UNITED STATES
SECURITIES AND EXCHANGE COMMISSION
Washington, D.C. 20549
 
 
FORM 6-K
 

REPORT OF FOREIGN PRIVATE ISSUER PURSUANT TO RULE 13a-16 OR 15d-16
UNDER THE SECURITIES EXCHANGE ACT OF 1934
 
Date: March 27, 2023
 
Commission File Number: 001-33414
 
 
Denison Mines Corp. 
 (Name of registrant)
 
 
 
1100-40 University Avenue
Toronto Ontario
 M5J 1T1 Canada
 
 (Address of principal executive offices)
 

 Indicate by check mark whether the registrant files or will file annual reports under cover Form 20-F or Form 40-F.
 
Form 20-F  ☐            Form    40-F   ☒
 
Indicate by check mark if the registrant is submitting the Form 6-K in paper as permitted by Regulation S-T Rule 101(b)(1):  ☐
Indicate by check mark if the registrant is submitting the Form 6-K in paper as permitted by Regulation S-T Rule 101(b)(7):  ☐
 

 
 
 
 
SIGNATURES
 
Pursuant to the requirements of the Securities Exchange Act of 1934, the registrant has duly caused this report to be signed on its behalf by the undersigned, thereunto duly authorized.
 
 
 
 
 
 
 
 
 
 
 
 
 
DENISON MINES CORP.
 
 
 
 
 
 
 
/s/ Amanda Willett
Date March 27, 2023
 
 
 
Amanda Willett
 
 
 
 
Vice President Legal and Corporate Secretary
 
 
 
 
 
FORM 6-K EXHIBIT INDEX
 
Exhibit Number
  
Description
 
 
99.1
 
99.2
 

 
 
 
 
ex991
 
 Exhibit 99.1
 
Technical Report
for the Christie Lake Uranium Project, Saskatchewan, Canada
 
 
 
 

 Report Prepared for
 

 UEX Corporation
  & JCU (Canada) Exploration Company Limited
 

            50% owned by UEX Corporation
50% owned by Denison Mines Corporation
 
 
 
 
 
 
 


 
 
 
 
 
 
 Report Prepared by
 
 
SRK Consulting (Canada) Inc.
 
Glen Cole, PGeo (APEGS# 26003, APGO#1416)
Principal Consultant (Resource Geology)
 
Effective date: December 31, 2021
Signature date: June 7, 2022
 
 
 
 
 
 
 
 
 
 
Technical Report
for the Christie Lake Uranium Project,
Saskatchewan, Canada
 
 
UEX Corporation and JCU (Canada) Exploration Company Limited
Unit 200, 3530 Millar Avenue
Saskatoon, Saskatchewan, Canada
S7P 0B6
E-mail: uex@uex-corporation.com
Website: www.uex-corporation.com
Tel: +1 306-979-3849
Fax: +1 604-669-1240
 
SRK Consulting (Canada) Inc.
Suite 1500, 155 University Avenue
Toronto, Ontario, Canada
M5H 3B7
E-mail: toronto@srk.com
Website: www.srk.com
Tel: +1 416 601 1445
 
SRK Project Number CAPR001752
 
Effective date: December 31, 2021
Signature date: June 7, 2022
 
Qualified Person
 
 
[“original signed”]
Glen Cole, PGeo (APEGS# 26003, APGO#1416)
Principal Consultant (Resource Geology)
 
 
 
Cover: Yalowega Exploration Camp Site on Christie Lake

 
 
 
 
 
 
 
 
 
 
IMPORTANT NOTICE
 
This report was prepared as a National Instrument 43-101 Standards of Disclosure for Mineral Projects Technical Report for UEX Corporation (UEX) by SRK Consulting (Canada) Inc. (SRK). The quality of information, conclusions, and estimates contained herein are consistent with the quality of effort involved in SRK’s services. The information, conclusions, and estimates contained herein are based on: i) information available at the time of preparation, ii) data supplied by outside sources, and iii) the assumptions, conditions, and qualifications set forth in this report. This report is intended for use by UEX subject to the terms and conditions of its contract with SRK and relevant securities legislation. The contract permits UEX to file this report as a Technical Report with Canadian securities regulatory authorities pursuant to National Instrument 43-101. Except for the purposes legislated under provincial securities law, any other uses of this report by any third party is at that party’s sole risk. The user of this document should ensure that this is the most recent Technical Report for the property as it is not valid if a new Technical Report has been issued.
 
 
 
© 2022 SRK Consulting (Canada) Inc.
 
This document, as a collective work of content and the coordination, arrangement and any enhancement of said content, is protected by copyright vested in SRK Consulting (Canada) Inc. (SRK).
 
Outside the purposes legislated under provincial securities laws and stipulated in SRK’s client contract, this document shall not be reproduced in full or in any edited, abridged or otherwise amended form unless expressly agreed in writing by SRK.
 
 
 
 
 
 
 
 
 
 
 
Executive Summary
 
Introduction
 
The Christie Lake Project is a uranium exploration project located in Saskatchewan, Canada. It is located approximately 640 kilometres north of Saskatoon. UEX currently holds a 65.5492% direct interest in the Christie Lake Project which the Company is in joint venture with JCU (Canada) Exploration Company, Limited (JCU), who has a 34.4508.5 interest. JCU is 50% owned by UEX and 50% by Denison Mines Corp. (Denison).
 
This technical report documents the Mineral Resource Statement prepared by SRK Consulting (Canada) Inc. SRK for the Christie Lake Uranium Project, Saskatchewan, Canada. It was prepared following the standards of the Canadian Securities Administrators’ National Instrument 43-101(NI 43-101) and Form 43-101F1.
 
Property Description and Ownership
 
The Christie Lake Project encompasses the majority of Yalowega Lake of northern Saskatchewan, and is located approximately 640 kilometres north of Saskatoon, 110 kilometres west of Wollaston Lake and 270 kilometres northeast of the community of Pinehouse. The project measures approximately 7,922 hectares comprising of six contiguous areas to which UEX shares title with JCU through a joint venture agreement. UEX is the current project operator and holds a 65.5492 percent direct interest in the Christie Lake Project with the remaining 34.4508 percent held by JCU. UEX through its 50% ownership of JCU holds a further 17.2254% interest in The Christie Lake Project.
 
The Christie Lake Project, with uranium deposits along the Yalowega Trend, is an undeveloped mineral resource definition-stage exploration project. The exploration work completed thus far has been limited primarily to drilling and geophysical surveys. Mineral dispositions for the project were staked between 1985 and 1990.
 
The Christie Lake Project is accessible by a series of paved and gravel roads leading from Prince Albert to The McArthur River Mine, where a 20-kilometre-long access trail continues northeast to the Yalowega Lake Camp. The project is located within the Athabasca sedimentary basin region, coincident with the Athabasca Plain ecoregion and Boreal Shield Ecozone. The topography of the area is relatively flat characterized by undulating glacial moraine, outwash, drumlins, and lacustrine plains.
 
The Christie Lake Project originally consisted of three claims, CBS-6163, CBS-7610 and CBS-8027, staked between 1985 and 1986 by PNC. Three additional claims, S-101720, S-101721, and S-101722, were staked and added to the project in 1990. The Christie Lake Project was owned and operated by PNC from 1985 to 2000 and the six claims were actively explored until 1997. In November 2000, JCU acquired 100 percent ownership of the Christie Lake Project. Active exploration, however, did not resume until January 2016 when JCU entered into an option agreement with UEX. In August 2021 UEX and Denison each acquired a 50% interest in JCU (Canada) Exploration Company Ltd. and UEX and Denison now indirectly own 50% of JCU’s 34.4508% interest in the property.

 
 
 
Geology and Mineralization
 
The Christie Lake Project is located in the south-eastern Athabasca Basin, underlain by late Paleoproterozoic Manitou Falls Group sandstone, conglomerate and mudstone. The shallowly dipping sandstones of the Athabasca Basin lies unconformably upon Archean granitic gneiss and early Paleoproterozoic metasedimentary gneiss rocks of the Wollaston Domain. The project lies within the western part of the Wollaston Domain, which is part of the Cree Lake Mobile Zone of the Trans-Hudson Orogen. Unconsolidated Quaternary glacial and periglacial deposits, consisting of ground moraine, esker, drumlin, outwash, aeolian and lacustrine sediments, effectively mask most of the bedrock in the area and can form a cover up to 90 metres thick.
 
The Paul Bay, Ken Pen, and Ōrora uranium mineralized zones are located in the northeastern part of the property, in mineral disposition CBS-8027. The northwest part of the project area is cut by the Yalowega Trend Fault, interpreted as an extension of the P2 Fault that hosts the uranium deposits at the McArthur River Mine.
 
In the eastern part of the basin, where the Christie Lake Project is located, the Athabasca Group is represented by the Manitou Falls Formation and is an approximately 400-metre-thick sequence of quartz arenite sandstone with minor conglomerate beds and trace mudstone beds.
 
The Wollaston Domain is a northeast-trending fold thrust belt composed of remobilized Archean basement and overlying Paleoproterozoic supracrustal sequences of the Wollaston Supergroup. At Christie Lake the hanging wall lithologies of the Wollaston Domain are mostly semi-pelite paleosome with intervals of pegmatite textured neosome. The footwall lithologies are more quartz-rich composed mainly of psammite and quartzo-feldspathic gneiss. The base of the hanging wall is characterized by an interval of graphitic pelite, often faulted, that is spatially related to uranium mineralization.
 
The Paul Bay Zone is an 80-metre-long mineralized body that plunges for at least 200 metres to the southwest from the unconformity and follows the dip of the faulted Lower Wollaston Domain graphitic metasedimentary rocks characterized by an interval of graphitic pelite. The Ken Pen Zone is approximately 260 metres to the northeast from the Paul Bay Zone, striking in a northeast direction concordant with the Yalowega Trend Fault. Ken Pen plunges about 80 m into the basement from the unconformity with a plunge that is similar to Paul Bay. The Ōrora Zone is located approximately 360 m northeast of the Ken Pen Zone. Ōrora uranium mineralization manifests dominantly at the unconformity, approximately 420 metres below surface and can extend up to 40 metres into the basement rocks along the Yalowega Fault.
 
The mineralized zones along the Yalowega Trend are associated with intense fracturing and brecciation and have a bleached argillic alteration halo extending up to 35 metres above the mineralization. The best uranium mineralization is associated with breccias in the lower part of the Yalowega Trend Fault Zone. Alteration haloes associated with the mineralized zones at Christie Lake are typical of Athabasca Basin uranium deposits and are dominated by silicification, hematization, precipitation of drusy quartz and illitization with massive quartz dissolution and intense fracturing. In the basement rocks the alteration typically consists of hydrothermal illitization, chloritization and the development of dravite, which is superimposed upon and commonly obliterates the paleo-weathering profile. The alteration styles at the Christie Lake Project are found as haloes around the mineralized zones.
 
 
 
 
 
Exploration Status
 
After staking of the claims, the initial exploration work at the Christie Lake Project was ground geophysical surveys. Gravity and time domain electromagnetic (TDEM) surveys with fixed loop and stepwise moving loop configurations were initiated in 1986 and completed in 1987. Airborne frequency domain (HEM) and TDEM coupled with magnetic data surveys were completed in 1992.
 
Lake sediment sampling was completed in 1987 and followed-up by a soil sampling program in 1988. Between 1987 and 1997 eight ground TDEM surveys of various configurations were completed over the Christie Lake Project. The most effective survey was the 1994 fixed loop TDEM survey that focused on the Yalowega Trend.
 
JCU did not perform any exploration activity in the period 2000 to 2016.
 
UEX has conducted 48,641 m of core drilling in 104 drill holes along the Yalowega Trend between Paul Bay and the northern property boundary between 2016 and 2021.
 
The exploration potential of the Yalowega Trend is largely related to the unconformity subcrop of graphitic metasedimentary rocks that have been faulted by syn- and post-Athabasca sandstone deformation events and can be inferred by conductors from various configurations of electromagnetic surveys. The Yalowega Trend is largely untested beyond the area between the Paul Bay and Ōrora zones.
 
Data Verification
In the opinion of the Qualified Person (“QP”), the sampling preparation, security, and analytical procedures used by UEX are consistent with generally accepted industry best practices and are, therefore, adequate for an exploration project.
 
In accordance with NI 43-101 reporting standards, the qualified person Mr. Glen Cole, P.Geo. (APEGS#26003, APGO#1416) visited the Christie Lake Project between September 19 and 20, 2018 during drilling operations, accompanied by Mr. Chris Hamel, P.Geo. (APEGS# 12985) and other UEX personnel.
 
The purpose of the site visit was to review the generation of the exploration database and validation procedures, review exploration procedures, define geological modelling procedures, examine drill core, interview project personnel, and to collect relevant information for the preparation of a mineral resource model and the compilation of a technical report.
 
The QP was given full access to relevant data and conducted interviews with UEX personnel to obtain information on the past exploration work, to understand procedures used to collect, record, store and analyze historical and current exploration data.
 
Overall, the QP considers analytical results from core sampling conducted at the Christie Lake Project as globally sufficiently reliable for the purpose of resource estimation. The data examined by the QP do not present obvious evidence of significant analytical bias.
 
 
 
 
 
Mineral Resource and Mineral Reserve Estimates
 
The construction of the mineral resource was undertaken by independent SRK staff under the supervision of qualified person Mr. Glen Cole, P.Geo. (APEGS# 26003, APGO#1416) who also conducted the site visit.
 
UEX staff including Mr. Chris Hamel, P.Geo. (APEGS#12985) provided technical input throughout the geological and mineralized domain modeling process which was reviewed by the QP. The mineral resource estimation process was reviewed by Mr. Cliff Revering, P.Geo. (APEGS# 9764).
 
By virtue of his education, membership to a recognized professional association, and relevant work experience, Mr. Cole is an independent qualified person as this term is defined by National Instrument 43-101.
 
The mineralization zone boundaries were developed using a combined set of criteria including lithology, alteration and mineralization logging, presence of clay and assay grade. Overall, the marginal threshold value of 0.01 percent U3O8 was used for contouring, however, the intervals with U3O8 grade between 0.01 and 0.05 percent were included only if additional logged evidence of uranium mineralization exist.
 
Most of the analytical samples were collected at 0.5-metre intervals. A modal composite length of approximately 0.5 metres was applied to all the data, generating composites as close to 0.5-metres as possible, while creating residual intervals of up to 0.25 metres in length (drill hole assays). In all cases, composite files were derived from raw values within the modelled resource domains.
 
Given the high correlation between U3O8 grades and specific gravity, block specific gravity values were calculated from estimated uranium grades using the following quadratic regression formula:
 
,
where SG is the estimated specific gravity and U3O8 is the assayed or estimated uranium grade.
 
Polygonal declustering bounded by the domain solids was applied to capped composite grades to produce representative uranium statistics. Spatial statistics was performed on capped composite grades of all domains and deposits combined. Due to the difficulty to obtain workable experimental variograms for individual domains, all data for variography was combined and experimental variograms were calculated on normal-scores transformed composite grades, which were back-transformed to original units for the fitting of the variogram model.
The block model was rotated to coincide with the overall strike of the three deposits and consists of 5 by 10 by 2.5 metres parent cells with 0.5 by 0.5 by 0.5 subcells. Grade estimation was undertaken by ordinary kriging (OK) constrained by uranium mineralization wireframes. In all cases the boundaries defined by the mineralization wireframes were treated as hard.
 
Grade estimation was undertaken in four passes using dynamic anisotropic search ellipsoids for all passes excepting the first one. The local angles required for dynamic anisotropy were obtained from the wireframe facets and interpolated into the model. The last two passes were designed to fill the gaps and to complete the estimation of all the blocks within the domains. Thus, the search ranges for the third and fourth passes correspond to twice and trice the full variogram ranges, respectively.
 
The estimated block model was validated visually and statistically using cross sections, swath-plots and change of support analysis.
 
 
The Mineral Resource Statement for the Christie Lake Project is presented in Table i. Considering the early stage of the Christie Lake Project, the general widely spaced drill pattern and the overall uncertainty in the spatial distribution of grades, the QP considers all the reported mineral resources to be classified as Inferred Mineral Resources. The QP considers a cut-off grade of 0.2 percent of U3O 8 to be reasonable in terms of sustaining underground production and processing costs. This cut-off grade estimate is based on price and recovery assumptions of $US50/lb and 97% respectively. The QP also notes that the reported Mineral Resource is relatively insensitive to the cut-off grade applied. The effective date of the Mineral Resource Statement for the Christie Lake Project is December 31, 2021.
 
Table i: Mineral Resource Statement*, Christie Lake Project, Saskatchewan, Canada, SRK Consulting (Canada) Inc., December 31, 2021
Deposit
Tonnage
Grade
Contained Metal
(000s)
(% U3O8)
(Mlb U3O8)
Inferred Mineral Resources
Paul Bay
338
1.81
13.49
Ken Pen
149
1.05
3.44
Ōrora
102
1.53
3.41
Total
588
1.57
20.35
* Mineral resources are not mineral reserves and have not demonstrated economic viability. All figures have been rounded to reflect the relative accuracy of the estimates. Reported at a cut-off grade of 0.2% U3O8.
 
 
Conclusion and Recommendations
 
Exploration drilling on the Christie Lake Project has focused on the Paul Bay, Ken Pen and Ōrora zones to test the continuity of uranium mineralization at and near the unconformity within the project. SMDC, PNC and UEX and previous operators completed a total of 200 core drill holes (96,160 metres) between 1988 to 2021. Exploration programs to date have revealed a variety of uranium mineralization styles at the three main zones that includes a combination of basement- and unconformity-hosted mineralization.
 
The QP witnessed the extent of the exploration work and can confirm that UEX’s activities are conducted using field procedures that meet generally accepted industry best practices. The QP is of the opinion that the exploration data are sufficiently reliable to interpret the boundaries of the uranium mineralization and support the evaluation and classification of mineral resources in accordance with generally accepted CIM Estimation of Mineral Resource and Mineral Reserve Best Practices and CIM Definition Standards for Mineral Resources and Mineral Reserves.
 
The block model was classified using a combination of tools, including confidence in the geological interpretation, search radii, minimum number of drill holes and composites, variography, and estimation pass. In collaboration with UEX, the QP selected a block size of 5 by 10 by 2.5 metres for all mineralized zones. Sub-cells were assigned the same grade as the parent cell. The block model is rotated on the Z-axis to honour the orientation of the overall strike of the three deposits.
 
In all cases, grade estimation used an ordinary kriging estimation algorithm and four estimation passes informed by capped composites. Validation checks confirm that the block estimates are a reasonable representation of the informing data considering the current level of geological and geostatistical understanding of the project.
 
 
 
 
 
 
No processing or metallurgical data is currently available for Project lithologies or the uranium mineralization. Considering this uncertainty, the current level of drilling and the uncertainty in grade continuity, the QP considers all block estimates within the mineralized zones to be classified as Inferred.
 
The geological setting, character of the uranium mineralization delineated, and exploration results to date are of sufficient merit to justify additional exploration expenditure to potentially expand the uranium mineralization footprint on the Christie Lake property.
 
The QP supports UEX’s primary exploration objectives for the Christie Lake property, which are:
 
Expand the existing zones of uranium mineralization along the Yalowega Trend.
 
Identify and/or test:
Additional areas of uranium mineralization along the Yalowega Trend.
The remainder of the P2 structural corridor to the southwest of the three main zones.
The southern conductive corridor(s).
 
The Christie Lake Project hosts multiple significant uranium deposits along the Yalowega Trend. The trend remains under-explored and is considered highly prospective for the discovery of additional lenses and zones of uranium mineralization.
 
The QP supports the proposed UEX two-phase exploration program for the Christie Lake Project which is focussed on identifying additional uranium mineralization and expanding the current uranium mineralization footprint on the property. The first phase of the exploration program has a budget of C$6,000,000 and is expected to commence in the winter of 2022. The second phase will comprise an initial evaluation of the southern conductive corridor and will be contingent of the first phase and has a budget of approximately C$2,000,000.
 
The proposed exploration program should be pro-actively managed, with new information rapidly integrated into the uranium mineralization interpretation. Additional infill exploration drilling should also be considered in order to increase the mineral resources category from Inferred to Indicated in the high-grade areas of Paul Bay and Ōrora zones. Drill programs should be flexible enough to be modified to integrate new information and interpretations which could have a positive impact on the uranium mineral resource.
 
 
 
 
 
 
Table of Contents
IMPORTANT NOTICE
ii
Executive Summary
iii
Introduction
iii
Property Description and Ownership
iii
Geology and Mineralization
iv
Exploration Status
v
Data Verification
v
Mineral Resource and Mineral Reserve Estimates
vi
Conclusion and Recommendations
vii
Table of Contents
ix
List of Tables
xii
List of Figures
xiii
1.   Introduction and Terms of Reference
15
1.1.   Scope of Work
15
1.2.   Work Program
16
1.3.   Basis of Technical Report
16
1.4.   Qualifications of the SRK Team
16
1.5.   Site Visit
16
1.6.   Acknowledgement
17
1.7.   Declaration
17
2.   Reliance on Other Experts
18
3.   Property Description and Location
19
3.1.   Mineral Tenure
19
3.2.   Underlying Agreements
22
3.3.   Permits and Authorization
22
3.4.   Environmental Considerations
23
3.5.   Mining Rights in Saskatchewan
23
4.   Accessibility, Climate, Local Resources, Infrastructure, and Physiography
24
4.1.   Accessibility
24
4.2.   Local Resources and Infrastructure
24
4.3.   Climate
26
4.4.   Physiography
26
5.   History
27
5.1.   Property Ownership
27
1.   Exploration and Development History
27
5.1.1.   PNC (1985 – 2000)
27
5.1.2.   JCU (2000 – 2016)
42
2.   Historical Mineral Resource Estimates
42
3.   Historical Production
42
6.   Geological Setting and Mineralization
43
6.1.   Regional Geology
43
 
 
6.2.   Property Geology
43
6.2.1.   Athabasca Group
46
6.2.2.   Wollaston Group
46
6.2.3.   Structural Geology
46
6.3.   Mineralization
47
6.4.   Alteration
50
7.   Deposit Types
51
8.   Exploration
53
8.1.   UEX (2016 – 2021)
53
8.1.1.   DC Resistivity and EM Surveys (2019-2020)
53
8.2.   TDEM Surveys (2020)
58
8.3.   Exploration Targets
61
9.   Drilling
62
9.1.   Drilling by UEX (2016 – 2021)
63
9.2.   Drilling Procedures
66
9.2.1.   Historical Operators (Pre-1997)
66
9.2.2.   UEX (2016 – 2021)
66
9.3.   Surveying
69
9.4.   Core Recovery
69
9.5.   SRK Comments
69
10.   Sample Preparation, Analyses, and Security
70
10.1.   PNC (1985 – 2000)
70
10.2.   JCU (2000 – 2016)
70
10.3.   UEX (2016 – 2021)
70
10.4.   Specific Gravity Data
71
10.5.   Quality Assurance and Quality Control Programs
72
10.5.1.   PNC (1985 – 2000)
72
10.5.2.   JCU (2000 – 2016)
72
10.5.3.   UEX (2016 – 2021)
72
10.6.   Security
73
10.7.   SRK Comments
73
11.   Data Verification
74
11.1.   Verifications by UEX
74
11.1.1.   Data Collection and Verification
74
11.2.   Verifications by SRK
75
11.2.1.   Site Visit
75
11.2.2.   Database Verifications
75
11.2.3.   Verifications of Analytical Quality Control Data
76
11.2.4.   SRK Comments
77
12.   Mineral Processing and Metallurgical Testing
79
13.   Mineral Resource Estimates
80
13.1.   Introduction
80
13.2.   Resource Estimation Procedures
80
13.3.   Resource Database
81
13.4.   Geological Modelling
82
13.5.   Statistical Analysis and Compositing
82
13.6.   Evaluation of Outliers
84
13.7.   Specific Gravity
85
 
