UNITED STATES
SECURITIES AND EXCHANGE COMMISSION
Washington, D.C. 20549

 

Form 6-K

 

REPORT OF FOREIGN PRIVATE ISSUER
PURSUANT TO RULE 13a-16 OR 15d-16
UNDER THE SECURITIES EXCHANGE ACT OF 1934

 

For the month of December 2022

 

Commission File Number: 001-31880

 

Yamana Gold Inc.

(Translation of registrant’s name into English)

 

ROYAL BANK PLAZA, NORTH TOWER 200 BAY STREET, SUITE 2200 TORONTO, ONTARIO,
CANADA M5J2J3
(Address of principal executive offices)

 

Indicate by check mark whether the registrant files or will file annual reports under cover of Form 20-F or Form 40-F.

 

Form 20-F ¨      Form 40-F x

 

Indicate by check mark if the registrant is submitting the Form 6-K in paper as permitted by Regulation S-T Rule 101(b)(1): ¨

 

Indicate by check mark if the registrant is submitting the Form 6-K in paper as permitted by Regulation S-T Rule 101(b)(7): ¨

 

The Registrant’s Notice of Meeting and Management Information Circular, included as Exhibit 99.1 of this Form 6-K (Commission File No. 001-31880), furnished to the Commission on December 28, 2022, is incorporated by reference into the Registration Statements on Form S-8 (Commission File No. 333-159047, File No. 333-148048 and File No. 333-145300), Form F-3D (Commission File No. 333-217016) and Form F-10 (Commission File No. 333-264471) of the Registrant, Yamana Gold Inc.

 

 

 

 

 

 

SIGNATURES

 

Pursuant to the requirements of the Securities Exchange Act of 1934, the registrant has duly caused this report to be signed on its behalf by the undersigned, thereunto duly authorized.

 

  Yamana Gold Inc.
  (Registrant)
   
Date: December 28, 2022 /s/ Sofia Tsakos
  Sofia Tsakos
  Senior Vice President, General Counsel and Corporate Secretary

 

 

 

 

EXHIBIT INDEX

 

Exhibit Number   Description
     
99.1   Notice of Meeting and Management Information Circular
99.2   Form of Proxy
99.3   Letter of Transmittal

 

 

 

Exhibit 99.1

 

 

 

NOTICE OF SPECIAL MEETING

 

and

 

MANAGEMENT INFORMATION CIRCULAR

 

of

 

YAMANA GOLD INC.

 

for the

 

SPECIAL MEETING OF SHAREHOLDERS

 

TO BE HELD ON JANUARY 31, 2023

 

with respect to a proposed

 

PLAN OF ARRANGEMENT

 

involving

 

YAMANA GOLD INC., PAN AMERICAN SILVER CORP. AND AGNICO EAGLE MINES LIMITED

 

December 20, 2022

 

TAKE ACTION AND VOTE TODAY

 

These materials are important and require your immediate attention. The shareholders of Yamana Gold Inc. (“Yamana”) are required to make important decisions. If you are in doubt as to how to make such decisions, please contact your financial, legal, tax or other professional advisors.

 

Shareholders of Yamana that have any questions or require more information with regard to voting their securities may contact Yamana’s strategic shareholder advisor and proxy solicitation agent, Laurel Hill Advisory Group, at 1-877-452-7184 toll free in North America, or at 1-416-304-0211 outside of North America, or by e-mail at assistance@laurelhill.com.

 

No securities regulatory authority or stock exchange in Canada, the United States, the United Kingdom or elsewhere has expressed an opinion about, or passed upon the fairness or merits of, the transactions described in this document, the securities being offered pursuant to such transactions or the adequacy of the information contained in this document and it is an offense to claim otherwise. No securities regulatory authority or stock exchange in Canada, the United States, the United Kingdom or elsewhere has approved or registered this document, and this document is not required to be registered with a securities regulatory authority or stock exchange in any such jurisdiction.

 

 

 

  

 

 

LETTER TO YAMANA SHAREHOLDERS

 

December 20, 2022

 

Dear Yamana Shareholders,

 

The board of directors (the “Yamana Board”) of Yamana Gold Inc. (“Yamana”) cordially invites you to attend a special meeting (the “Yamana Meeting”) of the holders (the “Yamana Shareholders”) of common shares of Yamana (the “Yamana Shares”) to be held at Design Exchange Toronto-Dominion Centre, 234 Bay Street, Toronto, Ontario and online at https://web.lumiagm.com/497366151, password: yamana2023 (case sensitive) on January 31, 2023 at 1:00 p.m. (Toronto time).

 

The Transaction

 

At the Yamana Meeting, the Yamana Shareholders will be asked to consider a resolution (the “Arrangement Resolution”) regarding a transaction (the “Arrangement”) whereby all of the issued and outstanding Yamana Shares will be acquired by Pan American Silver Corp. (“Pan American”) immediately following the sale by Yamana of its Canadian assets, including certain subsidiaries and partnerships which hold Yamana’s interests in the Canadian Malartic mine, to Agnico Eagle Mines Limited (“Agnico”), all in exchange for US$1.0406 in cash from Agnico, 0.1598 of a common share of Pan American (each whole common share, a “Pan American Share”) and 0.0376 of a common share of Agnico (each whole common share, an “Agnico Share”) for each Yamana Share held (the “Consideration”).

 

The Background

 

Yamana and Gold Fields Limited (“Gold Fields”) entered into an arrangement agreement dated May 31, 2022 (the “Gold Fields Arrangement Agreement”). On November 4, 2022, Yamana announced that it had received an unsolicited binding proposal from Pan American and Agnico with respect to the Arrangement (the “New Offer”). The Yamana Board determined in good faith, after consultation with its outside financial and legal advisors, and after taking into account all the terms and conditions of such New Offer and all factors and matters considered appropriate in good faith by the Yamana Board, including the unanimous recommendation of the special committee of independent directors of the Yamana Board (the “Yamana Special Committee”), that the New Offer constituted a “Yamana Superior Proposal” as defined by, and in accordance with, the terms of the Gold Fields Arrangement Agreement. Following a waiver by Gold Fields of its five business day matching right and response period under the Gold Fields Arrangement Agreement, on November 8, 2022, Yamana entered into the arrangement agreement dated November 4, 2022 with Pan American and Agnico (the “Arrangement Agreement”) with respect to the New Offer, and the Yamana Board changed its recommendation with respect to the pending transaction with Gold Fields and unanimously recommended that Yamana Shareholders vote against the transaction with Gold Fields at the special meeting of Yamana Shareholders which was scheduled for November 21, 2022. The Arrangement Agreement, as a “Permitted Acquisition Agreement” under the Gold Fields Arrangement Agreement, required that, until such time as the Gold Fields Arrangement Agreement had been terminated in accordance with its terms, all of the obligations of Yamana (other than confidentiality and standstill obligations) in the Arrangement Agreement would become effective only upon the Gold Fields Arrangement Agreement not being approved by Yamana shareholders at the special meeting. On November 8, 2022, Gold Fields terminated the Gold Fields Arrangement Agreement and the Arrangement Agreement immediately became effective. The special meeting of Yamana Shareholders previously scheduled for November 21, 2022 in connection with the pending transaction with Gold Fields was cancelled, and Yamana paid a termination fee of US$300 million, less applicable withholding taxes, to Gold Fields in accordance with the Gold Fields Arrangement Agreement. Pursuant to the terms of the Arrangement Agreement, Pan American funded Yamana with US$150 million in cash for the payment of such termination fee.

 

1

 

 

Recommendation of the Yamana Special Committee

 

The Yamana Special Committee, having undertaken a thorough review of, and having carefully considered the terms of the Arrangement and the Arrangement Agreement, and after consulting with management of Yamana and its financial and legal advisors, including having received and taken into account the fairness opinion received from Scotia Capital Inc. (“Scotiabank”) and such other matters as it considered necessary and relevant, including the factors set out below and in the accompanying Circular (as defined below) under the heading “The Arrangement – Reasons for the Recommendation of the Yamana Special Committee and the Yamana Board”, unanimously recommended to the Yamana Board that the Yamana Board determine that the Arrangement and entering into the Arrangement Agreement are in the best interest of Yamana and that the Yamana Board authorize Yamana to enter into the Arrangement Agreement and all related agreements and recommend that Yamana Shareholders vote in favour of the Arrangement Resolution.

 

Recommendation of the Yamana Board

 

The Yamana Board, having undertaken a thorough review of, and having carefully considered the terms of the New Offer, and after consultation with representatives of Yamana’s management team, its financial and legal advisors, having received the unanimous recommendation of the Yamana Special Committee, and having received and taken into account the fairness opinion received from Scotiabank and such other matters as it considered necessary and relevant, including the factors set out below and in the accompanying Circular under the heading “The Arrangement – Reasons for the Recommendation of the Yamana Special Committee and the Yamana Board”, unanimously determined that the Arrangement and entering into the Arrangement Agreement are in the best interest of Yamana.

 

The Yamana Board unanimously recommends that Yamana Shareholders vote IN FAVOUR of the Arrangement Resolution.

 

Reasons for the Recommendation of the Yamana Special Committee and the Yamana Board

 

·Significant premium. The Consideration represents a 23% premium to the closing price of the Yamana Shares as of November 3, 2022, the last trading day prior to the submission of the New Offer, and a 15% premium to the implied price of the Gold Fields offer, based on the closing price of the Gold Fields shares as of November 3, 2022.

 

·Significant cash consideration. The Consideration includes a cash component of US$1 billion, or US$1.0406 per Yamana Share (the “Cash Consideration”), which provides immediate and certain value to Yamana Shareholders amidst heightened capital markets volatility and fluctuating share prices.

 

·Realization of inherent value and future upside potential. The value of the Consideration exceeds Yamana’s market value on November 3, 2022, and better reflects the inherent value of its portfolio. In addition to representing a compelling value as at November 3, 2022, the Consideration offers Yamana Shareholders the opportunity to benefit from potential appreciation in the share prices of Pan American and Agnico due to the positive impacts of the Arrangement on their respective businesses, including potential synergies.

 

·Crystallization of material share price outperformance and historically high exchange ratio versus each of Agnico and Pan American. The exchange ratio between the Yamana Shares, on the one hand, and each of the Pan American Shares and Agnico Shares, on the other hand, as at November 3, 2022 reflects a significantly higher value than such ratios in May 2022, prior to the announcement of the Gold Fields arrangement or at the beginning of 2022. The Agnico Share exchange ratio has risen by 33% year-to-date, by 10% since mid-May 2022, and is 29% above its three-year average. Similarly, the Pan American Share exchange ratio has increased by 101% year-to-date, by 49% since mid-May, and stands 78% above its three-year average. Yamana Shareholders will benefit from these material improvements in the exchange ratios through increased pro forma ownership in each company and will be positioned to further benefit as Agnico and Pan American realize superior value and synergies from the transaction.

 

2

 

 

·Exposure to a world-class portfolio through retained ownership in Agnico. Upon completion of the Arrangement, it is anticipated that Yamana Shareholders will own approximately 7.41% of pro forma Agnico. Agnico owns and operates a portfolio of mines in the leading mining jurisdictions of Canada, Australia, Finland, and Mexico with over 80% of its production coming from Canada. Yamana Shareholders will continue to have exposure to Canadian Malartic and benefit from the consolidation of ownership, including substantial expected future additional mill capacity at the mine that Agnico is uniquely positioned to fill given its extensive operations, exploration properties and land position. In addition, Agnico will show an immediate and meaningful growth in production and is well positioned to develop, build, and operate both the Odyssey underground and Wasamac development projects given its extensive mine building experience and expertise, and ability to leverage existing infrastructure in the Abitibi region.

 

·Exposure to a market-leading Latin American platform through retained ownership in Pan American. Upon completion of the Arrangement, it is anticipated that Yamana Shareholders will own approximately 42.7% of the Combined Company, which would have significantly increased the production profile in 2022 to 1.4 million GEO per year comprised of 25.5 million ounces of silver and 1.08 million ounces of gold representing an approximate 90% increase in GEO production and approximately 60% and 100% growth in silver and gold production, based on 2022 guidance, excluding Manantial Espejo (guidance and forward-looking GEO assumes gold ounces plus the equivalent of silver ounces using a ratio of 72.55). Yamana Shareholders will benefit from the extensive experience of the combined management team in Latin America and from exposure to an enlarged portfolio with a diversified operating footprint consisting of 11 operating mines across mining friendly jurisdictions in the Americas. In addition, Yamana Shareholders will be positioned to benefit from the potential re-opening of the Escobal silver mine, one of the world’s premier silver deposits, as well as the growth from the advancement of the La Colorada Skarn project.

   

·Strategic and operational synergies. The Arrangement provides the opportunity to unlock significant strategic and operational synergies through the streamlining and optimization of corporate and joint venture costs, leveraging existing assets and infrastructure, and the application of best practices and innovation across sites as Yamana’s Canadian platform is integrated into Agnico’s portfolio and through the combination of Yamana’s and Pan American’s Latin American portfolios. Yamana Shareholders will have exposure to these synergies through their retained ownership in each of Pan American and Agnico.

 

·Management strength and integration. The combined company will benefit from the integration of mining and business leadership with extensive experience operating in the Americas, bringing together the proven strengths and capabilities and focus on delivering increased value to shareholders. Furthermore, three independent directors of Yamana will be appointed to the Pan American board of directors, with the objective of providing business continuity, mitigation of integration risks and supporting value delivery to shareholders.

 

·Leading ESG credentials and complementary cultures. Yamana’s industry leading environmental, social and governance (“ESG”) credentials and results are expected to contribute to the relative improvement of the combined company’s performance and improve its ESG positioning among peers. In particular, Yamana’s climate action strategy and its leading efforts in emissions reduction are expected to support and advance the greenhouse gas emissions intensity performance in the combined company. Furthermore, each of Yamana, Pan American and Agnico are disciplined, value-driven companies focused on operational delivery, prudent capital allocation, portfolio management, responsible growth and strong shareholder returns, all of which are underpinned by a strong focus on people, particularly their safety, and upholding leading sustainability and ESG performance.

  

3

 

  

·Business climate and review of strategic alternatives. The Yamana Board has periodically reviewed a range of strategic alternatives for creating shareholder value, and in the ordinary course of business Yamana has had regular engagement with several industry peers in that regard, including other potential transactions. For a summary of the engagements since early 2020 see “The Arrangement – Background to the Arrangement” in the Circular. After consultation on the Arrangement with its financial and legal advisors, and after review of the current and prospective business climate in the precious metals mining industry and other strategic opportunities reasonably available to Yamana, including continuation as an independent enterprise, potential acquisitions and various combinations of Yamana or its mineral properties by way of joint venture or otherwise, in each case taking into account the potential benefits, risks and uncertainties associated with those other opportunities, the Yamana Board believes that following completion of the Arrangement, pro forma Pan American and pro forma Agnico will be better positioned to pursue a growth and value maximizing strategy than Yamana as a standalone entity.

 

·Value proposition. Yamana has consistently maintained, in the course of market activities and in the evaluation of business combinations, as more particularly described elsewhere in the Circular, that the quality of its assets supports considerably more value and upside than ascribed to those assets as reflected in the price of Yamana Shares. Through this process, each of Gold Fields, Agnico and Pan American reviewed detailed technical information on all Yamana’s operating mines and major development projects, including technical reports, life of mine and strategic life of mine plans and exploration data. In agreeing to pay a premium, Gold Fields recognized the Yamana Board view that Yamana had more value than was reflected in the price of Yamana Shares and the subsequent superior proposal from Agnico and Pan American that resulted in the Arrangement provided further confirmation of that value in a competitive environment.

 

·Canadian Tax Treatment. Under the terms of the Gold Fields Arrangement Agreement, Yamana Shareholders who are resident in Canada could not take advantage of any Canadian tax deferral on the disposition of their Yamana Shares to Gold Fields. In contrast, under the New Offer, the exchange of each outstanding Yamana Share (other than a Dissent Share) for a Class A Share, the Agnico Share Consideration and the Cash Consideration is intended to qualify as a tax-deferred reorganization and should not give rise to any deemed dividend under the Arrangement based on Yamana’s expectation that the aggregate fair market value of the Agnico Shares and Cash Consideration (including any cash in lieu of a fractional Agnico Share) distributed to Yamana Shareholders on the exchange should not exceed the aggregate “paid-up capital” (as determined for purposes of the Tax Act) of all of the issued and outstanding Yamana Shares immediately before the exchange. In addition, Yamana Shareholders who are resident in Canada will only realize a capital gain on the exchange if, and to the extent that, the aggregate fair market value of the Agnico Shares and Cash Consideration (including any cash in lieu of a fractional Agnico Share) received exceeds the adjusted cost base of such Yamana Shareholder’s Yamana Shares immediately before the exchange. Further, the exchange of Yamana Shares for Pan American Shares pursuant to the Arrangement will generally be a tax deferred transaction for Yamana Shareholders who are resident in Canada and who do not choose to report a capital gain on their Canadian federal income tax return in respect of the Arrangement. The tax consequences of the Arrangement are discussed under the heading “Certain Income Tax Considerations – Certain Canadian Federal Income Tax Considerations”.

  

4

 

 

·Ability to close with low execution risk. Each of Yamana, Pan American and Agnico is committed to completing the Arrangement, has a proven track record of completing deals, and anticipates that the parties will be able to complete the Arrangement prior to the outside date. The Arrangement requires approval by at least two-thirds of the votes cast by Yamana Shareholders present or represented by proxy and entitled to vote at the Yamana Meeting, approval by at least a simple majority of Pan American Shareholders present or represented by proxy and entitled to vote at the Pan American shareholder meeting and is not subject to review under the Investment Canada Act.

 

·Participation in dividend distributions. Yamana Shareholders are expected to benefit from both Agnico and Pan American’s practice of returning value to shareholders in the form of quarterly dividends.

 

·Other factors. The Yamana Board also carefully considered the Arrangement with reference to current economic, industry and market trends affecting each of Yamana, Pan American and Agnico, information concerning mineral reserves and mineral resources, business, operations, properties, assets, financial condition, operating results and prospects of each of Yamana, Pan American and Agnico and the historical trading prices of the Yamana Shares, the Pan American Shares and the Agnico Shares, taking into account the results of Yamana’s due diligence review of Pan American, Agnico and their respective properties.

 

Details of the Arrangement, which will proceed by way of a plan of arrangement under the Canada Business Corporations Act, including of the issuance of the Pan American Shares and Agnico Shares and the payment of the cash consideration in connection with the Arrangement, are described in more detail in the accompanying Notice of Special Meeting of Shareholders of Yamana and the management information circular of Yamana dated December 20, 2022 (the “Circular”). The Circular includes additional information to assist you in considering how to vote on the Arrangement Resolution, including risk factors relating to the completion of the Arrangement. You should carefully review and consider all of the information in the Circular. If you require assistance, consult your financial, legal, tax or other professional advisors.

 

Support and Voting Agreements

 

All of the directors and executive officers of Yamana have entered into support and voting agreements with Pan American and Agnico pursuant to which they have agreed, among other things, to vote their Yamana Shares in favour of the Arrangement Resolution.

 

Approval Requirements

 

The Yamana Board has set the close of business on December 14, 2022 as the record date (the “Record Date”) for determining the Yamana Shareholders who are entitled to receive notice of and vote at the Yamana Meeting. Only registered holders of Yamana Shares, or their duly appointed proxyholders, at the close of business on the Record Date will be entitled to receive notice of the Yamana Meeting and to vote on the Arrangement Resolution. Each Yamana Shareholder is entitled to one vote for each Yamana Share held by such holder as of the close of business on the Record Date.

 

In order for the Arrangement to proceed, the Arrangement Resolution must be approved by the affirmative vote of at least 662/3% of the votes cast by Yamana Shareholders present in person (or online) or represented by proxy and entitled to vote at the Yamana Meeting. If the Arrangement Resolution is not approved by Yamana Shareholders at the Yamana Meeting, the Arrangement cannot be completed.

 

In addition to approval by Yamana Shareholders, the Arrangement is subject to customary closing conditions for a transaction of this nature, including the approval of the Arrangement by a simple majority of the votes cast by holders of Pan American Shares (the “Pan American Shareholders”) present in person or represented by proxy and entitled to vote at a special meeting of Pan American Shareholders to be held to consider the Arrangement, the receipt of required approvals from the Ontario Superior Court of Justice (Commercial List), and approval from the Mexican Federal Economic Competition Commission (COFECE). If the necessary regulatory approvals are obtained in a timely manner, the Arrangement is expected to be completed in the first quarter of 2023.

 

5

 

 

YOUR VOTE IS IMPORTANT REGARDLESS OF THE NUMBER OF YAMANA SHARES YOU OWN.

 

Whether or not you expect to attend the Yamana Meeting, we encourage you to take the time to complete, sign, date and return the enclosed form of proxy, voting instruction form or form of instruction, as applicable, in accordance with the instructions set out therein so that your Yamana Shares can be voted at the Yamana Meeting. See “Information Concerning the Yamana Meeting” in the Circular for more information.

 

Proxies must be submitted (in accordance with the instructions set out on the form of proxy) no later than 4:00 p.m. (Toronto time) on January 27, 2023, or no later than 4:00 p.m. (Toronto time) on the date that is two days (excluding Saturdays, Sundays and holidays) before the date of any adjourned or postponed Yamana Meeting. A completed voting instruction form or form of instruction, as applicable, should be deposited in accordance with the instructions printed on the form. The time limit for deposit of proxies may be waived or extended by the Chair of the Yamana Meeting, at the Chair’s discretion, with or without notice.

 

If you have any questions or need additional information regarding the voting of your Yamana Shares, you should contact your financial, legal, tax or other professional advisors, or contact Yamana’s strategic shareholder advisor and proxy solicitation agent, Laurel Hill Advisory Group, at 1-877-452-7184 (toll free in North America), at 1-416-304-0211 (for collect calls outside of North America), or by e-mail at assistance@laurelhill.com.

 

On behalf of the Yamana Board, I would like to express our gratitude for the support our Yamana Shareholders have demonstrated with respect to our decision to pursue this superior opportunity. Pan American's unparalleled track record in Latin America and Agnico’s deep existing knowledge of the Canadian Malartic mine and presence in the Abitibi region uniquely position the two companies to effectively operate and rapidly unlock further value from Yamana's portfolio of assets to the benefit of the shareholders and other stakeholders of all three companies.

 

We believe that the Arrangement will be transformative for both Yamana Shareholders and Pan American Shareholders and will establish the combined entity as a major precious metals producer in Latin America, while the consolidation of the Canadian Malartic mine would place a world-class asset into the hands of the best-positioned operator to develop the mine’s full potential and would give Agnico operational control during the remaining development period of the Odyssey project and future projects.

 

Yours very truly,

 

(Signed) “Peter Marrone

 

Peter Marrone
Executive Chairman

Yamana Gold Inc.

 

6

 

 

YAMANA GOLD INC.
NOTICE OF SPECIAL MEETING OF SHAREHOLDERS

 

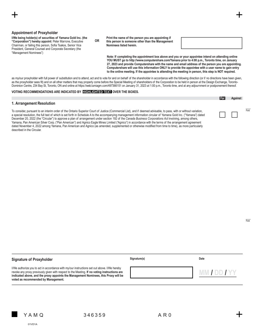
NOTICE IS HEREBY GIVEN that, pursuant to an order (the “Interim Order”) of the Ontario Superior Court of Justice (Commercial List) (the “Court”) dated December 20, 2022, a special meeting (the “Yamana Meeting”) of the holders (the “Yamana Shareholders”) of common shares (the “Yamana Shares”) of Yamana Gold Inc. (“Yamana”) will be held at Design Exchange Toronto-Dominion Centre, 234 Bay Street, Toronto, Ontario and online at https://web.lumiagm.com/497366151, password: yamana2023 (case sensitive) at 1:00 p.m. (Toronto time) on January 31, 2023, subject to any adjournment or postponement thereof, for the following purposes:

 

1.to consider, pursuant to the Interim Order, as may be amended, and, if deemed advisable, to pass, with or without variation, a special resolution (the “Arrangement Resolution”), the full text of which is set forth in Schedule A to the accompanying management information circular dated December 20, 2022 of Yamana (the “Circular”), to approve a plan of arrangement (the “Arrangement”) under section 192 of the Canada Business Corporations Act (the “CBCA”) involving, among others, Yamana, Pan American Silver Corp. (“Pan American”) and Agnico Eagle Mines Limited (“Agnico”), in accordance with the terms of the arrangement agreement dated November 4, 2022 among Yamana, Pan American and Agnico (as amended, supplemented or otherwise modified from time to time, the “Arrangement Agreement”); and

 

2.to transact such further and other business, including amendments to the foregoing, as may be properly brought before the Yamana Meeting or any adjournment or postponement thereof.

 

Specific details of the matters proposed to be put before the Yamana Meeting are set forth in the Circular which accompanies this notice of special meeting of Yamana Shareholders. The Arrangement Agreement has been filed under Yamana’s issuer profile on SEDAR at www.sedar.com  and on EDGAR at www.sec.gov.

 

It is a condition to completion of the Arrangement that the Arrangement Resolution be approved at the Yamana Meeting. In order for the Arrangement to proceed, the Arrangement Resolution must be approved by the affirmative vote of at least 662/3% of the votes cast by Yamana Shareholders present in person (or online) or represented by proxy and entitled to vote at the Yamana Meeting. If the Arrangement Resolution is not approved by Yamana Shareholders at the Yamana Meeting, the Arrangement cannot be completed.

 

The board of directors of Yamana (the “Yamana Board”) unanimously recommends that Yamana Shareholders vote IN FAVOUR of the Arrangement Resolution.

 

The Yamana Board has set the close of business on December 14, 2022 as the record date (the “Record Date”) for determining the Yamana Shareholders who are entitled to receive notice of and vote at the Yamana Meeting. Only persons shown on the register of Yamana Shareholders (“Registered Yamana Shareholders”), or their duly appointed proxyholders, at the close of business on the Record Date will be entitled to receive notice of the Yamana Meeting and to vote on the Arrangement Resolution. Each Yamana Shareholder, including each holder of depositary interests of Yamana (“Yamana Depositary Interests”), each of which represents an entitlement to one Yamana Share, is entitled to one vote for each Yamana Share (including each Yamana Share underlying a Yamana Depositary Interest) held by such holder as of the close of business on the Record Date.

 

Yamana is conducting the Yamana Meeting as a hybrid meeting that will allow Registered Yamana Shareholders and duly appointed proxyholders to participate both in person and online in real time. Yamana is providing the virtual format in order to provide Yamana Shareholders, including holders of Yamana Depositary Interests, with an equal opportunity to attend and participate at the Yamana Meeting, regardless of the particular constraints, circumstances or risks that they may be facing as a result of COVID-19.

 

Only Registered Yamana Shareholders and duly appointed proxyholders and representatives (including any non-registered beneficial Yamana Shareholders (“Non-Registered Yamana Shareholders”) and holders of Yamana Depositary Interests who have, in each case, appointed themselves as proxyholders or representatives) will be able to attend, ask questions and vote at the Yamana Meeting, either in person or online in real time, provided that they are connected to the internet (for those attending online) and carefully follow the instructions set out in the Circular and the related proxy materials. Non-Registered Yamana Shareholders, including holders of Yamana Depositary Interests, unless they have been duly appointed as proxyholders or representatives in accordance with the procedures set out in the Circular and related proxy materials, will only be able to listen to a live webcast of the Yamana Meeting or attend the Yamana Meeting in person as guests, but will not be able to ask questions or vote either in person or online in real time.

 

1

 

 

Holders of Yamana Depositary Interests should refer to “Information Concerning the Holders of Yamana Depositary Interests” in the Circular for information relating to the voting of their Yamana Depositary Interests at the Yamana Meeting, including what steps they must take in order to appoint themselves, or another person, as a representative in order to ask questions and vote either in person or online in real time at the Yamana Meeting.

 

Yamana is actively monitoring any public health and travel safety concerns relating to COVID-19 and any advisories or mandates that federal, provincial and local governments, and related agencies, may issue. ln the event it is not possible or advisable to hold the Yamana Meeting in person as currently planned, Yamana may be required to hold a virtual-only meeting, in which case Yamana will announce the decision to do so via a press release and by posting details on Yamana’s website that will also be filed on Yamana’s issuer profile on SEDAR at www.sedar.com and on EDGAR at www.sec.gov.

 

Registered Yamana Shareholders who are unable to attend the Yamana Meeting either in person or online (or if the Yamana Meeting is adjourned or postponed, any reconvened Yamana Meeting) are requested to date, sign and return the enclosed form of proxy. To be used and acted upon at the Yamana Meeting, proxy forms must be completed and deposited at the office of Yamana’s transfer agent at: Computershare Trust Company of Canada, Attention: Proxy Department, 100 University Avenue, 8th Floor, Toronto, Ontario M5J 2Y1 by mail or by fax at 1-866-249-7775 (for Registered Yamana Shareholders in Canada and the United States) or 1-416-263-9524 (for Registered Yamana Shareholders outside of Canada and the United States) or as otherwise set out in the instructions contained in the form of proxy, no later than 4:00 p.m. (Toronto time) on January 27, 2023 or no later than 4:00 p.m. (Toronto time) on the date that is two days (excluding Saturdays, Sundays and holidays) before the date of any adjourned or postponed Yamana Meeting. Registered Yamana Shareholders may also vote online, by telephone or by mail by following the instructions found in the Circular, form of proxy or voting instruction form, as applicable. Late proxies may be accepted or rejected at the discretion of the Chair of the Yamana Meeting. The Chair is under no obligation to accept or reject any particular late proxy. The time limit for deposit of proxies may be waived or extended by the Chair of the Yamana Meeting, at the Chair’s discretion, with or without notice.

 

Non-Registered Yamana Shareholders (other than holders of Yamana Depositary Interests) holding Yamana Shares through an intermediary or broker may have an earlier deadline by which the intermediary or broker must receive voting instructions. Non-Registered Yamana Shareholders (other than holders of Yamana Depositary Interests) that hold Yamana Shares through an intermediary or broker and receive these materials through such intermediary or broker should complete and send the form of proxy or voting instruction form in accordance with the instructions provided by such intermediary or broker.

 

To ensure your vote is counted at the Yamana Meeting, holders of Yamana Depositary Interests should complete and submit the accompanying form of instruction, in accordance with the instructions set out therein, by no later than 11:00 a.m. (Toronto time) on January 26, 2023, or no later than 11:00 a.m. (Toronto time) on the date that is three days (excluding Saturdays, Sundays and holidays) before the date of any adjourned or postponed Yamana Meeting. Alternatively, holders of Yamana Depositary Interests may transmit voting instructions by utilizing the CREST (as such term is defined in the Circular) voting service in accordance with the procedures described in the CREST Manual (as such term is defined in the Circular). To be effective, the voting instructions must be transmitted so as to be received by Yamana’s agent (3RA50) by no later than 11:00 a.m. (Toronto time) on January 26, 2023, or no later than 11:00 a.m. (Toronto time) on the date that is three days (excluding Saturdays, Sundays and holidays) before the date of any adjourned or postponed Yamana Meeting.

 

2

 

 

Pursuant to the Interim Order, Registered Yamana Shareholders entitled to vote at the Yamana Meeting have a right to dissent with respect to the Arrangement Resolution and, if the Arrangement becomes effective, to be paid an amount equal to the fair value of their Yamana Shares as of the close of business on the day before the Arrangement Resolution was adopted, provided that they have strictly complied with the dissent procedures set forth in section 190 of the CBCA, as modified by the plan of arrangement (the “Plan of Arrangement”, a copy of which is set forth in Schedule B to the Circular) and the Interim Order. A Registered Yamana Shareholder entitled to vote at the Yamana Meeting who wishes to exercise dissent rights is required to deliver a written objection to the Arrangement Resolution to Yamana not later than 4:00 p.m. (Toronto time) on the date that is two Business Days immediately preceding the Yamana Meeting (or any adjournment or postponement thereof). Such notice must be delivered to Yamana at Royal Bank Plaza, North Tower, 200 Bay Street, Suite 2200, Toronto, Ontario M5J 2J3, Attention: Sofia Tsakos, Senior Vice President, General Counsel and Corporate Secretary, with a copy to Cassels Brock & Blackwell LLP, 2100 Scotia Plaza, 40 King Street West, Toronto, Ontario, Canada M5H 3C2, Attention: Stephanie Voudouris, and must otherwise strictly comply with the dissent procedures prescribed by the CBCA, as modified by the Plan of Arrangement and the Interim Order. A Yamana Shareholder’s right to dissent is more particularly described in the Circular. A copy of the Interim Order and the text of section 190 of the CBCA are set forth in Schedule D and Schedule E, respectively, to the Circular.

 

Failure to strictly comply with the dissent procedures set forth in section 190 of the CBCA, as modified by the Plan of Arrangement and the Interim Order, may result in the loss of any right to dissent. Non-Registered Yamana Shareholders, including holders of Yamana Depositary Interests, who wish to dissent should be aware that only Registered Yamana Shareholders are entitled to dissent in respect of the Arrangement Resolution. Registered Yamana Shareholders may only dissent with respect to all of the Yamana Shares held on behalf of any one such Non-Registered Yamana Shareholder and registered in the name of such dissenting Yamana Shareholder. Accordingly, a Non-Registered Yamana Shareholder desiring to exercise the right to dissent must make arrangements for the Yamana Shares beneficially owned by such Non-Registered Yamana Shareholder to be registered in such Non-Registered Yamana Shareholder’s name prior to the time the written objection to the Arrangement Resolution is required to be received by Yamana or, alternatively, make arrangements for the registered holder of such Yamana Shares to dissent on the Non-Registered Yamana Shareholder’s behalf. For a holder of Yamana Depositary Interests, this requires that such holder first withdraw the Yamana Shares underlying its Yamana Depositary Interests from CREST in accordance with the procedures described in the CREST Manual and then have such Yamana Shares registered in the name of such holder prior to the time the written objection to the Arrangement Resolution is required to be received by Yamana. Holders of Yamana Depositary Interests should contact Computershare UK at The Pavillions, Bridgwater Road, Bristol BS99 6ZY or by email at !UKALLDITeam2@computershare.co.uk, if they have any questions or need additional information or assistance with withdrawing the Yamana Shares underlying their Yamana Depositary Interests from CREST and then have such Yamana Shares registered in the name of such holder. It is strongly suggested that any Yamana Shareholder, including any holder of Yamana Depositary Interests, wishing to dissent seek independent legal advice, as the failure to strictly comply with the dissent procedures prescribed by the CBCA, as modified by the Plan of Arrangement and the Interim Order, may prejudice such Yamana Shareholder’s right to dissent.

 

If you have any questions or need additional information regarding the voting of your Yamana Shares, you should contact your financial, legal, tax or other professional advisors, or contact Yamana’s strategic shareholder advisor and proxy solicitation agent, Laurel Hill Advisory Group, at 1-877-452-7184 (toll free in North America), at 1-416-304-0211 (for collect calls outside of North America), or by e-mail at assistance@laurelhill.com.

 

Your vote is important, regardless of the number of Yamana Shares that you own. Whether or not you expect to attend the Yamana Meeting, we encourage you to vote using your form of proxy or voting instruction form, as applicable, as promptly as possible to ensure that your vote will be counted at the Yamana Meeting.

 

DATED at Toronto, Ontario this 20th day of December, 2022.

 

By order of the Board of Directors of Yamana Gold Inc.

 

“Peter Marrone”

 

Peter Marrone
Executive Chairman

 

3

 

 

TABLE OF CONTENTS

 

QUESTIONS AND ANSWERS RELATING TO THE YAMANA MEETING AND THE ARRANGEMENT 1
   
Questions Relating to the Arrangement 1
Questions Relating to the Yamana Meeting 13
   
GENERAL INFORMATION 27
   
Information Contained in this Circular 27
Information Concerning Pan American 28
Information Concerning Agnico 28
Presentation of Financial Information 28
Pro forma Financial Information 29
Solicitation of Proxies 29
Enforcement in Canada 30
Information for Shareholders not Resident in Canada 30
Currency Exchange Rate Information 30
Scientific and Technical Information 32
   
NOTICE TO YAMANA SECURITYHOLDERS IN THE UNITED STATES 33
   
INFORMATION CONCERNING THE HOLDERS OF YAMANA DEPOSITARY INTERESTS 36
   
FORWARD-LOOKING INFORMATION 40
   
EXECUTIVE SUMMARY 47
   
BUSINESS OF THE MEETING 64
   
Arrangement Resolution 64
Other Business 65
   
INFORMATION CONCERNING THE YAMANA MEETING 66
   
Attending the Yamana Meeting Online 66
Attending the Yamana Meeting in Person 70
Appointment and Revocation of Proxies 72
Voting of Proxies and Exercise of Discretion 73
Voting by Registered Yamana Shareholders 73
Voting by Non-Registered Yamana Shareholders (other than holders of Yamana Depositary Interests or holders in the United States) 75
Voting by Holders of Yamana Depositary Interests 77
Voting by Non-Registered Yamana Shareholders (other than holders of Yamana Depositary Interests) located in the United States 78
Guests 78
Record Date 78
Quorum 79
Yamana Shares and Principal Holders Thereof 79
New York Stock Exchange Rules 79
Vote Counting 79
   
THE ARRANGEMENT 80
   
Details of the Arrangement 80
Background to the Arrangement 81
Recommendation of the Yamana Special Committee 93
Recommendation of the Yamana Board 93
Reasons for the Recommendation of the Yamana Special Committee and the Yamana Board 93

 

i

 

 

Yamana Fairness Opinion 98
Principal Steps of the Arrangement 99
Timing for Completion of the Arrangement 101
Treatment of Long-Term Incentives/Convertible Securities 102
Procedure for Exchange of Yamana Shares for Consideration and Letter of Transmittal 102
Currency 104
Cancellation of Rights 105
Treatment of Fractional Consideration Shares 106
Lost Certificates 106
Mail Service Interruptions 106
Withholding Rights 107
Treatment of Dividends 107
Adjustment of Consideration 107
Return of Yamana Shares 108
Expenses 108
   
REGULATORY MATTERS AND APPROVALS 108
   
Shareholder Approvals 108
Court Approvals 109
Key Regulatory Approvals 110
Stock Exchange Listing Approval 114
Canadian Securities Law Matters 114
Interests of Certain Persons or Companies in the Arrangement 116
U.S. Securities Law Matters 121
U.K. Securities Law Matters 122
Comparison of Shareholder Rights under the CBCA, the BCBCA and the OBCA 122
   
TRANSACTION AGREEMENTS 123
   
The Arrangement Agreement 123
Condition Precedent to Effectiveness of the Arrangement Agreement 123
Representations and Warranties 123
Covenants 124
Conditions Precedent 134
Termination of the Arrangement Agreement 137
Amendments, Extensions and Waivers 140
Conveyance Agreement 140
The Support Agreements 141
   
RIGHTS OF DISSENTING SHAREHOLDERS 142
   
INFORMATION CONCERNING YAMANA 146
   
INFORMATION CONCERNING PAN AMERICAN 146
   
INFORMATION CONCERNING AGNICO 146
   
INFORMATION CONCERNING THE COMBINED COMPANY FOLLOWING THE ARRANGEMENT 147
   
Notice to Reader 147
Overview 147
Description of the Business 148
Organizational Structure 149
Description of Capital Structure 149
Dividend Policy 149
Directors and Officers of the Combined Company 149
Pro Forma Capitalization 149

 

ii

 

 

Selected Pro Forma Financial Information 150
Principal Holders of Pan American Shares Upon Completion of the Arrangement 151
Auditor, Transfer Agent and Registrar 151
Material Contracts 151
Risk Factors 152
   
RISK FACTORS 152
   
Risk Factors Relating to the Arrangement 152
Risk Factors Relating to the Combined Company 159
Risk Factors Relating to the Consideration Shares 162
   
CERTAIN INCOME TAX CONSIDERATIONS 165
   
Certain Canadian Federal Income Tax Considerations 165
Certain United States Federal Income Tax Considerations 172
Certain United Kingdom Tax Considerations 178
   
OTHER INFORMATION 180
   
Interest in Meeting Business and Material Transactions 180
Legal Matters 181
   
DIRECTORS’ APPROVAL 182
   
CONSENT OF EXPERTS 183
   
Consent of Scotia Capital Inc. 183
   
GLOSSARY OF TERMS 184
   
Schedule A ARRANGEMENT RESOLUTION A-1
   
Schedule B PLAN OF ARRANGEMENT B-1
   
Schedule C YAMANA FAIRNESS OPINION C-1
   
Schedule D INTERIM ORDER AND NOTICE OF APPLICATION D-1
   
Schedule E SECTION 190 OF THE CANADA BUSINESS CORPORATION ACT E-1
   
Schedule F COMPARISON OF SHAREHOLDER RIGHTS UNDER THE CBCA, THE BCBCA AND THE OBCA F-1
   
Schedule G UNAUDITED PRO FORMA Consolidated FINANCIAL statements G-1
   
Schedule H INFORMATION CONCERNING YAMANA H-1
   
Schedule I INFORMATION CONCERNING PAN AMERICAN I-1
   
Schedule J INFORMATION CONCERNING AGNICO J-1
   
Schedule K CORPORATE STRUCTURE OF COMBINED COMPANY K-1

 

iii

 

 

QUESTIONS AND ANSWERS RELATING
TO THE YAMANA MEETING AND THE ARRANGEMENT

 

This Circular is furnished in connection with the solicitation of proxies by or on behalf of management of Yamana for use at the Yamana Meeting, to be held at Design Exchange Toronto-Dominion Centre, 234 Bay Street, Toronto, Ontario and online at https://web.lumiagm.com/497366151, password: yamana2023 (case sensitive) at 1:00 p.m. (Toronto time) on January 31, 2023, subject to any adjournment or postponement thereof, for the purposes indicated in the Notice of Special Meeting of Shareholders of Yamana. Capitalized terms used but not otherwise defined in this section have the meanings ascribed thereto under “Glossary of Terms” in this Circular.

 

Your vote is important and you are encouraged to exercise your vote using any of the voting methods described herein. Your completed form of proxy must be received by Computershare by no later than 4:00 p.m. (Toronto time) on January 27, 2023, or no later than 4:00 p.m. (Toronto time) on the date that is two days (excluding Saturdays, Sundays and holidays) before the date of any adjourned or postponed Yamana Meeting. The time limit for deposit of proxies may be waived or extended by the Chair of the Yamana Meeting, at the Chair’s discretion, with or without notice.

 

The following is intended to answer certain key questions that you as a Yamana Shareholder may have concerning the Yamana Meeting and the Arrangement involving Yamana, Pan American, Agnico and the Yamana Shareholders to be considered at the Yamana Meeting. The information contained below is of a summary nature and therefore is not complete and is qualified in its entirety by the more detailed information appearing elsewhere in or incorporated by reference in this Circular, including the schedules hereto, all of which are important and should be reviewed carefully. You are urged to carefully read the entirety of this Circular as the information in this section does not provide all of the information that might be important to you with respect to the Arrangement. Additional important information is also contained in the schedules to, and the documents incorporated by reference into, this Circular.

 

Questions Relating to the Arrangement

 

Q.What is the proposed transaction?

 

A.On November 8, 2022, at the Activation Time, the Arrangement Agreement became effective pursuant to which the Parties have agreed that, subject to the completion of certain conditions precedent, including obtaining the approval of the Yamana Shareholders, all of the issued and outstanding Yamana Shares will be acquired by Pan American immediately following the sale by Yamana of its Canadian Assets, including certain Subsidiaries and partnerships which hold Yamana’s interests in the Canadian Malartic mine, to Agnico, all in exchange for, US$1.0406 in cash from Agnico, 0.1598 of a Pan American Share and 0.0376 of an Agnico Share for each Yamana Share held. If the Arrangement is completed, Yamana will become a wholly-owned Subsidiary of Pan American.

 

Q.What happened to the Gold Fields transaction?

  

A.Yamana and Gold Fields entered into the Gold Fields Arrangement Agreement on May 31, 2022. On November 4, 2022, Yamana announced that it had received an unsolicited binding proposal from Pan American and Agnico with respect to the Arrangement (the “New Offer”). The Yamana Board determined in good faith, after consultation with its outside financial and legal advisors, and after taking into account all the terms and conditions of such New Offer and all factors and matters considered appropriate in good faith by the Yamana Board, including the unanimous recommendation of the Yamana Special Committee, that the New Offer constituted a “Yamana Superior Proposal” as defined by, and in accordance with, the terms of the Gold Fields Arrangement Agreement. Following a waiver by Gold Fields of its five business day matching right and response period under the Gold Fields Arrangement Agreement, on November 8, 2022, Yamana entered into the Arrangement Agreement with respect to the New Offer, and the Yamana Board changed its recommendation with respect to the pending transaction with Gold Fields and unanimously recommended that Yamana Shareholders vote against the transaction with Gold Fields at the special meeting of Yamana Shareholders which was scheduled for November 21, 2022. The Arrangement Agreement, as a “Permitted Acquisition Agreement” under the Gold Fields Arrangement Agreement, required that, until such time as the Gold Fields Arrangement Agreement had been terminated in accordance with its terms, all of the obligations of Yamana (other than confidentiality and standstill obligations) in the Arrangement Agreement would become effective only upon the Gold Fields Arrangement Agreement not being approved by Yamana Shareholders at the special meeting. On November 8, 2022, Gold Fields terminated the Gold Fields Arrangement Agreement and the Arrangement Agreement immediately became effective. The special meeting of Yamana Shareholders previously scheduled for November 21, 2022 in connection with the pending transaction with Gold Fields was cancelled, and Yamana paid a termination fee of US$300 million, less applicable withholding taxes, to Gold Fields in accordance with the Gold Fields Arrangement Agreement. Pursuant to the terms of the Arrangement Agreement, Pan American funded Yamana with US$150 million in cash for the payment of such termination fee.

 

 

 

 

Q.What are the reasons for the proposed transaction?

 

A.In making their conclusions and formulating their respective unanimous recommendations, the Yamana Special Committee and the Yamana Board consulted with Yamana’s senior management and their respective legal and financial advisors and, in the case of the Yamana Board, received the unanimous recommendation of the Yamana Special Committee. The Yamana Special Committee and the Yamana Board also reviewed a significant amount of financial and technical information relating to Pan American and Agnico, and Yamana and considered a number of factors, including those listed below. The following is a summary of the principal reasons for the unanimous recommendation of the Yamana Board that Yamana Shareholders vote IN FAVOUR of the Arrangement Resolution:

 

·Significant premium. The Consideration represents a 23% premium to the closing price of the Yamana Shares as of November 3, 2022, the last trading day prior to the submission of the Binding Proposal, and a 15% premium to the implied price of the Gold Fields offer, based on the closing price of the Gold Fields shares as of November 3, 2022.

 

·Significant cash consideration. The Consideration includes a cash component of US$1 billion, or US$1.0406 per Yamana Share, which provides immediate and certain value to Yamana Shareholders amidst heightened capital markets volatility and fluctuating share prices.

 

·Realization of inherent value and future upside potential. The value of the Consideration exceeds Yamana’s market value on November 3, 2022, and better reflects the inherent value of its portfolio. In addition to representing a compelling value as at November 3, 2022, the Consideration offers Yamana Shareholders the opportunity to benefit from potential appreciation in the share prices of Pan American and Agnico due to the positive impacts of the Arrangement on their respective businesses, including potential synergies.

 

·Crystallization of material share price outperformance and historically high exchange ratio versus each of Agnico and Pan American. The exchange ratio between the Yamana Shares, on the one hand, and each of the Pan American Shares and Agnico Shares, on the other hand, as at November 3, 2022 reflects a significantly higher value than such ratios in May 2022 prior to the announcement of the Gold Fields Arrangement or at the beginning of 2022. The Agnico Share exchange ratio has risen by 33% year-to-date, by 10% since mid-May 2022, and is 29% above its three-year average. Similarly, the Pan American Share exchange ratio has increased by 101% year-to-date, by 49% since mid-May, and stands 78% above its three-year average. Yamana Shareholders will benefit from these material improvements in the exchange ratios through increased pro forma ownership in each company and will be positioned to further benefit as Agnico and Pan American realize superior value and synergies from the transaction.

 

2

 

 

·Exposure to a world-class portfolio through retained ownership in Agnico. Upon completion of the Arrangement, it is anticipated that Yamana Shareholders will own approximately 7.41% of pro forma Agnico. Agnico owns and operates a portfolio of mines in the leading mining jurisdictions of Canada, Australia, Finland, and Mexico with over 80% of its production coming from Canada. Yamana Shareholders will continue to have exposure to Canadian Malartic and benefit from the consolidation of ownership, including substantial expected future additional mill capacity at the mine that Agnico is uniquely positioned to fill given its extensive operations, exploration properties and land position. In addition, Agnico will show an immediate and meaningful growth in production and is well positioned to develop, build, and operate both the Odyssey underground and Wasamac development projects given its extensive mine building experience and expertise, and ability to leverage existing infrastructure in the Abitibi region.

 

·Exposure to a market-leading Latin American platform through retained ownership in Pan American. Upon completion of the Arrangement, it is anticipated that Yamana Shareholders will own approximately 42.7% of the Combined Company, which would have significantly increased the production profile in 2022 to 1.4 million GEO per year comprised of 25.5 million ounces of silver and 1.08 million ounces of gold representing an approximate 90% increase in GEO production and approximately 60% and 100% growth in silver and gold production, based on 2022 guidance, excluding Manantial Espejo (guidance and forward-looking GEO assumes gold ounces plus the equivalent of silver ounces using a ratio of 72.55). Yamana Shareholders will benefit from the extensive experience of the combined management team in Latin America and from exposure to an enlarged portfolio with a diversified operating footprint consisting of 11 operating mines across mining friendly jurisdictions in the Americas. In addition, Yamana Shareholders will be positioned to benefit from the potential re-opening of the Escobal silver mine, one of the world’s premier silver deposits, as well as the growth from the advancement of the La Colorada Skarn project.

  

·Strategic and operational synergies. The Arrangement provides the opportunity to unlock significant strategic and operational synergies through the streamlining and optimization of corporate and joint venture costs, leveraging existing assets and infrastructure, and the application of best practices and innovation across sites as Yamana’s Canadian platform is integrated into Agnico’s portfolio and through the combination of Yamana’s and Pan American’s Latin American portfolios. Yamana Shareholders will have exposure to these synergies through their retained ownership in each of Pan American and Agnico.

 

·Management strength and integration. The Combined Company will benefit from the integration of mining and business leadership with extensive experience operating in the Americas, bringing together the proven strengths and capabilities and focus on delivering increased value to shareholders. Furthermore, three independent directors of Yamana will be appointed to the Pan American Board, with the objective of providing business continuity, mitigation of integration risks and supporting value delivery to shareholders.

 

·Leading ESG credentials and complementary cultures. Yamana’s industry leading ESG credentials and results are expected to contribute to the relative improvement of the Combined Company’s performance and improve its ESG positioning among peers. In particular, Yamana’s climate action strategy and its leading efforts in emissions reduction are expected to support and advance the greenhouse gas emissions intensity performance in the Combined Company. Furthermore, each of Yamana, Pan American and Agnico are disciplined, value-driven companies focused on operational delivery, prudent capital allocation, portfolio management, responsible growth and strong shareholder returns, all of which are underpinned by a strong focus on people, particularly their safety, and upholding leading sustainability and ESG performance.

  

3

 

 

·Business climate and review of strategic alternatives. The Yamana Board has periodically reviewed a range of strategic alternatives for creating shareholder value, and in the ordinary course of business Yamana has had regular engagement with several industry peers in that regard, including other potential transactions. For a summary of the engagements since early 2020 see “The Arrangement – Background to the Arrangement” in the Circular. After consultation on the Arrangement with its financial and legal advisors, and after review of the current and prospective business climate in the precious metals mining industry and other strategic opportunities reasonably available to Yamana, including continuation as an independent enterprise, potential acquisitions and various combinations of Yamana or its mineral properties by way of joint venture or otherwise, in each case taking into account the potential benefits, risks and uncertainties associated with those other opportunities, the Yamana Board believes that following completion of the Arrangement, pro forma Pan American and pro forma Agnico will be better positioned to pursue a growth and value maximizing strategy than Yamana as a standalone entity.

 

·Value proposition. Yamana has consistently maintained, in the course of market activities and in the evaluation of business combinations, as more particularly described elsewhere in the Circular, that the quality of its assets supports considerably more value and upside than ascribed to those assets as reflected in the price of Yamana Shares. Through this process, each of Gold Fields, Agnico and Pan American reviewed detailed technical information on all Yamana’s operating mines and major development projects, including technical reports, life of mine and strategic life of mine plans and exploration data. In agreeing to pay a premium, Gold Fields recognized the Yamana Board view that Yamana had more value than was reflected in the price of Yamana Shares and the subsequent superior proposal from Agnico and Pan American that resulted in the Arrangement provided further confirmation of that value in a competitive environment.

 

·Canadian Tax Treatment. Under the terms of the Gold Fields Arrangement Agreement, Yamana Shareholders who are resident in Canada could not take advantage of any Canadian tax deferral on the disposition of their Yamana Shares to Gold Fields. In contrast, under the New Offer, the exchange of each outstanding Yamana Share (other than a Dissent Share) for a Class A Share, the Agnico Share Consideration and the Cash Consideration is intended to qualify as a tax-deferred reorganization and should not give rise to any deemed dividend under the Arrangement based on Yamana’s expectation that the aggregate fair market value of the Agnico Shares and Cash Consideration (including any cash in lieu of a fractional Agnico Share) distributed to Yamana Shareholders on the exchange should not exceed the aggregate “paid-up capital” (as determined for purposes of the Tax Act) of all of the issued and outstanding Yamana Shares immediately before the exchange. In addition, Yamana Shareholders who are resident in Canada will only realize a capital gain on the exchange if, and to the extent that, the aggregate fair market value of the Agnico Shares and Cash Consideration (including any cash in lieu of a fractional Agnico Share) received exceeds the adjusted cost base of such Yamana Shareholder’s Yamana Shares immediately before the exchange. Further, the exchange of Yamana Shares for Pan American Shares pursuant to the Arrangement will generally be a tax deferred transaction for Yamana Shareholders who are resident in Canada and who do not choose to report a capital gain on their Canadian federal income tax return in respect of the Arrangement. The tax consequences of the Arrangement are discussed under the heading “Certain Income Tax Considerations – Certain Canadian Federal Income Tax Considerations”.

 

·Ability to close with low execution risk. Each of Yamana, Pan American, and Agnico is committed to completing the Arrangement, has a proven track record of completing deals, and anticipates that the Parties will be able to complete the Arrangement prior to the Outside Date. The Arrangement requires approval by at least two-thirds of the votes cast by Yamana Shareholders present or represented by proxy and entitled to vote at the Yamana Meeting, approval by at least a simple majority of Pan American Shareholders present or represented by proxy and entitled to vote at the Pan American Meeting and is not subject to review under the Investment Canada Act.

 

4

 

 

·Participation in dividend distributions. Yamana Shareholders are expected to benefit from both Agnico and Pan American’s practice of returning value to shareholders in the form of quarterly dividends.

 

·Other factors. The Yamana Board also carefully considered the Arrangement with reference to current economic, industry and market trends affecting each of Yamana, Pan American and Agnico, information concerning mineral reserves and mineral resources, business, operations, properties, assets, financial condition, operating results and prospects of each of Yamana, Pan American and Agnico and the historical trading prices of the Yamana Shares, the Pan American Shares and the Agnico Shares, taking into account the results of Yamana’s due diligence review of Pan American, Agnico and their respective properties.

 

See “The Arrangement – Reasons for the Recommendation of the Yamana Special Committee and the Yamana Board”.

 

Q.What steps have Yamana and the Yamana Board undertaken to protect the interests of Yamana and Yamana Shareholders in connection with the Arrangement?

 

A.In making its determinations and recommendations, the Yamana Special Committee and the Yamana Board also observed that a number of procedural safeguards were in place and are present to permit the Yamana Board to represent the interests of Yamana, Yamana Shareholders and other Yamana stakeholders. These procedural safeguards include, among others:

 

·Yamana Fairness Opinion. The Yamana Special Committee and the Yamana Board received the Yamana Fairness Opinion from Scotiabank to the effect that, as of November 7, 2022, and based upon the assumptions, limitations and qualifications set out therein, the Consideration is fair, from a financial point of view, to the Yamana Shareholders. See “Schedule C – Yamana Fairness Opinion”.

 

·Advice from Stifel GMP and Canaccord Genuity. Yamana engaged Stifel GMP and Canaccord Genuity to provide financial advice in connection with the Arrangement and the Yamana Board relied on such advice in its assessment of the Arrangement.

 

·Support of boards and management teams. All of the directors and executive management of each of Yamana and Pan American have entered into support and voting agreements pursuant to which they have agreed, among other things, to vote in favour of, in the case of Yamana, the Arrangement Resolution, and in the case of Pan American, the Pan American Resolution.

 

·Role of Yamana Special Committee. The Arrangement was reviewed and evaluated by the Yamana Special Committee, comprised of members of the Yamana Board who are independent of Gold Fields, Pan American and Agnico and of management of Yamana. Following consultation with its legal and financial advisor and receipt of the Scotiabank Fairness Opinion, the Yamana Special Committee unanimously recommended to the Yamana Board that the Yamana Board determine that the Arrangement and entering into the Arrangement Agreement are in the best interest of Yamana and that the Yamana Board authorize Yamana to enter into the Arrangement Agreement and all related agreements and recommend that Yamana Shareholders vote in favour of the Arrangement Resolution.

 

·Arm’s length transaction. The terms of the Arrangement Agreement and the Arrangement are the result of a comprehensive negotiation process, undertaken with the oversight and participation of the Yamana Special Committee, as well as legal counsel to the Yamana Special Committee, Yamana’s legal counsel and financial advisors.

 

5

 

 

·Conduct of Yamana’s business. The Yamana Special Committee and the Yamana Board believe that the restrictions imposed on Yamana’s business and operations during the pendency of the Arrangement are reasonable and not unduly burdensome.

 

·Ability to respond to superior proposals. Notwithstanding the limitations contained in the Arrangement Agreement on Yamana’s ability to solicit interest from third parties, the Arrangement Agreement allows the Yamana Board, in the exercise of its fiduciary duties, to engage in discussions or negotiations regarding any unsolicited competing proposal for Yamana received prior to the Yamana Meeting that constitutes or would reasonably be expected to constitute a Yamana Superior Proposal.

 

·Reasonable Break Fee. The amount of the Yamana Termination Fee, being US$250 million, payable under certain circumstances, is within the range of termination fees that are considered reasonable for a transaction of the nature and size of the Arrangement.

 

·Shareholder Approval. The Arrangement Resolution must be approved by the affirmative vote of at least two-thirds of the votes cast by Yamana Shareholders present in person (or online) or represented by proxy and entitled to vote at the Yamana Meeting.

 

·Court Approvals. The Arrangement is subject to a judicial determination of the Court that the Arrangement is fair and reasonable, both procedurally and substantively, to Yamana Shareholders and other affected Persons.

 

·Dissent Rights. Registered Yamana Shareholders entitled to vote at the Yamana Meeting have the ability to exercise Dissent Rights and to receive fair value for their Yamana Shares as determined by the Court, subject to strict compliance with all requirements applicable to the exercise of Dissent Rights.

 

·Stakeholder Analysis. The terms of the Arrangement Agreement treat all stakeholders of Yamana equitably and fairly.

 

See “The Arrangement – Reasons for the Recommendation of the Yamana Special Committee and the Yamana Board”.

 

QHas the Yamana Board unanimously approved the Arrangement?

 

A.Yes. The Yamana Board, having undertaken a thorough review of, and having carefully considered the terms of the Arrangement and the Arrangement Agreement, and after consultation with representatives of Yamana’s senior management, its financial and legal advisors, having received the unanimous recommendation of the Yamana Special Committee and having received and taken into account the Yamana Fairness Opinion and such other matters as it considered necessary and relevant, including the factors set out below under the heading “The Arrangement – Reasons for the Recommendation of the Yamana Special Committee and the Yamana Board”, unanimously determined that the Arrangement and entering into the Arrangement Agreement are in the best interest of Yamana and authorized Yamana to enter into the Arrangement Agreement and all related agreements.

 

Q.Does the Yamana Board recommend that I vote IN FAVOUR of the Arrangement Resolution?

 

A.Yes. The Yamana Board unanimously recommends that Yamana Shareholders vote IN FAVOUR of the Arrangement Resolution.

 

Q.Who has agreed to support the Arrangement?

 

A.Pan American and Agnico have entered into Yamana Support Agreements with each of the Yamana Supporting Shareholders, pursuant to which the Yamana Supporting Shareholders have agreed, among other things and subject to the terms and conditions of the Yamana Support Agreements, to vote their Yamana Shares in favour of the Arrangement Resolution.

 

6

 

 

Q.What percentage of the Combined Company will Yamana Shareholders and Pan American Shareholders own, respectively, following completion of the Arrangement?

 

A.Former Yamana Shareholders and Former Pan American Shareholders are expected to own approximately 42.4% and 57.6%, respectively, of the Pan American Shares in the Combined Company immediately following completion of the Arrangement (on a non-diluted basis), in each case based on the number of Yamana Shares and Pan American Shares issued and outstanding as of November 4, 2022.

 

Q:What percentage of Agnico will Yamana Shareholders and Agnico Shareholders own, respectively, following completion of the Arrangement?

 

A.Former Yamana Shareholders and Agnico Shareholders prior to the Effective Time are expected to own approximately 7.41% and 92.59%, respectively, of the Agnico Shares immediately following completion of the Arrangement (on a non-diluted basis), in each case based on the number of Yamana Shares and Agnico Shares issued and outstanding as of November 4, 2022.

 

Q.What is required for the Arrangement to become effective?

 

A.The obligations of Yamana, Pan American and Agnico to consummate the Arrangement and the other transactions contemplated by the Arrangement Agreement are subject to the satisfaction or waiver of a number of conditions, including, among others: (a) approval of the Arrangement Resolution by the required vote of Yamana Shareholders at the Yamana Meeting in accordance with the Interim Order and applicable Law; (b) approval of the Pan American Resolution by the required vote of Pan American Shareholders at the Pan American Meeting in accordance with applicable Law; (c) receipt of the Final Order on terms consistent with the Arrangement Agreement and in form and substance acceptable to each of Yamana, Pan American and Agnico, and not having been set aside or modified in a manner unacceptable to Yamana, Pan American or Agnico, each acting reasonably; (d) the approval for the listing of the Pan American Shares to be issued pursuant to the Arrangement by the Nasdaq and the TSX; (e) the approval for the listing of the Agnico Shares to be issued pursuant to the Arrangement by the NYSE and the TSX; (f) receipt of the Key Regulatory Approvals; (g) no Order or Law being in effect that makes the completion of the Arrangement illegal or otherwise prevents or prohibits the consummation of the Arrangement; and (h) the Consideration Shares to be issued in connection with the Arrangement being exempt from the registration requirements of the U.S. Securities Act pursuant to the exemption from the registration requirements of the U.S. Securities Act set forth in the section 3(a)(10) thereof.

 

On November 28, 2022, the Commissioner issued an Advance Ruling Certificate in respect of the Arrangement, which constitutes the Competition Act Approval for the purposes of the Arrangement Agreement.

 

Q.Is the sale of the Canadian Assets to Agnico conditional on the acquisition by Pan American of the Yamana Shares?

 

A.Yes. The sale by Yamana of the Canadian Assets to Agnico is a step in the Plan of Arrangement that will occur prior to Pan American acquiring 100% of the Yamana Shares. If the Arrangement is not completed for any reason, neither the sale of the Canadian Assets to Agnico nor the acquisition of 100% of the Yamana Shares by Pan American will occur.

 

Q.When do you expect the Arrangement to be completed?

 

A.If approved, the Arrangement will become effective at the Effective Time on the Effective Date, which Yamana, Pan American and Agnico currently expect to occur in the first quarter of 2023.

 

7

 

 

Q.How will I know when all required approvals have been obtained?

 

A.Yamana, Pan American and Agnico will issue press releases once all the necessary approvals have been received and conditions to the completion of the Arrangement have been satisfied or waived, other than conditions that, by their terms, cannot be satisfied until the Effective Time.

 

Q.What will be the relationship between Yamana and Pan American after completion of the Arrangement?

 

A.If the Arrangement is completed, Pan American will acquire all of the Yamana Shares and Yamana will become a wholly-owned Subsidiary of Pan American. Former Yamana Shareholders and Former Pan American Shareholders are expected to own approximately 42.4% and 57.6%, respectively, of the Pan American Shares, and thus the Combined Company, immediately following completion of the Arrangement (on a non-diluted basis), in each case based on the number of Yamana Shares and Pan American Shares issued and outstanding as of November 4, 2022. Management of the Combined Company, including management from both companies, will feature industry leading bench strength bringing together strong talent, knowledge and experience in exploring and mining responsibly and efficiently across common prolific geologies, which is expected to unlock the full value at key assets in the pro forma portfolio. In addition, three independent directors of Yamana will be appointed to the Pan American Board promptly following closing of the Arrangement.

 

Pan American intends to have the Yamana Shares delisted from the TSX, the NYSE and the LSE as promptly as possible following completion of the Arrangement. In addition, subject to applicable Laws, Pan American will, as promptly as possible following completion of the Arrangement, apply to the applicable Canadian Securities Authorities to have Yamana cease to be a reporting issuer in all jurisdictions in which it is a reporting issuer and thus will terminate Yamana’s reporting obligations in Canada following completion of the Arrangement.

 

Q.Where will the shares of the Combined Company be listed?

 

A.The Pan American Shares currently trade on the Nasdaq under the symbol “PAAS” and the TSX under the symbol “PAAS”. Following completion of the Arrangement, the Pan American Shares will continue to be listed for trading on the Nasdaq and the TSX, respectively, under the symbol “PAAS”.

 

Unlike the Yamana Shares, the Pan American Shares are not currently admitted to the UK Official List or admitted to trading on the LSE and Pan American does not intend to make applications for the admission of the Pan American Shares to the UK Official List or the LSE following completion of the Arrangement.

 

Q.Where will the Agnico Shares be listed?

 

A.The Agnico Shares currently trade on the NYSE under the symbol “AEM” and the TSX under the symbol “AEM”. Following completion of the Arrangement, the Agnico Shares will continue to be listed for trading on the NYSE and the TSX, respectively.

 

Unlike the Yamana Shares, the Agnico Shares are not currently admitted to the UK Official List or admitted to trading on the LSE and Agnico does not intend to make applications for the admission of the Agnico Shares to the UK Official List or the LSE following completion of the Arrangement.

 

Q.Why am I being asked to approve the Arrangement?

 

A.Pursuant to the Interim Order, the Arrangement Resolution must be approved by at least 662/3% of the votes cast by Yamana Shareholders present in person (or online) or represented by proxy and entitled to vote at the Yamana Meeting. If the Yamana Shareholder Approval is not obtained, the Arrangement will not be completed.

 

8

 

 

Q.What approvals are required by Yamana Shareholders to pass the Arrangement Resolution at the Yamana Meeting?

 

A.In order to become effective, the Arrangement Resolution must be approved by an affirmative vote of at least 662/3% of the votes cast on the Arrangement Resolution by Yamana Shareholders present in person (or online) or represented by proxy and entitled to vote at the Yamana Meeting.

 

The Yamana Board has unanimously approved the Arrangement and recommends that Yamana Shareholders vote IN FAVOUR of the Arrangement Resolution.

 

Q.Are Pan American Shareholders required to approve the Arrangement?

 

A.Yes. Completion of the Arrangement is also conditional upon approval by Pan American Shareholders of, among other things, the Pan American Resolution at the Pan American Meeting, which is scheduled to be held at the same time and on the same date as the Yamana Meeting.

 

In order to be effective, the Pan American Resolution must be approved by the affirmative vote of a simple majority of the votes cast on the Pan American Resolution by Pan American Shareholders present in person or represented by proxy and entitled to vote at the Pan American Meeting. If the Pan American Resolution is not approved by the requisite majority of the Pan American Shareholders at the Pan American Meeting, the Arrangement will not be completed. Pan American Shareholders will not be asked to vote on any of the matters to be considered and voted upon at the Yamana Meeting.

 

Q.Are Agnico Shareholders required to approve the Arrangement?

 

A.No. Agnico Shareholders are not required to approve the Arrangement.

 

Q.What will happen if the Arrangement Resolution is not approved or the Arrangement is not completed for any reason?

 

A.If the Arrangement Resolution is not approved or the Arrangement is not completed for any reason, the Arrangement Agreement may be terminated and Yamana will continue to operate independently and pursue the operating and growth objectives set out in the previously announced Yamana 1.5 Plan that is underpinned by low risk, low-capital intensity projects that support measured and prudent growth to an initial 1.5 million GEO per year and proportionately greater free cash flow growth. In certain circumstances, Pan American is entitled to the Yamana Termination Fee and Yamana is entitled to the Pan American Termination Fee. See “Transaction Agreements – The Arrangement Agreement – Termination of the Arrangement Agreement”. For a summary of risks that could arise in certain circumstances if the Arrangement is not completed, see “Risk Factors – Risk Factors Relating to the Arrangement”.

 

Q.What will happen to my Yamana RSUs, Yamana PSUs, and Yamana DSUs in connection with the Arrangement?

 

A.The Arrangement Agreement provides that, at the Effective Time, on the terms and subject to the conditions of the Arrangement Agreement, each Yamana RSU (whether vested or unvested) will vest in accordance with the terms of the Yamana RSU Plan and will be transferred by the holder thereof to Yamana in exchange for a cash payment from Yamana equal to the VWAP of one Yamana Share on the TSX during the five trading days prior to the Effective Date, less any required withholdings. Each Yamana PSU will be transferred by the holder thereof to Yamana in exchange for a cash payment from Yamana equal to the VWAP of one Yamana Share on the TSX during the five trading days prior to the Effective Date, multiplied by the applicable Multiplier (as defined in the Yamana PSU Plan), less any required withholdings. Each Yamana DSU will be transferred by the holder thereof to Yamana in exchange for a cash payment from Yamana equal to the VWAP of one Yamana Share on the TSX during the five trading days prior to the Effective Date, less any required withholdings.

 

9

 

 

See “The Arrangement – Principal Steps of the Arrangement”.

 

Q.What are the Canadian federal income tax consequences of the Arrangement?

 

A.The following summary is subject to the assumptions, qualifications and discussion under the heading “Certain Income Tax Considerations – Certain Canadian Federal Income Tax Considerations”.

 

Yamana Share Exchange

 

The exchange of each outstanding Yamana Share for a Class A Share, the Agnico Share Consideration and the Cash Consideration is intended to qualify as a tax-deferred reorganization pursuant to section 86 of the Tax Act.

 

Management of Yamana is of the view that the aggregate fair market value of the Agnico Shares and the Cash Consideration (including any cash in lieu of a fractional Agnico Share) at the time of the Yamana Share Exchange should be less than the paid-up capital of the Yamana Shares immediately before the Yamana Share Exchange. Accordingly, Yamana does not expect that a deemed dividend will arise as a result of such exchange.

 

Generally, a Yamana Shareholder who is resident in Canada will only realize a capital gain on the exchange of each outstanding Yamana Share for a Class A Share, the Agnico Share Consideration and the Cash Consideration if, and to the extent that, the aggregate fair market value of the Agnico Shares and Cash Consideration (including any cash in lieu of a fractional Agnico Share) received by a Yamana Shareholder who is resident in Canada on the Yamana Share Exchange exceeds the adjusted cost base of such shareholder's Yamana Shares immediately before such exchange.

 

A Yamana Shareholder who is not resident in Canada will generally not be taxable in Canada with respect to any capital gains realized on the exchange of each outstanding Yamana Share for a Class A Share, the Agnico Share Consideration and the Cash Consideration pursuant to the Arrangement so long as the Yamana Shares do not constitute “taxable Canadian property”, as defined in the Tax Act, to such Yamana Shareholder.

 

Pan American Share Exchange

 

The exchange of Class A Shares for Pan American Shares pursuant to the Arrangement will generally be a tax-deferred transaction pursuant to section 85.1 of the Tax Act for Yamana Shareholders who are resident in Canada unless such Yamana Shareholder chooses to recognize any portion of a capital gain by including such amount in computing such Yamana Shareholder’s income for the taxation year in which such Pan American Share Exchange takes place.

 

A Yamana Shareholder who is not resident in Canada will generally not be taxable in Canada with respect to any capital gains realized on the exchange of Class A Shares for Pan American Shares pursuant to the Arrangement so long as the Class A Shares do not constitute “taxable Canadian property”, as defined in the Tax Act, to such Yamana Shareholder.

 

For a summary of certain of the material Canadian federal income tax consequences of the Arrangement applicable to Yamana Shareholders, Yamana Shareholders should review the discussion under “Certain Income Tax Considerations – Certain Canadian Federal Income Tax Considerations”. Such discussion is not intended to be legal, business or tax advice. Yamana Shareholders should consult their own tax advisors as to the tax consequences of the Arrangement applicable to them with respect to their particular circumstances.

 

10

 

 

Q.What are the U.S. federal income tax consequences of the Arrangement?

 

A.Yamana, Agnico and Pan American intend for the receipt of the Consideration by a U.S. Holder as part of the Arrangement to be treated as a taxable sale or exchange of such U.S. Holder’s Yamana Shares in exchange for the Consideration. If the Arrangement is so treated, gain or loss would be recognized by U.S. Holders for U.S. federal income tax purposes on their receipt of Agnico Shares, Cash Consideration and Pan American Shares in exchange for their Yamana Shares. However, none of Yamana, Agnico or Pan American has sought or obtained (or will seek or obtain) either a ruling from the IRS or an opinion of counsel regarding the U.S. federal income tax consequences of the Arrangement.

 

The foregoing is subject in its entirety to the discussion of certain of the material U.S. federal income tax consequences of the Arrangement applicable to U.S. Holders under “Certain Income Tax Considerations – Certain United States Federal Income Tax Considerations”. Such discussion is not intended to be legal, business or tax advice. Yamana Shareholders should consult their own tax advisors as to the U.S. federal income tax consequences of the Arrangement applicable to them with respect to their particular circumstances.

 

Q.What are the United Kingdom tax consequences of the Arrangement?

 

A.The Arrangement is expected to lead to a part disposal of the of Yamana Shares or Yamana Depositary Interests in respect of the Agnico Share Consideration and a rollover share exchange in respect of the Pan American Shares for United Kingdom tax purposes.

 

For a summary of certain of the material United Kingdom direct tax consequences of the Arrangement, Yamana Shareholders and holders of Yamana Depositary Interests should review the discussion under “Certain Income Tax Considerations – Certain United Kingdom Tax Considerations”. Such discussion is not intended to be legal, business or tax advice. Yamana Shareholders and holders of Yamana Depositary Interests should consult their own tax advisors as to the tax consequences of the Arrangement applicable to them with respect to their particular circumstances.

 

Q.Are there any risks I should consider in connection with the Arrangement?

 

A.Yes. There are a number of risk factors relating to Yamana’s, Pan American’s and Agnico’s businesses and operations, the Arrangement and the Combined Company’s business and operations following completion of the Arrangement, all of which should be carefully considered by Yamana Shareholders in evaluating whether to approve the Arrangement Resolution. In addition to the risk factors described under the heading “Risk Factors” in the Yamana AIF, which is specifically incorporated by reference into this Circular, under the heading “Risk Factors” in Schedule I to this Circular, and under the heading “Risk Factors” in Schedule J to this Circular. See also “Risk Factors” for a non-exhaustive list of certain additional and supplemental risk factors relating to the Arrangement and the business and operations of the Combined Company and Agnico following completion of the Arrangement which Yamana Shareholders should carefully consider before making a decision of whether to approve the Arrangement Resolution.

 

Q.When will I receive the Consideration payable to me under the Arrangement for my Yamana Shares?

 

A.You will receive the Consideration payable to you under the Arrangement as soon as practicable after the Effective Date. In order to receive the Cash Consideration and the Consideration Shares that a Registered Yamana Shareholder (other than a Dissenting Shareholder) is entitled to receive pursuant to the Arrangement, together with any cash in lieu of any fractional Consideration Shares, each Registered Yamana Shareholder must deposit a properly completed and duly executed Letter of Transmittal along with the accompanying certificate(s) or DRS Statement(s) representing their Yamana Shares to the Depositary (at the address specified on the last page of the Letter of Transmittal), together with all other documents and instruments referred to in the Letter of Transmittal or as reasonably required by the Depositary.

 

11

 

 

Only Registered Yamana Shareholders are required to submit a Letter of Transmittal. The exchange of Yamana Shares for the Cash Consideration and Consideration Shares in respect of any Non-Registered Yamana Shareholder (other than a holder of Yamana Depositary Interests) is expected to be made with the Non-Registered Yamana Shareholder’s Intermediary account through the procedures in place for such purposes between CDS or DTC and such Intermediary, as applicable, with no further action required by the Non-Registered Yamana Shareholder.

 

Holders of Yamana Depositary Interests will not need to take any action to receive the Consideration that they are entitled to receive pursuant to the Arrangement. At the Effective Time, holders of Yamana Depositary Interests will cease to own Yamana Depositary Interests and will receive the applicable Consideration for each Yamana Depositary Interest held, regardless of whether or not such holder provided an instruction to vote for or against the Arrangement. The Depositary will deliver (i) DRS Statements representing the Consideration Shares; (ii) payments representing the Cash Consideration; and (iii) any cash in lieu of fractional Consideration Shares, that each such Yamana Depositary Interest holder is entitled to receive pursuant to the Plan of Arrangement as soon as reasonably practicable after the Effective Date. The DRS Statements representing the Consideration Shares will be delivered to the address recorded for each holder on the Yamana Depositary Interest register and the Cash Consideration will be issued via CREST.

 

A Letter of Transmittal has been mailed, together with this Circular, to each Person who was a Registered Yamana Shareholder on the Record Date. The Letter of Transmittal will also be available under Yamana’s issuer profile on SEDAR at www.sedar.com and on EDGAR at www.sec.gov, and on Yamana’s website at www.yamana.com. Holders of Yamana Depositary Interests will not be provided with, and will not need to submit, a Letter of Transmittal.

 

See “The Arrangement – Procedure for Exchange of Yamana Shares for Consideration and Letter of Transmittal” and “Information Concerning the Holders of Yamana Depositary Interests – Procedure for Exchange of Yamana Depositary Interests for Cash Consideration and Consideration Shares”.

 

Q.Are Yamana Shareholders entitled to Dissent Rights?

 

A.Yes. Under the Interim Order, Registered Yamana Shareholders entitled to vote at the Yamana Meeting are entitled to exercise Dissent Rights in respect of the Arrangement Resolution provided that they strictly follow the procedures specified in section 190 of the CBCA, as modified by the Plan of Arrangement and the Interim Order. Only Registered Yamana Shareholders who exercise Dissent Rights in compliance with section 190 of the CBCA, as modified by the Plan of Arrangement and the Interim Order, will be entitled, in the event that the Arrangement becomes effective, to be paid by Yamana the fair value of the Yamana Shares held by such Dissenting Shareholders determined as at the close of business on the day before the Arrangement Resolution is adopted.

 

Non-Registered Yamana Shareholders, including holders of Yamana Depositary Interests, who wish to dissent should be aware that only Registered Yamana Shareholders are entitled to Dissent Rights. Accordingly, a Non-Registered Yamana Shareholder desiring to exercise Dissent Rights must make arrangements for the Yamana Shares beneficially owned by such Non-Registered Yamana Shareholder to be registered in such Non-Registered Yamana Shareholder’s name prior to the time the written objection to the Arrangement Resolution is required to be received by Yamana or, alternatively, make arrangements for the registered holder of such Yamana Shares to exercise Dissent Rights on the Non-Registered Yamana Shareholder’s behalf. For a holder of Yamana Depositary Interests, this requires that such holder first withdraw the Yamana Shares underlying its Yamana Depositary Interests from CREST in accordance with the procedures described in the CREST Manual and then have such Yamana Shares registered in the name of such holder prior to the time the written objection to the Arrangement Resolution is required to be received by Yamana. Holders of Yamana Depositary Interests should contact Computershare UK at The Pavillions, Bridgwater Road, Bristol BS99 6ZY or by email at !UKALLDITeam2@computershare.co.uk, if they have any questions or need additional information or assistance with withdrawing the Yamana Shares underlying their Yamana Depositary Interests from CREST and having such Yamana Shares registered in the name of such holder.

 

12

 

 

A Yamana Shareholder’s right to dissent is more particularly described in the Circular. A copy of the Interim Order and the text of section 190 of the CBCA are set forth in Schedule D and Schedule E, respectively, to this Circular. It is recommended that any Registered Yamana Shareholder wishing to exercise Dissent Rights seek legal advice, as failure to strictly comply with the provisions of section 190 of the CBCA, as modified by the Plan of Arrangement and the Interim Order, and to adhere to the procedures established therein, may result in the loss of all rights thereunder. See “Rights of Dissenting Shareholders”.

 

Questions Relating to the Yamana Meeting

 

Q.Why did I receive this Circular?

 

A.You received this Circular because you and the other Yamana Shareholders, including holders of Yamana Depositary Interests, will be asked at the Yamana Meeting to consider, pursuant to the Interim Order, and, if deemed advisable, approve, by a special resolution, the Arrangement involving Yamana, Pan American and Agnico under section 192 of the CBCA, pursuant to which, immediately following the sale of the Canadian Assets to Agnico, Pan American will acquire all of the outstanding Yamana Shares.

 

Q.Where, when and how is the Yamana Meeting being held?

 

A.The Yamana Meeting will be held at Design Exchange Toronto-Dominion Centre, 234 Bay Street, Toronto, Ontario and online at https://web.lumiagm.com/497366151, password: yamana2023 (case sensitive) at 1:00 p.m. (Toronto time) on January 31, 2023 subject to any adjournment or postponement thereof.

 

Yamana is conducting the Yamana Meeting as a hybrid meeting that will allow Registered Yamana Shareholders and duly appointed proxyholders and representatives (including any Non-Registered Yamana Shareholders who have, in each case, appointed themselves as proxyholders or holders of Yamana Depositary Interests who have appointed themselves as representatives) to participate both in person and online in real time. The number of persons permitted to attend the Yamana Meeting in person may be restricted to the number permitted by applicable Laws or public health protocols (including, for certainty, any orders applicable in the City of Toronto) at such time. In the event the number of persons that desire to attend the Yamana Meeting in person is greater than the number permitted by applicable Laws or public health protocols at such time, Yamana Shareholders and duly appointed proxyholders will be granted in-person access to the Yamana Meeting on a first-come, first-serve basis. In the event a Yamana Shareholder or a duly appointed proxyholder is declined in-person access to the Yamana Meeting, they will be given the opportunity to leave their completed form of proxy or ballot with the scrutineer outside of the Yamana Meeting prior to leaving the premises. Yamana is providing the virtual format in order to provide Yamana Shareholders, including holders of Yamana Depositary Interests, with an equal opportunity to attend and participate at the Yamana Meeting, regardless of the particular constraints, circumstances or risks that they may be facing as a result of COVID-19.

 

As the COVID-19 pandemic continues to evolve over time, Yamana asks that, in considering whether to attend the Yamana Meeting in person, Yamana Shareholders and duly appointed proxyholders follow the instructions of PHAC (available at https://www.canada.ca/en/public-health/services/diseases/coronavirus-disease-covid-19.html) including any mandatory quarantine or isolation protocols that may be in place at the time of the Yamana Meeting. Yamana also requests that Yamana Shareholders and duly appointed proxyholders not attend the Yamana Meeting in person if they are experiencing any of the following COVID-19 symptoms: fever; shortness of breath, difficulty breathing or chest pain; sore throat or runny nose (not related to seasonal allergies or other known causes or conditions); new or worsening cough; muscle ache or headache (unusual or long-lasting); or new loss of sense of smell or taste. Yamana Shareholders and duly appointed proxyholders attending the Yamana Meeting are requested to follow the hygiene instructions published by PHAC, including washing or disinfecting hands upon arrival at the Yamana Meeting, and covering their mouth and nose with their arm when coughing or sneezing, as well as any COVID-19 protocols requested by the venue hosting the Yamana Meeting.

 

13

 

 

Yamana is actively monitoring any public health and travel safety concerns relating to COVID-19 and any advisories or mandates that federal, provincial and local governments, and related agencies, may issue. ln the event it is not possible or advisable to hold the Yamana Meeting in person as currently planned, Yamana may be required to hold a virtual-only Yamana Meeting, in which case Yamana will announce the decision to do so via a press release and by posting details on Yamana’s website at www.yamana.com, that will also be filed on Yamana’s issuer profile on SEDAR at www.sedar.com and on EDGAR at www.sec.gov.

 

Q.How do I attend the Yamana Meeting online?

