_page2.jpg.ashx

 

 
Image Exhibit

Exhibit 10.3

 

http://api.rkd.refinitiv.com/api/FilingsRetrieval3/.73580142.0001437749-23-013417c_page1.jpg.ashx

 

 

 
http://api.rkd.refinitiv.com/api/FilingsRetrieval3/.73580142.0001437749-23-013417c_page2.jpg.ashx

 

 

 
http://api.rkd.refinitiv.com/api/FilingsRetrieval3/.73580142.0001437749-23-013417c_page3.jpg.ashx

 

 

 
http://api.rkd.refinitiv.com/api/FilingsRetrieval3/.73580142.0001437749-23-013417c_page4.jpg.ashx

 

 

 
http://api.rkd.refinitiv.com/api/FilingsRetrieval3/.73580142.0001437749-23-013417c_page5.jpg.ashx

 

 

 
http://api.rkd.refinitiv.com/api/FilingsRetrieval3/.73580142.0001437749-23-013417c_page6.jpg.ashx