 
13.8.   Statistical Analysis and Variography
85
13.9.   Block Model and Grade Estimation
87
13.10.   Model Validation
88
13.11.   Mineral Resource Classification
89
13.12.   Mineral Resource Statement
89
13.13.   Grade Sensitivity Analysis
92
13.14.   Recommendations
92
14.   Adjacent Properties
93
14.1.   The McArthur River Mine (Cameco)
93
15.   Other Relevant Data and Information
96
16.   Interpretation and Conclusions
97
17.   Recommendations
99
17.1.   Phase 1
99
17.2.   Phase 2
100
17.3.   Metallurgical Test Work
100
17.4.   Comment
101
18.   References
102
APPENDIX A
105
APPENDIX B
114
 
 
 
 
 
 
 
List of Tables
Table i: Mineral Resource Statement*, Christie Lake Project, Saskatchewan, Canada, SRK Consulting (Canada) Inc., December 31, 2021 vii
Table 1: Mineral Tenure Information for the Christie Lake Uranium Project 19
Table 2: Best Management Practices and Required Permits 22
Table 3: Sediment Sampling Results for the Christie Lake Project (1987) 28
Table 4: Summary of Exploration Work Completed by PNC on the Christie Lake Uranium Project (1986-1997) 29
Table 5: Summary of Ground TDEM Surveys – 1986 to 1997 29
Table 6: Summary of Drilling on the Christie Lake Uranium Project 39
Table 7: Notable Core Intersections on the Christie Lake Uranium Project (PNC 1989-1997) 41
Table 8: Christie Lake Project Historical Mineral Resource Estimate, PNC, 1997 42
Table 9: Summary of Drilling Conducted on the Christie Lake Uranium Project (1988-2021) 63
Table 10: Summary of Preparation and Assay Methodologies 71
Table 11: Summary of Control Samples used by UEX and SRC on the Christie Lake Project (2016-2021) 73
Table 12: Summary of Analytical Quality Control Data Produced by UEX on the Christie Lake Uranium Project 77
Table 13: Summary Basic Statistics for Composite and Capped Composite Data for Christie Lake Domains 84
Table 14: Variogram Model Parameters for U3O8 87
Table 15: Block Model Parameters 87
Table 16: Estimation Search Parameters 88
Table 17: Christie Lake Project Cut-off Grade Assumptions 91
Table 18: Mineral Resource Statement*, Christie Lake Project, Saskatchewan, Canada, SRK Consulting (Canada) Inc., December 31, 2021 91
Table 19: Grade – Tonnage Sensitivities to Cut-off Grades 92
Table 20: Phase 1 Exploration Budget for 2022 100
Table 21: Phase 2 Exploration Program and Budget 100
 
 
 
 
 
 
 
List of Figures
Figure 1: Location of the Christie Lake Uranium Project in Saskatchewan, Canada
20
Figure 2: Land Tenure Map of the Christie Lake Uranium Project
21
Figure 3: Infrastructure and Typical Landscape in the Christie Lake Project Area
25
Figure 4: Line-cutting and Grids on the Christie Lake Uranium Project by PNC (1986-1997)
30
Figure 5: TDEM Surveys and Grid on the Christie Lake Uranium Project by PNC (1994)
32
Figure 6: TDEM Survey and Grid on the Christie Lake Uranium Project by PNC (1997)
33
Figure 7: Compilation of 1986-1997 TDEM Conductors on the Christie Lake Uranium Project Conducted by PNC
34
Figure 8: Channel EM2, GEOTEM Survey on the Christie Lake Uranium Project by PNC (1982)
36
Figure 9: Vertical Magnetic Gradient, DIGHEM Survey on the Christie Lake Uranium Project by PNC (1992)
37
Figure 10: 7200 Hertz Apparent Resistivity, DIGHEM Survey on the Christie Lake Uranium Project by PNC (1992)
38
Figure 11: Map Showing the Distribution of Drilling on the Christie Lake Uranium Project
40
Figure 12: Regional Geology Setting of the Christie Lake Uranium Project
44
Figure 13: Local Geology Setting of the Christie Lake Uranium Project
45
Figure 14: Uranium Mineralization in NQ Core at the Christie Lake Uranium Project
48
Figure 15: Unconformity Related Deposit Models
51
Figure 16: 2019 DC Resistivity Coverage
54
Figure 17: Christie North Resistivity Interpretation – Sandstone
56
Figure 18: Christie North Resistivity Interpretation - Basement
56
Figure 19: Christie South Resistivity Interpretation – Sandstone
57
Figure 20: Christie South Resistivity Interpretation – Basement
57
Figure 21: 2020 TDEM Coverage with Loops
59
Figure 22: Anomaly Locations Plotted by Conductor Number
60
Figure 23: Summary of Drilling Conducted on the Christie Lake Uranium Project (1988-2021)
62
Figure 24: Plan Map of Drilling on the Paul Bay, Ken Pen and Ōrora Zones, Christie Lake Uranium Project
65
Figure 25: Team Drilling Limited Drill Rig During the 2018 Summer Drilling Program
66
Figure 26: Time Series Plots for Blank Material and Certified Reference Material Samples Assayed by SRC Laboratory in Saskatoon, Saskatchewan, Canada, Between 2016 and 2018.
76
Figure 27: Estimation Domains
83
Figure 28: Length Frequency Distribution of the Samples Within the Mineralization Domains
84
Figure 29: U3O8 vs. Specific Gravity Regression Curve and Equation
85
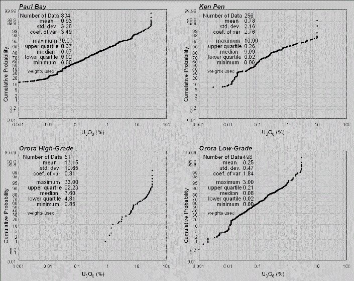
Figure 30: Cumulative Probability Plots for Declustered Composite Data
86
 
 
Figure 31: Normal Scores (NS) and Back-transformed (Y-Z) Experimental Variograms and Fitted Variogram Model for U3O8 Grades
87
Figure 32: Swathplot Comparing Estimated and Declustered Capped Composite U3O8 Grades
88
Figure 33: Quantile-Quantile Plot of the Change of Support Corrected Composite and Estimated U3O8 Grades for Paul Bay 1 Domain
89
Figure 34: Illustrative Resource Model Sections Across the Ken Pen (Top) and Paul Bay (Bottom) Mineral Resource Domains, Showing U3O8 Grade Continuity Above Reporting Cut-off Grade (0.2 % U3O8)
90
Figure 34: Plan Showing the Location of the McArthur River Uranium Mine in Relation to the Christie Lake Project and Other Reference Deposits
94
 
 
 
 
 
 



Introduction and Terms of Reference
The Christie Lake Project is a uranium exploration project located in Saskatchewan, Canada. UEX currently holds a 65.5492% direct interest in the Christie Lake Project which the Company is in joint venture with JCU (Canada) Exploration Company, Limited (JCU), who has a 34.4508.5 interest. JCU is 50% owned by UEX and 50% by Denison Mines Corp. (Denison).
 UEX is a Canadian uranium exploration and development company. UEX is currently advancing its Canadian uranium deposits at Christie Lake, Horseshoe - Raven, and Shea Creek. Through it’s wholly owned subsidiary CoEX Metals Corporation (CoEX) it is evaluating and advancing the West Bear Cobalt-Nickel Deposit on the West Bear Property.
An initial technical report primarily summarizing the exploration activities undertaken on the Christie Lake Project was prepared and publicly filed for UEX on March 28, 2017 (Perkins et al, 2017). In July 2018, UEX commissioned SRK Consulting (Canada) Inc. (SRK) to visit the Christie Lake property and prepare a geological and mineral resource model for the Christie Lake Project. In February 2022 UEX commissioned SRK to review and update the mineral resource estimate and issue a Technical Report, with an effective date of December 31, 2021.
This technical report documents the Mineral Resource Statement prepared by the QP for the Christie Lake Project, Saskatchewan, Canada. It was prepared following the standards of the Canadian Securities Administrators’ National Instrument 43-101(NI 43-101) and Form 43-101F1. The Mineral Resource Statement reported herein was prepared in conformity with generally accepted Canadian Institute of Mining, Metallurgy and Petroleum (CIM) Exploration Best Practices Guidelines and CIM Estimation of Mineral Resources and Mineral Reserves Best Practice Guidelines.
 
 
1.1.
Scope of Work
 
The scope of work, as defined in letters of engagement executed on July 24, 2018 and on February 22, 2022 between UEX and SRK includes the construction of a mineral resource model for the uranium mineralization delineated by drilling on the Christie Lake Project, and the preparation of an independent technical report in compliance with NI 43-101 and Form 43-101F1 guidelines. This work typically involves the assessment of the following aspects of the project:
 
 
Topography, landscape, access
 
Regional and local geology
 
Exploration history
 
Audit of exploration work carried out on the project
 
Geological modelling
 
Mineral resource estimation and validation
 
Preparation of a Mineral Resource Statement
 
Recommendations for additional work
 
 
 
 
 
 
1.2.
Work Program
 
The Mineral Resource Statement reported herein was generated by SRK personnel from audited data received from UEX. The exploration database was compiled and maintained by UEX and was audited by the Qualified Person (QP). The geological / mineral resource domain model was created by the QP using three-dimensional geological wireframes provided by UEX as guidance. The outlines for the uranium mineralization were constructed by the QP. In the opinion of the QP, the updated geological model is a reasonable representation of the distribution of the mineralization at the current level of sampling. The geostatistical analysis, variography and grade models were completed by the QP during the months of September to December 2018. The original Mineral Resource Statement reported herein was presented to UEX in a memorandum report on December 13, 2018 and disclosed publicly in a news release dated December 19, 2018.
 
The Mineral Resource Statement reported herein was prepared in conformity with the generally accepted CIM Exploration Best Practices Guidelines and CIM Estimation of Mineral Resource and Mineral Reserves Best Practices Guidelines. This technical report was prepared following the standards of the NI 43-101 and Form 43-101F1.
 
This technical report was assembled by the author in Toronto during March 2022.
 
 
1.3.
Basis of Technical Report
 
This report is based on information collected by the QP during a site visit performed between September 19 and 20, 2018 and on additional information provided by UEX throughout the course of the QP’s investigations. The author has no reason to doubt the reliability of the information provided by UEX. Other information was obtained from the public domain. This technical report is based on the following sources of information:
 
 
Discussions with UEX personnel.
 
Inspection of the Christie Lake Project area, including drill core.
 
Review of exploration data collected by UEX.
 
Additional information from public domain sources.
 
Report contributions provided by UEX.
 
 
1.4.
Qualifications of the SRK Team
 
The mineral resource evaluation work of this technical report was completed by Dr. Aleksandr Mitrofanov, PGeo (APGO#2824) and Dr. David Machuca, PEng (PEO#100508889) from SRK under the supervision of Mr. Glen Cole, PGeo (APEGS#26003, APGO#1416), a Principal Consultant and Practice Leader with SRK who the QP responsible for this technical report is. Mr. Cliff Revering, PGeo (APEGS#9764) from SRK peer reviewed the mineral resource model. By virtue of their education, membership to a recognized professional association and relevant work experience, Mr. Cole is an independent Qualified Person as this term is defined by NI 43-101.
 
 
1.5.
Site Visit
 
In accordance with NI 43-101 guidelines, Mr. Cole visited the Christie Lake Project on September 19 to 20, 2018 during the active drilling program, accompanied Mr. Christopher Hamel and other UEX personnel.
 
 
 
 
 
 
The purpose of the site visit was to review the digitalization of the exploration database and validation procedures, review exploration procedures, define geological modelling procedures, examine drill core, interview project personnel, and collect all relevant information for the preparation of the geological and mineral resource models and the compilation of the technical report.
 
The site visit was primarily aimed at investigating the geological controls on the distribution of the uranium mineralization to facilitate the construction of three-dimensional domains populated with uranium values. The QP was given full access to relevant data and conducted interviews with UEX personnel to obtain information on the past exploration work, to understand procedures used to collect, record, store and analyze historical and current exploration data.
 
 
1.6.
Acknowledgement
 
The author would like to acknowledge the logistical support provided by UEX personnel including Mr. Christopher Hamel (Vice President, Exploration) during the site visit.
 
 
1.7.
Declaration
 
The QP’s opinion contained herein and effective December 31, 2021 is based on information collected by the QP throughout the course of the QP’s investigations. The information in turn reflects various technical and economic conditions at the time of writing this report. Given the nature of the mining business, these conditions can change significantly over relatively short periods of time. Consequently, actual results may be significantly more or less favourable. The QP considers the Mineral Resource Statement supported by the SRK (2021) technical report to be current as no additional data has been added within the area of the mineral resource and the effective cut-off grade is suitable. Additionally, the subsequent drilling external to the area of the mineral resource is considered by the QP to be too widely spaced to warrant confident wireframing to support mineral resource estimation.
 
This report may include technical information that requires subsequent calculations to derive subtotals, totals, and weighted averages. Such calculations inherently involve a degree of rounding and consequently introduce a margin of error. Where these occur, the QP does not consider them to be material.
 
Glen Cole is not an insider, associate, or an affiliate of UEX and no employee of SRK nor any affiliate has acted as advisor to UEX, its subsidiaries or its affiliates in connection with this project. The results of the technical review by SRK are not dependent on any prior agreements concerning the conclusions to be reached, nor are there any undisclosed understandings concerning any future business dealings.
 
 
 
 
 
 
 Reliance on Other Experts
The qualified person is partially relying upon the Opinion of Title dated September 7, 2021 by Robertson Stromberg LLP, titled “UEX Corporation - Review of Certain Mineral Dispositions” wherein section IV Item 3 it is stated that they are of the opinion that UEX is direct holder of 65.5492% interest on the Christie Lake claims. UEX and Denison each own 50% of the JCU, who has a 34.4508% interest in the property. The authors are in part relying upon this report as assurance of the claim title equity, the equity stated in the report is consistent with the records indicated by UEX. This reliance applies to Section 5.1.
 
The QP also independently verified the land title and tenure information as summarized in Section 3 of this report by reviewing the details thereof on the Mineral Administration Registry System of Saskatchewan (MARS) website.
 
 
 
 
 
 
 
Property Description and Location
The Christie Lake Project encompasses the majority of Yalowega Lake of northern Saskatchewan, and is located approximately 640 kilometres north of Saskatoon, 110 kilometres west of the community of Wollaston Lake, 270 kilometres northeast of the community of Pinehouse, and 340 kilometres north of the town of La Ronge. The project is located within the corridor of high-grade uranium deposits in the eastern Athabasca basin and is approximately 10 kilometres northeast of McArthur River Mine and 30 kilometres southwest of Cigar Lake. The Key Lake uranium mill is approximately 80 kilometres to the southwest of the project. The centre of the project is located at approximately 104.515 degrees longitude west and 57.484 degrees latitude north (Figure 1).
 
 
3.1.
Mineral Tenure
 
The Christie Lake Project measures approximately 7,922 hectares comprising of six contiguous areas to which UEX shares title with JCU through a joint venture agreement. UEX is the current project operator and holds a 65.5492 percent interest in the Christie Lake Project with the remaining 34.4508 percent held by JCU. JCU is 50% owned by UEX and 50% by Denison Mines Corp. The annual assessment work required is C$25.00 per hectare. Total annual assessment expenditure requirements for Christie Lake are C$198,050. The uranium mineralized Paul Bay, Ken Pen, and Ōrora zones are located on disposition CBS 8027 (Figure 2).
 
Under Saskatchewan law, claims are staked through an online registry. The map-designated coordinates of the claims are the legal limits of said claims, the physical limits can be verified by consulting the Government’s Mineral Administration Registry Saskatchewan (“MARS”) website.
 
A summary of the tenure information, as extracted from the MARS website, is presented in Table 1 . All claims are 100 percent owned by JCU / UEX and are in good standing with expiry dates varying between October 7, 2043 and June 3, 2044.
 
Table 1: Mineral Tenure Information for the Christie Lake Uranium Project
 
Disposition Number
 
Record
Date
 
Area
(Ha)
Annual Assessment (C$/Ha)
Total Annual Assessment
(C$)
 
Work Due / Lapse Date
CBS-6163
10/7/1985
1,263
25
$31,575
10/7/2043
CBS-7610
10/7/1985
1,732
25
$43,300
10/7/2043
CBS-8027*
15/1/1986
2,291
25
$57,275
14/4/2044
S-101720
7/12/1990
83
25
$2,075
6/3/2044
S-101721
7/12/1990
404
25
$10,100
6/3/2044
S-101722
7/12/1990
2,149
25
$53,725
6/3/2044
Total
 
7,992
 
$198,050
 
* Location of the Paul Bay, Ken Pen and Ōrora Uranium Mineralized Zones
 
 
 
 
 
 
 
Figure 1: Location of the Christie Lake Uranium Project in Saskatchewan, Canada
 
 
 
 
 
Figure 2: Land Tenure Map of the Christie Lake Uranium Project
 
 
 
 
 
 
 
3.2.
Underlying Agreements
 
In 2016, UEX and JCU entered into an option agreement by which UEX was to earn up to 70 percent interest in the Christie Lake Project over the next four years. This option agreement was terminated in November 2018 upon UEX reaching 60 percent equity in the project and the two companies entered into a joint venture agreement. UEX currently holds 82.775% combined direct and indirect interest in the Christie Lake Project which the Company is in joint venture with JCU. UEX is the current project operator and holds a 65.5492 percent direct interest in the Christie Lake Project with the remaining 34.4508 percent held by JCU. Both UEX and Denison, each through their 50% ownership of JCU holds a 17.2254% indirect interest in the Christie Lake Project. There are with no additional royalties, back-in rights, or encumbrances on the project or potential uranium production, other than the standard royalties due to the Government of Saskatchewan.
 
 
3.3.
Permits and Authorization
 
Mineral exploration on land administered by the Ministry of Environment requires that surface disturbance permits be obtained prior to exploration activities. The Saskatchewan Mineral Exploration and Government Advisory Committee (SMEGAC) have developed the Mineral Exploration Guidelines for Saskatchewan to mitigate environmental impacts from industry activity and facilitate governmental approval for such activities. Applications to conduct exploration work need only to address the relevant topics of those listed in the guidelines. The types of activities are listed under the guide’s best management practises (BMP) are tabulated in Table 2.
 
Table 2: Best Management Practices and Required Permits
Best Management Practises
Permits Required and Obtained
Staking
-
Grassroots Exploration
-
Forest Clearing
Forest Production Permit 15PA269
Forest Production Permit 17PA069
Temporary Work Camps
Temporary Work Camp 15PA269
Temporary Work Camp 16PA281
Temporary Work Camp 17PA069
Hazardous Wastes and Goods
-
Fire Prevention and Control
-
Access
Forest Production Permit 15PA269
Forest Production Permit 17PA069
Water Crossings
Aquatic Habitat Protection Permit 15PA269
Aquatic Habitat Protection Permit 17PA069
Exploration Trenching
-
Drilling on Land
Forest Production Permit 15PA269
Forest Production Permit 17PA069
Drilling on Ice
Aquatic Habitat Protection Permit 15PA269
Aquatic Habitat Protection Permit 17PA069
Core Storage
Ministry of Economy legislation states that core is to be left on-site. Since this requirement is indicated in provincial legislation, mineral companies can leave core boxes with core on-site indefinitely without any additional permit/approval.
Restoration
-
First Nations and Métis Community Engagement
Letters to stakeholders submitted
Water Usage
Temporary Water Rights Licence to use Surface Water E8/10914 & E8/10915
Temporary Water Rights Licence to use Surface Water E8/10925 & E8/10926
 
 
 
 
 
There are no known environmental issues or liabilities potentially affecting the Christie Lake Project and all the proper permits required to conduct exploration activities on the property for all exploration campaigns have been obtained.
 
 
3.4.
Environmental Considerations
 
The Christie Lake Project, with uranium deposits along the Yalowega Trend, is an undeveloped mineral resource definition-stage exploration project. The exploration work completed thus far has been limited primarily to drilling and geophysical surveys.
 
As far as the author can determine, the environmental liabilities related to the Christie Lake Project, if any, are negligible.
 
 
3.5.
Mining Rights in Saskatchewan
 
In Saskatchewan, mineral resources are owned by the Crown and managed by the Saskatchewan Ministry of the Economy using the Crown Minerals Act and the Mineral Tenure Registry Regulations, 2012. Staking for mineral dispositions in Saskatchewan is conducted through the online staking system, MARS. Mineral dispositions for the Christie Lake Project were staked between 1985 and 1990, prior to the implementation of MARS. Accordingly, ground staking methods were employed by PNC Exploration (Canada) Co. Ltd. (PNC) to secure these dispositions. These dispositions give the stakeholders the right to explore the lands within the disposition area for economic mineral deposits.
 
 
 
 
 

 Accessibility, Climate, Local Resources, Infrastructure, and Physiography
 
 
4.1.
Accessibility
 
The Christie Lake Project is accessible by a series of paved and gravel roads leading from Prince Albert to the McArthur River Mine, where a 20-kilometre-long access trail continues northeast to the Yalowega Lake Camp.
 
Highway 2 is paved road leading 187 kilometres north from Prince Albert where it connects to Highway 165. This well-maintained gravel road extends west for 112 kilometres to a junction with public access Highway 914 which leads 268 kilometres to the Key Lake mill facility. A 78-kilometre private access haul road maintained by Cameco Corporation connects Key Lake to the McArthur River Mine area where the Christie Lake access trail begins.
 
Charter flights can be arranged to land at the McArthur River airport year-round. Alternative transportation to the camp site includes utilizing a float- or ski-equipped aircraft or helicopter from Points North Landing to Yalowega Lake.
 
 
4.2.
Local Resources and Infrastructure
 
All infrastructure currently on the Christie Lake Project is non-permanent (Figure 3). The Government of Saskatchewan requires a surface lease be issued for all permanent structures. There is access to fresh water close to the project and the hydroelectric grid is located on the project within approximately 4 kilometres of mineralized zones.
 
La Ronge, approximately 300 kilometres south of the project, is accessible by road and is the main source for fuel, materials and medical services. Additional resources not available in La Ronge may be sourced from the cities of Prince Albert and Saskatoon. An airfield owned by the Points North Group of Companies is located 66 kilometres northeast of the Christie Lake Camp and offers freighting services for exploration and mining activities in the eastern part of the Athabasca Basin. They also offer shipment of products and services to Prince Albert and Saskatoon.
 
 
 
 
 
 
Figure 3: Infrastructure and Typical Landscape in the Christie Lake Project Area
A: Access trail to the Yalowega Camp site
B: Aerial view of camp site infrastructure
C: View of the non-permanent infrastructure at the Yalowega Camp site
D: Typical landscape in the Project area
 
 

 
 
4.3.
Climate
 
The Christie Lake Project is located within the Athabasca sedimentary basin region, coincident with the Athabasca Plain Ecoregion and Boreal Shield Ecozone. The climate is characterized by short and cool summers with a maximum temperature of 30 degrees Celsius, and cold and long winters with a temperature low of negative 40 degrees Celsius. During the summer solstice the period of daylight lasts nearly 18.5 hours. The winter season can start in late October and continue until May.
 
Precipitation varies during the year reaching an average of 40 centimetres annually and is characterized by snowfall in the winter months and moderate rainfall in the summer months. Maximum precipitation occurs during the summer months of July to September.
 
Exploration activities can be carried out year-round, however access is limited to the project during the months of May to October due to the abundance of lakes, muskeg and wet conditions that occur during the spring thaw.
 
 
4.4.
Physiography
 
The Athabasca sedimentary basin region is characterized by variable uplands and low-lying terrain with many lakes and wetlands where peatlands and bogs are common (Figure 3). Vegetation is typical of the Boreal Forest, including areas dominated by black spruce forests and feather mosses. Within the forests, Jack pines commonly occur on thin-soiled uplands and tamaracks on poorly drained lowlands.
 
The Athabasca Plain Ecoregion has developed on sedimentary rocks of the Athabasca Group. Bedrock rarely outcrops and is generally overlain by hummocky deposits of glacial till, glaciolacustrine, and glaciofluvial sediments. The topography of the area is relatively flat characterized by undulating glacial moraine, outwash, drumlins and lacustrine plains. The elevation range of the Athabasca Plain is from 485 to 640 metres. Drumlins, eskers, and meltwater channels have a typical local relief of 30 to 60 metres and contribute to the rolling expression of the terrain dominated by sandy glacial sediment.
 