 

A.To access the Yamana Meeting online, Registered Yamana Shareholders, duly appointed proxyholders and representatives (including any Non-Registered Yamana Shareholders who have appointed themselves as proxyholders or holders of Yamana Depositary Interests who have appointed themselves as representatives) who have registered with Computershare in advance of the Yamana Meeting and guests will need to go to the following website in their web browser using their smartphone, tablet or computer: https://web.lumiagm.com/497366151. Attendees will need the latest version of Google Chrome, Apple Safari, Microsoft Edge or Mozilla Firefox web browsers in order to access the Yamana Meeting online (Internet Explorer is not supported) and are responsible for ensuring that their web browser is compatible. Attendees are cautioned that internal network security protocols including firewalls and VPN connections may block access to the virtual meeting platform for the Yamana Meeting. If an attendee is experiencing any difficulty connecting or watching the Yamana Meeting, they should ensure that their VPN setting is disabled or use a computer on a network not restricted to the security settings of their organization. Attendees will be able to log into the site up to 60 minutes prior to the start of the Yamana Meeting. It is recommended that attendees login at least 15 minutes before the Yamana Meeting starts.

 

Once the webpage has loaded into an attendee’s web browser, the attendee is to click on the “Join Meeting” icon and then, if they are a Registered Yamana Shareholder, select the “I have a login” icon and enter their control number and the following password: yamana2023 (case sensitive). For duly appointed proxyholders and representatives (including any Non-Registered Yamana Shareholders who have appointed themselves as proxyholders or holders of Yamana Depositary Interests who have appointed themselves as representatives), they are to select the “I have a login” icon and enter their username and the following password: yamana2023 (case sensitive). Registered Yamana Shareholders will receive a 15-digit control number, located on their form of proxy. Duly appointed proxyholders and representatives (including any Non-Registered Yamana Shareholders who have appointed themselves as proxyholders or holders of Yamana Depositary Interests who have appointed themselves as representatives) who have registered with Computershare in advance of the Yamana Meeting in accordance with the instructions described herein and in the related proxy materials will be provided with a username by email from Computershare after the deadline for the deposit of proxies has passed.

 

Guests, including Non-Registered Yamana Shareholders and holders of Yamana Depositary Interests who have not appointed themselves as proxyholders or requested representation or registered with Computershare in advance of the Yamana Meeting in accordance with the instructions described herein and in the related proxy materials (and therefore do not have a control number or a username), are to select the “I am a guest” icon at the login screen and enter the information requested on the online form. Guests will be able to listen to a live webcast of the Yamana Meeting but will not be able to ask questions or vote online in real time at the Yamana Meeting.

 

14

 

 

See “Information Concerning the Yamana Meeting – Attending the Yamana Meeting Online” for additional information on how to navigate the virtual meeting platform, including how to vote and ask questions online in real time, at the Yamana Meeting.

 

Registered Yamana Shareholders and duly appointed proxyholders and representatives (including any Non-Registered Yamana Shareholders who have appointed themselves as proxyholders or holders of Yamana Depositary Interests who have appointed themselves as representatives) will be able to attend, ask questions and vote online in real time at the Yamana Meeting provided that they are connected to the internet and carefully follow the instructions set out in this Circular and the related proxy materials. Non-Registered Yamana Shareholders, including holders of Yamana Depositary Interests, may attend the Yamana Meeting online as guests but will not be able to ask questions or vote online in real time at the Yamana Meeting, unless they have been duly appointed as proxyholders or representatives in accordance with the procedures set out below and in the related proxy materials.

 

If attendees experience technical difficulties during the registration process or if they encounter difficulties while accessing and attending the Yamana Meeting online, they may contact the provider of the virtual meeting platform, Lumi, by email at support-ca@lumiglobal.com. Registered Yamana Shareholders and duly appointed proxyholders and representatives (including any Non-Registered Yamana Shareholders who have appointed themselves as proxyholders or holders of Yamana Depositary Interests who have appointed themselves as representatives) who attend and vote online in real time at the Yamana Meeting must remain connected to the internet at all times during the Yamana Meeting in order to vote when balloting commences. It is the responsibility of each attendee to ensure internet connectivity for the duration of the Yamana Meeting.

 

Holders of Yamana Depositary Interests should refer to “Information Concerning the Holders of Yamana Depositary Interests” for more information on what steps they must take in order to appoint themselves, or another person, as a representative in order to ask questions and vote online in real time at the Yamana Meeting.

 

Q.How do I attend the Yamana Meeting in person?

 

A.Registered Yamana Shareholders and duly appointed proxyholders and representatives (including any Non-Registered Yamana Shareholders who have appointed themselves as proxyholder or holders of Yamana Depositary Interests who have appointed themselves as representatives) may physically access the Yamana Meeting beginning at approximately 12:45 p.m. (Toronto time) on January 31, 2023, subject to any adjournment or postponement of the Yamana Meeting. See “Information Concerning the Yamana Meeting – Attending the Yamana Meeting in Person” for additional information on how Registered Yamana Shareholders and duly appointed proxyholders can vote and ask questions in person at the Yamana Meeting.

 

Registered Yamana Shareholders and duly appointed proxyholders and representatives (including any Non-Registered Yamana Shareholders who have appointed themselves as proxyholder or holders of Yamana Depositary Interests who have appointed themselves as representatives) will be able to attend, ask questions and vote in person at the Yamana Meeting, provided that they carefully follow the instructions set out in this Circular and the related proxy materials. Non-Registered Yamana Shareholders, including holders of Yamana Depositary Interests, may attend the Yamana Meeting as guests but will not be able to ask questions or vote in person at the Yamana Meeting, unless they have been duly appointed as proxyholders or representatives in accordance with the procedures set out in this Circular and in the related proxy materials.

 

15

 

 

Holders of Yamana Depositary Interests should refer to “Information Concerning the Holders of Yamana Depositary Interests” for more information on what steps they must take in order to appoint themselves, or another person, as a representative in order to ask questions and vote in person at the Yamana Meeting.

 

Q.Am I entitled to vote at the Yamana Meeting?

 

A.Registered Yamana Shareholders as of the close of business on December 14, 2022, the Record Date, or their duly appointed proxyholders, are entitled to vote at the Yamana Meeting. Each Yamana Share (including each Yamana Share underlying a Yamana Depositary Interest) confers the right to one vote on all matters to come before the Yamana Meeting.

 

Q.What am I voting on?

 

A.If you are a holder of Yamana Shares or Yamana Depositary Interests as of the Record Date, you will be voting on the Arrangement Resolution to approve the Plan of Arrangement under the CBCA involving, among others, Yamana, Pan American and Agnico pursuant to which, immediately following the sale of the Canadian Assets to Agnico, Pan American will acquire all of the issued and outstanding Yamana Shares, all in exchange for the Consideration. If the Arrangement Resolution is not approved by the affirmative vote of at least 662/3% of the votes cast by Yamana Shareholders present in person (or online) or represented by proxy and entitled to vote at the Yamana Meeting, the Arrangement will not be completed.

 

Q.What constitutes quorum for the Yamana Meeting?

 

A.Quorum for the Yamana Meeting consists of two persons present in person, each being a Yamana Shareholder entitled to vote at the Yamana Meeting or a duly appointed proxy or proxyholder for an absent Yamana Shareholder so entitled, holding or representing in the aggregate not less than 331/3% of the issued and outstanding Yamana Shares carrying voting rights at the Yamana Meeting.

 

Q.How many Yamana Shares are entitled to be voted?

 

A.As of the Record Date, there were 961,003,488 Yamana Shares outstanding. Each Yamana Shareholder as of the Record Date is entitled to one vote per Yamana Share held on all matters to come before the Yamana Meeting.

 

Q.Does any Yamana Shareholder beneficially own 10% or more of the Yamana Shares?

 

A.As at the Record Date, to the knowledge of the directors and executive officers of Yamana, the following is the only Person who beneficially owns, directly or indirectly, or exercises control or direction over, voting securities of Yamana carrying 10% or more of the voting rights attached to any class of voting securities of Yamana.

 

Name of Yamana
Shareholder(1)
   Voting Securities of
Yamana Owned, Controlled
or Directed(2)
    Percentage of the Class of
Outstanding Voting
Securities of Yamana
 
Van Eck Associates Corporation   109,844,657    11.43%

 

Note:

 

(1)The information as to the number and percentage of voting securities beneficially owned, controlled or directed, directly or indirectly, has been obtained from publicly available filings.

(2)Van Eck Associates Corporation (“Van Eck”) has stated in filings made under applicable Securities Laws that it may be deemed to have control over, but not ownership of, the voting securities of Yamana that it holds. See “Other Information – Interest in Meeting Business and Material Transactions”.

 

16

 

 

Q.What if I acquire ownership of Yamana Shares after the Record Date?

 

A.You will not be entitled to vote Yamana Shares or Yamana Depositary Interests acquired after the Record Date at the Yamana Meeting. Only Persons owning Yamana Shares or Yamana Depositary Interests as of the Record Date are entitled to vote at the Yamana Meeting.

 

Q.What if amendments are made to these matters or if other business matters are brought before the Yamana Meeting?

 

A.If you attend the Yamana Meeting either in person or online and are eligible to vote, you may vote on the business matters as you choose.

 

If you have completed and returned a proxy form, the Persons named in the proxy form will have discretionary authority to vote on amendments or variations to the matters identified in the Notice of Special Meeting of Shareholders of Yamana or other matters that may properly come before the Yamana Meeting, or any adjournment or postponement thereof. As of the date of this Circular, the management of Yamana knows of no amendment, variation or other matter to come before the Yamana Meeting, other than the matters referred to in the Notice of Special Meeting of Shareholders of Yamana. However, if any other matter properly comes before the Yamana Meeting, the accompanying proxy form will be voted on such matter in accordance with the best judgment of the Person voting the proxy, including with respect to any amendments or variations to the matters identified in this Circular.

 

Q.Am I a Registered Yamana Shareholder?

 

A.You are a Registered Yamana Shareholder if you have certificate(s) or DRS Statement(s) representing Yamana Shares issued in your name and appear on the books of Yamana as a holder of Yamana Shares.

 

Q.Am I a Non-Registered Yamana Shareholder (also commonly referred to as a beneficial shareholder)?

 

A.You are a Non-Registered Yamana Shareholder if your Yamana Shares are registered in the name of an Intermediary. If you are not sure whether you are a Registered Yamana Shareholder or a Non-Registered Yamana Shareholder, please contact Yamana’s strategic shareholder advisor and proxy solicitation agent, Laurel Hill, by telephone at 1-877-452-7184 (toll free in North America), at 1-416-304-0211 (for collect calls outside of North America), or by email at assistance@laurelhill.com.

 

Q.How do I vote if I am a Registered Yamana Shareholder?

 

A.As a Registered Yamana Shareholder, you may either vote by proxy or vote by live Internet webcast or in person at the Yamana Meeting by following the steps below.

 

Registered Yamana Shareholders – Voting by Proxy

 

Voting by proxy is the easiest way for Registered Yamana Shareholders to cast their vote. Registered Yamana Shareholders can vote by proxy in any of the following ways:

 

  By Telephone: Call 1-866-732-8683 (toll-free in North America) or 1-312-588-4290 (outside North America). Registered Yamana Shareholders will need their 15-digit control number, which can be found on their form of proxy. Registered Yamana Shareholders cannot appoint anyone other than the directors and officers named on their form of proxy as their proxyholder if they vote by telephone.

 

  By Internet: Go to www.investorvote.com and follow the instructions on the screen. Registered Yamana Shareholders will need their 15-digit control number, which can be found on their form of proxy.

 

17 

 

 

  By Fax: Registered Yamana Shareholders can complete, sign and date their form of proxy and fax a copy of it to Computershare at 1-866-249-7775 (toll free within North America) or 1-416-263-9524 (outside North America).

 

  By Mail: Registered Yamana Shareholders can complete, sign and date their form of proxy and return it to Computershare, Attention: Proxy Department, 8th Floor, 100 University Avenue, Toronto, ON, M5J 2Y1 in the envelope provided.

 

Yamana’s named proxyholders are Peter Marrone, Executive Chairman of Yamana, or, failing him, Sofia Tsakos, Senior Vice President, General Counsel and Corporate Secretary of Yamana. A Yamana Shareholder that wishes to appoint another Person or entity (who need not be a Yamana Shareholder) to represent such Yamana Shareholder at the Yamana Meeting, either in person or online, may either insert the Person or entity’s name in the blank space provided in the form of proxy or complete another proper form of proxy and submit the form of proxy.

 

In addition, in order for a Yamana Shareholder’s duly appointed proxyholder to attend, ask questions and vote online in real time at the Yamana Meeting, the Yamana Shareholder must also take the additional step of registering its proxyholder with Computershare after it has submitted its form of proxy. To do so, such Yamana Shareholder must access www.computershare.com/Yamana by no later than 4:00 p.m. (Toronto time) on January 27, 2023, or no later than 4:00 p.m. (Toronto time) on the date that is two days (excluding Saturdays, Sundays and holidays) before the date of any adjourned or postponed Yamana Meeting, and provide Computershare with their proxyholder’s contact information so that Computershare may register such proxyholder and provide the proxyholder with a username for the Yamana Meeting via email. This username will allow the Yamana Shareholder’s proxyholder to log in to the live webcast and vote online in real time at the Yamana Meeting. The failure of a Yamana Shareholder to register their proxyholder with Computershare will result in such Yamana Shareholder’s proxyholder not receiving a username, which will prevent such Yamana Shareholder’s proxyholder from being able to ask questions or vote online in real time at the Yamana Meeting and only being able to attend the Yamana Meeting online as a guest. Guests will not be permitted to vote or ask questions online in real time at the Yamana Meeting.

 

Yamana Shareholders who wish to appoint a proxyholder to attend, ask questions and vote in person at the Yamana Meeting do not need to register their proxyholder’s appointment with Computershare online.

 

Registered Yamana Shareholders – Voting by Live Internet Webcast or in Person

 

Registered Yamana Shareholders and duly appointed proxyholders will be able to attend, ask questions and vote online in real time or in person at the Yamana Meeting.

 

A Registered Yamana Shareholder or a duly appointed proxyholder who has registered with Computershare in advance of the Yamana Meeting may attend and vote online in real time at the Yamana Meeting during the live webcast as follows:

 

·Go to the following website in their web browser using their smartphone, tablet or computer: https://web.lumiagm.com/497366151. Attendees will need the latest version of Google Chrome, Apple Safari, Microsoft Edge or Mozilla Firefox web browsers in order to access the Yamana Meeting online (Internet Explorer is not supported). Attendees will be able to log into the site up to 60 minutes prior to the start of the Yamana Meeting. It is recommended that attendees login at least 15 minutes before the Yamana Meeting starts. Attendees are cautioned that internal network security protocols including firewalls and VPN connections may block access to the virtual meeting platform for the Yamana Meeting. If an attendee is experiencing any difficulty connecting or watching the Yamana Meeting, they should ensure that their VPN setting is disabled or use a computer on a network not restricted to the security settings of their organization.

 

18 

 

 

·Once the webpage has loaded into an attendee’s web browser, the attendee is to click on the “Join Meeting” icon and then, if they are a Registered Yamana Shareholder, select the “I have a login” icon and enter their control number and the following password: yamana2023 (case sensitive). For duly appointed proxyholders, they are to select the “I have a login” icon and enter their username and the following password: yamana2023 (case sensitive). Registered Yamana Shareholders will receive a 15-digit control number, located on their form of proxy. Duly appointed proxyholders who have registered with Computershare in advance of the Yamana Meeting in accordance with the instruction described herein and in the related proxy materials will be provided with a username by email from Computershare after the deadline for the deposit of proxies has passed.

 

·After successfully logging in, Registered Yamana Shareholders and duly appointed proxyholders who have been authenticated will see the home page, where they can access meeting information, documents and the broadcast. If attendees are viewing the Yamana Meeting on a computer, the webcast will appear automatically once the Yamana Meeting has started.

 

·Once voting has opened, the voting tab will appear and the resolutions and voting choices will be displayed in that tab. To vote, Registered Yamana Shareholders and duly appointed proxyholders are to select one of the voting options shown on the virtual meeting platform. A Registered Yamana Shareholder’s and duly appointed proxyholder’s choice will be highlighted and a confirmation message will also appear to show that their vote has been received. The number of resolutions for which a Registered Yamana Shareholder and duly appointed proxyholder have voted, or not yet voted, will be displayed at the top of the screen. Registered Yamana Shareholders and duly appointed proxyholders can change their votes until the end of the voting period by simply selecting another choice.

 

Registered Yamana Shareholders and duly appointed proxyholders who attend and vote online in real time at the Yamana Meeting must remain connected to the internet at all times during the Yamana Meeting in order to vote when balloting commences. It is the responsibility of each attendee to ensure internet connectivity for the duration of the Yamana Meeting. If an attendee loses connectivity once the Yamana Meeting has commenced, there may be insufficient time to resolve the issue before voting is completed. Therefore, even if a Registered Yamana Shareholder or duly appointed proxyholder currently plans to attend and vote online in real time at the Yamana Meeting, such Registered Yamana Shareholder or duly appointed proxyholder should consider voting their Yamana Shares in advance or by proxy so that their vote will be counted in the event they experience any technical difficulties or are otherwise unable to access the Yamana Meeting online.

 

Registered Yamana Shareholders and duly appointed proxyholders who plan to attend and vote in person at the Yamana Meeting must register with Yamana’s transfer agent, Computershare, when they arrive at the Yamana Meeting to ensure that their vote will be counted. Registered Yamana Shareholder who plan to attend and to vote at the Yamana Meeting in person should not complete or return the enclosed form of proxy. Their vote will be taken and counted at the Yamana Meeting. If a Registered Yamana Shareholder or duly appointed proxyholder is declined access to the Yamana Meeting due to public health concerns or protocols, such Registered Yamana Shareholder or duly appointed proxyholder will be given an opportunity to leave their completed form of proxy or ballot with the scrutineer outside of the Yamana Meeting.

 

See “Information Concerning the Yamana Meeting”.

 

Q.How do I vote if I am a Non-Registered Yamana Shareholder (other than a Yamana Depositary Interest holder)?

 

A.As a Non-Registered Yamana Shareholder (other than a Yamana Depositary Interest holder), you may either vote by submitting voting instructions or vote by live Internet webcast by following the steps below. Holders of Yamana Depositary Interests should refer to the question “How do I vote if I am a holder of Yamana Depositary Interests?” below.

 

19 

 

 

Non-Registered Yamana Shareholders – Submitting Voting Instructions

 

If you are a Non-Registered Yamana Shareholder, your Intermediary will send you your proxy-related materials and a voting instruction form that allows you to provide voting instructions to your Intermediary on the Internet, by telephone or by mail. To vote, you should follow the instructions provided on your voting instruction form. Your Intermediary is required to ask for your voting instructions before the Yamana Meeting. Without specific instructions, your Intermediary is prohibited from voting your Yamana Shares at the Yamana Meeting. Yamana does not know for whose benefit the Yamana Shares registered in the name of CDS & Co., or another Intermediary, are held. Please contact your Intermediary if you do not receive a voting instruction form. Alternatively, you may receive from your Intermediary a preauthorized form of proxy indicating the number of Yamana Shares to be voted, which you should complete, sign, date and return as directed on the form. Each Intermediary has its own procedures which should be carefully followed by Non-Registered Yamana Shareholders to ensure that their Yamana Shares are voted by their Intermediary on their behalf at the Yamana Meeting.

 

The majority of Intermediaries now delegate responsibility for obtaining instructions from clients to Broadridge. Broadridge typically mails a scannable voting instruction form in lieu of the form of proxy. If you are a Non-Registered Yamana Shareholder, you are requested to complete and return the voting instruction form in accordance with the instructions set out therein. Broadridge tabulates the results of all instructions received and provides appropriate instructions regarding the voting of Yamana Shares to be represented at the Yamana Meeting or any adjournment or postponement thereof. Yamana may utilize Broadridge’s QuickVote™ service to assist eligible Non-Registered Yamana Shareholders that are “non-objecting beneficial owners” with voting their Yamana Shares over the telephone. Certain Non-Registered Yamana Shareholders who are non-objecting beneficial owners may be contacted by Laurel Hill, which is soliciting proxies on behalf of the management of Yamana, to conveniently obtain a vote directly over the telephone.

 

Non-Registered Yamana Shareholders – Voting by Live Internet Webcast or in Person

 

A Non-Registered Yamana Shareholder (other than a holder of Yamana Depositary Interests) can only vote its Yamana Shares online in real time or in person at the Yamana Meeting if it has previously appointed itself as the proxyholder for its Yamana Shares by printing its name in the space provided on the voting instruction form and submitting it as directed on the form.

 

In addition, in order to attend, ask questions and vote online in real time at the Yamana Meeting, Non-Registered Yamana Shareholders (other than holders of Yamana Depositary Interests) must also take the additional step of registering themselves as a proxyholder with Computershare after it has submitted its voting instruction form. To do so, such Non-Registered Yamana Shareholder must access www.computershare.com/Yamana by no later than 4:00 p.m. (Toronto time) on January 27, 2023, or no later than 4:00 p.m. (Toronto time) on the date that is two days (excluding Saturdays, Sundays and holidays) before the date of any adjourned or postponed Yamana Meeting, and provide Computershare with their contact information so that Computershare may register such Non-Registered Yamana Shareholder and provide them with a username for the Yamana Meeting via email. This username will allow a Non-Registered Yamana Shareholder to log in to the live webcast and vote online in real time at the Yamana Meeting. The failure of a Non-Registered Yamana Shareholder to register themselves as a proxyholder with Computershare will result in such Non-Registered Yamana Shareholder not receiving a username, which will prevent such Non-Registered Yamana Shareholder from being able to ask questions or vote online in real time at the Yamana Meeting and only being able to attend the Yamana Meeting online as a guest. Guests will not be permitted to vote or ask questions online in real time at the Yamana Meeting.

 

20 

 

 

Non-Registered Yamana Shareholders (other than holders of Yamana Depositary Interests) who wish to attend, ask questions and vote in person at the Yamana Meeting do not need to register their appointment with Computershare online. Non-Registered Yamana Shareholders who have appointed themselves as proxyholders and who plan to attend and vote in person at the Yamana Meeting must register with Yamana’s transfer agent, Computershare, when they arrive at the Yamana Meeting to ensure that their vote will be counted. As their vote will be taken and counted at the Yamana Meeting, Non-Registered Yamana Shareholders who have duly appointed themselves as proxyholders should not indicate their votes on their voting instruction form when they submit such form. If a Non-Registered Yamana Shareholder who has duly appointed itself as proxyholder is declined access to the Yamana Meeting due to public health concerns or protocols, such Non-Registered Yamana Shareholder will be given an opportunity to leave their completed form of proxy or ballot with the scrutineer outside of the Yamana Meeting.

 

A Non-Registered Yamana Shareholder (other than a holder of Yamana Depositary Interests) may also appoint someone else (who need not be a Yamana Shareholder) as its proxyholder to vote its Yamana Shares in person or online at the Yamana Meeting by printing their name in the space provided on the voting instruction form and submitting it as directed on the form. In addition, in order for the Non-Registered Yamana Shareholder’s proxyholder to attend, ask questions and vote online in real time at the Yamana Meeting, the Non-Registered Yamana Shareholder must also take the additional step of registering its proxyholder with Computershare after it has submitted its voting instruction form. To do so, such Non-Registered Yamana Shareholder must access www.computershare.com/Yamana by no later than 4:00 p.m. (Toronto time) on January 27, 2023, or no later than 4:00 p.m. (Toronto time) on the date that is two days (excluding Saturdays, Sundays and holidays) before the date of any adjourned or postponed Yamana Meeting, and provide Computershare with their proxyholder’s contact information so that Computershare may register such proxyholder and provide the proxyholder with a username for the Yamana Meeting via email. This username will allow the Non-Registered Yamana Shareholder’s proxyholder to log in to the live webcast and vote online in real time at the Yamana Meeting. The failure of a Non-Registered Yamana Shareholder to register their proxyholder with Computershare will result in such Non-Registered Yamana Shareholder’s proxyholder not receiving a username, which will prevent such Non-Registered Yamana Shareholder’s proxyholder from being able to ask questions or vote online in real time at the Yamana Meeting and only being able to attend the Yamana Meeting online as a guest. Guests will not be permitted to vote or ask questions online in real time at the Yamana Meeting.

 

Non-Registered Yamana Shareholders (other than holders of Yamana Depositary Interests) who wish to appoint a proxyholder to attend, ask questions and vote in person at the Yamana Meeting do not need to register their proxyholder’s appointment with Computershare online. Duly appointed proxyholders who plan to attend and vote in person at the Yamana Meeting must register with Yamana’s transfer agent, Computershare, when they arrive at the Yamana Meeting to ensure that their vote will be counted. If a duly appointed proxyholder is declined access to the Yamana Meeting due to public health concerns or protocols, such proxyholder will be given an opportunity to leave their completed form of proxy or ballot with the scrutineer outside of the Yamana Meeting.

 

Voting instructions must be received in sufficient time to allow the voting instruction form to be forwarded by the Non-Registered Yamana Shareholder’s Intermediary to Computershare before 4:00 p.m. (Toronto time) on January 27, 2023. If a Non-Registered Yamana Shareholder plans to participate in the Yamana Meeting (or to have its proxyholder participate in the Yamana Meeting), such Non-Registered Yamana Shareholder or its proxyholder will not be entitled to vote or ask questions, either in person or online in real time, unless the proper documentation is completed and received by the Non-Registered Yamana Shareholder’s Intermediary well in advance of the Yamana Meeting to allow them to forward the necessary information to Computershare before 4:00 p.m. (Toronto time) on January 27, 2023. Non-Registered Yamana Shareholders should contact their respective Intermediaries well in advance of the Yamana Meeting and follow their instructions if they want to participate in the Yamana Meeting.

 

21 

 

 

Guests, including Non-Registered Yamana Shareholders who have not duly appointed themselves as proxyholder, can attend the Yamana Meeting in person or online by logging into the Yamana Meeting at https://web.lumiagm.com/497366151, selecting the “I am a guest” icon at the login screen and entering the information requested on the online form. Guests may attend the Yamana Meeting in person or listen to the Yamana Meeting online but will not be able to ask questions or vote either in person or online in real time.

 

See “Information Concerning the Yamana Meeting”.

 

Q.How do I vote if I am both a Registered Yamana Shareholder and a Non-Registered Yamana Shareholder?

 

A.Should you hold some Yamana Shares as a Registered Yamana Shareholder and others as a Non-Registered Yamana Shareholder, you will have to use both voting methods described above. If you are a holder of Yamana Depositary Interests, you will have to direct the vote attaching to such Yamana Depositary Interests using the method described immediately below.

 

Q.How do I vote if I am a holder of Yamana Depositary Interests?

 

A.A Yamana Depositary Interest is a depositary interest which represents an entitlement to one underlying Yamana Share, issued and administered by Computershare UK. As holders of Yamana Depositary Interests are not the registered owners of the underlying Yamana Shares, Computershare Trust Company NA, the custodian of the underlying Yamana Shares, is entitled to vote at the Yamana Meeting at the instructions of holders of Yamana Depositary Interests.

 

To ensure your vote is counted at the Yamana Meeting, holders of Yamana Depositary Interests should complete and submit the accompanying Form of Instruction in accordance with the instructions set out therein, by no later than 11:00 a.m. (Toronto time) on January 26, 2023, or no later than 11:00 a.m. (Toronto time) on the date that is three days (excluding Saturdays, Sundays and holidays) before the date of any adjourned or postponed Yamana Meeting. Alternatively, holders of Yamana Depositary Interests may transmit voting instructions by utilizing the CREST (as such term is defined in the Circular) voting service in accordance with the procedures described in the CREST Manual (as such term is defined in the Circular). To be effective, the voting instructions must be transmitted so as to be received by Yamana’s agent (3RA50) by no later than 11:00 a.m. (Toronto time) on January 26, 2023, or no later than 11:00 a.m. (Toronto time) on the date that is three days (excluding Saturdays, Sundays and holidays) before the date of any adjourned or postponed Yamana Meeting.

 

Holders of Yamana Depositary Interests who wish to, or who wish to appoint another person to attend, ask questions and vote in person or online in real time at the Yamana Meeting must appoint themselves or their appointee as representative by notifying Computershare UK by email at !UKALLDITeam2@computershare.co.uk prior to 11:00 a.m. (Toronto time) on January 26, 2023, or no later than 11:00 a.m. (Toronto time) on the date that is three days (excluding Saturdays, Sundays and holidays) before the date of any adjourned or postponed Yamana Meeting, and providing Computershare UK with all of the information requested by Computershare UK. By notifying Computershare UK and providing all of the information requested by Computershare UK, such holder of Yamana Depositary Interests will be instructing Computershare Trust Company NA, the custodian of the Yamana Shares underlying the Yamana Depositary Interests, to appoint such holder of Yamana Depositary Interests or such other person, as applicable, as such custodian’s representative. Once a holder of Yamana Depositary Interests has notified Computershare UK as set out above and provided Computershare UK with all of the information requested by Computershare UK, such holder or its appointee will be permitted to attend, ask questions and vote in person or, subject to completing the additional steps below, online in real time at the Yamana Meeting.

 

22 

 

 

In addition, in order to attend, ask questions and vote online in real time at the Yamana Meeting, or appoint another person to do the foregoing, holders of Yamana Depositary Interests must also take the additional step of registering themselves or their appointee as a proxyholder with Computershare after it has notified Computershare UK and provided all of the information requested by Computershare UK. To do so, such Non-Registered Yamana Shareholder must access www.computershare.com/Yamana by no later than 4:00 p.m. (Toronto time) on January 27, 2023, or no later than 4:00 p.m. (Toronto time) on the date that is two days (excluding Saturdays, Sundays and holidays) before the date of any adjourned or postponed Yamana Meeting, and provide Computershare with their or their appointee’s, as applicable, contact information so that Computershare may register such holder of Yamana Depositary Interests or their appointee, as applicable, and provide them or their appointee, as applicable, with a username for the Yamana Meeting via email. This username will allow a holder of Yamana Depositary Interests or their appointee, as applicable, to log in to the live webcast and vote online in real time at the Yamana Meeting. The failure of a holder of Yamana Depositary Interests to notify Computershare UK and provide all of the information requested by Computershare UK or to register themselves or their appointee, as applicable, as a representative with Computershare may result in such holder of Yamana Depositary Interests or their appointee, as applicable, not receiving a username, which will prevent such holder of Yamana Depositary Interests or their appointee, as applicable, from being able to ask questions or vote online in real time at the Yamana Meeting and only being able to attend the Yamana Meeting online as a guest. Guests will not be permitted to vote or ask questions online in real time at the Yamana Meeting.

 

Holders of Yamana Depositary Interests who wish to attend, ask questions and vote in person at the Yamana Meeting, or appoint another person to do the foregoing, do not need to register their appointment with Computershare online. Holders of Yamana Depositary Interests, or their appointees, who have appointed themselves as representatives by notifying Computershare UK and providing all of the information requested by Computershare UK, and who plan to attend and vote in person at the Yamana Meeting must register with Yamana’s transfer agent, Computershare, when they arrive at the Yamana Meeting to ensure that their vote will be counted. If a holder of Yamana Depositary Interests, or an appointee, who has been duly appointed as a representative is declined access to the Yamana Meeting due to public health concerns or protocols, such holder of Yamana Depositary Interests or appointee, as applicable, will be given an opportunity to leave their completed ballot with the scrutineer outside of the Yamana Meeting.

 

The completion and return of the Form of Instruction or CREST Voting Instruction will not preclude a holder of Yamana Depositary Interests or its appointee from attending the Yamana Meeting in person or online. However, if a holder of Yamana Depositary Interests or its appointee attends the Yamana Meeting in person or online and votes again at the Yamana Meeting, they will be revoking any and all previously submitted Forms of Instruction or CREST Voting Instructions. If a holder of Yamana Depositary Interests, or its appointee, does not wish to revoke all previously submitted Forms of Instruction or CREST Voting Instructions, they must not vote again in person or online at the Yamana Meeting or must only attend the Yamana Meeting in person or online as a guest.

 

See “Information Concerning the Yamana Meeting – Attending the Yamana Meeting Online” and “Information Concerning the Yamana Meeting – Attending the Yamana Meeting in Person” for the instructions that a holder of Yamana Depositary Interests, or its appointee, must follow in order to attend, ask questions and vote online in real time or in person at the Yamana Meeting.

 

If a holder of Yamana Depositary Interests does not take the actions described above in order to appoint itself, or another person, as proxyholder, such holder of Yamana Depositary Interests or its appointee will only be able to attend the Yamana Meeting as a guest. Guests can log into the Yamana Meeting online and listen to the Yamana Meeting or attend the Yamana Meeting in person, but will not be able to ask questions or vote online in real time or in person. See “Information Concerning the Yamana Meeting – Attending the Yamana Meeting Online” for instructions on how a guest can log into the Yamana Meeting online and listen to the Yamana Meeting.

 

See “Information Concerning the Holders of Yamana Depositary Interests” for further information.

 

23 

 

 

Q.Who is soliciting my proxy?

 

A.The management of Yamana is soliciting your proxy.

 

To encourage your vote participation, you may be contacted by directors, officers, employees, consultants or agents of Yamana by telephone, email, internet, facsimile, in person or by other means of communication, or by Yamana’s strategic shareholder advisor and proxy solicitation agent, Laurel Hill, who has been engaged by Yamana in connection with this Circular. The total cost of soliciting proxies and mailing the Yamana Meeting Materials to Yamana Shareholder will be borne by Yamana.

 

Q.Who votes my Yamana Shares and how will they be voted if I return a proxy form?

 

A.The accompanying form of proxy, when properly signed, confers authority on the Persons named in it as proxies to use their discretion in voting on any amendments or variations to the matters identified in the Notice of Special Meeting of Shareholders of Yamana or other matters that may properly come before the Yamana Meeting, or any adjournment or postponement thereof. In addition, if you do not give any instruction as to how to vote on a particular matter to be decided at the Yamana Meeting, your proxyholder can vote your Yamana Shares as he or she thinks fit. Notwithstanding the foregoing, the Persons named in the accompanying form of proxy will vote or withhold from voting the Yamana Shares in respect of which they are appointed in accordance with the direction of the Yamana Shareholder appointing them and if the Yamana Shareholder specifies a choice with respect to any matter to be voted upon, such Yamana Shareholders’ Yamana Shares will be voted accordingly. If you sign and return your form of proxy without designating a proxyholder and do not give voting instructions or do not specify that you want your Yamana Shares voted against the Arrangement Resolution, the Yamana representatives named in the form of proxy will vote your Yamana Shares IN FAVOUR of the Arrangement Resolution.

 

IN THE ABSENCE OF ANY SUCH INSTRUCTION, YAMANA SHARES REPRESENTED BY PROXIES RECEIVED BY MANAGEMENT WILL BE VOTED IN FAVOUR OF THE ARRANGEMENT RESOLUTION.

 

Q.Can I appoint someone other than those named in the enclosed proxy forms to vote my Yamana Shares?

 

A.Yes, you have the right to appoint another Person of your choice. A Yamana Shareholder that wishes to appoint another Person or entity (who need not be a Yamana Shareholder) to represent such Yamana Shareholder at the Yamana Meeting, either in person or online, may either insert the Person or entity’s name in the blank space provided in the form of proxy or complete another proper form of proxy and submit the form of proxy. In addition, if you want your proxyholder to attend and vote your Yamana Shares online in real time at the Yamana Meeting, you must also take the additional step of registering your proxyholder with Computershare once you have submitted your form of proxy. If you want your proxyholder to attend the Yamana Meeting in person or you wish to attend the Yamana Meeting in person, you do not need to register your proxyholder’s appointment with Computershare online.

 

See “Information Concerning the Yamana Meeting” in this Circular.

 

Q.What if my Yamana Shares are registered in more than one name or in the name of a company?

 

A.If your Yamana Shares are registered in more than one name, all registered Persons must sign the proxy form. If your Yamana Shares are registered in a company’s name or any name other than your own, you may be required to provide documents proving your authorization to sign the proxy form for that company or name. For any questions about the proper supporting documents, contact Yamana’s transfer agent, Computershare, by telephone at 1-800-564-6253 or toll free in North America at 1-514-982-7555, before submitting your proxy form.

 

24 

 

 

Q.Can I revoke a proxy or voting instruction?

 

A.Yes. A Yamana Shareholder who has voted by proxy may revoke it any time prior to the Yamana Meeting. To revoke a proxy, a Registered Yamana Shareholder may: (a) deliver a written notice which is either delivered to the offices of Computershare at 100 University Avenue, 8th Floor, Toronto, Ontario M5J 2Y1, facsimile: 1-866-249-7775, at any time up to and including the close of business on the last Business Day preceding the day of the Yamana Meeting, or any adjournment or postponement thereof, or with the Chair of the Yamana Meeting on the day of the Yamana Meeting prior to the commencement of the Yamana Meeting, or any adjournment or postponement thereof; (b) vote again on the Internet or by phone at any time up to 4:00 p.m. (Toronto time) on January 27, 2023 (or no later than 4:00 p.m. (Toronto time) on the date that is two days (excluding Saturdays, Sundays and holidays) before the date of any adjourned or postponed Yamana Meeting); or (c) complete a form of proxy that is dated later than the form of proxy being revoked, and mailing it or faxing it as instructed on the form of proxy so that it is received before 4:00 p.m. (Toronto time) on January 27, 2023 (or no later than 4:00 p.m. (Toronto time) on the date that is two days (excluding Saturdays, Sundays and holidays) before the date of any adjourned or postponed Yamana Meeting). In addition, if you attend the Yamana Meeting online, log into the Yamana Meeting and accept the terms and conditions and vote again online at the Yamana Meeting, you will be revoking any and all previously submitted proxies. If you do not wish to revoke all previously submitted proxies, you must not vote again online at the Yamana Meeting or must only attend the Yamana Meeting online as a guest. In addition, the proxy may be revoked by any other method permitted by Law. The written notice of revocation may be executed by the Yamana Shareholder or by an attorney who has the Yamana Shareholder’s written authorization. If the Yamana Shareholder is a corporation, the written notice must be executed by its duly authorized officer or attorney.

 

Only Registered Yamana Shareholders have the right to directly revoke a proxy. Non-Registered Yamana Shareholders (other than holders of Yamana Depositary Interests) that wish to revoke or change their prior voting instructions must arrange for their respective Intermediaries to revoke the proxy on their behalf in accordance with any requirements of the Intermediaries. Holders of Yamana Depositary Interests that wish to change their vote must either (a) if they have voted by way of CREST Voting Instruction, revoke or amend their previously submitted CREST Voting Instruction in accordance with the procedures described in the CREST Manual, or (b) if they have voted by way of Form of Instruction, arrange for Computershare UK to revoke or amend such previously submitted Form of Instruction by notifying Computershare UK by email at !UKALLDITeam2@computershare.co.uk prior to 11:00 a.m. (Toronto time) on January 26, 2023, or no later than 11:00 a.m. (Toronto time) on the date that is three days (excluding Saturdays, Sundays and holidays) before the date of any adjourned or postponed Yamana Meeting. In addition, if a holder of Yamana Depositary Interests, or its appointee, attends the Yamana Meeting in person or online and votes again at the Yamana Meeting, they will be revoking any and all previously submitted Forms of Instruction or CREST Voting Instructions. If a holder of Yamana Depositary Interests, or its appointee, does not wish to revoke all previously submitted Forms of Instruction or CREST Voting Instructions, they must not vote again in person or online at the Yamana Meeting or may only attend the Yamana Meeting in person or online as a guest.

 

See “Information Concerning the Yamana Meeting”.

 

Q.Should I send in my proxy now?

 

A.Yes. Once you have carefully read and considered the information in this Circular, you need to complete and submit the enclosed voting instruction form or form of proxy. You are encouraged to vote well in advance of the proxy cut off time at 4:00 p.m. (Toronto time) on January 27, 2023 to ensure your Yamana Shares are voted at the Yamana Meeting. If the Yamana Meeting is adjourned or postponed, your proxy must be received by no later than 4:00 p.m. (Toronto time) on the date that is two days (excluding Saturdays, Sundays and holidays) before the date of any adjourned or postponed Yamana Meeting. Late proxies may be accepted or rejected at the discretion of the Chair of the Yamana Meeting. The Chair is under no obligation to accept or reject any particular late proxy. The time limit for deposit of proxies may be waived or extended by the Chair of the Yamana Meeting, at the Chair’s discretion, with or without notice.

 

25 

 

 

Q.Who is responsible for counting and tabulating the votes by proxy?

 

A.Votes by proxy are counted and tabulated by Yamana’s transfer agent, Computershare.

 

Q.What if I have other questions?

 

A.If you have any questions regarding the Yamana Meeting, please contact Yamana’s strategic shareholder advisor and proxy solicitation agent, Laurel Hill, by telephone at 1-877-452-7184 (toll free in North America), at 1-416-304-0211 (for collect calls outside of North America), or by email at assistance@laurelhill.com.

 

26 

 

 

GENERAL INFORMATION

 

Information Contained in this Circular

 

This Circular is furnished in connection with the solicitation of proxies by and on behalf of management of Yamana for use at the Yamana Meeting and any adjournment or postponement thereof.

 

Yamana is conducting the Yamana Meeting as a hybrid meeting that will allow Registered Yamana Shareholders and duly appointed proxyholders to participate both in person and online in real time. Yamana is providing the virtual format in order to provide Yamana Shareholders, including holders of Yamana Depositary Interests, with an equal opportunity to attend and participate at the Yamana Meeting, regardless of the particular constraints, circumstances or risks that they may be facing as a result of COVID-19. Only Registered Yamana Shareholders and duly appointed proxyholders and representatives (including any Non-Registered Yamana Shareholders who have appointed themselves as proxyholders or holders of Yamana Depositary Interests who have appointed themselves as representatives) will be able to attend, ask questions and vote at the Yamana Meeting, either in person or online in real time, provided that they are connected to the internet (for those attending online) and carefully follow the instructions set out in this Circular and the related proxy materials. Non-Registered Yamana Shareholders, including holders of Yamana Depositary Interests, unless they have been duly appointed as proxyholders or representatives in accordance with the procedures set out in the Circular and related proxy materials, will be able to listen to a live webcast of the Yamana Meeting or attend the Yamana Meeting in person as guests but will not be able to ask questions or vote either in person or online in real time. See “Information Concerning the Yamana Meeting”, “Information Concerning the Holders of Yamana Depositary Interests” and the Notice of Special Meeting of Shareholders of Yamana that accompanies this Circular.

 

Yamana is actively monitoring any public health and travel safety concerns relating to COVID-19 and any advisories or mandates that federal, provincial and local governments, and related agencies, may issue. ln the event it is not possible or advisable to hold the Yamana Meeting in person as currently planned, Yamana may be required to hold a virtual-only Yamana Meeting, in which case Yamana will announce the decision to do so via a press release and by posting details on Yamana’s website that will also be filed on Yamana’s issuer profile on SEDAR at www.sedar.com and on EDGAR at www.sec.gov.

 

No Person has been authorized to give any information or to make any representations in connection with the Arrangement and the other matters discussed in or incorporated by reference in this Circular other than those contained in this Circular and, if given or made, any such information or representation must not be relied upon as having been authorized by Yamana and should not be relied upon in making a decision as to how to vote on the Arrangement Resolution. For greater certainty, to the extent that any information contained or provided on Yamana’s website or by Yamana’s strategic shareholder advisor and proxy solicitation agent, Laurel Hill, is inconsistent with this Circular, you should rely on the information provided in this Circular. Information contained on Yamana’s website is not and is not deemed to be a part of this Circular or incorporated by reference herein and should not be relied upon by Yamana Shareholders in making a decision as to how to vote on the Arrangement Resolution.

 

This Circular does not constitute an offer to sell, or a solicitation of an offer to acquire, any securities, or the solicitation of a proxy, by any Person in any jurisdiction in which such an offer or solicitation is not authorized or in which the Person making such offer or solicitation is not qualified to do so or to any Person to whom it is unlawful to make such an offer or solicitation of an offer or proxy solicitation. Neither delivery of this Circular nor any distribution of the securities referred to in this Circular will, under any circumstances, create an implication that there has been no change in the information set forth herein since the date of this Circular.

 

Unless otherwise indicated, information in this Circular is as of December 20, 2022. Information contained in the documents incorporated herein by reference is as of the respective dates stated therein. All capitalized terms used in this Circular but not otherwise defined herein have the meanings set forth under “Glossary of Terms”.

 

27 

 

 

Descriptions in this Circular of the terms of the Plan of Arrangement, the Yamana Fairness Opinion and the Interim Order attached to this Circular at Schedule B, Schedule C and Schedule D, respectively, and the Arrangement Agreement, the form of Yamana Support Agreement and the form of Pan American Support Agreement, which have been filed under Yamana’s issuer profile on SEDAR at www.sedar.com and on EDGAR at www.sec.gov, are summaries of the terms of those documents and are qualified in their entirety by reference to the full text of each of those documents. You are urged to carefully read the full text of those documents. In the event of any inconsistency between the summary of any provision of those documents contained in this Circular and the actual text of the document, the text of the applicable document shall govern.

 

Information contained in this Circular should not be construed as legal, tax or financial advice and Yamana Shareholders are urged to consult with their own professional advisors in considering the relevant legal, tax, financial or other matters contained in this Circular.

 

This document is important and requires your immediate attention. If you have any questions or require assistance, you should consult your investment dealer, broker, bank manager, lawyer or other professional advisors. This Circular and the transactions contemplated by the Arrangement Agreement and the Plan of Arrangement have not been approved or disapproved by any securities regulatory authority nor has any securities regulatory authority passed upon the fairness or merits of such transactions or upon the accuracy or adequacy of the information contained in this Circular and it is an offence to claim otherwise.

 

Information Concerning Pan American

 

Except as otherwise indicated, the information concerning Pan American contained in this Circular is based solely on information provided to Yamana by Pan American as part of the Arrangement in connection with preparation of this Circular. Although Yamana has no knowledge that any statements contained herein taken from or based on such information provided by Pan American are untrue or incomplete, neither Yamana nor any of its directors or officers assumes any responsibility for the accuracy or completeness of such information, nor for any failure of Pan American or any of its affiliates or representatives to disclose facts or events which may have occurred or which may affect the completeness or accuracy of any such information but which are unknown to Yamana. Yamana has no knowledge of any material information concerning Pan American that has not been generally disclosed and, in accordance with the Arrangement Agreement, Pan American provided all necessary information concerning Pan American that is required by Law to be included in this Circular and ensured that such information does not contain any misrepresentations. See also “Risk Factors”.

 

Information Concerning Agnico

 

Except as otherwise indicated, the information concerning Agnico contained in this Circular is based solely on information provided to Yamana by Agnico as part of the Arrangement in connection with preparation of this Circular. Although Yamana has no knowledge that any statements contained herein taken from or based on such information provided by Agnico are untrue or incomplete, neither Yamana nor any of its directors or officers assumes any responsibility for the accuracy or completeness of such information, nor for any failure of Agnico or any of its affiliates or representatives to disclose facts or events which may have occurred or which may affect the completeness or accuracy of any such information but which are unknown to Yamana. Yamana has no knowledge of any material information concerning Agnico that has not been generally disclosed and, in accordance with the Arrangement Agreement, Agnico provided all necessary information concerning Agnico that is required by Law to be included in this Circular and ensured that such information does not contain any misrepresentations. See also “Risk Factors”.

 

Presentation of Financial Information

 

The historical financial statements are prepared in accordance with IFRS and all other financial information of Yamana, Pan American and Agnico included or incorporated by reference in this Circular and the pro forma financial statements of Pan American included in this Circular are reported in U.S. dollars and are included based on applicable Canadian Securities Laws. The Yamana Annual Financial Statements, the Pan American Annual Financial Statements and Agnico Annual Financial Statements have been audited, in each case, in accordance with the standards of the PCAOB.

 

28 

 

 

Pro forma Financial Information

 

The unaudited pro forma consolidated financial information included in this Circular gives effect to the Arrangement and certain related adjustments described in the notes accompanying such financial information. The unaudited pro forma consolidated financial statements of Pan American included in this Circular have been prepared by Pan American and included in this Circular as required by applicable Canadian Securities Law. The unaudited pro forma consolidated statement of financial position of Pan American gives effect to the Arrangement as if it had closed on September 30, 2022. The unaudited pro forma consolidated statement of operations of Pan American for the year ended December 31, 2021 and the unaudited pro forma consolidated statement of operations of Pan American for the nine months ended September 30, 2022 each give effect to the Arrangement as if it had closed on January 1, 2021. The unaudited pro forma consolidated financial information is based on the respective historical audited consolidated financial statements of Yamana and Pan American as at and for the year ended December 31, 2021, and the respective historical unaudited condensed consolidated interim financial statements of Yamana and Pan American as at and for the nine months ended September 30, 2022, included or incorporated by reference in this Circular, as applicable. Pro forma financial information presented in this Circular has been derived from the unaudited pro forma consolidated financial information of Yamana and Pan American included elsewhere in this Circular. The pro forma financial information presented in this Circular should be read in conjunction with the historical consolidated financial statements of both Yamana and Pan American as at and for the year ended December 31, 2021 and as at and for the nine months ended September 30, 2022. See “Schedule G – Unaudited Pro Forma Consolidated Financial Statements”.

 

The unaudited pro forma consolidated financial information is presented for illustrative purposes only and does not necessarily reflect what the Combined Company’s financial condition and results of operations would have been had the Arrangement occurred on the dates indicated. They also may not be useful in predicting the future financial condition and results of the operations of the Combined Company. The actual financial position and results of operations of the Combined Company may differ significantly from the pro forma amounts reflected in the unaudited pro forma consolidated financial statements due to a variety of factors.

 

The unaudited pro forma information and adjustments, including the allocation of the purchase price, are based upon preliminary estimates of fair values of assets acquired and liabilities assumed, currently available information and certain assumptions that Yamana and Pan American believe are reasonable in the circumstances, as described in the notes to the unaudited pro forma consolidated financial statements. The actual adjustments to the consolidated financial statements of Pan American upon closing of the Arrangement will depend on a number of factors, including, among others, the actual expenses of the Arrangement and other additional information that becomes available after the date of this Circular. As a result, it is expected that actual adjustments will differ from the pro forma adjustments, and the differences may be material. See “Forward-Looking Information” and “Risk Factors”.

 

Solicitation of Proxies

 

To encourage your vote participation, you may be contacted by directors, officers, employees, consultants or agents of Yamana by telephone, email, internet, facsimile, in person or by other means of communication, or by Yamana’s strategic shareholder advisor and proxy solicitation agent, Laurel Hill, who has been engaged by Yamana in connection with this Circular. The total cost of soliciting proxies and mailing the Yamana Meeting Materials to Yamana Shareholders and holders of Yamana Depositary Interests will be borne by Yamana.

 

In connection with communicating with Yamana Shareholders and holders of Yamana Depositary Interests in respect of the Arrangement, Laurel Hill is expected to receive an estimated fee of C$125,000 for services provided, plus an amount per call to retail holders of Yamana Shares as well as the reimbursement of its reasonable out-of-pocket expenses.

 

29 

 

 

Yamana may use Broadridge’s QuickVote™ service to assist eligible Non-Registered Yamana Shareholders that are “non-objecting beneficial owners” with voting their Yamana Shares over the telephone. Certain Non-Registered Yamana Shareholders who are non-objecting beneficial owners may be contacted by Laurel Hill, which is soliciting proxies on behalf of the management of Yamana, to conveniently obtain voting instructions directly over the telephone.

 

Yamana will not be relying on the notice-and-access delivery procedures outlined in NI 54-101 to distribute copies of proxy-related materials in connection with the Yamana Meeting. Yamana will pay for an Intermediary to deliver copies of proxy-related materials in connection with the Yamana Meeting to “objecting beneficial owners”.

 

Enforcement in Canada

 

Certain of the directors and officers of Yamana, Pan American and Agnico as well as certain experts referenced in this Circular and the documents incorporated by reference herein reside outside of Canada. It may not be possible for Yamana Shareholders and holders of Yamana Depositary Interests to effect service of process within Canada upon such Persons. Yamana Shareholders and holders of Yamana Depositary Interests are advised that it may not be possible to enforce judgments obtained in Canada against any Person that is incorporated, continued or otherwise organized under the Laws of a foreign jurisdiction or resides outside of Canada.

 

Information for Shareholders not Resident in Canada

 

Yamana is a corporation organized under the Laws of Canada. The solicitation of proxies involves securities of a Canadian issuer and is being effected in accordance with applicable corporate and securities Laws in Canada. Yamana Shareholders and holders of Yamana Depositary Interests should be aware that the requirements applicable to Yamana under Canadian Laws may differ from requirements under corporate and securities Laws relating to corporations in other jurisdictions.

 

The enforcement of civil liabilities under the securities Laws of other jurisdictions outside Canada may be affected adversely by the fact that Yamana is organized under the Laws of Canada, certain of its assets are located in Canada and certain of its directors and officers, as well as certain experts referenced in this Circular, are residents of Canada. You may not be able to sue Yamana, its directors or officers and/or the experts referenced in this Circular in a Canadian court for violations of foreign securities Laws. It may be difficult to compel Yamana to subject itself to a judgment of a court outside Canada.

 

Yamana Shareholders and holders of Yamana Depositary Interests who are foreign taxpayers should be aware that the Arrangement described in this Circular may have tax consequences both in Canada and such foreign jurisdictions in which they are resident. This Circular does not contain a summary of the non-Canadian federal income tax, non-U.S. federal income tax, and non-United Kingdom income tax considerations of the Arrangement for Yamana Shareholders and holders of Yamana Depositary Interests who are subject to income tax outside of Canada, the United States or the United Kingdom. Such Yamana Shareholders and holders of Yamana Depositary Interests should consult their own tax advisors with respect to the tax implications of the Arrangement, including any associated filing requirements and the effects of owning and disposing of Consideration Shares in such jurisdictions.

 

Currency Exchange Rate Information

 

In this Circular, unless otherwise specified or the context otherwise requires, all dollar amounts are expressed in United States dollars and references to “US$” are to United States dollars, references to “C$” are to Canadian dollars and references to “£” are to British pounds sterling.

 

30 

 

 

 

The following table sets forth the high and low daily exchange rates for one United States dollar expressed in Canadian dollars for each period indicated, the average of the daily exchange rates for each period indicated and the exchange rate at the end of the period, based on the daily exchange rates provided by the Bank of Canada.

 

   Nine Months Ended September 30   Year ended December 31 
   2022   2021   2020   2021   2020   2019 
High   1.3726    1.2856    1.4496    1.2942    1.4496    1.3600 
Low   1.2451    1.2040    1.2970    1.2040    1.2718    1.2988 
Average Rate During Period   1.2828    1.2513    1.3541    1.2535    1.3415    1.3269 
Rate at End of Period   1.3707    1.2741    1.3339    1.2678    1.2732    1.2988 

 

On December 19, 2022, the last Business Day in the United States and Canada immediately prior to the date of this Circular, the average daily exchange rate as reported by the Bank of Canada was US$1.00 = C$1.3653 or C$1.00 = US$0.7324.

 

The following table sets forth the high and low daily exchange rates for one United States dollar expressed in British pounds sterling for each period indicated, the average of the daily exchange rates for each period indicated and the exchange rate at the end of the period, based on the daily exchange rates provided by the United States Federal Reserve.

 

   Nine Months Ended September 30   Year ended December 31 
   2022   2021   2020   2021   2020   2019 
High   0.9343    0.7441    0.8702    0.7583    0.8702    0.8287 
Low   0.7287    0.7048    0.7454    0.7048    0.7320    0.7491 
Average Rate During Period   0.7983    0.7219    0.7874    0.7268    0.7803    0.7837 
Rate at End of Period   0.8981    0.7424    0.7739    0.7407    0.7320    0.7536 

 

On December 19, 2022, the last Business Day in the United States immediately prior to the date of this Circular, the average daily exchange rate as reported by the United States Federal Reserve was US$1.00 = £0.8244 or £1.00 = US$1.2130.

 

31 

 

 

Scientific and Technical Information

 

All mineral reserves and mineral resources for Yamana have been estimated in accordance with the standards of the CIM and NI 43-101. All mineral resources are reported exclusive of mineral reserves. Mineral resources that are not mineral reserves do not have demonstrated economic viability. The estimation of “measured”, “indicated” or “inferred” mineral resources involves greater uncertainty as to their existence and economic feasibility than the estimation of proven and probable mineral reserves. The estimation of “inferred” mineral resources involves far greater uncertainty as to their existence and economic viability than the estimation of other categories of mineral resources. It cannot be assumed that all or any part of a “measured”, “indicated” or “inferred” mineral resource will ever be upgraded to a higher category or converted into a mineral reserve. Under Canadian rules, estimates of “inferred mineral resources” may not form the basis of feasibility studies, pre-feasibility studies or other economic studies, except in prescribed cases, such as in a preliminary economic assessment under certain circumstances. Investors are cautioned not to assume that any part or all of a “measured”, “indicated” or “inferred” mineral resource exists or is economically or legally mineable. Mineral resources that are not mineral reserves do not have demonstrated economic viability. An estimate of mineral resources may be materially affected by environmental, permitting, legal, title, taxation, socio-political, marketing, or other relevant issues. The quantity and grade of reported inferred mineral resources in an estimation are uncertain in nature and there has been insufficient exploration to define such inferred mineral resources as an indicated mineral resource or measured mineral resource and it is uncertain if further exploration will result in upgrading them to an indicated mineral resource or measured mineral resource category. Inferred mineral resources are considered too speculative geologically to have the economic considerations applied to enable them to be categorized as mineral reserves. The mineral resources in this Circular were reported using CIM Standards.

 

Additional information about each of Yamana’s material mineral projects, including information regarding data verification, key assumptions, parameters and methods used to estimate mineral reserves and mineral resources and the risks that could materially affect the development of the mineral reserves and mineral resources, can be found in the Yamana AIF and in the current technical reports for each of Yamana’s material mineral projects, all of which are available under Yamana’s issuer profile on SEDAR at www.sedar.com and on EDGAR at www.sec.gov.

 

32 

 

 

NOTICE TO YAMANA SECURITYHOLDERS IN THE UNITED STATES

 

THE ARRANGEMENT AND THE SECURITIES TO BE ISSUED IN CONNECTION WITH THE ARRANGEMENT HAVE NOT BEEN APPROVED OR DISAPPROVED BY THE SEC OR SECURITIES REGULATORY AUTHORITIES IN ANY STATE IN THE UNITED STATES, NOR HAS THE SEC OR THE SECURITIES REGULATORY AUTHORITIES OF ANY STATE IN THE UNITED STATES PASSED UPON THE FAIRNESS OR MERITS OF THE ARRANGEMENT OR UPON THE ADEQUACY OR ACCURACY OF THIS CIRCULAR. ANY REPRESENTATION TO THE CONTRARY IS A CRIMINAL OFFENCE.

 

The offer and sale of the Consideration Shares issuable to Yamana Shareholders, including holders of Yamana Depositary Interests, in exchange for their Yamana Shares (including the Yamana Shares underlying their Yamana Depositary Interests, as applicable) pursuant to the Arrangement have not been registered under the U.S. Securities Act or applicable state U.S. Securities Laws, and are being issued in reliance on the exemption from the registration requirements of the U.S. Securities Act set forth in the section 3(a)(10) thereof on the basis of the approval of the Court as described under “Regulatory Matters and Approvals – U.S. Securities Law Matters”, and exemptions from registration under applicable state U.S. Securities Laws. Section 3(a)(10) of the U.S. Securities Act exempts the issuance of any securities issued in exchange for one or more bona fide outstanding securities from the general requirement of registration where the terms and conditions of the issuance and exchange of such securities have been approved by a court of competent jurisdiction that is expressly authorized by Law to grant such approval, after a hearing upon the substantive and procedural fairness of the terms and conditions of such issuance and exchange at which all Persons to whom it is proposed to issue the securities have the right to appear and receive timely and adequate notice thereof. The Court is authorized to conduct a hearing at which the substantive and procedural fairness of the terms and conditions of the Arrangement will be considered.

 

The Court issued the Interim Order on December 20, 2022, and, subject to the approval of the Arrangement by the Yamana Shareholders, a hearing on the application for the Final Order is expected to take place on or about February 6, 2023, at 10:00 a.m. (Toronto time). All Yamana Shareholders, including holders of Yamana Depositary Interests, are entitled to appear and be heard at this hearing. The Final Order, if granted, will constitute a basis for the exemption from the registration requirements of the U.S. Securities Act set forth in the section 3(a)(10) thereof with respect to the issuance of the Consideration Shares to be received by Yamana Shareholders, including holders of Yamana Depositary Interests, in exchange for their Yamana Shares (including the Yamana Shares underlying their Yamana Depositary Interests, as applicable) pursuant to the Arrangement upon completion of the Arrangement. Prior to the hearing on the Final Order, the Court will be informed of this effect of the Final Order. See “Regulatory Matters and Approvals – Court Approvals”.

 

Yamana is organized under the Laws of Canada and is a “foreign private issuer” as defined under Rule 3b-4 of the U.S. Exchange Act. The solicitations of proxies for the Yamana Meeting are not subject to the requirements of sections 14(a) and 14(c) of the U.S. Exchange Act. Accordingly, the solicitations and transactions contemplated in this Circular are being made in the United States in accordance with Canadian corporate and securities Laws, and this Circular has been prepared solely in accordance with disclosure requirements applicable in Canada. Yamana Shareholders in the United States should be aware that such requirements are different from those of the United States applicable to registration statements under the U.S. Securities Act and proxy statements under the U.S. Exchange Act.

 

Information concerning the operations of Yamana contained herein has been prepared in accordance with Canadian disclosure standards, which are not comparable in all respects to United States disclosure standards. The financial statements of Yamana were prepared in accordance with IFRS, which differs from generally accepted accounting principles in the United States in certain material respects and thus may not be comparable to financial statements and information of United States companies prepared in accordance with generally accepted accounting principles in the United States. See also “General Information – Presentation of Financial Information”.

 

33 

 

 

The historical financial statements of Yamana, Pan American and Agnico included or incorporated by reference in this Circular, as applicable, have been prepared in U.S. dollars and prepared in accordance with IFRS and the unaudited pro forma consolidated financial statements of Pan American have been prepared by Pan American in U.S. dollars. The consolidated financial statements of Yamana as at and for the years ended December 31, 2021 and 2020 are subject to audit under the auditing standards of the PCAOB. Yamana’s auditors are required to be independent with respect to Yamana within the meaning of the Rules of Professional Conduct of the Chartered Professional Accountants of Ontario and in accordance with the U.S. Securities Act and the applicable rules and regulations thereunder adopted by the SEC and the PCAOB. The Pan American consolidated financial statements are subject to audit under the auditing standards of the PCAOB. Pan American’s auditors are required to be independent with respect to Pan American in accordance with the U.S. Securities Act and the applicable rules and regulations thereunder adopted by the SEC and the PCAOB. The Agnico consolidated financial statements are subject to audit under the auditing standards of the PCAOB. Agnico’s auditors are required to be independent with respect to Agnico in accordance with the U.S. Securities Laws and the applicable rules and regulations of the SEC and the PCAOB.

 

Yamana Securityholders subject to United States federal taxation should be aware that the Arrangement and the acquisition, ownership and disposition of the Consideration pursuant to the Arrangement described herein may have tax consequences to them under the tax Laws of Canada, the United States and the United Kingdom. Yamana Securityholders are advised to review the summaries contained in this Circular under the headings “Certain Income Tax Considerations – Certain Canadian Federal Income Tax Considerations”, “Certain Income Tax Considerations – Certain United States Federal Income Tax Considerations”, and “Certain Income Tax Considerations – Certain United Kingdom Tax Considerations”, respectively, and are urged to consult their own tax advisors regarding the tax consequences to them of the Arrangement and the acquisition, ownership and disposition of the Consideration in light of their particular situation, as well as any tax consequences that may arise under the Laws of any other relevant foreign, state, local, or other taxing jurisdiction.

 

The Consideration Shares to be issued to Yamana Shareholders, including holders of Yamana Depositary Interests, pursuant to the Arrangement will not be subject to transfer restrictions under U.S. federal Securities Laws, except by Persons who are affiliates (as defined in Rule 144) of Pan American or Agnico, as applicable, after the Effective Date, or were affiliates of Pan American or Agnico, as applicable, within 90 days prior to the Effective Date. Persons who may be deemed to be affiliates of an issuer (as defined in Rule 144) include individuals or entities that control, are controlled by, or are under common control with, the issuer, whether through the ownership of voting securities, by contract, or otherwise, and generally include executive officers and directors of the issuer as well as principal shareholders of the issuer. Typically, Persons who are directors, executive officers or 10% or greater shareholders of an issuer are considered to be its affiliates. Any resale of Consideration Shares by such an affiliate or former affiliate may be subject to the registration requirements of the U.S. Securities Act, absent an available exemption therefrom, such as the exemptions contained in Rule 144 or Rule 904 of Regulation S. See “Regulatory Matters and Approvals – U.S. Securities Law Matters”.

 

The enforcement by Yamana Shareholders, including holders of Yamana Depositary Interests, of civil liabilities under U.S. Securities Laws may be affected adversely by the fact that each of Yamana, Pan American and Agnico is organized under the Laws of Canada, being a jurisdiction outside the United States, that some of their respective directors and officers and the experts named in this Circular and the documents incorporated by reference herein are not residents of the United States and that all or a substantial portion of its assets and such Persons may be located outside the United States. As a result, it may be difficult or impossible for U.S. Yamana Shareholders, including holders of Yamana Depositary Interests in the U.S., to effect service of process within the United States upon Yamana, Pan American or Agnico, the officers and directors or the experts named herein or in the documents incorporated by reference, or to realize against them upon judgments of courts of the United States predicated upon civil liabilities under U.S. Securities Laws. In addition, U.S. Yamana Shareholders, including holders of Yamana Depositary Interests in the U.S., should not assume that the courts of Canada: (a) would enforce judgments of United States courts obtained in actions against such Persons predicated upon civil liabilities under U.S. Securities Laws; or (b) would enforce, in an original action, liabilities against such Persons predicated upon civil liabilities under U.S. Securities Laws.

 

No broker, dealer, salesperson or other Person has been authorized to give any information or make any representation other than those contained in this Circular and, if given or made, such information or representation must not be relied upon as having been authorized by Yamana, Pan American or Agnico.

 

34 

 

 

Cautionary Note to Yamana Shareholders in the United States Concerning Estimates of Measured, Indicated and Inferred Mineral Resources

 

The mineral resource and mineral reserve estimates of Yamana, Pan American and Agnico contained in and incorporated by reference in this Circular have been prepared in accordance with the requirements of the securities Laws in effect in Canada, which differ in certain material respects from the disclosure requirements promulgated by the SEC. For example, the terms “mineral reserve”, “proven mineral reserve”, “probable mineral reserve”, “mineral resource”, “measured mineral resource”, “indicated mineral resource” and “inferred mineral resource” are Canadian mining terms as defined in accordance with NI 43-101 and the Canadian Institute of Mining, Metallurgy and Petroleum (the “CIM”) - CIM Definition Standards on Mineral Resources and Mineral Reserves, adopted by the CIM Council, as amended (“CIM Standards”). These definitions differ from the definitions in the disclosure requirements promulgated by the SEC. Accordingly, information contained in this Circular and the documents incorporated by reference herein may not be comparable to similar information made public by U.S. companies pursuant to SEC disclosure requirements.

 

35 

 

 

INFORMATION CONCERNING THE HOLDERS OF YAMANA DEPOSITARY INTERESTS

 

Voting by Holders of Yamana Depositary Interests

 

Voting by Submitting Voting Instructions

 

A Yamana Depositary Interest is a depositary interest which represents an entitlement to one underlying Yamana Share, issued and administered by Computershare UK. As holders of Yamana Depositary Interests are not the registered owners of the underlying Yamana Shares, Computershare Trust Company NA, the custodian of the underlying Yamana Shares, is entitled to vote at the Yamana Meeting at the instructions of holders of Yamana Depositary Interests.

 

For holders of Yamana Depositary Interests, a Form of Instruction accompanies this Circular. To ensure their vote is counted at the Yamana Meeting, holders of Yamana Depositary Interests should complete and submit the accompanying Form of Instruction in accordance with the instructions set out therein, by no later than 11:00 a.m. (Toronto time) on January 26, 2023, or no later than 11:00 a.m. (Toronto time) on the date that is three days (excluding Saturdays, Sundays and holidays) before the date of any adjourned or postponed Yamana Meeting. Additional copies of the Form of Instruction will also be available on Yamana’s website at www.yamana.com.

 

Alternatively, holders of Yamana Depositary Interests may transmit voting instructions by utilising the CREST voting service in accordance with the procedures described in the CREST Manual. CREST personal members or other CREST sponsored members and those CREST members who have appointed a voting service provider should refer to their CREST sponsor or voting service provider, who will be able to take appropriate action on their behalf. In order for instructions made using the CREST voting service to be valid, the appropriate CREST message (a “CREST Voting Instruction”) must be properly authenticated in accordance with Euroclear’s specifications and must contain the information required for such instructions, as described in the CREST Manual, a copy of which is available at www.euroclear.com.

 

To be effective, the CREST Voting Instruction must be transmitted so as to be received by Yamana’s agent (3RA50) by no later 11:00 a.m. (Toronto time) on January 26, 2023, or no later than 11:00 a.m. (Toronto time) on the date that is three days (excluding Saturdays, Sundays and holidays) before the date of any adjourned or postponed Yamana Meeting. For this purpose, the time of receipt will be taken to be the time (as determined by the timestamp applied to the CREST Voting Instruction by the CREST applications host) from which Yamana’s agent is able to retrieve the CREST Voting Instruction by enquiry to CREST in the manner prescribed by CREST. Holders of Yamana Depositary Interests and, where applicable, their CREST sponsors or voting service providers, should note that Euroclear does not make available special procedures in CREST for any particular messages. Normal system timings and limitations will therefore apply in relation to the transmission of CREST Voting Instructions. It is the responsibility of the Yamana Depositary Interest holder concerned to take, or, if the Yamana Depositary Interest holder is a CREST personal member or sponsored member or has appointed a voting service provider, to cause the CREST sponsor or voting service provider to take, such action as is necessary to ensure that a CREST Voting Instruction is transmitted by means of the CREST voting service by any particular time. For further detail, Yamana Depositary Interest holders and, if applicable, their CREST sponsors or voting service providers, should refer to those sections of the CREST Manual concerning practical limitations of the CREST system and timing.

 

Voting by Live Internet Webcast or in Person

 

Holders of Yamana Depositary Interests who wish to, or who wish to appoint another person to attend, ask questions and vote in person or online in real time at the Yamana Meeting must appoint themselves or their appointee as representative by notifying Computershare UK by email at !UKALLDITeam2@computershare.co.uk prior to 11:00 a.m. (Toronto time) on January 26, 2023, or no later than 11:00 a.m. (Toronto time) on the date that is three days (excluding Saturdays, Sundays and holidays) before the date of any adjourned or postponed Yamana Meeting, and providing Computershare UK with all of the information requested by Computershare UK. By notifying Computershare UK and providing all of the information requested by Computershare UK, such holder of Yamana Depositary Interests will be instructing Computershare Trust Company NA, the custodian of the Yamana Shares underlying the Yamana Depositary Interests, to appoint such holder of Yamana Depositary Interests or such other person, as applicable, as such custodian’s representative. Once a holder of Yamana Depositary Interests has notified Computershare UK as set out above and provided Computershare UK with all of the information requested by Computershare UK, such holder or its appointee will be permitted to attend, ask questions and vote in person or, subject to completing the additional steps below, online in real time at the Yamana Meeting.

 

36 

 

 

In addition, in order to attend, ask questions and vote online in real time at the Yamana Meeting, or appoint another person to do the foregoing, holders of Yamana Depositary Interests must also take the additional step of registering themselves or their appointee as a representative with Computershare after it has notified Computershare UK and provided all of the information requested by Computershare UK. To do so, such Non-Registered Yamana Shareholder must access www.computershare.com/Yamana by no later than 4:00 p.m. (Toronto time) on January 27, 2023, or no later than 4:00 p.m. (Toronto time) on the date that is two days (excluding Saturdays, Sundays and holidays) before the date of any adjourned or postponed Yamana Meeting, and provide Computershare with their or their appointee’s, as applicable, contact information so that Computershare may register such holder of Yamana Depositary Interests or their appointee, as applicable, and provide them or their appointee, as applicable, with a username for the Yamana Meeting via email. This username will allow a holder of Yamana Depositary Interests or their appointee, as applicable, to log in to the live webcast and vote online in real time at the Yamana Meeting. The failure of a holder of Yamana Depositary Interests to notify Computershare UK and provide all of the information requested by Computershare UK or to register themselves or their appointee, as applicable, as a representative with Computershare may result in such holder of Yamana Depositary Interests or their appointee, as applicable, not receiving a username, which will prevent such holder of Yamana Depositary Interests or their appointee, as applicable, from being able to ask questions or vote online in real time at the Yamana Meeting and only being able to attend the Yamana Meeting online as a guest. Guests will not be permitted to vote or ask questions online in real time at the Yamana Meeting.

 

Holders of Yamana Depositary Interests who wish to attend, ask questions and vote in person at the Yamana Meeting, or appoint another person to do the foregoing, do not need to register their appointment with Computershare online. Holders of Yamana Depositary Interests, or their appointees, who have appointed themselves as representatives by notifying Computershare UK and providing all of the information requested by Computershare UK, and who plan to attend and vote in person at the Yamana Meeting must register with Yamana’s transfer agent, Computershare, when they arrive at the Yamana Meeting to ensure that their vote will be counted. If a holder of Yamana Depositary Interests, or an appointee, who has duly appointed itself as representative is declined access to the Yamana Meeting due to public health concerns or protocols, such holder of Yamana Depositary Interests or appointee, as applicable, will be given an opportunity to leave their completed ballot with the scrutineer outside of the Yamana Meeting.

 

The completion and return of the Form of Instruction or CREST Voting Instruction will not preclude a holder of Yamana Depositary Interests or its appointee from attending the Yamana Meeting in person or online. However, if a holder of Yamana Depositary Interests or its appointee attends the Yamana Meeting in person or online and votes again at the Yamana Meeting, they will be revoking any and all previously submitted Forms of Instruction or CREST Voting Instructions. If a holder of Yamana Depositary Interests, or its appointee, does not wish to revoke all previously submitted Forms of Instruction or CREST Voting Instructions, they must not vote again in person or online at the Yamana Meeting or must only attend the Yamana Meeting in person or online as a guest.

 

See “Information Concerning the Yamana Meeting – Attending the Yamana Meeting Online” and “Information Concerning the Yamana Meeting – Attending the Yamana Meeting in Person” for the instructions that a holder of Yamana Depositary Interests, or its appointee, must follow in order to attend, ask questions and vote online in real time or in person at the Yamana Meeting.

 

37 

 

 

If a holder of Yamana Depositary Interests does not take the actions described above in order to appoint itself, or another person, as representative, such holder of Yamana Depositary Interests or its appointee will only be able to attend the Yamana Meeting as a guest. Guests can log into the Yamana Meeting online and listen to the Yamana Meeting or attend the Yamana Meeting in person, but will not be able to ask questions or vote online in real time or in person. See “Information Concerning the Yamana Meeting – Attending the Yamana Meeting Online” for instructions on how a guest can log into the Yamana Meeting online and listen to the Yamana Meeting.

 

Revocation of Voting Instructions

 

Holders of Yamana Depositary Interests that wish to change their vote must either (a) if they have voted by way of CREST Voting Instruction, revoke or amend their previously submitted CREST Voting Instruction in accordance with the procedures described in the CREST Manual, or (b) if they have voted by way of Form of Instruction, arrange for Computershare UK to revoke or amend such previously submitted Form of Instruction by notifying Computershare UK by email at !UKALLDITeam2@computershare.co.uk prior to 11:00 a.m. (Toronto time) on January 26, 2023, or no later than 11:00 a.m. (Toronto time) on the date that is three days (excluding Saturdays, Sundays and holidays) before the date of any adjourned or postponed Yamana Meeting. In addition, if a holder of Yamana Depositary Interests, or its appointee, attends the Yamana Meeting in person or online and votes again at the Yamana Meeting, they will be revoking any and all previously submitted Forms of Instruction or CREST Voting Instructions. If a holder of Yamana Depositary Interests, or its appointee, does not wish to revoke all previously submitted Forms of Instruction or CREST Voting Instructions, they must not vote again in person or online at the Yamana Meeting or may only attend the Yamana Meeting in person or online as a guest.

 

Procedure for Exchange of Yamana Depositary Interests for Cash Consideration and Consideration Shares

 

Holders of Yamana Depositary Interests are entitled to participate in the Arrangement. Holders of Yamana Depositary Interests will not need to take any action to receive the Consideration that they are entitled to receive pursuant to the Arrangement and will not be provided with, and will not need to submit, a Letter of Transmittal. At the Effective Time, holders of Yamana Depositary Interests will cease to own Yamana Depositary Interests and will receive the applicable Consideration for each Yamana Depositary Interest held, regardless of whether or not such holder provided an instruction to vote for or against the Arrangement. The Consideration Shares and Cash Consideration to be received by holders of Yamana Depositary Interests will be issued in the same name and address as such holder’s Yamana Depositary Interests are recorded on the register of Yamana Depositary Interests. The Depositary will deliver (i) DRS Statements representing the Consideration Shares; (ii) payments representing the Cash Consideration; and (iii) any cash in lieu of fractional Consideration Shares, that each such Yamana Depositary Interest holder is entitled to receive pursuant to the Plan of Arrangement as soon as reasonably practicable after the Effective Date. The DRS Statements representing the Consideration Shares will be delivered to the address recorded for each holder on the Yamana Depositary Interest register and the Cash Consideration will be issued via CREST.

 

Holders of Yamana Depositary Interests should contact Computershare UK at The Pavillions, Bridgwater Road, Bristol BS99 6ZY or by email at !UKALLDITeam2@computershare.co.uk, if they have any questions or need additional information or assistance with withdrawing the Yamana Shares underlying their Yamana Depositary Interests from CREST and having such Yamana Shares registered in the name of such holder.

 

Details of the settlement timetable for the Yamana Depositary Interests are in the process of being confirmed. It is anticipated that after the necessary shareholder and court approvals are obtained and closing of the Arrangement is ready to proceed, trading in the Yamana Depositary Interests will go into voluntary suspension prior to the Effective Date. During that time, the ability to exchange Yamana Depositary Interests into the underlying Yamana Shares, and vice versa, is also expected to be restricted.

 

Following the Arrangement, the Consideration Shares will not be admitted to the UK Official List or admitted to trading on the LSE.

 

Information on DRS Statements

 

Pan American and Agnico plan to use the Direct Registration System as the means of recording ownership in the Pan American Shares and Agnico Shares, respectively. The Direct Registration System is an electronic name-on-register that allows investors to hold Pan American Shares and Agnico Shares in “book-entry” form, evidenced by a DRS Statement rather than a physical share certificate. The Direct Registration System eliminates the need for shareholders to safeguard and store certificates, it avoids the significant cost of a surety bond for the replacement of, and the effort involved in replacing, physical certificate(s) that might be lost, stolen or destroyed and it permits/enables electronic share transactions.

 

38 

 

 

The Consideration Shares which holders of Yamana Depositary Interest are entitled to receive pursuant to the Plan of Arrangement will be issued in book-entry form evidenced by a DRS Statement which will be dispatched by post (or by other such method as Pan American and Agnico may determine), as soon as reasonably practicable following the Effective Date to the address recorded for each holder on the Yamana Depositary Interest register.

 

Temporary documents of title will not be issued pending the dispatch by post of the DRS Statement representing the Consideration Shares.

 

Impact of Completion of the Arrangement on the Yamana Depositary Interests and the Yamana Depositary Interest Facility

 

Following completion of the Arrangement, the Yamana Shares will be delisted from the LSE as promptly as possible. With effect from the Effective Time, all of the outstanding Yamana Depositary Interests, and the facility pursuant to which the Yamana Depositary Interests were issued, will be cancelled.

 

Exercise of Dissent Rights

 

Only Registered Yamana Shareholders entitled to vote at the Yamana Meeting may dissent. If a holder of Yamana Depositary Interests wishes to exercise Dissent Rights, such holder must first withdraw the Yamana Shares underlying its Yamana Depositary Interests from CREST in accordance with the procedures described in the CREST Manual and then have such Yamana Shares registered in the name of such holder, thus becoming a Registered Yamana Shareholder, prior to the time the written objection to the Arrangement Resolution is required to be received by Yamana. Holders of Yamana Depositary Interests should contact Computershare UK at The Pavillions, Bridgwater Road, Bristol BS99 6ZY or by email at !UKALLDITeam2@computershare.co.uk, if they have any questions or need additional information or assistance with withdrawing the Yamana Shares underlying their Yamana Depositary Interests from CREST and having such Yamana Shares registered in the name of such holder. For information on how a Registered Yamana Shareholder may exercise Dissent Rights, see “Rights of Dissenting Shareholders”.

 

Questions for Holders of Yamana Depositary Interests

 

If you are a holder of Yamana Depositary Interests and have questions or require more information with regards to your Yamana Depositary Interests and the impact of the Arrangement on your Yamana Depositary Interests, you may contact Computershare UK by email at !UKALLDITeam2@computershare.co.uk.

 

39 

 

 

FORWARD-LOOKING INFORMATION

 

This Circular contains “forward-looking statements” within the meaning of the United States Private Securities Litigation Reform Act of 1995 and “forward-looking information” under applicable Canadian and United Kingdom securities legislation. Except for statements of historical fact, information contained herein constitutes forward-looking statements, including, but is not limited to, any information as to (a) the future growth, results of operations, performance, business prospects and opportunities of Yamana, Pan American and Agnico; (b) the Arrangement; (c) the integration of Yamana’s business with the existing operations of Pan American; (d) the impact of the Arrangement on the financial position of Yamana; and (e) the outlook for the Combined Company’s and Agnico’s respective businesses and the mining industry generally based on information currently available. Forward-looking statements are characterized by words such as “plan”, “expect”, “budget”, “target”, “project”, “intend”, “believe”, “anticipate”, “estimate” and other similar words or negative versions thereof, or statements that certain events or conditions “may”, “will”, “should”, “would” or “could” occur. In particular, forward-looking information included in this Circular includes, without limitation, statements with respect to:

 

·the Yamana Meeting;

 

·the Pan American Meeting;

 

·the solicitation of proxies by Yamana and its strategic shareholder advisor and proxy solicitation agent;

 

·the reasons for, and anticipated benefits of, the Arrangement to Yamana and Yamana Securityholders, including corporate, operational, financial, scale and other synergies;

 

·the structure, steps, timing and effects of the Arrangement, including expectations regarding whether the Arrangement will be completed, the principal steps of the Arrangement, including whether the conditions to completion of the Arrangement will be satisfied, and the anticipated timing for the Effective Date;

 

·the Combined Company’s and Agnico’s future plans, business prospects and performance, growth potential, financial strength, market profile, revenues, working capital, costs, capital expenditures, investment valuations, income, margins, access to capital, and overall strategy and performance;

 

·estimates of future gold production; estimates regarding future cost reductions, synergies, including pre-tax synergies and expectations of improved efficiencies, financial flexibility, future innovation and integration opportunities;

 

·comparisons of the Combined Company to senior gold and silver peers;

 

·expectations regarding the Combined Company’s and Agnico’s environmental, social and governance initiatives;

 

·expectations regarding future balance sheet strength and credit ratings of the Combined Company;

 

·expectations regarding future equity and enterprise value;

 

·expectations regarding the development of the Combined Company’s development assets and ability to fund growth projects;

 

·the anticipated mineral reserves and mineral resources of the Combined Company;

 

·the anticipated number of Pan American Shares to be issued in connection with the Arrangement, the expected total capitalization of Pan American on a consolidated basis following completion of the Arrangement and the ratio of the Pan American Shares to be held by Former Yamana Shareholders and Former Pan American Shareholders, respectively, following completion of the Arrangement;

 

40 

 

 

·the anticipated number of Agnico Shares to be issued in connection with the Arrangement, the expected total capitalization of Agnico on a consolidated basis following completion of the Arrangement and the ratio of the Agnico Shares to be held by Former Yamana Shareholders and Agnico Shareholders prior to the Effective Time, respectively, following completion of the Arrangement;

 

·expectations regarding the value and nature of the consideration payable to Yamana Securityholders pursuant to the Arrangement;

 

·expectation regarding the process and timing of delivery of the Consideration to Yamana Shareholders, including holders of Yamana Depositary Interests, following the Effective Time;

 

·expectations as to the delivery of the Consideration to the Depositary by Pan American and Agnico;

 

·the expected expenses associated with the Arrangement;

 

·the consequences to Yamana and Yamana Securityholders if the Arrangement is not completed;

 

·expectations regarding the timing and receipt of Yamana Shareholder Approval and Pan American Shareholder Approval;

 

·Court approval of the Arrangement, including the receipt, timing and conditions of the Final Order;

 

·expectations regarding the receipt, timing and conditions of all necessary regulatory and third party approvals, including, without limitation, receipt of the Mexican Competition Law Approval, and the expiration of all relevant waiting periods;

 

·the satisfaction of conditions for listing the Pan American Shares and the Agnico Shares issuable in exchange for the Yamana Shares pursuant to the Plan of Arrangement and the timing thereof;

 

·the ability of the Parties to satisfy the other conditions to the Arrangement;

 

·the expectation that, subject to applicable Laws, Yamana will cease to be a reporting issuer following completion of the Arrangement and the Yamana Shares will be delisted from the TSX, the NYSE and the LSE, following completion of the Arrangement;

 

·the treatment of Yamana Equity Awards held by directors and officers of Yamana;

 

·the consideration and compensation, if any, to be paid to the directors and officers of Yamana following completion of the Arrangement;

 

·the availability of the exemption under section 3(a)(10) of the U.S. Securities Act to the Consideration Shares issuable under the Arrangement;

 

·the exercise of Dissent Rights by Registered Yamana Shareholders with regards to the Arrangement;

 

·the expected tax treatment of the Arrangement on Yamana Shareholders, including holders of Yamana Depositary Interests;

 

·the composition of the shareholders, board of directors and management team of the Combined Company and Agnico;

 

·the governance and management structure of the Combined Company;

 

41 

 

 

·the corporate and capital structure of the Combined Company and Agnico;

 

·the anticipated capitalization of the Combined Company on a consolidated basis following completion of the Arrangement;

 

·the anticipated dividend policy or practices of the Combined Company and Agnico following completion of the Arrangement; and

 

·other events or conditions that may occur in the future.