Over forty species of mammals are found in the ecozone and dominantly include the caribou, moose, black bear, grey wolf, fox, lynx, beaver, otter, snowshoe hare, marten, mink and shrew. The bird species common to the ecozone include the raven, grey jay, spruce grouse, chickadee, woodpecker, bald eagle, osprey, and ptarmigan. Fish species common to the area include the lake trout, whitefish, northern pike, walleye, longnose sucker, white sucker, burbot, and arctic grayling.
 
 
 
 
 
 
History 
 
 
5.1.
Property Ownership
 
The Christie Lake Project originally consisted of three claims, CBS-6163, CBS-7610 and CBS-8027, staked between 1985 and 1986 by PNC. Three additional claims, S-101720, S-101721, and S-101722, were staked and added to the project in 1990. The project was owned and operated by PNC from 1985 to 2000 and the six claims were actively explored until 1997. Exploration activities were dormant from 1997 to 2016.
 
In November 2000, JCU acquired 100 percent ownership of the Christie Lake Project. Active exploration did not resume until January 2016 when JCU entered into an option agreement with UEX. The agreement allowed UEX to earn up to 70 percent of the Christie Lake Project over a four year earn-in period. This option agreement was terminated in November 2018 and the two companies entered into a joint venture agreement by which UEX currently holds 82.775% combined direct and indirect interest in the Christie Lake Project which the Company is in joint venture with JCU. UEX is the current project operator and holds a 65.5492 percent direct interest in the Christie Lake Project with the remaining 34.4508 percent held by JCU (owned 50% by UEX and 50% by Denison Mines Corp.). Both UEX and Denison through their 50% ownership of JCU each holds a further 17.2254% indirect interest in the Christie Lake Project.
 
 
5.2.
Exploration and Development History
 
Exploration activity on the Christie Lake Project between 1986 and 1997 focused on defining uranium mineralization involving airborne and ground geophysical surveys, lake sediment and geochemical sampling, and diamond drilling.
 
The geophysical surveys conducted included GEOTEM, DIGHEM, Horizontal Loop Electromagnetic (HLEM), Very Low Frequency (VLF), gravity, Electromagnetic-37 (EM-37) fixed/sounding/stepwise loop and downhole Pulse Electromagnetic (PEM).
 
Lake and soil sediment sampling in 1987 were consistent with conductive trends revealed by the geophysical surveys and returned up to 2.9 parts per million (ppm) uranium in Yalowega Lake.
 
Between 1988 and 1995, PNC completed 47,040 metres of core drilling in 95 drill holes. PNC made two significant discoveries as project operator. The Paul Bay Zone was discovered in 1989 when drill hole CB-04 intersected 10.59 percent U3O8 over 8 metres, and in 1993 the Ken Pen Zone was discovered when drill hole CB-032 intersected 1.62 percent U3O8 over 43.0 metres.
 
No significant exploration or development occurred after 1997 until 2016 when UEX resumed exploration activities.
 
 
5.2.1.
PNC (1985 – 2000)
 
Exploration work competed by PNC on the Christie Lake Uranium Project comprised of ground and airborne geophysical surveys, core drilling, and soil and sediment sampling.
 
 
 
 
 
Initial exploration work comprised of ground geophysical surveys following the staking of Christie Lake Area B. Gravity and time domain electromagnetic (TDEM) surveys with fixed loop and stepwise moving loop configurations were initiated in 1986 with and completed in 1987.
 
Fixed loop TDEM with varying survey configurations comprised the primary ground geophysical method. Targeting the EM anomalies defined by the fixed loop survey, three drill holes were drilled in 1988. Over the subsequent nine years another 92 drill holes were drilled, supplemented by geochemical sampling programs (Table 3) and geophysical surveys (summarized in Table 4 and Table 5). Several attempts were made to use moving loop methods and electromagnetic soundings to refine the location of conductive responses in the subsurface. Other small or test surveys using very low frequency (VLF) and horizontal loop electromagnetic (HLEM) methods were also attempted, but not widely applied on the project due to the depth to the target.
 
Airborne frequency domain (HEM) and TDEM coupled with magnetic data surveys were completed in 1992. Lake sediment sampling was completed in 1987 and followed-up by a soil sampling program in 1988. Almost all the ground TDEM surveys at Christie Lake were performed with EM-37 or PROTEM equipment, manufactured by Geonics Limited of Toronto, Ontario. Grid preparation (Figure 4) activities are summarized in Table 4, including the details of other laboratory test work of drill hole samples.
 
Table 3: Sediment Sampling Results for the Christie Lake Project (1987)
Element
Max (ppm)
Target Association
Comments
Uranium
2.9
Northern Conductive Zone
Correlates with zinc, copper, and nickel with highest values spatially related to conductivity response in northwestern part of grid
Lead
28
Northern Conductive Zone
Highest values in northwest corner of grid
Zinc
143
Northern Conductive Zone
Highest values in northwest corner of grid
Copper
14
Northern Conductive Zone
Highest values in northwest corner of grid
Nickel
12
Southern Target
Highest values in south, other high values are clustered in the northern part of the grid
 
 
 
 
 
 
 
Table 4: Summary of Exploration Work Completed by PNC on the Christie Lake Uranium Project (1986-1997)
Type of Work
Year
Total
1986
1987
1988
1989
1990
1991
1992
1993
1994
1995
1996
1997
Airborne Geophysics (km)
 
 
 
 
 
 
 
 
 
 
 
 
 
EM/Magnetic (GEOTEM)
 
 
 
 
 
 
452.3
 
 
 
 
 
452.3
HEM (DIGHEM)
 
 
 
 
 
 
553.0
 
 
 
 
 
553.0
Ground Geophysics
 
 
 
 
 
 
 
 
 
 
 
 
 
HLEM
 
 
 
 
 
 
 
 
5.0
 
 
 
5.0
VLF
 
 
 
 
 
 
 
 
4.0
 
 
 
4.0
Gravity
40.0
 
 
 
 
 
 
 
 
 
 
 
40.0
EM-37 Fixed Loop
 
98.3
9.4
27.2
 
153.8
49.8
 
126.2
 
 
102.0
566.7
EM-37 Sounding / Moving Loop
 
8.0
3.6
11.6
 
 
 
 
1.0
 
 
 
24.2
EM-37 Stepwise Moving Loop
 
 
 
 
 
 
 
 
 
 
97.0
 
97.0
Downhole PEM (holes)
 
 
 
2
 
 
 
 
 
 
 
 
2
Geochemical Surveys (samples)
 
 
 
 
 
 
 
 
 
 
 
 
 
Soil
 
 
297
 
 
 
 
 
 
 
 
 
297
Lake Sediment
 
63
 
 
 
 
 
 
 
 
 
 
63
Core Samples
 
 
155
447
 
 
888
593
725
730
509
306
4,353
Diamond Drilling
 
 
 
 
 
 
 
 
 
 
 
 
 
Number of Holes
 
 
3
6
 
 
14
15
20
19
13
5
95
Meterage
 
 
1,503.3
3,166.9
 
 
6,666.0
6,651.0
9,407.0
10,022.0
6,825.0
2,796.0
47,037.2
Other Lab Work (samples)
 
 
 
 
 
 
 
 
 
 
 
 
 
XRD
 
 
 
9
 
 
39
23
6
24
28
 
129
Petrography
 
 
10
36
 
 
14
27
46
2
2
 
137
U-Pb Dating
 
 
 
1
 
 
 
 
 
 
 
 
1
Specific Gravity
 
 
 
 
 
 
371
113
200
 
 
 
684
Grid Preparation
 
 
 
 
 
 
 
 
 
 
 
 
 
Line cutting
 
77.8
22.0
31.0
 
88.3
28.6
 
94.2
 
68.4
51.2
461.5
Refurbishment
 
16.0
51.0
10.0
 
38.8
44.2
 
31.8
 
 
61.4
253.2
 
 
 
 
 
 
 
 
 
 
 
 
 
 
 
 
 
Table 5: Summary of Ground TDEM Surveys – 1986 to 1997
Year
Contractor
Equipment and Methodology
Loop Size (m)
Number of Loops
Centre of Loop Soundings
Station Interval (m)
Number of Components
Length of Profiles
Names or
Number of Conductors
Conductor
Attributes
1986
MPH
EM-37 Fixed Loop
400x800
11
10
100
2
75.0
B1, B2, B3, B4, B5, B6, +2
14 km strike length moderate to strong anomalies
1987
MPH
EM-37 Fixed Loop
400x800
3
3
100
2
13.3
B1, B2, +1
5.8 km total strike length moderate to strong anomalies
400x400
6
6
100
2
6.0
0
No anomalies
EM-37 Moving Loop
400x400
37
37
50
1
8.0
1
2.3 km strike length moderate to strong anomalies
1988
Quantec
EM-37 Fixed Loop
800x800
2
0
50
2
9.4
B3, B4
4.6 km total strike length weak anomalies
EM-37 Moving Loop
400x400
17
17
50
2
3.6
B5
Broad, shallow zone indicated
1989
Geoterrex
EM-37 Fixed Loop
400x800
4
0
50
2
27.2
B1, B2, AZ-1, AZ-2
7.4 km total strike length weak to moderate anomalies
800x1600
4
0
50
2
EM-37 Stepwise Moving Loop
400x400
7
7
50
1
11.6
0
Experimental survey only weak anomalies detected
1991
Geoterrex
EM-37 Fixed Loop
400x800
16
0
50
2
153.8
B1, B2-1, B2-2, B2-3, S, M1, M2, M3
6.9 km total strike length moderate to weak anomalies
700x1400
4
0
50
2
1992
Quantec
EM-37 Fixed Loop
400x800
5
0
50
2
49.8
Paul Bay, Ken Pen
2.5 km total strike length moderate anomalies
1994
Geoterrex
EM-37 Fixed Loop
800x1600
9
0
50
3
126.2
CB94-A, CB94-B, CB-94-C
8.2 km total strike length moderate anomalies
EM-37 Moving Loop
50x50
40
40
25
1
1.0
0
 
1996
Geoterrex
EM-37 Stepwise Moving Loop
800x800
24
24
50
3
97.0
CB94-A, CB94-B, +4
Reconnaissance only moderate anomalies
1997
Geoterrex
EM-37 Fixed Loop
800x1600
13
0
50
3
102.0
CB97-D, CB97-E, +6
17.3 km total strike length moderate to weak anomalies
 
 
 
 
 
 
Figure 4: Line-cutting and Grids on the Christie Lake Uranium Project by PNC (1986-1997)
Source: Shields, 1999
 
 
 
 
 
PNC Ground Geophysics (1986 – 1997)
The most effective EM survey for the Yalowega Trend was the 1994 fixed loop TDEM survey along the northwestern part of the property (Figure 5). The objective of the survey was to delineate possible northeast-striking conductors that were inferred from previous surveys along the Yalowega Trend (Iida et al., 2000a). Geoterrex performed 126.2 kilometres of measurements using a Geonics EM-37 system with 9 loops measuring 800 by 1,600 metres (Table 5). Three fairly coherent but weak conductors were detected. Conductors CB94-A and CB94-B strike in a northeast direction for more than 2 kilometres each. Conductor CB94-C appeared to strike in a northeast direction for about 3 kilometres and is associated with the general trend of the mineralization. Discrepancies in anomaly locations between opposing loops in the 1994 survey were minimal.
 
Prior to 1994, fixed and moving loop surveys were performed at orientations not optimal to correctly resolve the conductivity associated with the Yalowega Trend. A complete description of all surveys conducted between 1986 and 2000 is available in the 2016 technical report on the Christie Lake Project (Perkins et al, 2017).
 
The conductors in the southeastern part of the project were defined during the 1997 fixed loop TDEM survey (Figure 6). The main objective was to define the strike extent of the anomalies detected in the central and southern parts of the property during the 1996 stepwise moving loop TDEM survey (Tsuruta and Shields, 2000). Another objective was to extend conductor CB94-C detected in 1994 to the southwest of the Paul Bay Zone (Iida et al., 2000a). Geoterrex performed 102.0 kilometres of measurements using 13 loops measuring 800 by 1,600 metres (Table 5). Two Protem-37D (digital) systems with 3-D receiver coils and a Geonics EM-37, 2.5-kilowatt transmitter were used for the survey. Only weak anomalies defined a vague trend that may have extended conductor CB94-C. However, two new conductor axes were defined in the south-central part of the property.
 
Conductor CB97-D was detected on all lines from 28+00N to 64+00N and was estimated to be at least 4.0 kilometres long. This appeared to confirm and delineate the conductors detected with the stepwise moving loop lines 32+00N and 52+00N surveyed in 1996. Conductor CB97-D appeared to be open to the northeast. An extension to the southwest may have been detected by loops 97K and 97L. Conductor CB97-E was detected with loop 97M and was estimated to be about 1.2 kilometres long. Several other smaller and weaker trends were also detected, many of which appear to confirm other 1996 anomalies.
 
Between 1987 and 1997 eight ground TDEM surveys of various configurations were completed over the Christie Lake Project. A compilation of all the conductors interpreted from every survey is presented in Figure 7. Although potentially complex, this swarm of conductive responses is useful as it delineates the prospective conductive corridors on the project and suggests the that the southerly northeast-southwest trend is also worthy of an assessment for uranium mineralization.
 
 
 
 
 
 
Figure 5: TDEM Surveys and Grid on the Christie Lake Uranium Project by PNC (1994)
Source: Shields, 1999
 
 
 
 
 
Figure 6: TDEM Survey and Grid on the Christie Lake Uranium Project by PNC (1997)
Source: Shields, 1999
 
 
 
 
 
Figure 7: Compilation of 1986-1997 TDEM Conductors on the Christie Lake Uranium Project Conducted by PNC
Source: Shields, 1999
 
 
 
 
 
PNC Airborne Geophysics (1992)
Airborne GEOTEM TDEM and total magnetic field surveys at Christie Lake Area B were flown in 1992 by Geoterrex Ltd. of Ottawa, Ontario for a total of 452 kilometres (Shields, 1999). Line spacing was either 200 or 400 metres, covering the whole property. The surveys were performed to delineate conductors and structures and to map alteration and lithology.
 
The poor decays represented by the GEOTEM TDEM channels were influenced by conductive overburden. This resulted in the failure of attempts to generate channel ratio or time constant maps. The instrumentation was thought to be approaching its maximum depth of investigation in this area. However, some useful information appeared to be present in the early channels. Several conductors were indicated by the early channel, EM2 data (Figure 8). The conductors were believed to be graphite in the basement. However, other sources such as shallower and possibly related structure and/or alteration in the sandstone also seemed possible.
 
Areas of high vertical magnetic gradient in the northwest and southeast parts of the property were interpreted to represent granitic basement rock. Areas of low vertical magnetic gradient were interpreted to represent metasedimentary basement rock. However, an inverse correlation between the radar altimeter and total magnetic field data indicated the possibility of magnetically susceptible overburden in this area. Therefore, even a moderate vertical magnetic gradient was thought to represent metasedimentary basement rock.
 
A total of 553 kilometres of airborne frequency domain electromagnetic (FDEM), very low frequency electromagnetic (VLF EM) and total magnetic field surveys were flown in 1992 at Christie Lake by DIGHEM of Toronto, Ontario (Shields, 1999). The DIGHEM survey consisted of 100-metre spaced lines that covered the western two thirds of the property (Figure 9 and Figure 10). The airborne surveys were performed to delineate structures and to map alteration and lithology.
 
Conductive overburden was indicated in many places by the DIGHEM 7200 hertz apparent resistivity data. This pattern was consistent with the on-time channel EM20 data collected with the GEOTEM survey. Similarly, only clay-rich lake sediments and overburden appeared to be outlined. The DIGHEM resistivity data revealed more detail than the GEOTEM on time data, possibly due to the closer line spacing and the higher frequency employed. However, neither of these data sets appeared able to delineate discrete basement conductors or structures in the sandstone.
 
The VLF EM total field data had anomalies that generally appeared to correlate with lakes, but some in the western and northwestern parts of the property also correlated with ground TDEM conductors. The calculated skin depth of the VLF method, given a ground resistivity of approximately 1,000 ohm-metres, was also only about 100 metres. If somewhat shallow, VLF anomalies correlated with presumably very deep basement conductors, then a probable association with structure and alteration in the intervening sandstone was speculated. As with the other EM data, a review of previous drill hole data was suggested to confirm this association before a more detailed interpretation of the VLF data took place.
 
 
 
 
 
Figure 8: Channel EM2, GEOTEM Survey on the Christie Lake Uranium Project by PNC (1982)
Source: Shields 1999
 
 
 
 
Figure 9: Vertical Magnetic Gradient, DIGHEM Survey on the Christie Lake Uranium Project by PNC (1992)
Source: Shields, 1999 
 
 
 

Figure 10: 7200 Hertz Apparent Resistivity, DIGHEM Survey on the Christie Lake Uranium Project by PNC (1992)
Source: Shields, 1999
 
 
 
 
Sediment Sampling (1987)
A total of 67 organic rich lake sediment samples were taken from claims CBS 6163, CBS 7610, and CBS 8027 during March 1987. Samples were collected with a Hornbrook sampler through holes drilled in the ice with a motorized ice auger. Sample density ranged from one sample over 0.3 square kilometres throughout the three claim blocks to one sample over 0.02 square kilometres for a detailed survey in a lake lying over the northern conductive zone. The total of 67 samples includes 4 split duplicate samples.
 
Analysis of lake sediment samples indicated anomalism in the northwest corner of the sample grid at the northern tip of Yalowega Lake, generally associated with a northeast-southwest conductive trend.
 
Soil Sampling (1988)
As a follow-up to the sediment sampling in the winter of 1987, a small soil sampling program was undertaken in the northern part of the B1 and B2 conductor are on claims CBS 6163, CBS 7610, and CBS 8027. A total of 297 samples were taken at 100-metre stations on lines spaced 200 to 800 metres apart. All samples were analyzed for copper, lead, zinc, nickel and uranium. Assay results up to 2.9 ppm uranium were obtained but the program was generally unsuccessful in delineating any trends consistent with the lake sediment anomalies and conductive trends identified earlier that year.
 
Core Drilling (Pre-1997)
Historical drilling completed by PNC in the area of the Christie Lake property is tabulated inTable 6.
 
A total of 96 drill holes totalling 47,519 metres were drilled, 95 by PNC and one by the Saskatchewan Mining Development Corporation (SMDC), a provincial crown corporation and predecessor company to Cameco Corporation, between 1988 and 1997. Of these, 75 holes were drilled to test the mineralization-associated with the CB94-C conductor. The hole collared by SMDC (MAC-189) targeted the southern conductor to evaluate the prospective nature of this trend.
 Table 6: Summary of Drilling on the Christie Lake Uranium Project
Zone
 
SMDC/PNC
PNC
UEX
Total
 
1988
1989
1992
1993
1994
1995
1996
1997
2016
2017
2018
Paul Bay
No.
-
4
13
4
-
1
1
3
20
6
-
 
metres
-
2,154
6,160
1,555
-
503
611
1,752
10,769
2,445
-
 
Ken Pen
No.
-
-
-
9
2
1
1
1
12
3
-
 
metres
-
-
-
4,156
1,046
506
521
552
3,674
1,284
-
 
Ōrora
No.
-
-
-
-
-
-
-
-
-
29
1
 
metres
-
-
-
-
-
-
-
-
-
9,022
507
 
Regional Targets
No.
4
2
1
2
18
17
11
1
-
-
10
 
metres
1,983
1,013
506
940
8,365
9,012
5,693
492
-
-
5,365
 
Total
No.
4
6
14
15
20
19
13
5
32
38
11
177
metres
1,983
3,167
6,666
6,651
9,411
10,020
6,825
2,796
14,443
12,751
5,872
80,585
No. = Number of drill holes
 
 
 
 
 
 
 
 
 
 
 
 
 
 
 
 
 
 
 
 
 
 
 
Figure 11: Map Showing the Distribution of Drilling on the Christie Lake Uranium Project
 
The discovery hole for uranium mineralization on the Christie Lake Project was at the Paul Bay Zone in 1989 when drill hole CB-04 intersected 9.38 percent U3O8 over 8.0 metres at 488.0 metres, approximately 70 metres below the unconformity in graphite enriched metasedimentary rocks. Drilling resumed in 1992 and identified a 1.8-kilometre-long north-easterly trend with anomalous uranium coincident with the CB94-C conductor, now known as the Yalowega Trend. Mineralization was identified along this trend within two mineralized zones separated by 260 metres, the Paul Bay and Ken Pen zones. The depth of the unconformity intersected in these holes along the Yalowega Trend is approximately 420 metres.
 
 
 
 
Significant basement-hosted uranium mineralization was also intersected along strike and northeast of the Ken Pen Zone in the Shoreline, Otter Creek, and East End Lake areas. These holes are indicated in Table 7.
 
Table 7: Notable Core Intersections on the Christie Lake Uranium Project (PNC 1989-1997)
 
Drill hole ID
 
Zone
 
Mineralization Type
 
From*
 
To*
 
Length*
 
U3O8%
Higher Grade Intervals Within Lower Grade Intersections
From*
To*
Length*
U3O8%
CB-004
Paul Bay
Basement
488.00
496.00
8.00
9.38
 
 
 
 
CB-007
Paul Bay
Basement
466.00
467.50
1.50
1.46
 
 
 
 
CB-010
Paul Bay
Basement
541.40
560.30
18.90
2.50
544.20
553.40
9.20
4.40
551.20
553.40
2.20
8.70
CB-015
Paul Bay
Basement
548.40
560.40
12.00
0.25
555.90
556.70
0.80
1.90
CB-017
Paul Bay
Basement
520.20
520.80
0.60
4.10
 
 
 
 
538.10
547.50
9.40
1.80
539.30
545.80
6.50
2.50
540.80
541.30
0.50
24.60
CB-018
Paul Bay
Basement
526.00
542.00
16.00
0.24
 
 
 
 
566.10
571.80
5.70
0.70
569.30
570.20
0.90
2.30
571.30
571.80
0.50
1.60
CB-019
Paul Bay
Basement
471.50
480.40
8.90
0.20
 
 
 
 
CB-020
Paul Bay
Basement
423.90
430.90
7.00
1.40
428.50
428.80
0.30
14.00
442.50
444.50
2.00
4.82
 
 
 
 
CB-024
Ken Pen
Basement
444.50
448.00
3.50
0.19
 
 
 
 
476.00
482.00
6.00
0.29
489.00
491.00
20.00
0.76
CB-028
Paul Bay
Basement
520.00
535.50
15.50
0.95
528.50
534.50
60.00
2.27
532.50
533.00
0.50
23.70
CB-032
Ken Pen
Unconformity
436.50
440.00
3.50
1.41
 
 
 
 
Ken Pen
Basement
445.00
446.50
1.50
7.81
 
 
 
 
470.50
479.50
9.00
4.41
472.50
478.00
5.50
7.08
CB-038
Shoreline
Basement
439.50
441.50
2.00
0.78
 
 
 
 
CB-048
 
Basement
465.00
466.00
1.00
0.25
 
 
 
 
CB-049
 
Basement
428.60
431.50
2.90
1.05
428.90
429.30
0.40
5.88
CB-050
Otter Creek
Unconformity
413.00
422.00
9.00
0.25
420.20
420.30
0.10
10.08
Otter Creek
Basement
432.50
445.00
12.50
0.96
438.40
445.00
6.60
1.70
440.50
441.75
1.25
5.94
CB-060
Otter Creek
Basement
422.75
423.75
1.00
0.51
 
 
 
 
428.00
428.75
0.75
2.07
 
 
 
 
CB-067
East End
Basement
456.50
457.00
0.50
0.39
 
 
 
 
CB-078
Otter Creek
Basement
474.60
476.00
1.40
0.22
 
 
 
 
CB-081
Otter Creek
Basement
480.00
480.75
0.75
0.56
 
 
 
 
482.0
484.00
2.00
0.31
 
 
 
 
CB-086
Paul Bay
Basement
545.80
555.00
1.80
2.87
553.20
555.00
1.80
2.87
CB-088
Paul Bay
Basement
550.30
551.70
1.40
0.40
 
 
 
 
* Metres
 
 Several drill holes in the Northwest Area on conductors CB94-A and CB94-B have encountered uranium mineralization and have not been adequately followed-up. The best hole in the area is CB-048 that grades 0.25 percent U3O8, 2.05 percent cobalt, and 2.32 percent nickel over 1.5 metres in faulted graphitic pelite. In hole CB-068, anomalous radioactivity of 0.02 percent U3O8 over 1.6 metres was intersected above the unconformity at 455.3 metres, and 0.07 percent U3O8 over 0.5 metres in graphitic basement rocks at 529.2 metres. Due to core loss, these values could not be confirmed with chemical assays. The graphitic units were not encountered in several holes to explain the targeted conductors. Notable uranium intersections in core from 1989 to 1997 are summarized in Table 7.
 