 

Furthermore, the unaudited pro forma financial information set forth in this Circular should not be interpreted as indicative of the financial position or other results of operations had Yamana and Pan American operated as a combined entity as at or for the periods presented, and such information does not purport to project the Combined Company’s results of operations for any future period. As such, undue reliance should not be placed on such unaudited pro forma financial information.

 

Forward-looking statements are based on the opinions, assumptions and estimates of management considered reasonable at the date the statements are made, and are inherently subject to a variety of risks and uncertainties and other known and unknown factors that could cause actual events or results to differ materially from those projected in the forward-looking statements. These factors include:

 

·the ability of the Parties to receive, in a timely manner and on satisfactory terms, the necessary regulatory, stock exchange, Court and shareholder approvals, including but not limited to the receipt of the Mexican Competition Law Approval, the Yamana Shareholder Approval, the Pan American Shareholder Approval and the Final Order;

 

·the ability of the Parties to satisfy, in a timely manner, the other conditions to the closing of the Arrangement and the completion of the Arrangement on expected terms;

 

·the ability to successfully integrate Yamana and Pan American in a timely manner following completion of the Arrangement;

 

·customer demand for the Combined Company’s products following completion of the Arrangement;

 

·the ability of the Combined Company to maintain and grow its mineral resource and mineral reserve base through the development of growth projects and other development assets;

 

·the sufficiency of budgeted capital expenditures in carrying out planned operations and activities; the availability and cost of labour and services;

 

·the success of the Combined Company’s future operations;

 

·future operating costs;

 

·the impact of the Arrangement and the dedication of substantial resources from the Parties to pursuing the Arrangement on the Parties’ ability to maintain their current business relationships (including with current and prospective employees, customers, distributors, suppliers and partners) and their current and future operations, financial condition and prospects;

 

·the impact of COVID-19 on the businesses of Yamana, Pan American and Agnico, the economy in general and commodity prices;

 

·no unforeseen changes in the legislative and operating framework for the business of Yamana, Pan American and Agnico, as applicable;

 

42 

 

 

·risks related to the Arrangement, including but not limited to:

 

othat the conditions to completion of the Arrangement may not be satisfied, including the listing of the Consideration Shares on the NYSE, Nasdaq and TSX, as applicable;

 

ochange of control provisions contained in Yamana’s outstanding senior notes that, if triggered, may require Pan American to refinance such notes at significantly higher rates of interest;

 

othe Arrangement Agreement may be terminated by any Party in certain circumstances;

 

othe failure to complete the Arrangement could negatively impact Yamana and have an adverse effect on its current and future operations, financial condition and prospects;

 

othe market value of the Consideration Shares to be issued in connection with the Arrangement has and may continue to fluctuate between the date of the Arrangement Agreement and the completion of the Arrangement;

 

othe Parties will incur substantial costs in connection with the proposed Arrangement, even if the Arrangement is not completed, including the US$300 million termination fee, less applicable withholding taxes, that was previously paid to Gold Fields, and, in certain circumstances, Yamana may be required to pay the Yamana Termination Fee to Pan American if the Arrangement is not completed;

 

othe Yamana Termination Fee may discourage third parties from attempting to acquire Yamana;

 

othe Arrangement Agreement contains provisions that restrict the ability of Yamana and the Yamana Board to pursue alternatives to the Arrangement and to conduct its business;

 

othe focus of management’s time and attention on the Arrangement may detract from other aspects of the respective businesses of Yamana, Pan American and Agnico;

 

othe anticipated benefits and value creation from the Arrangement may not be realized, or may not be realized in the expected timeframes;

 

othe exercise of Dissent Rights may impact Yamana’s cash resources or result in the Arrangement not being completed;

 

olitigation relating to the Arrangement may be commenced which may prevent, delay or give rise to significant costs or liabilities on the part of Yamana, Pan American or Agnico;

 

othe tax consequences of the Arrangement may differ from anticipated treatment, including due to the fact that Yamana may have been classified as a PFIC and that the Combined Company will be subject to tax in various countries;

 

othe directors, officers and employees of Yamana may have interests in the Arrangement that differ from those of Yamana Shareholders;

 

othe Arrangement Agreement contains certain restrictions on the ability of Yamana to conduct its business;

 

othe Yamana Fairness Opinion does not reflect changes in circumstances that have or may occur since the date of the Arrangement Agreement;

 

othe Arrangement may be delayed and business affected due to outbreaks of communicable disease, including COVID-19; and

 

othe actual operating and financial performance of Yamana, Pan American and Agnico may differ materially from the operating and financial projections prepared by Yamana’s management;

 

43 

 

 

·risks related to the Combined Company, including:

 

othe business of Yamana and Pan American may not be successfully integrated following completion of the Arrangement, including loss of key employees and the risk that the Combined Company may not be able to retain key employees of Yamana or Pan American following completion of the Arrangement;

 

othe completion of the Arrangement may result in ratings organizations taking actions that may adversely affect the Combined Company;

 

orisks relating to certain of the jurisdictions in which the Combined Company will operate, in respect of which there have been recent changes and/or proposed changes in mining Laws and/or tax Laws and where governments may seek a greater share of mineral wealth;

 

opolitical instability in certain of the jurisdictions in which the Combined Company will operate, including recent unrest in Peru;

 

othe actual performance, financial condition and results of operations of the Combined Company may differ from the Projections prepared by management of Yamana when it considered the Arrangement and the unaudited pro forma financial information of the Combined Company;

 

·risks relating to the Consideration Shares, including:

 

odilution and share price volatility of the Pan American Shares and the Agnico Shares following completion of the Arrangement, including a material decrease in the trading price of the Pan American Shares or Agnico Shares may occur which could be sustained following the Effective Date;

 

othe issuance of Pan American Shares and Agnico Shares in connection with the Arrangement may result in a “market overhang” and could adversely affect the market price of the Pan American Shares or the Agnico Shares following completion of the Arrangement;

 

othe trading liquidity of the Pan American Shares may differ from the Yamana Shares as a result of the stock exchanges on which such securities are traded;

 

othe dividend policy or practices of the Combined Company and Agnico following the Arrangement is not guaranteed and could change;

 

oholders of Pan American Shares and Agnico Shares have different rights than holders of Yamana Shares;

 

oany failure by the Parties to comply with applicable Laws prior to the Arrangement could subject the Combined Company or Agnico to penalties and other adverse consequences following completion of the Arrangement;

 

othe Consideration Shares will not be admitted to the UK Official List or admitted to trading on the LSE; and

 

orisks relating to the business of Yamana, Pan American and Agnico;

 

·there may be competing offers for Yamana or Pan American which arise as a result of or in connection with the proposed Arrangement;

 

·Yamana’s and Pan American’s operations near communities may cause such communities to regard its operations as being detrimental to them;

 

44 

 

 

·disruption of supply routes which may cause delays in construction and mining activities at Yamana’s or Pan American’s more remote properties;

 

·currency fluctuations, gold price volatility and fluctuations in the spot and forward price of gold, silver, copper or certain other commodities (such as diesel fuel, natural gas and electricity), and the availability and increased costs associated with mining inputs and labour;

 

·increased costs, delays, suspensions and technical challenges associated with the construction of capital projects;

 

·operating or technical difficulties in connection with mining or development activities, including geotechnical challenges and disruptions in the maintenance or provision of required infrastructure and information technology systems;

 

·the failure to comply with environmental and health and safety Laws and regulations, and the timing of receipt of, or failure to comply with, necessary permits and approvals; risk of loss due to acts of war, terrorism, sabotage and civil disturbances;

 

·risks related to litigation and contests over title to properties, particularly title to undeveloped properties, or over access to water, power and other required infrastructure risks associated with working with partners in jointly controlled assets;

 

·increased costs and physical risks, including extreme weather events and resource shortages, related to climate change;

 

·discrepancies between actual and estimated production for both Yamana and Pan American;

 

·mineral reserves and mineral resources and metallurgical recoveries;

 

·mining operational and development risks;

 

·risks and hazards associated with the business of mineral exploration, development and mining, including environmental hazards, industrial accidents, unusual or unexpected formations, pressures, cave-ins, flooding and gold bullion, copper cathode or gold or copper concentrate losses (and the risk of inadequate insurance, or inability to obtain insurance, to cover these risks);

 

·regulatory restrictions (including environmental regulatory restrictions and liability);

 

·changes in national and local government legislation, taxation, controls or regulations and/or change in the administration of Laws, policies and practices, expropriation or nationalization of property and political or economic developments in Canada, the United States and other jurisdictions in which Yamana or Pan American or Agnico carry on business, or may carry on business in the future;

 

·the speculative nature of gold and silver exploration;

 

·the global economic climate;

 

·competition,

 

as well as those factors and risks discussed or referred to in the section entitled “Risk Factors” of this Circular and in Schedule H and Schedule I attached to this Circular, and in other documents incorporated by reference in this Circular, including but not limited to, the Yamana AIF, the Yamana Annual MD&A and Yamana Interim MD&A, filed with the securities regulatory authorities in all provinces and territories of Canada and the United States and available under Yamana’s issuer profile on SEDAR at www.sedar.com and on EDGAR at www.sec.gov.

 

45 

 

 

Although Yamana has attempted to identify important factors that could cause actual actions, events or results to differ materially from those described in forward-looking statements, there may be other factors that cause actions, events or results not to be anticipated, estimated or intended. Forward-looking statements contained in this Circular and in the documents incorporated by reference herein are made as of the date of such information and, accordingly, are subject to change after such date. There can be no assurance that forward-looking statements will prove to be accurate, as actual results and future events could differ materially from those anticipated in such statements. Yamana undertakes no obligation to update forward-looking statements if circumstances or management’s estimates, assumptions or opinions should change, except as required by applicable Law. The reader is cautioned not to place undue reliance on forward-looking statements.

 

46 

 

 

 

EXECUTIVE SUMMARY

 

The following is a summary of certain information contained or incorporated by reference in this Circular, including its Schedules. This summary is not intended to be complete and is qualified in its entirety by the more detailed information contained elsewhere in this Circular, the attached Schedules and in the documents incorporated by reference, all of which are important and should be reviewed carefully. Capitalized terms used in this summary without definition have the meanings ascribed to them in the “Glossary of Terms”. Shareholders are urged to read this Circular, the attached Schedule and the documents incorporated by reference carefully and in their entirety.

 

Information Concerning the Yamana Meeting

 

The Yamana Meeting will be held at Design Exchange Toronto-Dominion Centre, 234 Bay Street, Toronto, Ontario and online at https://web.lumiagm.com/497366151, password: yamana2023 (case sensitive), at 1:00 p.m. (Toronto time) on January 31, 2023, subject to any adjournment or postponement thereof.

 

The Yamana Board has fixed, and the Interim Order provides for, the close of business on December 14, 2022, as the Record Date for the determination of Yamana Shareholders that will be entitled to receive notice of the Yamana Meeting, and any adjournment or postponement thereof, and that will be entitled to vote at the Yamana Meeting. Only Registered Yamana Shareholders, or their duly appointed proxyholders, at the close of business on the Record Date will be entitled to receive notice of the Yamana Meeting and to vote on the Arrangement Resolution.

 

At the Yamana Meeting, Yamana Shareholders will be asked to approve the Arrangement Resolution, the full text of which is set out in Schedule A to this Circular. In order for the Arrangement to become effective, the Arrangement Resolution must be approved, with or without variation, by the affirmative vote of at least 662/3% of the votes cast by Yamana Shareholders present in person (or online) or represented by proxy and entitled to vote at the Yamana Meeting. Each Yamana Shareholder of record at the close of business on the Record Date shall be entitled to vote on the Arrangement Resolution.

 

The Yamana Board has approved the terms of the Arrangement Agreement and the Plan of Arrangement and unanimously recommends that the Yamana Shareholders vote IN FAVOUR of the Arrangement Resolution.

 

See “Business of the Meeting”, “Information Concerning the Holders of Yamana Depositary Interests – Voting by Holders of Yamana Depositary Interests”, “Information Concerning the Yamana Meeting” and “Regulatory Matters and Approvals – Shareholder Approvals – Yamana Shareholder Approval”.

 

The Arrangement

 

On November 8, 2022, at the Activation Time, the Arrangement Agreement became effective, pursuant to which all of the issued and outstanding Yamana Shares will be acquired by Pan American immediately following the sale by Yamana of the Canadian Assets to Agnico. The Arrangement will be effected pursuant to a court-approved plan of arrangement under the CBCA involving, among others, Yamana, Pan American and Agnico, pursuant to the terms of the Arrangement Agreement, the Interim Order and the Final Order. If completed, the Arrangement will result in Yamana becoming a wholly-owned Subsidiary of Pan American and Pan American will continue the operations of Pan American and Yamana on a combined basis, other than with respect to the Canadian Assets which will be owned by Agnico.

 

Pursuant to the Plan of Arrangement, at the Effective Time, Yamana Shareholders will receive US$1.0406 in cash from Agnico, 0.1598 of a Pan American Share and 0.0376 of an Agnico Share for each Yamana Share or Yamana Depositary Interest held at the Effective Time. Former Yamana Shareholders and Former Pan American Shareholders are expected to own approximately 42.4% and 57.6%, respectively, of the Pan American Shares, and thus the Combined Company, immediately following completion of the Arrangement (on a non-diluted basis), in each case based on the number of Yamana Shares and Pan American Shares issued and outstanding as of November 4, 2022.

 

 47 

 

 

See “The Arrangement – Details of the Arrangement”.

 

Background to the Arrangement

 

The Arrangement Agreement and the Arrangement are the result of arm’s length negotiations among representatives of Yamana, Pan American, Agnico and their respective legal and financial advisors, as more fully described herein.

 

The Arrangement Agreement became effective at the Activation Time following termination of the Gold Fields Arrangement Agreement and payment of the US$300 million termination fee, less applicable withholding taxes, by Yamana to Gold Fields, US$150 million of which was funded by Pan American to Yamana. A summary of the principal events leading up to the execution of the Arrangement Agreement and public announcement of the Arrangement, including the termination of the Gold Fields Arrangement Agreement is included in this Circular.

 

See “The Arrangement – Background to the Arrangement”.

 

Recommendation of the Yamana Special Committee

 

The Yamana Special Committee, having undertaken a thorough review of, and having carefully considered the terms of the Arrangement and the Arrangement Agreement, and after consulting with management of Yamana and its financial and legal advisors, including having received and taken into account the Yamana Fairness Opinion and such other matters as it considered necessary and relevant, including the factors set out below under the heading “The Arrangement – Reasons for the Recommendation of the Yamana Special Committee and the Yamana Board”, unanimously recommended to the Yamana Board that the Yamana Board determine that the Arrangement and entering into the Arrangement Agreement are in the best interest of Yamana and that the Yamana Board authorize Yamana to enter into the Arrangement Agreement and all related agreements and recommend that Yamana Shareholders vote in favour of the Arrangement Resolution.

 

Recommendation of the Yamana Board

 

The Yamana Board, having undertaken a thorough review of, and having carefully considered the terms of the Arrangement and the Arrangement Agreement, and after consultation with representatives of Yamana’s senior management, its financial and legal advisors, having received the unanimous recommendation of the Yamana Special Committee, and having received and taken into account the Yamana Fairness Opinion and such other matters as it considered necessary and relevant, including the factors set out below under the heading “The Arrangement – Reasons for the Recommendation of the Yamana Special Committee and the Yamana Board”, unanimously determined that the Arrangement and entering into the Arrangement Agreement are in the best interest of Yamana and authorized Yamana to enter into the Arrangement Agreement and all related agreements. The Yamana Board unanimously recommends that Yamana Shareholders vote IN FAVOUR of the Arrangement Resolution.

 

The Yamana Board unanimously recommends that Yamana Shareholders vote IN FAVOUR of the Arrangement Resolution.

 

See “The Arrangement – Recommendation of the Yamana Board”.

 

Reasons for the Recommendation of the Yamana Special Committee and the Yamana Board

 

In reaching its conclusion and formulating its unanimous recommendation, the Yamana Board consulted with Yamana’s senior management and its respective legal and financial advisors. The Yamana Board also received the recommendation of the Yamana Special Committee, reviewed a significant amount of financial and technical information relating to Pan American, Agnico and Yamana and considered a number of factors, including those listed below. The following is a summary of the principal reasons for the unanimous recommendation of the Yamana Board that Yamana Shareholders vote IN FAVOUR of the Arrangement Resolution.

 

 48 

 

 

·Significant premium. The Consideration represents a 23% premium to the closing price of the Yamana Shares as of November 3, 2022, the last trading day prior to the submission of the Binding Proposal, and a 15% premium to the implied price of the Gold Fields offer, based on the closing price of the Gold Fields shares as of November 3, 2022.

 

·Significant cash consideration. The Consideration includes a cash component of US$1 billion, or US$1.0406 per Yamana Share, which provides immediate and certain value to Yamana Shareholders amidst heightened capital markets volatility and fluctuating share prices.

 

·Realization of inherent value and future upside potential. The value of the Consideration exceeds Yamana’s market value on November 3, 2022, and better reflects the inherent value of its portfolio. In addition to representing a compelling value as at November 3, 2022, the Consideration offers Yamana Shareholders the opportunity to benefit from potential appreciation in the share prices of Pan American and Agnico due to the positive impacts of the Arrangement on their respective businesses, including potential synergies.

 

·Crystallization of material share price outperformance and historically high exchange ratio versus each of Agnico and Pan American. The exchange ratio between the Yamana Shares, on the one hand, and each of the Pan American Shares and Agnico Shares, on the other hand, as at November 3, 2022 reflects a significantly higher value than such ratios in May 2022 prior to the announcement of the Gold Fields Arrangement or at the beginning of 2022. The Agnico Share exchange ratio has risen by 33% year-to-date, by 10% since mid-May 2022, and is 29% above its three-year average. Similarly, the Pan American Share exchange ratio has increased by 101% year-to-date, by 49% since mid-May, and stands 78% above its three-year average. Yamana Shareholders will benefit from these material improvements in the exchange ratios through increased pro forma ownership in each company and will be positioned to further benefit as Agnico and Pan American realize superior value and synergies from the transaction.

 

·Exposure to a world-class portfolio through retained ownership in Agnico. Upon completion of the Arrangement, it is anticipated that Yamana Shareholders will own approximately 7.41% of pro forma Agnico. Agnico owns and operates a portfolio of mines in the leading mining jurisdictions of Canada, Australia, Finland, and Mexico with over 80% of its production coming from Canada. Yamana Shareholders will continue to have exposure to Canadian Malartic and benefit from the consolidation of ownership, including substantial expected future additional mill capacity at the mine that Agnico is uniquely positioned to fill given its extensive operations, exploration properties and land position. In addition, Agnico will show an immediate and meaningful growth in production and is well positioned to develop, build, and operate both the Odyssey underground and Wasamac development projects given its extensive mine building experience and expertise, and ability to leverage existing infrastructure in the Abitibi region.

 

·Exposure to a market-leading Latin American platform through retained ownership in Pan American. Upon completion of the Arrangement, it is anticipated that Yamana Shareholders will own approximately 42.7% of the Combined Company, which would have significantly increased the production profile in 2022 to 1.4 million GEO per year comprised of 25.5 million ounces of silver and 1.08 million ounces of gold representing an approximate 90% increase in GEO production and approximately 60% and 100% growth in silver and gold production, based on 2022 guidance, excluding Manantial Espejo (guidance and forward-looking GEO assumes gold ounces plus the equivalent of silver ounces using a ratio of 72.55). Yamana Shareholders will benefit from the extensive experience of the combined management team in Latin America and from exposure to an enlarged portfolio with a diversified operating footprint consisting of 11 operating mines across mining friendly jurisdictions in the Americas. In addition, Yamana Shareholders will be positioned to benefit from the potential re-opening of the Escobal silver mine, one of the world’s premier silver deposits, as well as the growth from the advancement of the La Colorada Skarn project.

 

 49 

 

 

·Strategic and operational synergies. The Arrangement provides the opportunity to unlock significant strategic and operational synergies through the streamlining and optimization of corporate and joint venture costs, leveraging existing assets and infrastructure, and the application of best practices and innovation across sites as Yamana’s Canadian platform is integrated into Agnico’s portfolio and through the combination of Yamana’s and Pan American’s Latin American portfolios. Yamana Shareholders will have exposure to these synergies through their retained ownership in each of Pan American and Agnico.

 

·Management strength and integration. The Combined Company will benefit from the integration of mining and business leadership with extensive experience operating in the Americas, bringing together the proven strengths and capabilities and focus on delivering increased value to shareholders. Furthermore, three independent directors of Yamana will be appointed to the Pan American Board, with the objective of providing business continuity, mitigation of integration risks and supporting value delivery to shareholders.

 

·Leading ESG credentials and complementary cultures. Yamana’s industry leading ESG credentials and results are expected to contribute to the relative improvement of the Combined Company’s performance and improve its ESG positioning among peers. In particular, Yamana’s climate action strategy and its leading efforts in emissions reduction are expected to support and advance the greenhouse gas emissions intensity performance in the Combined Company. Furthermore, each of Yamana, Pan American and Agnico are disciplined, value-driven companies focused on operational delivery, prudent capital allocation, portfolio management, responsible growth and strong shareholder returns, all of which are underpinned by a strong focus on people, particularly their safety, and upholding leading sustainability and ESG performance.

  

·Business climate and review of strategic alternatives. The Yamana Board has periodically reviewed a range of strategic alternatives for creating shareholder value, and in the ordinary course of business Yamana has had regular engagement with several industry peers in that regard, including other potential transactions. For a summary of the engagements since early 2020 see “The Arrangement – Background to the Arrangement” in the Circular. After consultation on the Arrangement with its financial and legal advisors, and after review of the current and prospective business climate in the precious metals mining industry and other strategic opportunities reasonably available to Yamana, including continuation as an independent enterprise, potential acquisitions and various combinations of Yamana or its mineral properties by way of joint venture or otherwise, in each case taking into account the potential benefits, risks and uncertainties associated with those other opportunities, the Yamana Board believes that following completion of the Arrangement, pro forma Pan American and pro forma Agnico will be better positioned to pursue a growth and value maximizing strategy than Yamana as a standalone entity.

 

·Value proposition. Yamana has consistently maintained, in the course of market activities and in the evaluation of business combinations, as more particularly described elsewhere in the Circular, that the quality of its assets supports considerably more value and upside than ascribed to those assets as reflected in the price of Yamana Shares. Through this process, each of Gold Fields, Agnico and Pan American reviewed detailed technical information on all Yamana’s operating mines and major development projects, including technical reports, life of mine and strategic life of mine plans and exploration data. In agreeing to pay a premium, Gold Fields recognized the Yamana Board view that Yamana had more value than was reflected in the price of Yamana Shares and the subsequent superior proposal from Agnico and Pan American that resulted in the Arrangement provided further confirmation of that value in a competitive environment.

 

 50 

 

 

·Canadian Tax Treatment. Under the terms of the Gold Fields Arrangement Agreement, Yamana Shareholders who are resident in Canada could not take advantage of any Canadian tax deferral on the disposition of their Yamana Shares to Gold Fields. In contrast, under the New Offer, the exchange of each outstanding Yamana Share (other than a Dissent Share) for a Class A Share, the Agnico Share Consideration and the Cash Consideration is intended to qualify as a tax-deferred reorganization and should not give rise to any deemed dividend under the Arrangement based on Yamana’s expectation that the aggregate fair market value of the Agnico Shares and Cash Consideration (including any cash in lieu of a fractional Agnico Share) distributed to Yamana Shareholders on the exchange should not exceed the aggregate “paid-up capital” (as determined for purposes of the Tax Act) of all of the issued and outstanding Yamana Shares immediately before the exchange. In addition, Yamana Shareholders who are resident in Canada will only realize a capital gain on the exchange if, and to the extent that, the aggregate fair market value of the Agnico Shares and Cash Consideration (including any cash in lieu of a fractional Agnico Share) received exceeds the adjusted cost base of such Yamana Shareholder’s Yamana Shares immediately before the exchange. Further, the exchange of Yamana Shares for Pan American Shares pursuant to the Arrangement will generally be a tax deferred transaction for Yamana Shareholders who are resident in Canada and who do not choose to report a capital gain on their Canadian federal income tax return in respect of the Arrangement. The tax consequences of the Arrangement are discussed under the heading “Certain Income Tax Considerations – Certain Canadian Federal Income Tax Considerations”.

 

·Ability to close with low execution risk. Each of Yamana, Pan American, and Agnico is committed to completing the Arrangement, has a proven track record of completing deals, and anticipates that the Parties will be able to complete the Arrangement prior to the Outside Date. The Arrangement requires approval by at least two-thirds of the votes cast by Yamana Shareholders present or represented by proxy and entitled to vote at the Yamana Meeting, approval by at least a simple majority of Pan American Shareholders present or represented by proxy and entitled to vote at the Pan American Meeting and is not subject to review under the Investment Canada Act.

 

·Participation in dividend distributions. Yamana Shareholders are expected to benefit from both Agnico and Pan American’s practice of returning value to shareholders in the form of quarterly dividends.

 

·Other factors. The Yamana Board also carefully considered the Arrangement with reference to current economic, industry and market trends affecting each of Yamana, Pan American and Agnico, information concerning mineral reserves and mineral resources, business, operations, properties, assets, financial condition, operating results and prospects of each of Yamana, Pan American and Agnico and the historical trading prices of the Yamana Shares, the Pan American Shares and the Agnico Shares, taking into account the results of Yamana’s due diligence review of Pan American, Agnico and their respective properties.

 

See “The Arrangement – Reasons for the Recommendation of the Yamana Special Committee and the Yamana Board”.

 

Yamana Fairness Opinion

 

Pursuant to the terms of an engagement letter dated October 23, 2022, Scotiabank was retained by Yamana to provide financial advice to the Yamana Special Committee in considering the Arrangement, including providing an opinion to the Yamana Special Committee as to the fairness, from a financial point of view, of the Consideration to be received by the Yamana Shareholders pursuant to the Arrangement.

 

 51 

 

 

At the meetings of the Yamana Special Committee and the Yamana Board held on November 7, 2022, to consider the Arrangement, Scotiabank orally delivered its opinion to the Yamana Special Committee and the Yamana Board, which was subsequently confirmed in writing. The Yamana Fairness Opinion concluded that, as at the date thereof, and based upon and subject to the assumptions, limitations and qualifications set out therein, the Consideration to be received by the Yamana Shareholders pursuant to the Arrangement is fair from a financial point of view to the Yamana Shareholders. The full text of the Yamana Fairness Opinion, setting out, among other things, the scope of review, the assumptions made, matters considered and limitations and qualifications on the review undertaken in connection with the Yamana Fairness Opinion, is attached to this Circular as Schedule C. The summary of the Yamana Fairness Opinion is qualified in its entirety by the full text of the opinion.

 

Pursuant to the terms of the engagement letter, Yamana agreed to pay Scotiabank a fixed fee for its services as financial advisor, including rendering the Yamana Fairness Opinion (which is not contingent on the conclusions reached in the Yamana Fairness Opinion or the completion of the Arrangement). Yamana has also agreed to reimburse Scotiabank for its reasonable out-of-pocket expenses incurred in connection with its services and to indemnify Scotiabank against certain liabilities that might arise out of its engagement. The payment of expenses is not dependent on the completion of the Arrangement.

 

See “The Arrangement – Yamana Fairness Opinion” and “Schedule C – Yamana Fairness Opinion”.

 

Principal Steps of the Arrangement

 

The following description of the Plan of Arrangement is qualified in its entirety by reference to the full text of the Plan of Arrangement, which is attached to this Circular as Schedule B.

 

If the Arrangement Resolution is approved at the Yamana Meeting, the Pan American Resolution is approved at the Pan American Meeting, the Final Order approving the Arrangement is issued by the Court and the other applicable conditions to the completion of the Arrangement are satisfied or waived, the Arrangement will take effect commencing at the Effective Time, which is expected to be at 12:01 a.m. (Toronto time) on the Effective Date, which is expected to occur in the first quarter of 2023. Commencing and effective as at the Effective Time, each of the events set out below will occur and will be deemed to occur sequentially in the following order without any further authorization, act or formality on the part of any Person, unless stated otherwise:

 

·Pan American will lend to Yamana on a non-interest bearing demand basis, an amount equal to the Dissent and RSU Loan Amount, and each Dissent Share held by a Dissenting Shareholder will be transferred and assigned by the holder thereof (free and clear of all Liens) to Yamana for a debt claim against Yamana for the amount therefor determined under the Plan of Arrangement, and: (a) the name of such Dissenting Shareholder will be removed from the register of Yamana Shareholders maintained on behalf of Yamana and such Dissent Share will be cancelled and cease to be outstanding, and (b) such Dissenting Shareholder will cease to be the holder of such Dissent Share or to have any rights as a Yamana Shareholder other than the right to be paid the fair value for such Dissent Share as set out in the Plan of Arrangement;

 

·the transactions contemplated by the Conveyance Agreement will become effective and pursuant thereto, Yamana will assign and transfer to Agnico a 100% legal and beneficial interest in, and good and marketable title to, all Canadian Assets, free and clear of all Liens other than Permitted Liens, and as consideration for the Canadian Assets, Agnico will assume the Canadian Liabilities, issue the Agnico Payment Shares, and pay cash equal to the aggregate of the Cash Consideration multiplied by the number of Yamana Shares (other than Dissent Shares), the Fractional Share Amount and the Dissent Amount to Yamana, and: (a) Yamana will be the holder of the Agnico Shares so issued (free and clear of all Liens) and the register of shareholders of Agnico maintained by or on behalf of Agnico will be revised accordingly, and (b) Agnico will add an amount to the stated capital in respect of the Agnico Shares equal to the aggregate Agnico Share Value multiplied by the number of Agnico Payment Shares;

 

 52 

 

 

·in the course of a reorganization of Yamana’s share capital in accordance with section 86 of the Tax Act, the authorized share capital of Yamana will be amended by the creation of an unlimited number of Class A Shares, and immediately thereafter each Yamana Share held by a Yamana Shareholder (other than a Dissenting Shareholder) will be exchanged for: (a) one Class A Share; (b) the Agnico Share Consideration delivered by Yamana; and (c) an amount of cash delivered by Yamana equal to the Cash Consideration. In connection with the foregoing reorganization of the share capital and the share exchanges: (i) each Yamana Shareholder will cease to be the holder of each such Yamana Share and the name of such Yamana Shareholder will be removed from the register of Yamana Shareholders maintained on behalf of Yamana, (ii) the Yamana Shares exchanged will be cancelled and the stated capital in respect of the Yamana Shares will be nil, (iii) Yamana will cease to be the holder of the Agnico Shares and the name of Yamana will be removed from the register of shareholders of Agnico maintained on behalf of Agnico, (iv) Yamana will be deemed to have executed and delivered all consents, releases, assignments and waivers, statutory or otherwise, required to transfer and assign each such Agnico Share, (v) each Yamana Shareholder will be deemed to be the holder of the Class A Shares for which the Yamana Shareholder’s Yamana Shares were exchanged in accordance with the Plan of Arrangement (in each case, free and clear of any Liens) and such Yamana Shareholder will be entered in the register of Yamana Shareholders maintained on behalf of Yamana, as the holder of such Class A Shares, (vi) each Yamana Shareholder will be deemed to be the holder of the Agnico Shares for which the Yamana Shareholder’s Yamana Shares were exchanged in accordance with the Plan of Arrangement (in each case, free and clear of any Liens) and such Yamana Shareholder will be entered in the register of shareholders of Agnico maintained on behalf of Agnico, as the holder of such Agnico Shares, and (vii) there will be added to the stated capital in respect of the Class A Shares an amount equal to the Pan American Share Value multiplied by the number of Pan American Shares that the Yamana Shareholders are entitled to receive pursuant to the Plan of Arrangement. Each Class A Share will entitle the holder thereof to, among other things, two votes on matters for which approval is sought or required from Yamana Shareholders, the right to receive dividends as and when declared by the Yamana Board and, on liquidation, a pro rata entitlement to the property or assets of Yamana with all shares of equal ranking. Class A Shares will not entitle the holders thereof to any pre-emptive, conversion, redemption or other special rights;

 

·each Class A Share will be transferred to Pan American (free and clear of any Liens) in exchange for the Pan American Share Consideration delivered by Pan American, and: (a) the holders of the Class A Shares will cease to be the holder of each such Class A Share and the name of such holder will be removed from the register of Yamana Shareholders maintained on behalf of Yamana; (b) the holders of the Class A Shares will be deemed to have executed and delivered all consents, releases, assignments and waivers, statutory or otherwise, required to transfer and assign each such Class A Share; (c) Pan American will be the holder of the Class A Shares (free and clear of all Liens) and the register of Yamana Shareholders maintained on behalf of Yamana will be revised accordingly; (d) the holders of the Class A Shares will be the holders of the Pan American Shares so issued (free and clear of all Liens) and the register of shareholders of Pan American maintained on behalf of Pan American will be revised accordingly; and (e) Pan American will add an amount to its share capital in respect of the Pan American Shares equal to the aggregate Pan American Share Value multiplied by the number of Pan American Shares so issued;

 

·each outstanding Yamana RSU (whether vested or unvested) will vest in accordance with the terms of the Yamana RSU Plan and will be transferred by the holder thereof to Yamana in exchange for a cash payment from Yamana equal to the VWAP of one Yamana Share on the TSX during the five trading days prior to the Effective Date, less applicable withholdings, using the remaining funds from the Dissent and RSU Loan not paid to Dissenting Shareholders in accordance with the Plan of Arrangement, and each such Yamana RSU will be immediately cancelled and (a) the holders of such Yamana RSUs will cease to be holders thereof and to have any rights as holders of such Yamana RSUs, other than the right to receive the consideration to which they are entitled in accordance with the Plan of Arrangement, (b) such holders’ names will be removed from the register of Yamana RSUs maintained on behalf of Yamana, and (c) all agreements relating to the Yamana RSUs will be terminated and will be of no further force and effect;

 

 53 

 

 

·each outstanding Yamana PSU will be transferred by the holder thereof to Yamana in exchange for a cash payment from Yamana equal to the VWAP of one Yamana Share on the TSX during the five trading days prior to the Effective Date multiplied by the applicable Multiplier (as defined in the Yamana PSU Plan), to be determined on the Effective Date, less applicable withholdings, and each such Yamana PSU will be immediately cancelled and (a) the holders of such Yamana PSU will cease to be holders thereof and to have any rights as holders of such Yamana PSUs, other than the right to receive the consideration to which they are entitled in accordance with the Plan of Arrangement, (b) such holders’ names will be removed from the register of Yamana PSUs maintained on behalf of Yamana, and (c) all agreements relating to the Yamana PSUs will be terminated and will be of no further force and effect;

 

·each outstanding Yamana DSU will be transferred by the holder thereof to Yamana in exchange for a cash payment from Yamana equal to the VWAP of one Yamana Share on the TSX during the five trading days prior to the Effective Date, less applicable withholdings, and each such Yamana DSU will be immediately cancelled and (a) the holders of such Yamana DSUs will cease to be holders thereof and to have any rights as holders of such Yamana DSUs, other than the right to receive the consideration to which they are entitled in accordance with the Plan of Arrangement, (b) such holders’ names will be removed from the register of Yamana DSUs maintained on behalf of Yamana, and (c) all agreements relating to the Yamana DSUs will be terminated and will be of no further force and effect;

 

·the authorized share capital of Yamana will be amended by: (a) eliminating the Yamana Shares; and (b) changing the identifying name of the issued and unissued Class A Shares from “Class A common share” to “common share” and amending the special right and restrictions attached to those shares to provide the holders thereof with one vote in respect of each share held, and the articles of Yamana will be deemed to be amended accordingly; and

 

·Pan American will make a capital contribution to Yamana by capitalizing the Dissent and RSU Loan, and the Dissent and RSU Loan will be cancelled and extinguished.

 

See “The Arrangement – Principal Steps of the Arrangement”.

 

Timing for Completion of the Arrangement

 

Subject to the provisions of the Arrangement Agreement, the Arrangement will become effective at the Effective Time on the Effective Date, being the date on which all of the conditions to completion of the Arrangement as set out in the Arrangement Agreement (excluding any conditions that, by their terms, cannot be satisfied until the Effective Date, but subject to the satisfaction or waiver of those conditions) have been satisfied or waived in accordance with the Arrangement Agreement, all documents agreed to be delivered thereunder have been delivered to the satisfaction of the recipient, acting reasonably, and the Certificate of Arrangement has been issued by the Director.

 

If the Final Order is obtained in a form and substance satisfactory to Yamana, Pan American and Agnico, and all other conditions set forth in the Arrangement Agreement are satisfied or waived by the applicable Party, the Parties expect the Effective Date to occur in the first quarter of 2023 following the receipt of all required Regulatory Approvals and consents; however, it is not possible at this time to state with certainty when the Effective Date will occur as completion of the Arrangement may be delayed beyond this date if the conditions to completion of the Arrangement cannot be met on a timely basis. Although the objective of Yamana, Pan American and Agnico is to have the Effective Date occur as soon as possible after the Yamana Meeting and the Pan American Meeting, the Effective Date could be delayed for a number of reasons, including, but not limited to, an objection before the Court at the hearing of the application for the Final Order or any delay in obtaining any required Regulatory Approvals or clearances. Yamana, Pan American and Agnico may determine not to complete the Arrangement without prior notice to or action on the part of, Yamana Shareholders or Pan American Shareholders.

 

See “The Arrangement – Timing for Completion of the Arrangement”.

 

 54 

 

 

Procedure for Exchange of Yamana Shares for Consideration and Letter of Transmittal

 

Registered Yamana Shareholders

 

A Letter of Transmittal has been mailed, together with this Circular, to each Person who was a Registered Yamana Shareholder on the Record Date. Yamana has enclosed a return envelope with the Yamana Meeting Materials in order to assist Registered Yamana Shareholders with returning their Letter of Transmittal and related documents to the Depositary. The Letter of Transmittal will also be available under Yamana’s issuer profile on SEDAR at www.sedar.com and on EDGAR at www.sec.gov and on Yamana’s website at www.yamana.com. Additional copies of the Letter of Transmittal will also be available by contacting the Depositary at 1-800-564-6253 or toll free in North America at 1-514-982-7555 or by email at: corporateactions@computershare.com.

 

In order to receive the Consideration that a Registered Yamana Shareholder (other than a Dissenting Shareholder) is entitled to receive pursuant to the Arrangement, together with any cash in lieu of fractional Consideration Shares, each Registered Yamana Shareholder must deposit a properly completed and duly executed Letter of Transmittal along with the accompanying certificate(s) or DRS Statement(s) representing their Yamana Shares to the Depositary (at the address specified on the last page of the Letter of Transmittal), together with all other documents and instruments referred to in the Letter of Transmittal or as reasonably required by the Depositary.

 

Non-Registered Yamana Shareholders

 

Only Registered Yamana Shareholders are required to submit a Letter of Transmittal. The exchange of Yamana Shares for the Consideration in respect of any Non-Registered Yamana Shareholder (other than a holder of Yamana Depositary Interests) is expected to be made with the Non-Registered Yamana Shareholder’s Intermediary account through the procedures in place for such purposes between CDS or DTC and such Intermediary, as applicable, with no further action required by the Non-Registered Yamana Shareholder.

 

Any Non-Registered Yamana Shareholder whose Yamana Shares are registered in the name of an Intermediary should contact that Intermediary if they have any questions regarding this process.

 

See “The Arrangement – Procedure for Exchange of Yamana Shares for Consideration and Letter of Transmittal”.

 

Procedure for Exchange of Yamana Depositary Interests for the Cash Consideration and Consideration Shares

 

Holders of Yamana Depositary Interests are entitled to participate in the Arrangement. Holders of Yamana Depositary Interests will not need to take any action to receive the Consideration, together with any cash in lieu of fractional Consideration Shares, that they are entitled to receive pursuant to the Arrangement and will not be provided with, and will not need to submit, a Letter of Transmittal. At the Effective Time, holders of Yamana Depositary Interests will cease to own Yamana Depositary Interests and will receive the applicable Consideration, together with any cash in lieu of fractional Consideration Shares, for each Yamana Depositary Interest held, regardless of whether or not such holder provided an instruction to vote for or against the Arrangement.

 

The Consideration Shares and Cash Consideration to be received by holders of Yamana Depositary Interests will be in the same name and address as such holder’s Yamana Depositary Interests are recorded on the register of Yamana Depositary Interests. The Depositary will deliver (i) DRS Statements representing the Consideration Shares; (ii) payments representing the Cash Consideration; and (iii) any cash in lieu of fractional Consideration Shares, that each such Yamana Depositary Interest holder is entitled to receive pursuant to the Plan of Arrangement as soon as reasonably practicable after the Effective Date. The DRS Statements representing the Consideration Shares will be delivered to the address recorded for each holder on the Yamana Depositary Interest register and the Cash Consideration will be issued via CREST.

 

Holders of Yamana Depositary Interests should contact Computershare UK at The Pavillions, Bridgwater Road, Bristol BS99 6ZY or by email at !UKALLDITeam2@computershare.co.uk, if they have any questions or need additional information or assistance with withdrawing the Yamana Shares underlying their Yamana Depositary Interests from CREST and having such Yamana Shares registered in the name of such holder.

 

 55 

 

 

See “Information Concerning the Holders of Yamana Depositary Interests – Procedure for Exchange of Yamana Depositary Interests for Cash Consideration and Consideration Shares”.

 

Cancellation of Rights

 

From and after the Effective Date, certificates or DRS Statements formerly representing Yamana Shares, other than Dissent Shares, which are held by a Yamana Shareholder will represent only the right to receive the Consideration (together with any cash in lieu of fractional Consideration Shares and any Dividends) payable therefor under the Arrangement (after giving effect to any applicable tax withholdings).

 

To the extent that a Former Yamana Shareholder has not complied with the provisions of the Plan of Arrangement, including failing to deliver to the Depositary a duly completed Letter of Transmittal, the certificate(s) or DRS Statement(s) representing their Yamana Shares or any other certificates, documents or instruments required to be delivered to the Depositary under the Plan of Arrangement in order for such Former Yamana Shareholder to receive the Consideration (together with any cash in lieu of fractional Consideration Shares and any Dividends) which such Former Yamana Shareholder is entitled to receive pursuant to the Plan of Arrangement, on or before the date that is six years after the Effective Date, then the Consideration (together with any cash in lieu of fractional Consideration Shares and any Dividends) that such Former Yamana Shareholder was entitled to receive will be automatically cancelled without any repayment of capital in respect thereof and the Consideration (and any cash in lieu of fractional Consideration Shares and any Dividends) which such Former Yamana Shareholder was entitled will be delivered to Pan American or Agnico, as applicable, by the Depositary and the Consideration Shares forming part of the Consideration will be deemed to be cancelled, and the interest of the Former Yamana Shareholder in such Consideration Shares, and any dividend or other distribution with a record date after the Effective Time to which it was entitled will be terminated immediately following the sixth anniversary of the Effective Date, and the certificate(s) or DRS Statement(s), if any, formerly representing Yamana Shares will cease to represent a right or claim of any kind or nature immediately following the sixth anniversary of the Effective Date. Any payment made by way of cheque by the Depositary pursuant to the Plan of Arrangement that is not deposited or is returned to the Depositary or that otherwise remains unclaimed, in each case, on or before the date that is six years after the Effective Date, will cease to represent a right or claim of any kind or nature and the right of any Yamana Shareholder to receive the Consideration for Yamana Shares pursuant to the Plan of Arrangement will terminate and be deemed to be surrendered and forfeited to Pan American or Agnico, as applicable.

 

See “The Arrangement – Cancellation of Rights”.

 

Treatment of Fractional Consideration Shares

 

In no event shall the aggregate number of Pan American Shares or Agnico Shares issuable to a Yamana Shareholder include a fraction of a share. To the extent that a fraction of a Pan American Share or Agnico Share would otherwise be issuable to a Registered Yamana Shareholder, the number of Pan American Shares or Agnico Shares to be received by such Registered Yamana Shareholder shall be rounded down to the nearest whole number. In lieu of any such fraction of a Pan American Share, each Registered Yamana Shareholder shall receive a cash payment from Pan American equal the value of such fraction calculated by ascribing the Pan American Share Value to each whole Pan American Share. In lieu of any such fraction of an Agnico Share, each Registered Yamana Shareholder shall receive a cash payment from Yamana equal the value of such fraction calculated by ascribing the Agnico Share Value to each whole Agnico Share. In any case where the total cash payable to a particular Registered Yamana Shareholder by each of Pan American or Yamana under the Arrangement would include a fraction of a cent, the consideration payable shall be rounded down to the nearest whole cent.

 

See “The Arrangement – Treatment of Fractional Consideration Shares”.

 

 56 

 

 

Regulatory Matters and Approvals

 

Other than the Yamana Shareholder Approval, the Pan American Shareholder Approval, the Final Order, the Key Regulatory Approvals and the necessary approvals of the Nasdaq, NYSE and the TSX for the listing of the Consideration Shares issuable pursuant to the Arrangement (each subject to official notice of issuance), Yamana is not aware of any material approval, consent or other action by any federal, provincial, state or foreign government or any administrative or regulatory agency that would be required to be obtained in order to complete the Arrangement. In the event that any such approvals or consents are determined to be required, such approvals or consents will be sought. Any such additional requirements could delay the Effective Date or prevent the completion of the Arrangement. While there can be no assurance that any regulatory consents or approvals that are determined to be required will be obtained, Yamana currently anticipates that any such consents and approvals that are determined to be required will have been obtained or otherwise resolved by the Effective Date. Subject to receipt of the Yamana Shareholder Approval, the Pan American Shareholder Approval, the Final Order, the Key Regulatory Approvals, the necessary approvals of the Nasdaq and the TSX for the listing of the Pan American Shares and the NYSE and the TSX for the listing of the Agnico Shares, respectively, issuable pursuant to the Arrangement (subject to official notice of issuance) and the satisfaction or waiver of all other conditions specified in the Arrangement Agreement, the Effective Date is expected to occur in the first quarter of 2023.

 

See “Regulatory Matters and Approvals”.

 

Shareholder Approvals

 

Yamana Shareholder Approval

 

At the Yamana Meeting, pursuant to the Interim Order, Yamana Shareholders will be asked to approve the Arrangement Resolution, the full text of which is set out in Schedule A to this Circular. In order for the Arrangement to become effective, as provided in the Interim Order and by the CBCA, the Arrangement Resolution must be approved, with or without variation, by the affirmative vote of at least 662/3% of the votes cast by Yamana Shareholders present in person (or online) or represented by proxy and entitled to vote at the Yamana Meeting.

 

See “Regulatory Matters and Approvals – Shareholder Approvals – Yamana Shareholder Approval”.

 

Pan American Shareholder Approval

 

At the Pan American Meeting, Pan American Shareholders will be asked to approve the Pan American Resolution. Should the Pan American Shareholders fail to approve the Pan American Resolution by at least a simple majority of votes cast by Pan American Shareholders present in person or represented by proxy and entitled to vote at the Pan American Meeting, the Arrangement will not be completed.

 

See “Regulatory Matters and Approvals – Shareholder Approvals – Pan American Shareholder Approval”.

 

No Agnico Shareholder Approval

 

The Arrangement does not require approval by the Agnico Shareholders.

 

Court Approvals

 

The Arrangement requires approval by the Court under section 192 of the CBCA. On December 20, 2022, Yamana obtained the Interim Order providing for the calling and holding of the Yamana Meeting and other procedural matters and filed the Notice of Application to approve the Arrangement. A copy of the Interim Order and the Notice of Application are attached hereto as Schedule D.

 

Under the Arrangement Agreement, Yamana is required to seek the Final Order as soon as reasonably practicable but in any event not later than five Business Days following the later of the approval of the Arrangement Resolution by Yamana Shareholders at the Yamana Meeting and the approval of the Pan American Resolution by Pan American Shareholders at the Pan American Meeting. The Court hearing in respect of the Final Order is expected to take place on or about February 6, 2023. Due to the measures currently being implemented by the Court in response to the COVID-19 pandemic, the application will be heard by way of videoconference via Zoom.

 

 57 

 

 

At the hearing for the Final Order, the Court will consider, among other things, the procedural and substantive fairness and the reasonableness of the terms and conditions of the Arrangement and the rights and interests of every Person affected as the Court determines appropriate, both from a substantive and a procedural point of view. The Court has broad discretion under the CBCA when making orders with respect to the Arrangement. The Court may approve the Arrangement in any manner the Court may direct, subject to compliance with such terms and conditions, if any, as the Court deems fit.

 

Prior to the hearing on the Final Order, the Court will be informed that the Parties intend to rely on the exemption from the registration requirements under the U.S. Securities Act for the issuance of Consideration Shares pursuant to the Arrangement to holders of Yamana Shares and Yamana Depositary Interests, provided by section 3(a)(10) thereof on the basis of the Final Order.

 

Under the terms of the Interim Order, each holder of Yamana Shares, including holders of Yamana Depositary Interests, and any other interested party with leave of the Court, will have the right to appear and make submissions at the application for the Final Order subject to such party filing with the Court and serving upon Yamana, by service upon counsel to Yamana: Cassels Brock and Blackwell LLP, Suite 2100, Scotia Plaza, 40 King Street West, Toronto, Ontario, Canada M5H 3C2, Attention: Stephanie Voudouris, a notice of appearance in the form required by the Court’s rules, including such party’s address for service, and any additional affidavits or other materials on which a party intends to rely, as soon as reasonably practicable, and in any event, no later than 4:00 p.m. (Toronto time) on February 2, 2023, or the second last Business Day before the hearing of the application or such other date as the Court may order.

 

See “Regulatory Matters and Approvals – Court Approvals”.

 

Key Regulatory Approvals

 

Pursuant to the Arrangement Agreement, it is a mutual condition precedent to completion of the Arrangement that all of the Key Regulatory Approvals have been obtained.

 

See “Transaction Agreements – The Arrangement Agreement – Conditions Precedent”.

 

Canadian Competition Approval

 

The transactions contemplated by the Arrangement Agreement constitute a Notifiable Transaction, and as such, the Parties must comply with the merger notification provisions of Part IX of the Competition Act. On November 23, 2022, Pan American submitted a request for an Advance Ruling Certificate or, in the alternative, a No Action Letter and a Waiver, to the Commissioner in respect of the transactions contemplated by the Arrangement Agreement.

 

On November 28, 2022, the Commissioner issued an Advance Ruling Certificate in respect of the Arrangement, which constitutes the Competition Act Approval for the purposes of the Arrangement Agreement.

 

See “Regulatory Matters and Approvals – Key Regulatory Approvals – Canadian Competition Approval”.

 

Mexican Federal Economic Competition Commission (COFECE)

 

Under the Mexican Federal Economic Competition Law (Ley Federal de Competencia Económica) there are certain monetary thresholds which trigger the obligation of economic agents to notify concentrations with the Mexican Federal Economic Competition Commission (the Comisión Federal de Competencia Económica, “COFECE”) and be approved before they are consummated.

 

 58 

 

 

As of the date of this Circular, the review of the transactions contemplated by the Arrangement Agreement by COFECE is ongoing and the Mexican Competition Law Approval required under the Arrangement Agreement has not yet been obtained.

 

See “Regulatory Matters and Approvals – Key Regulatory Approvals – Mexican Federal Economic Competition Commission (COFECE)”.

 

Stock Exchange Listing Approval

 

The Yamana Shares are listed and posted for trading on the TSX under the trading symbol “YRI” and are listed on the NYSE and the LSE under the trading symbol “AUY”. The Pan American Shares are listed for trading on the Nasdaq and the TSX under the trading symbol “PAAS”. The Agnico Shares are listed for trading on the NYSE and the TSX under the trading symbol “AEM”.

 

It is a mutual condition to the completion of the Arrangement that the Pan American Shares issuable pursuant to the Arrangement be approved for listing on the Nasdaq and the TSX, in each case subject to customary conditions.

 

It is a mutual condition to the completion of the Arrangement that the Agnico Shares issuable pursuant to the Arrangement be approved for listing on the NYSE and the TSX, in each case subject to customary conditions.

 

It is also a condition to implementation of the Arrangement that Yamana will have obtained approval of the TSX in respect of the Arrangement. The TSX has conditionally approved the Arrangement, subject to the filing of certain documents following the closing of the Arrangement.

 

See “Regulatory Matters and Approvals – Stock Exchange Listing Approval”.

 

Canadian Securities Law Matters

 

Yamana is a reporting issuer in each of the provinces and territories of Canada. It is expected that the Yamana Shares and the Yamana Depositary Interests will be delisted from the TSX, NYSE and LSE, as applicable, as promptly as practicable following completion of the Arrangement (anticipated to be effective no later than two or three Business Days following the Effective Date) and, subject to applicable Laws, Pan American will, as promptly as possible following completion of the Arrangement, apply to the applicable Canadian Securities Authorities to have Yamana cease to be a reporting issuer.

 

Pan American is a reporting issuer in each of the provinces and territories of Canada and Agnico is a reporting issuer in each of the provinces and territories of Canada.

 

Following completion of the Arrangement, the Pan American Shares will continue to be listed for trading on the Nasdaq and the TSX under the symbol “PAAS” and the Agnico Shares will continue to be listed for trading on the NYSE and the TSX under the symbol “AEM”.

 

Unlike the Yamana Shares, neither the Pan American Shares nor the Agnico Shares are currently admitted to the UK Official List or admitted to trading on the LSE and neither Pan American nor Agnico intends to make applications for the admission of the Pan American Shares or Agnico Shares, respectively, to the UK Official List or the LSE following completion of the Arrangement.

 

See “Regulatory Matters and Approvals – Canadian Securities Law Matters”.

 

U.S. Securities Law Matters

 

The Consideration Shares to be issued to Yamana Shareholders and holders of Yamana Depositary Interests in exchange for their Yamana Shares and Yamana Depositary Interests, respectively, pursuant to the Arrangement have not been and will not be registered under the U.S. Securities Act or the U.S. Securities Laws of any state of the United States and will be issued and exchanged in reliance upon the exemption from the registration requirements of the U.S. Securities Act pursuant to section 3(a)(10) thereof and exemptions provided under the U.S. Securities Laws of each state of the United States in which Yamana Shareholders reside.

 

 59 

 

 

See “Regulatory Matters and Approvals – U.S. Securities Law Matters”.

 

Comparison of Shareholder Rights under the CBCA, the BCBCA and the OBCA

 

Pursuant to the Plan of Arrangement, Yamana Shareholders will receive Pan American Shares and Agnico Shares in exchange for their Yamana Shares. The rights of Yamana Shareholders are currently governed by the CBCA and by Yamana’s articles and by-laws. The rights of holders of Pan American Shares are governed by the applicable provisions of the BCBCA, and by Pan American’s Articles and Notice of Articles. The rights of holders of Agnico Shares are governed by the applicable provisions of the OBCA, and by Agnico’s articles and by-laws. See “Schedule F – Comparison of Shareholder Rights under the CBCA, the BCBCA and the OBCA” for a comparison of shareholders’ rights under the CBCA as compared to each of the BCBCA and the OBCA. The summaries contained in Schedule F are not intended to be exhaustive and Yamana Shareholders should consult their legal advisors regarding all of the implications of the effects of the Arrangement on their rights.

 

See “Regulatory Matters and Approvals – Comparison of Shareholder Rights under the CBCA, the BCBCA and the OBCA” and “Schedule F – Comparison of Shareholder Rights under the CBCA, the BCBCA and the OBCA”.

 

Transaction Agreements

 

The Arrangement Agreement

 

On November 8, 2022, at the Activation Time, the Arrangement Agreement became effective pursuant to which, among other things, Pan American agreed to acquire all of the issued and outstanding Yamana Shares and Agnico agreed to acquire the Canadian Assets.

 

See “Transaction Agreements – The Arrangement Agreement” and the Arrangement Agreement, which has been filed by Yamana under its issuer profile on SEDAR at www.sedar.com and on EDGAR at www.sec.gov.

 

The Support Agreements

 

On November 8, 2022, at the Activation Time, (a) the Yamana Support Agreement between each of the Yamana Supporting Shareholders and Pan American and Agnico became effective; and (b) the Pan American Support Agreements between each of the Pan American Supporting Shareholders and Yamana became effective.

 

See “Transaction Agreements – The Support Agreements” and the forms of Support Agreements, which have been filed by Yamana under its issuer profile on SEDAR at www.sedar.com and on EDGAR at www.sec.gov.

 

Rights of Dissenting Shareholders

 

The Interim Order expressly provides Registered Yamana Shareholders with Dissent Rights in respect of the Arrangement Resolution pursuant to section 190 of the CBCA, as modified by the Plan of Arrangement and the Interim Order. Only Registered Yamana Shareholders who exercise Dissent Rights in respect of the Arrangement Resolution in strict compliance with section 190 of the CBCA, as modified by the Plan of Arrangement and the Interim Order, will be entitled, in the event that the Arrangement becomes effective, to be paid by Yamana the fair value of the Yamana Shares held by such Dissenting Shareholders determined as at the close of business on the day before the Arrangement Resolution is adopted.

 

A Registered Yamana Shareholder entitled to vote at the Yamana Meeting who wishes to exercise their Dissent Rights is required to deliver a written objection (a “Dissent Notice”) to the Arrangement Resolution to Yamana not later than 4:00 p.m. (Toronto time) on the date that is two Business Days immediately preceding the Yamana Meeting (or any adjournment or postponement thereof). Such notice must be delivered to Yamana at Royal Bank Plaza, North Tower, 200 Bay Street, Suite 2200, Toronto, Ontario M5J 2J3, Attention: Sofia Tsakos, Senior Vice President, General Counsel and Corporate Secretary, with a copy to Cassels Brock & Blackwell LLP, 2100 Scotia Plaza, 40 King Street West, Toronto, Ontario, Canada M5H 3C2, Attention: Stephanie Voudouris, and must otherwise strictly comply with the dissent procedures described in this Circular.

 

 60 

 

 

It is recommended that any Registered Yamana Shareholder wishing to exercise Dissent Rights seek legal advice, as failure to strictly comply with the provisions of the CBCA, as modified by the Plan of Arrangement and the Interim Order, and to adhere to the procedures established therein may prejudice their Dissent Rights and result in the loss of all rights thereunder.

 

See “Information Concerning the Holders of Yamana Depositary Interests – Exercise of Dissent Rights” and “Rights of Dissenting Shareholders”.

 

Information Concerning Yamana

 

Yamana is a Canadian-based precious metals producer with significant gold and silver production, development stage properties, exploration properties, and land positions throughout the Americas, including Canada, Brazil, Chile and Argentina. Yamana is a corporation organized under the CBCA. The Yamana Shares trade on the TSX under the trading symbol “YRI” and on the NYSE and the LSE under the trading symbol “AUY”.

 

For further details concerning Yamana, see “Information Concerning Yamana” and “Schedule H – Information Concerning Yamana”.

 

Information Concerning Pan American

 

Pan American owns and operates silver and gold mines located in Mexico, Peru, Canada, Argentina and Bolivia. It also owns the Escobal mine in Guatemala that is currently not operating. Pan American provides enhanced exposure to silver through a large base of silver reserves and resources, as well as major catalysts to grow silver production. Pan American has a 28-year history of operating in Latin America, earning an industry-leading reputation for sustainability performance, operational excellence and prudent financial management. The Pan American Shares trade on the Nasdaq and on the TSX under the trading symbol “PAAS”.

 

For further details concerning Pan American, see “Information Concerning Pan American” and “Schedule I– Information Concerning Pan American”.

 

Information Concerning Agnico

 

Agnico is a senior Canadian gold mining company, producing precious metals from operations in Canada, Australia, Finland and Mexico. It has a pipeline of high-quality exploration and development projects in these countries as well as in the United States and Colombia. Agnico is a partner of choice within the mining industry, recognized globally for its leading environmental, social and governance practices. Agnico was founded in 1957 and has consistently created value for its shareholders, declaring a cash dividend every year since 1983. The Agnico Shares trade on the NYSE and on the TSX under the trading symbol “AEM”.

 

Former Yamana Shareholders and Agnico Shareholders prior to the Effective Time are expected to own approximately 7.41% and 92.59%, respectively, of the Agnico Shares immediately following completion of the Arrangement (on a non-diluted basis), in each case based on the number of Yamana Shares and Agnico Shares issued and outstanding as of November 4, 2022.

 

For further details concerning Agnico, see “Information Concerning Agnico” and “Schedule J– Information Concerning Agnico”.

 

 61 

 

 

Information Concerning the Combined Company Following the Arrangement

 

The Arrangement will result in a strategic business combination of Yamana and Pan American. Former Yamana Shareholders and Former Pan American Shareholders are expected to own approximately 42.4% and 57.6%, respectively, of the Pan American Shares, and thus the Combined Company, immediately following completion of the Arrangement (on a non-diluted basis), in each case based on the number of Yamana Shares and Pan American Shares issued and outstanding as of November 4, 2022.

 

For further information in respect of the Combined Company, see “Information Concerning the Combined Company Following the Arrangement”.

 

Risk Factors

 

Yamana Shareholders who vote in favour of the Arrangement Resolution will be voting in favour of combining the businesses of Yamana and Pan American, disposing of the Canadian Assets to Agnico and investing in Pan American and Agnico securities. In assessing the Arrangement, you should carefully consider the risks described in this Circular which relate to the Arrangement, the failure to complete the Arrangement if, among other things, the Arrangement Resolution is not approved at the Yamana Meeting, the Pan American Resolution is not approved at the Pan American Meeting or if any other conditions precedent to the completion of the Arrangement are not satisfied or waived, as applicable, and the post-Arrangement business and operations of the Combined Company. Yamana Shareholders should also carefully consider the risks described under the heading “Risk Factors” in the Yamana AIF. In addition, Yamana Shareholders should carefully consider the risk factors which relate to Pan American described under the heading “Risk Factors” in “Schedule I – Information Concerning Pan American” to this Circular and the risk factors which relate to Agnico described under the heading “Risk Factors” in “Schedule J – Information Concerning Agnico” to this Circular.

 

Readers are cautioned that such risk factors are not exhaustive and additional risks and uncertainties, including those currently unknown or considered immaterial to Yamana may also adversely affect Yamana or Pan American or Agnico prior to the Arrangement, or the Combined Company following completion of the Arrangement.

 

See “Risk Factors”.

 

Certain Income Tax Considerations

 

Certain Canadian Federal Income Tax Considerations

 

For a summary of certain of the material Canadian federal income tax consequences of the Arrangement applicable to Yamana Shareholders, see “Certain Income Tax Considerations – Certain Canadian Federal Income Tax Considerations”. Such summary is not intended to be legal, business or tax advice. Yamana Shareholders should consult their own tax advisors as to the tax consequences of the Arrangement applicable to them with respect to their particular circumstances.

 

Certain United States Federal Income Tax Considerations

 

For a summary of certain of the material U.S. federal income tax consequences of the Arrangement applicable to U.S. Holders, see “Certain Income Tax Considerations – Certain United States Federal Income Tax Considerations”. Such summary is not intended to be legal, business or tax advice. Yamana Shareholders should consult their own tax advisors as to the tax consequences of the Arrangement applicable to them with respect to their particular circumstances.

 

Certain United Kingdom Tax Considerations

 

For a summary of certain of the material United Kingdom direct tax consequences of the Arrangement, see “Certain Income Tax Considerations – Certain United Kingdom Tax Considerations”. Such summary is not intended to be legal, business or tax advice. Yamana Shareholders and holders of Yamana Depositary Interests should consult their own tax advisors as to the tax consequences of the Arrangement applicable to them with respect to their particular circumstances.

 

 62 

 

 

Pro Forma Financial Statements

 

The unaudited pro forma consolidated financial information included in this Circular gives effect to the Arrangement and certain related adjustments described in the notes accompanying such financial information. The unaudited pro forma consolidated statement of financial position of Pan American gives effect to the Arrangement as if it had closed on September 30, 2022. The unaudited pro forma consolidated statement of operations of Pan American for the year ended December 31, 2021, and the unaudited pro forma consolidated statement of operations of Pan American for the nine months ended September 30, 2022 each give effect to the Arrangement as if it had closed on January 1, 2021. The unaudited pro forma consolidated financial information is based on the respective historical audited consolidated financial statements of Yamana and Pan American as at and for the year ended December 31, 2021, and the respective historical unaudited condensed consolidated interim financial statements of Yamana and Pan American as at and for the nine months ended September 30, 2022, included or incorporated by reference in this Circular, as applicable. Pro forma financial information presented in this Circular has been derived from the unaudited pro forma consolidated financial information of Yamana and Pan American included elsewhere in this Circular. The pro forma financial information presented in this Circular should be read in conjunction with the historical consolidated financial statements of both Yamana and Pan American as at and for the year ended December 31, 2021, and as at and for the nine months ended September 30, 2022.

 

See “Schedule G – Unaudited Pro Forma Consolidated Financial Statements”.

 

 63 

 

 

BUSINESS OF THE MEETING

 

Arrangement Resolution

 

As set out in the Notice of Special Meeting of Shareholders of Yamana, at the Yamana Meeting, Yamana Shareholders will be asked to consider, pursuant to the Interim Order, and, if deemed advisable, to pass, with or without variation, the Arrangement Resolution. The Arrangement, the Plan of Arrangement and the terms of the Arrangement Agreement are summarized in this Circular. See “The Arrangement” and “Transaction Agreements – The Arrangement Agreement”. This summary does not purport to be complete and is qualified in its entirety by reference to the Arrangement Agreement, which has been filed under Yamana’s issuer profile on SEDAR at www.sedar.com and on EDGAR at www.sec.gov, and the Plan of Arrangement, which is attached to this Circular as Schedule B.

 

If completed, the Arrangement will result in: (i) Pan American acquiring all of the issued and outstanding Yamana Shares, and (ii) Agnico acquiring the Canadian Assets, on the Effective Date. Yamana will become a wholly-owned Subsidiary of Pan American and Pan American will continue the operations of Pan American and Yamana on a combined basis, other than with respect to the Canadian Assets. Pursuant to the Plan of Arrangement, at the Effective Time, Yamana Shareholders will receive US$1.0406 in cash from Agnico, 0.1598 of a Pan American Share and 0.0376 of an Agnico Share for each Yamana Share or Yamana Depositary Interest held.

 

Former Yamana Shareholders and Former Pan American Shareholders are expected to own approximately 42.4% and 57.6%, respectively, of the Pan American Shares, and thus the Combined Company, immediately following completion of the Arrangement (on a non-diluted basis), in each case based on the number of Yamana Shares and Pan American Shares issued and outstanding as of November 4, 2022. Former Yamana Shareholders and Agnico Shareholders prior to the Effective Time are expected to own approximately 7.41% and 92.59%, respectively, of the Agnico Shares immediately following completion of the Arrangement (on a non-diluted basis), in each case based on the number of Yamana Shares and Agnico Shares issued and outstanding as of November 4, 2022.

 

In order to become effective, the Arrangement Resolution must be approved by the affirmative vote of at least 662/3% of the votes cast by Yamana Shareholders present in person (or online) or represented by proxy and entitled to vote at the Yamana Meeting. A copy of the Arrangement Resolution is set out in Schedule A of this Circular.

 

If the Arrangement Resolution is not approved by Yamana Shareholders at the Yamana Meeting by the affirmative vote of at least 662/3% of the votes cast by Yamana Shareholders present in person (or online) or represented by proxy and entitled to vote at the Yamana Meeting, the Arrangement cannot be completed. Notwithstanding the foregoing, the Arrangement Resolution authorizes the Yamana Board, without further notice to or approval of the Yamana Shareholders, to revoke the Arrangement Resolution at any time prior to the Effective Time if they decide not to proceed with the Arrangement.

 

Unless otherwise directed, it is management’s intention to vote in favour of the Arrangement Resolution. If you do not specify how you want your Yamana Shares voted, the Persons named as proxyholders in the accompanying form of proxy will cast the votes represented by your proxy at the Yamana Meeting IN FAVOUR of the Arrangement Resolution.

 

If the Arrangement Resolution is approved at the Yamana Meeting, the Pan American Resolution is approved at the Pan American Meeting, the Final Order approving the Arrangement is issued by the Court and the other applicable conditions to the completion of the Arrangement are satisfied or waived, the Arrangement will take effect commencing at the Effective Time (which will be at 12:01 a.m. (Toronto time)) on the Effective Date, which is expected to occur in the first quarter of 2023.

 

See “Rights of Dissenting Shareholders” for information concerning the rights of Registered Yamana Shareholders to dissent in respect of the Arrangement Resolution.

 

 64 

 

 

The Yamana Board unanimously recommends that Yamana Shareholders vote IN FAVOUR of the Arrangement Resolution.

 

The people named in the enclosed proxy will vote IN FAVOUR of the Arrangement Resolution unless instructed to vote against the Arrangement Resolution.

 

Other Business

 

As of the date of this Circular, the management of Yamana knows of no amendment, variation or other matter to come before the Yamana Meeting, other than the matters referred to in the Notice of Special Meeting of Shareholders of Yamana. However, if any other matters are properly brought up at the Yamana Meeting, Registered Yamana Shareholders, or duly appointed proxyholders, can vote as they see fit, and the enclosed proxy will be voted on such matters in accordance with the best judgment of the Persons voting the proxy, including with respect to any amendments or variations to the matters identified in this Circular.

 

 65 

 

 

INFORMATION CONCERNING THE YAMANA MEETING

 

The Yamana Meeting will be held at Design Exchange Toronto-Dominion Centre, 234 Bay Street, Toronto, Ontario and online at https://web.lumiagm.com/497366151, password: yamana2023 (case sensitive), at 1:00 p.m. (Toronto time) on January 31, 2023, subject to any adjournment or postponement thereof, for the purposes set forth in the accompanying Notice of Special Meeting of Shareholders of Yamana.

 

Yamana is conducting the Yamana Meeting as a hybrid meeting that will allow Registered Yamana Shareholders and duly appointed proxyholders and representatives (including any Non-Registered Yamana Shareholders who have appointed themselves as proxyholders or holders of Yamana Depositary Interests who have appointed themselves as representatives) to participate both in person and online in real time. The number of persons permitted to attend the Yamana Meeting in person may be restricted to the number permitted by applicable Laws or public health protocols (including, for certainty, any orders applicable in the City of Toronto) at such time. In the event the number of persons that desire to attend the Yamana Meeting in person is greater than the number permitted by applicable Laws or public health protocols at such time, Yamana Shareholders and duly appointed proxyholders will be granted in-person access to the Yamana Meeting on a first-come, first-serve basis. In the event a Yamana Shareholder or a duly appointed proxyholder is declined in-person access to the Yamana Meeting, they will be given the opportunity to leave their completed form of proxy or ballot with the scrutineer outside of the Yamana Meeting prior to leaving the premises. Yamana is providing the virtual format in order to provide Yamana Shareholders, including holders of Yamana Depositary Interests, with an equal opportunity to attend and participate at the Yamana Meeting, regardless of the particular constraints, circumstances or risks that they may be facing as a result of COVID-19.

 

As the COVID-19 pandemic continues to evolve over time, Yamana asks that, in considering whether to attend the Yamana Meeting in person, Yamana Shareholders and duly appointed proxyholders follow the instructions of the Public Health Agency of Canada (“PHAC”) (available at https://www.canada.ca/en/public-health/services/diseases/coronavirus-disease-covid-19.html) including any mandatory quarantine or isolation protocols that may be in place at the time of the Yamana Meeting. Yamana also requests that Yamana Shareholders and duly appointed proxyholders not attend the Yamana Meeting in person if they are experiencing any of the following COVID-19 symptoms: fever; shortness of breath, difficulty breathing or chest pain; sore throat or runny nose (not related to seasonal allergies or other known causes or conditions); new or worsening cough; muscle ache or headache (unusual or long-lasting); or new loss of sense of smell or taste. Yamana Shareholders and duly appointed proxyholders attending the Yamana Meeting are requested to follow the hygiene instructions published by PHAC, including washing or disinfecting hands upon arrival at the Yamana Meeting, and covering their mouth and nose with their arm when coughing or sneezing, as well as any COVID-19 protocols requested by the venue hosting the Yamana Meeting.

 

Yamana is actively monitoring any public health and travel safety concerns relating to COVID-19 and any advisories or mandates that federal, provincial and local governments, and related agencies, may issue. ln the event it is not possible or advisable to hold the Yamana Meeting in person as currently planned, Yamana may be required to hold a virtual-only Yamana Meeting, in which case Yamana will announce the decision to do so via a press release and by posting details on Yamana’s website at www.yamana.com, that will also be filed on Yamana’s issuer profile on SEDAR at www.sedar.com and on EDGAR at www.sec.gov.

 

Attending the Yamana Meeting Online

 

Registered Yamana Shareholders and duly appointed proxyholders and representatives (including any Non-Registered Yamana Shareholders who have appointed themselves as proxyholders or holders of Yamana Depositary Interests who have appointed themselves as representatives) will be able to attend, ask questions and vote online in real time at the Yamana Meeting provided that they are connected to the internet and carefully follow the instructions set out in this Circular and the related proxy materials.

 

Non-Registered Yamana Shareholders, including holders of Yamana Depositary Interests, may attend the Yamana Meeting online as guests but will not be able to ask questions or vote online in real time at the Yamana Meeting, unless they have been duly appointed as proxyholders or representatives in accordance with the procedures set out below and in the related proxy materials.

 

 66 

 

 

Yamana Shareholders (other than holders of Yamana Depositary Interests) who wish to appoint a Person or entity (who need not be a Yamana Shareholder), other than the individual(s) named on the form of proxy or voting instruction form, as applicable, to represent such Yamana Shareholder and to attend, ask questions and vote online in real time at the Yamana Meeting, and Non-Registered Yamana Shareholders (other than holders of Yamana Depositary Interests) who wish to attend, ask questions and vote online in real time at the Yamana Meeting, must insert the name of their third party proxyholder or their own name, as applicable, in the space provided on the form of proxy or voting instruction form sent to them by their Intermediary, as applicable, and follow all of the instructions for submitting the form of proxy or voting instruction form, as applicable, including following all of the applicable instruction provided by their Intermediary, if applicable. By doing so, such Yamana Shareholder will be instructing Computershare or their Intermediary, as applicable, to appoint such Yamana Shareholder’s third party proxyholder or such Yamana Shareholder, as applicable, as such Yamana Shareholder’s proxyholder and such third party proxyholder or Yamana Shareholder, as applicable, will be able to attend, ask questions and vote online in real time at the Yamana Meeting, subject to completing the additional steps below.

 

In order to attend, ask questions and vote online in real time at the Yamana Meeting, Yamana Shareholders who wish to appoint a third party proxyholder to attend the Yamana Meeting online and Non-Registered Yamana Shareholders who wish to attend the Yamana Meeting online, must also take the additional step of registering themselves or their third party proxyholder, as applicable, as a proxyholder with Computershare after they have submitted their form of proxy or voting instruction form, as applicable. To do so, such Yamana Shareholder must access www.computershare.com/Yamana by no later than 4:00 p.m. (Toronto time) on January 27, 2023, or no later than 4:00 p.m. (Toronto time) on the date that is two days (excluding Saturdays, Sundays and holidays) before the date of any adjourned or postponed Yamana Meeting, and provide Computershare with their or their third party proxyholder’s, as applicable, contact information so that Computershare may register such Yamana Shareholder or third party proxyholder, as applicable, and provide them with a username for the Yamana Meeting via email. The failure of a Yamana Shareholder to register themselves or their third party proxyholder, as applicable, as a proxyholder with Computershare will result in such Yamana Shareholder or their third party proxyholder, as applicable, not receiving a username, which will prevent such Yamana Shareholder or their third party proxyholder, as applicable, from being able to ask questions or vote online in real time at the Yamana Meeting and only being able to attend the Yamana Meeting online as a guest. Guests will not be permitted to vote or ask questions online in real time at the Yamana Meeting.

 

If a Yamana Shareholder appoints a third party proxyholder as their proxy to attend, ask questions and vote online in real time at the Yamana Meeting, such Yamana Shareholder should ensure that their third party proxyholder is aware that they have been appointed as proxyholder and confirm that such proxyholder has received their username prior to the Yamana Meeting and will participate at the Yamana Meeting online. Once a Non-Registered Yamana Shareholder or a Registered Yamana Shareholder’s third party proxyholder, as applicable, has been registered and receives their username, they can attend the Yamana Meeting online by accessing https://web.lumiagm.com/497366151, clicking on the “I have a login” icon and entering the username provided to them by Computershare. See “– Accessing the Yamana Meeting Online” for more information. Non-Registered Yamana Shareholders should carefully follow the instructions they have received from their Intermediary and contact their Intermediary promptly if they need assistance.

 

A Non-Registered Yamana Shareholder’s voting instructions must be received in sufficient time to allow their voting instruction form to be forwarded by their Intermediary to Computershare. Non-Registered Yamana Shareholders should contact their Intermediary well in advance of the Yamana Meeting and follow its instructions if they want to, or if they want to have their third party proxyholder, attend and vote online in real time at the Yamana Meeting.

 

Holders of Yamana Depositary Interests should refer to “Information Concerning the Holders of Yamana Depositary Interests” for more information on what steps they must take in order to appoint themselves, or another person, as a representative in order to ask questions and vote online in real time at the Yamana Meeting.

 

 67 

 

 

Accessing the Yamana Meeting Online

 

To access the Yamana Meeting online, Registered Yamana Shareholders, duly appointed proxyholders and representatives (including any Non-Registered Yamana Shareholders who have appointed themselves as proxyholders or holders of Yamana Depositary Interests who have appointed themselves as representatives) who have registered with Computershare in advance of the Yamana Meeting and guests will need to go to the following website in their web browser using their smartphone, tablet or computer: https://web.lumiagm.com/497366151. Attendees will need the latest version of Google Chrome, Apple Safari, Microsoft Edge or Mozilla Firefox web browsers in order to access the Yamana Meeting online (Internet Explorer is not supported) and are responsible for ensuring that their web browser is compatible. Attendees are cautioned that internal network security protocols including firewalls and VPN connections may block access to the virtual meeting platform for the Yamana Meeting. If an attendee is experiencing any difficulty connecting or watching the Yamana Meeting, they should ensure that their VPN setting is disabled or use a computer on a network not restricted to the security settings of their organization. Attendees will be able to log into the site up to 60 minutes prior to the start of the Yamana Meeting. It is recommended that attendees login at least 15 minutes before the Yamana Meeting starts.

 

Once the webpage has loaded into an attendee’s web browser, the attendee is to click on the “Join Meeting” icon and then, if they are a Registered Yamana Shareholder, select the “I have a login” icon and enter their control number and the following password: yamana2023 (case sensitive). For duly appointed proxyholders and representatives (including any Non-Registered Yamana Shareholders who have appointed themselves as proxyholders or holders of Yamana Depositary Interests who have appointed themselves as representatives), they are to select the “I have a login” icon and enter their username and the following password: yamana2023 (case sensitive). Registered Yamana Shareholders will receive a 15-digit control number, located on their form of proxy. Duly appointed proxyholders and representatives (including any Non-Registered Yamana Shareholders who have appointed themselves as proxyholders or holders of Yamana Depositary Interests who have appointed themselves as representatives) who have registered with Computershare in advance of the Yamana Meeting in accordance with the instruction described herein and in the related proxy materials will be provided with a username by email from Computershare after the deadline for the deposit of proxies has passed.

 

Guests, including Non-Registered Yamana Shareholders and holders of Yamana Depositary Interests who have not appointed themselves as proxyholders or requested representation or registered with Computershare in advance of the Yamana Meeting in accordance with the instructions described herein and in the related proxy materials (and therefore do not have a control number or a username), are to select the “I am a guest” icon at the login screen and enter the information requested on the online form. Guests will be able to listen to a live webcast of the Yamana Meeting but will not be able to ask questions or vote online in real time at the Yamana Meeting.

 

Navigation

 

After successfully logging in, Registered Yamana Shareholders and duly appointed proxyholders and representatives (including any Non-Registered Yamana Shareholders who have appointed themselves as proxyholders or holders of Yamana Depositary Interests who have appointed themselves as representatives) who have been authenticated will see the home page, where they can access meeting information, documents and the broadcast. If attendees are viewing the Yamana Meeting on a computer, the webcast will appear automatically once the Yamana Meeting has started.

 

Voting

 

Registered Yamana Shareholders and duly appointed proxyholders and representatives (including any Non-Registered Yamana Shareholders who have appointed themselves as proxyholders or holders of Yamana Depositary Interests who have appointed themselves as representatives) who plan to attend and vote online in real time at the Yamana Meeting must vote by using the virtual ballot provided during the Yamana Meeting on the virtual meeting platform. Once voting has opened, the voting tab will appear and the resolutions and voting choices will be displayed in that tab. To vote, Registered Yamana Shareholders and duly appointed proxyholders are to select one of the voting options shown on the virtual meeting platform. A Registered Yamana Shareholder’s and duly appointed proxyholder’s choice will be highlighted, and a confirmation message will also appear to show that their vote has been received. The number of resolutions for which a Registered Yamana Shareholder and duly appointed proxyholder have voted, or not yet voted, will be displayed at the top of the screen. Registered Yamana Shareholders and duly appointed proxyholders can change their votes until the end of the voting period by simply selecting another choice. Registered Yamana Shareholders and duly appointed proxyholders who log into the Yamana Meeting online and accept the terms and conditions and vote again at the Yamana Meeting will be revoking any and all previously submitted proxies. If a Registered Yamana Shareholder or duly appointed proxyholder does not wish to revoke any previously submitted proxies, they should either not vote online again at the Yamana Meeting or should only attend the Yamana Meeting online as a guest.

 

 68 

 

 

Questions

 

Any Registered Yamana Shareholder or duly appointed proxyholder or representative (including any Non-Registered Yamana Shareholders who have appointed themselves as proxyholders or holders of Yamana Depositary Interests who have appointed themselves as representatives) who has been authenticated and is attending the Yamana Meeting online is eligible to partake in the discussion. To ask questions, Registered Yamana Shareholders or duly appointed proxyholders who have been authenticated and are attending the Yamana Meeting online are to select the “Messaging” tab on the virtual meeting platform, type their questions into the text box at the top of the screen and, once they are happy with their message, click the “send” arrow. Questions sent through the virtual meeting platform will be moderated before being sent to the Chair.

 

Only questions which are procedural in nature or directly related to the motions before the Yamana Meeting, will be addressed at the Yamana Meeting. Questions that relate to a specific motion must indicate which motion they relate to at the start of the question and must be submitted prior to voting on the motion so they can be addressed at the appropriate time during the Yamana Meeting. If questions do not indicate which motion they relate to or are received after voting on the motion, they will be addressed during the general question and answer session after the formal business of the Yamana Meeting. Proper questions or comments submitted online through the text box of the virtual meeting platform will be read or summarized by a representative of Yamana, after which the Chair of the Yamana Meeting will respond or direct the question to the appropriate person to respond. If several questions relate to the same or very similar topic, Yamana may group the questions and state that it has received similar questions. The Chair of the Yamana Meeting reserves the right to edit or reject questions that he or she considers inappropriate. The Chair has broad authority to conduct the Yamana Meeting in a manner that is fair to all Yamana Shareholders and may exercise discretion in the order in which questions are asked and the amount of time devoted to any one question.

 

Difficulties Accessing the Yamana Meeting Online

 

If attendees experience technical difficulties during the registration process or if they encounter difficulties while accessing and attending the Yamana Meeting online, they may contact the provider of the virtual meeting platform, Lumi, by email at support-ca@lumiglobal.com. Registered Yamana Shareholders and duly appointed proxyholders and representatives (including any Non-Registered Yamana Shareholders who have appointed themselves as proxyholders or holders of Yamana Depositary Interests who have appointed themselves as representatives) who attend and vote online in real time at the Yamana Meeting must remain connected to the internet at all times during the Yamana Meeting in order to vote when balloting commences. It is the responsibility of each attendee to ensure internet connectivity for the duration of the Yamana Meeting. If an attendee loses connectivity once the Yamana Meeting has commenced, there may be insufficient time to resolve the issue before voting is completed. Therefore, even if a Registered Yamana Shareholder or duly appointed proxyholder currently plans to attend and vote online in real time at the Yamana Meeting, such Registered Yamana Shareholder or duly appointed proxyholder should consider voting their Yamana Shares in advance or by proxy so that their vote will be counted in the event they experience any technical difficulties or are otherwise unable to access the Yamana Meeting online.

 

 69 

 

 

In the event of technical malfunction or other significant problem that disrupts the Yamana Meeting, the Chair of the Yamana Meeting may adjourn, recess, or expedite the Yamana Meeting, or take such other action as the Chair of the Yamana Meeting determines is appropriate, considering the circumstances.

 

Attending the Yamana Meeting in Person

 

Registered Yamana Shareholders and duly appointed proxyholders and representatives (including any Non-Registered Yamana Shareholder who have appointed themselves as proxyholder or holders of Yamana Depositary Interests who have appointed themselves as representatives) will be able to attend, ask questions and vote in person at the Yamana Meeting, provided that they carefully follow the instructions set out in this Circular and the related proxy materials.

 

Non-Registered Yamana Shareholders, including holders of Yamana Depositary Interests, may attend the Yamana Meeting as guests but will not be able to ask questions or vote in person at the Yamana Meeting, unless they have been duly appointed as proxyholders or representatives in accordance with the procedures set out below and in the related proxy materials. See “– Attending the Yamana Meeting Online” for how such Non-Registered Yamana Shareholders and holders of Yamana Depositary Interests can listen to a live webcast of the online Yamana Meeting as guests.

 

Non-Registered Yamana Shareholders (other than holders of Yamana Depositary Interests) who wish to attend, ask questions and vote in person at the Yamana Meeting, or Yamana Shareholders (other than holders of Yamana Depositary Interests) who wish to appoint another Person or entity (who need not be a Yamana Shareholder), other than the individual(s) named on the form of proxy or voting instruction form, as applicable, as their proxy to attend, ask questions and vote in person at the Yamana Meeting, must insert their own name or the name of the third party proxyholder, as applicable, in the space provided on the form of proxy or voting instruction form, as applicable, sent to them by their Intermediary, if applicable, and follow all of the applicable instructions provided by such Intermediary, if applicable. By doing so, such Yamana Shareholder will be instructing their Intermediary to appoint such Yamana Shareholder or their third party proxyholder, as applicable, as such Yamana Shareholder’s proxyholder and such Yamana Shareholder or third party proxyholder, as applicable, will be able to attend, ask questions and vote in person at the Yamana Meeting.

 

Non-Registered Yamana Shareholders who wish to ask questions and vote in person at the Yamana Meeting, and Yamana Shareholders who wish to appoint a third party proxyholder to ask questions and vote in person at the Yamana Meeting, do not need to register their or their third party proxyholder’s, as applicable, appointment with Computershare online.

 

If a Yamana Shareholder appoints a third party proxyholder as their proxy to attend, ask questions and vote in person at the Yamana Meeting, such Yamana Shareholder should ensure that their third party proxyholder is aware that they have been appointed as proxyholder and confirm that such proxyholder will participate at the Yamana Meeting in person.

 

A Non-Registered Yamana Shareholder’s voting instructions must be received in sufficient time to allow their voting instruction form to be forwarded by their Intermediary to Computershare. Non-Registered Yamana Shareholders should contact their Intermediary well in advance of the Yamana Meeting and follow its instructions if they want to, or if they want to have their third party proxyholder, attend and vote in person at the Yamana Meeting.

 

Holders of Yamana Depositary Interests should refer to “Information Concerning the Holders of Yamana Depositary Interests” for more information on what steps they must take in order to appoint themselves, or another person, as a representative in order to ask questions and vote in person at the Yamana Meeting.

 

 70 

 

 

Accessing the Yamana Meeting in Person

 

The Yamana Meeting will be held in person at Design Exchange Toronto-Dominion Centre, 234 Bay Street, Toronto, Ontario at 1:00 p.m. (Toronto time) on January 31, 2023, subject to any adjournment or postponement thereof. Registered Yamana Shareholders and duly appointed proxyholders and representatives (including any Non-Registered Yamana Shareholders who have appointed themselves as proxyholder or holders of Yamana Depositary Interests who have appointed themselves as representatives) may physically access the Yamana Meeting beginning at approximately 12:45 p.m. (Toronto time) on January 31, 2023, subject to any adjournment or postponement of the Yamana Meeting. While guests, including Non-Registered Yamana Shareholders and holders of Yamana Depositary Interests who have not appointed themselves as proxyholders or representatives in accordance with the instructions described herein and in the related proxy materials, will be able to attend the Yamana Meeting in person, they will not be permitted to ask questions or vote at the Yamana Meeting in person. See “– Attending the Yamana Meeting Online” for how such guests can listen to a live webcast of the online Yamana Meeting as guests.

 

Voting

 

Registered Yamana Shareholders and duly appointed proxyholders and representatives (including any Non-Registered Yamana Shareholders who have appointed themselves as proxyholder or holders of Yamana Depositary Interests who have appointed themselves as representatives) who plan to attend and vote in person at the Yamana Meeting must register with Yamana’s transfer agent, Computershare, when they arrive at the Yamana Meeting to ensure that their vote will be counted. If a Registered Yamana Shareholder or duly appointed proxyholder is declined access to the Yamana Meeting due to public health concerns or protocols, such Registered Yamana Shareholder or duly appointed proxyholder will be given an opportunity to leave their completed form of proxy or ballot with the scrutineer outside of the Yamana Meeting.

 

Registered Yamana Shareholders who plan to attend and to vote in person at the Yamana Meeting should not complete or return the enclosed form of proxy. Their vote will be taken and counted at the Yamana Meeting.

 

Duly appointed proxyholders (including Non-Registered Yamana Shareholders who have appointed themselves as proxyholder) who plan to attend and to vote in person at the Yamana Meeting must have signed and returned their voting instruction form prior to the Yamana Meeting following the instructions on such form. Holders of Yamana Depositary Interests who plan to attend and vote in person at the Yamana Meeting, or who plan to have their appointees attend and vote in person at the Yamana Meeting, must notify Computershare UK by email at !UKALLDITeam2@computershare.co.uk prior to 11:00 a.m. (Toronto time) on January 26, 2023, or no later than 11:00 a.m. (Toronto time) on the date that is three days (excluding Saturdays, Sundays and holidays) before the date of any adjourned or postponed Yamana Meeting, and provide Computershare UK with all of the information requested by Computershare UK. As their vote will be taken and counted at the Yamana Meeting, a Non-Registered Yamana Shareholder or a holder of Yamana Depositary Interests who has duly appointed itself as proxyholder should not indicate their votes on their voting instruction form, Form of Instruction or CREST Voting Instructions, as applicable.

 

Questions

 

Registered Yamana Shareholders and duly appointed proxyholders and representatives (including any Non-Registered Yamana Shareholders who have appointed themselves as proxyholders or holders of Yamana Depositary Interests who have appointed themselves as representatives) who plan to attend the Yamana Meeting in person can submit questions at the Yamana Meeting. See “– Attending the Yamana Meeting Online – Questions” for additional details regarding the procedure for how questions may be asked and answered at the Yamana Meeting.

 

 71 

 

 

Appointment and Revocation of Proxies

 

Yamana’s named proxyholders are Peter Marrone, Executive Chairman of Yamana, or, failing him, Sofia Tsakos, Senior Vice President, General Counsel and Corporate Secretary of Yamana. A Yamana Shareholder that wishes to appoint another Person or entity (who need not be a Yamana Shareholder) to represent such Yamana Shareholder at the Yamana Meeting, either in person or online, may either insert the Person or entity’s name in the blank space provided in the form of proxy or complete another proper form of proxy and submit the form of proxy. In addition, in order for a Yamana Shareholder’s duly appointed proxyholder to attend, ask questions and vote online in real time at the Yamana Meeting, the Yamana Shareholder must also take the additional step of registering its proxyholder with Computershare after it has submitted its form of proxy. To do so, such Yamana Shareholder must access www.computershare.com/Yamana by no later than 4:00 p.m. (Toronto time) on January 27, 2023, or no later than 4:00 p.m. (Toronto time) on the date that is two days (excluding Saturdays, Sundays and holidays) before the date of any adjourned or postponed Yamana Meeting, and provide Computershare with their proxyholder’s contact information so that Computershare may register such proxyholder and provide the proxyholder with a username for the Yamana Meeting via email. This username will allow the Yamana Shareholder’s proxyholder to log in to the live webcast and vote online in real time at the Yamana Meeting. The failure of a Yamana Shareholder to register their proxyholder with Computershare will result in such Yamana Shareholder’s proxyholder not receiving a username, which will prevent such Yamana Shareholder’s proxyholder from being able to ask questions or vote online in real time at the Yamana Meeting and only being able to attend the Yamana Meeting online as a guest. Guests will not be permitted to vote or ask questions online in real time at the Yamana Meeting.

 

A Yamana Shareholder who has voted by proxy may revoke it any time prior to the Yamana Meeting. To revoke a proxy, a Registered Yamana Shareholder may: (a) deliver a written notice which is either delivered to the offices of Computershare at 100 University Avenue, 8th Floor, Toronto, Ontario M5J 2Y1, facsimile: 1-866-249-7775, at any time up to and including the close of business on the last Business Day preceding the day of the Yamana Meeting, or any adjournment or postponement thereof, or with the Chair of the Yamana Meeting on the day of the Yamana Meeting prior to the commencement of the Yamana Meeting or any adjournment or postponement thereof; (b) vote again on the Internet or by phone at any time up to 4:00 p.m. (Toronto time) on January 27, 2023 (or no later than 4:00 p.m. (Toronto time) on the date that is two days (excluding Saturdays, Sundays and holidays) before the date of any adjourned or postponed Yamana Meeting); or (c) complete a form of proxy that is dated later than the form of proxy being revoked, and mailing it or faxing it as instructed on the form of proxy so that it is received before 4:00 p.m. (Toronto time) on January 27, 2023 (or no later than 4:00 p.m. (Toronto time) on the date that is two days (excluding Saturdays, Sundays and holidays) before the date of any adjourned or postponed Yamana Meeting). In addition, if a Yamana Shareholder or its duly appointed proxyholder attends the Yamana Meeting online, logs into the Yamana Meeting and accept the terms and conditions and votes again online at the Yamana Meeting, such Yamana Shareholder or duly appointed proxyholder will be revoking any and all previously submitted proxies. If a Yamana Shareholder or its duly appointed proxyholder does not wish to revoke all previously submitted proxies, they must not vote again online at the Yamana Meeting or must only attend the Yamana Meeting online as a guest. In addition, the proxy may be revoked by any other method permitted by Law. The written notice of revocation may be executed by the Yamana Shareholder or by an attorney who has the Yamana Shareholder’s written authorization. If the Yamana Shareholder is a corporation, the written notice must be executed by its duly authorized officer or attorney.

 

Only Registered Yamana Shareholders have the right to directly revoke a proxy. Non-Registered Yamana Shareholders (other than holders of Yamana Depositary Interests) that wish to revoke or change their prior voting instructions must arrange for their respective Intermediaries to revoke the proxy on their behalf in accordance with any requirements of the Intermediaries. Intermediaries may set deadlines for the receipt of revocations that are further in advance of the Yamana Meeting than those set out elsewhere in this Circular and related proxy materials and, accordingly, any such revocation should be completed in coordination with such Non-Registered Yamana Shareholder’s Intermediary well in advance of the deadline for submitting forms of proxy or voting instruction forms to ensure it can be given effect to at the Yamana Meeting.

 

 72 

 

 

Holders of Yamana Depositary Interests that wish to change their vote must either (a) if they have voted by way of CREST Voting Instruction, revoke or amend their previously submitted CREST Voting Instruction in accordance with the procedures described in the CREST Manual, or (b) if they have voted by way of Form of Instruction, arrange for Computershare UK to revoke or amend such previously submitted Form of Instruction by notifying Computershare UK by email at !UKALLDITeam2@computershare.co.uk prior to 11:00 a.m. (Toronto time) on January 26, 2023, or no later than 11:00 a.m. (Toronto time) on the date that is three days (excluding Saturdays, Sundays and holidays) before the date of any adjourned or postponed Yamana Meeting. In addition, if a holder of Yamana Depositary Interests, or its appointee, attends the Yamana Meeting in person or online and votes again at the Yamana Meeting, they will be revoking any and all previously submitted Forms of Instruction or CREST Voting Instructions. If a holder of Yamana Depositary Interests, or its appointee, does not wish to revoke all previously submitted Forms of Instruction or CREST Voting Instructions, they must not vote again in person or online at the Yamana Meeting or must only attend the Yamana Meeting in person or online as a guest.

 

If you have questions, you may contact Yamana’s strategic shareholder advisor and proxy solicitation agent, Laurel Hill, by telephone at 1-877-452-7184 (toll free in North America), at 1-416-304-0211 (for collect calls outside of North America), or by email at assistance@laurelhill.com.

 

Voting of Proxies and Exercise of Discretion

 

The accompanying form of proxy, when properly signed, confers authority on the Persons named in it as proxies to use their discretion in voting on amendments or variations to the matters identified in the Notice of Special Meeting of Shareholders of Yamana or other matters that may properly come before the Yamana Meeting, or any adjournment or postponement thereof. In addition, if a Yamana Shareholder does not give any instruction as to how to vote on a particular issue to be decided at the Yamana Meeting, their proxyholder can vote such Yamana Shareholder’s Yamana Shares as he or she thinks fit. Notwithstanding the foregoing, the Persons named in the accompanying form of proxy will vote or withhold from voting the Yamana Shares in respect of which they are appointed in accordance with the direction of the Yamana Shareholder appointing them and if the Yamana Shareholder specifies a choice with respect to any matter to be voted upon, such Yamana Shareholders’ Yamana Shares will be voted accordingly. If a Yamana Shareholder signs and returns their form of proxy without designating a proxyholder and does not give voting instructions or does not specify that such Yamana Shareholder wants their Yamana Shares voted against the Arrangement Resolution, the Yamana representatives named in the form of proxy will vote such Yamana Shareholders’ Yamana Shares IN FAVOUR of the Arrangement Resolution.

 

IN THE ABSENCE OF ANY SUCH INSTRUCTION, YAMANA SHARES REPRESENTED BY PROXIES RECEIVED BY MANAGEMENT WILL BE VOTED IN FAVOUR OF THE ARRANGEMENT RESOLUTION.

 

Voting by Registered Yamana Shareholders

 

Voting by Proxy

 

Voting by proxy is the easiest way for Registered Yamana Shareholders to cast their vote. Registered Yamana Shareholders can vote by proxy in any of the following ways:

 

By Telephone: Call 1-866-732-8683 (toll-free in North America) or 1-312-588-4290 (outside North America). Registered Yamana Shareholders will need their 15-digit control number, which can be found on their form of proxy. Registered Yamana Shareholders cannot appoint anyone other than the directors and officers named on their form of proxy as their proxyholder if they vote by telephone.
By Internet: Go to www.investorvote.com and follow the instructions on the screen. Registered Yamana Shareholders will need their 15-digit control number, which can be found on their form of proxy.
By Fax: Registered Yamana Shareholders can complete, sign and date their form of proxy and fax a copy of it to Computershare at 1-866-249-7775 (toll free within North America) or 1-416-263-9524 (outside North America).
By Mail: Registered Yamana Shareholders can complete, sign and date their form of proxy and return it to Computershare, Attention: Proxy Department, 8th Floor, 100 University Avenue, Toronto, ON, M5J 2Y1 in the envelope provided.

 

 73 

 

 

A proxy will not be valid for use at the Yamana Meeting unless it is duly completed and received by Computershare in accordance with the instructions thereon by 4:00 p.m. (Toronto time) on January 27, 2023, or no later than 4:00 p.m. (Toronto time) on the date that is two days (excluding Saturdays, Sundays and holidays) before the date of any adjourned or postponed Yamana Meeting. Late proxies may be accepted or rejected at the discretion of the Chair of the Yamana Meeting. The Chair is under no obligation to accept or reject any particular late proxy. The time limit for deposit of proxies may be waived or extended by the Chair of the Yamana Meeting, at the Chair’s discretion, with or without notice. The proxy must be in writing and signed by the Yamana Shareholder or by the Yamana Shareholder’s attorney, duly authorized in writing or, if the Yamana Shareholder is a corporation, the written notice must be executed by its duly authorized officer or attorney. If a Yamana Shareholder votes by telephone or via the Internet, they do not return their form of proxy.

 

If you have questions, you may contact Yamana’s strategic shareholder advisor and proxy solicitation agent, Laurel Hill, by telephone at 1-877-452-7184 (toll free in North America), at 1-416-304-0211 (for collect calls outside of North America), or by email at assistance@laurelhill.com.

 

Voting by Live Internet Webcast or in Person

 

Only Registered Yamana Shareholders and duly appointed proxyholders who have registered with Computershare in advance of the Yamana Meeting will be able to attend, ask questions and vote online in real time or in person at the Yamana Meeting. A Registered Yamana Shareholder that wishes to appoint another Person or entity (who need not be a Yamana Shareholder) to represent such Registered Yamana Shareholder at the Yamana Meeting, either in person or online, may either insert the Person or entity’s name in the blank space provided in the form of proxy or complete another proper form of proxy and submit the form of proxy.

 

In addition, in order for a Registered Yamana Shareholder’s duly appointed proxyholder to attend, ask questions and vote online in real time at the Yamana Meeting, the Registered Yamana Shareholder must also take the additional step of registering its proxyholder with Computershare after it has submitted its form of proxy. To do so, such Registered Yamana Shareholder must access www.computershare.com/Yamana by no later than 4:00 p.m. (Toronto time) on January 27, 2023, or no later than 4:00 p.m. (Toronto time) on the date that is two days (excluding Saturdays, Sundays and holidays) before the date of any adjourned or postponed Yamana Meeting, and provide Computershare with their proxyholder’s contact information so that Computershare may register such proxyholder and provide the proxyholder with a username for the Yamana Meeting via email. This username will allow the Registered Yamana Shareholder’s proxyholder to log in to the live webcast and vote online in real time at the Yamana Meeting. The failure of a Registered Yamana Shareholder to register their proxyholder with Computershare will result in such Registered Yamana Shareholder’s proxyholder not receiving a username, which will prevent such Registered Yamana Shareholder’s proxyholder from being able to ask questions or vote online in real time at the Yamana Meeting and only being able to attend the Yamana Meeting online as a guest. Guests will not be permitted to vote or ask questions online in real time at the Yamana Meeting.

 

Registered Yamana Shareholders who wish to appoint a proxyholder to attend, ask questions and vote in person at the Yamana Meeting do not need to register their proxyholder’s appointment with Computershare online.

 

See “– Attending the Yamana Meeting Online” and “– Attending the Yamana Meeting in Person” for instructions on how a Registered Yamana Shareholder and their duly appointed proxyholder may attend, ask questions and vote online in real time or in person at the Yamana Meeting.

 

 74 

 

 

Voting by Non-Registered Yamana Shareholders (other than holders of Yamana Depositary Interests or holders in the United States)

 

The information set forth in this section is of significant importance to many Yamana Shareholders, as a substantial number of Yamana Shareholders do not hold Yamana Shares in their own name. Non-Registered Yamana Shareholders should note that only proxies deposited by Yamana Shareholders whose names appear in the records of Yamana as a Registered Yamana Shareholders or duly appointed proxyholder can be recognized and acted upon at the Yamana Meeting or any adjournment or postponement thereof.

 

If Yamana Shares are listed in an account statement provided to an Yamana Shareholder by a broker or other Intermediary then, in almost all cases, those Yamana Shares will not be registered in the Yamana Shareholder’s name on Yamana’s share register. Those Yamana Shares will more likely be registered under the name of the Yamana Shareholder’s Intermediary or an agent of that Intermediary. In Canada, the vast majority of such Yamana Shares are registered under the name of “CDS & Co.”, the registration name of CDS, which acts as nominee for many Canadian brokerage firms. Yamana Shares held by Intermediaries can only be voted (for or against resolutions) upon the instructions of the Non-Registered Yamana Shareholders. Without specific instructions, the Intermediaries are prohibited from voting Yamana Shares for their clients. Yamana does not know for whose benefit the Yamana Shares registered in the name of CDS & Co., or another Intermediary, are held.

 

NI 54-101 requires Intermediaries to seek voting instructions from Non-Registered Yamana Shareholders in advance of shareholder meetings. In accordance with the requirements of NI 54-101, Yamana has distributed copies of the Notice of Special Meeting of Shareholders of Yamana, this Circular and form of proxy to the Intermediaries and clearing agencies for onward distribution to Non-Registered Yamana Shareholders. Intermediaries are required to forward these materials to Non-Registered Yamana Shareholders unless the Non-Registered Yamana Shareholder has waived the right to receive them. Every Intermediary has its own mailing procedures and provides its own return instructions, which should be carefully followed by Non-Registered Yamana Shareholders in order to ensure that their Yamana Shares are voted at the Yamana Meeting or any adjournment or postponement thereof. Often, the form of proxy supplied to a Non-Registered Yamana Shareholder by its Intermediary is identical to the form of proxy provided to Registered Yamana Shareholders; however, its purpose is limited to instructing the Registered Yamana Shareholder on how to vote on behalf of the Non-Registered Yamana Shareholder.

 

Voting by Submitting Voting Instructions

 

For a Non-Registered Yamana Shareholder (other than holders of Yamana Depositary Interests), their Intermediary will send them their proxy-related materials and a voting instruction form that allows them to provide voting instructions to their Intermediary on the Internet, by telephone or by mail. To vote, a Non-Registered Yamana Shareholder should follow the instructions provided on their voting instruction form. A Non-Registered Yamana Shareholder’s Intermediary is required to ask for the Non-Registered Yamana Shareholder’s voting instructions before the Yamana Meeting. Non-Registered Yamana Shareholders are to contact their Intermediary if they do not receive a voting instruction form. Alternatively, a Non-Registered Yamana Shareholder may receive from their Intermediary a preauthorized form of proxy indicating the number of Yamana Shares to be voted, which they should complete, sign, date and return as directed on the form. Each Intermediary has its own procedures which should be carefully followed by Non-Registered Yamana Shareholders to ensure that their Yamana Shares are voted by their Intermediary on their behalf at the Yamana Meeting. Yamana intends to reimburse Intermediaries for the delivery of the meeting materials to Non-Registered Yamana Shareholders that have objected to their Intermediary disclosing certain ownership information about themselves to Yamana (objecting beneficial owners).

 

The majority of Intermediaries now delegate responsibility for obtaining instructions from clients to Broadridge. Broadridge typically mails a scannable voting instruction form in lieu of the form of proxy. Non-Registered Yamana Shareholder (other than a holder of Yamana Depositary Interests) are requested to complete and return the voting instruction form in accordance with the instructions set out therein. Broadridge tabulates the results of all instructions received and provides appropriate instructions regarding the voting of Yamana Shares to be represented at the Yamana Meeting or any adjournment or postponement thereof. Yamana may utilize Broadridge’s QuickVote™ service to assist eligible Non-Registered Yamana Shareholders that are “non-objecting beneficial owners” with voting their Yamana Shares over the telephone. Yamana may utilize Broadridge’s QuickVote™ service to assist eligible Non-Registered Yamana Shareholders that are “non-objecting beneficial owners” with voting their Yamana Shares over the telephone. Certain Non-Registered Yamana Shareholders who are non-objecting beneficial owners may be contacted by Laurel Hill, which is soliciting proxies on behalf of the management of Yamana, to conveniently obtain a vote directly over the telephone.

 

 75 

 

 

If you have questions, you may contact Yamana’s strategic shareholder advisor and proxy solicitation agent, Laurel Hill, by telephone at 1-877-452-7184 (toll free in North America), at 1-416-304-0211 (for collect calls outside of North America), or by email at assistance@laurelhill.com.

 

Voting by Live Internet Webcast or in Person

 

Only Registered Yamana Shareholders and duly appointed proxyholders and representatives (including any Non-Registered Yamana Shareholders who have appointed themselves as proxyholders or holders of Yamana Depositary Interests who have appointed themselves as representatives) who have registered with Computershare in advance of the Yamana Meeting will be able to attend, ask questions and vote online in real time or in person at the Yamana Meeting. A Non-Registered Yamana Shareholder (other than a holder of Yamana Depositary Interests) can only vote its Yamana Shares online in real time or in person at the Yamana Meeting if it has previously appointed itself as the proxyholder for its Yamana Shares by printing its name in the space provided on the voting instruction form and submitting it as directed on the form.

 

In addition, in order to attend, ask questions and vote online in real time at the Yamana Meeting, Non-Registered Yamana Shareholders (other than holders of Yamana Depositary Interests) must also take the additional step of registering themselves as a proxyholder with Computershare after it has submitted its voting instruction form. To do so, such Non-Registered Yamana Shareholder must access www.computershare.com/Yamana by no later than 4:00 p.m. (Toronto time) on January 27, 2023, or no later than 4:00 p.m. (Toronto time) on the date that is two days (excluding Saturdays, Sundays and holidays) before the date of any adjourned or postponed Yamana Meeting, and provide Computershare with their contact information so that Computershare may register such Non-Registered Yamana Shareholder and provide them with a username for the Yamana Meeting via email. This username will allow a Non-Registered Yamana Shareholder to log in to the live webcast and vote online in real time at the Yamana Meeting. The failure of a Non-Registered Yamana Shareholder to register themselves as a proxyholder with Computershare will result in such Non-Registered Yamana Shareholder not receiving a username, which will prevent such Non-Registered Yamana Shareholder from being able to ask questions or vote online in real time at the Yamana Meeting and only being able to attend the Yamana Meeting online as a guest. Guests will not be permitted to vote or ask questions online in real time at the Yamana Meeting.

 

Non-Registered Yamana Shareholders (other than holders of Yamana Depositary Interests) who wish to attend, ask questions and vote in person at the Yamana Meeting do not need to register their appointment with Computershare online. Non-Registered Yamana Shareholders who have appointed themselves as proxyholders and who plan to attend and vote in person at the Yamana Meeting must register with Yamana’s transfer agent, Computershare, when they arrive at the Yamana Meeting to ensure that their vote will be counted. As their vote will be taken and counted at the Yamana Meeting, Non-Registered Yamana Shareholders who have duly appointed themselves as proxyholders should not indicate their votes on their voting instruction form when they submit such form. If a Non-Registered Yamana Shareholder who has duly appointed itself as proxyholder is declined access to the Yamana Meeting due to public health concerns or protocols, such Non-Registered Yamana Shareholder will be given an opportunity to leave their completed form of proxy or ballot with the scrutineer outside of the Yamana Meeting.

 

A Non-Registered Yamana Shareholder (other than a holder of Yamana Depositary Interests) may also appoint someone else (who need not be a Yamana Shareholder) as its proxyholder to vote its Yamana Shares in person or online at the Yamana Meeting by printing their name in the space provided on the voting instruction form and submitting it as directed on the form. In addition, in order for the Non-Registered Yamana Shareholder’s proxyholder to attend, ask questions and vote online in real time at the Yamana Meeting, the Non-Registered Yamana Shareholder must also take the additional step of registering its proxyholder with Computershare after it has submitted its voting instruction form. To do so, such Non-Registered Yamana Shareholder must access www.computershare.com/Yamana by no later than 4:00 p.m. (Toronto time) on January 27, 2023, or no later than 4:00 p.m. (Toronto time) on the date that is two days (excluding Saturdays, Sundays and holidays) before the date of any adjourned or postponed Yamana Meeting, and provide Computershare with their proxyholder’s contact information so that Computershare may register such proxyholder and provide the proxyholder with a username for the Yamana Meeting via email. This username will allow the Non-Registered Yamana Shareholder’s proxyholder to log in to the live webcast and vote online in real time at the Yamana Meeting. The failure of a Non-Registered Yamana Shareholder to register their proxyholder with Computershare will result in such Non-Registered Yamana Shareholder’s proxyholder not receiving a username, which will prevent such Non-Registered Yamana Shareholder’s proxyholder from being able to ask questions or vote online in real time at the Yamana Meeting and only being able to attend the Yamana Meeting online as a guest. Guests will not be permitted to vote or ask questions online in real time at the Yamana Meeting.

 

 76 

 

 

Non-Registered Yamana Shareholders (other than holders of Yamana Depositary Interests) who wish to appoint a proxyholder to attend, ask questions and vote in person at the Yamana Meeting do not need to register their proxyholder’s appointment with Computershare online. Duly appointed proxyholders who plan to attend and vote in person at the Yamana Meeting must register with Yamana’s transfer agent, Computershare, when they arrive at the Yamana Meeting to ensure that their vote will be counted. If a duly appointed proxyholder is declined access to the Yamana Meeting due to public health concerns or protocols, such proxyholder will be given an opportunity to leave their completed form of proxy or ballot with the scrutineer outside of the Yamana Meeting.

 

See “– Attending the Yamana Meeting Online” and “– Attending the Yamana Meeting in Person” for instructions on how a Non-Registered Yamana Shareholder, or a Non-Registered Yamana Shareholder’s duly appointed proxyholder may attend and vote online in real time or in person at the Yamana Meeting.

 

Voting instructions must be received in sufficient time to allow the voting instruction form to be forwarded by the Non-Registered Yamana Shareholder’s Intermediary to Computershare before 4:00 p.m. (Toronto time) on January 27, 2023. If a Non-Registered Yamana Shareholder plans to participate in the Yamana Meeting (or to have its proxyholder participate in the Yamana Meeting), such Non-Registered Yamana Shareholder or its proxyholder will not be entitled to vote or ask questions, either in person or online in real time, unless the proper documentation is completed and received by the Non-Registered Yamana Shareholder’s Intermediary well in advance of the Yamana Meeting to allow them to forward the necessary information to Computershare before 4:00 p.m. (Toronto time) on January 27, 2023. Non-Registered Yamana Shareholders should contact their respective Intermediaries well in advance of the Yamana Meeting and follow their instructions if they want to participate in the Yamana Meeting. Guests, including Non-Registered Yamana Shareholders who have not duly appointed themselves as proxyholders can attend the Yamana Meeting in person or online by logging into the Yamana Meeting at https://web.lumiagm.com/497366151 selecting the “I am a guest” icon at the login screen and entering the information requested on the online form. Guests may listen to the Yamana Meeting in person or online but will not be able to ask questions or vote in person or online in real time.

 

Voting by Holders of Yamana Depositary Interests

 

Holders of Yamana Depositary Interests should refer to “Information Concerning the Holders of Yamana Depositary Interests” for information relating to the voting of their Yamana Depositary Interests at the Yamana Meeting, including what steps they must take in order to appoint themselves, or another person, as a representative in order to ask questions and vote either in person or online in real time at the Yamana Meeting.

 

 77 

 

 

Holders of Yamana Depositary Interests can contact Yamana’s strategic shareholder advisor and proxy solicitation agent, Laurel Hill, for assistance by telephone at 1-877-452-7184 (toll free in North America), at 1-416-304-0211 (for collect calls outside of North America), or by email at assistance@laurelhill.com.

 

Voting by Non-Registered Yamana Shareholders (other than holders of Yamana Depositary Interests) located in the United States

 

Non-Registered Yamana Shareholders (other than holders of Yamana Depositary Interests) located in the United States must provide Computershare with a duly completed legal proxy if they wish to vote at the Yamana Meeting or appoint a third party as their proxyholder. Non-Registered Yamana Shareholders located in the United States are to follow the instructions of their Intermediary included with their form of proxy or voting instruction form, or contact their Intermediary, to request a legal proxy form or a legal proxy if they have not received one. After obtaining a valid legal proxy from the Intermediary, Non-Registered Yamana Shareholders located in the United States must then submit such legal proxy to Computershare. Requests for registration from Non-Registered Yamana Shareholders located in the United States that wish to vote at the Yamana Meeting or, if permitted, appoint a third party as their proxyholder, must be sent by email to uslegalproxy@computershare.com or by courier to Computershare, at Proxy Department, 8th Floor, 100 University Avenue, Toronto, ON, M5J 2Y1 and must be labeled “Legal Proxy” and received no later than 4:00 p.m. (Toronto time) on January 27, 2023, or no later than 4:00 p.m. (Toronto time) on the date that is two days (excluding Saturdays, Sundays and holidays) before the time set for the holding of the Yamana Meeting or any adjournment or postponement thereof. Non-Registered Yamana Shareholders located in the United States will then receive a confirmation of their registration, with a username, by email from Computershare that will allow such Non-Registered Yamana Shareholders located in the United States to attend the Yamana Meeting, either in person or online. Non-Registered Yamana Shareholders located in the United States may also appoint someone else as their proxyholder for their Yamana Shares to represent such Non-Registered Yamana Shareholders located in the United States and vote on their behalf at the Yamana Meeting, either in person or online, by obtaining a legal proxy, executed in their proxyholder’s favour, from the holder of record and registering them with Computershare in the manner described above.

 

Guests

 

Only Yamana Shareholders as of the Record Date and other permitted attendees may attend the Yamana Meeting. Attending the Yamana Meeting allows Registered Yamana Shareholders and duly appointed proxyholders, including any Non-Registered Yamana Shareholders and holders of Yamana Depositary Interests who have, in each case, duly appointed themselves or a third party as proxyholder, to participate, ask questions and vote online in real time or in person at the Yamana Meeting. If a Non-Registered Yamana Shareholder or holder of Yamana Depositary Interests appoints a third party proxyholder or representative to represent them at the Yamana Meeting, the Non-Registered Yamana Shareholder or holder of Yamana Depositary Interests, as applicable, will only be able to attend the Yamana Meeting as a guest. Guests, including Non-Registered Yamana Shareholders and holders of Yamana Depositary Interests who have not duly appointed themselves a proxyholder or representative, can log into the Yamana Meeting online and listen to the Yamana Meeting or attend the Yamana Meeting in person, but will not be able to ask questions or vote online in real time or in person. See “– Attending the Yamana Meeting Online” for instructions on how a guest can log into the Yamana Meeting online and listen to the Yamana Meeting.

 

If you have questions, you may contact Yamana’s strategic shareholder advisor and proxy solicitation agent, Laurel Hill, by telephone at 1-877-452-7184 (toll free in North America), at 1-416-304-0211 (for collect calls outside of North America), or by email at assistance@laurelhill.com.

 

Record Date

 

The Yamana Board has fixed, and the Interim Order provides for, the close of business on December 14, 2022, as the Record Date for the determination of Yamana Shareholders that will be entitled to receive notice of the Yamana Meeting, and any adjournment or postponement thereof, and that will be entitled to vote at the Yamana Meeting.

 

 78 

 

 

Quorum

 

Under Yamana’s by-laws and the Interim Order, the quorum for the Yamana Meeting is two persons present in person, each being a Yamana Shareholder entitled to vote at the Yamana Meeting or a duly appointed proxy or proxyholder for an absent Yamana Shareholder so entitled, holding or representing in the aggregate not less than 331/3% of the issued and outstanding Yamana Shares carrying voting rights at the Yamana Meeting. Pursuant to the Interim Order, Yamana Shareholders who participate in and/or vote at the Yamana Meeting online are deemed to be present at the Yamana Meeting for all purposes, including quorum.

 

Yamana Shares and Principal Holders Thereof

 

Yamana is authorized to issue an unlimited number of Yamana Shares and a maximum of 8,000,000 First Preference Shares, of which 961,003,488 Yamana Shares and nil First Preference Shares were issued and outstanding as of the Record Date. Registered Yamana Shareholders are entitled to receive notice of, and to attend and vote at, all meetings of the Yamana Shareholders, and each Yamana Share confers the right to one vote in person or by proxy at all meetings of the Yamana Shareholders.

 

Only Yamana Shareholders of record on December 14, 2022, are entitled to vote or to have their Yamana Shares voted at the Yamana Meeting.

 

As at the Record Date, to the knowledge of the directors and executive officers of Yamana, the following is the only Person who beneficially owns, directly or indirectly, or exercises control or direction over, voting securities of Yamana carrying 10% or more of the voting rights attached to any class of voting securities of Yamana:

 

Name of Yamana
Shareholder(1)
   Voting Securities of Yamana
Owned, Controlled or
Directed(2)
    Percentage of the Class of
Outstanding Voting Securities
of Yamana
 
Van Eck Associates Corporation   109,844,657    11.43%

 

Note:

(1)The information as to the number and percentage of voting securities beneficially owned, controlled or directed, directly or indirectly, has been obtained from publicly available filings.

(2)Van Eck has stated in filings made under applicable Securities Laws that it may be deemed to have control over, but not ownership of, the voting securities of Yamana that it holds. See “Other Information – Interest in Meeting Business and Material Transactions”.

 

New York Stock Exchange Rules

 

If a Yamana Shareholder’s broker is subject to the NYSE rules, the broker has discretionary authority to vote Yamana Shares without instructions from Non-Registered Yamana Shareholders only on matters considered “routine” by the NYSE. If a Yamana Shareholder does not provide their voting instructions to the broker, the broker cannot vote the Yamana Shareholder’s Yamana Shares in favour of the Arrangement Resolution and any other “non-routine matters” and such Yamana Shares will not be included in the votes “cast” for any such “non-routine” matter. Even without voting instructions to the broker, such Yamana Shares will be counted for quorum purposes.

 

Vote Counting

 

Votes by proxy are counted and tabulated by Yamana’s transfer agent, Computershare.

 

 79 

 

 

THE ARRANGEMENT

 

Details of the Arrangement

 

On May 31, 2022, Gold Fields and Yamana entered into the Gold Fields Arrangement Agreement pursuant to which Gold Fields agreed to acquire all of the issued and outstanding Yamana Shares.

 

On November 4, 2022, Yamana announced that it had received an unsolicited offer, the New Offer, from Pan American and Agnico with respect to the Arrangement. The Yamana Board determined in good faith, after consultation with its outside financial and legal advisors, and after taking into account all the terms and conditions of such New Offer and all factors and matters considered appropriate in good faith by the Yamana Board, including the unanimous recommendation of the Yamana Special Committee of independent directors of the Yamana Board, that the New Offer constituted a “Yamana Superior Proposal” as defined by, and in accordance with, the terms of the Gold Fields Arrangement Agreement. Following a waiver by Gold Fields of its five business day matching right and response period under the Gold Fields Arrangement Agreement, on November 8, 2022, Yamana entered into the Arrangement Agreement with Pan American and Agnico with respect to the New Offer, and the Yamana Board changed its recommendation with respect to the pending transaction with Gold Fields and unanimously recommended that Yamana Shareholders vote against the transaction with Gold Fields at the special meeting of Yamana shareholders which was previously scheduled for November 21, 2022. The Arrangement Agreement, as a “Permitted Acquisition Agreement” under the Gold Fields Arrangement Agreement, required that, until such time as the Gold Fields Arrangement Agreement had been terminated in accordance with its terms, all of the obligations of Yamana (other than confidentiality and standstill obligations) in the Arrangement Agreement would become effective only upon the Gold Fields Arrangement Agreement not being approved by Yamana Shareholders at the special meeting. On November 8, 2022, Gold Fields terminated the Gold Fields Arrangement Agreement and the Arrangement Agreement immediately became effective. The special meeting of Yamana shareholders previously scheduled for November 21, 2022 in connection with the pending transaction with Gold Fields was cancelled, and Yamana paid a termination fee of US$300 million, less applicable withholding taxes, to Gold Fields in accordance with the Gold Fields Arrangement Agreement. Pursuant to the terms of the Arrangement Agreement, Pan American funded Yamana with US$150 million in cash for the payment of such termination fee.

 

On November 8, 2022, at the Activation Time, the Arrangement Agreement became effective. Pursuant to the Arrangement Agreement, (i) Pan American will acquire all of the issued and outstanding Yamana Shares, and (ii) Agnico will acquire the Canadian Assets, on the Effective Date. Yamana will become a wholly-owned Subsidiary of Pan American and Pan American will continue the operations of Pan American and Yamana on a combined basis, other than with respect to the Canadian Assets. Pursuant to the Plan of Arrangement, at the Effective Time, Yamana Shareholders will receive US$1.0406 in cash from Agnico, 0.1598 of a Pan American Share and 0.0376 of an Agnico Share for each Yamana Share held.

 

The Arrangement will be effected pursuant to a court-approved plan of arrangement under the CBCA involving, among others, Yamana, Pan American and Agnico, pursuant to the terms of the Arrangement Agreement, the Interim Order and the Final Order. Subject to receipt of the Yamana Shareholder Approval, the Pan American Shareholder Approval, the Final Order and the satisfaction or waiver of certain other conditions, the Arrangement will become effective on the Effective Date. The Parties intend to rely upon the exemption from the registration requirements of the U.S. Securities Act pursuant to section 3(a)(10) thereof with respect to the issuance of the Consideration Shares pursuant to the Arrangement.

 

Former Yamana Shareholders and Former Pan American Shareholders are expected to own approximately 42.4% and 57.6%, respectively, of the Pan American Shares, and thus the Combined Company, immediately following completion of the Arrangement (on a non-diluted basis), in each case based on the number of Yamana Shares and Pan American Shares issued and outstanding as of November 4, 2022. For further information regarding Pan American following completion of the Arrangement, see “Information Concerning the Combined Company Following the Arrangement”.

 

Former Yamana Shareholders and Agnico Shareholders prior to the Effective Time are expected to own approximately 7.41% and 92.59%, respectively, of the Agnico Shares immediately following completion of the Arrangement (on a non-diluted basis), in each case based on the number of Yamana Shares and Agnico Shares issued and outstanding as of November 4, 2022.

 

 80 

 

 

Background to the Arrangement

 

The Arrangement Agreement and the Arrangement are the result of arm’s length negotiations among representatives of Yamana, Pan American, Agnico and their respective legal and financial advisors, as more fully described herein. The following is a summary of the principal events leading up to the execution of the Arrangement Agreement and public announcement of the Arrangement, including the termination of the Gold Fields Arrangement Agreement.

 

The Yamana Board, together with senior management, regularly reviews and assesses its overall corporate strategy and long-term strategic plan with a view to strengthening Yamana’s business and identifying opportunities to increase shareholder value. As part of this process, the Yamana Board and senior management continuously review the relative merits of continuing as an independent enterprise, strategic acquisitions and divestitures as well as various combinations involving Yamana, its assets or its mines and projects. In order to facilitate this review, Yamana occasionally engages external financial advisors to assist with its review and analysis of strategic alternatives.

 

In the ordinary course of business, Yamana has had regular engagements with several industry peers for the purpose of seeking opportunities for collaboration, joint business development opportunities, asset acquisitions and, in some circumstances, evaluation of more transformational strategic alternatives, including the potential for corporate-level combinations, all with a view to enhancing shareholder value.

 

In early 2020, the Yamana Board mandated a more comprehensive strategic review by Yamana’s senior management. The following is a summary of some of the strategic reviews undertaken by Yamana, along with a summary of the engagements it had with various industry peers that ultimately led to the conclusion of the Yamana Board that the Arrangement is in the best interests of Yamana.

 

Strategic Review

 

Prior to 2020, Yamana undertook several transactions and other strategic initiatives to strengthen its balance sheet, improve the quality of its asset portfolio and optimize its operations. In addition, the Yamana Board undertook a process to refresh its composition, which included increasing gender diversity, to ensure a wide range of perspectives, expertise and experience. The Yamana Board also undertook improvements to its management construct which included bringing in new executives and other senior level managers, to realign the manner in which Yamana was operated and managed. Throughout this process, the Yamana Board was also looking at how to maximize value for Yamana, particularly having regard for the changing landscape in capital markets for precious metal mining companies.

 

Implementing the organic growth and value creation portion of the strategy, Yamana undertook a review of the integration of the Agua Rica project and the Alumbrera mine, and then in late 2020 it created the MARA joint venture with Glencore International AG and Newmont Corporation, establishing a path towards value creation and development for one of the most significant copper/gold projects in the world. In addition, Yamana engaged with Monarch Gold Corporation in 2020 on an acquisition that closed in early 2021 which included the Wasamac Project and the Camflo property. Also in early 2021, Yamana approved a positive construction decision for the Malartic Odyssey underground project at the Canadian Malartic Mine. Subsequently, the Yamana Board made a construction decision with respect to the Wasamac Project and vended the Camflo property into the Canadian Malartic General Partnership. In its producing assets portfolio, Yamana advanced a series of expansions and improvements, including the advancement of the phased expansion approach at the Jacobina Mining Complex. These efforts have provided Yamana with assets having long life production and cash flow generation in prime mining jurisdictions, which have meaningfully increased Yamana’s value as shown by the increase in Yamana’s consensus net asset value (“NAV”), net of metal prices changes, during this period.

 

In early 2021, Yamana released a 10-year production overview, which went beyond its prior practice of providing guidance over three years, reflecting the sustainable production platform of the asset portfolio. The long-term production overview disclosed a base case of 1 million GEO per year and an upside case of 1.2 million GEO per year by approximately 2028, underpinned by contributions from the newly acquired and optimized Wasamac Project.

 

 81 

 

 

In the second quarter of 2022, after completing optimization work on its assets during 2021, including additional engineering studies and exploration programs, Yamana updated its ten-year outlook and established the Yamana 1.5 Plan. The Yamana 1.5 Plan contemplates low capital cost growth of approximately 50% to a base level of 1.5 million GEO within the ten-year outlook which is underpinned by multiple low-risk, low-capital projects that adhere to Yamana’s balanced approach to capital allocation. Further growth beyond this level, for a production platform of 2.75 million to 3.1 million GEO, was also identified with upside potential from MARA, Suyai and other opportunities within the generative exploration portfolio.

 

While the Yamana 1.5 Plan represented significant growth in production, NAV and cash flow at manageable capital requirements, it also increased Yamana’s proportional exposure to development stage assets versus producing assets with value attributable to development stage assets being proportionately higher relative to Yamana’s peers, which is reflected in Yamana’s lower trading multiples of price-to-NAV and price-to-cash flow compared to peers.

 

Furthermore, gold producers in general have experienced a compression of multiples and reduced market valuations as a result of the reduction in size and quantity of resource funds. As such, it became evident that, given resource funds no longer had the same assets under management, there was a need to attract a more general spectrum of investors. Those general investors appear to desire greater size, liquidity and scale, as well as companies that prioritize cash flow generation.

 

The Yamana Board has consistently believed that the quality and upside potential of its portfolio of assets is consistent with larger companies and recognizes that companies of similar size to Yamana trade at multiples to NAV that are lower compared to larger companies’ multiples.

 

In response to investor sentiment and capital allocation by larger institutional shareholders, the Yamana Board recognized that, in addition to asset quality, the importance of market size and scale was increasing. As noted above, in this context, beginning in 2020, Yamana’s senior management commenced a strategic process under the direction of the Yamana Board to evaluate its portfolio of core assets and assess different alternatives to increase Yamana’s value and its position in the precious metals industry. This process involved an assessment of organic growth projects and asset optimizations in combination with acquisitions, mergers, and other external opportunities, all with a view to creating greater critical mass and maximizing shareholder value, taking into account financial, industry, competition and other considerations.

 

Considering all these factors, and in order to maximize shareholder value, Yamana’s senior management and the Yamana Board concluded that, as attractive as the growth portfolio was, it should consider opportunities outside of Yamana in order to become a larger, more substantial, more diversified producer on the basis that the inherent value of Yamana’s asset portfolio and attractive growth profile would be more accurately reflected as part of a larger, more diversified producer. The Yamana Board believed that execution of this strategy would increase Yamana’s scale and market relevance, enhance general investor interest, improve access to capital, and create higher value from increased near-term cash flow from a portfolio of producing assets complemented by medium and long-term growth. As such, Yamana broadened its focus to evaluating strategic business combinations and other acquisitions. In all cases, the quality of third party assets in consideration and the continued effective management of Yamana’s assets and operations, was critical to the evaluation being conducted by Yamana’s senior management and the Yamana Board.

 

Execution of Board Mandated Strategic Considerations

 

Upon the direction of the Yamana Board to advance the strategic review discussed above, Yamana’s senior management assessed, either through desktop or direct engagement, several producing companies and had a variety of corporate development discussions as part of evaluating potential “merger of equals” (“MOE”) transactions, transformative acquisitions or change of control transactions at a premium. One of the challenges faced was that Yamana’s trading multiples could not support a premium for actionable, high quality acquisition opportunities. In some cases, Yamana’s trading multiples could not support a potential MOE transaction due to the expected dilution to shareholders and inherent undervaluation of the intrinsic value of Yamana.

 

 82 

 

 

What follows is a summary of some of the strategic considerations and opportunities that were evaluated during this period that begins in 2020. In addition to the specific engagements noted below, throughout the period beginning in early 2020, under the guidance of the Yamana Board, and after receiving a number of inbound expressions of interest, both directly and through financial advisors, Yamana’s senior management engaged in varying discussions with other precious metal mining companies and in some cases, other companies with significant precious metal exposure.

 

Specific Engagements

 

In early 2020, Yamana’s senior management initiated a review based on public information of several gold producers. One mid-tier gold producer under review had complimentary assets and in most cases, jurisdictional quality comparable to Yamana’s (“Party One”). Management conducted initial due diligence on Party One and delivered presentations to the Yamana Board on potential combinations with Party One which analyzed the industrial logic and financial metrics of a MOE transaction. Between March 2020 and May 2020, Yamana’s senior management continued advancing due diligence while Yamana’s Executive Chairman had several engagements with Party One’s Chief Executive Officer to discuss a potential transaction. Over several months thereafter, Yamana’s senior management continued due diligence reviews and continued to monitor Party One’s performance and the resolution of issues relating to certain jurisdictions in which they operated. Party One emphasized that they preferred to resolve these corporate issues before engaging in more formal discussions. These discussions then continued in the first half of 2021, during which it was indicated to Yamana that a premium commensurate with other acquisitions would need to be paid. Party One’s position was that while there were similarities between the companies, which included managing several assets in various jurisdictions, there was a comparative size differential between them. Discussions also centered on management integration, completion of diligence and more detailed discussions on value and premium. In light of the price expectations expressed by Party One, and the due diligence and modelling work completed at the time, Yamana’s senior management expressed concerns about certain transaction measures important to the Yamana Board, primarily the cash flow and free cash flow generation profile. The Yamana Board determined that a transaction at the price expectations of Party One would not be sufficiently accretive to Yamana Shareholders and formal discussions with Party One were discontinued.

 

During this same period of time, Yamana initiated a discussion with another mid-tier gold producer (“Party Two”). An overview based on public information was prepared for the Yamana Board, which instructed senior management to continue its work given the scale and asset quality attributes of the pro forma entity. Yamana’s Chief Executive Officer contacted Party Two’s Chief Executive Officer to discuss the concept of a potential at-market combination. Party Two showed interest although it indicated that it needed to complete certain operational milestones before committing to a deeper engagement. Management continued to monitor the performance and progress of Party Two. Following updated presentations and discussions with the Yamana Board in late 2020, it was determined that further analysis of Party Two was worth pursuing, including detailed due diligence and site visits. These discussions continued into early 2021, when Yamana’s Executive Chairman and its Chief Executive Officer had a discussion with the Chief Executive Officer of Party Two to confirm that the previously discussed operational issues had been rectified, and whether it was time to engage in more fulsome due diligence. An overture was again made to Party Two on the merits of a possible at-market combination. Following these discussions, a meeting was convened with Yamana’s Executive Chairman and the Chief Executive Officer of Party Two to agree to a process for detailed due diligence and access for site visits. Yamana’s senior management and due diligence team members were provided with access to confidential information and began an engagement with senior management and due diligence team members of Party Two and conducted extensive due diligence on its primary asset, including site visits and joint technical sessions over a six-month period. After completing a detailed assessment inclusive of building a resource model and mine plan, presentations were made to the Yamana Board and a directive was received to advance to negotiations. Yamana’s senior management made a formal proposal to Party Two for a potential at-market merger. In the course of discussions, Party Two expressed a desire to transact if a premium was paid. In light of the important financial measures to the Yamana Board, Yamana’s senior management considered a possible premium, however, in further discussions it did not appear that Yamana could agree to provide a premium in line with the expectations of Party Two. Yamana had been made aware that there were other interested parties and while Yamana agreed to continue to consider the matter, during that period of consideration, Party Two entered into a transaction pursuant to which it was sold at a premium.

 

 83 

 

 

Yamana’s senior management also began an in-depth review of a larger mid-tier gold producer (“Party Three”) throughout 2020 and discussed the merits of a transaction. That led to an engagement between Yamana’s Executive Chairman and the Chief Executive Officer of Party Three beginning in September 2021. Yamana and Party Three had already been familiar with each other as they had a prior engagement before 2020. However, given Yamana was engaged in other strategic initiatives to strengthen its balance sheet, improve the quality of its asset portfolio and optimize its operations, it was not optimal to pursue a transaction at that time. In 2020, Yamana and Party Three re-engaged in connection with the evaluation of various strategic alternatives, including the creation of joint ventures or a potential combination or reorganization of the parties’ respective portfolios. Yamana’s senior management began an in-depth review of Party Three throughout 2020 and discussed the merits of a transaction with Party Three with the Yamana Board based on the quality of the assets, the jurisdictional risk profile and financial metrics. Discussions among members of management of Yamana and Party Three continued through this period, and beginning in September 2021, Yamana and Party Three mutually exchanged technical and financial information. Through September 2021, Yamana’s senior management and due diligence team met in person with representatives of Party Three to advance each party’s knowledge of the other’s material assets. After completing due diligence, Yamana’s senior management and the Yamana Board concluded that, although there were certain benefits to a potential business combination with Party Three, there was limited upside in several of its core assets and significant inherent risks in Party Three’s geographical and jurisdictional presence. As such, Yamana’s senior management and the Yamana Board concluded that the opportunity for value creation and upside were below a threshold considered acceptable relative to other available strategic alternatives. Discussions with Party Three ceased when Yamana and Gold Fields entered into an exclusivity agreement.

 

Initial Engagements with Pan American and Agnico

 

Below is a chronological description of engagements between Yamana and Agnico on one hand and Yamana and Pan American on the other. In all cases, the discussions noted below took place separately and distinctly as between Yamana and each of Agnico and Pan American. Joint discussion occurred only on and after October 21, 2022 when Agnico and Pan American submitted an unsolicited proposal as described below.

 

On September 10, 2021, the Executive Chairman of Yamana met with the then Chief Executive Officer of Agnico to discuss a potential business combination. Agnico discussed its strategy of maintaining a manageable portfolio in jurisdictions in which it principally operated. In such context, Yamana presented several possible business combination structures, including a bifurcation of Yamana and the possibility of creating a spinco vehicle that would hold some of the smaller assets of Yamana or of the two companies.

 

On September 16, 2021, under direction from the Yamana Board, the Executive Chairman of Yamana met with the then Chief Executive Officer of Agnico to discuss Agnico’s interest in further investigating a possible transaction along the lines discussed on September 10, 2021.

 

On September 28, 2021, Agnico announced the business combination with Kirkland Lake Gold Ltd. (“Kirkland”).

 

On September 30, 2021, the then Chief Executive Officer of Agnico had a telephone call with the Executive Chairman of Yamana explaining the background to the Kirkland transaction and Agnico’s continued interest in pursuing a potential transaction with Yamana. The Executive Chairman of Yamana indicated that Yamana would need to understand the impact of the Kirkland transaction on the Yamana and Agnico discussions.

 

 84 

 

 

On November 4, 2021, the Executive Chairman of Yamana met with the then Chief Executive Officer of Agnico to discuss Agnico’s expanded portfolio, including the assets to be acquired as a result of the Kirkland acquisition. The parties agreed that given this was a substantial transaction, they would postpone any further discussions until Agnico had completed the transaction.

 

On December 7, 2021, the Executive Chairman of Yamana had an initial telephone call with the Chief Executive Officer of Pan American to discuss a potential business combination between the two companies.

 

On December 14 and 15, 2021, during scheduled strategy meetings, the Yamana Board and Yamana’s senior management discussed several opportunities for internal and external growth including potential transactions and strategic options available to Yamana involving other third parties, including potential combinations with Pan American or Agnico. The Yamana Board directed management to advance discussions with these parties, among others, in order to continue executing on the strategy.

 

On January 4, 2022, following the Yamana Board strategy meetings, the Executive Chairman of Yamana met via video conference with the Chief Executive Officer of Pan American to discuss a potential transaction and plans to introduce the respective management teams.

 

On January 11, 2022, the Yamana Board met via video conference to receive an update from Yamana’s senior management on the status of discussions with various third parties, including Pan American and Agnico. Discussion included consideration of the merits, opportunities and potential risks of such transactions. The Yamana Board directed Yamana’s senior management to conduct due diligence on potential counterparties and initiate value discussions.

 

On January 18, 2022, the Executive Chairman of Yamana had a telephone call with the Chief Executive Officer of Pan American to establish the parameters and context of a management presentation session.

 

On February 4, 2022, Yamana’s senior management met via video conference with Pan American’s senior management during which each management team delivered an extensive presentation and reviewed, among other things, their respective portfolio of assets, all based on public information.

 

On February 7, 2022, the Executive Chairman of Yamana and the Chief Executive Officer of Pan American had a telephone call following the management presentations and confirmed their mutual agreement to execute a confidentiality agreement and proceed with due diligence.

 

On February 11, 2022, Yamana and Pan American entered into a confidentiality agreement, which contained mutual confidentiality and standstill provisions to enable the provision of non-public information and to facilitate further discussions between the parties.

 

On February 16, 2022, the Yamana Board met via video conference to receive an update regarding the discussions with various potential counterparties and to further deliberate the merits of possible transactions, including the strategic rationale and profile of the combined entity under a number of potential scenarios.

 

On March 2, 2022, the Executive Chairman of Yamana and the Chief Executive Officer of Pan American met in person at the BMO Capital Markets’ Global Metals & Mining Conference in Florida, where they discussed the due diligence progress, the possibility of progressing to a transaction and each company’s share price performance. Yamana’s Executive Chairman indicated that a premium commensurate with precedent acquisitions would need to be paid in connection with any proposed transaction.

 

In mid-March 2022, each of Pan American and Yamana made an electronic data room available to the other, containing confidential technical and financial information. In person and telephone discussions between Yamana’s Executive Chairman and Pan American’s Chief Executive Officer continued through April 2022, as they tried to reach agreement on indicative transaction pricing and structure.

 

 85 

 

 

On March 22, 2022, the Yamana Board met in person and received an update regarding the discussions with various potential counterparties, including Pan American and Agnico, the status of due diligence as well as a market update.

 

On March 23, 2022, the Executive Chairman of Yamana and the President & Chief Executive Officer of Agnico met in person to revisit the discussions from November 2021. With Agnico’s acquisition of Kirkland complete, the President & Chief Executive Officer of Agnico reiterated Agnico’s desire to proceed with a potential transaction, which would include a spinout of one or more of Yamana’s assets that was consistent with the discussions that occurred in the previous year. It was agreed to further consider and schedule a subsequent meeting to discuss.

 

On April 6, 2022, the Executive Chairman of Yamana and the Chief Executive Officer of Pan American met to discuss the results of their respective due diligence to date and how to advance diligence going forward.

 

On April 14, 2022, the Executive Chairman of Yamana and the President & Chief Executive Officer of Agnico met via video conference whereby Yamana presented a counter proposal to Agnico, mostly on value and terms. Although the proposal contemplated payment of a premium for Yamana’s core assets commensurate with their scale and quality in a larger pro forma company, it also implied a more modest premium to the trading price of the Yamana Shares. Discussion ensued regarding the assets that would be included in a potential spinout vehicle, the discount that would need to be applied to the spinout vehicle and the premium that would need to be paid for Yamana’s other assets. Agnico expressed reservations with respect to the acquisition of assets outside of its existing jurisdictional footprint.

 

On April 22, 2022, Yamana’s senior management and Agnico’s senior management held a conference call to further discuss the counter proposal suggested by Yamana’s Executive Chairman on April 14, 2022.

 

Separately on April 22, 2022, the Executive Chairman of Yamana and the Chief Executive Officer of Pan American had a telephone call to further discuss progress on due diligence and initiated discussions regarding the potential premium to be paid in connection with a transaction.

 

On April 27, 2022, the Yamana Board met with Yamana’s senior management to receive an update regarding the discussions with various counterparties and the status of a potential transaction. The meeting included a meeting of the Yamana Board without the presence of management as well as an in camera meeting of independent directors of the Yamana Board.

 

On April 29, 2022, the Executive Chairman of Yamana and the Chief Executive Officer of Pan American had a telephone call to further discuss the possibility of pursuing a transaction, including various structures under consideration, and progress on due diligence.

 

On May 4, 2022, Yamana’s senior management and Pan American’s senior management had a hybrid meeting to discuss due diligence progress and to review technical and business updates in their respective portfolios, including details of Yamana’s updated life of mine plans and Yamana’s growth opportunities and strategies.

 

On May 10, 2022, Yamana’s Executive Chairman and the Executive Chair of Agnico had a telephone call to discuss Agnico’s continued reservations regarding acquiring Yamana’s entire portfolio of assets. The Executive Chair of Agnico indicated that Agnico was most interested in acquiring Yamana’s Canadian assets and that they were prepared to pay a premium for such assets. The Executive Chairman of Yamana proposed and discussion ensued regarding the possible bifurcation of Yamana’s asset portfolio and the several potential third parties that could acquire Yamana’s non-Canadian assets. Although no agreement was reached, the parties discussed the potential premium to be paid in such a transaction and Yamana continued to indicate that the value to be paid should be increased relative to what was proposed. The parties also discussed the potential complexity associated with the proposed transaction structure and the need to analyze possible tax implications.

 

 86 

 

 

On May 18, 2022, Yamana’s Executive Chairman and the Chief Executive Officer of Pan American met in person at the BAML Mining Conference in Miami, Florida to further discuss a potential transaction in light of the fact that, at this juncture, almost all technical due diligence had been completed except for site visits. The Chief Executive Officer of Pan American indicated Pan American’s preparedness to proceed with an MOE and was willing to consider a transaction at a modest premium. Yamana’s Executive Chairman advised that the Yamana Board could not justify proceeding with a transaction that did not include the payment of a premium that would reflect Yamana’s fair market value. Reflecting on discussions that had been taking place between Yamana and Agnico, Yamana discussed with Pan American alternative transaction structures, including a possible three-way transaction pursuant to which Yamana’s North American assets and its South American assets would be bifurcated between separate companies. No agreement was reached with respect to the potential premium to be paid in a transaction, although it was agreed that the structure would further be considered. The parties discussed the need to complete an analysis of potential tax implications in light of the proposed transaction structure.

 

During this period of continued consideration and discussion with different companies, between November 2021 and May of 2022, Yamana’s Executive Chairman and the Chief Executive Officer of Gold Fields held several phone calls and in person meetings, including amongst their respective senior management, during which the possibility of a potential combination between Yamana and Gold Fields was discussed. Extensive technical, financial and legal due diligence was completed by Yamana, including site visits to all of Gold Fields’ material projects. During the same period, the Yamana Board and Yamana’s senior management met on numerous occasions to discuss the rationale and financial metrics of a potential transaction with Gold Fields and concluded that a potential transaction with Gold Fields involved comparably less complexity and risk relative to other available strategic alternatives at the time. In particular, in respect of a potential transaction with Agnico, the Yamana Board determined that while taking a premium on certain assets was worth considering, there would likely be a discount applied on certain of the other assets, or any spinco holding such assets, which would create risk in terms of the remaining portfolio and the overall transaction.

 

On May 26, 2022, Yamana and Gold Fields entered into an exclusivity agreement following which Yamana ceased all discussions with other third parties, including Pan American and Agnico. On May 31, 2022, Yamana and Gold Fields executed the Gold Fields Arrangement Agreement, jointly announced the Gold Fields Arrangement, and discontinued all access to confidential information by other third parties.

 

Re-Engagement with Pan American and Agnico

 

Yamana has been provided with information that Agnico has, over the years, considered various methods and opportunities by which it could increase its ownership position in Canadian Malartic. Following the announcement, Agnico examined internally various structures that could result in the acquisition of an increased ownership position in Canadian Malartic.

 

Shortly after the announcement of the Gold Fields Arrangement Agreement, BMO Capital Markets, on behalf of Pan American, contacted Agnico’s Executive Chair, to gauge Agnico’s potential interest in acquiring Yamana’s interest in the Canadian Malartic mine and to determine if there would be any interest in a joint acquisition proposal with Pan American for Yamana. However, the proposal was not pursued at the time.

 

On June 23, 2022, Agnico’s Executive Chair and its President & Chief Executive Officer paid a courtesy call by telephone to Gold Fields’ Chief Executive Officer, to congratulate him on the announcement of the transaction with Yamana and to open a line of communication with him.

 

On August 18, 2022, Agnico’s Executive Chair and President & Chief Executive Officer had a telephone call with Gold Fields’ Chief Executive Officer, and a courtesy call with the Executive Chairman of Yamana, and subsequently sent a letter to Yamana and Gold Fields proposing to both of them the possibility of Agnico purchasing Yamana’s 50% interest in Canadian Malartic for cash in connection with the Gold Fields Arrangement. In response to a follow-up communication from Agnico’s President & Chief Executive Officer on August 24, 2022, Gold Fields’ Chief Executive Officer responded on August 25, 2022, advising that Gold Fields was considering Agnico’s proposal and was analyzing the long term implications of the strategy for Gold Fields without Canadian Malartic and that Gold Fields would respond in the course of that week.

 

 87 

 

 

On September 1, 2022, Gold Fields’ Chief Executive Officer responded to Agnico’s Executive Chair by declining Agnico’s proposal to discuss the purchase of the remaining 50% interest in Canadian Malartic or indeed any stake in Canadian Malartic. Yamana elected to not respond to the proposal because it was non-binding.

 

On September 2, 2022, Agnico’s Executive Chair reached out to Pan American’s financial advisor, BMO Capital Markets, to assess whether Pan American would be interested in collaborating with Agnico to advance a joint acquisition proposal in respect of Yamana that would see Agnico acquire Yamana’s interest in Canadian Malartic. From this date onwards, Agnico and Pan American, as well as their respective financial and legal advisors, engaged in numerous discussions and meetings with a view to making an unsolicited non-binding offer to acquire Yamana.

 

On October 21, 2022, Yamana’s Executive Chairman received an unsolicited non-binding written Yamana Acquisition Proposal (as defined in the Gold Fields Arrangement Agreement) from Pan American and Agnico (the “Alternative Proposal”) pursuant to which Pan American would acquire all of the outstanding Yamana Shares and Agnico would acquire Yamana’s Canadian assets for consideration comprised of Pan American Shares, Agnico Shares and US$1 billion in cash from Agnico. Pursuant to the terms of the Gold Fields Arrangement Agreement, if the Yamana Board determined that the Alternative Proposal constituted, or would reasonably be expected to constitute, a Yamana Superior Proposal (as defined in the Gold Fields Arrangement Agreement), then Yamana could enter into a confidentiality agreement with Pan American and Agnico on terms no less favorable than the confidentiality agreement between Yamana and Gold Fields, and both Pan American and Agnico could conduct due diligence on Yamana.

 

Yamana’s Executive Chairman immediately convened a meeting of the Yamana Board and Yamana’s senior management mobilized and engaged with Yamana’s financial and legal advisors, meeting numerous times via telephone and video conference throughout October 21 and October 22, 2022.

 

On October 22, 2022, Yamana provided written notice to Gold Fields in accordance with the terms of the Gold Fields Arrangement Agreement that it had received the Alternative Proposal.

 

On October 23, 2022, the Yamana Board met via video conference, initially in camera without other members of Yamana’s senior management present, to review and consider the terms of the Alternative Proposal, including among other things the amount and form of consideration and requisite shareholder and regulatory approvals. Yamana’s senior management and representatives of Cassels were invited to join the meeting. The Yamana Board received a summary of the obligations of Yamana under the Gold Fields Arrangement Agreement in considering and responding to the Alternative Proposal. Among other things, the Yamana Board considered whether a special committee of independent directors of Yamana should be formed with a broad mandate to assist in evaluating any Acquisition Proposals (as defined in the Gold Fields Arrangement Agreement), including the Alternative Proposal or any amendments thereto, as well as any proposed amendment to the Gold Fields Arrangement Agreement that may be proposed by Gold Fields. In carrying out its responsibilities, it was discussed that the Yamana Special Committee should be authorized to, among other things, retain financial, legal and other advisors if required or considered to be appropriate in the circumstances. Members of Stifel GMP were then invited to join the meeting and provided a presentation which included their preliminary view that the Alternative Proposal was financially superior relative to the Gold Fields Arrangement, following which they departed the meeting. After further discussion and having considered the advice of Cassels and Stifel GMP, the Yamana Board approved the formation of the Yamana Special Committee comprised of Jane Sadowsky, Dino Titaro and Richard Graff (each an independent director), with Ms. Sadowsky serving as Chairperson. The meeting of the Yamana Board was adjourned to allow the Yamana Special Committee to meet in camera and to engage independent financial and legal advisors.

 

The Yamana Special Committee met via video conference together with representatives of Norton Rose Fulbright Canada LLP (“Norton Rose”), who was engaged as its legal advisor, and representatives of Scotiabank, who was engaged as its financial advisor. A discussion ensued regarding the role and responsibilities of the Yamana Special Committee the general duties of the members of the Yamana Special Committee, and the terms of the Alternative Proposal, following which the meeting was adjourned to allow Norton Rose the opportunity to communicate with counsel to Pan American and Agnico for the purpose of clarifying certain terms of the Alternative Proposal.

 

 88 

 

 

During the evening of October 23, 2022, the Yamana Special Committee reconvened at which time the draft mandate of the Yamana Special Committee was reviewed and approved, subject to approval by the Yamana Board. The Yamana Special Committee then received an update from its legal advisors on the terms of the Alternative Proposal and the requirements under the Gold Fields Arrangement Agreement for considering the Alternative Proposal and engaging in discussions with Pan American and Agnico with respect thereto. The Yamana Special Committee also received a presentation from Scotiabank regarding the strategic merits and risks associated with the Alternative Proposal and their preliminary views that the Alternative Proposal was financially superior to the Gold Fields Arrangement. After further discussion and having considered the advice of Scotiabank and Norton Rose, the Yamana Special Committee unanimously resolved to recommend that the Yamana Board determine that the Alternative Proposal would reasonably be expected to constitute a Yamana Superior Proposal (as defined in the Gold Fields Arrangement Agreement). The Yamana Special Committee provided a mandate to the Executive Chairman of Yamana and Yamana’s senior management authorizing them to discuss and seek clarification of the terms of the Alternative Proposal, enter into a confidentiality agreement and conduct due diligence. The Yamana Special Committee confirmed this mandate for Yamana’s senior management at various points throughout the engagement with Pan American and Agnico.

 

The Yamana Board reconvened later in the evening on October 23, 2022, with members of Yamana’s senior management as well as representatives of Cassels, Norton Rose and Scotiabank in attendance to receive the recommendation of the Yamana Special Committee. Ms. Sadowsky provided a summary of the work conducted by the Yamana Special Committee to consider the Alternative Proposal. Representatives of Scotiabank reviewed the highlights from the presentation which had been provided to the Yamana Special Committee for the benefit of the whole Yamana Board. After a discussion and taking into consideration the unanimous recommendation of the Yamana Special Committee, its own assessment of the Alternative Proposal and the Gold Fields Arrangement and the interests of Yamana Shareholders, and advice of its financial and legal advisors, the Yamana Board unanimously determined that the Alternative Proposal would reasonably be expected to constitute a Yamana Superior Proposal (as defined in the Gold Fields Arrangement Agreement).

 

On October 24, 2022, Yamana provided written notice to Gold Fields of the determination of the Yamana Board that the Alternative Proposal would reasonably be expected to constitute a Yamana Superior Proposal (as defined in the Gold Fields Arrangement Agreement). Later in the day on October 24, Yamana, Pan American and Agnico entered into the Confidentiality Agreement, following which Yamana provided written notice to Gold Fields that it had entered into the Confidentiality Agreement and intended to participate in discussions and negotiations with, and to provide access to confidential information concerning Yamana and its Subsidiaries to Pan American and Agnico.

 

On October 25, 2022, the Executive Chairman of Yamana and the Chief Executive Officer of Pan American had a telephone call to discuss due diligence and site visits. Yamana provided Pan American, Agnico and their respective advisors with access to a virtual data room the day prior containing fulsome material information regarding Yamana in order to facilitate legal, financial and technical due diligence. Pan American and Agnico also provided Yamana and its representatives with access to material information regarding Pan American and Agnico, respectively, in order to facilitate legal, financial and technical due diligence. Pan American and Agnico also delivered an initial draft of the Arrangement Agreement to Yamana for its review and comment.

 

On October 26, 2022, Yamana entered into amended and restated engagement letters with each of Stifel GMP and Canaccord Genuity expanding the scope of their respective appointments as financial advisors to include the proposed transaction with Pan American and Agnico.

 

On October 27, 2022, an initial draft of the Plan of Arrangement was provided to Yamana by Pan American and Agnico.

 

 89 

 

 

On October 28, 2022, on the direction of the Yamana Special Committee, the Executive Chairman of Yamana met with the Executive Chair and President & Chief Executive Officer of Agnico to discuss refinements and improvements to the Alternative Proposal, including the potential of Agnico agreeing to make an investment of up to US$150 million in Pan American Shares at Agnico’s discretion.

 

Between October 25 and October 30, 2022, representatives of Pan American’s senior management completed site visits at Yamana’s Cerro Moro mine and the MARA project in Argentina, the Minera Florida and El Peñon mines in Chile and the Jacobina mine in Brazil.

 

Additionally, between October 25 and November 2, 2022 counsel to Yamana and the Yamana Special Committee and counsel to Pan American and Agnico engaged in discussions and negotiations relating to the Alternative Proposal, including the Arrangement Agreement and the Arrangement.

 

On October 30, 2022 and again on October 31, 2022, the Yamana Special Committee met via video conference together with Yamana’s senior management and representatives of Scotiabank and Norton Rose to receive updates on the status of negotiations with respect to the Alternative Proposal and the work being completed by Scotiabank in connection with the evaluation of the Alternative Proposal, as well as the draft Arrangement Agreement and ancillary agreements.

 

On October 31, 2022, on the direction of the Yamana Special Committee, the Executive Chairman of Yamana met with the Chief Executive Officer of Pan American and later in the afternoon had a telephone call with Agnico’s senior management, to refine deal terms, including board and management representation.

 

Between October 31 and November 2, 2022, representatives of Yamana’s senior management completed site visits at Pan American’s Shahuindo property in Peru, the La Colorada property in Mexico and the Escobal property in Guatemala.

 

On November 1, 2022, the Yamana Special Committee met with Yamana’s senior management with representatives of Scotiabank and Norton Rose in attendance to receive an update on the status of negotiations with respect to the Alternative Proposal. At the request of the Yamana Special Committee, Yamana’s senior management also provided an overview of Pan American’s assets following site visits completed to date.

 

Following the meeting, on the direction of the Yamana Special Committee, the Executive Chairman of Yamana had a telephone call with the Chief Executive Officer of Pan American and subsequently had a telephone call with Agnico’s senior management, in order to clarify certain deal terms.

 

Later in the day on November 1, 2022, the Yamana Board met via video conference, initially in camera without other members of management present, to receive a preliminary report of the Yamana Special Committee on the status of negotiations with respect to the Alternative Proposal. Yamana’s senior management was invited to join the meeting to receive the update and provide any further information on due diligence or any further engagement with Pan American or Agnico.

 

On November 2, 2022, the Yamana Special Committee met via video conference with Yamana’s senior management and representatives of Scotiabank and Norton Rose to discuss the latest draft of the Arrangement Agreement received from Pan American and Agnico. The Yamana Special Committee also resolved to set up a technical due diligence call with Yamana’s technical experts to discuss the findings from the site visits to Pan American’s material operations.

 

On November 3, 2022, the Executive Chairman of Yamana held a conference call with the Chief Executive Officer of Pan American and the President & Chief Executive Officer of Agnico. The President & Chief Executive Officer of Agnico confirmed that Agnico would be willing to make an investment of up to US$150 million in Pan American Shares, at its discretion and subject to market conditions, the price of the Pan American Shares and applicable securities Laws and stock exchange requirements. The Parties also discussed board and management representation and integration between Pan American and Yamana on completion of the Arrangement.

 

 90 

 

 

Following the conference call, Yamana received a binding written proposal from Pan American and Agnico (the “Binding Proposal”), including the final Arrangement Agreement and other ancillary agreements executed by Pan American and Agnico. The Binding Proposal was conditional upon the Yamana Board having determined that the Binding Proposal constitutes a Yamana Superior Proposal (as defined in the Gold Fields Arrangement Agreement), Yamana having been and continuing to be in material compliance with its obligations under the Gold Fields Arrangement Agreement and Yamana having provided written notice to Gold Fields of the Yamana Board’s determination and intention to enter into a Permitted Acquisition Agreement (as defined in the Gold Fields Arrangement Agreement), being the Arrangement Agreement including providing Gold Fields with a copy thereof and of the ancillary agreements.

 

In the afternoon of November 3, 2022, the Yamana Special Committee met via video conference together with Yamana’s senior management and representatives of Scotiabank and Norton Rose. The Yamana Special Committee received a detailed update on discussions that occurred the previous day related to mining and technical due diligence. Norton Rose reported on the most recent revisions that had been made to the draft Arrangement Agreement and the Yamana Special Committee was provided with the opportunity to ask questions of Yamana’s senior management and of the legal and financial advisors. The Yamana Special Committee received a presentation from Scotiabank regarding, among other things, its financial analysis of the Binding Proposal. Following the presentation, the Yamana Special Committee resolved to reconvene following the resolution of certain final outstanding legal and commercial points.

 

Later in the afternoon of November 3, 2022, the Yamana Board met via video conference with Yamana’s senior management, together with representatives of Cassels, Stifel GMP, Norton Rose and Scotiabank, to review and consider the terms of the Binding Proposal. The Yamana Board received an update on the most recent revisions to the draft Arrangement Agreement and ancillary agreements and a summary of the outstanding terms to be settled between the parties. The Yamana Board also received a presentation from representatives of Stifel GMP regarding the terms of the Binding Proposal relative to the Gold Fields Arrangement and Stifel GMP confirmed their view that the Binding Proposal was financially superior relative to the Gold Fields Arrangement. The meeting of the Yamana Board was adjourned to permit the Yamana Special Committee to meet with its financial and legal advisors.

 

In the evening of November 3, 2022, the Yamana Special Committee met via video conference together with Yamana’s senior management and representatives of Scotiabank and Norton Rose, to discuss the final outstanding points in the Arrangement Agreement. Norton Rose reported on the most recent revisions that had been made to the draft Arrangement Agreement, following which Scotiabank provided its oral fairness opinion that, as of November 3, 2022, and subject to the assumptions, limitations, and qualifications set out therein, the Consideration is fair, from a financial point of view, to the Yamana Shareholders. Members of management were then excused from the meeting and the Yamana Special Committee met in camera in the absence of management. After discussion and consideration, including a review of the transaction terms, the fairness opinion of Scotiabank and other relevant matters, the Yamana Special Committee unanimously resolved to recommend that the Yamana Board determine that the Binding Proposal constituted a Yamana Superior Proposal (as defined in the Gold Fields Arrangement Agreement).

 

The Yamana Board reconvened later in the evening on November 3, 2022, with Yamana’s senior management, together with representatives of Cassels, Stifel GMP, Norton Rose and Scotiabank to receive the report of the Yamana Special Committee. Ms. Sadowsky provided a summary of the work conducted by the Yamana Special Committee to consider the Binding Proposal and representatives of Scotiabank provided a summary of the oral fairness opinion that was delivered to the Yamana Special Committee. The Yamana Board discussed several aspects of the Binding Proposal including the fact that the structure had been thoughtfully considered by various advisors including legal, tax and financial. The Yamana Board considered the Binding Proposal in light of the current market conditions, which had changed from the time of the announcement of the Gold Fields Arrangement, both in volatility and in sentiment. The Yamana Board also considered that the share exchange ratio between Yamana and Pan American and Yamana and Agnico was at the highest level it had been in years (and certainly since May 2022) and accordingly implied it was a favourable time for Yamana Shareholders to consider exchanging their Yamana Shares for shares of each of Pan American and Agnico. After discussion and taking into consideration the unanimous recommendation of the Yamana Special Committee, its own assessment of the Binding Proposal and the Gold Fields Arrangement and the interests of Yamana Shareholders, and advice of its financial and legal advisors, the Yamana Board unanimously determined that the Binding Proposal constituted a Yamana Superior Proposal (as defined in the Gold Fields Arrangement Agreement) and determined the value or range of values in financial terms that should be ascribed to the Pan American Share Consideration and the Agnico Share Consideration. Members of management were then excused from the meeting and the non-management directors met in camera in the absence of management.

 

 91 

 

 

Early in the morning on November 4, 2022, Pan American and Agnico provided an updated Binding Proposal reflecting certain clarifying revisions agreed to between the parties, and Yamana provided written notice to Gold Fields of the determination of the Yamana Board that the Binding Proposal constituted a Yamana Superior Proposal (as defined in the Gold Fields Arrangement Agreement) and of its intention to enter into a Permitted Acquisition Agreement (as defined in the Gold Fields Arrangement Agreement), being the Arrangement Agreement. Yamana advised Pan American and Agnico of the same, and before the open of markets on November 4, 2022, Yamana announced the determination of the Yamana Board that the Binding Proposal constitutes a Yamana Superior Proposal (as defined in the Gold Fields Arrangement Agreement) and that the five business day matching period had commenced during which Gold Fields had the right, but not the obligation, to propose to amend the terms of the Gold Fields Arrangement Agreement in order for the Binding Proposal to cease to be a Yamana Superior Proposal (as defined in the Gold Fields Arrangement Agreement).

 

On November 7, 2022, Yamana received written notice from Gold Fields confirming that Gold Fields did not intend to amend the Gold Fields Arrangement Agreement in response to the Binding Proposal and that it waived its right to match as set out in the Gold Fields Arrangement Agreement.

 

Later in the evening of November 7, 2022, the Yamana Special Committee met with Yamana’s senior management and representatives of Scotiabank and Norton Rose to receive an update on the recent developments with Gold Fields. Norton Rose advised upon the implications of Gold Fields’ waiver under the terms of the Gold Fields Arrangement Agreement, including that the Yamana Board was now entitled to make a Yamana Change in Recommendation (as defined in the Gold Fields Arrangement Agreement). Scotiabank provided its oral fairness opinion, which was subsequently confirmed by the delivery of a written opinion, that, as of November 7, 2022, and subject to the assumptions, limitations, and qualifications set out therein, the Consideration is fair, from a financial point of view, to the Yamana Shareholders. Members of management were then excused from the meeting and the Yamana Special Committee met in camera in the absence of management. After discussion and consideration, including a review of the transaction terms, the Yamana Fairness Opinion and other relevant matters, the Yamana Special Committee unanimously resolved to recommend that the Yamana Board make a Yamana Change in Recommendation (as defined in the Gold Fields Arrangement Agreement) and determine that the Arrangement and entering into the Arrangement Agreement are in the best interest of Yamana and that the Yamana Board authorize Yamana to enter into the Arrangement Agreement and all related agreements and recommend that Yamana Shareholders vote in favour of the Arrangement Resolution.

 

Following the meeting of the Yamana Special Committee, the Yamana Board met to receive the report of the Yamana Special Committee and to receive advice from its financial and legal advisors. Ms. Sadowsky provided a summary of the work conducted by the Yamana Special Committee to consider the Binding Proposal and the unanimous recommendation of the Yamana Special Committee. The Yamana Board received the oral fairness opinion from Scotiabank, which was subsequently confirmed by delivery of a written opinion, that, as of November 7, 2022, and subject to the assumptions, limitations, and qualifications set out therein, the Consideration is fair, from a financial point of view, to the Yamana Shareholders. The Yamana Board was provided with the opportunity to ask questions of Yamana’s senior management and of its legal and financial advisors. After a discussion and taking into consideration the unanimous recommendation of the Yamana Special Committee, its own assessment of the transaction and the interests of Yamana Shareholders, the Yamana Fairness Opinion and other relevant matters, the Yamana Board unanimously determined that the Arrangement and entering into the Arrangement Agreement are in the best interest of Yamana, authorized Yamana to enter into the Arrangement Agreement and all related agreements and recommend that Yamana Shareholders vote in favour of the Arrangement.