 
 
 
No diamond drilling was completed on the Christie Lake Project between 1997 and 2016.
 
 
5.2.2.
JCU (2000 – 2016)
 
JCU did not perform any exploration activity in the period 2000 to 2016.
 
 
5.3.
Historical Mineral Resource Estimates
 
Historical mineral resource estimates presented in this section are superseded by the mineral resource estimate discussed herein. The information presented in this section is relevant to provide historical context but should not be relied upon.
 
The only prior mineral resource estimate complete on the Christie Lake property is dated September 12, 1997. This estimate did not use mineral resource classifications consistent with NI 43-101. This historical mineral resource estimate considered the Paul Bay and Ken Pen deposits, based on 23 drill holes and was originally documented in an internal PNC report titled Christie Lake Project, Geological Resource Estimate completed by the Resource Analysis Group, PNC Tono Geoscience Center (Resource Analysis Group, 1997), and was referenced in the UEX Corporation Christie Lake Project Technical Report NI 43-101, dated March 28, 2017. UEX did not consider or treat the historic estimate as an accurate representation of the mineral resources or mineral reserves of the Christie Lake deposits.
 
As shown in Table 8, the historical mineral resource estimates were reported at a cut-off grade of 0.30 percent U3O8, did not include the Ōrora deposit, and presented much higher grades and lower tonnages than that reporting in this technical report for the Paul Bay and Ken Pen deposits.
 
Table 8: Christie Lake Project Historical Mineral Resource Estimate, PNC, 1997
Deposit
Cut-Off Grade
 
Tonnage
 
Grade
Contained
Metal
(% U3O8)
(000s)
(% U3O8)
(Mlb U3O8)
Paul Bay
0.30
231.30
3.06
15.60
Ken Pen
0.30
62.96
3.80
5.27
Total
0.30
294.25
3.22
20.87
 
 
5.4.
Historical Production
 
There has not been any historical uranium production from the Christie Lake Project.
 
 
 
 
 Geological Setting and Mineralization
 
 
6.1.
Regional Geology
 
The Christie Lake Project is located in the south-eastern Athabasca Basin (Figure 12), underlain by late Paleoproterozoic Manitou Falls Group sandstone, conglomerate and mudstone. The Athabasca Basin is a broad elliptically-shaped intra-cratonic basin that is approximately 425 kilometres-long in an east-west direction and 225 kilometres-long in the north-south direction.
 
Unconsolidated Quaternary glacial and periglacial deposits, consisting of ground moraine, esker, drumlin, outwash, aeolian and lacustrine sediments, effectively mask most of the bedrock in the area and can form a cover up to 90 metres thick.
 
The shallowly dipping sandstones of the Athabasca Basin lies unconformably upon Archean granitic gneiss and early Paleoproterozoic metasedimentary gneiss rocks of the Wollaston Domain. The Wollaston Domain is a north-northeast-trending succession of tight to isoclinal folded early Paleoproterozoic metasedimentary rocks of the Wollaston Supergroup along the eastern margin of the Hearne Province. The project lies within the western part of the Wollaston Domain, which is part of the Cree Lake Mobile Zone of the Trans-Hudson Orogen.
 
The Wollaston Domain lies unconformably above the Archean gneisses of the Peter Lake Domain in the northeast part of the Province, and farther south the Wollaston is bounded on the east by the Needle Falls Shear Zone, a dextral, late Paleoproterozoic fault system that marks the boundary between the Wollaston Domain and the Wathaman Batholith. The Wollaston Domain is bounded to the west by the Mudjatik Domain, marked by the transitional change to open dome and basin folding where peneplained domes of Archean gneiss are separated by keels of metasedimentary and metavolcanic rocks. The western boundary of the Mudjatik Domain is the Cable Bay Shear Zone and the rocks of the Virgin River Domain to the west. Hudsonian or earlier and post-Athabasca tectonic events have resulted in structural disruptions in the Athabasca Group and Wollaston Group stratigraphy.
 
 
6.2.
Property Geology
 
The Paul Bay, Ken Pen and Ōrora Deposits are located in the northeastern part of the property in mineral disposition CBS-8027. The local geological setting of the property is shown in Figure 13.
 
The Paleoproterozoic Manitou Falls Formation underlying the Christie Lake Project in turn unconformably overlie Paleoproterozoic metasedimentary gneiss and Archean granitic gneiss of the Hearne Province. The project lies within the western part of the Wollaston Domain, which is part of the Cree Lake Mobile Zone of the Trans-Hudson Orogen.
 
The northwest part of the project area is cut by the Yalowega Trend Fault, interpreted as an extension of the P2 Fault that hosts the uranium deposits at the McArthur River Mine (Figure 12). This fault is rooted in the basement rocks and extends up into the sandstone. Extensive, unconsolidated Quaternary glacial and periglacial deposits, consisting of ground moraine, esker, outwash, aeolian and lacustrine sediments, effectively mask most of the bedrock in the area and can form a cover up to 90 metres thick.
 
 
 
 
Figure 12: Regional Geology Setting of the Christie Lake Uranium Project
 
 
 
 
Figure 13: Local Geology Setting of the Christie Lake Uranium Project
 
 
 
 
 
 
 
6.2.1.
Athabasca Group
 
In the eastern part of the basin, where the Christie Lake Project is located, the Athabasca Group is represented by the Manitou Falls Formation and is an approximately 400-metre-thick sequence of quartz arenite sandstone with minor conglomerate beds and trace mudstone beds. In the region this formation can be divided into four major units, as described by Bernier et al. (2001):
 
 
MFa is the basal unit comprised of interbedded conglomerate and sandstone characterized by localized red mudstone layers and massive laminated sandstones.
 
MFb is conglomerate-rich dominated by thick conglomerate beds with pebbly sandstone interbeds.
 
MFc is a relatively thin medium- to coarse-grained sandstone with sparse interclasts.
 
MFd is mostly fine- to coarse-grained sandstone with white mudstone and siltstone interclasts.
 
The Athabasca Group unconformably overlies the Paleoproterozoic metasedimentary gneiss and Archean granite gneiss of the Wollaston Domain. The depth of the unconformity between the basement rocks (metasedimentary assemblage or Archean granite) and overlying Athabasca Group is approximately 400 to 445 metres below surface, or between 65 to 110 metres above sea level.
 
 
6.2.2.
Wollaston Group
 
The Wollaston Domain is a northeast-trending fold thrust belt composed of remobilized Archean basement and overlying Paleoproterozoic supracrustal sequences of the Wollaston Supergroup. The Wollaston Supergroup metasedimentary rocks are located along the Yalowega Trend within the Christie Lake Project area and are subdivided into an “Upper Unit” and “Lower Unit”.
 
The Upper Unit is mostly semi-pelite paleosome with intervals of pegmatite textured neosome. The Lower Unit is more quartz-rich composed mainly of psammite and quartzo-feldspathic gneiss. The base of the Upper Unit is characterized by an interval of graphitic pelite, often faulted, that is spatially related to uranium mineralization. This graphitic pelite overlies a quartzite horizon of up to 38 metres-thick, marking the top of the Lower Unit.
 
 
6.2.3.
Structural Geology
 
Post-Athabasca reactivated fault zones within the project area have a northeast-, north-, and northwest trend. These events commonly exploit Hudsonian or earlier structures and are accompanied by hydrothermal alteration and associated uranium mineralization in both the Athabasca sandstone and basement rocks. Primary targets for uranium mineralization are faulted graphitic zones in the metasedimentary basement that have been subjected to post-Athabasca reactivation, as well as in structurally disrupted sandstone and along the unconformity. Structural reactivation allowed for channeling of significant volumes of oxidized uraniferous fluids through a reduced environment, especially along, and proximal to packages of graphitic pelitic rocks. This allowed for the deposition of uranium at an oxidization-reduction front.
 
 
 
 
 
 
6.3.
Mineralization
 
Uranium mineralization in the Athabasca Basin is generally of Helikian age. Geochronological studies have determined that most deposits were formed in a time interval between 1,330 and 1,380 million years (Ma) (Cumming and Krstic, 1992), and as early as 1,590 Ma at the Millennium Deposit (Cloutier et al, 2009) and 1,521 Ma at the McArthur River Mine (Cameco Corporation, 2012) with ages of remobilization near 1,350 Ma. Uranium deposits generally occur at the unconformity between the lowermost Athabasca Group and the underlying crystalline basement rocks and are commonly localized to the intersection of faults and the unconformity, or at a paleotopographic basement ridge.
 
Uranium mineralization discovered at the Christie Lake Project to date occurs in three zones; the Paul Bay Zone, Ken Pen Zone and Ōrora Zone. These zones have a north-easterly trend that is coincident with the geophysically defined CB94-C conductor. The top of the mineralized zones is approximately 420 metres below surface. Uranium mineralization at the Paul Bay, Ken Pen and Ōrora zones are fault or fracture-controlled to disseminated and is monomineralic (Figure 14).
 
Paul Bay Zone
The Paul Bay Zone is an 80-metre-long mineralized body that plunges for at least 200 metres to the southwest from the unconformity and follows the dip of the faulted Lower Wollaston Domain graphitic metasedimentary rocks. Interpreted cross-sections across the Paul Bay Zone are provided in Appendix A. The mineralization is concordant with the basement foliation striking 030 degrees with a dip of 46 degrees and plunges in a south-to-southeast direction with a rake of 110 to 120 degrees. The true thicknesses of the mineralized intervals range from 5 to 11 metres.
 
Mineralization at Paul Bay is hosted within faulted pelitic gneiss that forms the base of the hanging wall sequence of the Wollaston Group metasedimentary rocks. This fault zone is typically up to 40 metres thick, within or below a graphitic pelitic gneiss. The hanging wall sequence is a mix of non-graphitic and graphitic pelite and semi-pelite paleosome, and discontinuous intervals of pegmatite and granite textured neosome with a generally granitic composition. The footwall sequence of rocks at Paul Bay are quartz-rich to quartz-flooded semi-pelite to psammite gneiss and pegmatite-textured neosome. Quartzite, where present, is always below the mineralization.
 
The mineralized zone is characterized by intense fracturing and brecciation and has a bleached argillic alteration halo extending up to 35 metres above the mineralization. The best mineralization discovered to-date at Paul Bay, is in hole CB-004 with 9.61 percent U3O8 over 8.5 metres. Holes CB-092 averaged 8.07 percent U3O8 over 11.3 metres and CB-093 averaged 8.65 percent U3O8 over 9.4 metres.
 
The high-grade lens occurs within a wide lower-grade halo as a semi-massive to massive uraninite hydrothermal breccia replacing the host semi-pelitic to pelitic gneiss. The mineralization does not extend into the quartz-rich footwall rocks and the associated alteration grades weaker with depth.
 
 
 
 
 
 
Figure 14: Uranium Mineralization in NQ Core at the Christie Lake Uranium Project
A: High grade massive uranium mineralization (drill hole CB-109)
B: Uranium mineralization occurring as tiny stockwork veins in a clay matrix (drill hole CB-111A)
C: Uraninite/pitchblende clast in an argillized clay matrix (drill hole CB-109)
 
 
 
 
Ken Pen Zone
The Ken Pen Zone is approximately 260 metres to the northeast from the Paul Bay Zone, striking in a northeast direction concordant with the Yalowega Trend Fault. Interpreted cross-sections of the Ken Pen Zone are provided in Appendix A. Ken Pen has a shorter down-dip extension compared to the 200-metre plunge length of the Paul Bay Zone.
 
The lithologies at Ken Pen are similar to those at Paul Bay. The basement is a semi-pelitic to pelitic gneiss and pegmatite textured anatexite which overlies faulted graphitic pelite and semi-pelite gneiss above the quartz-rich lithologies with intervals of psammite and quartzite. The main fault zone is characterized by breccias, fault gouge, and fracturing focused within and below the graphitic units.
 
The main fault zone is breccia, gouge, and fracturing that are focused within and below the graphitic units. At the Ken Pen Zone, the fault is widely distributed, and the faulted graphitic rocks are above the base of the fault and where the best basement-hosted uranium mineralization is found, spatially separated from the graphitic rocks. The fault divides the hanging wall semi-pelitic gneisses from the more quartz-rich footwall lithologies.
 
Uranium mineralization is associated with the unconformity in the southern part of Ken Pen and more basement-hosted in the north. The unconformity lens and basement mineralization lens diverge along strike to the northeast from CB-100A. The plunge of the basement mineralization is parallel to the foliation and controlled by the Yalowega Fault. The rake of the uranium mineralization on the fault is 110 to 120 degrees, which is the same orientation at the Paul Bay Zone. Bleaching and argillic alteration form a halo around the associated uranium mineralization. Hydrothermal hematite alteration is associated with unconformity mineralization and less so with the basement-hosted mineralization. Uranium mineralization associated with the breccia in the lower part of the fault sequence can occur up to 40 metres below the graphitic unit.
 
Ōrora Zone
The Ōrora Zone is located approximately 360 metres northeast of the Ken Pen Zone. Ōrora uranium mineralization is unconformity-related and occurs approximately 420 metres below surface and can extend up to 40 metres into the basement rocks along the Yalowega Fault. Interpreted cross-sections of Ōrora are provided in Appendix A.
 
The lithologies at Ōrora are the same as at Paul Bay and Ken Pen; pelite and semi-pelite with pegmatite-textured neosome in the hanging wall of the graphitic pelite. The rocks in the immediate footwall of the graphitic pelite are generally pelitic with minor bands of amphibolite and calc-pelite. Narrow intersections up to a few metres wide of quartzite occur below the basement hosted mineralization.
 
The main control on uranium mineralization at Ōrora is the unconformity subcrop of the lower boundary of the Yalowega Trend Fault and is coincident with or below the graphitic pelite. Uranium mineralization is associated with intense argillic alteration of the lower sandstone and basement rocks. High-grade uranium mineralization within Ōrora is controlled by north-south fabrics developed within the fault. The high-grade core of Ōrora is developed along approximately 75 metres of strike between grid lines L68+00N and L67+25N. The Yalowega Trend Fault is approximately 12 to 36 metres wide at Ōrora and movement along the fault is commonly distributed over multiple slip planes.
 
 
 
 
 
The best uranium mineralization at Ōrora is associated with breccias in the lower part of the Yalowega Trend Fault Zone. Intense argillization and bleaching that overprints paleo-weathering forms a halo about Ōrora. Uranium mineralization at the unconformity in the basement is commonly found as fracture coatings, replacement of breccia matrix and clasts, replacement along foliation planes outboard of fractures, gouges and breccias, and disseminations within strongly clay altered basement rocks. Secondary hematite commonly stains the clay minerals a deep orangish-red.
 
 
6.4.
Alteration
 
Alteration haloes associated with mineralized zones at Christie Lake are typical of Athabasca Basin uranium deposits and are dominated by silicification, hematization, precipitation of drusy quartz and illitization with massive quartz dissolution and intense fracturing. In the basement rocks the alteration typically consists of hydrothermal illitization, chloritization and the development of dravite, which are superimposed upon and commonly obliterates the paleoweathering profile.
 
In sandstone, the alteration is dominated by silicification which occurs as drusy quartz most commonly observed distal from the mineralized zones and controlling faults. Argillization in the form of illite and chlorite occurs closer to uranium mineralization and can be strong enough to obscure the host rock protolith. Strong hematization is often coincident with uranium mineralization and occurs as blebby replacement of minerals in strongly clay altered rocks. Quartz dissolution is found throughout mineralized intervals and can be intense immediately above uranium mineralization in fractured sandstone. Sandstone just above the unconformity is generally structurally disrupted, clay enriched (kaolinite, illite, and sudoite) and locally uranium anomalous. The elements lead, nickel, cobalt, vanadium, molybdenum, bismuth and gold are anomalous within mineralized areas, particularly with the Ken Pen Zone and Ōrora Zone, which have unconformity associated uranium mineralization. In the basement, hydrothermal alteration can include strong hematization, limonitization, chloritization, illitization, and dravite which can obscure the textures and mineralogy of the protolith.
 
 
 
 
 

 
Deposit
 Types
 
Uranium mineralization at the Christie Lake Project are representative of both unconformity-type and basement-hosted deposits. Uranium mineralization in the Athabasca Basin is generally of Helikian age. Geochronological studies have determined that most deposits were formed in a time interval between 1,330 and 1,380 Ma (Cumming and Krstic, 1992), and as early as 1,590 Ma at the Millennium Deposit (Cloutier et al, 2009) and 1,521 Ma at the McArthur River Mine (Cameco Corporation, 2012) that have ages of remobilization near 1,350 Ma.
 
Athabasca Basin uranium deposits generally occur at the unconformity between the lowermost Athabasca Group and the underlying crystalline Aphebian Wollaston Group metasedimentary basement rocks. Mineralization is commonly localized to the intersection of major faults and the unconformity, or at a paleotopographic basement ridge (Figure 15).
 
Alteration haloes surrounding the deposits are typically dominated by silicification, hematization, precipitation of drusy quartz and argillization (illitization and chloritization), as well as massive quartz dissolution and intense fracturing. In the basement, hydrothermal alteration consists of illitization, chloritization and the development of dravite, which is superimposed upon and commonly obliterates the previous retrograde and regolithic alterations.
 
Uranium mineralization is formed as uraninite/pitchblende, often as semi-massive to massive replacement and/or with hydrothermal/chemical breccias within the matrix (Figure 14). Uranium mineralization is often associated with and proximal to brittle graphitic fault structures, which provide a pathway for uranium-bearing fluids. Within the basin, uranium mineralization can be located above, at, and below the unconformity.
 
Figure 15: Unconformity Related Deposit Models
Source: Jefferson et al., 2007
 
 
 
 
Two main end-members of unconformity-related deposits are both structurally controlled. The following two end-members depend on the location of oxidized basinal fluids and reduced basement fluids mixing (Jefferson et al., 2007; Figure 15):
 
 
1.
Polymetallic, Egress style mineralization: Typically hosted by sandstone, in which fluid mixing has occurred at or above the unconformity. Often this style of mineralization is coincident with mineralization that is perched above the unconformity along steeply dipping faults, which can display a paleotopographic ridge of basement rock. Egress style mineralization is often polymetallic, and the uranium is associated with a number of accessory elements that include nickel, cobalt, copper, molybdenum, zinc, lead and arsenic.
 
2.
Monometallic, Ingress style mineralization: Typically, basement hosted (but can be seen within sandstone), in which fluid mixing occurred below the unconformity. This type of mineralization is often controlled by reverse faulting. Monometallic mineralization is defined by nearly exclusive uranium precipitation.
 
The Paul Bay, Ken Pen and Ōrora zones have characteristics indicative of unconformity and basement-hosted deposits. All three locations of mineralization (at, above and below the unconformity) are observed at the Christie Lake Project.
 
 
 
 
 
 
 
Exploration
 
 
In the mid-1980 under PNC’s operatorship, the Christie Lake Project was comprised of three geographically separate project areas within the southeastern Athabasca termed areas A, B, and C. Area B was staked in 1985 and 1986 comprised of three claims; CBS 6163, CBS 7610, and CBS 8027 that covered the area of the current day Christie Lake Project. With the discovery of Paul Bay at Yalowega Lake in 1989, three additional claims were added (S-101720, S-101721, and S-101722), completing the current mineral claims that comprise the Christie Lake Project.
 
A summary of exploration activity conducted by UEX on the Christie Lake Project is presented in this section of this technical report. Historical exploration work conducted prior to 2016 is described in Section 5, and a more detailed discussion on exploration activity on the Christie Lake property is documented in the previous exploration-focussed technical report (UEX, 2017).
 
 
8.1.
UEX (2016 – 2021)
 
Exploration work conducted by UEX has included Direct Current (DC) Resistivity, Fixed Loop EM and Time Domain Electromagnetic (TDEM) geophysical surveys. Drilling conducted on the Project is described in detail in Section 9.
 
 
8.1.1.
DC Resistivity and EM Surveys (2019-2020)
 
In 2019, UEX completed a (DC) Resistivity survey over the majority of known conductive trends within the Christie Lake Uranium Project to help identify potential alteration and graphitic pelite at the unconformity.
 
UEX completed a Fixed Loop EM survey in 2020 over the A and B conductors and the northern portion of C conductor to refine the interpreted conductor in those areas.
 
The exploration potential of the Yalowega Trend is largely related to the unconformity subcrop of graphitic metasedimentary rocks that have been faulted by syn- and post-Athabasca sandstone deformation events. A proxy for this type of rock at the unconformity is the conductors that are inferred from various configurations of electromagnetic surveys. The P2 conductive trend north of the McArthur River Mine appears to extend onto the Christie Lake claims is largely untested beyond the area between the Paul Bay and Ōrora zones. This fertile trend is the most prospective on the property and is the focus of future exploration work. Other northeast-southwest conductive trends within the project area have not been tested by drilling.
 
Discovery Geophysics International Inc. conducted geophysical DC Resistivity during March 6 to July 17, 2019 (Figure 16). The survey consisted of 127.1 line-kilometres and was conducted using the DIAS32 Distributed Array Resistivity/IP System. The objectives of the resistivity survey were to map potential structures and alteration specifically focused for basement mineralization potential.
 
 
 
 
Figure 16: 2019 DC Resistivity Coverage
 
The resistivity survey was successful in mapping the lower sandstone and basement resistivity as well as indicating some crosscutting structures. In the Athabasca Basin with competent sandstone cover, mineralization is typically accompanied by a conductor and an alteration halo observed as a resistivity low in the lower sandstone. Alteration “chimneys” with associated basement resistivity lows were picked based on the lower sandstone resistivity bench and vetted by observation of the sections.
 
Along with the sections, only the relevant lower sandstone and basement resistivity benches were extracted from the inversion for display. The lower sandstone bench is from 50 to 100 m above the unconformity and the basement bench is from 100 to 150 m below the unconformity.
 
 
 
 
 
Other evidence for stronger alteration are the zones of stronger basement resistivity anomalies as along EM conductors. The deeper basement resistivity is enhanced when in contact with an upper low resistivity alteration feature.
 
Christie North
The unconformity ranges in depth from 390 to 490 metres in the Christie North grid area. A number of poorly to well-developed resistivity lows (“chimneys”) are observed in the lower sandstone resistivity bench in the Christie North area (Figure 17 and Figure 18).
 
The known ore zones display strong, generally well developed “chimneys”. There appear to be NS structures at approximately the SW edge (Paul Bay) and NE edge (Ōrora). These structures are also apparent in the recent EM interpretation. To the immediate east the chimneys are offset or change trends to follow the Paul Bay mineralized trend, but do not appear to continue west of line 5600.
To the west of the Ōrora mineralization, the ‘chimney’ trend is offset to the north in the vicinity of lines 6,600 & 6,800.
 
There are a number of weak outlier chimneys west of the mineralization from lines 5,400 to line 4,400.
 
There is a moderate to well-developed chimney along EM conductor “B”. the trend is from line 3,000 to 4,200, showing an offset in the vicinity of line 3,400. There is a weak mostly poorly developed “chimney” along EM conductor “A” from line 2,000 to line 3,400, with strong chimney developed directly on line 3,200.
 
Christie South
The unconformity ranges in depth from 400 to 500m in the Christie South grid area. A number of poorly to well-developed resistivity lows (“chimneys”) are observed in the lower sandstone resistivity bench in the Christie South area (Figure 19 and Figure 20).
 
Three sub-parallel chimney features are observed from line 0 to 1,200. The EM multiple conductors are not especially well resolved in this area by the Fixed Loop survey. The area may also be structurally disrupted.
 
The chimney along the main conductor 97-D (line 1,600 to line 4000) is poor to moderately developed and is shows the best character on lines 2,800 & 3,200.
 