 

 92 

 

 

Early in the morning on November 8, 2022, Yamana provided written notice to Gold Fields that the Yamana Board had made a Yamana Change in Recommendation (as defined in the Gold Fields Arrangement Agreement) and entered into a Permitted Acquisition Agreement (as defined in the Gold Fields Arrangement Agreement), being the Arrangement Agreement. Before the open of markets on November 8, 2022, Yamana announced the determination of the Yamana Board and the execution of the Arrangement Agreement.

 

Later in the day on November 8, 2022, Gold Fields provided written notice to Yamana that Gold Fields was terminating the Gold Fields Arrangement Agreement in accordance with its terms and noting that as a result Yamana was required to pay the termination fee to Gold Fields in accordance with the Gold Fields Arrangement Agreement.

 

The Gold Fields Arrangement Agreement having been terminated, Yamana, Pan American and Agnico agreed that the Activation Time under the Arrangement Agreement occurred concurrently with such termination and that the Arrangement Agreement became effective in accordance with its terms. Each of Yamana, Pan American and Agnico confirmed the same via press release after the close of markets on November 8, 2022.

 

Recommendation of the Yamana Special Committee

 

The Yamana Special Committee, having undertaken a thorough review of, and having carefully considered the terms of the Arrangement and the Arrangement Agreement, and after consulting with management of Yamana and financial and legal advisors, including having received and taken into account the Yamana Fairness Opinion and such other matters as it considered necessary and relevant, including the factors set out below under the heading “– Reasons for the Recommendation of the Yamana Special Committee and the Yamana Board”, unanimously recommended to the Yamana Board that the Yamana Board determine that the Arrangement and entering into the Arrangement Agreement are in the best interest of Yamana and that the Yamana Board authorize Yamana to enter into the Arrangement Agreement and all related agreements and recommend that Yamana Shareholders vote in favour of the Arrangement Resolution.

 

Recommendation of the Yamana Board

 

The Yamana Board, having undertaken a thorough review of, and having carefully considered the terms of the Arrangement and the Arrangement Agreement, and after consultation with representatives of Yamana’s senior management, its financial and legal advisors, having received the unanimous recommendation of the Yamana Special Committee, and having received and taken into account the Yamana Fairness Opinion and such other matters as it considered necessary and relevant, including the factors set out below under the heading “– Reasons for the Recommendation of the Yamana Special Committee and the Yamana Board”, unanimously determined that the Arrangement and entering into the Arrangement Agreement are in the best interest of Yamana and authorized Yamana to enter into the Arrangement Agreement and all related agreements. The Yamana Board unanimously recommends that Yamana Shareholders vote IN FAVOUR of the Arrangement Resolution.

 

The Yamana Board unanimously recommends that Yamana Shareholders vote IN FAVOUR of the Arrangement Resolution.

 

All of the Yamana Supporting Shareholders are required to vote all of their Yamana Shares in favour of the Arrangement Resolution, subject to the terms of the Arrangement Agreement and the Yamana Support Agreements.

 

Reasons for the Recommendation of the Yamana Special Committee and the Yamana Board

 

In reaching its conclusion and formulating its unanimous recommendation, the Yamana Special Committee and the Yamana Board consulted with Yamana’s senior management and their respective legal and financial advisors. The Yamana Special Committee and the Yamana Board also reviewed a significant amount of financial and technical information relating to Yamana, Pan American and Agnico and considered a number of factors, including those listed below. The following is a summary of the principal reasons for the unanimous recommendations of the Yamana Special Committee and the Yamana Board that Yamana Shareholders vote IN FAVOUR of the Arrangement Resolution.

 

 93 

 

 

·Significant premium. The Consideration represents a 23% premium to the closing price of the Yamana Shares as of November 3, 2022, the last trading day prior to the submission of the Binding Proposal, and a 15% premium to the implied price of the Gold Fields offer, based on the closing price of the Gold Fields shares as of November 3, 2022.

 

·Significant cash consideration. The Consideration includes a cash component of US$1 billion, or US$1.0406 per Yamana Share, which provides immediate and certain value to Yamana Shareholders amidst heightened capital markets volatility and fluctuating share prices.

 

·Realization of inherent value and future upside potential. The value of the Consideration exceeds Yamana’s market value on November 3, 2022, and better reflects the inherent value of its portfolio. In addition to representing a compelling value as at November 3, 2022, the Consideration offers Yamana Shareholders the opportunity to benefit from potential appreciation in the share prices of Pan American and Agnico due to the positive impacts of the Arrangement on their respective businesses, including potential synergies.

 

·Crystallization of material share price outperformance and historically high exchange ratio versus each of Agnico and Pan American. The exchange ratio between the Yamana Shares, on the one hand, and each of the Pan American Shares and Agnico Shares, on the other hand, as at November 3, 2022 reflects a significantly higher value than such ratios in May 2022 prior to the announcement of the Gold Fields Arrangement or at the beginning of 2022. The Agnico Share exchange ratio has risen by 33% year-to-date, by 10% since mid-May 2022, and is 29% above its three-year average. Similarly, the Pan American Share exchange ratio has increased by 101% year-to-date, by 49% since mid-May, and stands 78% above its three-year average. Yamana Shareholders will benefit from these material improvements in the exchange ratios through increased pro forma ownership in each company and will be positioned to further benefit as Agnico and Pan American realize superior value and synergies from the transaction.

 

·Exposure to a world-class portfolio through retained ownership in Agnico. Upon completion of the Arrangement, it is anticipated that Yamana Shareholders will own approximately 7.41% of pro forma Agnico. Agnico owns and operates a portfolio of mines in the leading mining jurisdictions of Canada, Australia, Finland, and Mexico with over 80% of its production coming from Canada. Yamana Shareholders will continue to have exposure to Canadian Malartic and benefit from the consolidation of ownership, including substantial expected future additional mill capacity at the mine that Agnico is uniquely positioned to fill given its extensive operations, exploration properties and land position. In addition, Agnico will show an immediate and meaningful growth in production and is well positioned to develop, build, and operate both the Odyssey underground and Wasamac development projects given its extensive mine building experience and expertise, and ability to leverage existing infrastructure in the Abitibi region.

 

·Exposure to a market-leading Latin American platform through retained ownership in Pan American. Upon completion of the Arrangement, it is anticipated that Yamana Shareholders will own approximately 42.7% of the Combined Company, which  would have significantly increased the production profile in 2022 to 1.4 million GEO per year comprised of 25.5 million ounces of silver and 1.08 million ounces of gold representing an approximate 90% increase in GEO production and approximately 60% and 100% growth in silver and gold production, based on 2022 guidance, excluding Manantial Espejo (guidance and forward-looking GEO assumes gold ounces plus the equivalent of silver ounces using a ratio of 72.55). Yamana Shareholders will benefit from the extensive experience of the combined management team in Latin America and from exposure to an enlarged portfolio with a diversified operating footprint consisting of 11 operating mines across mining friendly jurisdictions in the Americas. In addition, Yamana Shareholders will be positioned to benefit from the potential re-opening of the Escobal silver mine, one of the world’s premier silver deposits, as well as the growth from the advancement of the La Colorada Skarn project.

 

 94 

 

 

·Strategic and operational synergies. The Arrangement provides the opportunity to unlock significant strategic and operational synergies through the streamlining and optimization of corporate and joint venture costs, leveraging existing assets and infrastructure, and the application of best practices and innovation across sites as Yamana’s Canadian platform is integrated into Agnico’s portfolio and through the combination of Yamana’s and Pan American’s Latin American portfolios. Yamana Shareholders will have exposure to these synergies through their retained ownership in each of Pan American and Agnico.

 

·Management strength and integration. The Combined Company will benefit from the integration of mining and business leadership with extensive experience operating in the Americas, bringing together the proven strengths and capabilities and focus on delivering increased value to shareholders. Furthermore, three independent directors of Yamana will be appointed to the Pan American Board, with the objective of providing business continuity, mitigation of integration risks and supporting value delivery to shareholders.

 

·Leading ESG credentials and complementary cultures. Yamana’s industry leading environmental, social and governance (“ESG”) credentials and results are expected to contribute to the relative improvement of the Combined Company’s performance and improve its ESG positioning among peers. In particular, Yamana’s climate action strategy and its leading efforts in emissions reduction are expected to support and advance the greenhouse gas emissions intensity performance in the Combined Company. Furthermore, each of Yamana, Pan American and Agnico are disciplined, value-driven companies focused on operational delivery, prudent capital allocation, portfolio management, responsible growth and strong shareholder returns, all of which are underpinned by a strong focus on people, particularly their safety, and upholding leading sustainability and ESG performance.

 

·Business climate and review of strategic alternatives. The Yamana Board has periodically reviewed a range of strategic alternatives for creating shareholder value, and in the ordinary course of business Yamana has had regular engagement with several industry peers in that regard, including other potential transactions. For a summary of the engagements since early 2020 see “The Arrangement – Background to the Arrangement” in the Circular. After consultation on the Arrangement with its financial and legal advisors, and after review of the current and prospective business climate in the precious metals mining industry and other strategic opportunities reasonably available to Yamana, including continuation as an independent enterprise, potential acquisitions and various combinations of Yamana or its mineral properties by way of joint venture or otherwise, in each case taking into account the potential benefits, risks and uncertainties associated with those other opportunities, the Yamana Board believes that following completion of the Arrangement, pro forma Pan American and pro forma Agnico will be better positioned to pursue a growth and value maximizing strategy than Yamana as a standalone entity.

 

·Value proposition. Yamana has consistently maintained, in the course of market activities and in the evaluation of business combinations, as more particularly described elsewhere in the Circular, that the quality of its assets supports considerably more value and upside than ascribed to those assets as reflected in the price of Yamana Shares. Through this process, each of Gold Fields, Agnico and Pan American reviewed detailed technical information on all Yamana’s operating mines and major development projects, including technical reports, life of mine and strategic life of mine plans and exploration data. In agreeing to pay a premium, Gold Fields recognized the Yamana Board view that Yamana had more value than was reflected in the price of Yamana Shares and the subsequent superior proposal from Agnico and Pan American that resulted in the Arrangement provided further confirmation of that value in a competitive environment.

 

 95 

 

 

·Canadian Tax Treatment. Under the terms of the Gold Fields Arrangement Agreement, Yamana Shareholders who are resident in Canada could not take advantage of any Canadian tax deferral on the disposition of their Yamana Shares to Gold Fields. In contrast, under the New Offer, the exchange of each outstanding Yamana Share (other than a Dissent Share) for a Class A Share, the Agnico Share Consideration and the Cash Consideration is intended to qualify as a tax-deferred reorganization and should not give rise to any deemed dividend under the Arrangement based on Yamana’s expectation that the aggregate fair market value of the Agnico Shares and Cash Consideration (including any cash in lieu of a fractional Agnico Share) distributed to Yamana Shareholders on the exchange should not exceed the aggregate “paid-up capital” (as determined for purposes of the Tax Act) of all of the issued and outstanding Yamana Shares immediately before the exchange. In addition, Yamana Shareholders who are resident in Canada will only realize a capital gain on the exchange if, and to the extent that, the aggregate fair market value of the Agnico Shares and Cash Consideration (including any cash in lieu of a fractional Agnico Share) received exceeds the adjusted cost base of such Yamana Shareholder’s Yamana Shares immediately before the exchange. Further, the exchange of Yamana Shares for Pan American Shares pursuant to the Arrangement will generally be a tax deferred transaction for Yamana Shareholders who are resident in Canada and who do not choose to report a capital gain on their Canadian federal income tax return in respect of the Arrangement. The tax consequences of the Arrangement are discussed under the heading “Certain Income Tax Considerations – Certain Canadian Federal Income Tax Considerations”.

 

·Ability to close with low execution risk. Each of Yamana, Pan American, and Agnico is committed to completing the Arrangement, has a proven track record of completing deals, and anticipates that the Parties will be able to complete the Arrangement prior to the Outside Date. The Arrangement requires approval by at least two-thirds of the votes cast by Yamana Shareholders present or represented by proxy and entitled to vote at the Yamana Meeting, approval by at least a simple majority of Pan American Shareholders present or represented by proxy and entitled to vote at the Pan American Meeting and is not subject to review under the Investment Canada Act.

 

·Participation in dividend distributions. Yamana Shareholders are expected to benefit from both Agnico and Pan American’s practice of returning value to shareholders in the form of quarterly dividends.

 

·Other factors. The Yamana Board also carefully considered the Arrangement with reference to current economic, industry and market trends affecting each of Yamana, Pan American and Agnico, information concerning mineral reserves and mineral resources, business, operations, properties, assets, financial condition, operating results and prospects of each of Yamana, Pan American and Agnico and the historical trading prices of the Yamana Shares, the Pan American Shares and the Agnico Shares, taking into account the results of Yamana’s due diligence review of Pan American, Agnico and their respective properties.

 

In making its determinations and recommendations, the Yamana Special Committee and the Yamana Board also observed that a number of procedural safeguards were in place and are present to permit the Yamana Board to represent the interests of Yamana, Yamana Shareholders and other Yamana stakeholders. These procedural safeguards include, among others:

 

·Yamana Fairness Opinion. The Yamana Special Committee and the Yamana Board received the Yamana Fairness Opinion from Scotiabank to the effect that, as of November 7, 2022, and based upon the assumptions, limitations and qualifications set out therein, the Consideration is fair, from a financial point of view, to the Yamana Shareholders. See “Schedule C – Yamana Fairness Opinion”.

 

 96 

 

 

·Advice from Stifel GMP and Canaccord Genuity. Yamana engaged Stifel GMP and Canaccord Genuity to provide financial advice in connection with the Arrangement and the Yamana Board relied on such advice in its assessment of the Arrangement.

 

·Support of boards and management teams. All of the directors and executive management of each of Yamana and Pan American have entered into support and voting agreements pursuant to which they have agreed, among other things, to vote in favour of, in the case of Yamana, the Arrangement Resolution, and in the case of Pan American, the Pan American Resolution.

 

·Role of Yamana Special Committee. The Arrangement was reviewed and evaluated by the Yamana Special Committee, comprised of members of the Yamana Board who are independent of Gold Fields, Pan American and Agnico and of management of Yamana. Following consultation with its legal and financial advisor and receipt of the Scotiabank Fairness Opinion, the Yamana Special Committee unanimously recommended to the Yamana Board that the Yamana Board determine that the Arrangement and entering into the Arrangement Agreement are in the best interest of Yamana and that the Yamana Board authorize Yamana to enter into the Arrangement Agreement and all related agreements and recommend that Yamana Shareholders vote in favour of the Arrangement Resolution.

 

·Arm’s length transaction. The terms of the Arrangement Agreement and the Arrangement are the result of a comprehensive negotiation process, undertaken with the oversight and participation of the Yamana Special Committee, as well as legal counsel to the Yamana Special Committee, Yamana’s legal counsel and financial advisors.

 

·Conduct of Yamana’s business. The Yamana Special Committee and the Yamana Board believe that the restrictions imposed on Yamana’s business and operations during the pendency of the Arrangement are reasonable and not unduly burdensome.

 

·Ability to respond to superior proposals. Notwithstanding the limitations contained in the Arrangement Agreement on Yamana’s ability to solicit interest from third parties, the Arrangement Agreement allows the Yamana Board, in the exercise of its fiduciary duties, to engage in discussions or negotiations regarding any unsolicited competing proposal for Yamana received prior to the Yamana Meeting that constitutes or would reasonably be expected to constitute a Yamana Superior Proposal.

 

·Reasonable Break Fee. The amount of the Yamana Termination Fee, being US$250 million, payable under certain circumstances, is within the range of termination fees that are considered reasonable for a transaction of the nature and size of the Arrangement.

 

·Shareholder Approval. The Arrangement Resolution must be approved by the affirmative vote of at least two-thirds of the votes cast by Yamana Shareholders present in person (or online) or represented by proxy and entitled to vote at the Yamana Meeting.

 

·Court Approvals. The Arrangement is subject to a judicial determination of the Court that the Arrangement is fair and reasonable, both procedurally and substantively, to Yamana Shareholders and other affected Persons.

 

·Dissent Rights. Registered Yamana Shareholders entitled to vote at the Yamana Meeting have the ability to exercise Dissent Rights and to receive fair value for their Yamana Shares as determined by the Court, subject to strict compliance with all requirements applicable to the exercise of Dissent Rights.

 

·Stakeholder Analysis. The terms of the Arrangement Agreement treat all stakeholders of Yamana equitably and fairly.

 

 97 

 

 

The Yamana Special Committee and the Yamana Board also considered a variety of risks and other potentially negative factors relating to the Arrangement including those matters described under the heading “Risk Factors”. The Yamana Special Committee and the Yamana Board believed that overall, the anticipated benefits of the Arrangement to Yamana outweighed these risks and negative factors.

 

The information and factors described above and considered by the Yamana Special Committee and the Yamana Board in reaching their determinations and recommendations are not intended to be exhaustive, but include material factors considered by the Yamana Special Committee and the Yamana Board. In view of the wide variety of factors considered in connection with the evaluation of the Arrangement and the complexity of these matters, the Yamana Special Committee and the Yamana Board did not find it practicable to, and therefore did not, quantify, rank or otherwise assign relative weights to these factors. In addition, individual members of the Yamana Special Committee and the Yamana Board may have given different weight to different factors.

 

Yamana Fairness Opinion

 

Pursuant to the terms of an engagement letter dated October 23, 2022, Scotiabank was retained by Yamana to provide financial advice to the Yamana Special Committee and the Yamana Board in considering the Arrangement, including providing an opinion to the Yamana Special Committee and the Yamana Board as to the fairness, from a financial point of view, of the Consideration to be received by the Yamana Shareholders pursuant to the Arrangement.

 

At the meetings of the Yamana Special Committee and the Yamana Board held on November 7, 2022, to consider the Arrangement, Scotiabank orally delivered its opinion to the Yamana Special Committee and the Yamana Board, respectively, which was subsequently confirmed in writing. The Yamana Fairness Opinion concluded that, as at the date thereof, and based upon and subject to the assumptions, limitations and qualifications set out therein, the Consideration to be received by the Yamana Shareholders pursuant to the Arrangement is fair from a financial point of view to the Yamana Shareholders.

 

The full text of the Yamana Fairness Opinion, setting out, among other things, the scope of review, the assumptions made, matters considered and limitations and qualifications on the review undertaken in connection with the Yamana Fairness Opinion, is attached to this Circular as Schedule C. This summary of the Yamana Fairness Opinion is qualified in its entirety by the full text of the opinion.

 

Pursuant to the terms of the engagement letter, Yamana agreed to pay Scotiabank a fixed fee for its services as financial advisor, including rendering the Yamana Fairness Opinion (which is not contingent on the conclusions reached in the Yamana Fairness Opinion or the completion of the Arrangement). Yamana has also agreed to reimburse Scotiabank for its reasonable out-of-pocket expenses incurred in connection with its services and to indemnify Scotiabank against certain liabilities that might arise out of its engagement. The payment of expenses is not dependent on the completion of the Arrangement.

 

The Yamana Fairness Opinion was prepared at the request of and for the information and assistance of the Yamana Special Committee and the Yamana Board in connection with its consideration of the Arrangement. The Yamana Fairness Opinion is not a recommendation to any Yamana Shareholders as to how to vote or act on the Arrangement Resolution or any other matter relating to the Arrangement or a recommendation to the Yamana Board to enter into the Arrangement Agreement. The Yamana Fairness Opinion does not address any other aspect of the Arrangement and no opinion or view was expressed as to the relative merits of the Arrangement in comparison to other strategies or transactions that might be available to Yamana or in which Yamana might engage or as to the underlying business decision of Yamana to effect the Arrangement. The Yamana Fairness Opinion is only one factor that was taken into consideration by the Yamana Board in approving the terms of the Arrangement Agreement and all related agreements and making its unanimous determination that the Arrangement is in the best interests of Yamana and unanimous recommendation that the Yamana Shareholders vote in favour of the Arrangement Resolution. See “The Arrangement – Reasons for the Recommendation of the Yamana Special Committee and the Yamana Board”. Neither Scotiabank nor any of its affiliates is an insider, associate or affiliate (as such terms are defined in applicable Canadian Securities Laws) of Yamana, Pan American or Agnico or any of their respective affiliates.

 

 98 

 

 

The Yamana Board urges Yamana Shareholders to review the Yamana Fairness Opinion carefully and in its entirety. See “Schedule C – Yamana Fairness Opinion”.

 

Principal Steps of the Arrangement

 

The following description of the Plan of Arrangement is qualified in its entirety by reference to the full text of the Plan of Arrangement, which is attached to this Circular as Schedule B.

 

If the Arrangement Resolution is approved at the Yamana Meeting, the Pan American Resolution is approved at the Pan American Meeting, the Final Order approving the Arrangement is issued by the Court and the other applicable conditions to the completion of the Arrangement are satisfied or waived, the Arrangement will take effect commencing at the Effective Time, which is expected to be at 12:01 a.m. (Toronto time) on the Effective Date, which is expected to occur in the first quarter of 2023. Commencing and effective as at the Effective Time, each of the events set out below will occur and will be deemed to occur sequentially in the following order without any further authorization, act or formality on the part of any Person, unless stated otherwise:

 

·Pan American will lend to Yamana on a non-interest bearing demand basis, an amount equal to the Dissent and RSU Loan Amount, and each Dissent Share held by a Dissenting Shareholder will be transferred and assigned by the holder thereof (free and clear of all Liens) to Yamana for a debt claim against Yamana for the amount therefor determined under the Plan of Arrangement, and: (a) the name of such Dissenting Shareholder will be removed from the register of Yamana Shareholders maintained on behalf of Yamana and such Dissent Share will be cancelled and cease to be outstanding, and (b) such Dissenting Shareholder will cease to be the holder of such Dissent Share or to have any rights as a Yamana Shareholder other than the right to be paid the fair value for such Dissent Share as set out in the Plan of Arrangement;

 

·the transactions contemplated by the Conveyance Agreement will become effective and pursuant thereto, Yamana will assign and transfer to Agnico a 100% legal and beneficial interest in, and good and marketable title to, all Canadian Assets, free and clear of all Liens other than Permitted Liens, and as consideration for the Canadian Assets, Agnico will assume the Canadian Liabilities, issue the Agnico Payment Shares, and pay cash equal to the aggregate of the Cash Consideration multiplied by the number of Yamana Shares (other than Dissent Shares), the Fractional Share Amount and the Dissent Amount to Yamana, and: (a) Yamana will be the holder of the Agnico Shares so issued (free and clear of all Liens) and the register of shareholders of Agnico maintained by or on behalf of Agnico will be revised accordingly, and (b) Agnico will add an amount to the stated capital in respect of the Agnico Shares equal to the aggregate Agnico Share Value multiplied by the number of Agnico Payment Shares;

 

·in the course of a reorganization of Yamana’s share capital in accordance with section 86 of the Tax Act, the authorized share capital of Yamana will be amended by the creation of an unlimited number of Class A Shares, and immediately thereafter each Yamana Share held by a Yamana Shareholder (other than a Dissenting Shareholder) will be exchanged for: (a) one Class A Share; (b) the Agnico Share Consideration delivered by Yamana; and (c) an amount of cash delivered by Yamana equal to the Cash Consideration. In connection with the foregoing reorganization of the share capital and the share exchanges: (i) each Yamana Shareholder will cease to be the holder of each such Yamana Share and the name of such Yamana Shareholder will be removed from the register of Yamana Shareholders maintained on behalf of Yamana, (ii) the Yamana Shares exchanged will be cancelled and the stated capital in respect of the Yamana Shares will be nil, (iii) Yamana will cease to be the holder of the Agnico Shares and the name of Yamana will be removed from the register of shareholders of Agnico maintained on behalf of Agnico, (iv) Yamana will be deemed to have executed and delivered all consents, releases, assignments and waivers, statutory or otherwise, required to transfer and assign each such Agnico Share, (v) each Yamana Shareholder will be deemed to be the holder of the Class A Shares for which the Yamana Shareholder’s Yamana Shares were exchanged in accordance with the Plan of Arrangement (in each case, free and clear of any Liens) and such Yamana Shareholder will be entered in the register of Yamana Shareholders maintained on behalf of Yamana, as the holder of such Class A Shares, (vi) each Yamana Shareholder will be deemed to be the holder of the Agnico Shares for which the Yamana Shareholder’s Yamana Shares were exchanged in accordance with the Plan of Arrangement (in each case, free and clear of any Liens) and such Yamana Shareholder will be entered in the register of shareholders of Agnico maintained on behalf of Agnico, as the holder of such Agnico Shares, and (vii) there will be added to the stated capital in respect of the Class A Shares an amount equal to the Pan American Share Value multiplied by the number of Pan American Shares that the Yamana Shareholders are entitled to receive pursuant to the Plan of Arrangement;

 

 99 

 

 

·each Class A Share will be transferred to Pan American (free and clear of any Liens) in exchange for the Pan American Share Consideration delivered by Pan American, and: (a) the holders of the Class A Shares will cease to be the holder of each such Class A Share and the name of such holder will be removed from the register of Yamana Shareholders maintained on behalf of Yamana; (b) the holders of the Class A Shares will be deemed to have executed and delivered all consents, releases, assignments and waivers, statutory or otherwise, required to transfer and assign each such Class A Share; (c) Pan American will be the holder of the Class A Shares (free and clear of all Liens) and the register of Yamana Shareholders maintained on behalf of Yamana will be revised accordingly; (d) the holders of the Class A Shares will be the holders of the Pan American Shares so issued (free and clear of all Liens) and the register of shareholders of Pan American maintained on behalf of Pan American will be revised accordingly; and (e) Pan American will add an amount to its share capital in respect of the Pan American Shares equal to the aggregate Pan American Share Value multiplied by the number of Pan American Shares so issued;

 

·each outstanding Yamana RSU (whether vested or unvested) will vest in accordance with the terms of the Yamana RSU Plan and will be transferred by the holder thereof to Yamana in exchange for a cash payment from Yamana equal to the VWAP of one Yamana Share on the TSX during the five trading days prior to the Effective Date, less applicable withholdings, using the remaining funds from the Dissent and RSU Loan not paid to Dissenting Shareholders in accordance with the Plan of Arrangement, and each such Yamana RSU will be immediately cancelled and (a) the holders of such Yamana RSUs will cease to be holders thereof and to have any rights as holders of such Yamana RSUs, other than the right to receive the consideration to which they are entitled in accordance with the Plan of Arrangement, (b) such holders’ names will be removed from the register of Yamana RSUs maintained on behalf of Yamana, and (c) all agreements relating to the Yamana RSUs will be terminated and will be of no further force and effect;

 

·each outstanding Yamana PSU will be transferred by the holder thereof to Yamana in exchange for a cash payment from Yamana equal to the VWAP of one Yamana Share on the TSX during the five trading days prior to the Effective Date multiplied by the applicable Multiplier (as defined in the Yamana PSU Plan), to be determined on the Effective Date, less applicable withholdings, and each such Yamana PSU will be immediately cancelled and (a) the holders of such Yamana PSU will cease to be holders thereof and to have any rights as holders of such Yamana PSUs, other than the right to receive the consideration to which they are entitled in accordance with the Plan of Arrangement, (b) such holders’ names will be removed from the register of Yamana PSUs maintained on behalf of Yamana, and (c) all agreements relating to the Yamana PSUs will be terminated and will be of no further force and effect;

 

·each outstanding Yamana DSU will be transferred by the holder thereof to Yamana in exchange for a cash payment from Yamana equal to the VWAP of one Yamana Share on the TSX during the five trading days prior to the Effective Date, less applicable withholdings, and each such Yamana DSU will be immediately cancelled and (a) the holders of such Yamana DSUs will cease to be holders thereof and to have any rights as holders of such Yamana DSUs, other than the right to receive the consideration to which they are entitled in accordance with the Plan of Arrangement, (b) such holders’ names will be removed from the register of Yamana DSUs maintained on behalf of Yamana, and (c) all agreements relating to the Yamana DSUs will be terminated and will be of no further force and effect;

 

 100 

 

 

·the authorized share capital of Yamana will be amended by: (a) eliminating the Yamana Shares; and (b) changing the identifying name of the issued and unissued Class A Shares from “Class A common share” to “common share” and amending the special right and restrictions attached to those shares to provide the holders thereof with one vote in respect of each share held, and the articles of Yamana will be deemed to be amended accordingly; and

 

·Pan American will make a capital contribution to Yamana by capitalizing the Dissent and RSU Loan, and the Dissent and RSU Loan will be cancelled and extinguished.

 

If completed, the Arrangement will result in the issuance, at the Effective Time, of the Consideration, being US$1.0406 in cash from Agnico, 0.1598 of a Pan American Share and 0.0376 of an Agnico Share for each Yamana Share held at the Effective Time. Former Yamana Shareholders and Former Pan American Shareholders are expected to own approximately 42.4% and 57.6%, respectively, of the Pan American Shares in the Combined Company immediately following completion of the Arrangement (on a non-diluted basis), in each case based on the number of Yamana Shares and Pan American Shares issued and outstanding as of November 4, 2022. Former Yamana Shareholders and Agnico Shareholders prior to the Effective Time are expected to own approximately 7.41% and 92.59%, respectively, of the Agnico Shares immediately following completion of the Arrangement (on a non-diluted basis), in each case based on the number of Yamana Shares and Agnico Shares issued and outstanding as of November 4, 2022.

 

All Consideration Shares issued pursuant to the Arrangement will be, and will be deemed to be, validly issued and outstanding as fully paid and non-assessable.

 

Timing for Completion of the Arrangement

 

Subject to the provisions of the Arrangement Agreement, the Arrangement will become effective at the Effective Time on the Effective Date, being the date on which all of the conditions to completion of the Arrangement as set out in the Arrangement Agreement (excluding any conditions that, by their terms, cannot be satisfied until the Effective Date, but subject to the satisfaction or waiver of those conditions) have been satisfied or waived in accordance with the Arrangement Agreement, all documents agreed to be delivered thereunder have been delivered to the satisfaction of the recipient, acting reasonably, and the Certificate of Arrangement has been issued by the Director.

 

The Effective Date will be the date upon which Yamana, Pan American and Agnico agree in writing, or in the absence of such agreement, five Business Days following the satisfaction or waiver of all conditions to completion of the Arrangement as set out in the Arrangement Agreement (excluding any conditions that, by their terms, cannot be satisfied until the Effective Date, but subject to the satisfaction or waiver of those conditions). If the Yamana Meeting and Pan American Meeting are held as scheduled and are not adjourned and/or postponed, the Yamana Shareholder Approval is obtained and the Pan American Shareholder Approval is obtained, it is expected that the Court hearing in respect of the Final Order will take place on or about February 6, 2023. If the Final Order is obtained in a form and substance satisfactory to Yamana, Pan American and Agnico, and all other conditions set forth in the Arrangement Agreement are satisfied or waived by the applicable Party, the Parties expect the Effective Date to occur in the first quarter of 2023 following the receipt of all required Regulatory Approvals and consents; however, it is not possible at this time to state with certainty when the Effective Date will occur as completion of the Arrangement may be delayed beyond this date if the conditions to completion of the Arrangement cannot be met on a timely basis. Subject to certain limitations, each Party may terminate the Arrangement Agreement if the Arrangement is not consummated by the Outside Date, which date can be unilaterally extended by a Party for up to an additional 60 days (in five to 15-day increments) if the only unsatisfied condition is the receipt of all Key Regulatory Approvals, or extended by mutual agreement of the Parties.

 

 101 

 

 

Although the objective of Yamana, Pan American and Agnico is to have the Effective Date occur as soon as possible after the Yamana Meeting and the Pan American Meeting, the Effective Date could be delayed for a number of reasons, including, but not limited to, an objection before the Court at the hearing of the application for the Final Order or any delay in obtaining any required Regulatory Approvals or clearances, including the Key Regulatory Approvals, that remain outstanding. Yamana, Pan American and Agnico may determine not to complete the Arrangement without prior notice to or action on the part of, Yamana Shareholders or Pan American Shareholders. See “Transaction Agreements – The Arrangement Agreement – Termination of the Arrangement Agreement”.

 

Treatment of Long-Term Incentives/Convertible Securities

 

At the Effective Time, on the terms and subject to the conditions of the Arrangement Agreement, each Yamana RSU, Yamana PSU and Yamana DSU will be transferred to Yamana in exchange for a cash payment from Yamana, less any required withholdings, in accordance with the terms of the Plan of Arrangement. See “– Principal Steps of the Arrangement” above.

 

Procedure for Exchange of Yamana Shares for Consideration and Letter of Transmittal

 

Yamana, Pan American and Agnico have appointed Computershare Investor Services Inc. to act as Depositary to handle the exchange of Yamana Shares for the Consideration Shares and delivery of the Cash Consideration. Following receipt of the Final Order and on the day immediately prior to the Effective Date, Pan American will deliver or cause to be delivered to the Depositary in escrow (i) an irrevocable treasury direction regarding the issuance of the aggregate number of Pan American Shares issuable under the Arrangement and (ii) cash equal to the amount to be paid to Registered Yamana Shareholders in lieu of fractional Pan American Shares and Agnico will deliver or cause to be delivered to the Depositary in escrow (i) an irrevocable treasury direction regarding the issuance of the aggregate number of Agnico Shares issuable under the Arrangement and (ii) cash equal to the aggregate Cash Consideration multiplied by the number of Yamana Shares (other than Dissent Shares) and the Fractional Share Amount, which Pan American Shares, Agnico Shares and cash will be held by the Depositary as agent and nominee for such Former Yamana Shareholders for distribution to such Former Yamana Shareholders in accordance with the Plan of Arrangement.

 

A Letter of Transmittal has been mailed, together with this Circular, to each Person who was a Registered Yamana Shareholder on the Record Date. Yamana has enclosed a return envelope with the Yamana Meeting Materials in order to assist Registered Yamana Shareholders with returning their Letter of Transmittal and related documents to the Depositary. The Letter of Transmittal is only for use by Registered Yamana Shareholders. Holders of Yamana Depositary Interests will not be provided with, and will not need to submit, a Letter of Transmittal. The Letter of Transmittal will also be available under Yamana’s issuer profile on SEDAR at www.sedar.com and on EDGAR at www.sec.gov and on Yamana’s website at www.yamana.com. Additional copies of the Letter of Transmittal will also be available by contacting the Depositary at 1-800-564-6253 or toll free in North America at 1-514-982-7555 or by email at: corporateactions@computershare.com.

 

Registered Yamana Shareholders

 

In order to receive the Consideration that a Registered Yamana Shareholder (other than a Dissenting Shareholder) is entitled to receive under the Arrangement together with any cash in lieu of fractional Consideration Shares, each Registered Yamana Shareholder must deposit a properly completed and duly executed Letter of Transmittal along with the accompanying certificate(s) or DRS Statement(s) representing their Yamana Shares to the Depositary (at the address specified on the last page of the Letter of Transmittal), together with all other documents and instruments referred to in the Letter of Transmittal or as reasonably required by the Depositary. It is recommended that Registered Yamana Shareholders send a properly completed and signed Letter of Transmittal, the accompanying certificate(s) and/or DRS Statement(s) representing their Yamana Shares and such other documentation and instruments referred to in the Letter of Transmittal or as reasonably required by the Depositary, to the Depositary as soon as possible.

 

 102 

 

 

The Letter of Transmittal contains procedural information relating to the Arrangement and the exchange of Yamana Shares for the Consideration that a Registered Yamana Shareholder is entitled to receive pursuant to the Arrangement and should be reviewed carefully. In all cases, delivery of the Consideration together with any cash in lieu of fractional Consideration Shares that a Registered Yamana Shareholder is entitled to receive pursuant to the Arrangement will be made only after timely receipt by the Depositary of a properly completed and duly executed Letter of Transmittal, together with the certificate(s) or DRS Statement(s) representing such Registered Yamana Shareholder’s Yamana Shares and such other documents and instruments referred to in the Letter of Transmittal or as the Depositary may reasonably require. The Depositary will deliver, or will cause the delivery of, the Consideration together with any cash in lieu of fractional Consideration Shares that a Registered Yamana Shareholder is entitled to receive pursuant to the Arrangement in accordance with the instructions in the properly completed and duly executed Letter of Transmittal. Pan American reserves the right, if it so elects in its absolute discretion, to instruct the Depositary to waive any irregularity contained in any Letter of Transmittal received by the Depositary.

 

As soon as practicable following the latter of the Effective Date and the deposit of certificate(s) or DRS Statement(s) representing a Registered Yamana Shareholder’s Yamana Shares, including the delivery of the properly completed and duly executed Letter of Transmittal and other corresponding documents required from such Registered Yamana Shareholder, the Depositary will deliver, or will cause to be delivered, the DRS Statement or shareholding statement, as applicable, representing the Consideration Shares and the cheque(s) representing the Cash Consideration, any cash in lieu of fractional Consideration Shares and any Dividends that such former Registered Yamana Shareholder is entitled to receive pursuant to the Arrangement, in accordance with the Plan of Arrangement and the instructions set forth in the Letter of Transmittal. Consideration Shares will be registered in, and cheques will be payable in, such name or names as set out in the Letter of Transmittal, delivered to the address or addresses as such Registered Yamana Shareholder directed in their Letter of Transmittal. If no instructions are provided by the Registered Yamana Shareholder in the Letter of Transmittal, the Consideration Shares will be issued, and cheques paid in the name of the Registered Yamana Shareholder and mailed to the address of the Registered Yamana Shareholder as it appears on the register previously maintained by or on behalf of Yamana.

 

Registered Yamana Shareholders may take delivery of the Consideration, together with any cash in lieu of fractional Consideration Shares, payable to them under the Arrangement by delivering the certificates(s) and/or DRS Statement(s) representing Yamana Shares formerly held by them accompanied by a properly completed and duly executed Letter of Transmittal, together with such other documentation and instruments referred to in the Letter of Transmittal or as reasonably required by the Depositary to the Depositary at the offices indicated in the Letter of Transmittal at any time prior to the sixth anniversary of the Effective Date.

 

Registered Yamana Shareholders whose certificate(s) representing their Yamana Shares have been lost, stolen or destroyed should refer to “– Lost Certificates” below.

 

 103 

 

 

Any properly completed and duly executed Letter of Transmittal, once deposited with the Depositary, together with the accompanying certificate(s) or DRS Statement(s) representing their Yamana Shares and all other documents and instruments referred to in the Letter of Transmittal or as reasonably required by the Depositary, is irrevocable and may not be withdrawn by a Yamana Shareholder, except that all Letters of Transmittal will be automatically revoked if the Depositary is notified in writing by Yamana, Pan American and Agnico that the Arrangement has not been completed.

 

The method used to deliver a Letter of Transmittal, any accompanying certificate(s) or DRS Statement(s) representing Yamana Shares and any other accompanying documents or instruments, if any, is at the option and risk of the Yamana Shareholder. Delivery will be deemed effective only when such documents are actually received by the Depositary at the address set out in the Letter of Transmittal. Yamana recommends that the necessary documentation be hand delivered to the Depositary and a receipt therefor be obtained; otherwise, the use of registered mail with return receipt requested, properly insured, is recommended.

 

Under no circumstances will interest accrue on the Consideration Shares or any cash that a Yamana Shareholder is entitled to receive upon depositing certificate(s) or DRS Statement(s) representing Yamana Shares pursuant to the Plan of Arrangement, regardless of any delay in making such delivery.

 

Whether or not Yamana Shareholders forward a Letter of Transmittal and the certificate(s) or DRS Statement(s) representing their Yamana Shares to the Depositary, upon completion of the Arrangement, Yamana Shareholders will cease to be holders of Yamana Shares as of the Effective Time. From and after the Effective Time, each certificate or DRS Statement that immediately prior to the Effective Time represented one or more Yamana Shares will be deemed to represent only the right to receive in exchange therefore the Consideration, together with any cash in lieu of fractional Consideration Shares, the holder of such certificate or DRS Statement, as applicable, is entitled to receive in accordance with the Plan of Arrangement, less any amounts withheld pursuant to the Plan of Arrangement.

 

Non-Registered Yamana Shareholders

 

Only Registered Yamana Shareholders are required to submit a Letter of Transmittal. The exchange of Yamana Shares for the Consideration in respect of any Non-Registered Yamana Shareholder (other than a holder of Yamana Depositary Interests) is expected to be made with the Non-Registered Yamana Shareholder’s Intermediary account through the procedures in place for such purposes between CDS or DTC and such Intermediary, as applicable, with no further action required by the Non-Registered Yamana Shareholder.

 

Any Non-Registered Yamana Shareholder whose Yamana Shares are registered in the name of an Intermediary should contact that Intermediary if they have any questions regarding this process and to arrange for such Intermediary to complete the necessary steps to ensure that they receive the Consideration in respect of their Yamana Shares.

 

Holders of Yamana Depositary Interests should refer to “Information Concerning the Holders of Yamana Depositary Interests – Procedure for Exchange of Yamana Depositary Interests for Cash Consideration and Consideration Shares” for more information on what steps they must take in order to receive the Consideration that they are entitled to received pursuant to the Arrangement.

 

Currency

 

Yamana Shareholders will receive the Cash Consideration, together with any cash in lieu of fractional Consideration Shares, that they may be entitled to receive under the Arrangement in U.S. dollars unless a Yamana Shareholder elects to receive such cash payment that they are entitled to receive under the Arrangement in Canadian dollars.

 

To validly elect to receive their Cash Consideration, together with any cash in lieu of fractional Consideration Shares, that they are entitled to receive under the Arrangement in Canadian dollars, Registered Yamana Shareholders must properly complete and sign the Letter of Transmittal, make a proper election thereunder indicating such Registered Yamana Shareholder’s election to receive the Cash Consideration, together with any cash in lieu of fractional Consideration Shares, in Canadian dollars, and deposit such Letter of Transmittal (together with the accompanying certificate(s) and DRS Statement(s) representing the Yamana Shares, and such other documentation and instruments referred to in the Letter of Transmittal or as reasonably required by the Depositary) with the Depositary prior to the Effective Date. The Letter of Transmittal includes instructions for validly electing to receive such cash payment that a Registered Yamana Shareholder is entitled to receive under the Arrangement in Canadian dollars.

 

The determination of the Depositary as to whether an election has been properly made, including when elections are received by the Depositary, will be binding. Registered Yamana Shareholders who do not make an election to receive the Cash Consideration, together with any cash in lieu of fractional Consideration Shares, that they are entitled to receive under the Arrangement in Canadian dollars, who make an election after the Effective Date or in respect of whom the Depositary determines that the election was not properly made, will receive such cash payment that they are entitled to receive under the Arrangement in U.S. dollars.

 

 104 

 

 

Only Registered Yamana Shareholders will be entitled to make an election to receive the Cash Consideration, together with any cash in lieu of fractional Consideration Shares, that they are entitled to receive under the Arrangement in Canadian dollars by completing and submitting a Letter of Transmittal, together with all other required documentation, and making an election thereunder. Non-Registered Yamana Shareholders will receive the Cash Consideration that they are entitled to receive under the Arrangement in U.S. dollars unless they contact the Intermediary in which name their Yamana Shares are registered and request that such Intermediary make the above mentioned election on their behalf.

 

The exchange rate that will be used to convert the Cash Consideration and any cash in lieu of fractional Consideration Shares from U.S. dollars into Canadian dollars will be the rate established by Computershare Trust Company of Canada, in its capacity as foreign exchange service provider to Yamana, Pan American and Agnico, on the date the funds are converted, which rate will be based on the prevailing market rate on the date of the currency conversion. The risk of any fluctuations in such rates, including risks relating to the particular date and time at which the currency conversion occurs, will be solely borne by the Yamana Shareholder. Computershare Trust Company of Canada will act as principal in such currency conversion transactions.

 

Cancellation of Rights

 

From and after the Effective Date, certificates or DRS Statements formerly representing Yamana Shares, other than Dissent Shares, which are held by a Yamana Shareholder will represent only the right to receive the Consideration (together with any cash in lieu of fractional Consideration Shares and any Dividends) payable therefor under the Arrangement (after giving effect to any applicable tax withholdings). To the extent that a Former Yamana Shareholder has not complied with the provisions of the Plan of Arrangement, including failing to deliver to the Depositary a duly completed Letter of Transmittal, the certificate(s) or DRS Statement(s) representing their Yamana Shares or any other certificates, documents or instruments required to be delivered to the Depositary under the Plan of Arrangement in order for such Former Yamana Shareholder to receive the Consideration (together with any cash in lieu of fractional Consideration Shares and any Dividends) which such Former Yamana Shareholder is entitled to receive pursuant to the Plan of Arrangement, on or before the date that is six years after the Effective Date, then the Consideration (together with any cash in lieu of fractional Consideration Shares and any Dividends) that such Former Yamana Shareholder was entitled to receive will be automatically cancelled without any repayment of capital in respect thereof and the Consideration to which such Former Yamana Shareholder was entitled will be delivered to Pan American or Agnico, as applicable, by the Depositary and the Consideration Shares forming part of the Consideration will be deemed to be cancelled, and the interest of the Former Yamana Shareholder in such Consideration, any cash in lieu of fractional Consideration Shares and any Dividend to which it was entitled will be terminated immediately following the sixth anniversary of the Effective Date, and the certificate(s) or DRS Statement(s), if any, formerly representing Yamana Shares will cease to represent a right or claim of any kind or nature immediately following the sixth anniversary of the Effective Date. Any payment made by way of cheque by the Depositary pursuant to the Plan of Arrangement that is not deposited or is returned to the Depositary or that otherwise remains unclaimed, in each case, on or before the date that is six years after the Effective Date, will cease to represent a right or claim of any kind or nature and the right of any Yamana Shareholder to receive the Consideration (together with any cash in lieu of fractional Consideration Shares and any Dividends) for Yamana Shares pursuant to the Plan of Arrangement will terminate and be deemed to be surrendered and forfeited to Pan American or Agnico, as applicable.

 

None of Yamana, Pan American or Agnico, nor any of their respective successors, will be liable to any Person in respect of any Consideration (including any Consideration or cash in lieu of fractional Consideration Shares or Dividends previously held by the Depositary as agent and nominee for any such Former Yamana Shareholder) which is forfeited to Yamana, Pan American or Agnico or delivered to any public official pursuant to any applicable abandoned property, escheat or similar Law.

 

 105 

 

 

Accordingly, Former Yamana Shareholders who deposit with the Depositary any certificate(s) or DRS Statement(s) representing Yamana Shares after the sixth anniversary of the Effective Date will not receive the Consideration (together with any cash in lieu of fractional Consideration Shares or Dividends) or any other consideration in exchange therefor and will not own any interest in Yamana, Pan American, Agnico or the Combined Company and will not be paid any compensation.

 

Treatment of Fractional Consideration Shares

 

No fractional Pan American Shares or Agnico Shares will be issued to Yamana Shareholders. Where the aggregate number of Pan American Shares or Agnico Shares to be issued to a Registered Yamana Shareholder or a holder of Yamana Depositary Interests as consideration under the Arrangement would result in a fraction of a Pan American Share or Agnico Share being issuable, the number of Pan American Shares or Agnico Shares to be received by such Yamana Shareholder will be rounded down to the nearest whole number.

 

In lieu of any such fraction of a Pan American Share, each Registered Yamana Shareholder and holders of Yamana Depositary Interests shall receive a cash payment from Pan American equal the value of such fraction calculated by ascribing the Pan American Share Value to each whole Pan American Share. In lieu of any such fraction of an Agnico Share, each Registered Yamana Shareholder and holders of Yamana Depositary Interests shall receive a cash payment from Yamana equal the value of such fraction calculated by ascribing the Agnico Share Value to each whole Agnico Share.

 

In any case where the total cash payable to a particular Yamana Shareholder by each of Pan American or Yamana under the Arrangement would, but for this provision, include a fraction of a cent, the consideration payable shall be rounded down to the nearest whole cent.

 

Lost Certificates

 

In the event that any certificate which immediately prior to the Effective Time represented one or more outstanding Yamana Shares in respect of which the holder was entitled to receive the Consideration pursuant to the Plan of Arrangement, is lost, stolen or destroyed, upon the making of an affidavit of that fact by the holder claiming such certificate to be lost, stolen or destroyed, the Depositary will issue in exchange for such lost, stolen or destroyed certificate, the Consideration (together with any cash in lieu of fractional Consideration Shares) to which such holder is entitled in respect of the Yamana Shares represented by such lost, stolen or destroyed certificate pursuant to the Plan of Arrangement deliverable in accordance with such holder’s duly completed and executed Letter of Transmittal. When authorizing such issuances or payment in exchange for any lost, stolen or destroyed certificate representing Yamana Shares, the holder to whom Consideration (together with any cash in lieu of fractional Consideration Shares) is to be delivered will, as a condition precedent to the issuance and payment thereof, give a bond satisfactory to Pan American and the Depositary, acting reasonably, in such sum as Pan American may direct, or otherwise indemnify Pan American and Yamana in a manner satisfactory to Pan American and Yamana, acting reasonably, against any claim that may be made against one or both of them with respect to the certificate alleged to have been lost, stolen or destroyed.

 

Mail Service Interruptions

 

Notwithstanding the provisions of the Arrangement, the Circular, the Letter of Transmittal, certificates or DRS Statements representing the Consideration Shares and cheques representing the Cash Consideration and any cash in lieu of fractional Consideration Shares to be delivered in payment for Yamana Shares deposited pursuant to the Arrangement and/or any dividends or other distributions with a record date after the Effective Time, that a former Registered Yamana Shareholder is entitled to receive pursuant to the Plan of Arrangement, and any certificate(s) or DRS Statement(s) representing Yamana Shares to be returned will not be mailed if Pan American and Agnico determine that delivery thereof by mail may be delayed.

 

 106 

 

 

Persons entitled to certificates, DRS Statements, cheques and/or other relevant documents which are not mailed for the foregoing reason may take delivery thereof at the office of the Depositary at which the Letter of Transmittal related thereto was deposited until such time as Pan American and Agnico has determined that delivery by mail will no longer be delayed.

 

Notwithstanding the foregoing section, certificates, DRS Statements, cheques and/or other relevant documents not mailed for the foregoing reason will be conclusively delivered on the first day upon which they are available for delivery at the office of the Depositary at which the Yamana Shares were deposited.

 

Withholding Rights

 

Pan American, Yamana, Agnico, any of their respective affiliates and the Depositary, as applicable, will be entitled to deduct and withhold, or direct any other Person to deduct and withhold on their behalf, from any amounts otherwise payable, issuable or otherwise deliverable to any Yamana Securityholders and/or any other Person under the Plan of Arrangement such amounts as are required or entitled to be deducted and withheld from such amounts under any provision of the Tax Act, the Code or any provision of any other Law. To the extent any such amounts are so deducted and withheld, such amounts will be treated for all purposes under the Plan of Arrangement as having been paid to the Person in respect of which such deduction and withholding was made. To the extent that the amount so required to be deducted or withheld from any amounts payable, issuable or otherwise deliverable to a Person under the Plan of Arrangement exceeds the amount of cash otherwise payable to such Person, Pan American, Yamana, Agnico, any of their respective affiliates and the Depositary are authorized to sell or otherwise dispose, or direct any other Person to sell or otherwise dispose, of such portion of the non-cash consideration or non-cash amounts payable, issuable or otherwise deliverable thereunder to such Person as is necessary to provide sufficient funds to Pan American, Yamana, Agnico, any of their respective affiliates and the Depositary, as the case may be, to enable them to comply with such deduction or withholding requirement and Pan American, Yamana, Agnico, any of their respective affiliates and the Depositary, as applicable, will notify the relevant Person of such sale or other disposition and remit to such Person any unapplied balance of the net proceeds of such sale or other disposition (after deduction for (a) the amounts required to satisfy the required withholding under the Plan of Arrangement in respect of such Person, (b) reasonable commissions payable to the broker and (c) other reasonable costs and expenses).

 

Treatment of Dividends

 

No Dividends will be delivered to the holder of any unsurrendered certificate(s) or DRS Statement(s) that, immediately prior to the Effective Time, represented outstanding Yamana Shares, unless and until the holder surrenders such certificate(s) or DRS Statement(s) in exchange for the Consideration (together with any cash in lieu of fractional Consideration Shares) deliverable therefor pursuant to the terms of the Plan of Arrangement. Subject to applicable Law and the Plan of Arrangement, at the time of such surrender, there will, in addition to the delivery of Consideration (together with any cash in lieu of fractional Consideration Shares) to which such Yamana Shareholder is thereby entitled, be delivered to such holder, without interest, the amount of the Dividends. For greater certainty, no holder of Yamana Shares will be entitled to receive any interest, dividends, premium or other payment in connection therewith other than any declared but unpaid dividends.

 

Adjustment of Consideration

 

If between the date of the Arrangement Agreement and the Effective Time: (a) Pan American changes the number of Pan American Shares issued and outstanding as a result of a sub-division, split or consolidation (or similar process); (b) Agnico changes the number of Agnico Shares issued and outstanding as a result of a sub-division, split or consolidation (or similar process); or (c) Yamana declares or pays any dividend or other distribution on the Yamana Shares to the Yamana Shareholders of record as of a time prior to the Effective Time, other than Yamana’s current regular quarterly dividend paid in the ordinary course, then, in each case, the Consideration will be appropriately adjusted in order to eliminate the effects of such event and to provide to Yamana, Pan American and Agnico and their respective shareholders the same economic effect contemplated by the Arrangement Agreement and the Arrangement prior to the occurrence of such event.

 

 107 

 

 

Return of Yamana Shares

 

If the Arrangement is not completed, any certificate(s) or DRS Statement(s) representing deposited Yamana Shares will be returned to the depositing Yamana Shareholder upon written notice to the Depositary from Yamana, Pan American and Agnico by returning the certificate(s) or DRS Statement(s) representing deposited Yamana Shares (and any other relevant documents) by first class insured mail in the name of and to the address specified by the, in respect of the Yamana Shares, Yamana Shareholder in the Letter of Transmittal, or, if such name and address is not so specified, in such name and to such address as shown on the registers of Yamana Shares maintained by or on behalf of Yamana.

 

Expenses

 

Except as otherwise provided in the Arrangement Agreement, all out-of-pocket third party transaction expenses incurred in connection with the Arrangement Agreement and the transactions contemplated thereby, will be paid by the party incurring such expenses.

 

REGULATORY MATTERS AND APPROVALS

 

Other than the Yamana Shareholder Approval, the Pan American Shareholder Approval, the Final Order, the Key Regulatory Approvals, and the necessary approvals of the Nasdaq and TSX for the listing of the Pan American Shares and the NYSE and TSX for the listing of the Agnico Shares, respectively, issuable pursuant to the Arrangement (each subject to official notice of issuance), Yamana is not aware of any material approval, consent or other action by any federal, provincial, state or foreign government or any administrative or regulatory agency that would be required to be obtained in order to complete the Arrangement. In the event that any such approvals or consents are determined to be required, such approvals or consents will be sought. Any such additional requirements could delay the Effective Date or prevent the completion of the Arrangement. While there can be no assurance that any regulatory consents or approvals that are determined to be required will be obtained, Yamana currently anticipates that any such consents and approvals that are determined to be required will have been obtained or otherwise resolved by the Effective Date. Subject to receipt of the Yamana Shareholder Approval, the Pan American Shareholder Approval, the Final Order, the Key Regulatory Approvals, the necessary approvals of the Nasdaq and TSX for the listing of the Pan American Shares and the NYSE and TSX for the listing of the Agnico Shares, respectively, issuable pursuant to the Arrangement (each subject to official notice of issuance) and the satisfaction or waiver of all other conditions specified in the Arrangement Agreement, the Effective Date is expected to occur in the first quarter of 2023.

 

Shareholder Approvals

 

Yamana Shareholder Approval

 

At the Yamana Meeting, pursuant to the Interim Order, Yamana Shareholders will be asked to approve the Arrangement Resolution, the full text of which is set out in Schedule A to this Circular. Each Yamana Shareholder of record at the close of business on the Record Date shall be entitled to vote on the Arrangement Resolution.

 

In order for the Arrangement to become effective, as provided in the Interim Order and by the CBCA, the Arrangement Resolution must be approved, with or without variation, by the affirmative vote of at least 662/3% of the votes cast by Yamana Shareholders present in person (or online) or represented by proxy and entitled to vote at the Yamana Meeting.

 

Should the Yamana Shareholders fail to approve the Arrangement Resolution by the affirmative vote of at least 662/3% of the votes cast by Yamana Shareholders present in person (or online) or represented by proxy and entitled to vote at the Yamana Meeting, the Arrangement will not be completed. Notwithstanding the foregoing, the Arrangement Resolution authorizes the Yamana Board, without further notice to or approval of the Yamana Shareholders, to amend the Arrangement Agreement or the Plan of Arrangement, to the extent permitted by the Arrangement Agreement or the Plan of Arrangement, and, subject to the terms of the Arrangement Agreement, to revoke the Arrangement Resolution at any time prior to the Effective Time if they decide not to proceed with the Arrangement.

 

 108 

 

 

The Yamana Board has approved the terms of the Arrangement Agreement and the Plan of Arrangement and unanimously recommends that the Yamana Shareholders vote IN FAVOUR of the Arrangement Resolution. See “The Arrangement – Recommendation of the Yamana Board” above.

 

It is the intention of the Persons named in the instrument of proxy enclosed with the Yamana Meeting Materials, if not expressly directed to the contrary in such instrument of proxy, to vote such proxy IN FAVOUR of the Arrangement Resolution.

 

Pan American Shareholder Approval

 

At the Pan American Meeting, Pan American Shareholders will be asked to approve the Pan American Resolution, summarized below. Should the Pan American Shareholders fail to approve the Pan American Resolution by a by a simple majority of votes cast by Pan American Shareholders present in person or represented by proxy and entitled to vote at the Pan American Meeting, the Arrangement will not be completed.

 

In order for the Arrangement to become effective, the Pan American Resolution must be approved, with or without variation, by the affirmative vote of at least a simple majority of the votes cast by Pan American Shareholders present in person or represented by proxy and entitled to vote at the Pan American Meeting.

 

Pan American Share Issuance Resolution

 

Pursuant to Section 611(c) of the TSX Company Manual, a listed company is generally required to obtain the approval of its shareholders by ordinary resolution passed by at least a simple majority of the votes cast by shareholders present in person or represented by proxy and entitled to vote in connection with an acquisition transaction where the number of securities issued or issuable in payment of the purchase price for the acquisition exceeds 25% of the number of securities of the listed issuer which are outstanding, on a non-diluted basis, prior to the date of closing of the transaction.

 

Pan American has reserved approximately 156,923,287 Pan American Shares for issuance in connection with the Arrangement (based on the fully diluted number of Yamana Shares issued and outstanding on November 4, 2022, and a 1% buffer to account for clerical and administrative matters), representing approximately 74.5% of the issued and outstanding Pan American Shares on a non-diluted basis as of such date.

 

Accordingly, the Pan American Resolution approves the issuance of up to 156,923,287 Pan American Shares in connection with the acquisition of all of the Yamana Shares. No Pan American Shares will be issued, or are issuable, to the holders of the Yamana RSUs, Yamana PSUs or Yamana DSUs in connection with the Arrangement. The TSX will generally not require further Pan American Shareholder approval for the issuance of up to an additional 39,230,821 Pan American Shares, such number being 25% of the number of Pan American Shares approved for issuance pursuant to the Pan American Resolution. Former Yamana Shareholders and Former Pan American Shareholders are expected to own approximately 42.4% and 57.6% of the Pan American Shares in the Combined Company, respectively, immediately after completion of the Arrangement (on a non-diluted basis), in each case assuming 156,923,287 Pan American Shares are issued in connection with the Arrangement and based on the fully diluted number of Yamana Shares issued and outstanding as of November 4, 2022, and a 1% buffer to account for clerical and administrative matters.

 

Court Approvals

 

The Arrangement requires approval by the Court under section 192 of the CBCA. On December 20, 2022, Yamana obtained the Interim Order providing for the calling and holding of the Yamana Meeting and other procedural matters and filed the Notice of Application to approve the Arrangement. A copy of the Interim Order and the Notice of Application are attached hereto as Schedule D.

 

 109 

 

 

Under the Arrangement Agreement, Yamana is required to seek the Final Order as soon as reasonably practicable but in any event not later than five Business Days following the later of the approval of the Arrangement Resolution by Yamana Shareholders at the Yamana Meeting and the approval of the Pan American Resolution by Pan American Shareholders at the Pan American Meeting. The Court hearing in respect of the Final Order is expected to take place on or about February 6, 2023. Due to the measures currently being implemented by the Court in response to the COVID-19 pandemic, the application will be heard by way of videoconference via Zoom. Persons wishing to participate, be represented or present evidence or arguments at the hearing may do so, subject to filing a notice of appearance as set out in the Notice of Application and satisfying certain other requirements as set out in the Interim Order. Zoom videoconference details will be provided to such Persons in advance of the hearing.

 

At the hearing for the Final Order, the Court will consider, among other things, the procedural and substantive fairness and the reasonableness of the terms and conditions of the Arrangement and the rights and interests of every Person affected as the Court determines appropriate, both from a substantive and a procedural point of view. The Court has broad discretion under the CBCA when making orders with respect to the Arrangement. The Court may approve the Arrangement in any manner the Court may direct, subject to compliance with such terms and conditions, if any, as the Court deems fit. The Court may approve the Arrangement, either as proposed or as amended, on, or substantially on, the terms presented. Depending upon the nature of any required amendments, Yamana, Pan American and/or Agnico may determine not to proceed with the transactions contemplated in the Arrangement Agreement.

 

Prior to the hearing on the Final Order, the Court will be informed that the Parties intend to rely on the exemption from the registration requirements under the U.S. Securities Act for the issuance of Consideration Shares pursuant to the Arrangement to holders of Yamana Shares and Yamana Depositary Interests, provided by section 3(a)(10) thereof on the basis of the Final Order.

 

Under the terms of the Interim Order, each holder of Yamana Shares, including holders of Yamana Depositary Interests, and any other interested party with leave of the Court, will have the right to appear and make submissions at the application for the Final Order subject to such party filing with the Court and serving upon Yamana, by service upon counsel to Yamana: Cassels Brock and Blackwell LLP, Suite 2100, Scotia Plaza, 40 King Street West, Toronto, Ontario M5H 3C2, Attention: Stephanie Voudouris, a notice of appearance in the form required by the Court’s rules, including such party’s address for service, and any additional affidavits or other materials on which a party intends to rely, as soon as reasonably practicable, and in any event, no later than 4:00 p.m. (Toronto time) on February 2, 2023, or the second last Business Day before the hearing of the application or such other date as the Court may order. There can be no assurance that the Court will approve the Arrangement.

 

Subject to the Court ordering otherwise, only those Persons who file a notice of appearance as set out in the Notice of Application and satisfy certain other requirements as set out in the Interim Order will be provided with notice of the materials to be filed with the Court and the opportunity to make submissions in support or opposition of the Final Order. In the event that the hearing is postponed, adjourned or rescheduled, then, subject to further order of the Court, only those Persons having previously served a notice of appearance in compliance with the Interim Order will be given notice of the postponement, adjournment or rescheduled date.

 

For further information regarding the Court hearing and your rights in connection therewith, see the form of Notice of Application attached hereto as Schedule D. The Notice of Application constitutes notice of the Court hearing of the application for the Final Order and is your only notice of the Court hearing.

 

Key Regulatory Approvals

 

Pursuant to the Arrangement Agreement, it is a mutual condition precedent to completion of the Arrangement that all of the Key Regulatory Approvals have been obtained. Within the time prescribed after the date of the Arrangement Agreement, the Parties, as applicable, have agreed to make all required notifications, filings, applications and submissions required to obtain the Key Regulatory Approvals and shall use their respective commercially reasonable efforts to take or cause to be taken all actions necessary or advisable on their respective parts to discharge their respective obligations under the Arrangement Agreement or under applicable Laws in connection with the Arrangement and the Arrangement Agreement.

 

 110 

 

 

See “Transaction Agreements – The Arrangement Agreement – Conditions”.

 

Canadian Competition Approval

 

Part IX of the Competition Act requires that parties to certain prescribed classes of transactions provide notifications to the Commissioner where the applicable thresholds set out in sections 109 and 110 of the Competition Act are exceeded and no exemption applies (“Notifiable Transactions”). Subject to certain limited exceptions, a Notifiable Transaction cannot be completed until the parties to the transaction have each submitted the information prescribed pursuant to subsection 114(1) of the Competition Act (a “Notification”) to the Commissioner and the applicable waiting period has expired, has been terminated early or the appropriate Waiver has been provided by the Commissioner.

 

The waiting period is 30 days after the day on which the parties to the Notifiable Transaction have submitted their respective notifications. The parties are entitled to complete their Notifiable Transaction at the end of the 30-day period, unless the Commissioner notifies the parties, pursuant to subsection 114(2) of the Competition Act, that the Commissioner requires additional information that is relevant to the Commissioner’s assessment of the Notifiable Transaction (“Supplementary Information Request”). In the event that the Commissioner provides the parties with a Supplementary Information Request, the Notifiable Transaction cannot be completed until 30 days after compliance with such Supplementary Information Request, provided that there is no order issued by the Competition Tribunal in effect prohibiting completion at the relevant time. The Commissioner’s substantive assessment of a Notifiable Transaction may extend beyond the statutory waiting period. Where a transaction is not completed within one year of the filing of a Notification or such longer period as the Commissioner may specify, Part IX of the Competition Act applies as if no notice were given or information supplied.

 

In addition to, or as an alternative to, filing a Notification, a party to a Notifiable Transaction may apply to the Commissioner for an Advance Ruling Certificate confirming that the Commissioner is satisfied that he or she does not have sufficient grounds on which to apply to the Competition Tribunal for an order under section 92 of the Competition Act to prohibit the completion of the transaction, or, in the event that the Commissioner is not prepared to issue an Advance Ruling Certificate, a No Action Letter. If the Commissioner issues an Advance Ruling Certificate, the parties are exempt from having to file a Notification; if the Commissioner issues a No Action Letter, upon the request of the parties, the Commissioner can waive the parties’ requirement to submit a Notification where the parties have supplied substantially similar information as would have been supplied with their Notification (a “Waiver”).

 

The Commissioner may challenge a merger before the Competition Tribunal at any time before, or within one year following, its completion where the Commissioner believes that the merger prevents or lessens, or is likely to prevent or lessen competition substantially in Canada (a “Competition Challenge”). If the Competition Tribunal agrees with the Commissioner, it can issue an order prohibiting the transaction, provided that the transaction has not been completed by such time, or it can order the divestiture of shares or assets where the transaction has already been completed; the Competition Tribunal cannot issue an order, however, where the Parties have been able to establish the elements of the statutory efficiencies defence. The Commissioner is precluded from bringing a Competition Challenge on substantially the same information that an Advance Ruling Certificate was issued, provided that the Notifiable Transaction was completed within one year after the Advance Ruling Certificate was issued. No such prohibition on bringing a Competition Challenge applies as a result of the issuance of a No Action Letter.

 

 111 

 

 

The transactions contemplated by the Arrangement Agreement constitute a Notifiable Transaction, and as such, the Parties must comply with the merger notification provisions of Part IX of the Competition Act. Pursuant to the Arrangement Agreement, Competition Act Approval is a mutual condition to the completion of the Arrangement. On November 23, 2022, Pan American submitted a request for an Advance Ruling Certificate or, in the alternative, a No Action Letter and a Waiver, to the Commissioner in respect of the transactions contemplated by the Arrangement Agreement.

 

On November 28, 2022, the Commissioner issued an Advance Ruling Certificate in respect of the Arrangement, which constitutes the Competition Act Approval for the purposes of the Arrangement Agreement.

 

 112 

 

 

Mexican Federal Economic Competition Commission (COFECE)

 

Under the Mexican Federal Economic Competition Law (Ley Federal de Competencia Económica, the “Mexican Competition Law”) there are certain monetary thresholds which trigger the obligation of economic agents to notify concentrations with COFECE and be approved before they are consummated. Transactions subject to the COFECE authorization that close before obtaining such authorization shall have no legal effect, and the transaction shall be considered null and void. Parties may condition the closing of a transaction on obtaining COFECE’s authorization.

 

For purposes of the Mexican Competition Law, “concentration” is defined as any merger, acquisition of control or any transaction the result of which is the merger of corporations, companies, associations, shares, equity interests, trusts or assets in general, executed among competitors, suppliers, clients or any other economic agent.

 

In certain cases, an expedited review process may be available from COFECE. However, the Arrangement does not qualify for this expedited process.

 

The steps to obtain the COFECE authorization are substantially as follows:

 

(i)The parties must submit the merger notice and all relevant accompanying documents before COFECE.

 

(ii)If, in COFECE’s opinion, the information delivered by the parties is incomplete (which opinion is discretionary), COFECE may request, within 10 business days following the filing, the parties to provide any information and documentation that COFECE considers is missing, regardless of whether or not such information or documentation is required under applicable Law.

 

(iii)Thereafter, the parties have 10 business days to submit any missing information to COFECE.

 

(iv)If the parties fail to timely submit the complete requested information, COFECE will declare, within 10 business days, that the merger notice was not duly filed. This would require the parties to redo the process all over again.

 

(v)Once the filing is deemed to include all necessary documents and information, COFECE may request, in its sole discretion, additional information within 15 business days thereof.

 

(vi)The parties must submit any additional information requested by COFECE within 15 business days following receipt of the request for additional information.

 

(vii)If COFECE believes that the transaction poses any antitrust concerns, it shall notify the parties thereof at least 10 business days prior to the date on which the matter will be listed for discussion by COFECE. The parties shall have 10 business days to submit remedies or actions to address COFECE’s concerns.

 

(viii)If the parties identify from the beginning that the transaction may pose antitrust concerns, the parties may include proposed remedies or actions that favor free market and open economic competition, as part of their initial notice (e.g., excluding certain regions or certain business segments from the scope of the proposed transaction). Prior to issuing its decision, COFECE may also request the parties to submit for its approval such remedies or actions. In any case, the proposed remedies or actions are submitted during the review process, all time periods for processing the filing will start again as of the date of submission of the proposed mitigating actions.

 

(ix)COFECE shall issue its decision no later than 60 business days following the date when the submission is deemed complete, or the receipt of any additional documentation requested. This term may be extended for 40 additional business days in complex transactions. Note that COFECE has discretionary authority to request additional documentation as many times as it deems necessary to complete its analysis.

 

 113 

 

 

(x)If COFECE does not issue a formal decision within such 60 business days, the transaction will be deemed authorized. However, the parties may request a formal confirmation from COFECE.

 

(xi)COFECE may authorize, object or condition the transaction to certain remedies or actions.

 

(xii)The parties must close the transaction within six months from the issuance of COFECE’s decision and must inform COFECE of the closing within 30 business days thereafter.

 

On December 9, 2022, the Parties filed a notification to COFECE with respect to the transactions contemplated by the Arrangement Agreement. As of the date of this Circular, the review of the transactions contemplated by the Arrangement Agreement by COFECE is ongoing and the Mexican Competition Law Approval required under the Arrangement Agreement has not yet been obtained.

 

Stock Exchange Listing Approval

 

The Yamana Shares are listed and posted for trading on the TSX under the trading symbol “YRI” and are listed on the NYSE and the LSE under the trading symbol “AUY”. The Pan American Shares are currently listed for trading on the Nasdaq and the TSX under the trading symbol “PAAS” and the Agnico Shares are currently listed for trading on the NYSE and the TSX under the trading symbol “AEM”.

 

Pursuant to the Arrangement Agreement, (a) Pan American has agreed to apply for and use reasonable best efforts to obtain approval for the listing for trading on the Nasdaq and TSX of the Pan American Shares issuable pursuant to the Arrangement, subject to official notice of issuance; and (b) Agnico has agreed to apply for and use reasonable best efforts to obtain approval for the listing for trading on the NYSE and TSX of the Agnico Shares issuable pursuant to the Arrangement, subject to official notice of issuance.

 

Pan American has applied to list the Pan American Shares to be issued in connection with the Arrangement on the Nasdaq and the TSX and has received conditional approval from the TSX. Final approval of the TSX is conditional on the satisfaction by Pan American of customary conditions to listing imposed by the TSX, including approval of the Pan American Resolution by the Pan American Shareholders. Pan American anticipates receiving all required authorizations from the Nasdaq prior to the closing of the Arrangement. Agnico has applied to list the Agnico Shares to be issued in connection with the Arrangement on the NYSE and the TSX and has received approval from the NYSE and conditional approval from the TSX. Final approval of the TSX is conditional on the satisfaction by Agnico of customary conditions to listing imposed by the TSX. See “Transaction Agreements – The Arrangement Agreement – Conditions”.

 

It is also a condition to implementation of the Arrangement that Yamana will have obtained approval of the TSX in respect of the Arrangement. The TSX has conditionally approved the Arrangement, subject to the filing of certain documents following the closing of the Arrangement.

 

Canadian Securities Law Matters

 

Each Yamana Shareholder is urged to consult such Yamana Shareholder’s professional advisors to determine the Canadian conditions and restrictions applicable to trades in the Consideration Shares issued pursuant to the Arrangement.

 

Status under Canadian Securities Laws and Delisting Matters

 

Yamana is a reporting issuer in each of the provinces and territories of Canada. The Yamana Shares currently trade on the TSX, the NYSE and the LSE. It is expected that the Yamana Shares will be delisted from the TSX, NYSE and LSE, as applicable, as promptly as practicable following completion of the Arrangement (anticipated to be effective no later than two or three Business Days following the Effective Date) and, subject to applicable Laws, Pan American will, as promptly as possible following completion of the Arrangement, apply to the applicable Canadian Securities Authorities to have Yamana cease to be a reporting issuer.

 

 114 

 

 

Pan American is a reporting issuer under Canadian Securities Laws in each of the provinces and territories of Canada and is a foreign private issuer under U.S. Securities Laws. The Pan American Shares are listed and posted for trading on each of the Nasdaq and TSX under the symbol “PAAS”. It is anticipated that, following completion of the Arrangement, the Pan American Shares will continue to be listed and posted for trading on the Nasdaq and TSX under the symbol “PAAS”.

 

Agnico is a reporting issuer under Canadian Securities Laws in each of the provinces and territories of Canada and is a foreign private issuer under U.S. Securities Laws. The Agnico Shares are listed and posted for trading on each of the NYSE and TSX under the symbol “AEM”. It is anticipated that, following completion of the Arrangement, the Agnico Shares will continue to be listed and posted for trading on the NYSE and TSX under the symbol “AEM”.

 

Unlike the Yamana Shares, neither the Pan American Shares nor the Agnico Shares are currently admitted to the UK Official List or admitted to trading on the LSE and neither Pan American nor Agnico intends to make applications for the admission of the Pan American Shares or the Agnico Shares, respectively, to the UK Official List or the LSE following completion of the Arrangement.

 

Distribution and Resale of Consideration Shares under Canadian Securities Laws

 

The distribution of the Consideration Shares pursuant to the Arrangement will constitute a distribution of securities which is exempt from the prospectus requirements of Canadian Securities Laws and is exempt from or otherwise is not subject to, the registration requirements under applicable Canadian Securities Laws. The Consideration Shares received pursuant to the Arrangement will not be legended and may be resold through registered dealers in each of the provinces and territories of Canada provided that (a) Pan American or Agnico, as applicable, is a reporting issuer in a jurisdiction of Canada for four months immediately preceding the trade, (b) the trade is not a “control distribution” as defined NI 45-102, (c) no unusual effort is made to prepare the market or to create a demand for the applicable Consideration Shares, (d) no extraordinary commission or consideration is paid to a Person or company in respect of such sale, and (e) if the selling security holder is an insider or officer of Pan American or Agnico, as applicable, the selling security holder has no reasonable grounds to believe that Pan American or Agnico, as applicable, is in default of applicable Securities Laws. Each Yamana Shareholder is urged to consult the holder’s professional advisors with respect to restrictions applicable to trades in Consideration Shares under Canadian Securities Laws.

 

Multilateral Instrument 61-101

 

Yamana is subject to MI 61-101, which governs certain transactions that raise the potential for conflicts of interest, specifically issuer bids, insider bids, related party transactions and business combinations. MI 61-101 is intended to ensure that all securityholders are treated in a manner that is fair and equal and that is perceived to be fair and equal with respect to these transactions, and generally requires enhanced disclosure, approval by a majority of securityholders excluding “interested parties” or “related parties” (each as defined in MI 61-101), independent valuation and, in certain instances, approval and oversight of the transaction by a special committee of independent directors. These protections generally apply to “business combinations” (as defined in MI 61-101) that terminate the interests of securityholders without their consent and related party transactions in circumstances where a related party is entitled to consideration for a security that is not identical in amount and form to the entitlement of shareholders generally or is entitled to a “collateral benefit” (as defined in MI 61-101). If a transaction is determined to be a “business combination”, MI 61-101 requires that, in addition to the approval of the transaction by at least two-thirds of the vote cast by all shareholders present in person or represented by proxy at the applicable shareholder meeting, the transaction would be subject to “minority approval” requirements (as defined in MI 61-101).

 

As previously described in this Circular, all of the issued and outstanding Yamana Shares will be exchanged for the Consideration under the terms of the Plan of Arrangement. Unless certain exceptions apply, the Arrangement would be considered a “business combination” in respect of Yamana pursuant to MI 61-101 since the interest of a holder of a Yamana Share may be terminated without the holder’s consent. Accordingly, unless there is no “related party” of Yamana that is entitled to receive a “collateral benefit” in connection with the Arrangement, the Arrangement would be considered a “business combination” and subject to “minority approval” requirements at the Yamana Meeting.

 

 115 

 

 

If “minority approval” is required, MI 61-101 would require that the Arrangement Resolution, in addition to needing the affirmative vote of at least 662/3% of the votes cast by Yamana Shareholders present in person or represented by proxy and entitled to vote at the Yamana Meeting, be approved by the affirmative vote of a simple majority of the votes cast by Yamana Shareholders present in person or represented by proxy and entitled to vote at the Yamana Meeting, excluding votes cast in respect of Yamana Shares held by “related parties” who receive a “collateral benefit” (as defined in MI 61-101) as a consequence of the transaction.

 

A “collateral benefit” includes any benefit that a “related party” of Yamana is entitled to receive as a consequence of the Arrangement, including without limitation, an increase in salary, a lump sum payment, a payment for surrendering securities or other enhancement in benefits related to services as an employee, director or consultant of Yamana. MI 61-101 excludes from the meaning of “collateral benefit” a payment per security that is identical in amount and form to the entitlement of the general body of holders in Canada of securities of the same class, as well as certain benefits to a related party that is received solely in connection with the related party’s service as an employee, director or consultant of the issuer, of an affiliated entity of the issuer or of a successor to the business of the issuer where: (a) the benefit is not conferred for the purpose, in whole or in part, of increasing the value of the consideration paid to the related party for securities relinquished under the transactions; (b) the benefit is not, by its terms, conditional on the related party supporting the transaction in any manner; (c) full particulars of the benefit are disclosed in the disclosure document for the transaction; and (d) either (i) the related party and their associated entities beneficially own, or exercise control or direction over, less than 1% of each class of the outstanding securities of the issuer, or (ii) the related party discloses to an independent committee of the issuer the amount of the consideration that they expect to be beneficially entitled to receive, under the terms of the transaction, in exchange for the equity securities they beneficially own and the independent committee acting in good faith determines that the value of the benefit, net of any offsetting costs to the related party, is less than 5% of the value of the consideration the related party will receive pursuant to the terms of the transaction for the equity securities it beneficially owns, and the independent committee’s determination is disclosed in the disclosure document for the transaction.

 

In connection with the Arrangement, Yamana’s outstanding incentive awards will be treated as set forth under “The Arrangement – Principal Steps of the Arrangement” and certain officers of Yamana are entitled to certain rights upon and/or following a change in control as set forth below under “– Interests of Certain Persons or Companies in the Arrangement”. Yamana has considered whether any of these matters may constitute a “collateral benefit” for purposes of MI 61-101 such that the Arrangement would therefore constitute a “business combination” under MI 61-101. Yamana has determined that none of these matters are a “collateral benefit” for the purposes of MI 61-101 as, among other things, each Yamana recipient thereof beneficially owns, or exercises control or direction over, less than 1% of Yamana’s outstanding equity securities and the full particulars of such matters have been disclosed herein. Yamana has also determined that no related party of Yamana is entitled to consideration for its Yamana Shares that is not identical in amount and form to the entitlement of Yamana Shareholders generally and accordingly will not receive any benefits or payments that fall within the definition of “collateral benefit” for the purposes of MI 61-101. Accordingly, the Arrangement is not considered to be a “business combination” in respect of Yamana, and as a result, no “minority approval” is required for the Arrangement Resolution. In addition, since the Arrangement does not constitute a business combination, no formal valuation of Yamana is required for the Arrangement under MI 61-101.

 

Interests of Certain Persons or Companies in the Arrangement

 

The directors and senior management of Yamana may have interests in the Arrangement that are, or may be, different from, or in addition to, the interests of the Yamana Shareholders and that may present them with actual or potential conflicts of interest in connection with the Arrangement. These interests include those described below. The Yamana Board was aware of these interests and considered them, among other matters, when evaluating and negotiating the Arrangement Agreement and recommending approval of the Arrangement by the Yamana Shareholders, as applicable.

 

 116 

 

 

All benefits received, or to be received, by the directors and senior management of Yamana as a result of the Arrangement are, and will be, solely in connection with their services as directors and senior management of Yamana. No benefit has been, or will be, conferred for the purpose of increasing the value of consideration payable to any such Person for the Yamana Shares held by such Person and no benefit is, or will be, conditional on any Person supporting the Arrangement.

 

Share Ownership and Yamana Equity Awards

 

As of December 20, 2022, the directors and senior management of Yamana and their associates and affiliates, as a group, beneficially owned, directly or indirectly, or exercised control or direction over less than 1% of the outstanding Yamana Shares, in addition to holding Yamana DSUs, which are akin to holding Yamana Shares, Yamana RSUs, and Yamana PSUs, all as outlined in the table below. As of December 20, 2022, none of the directors and senior management of Yamana held Yamana Options.

 

Yamana Shares and Yamana Equity Awards held by directors and senior management of Yamana and their associates and affiliates will be treated in the same manner under the Arrangement as Yamana Shares and Yamana Equity Awards held by other Yamana Shareholders. See “The Arrangement – Details of the Arrangement” for how the Yamana Shares will be affected by the Arrangement and “The Arrangement – Timing for Completion of the Arrangement” and “The Arrangement – Treatment of Long-Term Incentives/Convertible Securities” for how the other Yamana Shares and Yamana Equity Awards will be affected by the Arrangement.

 

Yamana DSUs

 

If the Arrangement is consummated, each Yamana DSU outstanding immediately prior to the Effective Time, all of which are vested, will be, and will be deemed to be, transferred by the holder thereof to Yamana in exchange for a cash payment from Yamana equal to the VWAP of one Yamana Share on the TSX during the five trading days ending on the last trading day prior to the Effective Date, less any required withholdings.

 

Yamana RSUs

 

If the Arrangement is consummated, each Yamana RSU outstanding immediately prior to the Effective Time, all of which are vested, will be, and will be deemed to be, transferred by the holder thereof to Yamana in exchange for a cash payment from Yamana equal to the VWAP of one Yamana Share on the TSX during the five trading days ending on the last trading day prior to the Effective Date, less any required withholdings.

 

Yamana PSUs

 

If the Arrangement is consummated, each Yamana PSU outstanding immediately prior to the Effective Time will be, and will deemed to be, transferred by the holder thereof to Yamana in exchange for a cash payment from Yamana equal to: (a) the VWAP of one Yamana Share on the TSX during the five trading days ending on the last trading day prior to the Effective Date, multiplied by (b) the applicable Multiplier (as defined in the Yamana PSU Plan) in effect as of the Effective Date, less any required withholdings.

 

 117 

 

 

The table below sets forth the number of Yamana Shares/DSUs, Yamana PSUs and Yamana RSUs beneficially owned or controlled, directly or indirectly, by each of the directors and senior management of Yamana as of December 20, 2022.

 

Name  Yamana
Shares/DSUs
   Yamana PSUs   Yamana RSUs 
Peter Marrone
Executive Chairman, Director
   5,891,620    635,659    610,893 
                
Daniel Racine
President and Chief Executive Officer, Director
   707,059    464,684    480,935 
                
Jason LeBlanc
SVP Finance and Chief Financial Officer
   194,546    132,580    136,814 
                
Gerardo Fernandez
SVP, Corporate Development
   246,874    132,580    136,830 
                
Yohann Bouchard
SVP and Chief Operating Officer
   216,686    132,580    136,827 
                
Luke Buchanan
SVP, Technical Services
   Nil    40,609    41,081 
                
Richard Campbell
SVP, Human Resources
   149,458    110,485    114,017 
                
Craig Ford
SVP, Health Safety and Sustainable Development
   18,242    54,018    54,018 
                
Henry Marsden
SVP, Exploration
   122,543    95,194    98,227 
                
Sofia Tsakos
SVP, General Counsel and Corporate Secretary
   274,247    124,084    128,056 
                
John Begeman
Director
   320,662    N/A    N/A 
                
Christiane Bergevin
Director
   451,039    N/A    N/A 
                
Alexander Davidson
Director
   317,034    N/A    N/A 
                
Richard Graff
Director
   320,048    N/A    N/A 
                
Kimberly Keating
Director
   247,069    N/A    N/A 
                
Jane Sadowsky
Director
   485,989    N/A    N/A 
                
Dino Titaro
Director
   290,099    N/A    N/A 

 

 118 

 

 

Change of Control Provisions

 

Yamana had previously entered into individual employment agreements (collectively, the “Yamana Change of Control Agreements”) with the following senior management, pursuant to which such individuals may receive change of control payments or other benefits: Peter Marrone (Executive Chairman), Daniel Racine (President and Chief Executive Officer), Jason LeBlanc (Senior Vice President, Finance and Chief Financial Officer), Gerardo Fernandez (Senior Vice President, Corporate Development), Yohann Bouchard (Senior Vice President and Chief Operating Officer) (collectively, the “Named Executive Officers”), Richard Campbell (Senior Vice President, Human Resources), Craig Ford (Senior Vice President, Health Safety and Sustainable Development), Henry Marsden (Senior Vice President, Exploration), Sofia Tsakos (Senior Vice President, General Counsel and Corporate Secretary) and Luke Buchanan, Senior Vice President, Technical Services.

 

The Yamana Change of Control Agreements provide for compensation in the event of a termination of employment as set out below within 12 months of a “Change of Control”.

 

A “Change of Control”, is defined in each employment agreement, but generally means:

 

·a merger, amalgamation or arrangement resulting in Yamana Shareholders holding less than 50% of the successor corporation following completion of such transaction;

 

·the sale, exchange or other disposition of Yamana’s assets or properties with an aggregate book value greater than 50% of the total book value of Yamana’s assets and properties on a consolidated basis;

 

·the acquisition of 20% or more of Yamana’s outstanding voting securities;

 

·the winding-up, dissolution or liquidation of Yamana; or

 

·a change in the composition of the majority of the Yamana Board in certain circumstances.

 

Completion of the Arrangement will constitute a “Change of Control” of Yamana for the purposes of the Yamana Change of Control Agreements.

 

In the event of a Change of Control, the applicable terms, conditions and benefits under the Yamana Change of Control Agreements only take effect when either of the following two triggers occurs within 12 months of such Change of Control:

 

·Yamana terminates the employment without cause; or

 

·a triggering event occurs, including an adverse change or diminution in pay, responsibility or title, and within six months of such triggering event the employee advises Yamana of its intention to terminate his or her employment.

 

 119 

 

 

Severance entitlements for the senior management generally include accrued base salary for the year of termination in addition to the following payments and benefits: (i) 24 months base salary, and (ii) two times the average annual bonus paid in the previous two years. In addition, the senior management will be entitled to receive a lump sum payment equal to 24 month of pension benefits, perquisites, and medical and health benefits, or, if contractually provided for, a lump sum payment in lieu of benefits equal to 0.25 times the amount payable pursuant to (i) and (ii) above, in each case in accordance with the terms of the applicable Yamana Change of Control Agreement, the existing pension and benefit plans and applicable employment Laws.

 

In addition to the entitlements described above, any Yamana RSUs, Yamana DSUs and Yamana PSUs held by senior management will be treated as described above under “Share Ownership and Equity Awards”.

 

The Change of Control payments payable to the Named Executive Officers under the Yamana Change of Control Agreements, excluding the value of the Yamana Shares and Yamana Equity Awards they hold (as described above), if all such Named Executive Officers are terminated without cause (including termination by the Named Executive Officer for good reason/following a triggering event) within 12 months of the Effective Date would have an aggregate value of approximately US$24.7 million, calculated as at December 20, 2022. The amounts payable are consistent with the disclosure made by Yamana in its most recent Management Information Circular dated March 22, 2022 which is available on Yamana’s issuer profile on SEDAR at www.sedar.com and Yamana’s website at www.yamana.com.

 

The Change of Control payments payable to the remaining senior management (excluding the Named Executive Officers) under the Yamana Change of Control Agreements, excluding the value of the Yamana Shares and Yamana Equity Awards they hold (as described above), if all such senior management are terminated without cause (including termination by senior management for good reason/following a triggering event) within 12 months of the Effective Date would have an aggregate value of approximately US$9.0 million, calculated as at December 20, 2022.

 

If all senior management that are parties to the Yamana Change of Control Agreements are terminated without cause (including termination by such senior management for good reason/following a triggering event) within 12 months of the Effective Date, the payments in lieu of pension and other similar benefits would have an aggregate value of approximately US$4.9 million, calculated as at December 20, 2022. Yamana may provide for continued benefits including medical and health benefits at a more modest cost for the 24-month period.

 

Incentive Awards

 

Yamana intends to conduct compensation reviews and grant bonus awards in accordance with Yamana’s short-term incentive plan and long-term incentive plan consistent with past practice for the period up to the Effective Date.

 

Board Appointees

 

Pursuant to the Arrangement Agreement, Pan American has agreed to appoint the Board Appointees promptly following the Effective Time.

 

New Employment Agreements

 

In connection with the Arrangement, Pan American or one of its affiliates (including Yamana following Closing) may enter into new employment arrangements with one or more of Yamana’s senior management, which could include increased responsibilities and/or enhanced employment benefits.

 

 120 

 

 

Insurance and Indemnification

 

Pursuant to the Arrangement Agreement, prior to the Effective Time, Yamana has agreed to purchase customary “tail” policies of directors’ and officers’ liability insurance from a reputable and financially sound insurance carrier, containing terms and conditions no less favourable in the aggregate to the protection provided by the policies maintained by Yamana and its Subsidiaries which are in effect immediately prior to the Effective Date, providing protection in respect of claims arising from facts or events which occurred on or prior to the Effective Time and after the Effective Time, (i) Pan American will, or will cause Yamana and its Subsidiaries (other than Subsidiaries comprising the Canadian Assets) and any successor to Yamana, and (ii) Agnico will and will cause any Subsidiaries comprising the Canadian Assets, to, maintain such tail policies in effect without any reduction in scope or coverage for six years from the Effective Time; provided that Pan American, Agnico and such Subsidiaries will not be required to pay any amounts in respect of such coverage prior to the Effective Time and provided further that the cost of such policies shall not exceed 300% of the current annual aggregate premium (the “Base Premium”) for policies currently maintained by Yamana or its Subsidiaries; provided further that, if such insurance can only be obtained at a premium in excess of the Base Premium, Yamana may purchase the most advantageous policies of directors’ and officers’ liability insurance reasonably available for an annual premium in excess of the Base Premium, and after the Effective Time, (i) Pan American will cause Yamana and its Subsidiaries (other than Subsidiaries comprising the Canadian Assets) and any successor to Yamana, and (ii) Agnico will and will cause any Subsidiaries comprising the Canadian Assets, to maintain such coverage for six years from the Effective Date and after the Effective Time, Pan American, Agnico and Yamana, as applicable, have agreed not to take any action to terminate such directors’ and officers’ liability insurance or materially adversely affect the rights of Yamana’s present and former directors and officers thereunder.

 

After the Effective Time, (i) Pan American will and will cause Yamana and its Subsidiaries (other than Subsidiaries comprising the Canadian Assets) and any successor to Yamana, and (ii) Agnico will and will cause any Subsidiaries comprising the interests purchased by Agnico pursuant to the Asset Sale, to honour all rights to indemnification or exculpation now existing in favour of present and former employees, officers and directors of Yamana and its Subsidiaries under Law and under the articles or other constating documents of Yamana and/or its Subsidiaries or under any agreement or contract of any indemnified person with Yamana or with any of its Subsidiaries. Pan American and Agnico have acknowledged that such rights will survive the completion of the Arrangement and will continue in full force and effect in accordance with their terms for a period of not less than six years from the Effective Date.

 

The applicable provisions of the Arrangement Agreement are intended for the benefit of, and will be enforceable by, each insured or indemnified Person, his or her heirs and his or her legal representatives and, for such purpose, Yamana has confirmed that it is acting as agent and trustee on their behalf. The applicable provisions of the Arrangement Agreement will survive the termination of the Arrangement Agreement as a result of the occurrence of the Effective Date for a period of six years.

 

U.S. Securities Law Matters

 

The following discussion is a general overview of certain requirements of U.S. Securities Laws that may be applicable to Yamana Shareholders in the United States. All Yamana Shareholders in the United States are urged to consult with their own legal counsel to ensure that any subsequent resale of Consideration Shares to be received in exchange for their Yamana Shares pursuant to the Arrangement complies with applicable securities legislation.

 

Further information applicable to Yamana Shareholders in the United States is disclosed under the heading “Notice to Yamana Securityholders in the United States”.

 

The following discussion does not address the Canadian Securities Laws that will apply to the issue of Consideration Shares to Yamana Shareholders in exchange for their Yamana Shares or the resale of any such securities received in exchange for Yamana Shares within Canada by Yamana Shareholders in the United States. Yamana Shareholders in the United States reselling any such securities in Canada must comply with Canadian Securities Laws, as outlined elsewhere in this Circular.

 

 121 

 

 

Exemption from the Registration Requirements of the U.S. Securities Act

 

The Consideration Shares to be issued to Yamana Shareholders and holders of Yamana Depositary Interests in exchange for their Yamana Shares and Yamana Depositary Interests, respectively, pursuant to the Arrangement have not been and will not be registered under the U.S. Securities Act or the U.S. Securities Laws of any state of the United States and will be issued and exchanged in reliance upon the exemption from the registration requirements of the U.S. Securities Act pursuant to section 3(a)(10) thereof and exemptions provided under the U.S. Securities Laws of each state of the United States in which Yamana Shareholders reside. Section 3(a)(10) of the U.S. Securities Act exempts from the registration requirement under the U.S. Securities Act the issuance of securities which have been approved, after a hearing upon the substantive and procedural fairness of the terms and conditions of the relevant transaction, at which all Persons to whom it is proposed the securities will be issued shall have the right to appear, by any court expressly authorized by Law to grant such approval. The Court is authorized to conduct a hearing at which the procedural and substantive fairness of the terms and conditions of the Arrangement will be considered. All persons to whom it is proposed to issue the securities are entitled to appear and be heard at this hearing, provided that they satisfy the applicable conditions set forth in the Interim Order. The Court granted the Interim Order on December 20, 2022, and, subject to the approval of the Arrangement by Yamana Shareholders, a hearing on the Arrangement is expected to be held on or about February 6, 2023, by the Court. Accordingly, the Final Order, if granted, will constitute the basis for the exemption from the registration requirements of the U.S. Securities Act pursuant to section 3(a)(10) thereof with respect to the Consideration Shares to be issued to Yamana Shareholders and holders of Yamana Depositary Interests in exchange for their Yamana Shares and Yamana Depositary Interests, respectively, pursuant to the Arrangement upon completion of the Arrangement. The Court has been informed of this effect of the Final Order.

 

Resales of Consideration Shares after the Effective Date

 

The Consideration Shares to be received by Yamana Shareholders and holders of Yamana Depositary Interests in exchange for their Yamana Shares and Yamana Depositary Interests, respectively, pursuant to the Arrangement upon completion of the Arrangement will not be subject to transfer restrictions under U.S. Securities Laws, except by Persons who are “affiliates” (as defined in Rule 144 under the U.S. Securities Act) of Pan American or Agnico, as applicable, after the Effective Date, or were “affiliates” of Pan American or Agnico, as applicable, within 90 days prior to the Effective Date. Persons who may be deemed to be “affiliates” of an issuer include individuals or entities that control, are controlled by, or are under common control with, the issuer, whether through the ownership of voting securities, by Contract, or otherwise, and generally include executive officers and directors of the issuer as well as principal shareholders of the issuer. Typically, persons who are executive officers, directors or 10% or greater shareholders of an issuer are considered to be its “affiliates”.

 

Any resale of Consideration Shares by such an “affiliate” or former “affiliate” may be subject to the registration requirements of the U.S. Securities Act, absent an exemption therefrom, such as the exemption contained in Rule 144 under the U.S. Securities Act or the safe harbor provided by Rule 904 of Regulation S under the U.S. Securities Act.

 

U.K. Securities Law Matters

 

This document does not contain an offer of transferable securities to the public in the United Kingdom within the meaning of section 102B of FSMA and is not required to be issued as a prospectus pursuant to section 85 of FSMA. Accordingly, this document has not been drawn up in accordance with the Prospectus Regulation Rules and has not been nor will it be approved by, or filed with, the FCA or any other authority which would be a competent authority for the purposes of the UK Prospectus Regulation.

 

Comparison of Shareholder Rights under the CBCA, the BCBCA and the OBCA

 

Pursuant to the Plan of Arrangement, Yamana Shareholders will receive Pan American Shares and Agnico Shares in exchange for their Yamana Shares. The rights of Yamana Shareholders are currently governed by the CBCA and by Yamana’s articles and by-laws. The rights of Pan American Shareholders are currently governed by the BCBCA and by Pan American’s Articles and Notice of Articles. The rights of Agnico Shareholders are currently governed by the OBCA and by Agnico’s articles and by-laws.

 

See “Schedule F – Comparison of Shareholder Rights under the CBCA, the BCBCA and the OBCA” for a comparison of shareholders’ rights under the CBCA as compared to the BCBCA and the OBCA. The summaries contained Schedule F are not intended to be exhaustive and Yamana Shareholders should consult their legal advisors regarding all of the implications of the effects of the Arrangement on their rights.

 

 122 

 

 

TRANSACTION AGREEMENTS

 

The Arrangement Agreement

 

The following summarizes material provisions of the Arrangement Agreement. This summary may not contain all of the information about the Arrangement Agreement that is important to Yamana Shareholders. The rights and obligations of the Parties are governed by the express terms and conditions of the Arrangement Agreement and not by this summary or any other information contained in this Circular. Yamana Shareholders are urged to read the Arrangement Agreement carefully and in its entirety, as well as this Circular, before making any decisions regarding the Arrangement. This summary is subject to, and qualified in its entirety by the full text of the Arrangement Agreement, which has been filed under Yamana’s issuer profile on SEDAR at www.sedar.com and on EDGAR at www.sec.gov, and by the Plan of Arrangement, which is attached to this Circular as Schedule B.

 

In reviewing the Arrangement Agreement and this summary, readers are advised that this summary has been included to provide Yamana Shareholders with information regarding the terms of the Arrangement Agreement and is not intended to provide any other factual information about Pan American, Agnico, Yamana or any of their Subsidiaries or affiliates. The Arrangement Agreement contains representations and warranties and covenants by each of the Parties to the Arrangement Agreement, which are summarized below. These representations and warranties have been made solely for the benefit of the Parties to the Arrangement Agreement and:

 

·were not intended as statements of fact, but rather as a way of allocating the risk to one of the Parties if those statements prove to be inaccurate;

 

·have been qualified by certain confidential disclosures that were made to the other Parties in connection with the negotiation of the Arrangement Agreement, which disclosures are not reflected in the Arrangement Agreement; and

 

·may apply standards of materiality in a way that is different from what may be viewed as material by Yamana Shareholders or other investors.

 

Moreover, information concerning the subject matter of the representations and warranties in the Arrangement Agreement and described below may have changed since the date of the Arrangement Agreement and subsequent developments or new information qualifying a representation or warranty may have been included in this Circular. Accordingly, the representations and warranties and other provisions of the Arrangement Agreement should not be read alone, but instead should be read together with the information provided elsewhere in this Circular and in the documents incorporated by reference into this Circular.

 

Condition Precedent to Effectiveness of the Arrangement Agreement

 

The Arrangement Agreement provided that, until such time as the Gold Fields Arrangement Agreement had been terminated in accordance with its terms, all obligations of Yamana contained in the Arrangement Agreement would only be effective following failure of the Yamana shareholders to approve the Gold Fields Arrangement at the previously scheduled Yamana shareholder meeting. On November 8, 2022, Gold Fields terminated the Gold Fields Arrangement Agreement, resulting in the Arrangement Agreement becoming effective at the Activation Time in accordance with its terms.

 

Representations and Warranties

 

The Arrangement Agreement contains customary representations and warranties, all of which are qualified by public disclosure and many of which are qualified by Yamana Material Adverse Effect, Pan American Material Adverse Effect or Agnico Material Adverse Effect, as applicable, made, on one hand, by Yamana to each of Pan American and Agnico, and, on the other hand, by each of Pan American and Agnico to Yamana. The statements embodied in those representations and warranties were made solely for purposes of the Arrangement Agreement and are subject to important qualifications, limitations and exceptions agreed to by the Parties in connection with negotiating its terms.

 

 123 

 

 

Moreover, some of those representations and warranties may not be accurate or complete as of any specified date, may be subject to a contractual standard of materiality different from those generally applicable to shareholders or may have been used for the purpose of allocating risk among Pan American, Agnico and Yamana rather than establishing matters as facts.

 

The representations and warranties of each of Yamana and Pan American relate to the following matters: organization and qualification; authority relative to the Arrangement Agreement; no conflict; required filings and consent; Subsidiaries; compliance with Laws and constating documents; Authorizations; capitalization; shareholder and similar agreements; stock exchange compliance; U.S. Securities Law matters; public filings; financial statements; undisclosed liabilities; compliance with the Sarbanes-Oxley Act; title matters; no defaults under leases and agreements; expropriation; mineral reserves and mineral resources; royalties and rentals paid; environmental matters; employment matters; absence of certain changes or events; litigation; taxes; books and records; insurance; non-arm’s length transactions; restrictions on business activities; material contracts; anti-corruption; sanctions; and brokers and expenses.

 

The representations and warranties of Agnico relate to the following matters: organization and qualification; authority relative to the Arrangement Agreement; no conflict; required filings and consent; available funds; compliance with Laws and constating documents; capitalization; stock exchange compliance; U.S. Securities Law matters; public filings; financial statements; undisclosed liabilities; absence of certain changes or events; taxes; litigation; anti-corruption; freely tradeable Agnico Share Consideration; and the Investment Canada Act.

 

The Arrangement Agreement also contains certain representations and warranties made solely by Yamana with respect to: reporting issuer status; intellectual property; benefit plans; indigenous claims; community groups; opinions of financial advisors; no “collateral benefit”; the Hart-Scott-Rodino Antitrust Improvement Act of 1976; the Canadian Assets; the Gold Fields Arrangement Agreement and the Permitted Acquisition Agreement (as defined in the Gold Fields Arrangement Agreement) and made solely by Pan American with respect to ownership of Yamana Shares; freely tradeable Pan American Share Consideration; the Investment Canada Act; and indicative credit rating and financing commitments.

 

Covenants

 

Yamana, Pan American and Agnico have agreed to undertake certain covenants between the Activation Time and the Effective Time. Set forth below is a brief summary of certain of those covenants.

 

Efforts to Obtain Required Yamana Shareholder Approval

 

The Arrangement Agreement requires Yamana to schedule the Yamana Meeting on or before the date that is 45 days after the date of the Interim Order and to use its commercially reasonable efforts to schedule the Yamana Meeting on the same day and at the same time as the Pan American Meeting.

 

In general, Yamana is not permitted to adjourn, postpone or cancel the Yamana Meeting without the prior consent of Pan American and Agnico, except as required by Law. However, if the Pan American Meeting is adjourned or postponed, Yamana may adjourn or postpone the Yamana Meeting in order to ensure that it occurs on the same day and at the same time as the Pan American Meeting. In addition, if Yamana provides notice to Pan American and Agnico that it has received a Yamana Superior Proposal (as further discussed under “– Non-Solicitation Covenants” below) less than seven Business Days before the date of the Yamana Meeting, Yamana may, or Pan American and Agnico may require Yamana to, postpone the Yamana Meeting to a date that is not more than seven Business Days after the scheduled date of the Yamana Meeting; provided, however, that the Yamana Meeting may not be adjourned or postponed to a date later than the seventh Business Day prior to the Outside Date.

 

 124 

 

 

Unless the Yamana Board has made a Yamana Change in Recommendation as permitted under the Arrangement Agreement (as further discussed in “– Non-Solicitation Covenants” below), Yamana has agreed to include in this Circular the Yamana Board Recommendation, a copy of the Yamana Fairness Opinion, a statement that each of the Yamana Special Committee and the Yamana Board has received the Yamana Fairness Opinion and that the Yamana Board has unanimously determined, after receiving legal and financial advice and the unanimous recommendation of the Yamana Special Committee, that the Arrangement and the entry into the Arrangement Agreement are in the best interests of Yamana and statements that each of the Yamana Supporting Shareholders has entered into a Yamana Support Agreement, pursuant to which they have agreed to, among other things, vote their Yamana Shares in favour of the Arrangement Resolution.

 

Efforts to Obtain Required Pan American Shareholder Approval

 

Pan American is required to schedule the Pan American Meeting on or before the date that is 45 days after the date of the Interim Order and use its commercially reasonable efforts to schedule the Pan American Meeting on the same day and at the same time as the Yamana Meeting.

 

In general, Pan American is not permitted to adjourn, postpone or cancel the Pan American Meeting without the prior consent of Yamana, except as required by Law. However, if the Yamana Meeting is adjourned or postponed, Pan American may adjourn or postpone the Pan American Meeting in order to ensure that it occurs on the same day and at the same time as the Yamana Meeting. In addition, if Pan American provides notice to Yamana that it has received a Pan American Superior Proposal (as further discussed under “– Non-Solicitation Covenants” below) less than seven Business Days before the date of the Pan American Meeting, Pan American may, or Yamana may, require Pan American to, postpone the Pan American Meeting to a date that is not more than seven Business Days after the scheduled date of the Pan American Meeting; provided, however, that the Pan American Meeting may not be adjourned or postponed to a date later than the seventh Business Day prior to the Outside Date.

 

Unless the Pan American Board has made a Pan American Change in Recommendation as permitted under the Arrangement Agreement (as further discussed under “– Non-Solicitation Covenants” below), Pan American will include in the Pan American Circular, the Pan American Board Recommendation, a statement that the Pan American Board has unanimously determined, after receiving legal and financial advice, that the Arrangement and the entry into the Arrangement Agreement are in the best interests of Pan American and statements that each of the Pan American Supporting Shareholders have entered into a Pan American Support Agreement, pursuant to which they have agreed to, among other things, vote their Pan American Shares in favour of the Pan American Resolution.

 

Conduct of Business

 

Each of Yamana and Pan American has undertaken until the Effective Time (or, if earlier, the date the Arrangement Agreement is terminated in accordance with its terms), unless expressly required or permitted under certain provisions of the Arrangement Agreement, as required by applicable Law or a Governmental Entity, as required to comply with or implement any COVID-19 Measures, or unless, in the case of Yamana, both Pan American and Agnico consent in writing, or in the case of Pan American, Yamana consents in writing, to and to cause each of its Subsidiaries to (a) in all material respects conduct its and their respective businesses only in, and not take any action except in, the ordinary course of business, and (b) use commercially reasonable efforts to preserve intact its and their present business organization, goodwill, business relationships and assets and to keep available the services of their officers and employees as a group.

 

Without limiting the generality of the foregoing, each of Yamana and Pan American has undertaken not to, and to cause each of their respective Subsidiaries not to, directly or indirectly (nor to authorize, agree to, propose, enter into or modify any Contract to do any of the below matters or resolve to do so):

 

·amend or propose to amend its constating documents or, in the case of Yamana, the constating documents of any of its Subsidiaries;

 

·declare, set aside or pay any dividend or other distribution (whether in cash, securities or property or any combination thereof) in respect of any Yamana Shares or Pan American Shares, as applicable, except for (a) regular dividends to Yamana Shareholders and Pan American Shareholders, respectively, in the ordinary course consistent with past practice, and (b) any such action solely between or among Yamana or Pan American and their respective Subsidiaries or between or among Subsidiaries of Yamana or between or among Subsidiaries of Pan American, as applicable;

 

 125 

 

 

·issue, sell, grant, award, pledge, dispose of or otherwise encumber or agree to any of the foregoing with respect to any Yamana Shares or Pan American Shares, as applicable, or other equity or voting interests or any options, stock appreciation rights, warrants, calls, conversion or exchange privileges or rights of any kind to acquire (whether on exchange, exercise, conversion or otherwise) any Yamana Shares or Pan American Shares, as applicable, or other equity or voting interests or other securities or any shares of their respective Subsidiaries (including, in the case of Yamana, the Canadian Assets), other than as specifically provided in the Arrangement Agreement;

 

·sub-divide split, combine or reclassify any outstanding Yamana Shares or Pan American Shares, as applicable, or, in the case of Yamana, the securities of any of its Subsidiaries;

 

·redeem, purchase or otherwise acquire or offer to purchase or otherwise acquire Yamana Shares or Pan American Shares, as applicable, or other securities of Yamana or Pan American, as applicable, or any securities of their respective Subsidiaries, other than (a) purchases of Yamana Shares or Pan American Shares, as applicable, in satisfaction of the payment of the exercise price or tax withholdings upon the exercise or vesting of outstanding Yamana Equity Awards or Pan American equity awards, as applicable, and (b) in respect of Pan American, ordinary course purchases of Pan American Shares made in the public markets and at the prevailing market price;

 

·amend the terms of any securities of Yamana or its Subsidiaries or Pan American, as applicable;

 

·adopt or propose a plan of liquidation or resolutions providing for the liquidation or dissolution of Yamana or any of its Subsidiaries or Pan American, as applicable;

 

·reorganize, amalgamate or merge Yamana or its Subsidiaries or Pan American, as applicable, with any other Person;

 

·except as specified in the Arrangement Agreement, sell, pledge, lease, dispose of, mortgage, license, encumber or otherwise transfer or agree to any of the foregoing with respect to (a) in the case of Yamana, any of Yamana’s or any of its Subsidiaries’ assets or interests in its assets or its Subsidiaries’ assets (including, in the case of Yamana, the Canadian Assets), and (b) in the case of Pan American, any of Pan American’s or any of its Subsidiaries’ material assets or interest in its assets or its Subsidiaries’ assets;

 

·acquire or agree to acquire, directly or indirectly, any Person, or, other than investments required by existing Contracts to which a Yamana JV Entity or Pan American, as applicable, is a party or bound, make any investment or agree to make any investment, directly or indirectly, either by purchase of shares or securities, contributions of capital (other than to wholly-owned Subsidiaries), property transfer or purchase of any property or assets of any other Person, other than (a) in the case of Yamana, such investments in securities that do not exceed in the aggregate US$10 million, and (b) in the case of Pan American, transactions that are (i) for consideration less than US$30 million individually or US$300 million in the aggregate, (ii) in the ordinary course or business, or (iii) between two or more wholly-owned Subsidiaries of Pan American or between Pan American and one or more of its wholly-owned Subsidiaries;

 

·make any changes in financial accounting methods, principles, policies or practices, except as required, in each case, by IFRS or by applicable Law;

 

·reduce the stated capital of the Yamana Shares or any of its Subsidiaries or the Pan American Shares, as applicable; and

 

·materially change the business carried on by, as applicable, Yamana and its Subsidiaries, as a whole (or the Canadian Assets, as a whole) or Pan American and its Subsidiaries, as a whole.

 

 126 

 

 

In addition, Yamana has undertaken not to, and to cause each of its Subsidiaries not to, directly or indirectly (nor to authorize, agree to, propose, enter into or modify any Contract to do any of the below matters or resolve to do so):

 

·incur any indebtedness to fund, directly or indirectly the payment of any dividend or other distribution in respect of any Yamana Shares other than in the ordinary course of business;

 

·except as specified in the Arrangement Agreement, incur any capital expenditures or enter into any agreement obligating Yamana or its Subsidiaries to provide for future capital expenditures;

 

·(a) except as specified in the Arrangement Agreement, incur any indebtedness for borrowed money or guarantee any such indebtedness of another Person, issue or sell any debt securities or warrants or other rights to acquire any debt securities of Yamana or its Subsidiaries, guarantee any debt securities of another Person, enter into any “keep well” or other agreement to maintain any financial statement condition of another Person or enter into any arrangement having the economic effect of any of the foregoing, or (b) make any loans, advances (other than any advances to employees in the ordinary course of business) or capital contributions to, or investments in, any other Person, other than to any joint venture of Yamana or any of its Subsidiaries in the ordinary course of business or to Yamana or any of its Subsidiaries or in connection with sale-leaseback transactions;

 

·pay, discharge, settle, satisfy, compromise, waive, assign or release any claims, rights, liabilities or obligations other than (a) the payment, discharge, satisfaction, in the ordinary course of business, of liabilities reflected or reserved against in Yamana or its Subsidiaries’ financial statements or incurred in the ordinary course of business or (b) payment of any fees related to the Arrangement or the Gold Fields Arrangement Agreement;

 

·enter into any agreement that, if entered into prior to the date of the Arrangement Agreement, would be considered a Yamana Material Contract, or modify, amend in any material respect, transfer or terminate any Yamana Material Contract other than the Gold Fields Arrangement Agreement, or waive, release, or assign any material rights or claims thereto or thereunder;

 

·enter into or terminate any interest rate, currency, equity or commodity swaps, hedges, derivatives, forward sales contracts or other financial instruments or like transaction, other than in the ordinary course of business consistent with Yamana financial risk management policy;

 

·except as specified in the Arrangement Agreement, (a) grant, accelerate, or increase any severance, change of control or termination pay to (or amend any existing arrangement relating to the foregoing with) any director, officer or employee of Yamana or any of its Subsidiaries; (b) grant, accelerate, or increase any payment, bonus, award (equity or otherwise) or other benefits payable to, or for the benefit of, any director, officer or employee of Yamana or any of its Subsidiaries; (c) increase the coverage, contributions, funding requirements or benefits available under any Yamana Benefit Plan or create any new benefit plan which would be considered to be a Yamana Benefit Plan once created; (d) increase compensation (in any form), bonus levels or other benefits payable to any director, officer, employee or consultant of Yamana or any of its Subsidiaries, or grant any general increase in the rate of wages, salaries, bonuses or other remuneration, except for base salary increases for employees (other than senior employees) in the ordinary course of business; (e) make any material determination under any of Yamana’s benefits plans that is not in the ordinary course of business; (f) establish, adopt, enter into, amend or terminate any collective bargaining agreement or Yamana Benefit Plan; or (g) take or propose any action to effect any of the foregoing;

 

·terminate the employment of any senior employee, except for cause, or hire any senior employee;

 

127

 

 

·take any action or fail to take any action which action or failure to act would reasonably be expected to cause any Governmental Entities to institute proceedings for the suspension of, or the revocation or limitation of rights under, any material Authorizations necessary to conduct its businesses as now conducted, and use its commercially reasonable efforts to maintain such Authorizations; or

 

·subject to certain exceptions set out in the Arrangement Agreement, take any action inconsistent with past practice relating to the filing of any tax returns or the withholding, collecting, remitting and payment of any tax; take any action outside of the ordinary course of business that is reasonably likely to reduce the capital or non-capital losses of Yamana for purposes of the Tax Act, or reduce the adjusted cost base of the Canadian Assets for purpose of the Tax Act; amend any tax return or change any of its methods of reporting; make, change or revoke any material election relating to taxes; enter into any tax sharing, allocation, waiver or indemnification agreement or consent to any extension or waiver of the limitation period applicable to any tax claim or assessment; settle (or offer to settle) any material tax claim, audit, proceeding or re-assessment; or make a request for a tax ruling to any Governmental Entity.

 

Further, Yamana is required to use all commercially reasonable efforts to cause its insurance (or re-insurance) policies maintained by Yamana or its Subsidiaries not to be cancelled or terminated or any of the coverage thereunder to lapse, subject to certain exceptions.

 

Pan American has also agreed that:

 

·subject to the qualifications set out in the Arrangement Agreement, prior to the Effective Time, the Board Appointees will be identified and Pan American will take such commercially reasonable actions as are necessary to ensure that, promptly following the Effective Time, the Pan American Board includes the Board Appointees, including by increasing the size of the Pan American Board and by facilitating the resignation of one existing member of the Pan American Board (the “Resigning Appointee”);

 

·following the Effective Time, Pan American will use commercially reasonable efforts to submit an ordinary resolution to Pan American Shareholders at the next annual general meeting of Pan American Shareholders to increase the size of the Pan American Board to eleven directors, and management of Pan American will recommend to the Pan American Shareholders that such ordinary resolution be approved. Pan American will take commercially reasonable actions, including soliciting proxies in favor of their election to the Pan American Board, to have such Board Appointees and Resigning Appointee elected to the Pan American Board at such annual general meeting; and

 

·Pan American will work cooperatively with Yamana to determine the integration of Yamana management into the management team of Pan American on or prior to the Effective Time and will establish a transitionary integration period in which the Toronto office employees of Yamana will support Pan American to integrate and manage the business and operations of Yamana. Those at a Senior Vice President level and below at Yamana will be approached to continue to support the management of the business during this transitionary period and longer, as may be determined by Pan American.

 

Mutual Covenants

 

Each of Yamana, Pan American and Agnico has undertaken that, other than in connection with obtaining the required Regulatory Approvals, that, from the Activation Time until the earlier of the Effective Time or the time that the Arrangement Agreement is terminated in accordance with its terms, it will:

 

·use its commercially reasonable efforts to complete the Arrangement, including by using commercially reasonable efforts to promptly obtain all necessary waivers, consents and approvals required pursuant to certain material Contracts, obtain all necessary and material Authorizations required under applicable Laws, fulfill all conditions to closing and co-operate in connection with the performance of its obligations under the Arrangement Agreement;

 

128

 

 

·not take any action, refrain from taking any action, or permit any action to be taken or not taken, which is inconsistent with the Arrangement Agreement or which would reasonably be expected to, individually or in the aggregate, prevent, materially impede or materially delay the consummation of the Arrangement or the other transactions contemplated in the Arrangement Agreement, including taking any action (including any discussions or negotiation) or entering into any transaction that would reasonably be expected to prevent, delay or impede the obtaining of, or increase the risk of not obtaining, any Regulatory Approval or otherwise prevent, delay or impede the consummation of the transactions contemplated by the Arrangement Agreement;

 

·use commercially reasonable efforts to: (a) defend all lawsuits or other legal, regulatory or other proceedings against itself or any of its Subsidiaries challenging or affecting the Arrangement Agreement or the transactions contemplated in the Arrangement Agreement, (b) appeal, overturn or have lifted or rescinded any injunction or restraining order or other order relating to itself or any of its Subsidiaries which may materially adversely affect the ability of the Parties to consummate the Arrangement, and (c) appeal, overturn or otherwise have lifted or rendered non-applicable in respect of the Arrangement, any Law that makes consummation of the Arrangement illegal or otherwise prohibits or enjoins the Parties from consummating the Arrangement;

 

·carry out the terms of the Interim Order and Final Order; and

 

·subject to certain exceptions set out in the Arrangement Agreement, consider and approve any amendments to the Plan of Arrangement that are reasonably requested by another Party prior to the Interim Order which are reasonably expected to improve the tax efficiency of the Plan of Arrangement to U.S. resident shareholders of Yamana.

 

Yamana Employment Matters

 

Each of Yamana, Pan American and Agnico has acknowledged and agreed that the outstanding Yamana Equity Awards will be treated in accordance with the provisions of the Plan of Arrangement. In furtherance thereof, prior to the Effective Date and conditional upon the occurrence of the Effective Time, Yamana will, in the form and substance satisfactory to Pan American, amend, if necessary for greater certainty, the Yamana PSU Plan and any grant agreements pursuant thereto and take all other steps necessary or desirable to give effect to, upon the Effective Time, the modifications to the Yamana PSU Plan necessary to reflect (a) that Pan American is the successor to Yamana under the Yamana PSU Plan pursuant to its terms and (b) that any payments to be made on the redemption or settlement of the Yamana PSUs will be calculated by reference to the Pan American Shares.

 

Each of Yamana, Pan American and Agnico has also acknowledged that the Arrangement will result in a “change of control” for the purposes of certain of Yamana’s employment agreements and the Yamana Benefits Plans.

 

In addition:

 

(i)Pan American has agreed, after the Effective Time, to cause Yamana and its Subsidiaries (other than Subsidiaries comprising the Canadian Assets) and any successor to Yamana; and

 

(ii)Agnico has agreed, after the Effective Time, in respect of any Subsidiaries comprising the Canadian Assets,

 

to honour and comply in all material respects with the terms of all existing employment, indemnification, change in control, change of control, severance, termination or other compensation arrangements and employment and severance obligations of Yamana or any of its Subsidiaries that were entered into prior to the date of the Gold Fields Arrangement Agreement, or as disclosed pursuant to the Arrangement Agreement.

 

129

 

 

Regulatory Approvals

 

In respect of the Competition Act Approval, Pan American agreed to file, within ten Business Days after the Activation Time, a submission requesting an Advance Ruling Certificate or, in the alternative, a No Action Letter with the Commissioner.

 

Each of Yamana, Pan American and Agnico has agreed to, and to cause their respective Subsidiaries to, file, as promptly as practicable after the Activation Time, any other filings or notifications under any other applicable federal, provincial, state or foreign Law required to obtain any other Regulatory Approvals.

 

Each of Yamana, Pan American and Agnico has agreed to use its commercially reasonable efforts to: (a) obtain the Regulatory Approvals at the earliest possible date; (b) respond promptly to any request for additional information or documentary materials made by any Governmental Entity in connection with the Regulatory Approvals; and (c) make such further filings as may be necessary, proper or advisable in connection therewith. With respect to obtaining the Regulatory Approvals, the Parties have undertaken to cooperate with one another, provide such assistance as each other Party may reasonably request in connection with obtaining the Regulatory Approvals and keep the other Parties reasonably informed as to the progress of obtaining the Regulatory Approvals.

 

Each of Yamana, Pan American and Agnico has agreed not to enter into any transaction, investment, agreement, arrangement or joint venture or take any other action, the effect of which would reasonably be expected to make obtaining the Regulatory Approvals required under the Arrangement Agreement materially more difficult or challenging, or cause a material delay.

 

Each of Yamana, Pan American and Agnico has agreed to use its commercially reasonable efforts to take or cause to be taken all actions necessary or advisable on their respective parts to consummate the transactions contemplated by the Arrangement Agreement as promptly as practicable after the Activation Time.

 

Pre-Acquisition Reorganization

 

Subject to certain limitations as set forth in the Arrangement Agreement, Yamana has agreed that, at the request of Pan American and Agnico, it will use commercially reasonable efforts to perform such reorganizations of its corporate structure, capital structure, business, operations and assets or such other transactions as Pan American and Agnico may request prior to the Effective Date, acting reasonably (each, a “Pre-Acquisition Reorganization”), and to cooperate with Pan American and Agnico and their advisors to determine the nature of the Pre-Acquisition Reorganizations that might be undertaken and the manner in which they would most effectively be undertaken. Pan American and Agnico are required to provide written notice to Yamana of any proposed Pre-Acquisition Reorganization in reasonable written detail at least 15 Business Days prior to the Effective Time.

 

Yamana and its Subsidiaries will not be obligated to participate in any such Pre-Acquisition Reorganization unless such Pre-Acquisition Reorganization, in the opinion of Yamana, acting reasonably: (a) cannot reasonably be expected to result in any taxes being imposed on, or any adverse tax consequences to Yamana Shareholders incrementally greater than the taxes to such Party in connection with the consummation of the Arrangement absent any Pre-Acquisition Reorganization; (b) is not prejudicial to Yamana and its Subsidiaries, taken as a whole, or Yamana Securityholders in any material respect; (c) does not require Yamana to obtain the approval of Yamana Securityholders or proceed absent any required consent of any third party (including any Regulatory Approval); (d) does not result in any material breach by Yamana or any of its Subsidiaries of any Yamana Material Contract, Regulatory Approval or their respective organizational documents or applicable Law; (e) does not unreasonably interfere with Yamana’s material operations prior to the Effective Time; (f) does not require Yamana or its Subsidiaries to contravene any Contract, Regulatory Approval or applicable Laws, or their respective organizational documents; (g) can be completed prior to the Effective Date; and (h) does not impair the ability of Yamana to consummate, and will not prevent or materially delay the consummation of, the Arrangement, and would not reasonably be expected to prevent any Person from making a Yamana Superior Proposal.

 

130

 

 

Unless the Arrangement is not completed due to a breach by Yamana of the terms and conditions of the Arrangement Agreement or in circumstances that would give rise to the payment by Yamana of the Yamana Termination Fee, each of Pan American and Agnico has agreed that it will jointly and severally be responsible for all reasonable costs and expenses associated with any Pre-Acquisition Reorganization.

 

Certain Other Covenants and Agreements

 

The Arrangement Agreement contains certain other covenants and agreements, including covenants relating to:

 

·cooperation between Yamana, Pan American and Agnico in connection with public announcements and communications to Yamana Shareholders, Pan American Shareholders and Agnico Shareholders, as applicable;

 

·cooperation between (a) Yamana, Pan American and Agnico in the preparation and filing of this Circular and (b) Yamana and Pan American in the preparation and filing of the Pan American Circular;

 

·(a) the use of reasonable best efforts by Pan American to obtain approval of the listing for trading on the Nasdaq and TSX by the Effective Time of the Pan American Shares issuable pursuant to the Arrangement, (b) Agnico applying for and obtaining approval of the listing for trading on the NYSE and TSX by the Effective Time of the Agnico Shares issuable pursuant to the Arrangement; and (c) Yamana’s agreement to use reasonable best efforts to cooperate with Pan American and Agnico, as applicable, in connection with the foregoing;

 

·the use of commercially reasonable efforts by Pan American and Agnico to ensure that, at the Effective Time, the Pan American Share Consideration and the Agnico Share Consideration, as applicable, are either registered or qualified under all applicable U.S. Securities Laws, or exempt from such registration and qualification requirements;

 

·access by each Party to certain information about each of the other Parties during the period prior to the Effective Time and the Parties’ agreement to keep such information confidential; and

 

·indemnification of directors and officers of Yamana and its Subsidiaries in respect of claims arising from facts or events which occurred on or prior to the Effective Time.

 

Non-Solicitation Covenants

 

Each of Yamana and Pan American has agreed not to, and to cause their respective Subsidiaries and each of its and their respective directors, officers and employees not to, and to use their reasonable best efforts to cause their respective Representatives not to:

 

·solicit, assist, initiate, knowingly encourage or otherwise facilitate any inquiry, proposal or offer that constitutes or would reasonably be expected to constitute or lead to a Yamana Acquisition Proposal or a Pan American Acquisition Proposal, as applicable, except as expressly permitted in the Arrangement Agreement;

 

·enter into, engage in, continue or otherwise participate in any discussions or negotiations with any Person (other than the other Parties and their respective Subsidiaries and affiliates) in respect of any inquiry, proposal or offer that constitutes or would reasonably be expected to constitute or lead to a Yamana Acquisition Proposal or a Pan American Acquisition Proposal, as applicable;

 

·accept or enter into, or publicly propose to accept or enter into, any letter of intent, agreement in principle, agreement, arrangement or undertaking relating to any Yamana Acquisition Proposal or Pan American Acquisition Proposal, as applicable, except as expressly permitted by the Arrangement Agreement;

 

131

 

 

·(a) fail to make, or withdraw, amend, modify or qualify, in a manner adverse to Pan American or Agnico, in the case of Yamana, or Yamana, in the case of Pan American, or fail to publicly reaffirm (without qualification) the Yamana Board Recommendation or Pan American Board Recommendation, as applicable, within five Business Days (and in any case prior to the third Business Day prior to the date of the Yamana Meeting or the Pan American Meeting, as applicable) after having been requested in writing by, in the case of Yamana, Pan American or Agnico, or, in the case of Pan American, by Yamana, to do so (acting reasonably), (b) accept, approve, endorse or recommend a Yamana Acquisition Proposal or a Pan American Acquisition Proposal, as applicable (or publicly propose to do so), (c) take no position or a neutral position with respect to a Yamana Acquisition Proposal or a Pan American Acquisition Proposal, as applicable, for more than five Business Days (or beyond the third Business Day prior to the date of the Yamana Meeting or the Pan American Meeting, as applicable, if such date is sooner) after the public announcement of such Yamana Acquisition Proposal or Pan American Acquisition Proposal, as applicable, or (d) resolve or propose to take any of the foregoing actions; or

 

·make any public announcement or take any other action inconsistent with the Yamana Board Recommendation or the Pan American Board Recommendation, as applicable.

 

Each of Yamana and Pan American has agreed to, and to cause their respective Subsidiaries and Representatives to, immediately cease any existing solicitation, discussions, negotiations or other activities commenced prior to the Activation Time with any Person (other than the other Parties and their respective Subsidiaries and affiliates) with respect to any inquiry, proposal or offer that constitutes, or would reasonably be expected to constitute or lead to, a Yamana Acquisition Proposal or a Pan American Acquisition Proposal, as applicable.

 

Each of Yamana and Pan American has agreed to discontinue access to, and disclosure of, their and their respective Subsidiaries’ confidential information (and not allow access to or disclosure of any such confidential information, or any data room, virtual or otherwise), other than, in the case of Yamana, to Pan American, or, in the case of Pan American, to Yamana and Agnico, and to as soon as possible after the Activation Time, and in any event within two Business Days following the Activation Time request, and use its commercially reasonable efforts to exercise all rights it has to require the return or destruction of all confidential information regarding their and their respective Subsidiaries’ confidential information previously provided in connection therewith to any Person other than to the other Parties, as applicable, to the extent such information has not already been returned or destroyed and use commercially reasonable efforts to ensure that such obligations are fulfilled.

 

Each of Yamana and Pan American has agreed that (a) it shall enforce each standstill, confidentiality, non-disclosure, business purpose, use or similar agreement or restriction to which it or its Subsidiaries is a party; and (b) neither it nor any of its Subsidiaries nor any of their respective Representatives has within the 12 months prior to the date of the Arrangement Agreement or will, without the prior written consent of Pan American and Agnico, in the case of Yamana or of Yamana, in the case of Pan American, release any Person from, or waive, amend, suspend or otherwise modify such Person’s obligations respecting Yamana or Pan American, as applicable, under any standstill, confidentiality, non-disclosure, business purpose, use or similar agreement or restriction to which it or any of its Subsidiaries is a party.

 

Yamana must notify Pan American and Agnico and Pan American must notify Yamana as soon as practicable, and in any event within 24 hours, of any inquiry, proposal or offer that constitutes or would reasonably be expected to constitute or lead to a Yamana Acquisition Proposal or a Pan American Acquisition Proposal, as applicable, that it receives or otherwise becomes aware of, and keep, in the case of Yamana, Pan American and Agnico, or, in the case of Pan American, Yamana, promptly and fully informed of the material developments and discussions and negotiations with respect to such Yamana Acquisition Proposal or Pan American Acquisition Proposal, as applicable.

 

132

 

 

If at any time following the Activation Time and prior to Yamana receiving the Yamana Shareholder Approval or Pan American receiving the Pan American Shareholder Approval, as applicable, Yamana or Pan American, respectively, receives an unsolicited bona fide written Yamana Acquisition Proposal or Pan American Acquisition Proposal, as applicable, that did not result from a breach of the Arrangement Agreement (and which has not been withdrawn) and the Yamana Board or Pan American Board, as applicable, determines, in good faith after consultation with its respective outside financial and legal advisors, that such Yamana Acquisition Proposal or Pan American Acquisition Proposal, respectively, constitutes or would reasonably be expected to constitute a Yamana Superior Proposal or a Pan American Superior Proposal, respectively (disregarding, for the purposes of such determination, any due diligence or access condition to which such Yamana Acquisition Proposal or Pan American Acquisition Proposal, as applicable, is subject), then Yamana or Pan American, as applicable, may (x) enter into, participate in, facilitate and maintain discussions or negotiations with, and otherwise cooperate with or assist, the Person making such Yamana Acquisition Proposal or Pan American Acquisition Proposal, as applicable, and (y) provide the Person making such Yamana Acquisition Proposal or Pan American Acquisition Proposal, as applicable, with, or access to, confidential information regarding itself and its Subsidiaries, but only to the extent that, in the case of Yamana, Pan American and Agnico, or in the case of Pan American, Yamana had previously been, or is concurrently, provided with, or access to, the same information, if, and only if: (i) prior to participating in any discussions or negotiations with such Person or providing such Person with, or access to, confidential information regarding itself and its Subsidiaries: (A) Yamana or Pan American, as applicable, promptly delivers a written notice to, in the case of Yamana, Pan American and Agnico, or, in the case of Pan American, Yamana, stating its intention to participate in such discussions or negotiations and to provide such Person with, or access to, confidential information, which notice will include confirmation of the determination by such Party’s board of directors that such Yamana Acquisition Proposal or Pan American Acquisition Proposal, as applicable, constitutes or would reasonably be expected to constitute a Yamana Superior Proposal or a Pan American Superior Proposal, as applicable; and (B) such Party has entered into a confidentiality and standstill agreement on terms no less favourable in aggregate to such Party than the Confidentiality Agreement, a final executed copy of which is provided to, in the case of Yamana, Pan American and Agnico, or, in the case of Pan American, Yamana; and (ii) such Party is in compliance with its non-solicitation covenants contained in the Arrangement Agreement.

 

Each of Yamana or Pan American may make a Yamana Change in Recommendation or a Pan American Change in Recommendation, respectively, and/or approve, accept or enter into an agreement to implement a Yamana Superior Proposal or a Pan American Superior Proposal, respectively, if and only if all of the following conditions are satisfied:

 

·the Yamana Board or Pan American Board, as applicable, has determined that the Yamana Acquisition Proposal or Pan American Acquisition Proposal, respectively, constitutes a Yamana Superior Proposal or a Pan American Superior Proposal, respectively;

 

·the Yamana Shareholder Approval or the Pan American Shareholder Approval, as applicable, has not been obtained;

 

·such Party has been, and continues to be, in compliance with its non-solicitation covenants contained in the Arrangement Agreement in all material respects;

 

·such Party provides, in the case of Yamana, Pan American and Agnico, or, in the case of Pan American, Yamana, with (A) written notice that such Party’s board of directors has determined that there is a Yamana Superior Proposal or Pan American Superior Proposal, as applicable, (B) confirmation of the determination by such Party’s board of directors of the value or range of values in financial terms that such board of directors, in consultation with its financial advisors, has determined should be ascribed to any non-cash consideration offered under such Yamana Superior Proposal or Pan American Superior Proposal, as applicable; (C) confirmation of the intention of such Party to enter into a definitive agreement with respect to such Yamana Superior Proposal or Pan American Superior Proposal, as and if applicable; and (D) a copy of the proposed definitive agreement for the Yamana Superior Proposal or Pan American Superior Proposal, as applicable, and all supporting materials;

 

·at least five Business Days (the “Response Period”) have elapsed from the date that, in the case of Yamana, Pan American and Agnico received, or, in the case of Pan American, Yamana received, the written notice and documentation referred to above;

 

133

 

 

·during the Response Period, in the case of Yamana, Pan American and Agnico, or, in the case of Pan American, Yamana, had the opportunity (but not the obligation) to offer to amend the Arrangement Agreement in order for such Yamana Acquisition Proposal or Pan American Acquisition Proposal, as applicable, to cease to be a Yamana Superior Proposal or Pan American Superior Proposal, respectively;

 

·if, in the case of Yamana, Pan American and Agnico have, or, in the case of Pan American, Yamana has, proposed to amend the terms of the Arrangement, the Yamana Board or Pan American Board, as applicable, after consultation with its respective outside financial and legal advisors, determines that the Yamana Acquisition Proposal or Pan American Acquisition Proposal, respectively, remains a Yamana Superior Proposal or Pan American Superior Proposal, respectively, compared to the proposed amendment to the terms of the Arrangement by Pan American and Agnico, on the one hand, or Yamana, on the other hand, if applicable; and

 

·prior to or concurrently with entering into a definitive agreement with respect to such Yamana Superior Proposal or Pan American Superior Proposal, as applicable, Yamana or Pan American, as applicable, terminates the Arrangement Agreement pursuant to the terms of the Arrangement Agreement and pays the Yamana Termination Fee or the Pan American Termination Fee, respectively.

 

Each successive modification of any Yamana Acquisition Proposal or Pan American Acquisition Proposal, as applicable, that results in an increase in, or modification of, the consideration (or value of such consideration) to be received by the Yamana Shareholders or the Pan American Shareholders, respectively, or other material terms or conditions thereof, will require a new written notice and a new Response Period commencing at the time of such new notice.

 

Notwithstanding any Yamana Change in Recommendation or Pan American Change in Recommendation, as applicable, unless the Arrangement Agreement has been terminated in accordance with its terms, the Party whose board of directors changed its recommendation must still hold the Yamana Meeting or the Pan American Meeting, as applicable, and allow the Yamana Shareholders or the Pan American Shareholders, respectively, to vote on the Arrangement Resolution or the Pan American Resolution, respectively, and such Party is not permitted, except in accordance with applicable Law, to submit to a vote of the Yamana Shareholders or the Pan American Shareholders, as applicable, any Yamana Acquisition Proposal or Pan American Acquisition Proposal, respectively, other than the Arrangement Resolution or the Pan American Resolution, respectively, prior to the termination of the Arrangement Agreement.

 

The Yamana Board or the Pan American Board, as applicable, will promptly reaffirm the Yamana Board Recommendation or the Pan American Board Recommendation, respectively, by press release after any Yamana Acquisition Proposal or Pan American Acquisition Proposal, respectively, that is determined to not be a Yamana Superior Proposal or a Pan American Superior Proposal, respectively, is publicly announced or the Yamana Board or the Pan American Board, as applicable, determines that a proposed amendment to the terms of the Arrangement Agreement would result in a Yamana Acquisition Proposal or a Pan American Acquisition Proposal, respectively, no longer being a Yamana Superior Proposal or a Pan American Superior Proposal, respectively.

 

Conditions Precedent

 

The completion of the Arrangement is subject to the satisfaction of the following conditions which may be waived, in whole or in part, with the mutual consent of the Parties:

 

·the Arrangement Resolution will have been duly approved by the Yamana Shareholders at the Yamana Meeting in accordance with the Interim Order and applicable Law;

 

·the Pan American Resolution will have been duly approved at the Pan American Meeting in accordance with applicable Law;

 

134

 

 

·the Interim Order and the Final Order will each have been obtained on terms consistent with the Arrangement Agreement and in form and substance acceptable to each of Pan American, Agnico and Yamana, acting reasonably, and will not have been set aside or modified in a manner unacceptable to Pan American, Agnico or Yamana, each acting reasonably, on appeal or otherwise;

 

·no Governmental Entity shall have enacted, issued, promulgated, enforced or entered any Order or Law which is in effect and has the effect of making the Arrangement illegal or otherwise preventing or prohibiting consummation of the Arrangement, including, for certainty, the transactions contemplated under the Conveyance Agreement;

 

·the Pan American Shares to be issued pursuant to the Arrangement will, subject to customary conditions, have been approved for listing on the Nasdaq and TSX;

 

·the Agnico Shares to be issued pursuant to the Arrangement will, subject to customary conditions, have been approved for listing on the NYSE and TSX;

 

·all of the Key Regulatory Approvals will have been obtained; and

 

·the Consideration Shares will be exempt from the registration requirements of the U.S. Securities Act pursuant to section 3(a)(10) thereof.

 

The obligation of Pan American and Agnico to complete the Arrangement is subject to the fulfillment of the following additional conditions, each of which may be waived by Pan American and Agnico (or solely in the case of Agnico as it relates to the final condition set out below), in whole or in part at any time, each in its sole discretion:

 

·(a) the representations and warranties of Yamana in the Arrangement Agreement regarding (i) organization and qualification, authority relative to the Arrangement Agreement, absence of certain changes or events and the Canadian Assets will be true and correct in all respects as of the date of the Arrangement Agreement, and as of the Effective Time as if made as at and as of such time, (ii) capitalization and Subsidiaries will be true and correct in all respects (other than de minimis inaccuracies) as of the date of the Arrangement Agreement, and as of the Effective Time as if made as at and as of such time, and (iii) all other matters will be true and correct in all respects as of the date of the Arrangement Agreement and as of the Effective Time as if made at and as of such time, except (in the case of clause (iii)) where the failure of such representations and warranties to be true and correct in all respects, individually or in the aggregate, does not constitute a Yamana Material Adverse Effect; and (b) Yamana will have provided to Pan American and Agnico a certificate of two senior officers of Yamana certifying (on Yamana’s behalf and without personal liability) the foregoing and dated the Effective Date;

 

·Yamana will have complied in all material respects with all of its covenants in the Arrangement Agreement and will have provided to Pan American and Agnico a certificate of two senior officers of Yamana certifying (on Yamana’s behalf and without personal liability) compliance with such covenants dated the Effective Date;

 

·there will not be pending or threatened in writing any proceeding by any Governmental Entity or any other Person that the Pan American Board and the Agnico Board have determined in good faith, in consultation with their outside legal advisors, is reasonably likely to result in an imposition of material limitations on the ability of Pan American or Agnico, as applicable, to complete the Arrangement or the Asset Sale, as applicable, or acquire or hold, or exercise full rights of ownership of, any Yamana Shares or the Canadian Assets, as applicable;

 

·since the date of the Arrangement Agreement, there will not have occurred, or have been disclosed to the public (if previously undisclosed to the public), any Yamana Material Adverse Effect that has not been cured, and Yamana will have provided to Pan American and Agnico a certificate of two senior officers of Yamana to that effect (on Yamana’s behalf and without personal liability);

 

135

 

 

·Dissent Rights will not have been exercised (or, if exercised, will not remain unwithdrawn) with respect to more than 5% of the issued and outstanding Yamana Shares; and

 

·as it relates to the Canadian Assets: (i) except as set forth in the Arrangement Agreement, Yamana will have not, leased, disposed of, licensed, or otherwise transferred or agreed to sell, lease, dispose of, license or otherwise transfer any of the Canadian Assets, other than (A) sales and dispositions of raw materials, obsolete or surplus equipment, mine output and other inventories, in each case only in the ordinary course of business, or (B) Permitted Liens; (ii) Yamana will have good title to the Canadian Assets, and the Canadian Assets will be free and clear of all Liens, other than Permitted Liens; and (iii) there will have been no breach or non-compliance by Yamana with its covenants, representations or warranties in the Arrangement Agreement that has resulted in, or is reasonably likely to result in, a material adverse change in respect of the Canadian Assets.

 

The obligation of Yamana to complete the Arrangement is subject to the fulfillment of each of the following additional conditions, each of which may be waived by Yamana, in whole or in part at any time, in its sole discretion:

 

·(a) the representations and warranties of Pan American in the Arrangement Agreement regarding (i) organization and qualification, authority relative to the Arrangement Agreement and absence of certain changes or events will be true and correct in all respects as of the date of the Arrangement Agreement, and as of the Effective Time as if made as at and as of such time; (ii) capitalization will be true and correct in all respects (other than de minimis inaccuracies) as of the date of the Arrangement Agreement, and as of the Effective Time as if made as at and as of such time, and (iii) all other matters will be true and correct in all respects as of the date of the Arrangement Agreement and as of the Effective Time as if made at and as of such time, except where (in the case of clause (iii)) the failure of such representations and warranties to be true and correct in all respects, individually or in the aggregate, does not constitute a Pan American Material Adverse Effect; and (b) Pan American will have provided to Yamana a certificate of two senior officers of Pan American certifying (on Pan American’s behalf and without personal liability) the foregoing dated the Effective Date;

 

·(a) the representations and warranties of Agnico in the Arrangement Agreement regarding (i) organization and qualification, authority relative to the Arrangement Agreement and absence of certain changes or events will be true and correct in all respects as of the date of the Arrangement Agreement, and as of the Effective Time as if made as at and as of such time; (ii) capitalization will be true and correct in all respects (other than de minimis inaccuracies) as of the date of the Arrangement Agreement, and as of the Effective Time as if made as at and as of such time, and (iii) all other matters will be true and correct in all respects as of the date of the Arrangement Agreement and as of the Effective Time as if made at and as of such time, except where (in the case of clause (iii)) the failure of such representations and warranties to be true and correct in all respects, individually or in the aggregate, does not constitute an Agnico Material Adverse Effect; and (b) Agnico will have provided to Yamana a certificate of two senior officers of Agnico certifying (on Agnico’s behalf and without personal liability) the foregoing dated the Effective Date;

 

·Pan American and Agnico will have each complied in all respects with each of its covenants in the Arrangement Agreement regarding payment of Consideration and in all material respects regarding each of its other covenants in the Arrangement Agreement, and each will have provided to Yamana a certificate of two senior officers of Pan American and a certificate of two senior officer of Agnico, as applicable, certifying (on Pan American’s behalf and without personal liability and on Agnico’s behalf and without personal liability, respectively) compliance with such covenants dated the Effective Date; and

 

136

 

 

·since the date of the Arrangement Agreement, there will not have occurred, or have been disclosed to the public (if previously undisclosed to the public), any Pan American Material Adverse Effect that has not been cured or any Agnico Material Adverse Effect that has not been cured, and Pan American and Agnico will have each provided to Yamana a certificate of two senior officers of Pan American and a certificate of two senior officer of Agnico, respectively, to that effect (on Pan American’s behalf and without personal liability and on Agnico’s behalf and without personal liability, respectively).

 

Termination of the Arrangement Agreement

 

Termination by Either Party

 

The Arrangement Agreement may be terminated prior to the Effective Time by mutual written agreement of the Parties or by any of Yamana, Pan American or Agnico if:

 

·the Effective Time has not occurred on or before the Outside Date, except that the right to terminate the Arrangement Agreement will not be available to any Party whose failure to fulfill any of its obligations or breach of any of its representations or warranties under the Arrangement Agreement has been the cause of, or resulted in, such failures;

 

·a final and non-appealable Law, Order or enjoinment has been enacted, entered or promulgated following the execution of the Arrangement Agreement that remains in effect and makes the consummation of the Arrangement illegal or otherwise prohibits or enjoins any of the Parties from consummating the Arrangement;

 

·Yamana Shareholder Approval is not obtained at the Yamana Meeting, except that the right to terminate the Arrangement Agreement will not be available to any Party whose failure to fulfill any of its obligations or breach of any of its representations or warranties under the Arrangement Agreement has been the cause of, or resulted in, such failure; or

 

·Pan American Shareholder Approval is not obtained at the Pan American Meeting, except that the right to terminate the Arrangement Agreement will not be available to any Party whose failure to fulfill any of its obligations or breach of any of its representations or warranties under the Arrangement Agreement has been the cause of, or resulted in, such failure.

 

Termination by Yamana

 

The Arrangement Agreement may be terminated prior to the Effective Time by Yamana if:

 

·the Pan American Board makes a Pan American Change in Recommendation and/or Pan American or any of its Subsidiaries accepts, approves, executes or enters into an agreement to implement a Pan American Superior Proposal;

 

·Pan American has breached its non-solicitation covenants contained in the Arrangement Agreement in any material respect;

 

·a Pan American Material Adverse Effect has occurred which is incapable of being cured prior to the Outside Date;

 

·an Agnico Material Adverse Effect has occurred which is incapable of being cured prior to the Outside Date;

 

·Pan American or Agnico have breached any of their respective representations or warranties or failed to perform any of their respective covenants or agreements, which breach or failure to perform would cause any condition relating to Pan American’s or Agnico’s representations, warranties or covenants not to be fulfilled and such conditions are incapable of being satisfied by the Outside Date; or

 

137

 

 

·prior to the Yamana Shareholder Approval, Yamana enters into, or the Yamana Board authorizes Yamana to enter into, a written agreement (other than a confidentiality agreement as expressly permitted by the terms of the Arrangement Agreement) with respect to a Yamana Superior Proposal in accordance with the terms of the Arrangement Agreement, provided that Yamana is and has been in compliance with its non-solicitation covenants contained in the Arrangement Agreement and that prior to or concurrent with such termination Yamana pays the Yamana Termination Fee in accordance with the terms of the Arrangement Agreement.

 

Termination by Pan American and Agnico

 

The Arrangement Agreement may be terminated prior to the Effective Time by Pan American and Agnico if:

 

·the Yamana Board makes a Yamana Change in Recommendation and/or Yamana or any of its Subsidiaries accepts, approves, executes or enters into an agreement to implement a Yamana Superior Proposal;

 

·Yamana has breached its non-solicitation covenants contained in the Arrangement Agreement in any material respect;

 

·a Yamana Material Adverse Effect has occurred which is incapable of being cured prior to the Outside Date; or

 

·Yamana has breached any of its representations or warranties or failed to perform any of its covenants or agreements, which breach or failure to perform would cause any condition relating to Yamana’s representations, warranties or covenants or the closing condition related to the Canadian Assets not to be fulfilled and such conditions are incapable of being satisfied by the Outside Date.

 

Termination by Pan American

 

The Arrangement Agreement may be terminated prior to the Effective Time by Pan American if, prior to the Pan American Shareholder Approval, Pan American enters into, or the Pan American Board authorizes Pan American to enter into, a written agreement (other than a confidentiality agreement as expressly permitted by the terms of the Arrangement Agreement) with respect to a Pan American Superior Proposal in accordance with the terms of the Arrangement Agreement, provided that Pan American is and has been in compliance with its non-solicitation covenants contained in the Arrangement Agreement and that prior to or concurrent with such termination Pan American pays the Pan American Termination Fee in accordance with the terms of the Arrangement Agreement.

 

Termination Fees Payable to Yamana and Pan American

 

Yamana is required to pay the Yamana Termination Fee to Pan American in the event that the Arrangement Agreement is terminated:

 

·by Pan American and Agnico due to: (a) the occurrence of a Yamana Change in Recommendation, (b) Yamana or any of its Subsidiaries accepting, approving, executing or entering into an agreement to implement a Yamana Superior Proposal, or (c) Yamana breaching its non-solicitation covenants in any material respect;

 

·by Yamana due to Yamana entering into, or the Yamana Board authorizing Yamana to enter into, a written agreement (other than a confidentiality agreement as expressly permitted by the terms of the Arrangement Agreement), prior to the Yamana Shareholder Approval, with respect to a Yamana Superior Proposal in accordance with the terms of the Arrangement Agreement;

 

·by any Party due to a failure to obtain the Yamana Shareholder Approval following a Yamana Change in Recommendation; or

 

138

 

 

·by any Party due to the Effective Time not occurring prior to the Outside Date or a failure to obtain the Yamana Shareholder Approval, or by Pan American and Agnico if Yamana is in breach of its representations, warranties, or covenants under the Arrangement Agreement, but only, in each case, if:

 

(a)prior to such termination, a bona fide Yamana Acquisition Proposal has been made and publicly announced by any Person (other than Pan American and its affiliates) and is not withdrawn at least five Business Days prior to the date of the Yamana Meeting; and

 

(b)within 12 months following the date of such termination, either (i) Yamana or one or more of its Subsidiaries enters into a Contract (other than a confidentiality agreement) in respect of a Yamana Acquisition Proposal (whether or not such Yamana Acquisition Proposal is the same Yamana Acquisition Proposal referred to in paragraph (a) above) and such Yamana Acquisition Proposal is later consummated (whether or not within 12 months after such termination) or (ii) a Yamana Acquisition Proposal has been consummated (whether or not such Yamana Acquisition Proposal is the same Yamana Acquisition Proposal referred to in paragraph (a) above); provided that for the purposes of this provision, references to “20%” in the definition of Yamana Acquisition Proposal are deemed to be references to “50%”.

 

The Arrangement Agreement provides that Pan American and/or Agnico, jointly and severally, are required to pay the Pan American Termination Fee to Yamana in the event that the Arrangement Agreement is terminated (except in the case where the Arrangement Agreement is terminated in accordance with the second bullet below, in which case Pan American will have the sole obligation to pay the Pan American Termination Fee):

 

·by Yamana due to: (a) the occurrence of a Pan American Change in Recommendation, (b) Pan American or any of its Subsidiaries accepting, approving, executing or entering into an agreement to implement a Pan American Superior Proposal, or (c) Pan American breaching its non-solicitation covenants in any material respect;

 

·by Pan American due to Pan American entering into, or the Pan American Board authorizing Pan American to enter into, a written agreement (other than a confidentiality agreement as expressly permitted by the terms of the Arrangement Agreement), prior to the Pan American Shareholder Approval, with respect to a Pan American Superior Proposal in accordance with the terms of the Arrangement Agreement;

 

·by any Party due to a failure to obtain the Pan American Shareholder Approval following a Pan American Change in Recommendation; or

 

·by any Party due to the Effective Time not occurring prior to the Outside Date or a failure to obtain the Pan American Shareholder Approval, or by Yamana if Pan American or Agnico is in breach of its representations, warranties or covenants under the Arrangement Agreement, but only, in each case, if:

 

(a)prior to such termination, a bona fide Pan American Acquisition Proposal has been made and publicly announced by any Person (other than Yamana and its affiliates) and is not withdrawn at least five Business Days prior to the date of the Pan American Meeting; and

 

(b)within 12 months following the date of such termination, either (i) Pan American or one or more of its Subsidiaries enters into a Contract (other than a confidentiality agreement) in respect of a Pan American Acquisition Proposal (whether or not such Pan American Acquisition Proposal is the same Pan American Acquisition Proposal referred to in paragraph (a) above) and such Pan American Acquisition Proposal is later consummated (whether or not within 12 months after such termination) or (ii) a Pan American Acquisition Proposal has been consummated (whether or not such Pan American Acquisition Proposal is the same Pan American Acquisition Proposal referred to in paragraph (a) above); provided that for the purposes of this provision, references to “20%” in the definition of Pan American Acquisition Proposal are deemed to be references to “50%”.

 

Pan American and Agnico have separately agreed between them that Pan American shall be solely responsible to pay the full amount of the Pan American Termination Fee unless Agnico breaches any of its material obligations under the cooperation agreement entered into between Pan American and Agnico or the Arrangement Agreement and such breach results directly in, and is the sole cause of, Pan American becoming liable for the Pan American Termination Fee.

 

139

 

 

Amendments, Extensions and Waivers

 

Amendments

 

Subject to the provisions of the Interim Order, the Plan of Arrangement and applicable Law, the Arrangement Agreement and the Plan of Arrangement may, at any time and from time to time before or after the holding of the Yamana Meeting but not later than the Effective Time, be amended by mutual written agreement of the Parties, without further notice to or authorization on the part of Yamana Shareholders.

 

Extensions and Waivers

 

At any time prior to the completion of the Arrangement, any Party may: (a) extend the time for the performance of any of the obligations or other acts of any other Party; (b) waive compliance, except as provided in the Arrangement Agreement, with any agreements of any other Party or the fulfillment of any conditions to its own obligations; or (c) waive inaccuracies in any representations or warranties of any other Party; provided that, any such extension or waiver will only be valid if it is set forth in an instrument in writing signed on behalf of such Party and, unless otherwise provided in the written waiver, will be limited to the specific breach or condition waived.

 

Conveyance Agreement

 

As a step in the Plan of Arrangement, the transactions contemplated by the Conveyance Agreement shall become effective. The following summarizes material provisions of the Conveyance Agreement. The rights and obligations of the Parties are governed by the express terms and conditions of the Conveyance Agreement and not by this summary or any other information contained in this Circular.

 

Pursuant to the Conveyance Agreement, Agnico will purchase Canadian Assets and assume Canadian Liabilities from Yamana, and Yamana will sell, transfer, assign, convey and set over to Agnico, as the sole registered and beneficial owner of, and with good and marketable title to all such Canadian Assets, free and clear of all Liens other than Permitted Liens.

 

For each Canadian Asset that requires a third-party consent to be transferred or assigned to Agnico from Yamana, and for which such third-party consent has not been received (a “Restricted Asset”), the transfer or assignment of such Restricted Asset will not be effective to transfer title until the applicable third-party consent has been received, waived, lapsed or terminated. Following the Effective Time, such Restricted Asset shall be held by Yamana or the Remaining Affiliate, as applicable, as bare trustee for the benefit and use of Agnico until such time as the applicable third party consent has been received, waived, lapsed or is otherwise terminated.

 

The aggregate purchase price payable by Agnico to Yamana for the Canadian Assets shall be equal to the aggregate of the following amounts: (i) the product of the Cash Consideration multiplied by the number of Yamana Shares (other than Dissent Shares); plus (ii) the product of the Agnico Share Value multiplied by the number of Agnico Payment Shares; plus (iii) the Fractional Share Amount; plus (iv) the Dissent Amount; plus (v) the amount of the Canadian Liabilities (the “Purchase Price”).

 

The Purchase Price shall be paid by Agnico, including: (a) the assumption of the Canadian Liabilities; (b) the issuance of the Agnico Payment Shares by Agnico to Yamana; and (c) the making of a cash payment equal to the Cash Consideration multiplied by the number of Yamana Shares (other than Dissent Shares), the Fractional Share Amount and the Dissent Amount to Yamana.

 

The “Canadian Assets” consist of the following:

 

(a)all of the issued and outstanding equity in the capital of Canadian Malartic Corporation, Canadian Malartic General Partnership, Yamana Gold Ontario Inc. and Yamana Gold Quebec Inc. (collectively, the “Canadian Subsidiaries” and any one of them, a “Canadian Subsidiary”);

 

(b)all intercompany debt and any other liabilities, obligations or amounts owed to Yamana or the Remaining Affiliates by a Canadian Subsidiary;

 

140

 

 

(c)all rights, title and interest to mining and mineral claims existing under the Laws of Canada or any Province or Territory therein, whether contractual, statutory or otherwise, and all assets relating to the foregoing real property rights and interest and all benefits and advantages due or accruing at any time under or with respect to the foregoing real property rights and interest, in each case, that are held by Yamana or any of the Remaining Affiliates; and

 

(d)all books and records relating to the assets above.

 

The “Canadian Liabilities” consist of the following:

 

(a)certain irrevocable standby letters of credit granted in connection with reclamation obligations on the mineral properties included in the Canadian Assets; and

 

(b)all intercompany debt and any other liabilities, obligations or amounts owed by Yamana or any of the Remaining Affiliates to a Canadian Subsidiary.

 

The Support Agreements

 

The following summarizes material provisions of the Support Agreements. This summary may not contain all of the information about the Support Agreements that is important to Yamana Shareholders. The rights and obligations of the Parties are governed by the express terms and conditions of the Support Agreements and not by this summary or any other information contained in this Circular. Yamana Shareholders are urged to read the forms of Support Agreements carefully and in their entirety, as well as this Circular, before making any decisions regarding the Arrangement. This summary is qualified in its entirety by reference to the forms of Support Agreements, which have been filed under Yamana’s issuer profile on SEDAR at www.sedar.com and on EDGAR at www.sec.gov.

 

On November 8, 2022, in connection with the Arrangement, (a) each of the Yamana Supporting Shareholders entered into a Yamana Support Agreement with Pan American and Agnico; and (b) each of the Pan American Supporting Shareholders entered into a Pan American Support Agreement with Yamana.

 

The Support Agreements set forth, among other things, the agreement of the Supporting Shareholders to (a) vote all of their securities entitled to vote in favour of the Arrangement Resolution or the Pan American Resolution, as applicable, and against any resolution, action, proposal, transaction or agreement proposed by any other Person that could reasonably be expected to adversely affect or reduce the likelihood of the successful completion of the Arrangement or delay or interfere with, the completion of the Arrangement; (b) deliver or cause to deliver to the applicable transfer agent duly executed proxies or voting instruction forms, as applicable, completed as specified in the Support Agreement by no later than ten Business Days prior to the Yamana Meeting or the Pan American Meeting, as applicable; (c) not take any other action of any kind, including voting or not voting any of the relevant securities, that would reasonably be expected to preclude, delay or interfere with the completion of the Arrangement; and (d) not, directly or indirectly, sell transfer, pledge or assign, or agree to sell, transfer, pledge or assign any relevant securities, other than as set out in the Support Agreements. The Yamana Supporting Shareholders have also agreed not to exercise any Dissent Rights or rights of appraisal in connection with the Arrangement.

 

The Support Agreements automatically terminate upon the earliest of: (a) mutual written agreement; (b) the termination of the Arrangement Agreement in accordance with its terms; and (c) the Effective Time. The Support Agreements may also be terminated by the Supporting Shareholder (a) if, in the case of the Yamana Support Agreements, either Pan American or Agnico, or, in the case of the Pan American Support Agreements, Yamana, varies the terms of the Arrangement Agreement in a manner that is materially adverse to the Supporting Shareholder without their consent (including, in the case of the Yamana Support Agreements, if either Pan American or Agnico decreases the amount of Consideration set out in the Arrangement Agreement) or (b) in the event of a Yamana Change in Recommendation or a Pan American Change in Recommendation, as applicable. If the Support Agreements are terminated, the Supporting Shareholders will be entitled to withdraw any form of proxy or power of attorney which it may have given with respect to their securities.

 

141

 

 

RIGHTS OF DISSENTING SHAREHOLDERS

 

Section 190 of the CBCA provides registered shareholders of any class of a corporation with the right to dissent from certain resolutions that effect extraordinary corporate transactions or fundamental corporate changes. The Interim Order expressly provides Registered Yamana Shareholders with Dissent Rights in respect of the Arrangement Resolution pursuant to section 190 of the CBCA, as modified by the Plan of Arrangement and the Interim Order. Only Registered Yamana Shareholders who exercise Dissent Rights in respect of the Arrangement Resolution in strict compliance with section 190 of the CBCA, as modified by the Plan of Arrangement and the Interim Order, will be entitled, in the event that the Arrangement becomes effective, to be paid by Yamana the fair value of the Yamana Shares held by such Dissenting Shareholders determined as at the close of business on the day before the Arrangement Resolution is adopted. Registered Yamana Shareholders who are considering exercising Dissent Rights should be aware that there can be no assurance that the fair value of their Yamana Shares as determined under the applicable provisions of the CBCA (as modified by the Plan of Arrangement and the Interim Order) will be more than or equal to the Consideration offered under the Arrangement and that the proceeds of disposition received by a Dissenting Shareholder may be treated in a different, and potentially more adverse, manner under Canadian federal income tax Laws, United States federal income tax Laws and United Kingdom tax Laws than had such shareholder exchanged their Yamana Shares for the Consideration pursuant to the Arrangement and that an investment banking opinion as to the fairness, from a financial point of view, of the consideration payable in a sale transaction, such as the Arrangement, is not an opinion as to, and does not otherwise address, “fair value” under section 190 of the CBCA. In addition, any judicial determination of fair value will result in delay of receipt by a Dissenting Shareholder of consideration for such Dissenting Shareholder’s Yamana Shares.

 

The following is a summary of the Dissent Rights in respect of the Arrangement Resolution as set forth in the provisions of the CBCA, as modified by the Plan of Arrangement and the Interim Order. Such summary is not a comprehensive statement of the procedures to be followed by a Dissenting Shareholder who seeks payment of the fair value of its Yamana Shares, and is qualified in its entirety by the reference to the text of section 190 of the CBCA, which is attached to this Circular as Schedule E, the text of the Interim Order, a copy of which is attached to this Circular as Schedule D and the text of the Plan of Arrangement, a copy of which is attached to this Circular as Schedule B. Pursuant to the Interim Order, Dissenting Shareholders are given rights analogous to rights of dissenting shareholders under the CBCA, as modified by the Plan of Arrangement and the Interim Order. A Dissenting Shareholder who intends to exercise Dissent Rights should carefully consider and comply with the provisions of section 190 of the CBCA, as modified by the Plan of Arrangement and the Interim Order. It is recommended that any Registered Yamana Shareholder wishing to exercise Dissent Rights seek legal advice, as failure to strictly comply with the provisions of the CBCA, as modified by the Plan of Arrangement and the Interim Order, and to adhere to the procedures established therein may prejudice their Dissent Rights and result in the loss of all rights thereunder.

 

In addition to any other restrictions under section 190 of the CBCA, as modified by the Plan of Arrangement and the Interim Order, none of the following Persons shall be entitled to exercise Dissent Rights: (a) any holder of Yamana RSUs, Yamana PSUs, and Yamana DSUs; (b) any Person (including any beneficial owner of Yamana Shares) who is not a Registered Yamana Shareholder as of the record date for the Yamana Meeting; and (c) any Yamana Shareholder who votes or has instructed a proxyholder to vote its Yamana Shares in favour of the Arrangement Resolution. A Non-Registered Yamana Shareholder, including holders of Yamana Depositary Interests, desiring to exercise Dissent Rights must make arrangements for the Yamana Shares beneficially owned by such Non-Registered Yamana Shareholder to be registered in such Non-Registered Yamana Shareholder’s name prior to the time the written objection to the Arrangement Resolution is required to be received by Yamana or, alternatively, make arrangements for the registered holder of such Yamana Shares to exercise Dissent Rights on the Non-Registered Yamana Shareholder’s behalf. For a holder of Yamana Depositary Interests, this requires that such holder first withdraw the Yamana Shares underlying its Yamana Depositary Interest from CREST in accordance with the procedures described in the CREST Manual and then have such Yamana Shares registered in the name of such holder prior to time the written objection to the Arrangement Resolution is required to be received by Yamana. Holders of Yamana Depositary Interests should contact Computershare UK at The Pavillions, Bridgwater Road, Bristol BS99 6ZY or by email at !UKALLDITeam2@computershare.co.uk, if they have any questions or need additional information or assistance with withdrawing the Yamana Shares underlying their Yamana Depositary Interests from CREST and having such Yamana Shares registered in the name of such holder.

 

142

 

 

Notwithstanding section 190(5) of the CBCA (pursuant to which a written objection may be provided at or prior to the Yamana Meeting), a Registered Yamana Shareholder entitled to vote at the Yamana Meeting who wishes to exercise their Dissent Rights is required to deliver a written objection (a “Dissent Notice”) to the Arrangement Resolution to Yamana not later than 4:00 p.m. (Toronto time) on the date that is two Business Days immediately preceding the Yamana Meeting (or any adjournment or postponement thereof). Such notice must be delivered to Yamana at Royal Bank Plaza, North Tower, 200 Bay Street, Suite 2200, Toronto, Ontario M5J 2J3, Attention: Sofia Tsakos, Senior Vice President, General Counsel and Corporate Secretary, with a copy to Cassels Brock & Blackwell LLP, 2100 Scotia Plaza, 40 King Street West, Toronto, Ontario, Canada M5H 3C2, Attention: Stephanie Voudouris, and must otherwise strictly comply with the dissent procedures described in this Circular. Failure to properly exercise Dissent Rights may result in the loss or unavailability of the right to dissent.

 

Only Registered Yamana Shareholders entitled to vote at the Yamana Meeting may dissent. In many cases, Yamana Shares beneficially owned by a Non-Registered Yamana Shareholder are registered either: (a) in the name of an Intermediary, or (b) in the name of a clearing agency (such as CDS) of which the Intermediary is a participant. Accordingly, a Non-Registered Yamana Shareholder, including a holder of Yamana Depositary Interests, will not be entitled to exercise its Dissent Rights directly (unless the Yamana Shares are re-registered in the Non-Registered Yamana Shareholder’s name). A Non-Registered Yamana Shareholder who wishes to exercise Dissent Rights should immediately contact the Intermediary with whom the Non-Registered Yamana Shareholder deals in respect of its Yamana Shares and either: (i) instruct the Intermediary to exercise Dissent Rights on the Non-Registered Yamana Shareholder’s behalf (which, if the Yamana Shares are registered in the name of CDS or other clearing agency, may require that such Yamana Shares first be re-registered in the name of the Intermediary); or (ii) instruct the Intermediary to re-register such Yamana Shares in the name of the Non-Registered Yamana Shareholder, in which case the Non-Registered Yamana Shareholder would be able to exercise Dissent Rights directly. For a holder of Yamana Depositary Interests, this requires that such holder first withdraw the Yamana Shares underlying its Yamana Depositary Interest from CREST in accordance with the procedures described in the CREST Manual and then have such Yamana Shares registered in the name of such holder prior to time the written objection to the Arrangement Resolution is required to be received by Yamana. Holders of Yamana Depositary Interests should contact Computershare UK at The Pavillions, Bridgwater Road, Bristol BS99 6ZY or by email at !UKALLDITeam2@computershare.co.uk, if they have any questions or need additional information or assistance with withdrawing the Yamana Shares underlying their Yamana Depositary Interests from CREST and having such Yamana Shares registered in the name of such holder.

 

The filing of a Dissent Notice does not deprive a Registered Yamana Shareholder of the right to vote at the Yamana Meeting. However, no Yamana Shareholder who has voted in favour of the Arrangement Resolution is entitled to dissent with respect to the Arrangement. Therefore, a Registered Yamana Shareholder who has submitted a Dissent Notice and who votes in favour of the Arrangement Resolution will no longer be considered a Dissenting Shareholders with respect to all Yamana Shares owned by such Person. Pursuant to section 190(4) of the CBCA, as modified by the Plan of Arrangement and the Interim Order, a Registered Yamana Shareholder may not exercise Dissent Rights in respect of only a portion of such holder’s Yamana Shares, but may dissent only with respect to all of the Yamana Shares held by such holder.