To the east of line 4,000, the chimney is not well developed, although there are a couple of outliers on line 4,800 and 5,600. Both these areas seem to be associated with cross structures.
 
 
 
 
Figure 17: Christie North Resistivity Interpretation – Sandstone
 
Figure 18: Christie North Resistivity Interpretation - Basement
 
 
 
 
Figure 19: Christie South Resistivity Interpretation – Sandstone
 
Figure 20: Christie South Resistivity Interpretation – Basement
 
 
 
 
 
8.2.
TDEM Surveys (2020)
 
Additional ground geophysical TDEM surveys were completed in 2020 over the A and B trends and northern portion of the C trend conductors. Géophysique TMC completed the work between February 27 and March 30, 2020, involving five loops of 700 metres x 700 metres each. The program consisted of 33 lines of approximately 1,200 metres each (with one line read twice when changing loop) for a total of approximately 54.6 line-kilometres (Figure 21).
 
The objectives of the TDEM survey were to map conductors and other potential electromagnetic structures specifically focused on potential basement mineralization.
 
 
 
 
 
Figure 21: 2020 TDEM Coverage with Loops
 
Anomalies were numbered identically if they had the relatively same geophysical signature (i.e. strength, location, etc.). This naming convention was applied to indicate which conductors might be related to each other and simplify anomaly locations (Figure 22).
 
 
 
 
 
Diagram Description automatically generated
Figure 22: Anomaly Locations Plotted by Conductor Number
 
The 2020 TDEM survey was successful in identifying previously undetected anomalies as well as confirming the locations of historical conductors. Future TDEM programs should consider the following when completing programs in the future:
 
 
1.
As previously known, the conductors in the Athabasca Basin are very weak when compared to other commodities where TDEM surveys have proven to be a very successful exploration tool (ex. VMS). Due to lack of conductivity, the latest time channels are within the noise threshold of the sensors. Future programs should consider other sensors (such as SQUID systems) to determine if these systems with a higher signal to noise ratio can increase conductor location confidence and accuracy.
 
2.
Smaller, more well-designed loops were more effective in locating the secondary conductors which were previously unknown. Future surveys should consider smaller more dedicated loops than previous large loop surveys to assess for these types of conductors.
 
3.
The interpreted conductors have a variety of wavelengths as interpreted from the profiles. As longer wavelength anomalies will be from deeper seated responses, interpretation of these conductors should take wavelength and potential depth of the anomalous response into account.
 
 
 
 
8.3.
Exploration Targets
 
The exploration potential of the Yalowega Trend is largely related to the unconformity subcrop of graphitic metasedimentary rocks that have been faulted by syn- and post-Athabasca sandstone deformation events. A proxy for this type of rock at the unconformity is the conductors that are inferred from various configurations of electromagnetic surveys. The P2 conductive trend north of the McArthur River Mine appears to extend onto the Christie Lake claims is largely untested beyond the area between the Paul Bay and Ōrora zones. This fertile trend is the most prospective on the property and is the focus of future exploration work. Other northeast-southwest conductive trends within the project area have not been tested by drilling.
 
 
 
 
 
 
Drilling
 
 
Core drilling on the Christie Lake Project has been the principal method of exploration and delineation of uranium mineralization after initial geophysical surveys. One drillhole (479 metres) was drilled by SMDC in 1988 near the southern conductor trend. Between 1988 and 1997, PNC conducted multiple historical drilling campaigns totalling 95 drill holes (47,040 metres). PNC suspended exploration on the Christie Lake Project in 1997.
UEX resumed exploration drilling on the Christie Lake Project in 2016, which involved the completion of 104 drill holes (48,641 metres) between 2016 and 2021.
In total, 200 drill holes (96,160 metres) have been drilled on the Christie Lake Project. A tabulation of drilling by period and company up to December 2021 is given in Table 9 and shown in Figure 23.
A full summary of characteristics for all drilling on the Christie Lake Project since 1988 is presented in Appendix B.

Figure 23: Summary of Drilling Conducted on the Christie Lake Uranium Project (1988-2021)
 
 
 
 
Table 9: Summary of Drilling Conducted on the Christie Lake Uranium Project (1988-2021)
Operator
Period
Count
Length (m)
SMDC
1988
1
479
PNC
1986-1997
95
47,040
Subtotal Historical
 
96
47,519
UEX
2016
32
14,443
2017
38
16,074
2018
11
5,872
2019
14
8,234
2020
4
2,186
2021
5
1,834
Subtotal UEX
 
104
48,641
Total
 
200
96,160
 
 
 
9.1.
Drilling by UEX (2016 – 2021)
 
Diamond drilling performed by UEX from 2016 to 2021 comprises 48,641 metres in 104 drill holes and off-cut drill holes, of which 63 were completed to the unconformity. Many of the drill holes not completed to the UC were abandoned due to excess deviation of the hole’s azimuth or dip.
 
Drilling in 2016 targeted the Paul Bay and Ken Pen zones to confirm continuity of the high-grade mineralization in advance of a mineral resource estimate and explore the potential to expand the uranium resources of the two deposits.
 
Drilling in 2017 targeted the Shoreline and Otter Creek segments of the Yalowega Trend to the north of the Ken Pen Zone. The 2017 winter drill program was focused on following up on the high-grade intersection of CB-102 at Paul Bay, to test the down-dip extension of and the unconformity between Paul Bay and Ken Pen, and to explore the Yalowega Trend to the northeast of Ken Pen.
 
Drill hole CB-109 graded 11.5 percent U3O8 over 17.7 metres and was the discovery hole for Ōrora. Subsequent drilling in 2017 yielded more high-grade intersections and defined Ōrora along strike for approximately 230 metres and a width of up to 35 metres. The summer 2017 program focused on further delineating and extend the footprint of the newly discovered Ōrora Zone.
 
The winter 2018 program was six drillholes to target the Yalowega Trend Fault at the north end of Ōrora and along East End Lake. One hole was drilled to test for the northern extension of Ōrora on L68+25N (CB-129), targeting the unconformity subcrop of the Yalowega Fault up-dip from CB-111A. CB-129 intersected uranium mineralization that grades 0.19 percent U3O8 over 1.0 metres just below the unconformity and is coincident with the base of the Yalowega Trend Fault.
 
The summer 2018 drill program consisted of five drill holes focused on the Shoreline area between Ken Pen and Ōrora (360 metres strike-length) to test the prospective nature of the Yalowega Trend fault at the unconformity. Previous tests had encountered the fault in the basement with anomalous uranium intersections along the trend. Anomalous uranium mineralization was encountered in all drill holes with the best uranium grades occurring in CB-132 with 0.37 percent U3O8 over 11.2 metres at the unconformity.
 
 
 
 
 
Fourteen drillholes (8,234 metres) were completed in 2019 to test targets on the B-Trend and C-Tend Conductors. The B-Trend drilling was comprised of eight holes extending 1,600 metres along the target area between L31+00N and L47+00N. The best results included CB-141, which encountered uranium mineralization of 1.17 percent U3O8 over 1.9 metres (radiometric equivalents used due to poor core recovery of mineralization). Since subsequent follow-up drilling to the north and south of CB-141 did not encounter uranium mineralization, mineralization may be associated with discordant structure related to the 1991 conductor that is mapped in the vicinity of this drill hole. Six drill holes targeted the C-Trend conductor along strike of the deposit areas north and south of the deposits. The best results from this drilling were from drillholes CB-142, CB-143, and CB-145, which encountered broad intervals of elevated sandstone geochemistry associated with structure and alteration in the sandstone, including CB-145 that encountered a weighted average of 8.7 ppm Uranium (partial digestion) over the basal 123 metres of sandstone.
 
Four drillholes (2,186 metres) were completed in 2020 to evaluate the Ōrora North DC resistivity anomaly. This program confirmed the structure previously identified in 2019 with Drill holes CB-142, CB-143, and CB-145 as an east-west structure that was oblique to the strike of the Yalowega Trend C conductor. This structure was further tested with drill hole CB-152 where it intersected the northern extension of the Yalowega Fault north of the Ōrora Deposit. This test resulted in anomalous alteration, but no radioactivity. Further north on the Yalowega Trend two drill holes tested the 2020 conductor where it is coincident with a DC Resistivity anomaly and encountered anomalous clay alteration and sandstone uranium geochemistry coincident with a steeply south dipping east-west structure.
 
UEX completed a summer drill program in 2021 which comprised three drillholes (1,586 metres) including two pilot holes and one offcut. The primary objective of the pilot holes was to follow up the results of the 2020 drill program at Ōrora North to structurally investigate the control of anomalous uranium and alteration in the sandstone. Drillhole CB-124-1 was drill as an off-cut to drillhole CB-124, which encountered up to 181 ppm uranium in the basement, indicating potential mineralization in the basement trending north of Ōrora.
 
A summary of drilling completed at Ken Pen, Paul Bay and Ōrora are displayed in Figure 24.
 
 
 
 
 
Figure 24: Plan Map of Drilling on the Paul Bay, Ken Pen and Ōrora Zones, Christie Lake Uranium Project
 
 
 
 
 
9.2.
Drilling Procedures
 
 
9.2.1.
Historical Operators (Pre-1997)
 
No information exists regarding the drilling procedures, or the sampling methods and approaches employed by PNC on the Christie Lake Project. The core handling procedures at the drill site would have most likely followed industry standards for that time.
 
The casing was left in select drill holes upon completion. The recovered core from the surface drilling was placed into standard 1.5 metre-long, three-row NQ wooden core boxes. Wooden blocks were used to identify individual drill runs onto which the hole depth (in metres) is recorded. Drill core was stored at PNC’s Christie Lake Camp where basement metasediment intersections were stored in core racks and intersections of the overlying Athabasca Group sandstone were stored in cross-stacked piles.
 
In the summer of 2000, all mineralized intersections and select complete metasedimentary intersections were transferred to AREVA’s McLean Lake Mine site for secure long-term storage of radioactive core. In the spring of 2016, UEX personnel verified that a forest fire in 2008 destroyed the core racks and boxes containing the remaining unconformity and metasediment core at PNC’s Christie Lake Camp. The majority of the cross-piled Athabasca Group sandstone was unaffected and remains intact.
 
No drilling was completed on the Christie Lake Project during the period of 1998 to 2015.
 
 
9.2.2.
UEX (2016 – 2021)
 
Drilling was carried out by Team Drilling Limited of Saskatoon, Saskatchewan utilizing a single TD 1500 hydraulic rig and ancillary equipment. A drill rig from the 2018 summer drill campaign is illustrated in Figure 25.
 
Figure 25: Team Drilling Limited Drill Rig During the 2018 Summer Drilling Program
 
 
 
 
 
At the beginning of all holes that started from surface, the process involved reaming and securing HW casing into bedrock through the overburden with an HW casing shoe. Drilling through the upper Athabasca sandstone was carried out to an average of 200 metres using HQ rods (65-millimetre diameter) and a 4.0 metre core barrel. Once into the basement rock, drilling proceeded to the end of the hole with NQ rods (48-millimetre core diameter) and a 4.2-metre core barrel. Once completed, casing was left in the holes. From the summer 2017 program and beyond, all holes were cased with NW sized casing and drilled from top to bottom with NQ rods.
 
Standard steel wedges are also used to create an off-cut hole from any depth of an existing hole. This allows for closely spaced intersections of mineralized zones without having to drill multiple holes. To maintain control of the active drill hole deviation while drilling, drillers utilized standard steel and Clappison-style wedges. This involved placing an angled piece of steel inside the drill hole to deflect the drill bit in a certain direction specified by the geologist. Afterwards the steel was either left in the drill hole (standard wedge) or removed (Clappison wedge) and normal drilling resumed. From the winter 2017 program onward, a directional mud motor was used for added precision during directional drilling.
 
Recovered core was placed directly into standard 1.5 metre-long, three-row NQ wooden core boxes or standard 1.5 metre-long two-row HQ wooden core boxes. Wooden blocks were used to identify individual drill runs onto which hole the depth (in metres) is recorded. Core was delivered by Team Drilling personnel at the end of every shift and brought to a core handling facility at UEX’s Christie Lake Camp.
 
Drill core was logged by UEX personnel for geotechnical and geological information. Before the core is split for assay, it is photographed, measured for structures, surveyed with a scintillometer, and marked for sampling. Sample selection is guided by the observed geology, radiometric logs, and readings from a hand-held scintillometer. Information was input directly into Datamine’s DHLogger logging software and stored in the Datamine Fusion drill hole database software system.
 
All mineralized and non-mineralized holes within the Paul Bay Zone are cemented from approximately 25 metres below the mineralized zone to approximately 25 metres above the zone. All mineralized and non-mineralized holes within the Ken Pen and Ōrora zones are cemented for the entire basement column to approximately 25 metres above the unconformity.
 
Hand-Held Scintillometer
A hand-held scintillometer measures gamma radiation which is emitted during the natural radioactive decay of uranium and variations in the natural radioactivity originating from changes in concentrations of the trace element thorium as well as changes in concentration of the major rock forming element potassium. The natural gamma measurement is made when a detector emits a pulse of light when struck by a gamma ray. This pulse of light is amplified by a photomultiplier tube, which outputs a current pulse which is accumulated and reported as “counts per second”. Count rates are displayed on a scale on the instrument and recorded manually by the technician logging the core. The hand-held scintillometer provides quantitative data only and cannot be used to calculate uranium grades; however, it does allow the geologist to identify the presence of uranium mineralization in the core and to select intervals for geochemical and assay sampling.
 
Scintillometer readings are taken along the entire length of core recovered as part of the logging process and are averaged for consistent intervals. Zones of uranium mineralization were considered when readings were significantly above the background reading (approximately 500 counts per second depending on the scintillometer being used). In mineralized zones the readings are recorded
 
 
 
 
over 10-centimetre intervals and tied to the run interval blocks. The scintillometer profile is then plotted on strip logs to compare and adjust the depth of the downhole gamma logs. Core trays are marked with aluminum tags as well as felt marker indicating the sample interval and number.
 
Radiometric Logging
Down-hole radiometric logging was completed systematically on every drill hole using a Mount Sopris HLP-2375 shielded gamma tool. The tool measures natural gamma radiation using one sodium iodide (NaI) crystal. The tool contains shielding around the crystal to allow more accurate discrimination of mid-range uranium grades.
 
Uranium mineralized intersections occurring within drill holes were logged a second time using an Alpha Nuclear High Flux (HF) gamma tool. This tool utilizes a pair of ZP-1320 Geiger Mueller tubes and is not as sensitive as a sodium iodide crystal allowing better discrimination of high uranium grade values.
 
The radiometric tools measure gamma radiation which is emitted during the natural radioactive decay of uranium and variations in the natural radioactivity originating from changes in concentrations of the trace element thorium as well as changes in concentration of the major rock forming element potassium.
 
Potassium decays into two stable isotopes (argon and calcium) which are no longer radioactive and emits gamma rays with energies of 1.46 million electron-volts. Uranium and thorium, however, decay into daughter products which are unstable (i.e., radioactive). The decay of uranium forms a series of 13 radioactive elements in nature which finally decay to a stable isotope of lead. The decay of thorium forms a similar series of radioelements. As each radioelement in the series decays, it is accompanied by emissions of alpha or beta particles or gamma rays. The gamma rays have specific energies associated with the decaying radionuclide. The most prominent of the gamma rays in the uranium series originate from decay of bismuth 214 (214Bi), and in the thorium series from decay of thallium 208 (208Tl).
 
The natural gamma measurement is made when a detector emits a pulse of light when struck by a gamma ray. This pulse of light is amplified by a photomultiplier tube, which outputs a current pulse which is accumulated and reported as counts per second. The gamma probe is lowered to the bottom of a drill hole and data are recorded at 10-centimetre intervals as the tool travels to the bottom and then is pulled back up to the surface. The current pulse is carried up a conductive cable and processed by a logging system computer that stores the raw gamma count-per-second data.
 
Downhole total gamma data are subjected to a complex set of mathematical equations, considering the specific parameters of the probe used, speed of logging, size of drill hole, drilling fluids, and presence or absence of any type of drill hole casing. The result is an indirect measurement of uranium content within the sphere of measurement of the gamma detector. A UEX in-house developed spreadsheet, using mathematical equations for high grade uranium developed and used with the permission of Cameco Corporation, converts the measured counts per second of the gamma rays into 10-centimetre increments of percent U3O8 equivalent.
 
The conversion coefficients for conversion of probe counts per second to percent U3O8 equivalent uranium grades are based on calibrations conducted at the Saskatchewan Research Council (SRC) uranium calibration pits. Dead-time corrections and potassium-factors are calculated using mathematical relationships comparing cps to known uranium grades.
 
 
 
 
 
SRC Laboratory downhole probe calibration facilities are located in Saskatoon, Saskatchewan. The calibration facilities test pits consist of four variably mineralized holes, each approximately four metres thick. The gamma probes are calibrated a minimum of two times per year, usually before and after both the winter and summer field seasons.
 
 
9.3.
Surveying
 
The proposed collar locations of drill holes are spotted relative to known reference points in the field and surveyed by differential GPS system using the NAD83 UTM zone 13N reference datum. The drill holes have a concise naming convention with the prefix “CB” denoting “Christie Lake Area B” followed by the number of the drill hole. In general, most of the drilling was completed on northwest-southeast oriented profiles spaced approximately 25 metres apart.
 
The trajectory of all drill holes was documented using a Reflex multi-shot instrument at 30-metre intervals down the hole with an initial test taken 6 metres below the casing and a final measurement at the bottom of the hole. The Reflex multi-shot was used in single shot mode to record azimuth and dip at specified intervals.
 
 
9.4.
Core Recovery
 
At Christie Lake the mineralized zones are moderately to strongly altered and disrupted by fault breccias. In places, the core can be broken and blocky, however, core recovery is generally good with an overall average of 95 percent. Local intervals of up to 5 metres with less than 80 percent recovery have been encountered due to washouts during the drilling process. Where 80 percent or less of a composited interval is recovered during drilling (greater than 20 percent core loss), or where no geochemical sampling has occurred across a mineralized interval, uranium assay grades have been supplemented by radiometric probe data for compositing.
 
 
9.5.
SRK Comments
 
In the opinion of the QP, the drilling, core logging and sampling procedures used by UEX are consistent with generally accepted industry best practices and are, therefore, adequate for an exploration project. The QP concludes that the samples are representative of the source materials and there is no evidence that a sampling bias was introduced by the applied drilling and sampling process.
 
 
 
 
 
 
Sample Preparation, Analyses, and Security
 
All exploration samples collected by UEX were submitted to Saskatchewan Research Council (SRC) Geoanalytical Laboratory in Saskatoon, Saskatchewan. SRC is accredited to ISO 17025:2005 by the Standards Council of Canada, laboratory number 537, including the determination of U3O8 weight percent in solid samples by ICP-OES.
 
Umpire samples were analyzed at SRC’s Delayed Neutron Activation Laboratory, a separate facility located at SRC’s Analytical Laboratory in Saskatoon.
 
SRC is an independent, commercial geochemical laboratory that operates independently from UEX.
 
 
10.1.
PNC (1985 – 2000)
 
Sediment samples taken by PNC in 1987 weighed approximately 0.5 to 1.0 kilograms, were placed in prenumbered Kraft paper sample bags and dried in a tent for approximately 7 days. Samples were then examined for grain size, organic content and colour (coded according to Geological Society of America rock colour chart). Samples were sent to Chemex Labs, located in North Vancouver, British Columbia and analysed for; uranium by neutron activation, lead, zinc, copper, nickel, and loss on ignition.
 
Core samples were submitted to SRC in Saskatoon. No further information exists about sample preparation procedures, analytical techniques, and sample security employed by PNC for core samples.
 
 
10.2.
JCU (2000 – 2016)
 
No documented samples were collected or submitted for analysis by JCU between 2000 and 2016.
 
 
10.3.
UEX (2016 – 2021)
 
Exploration samples collected between 2016 and 2021 were submitted to SRC in Saskatoon by ground transport. Samples submitted for geochemical and U3O8 analyses are shipped by ground transport by UEX personnel using Transport of Dangerous Goods (TDG) protocols by qualified personnel. On arrival at the laboratory, samples are assigned an SRC group number and are entered into the Laboratory Information Management System (LIMS).
 
All samples received are first sorted by matrix composition (sandstone or basement/mineralized) as indicated on the original sample bags to prevent cross contamination between samples. Next, they are sorted by level of radioactivity using a Radioactivity Detector System (RDS). The samples are classified into one of the following groups:
 
 
“Red Line” (minimal radioactivity) < 500 counts per second
 
“1 Dot” 500 – 1,999 counts per second
 
“2 Dots” 2,000 – 2,999 counts per second
 
“3 Dots” 3,000 – 3,999 counts per second
 
 
 
“4 Dots” 4,000 – 4,999 counts per second
 
“UR” (unreadable) > 5,000 counts per second
 
 
 
Samples are sorted by ascending sample number order and transferred to matrix designated drying ovens. Once dry, “Red Line” and “1 Dot” samples are transferred for further processing at the main SRC laboratory. Samples considered radioactive (“2 Dots” or higher) are sent to a secure radioactive bunker to await transport by TDG trained personnel to the radioactive facility at SRC for further sample preparation.
 
All samples are prepared using the same protocol. Crushing is performed utilizing a jaw crusher to over 60 percent passing 2 millimetres. Samples are then split using a riffle splitter to achieve approximately 200-gram subsamples. The excess reject material is stored in its original bag and archived in a plastic pail with identification of the appropriate group number on the exterior.
 
Grinding of the samples is performed for two minutes to over 90 percent passing 106 microns and confirmed by wet sieving. The material is dried and transferred to a labelled plastic snap-top vial. Once sample pulps are generated, they are returned to the main laboratory to be chemically processed prior to analysis.
 
Radioactive pulps are returned to a secure radioactive bunker before being transferred to a secure radioactive facility for storage.
 
All equipment is cleaned between analyses with compressed air. The pots are cleaned with silica sand and compressed air. In the radioactive facility the pots are cleaned with water.
 
All prepared pulps are analyzed by the ICP-OES package offered by SRC and includes 46 analytes through total digestion and 16 analytes through partial digestion. Nine of these analytes are analyzed by both partial and total digestions and include silver, cobalt, copper, molybdenum, nickel, lead, uranium, vanadium and zinc. When the ICP1 partial digestion value for uranium is greater than 1,000 ppm, the sample pulp is re-assayed for U3O8 using SRC’s weight percent analysis method. The analytical methods are summarized in Table 10.
 
Table 10: Summary of Preparation and Assay Methodologies
Element
Method Code
Detection Limit
Digest
Instrumentation
46 elements
ICP1 (Total Digestion)
Varies, see Table 11
HF + HNO3 + HClO4 hot digest plus HNO3 leach
ICP-OES
16 elements
ICP1 (Partial Digestion
Varies, see Table 11
HNO3 + HCl in hot water bath
ICP-OES
U3O8
ICP4
0.001%
Aqua Regia (3:1 HCl: HNO3)
ICP-OES
 
 
 
10.4.
Specific Gravity Data
 
All samples submitted to SRC for geochemical analysis are also analyzed for density using the pycnometer method (SRC Method – Density 1). The methodology is summarized from the SRC Density 1 method reference document as follows:
 
“Cleaned, dried and pre-weighed flasks were topped up to volume with deionized water and placed under vacuum then weighed. An aliquot of prepared sample is weighed and transferred to one of the pre-weighed volumetric flasks and then the flask was topped up with water and placed under vacuum until all the air was
 
 
 
 
evacuated. The flasks were made up to volume and reweighed. All weights were entered into one database and the rock density calculated. The temperature of the water was recorded at the time of all measurements and included in the calculations. One in 40 samples is analyzed in duplicate and must fall within specified limits.”
 
 
10.5.
Quality Assurance and Quality Control Programs
 
Quality control measures are typically set in place to ensure the reliability and trustworthiness of the exploration data. These measures include written field procedures and independent verifications of aspects such as drilling, surveying, sampling and assaying, data management, and database integrity. Appropriate documentation of quality control measures and regular analysis of quality control data are important as a safeguard for project data and form the basis for the quality assurance program implemented during exploration.
 
Analytical control measures typically involve internal and external laboratory control measures implemented to monitor the precision and accuracy of the sampling, preparation, and assaying process. They are also important to prevent sample mix-up and to monitor the voluntary or inadvertent contamination of samples.
 
Assaying protocols typically involve regularly duplicating and replicating assays and inserting quality control samples to monitor the reliability of assaying results throughout the sampling and assaying process. Check assaying is normally performed as an additional test of the reliability of assaying results. It generally involves re-assaying a set number of sample rejects and pulps at a secondary umpire laboratory.
 
 
10.5.1.
PNC (1985 – 2000)
 
PNC did not adopt an analytical quality assurance and quality control program for exploration core sampling. Although the results are not readily available, PNC instituted split duplicate sampling of the sediment sampling program in 1987. Of the total 67 sediment samples taken, approximately 6 percent were duplicate samples. All samples were submitted to ALS.
 
 
10.5.2.
JCU (2000 – 2016)
 
JCU did not collect exploration samples and therefore did not require the implementation of an analytical quality assurance and quality control program.
 
 
10.5.3.
UEX (2016 – 2021)
 
UEX implemented an analytical quality assurance and quality control program for core samples involving the use of blanks and certified reference material samples. UEX also relies on pulp duplicate testing carried out as part of the internal laboratory quality control program routinely maintained by SRC to monitor analytical results on an ongoing basis.
 
Due to their radioactive nature, insertion of commercial certified reference material (over a range of U3O8 grades) sourced from SRC is performed by at the laboratory instead of the field. Certified reference materials are added to the sample groups by SRC personnel, using standards appropriate for each. SRC has used a total of 7 reference material types between 2016 and 2018, summarized in Table 11. Blank material is inserted in the field and sourced from quartzite with lower U3O8 than the sample material, however above the detection limit. The specifications of the control samples used
 
 
 
 
by UEX and SRC are summarized in Table 11. The insertion rate of standard reference materials was approximately one in 40 samples. Field blank samples are inserted at a rate of one in 20 samples.
 
Table 11: Summary of Control Samples used by UEX and SRC on the Christie Lake Project (2016-2021)
Standard
Expected
SD*
Inserts
ID
Value
Low Grade U3O8 (0-1)
 
 
BL-4A & UEX01
0.147
0.0020
201
BL-2A & UEX02A
0.204
0.0040
53
UEX02
0.534
0.0030
3
Total
 
 
257
Medium Grade U3O8 (1-5%)
 
UEX03
1.200
0.0050
4
SCU02 & UEX03A
1.580
0.0325
48
Total
 
 
52
High Grade U3O8 (>5%)
SCU03
5.460
0.1100
1
BL-5
8.360
0.0350
12
Total
 
 
13
* Standard Deviation
 
 
 
10.6.
Security
 
The drilling, sampling and logging are done under the supervision of experienced technical personnel. Logged and sampled drill core from the 2016-2018 drill programs is stored in a core yard at the Christie Lake camp operated in accordance with Saskatchewan government requirements.
 
 
10.7.
SRK Comments
 
In the opinion of the QP, the sampling preparation, analytical and security procedures used by UEX are consistent with generally accepted industry best practices and are, therefore, adequate for an exploration project. Sample handling and preparation procedures followed by previous operators are not readily available and difficult to assess. However, after analysis of exploration data, the Qualified Person considers that historical data to be adequate to inform geology and mineral resource models. The QP does however recommend that in addition to pycnometry that specific gravity check determinations also be undertaken by the conventional water immersion method to evaluate the sensitivity to potential sample porosity and alteration. Drilling sampling data collected by PNC during 1988-1997 constitutes approximately 33 percent of all exploration data available for the Christie Lake Project.
 
 
 
 
 
 
Data
Verification
 
 
11.1.
Verifications by UEX
 
As part of the acquisition process of the Christie Lake Project, UEX conducted a detailed review of all drilling and sampling data for historical work on the property. The review involved the re-logging of available mineralized drill core at the Christie Lake Camp and McLean Lake Mine site including a comparison and clarification of data within the Microsoft Access drilling database.
 
Historical sampling was unable to be verified as the pulps and rejects collected by PNC are no longer available for analysis. Existing historical core intervals are not sufficient to allow a re-sampling of mineralized intervals.
 
Tri-Cities Surveys was contracted in 2000 to survey the location of all known collars of historical drill holes on the property. Drill holes which no longer had collars or were drilled on ice pads during the winter were unable to be surveyed.
 
In 2016 UEX implemented an umpire check assay program where a selection of pulp samples was submitted to SRC’s Delayed Neutron Counting (DNC) laboratory, a separate facility located at SRC Analytical Laboratories in Saskatoon, to compare the reproducibility of uranium values using two different methods, by two separate laboratories. SRC’s DNC laboratory is not independent of SRC Geoanalytical Laboratory. The DNC laboratory method is specific to uranium and no other elements are analyzed by this technique. The DNC system detects neutrons emitted by the fission of U-235 in the sample, and the instrument response is compared to the response from known reference materials to determine the concentration of uranium in the sample. In order for the analysis to work, the uranium must be in its natural isotopic ratio. Enriched or depleted, uranium can not be analyzed by DNC.
 
 
11.1.1.
Data Collection and Verification
 
For the verification of drilling data, UEX relies partly on verification processes built into Datamine’s DHLogger software used for logging core and storage of data. Possible data errors such as logging interval overlaps, end-of-hole values greater than the drill hole length, missing information etc., are detected automatically and send error messages within the program.
 
Duplication and back-up of all data on a central server located in UEX’s Saskatoon office. All modifications to the database are tracked, including an audit trail showing what changes were made and by whom.
 
All historical drilling data has been transferred to this central database structure. All new geological, geotechnical, and scintillometer data collected by UEX since assuming operatorship of the project in 2016 has been collected in the DHLogger system.
 
UEX collects three independent data sets to track and correlate uranium mineralization, which include scintillometer readings from the drill core, down-hole gamma logging, and assay sampling. These three data sets are then correlated to confirm and verify the location and integrity of mineralized intervals within each drill hole.
 
 
 
 
 
11.2.
Verifications by SRK
 
 
11.2.1.
Site Visit
 
In accordance with NI 43-101 reporting standards, Mr. Glen Cole visited the Christie Lake Project from September 19 to 20, 2018 during active drilling, accompanied by Mr. Christopher Hamel and other UEX exploration personnel.
 
The purpose of the site visit was to review the procedures used to generate and validate the exploration database, review exploration procedures, define geological modelling procedures, examine drill core, interview project personnel, and collect all relevant information for the preparation of a mineral resource model and the compilation of a technical report.
 
The author was given full access to relevant data and conducted interviews with UEX personnel to obtain information on the past exploration work, to understand procedures used to collect, record, store and analyze historical and current exploration data.
 
All aspects that could materially impact the integrity of the exploration database (like core logging, sampling, and database management) were reviewed with UEX staff. The QP was given full access to all relevant project data. The QP was able to interview exploration staff to ascertain exploration procedures and protocols.
 
The QP examined core from several drill holes and found that the logging information accurately reflects actual core. The lithology contacts checked by the QP generally correlate with information reported in the core logs.
 
The QP was able to review the drill hole data from drilling completed following the September 2018 site visit. The QP was able to independently model the drilling completed since the site visit, and verifies that there is no material change to the previously modeled mineral resource in the area of the Paul Bay, Ken Pen, and Ōrora Deposits.
 
 
11.2.2.
Database Verifications
 
The QP conducted a series of routine verifications to ensure the reliability of the electronic data provided by UEX. These verifications included spot checking the digital data against original assay certificate. The QP audited approximately 5 percent of data generated by UEX and considers the database to be well maintained, with no major errors encountered. The QP reviewed data from UEX’s 2016 to 2018 exploration activities and also more recently the data generated up to December 31, 2021 with company representatives and is satisfied that no additional drilling or sampling was undertaken within the current resource area.
 
Wide spaced drilling activity undertaken subsequent to the site visit was external to the mineral resource area and does not warrant additional wireframing to constrain potential mineral resource additions.
 
 
 
 
 
 
11.2.3.
Verifications of Analytical Quality Control Data
 
The QP analyzed the results of the analytical quality control data produced by UEX from 2016 to 2018 drilling programs. All data were provided to the QP in Microsoft Excel spreadsheets accompanied by original Adobe PDF lab certificates. UEX aggregated the assay results of the external analytical control samples for further analysis by the QP. Control samples (blanks and certified reference materials) were summarized on time series plots to highlight their performance. Paired data (preparation and lab internal pulp duplicate assays) were analyzed using bias charts, quantile-quantile, and relative precision plots. A selection of the charted data is presented in Figure 26.
 
Figure 26: Time Series Plots for Blank Material and Certified Reference Material Samples Assayed by SRC Laboratory in Saskatoon, Saskatchewan, Canada, Between 2016 and 2018.
 
 
 
 
 
The type of analytical quality control data collected, and their associated performances are discussed below and summarized in Table 12.
 
Table 12: Summary of Analytical Quality Control Data Produced by UEX on the Christie Lake Uranium Project
 
Total
(%)
Value*
SD**
Comment
Sample Count
3,372
 
 
 
 
Blanks
75
2.22%
 
 
 
QC samples
322
9.55%
 
 
 
BL-4A & UEX01
201
 
0.147
0.002
CANMET
BL-2A & UEX02A
53
 
0.502
0.004
CANMET
UEX02
3
 
0.534
0.003
CANMET
UEX03
4
 
1.2
0.005
CANMET
SCU02 & UEX03A
48
 
1.58
0.0325
SRC
SCU03
1
 
5.46
0.11
SRC
BL-5
12
 
8.36
0.035
CANMET
Pulp Replicates
140
4.15%
 
 
 
Field Duplicates
81
2.40%
 
 
 
Total QC Samples
618
18.33%
 
 
 
* Wt% U3O8
** Standard deviation
 
In general, analyses of blank samples consistently yielded uranium grades near or below the detection limit of the primary laboratory. The performance of blank samples between 2016 and 2018 is adequate, with no sample contamination detected.
 
UEX used a total of 7 certified standard reference material types with a variable range of expected uranium values (Table 11). Overall, the performance of these materials is acceptable with only one failure documented.
 
Approximately 4 percent of samples analyzed by SRC were chosen randomly by laboratory staff for repeat analysis. Rank half absolute relative difference (HARD) plots suggested that 97.9 percent of the duplicate check assays conducted on pulps, had HARD below 10 percent, suggesting good analytical precision at the laboratory.
 
Reproducibility of core assays from field duplicate material was satisfactory with a correlation coefficient of 0.98. HARD plots suggested that 40.7 percent of the field duplicate check assays conducted had HARD below 10 percent, suggesting poor reproducibility between samples, however, this is not unexpected for field duplicates. A minor positive bias was detected for field duplicate pairs with original sample assays grading over 1 percent U3O8. Given that the available dataset for this type of analytical quality control for core samples was small with 89 sample pairs available for analysis between 2016 to 2018, and only 8 paired samples grading over 1 percent U3O8, this is not considered to be significant.
 
 
11.2.4.
SRK Comments
 
In the review of potential risk introduced by historical data, the QP identified a lack of quality control programs documented by previous operators. The sampling data collected by UEX (approximately 1,853 core samples) outweighs historical sampling data collected by PNC (901 core samples), reducing the risk introduced by the use of historical data with uncertain quality.
 
 
 
 
Although the QP identified a minor positive bias for field duplicate pairs grading over 1 percent U3O8, this is not considered to be significant due to the small sample size and inherent variability expected for field duplicate samples. UEX is encouraged to monitor these results and continue applying best sampling practices.
 
Check assaying is normally performed as an additional test of the reliability of assaying results and generally involves re-assaying a set number of sample rejects and pulps at a secondary umpire laboratory on a regular basis. The QP encourages continued diligence in monitoring quality control analysis by adopting a routine of regular umpire assay checks, preferably with a laboratory independent from SRC as part of the ongoing quality control program.
 
Overall, the QP considers analytical results from core sampling conducted at the Christie Lake Project as globally sufficiently reliable for the purpose of resource estimation. The data examined by the QP do not present obvious evidence of significant analytical bias.
 
 
 
 
 
 
 
Mineral
 Processing and Metallurgical Testing
 
No mineral processing or metallurgical testing analyses have been carried out to date on the Christie Lake Project.
 
 
 
 
 
 
 
Mineral
 Resource Estimates
 
 
13.1.
Introduction
 
This section describes the methodology and summarizes the key assumptions considered to prepare the geology and mineral resource model. In the opinion of qualified person for the mineral resource, the mineral resource evaluation reported herein is a reasonable representation of the global uranium mineral resources of the Paul Bay, Ken Pen and Ōrora zones of the Christie Lake Project at the current level of sampling. The mineral resources presented herein are reported in accordance with Canadian Securities Administrators’ National Instrument 43-101 (2011) and have been estimated in conformity with generally accepted CIM Estimation of Mineral Resources and Mineral Reserves Best Practice Guidelines (November 2019). The QP ensured that the mineral resource database, the geological interpretation and the various adopted mineral resource estimation tasks conform to best practice guidelines. The process followed to ensure this is documented in this section. There is no certainty that all or any part of the mineral resource will be converted into mineral reserve.
 
In July 2018, UEX initially commissioned SRK to prepare the mineral resource model for the Christie Lake deposit. This section summarizes the data, methodology, and parameters considered by the QP to prepare the mineral resource estimation for the Christie Lake deposit.
 
UEX staff provided technical input throughout the geological and mineralized domain modeling process which were reviewed and audited by the QP for use in this mineral resource estimation. Dr. Mitrofanov, PGeo (APGO#2824) reviewed the data and constructed the low- and high-grade wireframes. Grade estimation and associated sensitivity analyses, validation checks and mineral resource classification were performed by Dr. Machuca, PEng (PEO#100508889). Both Dr. Mitrofanov and Dr. Machuca worked under the supervision of Mr. Glen Cole (APEGS#26003, APGO#1416) the qualified person, who also conducted the site visit. The mineral resource estimation was peer reviewed by Mr. Cliff Revering, PGeo (APEGS#9764).
 
By virtue of his education, membership to a recognized professional association, and relevant work experience, Mr. Cole qualifies as an independent Qualified Person as this term is defined by National Instrument 43-101.
 
The effective date of the Mineral Resource Statement for the Christie Lake Project is December 31, 2021.
 
 
13.2.
Resource Estimation Procedures
 
The mineral resources reported herein were estimated using a geostatistical block modelling approach informed from core drill hole data constrained within mineralization wireframes. The mineral resource evaluation methodology adopted for Christie Lake deposit involved the following procedures:
 
 
Database compilation and verification.
 
Construction of solids to be applied as mineral resource domains.
 
Data conditioning (compositing and capping) for geostatistical analysis and variography.
 
 
 
 
 
Block modelling and grade interpolation.
 
Resource classification and validation.
 
Assessment of “reasonable prospects for eventual economic extraction” and selection of appropriate cut-off grades and
 
Preparation of the Mineral Resource Statement.
 
The following sections summarize the methodology and assumptions made by the QP to construct the mineral resource model.
 
 
13.3.
Resource Database
 
UEX provided the mineral resource database as MS Excel and CSV files. The database used to evaluate the mineral resources of the Paul Bay, Ken Pen and Ōrora zones includes 171 core drill holes (78,585 metres) comprised primarily of samples from core drill holes drilled from surface. The database contains 2,754 intervals (1,253 metres) assayed for triuranium octoxide (U3O8 or just “uranium” in this section), the mineralized domains contain 1,808 assay intervals.
 
The database also contains the following additional information used in the resource modelling process:
 
 
Lithology logging including 4,260 intervals (80,743 metres).
 
Alteration logging:
Bleaching including 985 intervals (20,876 metres).
Clay including 4,583 intervals (17,435 metres).
Hydrothermal including 107 intervals (1,261 metres).
 
Mineralization including 373 intervals (564 metres).
 
Density measurements including 1,979 (877 metres).
 
Structural data including major structures (130 intervals), minor structures (1,818 intervals) and oriented core measurements (2,715 intervals).
 
The QP imported the drilling data into Datamine Studio and Leapfrog software and performed the following validation steps:
 
 
Checked minimum and maximum values for each value field and confirmed and edited values outside of expected ranges.
 
Checked for gaps, overlaps, and out of sequence intervals for both assay and lithology tables.
 
In accordance with National Instrument 43-101 guidelines, Mr. Glen Cole from SRK visited the Christie Lake Project during the period September 19-20, 2018, accompanied by Mr. Chris Hamel and other UEX technical exploration staff. The QP is satisfied that the exploration work carried out by UEX is conducted in a manner consistent with industry best practices and, therefore, the exploration data and the drilling database are sufficiently reliable to support a mineral resource evaluation.
 
 
 
 
 
The QP was provided with a 50k survey DEM topography surface. Although the topography surface resolution is relatively low, the modeling and estimation of the mineralized zones are unaffected due to their respective depth. UEX also provided a 3-dimensional preliminary model of the interpreted unconformity surface and internal mineralized zonal wireframes for reference. The drilling completed at Christie Lake up to December 31, 2021 has been reviewed by the QP. It is the QP’s opinion that the drilling subsequent to the site visit in September 2018 is not material to the resource estimated in 2019. The QP was able to model and subsequently verify that the drilling following the September 2018 site visit primarily targeted mineralization external to the area defined by the 2019 mineral resource and was too widely spaced to allow additional mineral resource modeling.
 
 
13.4.
Geological Modelling
 
Uranium mineralization discovered at the Christie Lake Project to date occurs in three zones; the Paul Bay Zone, Ken Pen Zone, and Ōrora Zone. These zones have a north-easterly trend and are located approximately 420 metres below surface. The mineralization within Ken Pen and Ōrora zones occur along the unconformity boundary and extend deeper along the northeast fault zones forming a “mushroom” shape. The Paul Bay mineralization is basement hosted and was modelled as three parallel zones moderately dipping to the southeast. The continuity of the three deposits was confirmed during wireframing where mineralization on each section was modeled and connected within 3D modelling software to the wireframe on the next section. All mineralization within the wireframe satisfied the thresholds described below.
 
The mineralization zone boundaries were developed using a combined set of criteria including lithology, alteration and mineralization logging, presence of clay and assay grade. Overall, the marginal threshold value of 0.01 percent U3O8 was used for contouring; however, the intervals with U3O8 grade between 0.01 and 0.05 percent were included only if additional logged evidence of uranium mineralization were in place. The additional high-grade domain developed for Ōrora zone was undertaken using logged uranium mineralization in combination with core photos.
 
The mineralization domains were constructed by the QP in a strong collaboration with UEX geologists. Several iterations of edits and reviews were completed before the estimation domains were finalized. An overview of the domains is presented in Figure 27.
 
 
13.5.
Statistical Analysis and Compositing
 
The assay data within the mineralization domains was extracted and analyzed to determine an appropriate composite length (Figure 28). Most of the analytical samples were collected at 0.5-metre intervals. A modal composite length of approximately 0.5 metres was applied to all the data, generating composites as close to 0.5-metres as possible, while creating residual intervals of up to 0.25 metres in length (drill hole assays). In all cases, composite files were derived from raw values within the modelled resource domains.
 
 
 
 
 
 
 
Figure 27: Estimation Domains
Top left: Ken Pen
Top right: Paul Bay
Bottom: Ōrora
The High-Grade domain in Ōrora is coloured red.
 
 
 
 
 
 
Figure 28: Length Frequency Distribution of the Samples Within the Mineralization Domains
 
 
 
13.6.
Evaluation of Outliers
 
The impact of outliers was examined on composite data using log probability plots and cumulative statistics. Upon review, the QP is of the opinion that capping is required to restrict the influence of outliers. The suggested capping values are as follows:
 
 
Ken Pen – 10 percent U3O8.
 
Paul Bay – 30 percent U3O8.
 
Ōrora High-Grade – 33 percent U3O8.
 
Ōrora Low-Grade – 3 percent U3O8.
 
The summary statistics for the defined mineral resource domains is tabulated in Table 13.
 
Table 13: Summary Basic Statistics for Composite and Capped Composite Data for Christie Lake Domains
 
 
 
Uncapped Data
Capped Data
Capping Stats
Domain
Domain Code
Number
Mean (%)
Std. Dev.
Max. (%)
CoV*
Mean (%)
Std. Dev.
Max. (%)
CoV*
Reduction in the Mean
Percent Capped
Paul Bay
200
834
1.44
5.92
70
4.11
1.22
3.99
30
3.27
-15%
1%
Ken Pen
100
256
0.88
2.56
18.87
2.91
0.77
1.92
10
2.49
-13%
2%
Ōrora High Grade
301
51
16.65
15.94
73.8
0.96
14.54
11.16
33
0.77
-13%
12%
Ōrora Low Grade
302
498
0.27
0.73
8.38
2.7
0.24
0.49
3
2.04
-11%
1%
* CoV=Coefficient of Variation
 
 
 
 
 
 
 
 
 
 
 
 
 
 
 
 
 
 
 
13.7.
Specific Gravity
 
There is a strong quadratic relationship between U3O8 grades and Specific Values as observed in the scatterplot presented in Figure 29, especially for uranium grades above 10 percent. Given the high correlation between U3O8 grades and specific gravity, block specific gravity values were calculated from estimated uranium grades using the following quadratic regression formula:
 
,
where SG is the estimated specific gravity and U3O8 is the assayed or estimated uranium grade.
 
Figure 29: U3O8 vs. Specific Gravity Regression Curve and Equation
 
 
 
13.8.
Statistical Analysis and Variography
 
Polygonal declustering bounded by the domain solids was applied to capped composite grades to produce representative uranium statistics. Figure 30 presents the corresponding probability plots and statistics for the Paul Bay and Ken Pen deposits and for the statistically very different High-grade and Low-grade domains of Ōrora.
 
 
 
 
 
 
Figure 30: Cumulative Probability Plots for Declustered Composite Data
 
Spatially continuity analysis was performed on capped composite grades of all domains and deposits combined. The directions of major continuity examined roughly corresponds to the average dip, dip direction and perpendicular direction for all domains in the three deposits. The decision to combine all data for the variography responds to the difficulty to obtain workable experimental variograms for individual domains. Because the high variability of uranium grades, the experimental variograms were calculated on normal-scores transformed composite grades, which were back-transformed to original units for the fitting of the variogram model. Figure 31 shows the normal scores and back-transformed experimental variograms, as well as the fitted variogram model, along the three major directions of spatial continuity and along the down-hole direction. Table 14 presents the fitted variogram model parameters.
 
 
 
 
 
Figure 31: Normal Scores (NS) and Back-transformed (Y-Z) Experimental Variograms and Fitted Variogram Model for U3O8 Grades
 
 
Table 14: Variogram Model Parameters for U3O8
Domain
Structure
Sill Contribution
Ranges1
 
Rotation Angles1
X (m)
Y (m)
Z (m)
 
Z
X
Y
All
C0
Nugget
0.1
-
-
-
 
-
-
-
C1
Exp
0.78
9
12
2.4
 
125
33
0
C2
Sph
0.12
20
30
15
 
125
33
0
1 Ranges and rotations expressed in Datamine's Z-X-Y rotation convention
 
 
 
13.9.
Block Model and Grade Estimation
 
The block model was rotated to coincide with the overall strike of the three deposits and consists of 5 by 10 by 2.5 metres parent cells with 0.5 by 0.5 by 0.5 subcells. Table 15 summarizes the block model definition. The block model subcells were coded using the domains wireframes.
Grade estimation was undertaken by ordinary kriging (OK) constrained by uranium mineralization wireframes. In all cases the boundaries defined by the mineralization wireframes were treated as hard.
 
Table 15: Block Model Parameters
Axis
Block Size (metres)
Origin*
Number of Cells
Rotation Angle
Parent
Sub cell
X
5
1
507,420
60
0
Y
10
1
6,411,550
105
0
Z
2.5
0.5
-95
76
35
* NAD83, Zone 13N
 
 
 
 
 
 
Grade estimation was undertaken in four passes using dynamic anisotropic search ellipsoids for all passes excepting the first one. The local angles required for dynamic anisotropy were obtained from the wireframe facets and interpolated into the model. The first two passes were designed to honour the data locally and to constrain the spread of high grades. For these first passes the capping thresholds presented in Table 13 were used and the search ellipsoids sizes correspond to the size of individual blocks, for the first pass, to the full variogram model range, for the second. The last two passes were designed to fill the gaps and to complete the estimation of all the blocks within the domains. Thus, the search ranges for the third and fourth passes correspond to twice and trice the full variogram ranges, respectively. Also, to minimize the spreading of high grades, the grade capping thresholds used in the last two passes were stricter than in the first two passes for all domains except for the Ōrora domains. Table 16 summarizes the search parameters used for the estimation of uranium grades in the Christie Lake Project.
 