 

A vote against the Arrangement Resolution, an abstention from voting, or a proxy submitted instructing a proxyholder to vote against the Arrangement Resolution does not constitute a Dissent Notice, but a Registered Yamana Shareholder need not vote its Yamana Shares against the Arrangement Resolution in order to dissent. Similarly, the revocation of a proxy conferring authority on the proxyholder to vote in favour of the Arrangement Resolution does not constitute a Dissent Notice. However, any proxy granted by a Registered Yamana Shareholder who intends to dissent, other than a proxy that instructs the proxyholder to vote against the Arrangement Resolution, should be validly revoked in order to prevent the proxyholder from voting such Yamana Shares in favour of the Arrangement and thereby causing the Registered Yamana Shareholder to forfeit their Dissent Rights.

 

143

 

 

Yamana is required within 10 days after Yamana Shareholders adopt the Arrangement Resolution to notify each Dissenting Shareholder that the Arrangement Resolution has been adopted. Such notice is not required to be sent to any Yamana Shareholder that voted in favour of the Arrangement Resolution or who has withdrawn its Dissent Notice. Each such Dissenting Shareholder that has not withdrawn its Dissent Notice prior to the Yamana Meeting must, within 20 days after receipt of such notice (or, if such Yamana Shareholder does not receive such notice, within 20 days after learning that the Arrangement Resolution has been adopted), send to Yamana a written notice (a “payment demand”) containing such Dissenting Shareholder’s name and address, the number and Yamana Shares in respect of which the Dissenting Shareholder dissented, and a demand for payment of the fair value of such Yamana Shares and, within 30 days after sending such payment demand, send to Yamana at Royal Bank Plaza, North Tower, 200 Bay Street, Suite 2200, Toronto, Ontario M5J 2J3, Attention: Sofia Tsakos, Senior Vice President, General Counsel and Corporate Secretary, with a copy to Cassels Brock & Blackwell LLP, 2100 Scotia Plaza, 40 King Street West, Toronto, Ontario, Canada M5H 3C2, Attention: Stephanie Voudouris, the certificate(s) representing the Yamana Shares in respect of which such Dissenting Shareholder dissented.

 

Yamana or its transfer agent will endorse on the certificate(s) representing the Yamana Shares received from a Dissenting Shareholder and will forthwith return such certificate(s) to the Dissenting Shareholder. A Registered Yamana Shareholder who fails to send to Yamana, within the appropriate time frame, a Dissent Notice, a payment demand or the certificate(s) representing the Yamana Shares in respect of which the Dissenting Shareholder dissents, forfeits the right to make a claim under section 190 of the CBCA, as modified by the Plan of Arrangement and the Interim Order.

 

Under section 190(11) of the CBCA, as modified by the Plan of Arrangement and the Interim Order, on sending a payment demand to Yamana, a Dissenting Shareholder ceases to have any rights as a Yamana Shareholder in respect of its Yamana Shares other than the right to be paid the fair value of such holder’s Yamana Shares which fair value, is determined as of the close of business on the day before the Arrangement Resolution is adopted, except where: (a) the Dissenting Shareholder withdraws the payment demand before Yamana makes an offer to pay (as defined below) to the Dissenting Shareholder; (b) Yamana fails to make an offer to pay and the Dissenting Shareholder withdraws the payment demand; or (c) the Yamana Board revokes the Arrangement Resolution, in which case the Dissenting Shareholder’s rights as a Yamana Shareholder will be reinstated. In the case of (a) and (b) above, the Dissenting Shareholder shall be deemed to have participated in the Arrangement on the same basis as any non-Dissenting Shareholder as at and from the Effective Time.

 

A Dissenting Shareholder who duly exercises Dissent Rights in respect of such Dissenting Shareholder’s Yamana Shares and who is:

 

(a)ultimately entitled to be paid fair value for their Yamana Shares by Yamana: (i) will be deemed not to have participated in the Arrangement; (ii) will be deemed to have transferred and assigned such Dissent Shares (free and clear of any Liens) to Yamana; (iii) will be entitled to be paid the fair value of such Yamana Shares by Yamana, which fair value, notwithstanding anything to the contrary contained in the CBCA, will be determined as of the close of business on the day before the Arrangement Resolution was adopted; and (iv) will not be entitled to any other payment or consideration, including any payment that would be payable under the Arrangement if such Dissenting Shareholders had not exercised their Dissent Rights in respect of such Yamana Shares; or

 

(b)ultimately not entitled, for any reason, to be paid fair value for their Yamana Shares, will be deemed to have participated in the Arrangement on the same basis as a non-Dissenting Shareholder and will be entitled to receive only the Consideration that such Dissenting Shareholder would have received pursuant to the Plan of Arrangement if such Dissenting Shareholder had not exercised their Dissent Rights.

 

144

 

 

Pursuant to the Plan of Arrangement, in no circumstances is Pan American, Agnico, Yamana or any other Person required to recognize a Dissenting Shareholder as a holder of Yamana Shares or any interest therein from and after the Effective Time, and, as at the Effective Time, the names of the Dissenting Shareholders will be removed from the central register of Yamana Shareholders as to those Yamana Shares.

 

Yamana is required to send, not later than seven days after the later of: (a) the Effective Date; or (b) the day on which a payment demand is received from a Dissenting Shareholder, to each Dissenting Shareholder whose payment demand has been received, a written offer to pay (an “offer to pay”) for such Dissenting Shareholder’s Yamana Shares in an amount that Yamana considers to be the fair value thereof, accompanied by a statement showing the manner in which the fair value was determined. Every offer to pay, as between shares of the same class, must be on the same terms.

 

Yamana must pay for the Yamana Shares of a Dissenting Shareholder within 10 days after an offer to pay made as described above has been accepted by a Dissenting Shareholder, but any such offer to pay lapses if Yamana does not receive an acceptance thereof within 30 days after such offer to pay has been made.

 

If Yamana fails to make an offer to pay or if a Dissenting Shareholder fails to accept an offer to pay, Yamana may, within 50 days after the Effective Date or within such further period as a court may allow, apply to a court to fix the fair value of the Yamana Shares of such Dissenting Shareholder. There is no obligation of Yamana to apply to a court. If Yamana fails to make such an application, a Dissenting Shareholder may apply to a court for the same purposes within a further period of 20 days or within such further period as a court may allow. A Dissenting Shareholder is not required to give security for costs in such an application. Any such application by Yamana or a Dissenting Shareholder must be made to the Court in Ontario or a court having jurisdiction in the place where the Dissenting Shareholder resides if Yamana carries on business in that province.

 

Upon an application to a court, all Dissenting Shareholders whose Yamana Shares have not been purchased by Yamana will be joined as parties and be bound by the decision of the court, and Yamana will be required to notify each Dissenting Shareholder of the date, place and consequences of the application and of such Dissenting Shareholder’s right to appear and be heard in Person or by counsel. Upon any such application to a court, the court may determine whether any Person is a Dissenting Shareholder who should be joined as a party, and the court will then fix a fair value for the Yamana Shares of all Dissenting Shareholders. The final order of the Court will be rendered against Yamana in favour of each Dissenting Shareholder and for the amount of the Dissenting Shareholder’s Yamana Shares as fixed by the Court. The Court may, in its discretion, allow a reasonable rate of interest on the amount payable to each such Dissenting Shareholder from the Effective Date until the date of payment.

 

The above is only a summary of the Dissent Rights under section 190 of the CBCA, as modified by the Interim Order and the Plan of Arrangement. Any Yamana Shareholders that are considering exercising Dissent Rights should consult their own legal and financial advisors. Furthermore, Yamana Shareholders who are considering exercising Dissent Rights should be aware of the consequences under Canadian federal, United States federal and United Kingdom income tax Laws of exercising Dissent Rights. Accordingly, Yamana Shareholders should consult their own tax advisors for advice with respect to the tax consequences to them in respect of any such exercise of Dissent Rights.

 

The Arrangement Agreement provides that it is a condition to the obligations of Pan American and Agnico that Dissent Rights will not have been exercised (or, if exercised, will not remain unwithdrawn) with respect to more than 5% of the issued and outstanding Yamana Shares. See “Transaction Agreements – The Arrangement Agreement – Conditions”.

 

145

 

 

INFORMATION CONCERNING YAMANA

 

Yamana is a Canadian-based precious metals producer with significant gold and silver production, development stage properties, exploration properties, and land positions throughout the Americas, including Canada, Brazil, Chile and Argentina.

 

Yamana is a corporation organized under the CBCA. Yamana’s head office is located at 200 Bay Street, Royal Bank Plaza, North Tower, Suite 2200, Toronto, Ontario M5J 2J3 and its registered office is located at 2100 Scotia Plaza, 40 King Street West, Toronto, Ontario M4H 3C2.

 

Yamana is a reporting issuer in each of the provinces and territories of Canada. The Yamana Shares trade on the TSX under the trading symbol “YRI” and on the NYSE and the LSE under the trading symbol “AUY”.

 

For further information regarding Yamana, the development of its business and its business activities, see the Yamana AIF, which is incorporated by reference in this Circular and “Schedule H – Information Concerning Yamana”.

 

INFORMATION CONCERNING PAN AMERICAN

 

Pan American owns and operates silver and gold mines located in Mexico, Peru, Canada, Argentina and Bolivia. It also owns the Escobal mine in Guatemala that is currently not operating. Pan American provides enhanced exposure to silver through a large base of silver reserves and resources, as well as major catalysts to grow silver production. Pan American has a 28-year history of operating in Latin America, earning an industry-leading reputation for sustainability performance, operational excellence and prudent financial management.

 

Pan American is a corporation organized under the BCBCA. Pan American’s head office is located at 625 Howe Street, Suite 1440, Vancouver, British Columbia, Canada V6C 2T6 and its registered and records office is located at 1200 Waterfront Centre, 200 Burrard Street, Vancouver, British Columbia, Canada V7X 2T2.

 

Pan American is a reporting issuer in each of the provinces and territories of Canada.

 

The Pan American Shares trade on the Nasdaq and on the TSX under the trading symbol “PAAS”. Pan American has applied to list the Pan American Shares to be issued in connection with the Arrangement on the Nasdaq and the TSX and has received conditional approval from the TSX. Final approval of the TSX is conditional on the satisfaction by Pan American of customary conditions to listing imposed by the TSX, including approval of the Pan American Resolution by the Pan American Shareholders. Pan American anticipates receiving all required authorizations from the Nasdaq prior to the closing of the Arrangement.

 

For further details concerning Pan American, see “Information Concerning Pan American” and “Schedule I – Information Concerning Pan American”.

 

INFORMATION CONCERNING AGNICO

 

Agnico is a senior Canadian gold mining company, producing precious metals from operations in Canada, Australia, Finland and Mexico. It has a pipeline of high-quality exploration and development projects in these countries as well as in the United States and Colombia. Agnico is a partner of choice within the mining industry, recognized globally for its leading environmental, social and governance practices. Agnico was founded in 1957 and has consistently created value for its shareholders, declaring a cash dividend every year since 1983.

 

Agnico is a corporation organized under the OBCA. Agnico’s head and registered office is located at Suite 400, 145 King Street East, Toronto, Ontario, Canada M5C 2Y7; telephone number (416) 947-1212.

 

Agnico is a reporting issuer in each of the provinces and territories of Canada.

 

The Agnico Shares trade on the NYSE and on the TSX under the trading symbol “AEM”. Agnico has applied to list the Agnico Shares to be issued in connection with the Arrangement on the NYSE and the TSX and has received approval from the NYSE and conditional approval from the TSX. Final approval of the TSX is conditional on the satisfaction by Agnico of customary conditions to listing imposed by the TSX.

 

146

 

 

For further information regarding Agnico, the development of its business and its business activities, see “Schedule J – Information Concerning Agnico”.

 

INFORMATION CONCERNING THE COMBINED COMPANY FOLLOWING THE ARRANGEMENT

 

Notice to Reader

 

The following information about the Combined Company following completion of the Arrangement should be read in conjunction with documents incorporated by reference in this Circular, and the information concerning Yamana and Pan American, as applicable, appearing elsewhere in this Circular. Information included in this section under the headings “Pro Forma Capitalization” and “Selected Pro Forma Financial Information” pertaining to Yamana and Pan American, as applicable, has been furnished by Yamana and Pan American, respectively, and information included in this section under the heading “Directors and Officers of the Combined Company” has been furnished by Pan American. With respect to such information, the Yamana Board has relied exclusively upon Pan American, without independent verification by Yamana, and the Pan American Board has relied exclusively upon Yamana, without independent verification by Pan American.

 

See “Forward-Looking Information”, “Schedule G – Unaudited Pro Forma Consolidated Financial Statements”, “Schedule H – Information Concerning Yamana” and “Schedule I – Information Concerning Pan American”. Certain capitalized terms relating to Pan American used herein but not otherwise defined in this section have the meanings ascribed to them in Schedule I to this Circular.

 

Overview

 

The Arrangement will result in a strategic business combination of Yamana and Pan American, pursuant to which Pan American will acquire all of the issued and outstanding Yamana Shares.

 

Former Yamana Shareholders and Former Pan American Shareholders are expected to own approximately 42.4% and 57.6%, respectively, of the Pan American Shares, and thus the Combined Company, immediately after completion of the Arrangement (on a non-diluted basis), in each case based on the number of Yamana Shares and Pan American Shares issued and outstanding as of November 4, 2022.

 

Following completion of the Arrangement, the Combined Company’s head office will be located at 1440 - 625 Howe Street, Vancouver, British Columbia, Canada V6C 2T6 and the Combined Company’s registered office will be located at 1200 Waterfront Centre, 200 Burrard Street, Vancouver, British Columbia, Canada V7X 1T2, which is Pan American’s current head office and registered office, respectively.

 

The Combined Company will continue to be a corporation existing under the BCBCA. Upon completion of the Arrangement, the Combined Company will continue to be a reporting issuer in all of the provinces and territories of Canada and the Pan American Shares will continue to trade on the Nasdaq and the TSX, respectively, under the trading symbol “PAAS”.

 

Pan American does not intend to make an application for the admission of the Pan American Shares to the UK Official List or the LSE following completion of the Arrangement.

 

147

 

 

Description of the Business

 

On completion of the Arrangement, the Combined Company will hold the following mineral projects currently owned by Pan American and Yamana that each company had determined, respectively, were material to it prior to the Arrangement, other than the Canadian Assets:

 

Mine or Development Project  Country   Attributable Ownership 
La Colorada mine(1)   Mexico    100%
Dolores mine(1)   Mexico    100%
Huaron mine(1)   Peru    100%
Shahuindo mine(1)   Peru    100%
Bell Creek mine (1)   Canada    100%
Timmins West mine (1)   Canada    100%
Escobal mine(1)   Guatemala    100%
Jacobina mine (2)   Brazil    100%
El Peñón mine (2)   Chile    100%

 

Notes:

 

(1)Represents former material mines or development projects of Pan American.
(2)Represents former material operating mines or development projects of Yamana.

 

Further information regarding the La Colorada mine, the Escobal mine, the Bell Creek mine and the Timmins West mine, as well as information about Pan American’s non-material properties, can be found in the Pan American AIF, which is incorporated by reference herein. Further information regarding the Dolores mine, the Huaron mine and the Shahuindo mine can be found in Schedule I hereto. Further information regarding the Jacobina mine and the El Peñón mine, as well as information on Yamana’s non-material properties, can be found in the Yamana AIF, which is incorporated by reference herein.

 

The following graphic sets out the geographical distribution of the Combined Company’s material mining projects following completion of the Arrangement:

 

 

 

148

 

 

Organizational Structure

 

Following completion of the Arrangement, the Combined Company will continue to be a corporation existing under the BCBCA. A chart showing the corporate structure of the Combined Company following the completion of the Arrangement is set out in Schedule K hereto.

 

Description of Capital Structure

 

The authorized share capital of the Combined Company following completion of the Arrangement will continue to be as described in “Schedule I – Information Concerning Pan American – Price Range and Trading Volumes of Pan American Shares”, other than for the issuance of Pan American Shares in consideration for each outstanding Yamana Share as contemplated by the Arrangement. The rights and restrictions of the Pan American Shares will remain unchanged.

 

Dividend Policy

 

The dividend policy of the Combined Company following completion of the Arrangement will continue to be as described in “Schedule I – Information Concerning Pan American – Dividends”.

 

Directors and Officers of the Combined Company

 

Following the Effective Date, the President and the Chief Executive Officer of the Combined Company will be Michael Steinmann and the Chair of the Combined Company with be Gillian Winkler. In addition, the Combined Company Board will consist of 10 directors, comprised of seven members of the Pan American Board and three independent directors of Yamana, being the Board Appointees. Pan American has agreed to take and cause to be taken such commercially reasonable actions as are necessary to ensure that, promptly following the Effective Time, the Pan American Board includes the Board Appointees, including by increasing the size of the board and by facilitating the resignation of one existing member of the Pan American Board, being the Resigning Appointee.

 

Following the Effective Time, Pan American has agreed to use commercially reasonable efforts to submit an ordinary resolution to Pan American Shareholders at the next annual general meeting of Pan American Shareholders to increase the size of the Pan American Board to eleven directors, and management of Pan American will recommend to the Pan American Shareholders that such ordinary resolution be approved. Pan American has agreed to include the Board Appointees and the Resigning Appointee on the management slate of directors to be elected at such annual general meeting and to take commercially reasonable actions, including soliciting proxies in favour of their election to the Pan American Board, to have such Board Appointees and Resigning Appointee elected to the Pan American Board at such annual general meeting.

 

Pan American will work cooperatively with Yamana to determine the integration of Yamana management into the management team of Pan American on or prior to the Effective Time. Pan American will establish a transitionary integration period in which the Toronto office employees of Yamana will support Pan American to integrate and manage the business and operations of Yamana. Those at a Senior Vice President level and below at Yamana will be approached to continue to support the management of the business during this transitionary period and longer, as may be determined by Pan American.

 

Pro Forma Capitalization

 

The following table sets out the consolidated cash and cash equivalents and the consolidated capitalization of the Combined Company as at September 30, 2022 on a pro forma basis, giving effect to the Arrangement (as if it had closed on September 30, 2022) and certain related adjustments. The following table should be read together with the unaudited pro forma consolidated financial statements included in “Schedule G – Unaudited Pro Forma Consolidated Financial Statements”, the respective historical consolidated financial statements of Pan American and Yamana and the related management’s discussion and analysis.

 

149

 

 

As at September 30, 2022

(in millions of United States dollars)

  Pan American
(historical)
   Combined Company
(pro forma)
 
Cash and cash equivalents   153.1    684.4 
Long-term debt   21.7    795.8 
Issued Capital  3,137.7    5,605.0 
Total equity   2,363.0    4,769.5 

 

See “Forward-Looking Information”, “General Information – Pro Forma Financial Information”, “Risk Factors” and “Schedule G – Unaudited Pro Forma Consolidated Financial Statements”.

 

Selected Pro Forma Financial Information

 

Certain selected unaudited pro forma financial information is set forth in the following tables. Such information should be read in conjunction with the unaudited pro forma consolidated financial statements of Pan American after giving effect to the Arrangement for the year ended December 31, 2021 and as at and for the nine months ended September 30, 2022 included in “Schedule G – Unaudited Pro Forma Consolidated Financial Statements”.

 

Adjustments have been made to prepare the unaudited pro forma consolidated financial statements of Pan American, which adjustments are based on certain assumptions. Both the adjustments and the assumptions made in respect thereof are described in the notes to the unaudited pro forma consolidated financial statements set forth in “Schedule G – Unaudited Pro Forma Consolidated Financial Statements”.

 

The unaudited pro forma consolidated financial information is presented for illustrative purposes only and is not necessarily indicative of the operating or financial results that would have occurred had the Arrangement actually occurred at the times contemplated by the notes to the unaudited pro forma consolidated financial statements set forth in “Schedule G – Unaudited Pro Forma Consolidated Financial Statements” or of the results expected in future periods.

 

Pro Forma Consolidated Statement of Income

 

(in millions of United States dollars)  Nine months ended
September 30, 2022
   Year ended
December 31,
2021
 
Revenue   2,024.4    2,805.0 
Cost of sales   (1,700.0)   (2,049.0)
Mine Operating Earnings   324.4    756.0 
Other Costs and Expenses   (238.6)   (566.5)
Earnings from Operations   85.8    189.5 
Investment Loss   (17.5)   (59.7)
Interest and Finance Expense   (77.6)   (164.7)
Income Tax   (99.5)   (405.4)
Profit for the period   (108.8)   (440.3)
Per Combined Company Pan American Share:          

Pro Forma Basic earnings per share

   (0.29)   (1.05)
Pro Forma Diluted earnings per share   (0.29)   (1.05)

 

150

 

 

Pro Forma Consolidated Statement of Financial Position

 

(in millions of United States dollars)  As at September 30, 2022 
Total current assets   1,585.1 
Mineral properties, plant and equipment   6,630.1 
Long-term Investments   134.8 
All other assets   121.4 
Total assets   8,471.4 
Total current liabilities   1,047.7 
Total long-term debt   795.8 
All other liabilities   1,858.5 
Total liabilities   3,702.0 
Total equity   4,769.5 

 

Principal Holders of Pan American Shares Upon Completion of the Arrangement

 

Other than as disclosed below, to the knowledge of the directors and executive officers of Pan American, following completion of the Arrangement, no Person or company will beneficially own, directly or indirectly, or exercise control or direction over, voting securities of Pan American carrying 10% or more of the voting rights attached to any class of voting securities.

 

Name of Pan American
Shareholder(1)
  Pan American Shares Owned,
Controlled or Directed(2)
  Percent of Pan American
Shares
Van Eck Associates Corporation  39,135,279  10.74%

 

Notes:

 

(1)The information as to the number and percentage of voting securities beneficially owned, controlled or directed, directly or indirectly, has been obtained from publicly available filings.
(2)This information assumes Van Eck will continue to beneficially own, control or direct, directly or indirectly, as at the Effective Time, the number of Pan American Shares and Yamana Shares disclosed in publicly available filings as being beneficially owned, controlled or directed, directly or indirectly, by Van Eck.
(3)Van Eck has stated in filings made under applicable Securities Laws that it may be deemed to have control over, but not ownership of, the voting securities of Yamana that it holds. See “Other Information – Interest in Meeting Business and Material Transactions”.

 

Auditor, Transfer Agent and Registrar

 

Following completion of the Arrangement, the independent registered public accounting firm of the Combined Company will be Deloitte LLP located in Vancouver, British Columbia which is the current independent registered public accounting firm of Pan American. Following completion of the Arrangement, the transfer agent and registrar for the Pan American Shares will be Computershare Investor Services Inc. at its principal office in Vancouver, British Columbia, and Computershare Trust Company, N. A. at its office in Denver, Colorado, U.S.A.

 

Material Contracts

 

Other than as disclosed in this Circular (including Schedule I to this Circular) or in the documents incorporated by reference herein, there are no contracts to which the Combined Company is expected to be a party following completion of the Arrangement that can reasonably be regarded as material to a potential investor, other than contracts entered into by Pan American and Yamana in the ordinary course of business. For a description of the material contracts of Pan American, please refer to “Schedule I – Information Concerning Pan American – Material Contracts”, and for a description of the material contracts of Yamana, please refer to “Material Contracts” in the Yamana AIF, which is incorporated by reference herein.

 

151

 

 

Risk Factors

 

The business and operations of the Combined Company following completion of the Arrangement will continue to be subject to the risks currently faced by Yamana and Pan American, as well as certain risks unique to the Combined Company following completion of the Arrangement.

 

Readers should carefully consider the risk factors described under the heading “Risk Factors” in Schedule I to this Circular, the risk factors described under the heading “Risk Factors” in the Yamana AIF, which is incorporated by reference herein, as well as the risk factors set forth under the heading “Risk Factors” in this Circular. If any of the identified risks were to materialize, the Combined Company’s business, financial position, results and/or future operations may be materially affected.

 

Shareholders should also carefully consider all of the information disclosed in this Circular, including Schedule I to this Circular, and the documents incorporated by reference herein.

 

The risk factors that are identified in this Circular, including Schedule I to this Circular, and the documents incorporated by reference herein are not exhaustive and other factors may arise in the future that are currently not foreseen that may present additional risks in the future.

 

RISK FACTORS

 

Yamana Shareholders who vote in favour of the Arrangement Resolution will be voting in favour of combining the businesses of Yamana and Pan American, divesting of the Canadian Assets to Agnico and investing in the business of each of Pan American and Agnico. In assessing the Arrangement, you should carefully consider the risks described below which relate to the Arrangement, the failure to complete the Arrangement if, among other things, the Arrangement Resolution is not approved at the Yamana Meeting, the Pan American Resolution is not approved at the Pan American Meeting or if any other conditions precedent to the completion of the Arrangement are not satisfied or waived, as applicable, and the post-Arrangement business and operations of the Combined Company. Yamana Shareholders should also carefully consider the risks described under the heading “Risk Factors” in the Yamana AIF. In addition, Yamana Shareholders should carefully consider the risk factors which relate to each of Pan American and Agnico described under the heading “Risk Factors” in “Schedule I – Information Concerning Pan American” and “Risk Factors” and in “Schedule J – Information Concerning Agnico”, respectively, to this Circular. Readers are cautioned that such risk factors are not exhaustive and additional risks and uncertainties, including those currently unknown or considered immaterial to Yamana may also adversely affect Yamana, Pan American or Agnico prior to the Arrangement, or the Combined Company following completion of the Arrangement.

 

Risk Factors Relating to the Arrangement

 

The completion of the Arrangement is subject to the satisfaction or waiver of several conditions precedent

 

The completion of the Arrangement is subject to a number of conditions precedent, some of which are outside of the control of Yamana, including, among other things, receipt of the Yamana Shareholder Approval, the Pan American Shareholder Approval, the Final Order, the Mexican Competition Law Approval, and the Stock Exchange Approvals, there not having occurred a Material Adverse Effect in respect of any of Yamana, Pan American or Agnico, Yamana Shareholders not having validly exercised Dissent Rights with respect to more than 5% of the issued and outstanding Yamana Shares, and the satisfaction of certain other customary closing conditions. In addition, the regulatory approval processes may take a lengthy period of time to complete, which could delay completion of the Arrangement.

 

There can be no certainty, nor can Yamana provide any assurance, that all conditions precedent to the Arrangement will be satisfied or waived, nor can there be any certainty of the timing of their satisfaction or waiver. See “The Transaction Agreements – The Arrangement Agreement – Conditions Precedent”.

 

152

 

 

Yamana’s outstanding senior notes contain change of control provisions that, if triggered, may require Pan American to refinance such notes at significantly higher rates of interest

 

Yamana’s US$500 million aggregate principal amount of 2.63% senior notes due August 2031 and US$300 million aggregate principal amount of 4.625% senior notes due December 2027 (collectively, the “Senior Notes”) each contain provisions requiring Yamana to offer to purchase the Senior Notes at a price of 101% of the aggregate principal amount, plus accrued and unpaid interest, upon the occurrence of a Change of Control Repurchase Event (as defined in the indenture, including the supplements thereto, governing the Senior Notes (as amended, supplemented or otherwise modified from time to time in accordance with the terms thereof, the “Indenture”)). A Change of Control Repurchase Event occurs if each of Moody’s and S&P downgrades the Senior Notes by at least one “notch” and, following such downgrade, the Senior Notes are rated below investment grade by each of Moody’s and S&P, on any date during the 60-day period (which period shall be extended so long as the rating of the Senior Notes is under publicly announced consideration for a possible downgrade by either Moody’s or S&P) after the earlier of the (i) public announcement by Yamana of any Change of Control (as defined in the Indenture) or pending Change of Control, or (ii) consummation of such Change of Control. If the Arrangement results in a Change of Control Repurchase Event, Pan American or Yamana would be required to offer to purchase the Senior Notes and Pan American would be required to use its cash or obtain additional financing to fund such offer. Such additional financing may not be available on acceptable terms, if at all, and any additional debt financing would be expected to be obtained at rates of interest that are significantly higher than the rates of interest currently payable in respect of the Senior Notes. Any failure to complete such a Change of Control offer would result in a default under the Indenture. Pan American has received a commitment from a Canadian chartered bank to underwrite an upsized revolving credit facility of up to US$750 million following closing of the Arrangement and a term loan of up to US$500 million, for a combined total credit commitment of up to US$1.250 billion, at interest rates that are higher than the Senior Notes. For a discussion of Yamana’s credit ratings, see “Schedule H – Information Concerning Yamana – Credit Ratings”.

 

The Arrangement Agreement may be terminated by the Parties in certain circumstances

 

The Arrangement Agreement may be terminated by the Parties in certain circumstances, in which case the Arrangement will not be completed. Accordingly, there is no certainty, nor can Yamana provide any assurance, that the Arrangement Agreement will not be terminated by any of Yamana, Pan American or Agnico before the completion of the Arrangement. If the Arrangement Agreement is terminated and the Yamana Board decides to seek another merger or business combination, there can be no assurance that it will be able to find a party willing to agree to an equivalent or more attractive price than the price to be paid pursuant to the Arrangement. See “Transaction Agreements – The Arrangement Agreement – Termination of the Arrangement Agreement”.

 

The failure to complete the Arrangement could negatively impact Yamana and have an adverse impact on the market price of the Yamana Shares or the Yamana Depositary Interests and/or on the current and future business, financial condition and prospects of Yamana

 

If the Arrangement is not completed for any reason, including a failure to satisfy the conditions precedent or a termination of the Arrangement Agreement, there are risks that such failure to complete the Arrangement could adversely impact the market price of the Yamana Shares or the Yamana Depositary Interests to the extent that the current market price of the Yamana Shares or the Yamana Depositary Interests reflects a market assumption that the Arrangement will be completed. Depending on the reasons for the Arrangement not being completed, such failure to complete the Arrangement could have an adverse impact on the current and future business, operations, results of operations, financial condition and prospects of Yamana.

 

153

 

 

The market value of the Consideration Shares to be issued in connection with the Arrangement has and may continue to fluctuate between the date of the Arrangement Agreement and the completion of the Arrangement

 

Pursuant to the Arrangement, at the Effective Time, each Yamana Shareholder will be entitled to receive US$1.0406 in cash from Agnico, 0.1598 of a Pan American Share and 0.0376 of an Agnico Share for each Yamana Share or Yamana Depositary Interest held at the Effective Time, subject to adjustment in accordance with the Arrangement Agreement. Because the Consideration is fixed and will not increase or decrease due to fluctuations in the market price of the Pan American Shares, the Agnico Shares, the Yamana Shares or the Yamana Depositary Interests, or due to fluctuations in the prevailing foreign exchange rates, the market value represented by the Consideration has and may continue to fluctuate. The market value of each of the Pan American Shares, the Agnico Shares and the Yamana Shares and the Yamana Depositary Interests could fluctuate significantly prior to the Effective Date in response to various factors and events, including, without limitation, the differences between the Parties’ actual financial or operating results and those expected by investors and analysts, changes in analysts’ projections or recommendations, changes in, or market perceptions of changes in, the business, operations or prospects of Yamana, Pan American and/or Agnico, market assessments of the likelihood the Arrangement will be consummated, regulatory considerations, changes in general economic or market conditions, changes in the prices of gold, changes in interest rates and general macro-economic conditions, broad market fluctuations and other factors over which none of Pan American, Agnico nor Yamana has control. If the market price of the Pan American Shares or the Agnico Shares declines, the value of the consideration to be received by Yamana Shareholders at the Effective Time will decline as well. As a result of such fluctuations, historical market prices are not indicative of future market prices or the market value of the Pan American Shares and the Agnico Shares that Yamana Shareholders will receive on the Effective Date. There can be no assurance that the market value of the Consideration that Yamana Shareholders receive on the Effective Date will equal or exceed the market value of the Yamana Shares or Yamana Depositary Interests held by such Yamana Shareholders after the date hereof and prior to the Effective Date. There can also be no assurance that the trading price of the Pan American Shares or the Agnico Shares will not decline or experience volatility following the completion of the Arrangement.

 

The Parties will incur substantial costs in connection with the proposed Arrangement, even if the Arrangement is not completed. In certain circumstances, Yamana may be required to pay the Yamana Termination Fee

 

Yamana and Pan American have incurred and expect to incur additional material non-recurring expenses in connection with the Arrangement and completion of the transactions contemplated by the Arrangement Agreement, including the US$300 million termination fee, less applicable withholding taxes, that was paid to Gold Fields in connection with the termination of the Gold Fields Arrangement Agreement, US$150 million of which was funded by Pan American to Yamana, and costs relating to obtaining required shareholder and regulatory approvals. Additional unanticipated costs may be incurred by the Combined Company in the course of coordinating the businesses of Yamana and Pan American after completion of the Arrangement, and may be incurred by Agnico in the course of integrating the remaining Canadian Assets. If the Arrangement is not completed, Yamana will need to pay certain costs relating to the Arrangement incurred prior to the date the Arrangement was abandoned, such as legal, accounting, financial advisory, proxy solicitation and printing fees, as well as the US$150 million in respect of the termination fee paid to Gold Fields in connection with the termination of the Gold Fields Arrangement Agreement. In addition, if the Arrangement is not completed for certain reasons, Yamana may be required to pay the Yamana Termination Fee to Pan American. Such costs may be significant and could have an adverse effect on Yamana’s cash resources, cash flows and financial condition.

 

154

 

 

The Yamana Termination Fee may discourage third parties from attempting to acquire Yamana

 

If the Arrangement Agreement is terminated for certain reasons, Yamana may be required to pay the Yamana Termination Fee to Pan American, in addition to the US$150 million in respect of the termination fee that was previously paid to Gold Fields in connection with the termination of the Gold Fields Arrangement Agreement, all of which may discourage other parties from making a Yamana Acquisition Proposal, even if such Yamana Acquisition Proposal could provide greater value to Yamana Shareholders than the Arrangement. Even if the Arrangement Agreement is terminated without payment of the Yamana Termination Fee, Yamana has already paid US$150 million in respect of the termination fee to Gold Fields in connection with the termination of the Gold Fields Arrangement Agreement and may, in the future, be required to pay the Yamana Termination Fee in certain circumstances. Accordingly, if the Arrangement is not consummated and the Arrangement Agreement is terminated, Yamana may not be able to consummate a Yamana Acquisition Proposal that could provide greater value than what is provided for under the Arrangement without paying the Yamana Termination Fee. In addition, payment of the Yamana Termination Fee, together with the payment of US$150 million in respect of the termination fee paid to Gold Fields in connection with the termination of the Gold Fields Arrangement Agreement, may have a significant adverse effect on the cash resources and financial results of Yamana. See “Transaction Agreements – The Arrangement Agreement – Termination of the Arrangement Agreement – Termination Fees Payable by Yamana, Pan American and Gold Fields”.

 

The Arrangement Agreement contains provisions that restrict the ability of Yamana and the Yamana Board to pursue alternatives to the Arrangement

 

Under the Arrangement Agreement, Yamana is restricted, subject to certain exceptions, from soliciting, initiating, knowingly encouraging or facilitating, discussing or negotiating, or furnishing information with regard to, any Yamana Acquisition Proposal or any inquiry, proposal or offer relating to any Yamana Acquisition Proposal from any Person. Such restrictions may prevent Yamana from pursuing attractive business opportunities that may arise prior to the completion of the Arrangement. If the Yamana Board determines in good faith, after consultation with its outside financial and legal advisors, and after taking into account all the terms and conditions of a Yamana Acquisition Proposal and all factors and matters considered appropriate in good faith by the Yamana Board, that such Yamana Acquisition Proposal would, if consummated in accordance with its terms (but not assuming away any risk of non-completion), result in a transaction that is more favourable, from a financial point of view, to the Yamana Shareholders than the Arrangement (including any adjustments to the terms and conditions of the Arrangement proposed by Pan American and Agnico pursuant to the Arrangement Agreement), and the Yamana Board recommends such Yamana Acquisition Proposal to the Yamana Shareholders or if Yamana approves, accepts, executes or enters into an agreement to implement a Yamana Superior Proposal, Pan American and Agnico would be entitled to terminate the Arrangement Agreement and receive the Yamana Termination Fee (or, in the event of a change of recommendation by the Yamana Board, could require Yamana to proceed with the Yamana Meeting and still remain entitled to the Yamana Termination Fee if the Yamana Shareholders do not approve the Arrangement Resolution). See “The Transaction Agreements – The Arrangement Agreement – Covenants – Non-Solicitation Covenants”.

 

The Arrangement may divert the attention of Yamana’s management, impact Yamana’s ability to attract or retain key personnel or impact Yamana’s third party business relationships

 

The Arrangement could cause the attention of Yamana’s management to be diverted from the day-to-day operations of Yamana. These disruptions could be exacerbated by a delay in the completion of the Arrangement and could result in lost opportunities or negative impacts on performance, which could have an adverse effect on the current and future business, operations, financial condition and results of operations or prospects of Yamana if the Arrangement is not completed, and on the Combined Company following the Effective Date. Because the completion of the Arrangement is subject to uncertainty, officers and employees of Yamana may experience uncertainty about their future roles, which may adversely affect Yamana’s ability to attract or retain key management and personnel in the period until the completion or termination of the Arrangement.

 

In addition, third parties with which Yamana currently has business relationships, including industry partners, customers and suppliers, may experience uncertainty associated with the Arrangement, including with respect to current or future relationships with Yamana or the Combined Company, as applicable. Such uncertainty could have an adverse effect on the current and future business, operations, results of operations, financial condition and prospects of Yamana and the Combined Company.

 

155

 

 

The anticipated benefits of the Arrangement may not be realized

 

Achieving the benefits of the Arrangement depends in part on the ability of each of the Combined Company and Agnico to effectively capitalize on its scale, to realize the anticipated capital and operating synergies, to profitably sequence the growth prospects of its asset base and to maximize the potential of its improved growth opportunities and capital funding opportunities as a result of combining the businesses and operations of Yamana and Pan American, in the case of the Combined Company, and as a result of acquiring the Canadian Assets, in the case of Agnico.

 

The ability to realize the benefits of the Arrangement will depend in part on successfully consolidating functions and integrating operations, procedures and personnel in a timely and efficient manner, as well as on each of Pan American’s and Agnico’s ability to realize the anticipated growth opportunities and synergies from integrating Yamana’s business and/or the Canadian Assets, as applicable, following completion of the Arrangement. The integration of Yamana’s and Pan American’s businesses requires the dedication of substantial effort, time and resources on the part of Pan American’s management which may divert Pan American’s management’s focus and resources from other strategic opportunities available to the Combined Company following completion of the Arrangement and from operational matters during this process. Similarly, the integration of the Canadian Assets and Agnico’s current assets will also require the dedication of substantial effort, time and resources on the part of Agnico’s management which may divert Agnico’s management’s focus and resources from other strategic opportunities available to Agnico following completion of the Arrangement and from operational matters during this process.

 

In addition, the integration process could result in disruption of existing relationships with suppliers, employees, customers and other constituencies of each of Pan American and Agnico. There can be no assurance that management of each company will be able to integrate the operations of the business or assets, as applicable, successfully or achieve any of the synergies or other benefits that are anticipated as a result of the Arrangement. Many operational and strategic decisions and certain staffing decisions with respect to integration have not yet been made. These decisions and the integration of the companies and assets, as applicable, may present challenges to management, including the integration of systems and personnel of the companies which may be geographically separated, unanticipated liabilities, and unanticipated costs. It is possible that the integration process with respect to each of the Combined Company and Agnico could result in the loss of key employees, the disruption of the respective ongoing businesses or inconsistencies in standards, controls, procedures and policies that adversely affect the ability of their respective management to maintain relationships with clients, suppliers, employees or to achieve the anticipated benefits of the Arrangement. The performance of each of the Combined Company’s and Agnico’s operations after completion of the Arrangement could be adversely affected if either the Combined Company or Agnico, as applicable, cannot identify, attract and retain key employees to assist in the integration and operation of Yamana and Pan American, in the case of the Combined Company, and the integration and operation of the Canadian Assets, in the case of Agnico.

 

The consummation of the Arrangement may pose special risks, including one-time write-offs, restructuring charges and unanticipated costs. Although each of Yamana, Pan American, Agnico and their respective advisors have conducted due diligence on the various operations, there can be no guarantee that the Combined Company or Agnico, as applicable, will be aware of any and all liabilities of Yamana or the Canadian Assets. As a result of these factors, it is possible that certain benefits expected from the Arrangement may not be realized. Any inability of management to successfully integrate the operations could have a material adverse effect on the business, financial condition and results of operations of the Combined Company or Agnico, as applicable.

 

The exercise of Dissent Rights may impact cash resources or result in the Arrangement not being completed

 

Registered Yamana Shareholders entitled to vote at the Yamana Meeting have the right to exercise certain dissent and appraisal rights and demand payment of the fair value of their Yamana Shares in connection with the Arrangement in accordance with the CBCA, as modified by the Plan of Arrangement and the Interim Order. If Yamana Shareholders exercise Dissent Rights in respect of a significant number of Yamana Shares, a substantial aggregate cash payment may be required if ordered by the Court, to be made by Yamana that could have an adverse effect on Yamana’s cash resources, cash flows and financial condition if the Arrangement is completed. If, as of the Effective Date, the aggregate number of Yamana Shares in respect of which Yamana Shareholders have validly exercised Dissent Rights exceeds 5% of the Yamana Shares then outstanding, Pan American and Agnico are entitled, in their discretion, not to complete the Arrangement. See “Rights of Dissenting Shareholder” and “The Transaction Agreements – The Arrangement Agreement – Conditions Precedent”.

 

156

 

 

Yamana, Pan American and Agnico may be the target of legal claims, securities class actions, derivative lawsuits and other claims, which may delay or prevent the Arrangement from being completed

 

Yamana, Pan American and Agnico may be the target of securities class actions and derivative lawsuits which could result in substantial costs and may delay or prevent the Arrangement from being completed. Securities class action lawsuits and derivative lawsuits are often brought against companies that have entered into an agreement to acquire a public company or to be acquired. Third parties may also attempt to bring claims against Yamana, Pan American and Agnico seeking to restrain the Arrangement or seeking monetary compensation or other remedies. Even if the lawsuits are without merit, defending against these claims can result in substantial costs and divert management time and resources. Additionally, if a plaintiff is successful in obtaining an injunction prohibiting consummation of the Arrangement, then that injunction may delay or prevent the Arrangement from being completed.

 

In addition, political and public attitudes towards the Arrangement could result in negative press coverage and other adverse public statements affecting Yamana, Pan American and Agnico. Adverse press coverage and other adverse statements could lead to investigations by regulators, legislators and law enforcement officials or in legal claims or otherwise negatively impact the ability of the Combined Company to take advantage of various business and market opportunities. The direct and indirect effects of negative publicity, and the demands of responding to and addressing it, may have a material adverse effect on the Combined Company’s business, financial condition and results of operations.

 

Tax consequences of the Arrangement may differ from anticipated treatment

 

There can be no assurance that the CRA, the IRS and HM Revenue and Customs or other applicable taxing authorities will agree with the interpretation of the Canadian federal income tax consequences, the U.S. federal income tax consequences and the United Kingdom tax consequences of the Arrangement, as applicable, as set forth in this Circular. Furthermore, there can be no assurance that applicable Canadian, U.S. and United Kingdom tax Laws, regulations or tax treaties will not change (legislatively, judicially or otherwise) or be interpreted in a manner, or that applicable taxing authorities will not take an administrative position, that is adverse to Yamana, the Combined Company or their respective shareholders following completion of the Arrangement. See “Certain Income Tax Considerations”.

 

The Combined Company will be subject to tax in various countries

 

The Combined Company will have operations in various countries and be subject to differing tax Laws and rates. Taxation authorities may disagree with how Yamana, Pan American and Agnico calculate or have in the past calculated their income or other amounts for tax purposes. The tax treatment of the Combined Company is subject to changes in tax Laws, regulations and treaties, or the interpretation thereof. Any such events or changes could adversely affect the Combined Company, its share price or the dividends that may be paid to its shareholders following completion of the Arrangement.

 

Directors, officers and employees of Yamana may have interests in the Arrangement that may be different from those of Yamana Shareholders

 

Certain of the directors and executive officers of Yamana negotiated the terms of the Arrangement Agreement, and the Yamana Board has unanimously recommended that Yamana Shareholders vote in favour of the Arrangement Resolution. In considering the unanimous recommendation of the Yamana Board to vote in favour of the Arrangement Resolution, Yamana Shareholders should be aware that certain members of Yamana’s executive leadership team and the Yamana Board have interests in connection with the Arrangement that differ from, or are in addition to, those of Yamana Shareholders generally and may present them with actual or potential conflicts of interest in connection with the Arrangement. The Yamana Board was aware of, and considered, these interests when it determined the advisability of the Arrangement Agreement and unanimously recommended that Yamana Shareholders approve the Arrangement Resolution. See “Regulatory Matters and Approval – Interests of Certain Persons or Companies in the Arrangement”.

 

157

 

 

The Arrangement Agreement contains certain restrictions on the ability of Yamana to conduct its business

 

Under the Arrangement Agreement, Yamana must generally conduct its business in the ordinary course and, until the Arrangement is completed or the Arrangement Agreement is terminated, is subject to certain covenants which restrict it from taking certain actions without the consent of Pan American and Agnico and which require Yamana to take certain other actions. These restrictions may delay or prevent Yamana from pursuing business opportunities that may arise or preclude actions that would otherwise be advisable if Yamana was to remain a standalone entity. If the Arrangement is not completed for any reason, the restrictions that were imposed on Yamana under the Arrangement Agreement may have an adverse effect on the current or future operations, financial condition and prospects of Yamana as a standalone entity. See “The Transaction Agreements – The Arrangement Agreement – Covenants – Conduct of Business”.

 

The Yamana Fairness Opinion does not reflect changes in circumstances that may have occurred or that may occur between the date of the Arrangement Agreement and the completion of the Arrangement

 

The Yamana Special Committee and the Yamana Board have not obtained an updated opinion from Scotiabank as of the date of this Circular, nor does it expect to receive an updated, revised or reaffirmed opinion prior to the completion of the Arrangement. Changes in the operations and prospects of Yamana, Pan American and Agnico, general market and economic conditions and other factors that may be beyond the control of the Parties, and on which the Yamana Fairness Opinion was based, may significantly alter the value of Yamana, Pan American and Agnico or the market price of the Yamana Shares and the Yamana Depositary Interests, the Pan American Shares or the Agnico Shares by the time the Arrangement is completed. The Yamana Fairness Opinion does not speak as of the time the Arrangement will be completed or as of any date other than the date of such opinion. Since the Yamana Fairness Opinion will not be updated, such opinion will not address the fairness of the Consideration, from a financial point of view, at the time the Arrangement is completed. The Yamana Board Recommendation, however, is made as of the date of this Circular. See “The Arrangement – Yamana Fairness Opinion”.

 

The Arrangement may be delayed and business affected due to outbreaks of communicable diseases, including COVID-19

 

The continued and prolonged effects of the global outbreak of COVID-19 may delay or prevent the completion of the Arrangement. Among other things, Governmental Entities in certain jurisdictions have from time to time since the onset of the pandemic and may again order the mandatory closure of all nonessential workplaces, which may disrupt the ability of the Parties to close the Arrangement in the timing contemplated, including potential delays in respect of the Yamana Meeting, Pan American Meeting, Final Order and the receipt of the Mexican Competition Law Approval, each of which is required to complete the Arrangement. In addition, the impacts of COVID-19, among other things, have and may affect the ability of Yamana, Pan American and/or Agnico to operate at one or more of their respective mines for an indeterminate period of time, may affect the health or safety of employees or contractors, may impede access to essential services, contractors and supplies, may lead to heightened regulatory scrutiny by Governmental Entities, may lead to restrictions on transferability of currency, may cause business continuity issues and may result in failures of various local administration, logistics and critical infrastructure. Such effects and disruptions to business continuity as a result of the effects of COVID-19 may impact the ability to consummate the Arrangement or the timing thereof and may have an adverse effect on Yamana, the Combined Company and Agnico’s financial position and results of operations. The full extent of the impact of COVID-19 on the contemplated timing and completion of the Arrangement and on the respective operations of Yamana, the Combined Company and Agnico will depend on future developments, which are uncertain and cannot be predicted at this time.

 

158

 

 

The Yamana Special Committee and the Yamana Board considered operating and financial projections prepared by Yamana management in connection with the Arrangement. Actual operating and financial performance of Yamana, Pan American and Agnico may differ materially from these projections

 

The Yamana Special Committee and the Yamana Board considered, among other things, certain projections, prepared by Yamana management, with respect to each of Yamana (the “Yamana Projections”), Pan American (the “Pan American Projections”), Agnico (the “Agnico Projections”) and the Combined Company following the completion of the Arrangement (together with the Yamana Projections, the Agnico Projections and the Pan American Projections, the “Projections”). All such Projections are based on assumptions and information available at the time such Projections were prepared. Yamana does not know whether the assumptions made will be realized. Such information can be adversely affected by known or unknown risks and uncertainties, many of which are beyond Yamana’s, Pan American’s and Agnico’s control. Further, financial forecasts of this type are based on estimates and assumptions that are inherently subject to risks and other factors such as company performance, geological uncertainties, industry performance, legal and regulatory developments, general business, economic, market and financial conditions, as well as changes to the business, financial condition or results of operations of the Parties, including the factors described in this “Risk Factors” section and under “Forward-Looking Information”, which factors and changes may impact such forecasts or the underlying assumptions. As a result of these contingencies, there can be no assurance that the Projections will be realized or that actual results will not be significantly higher or lower than projected. In view of these uncertainties, the Projections should not be regarded as an indication that Yamana, the Yamana Special Committee, the Yamana Board, or any of its advisors or any other recipient of this information considered, or now considers, it to be an assurance of the achievement of future results.

 

The Projections were prepared by Yamana management for internal use and to, among other things, assist Yamana in evaluating the Arrangement. The Projections were not prepared with a view toward public disclosure or toward compliance with IFRS, published guidelines of applicable securities regulatory authorities or the guidelines established by the Chartered Professional Accountants for preparation and presentation of prospective financial information.

 

In addition, the Projections have not been updated or revised to reflect information or results after the date that such Projections were prepared by Yamana management. Except as required by applicable securities Laws, Yamana does not intend to update or otherwise revise its financial and other forecasts to reflect circumstances existing after the date when made or to reflect the occurrence of future events, even in the event that any or all of the assumptions are shown to be in error.

 

Risk Factors Relating to the Combined Company

 

Significant demands will be placed on the Combined Company following completion of the Arrangement and Yamana and Pan American cannot provide any assurance that their systems, procedures and controls will be adequate to support the expansion of operations and associated complexity following and resulting from the Arrangement

 

As a result of the pursuit and completion of the Arrangement, significant demands will be placed on the managerial, operational and financial personnel and systems of Yamana and Pan American. Yamana and Pan American cannot provide any assurance that their systems, procedures and controls will be adequate to support the expansion of operations and associated increased costs and complexity following and resulting from the Arrangement. The future operating results of the Combined Company following completion of the Arrangement may be affected by the ability of its officers and key employees to manage changing business conditions, to integrate the acquisition of Yamana, to implement a new business strategy and to improve its operational and financial controls and reporting systems.

 

159

 

 

The consummation of the Arrangement may result in one or more ratings organizations taking actions which may adversely affect the Combined Company’s business, financial condition and operating results, as well as the market price of the Pan American Shares

 

Rating organizations regularly analyze the financial performance and condition of companies and may re-evaluate the Combined Company’s credit ratings following the consummation of the Arrangement. Factors that may impact the Combined Company’s credit ratings include debt levels, planned asset purchases or sales and near-term and long-term production growth opportunities, liquidity, asset quality, cost structure, product mix and commodity pricing levels. If a ratings downgrade were to occur in connection with the Arrangement, the Combined Company could experience higher borrowing costs in the future and more restrictive covenants which would reduce profitability and diminish operational flexibility. The Combined Company cannot provide assurance that any of its current ratings will remain in effect following the consummation of the Arrangement for any given period of time or that a rating will not be lowered by a rating agency if, in its judgment, circumstances so warrant.

 

There are risks related to the Combined Company’s international activities

 

The Combined Company’s principal operations, development and exploration activities will be located in Mexico, Peru, Canada, Argentina, Bolivia, Guatemala, Brazil and Chile, some of which may be considered to have an increased degree of political and sovereign risk. Any material adverse changes in government policies or legislation of any country that the Combined Company has economic interests in that affect mining or mineral exploration activities may affect the viability and profitability of the Combined Company following completion of the Arrangement.

 

While the governments in Mexico, Peru, Canada, Argentina, Bolivia, Guatemala, Brazil and Chile and other countries in which the Combined Company will have mining operations or development or exploration projects have historically supported the development of natural resources by foreign companies, there is no assurance that such governments will not in the future adopt different regulations policies or interpretations with respect to, but not limited to, foreign ownership of mineral resources, royalty rates, taxation, rates of exchange, environmental protection, labor relations, repatriation of income or return of capital, restrictions on production or processing, price controls, export controls, currency remittance, or the obligations of the Combined Company under its respective mining codes and stability conventions. In addition, no assurance can be given that applicable governments will not revoke or significantly alter the conditions of the applicable exploration and mining authorizations nor can assurance be given that such exploration and mining authorizations will not be challenged or impugned by third parties. The possibility that such governments may adopt substantially different policies or interpretations, which might extend to the expropriation of assets, may have a material adverse effect on the Combined Company following completion of the Arrangement. Political risk also includes civil or labor disturbances and political instability.

 

Further, following completion of the Arrangement, certain of the international operations of the Combined Company may be adversely affected by political or economic developments or social instability, which will not be within the Combined Company’s control, including, among other things, the risks of war, terrorism, abduction, expropriation, nationalization, renegotiation or nullification of existing concessions and contracts, taxation policies, economic sanctions, fluctuating exchange rates and currency controls. The occurrence of any such events could have a Material Adverse Effect on the Combined Company’s business and results of operations as currently contemplated.

 

Recent unrest in Peru may affect the Combined Company’s operations

 

Pan American operates three producing mines in Peru. Since December 7, 2022, when Peruvian President Pedro Castillo was removed from office and arrested after a failed attempt to dissolve Peru’s Congress, there has been considerable political unrest in Peru and demonstrations related to the political situation have led to multiple clashes between protestors and security forces, resulting in casualties and deaths. The political unrest has also given rise to many roadblocks across the country, particularly along the Carretera Panamericana. In addition, some smaller airports across Peru have suspended their operations. On December 14, 2022, the Peruvian government declared a national state of emergency for 30 days. To date, the unrest and blockades have not interfered with product shipments from, or transportation of personnel and supplies to, Pan American’s mines in Peru. No assurance can be given as to how long the unrest and blockades will continue or whether they will disrupt or interfere with product shipments or the transportation of personnel and supplies in the future. The effect of any such disruption or interference cannot accurately be predicted and could have a significant adverse effect on the Combined Company’s results of operations, cash flow from operations and financial condition.

 

New legislation and tax risks in certain operating jurisdictions

 

Each of Yamana and Pan American has operations and conducts business in a number of jurisdictions in which the other Party does not currently operate or conduct business in, which may increase the Combined Company’s susceptibility to sudden tax changes. Taxation Laws are complex in these jurisdictions, subject to varying interpretations and applications by the relevant tax authorities and subject to changes and revisions in the ordinary course, which could result in an increase in the Combined Company’s taxes, or other governmental charges, duties or impositions, or an unreasonable delay in the refund of certain taxes owing to the Combined Company. No assurance can be given that new tax Laws, rules or regulations will not be enacted or that existing tax Laws will not be changed, interpreted or applied in a manner that could result in the Combined Company’s profits being subject to additional taxation, result in the Combined Company not recovering certain taxes on a timely basis or at all, or that could otherwise have a material adverse effect on the Combined Company.

 

160

 

 

The unaudited pro forma consolidated financial information of the Combined Company is presented for illustrative purposes only and may not reflect the Combined Company’s financial condition or results of operations following completion of the Arrangement

 

The unaudited pro forma consolidated financial information included in this Circular is presented for illustrative purposes only to show the effect of the Arrangement as of its respective dates, and should not be considered to be an indication of, and may not reflect, the financial condition or results of operations of the Combined Company following completion of the Arrangement for several reasons. For example, the pro forma consolidated financial information has been derived from the historical financial statements of Yamana and Pan American and does not represent a financial forecast or projection. In addition, certain adjustments and assumptions have been made regarding the Combined Company after giving effect to the Arrangement. The information upon which these adjustments and assumptions have been made is preliminary and these kinds of adjustments and assumptions are difficult to make with complete accuracy. Moreover, the unaudited pro forma consolidated financial information does not include, among other things, estimated cost or synergies, adjustments related to restructuring or integration activities, future acquisitions or disposals not yet known or probable, or impacts of Arrangement-related change in control provisions that are currently not factually supportable and/or probable of occurring. Therefore, the unaudited pro forma consolidated financial information is presented for informational purposes only and is not necessarily indicative of what the Combined Company’s actual financial condition or results of operations would have been had the Arrangement been completed on the date indicated. Accordingly, the business, assets, results of operations and financial condition of the Combined Company may differ significantly from those indicated in the unaudited pro forma consolidated financial information. See “Information Concerning the Combined Company Following the Arrangement” and “Schedule G – Unaudited Pro Forma Consolidated Financial Statements”.

 

The operating metrics, non-IFRS financial performance measures and mineral reserve and mineral resource estimates presented by each of Yamana and Pan American as standalone companies prior to the Arrangement may not be directly comparable, and may be less favourable for the Combined Company

 

Yamana and Pan American have historically tracked and presented certain financial performance measures and operating metrics that are not defined or recognized under IFRS or any other generally accepted accounting principles. There are no generally accepted principles governing the calculation of these measures and the criteria upon which these measures are based can vary from company to company. Similarly titled non-IFRS financial performance measures and operating metrics may not be directly comparable and may be subject to change following completion of the Arrangement as a result of the integration of the financial and operating reporting systems of the Combined Company.

 

In addition, each of Yamana and Pan American have adopted internal guidelines, policies and procedures with respect to the estimation of mineral reserves and mineral resources. Estimation is a subjective process, and the accuracy of any mineral reserve or mineral resource estimate is a function of the quantity and quality of available data and of the procedures adopted, the assumptions made and judgments used in engineering and geological interpretation. Accordingly, there may be significant differences in the guidelines and procedures adopted by each of Yamana and Pan American. As a result, expectations regarding the combined mineral reserves and mineral resources of Yamana and Pan American may be subject to change following the closing of the Arrangement. Furthermore, future adjustment may occur due to differing standards, required study levels, price assumptions and future divestments and acquisitions, among other factors.

 

161

 

 

 

Risk Factors Relating to the Consideration Shares

 

Following the Arrangement, the trading price of the Pan American Shares and the Agnico Shares cannot be guaranteed, may be volatile and could be less than, on an adjusted basis, the current trading prices of the Parties due to various market-related and other factors

 

Securities markets have a high level of price and volume volatility, and the market price of securities of many companies have experienced wide fluctuations in price which have not necessarily been related to the operating performance, underlying asset values or prospects of such companies. Securities of companies in the mining industry have experienced substantial volatility in the past, often based on factors unrelated to the financial performance or prospects of the companies involved. These factors include global economic developments and market perceptions of the mining industry. There can be no assurance that continuing fluctuations in price will not occur. The market price of the Pan American Shares is also likely to be affected by changes in the Combined Company’s financial condition or results of operations. The market price of the Agnico Shares is also likely to be affected by changes in Agnico’s financial condition or results of operations. Other factors unrelated to the performance of the Combined Company or Agnico that may have an effect on the price of Consideration Shares include the following: (a) changes in the market price of the commodities that the Combined Company or Agnico will sell and purchase; (b) current events affecting the economic situation in Canada, the United States, and internationally; (c) trends in the global mining industries; (d) regulatory and/or government actions, rulings or policies; (e) changes in financial estimates and recommendations by securities analysts or rating agencies; (f) acquisitions and financings completed by the Combined Company or Agnico; (g) the economics of current and future projects and operations of the Combined Company and Agnico; (h) quarterly variations in operating results; (i) the operating and share price performance of other companies, including those that investors may deem comparable; (j) the issuance of additional equity securities of the Combined Company or Agnico or the perception that such issuance may occur; and (k) purchases or sales of blocks of Pan American Shares or Agnico Shares.

 

The issuance of Pan American Shares and Agnico Shares and a resulting “market overhang” could adversely affect the market price of the Pan American Shares or the Agnico Shares following completion of the Arrangement

 

On completion of the Arrangement, additional Pan American Shares and Agnico Shares will be issued and available for trading in the public market. The increase in the number of Pan American Shares and Agnico Shares may lead to sales of such shares or the perception that such sales may occur (commonly referred to as “market overhang”), either of which may adversely affect the market for, and the market price of, the Pan American Shares and the Agnico Shares.

 

The issuance and future sale of Pan American Shares and Agnico Shares following completion of the Arrangement may adversely and materially affect shareholders of the Combined Company and Agnico

 

Following the completion of the Arrangement, (i) the Combined Company may issue equity securities to finance its activities, including in order to finance acquisitions; and (ii) Agnico may issue equity securities to finance its activities, including in order to finance acquisitions. If the Combined Company or Agnico were to issue additional equity securities, the ownership interest of Former Yamana Shareholders will be diluted, relative to the proportional ownership and voting interests of Former Yamana Shareholders in the Combined Company or Agnico, as the case may be, immediately following the completion of the Arrangement, and some or all of the Combined Company’s or Agnico’s financial measures on a per share basis could be reduced. Moreover, as the Combined Company’s or Agnico’s intention to issue additional equity securities becomes publicly known, the corresponding share price may be materially adversely affected.

 

The amount of any dividends to be paid by the Combined Company following the Arrangement is not guaranteed

 

There can be no assurance that following completion of the Arrangement the dividends of the Combined Company will be equal or similar to the amount historically paid on Pan American Shares. While it is currently anticipated that, following the completion of the Arrangement, the Combined Company will maintain the current Pan American dividend policy, which is paid quarterly, the Combined Company Board will retain the power to amend the Combined Company’s dividend policy in any manner and at any time as it may deem necessary or appropriate in the future. The amount of future dividends and the declaration and payment thereof will be based upon a variety of factors and conditions, including the Combined Company Board’s approval, the Combined Company’s financial position, results of operations, cash flow, capital requirements and restrictions under its credit facilities, as well as broader market and economic conditions, and shall be in compliance with Law.

 

162

 

 

The amount of any dividends to be paid by Agnico following the Arrangement is not guaranteed

 

There can be no assurance that following completion of the Arrangement the dividends of Agnico will be equal or similar to the amount historically paid on Agnico Shares. While it is currently anticipated that, following the completion of the Arrangement, Agnico will maintain its current practice to pay quarterly dividends, the Agnico Board will retain the power to change such practices in any manner and at any time as it may deem necessary or appropriate in the future. The amount of future dividends and the declaration and payment thereof will be based upon a variety of factors and conditions, including the Agnico Board’s approval, Agnico’s earnings, financial condition, cash flow, capital requirements, results of operations, and restrictions under its credit facilities, as well as broader market and economic conditions, and shall be in compliance with Law.

 

The Pan American Shares and Agnico Shares to be received by Yamana Shareholders as a result of the Arrangement will have different rights from the Yamana Shares

 

Yamana is a company governed by the CBCA, Pan American is a company governed by the BCBCA, and Agnico is a company governed by the OBCA. As Yamana Shareholders will become holders of Pan American Shares and Agnico Shares, their rights as holders of such shares will be governed by the BCBCA and the OBCA, respectively. Such rights will differ from the rights of shareholders under the CBCA and the enforcement of such rights may involve different considerations and may be more difficult than would be the case if Pan American and Agnico were governed under the CBCA. See “Description of American Depositary Shares” and “Schedule F – Comparison of Shareholder Rights under the CBCA, the BCBCA and the OBCA”.

 

Failure by any Party to comply with applicable Laws prior to the Arrangement could subject the Combined Company or Agnico to penalties and other adverse consequences following completion of the Arrangement

 

Each of Yamana, Pan American and Agnico is subject to the US Foreign Corrupt Practices Act and the Corruption of Foreign Public Officials Act (Canada), as well as similar Laws in the countries in which it conducts business. The foregoing Laws prohibit companies and their intermediaries from making improper payments to officials for the purpose of obtaining or retaining business. In addition, such Laws require the maintenance of records relating to transactions and an adequate system of internal controls over accounting. There can be no assurance that any Party’s internal control policies and procedures, compliance mechanisms or monitoring programs will protect it from recklessness, fraudulent behavior, dishonesty or other inappropriate acts or adequately prevent or detect possible violations under applicable anti-bribery and anti-corruption legislation. A failure by a Party to comply with anti-bribery and anti-corruption legislation could result in severe criminal or civil sanctions, and may subject the Combined Company or Agnico to other liabilities, including fines, prosecution, potential debarment from public procurement and reputational damage, all of which could have a material adverse effect on the business, consolidated results of operations and consolidated financial condition of the Combined Company or Agnico following completion of the Arrangement. Investigations by governmental authorities could have a material adverse effect on the business, consolidated results of operations and consolidated financial condition of the Combined Company and Agnico following completion of the Arrangement.

 

Each of Yamana, Pan American and Agnico are also subject to a wide variety of Laws relating to the environment, health and safety, taxes, employment, labor standards, money laundering, terrorist financing and other matters in the jurisdictions in which they operate. A failure by any Party to comply with any such legislation prior to the Arrangement could result in severe criminal or civil sanctions, and may subject the Combined Company or Agnico to other liabilities, including fines, prosecution and reputational damage, all of which could have a material adverse effect on the business, consolidated results of operations and consolidated financial condition of the Combined Company or Agnico following completion of the Arrangement. The compliance mechanisms and monitoring programs adopted and implemented by any Party prior to the Arrangement may not adequately prevent or detect possible violations of such applicable Laws. Investigations by governmental authorities could also have a material adverse effect on the business, consolidated results of operations and consolidated financial condition of the Combined Company or Agnico following completion of the Arrangement.

 

163

 

 

The Consideration Shares will not be admitted to the UK Official List or admitted to trading on the LSE

 

As of the date of this Circular, neither the Pan American Shares nor the Agnico Shares are admitted to the UK Official List or admitted to trading on the LSE. No applications for admission of the Pan American Shares or the Agnico Shares have been nor are intended to be made to the UK Official List or the LSE. At the completion of the Arrangement, Yamana Shareholders in the United Kingdom will receive either Pan American Shares tradeable on the Nasdaq or the TSX and Agnico Shares tradeable on the NYSE and TSX. While those United Kingdom shareholders should still be able to trade their Consideration Shares on those exchanges, it may be less convenient to do so and may involve increased costs.

 

Risks Relating to the Businesses of Yamana, Pan American and Agnico

 

The businesses of each of Yamana, Pan American and Agnico are subject to significant risks. See the risk factors concerning Yamana set out in the documents incorporated by reference in “Schedule H – Information Concerning Yamana”, the risk factors concerning Pan American set out in “Schedule I – Information Concerning Pan American” and the risk factors concerning Agnico set out in “Schedule J – Information Concerning Agnico”. While each of Yamana, Pan American and Agnico has completed due diligence investigations, including reviewing technical, environmental, legal, tax, accounting, financial and other matters, on the other Parties, certain risks either may not have been uncovered or are not known at this time. Such risks may have an adverse impact on the Combined Company and/or Agnico following the Arrangement and may have a negative impact on the value of the securities of the Combined Company and/or Agnico.

 

164

 

 

CERTAIN INCOME TAX CONSIDERATIONS

 

Certain Canadian Federal Income Tax Considerations

 

The following is, as of the date hereof, a summary of the principal Canadian federal income tax considerations under the Tax Act and in respect of the Arrangement that are generally applicable to a beneficial owner of Yamana Shares that at all relevant times and for purposes of the Tax Act: (a) deals at arm’s length with Yamana, Agnico, and Pan American; (b) is not affiliated with Yamana, Agnico, or Pan American; and (c) holds Yamana Shares, and will hold Class A Shares, Agnico Shares, and Pan American Shares received pursuant to the Arrangement, as capital property (each such owner in this section, a “Holder”). All references to Yamana Shares exclude Yamana Depositary Interests for the purposes of this summary.

 

The Yamana Shares, Class A Shares, Agnico Shares, and Pan American Shares generally will be considered capital property of a Holder for purposes of the Tax Act unless the Holder holds or uses such shares, or is deemed to hold or use such shares, in the course of carrying on a business of trading or dealing in securities or the Holder has acquired or holds or is deemed to have acquired or held such shares in a transaction or transactions considered to be an adventure or concern in the nature of trade.

 

This summary is not applicable to holders of an equity-based employment compensation plan or arrangement, including Yamana RSUs, Yamana PSUs, and Yamana DSUs, and the tax considerations relevant to such holders are not discussed herein. Any such holder referred to above should consult their own tax advisor with respect to the tax consequences of the Arrangement.

 

In addition, this summary is not applicable to a Holder: (a) that is a “financial institution” (as defined in the Tax Act for the purposes of the “mark-to-market rules”); (b) that is a “specified financial institution” (as defined in the Tax Act); (c) an interest in which is, or whose Yamana Shares, Class A Shares, Agnico Shares, or Pan American Shares are, a “tax shelter investment” (as defined in the Tax Act); (d) that makes, or has made, a “functional currency” reporting election under section 261 of the Tax Act; (e) that is a “foreign affiliate” (as defined in the Tax Act) of a taxpayer resident in Canada; (f) that has entered into or will enter into a “synthetic disposition arrangement” or a “derivative forward agreement” (each as defined in the Tax Act) with respect to Yamana Shares, Class A Shares, Agnico Shares, or Pan American Shares; or (g) that receives dividends on their Agnico Shares or Pan American Shares under or as part of a “dividend rental arrangement” (as defined in the Tax Act). Such Holders should consult their own tax advisors.

 

Additional considerations not discussed herein may apply to a Holder that is a corporation resident in Canada that is or becomes (or does not deal at arm’s length for purposes of the Tax Act with a corporation resident in Canada that is or becomes), as part of a transaction or event or series of transactions or events that includes the acquisition of the Class A Shares, Agnico Shares or Pan American Shares, controlled by a non-resident person or a group of non-resident persons that do not deal with each other at arm’s length for purposes of the “foreign affiliate dumping” rules in section 212.3 of the Tax Act.

 

This summary is based on the facts set out in this Circular, the current provisions of the Tax Act in force as of the date hereof and counsel’s understanding of the current published administrative policies and assessing practices of the Canada Revenue Agency (“CRA”) made publicly available in writing prior to the date hereof. This summary also takes into account all specific proposals to amend the Tax Act that have been publicly announced by or on behalf of the Minister of Finance (Canada) prior to the date hereof (the “Proposed Amendments”) and assumes that the Proposed Amendments will be enacted in the form proposed. No assurance can be given that the Proposed Amendments will be enacted in the form proposed, or at all. Except for the Proposed Amendments, this summary does not otherwise take into account or anticipate any other changes in Law, whether by judicial, governmental or legislative decision or action, or changes in the administrative policies or assessing practices of the CRA, nor does this summary take into account provincial, territorial, or foreign income tax legislation or considerations, which may differ from the Canadian federal income tax considerations discussed below.

 

This summary is of a general nature only and is not exhaustive of all possible Canadian federal income tax considerations. This summary is not, and should not be construed as, legal, business, or tax advice to any particular Holder and no representation with respect to the tax consequences to any particular Holder is made. Accordingly, all Holders and other shareholders should consult with and rely upon their own tax advisors regarding the Canadian federal income tax consequences of the Arrangement applicable to their particular circumstances, and any other consequences to them of such transactions under Canadian federal, provincial, local, and foreign tax Laws.

 

165

 

 

Currency Conversion

 

Subject to certain exceptions that are not discussed herein, for the purposes of the Tax Act, all amounts relating to the acquisition, holding, or disposition of securities (including dividends, adjusted cost base, and proceeds of disposition) must be expressed in Canadian dollars. Amounts denominated in a foreign currency must generally be converted into Canadian dollars based on the rate quoted by the Bank of Canada for the exchange of the foreign currency for Canadian dollars on the date such amounts arise or such other rate of exchange as is acceptable to the Minister of National Revenue (Canada).

 

Holders Resident in Canada

 

This portion of the summary is generally applicable to a Holder that, at all relevant times, for purposes of the Tax Act and any applicable income tax treaty: (a) is, or is deemed to be, resident in Canada; and (b) is not exempt from tax under Part I of the Tax Act (a “Resident Holder”).

 

Certain Resident Holders whose Yamana Shares, Class A Shares, Agnico Shares, or Pan American Shares might not otherwise qualify as capital property may, in certain circumstances, be eligible to make an irrevocable election in accordance with subsection 39(4) of the Tax Act to have their Yamana Shares, Class A Shares, Agnico Shares, Pan American Shares, and every other “Canadian security” (as defined in the Tax Act) owned by such Resident Holder in the taxation year in which the election is made and in all subsequent taxation years be deemed to be capital property of the Resident Holder. Resident Holders should consult their own tax advisors as to whether they hold or will hold their Yamana Shares, Class A Shares, Agnico Shares, and Pan American Shares as capital property and whether such election can or should be made in respect of their Yamana Shares, Class A Shares, Agnico Shares, and Pan American Shares.

 

The Yamana Share Exchange

 

Pursuant to the Arrangement, the authorized share capital of Yamana will be amended to create the Class A Shares, and thereafter, each outstanding Yamana Share (other than a Dissent Share) will be transferred to Yamana (the “Yamana Share Exchange”) in consideration for one Class A Share, the Agnico Share Consideration and the Cash Consideration.

 

The Yamana Share Exchange is intended to qualify as a tax-deferred reorganization pursuant to section 86 of the Tax Act. Provided the aggregate fair market value of the Agnico Shares and Cash Consideration (including any cash in lieu of a fractional Agnico Share) distributed to Yamana Shareholders on the Yamana Share Exchange does not exceed the aggregate “paid-up capital” (as determined for purposes of the Tax Act) of all of the issued and outstanding Yamana Shares immediately before the Yamana Share Exchange, the distribution of the Agnico Shares and Cash Consideration (including any cash in lieu of a fractional Agnico Share) to Resident Holders (other than Resident Dissenters, as defined below) should not give rise to any deemed dividend to Resident Holders (other than Resident Dissenters, as discussed below).

 

If the aggregate fair market value of the Agnico Shares and Cash Consideration (including any cash in lieu of a fractional Agnico Share) received by a Resident Holder on the Yamana Share Exchange exceeds the paid-up capital of the Yamana Shares held by such Resident Holder immediately before the Yamana Share Exchange, Yamana would be deemed to have paid a dividend on the Yamana Shares equal to the amount of such excess and each Resident Holder (other than Resident Dissenters, discussed below) would be deemed to have received a pro rata portion of the dividend, based on the proportion of Yamana Shares held by such Resident Holder. See “Certain Income Tax Considerations – Certain Canadian Federal Income Tax Considerations – Holders Resident in Canada – Dividends on Agnico Shares and Pan American Shares” below for a general description of the taxation of dividends under the Tax Act, including amounts deemed under the Tax Act to be received as dividends. Management of Yamana is of the view that the fair market value of the Agnico Shares and the Cash Consideration (including any cash in lieu of a fractional Agnico Share) at the time of the Yamana Share Exchange should be less than the paid-up capital of the Yamana Shares immediately before such exchange. Accordingly, Yamana does not expect that a deemed dividend will arise as a result of the Yamana Share Exchange.

 

166

 

 

Assuming that the aggregate fair market value of the Agnico Shares and Cash Consideration (including any cash in lieu of a fractional Agnico Share) distributed to holders of Yamana Shares under the Arrangement does not exceed the aggregate paid-up capital of the issued and outstanding Yamana Shares immediately before the Yamana Share Exchange, a Resident Holder whose Yamana Shares are exchanged for Class A Shares, Agnico Shares, and the Cash Consideration (including any cash in lieu of a fractional Agnico Share) will be deemed to have disposed of the Resident Holder’s Yamana Shares for proceeds of disposition equal to the greater of (i) the adjusted cost base to the Resident Holder of their Yamana Shares immediately before the Yamana Share Exchange, and (ii) the aggregate fair market value at the time of such exchange of the Agnico Shares and Cash Consideration (including any cash in lieu of a fractional Agnico Share) received by such Resident Holder.

 

Consequently, a Resident Holder will only realize a capital gain on the Yamana Share Exchange if, and to the extent that, the aggregate fair market value of the Agnico Shares and Cash Consideration (including any cash in lieu of a fractional Agnico Share) received by such Resident Holder on the exchange exceeds the adjusted cost base of such Resident Holder's Yamana Shares immediately before such exchange. See “Certain Income Tax Considerations – Certain Canadian Federal Income Tax Considerations – Holders Resident in Canada – Taxation of Capital Gains and Capital Losses” below for a general description of the treatment of capital gains and capital losses under the Tax Act.

 

The aggregate cost to a Resident Holder of Class A Shares acquired on the Yamana Share Exchange will be the amount (if any) by which the Resident Holder’s adjusted cost base of the Yamana Shares immediately before the Yamana Share Exchange exceeds the aggregate fair market value of the Agnico Shares and Cash Consideration (including any cash in lieu of a fractional Agnico Share) received by such Resident Holder.

 

The aggregate cost to a Resident Holder of Agnico Shares acquired on the Yamana Share Exchange will be equal to the fair market value of the Agnico Shares at the time of the Yamana Share Exchange. The adjusted cost base to a Resident Holder of an Agnico Share will be determined by averaging the cost of that Agnico Share with the adjusted cost base (determined immediately before the Yamana Share Exchange) of all other Agnico Shares (if any) held as capital property at that time by the Resident Holder.

 

The Pan American Share Exchange

 

A Resident Holder, other than a Resident Dissenter (as defined below), that disposes of Class A Shares to Pan American in exchange for Pan American Shares under the Arrangement (the “Pan American Share Exchange”) will generally not realize a capital gain (or a capital loss) pursuant to section 85.1 of the Tax Act, unless such Resident Holder chooses to recognize any portion of a capital gain (or a capital loss) by including such amount in computing the Resident Holder’s income for the taxation year of the Resident Holder in which the Pan American Share Exchange takes place, as described below.

 

Where a Resident Holder does not choose to recognize any portion of a capital gain (or capital loss) on the Pan American Share Exchange, the Resident Holder will be deemed to have disposed of the Resident Holder’s Class A Shares for proceeds of disposition equal to the adjusted cost base of the Class A Shares to such Resident Holder, determined immediately before the Pan American Share Exchange, and the Resident Holder will be deemed to have acquired the Pan American Shares at an aggregate cost equal to such adjusted cost base of the Class A Shares. Pursuant to the CRA’s current administrative practice, a Resident Holder who receives cash not exceeding C$200 in lieu of a fractional share will have the option of recognizing the capital gain or capital loss arising on the disposition of the fractional share or alternatively of reducing the adjusted cost base of the Pan American Shares acquired by the amount of cash so received. The cost of such Pan American Shares will be averaged with the adjusted cost base of all other Pan American Shares (if any) held by the Resident Holder as capital property at that time for the purpose of determining the adjusted cost base of each Pan American Share held by the Resident Holder.

 

167

 

 

Where a Resident Holder chooses to recognize any portion of a capital gain (or a capital loss) on the Pan American Share Exchange, the Resident Holder will realize a capital gain (or a capital loss) equal to the amount, if any, by which the fair market value of the Pan American Shares received is greater (or is less) than the aggregate of the adjusted cost base of the Class A Shares to the Resident Holder, determined immediately before the Pan American Share Exchange, and any reasonable costs of disposition. A general description of the taxation of capital gains and capital losses is set out below under “Certain Income Tax Considerations – Certain Canadian Federal Income Tax Considerations – Holders Resident in Canada – Taxation of Capital Gains and Capital Losses”. The cost to a Resident Holder of the Pan American Shares acquired on the Pan American Share Exchange in these circumstances will equal the fair market value of such Pan American Shares at the time of such exchange. This cost will generally be averaged with the adjusted cost base of all other Pan American Shares (if any) held by the Resident Holder at that time as capital property for the purpose of determining the adjusted cost of each Pan American Share held by the Resident Holder.

 

Dividends on Agnico Shares and Pan American Shares

 

A Resident Holder will be required to include in computing their income for a taxation year any taxable dividends received or deemed to be received on the Agnico Shares or Pan American Shares.

 

In the case of a Resident Holder that is an individual (including certain trusts), such dividends (including deemed dividends) received on the Agnico Shares or Pan American Shares will be subject to the gross-up and dividend tax credit rules in the Tax Act normally applicable to “taxable dividends” received from a “taxable Canadian corporation” (each as defined in the Tax Act). An enhanced gross-up and dividend tax credit will be available to individuals in respect of “eligible dividends” (as defined in the Tax Act) designated by Agnico or Pan American, as the case may be, in accordance with the provisions of the Tax Act. There may be limitations on the ability of Agnico or Pan American, as the case may be, to designate dividends as eligible dividends.

 

In the case of a Resident Holder that is a corporation, the amount of any such taxable dividend (including a deemed dividend) that is included in its income for a taxation year will generally be deductible in computing its taxable income for that taxation year. In certain circumstances, subsection 55(2) of the Tax Act will treat a taxable dividend received (or deemed to be received) by a Resident Holder that is a corporation as proceeds of disposition or a capital gain. Resident Holders that are corporations should consult their own tax advisors in this regard.

 

A Resident Holder that is a “private corporation” or a “subject corporation” (as defined in the Tax Act) may be liable to pay a refundable tax under Part IV of the Tax Act on dividends received on their Agnico Shares or Pan American Shares, as the case may be, to the extent such dividends are deductible in computing the Resident Holder’s taxable income for the year. A “subject corporation” is generally a corporation (other than a private corporation) resident in Canada and controlled directly or indirectly by or for the benefit of an individual (other than a trust) or a related group of individuals (other than trusts).

 

Dispositions of Agnico Shares and Pan American Shares

 

A Resident Holder that disposes of or is deemed to have disposed of an Agnico Share or a Pan American Share (other than a disposition to Agnico or Pan American, respectively, that is not a sale in the open market in the manner in which shares would normally be purchased by any member of the public in an open market) will generally realize a capital gain (or capital loss) in the taxation year of the disposition equal to the amount by which the proceeds of disposition of the Agnico Share or Pan American Share, respectively, net of any reasonable costs of disposition, are greater (or are less) than the adjusted cost base to the Resident Holder of the Agnico Share or Pan American Share, respectively, immediately before the disposition or deemed disposition. Such capital gain (or capital loss) will be subject to the tax treatment described below under “Certain Income Tax Considerations – Certain Canadian Federal Income Tax Considerations – Holders Resident in Canada – Taxation of Capital Gains and Capital Losses”.

 

168

 

 

Taxation of Capital Gains and Capital Losses

 

Generally, a Resident Holder will be required to include in computing income for a taxation year one-half of the amount of any capital gain (a “taxable capital gain”) realized in that year. Subject to and in accordance with the provisions of the Tax Act, a Resident Holder will generally be required to deduct one-half of the amount of any capital loss (an “allowable capital loss”) realized in a taxation year from taxable capital gains realized by the Resident Holder in such taxation year. Allowable capital losses in excess of taxable capital gains for the taxation year of disposition may be carried back to any of the three preceding taxation years or carried forward to any subsequent taxation year and deducted against net taxable capital gains realized in such years, subject to the detailed rules contained in the Tax Act.

 

The amount of any capital loss realized on the disposition of Yamana Shares, Agnico Shares, or Pan American Shares by a Resident Holder that is a corporation may, to the extent and under the circumstances specified by the Tax Act, be reduced by the amount of dividends received or deemed to have been received by such Resident Holder on the Resident Holder’s Yamana Shares, Agnico Shares, or Pan American Shares, respectively. Similar rules may apply where a Resident Holder that is a corporation is a member of a partnership or a beneficiary of a trust that owns Yamana Shares, Agnico Shares, or Pan American Shares, directly or indirectly, through a partnership or trust. Resident Holders to whom these rules may be relevant should consult their own tax advisors.

 

Additional Refundable Tax on Canadian-Controlled Private Corporations

 

A Resident Holder that is a “Canadian-controlled private corporation” (as defined in the Tax Act) throughout the relevant taxation year, or a “substantive CCPC” (as proposed to be defined in the Tax Act pursuant to Proposed Amendments released by the Minister of Finance (Canada) on August 9, 2022) at any time in the year, may be liable to pay an additional tax (refundable in certain circumstances) on its “aggregate investment income” (as defined in the Tax Act) for the year, including any taxable capital gains, interest, and dividends or deemed dividends that are not deductible in computing the Resident Holder’s taxable income.

 

Minimum Tax

 

Capital gains realized or dividends received or deemed to be received by a Resident Holder that is an individual or trust, other than certain specified trusts, may give rise to a liability for alternative minimum tax under the Tax Act.