Table 16: Estimation Search Parameters
Pass
Search Distances
Composites
Dynamic Anisotropy
Capping Thresholds U3O8 (%)
X
(m)
Y (m)
Z
(m)
Min
Max
Max per Hole
Paul Bay
Ken Pen
Ōrora
High Grade
Ōrora
Low Grade
1
5
2.5
1.25
1
5
-
No
30
10
33
3
2
20
30
7.50
6
12
5
Yes
30
10
33
3
3
40
60
15.00
6
16
5
Yes
8
5
33
3
4
60
90
22.50
1
20
5
Yes
8
5
33
3
 
 
 
13.10.
Model Validation
 
The estimated block model was validated visually and statistically using cross sections, swath-plots and change of support analysis. Figure 32 shows a longitudinal swathplot comparing the average estimated grades against the declustered composite grades within 20-metre bands. The block model grades follow the informing data grades but show less variability, as expected.
 
Figure 32: Swathplot Comparing Estimated and Declustered Capped Composite U3O8 Grades
 
 
 
 
A change of support analysis using the Discrete Gaussian model (DGM) was completed to assess the suitability of the estimation parameters to estimate the block distribution of uranium grades. The quantile-quantile plot in Figure 33 shows that the distribution of block estimated grades match closely the distribution of the composite grades corrected by the change of support model. This analysis was performed for the Paul Bay 1 domain, which by itself contributes 55 percent of the total Christie Lake mineral resources.
 
Figure 33: Quantile-Quantile Plot of the Change of Support Corrected Composite and Estimated U3O8 Grades for Paul Bay 1 Domain
 
 
 
13.11.
Mineral Resource Classification
 
Considering the early stage of the Christie Lake Project, the general widely spaced drill pattern and the overall uncertainty in the spatial distribution of grades, the QP considers all the reported mineral resources to be classified as Inferred.
 
 
13.12.
Mineral Resource Statement
 
The original mineral resource estimate which was completed in July 2018 is still considered current. The QP has therefore also ensured that the mineral resources for the Christie Lake Project reported in this technical report have been estimated in conformity with the generally accepted CIM Estimation of Mineral Resource and Mineral Reserves Best Practices Guidelines (November 2019), which were released subsequent to the filing of the original technical report. The mineral resources are also classified in accordance with the CIM Definition Standards for Mineral Resources and Mineral Reserves (May 2014).
 
 
 
 
 
 
Considering the early stage of the Christie Lake Project, the general widely spaced drill pattern and the overall uncertainty in the spatial distribution of grades, the QP considers all the reported mineral resources to be classified as Inferred mineral resources Based on publicly released mining study results for comparable projects in this area, the QP assumed that a longhole open stoping mining method associated with an approximately 330 tonnes / day underground operation could be developed to reasonably extract this mineral resource.
 
The QP was able to demonstrate ‘the reasonable prospects for eventual economic extraction’ by visually confirming adequate spatial continuity of mineralization above a 0.2% U3O8 cut-off grade suitable for longhole open stoping mining shapes. Much of the mineralized material included in the Mineral Resource Statement occurs as continuous mineralization above the cut-off grade (illustrated in Figure 34). Small, isolated occurrences of discontinuous mineralization above cut-off grade are excluded from the Mineral Resource Statement.
 
Figure 34: Illustrative Resource Model Sections Across the Ken Pen (Top) and Paul Bay (Bottom) Mineral Resource Domains, Showing U3O8 Grade Continuity Above Reporting Cut-off Grade (0.2 % U3O8)
Note: Vertical Sections Orientated at Azimuth 125 degrees
 
 
 
 
The QP determined cut -off grade using the following parameters estimated for a mining project at Christie Lake. A 0.2% U3O8 cut-off grade is estimated based on the assumptions in Table 17, which include an uranium price of US$50/lb, exchange rate of US$0.72/C$, processing recovery of 97%, and total site operating cost of C$311/t (C$110/t from mining, C$16/t for surface transportation to the Key Lake toll mill, C$80/t for processing, and C$105/t for G&A).The QP also notes that the reported Mineral Resource is relatively insensitive to the cut-off grade applied. Costs of milling at the Key Lake Mill are considered reasonable as this is the closest mill available for potential toll milling.
 
Table 17: Christie Lake Project Cut-off Grade Assumptions
Item
Unit
Value
Mining Cost
C$/t
110
Surface Transportation Cost
C$/t
16
Processing Cost
C$/t
80
G&A Cost
C$/t
105
Total Cost
C$/t
311
Processing Recovery
%
97
Uranium Price
US$/lb
50
Exchange Rate
US$/C$
0.72
Uranium price
C$/lb
69.4
Conversion Factor
lb/%
22.046
U3O8 Price
C$/%
1531
COG (U3O8)
%
0.2
 
 
The Mineral Resource Statement for the Christie Lake Project is presented in Table 18. Mineral resources are not mineral reserves and have not demonstrated economic viability. There is no certainty that all or any part of the mineral resources will be converted into mineral reserves. The QP is unaware of any environmental, permitting, legal, title, taxation, socio-economic, marketing, political, or other relevant issues that may materially affect the mineral resources. The Mineral Resource Statement was prepared by Mr. Glen Cole, P.Geo., an independent Qualified Person, as this term is defined in National Instrument 43-101. The effective date of the Mineral Resource Statement for the Christie Lake Project is December 31, 2021.
 
Table 18: Mineral Resource Statement*, Christie Lake Project, Saskatchewan, Canada,
SRK Consulting (Canada) Inc., December 31, 2021
Deposit
Tonnage
Grade
Contained Metal
(000s)
(% U3O8)
(Mlb U3O8)
Inferred Mineral Resources
Paul Bay
338
  1.81
  13.49
Ken Pen
149
  1.05
 3.44
Ōrora
102
  1.53
 3.41
Total
588
  1.57
  20.35
* Mineral resources are not mineral reserves and have not demonstrated economic viability. All figures have been rounded to reflect the relative accuracy of the estimates. Reported at a cut-off grade of 0.2% U3O8.
 
 
 
 
 
 
 
13.13.
Grade Sensitivity Analysis
 
Table 19 illustrates the sensitivity of the tonnes and grade to the cut-off grade in the SRK Mineral Resource model for the Christie Lake deposit.
 
Table 19: Grade – Tonnage Sensitivities to Cut-off Grades
Cut-off Grade
Quantity
Grade
Contained Metal
(% U3O8)
(000s Tonnes)
(% U3O8)
(Mlb U3O8)
0.10
 770
1.23
20.95
0.20
 588
1.57
20.35
0.30
 474
1.89
19.73
0.40
 398
2.18
19.15
0.50
 348
2.43
18.66
0.60
 319
2.61
18.30
0.70
 290
2.80
17.90
0.80
 261
3.03
17.42
0.90
 237
3.25
16.97
1.00
 221
3.42
16.62
 
 
 
13.14.
Recommendations
 
The QP originally constructed the mineral resource model in November 2018 with audited geological information from UEX. Uranium mineralization domains are based on the current on-site geological understanding of the uranium mineralization distribution which incorporates lithological, alteration and grade criteria. The QP considers the data density to be of adequate quality and quantity for mineral resource estimation.
 
The QP proposes that the following enhancements be considered for future geological and mineral resource modelling processes:
 
 
Additional exploration drilling to verify the extension of the existing zones as well as the discovery of new mineralized zones.
 
Additional infill exploration drilling in order to increase the resources category to Indicated in the high-grade areas of the Paul Bay and Ōrora zones.
 
 
 
 
 
 
 
 
Adjacent
 Properties
 
The McArthur River Mine, operated by Cameco Corporation, is adjacent to the Christie Lake Property (Figure 34). The section below on the McArthur River Mine is referenced from Cameco Corporation’s 2012 McArthur River technical report, titled “McArthur River Operation, Northern Saskatchewan, Canada” Effective Date August 31, 2012, Dated November 2, 2012, available on the Sedar website.
 
 
14.1.
The McArthur River Mine (Cameco)
 
Cameco Corporation is the operator for the McArthur River Uranium Mine and wider McArthur River Project as a joint venture between Cameco Corporation (70 percent) and Orano Canada Inc. (30 percent). The McArthur River Project surrounds the north, east and southern perimeter of the claims of the Christie Lake Project. The McArthur River property is comprised one mining lease totalling 1,380 hectares and 21 mineral claims totalling 83,438 hectares. The McArthur River Mine 15 kilometres southwest of the Paul Bay, Ken Pen and Ōrora zones. The Yalowega Trend on Christie Lake represents the only section of the P2 Fault, the controlling structure at McArthur River, which is or has ever been explored by a publicly listed uranium exploration company other than Cameco.
 
The QP of this technical report has not been able to verify the published information on the McArthur River Mine the information regarding the McArthur River Uranium Mine is not necessarily indicative of the mineralization on the Christie Lake Property that is the subject of this technical report. The uranium mineralization at Cameco’s McArthur River deposit, generally occurs at between 500 metres and 640 metres below surface, is structurally controlled by the northeast-southwest trending (045 degrees azimuth) P2 reverse fault which dips 40 to 65 degrees to the southeast. In the deposit area, the fault has thrust a sequence of Paleoproterozoic graphitic metasedimentary rocks into the overlying late Paleoproterozic (Helikian) Athabasca Group sediments. The vertical displacement of the thrust fault exceeds 80 metres at the northeast end of the deposit and decreases to 60 metres at the southwest.
 
The sub-Athabasca basement is two distinct metasedimentary sequences: a hanging wall pelitic sequence of cordierite and graphite-bearing pelitic and psammopelitic gneiss with minor meta-arkose and calc-silicate gneisses, and a lower sequence that is generally quartzite and silicified meta-arkose.
 
Two uranium-rich whole-rock samples were dated by the uranium/lead method and provided upper intercept discordia ages of 1,348 Ma, within a margin of error of 16 Ma and 1,521 Ma (2012, Cameco Corporation), within a margin of error of 8 Ma. The older is interpreted as the age of the primary uranium mineralization and the younger as the age of a remobilization event.
 
The northeast trending P2 thrust fault is the dominant structural feature of the McArthur River deposit. Thrust faulting generally occurs along several graphite-rich fault planes within the upper 20 metres of the Middle Block basement rocks. These faults parallel the basement foliation and rarely exceed one metre in width. Structural disruption is more severe in the overlying brittle and flat lying
 
 
 
 
 
Figure 35: Plan Showing the Location of the McArthur River Uranium Mine in Relation to the Christie Lake Project and Other Reference Deposits
 
 
sandstone evidenced by broad zones of fracturing and brecciation. Zone 4 mineralization is typical for most of the deposit, occurring in the vicinity of the main graphitic fault zone, at or near the contact between the up-thrust basement rocks and the Athabasca sandstone.
 
 
 
 
 
The 1994 TDEM survey by PNC indicates that the prospective Yalowega Fault Trend within the Paul Bay, Ken Pen Ōrora zones, is along strike of McArthur River, and continues off property to the northeast onto the McArthur River property once again.
 
It is noted that Cameco Corporation resumed geophysical surveys and diamond drilling to the northeast on the Yalowega Trend in 2017 and 2018. Cameco suspended production from the McArthur River Mine in late 2017 due to low uranium prices. The McArthur River and Key Lake operations produced 11.1 million pounds of uranium in the first 9 months of 2017 (Cameco, 2018).
 
 
 
 
 
 
 
Other Relevant Data and Information
 
There is no other relevant data available about the Christie Lake Project.
 
 
 
 
 
 
 
Interpretation and Conclusions
 
Exploration drilling on the Christie Lake Project has focused on the Paul Bay, Ken Pen and Ōrora zones to test the continuity of uranium mineralization at and near the unconformity within the project. UEX and previous operators completed a total of 200 core drill holes (96,160 metres) between 1988 to 2021. The program revealed a variety of uranium mineralization styles at the three main zones that includes a combination of basement- and unconformity-hosted mineralization.
 
The author witnessed the extent of the exploration work and can confirm that UEX’s activities are conducted using field procedures that meet generally accepted industry best practices. The QP is of the opinion that the exploration data are sufficiently reliable to interpret the boundaries of the uranium mineralization and support the evaluation and classification of mineral resources in accordance with generally accepted CIM Estimation of Mineral Resource and Mineral Reserve Best Practices and CIM Definition Standards for Mineral Resources and Mineral Reserves.
 
Uranium mineralization at the Ken Pen and Ōrora zones occur along the unconformity boundary and extend downwards along the northeast fault zones. The Paul Bay uranium mineralization is hosted within the basement rocks as three parallel zones that dip moderately towards the southeast. Given a strong quadratic relationship between U3O8 grades and density, block density values were calculated from estimated uranium grades using a quadratic regression formula. A model composite length of 0.5 metres was applied to all of the data, honouring the mineralization envelope boundaries generating composites as close to 0.5-metres as possible, while creating residual intervals of up to 0.25 metres in length.
 
The mineralization zones boundaries were developed using a combined set of criteria including lithology, alteration and mineralization logging, presence of clay and assay grade. Overall, the marginal threshold value of 0.01 percent U3O8 was used for contouring, however, the intervals with U3O8 grade between 0.01 and 0.05 percent were included only if additional logged evidence of uranium mineralization were in place. The additional high-grade domain developed for Ōrora zone was generated using logged uranium mineralization in combination with core photos.
 
The mineralization domains were constructed by the QP with information provided by UEX geologists. Several iterations of edits and reviews were completed before the estimation domains were finalized.
 
The block model was classified using a combination of tools, including confidence in the geological interpretation, search radii, minimum number of drill holes and composites, variography, and estimation pass. In collaboration with UEX, the QP selected a block size of 5 by 10 by 2.5 metres for all mineralized zones. Sub-cells were assigned the same grade as the parent cell. The block model is rotated on the Z-axis to honour the orientation of the overall strike of the three deposits.
 
In all cases, grade estimation used an ordinary kriging estimation algorithm and four passes informed by capped composites. Validation checks confirm that the block estimates are a reasonable representation of the informing data considering the current level of geological and geostatistical understanding of the project.
 
 
 
 
 
No processing or metallurgical data is currently available for project lithologies or the uranium mineralization. Considering this uncertainty and the current level of drilling, the QP considers all block estimates within the mineralized zones to classified as Inferred.
 
 
 
 
 
 
Recommendations
 
 
The geological setting, character of the uranium mineralization delineated, and exploration results to date are of sufficient merit to justify additional exploration expenditure to potentially expand the uranium mineralization footprint on the Christie Lake Project. Likewise exploration investment on regional exploration targets is also needed to advance other areas of the property outside of the Yalowega Trend.
 
The QP supports UEX’s primary exploration objectives for the Christie Lake Project, which are to
expand the existing zones of uranium mineralization along the Yalowega Trend with the aim of
identifying and/or testing:
 
 
Additional areas of uranium mineralization along the Yalowega Trend.
 
The remainder of the P2 structural corridor to the southwest of the three main zones.
 
The southern conductive corridor(s).
 
The QP supports the proposed UEX two-phase exploration program for the Christie Lake Project which is focussed on identifying additional uranium mineralization and expanding the current uranium mineralization footprint on the property
 
 
17.1.
Phase 1
 
Phase 1 exploration is scheduled to begin in the winter of 2022 and is budgeted at approximately C$6.0 million (Table 20) worth of activity along the Yalowega Trend. This activity is to be diamond drilling to evaluate two broad concepts; 1) drilling targeted to expand the existing resources in the area along 1,400 m of strike length from Paul Bay to Ōrora, and 2) drilling to continue the prospectivity evaluation of the of area along the A and B Conductor trends in the area between the McArthur River Uranium mine and the deposits along the Yalowega Corridor between Paul Bay and Ōrora.
 
The approximate division of the proposed Phase 1 program is 10 drill holes to target along the A and B Conductor corridor to evaluate the A-Trend conductor and the resistivity low identified by the 2019 resistivity survey that is between the A and B Trend conductors. The targeting of the resistivity low will be assisted using the data from the 2020 Fixed Loop TDEM survey. A further 25 drill holes that will be a mix of pilot holes and off-cuts will test for additional basement-hosted uranium mineralization along the mineralized trend between Paul Bay and Ōrora. The Phase 1 program is recommended to occur in 2022, through the winter and summer field work seasons.
 
 
 
 
Table 20: Phase 1 Exploration Budget for 2022
Direct Costs
Phase I Budget (C$)
 
Personnel
$550,000
 
Field Equipment Costs
$150,000
 
Analysis
$100,000
 
Travel and Transport
$50,000
 
Miscellaneous
$14,545
Total Direct Costs
$864,545
Contractor Costs
 
 
Geophysical Surveys
$20,000
 
Diamond Drilling
$4,100,000
 
Camp Costs
$450,000
 
Other Contractor
$20,000
Total Contractor Costs
$4,590,000
Total Project Costs
$5,454,545
 
Administration Fee (10%)
$545,455
Total Joint Venture Costs
$6,000,000
Partner's Share
 
 
UEX Corporation (60%)
$3,932,991
 
JCU Canada Exploration Company (40%)
$2,067,069
Total Partner Share
$6,000,000
 
 
 
17.2.
Phase 2
 
Phase 2 represents the initial evaluation of the southern conductive corridor which is to be initiated following the evaluation of the Yalowega Trend Corridor and represents and estimated exploration spend of $2,000,000 (Table 21). The activity recommended to explore effectively along this trend is ground TDEM to pinpoint the conductor location along the resistivity low trend identified in the 2019 DC Resistivity Survey. Once the conductors are relocated with a common survey, the evaluation of that trend with diamond drilling can commence.
 
Table 21: Phase 2 Exploration Program and Budget
Area
Holes
Avg Length (m)
Total Metres
Cost/m (C$)
Cost
(C$)
Total
(C$)
Geophysics
Lines
Length
Total km
Unit Cost
Cost
Total
South Conductors
17
3
51
$2,750
$140,000
 
Line-cutting
17
3
51
$1,175
$60,000
Grassroots Drilling
 
 
 
 
 
 
 
South Conductor
10
600
6,000
$300
$1,800,000
 
Total
 
 
 
 
 
$2,000,000
Total Phase 2 - Christie Lake Exploration Budget 
$2,000,000
 
 
 
17.3.
Metallurgical Test Work
 
In addition to the two-phase exploration program outlined above, future work should involve implementing a metallurgical test work program. This could be executed at a time when UEX conducts a drilling program aimed at increasing the mineral resources category from Inferred to Indicated in the high-grade areas of Paul Bay and Ōrora Zones.
 
 
 
 
 
 
17.4.
Comment
 
The proposed exploration program should be pro-actively managed, with new information rapidly integrated into the uranium mineralization interpretation. Drill programs should be flexible enough to be modified to integrate new information and interpretations which could have a positive impact on the uranium mineral resource.
 
 
 
 
 
 
 
References
 
Annesley, I., Madore, C., and Portella, P., 2005. Geology and thermotectonic evolution of the western margin of the Trans-Hudson Orogen: evidence from the eastern sub-Athabasca basement, Saskatchewan. Canadian Journal of Earth Sciences, Vol. 42, pp. 573-597.
 
Bernier, S., Jefferson, C.W., Drever, G.L., 2001. Stratigraphy of the Manitou Falls Formation in the Vicinity of the McArthur River Uranium Deposit, Athabasca basin, Saskatchewan: Preliminary Observations, Summary of Investigations 2001, Vol 2, Saskatchewan Geological Survey, Sask. Energy Mines, pp. 291-296.
 
Cameco Corporation, 2012, McArthur River Operation, Northern Saskatchewan, Canada, Prepared for Cameco Corporation, filed on SEDAR/available at www.sedar.com (November 2, 2012)
 
Cameco Corporation, 2018, Cameco Reports Second Quarter Results, Northern Saskatchewan, News Release, 6 p. (July 25, 2018)
 
Canadian Institute of Mining, Metallurgy and Petroleum (CIM), 2014: CIM Definition Standards for Mineral Resources and Mineral Reserves, adopted by CIM Council on May 10, 2014.
 
Cloutier, J., Kyser, K., Olivo, G., Alexandre P., Halaburda, J., 2009, The Millennium Uranium Deposit, Athabasca Basin, Saskatchewan, Canada: An Atypical Basement-Hosted Unconformity-Related Uranium Deposit. Economic Geology, Vol. pp. 815-840.
 
Cumming, G.L., and Krstic, D., 1992, The age of unconformity-related uranium mineralization in the Athabasca Basin, northern Saskatchewan, Canadian Journal of Earth Sciences Vol 29, pp. 1623-1639.
 
Denison, 2016, Preliminary Economic Assessment (PEA) for the Wheeler River Uranium Project, Saskatchewan, Canada, dated April 8, 2016.
 
Iida, Y. and Shigeta, T., 1992, Christie Lake Project, Saskatchewan, 1991 & 1992 Winter Exploration Program, Area B (Claim Grouping No. 45003), PNC Exploration (Canada) Co. Ltd.
 
Iida, Y., Ikeda, K., Ito, H., and Shigeta, T., 1993, Christie Lake Project, Area B (Claim Grouping No. 45003), Saskatchewan, 1993 Winter Exploration Program, PNC Exploration (Canada) Co. Ltd.
 
Iida, Y., Ikeda, K., Ito, H., Tsuruta, T., Shigeta, T., and Shields, G., 2000a, Christie Lake Project, 1994 Winter Exploration Program, Area B, Claims CBS 6163, CBS 8027, & S-101720 (Claim Grouping No. 45003), Saskatchewan, PNC Exploration (Canada) Co. Ltd.
 
Iida, Y., Ikeda, K., Ito, H., Goto, J., and Tsuruta, T., 2000b, Christie Lake Project, 1995 Winter Exploration Program, Area B, (Claim Grouping No. 45003), Saskatchewan, PNC Exploration (Canada) Co. Ltd.
 
 
 
 
 
Iida, Y., Yamada, Y., Ito, H., Goto, J., Tsuruta, T., Shigeta, T., and Shields, G., 2000c, Christie Lake Project, 1996 Winter Exploration Program, Area B, (Claim Grouping No. 45003), Saskatchewan, PNC Exploration (Canada) Co. Ltd.
 
IsoEnergy, 2018, Corporate Presentation October 2018, Saskatchewan, IsoEnergy Ltd., 42 p.
 
Jefferson, C., Thomas, D.J., Gandhi, S.S., Ramaekers, P., Delaney, G., Brisbin, D., Cutts, C., Portella, P., and Olson, R.A., 2007. Unconformity associated uranium deposits of the Athabasca Basin, Saskatchewan and Alberta. Geological Survey of Canada, Bulletin 588, pp. 23-67.
 
Jefferson, C.W., Thomas, D.J., Gandhi, S.S., Ramaekers, P., Delaney, G., Brisbin, D., Cutts, C., Quirt, D., Portella, P., and Olson, R.A., 2007, Unconformity-Associated Uranium Deposits of the Athabasca Basin, Saskatchewan and Alberta, in Goodfellow, W.D., ed., Mineral Deposits of Canada: A Synthesis of Major Deposit-Types, District Metallogeny, the Evolution of Geological Provinces, and Exploration Methods: Geological Association of Canada, Mineral Deposits Division, Special Publication No. 5, pp. 273-305.
 
McGill, B. 1988, 1988 Exploration Report, Claim Block CBS 7630, McArthur River Project, Saskatchewan, Saskatchewan Mining Development Corporation.
 
McGill University, Boreal Shield Ecozone, Canadian Biodiversity web site, www.canadianbiodiversity.mcgill.ca/english/ecozones/borealshield/borealshield.htm
 
McMahan, P., Hasegawa, K., Gledhill, P., Jones, D., Morrison, K., 1987, 1986/1987 Uranium Exploration Program, Christie Lake Project, Saskatchewan, PNC Exploration (Canada) Co. Ltd.
 
McMahan, P. and Hasegawa, K., 1988, 1988 Uranium Exploration Program, Christie Lake Project, Saskatchewan, PNC Exploration (Canada) Co. Ltd.
 
McMahan, P. and Hasegawa, K., 1989, Christie Lake Project, Saskatchewan, 1989 Uranium Exploration Program, Area B, PNC Exploration (Canada) Co. Ltd.
 
MLT Aikens, 2018, UEX Corporation - Review of Certain Mineral Dispositions, prepared for UEX Corporation (October 10, 2018)
 
Normore, N., Perkins, C.T., Hamel, C., 2017. 2017 Annual Report on the Christie Lake Project, Saskatchewan. UEX Corporation, internal company report, 103 p.
 
Perkins, C.T, Normore, N, and Hamel C., 2017, Technical Report on the Christie Lake Project, Saskatchewan, Canada. Prepared for UEX Corporation, filed on SEDAR/available at www.sedar.com (March 28, 2017)
 
Padbury, G.A., Acton, Donald F., and Stushnoff, Colette T., 1998, Ecoregions of Saskatchewan, University of Regina. Canadian Plains Research Center, Saskatchewan. Saskatchewan Environment and Resource Management.
 
 
 
 
 
Resource Analysis/Evaluation Group, PNC Tono Geoscience Center, Japan, 1997, Geological Resource Estimation, Christie Lake Project, Saskatchewan, Prepared for PNC Exploration (Canada) Co. Ltd.
 
Richard, Y., Close Lake Project 2013 Geophysical Report, Areva Resources Canada Inc.
 
Shields, G., 1999, Christie Lake Project, Saskatchewan, 1986-1997 Geophysical Compilation, Area B (Claim Grouping No. 45003), unpublished report by PNC Exploration (Canada) Co. Ltd.
 
SKAN Consulting, 2001, Summary Status Report, Christie Lake Project, Saskatchewan, Internal JCU Report.
 
Tsuruta, T., Goto, J., and Shields, G., 2000, Christie Lake Project, 1997 Winter Exploration Program, Area B, (Claim Grouping No. 45003), Saskatchewan, PNC Exploration (Canada) Co. Ltd.
 
 
 
 
 
 
 
 
 
 
 
 
 
 
 
 
 
APPENDIX A
 
Interpreted Geological Cross Sections for Mineralization Domains
 
 
 
 
 
 
 
Plan Map Showing Cross Section Locations for the Paul Bay, Ken Pen and Ōrora Zones
 
 
 
 
 
 
Paul Bay Zone Section L58+80N
 
 
 
 
Paul Bay Zone Section L59+00N
 
 
 
 
Paul Bay Zone Section L59+20N
 
 
 
 
 
Ken Pen Zone Section 62+00N
 
 
 
 
Ōrora Zone Section 67+50N
 
 
 
 
Ōrora Zone Section 67+75N
 
 
 
 
Ōrora Zone Section 68+00N
 
 
 
 
 
 
 
 
 
 
 
 
 
 
 
APPENDIX B
 
Summary of Drilling Characteristics on the Christie Lake Property
 
 
 
 
 
 
Summary Characteristics of Drilling (PNC) (1/2)
Drill hole ID
Azimuth
Dip
Length
Easting*
Northing*
Elevation
(metre)
(metre)
(metre)
(metre)
CB88-001
221
-88
497.7
505,483.7
6,410,316.2
505.5
CB88-002
188
-88
534.5
505,424.4
6,410,936.5
534.3
CB88-003
228
-89
471.5
506,450.6
6,410,564.9
501.0
CB89-004
0
-90
553.5
507,573.0
6,411,541.0
501.6
CB89-005
53
-89
480.7
506,793.5
6,411,357.6
503.8
CB89-006
108
-88
532.5
504,675.1
6,410,269.0
500.0
CB89-007
0
-90
547.5
507,570.2
6,411,571.4
501.6
CB89-008
328
-89
517.2
507,567.5
6,411,600.6
501.6
CB89-009
0
-90
535.5
507,674.6
6,411,573.8
501.7
CB92-010
172
-73
596.0
507,607.4
6,411,721.7
511.7
CB92-011
170
-78
551.0
507,607.4
6,411,722.5
511.7
CB92-012
158
-72
68.0
507,517.5
6,411,594.8
501.6
CB92-012A
147
-76
559.0
507,517.6
6,411,594.2
500.4
CB92-013
155
-83
491.0
507,518.6
6,411,595.7
501.6
CB92-014
158
-79
574.0
507,606.5
6,411,725.9
511.7
CB92-015
155
-75
596.0
507,606.1
6,411,729.5
511.7
CB92-015A
148
-74
41.0
507,607.0
6,411,725.9
511.7
CB92-016
309
-89
506.0
507,697.0
6,412,037.5
502.0
CB92-017
119
-79
572.0
507,529.2
6,411,592.6
501.6
CB92-018
141
-78
617.0
507,567.6
6,411,593.3
501.6
CB92-019
115
-83
500.0
507,517.1
6,411,601.3
501.6
CB92-020
147
-87
497.0
507,561.8
6,411,682.8
509.4
CB92-021
148
-84
498.0
507,588.4
6,411,706.3
510.9
CB93-022
0
-90
482.0
507,699.3
6,411,953.9
502.0
CB93-022A
15
-88
23.0
507,701.5
6,411,957.1
502.0
CB93-023
102
-89
479.0
507,612.2
6,411,724.9
511.8
CB93-023A
15
-88
32.0
507,612.2
6,411,724.9
511.8
CB93-024
31
-89
560.0
507,717.1
6,411,860.3
512.8
CB93-025
319
-89
485.0
507,646.8
6,411,779.7
509.6
CB93-026
316
-89
476.0
507,445.7
6,411,341.4
501.0
CB93-027
241
-89
485.0
507,521.3
6,411,548.1
501.6
CB93-028
18
-89
559.4
507,588.4
6,411,499.7
501.3
CB93-029
0
-90
464.0
507,841.6
6,412,143.2
502.0
CB93-030
0
-90
547.0
507,753.9
6,411,862.1
514.5
CB93-031
278
-89
550.0
507,729.6
6,411,808.3
512.1
CB93-032
25
-89
521.0
507,693.8
6,411,832.1
512.9
CB93-033
205
-89
503.0
507,667.6
6,411,781.2
511.4
CB93-034
0
-90
485.0
507,645.0
6,411,751.5
511.5
CB94-035
222
-89
543.0
507,849.9
6,411,983.8
512.5
CB94-036
160
-89
503.3
507,725.9
6,411,891.0
511.8
CB94-037
221
-89
482.0
507,929.5
6,412,148.2
502.0
CB94-038
153
-84
512.0
507,846.3
6,412,089.8
502.0
CB94-039
165
-84
196.0
507,928.0
6,412,157.6
502.0
CB94-040
97
-82
530.0
507,845.5
6,412,100.1
502.0
CB94-041
70
-89
491.0
508,064.1
6,412,275.8
502.1
CB94-042
119
-86
128.0
504,405.6
6,409,974.9
500.0
CB94-043
60
-89
542.0
508,356.6
6,412,563.4
504.0
CB94-044
160
-87
497.0
504,424.0
6,409,871.2
511.7
CB94-045
35
-89
607.0
507,998.6
6,412,200.5
502.0
CB94-046
214
-89
238.0
505,179.7
6,410,888.8
541.6
CB94-046A
259
-88
570.0
505,179.7
6,410,888.8
541.6
 
 
 
 
 
 
Summary Characteristics of Drilling (PNC) (2/2)
Drill hole ID
Azimuth
Dip
Length
Easting*
Northing*
Elevation
(metre)
(metre)
(metre)
(metre)
CB94-047
143
-87
542.0
508,056.6
6,412,405.2
499.7
CB94-048
335
-89
533.0
505,764.3
6,410,635.8
532.5
CB94-049
0
-90
494.0
507,962.3
6,412,228.6
502.0
CB94-050
4
-89
501.0
508,030.1
6,412,318.8
502.0
CB94-051
332
-85
490.0
508,113.0
6,412,350.7
499.8
CB94-052
6
-86
545.0
505,910.3
6,410,765.7
543.8
CB94-053
39
-89
467.0
507,249.2
6,411,167.2
501.0
CB95-054
338
-89
659.0
508,500.6
6,412,982.3
506.0
CB95-055
63
-88
593.0
506,028.0
6,410,924.6
549.4
CB95-056
297
-84
497.0
508,113.4
6,412,330.3
499.8
CB95-057
299
-88
131.3
506,128.5
6,411,105.0
538.5
CB95-057A
197
-88
581.0
506,120.7
6,411,110.0
538.1
CB95-058
164
-84
614.0
508,517.2
6,412,913.3
504.0
CB95-059
281
-84
638.0
506,088.0
6,411,164.1
541.3
CB95-060
335
-89
470.0
508,151.2
6,412,473.1
504.0
CB95-061
198
-89
597.5
506,136.9
6,411,365.9
555.8
CB95-062
327
-89
500.0
508,270.2
6,412,644.6
504.0
CB95-063
288
-86
541.0
506,336.2
6,411,448.3
522.3
CB95-064
316
-83
488.0
508,384.9
6,412,804.1
504.0
CB95-065
317
-87
559.0
505,870.3
6,411,069.7
546.0
CB95-066
179
-89
515.0
507,965.3
6,412,174.6
502.0
CB95-067
114
-89
500.0
508,367.5
6,412,818.4
504.0
CB95-068
218
-84
568.0
506,099.2
6,411,159.9
539.9
CB95-069
158
-87
503.0
507,599.8
6,411,716.0
511.4
CB95-070
261
-88
560.0
505,759.8
6,410,903.5
538.0
CB95-071
34
-85
505.5
507,767.3
6,411,923.4
511.8
CB96-072
176
-89
521.0
507,690.8
6,411,806.3
513.0
CB96-073
0
-90
509.6
508,442.9
6,412,887.9
504.0
CB96-074
279
-89
482.6
508,188.8
6,412,573.5
504.0
CB96-075
0
-90
482.0
508,000.9
6,412,279.8
502.0
CB96-076
103
-89
536.0
507,371.9
6,411,056.9
522.8
CB96-077
134
-85
611.0
507,579.7
6,411,466.4
501.0
CB96-078
159
-89
500.0
507,951.3
6,412,185.3
502.0
CB96-079
110
-89
551.0
508,431.7
6,412,829.8
504.0
CB96-080
334
-89
528.0
505,797.2
6,410,597.6
531.9
CB96-081
0
-90
533.0
508,214.8
6,412,548.5
504.0
CB96-082
277
-89
545.0
505,982.0
6,410,969.4
548.0
CB96-083
157
-89
527.0
507,297.2
6,410,840.0
519.7
CB96-084
71
-86
500.0
506,628.3
6,411,464.2
511.6
CB97-085
0
-90
552.0
507,740.7
6,411,833.3
513.1
CB97-086
58
-89
588.0
507,635.5
6,411,527.0
501.6
CB97-087
141
-88
612.0
507,671.6
6,411,558.4
501.6
CB97-088
115
-86
552.0
507,590.5
6,411,487.8
501.6
CB97-089
352
-88
492.0
507,236.4
6,410,636.9
508.4
MAC-189
0
-90
479.0
509,451.0
6,407,659.0
499.0
Total
 
 
47,520.7
 
 
 
* UTM NAD83 Zone13 North
 
 
 
 
 
 
 
Summary Characteristics of Drilling (UEX) (1/2)
Drill hole ID
Azimuth
Dip
Length
Easting*
Northing*
Elevation
(metre)
(metre)
(metre)
(metre)
CB-090
350
-78
380.0
507,604.4
6,411,451.1
500.5
CB-090A
350
-78
616.0
507,604.4
6,411,451.1
500.5
CB-091
341
-76
60.0
507,644.0
6,411,305.0
540.0
CB-091A
338
-76
267.0
507,645.0
6,411,305.4
539.2
CB-091B
338
-76
708.0
507,645.0
6,411,305.4
539.3
CB-092
315
-80
597.0
507,639.7
6,411,489.8
500.3
CB-092-1
315
-80
560.4
507,639.7
6,411,489.8
500.3
CB-092-2
315
-80
570.0
507,639.7
6,411,489.8
500.3
CB-093
330
-77
567.0
507,640.1
6,411,490.2
500.6
CB-094
315
-78
726.0
507,698.7
6,411,357.3
540.5
CB-094-1
315
-78
717.0
507,698.7
6,411,357.3
540.5
CB-095
315
-78
60.0
507,706.2
6,411,380.1
539.8
CB-095A
315
-78
735.0
507,706.1
6,411,380.2
539.5
CB-096
315
-82
603.0
507,604.6
6,411,452.2
500.5
CB-096-1
315
-82
615.0
507,604.6
6,411,452.2
500.5
CB-097
312
-84
600.0
507,682.0
6,411,530.2
500.6
CB-098
310
-72
578.4
507,681.8
6,411,530.3
500.5
CB-099
311
-73
609.0
507,663.8
6,411,509.3
501.4
CB-100
312
-77
45.0
507,750.2
6,411,772.7
500.3
CB-100A
308
-77
530.0
507,750.2
6,411,772.7
500.3
CB-100A-1
308
-77
270.0
507,750.2
6,411,772.7
500.3
CB-101
311
-83
600.0
507,664.2
6,411,509.7
501.0
CB-102
276
-85
600.0
507,663.9
6,411,509.2
501.6
CB-103
312
-75
87.0
507,757.4
6,411,777.7
500.4
CB-103A
312
-75
516.0
507,757.4
6,411,777.7
500.4
CB-104
311
-81
540.0
507,758.3
6,411,828.6
512.5
CB-105
300
-85
552.0
507,731.3
6,411,763.8
500.6
CB-106
297
-82
33.0
507,757.1
6,411,828.8
512.5
CB-106A
297
-82
21.0
507,757.1
6,411,828.8
512.5
CB-106B
296
-82
529.2
507,757.1
6,411,828.8
512.5
CB-107
307
-80
21.0
507,731.7
6,411,764.3
500.6
CB-107A
307
-80
529.5
507,731.7
6,411,764.3
500.6
CB-107A-1
307
-80
498.0
507,731.7
6,411,764.3
500.6
CB-108
316
-74
55.3
507,703.1
6,411,368.2
540.5
CB-108A
316
-73
651.0
507,703.1
6,411,368.2
540.5
CB-108A-1
316
-73
651.0
507,703.1
6,411,368.2
540.5
CB-109
307
-66
561.0
508,160.7
6,412,196.5
517.3
CB-109-1
307
-66
555.0
508,160.7
6,412,196.5
517.3
CB-110
307
-67.5
36.0
508,168.8
6,412,222.7
516.9
CB-110A
307
-67.5
549.0
508,168.8
6,412,222.7
516.9
CB-110A-1
307
-67.5
555.0
508,168.8
6,412,222.7
516.9
CB-111
307
-68
33.0
508,171.7
6,412,220.5
517.1
CB-111A
307
-68
543.0
508,171.7
6,412,220.5
517.1
CB-112
323
-79
549.0
507,638.4
6,411,487.8
500.6
CB-112-1
323
-79
538.0
507,638.4
6,411,487.8
500.6
CB-113
307
-81
540.0
507,638.4
6,411,487.8
500.6
CB-114
307
-68
32.0
508,148.3
6,412,184.9
517.9
CB-114A
308
-68.5
32.0
508,148.3
6,412,184.9
517.9
CB-114B
310
-68.5
32.0
508,148.3
6,412,184.9
517.9
CB-114C
308
-68.5
548.0
508,148.3
6,412,184.9
517.9
CB-114C-1
308
-68.5
542.0
508,148.3
6,412,184.9
517.9
 
 
 
 
 
 
Summary Characteristics of Drilling (UEX) (2/2)
Drill hole ID
Azimuth
Dip
Length
Easting*
Northing*
Elevation
(metre)
(metre)
(metre)
(metre)
CB-115
310
-80
486
507,702.4
6,411,746.9
500.5
CB-116
310
-66.5
33
508,132.7
6,412,168.2
518
CB-116A
310
-66.5
540
508,132.7
6,412,168.2
518
CB-116A-1
310
-66.5
531
508,132.7
6,412,168.2
518
CB-116A-2
310
-66.5
537
508,132.7
6,412,168.2
518
CB-117
310
-78
516
507,730.0
6,411,723.0
500
CB-118
306
-67
534
508,114.2
6,412,143.2
517.8
CB-118-1
306
-67
558
508,114.2
6,412,143.2
517.8
CB-118-2
306
-67
532.3
508,114.2
6,412,143.2
517.8
CB-119
308
-69
39
508,186.8
6,412,237.4
516.8
CB-119A
305
-67
30
508,186.8
6,412,237.4
516.8
CB-119B
305
-67
565
508,186.8
6,412,237.4
516.8
CB-120
304
-70
549
508,096.3
6,412,118.9
519.6
CB-120-1
304
-70
525
508,096.3
6,412,118.9
519.6
CB-121
304
-70
531
508,057.0
6,412,088.7
519.6
CB-122
305
-63.5
561
508,076.7
6,412,104.5
519.3
CB-122-1
305
-63.5
372
508,076.7
6,412,104.5
519.3
CB-122-2
305
-63.5
540
508,076.7
6,412,104.3
519.3
CB-123
305
-73
594
508,141.0
6,412,177.1
517.8
CB-124
303
-63
597
508,339.4
6,412,363.4
516.7
CB-124-1
303
-63
566
508,339.4
6,412,363.4
516.7
CB-125
308
-75
525.4
508,287.3
6,412,552.7
500.2
CB-126
308
-76
531
508,393.5
6,412,668.3
500.2
CB-127
302
-78
540
508,502.5
6,412,841.5
500.2
CB-128
304
-78
534
508,589.0
6,412,896.6
500.2
CB-129
306
-77.5
506.8
508,124.3
6,412,302.6
501.8
CB-130
304
-69
525
508,024.7
6,412,051.5
519.8
CB-131
300
-70
542
507,967.4
6,411,967.0
514.7
CB-132
300
-75
522
507,899.0
6,411,928.0
515.3
CB-133
300
-80
520.4
507,804.3
6,411,877.4
514.1
CB-134
301
-80
528
507,841.7
6,411,911.7
516.1
CB-135
300
-70
549
505,869.0
6,41,0538.4
525.1
CB-136
303
-69.5
516
507,380.6
6,410,747.5
508.2
CB-137
300
-69
538.6
505,579.1
6,410,206.1
508.1
CB-138
310
-79
555
507,380.7
6,410,747.4
508.1
CB-139
305
-71
666
506,126.1
6,410,833.5
549.5
CB-140
309
-70
636
507,687.3
6,411,168.1
542.3
CB-141
308
-71
663
506,194.3
6,411,049.6
552.5
CB-142
307
-71
573
508,054.0
6,412,463.0
499.6
CB-143
308
-81
540
508,070.1
6,412,437.8
499.9
CB-144
308
-70
645
506,278.6
6,411,103.3
552.3
CB-145
318
-84
531
508,079.4
6,412,419.0
499.5
CB-146
307
-68
630
506,166.2
6,410,939.1
552.1
CB-147
310
-66
579
505,393.6
6,409,717.9
534.0
CB-148
303
-76
612
506,166.4
6,410,938.8
552.4
CB-149
311
-71.5
527
507,994.9
6,412,500.1
500.2
CB-150
305
-72
545
508,758.1
6,413,157.8
506.6
CB-151
305
-78
542
508,771.7
6,413,147.8
507.5
CB-152
328
-68
572
508,248.6
6,412,299.2
515.4
CB-153
302
-81
176
508,776.7
6,413,142.7
507.5
CB-153A
293
-79
542
508,803.5
6,413,147.7
506.6
CB-154
302
-79
2
508,731.3
6,413,033.9
506.6
CB-154A
302
74
548
508,732.9
6,413,032.8
506.5
Total
 
 
48,641
 
 
 
* UTM NAD83 Zone13 North
 
 
 
 
 
 
CERTIFICATE Of Qualified person
 
To Accompany the report entitled: Technical Report for the Christie Lake Uranium Project, Saskatchewan, Canada with an effective date of December 31, 2021 and a signature date of
June 7, 2022.
 
I, Glen Cole, do hereby certify that:
 
1)
I am a Principal Consultant (Resource Geology) with the firm of SRK Consulting (Canada) Inc. (SRK) with an office at Suite 1500, 155 University Avenue, Toronto, Ontario, Canada;
2)
I am a graduate of the University of Cape Town in South Africa with a BSc (Hons) in Geology in 1983; I obtained a MSc (Geology) from the University of Johannesburg in South Africa in 1995 and a MEng in Mineral Economics from the University of the Witwatersrand in South Africa in 1999. I have practiced my profession continuously since 1986. Between 1986 and 2005, I worked at several exploration projects, underground and open pit mining operations in Africa and held various senior positions, with the responsibility for estimation of Mineral Resources and Mineral Reserves for development projects and operating mines. Since 1986, I have worked on various styles of uranium deposits in South Africa, Niger, Wyoming (USA) and within the Athabasca Basin in Canada;
3)
I am a professional Geoscientist registered with the Association of Professional Engineers & Geoscientists of Saskatchewan (APEGS# 26003) and with the Association of Professional Geoscientists of Ontario (APGO#1416);
4)
I have personally inspected the subject project during September 18 to September 21, 2018;
5)
I have read the definition of Qualified Person set out in National Instrument 43-101 and certify that by virtue of my education, affiliation to a professional association, and past relevant work experience, I fulfill the requirements to be a Qualified Person for the purposes of National Instrument 43-101 and this technical report has been prepared in compliance with National Instrument 43-101 and Form 43-101F1;
6)
I, as a Qualified Person, I am independent of the issuer as defined in Section 1.5 of National Instrument 43-101;
7)
I am the author of this report and am responsible for all the sections of this report, and accept professional responsibility for this technical report;
8)
I have read National Instrument 43-101 and confirm that this technical report has been prepared in compliance therewith;
9)
SRK Consulting (Canada) Inc. was retained by UEX Corporation to prepare a technical audit of the Christie Lake Uranium Project. In conducting our audit, a gap analysis of project technical data was completed using CIM Estimation of Mineral Resources and Mineral Reserves Best Practice Guidelines and Canadian Securities Administrators National Instrument 43-101 guidelines. The preceding report is based on a site visit, a review of project files and discussions with UEX Corporation personnel;
10)
I have not received, nor do I expect to receive, any interest, directly or indirectly, in the Christie Lake Project or securities of UEX Corporation; and
11)
That, as of the date of this certificate, to the best of my knowledge, information and belief, this technical report contains all scientific and technical information that is required to be disclosed to make the technical report not misleading.
 
 
 
Toronto, Ontario
June 7, 2022
 
 
[“Original signed and sealed”]
Glen Cole, PGeo. (APEGS# 26003 and APGO#1416)
Principal Consultant (Resource Geology)
 
 
 
 
 
 
 
letter_enclosingchristiel
Exhibit 99.2

 
 
March 27, 2023
 
 
 
VIA SEDAR
 
 
 
British Columbia Securities Commission
Alberta Securities Commission
Financial and Consumer Affairs Authority of Saskatchewan
The Manitoba Securities Commission
Ontario Securities Commission
Autorite des marches financiers (Quebec)
Nova Scotia Securities Commission
Financial and Consumer Services Commission (New Brunswick)
Office of the Superintendent of Securities, Service Newfoundland and Labrador
Office of the Superintendent Securities (Prince Edward Island)
Northwest Territories Office of the Superintendent of Securities
Office of the Yukon Superintendent of Securities
Nunavut Securities Office
 
 
Dear Sirs/Mesdames:
 
Re:            
Denison Mines Corp. (the "Company") — Voluntary Filing of Technical Report
 
The enclosed technical report entitled “Technical Report for the Christie Lake Uranium Project, Saskatchewan, Canada", effective date December 31, 2021, is being filed by the Company on a voluntary basis as contemplated under section 4.2(12) of Companion Policy 43-101CP to National Instrument 43-101 —Standards of Disclosure for Mineral Projects (“NI 43-101”).
 
The project to which the report relates is not on a property material to the Company and the report is not being filed as a result of a requirement of Part 4 of NI 43-101. The report is being filed by the Company following its August 2021 acquisition of 50% ownership of JCU (Canada) Exploration Company, Ltd., which holds a 34.4508% interest in the Christie Lake project.
 
Best regards,
 
“Christina Huber”
 
Christina Huber
 
51326948.2