 

Dissenting Resident Holders

 

A Resident Holder that validly exercises Dissent Rights (a “Resident Dissenter”) and consequently is paid the fair value of their Yamana Shares in accordance with the Arrangement will be deemed to receive a taxable dividend equal to the amount, if any, by which the amount received (excluding any interest awarded by a court) from Yamana exceeds the paid-up capital of the Resident Dissenter’s Yamana Shares. Any such deemed dividend received by a Resident Dissenter will be treated in the same manner as described above under the heading “Certain Income Tax Considerations – Certain Canadian Federal Income Tax Considerations – Holders Resident in Canada – Dividends on Agnico Shares and Pan American Shares”.

 

A Resident Dissenter will also realize a capital gain (or a capital loss) equal to the amount by which the payment (excluding any interest awarded by a court and the amount of any deemed dividend) is greater (or is less) than the aggregate of the Resident Dissenter’s adjusted cost base of their Yamana Shares determined immediately before the time of disposition and any reasonable costs of disposition. Any such capital gain realized by a Resident Dissenter will be treated in the same manner as described above under the heading “Certain Income Tax Considerations – Certain Canadian Federal Income Tax Considerations – Holders Resident in Canada – Taxation of Capital Gains and Capital Losses”.

 

A Resident Dissenter must include in computing its income interest (if any) awarded to the Resident Dissenter by a court in connection with the Arrangement and in the case of a Resident Dissenter that is a “Canadian-controlled private corporation” or a “substantive CCPC” as referenced above, through the relevant taxation year may be liable to pay an additional tax on “aggregate investment income” as described above under “Certain Income Tax Considerations – Certain Canadian Federal Income Tax Considerations – Holders Resident in Canada – Additional Refundable Tax on Canadian-Controlled Private Corporations”.

 

169

 

 

Eligibility for Investment by Registered Plans

 

The Agnico Shares and Pan American Shares will be “qualified investments” under the Tax Act for a trust governed by a “registered retirement savings plan”, a “registered retirement income fund”, a “registered education savings plan”, a “registered disability savings plan”, a “tax-free savings account” (each referred to as a “Registered Plan”), or “deferred profit sharing plan” (“DPSP”), each as defined in the Tax Act, at a particular time provided that, at such time, the Agnico Shares and Pan American Shares, respectively, are listed on a “designated stock exchange” for purposes of the Tax Act (which currently includes the TSX and, in addition, in the case of the Agnico Shares, the NYSE, and, in addition, in the case of the Pan American Shares, the Nasdaq) at all relevant times or, if Agnico or Pan American, as the case may be, is a “public corporation” (as defined in the Tax Act) at the relevant time.

 

The Class A Shares will be “qualified investments” under the Tax Act for a trust governed by a Registered Plan or DPSP at a particular time provided that, at such time, Yamana is a “public corporation” (as defined in the Tax Act) at that time.

 

Notwithstanding the foregoing, the holder or subscriber of, or an annuitant under, a Registered Plan, as the case may be, (the “Controlling Individual”) will be subject to a penalty tax if the Class A Shares, Agnico Shares, or Pan American Shares held in the Registered Plan are a “prohibited investment” (as defined in the Tax Act) for the particular Registered Plan. Class A Shares, Agnico Shares, and Pan American Shares will generally not be a “prohibited investment” for a Registered Plan, provided that the Controlling Individual deals at arm’s length with Yamana, Agnico, and Pan American, respectively, for the purposes of the Tax Act and does not have a “significant interest” (as defined in subsection 207.01(4) of the Tax Act) in Yamana, Agnico, or Pan American, respectively. In addition, the Class A Shares, Pan American Shares, and Agnico Shares will generally not be a “prohibited investment” if such shares are “excluded property” (as defined in the Tax Act) for the Registered Plan.

 

Resident Holders that intend to hold Class A Shares, Agnico Shares, or Pan American Shares in a Registered Plan or a DPSP should consult their own tax advisors in regard to their particular circumstances.

 

Holders Not Resident in Canada

 

The following portion of the summary is generally applicable to a Holder that, at all relevant times, for purposes of the Tax Act and any applicable income tax treaty or convention, is neither resident nor deemed to be resident in Canada, and does not use or hold, and is not and will not be deemed to use or hold, Yamana Shares, Class A Shares, Agnico Shares, or Pan American Shares in connection with carrying on a business in Canada (a “Non-Resident Holder”). This portion of the summary does not apply to a Non-Resident Holder that carries on, or is deemed to carry on, an insurance business in Canada and elsewhere or that is an “authorized foreign bank” (as defined in the Tax Act). Such Non-Resident Holders should consult their own tax advisors.

 

The Yamana Share Exchange

 

If the aggregate fair market value of the Agnico Shares and the Cash Consideration (including any cash in lieu of a fractional Agnico Share) received by a Non-Resident Holder on the Yamana Share Exchange exceeds the paid-up capital of the Yamana Shares held by such Non-Resident Holder immediately before the Yamana Share Exchange, then the excess will be deemed to be a dividend received by the Non-Resident Holder from Yamana. See “Certain Income Tax Considerations – Certain Canadian Federal Income Tax Considerations – Holders Not Resident in Canada – Dividends on Agnico Shares and Pan American Shares” below for a general description of the treatment of dividends under the Tax Act including amounts deemed under the Tax Act to be received as dividends. Management of Yamana is of the view that the fair market value of the Agnico Shares and the Cash Consideration at the time of the Yamana Share Exchange should be less than the paid-up capital of the Yamana Shares immediately before such exchange. Accordingly, Yamana does not expect that a deemed dividend will arise as a result of the Yamana Share Exchange.

 

170

 

 

The Yamana Share Exchange, the Pan American Share Exchange and Dispositions of Agnico Shares and Pan American Shares

 

A Non-Resident Holder will not be subject to tax under the Tax Act on any capital gain realized on the Yamana Share Exchange, Pan American Share Exchange, or on the disposition of the Agnico Shares and Pan American Shares, as the case may be, nor will capital losses arising therefrom be recognized under the Tax Act, unless the Yamana Shares, Class A Shares, Agnico Shares, or Pan American Shares, as the case may be, are, or are deemed to be, “taxable Canadian property” of the Non-Resident Holder at the time of such exchanges or disposition, as the case may be, and the Yamana Shares, Class A Shares, Agnico Shares, or Pan American Shares, as the case may be are not “treaty-protected property”, each within the meaning of the Tax Act.

 

Generally, a Yamana Share, Agnico Share, or Pan American Share, as the case may be, of a particular Non-Resident Holder will not be “taxable Canadian property” (within the meaning of the Tax Act) of a Non-Resident Holder at any time at which such share is listed on a “designated stock exchange” within the meaning of the Tax Act (which includes the TSX and, in addition, in the case of the Yamana Shares, the NYSE and the LSE, and in addition, in the case of the Agnico Shares, the NYSE, and in addition, in the case of the Pan American Shares, the Nasdaq), unless at any time during the 60-month period that ends at that time, (a) 25% or more of the issued shares of any class or series of the capital stock of the applicable corporation were owned by, or belonged to, any combination of (i) the Non-Resident Holder, (ii) persons with whom the Non-Resident Holder did not deal at arm’s length, and (iii) partnerships in which the Non-Resident Holder or a person described in (ii) holds a membership interest directly or indirectly through one or more partnerships; and (b) at such time, more than 50% of the fair market value of the applicable share was derived, directly or indirectly, from any combination of real or immovable property situated in Canada, “Canadian resource property” (as defined in the Tax Act), “timber resource property” (as defined in the Tax Act), or options in respect of, interests in, or for civil law rights in such properties, whether or not such properties exist.

 

Generally, a Class A Share of a particular Non-Resident Holder will be taxable Canadian property if, at any particular time during the 60-month period that ends at that time, more than 50% of the fair market value of the Class A Share was derived directly or indirectly (otherwise than through a corporation, partnership or trust the shares or interests in which were not themselves taxable Canadian property at the particular time) from one or any combination of real or immovable property situated in Canada, “Canadian resource property” (as defined in the Tax Act), “timber resource property” (as defined in the Tax Act), or options in respect of, interests in, or for civil law rights in such properties, whether or not such properties exist. Based on the types of property from which the Class A Shares will derive their value, management of Yamana and Pan American believe that the Class A Shares should not constitute taxable Canadian property at any relevant time.

 

Notwithstanding the foregoing, Yamana Shares, Agnico Shares, or Pan American Shares, as the case may be, may also be deemed to be taxable Canadian property of a Non-Resident Holder for purposes of the Tax Act.

 

In circumstances where a Yamana Share, Class A Share, Agnico Share, or Pan American Share constitutes taxable Canadian property of a Non-Resident Holder on the Yamana Share Exchange, Pan American Share Exchange, or a disposition or deemed disposition, as applicable, and is not “treaty protected property” as defined in the Tax Act, any capital gain that would be realized on the Yamana Share Exchange, Pan American Share Exchange, or a disposition or deemed disposition generally will be subject to the same Canadian tax consequences discussed above for a Resident Holder under the headings “Certain Income Tax Considerations – Certain Canadian Federal Income Tax Considerations – Holders Resident in Canada – The Yamana Share Exchange”, “Certain Income Tax Considerations – Certain Canadian Federal Income Tax Considerations – Holders Resident in Canada – The Pan American Share Exchange”, and “Certain Income Tax Considerations – Certain Canadian Federal Income Tax Considerations – Holders Resident in Canada – Dispositions of Agnico Shares and Pan American Shares”.

 

171

 

 

Non-Resident Holders whose Yamana Shares, Class A Shares, Agnico Shares, or Pan American Shares may constitute taxable Canadian property should consult their own tax advisors for advice having regard to their particular circumstances.

 

Dividends on Agnico Shares and Pan American Shares

 

Dividends paid, deemed to be paid, or credited on Agnico Shares or Pan American Shares, as the case may be, to a Non-Resident Holder will generally be subject to Canadian withholding tax at the rate of 25% on the gross amount of the dividend, unless such rate is reduced by the terms of an applicable income tax treaty or convention. Under the Canada-United States Tax Convention (1980), as amended (the “U.S. Treaty”), the rate of withholding tax on dividends paid or credited to a Non-Resident Holder that is resident in the U.S. for purposes of the U.S. Treaty, is the beneficial owner of the dividends, and is fully entitled to benefits under the U.S. Treaty is generally limited to 15% of the gross amount of the dividend.

 

Dissenting Non-Resident Holders

 

A Non-Resident Holder that validly exercises Dissent Rights (a “Non-Resident Dissenter”) and consequently is paid the fair value of their Yamana Shares in accordance with the Arrangement will be deemed to receive a taxable dividend equal to the amount by which the amount received (excluding any interest awarded by a court) from Yamana exceeds the paid-up capital (computed for purposes of the Tax Act) of the Non-Resident Dissenter’s Yamana Shares. The amount of the deemed dividend will generally be subject to Canadian withholding tax at the rate of 25% on the gross amount of the deemed dividend, unless such rate is reduced by the terms of an applicable income tax treaty or convention.

 

A Non-Resident Dissenter will also be considered to have disposed of such Yamana Shares for proceeds of disposition equal to the amount paid to such Non-Resident Dissenter (excluding any portion of the payment that is interest), less the amount of any deemed dividend. A Non-Resident Dissenter will generally not be subject to tax under the Tax Act on any capital gain realized on the disposition of its Yamana Shares unless such shares are “taxable Canadian property” of the Non-Resident Dissenter and are not “treaty-protected property”, each within the meaning of the Tax Act. For purposes of computing the amount of any capital gain on the disposition of the Non-Resident Dissenter’s Yamana Shares, the Non-Resident Dissenter’s proceeds of disposition will be reduced by the amount of any deemed dividend received by the Non-Resident Dissenter as described in the immediately preceding paragraph. See discussion above under the headings “Certain Income Tax Considerations – Certain Canadian Federal Income Tax Considerations – Holders Not Resident in Canada – The Yamana Share Exchange, the Pan American Share Exchange and Dispositions of Agnico Shares and Pan American Shares”.

 

Any dividend deemed to be received, or capital gain realized, by a Non-Resident Dissenter will be treated in the same manner as described above under the headings “Certain Income Tax Considerations – Certain Canadian Federal Income Tax Considerations – Holders Not Resident in Canada – Dividends on Agnico Shares and Pan American Shares” and “Certain Income Tax Considerations – Certain Canadian Federal Income Tax Considerations – Holders Not Resident in Canada – The Yamana Share Exchange, the Pan American Share Exchange and Dispositions of Agnico Shares and Pan American Shares”.

 

Interest (if any) awarded by a court to a Non-Resident Dissenter generally should not be subject to withholding tax under the Tax Act.

 

Non-Resident Holders that are considering exercising Dissent Rights should consult their tax advisors with respect to the Canadian federal income tax consequences of exercising their Dissent Rights.

 

Certain United States Federal Income Tax Considerations

 

The following discussion summarizes certain U.S. federal income tax consequences generally applicable to U.S. Holders of Yamana Shares relating to the exchange of Yamana Shares for the Consideration pursuant to the Arrangement, to the exercise of Dissent Rights and to the ownership and disposition of Consideration Shares received pursuant to the Arrangement. Except as expressly provided below, this discussion applies only to U.S. Holders that hold their Yamana Shares, and will hold their Consideration Shares received pursuant to the Arrangement, as capital assets (generally, property held for investment purposes). This section does not address the U.S. federal income tax considerations that may apply to holders subject to special rules, including brokers, dealers in securities or currencies, traders in securities that elect to use a mark-to-market method of accounting for securities holdings, tax-exempt organizations, insurance companies, banks, thrifts and other financial institutions, real estate investment trusts, regulated investment companies, grantor trusts, qualified retirement plans, individual retirement accounts, or other tax-deferred accounts, U.S. expatriates or former long-term residents of the U.S., persons liable for alternative minimum tax, persons that own or have owned, directly, indirectly or constructively, 10% or more (by vote or value) of Yamana’s, Agnico’s or Pan American’s equity, persons that own or will own, directly, indirectly or constructively, 5% or more (by vote or value) of Agnico’s or Pan American’s equity after the Arrangement, persons that hold an interest in an entity that holds Yamana Shares or will hold Consideration Shares, persons that hold Yamana Shares or will hold Consideration Shares as part of a hedging, integration, conversion or constructive sale transaction or a straddle, persons subject to the “applicable financial statements” rules under Section 451 of the Code, holders who acquired their Yamana Shares through the exercise of employee stock options or otherwise as compensation for services or persons whose functional currency is not the U.S. dollar. Such holders are urged to consult their own tax advisors to determine the tax consequences to them of the Arrangement.

 

172

 

 

This discussion does not purport to be a complete analysis of all of the potential U.S. federal income tax considerations that may be relevant to U.S. Holders in light of their particular circumstances. Furthermore, it does not address any aspect of non-U.S., state, local or estate or gift taxation or the 3.8% Medicare tax imposed on certain net investment income. In addition, this discussion does not address the U.S. federal income tax considerations of the Arrangement to holders of Yamana RSUs, Yamana PSUs or Yamana DSUs. Each Yamana Shareholder is urged to consult its own tax advisor as to the U.S. federal, state, local, non-U.S. and any other tax consequences of the Arrangement and the ownership and disposition of Consideration Shares. This discussion is based on the Code, its legislative history, administrative pronouncements of the IRS, existing and proposed U.S. Treasury Regulations, and published rulings and court decisions, all as in effect as of the date of this Circular, and any of which may be repealed, revoked or modified (possibly with retroactive effect) so as to result in U.S. federal income tax consequences different from those discussed below.

 

A “U.S. Holder” is a beneficial owner of Yamana Shares or Consideration Shares, who, for U.S. federal income tax purposes, is a citizen or individual resident of the United States, a corporation (or other entity that is treated as a corporation for U.S. federal income tax purposes) that is created or organized in or under the Laws of the United States, or any state thereof, or the District of Columbia, an estate whose income is subject to U.S. federal income tax regardless of its source, or a trust (a) if a U.S. court can exercise primary supervision over the trust’s administration and one or more U.S. persons are authorized to control all substantial decisions of the trust, or (b) that validly elects to be treated as a U.S. person for U.S. federal income tax purposes.

 

For U.S. federal income tax purposes, a U.S. Holder of Yamana Depositary Interests will generally be treated as the beneficial owner of the underlying Yamana Shares that are represented by such Yamana Depositary Interests. References to “Yamana Shares” in this section apply to both Yamana Shares and Yamana Depositary Interests, unless the context indicates otherwise.

 

If a partnership (or other entity that is treated as a partnership or other pass-through entity for U.S. federal income tax purposes) holds Yamana Shares or Consideration Shares, the U.S. federal income tax treatment of a partner, beneficiary or other stakeholder in such partnership or other pass-through entity will generally depend on the status of that person, the activities of the partnership or other pass-through entity and the tax treatment of the partnership or other pass-through entity. A partner, beneficiary or other stakeholder in a pass-through entity holding Yamana Shares or Consideration Shares is urged to consult its own tax advisor with regard to the U.S. federal income tax treatment of the Arrangement and the ownership and disposition of Consideration Shares.

 

The following discussion is for general information purposes only, does not discuss all aspects of U.S. federal income taxation that may be relevant to a particular U.S. Holder in light of such holder’s circumstances and income tax situation, and is not intended to be, nor should it be construed to be, legal or tax advice to any U.S. Holder. No opinion or representation with respect to the U.S. federal income tax consequences to any such U.S. Holder is made. Each U.S. Holder is urged to consult its own tax advisor regarding the particular tax consequences to it of the transactions contemplated by the Arrangement, including the application of U.S. federal, state and local tax Laws, as well as any applicable non-U.S. tax Laws, to a U.S. Holder’s particular situation, and of any change in applicable tax Laws.

 

173

 

 

U.S. Federal Income Tax Considerations Relating to the Arrangement

 

Exchange of Yamana Shares for Consideration in the Arrangement

 

The Yamana Share Exchange and the Pan American Share Exchange (together, the “Exchanges”) are intended to be treated as part of an integrated plan whereby, for U.S. federal income tax purposes, the Yamana Share Exchange is treated as a redemption of each U.S. Holder’s interest in Yamana, the Pan American Share Exchange is treated as a sale or exchange and, taken together, the Exchanges are treated as a taxable sale or exchange of a U.S. Holder’s Yamana Shares for the Consideration (the “Intended Tax Treatment”). There can be no assurance that the IRS will not challenge the Intended Tax Treatment or that the U.S. courts will uphold the Intended Tax Treatment. U.S. Holders are urged to consult their own tax advisors regarding the proper reporting of the Arrangement. The remainder of this disclosure assumes that the Exchanges will be treated consistently with the Intended Tax Treatment.

 

Subject to the discussion below regarding the application of the PFIC rules to the Exchanges, a U.S. Holder of Yamana Shares will generally recognize capital gain or loss for U.S. federal income tax purposes equal to the difference, if any, between (a) the sum of the Cash Consideration and the aggregate fair market value of the Agnico Shares and Pan American Shares received by such U.S. Holder in the Exchanges (including any cash in lieu of a fractional Agnico Share) and the (b) U.S. Holder’s adjusted tax basis in the Yamana Shares surrendered in the Exchanges for such Consideration, in each case determined in U.S. dollars. For this purpose, U.S. Holders of Yamana Shares must calculate gain or loss separately for each identified block of Yamana Shares (that is, Yamana Shares acquired at the same cost in a single transaction) exchanged in the Exchanges. The basis of the Agnico Shares and Pan American Shares received in the Exchanges will equal their fair market value, and the holding period for the Agnico Shares and Pan American Shares will begin on the day after the Exchanges. Cash received from Pan American in lieu of fractional Pan American Shares in the Pan American Share Exchange will be taxable to U.S. Holders. U.S. Holders are urged to consult their own tax advisors as to the tax consequences of cash received from Pan American in lieu of fractional Pan American Shares in the Pan American Share Exchange, including the potential application of Section 304 of the Code (“Section 304”) and whether such cash is treated as a dividend or results in capital gain or loss for U.S. federal income tax purposes.

 

In the event that the Exchanges are not treated as part of a single integrated plan that is treated as a sale or exchange of Yamana Shares for U.S. federal income tax purposes, the distribution of Agnico Shares and Cash Consideration in the Yamana Share Exchange would be treated for U.S. federal income tax purposes as a corporate distribution which would be treated as a dividend to the extent of the current and accumulated earnings and profits of Yamana. Yamana would not be able to determine the extent to which any such dividend would be made out of current and accumulated earnings and profits. Accordingly, U.S. Holders should assume for this purpose that there would be sufficient earnings and profits to treat any such distribution, in its entirety, as a dividend (and not a non-taxable return of capital or capital gain), with the tax consequences described below under the heading “–U.S. Federal Income Tax Considerations Relating to the Consideration Shares – Taxation of Dividends.” The amount of the dividend would be the sum of the fair market value of the Agnico Shares and the Cash Consideration received and the U.S. Holder would not be able to utilize the U.S. Holder’s adjusted basis in its Yamana Shares to reduce the amount of the dividend.

 

Subject to the PFIC rules described below, any gain or loss recognized in the Exchanges generally will be treated as capital gain or loss and will be long-term capital gain or loss if the U.S. Holder’s holding period for the Yamana Shares is more than one year at the time of the Exchanges. Long-term capital gains of non-corporate U.S. Holders are eligible for reduced rates of taxation. Any capital gain or loss will generally be treated as U.S. source gain or loss for U.S. foreign tax credit purposes. Deductions for capital losses are subject to complex limitations under the Code. A U.S. Holder may also be subject to backup withholding on the Cash Consideration, discussed below under “– Backup Withholding and Information Reporting”.

 

174

 

 

Application of the PFIC Rules to the Arrangement

 

Gain on the disposition of stock in a corporation treated as a PFIC with respect to a U.S. Holder is subject to special adverse U.S. federal income tax rules unless such holder has timely made certain elections, as discussed more fully below, together with the rules governing the determination of whether a non-U.S. corporation qualifies as a PFIC with respect to a U.S. Holder, under “– U.S. Federal Income Tax Considerations Relating to the Consideration Shares – PFIC Rules.” Although Yamana believes that it was not a PFIC in prior tax years and does not expect to be classified as a PFIC during its current taxable year, this determination cannot be made until the end of the taxable year. Moreover, there can be no assurance that the IRS would agree with this determination or that Yamana has never been a PFIC.

 

The PFIC rules are complex, and the implementation of certain aspects of the PFIC rules requires the issuance of U.S. Treasury Regulations which in many instances have not been promulgated and which, when promulgated, may have retroactive effect. U.S. Holders are urged to consult their own tax advisors about the potential applicability of the PFIC rules to the Arrangement, including the application of any information reporting requirements related to the ownership and disposition of shares of a PFIC.

 

U.S. Holders are urged to consult their own tax advisors regarding the tax consequences that would arise if Yamana were treated as a PFIC for any taxable year, including how such classification would impact the tax consequences of the Arrangement.

 

U.S. Holders Exercising Dissent Rights

 

A U.S. Holder that exercises Dissent Rights with respect to its Yamana Shares and is paid cash in exchange for all of such U.S. Holder’s Yamana Shares is urged to consult their own tax advisors as to the tax consequences applicable to them of exercising Dissent Rights with respect to their Yamana Shares and being paid cash in exchange for all of their Yamana Shares, including the potential application of Section 304.

 

U.S. Federal Income Tax Considerations Relating to Consideration Shares

 

Taxation of Dividends

 

Distributions paid out of either Agnico’s or Pan American’s current or accumulated earnings and profits (as determined for U.S. federal income tax purposes) will generally be taxable to a U.S. Holder as dividend income, and will not be eligible for the dividends received deduction allowed to corporations. Distributions that exceed Agnico’s or Pan American’s, as applicable, current and accumulated earnings and profits will be treated as a non-taxable return of capital to the extent of a U.S. Holder’s basis in the Agnico Shares or Pan American Shares, as applicable, and thereafter as capital gain. However, neither Agnico nor Pan American maintains calculations of its earnings and profits in accordance with U.S. federal income tax accounting principles. A U.S. Holder should therefore assume that any distribution by Agnico or Pan American with respect to the Agnico Shares or Pan American Shares, as applicable, will be reported as ordinary dividend income. U.S. Holders are urged to consult their own tax advisors with respect to the appropriate U.S. federal income tax treatment of any distribution received from Agnico or Pan American, as applicable. For purposes of determining limitations on any foreign tax credits, dividends paid by Agnico or Pan American will generally constitute foreign source “passive income”.

 

Subject to the PFIC rules discussed below under “– PFIC Rules”, dividends paid by Agnico or Pan American generally will be taxable to non-corporate U.S. Holders at the reduced rate normally applicable to long-term capital gains, provided that either (a) Agnico or Pan American, as applicable, qualifies for the benefits of the income tax treaty between the United States and Canada, or (b) the Agnico Shares or Pan American Shares, as applicable, are considered to be “readily tradable” on the NYSE or Nasdaq, respectively, and, in each case, certain other requirements are met. Agnico and Pan American each believes that it is eligible for such treaty benefits, and U.S. Treasury guidance indicates that the Agnico Shares will be readily tradable on the NYSE and that the Pan American Shares will be readily tradable on the Nasdaq, although there can be no assurance that the Agnico Shares or the Pan American Shares will be so tradable in future years.

 

175

 

 

Effect of Canadian Withholding Taxes

 

As discussed in “– Certain Canadian Income Tax Considerations – Holders Not Resident in Canada – Dividends on Agnico Shares and Pan American Shares”, under current Law, Canada imposes a withholding tax of 25% on the gross amount of dividends paid, deemed to be paid, or credited on Agnico Shares or Pan American Shares, to U.S. Holders, unless such rate is reduced under the U.S. Treaty. A U.S. Holder may be entitled, subject to certain limitations, to a foreign tax credit against its U.S. federal income tax liability for Canadian income taxes withheld by Agnico or Pan American. A U.S. Holder may be entitled to claim a deduction for any Canadian income taxes withheld by Agnico or Pan American if the U.S. Holder does not elect to claim a foreign tax credit for any foreign taxes paid or accrued during the taxable year; however, there are substantial limitations on the deductibility of non-U.S. taxes for non-corporate holders. Recent U.S. Treasury Regulations have added additional limitations on the ability to claim a credit or deduction in respect of non-U.S. taxes.

 

U.S. Holders that receive payments subject to this withholding tax will be treated, for U.S. federal income tax purposes, as having received the amount of Canadian taxes withheld by Agnico or Pan American, as applicable, and as then having paid over the withheld taxes to the Canadian taxing authorities. As a result, the amount of dividend income included in gross income for U.S. federal income tax purposes by a U.S. Holder with respect to dividends paid by Agnico or Pan American may be greater than the amount of cash actually received (or receivable) by the U.S. Holder.

 

The rules governing foreign tax credits are complex. U.S. Holders are urged to consult their own tax advisors concerning the foreign tax credit implications of Canadian withholding taxes.

 

Taxation of a Sale or Other Disposition

 

Subject to the PFIC rules discussed below under “– PFIC Rules”, upon a sale or other disposition of Agnico Shares or Pan American Shares, a U.S. Holder will generally recognize capital gain or loss for U.S. federal income tax purposes equal to the difference between the amount realized and the U.S. Holder’s adjusted tax basis in the applicable Agnico Shares or Pan American Shares, determined in U.S. dollars. This capital gain or loss will generally be long-term capital gain or loss if the holding period in the applicable Agnico Shares or Pan American Shares exceeds one year. The deductibility of capital losses is subject to significant limitations under the Code. Any gain or loss will generally be U.S. source. U.S. Holders are urged to consult their own tax advisors regarding how to account for proceeds received on the sale or other disposition of Agnico Shares or Pan American Shares that are not paid in U.S. dollars.

 

PFIC Rules

 

A non-U.S. corporation will be a PFIC in any taxable year in which, after taking into account the income and assets of the corporation and certain Subsidiaries pursuant to applicable “look-through rules”, either (a) at least 75% of its gross income is “passive income” or (b) at least 50% of the average value of its assets is attributable to assets which produce passive income or are held for the production of passive income. For these purposes, “passive income” generally includes interest, dividends, certain rents and royalties and gains from certain commodities transactions, including transactions involving gold and other precious metals. Net gains from commodities transactions are generally treated as passive income unless such gains are active business gains from the sale of commodities and “substantially all” (at least 85%) of the corporation’s commodities are stock in trade or inventory, depreciable property used in a trade or business, or supplies regularly used or consumed in a trade or business. If a corporation is treated as a PFIC with respect to a U.S. Holder for any taxable year, the corporation will continue to be treated as a PFIC with respect to that U.S. Holder in all succeeding taxable years, regardless of whether the corporation continues to meet the PFIC requirements in such years, unless certain elections are made. In general, cash is a passive asset for these purposes.

 

Based on Agnico’s and Pan American’s historic and anticipated operations, and the projected composition of Agnico’s and Pan American’s income and assets, neither Agnico nor Pan American believes it was a PFIC for its 2021 taxable year and does not expect to be a PFIC for its 2022 taxable year or for the foreseeable future. However, Agnico’s and Pan American’s possible status as a PFIC must be determined annually after the close of each taxable year on the basis of facts and circumstances that may be beyond Agnico’s or Pan American’s, as applicable, control, and therefore may be subject to change. In addition, Agnico’s and Pan American’s possible status as a PFIC will also depend on the application of complex statutory and regulatory rules that are subject to potentially varying or changing interpretations. Accordingly, there can be no assurance that Agnico will not be a PFIC for any year in which a U.S. Holder holds Agnico Shares or that Pan American will not be a PFIC for any year in which a U.S. Holder holds Pan American Shares.

 

176

 

 

If Agnico or Pan American is currently a PFIC or becomes a PFIC at any point during a U.S. Holder’s holding period and such U.S. Holder has not made any of the elections described below, the U.S. Holder will generally be subject to special rules with respect to (i) any “excess distribution” (generally, the amount of any distribution during a taxable year to the extent distributions received by the U.S. Holder on Agnico Shares or Pan American Shares, as applicable, during such taxable year exceed 125% of the average annual distributions received by the U.S. Holder in the three preceding taxable years or, if shorter, the U.S. Holder’s holding period for the Agnico Shares or Pan American Shares, as applicable) and (ii) any gain realized on the sale or other disposition of Agnico Shares or Pan American Shares, as applicable. For purposes of these rules, gifts (under proposed PFIC regulations pursuant to which gain on the transfer of stock in a PFIC is recognized notwithstanding any other provision of Law and which have a retroactive effective date), exchanges pursuant to corporate reorganizations and use of the Agnico Shares or Pan American Shares as security for a loan may be treated as a taxable disposition of the Agnico Shares or Pan American Shares, as applicable.

 

Under these rules (a) any excess distribution or gain will be allocated ratably over the U.S. Holder’s holding period, (b) the amount allocated to the current taxable year and any taxable year prior to the first taxable year in which Agnico or Pan American, as applicable, is a PFIC will be taxed as ordinary income and (c) the amount allocated to each of the other taxable years will be subject to tax at the highest rate of tax in effect for individuals or corporations, as appropriate, for that year and an interest charge for the deemed deferral benefit will be imposed with respect to the resulting tax attributable to each such other taxable year. Additionally, dividends paid by Agnico or Pan American, as applicable, following the Arrangement would not be eligible for the reduced rate of tax described above under “– Taxation of Dividends”. Certain additional adverse tax rules will apply to a U.S. Holder for any taxable year in which Agnico or Pan American is treated as a PFIC with respect to such U.S. Holder and any of Agnico’s or Pan American’s, as applicable, Subsidiaries is also treated as a PFIC. In such a case, the U.S. Holder will generally be deemed to own its proportionate interest (by value) in any such lower-tier PFIC and be subject to the PFIC rules described above with respect to such lower-tier PFIC regardless of such U.S. Holder’s percentage ownership in Agnico or Pan American, as applicable. U.S. Holders are urged to consult their tax advisors regarding the application of the PFIC rules to their ownership of Agnico Shares or Pan American Shares as well as to their indirect ownership of equity interests in such lower-tier PFICs.

 

If Agnico or Pan American is a PFIC in a taxable year and Agnico Shares or Pan American Shares, as applicable, are treated as “marketable stock” in such year, a U.S. Holder may make a mark-to-market election with respect to its Agnico Shares or Pan American Shares, as applicable. A U.S. Holder that timely makes such election will generally not be subject to the PFIC rules described above, except pursuant to special rules that may apply to the first year of a mark-to-market election if such election is not made in the first year Pan American or Agnico, as applicable, is a PFIC. Instead, in general, such U.S. Holder will include as ordinary income each year the excess, if any, of the fair market value of the Agnico Shares or Pan American Shares, as applicable, at the end of the taxable year over the U.S. Holder’s adjusted basis in the Agnico Shares or Pan American Shares, as applicable. Such U.S. Holder will also be allowed to take an ordinary loss in respect of the excess, if any, of such holder’s adjusted basis in its Agnico Shares or Pan American Shares, as applicable, over the fair market value of such Agnico Shares or Pan American Shares at the end of the taxable year (but only to the extent of the net amount of previously included income as a result of the mark-to-market election). The U.S. Holder’s basis in Agnico Shares or Pan American Shares, as applicable, will be adjusted to reflect any such income or loss amounts. Any gain that is recognized on the sale or other taxable disposition of Agnico Shares or Pan American Shares, as applicable, would be ordinary income and any loss would be an ordinary loss to the extent of the net amount of previously included income as a result of the mark-to-market election and, thereafter, a capital loss. A mark-to-market election cannot be made for any lower-tier PFICs. U.S. Holders are urged to consult their tax advisors regarding the availability and consequences of the mark-to-market election as well as the application of the PFIC rules to their indirect ownership of equity interests in any lower-tier PFICs.

 

177

 

 

In some cases, a shareholder of a PFIC may be subject to alternative treatment by making a qualified electing fund (“QEF”) election to be taxed currently on its share of the PFIC’s undistributed income. To make a QEF election with respect to its interests in Agnico or Pan American, Agnico or Pan American, as applicable, must provide U.S. Holders with certain information compiled according to U.S. federal income tax principles. Neither Agnico nor Pan American currently intends to provide such information for U.S. Holders, and therefore it is expected that this election will not be available to U.S. Holders.

 

A U.S. Holder who owns, or who is treated as owning, Agnico Shares or Pan American Shares during any taxable year in which Agnico or Pan American, as applicable, is classified as a PFIC may be required to file IRS Form 8621. U.S. Holders are urged to consult their tax advisors regarding the requirement to file IRS Form 8621 and the potential application of the PFIC regime to their investment in Agnico Shares and Pan American Shares.

 

Backup Withholding and Information Reporting

 

Payments of dividends and other proceeds with respect to Consideration Shares and any payments received in connection with the Arrangement (including, but not limited to, U.S. Holders exercising Dissent Rights under the Arrangement) by U.S. persons will be reported to a U.S. Holder and to the IRS as may be required under applicable regulations. Backup withholding (currently at a 24% rate) may apply to these payments unless the U.S. Holder is (i) a corporation or other exempt recipient and, when required, establishes this exemption or (ii) provides its correct taxpayer identification number, certifies that it is not currently subject to backup withholding tax and otherwise complies with applicable requirements of the backup withholding tax rules. A U.S. Holder that does not provide Agnico or Pan American with its correct taxpayer identification number may be subject to penalties imposed by the IRS. Backup withholding is not an additional tax. Any amounts withheld under the backup withholding rules from a payment to a U.S. Holder can be refunded or credited against the U.S. Holder’s U.S. federal income tax liability, if any, provided that the required information is furnished to the IRS in a timely manner. U.S. Holders are urged to consult their own tax advisors about these rules and any other reporting obligations that may apply to the ownership and disposition of the Consideration Shares, including requirements relating to the holding of certain “specified foreign financial assets”.

 

Certain United Kingdom Tax Considerations

 

The following paragraphs, which are intended as a general guide on, and not a substitute for, detailed tax advice, are based on current UK tax legislation and HM Revenue & Customs published practice, in each case as at the latest practicable date before the date of this Circular, both of which are subject to change, possibly with retrospective effect.

 

They summarize certain limited aspects of the UK taxation treatment of the Arrangement and the ownership of Pan American Shares, and they relate only to the position of Yamana Shareholders and of holders of Yamana Depositary Interests who are resident and, in the case of individual shareholders, domiciled in the UK for taxation purposes at all relevant times, who hold Yamana Shares or Yamana Depositary Interests (or Pan American Shares, as appropriate) as an investment (other than under a self-invested personal pension plan or individual savings account) and who are the absolute beneficial owners of those shares.

 

They do not deal with certain types of shareholders, such as charities, persons who could have acquired their securities by reason of their employment or who are subject to tax on a remittance basis, or hold their shares for the purpose of a trade, market makers, brokers or dealers, collective investment schemes or insurance companies.

 

It assumes that the Arrangement is being effected for bona fide commercial reasons and not as part of a scheme or arrangement of which the main purpose or one of the main purposes is avoidance of liability to UK capital gains tax or corporation tax.

 

178

 

 

If you are in any doubt as to your taxation position or if you are subject to taxation in any jurisdiction other than the UK, you should consult an appropriate professional advisor immediately.

 

These paragraphs are not applicable to holders of Yamana RSUs, Yamana PSUs, Yamana DSUs, or other conversion or exchange rights to acquire Yamana Shares or cash, and the tax considerations relevant to such holders are not discussed herein. Any such holders referred to above should consult their own tax advisors with respect to the tax consequences of the Arrangement.

 

Treatment of the Arrangement

 

The receipt of the Consideration is expected to be treated as set out below by reference to the various elements of the Consideration.

 

The receipt of the Agnico Share Consideration is expected to be treated as a part disposal of the relevant Yamana Shares for the purposes of UK capital gains tax or corporation tax on chargeable gains (as applicable), therefore resulting in the following UK tax consequences. A UK holder of Yamana Shares or Yamana Depositary Interests may recognize a chargeable gain or an allowable loss (depending on the UK holder’s circumstances and subject to any available exemption or relief) with deemed disposal proceeds of the market value of the Agnico Share Consideration received. The existing tax basis in the Yamana Shares (by reference to which any gain or loss would be computed) is expected to be split by reference to the market value of the Agnico Share Consideration as compared to the aggregate market value of the Agnico Share Consideration and the Class A Share that is retained by the Yamana Shareholder (and exchanged for the Pan American Shares). The resulting split tax basis would in principle then in part be available in respect of the part disposal of the Yamana Shares and in part available as basis for the Class A Share which is then exchanged for Pan American Shares.

 

While this is not free from doubt, it is expected that the exchange of the Class A Share for the Pan American Shares should be treated as a rollover transaction for UK tax purposes, such that the Yamana Shareholder would not be treated as realizing a chargeable gain or allowable loss (other than to the extent that any Yamana Shareholder receives cash in respect of any fractional entitlements). The tax basis that the Yamana Shareholder would be expected to have in the Pan American Shares received would be the remaining tax basis following the split in the Yamana Shareholder’s tax basis by reference to the formula set out above.

 

Any Yamana Shareholder who (together with any connected persons) owns 5% or more of any class of Yamana Shares should note that no clearance is being applied for under section 138 of the Taxation of Chargeable Gains Act 1992.

 

It is not expected that any UK stamp duty or stamp duty reserve tax will be payable by any Yamana Shareholder in respect of the Arrangement.

 

Disposition of any Pan American Shares

 

It is expected that any future disposal of Pan American Shares would be subject to UK tax on capital gains (depending on the UK holder’s circumstances and subject to any available exemption or relief), with any gain or loss based on the difference between the sale proceeds (or deemed sale proceeds) over the base cost of the Pan American Shares as set out above as applicable.

 

The amount of capital gains tax, if any, payable by an individual Yamana Shareholder as a consequence of any disposal of the Yamana Shares will depend on their own personal tax position. No tax will be payable on any gain realized on the disposal of the Yamana Shares if the amount of the net chargeable gain realized by the Yamana Shareholder, when aggregated with other gains realized by that Yamana Shareholder in the year of assessment (and after taking account of allowable losses), does not exceed the annual exempt amount (£12,300 for 2021/22 which is reduced to £6,000 from April 2023 and £3,00 from April 2024). Broadly, any gains in excess of this amount will be taxed at a rate of 10%, or 20% for higher rate and additional rate taxpayers. Where the gains of a basic rate taxpayer subject to capital gains tax exceed the unused part of their basic rate band, that excess is subject to tax at the 20% rate.

 

Tax on Dividends on any Pan American Shares

 

Individual UK Holders

 

Dividends received by a UK holder that is an individual will generally be subject to UK income tax, as dividend income, on the amount of any dividend paid on the Pan American Shares as applicable (before deduction of any withholding taxes (if any)). Credit may be given for any Canadian tax withheld, subject to the UK tax rules regarding calculation and availability of such credit. For the 2022/2023 tax year, the first £2,000 (the “Nil Rate Amount”) of the total amount of dividend income received by a UK resident individual in a tax year will be taxed at a nil rate (and so no income tax will be payable in respect of such amounts). For these purposes, “dividend income” includes UK and non-UK source dividends and certain other distributions in respect of shares received by a UK resident individual. If a UK holder’s total dividend income for a tax year exceeds the Nil Rate Amount (such excess being referred to as the “Taxable Excess”) then the Taxable Excess will be subject to UK income tax depending on the tax rate band or bands it falls within. The relevant tax rate band is determined by reference to the UK individual’s total income charged to income tax (including the dividend income charged at a nil rate by virtue of the Nil Rate Amount) less relevant reliefs and allowances (including any personal allowance).

 

179

 

 

The Taxable Excess is, in effect, treated as the top slice of any resulting taxable income and, for the 2022/2023 tax year: (a) to the extent that the Taxable Excess falls below the basic rate limit, a UK individual who is subject to income tax at the basic rate will be subject to income tax on the Taxable Excess at the dividend basic rate of 8.75%; (b) to the extent that the Taxable Excess falls above the basic rate limit but below the higher rate limit, a UK individual who is subject to income tax at the higher rate will be subject to income tax on it at the dividend upper rate of 33.75%; and (c) to the extent that the Taxable Excess falls above the higher rate limit, a UK individual who is subject to income tax at the additional rate will be subject to income tax on it at the dividend additional rate of 39.35%.

 

Corporate UK Holders

 

A UK holder that is within the charge to UK corporation tax and is a “small company” for the purposes of Chapter 2 of Part 9A of the Corporation Tax Act 2009 (“CTA 2009”) will not generally be subject to UK corporation tax (currently at a rate of 19%, which is due to rise to a main rate of 25% for the financial year beginning April 1, 2023) on any dividend received in respect of the Pan American Shares provided that certain conditions are met (including an anti-avoidance condition). A UK holder that is within the charge to UK corporation tax and which is not a “small company” for the purposes of Chapter 2 of Part 9A of the CTA 2009 will be liable to UK corporation tax (currently at a rate of 19%, which is due to rise to a main rate of 25% for the financial year beginning April 1, 2023) on any dividend it receives in respect of the Pan American Shares as applicable, unless the dividend falls within one of the exempt classes set out in Chapter 3 of Part 9A of the CTA 2009 and certain other conditions are met. Although it is likely that most dividends paid on the Pan American Shares to UK holders that are within the charge to UK corporation tax would fall within one or more of these exempt classes, the exemptions are not comprehensive and are also subject to anti-avoidance rules.

 

UK Holders Exercising Dissent Rights

 

A UK holder that exercises Dissent Rights with respect to its Yamana Shares and is paid cash in exchange for all of such UK holder’s Yamana Shares should consult their own tax advisors as to the tax consequences of exercising Dissent Rights with respect to their Yamana Shares and being paid cash in exchange for all of their Yamana Shares applicable to them.

 

OTHER INFORMATION

 

Interest in Meeting Business and Material Transactions

 

Other than as set forth in this Circular, none of Yamana, Yamana’s directors or executive officers, or anyone associated or affiliated with any of them, has or had a material interest in any item of business at the Yamana Meeting except for any interest arising from the ownership of Yamana Shares where the Yamana Shareholder will receive no extra or special benefit or advantage not shared on a pro rata basis by all holders of Yamana Shares. A material interest is one that could reasonably interfere with the ability to make independent decisions.

 

Other than as set forth in this Circular, no director or executive officer of Yamana, or any director or executive officer of a Subsidiary of Yamana or any Person who beneficially owns, or controls or directs, directly or indirectly, more than 10% of the voting rights attached to the issued and outstanding Yamana Shares, or anyone associated or affiliated with any of them, has or had a direct or indirect material interest in any transaction since the beginning of Yamana’s most recently completed financial year or in any proposed transaction which has materially affected or would materially affect, Yamana or any of its Subsidiaries.

 

180

 

 

Van Eck has stated in filings made under applicable Securities Laws that it may be deemed to have control over, but not ownership of, 109,844,657 Yamana Shares representing 11.43% of the outstanding Yamana Shares, and 21,582,103 Pan American Shares representing 10.24% of the outstanding Pan American Shares. Consideration of 17,553,176 Pan American Shares, 4,130,159 Agnico Shares and US$114,304,350 in cash would be exchanged for these Yamana Shares under the Arrangement, giving Van Eck control over 39,135,279 Pan American Shares, constituting approximately 10.74% of the outstanding Pan American Shares following the Effective Time.

 

According to its filings made under applicable Securities Laws, Van Eck is an investment manager as defined in National Instrument 62-103 – The Early Warning System and Related Take-Over Bid and Insider Reporting Issues by virtue of being (a) registered to provide investment counseling, portfolio management or similar advisory services in respect of securities under the Investment Advisers Act of 1940 of the United States of America, as amended, and (b) providing the advisory services referred to above for valuable consideration under a contractual arrangement. Dispositional and voting authority over Yamana Shares is held by Van Eck pursuant to various investment advisory agreements between Van Eck and an exchange traded fund investment unit (the “ETF Business Unit”).

 

According to its filings made under applicable Securities Laws, the ETF Business Unit over which Van Eck has investment authority currently hold Yamana Shares for investment purposes only and not for the purpose of influencing control or direction of Yamana. In the ordinary course of business, Van Eck conducts analysis of securities in which it may invest on behalf of the ETF Business Unit. Based on that analysis, it makes buy and sell decisions on a continuous basis on behalf of the ETF Business Unit. Accordingly, depending upon the circumstances, Van Eck may, on behalf of the ETF Business Unit, acquire additional securities or related financial instruments of Yamana or dispose of securities or related financial instruments of Yamana previously acquired.

 

Legal Matters

 

Certain legal matters in connection with the Arrangement will be passed upon by Cassels Brock & Blackwell LLP, Paul, Weiss, Rifkind, Wharton & Garrison LLP and Norton Rose Fulbright LLP.

 

181

 

 

DIRECTORS’ APPROVAL

 

The contents of this Circular and the sending thereof to the Yamana Shareholders have been approved by the Yamana Board. A copy of this Circular has been sent to: (a) each director of Yamana; (b) each Yamana Shareholder entitled to receive notice of the Yamana Meeting; and (c) the auditor of Yamana.

 

DATED this 20th day of December, 2022.

 

  BY ORDER OF THE BOARD OF DIRECTORS OF YAMANA GOLD INC.
   
  “Peter Marrone”
  Peter Marrone
Executive Chairman

 

182

 

 

CONSENT OF EXPERTS

 

Consent of Scotia Capital Inc.

 

To the Board of Directors of Yamana Gold Inc. (“Yamana”)

 

We refer to the full text of the written fairness opinion dated as of November 7, 2022 (the “Scotiabank Fairness Opinion”), which we prepared solely for the benefit and use of the special committee of the board of directors of Yamana (the “Yamana Special Committee“) and the board of directors of Yamana (the “Yamana Board”), in connection with the arrangement involving Yamana, Pan American Silver Corp. and Agnico Eagle Mines Limited, as described in the management information circular of Yamana dated December 20, 2022 (the “Circular”).

 

We consent to the inclusion of the full text of the Scotiabank Fairness Opinion in Schedule C to the Circular, and reference to our firm name and the Scotiabank Fairness Opinion in the Circular.

 

The Scotiabank Fairness Opinion was given as at November 7, 2022, and remains subject to the assumptions, qualifications and limitations contained therein. In providing our consent, we do not intend that any person other than the Yamana Special Committee and the Yamana Board shall be entitled to rely upon the Scotiabank Fairness Opinion.

 

Dated: December 20, 2022

 

(signed) “Scotia Capital Inc.”

 

SCOTIA CAPITAL INC.

 

183

 

 

GLOSSARY OF TERMS

 

In this Circular and accompanying Notice of Special Meeting of Shareholders of Yamana, unless there is something in the subject matter inconsistent therewith, the following terms will have the respective meanings set out below, words importing the singular number will include the plural and vice versa and words importing any gender will include all genders.

 

Activation Time” means such time on November 8, 2022 as the Gold Fields Arrangement Agreement was terminated in accordance with its terms.

 

Advance Ruling Certificate” means an advance ruling certificate issued by the Commissioner on November 28, 2022, pursuant to Section 102 of the Competition Act, in respect of the transactions contemplated by the Arrangement Agreement, including the transactions contemplated by the Conveyance Agreement, such advance ruling certificate having not been modified or withdrawn prior to the Effective Time.

 

Affiliate” or “affiliate” means, in respect of a Person, another Person if one of them is a Subsidiary of the other or each one of them is controlled, directly or indirectly, by the same Person; provided that in no case shall an “affiliate” of Yamana or any of its Subsidiaries include the Yamana Material JV Entities.

 

Agnico” means Agnico Eagle Mines Limited, a corporation existing under the provincial Laws of Ontario.

 

Agnico AIF” has the meaning given to it under the heading “Schedule J – Information Concerning Agnico – Additional Information”.

 

Agnico Annual Financial Statements” has the meaning given to it under the heading “Schedule J – Information Concerning Agnico – Additional Information”.

 

Agnico Annual MD&A” has the meaning given to it under the heading “Schedule J – Information Concerning Agnico – Additional Information”.

 

Agnico Board” means the board of directors of Agnico as the same is constituted from time to time.

 

Agnico Interim Financial Statements” has the meaning given to it under the heading “Schedule J – Information Concerning Agnico – Additional Information”.

 

Agnico Interim MD&A” has the meaning given to it under the heading “Schedule J – Information Concerning Agnico – Additional Information”.

 

Agnico Material Adverse Effect” means a Material Adverse Effect in relation to Agnico.

 

Agnico Mines” has the meaning given to it under the heading “Schedule J – Information Concerning Agnico – Overview”.

 

Agnico Payment Shares” means the aggregate number of whole Agnico Shares to be delivered to Yamana Shareholders in accordance with the Plan of Arrangement.

 

Agnico Projectionshas the meaning given to it under the heading “Risk Factors – Risk Factors Relating to the Arrangement”.

 

Agnico Share Consideration” means 0.0376 of an Agnico Share for each Yamana Share (other than a Dissent Share), subject to any adjustment as contemplated by the Arrangement Agreement.

 

Agnico Share Value” means US$42.30, subject to any adjustment as contemplated by the Arrangement Agreement.

 

Agnico Shareholders” means the holders of Agnico Shares.

 

Agnico Shares” means the common shares in the authorized share capital of Agnico.

 

184

 

 

allowable capital loss” has the meaning given to it under the heading “Certain Income Tax Considerations – Certain Canadian Federal Income Tax Considerations – Holders Resident in Canada – Taxation of Capital Gains and Capital Losses”.

 

Alternative Proposal” has the meaning given to it under the heading “The Arrangement – Background to the Arrangement – Re-Engagement with Pan American and Agnico”.

 

Amended and Restated Business Acquisition Report” has the meaning given to it under the heading “Schedule J – Information Concerning Agnico – Additional Information”.

  

Arrangementmeans the arrangement of Yamana under section 192 of the CBCA on the terms and subject to the conditions set out in the Plan of Arrangement, subject to any amendments or variations thereto made in accordance with the terms of the Arrangement Agreement and the Plan of Arrangement or made at the direction of the Court in the Interim Order or Final Order with the consent of Pan American and Yamana, each acting reasonably.

 

Arrangement Agreement” means the arrangement agreement dated as of November 4, 2022 among Pan American, Agnico and Yamana, made effective as of the Activation Time, including all schedules annexed thereto as the same may be amended, supplemented or otherwise modified from time to time in accordance with the terms thereof.

 

Arrangement Resolutionmeans the special resolution of Yamana Shareholders approving the Arrangement which is to be considered at the Yamana Meeting, substantially in the form attached as Schedule A hereto.

 

Asset Salehas the meaning given to it in the Conveyance Agreement.

 

Authorizationmeans, with respect to any Person, any authorization, order, permit, approval, grant, licence, registration, consent, right (including any prospecting or mining right), notification, condition, franchise, privilege, certificate, judgment, writ, injunction, award, determination, direction, decision, decree, by-law, rule or regulation, of, from or required by any Governmental Entity having jurisdiction over the Person.

 

Base Premium” has the meaning given to it under the heading “Regulatory Matters and Approvals – Interests of Certain Persons or Companies in the Arrangement – Insurance and Indemnification”.

 

BCBCA” means the Business Corporations Act (British Columbia), including the rules and regulations made under it, as it or they may have been or may from time to time be amended, supplemented, re-enacted or superseded.

 

Binding Proposal” has the meaning given to is under the heading “The Arrangement – Background to the Arrangement – Re-Engagement with Pan American and Agnico”.

 

Board Appointees” means the three independent directors of Yamana to be appointed to the Pan American Board promptly following the Effective Time.

 

Broadridge” means Broadridge Financial Services, Inc.

 

Business Day” means any day, other than a Saturday, a Sunday or a statutory or civic holiday in the Provinces of Ontario or British Columbia or the State of New York.

 

Canadian Assets” has the meaning given to it under the heading “Transaction Agreements – Conveyance Agreement”.

 

Canadian Liabilities” has the meaning given to it under the heading “Transaction Agreements – Conveyance Agreement”.

 

Canadian Securities Authorities” means the securities commission or other securities regulatory authority of each province and territory of Canada.

 

185

 

 

Canadian Securities Lawsmeans the Securities Act, together with all other applicable securities Laws, rules and regulations and published policies thereunder or under the securities Laws of any other province or territory of Canada.

 

Canadian Subsidiaryhas the meaning given to it under the heading “Transaction Agreements – Conveyance Agreement”.

 

Cash Considerationmeans US$1.0406 for each Yamana Share (other than a Dissent Share), subject to any adjustment as contemplated by the Arrangement Agreement.

 

Cassels” means Cassels Brock & Blackwell LLP, Yamana’s legal counsel.

 

CBCA” means the Canada Business Corporations Act, including the rules and regulations made under it, as it or they may have been or may from time to time be amended, supplemented, re-enacted or superseded.

 

CDS” means CDS Clearing and Depository Services Inc., which acts as nominee for certain Canadian brokerage firms.

 

Certificate of Arrangement” means the certificate giving effect to the Arrangement issued by the Director pursuant to Section 192(7) of the CBCA.

 

CIM” has the meaning given to it under the heading “Notice to Yamana Securityholders in the United States – Cautionary Note to Yamana Shareholders in the United States Concerning Estimates of Measured, Indicated and Inferred Mineral Resource”.

 

CIM Standards” has the meaning given to it under the heading “Notice to Yamana Securityholders in the United States – Cautionary Note to Yamana Shareholders in the United States Concerning Estimates of Measured, Indicated and Inferred Mineral Resource”.

 

Circular” means this management information circular, including all schedules, appendices and exhibits hereto, and information incorporated by reference herein, sent by Yamana to Yamana Shareholders in connection with the Yamana Meeting, as amended, supplemented or otherwise modified from time to time.

 

Class A Shares” means the unlimited number of Class A common shares of Yamana which are to be created in accordance with the Plan of Arrangement and which shall have attached thereto the right to two votes per share at all meetings of Yamana Shareholders, the right to dividends as and when declared by the directors of Yamana, and the right to participate in the remaining assets of Yamana upon a winding up of Yamana.

 

Code” means the United States Internal Revenue Code of 1986, including the rules and regulations made under it, as it or they may have been or may from time to time be amended, supplemented, re-enacted or superseded.

 

COFECE” has the meaning given to it under the heading “Executive Summary – Regulatory Matters and Approvals – Key Regulatory Approvals – Mexican Federal Economic Competition Commission (COFECE)”.

 

Combined Company” means Pan American or its successors after completion of the Arrangement.

 

Combined Company Board” means the board of directors of the Combined Company as the same is constituted from time to time.

 

Commissionermeans the Commissioner of Competition appointed under subsection 7(1) of the Competition Act and includes any Person designated by the Commissioner to act on his behalf.

 

Competition Act” means the Competition Act (Canada) and the regulations promulgated thereunder.

 

Competition Act Approvalmeans that, in connection with the transactions contemplated by the Arrangement Agreement, including the transactions contemplated by the Conveyance Agreement, either (a) the applicable waiting period under subsection 123(1) of the Competition Act shall have expired or been terminated in accordance with subsection 123(2) of the Competition Act or the obligation to provide a pre-merger notification in accordance with Part IX of the Competition Act shall have been waived in accordance with subsection 113(c) of the Competition Act, and the Commissioner shall have issued a No Action Letter; or (b) the Commissioner shall have issued an Advance Ruling Certificate.

 

186

 

 

Competition Challenge” has the meaning given to it under the heading “Regulatory Matters and Approvals – Key Regulatory Approvals – Canadian Competition Approval”.

 

Competition Tribunal” means the tribunal established under the Competition Tribunal Act (Canada).

 

Computershare” means Computershare Trust Company of Canada, in its capacity as transfer agent of Yamana.

 

Computershare UK” means Computershare Investor Services PLC.

 

Confidentiality Agreement” means the confidentiality agreement among Pan American, Agnico and Yamana dated October 24, 2022.

 

Considerationmeans the consideration to be received by the Yamana Shareholders (other than Dissenting Shareholders) for each Yamana Share consisting of the Agnico Share Consideration, Pan American Share Consideration and Cash Consideration, subject to rounding in accordance with the Plan of Arrangement, all in accordance with the Plan of Arrangement.

 

Consideration Sharesmeans the Pan American Share Consideration and the Agnico Share Consideration to be issued as Consideration pursuant to the Arrangement.

 

Contractmeans any contract, agreement, license, franchise, lease, arrangement, commitment, understanding, joint venture, partnership or other right or obligation (written or oral) to which a Party or any of its Subsidiaries is a party or by which it or any of its Subsidiaries is bound or to which any of their respective properties or assets is subject.

 

Controlling Individual” has the meaning given to it under the heading “Certain Income Tax Considerations – Certain Canadian Federal Income Tax Considerations – Holders Resident in Canada – Eligibility for Investment by Registered Plans”.

 

Conveyance Agreement” means the agreement between Yamana and Agnico to effect the sale, transfer and assumption, as applicable, of Canadian Assets and Canadian Liabilities from Yamana to Agnico substantially in the form of Schedule D to the Arrangement Agreement.

 

Court” means the Ontario Superior Court of Justice (Commercial List).

 

COVID-19” means the coronavirus disease 2019 (commonly referred to as COVID-19), caused by the severe acute respiratory syndrome coronavirus 2 (SARS-CoV-2) and/or any other virus or disease developing from or arising as a result of SARS-CoV-2 and/or COVID-19.

 

COVID-19 Measures” means commercially reasonable measures undertaken by Pan American or Yamana or any of their respective Subsidiaries to comply with any quarantine, “shelter in place”, “stay at home”, workforce reduction, social distancing, curfew, shut down, closure, sequester, travel restrictions or any other applicable Laws, or any other similar directives, guidelines or recommendations issued by any Governmental Entity in connection with or in response to COVID-19.

 

COVID-19 Subsidy” means the Canada Emergency Rent Subsidy, the Canada Emergency Wage Subsidy, and any other COVID-19 related direct or indirect wage, rent or other subsidy or loan offered by a federal, provincial, territorial, state, local or foreign Governmental Entity.

 

CRA” has the meaning given to it under the heading “Certain Income Tax Considerations – Certain Canadian Federal Income Tax Considerations”.

 

187

 

 

CREST” means the system for the paperless settlement of trades in securities and the holding of uncertificated securities in accordance with the CREST Regulations operated by Euroclear.

 

CREST Manual” means the rules governing the operation of CREST as published by Euroclear.

 

CREST Regulations” means the Uncertificated Securities Regulations 2001 (SI 2001 No. 3755), as amended.

 

CREST Voting Instruction” has the meaning given to it under the heading “Information Concerning the Holders of Yamana Depositary Interests”.

 

CTA 2009” has the meaning given to it under the heading “Certain Income Tax Considerations – Certain United Kingdom Tax Considerations – Tax on Dividends on any Pan American Shares – Corporate UK Holders”.

 

Deloitte LLP” means Deloitte LLP.

 

Depositary” means Computershare Investor Services Inc., in its capacity as the depositary under the Arrangement.

 

Director” means the Director appointed pursuant to section 260 of the CBCA.

 

Dissent Amount” means US$2.5947 multiplied by the number of Dissent Shares transferred to Yamana in accordance with the Plan of Arrangement, rounded down to the nearest cent, subject to any adjustments as contemplated by the Arrangement Agreement.

 

Dissent and RSU Loan” means the amount lent from Pan American to Yamana on a non-interest bearing demand basis equal to the Dissent and RSU Loan Amount.

 

Dissent and RSU Loan Amount” means an amount equal to the sum of: (a) the amount to be paid in respect of all Yamana RSUs that are outstanding at the Effective Time in accordance with the Plan of Arrangement; and (b) the amount to be paid to Dissenting Shareholders in accordance with the Plan of Arrangement minus the Dissent Amount, subject to any adjustment as contemplated by the Arrangement Agreement.

 

Dissent Notice” has the meaning given to it under the heading “Rights of Dissenting Shareholders”.

 

Dissent Rights” means the rights of dissent in respect of the Arrangement as described in the Plan of Arrangement.

 

Dissent Shares” means the Yamana Shares held by a Dissenting Shareholder and in respect of which the Dissenting Shareholder has validly exercised Dissent Rights.

 

Dissenting Shareholder” means a Registered Yamana Shareholder who has validly exercised Dissent Rights and has not withdrawn or been deemed to have withdrawn such exercise of Dissent Rights, but only in respect of Yamana Shares in respect of which Dissent Rights are validly exercised by such Yamana Shareholder.

 

dividend income” has the meaning given to it under the heading “Certain Income Tax Considerations – Certain United Kingdom Tax Considerations – Tax on Dividends on any Pan American Shares – Individual UK Holders”.

 

Dividends” means all dividends or other distributions made with a record date after the Effective Time in respect of the Pan American Shares and the Agnico Shares to which a former Registered Yamana Shareholder is entitled, less any applicable withholding taxes.

 

188

 

 

DPSP” has the meaning given to it under the heading “Certain Income Tax Considerations – Certain Canadian Federal Income Tax Considerations – Holders Resident in Canada – Eligibility for Investment by Registered Plans”.

 

DRS Statement” means a direct registration statement issued by a transfer agent evidencing the securities held by a securityholder in book-based form in lieu of a physical share certificate.

 

DTC” means The Depositary Trust Company.

 

EDGAR” means the Electronic Data Gathering, Analysis and Retrieval system.

 

Effective Datemeans the date upon which the Arrangement becomes effective, which will be the date shown in the Certificate of Arrangement.

 

Effective Timemeans 12:01 a.m. (Eastern time) on the Effective Date or such other time as agreed to by Pan American, Agnico and Yamana in writing.

 

Environmental Laws” means all applicable Laws relating to pollution or the protection or quality of the environment or to the Release of Hazardous Substances to the environment and all Authorizations issued pursuant to such Laws.

 

ESG” has the meaning given to it under the heading “The Arrangement – Reasons for the Recommendation of the Yamana Special Committee and the Yamana Board”.

 

ETF Business Unit” has the meaning given to it under the heading “Other Information – Interest in Meeting Business and Material Transactions”.

 

Euroclear” means Euroclear UK & International Limited, the operator of CREST.

 

Exchanges” has the meaning given to it under the heading “Certain Income Tax Considerations – Certain United States Federal Income Tax Considerations – U.S. Federal Income Tax Considerations Relating to the Arrangement – Exchange of Yamana Shares for Consideration in the Arrangement”.

 

FCA” means the Financial Conduct Authority of the United Kingdom, in its capacity as the competent authority for the purposes of Part VI of FSMA and the FSA.

 

Final Ordermeans the final order of the Court pursuant to section 192 of the CBCA, in form and substance acceptable to Pan American, Agnico and Yamana, each acting reasonably, after a hearing upon the procedural and substantive fairness of the terms and conditions of the Arrangement, approving the Arrangement, as such order may be amended, modified, supplemented or varied by the Court (with the consent of Pan American, Agnico and Yamana, each acting reasonably) at any time prior to the Effective Date or, if appealed, then, unless such appeal is withdrawn or denied, as affirmed or as amended on appeal (provided that any such affirmation, amendment, modification, supplement or variation is acceptable to Pan American, Agnico and Yamana, each acting reasonably).

 

First Preference Shares” has the meaning given to it under the heading “Schedule H – Information Concerning Yamana – Description of Share Capital”.

 

Fitch” means Fitch Ratings, Inc.

 

Former Yamana Shareholders” means the Yamana Shareholders immediately prior to the Effective Time.

 

Former Pan American Shareholders” means the Pan American Shareholders immediately prior to the Effective Time.

 

Form of Instruction” means the form of instruction for holders of Yamana Depositary Interests in connection with voting at the Yamana Meeting.

 

Fractional Share Amount” means the cash paid to Yamana Shareholders in lieu of fractional Agnico Shares in accordance with the Plan of Arrangement.

 

189

 

 

FSAmeans the UK Financial Services Act 2012, as amended from time to time.

 

FSMA” means the Financial Services and Markets Act 2000, as amended from time to time.

 

GAAP” means generally accepted accounting principles.

 

GEO” means gold equivalent ounce.

 

Glencore” has the meaning given to it under the heading “Schedule H – Information Concerning Yamana – Recent Developments”.

 

Gold Fields” means Gold Fields Limited, a public company registered in accordance with the Laws of South Africa.

 

Gold Fields Arrangement” means the previously proposed arrangement involving Yamana and Gold Fields, on the terms and subject to the conditions set out in the Gold Fields Arrangement Agreement.

 

Gold Fields Arrangement Agreement” means the arrangement agreement dated May 31, 2022 between Yamana and Gold Fields.

 

Governmental Entitymeans: (a) any multinational, federal, provincial, territorial, state, regional, municipal, local or other government, governmental or public department, central bank, court, tribunal, arbitral body, commission, board, ministry, bureau or agency, domestic or foreign; (b) any stock exchange, including the TSX, NYSE, LSE and Nasdaq; (c) any subdivision, agent, commission, board or authority of any of the foregoing; or (d) any quasi-governmental or private body, including any tribunal, commission, regulatory agency or self-regulatory organization, exercising any regulatory, antitrust/competition, foreign investment, expropriation or taxing authority under or for the account of any of the foregoing.

 

Hazardous Substancesmeans any material or substance that is prohibited, listed, defined, designated or classified as dangerous, hazardous, radioactive, explosive, corrosive, flammable, leachable, oxidizing, or toxic or a pollutant or a contaminant under or pursuant to any applicable Environmental Laws, and including petroleum and all derivatives thereof or synthetic substitutes therefor (including polychlorinated biphenyls).

 

Holder” has the meaning given to it under the heading “Certain Income Tax Considerations – Certain Canadian Federal Income Tax Considerations”.

 

IFRSmeans generally accepted accounting principles in Canada from time to time including, for the avoidance of doubt, the standards prescribed in Part I of the CPA Canada Handbook – Accounting (International Financial Reporting Standards) as issued by the International Accounting Standards Board as the same may be amended, supplemented or replaced from time to time.

 

including” means including without limitation, and “include” and “includes” have a corresponding meaning.

 

Indenturehas the meaning given to it under the heading “Risk Factors – Risk Factors Relating to the Arrangement”.

 

Intended Tax Treatment” has the meaning given to it under the heading “Certain Income Tax Considerations – Certain United States Federal Income Tax Considerations – U.S. Federal Income Tax Considerations Relating to the Arrangement – Exchange of Yamana Shares for Consideration in the Arrangement”.

 

Interim Ordermeans the interim order made after the application to the Court pursuant to subsection 192 of the CBCA in form and substance acceptable to Pan American, Agnico and Yamana, each acting reasonably, providing for, among other things, the calling and holding of the Yamana Meeting, as the same may be amended, affirmed, modified, supplemented or varied by the Court with the consent of Pan American, Agnico and Yamana, each acting reasonably.

 

190

 

 

Intermediary” includes a broker, investment dealer, bank, trust company, custodian, nominee or other intermediary.

 

Investment Canada Act” means the Investment Canada Act (Canada) and the regulations thereunder.

 

IRS” means the United States Internal Revenue Service.

 

Key Regulatory Approvalsmeans the Competition Act Approval and the Mexican Competition Law Approval.

 

Kirkland” has the meaning given to it under the heading “The Arrangement – Background to the Arrangement – Initial Engagements with Pan American and Agnico”.

 

Laurel Hill” means the Laurel Hill Advisory Group Company, strategic shareholder advisor and proxy solicitation agent to Yamana.

 

Law” or “Lawsmeans all laws (including common law), by-laws, statutes, rules, regulations, principles of law and equity, orders, rulings, ordinances, judgments, injunctions, determinations, awards, decrees or other legally binding requirements, whether domestic or foreign, and the terms and conditions of any Authorization of or from any Governmental Entity, and, for greater certainty, includes Canadian Securities Laws, U.S. Securities Laws and UK Securities Laws and the term “applicable” with respect to such Laws and in a context that refers to one or more Persons, means such Laws as are applicable to such Persons or its business, undertaking, assets, property or securities and emanate from a Person having jurisdiction over the Person or Persons or its or their business, undertaking, assets, property or securities.

 

Letter of Transmittal” means the letter of transmittal in a form reasonably satisfactory to Pan American and Agnico, to be delivered by Yamana to Registered Yamana Shareholders providing for the delivery of the Yamana Shares to the Depositary and for the payment of the Consideration.

 

Liensmeans any hypothecs, mortgages, pledges, assignments, liens, charges, security interests, statutory or deemed trusts, encumbrances and adverse rights or claims, other third party interest or encumbrance of any kind, whether contingent or absolute, and any agreement, option, right or privilege (whether by Law, contract or otherwise) capable of becoming any of the foregoing.

 

LSE” means the London Stock Exchange plc or, where used in the context of the de-listing of the Yamana Shares, means both (a) the cancellation of the listing of the Yamana Shares on the standard segment of the Official List; and (b) the cancellation of admission to trading of the Yamana Shares on the Main Market of the London Stock Exchange plc.

 

Material Adverse Effect” means, in relation to a Party, any event, change, occurrence, effect or state of facts that, individually or in the aggregate with other events, changes, occurrences, effects or states of facts is, or would reasonably be expected to be, material and adverse to the business, results of operations or financial condition of such Party and its Subsidiaries taken as a whole; provided that no event, change, occurrence, effect or state of facts shall be deemed to constitute, nor shall any of the foregoing be taken into account in determining whether there has been a Material Adverse Effect, to the extent that such event, change, occurrence, effect or state of facts results from or arises out of:

 

(a)any change or development generally affecting the gold mining, silver mining or copper mining industries;

 

(b)any change or development in political conditions in Canada, the United States or other states or countries in which such Party has material operations or globally (including any act of terrorism or sabotage or any outbreak of hostilities or war or any escalation or worsening thereof) or any natural disaster;

 

(c)any change in general economic, business or regulatory conditions or in financial, credit, currency or securities markets in Canada, the United States or other states or countries in which such Party has material operations or globally;

 

191

 

 

(d)any change (on a current or forward basis) in the price of gold, silver or copper;

 

(e)any adoption, proposed implementation or change in applicable Law or any interpretation or application (or non-application) thereof by any Governmental Entity, or that result from any action taken for the purpose of complying with any of the foregoing;

 

(f)any change in IFRS or changes in applicable regulatory accounting requirements applicable to the industries in which it conducts business, or that result from any action taken for the purpose of complying with any of the foregoing;

 

(g)the commencement or continuation of any epidemic, pandemic (including COVID-19) or other outbreak of illness or public health event, including the escalation or worsening thereof, and including any measures introduced by any Governmental Entity to address such epidemic, pandemic or other outbreak or public health event;

 

(h)the execution, announcement or performance of the Arrangement Agreement or the consummation of the transactions contemplated therein (provided that this clause shall not apply to any representation or warranty in the Arrangement Agreement to the extent the purpose of such representation or warranty is to expressly address the consequences resulting from the execution and delivery of the Arrangement Agreement or the consummation of the transactions contemplated therein);

 

(i)compliance with the terms of, or the taking of any actions or omission to take any action expressly required by, the Arrangement Agreement;

 

(j)any actions taken (or omitted to be taken) which Pan American, Agnico or Yamana, as applicable, has requested or consented to in writing;

 

(k)any failure by a Party to meet any analysts’ estimates or expectations in respect of revenue, earnings or other financial performance or results of operations for any period, or any failure by such Party or any of its Subsidiaries to meet any internal budgets, plans or forecasts of its revenues, earnings or other financial performance or results of operations (it being understood that the causes, facts or occurrences giving rise to or contributing to such failures may, if not otherwise excluded from the definition of Material Adverse Effect, constitute, or be taken into account in determining whether there has been or will be, a Material Adverse Effect);

 

(l)any proceedings made or brought by any of the current or former shareholders of such Party (on their own behalf or on behalf of such Party) against any Party or any of their directors or officers, arising out of the Arrangement Agreement or the transactions contemplated thereby; or

 

(m)any change in the market price or trading volume of any securities of such Party (it being understood, without limiting the applicability of paragraphs (a) through (l), that the causes underlying such changes in market price or trading volume may, if not otherwise excluded from the definition of Material Adverse Effect, be taken into account in determining whether a Material Adverse Effect has occurred);

 

provided, however, that: (i) to the extent such effects directly or indirectly resulting from, arising out of, attributable to or related to the matters described in the foregoing clauses (a), (b), (c), (d), (e), (f) or (g) disproportionately adversely affect such Person and its Subsidiaries, taken as a whole, as compared to other companies operating in the industry in which such Party operates; and (ii) references in the Arrangement Agreement to dollar amounts are not intended to be and shall not be deemed to be illustrative or interpretative for purposes of determining whether a Material Adverse Effect has occurred.

 

192

 

 

material fact” and “material change” have the meanings ascribed to them in the Securities Act; provided, that with respect to any documents filed or furnished by Yamana with or to the SEC, “material fact” includes a fact that is “material”, where “material” has the meaning ascribed to it in the U.S. Exchange Act.

 

Mexican Competition Law Approval” means the approval, clearance, expiration or termination of a waiting period pursuant to which the transactions contemplated by the Arrangement Agreement, including the transactions contemplated by the Conveyance Agreement, would be deemed to be approved by the Mexican Federal Economic Competition Commission (COFECE), under any Law of Mexico that is designed or intended to prohibit, restrict or regulate actions having the purpose or effect of monopolization or restraint of trade or otherwise governing antitrust matters.

 

MI 61-101” means Multilateral Instrument 61-101 – Protection of Minority Security Holders in Special Transactions.

 

misrepresentation” means an untrue statement of a material fact or an omission to state a material fact that is required to be stated or that is necessary to make a statement not misleading in light of the circumstances in which it was made.

 

MOE” has the meaning given to it under the heading “The Arrangement – Background to the Arrangement – Execution of Board Mandated Strategic Considerations”.

 

Moody’s” means Moody’s Investors Service, Inc.

 

Named Executive Officers” has the meaning given to it under the heading “Regulatory Matters and Approvals – Interests of Certain Persons or Companies in the Arrangement – Change of Control Provisions”.

 

Nasdaq” means Nasdaq Inc.

 

NAV” has the meaning given to it under the heading “The Arrangement – Background to the Arrangement – Strategic Review”.

 

New Offer” means the unsolicited binding proposal from Pan American and Agnico with respect to the Arrangement.

 

Newmont” has the meaning given to it under the heading “Schedule H – Information Concerning Yamana – Recent Developments”.

 

NI 43-101” means National Instrument 43-101 – Standards of Disclosure for Mineral Projects.

 

NI 44-101” means National Instrument 44-101 – Short Form Prospectus Distributions.

 

NI 45-102” means National Instrument 45-102 – Resale of Securities.

 

NI 54-101” means National Instrument 54-101 – Communication with Beneficial Owners of Securities of a Reporting Issuer.

 

Nil Rate Amount” has the meaning given to it under the heading “Certain Income Tax Considerations – Certain United Kingdom Tax Considerations – Tax on Dividends on any Pan American Shares – Individual UK Holders”.

 

No Action Letter” means written confirmation from the Commissioner that he does not, at that time, intend to make an application under section 92 of the Competition Act in respect of any of the transactions contemplated by the Arrangement Agreement, including the transactions contemplated by the Conveyance Agreement, such written confirmation having not been modified or withdrawn prior to the Effective Time.

 

Non-Registered Yamana Shareholders” means a non-registered holder of Yamana Shares.

 

193

 

 

Non-Resident Dissenter” has the meaning given to it under the heading “Certain Income Tax Considerations – Certain Canadian Federal Income Tax Considerations – Holders Not Resident in Canada – Dissenting Non-Resident Holders”.

 

Non-Resident Holder” has the meaning given to it under the heading “Certain Income Tax Considerations – Certain Canadian Federal Income Tax Considerations – Holders Not Resident in Canada”.

 

Norton Rose” has the meaning given to is under the heading “The Arrangement – Background to the Arrangement – Re-Engagement with Pan American and Agnico”.

 

notice of appearance” means the notice which must be filed by a Person who wishes to appear, or to be represented, and to present evidence at the hearing in respect of the Final Order as set out in the Interim Order.

 

Notice of Application” means the notice of application to the Court to obtain the Final Order, a copy of which is attached to this Circular at Schedule D.

 

Notice of Special Meeting of Shareholders of Yamana” means the notice to the Yamana Shareholders which accompanies this Circular.

 

Notifiable Transactions” has the meaning given to it under the heading “Regulatory Matters and Approvals – Key Regulatory Approvals – Canadian Competition Approval”.

 

Notification” has the meaning given to it under the heading “Regulatory Matters and Approvals – Key Regulatory Approvals – Canadian Competition Approval”.

 

NYSE” means the New York Stock Exchange LLC.

 

OBCA” means the Business Corporations Act (Ontario), including the rules and regulations made under it, as it or they may have been or may from time to time be amended, supplemented, re-enacted or superseded.

 

offer to pay” has the meaning given to it under the heading “Rights of Dissenting Shareholders”.

 

officer” has the meaning ascribed to it in the Securities Act.

 

Ordermeans all judicial, arbitral, administrative, ministerial, departmental or regulatory judgments, injunctions, orders, decisions, rulings, determinations, awards, or decrees of any Governmental Entity (in each case, whether temporary, preliminary or permanent).

 

ordinary course of business”, or any similar reference, means, with respect to an action taken by a Person, that such action is consistent with the past practices of such Person, is commercially reasonable in the circumstances in which it is taken, and is taken in the ordinary course of the normal day-to-day business and operations of such Person.

 

Outside Datemeans April 30, 2023 or such later date as may be agreed to in writing by the Parties; provided that, if the Effective Date has not occurred by April 30, 2023 as a result of the failure to obtain all of the Key Regulatory Approvals, then any Party may elect by notice in writing delivered to the other Party by no later than 5:00 p.m. (Eastern time) on a date that is on or prior to such date or, in the case of subsequent extensions, the date that is on or prior to the Outside Date, as previously extended, to extend the Outside Date from time to time by a specified period of not less than five days and not more than 15 days, provided that in aggregate such extensions shall not exceed 60 days from April 30, 2023; provided further that, notwithstanding the foregoing, a Party shall not be permitted to extend the Outside Date if the failure to satisfy any such condition is primarily the result of the breach by such Party of its representations and warranties set forth in the Arrangement Agreement or such Party’s failure to comply with its covenants therein.

 

Pan American” means Pan American Silver Corp., a corporation existing under the provincial Laws of British Columbia.

 

194

 

 

Pan American Acquisition Proposal” means, other than the transactions contemplated by the Arrangement Agreement, and other than any transaction involving only Pan American and/or one or more of its wholly-owned Subsidiaries, any offer, proposal, expression of interest or inquiry from, or public announcement of intention by, any Person or group (as defined in Section 13(d) of the U.S. Exchange Act) of Persons (other than Yamana or any affiliate of Yamana), whether or not in writing and whether or not delivered to Pan American Shareholders, relating to: (a) any acquisition or purchase (or any lease, joint venture or any other arrangement having the same economic effect as an acquisition or purchase), direct or indirect, through one or more transactions, of (i) the assets of Pan American and/or one or more of its Subsidiaries that, individually or in the aggregate, constitute 20% or more of the consolidated assets of Pan American and its Subsidiaries, taken as a whole, or which contribute 20% or more of the consolidated revenue of Pan American and its Subsidiaries, taken as a whole (in each case, determined based upon the most recent publicly available consolidated financial statements of Pan American), or (ii) 20% or more of any voting or equity securities of Pan American or 20% or more of any voting or equity securities of any one or more of Pan American’s Subsidiaries that, individually or in the aggregate, contribute 20% or more of the consolidated revenues or constitute 20% or more of the consolidated assets of Pan American and its Subsidiaries, taken as a whole (in each case, determined based upon the most recent publicly available consolidated financial statements of Pan American); (b) any direct or indirect take-over bid, tender offer, exchange offer, treasury issuance or other transaction that, if consummated, would result in such Person or group (as defined in Section 13(d) of the U.S. Exchange Act) of Persons beneficially owning 20% or more of any class of voting or equity securities (and/or securities convertible into, or exchangeable or exercisable for voting or equity securities) of Pan American; (c) a plan or scheme of arrangement, merger, amalgamation, consolidation, share exchange, share reclassification, business combination, reorganization, recapitalization, liquidation, dissolution, winding up or other similar transaction or series of transactions involving Pan American or any of its Subsidiaries that, individually or in the aggregate, constitute 20% or more of the consolidated assets of Pan American and its Subsidiaries, taken as a whole, or which contribute 20% or more of the consolidated revenue of Pan American and its Subsidiaries, taken as a whole (in each case, determined based upon the most recent publicly available consolidated financial statements of Pan American); or (d) any other transaction, the consummation of which would reasonably be expected to impede, interfere with, prevent or delay the transactions contemplated by the Arrangement Agreement or the Arrangement.

  

Pan American AIF” means the annual information form of Pan American dated February 23, 2022.

 

Pan American Annual Financial Statements” means the audited consolidated financial statement for Pan American as of and for each of the fiscal years ended December 31, 2020 and December 31, 2021 (including the notes thereto and the independent registered public accounting firm’s report thereon).

 

Pan American Assets” means all of the assets, properties, permits, rights or other privileges (whether contractual or otherwise) owned, leased or otherwise used or held by Pan American and its Subsidiaries.

 

Pan American Board” means the board of directors of Pan American as the same is constituted from time to time.

 

Pan American Board Recommendation” means the unanimous recommendation of the Pan American Board to Pan American Shareholders that they vote in favour of the Pan American Resolution.

 

Pan American Change in Recommendationmeans where the Pan American Board (a) (i) fails to make, or withdraws, amends, modifies or qualifies, in a manner adverse to Yamana or fails to publicly reaffirm (without qualification) the Pan American Board Recommendation within five Business Days (and in any case prior to the third Business Day prior to the date of the Pan American Meeting) after having been requested in writing by Yamana to do so (acting reasonably), or (ii) accepts, approves, endorses or recommends a Pan American Acquisition Proposal (or publicly proposes to do so), or (iii) takes no position or a neutral position with respect to a Pan American Acquisition Proposal for more than five Business Days (or beyond the third Business Day prior to the date of the Pan American Meeting, if such date is sooner) after the public announcement of such Pan American Acquisition Proposal; or (b) resolves or proposes to take any of the foregoing actions.

 

195

 

 

Pan American Circular” means, collectively, the notice of the Pan American Meeting and accompanying circular, including all schedules, appendices and exhibits thereto and enclosures therewith, to be sent to Pan American Shareholders in connection with the Pan American Meeting, as amended, supplemented or otherwise modified from time to time.

 

Pan American Material Adverse Effect” means a Material Adverse Effect in relation to Pan American.

 

Pan American Meeting” means the special meeting of Pan American Shareholders, including any adjournment or postponement thereof, to be called and held to consider the Pan American Resolution.

 

Pan American Projectionshas the meaning given to it under the heading “Risk Factors – Risk Factors Relating to the Arrangement”.

 

Pan American Resolution” means the ordinary resolution of the Pan American Shareholders approving the issuance of the Pan American Share Consideration.

 

Pan American Share Consideration” means 0.1598 of a Pan American Share for each Yamana Share (other than a Dissent Share), subject to any adjustment as contemplated by the Arrangement Agreement.

 

Pan American Share Exchange” has the meaning given to it under the heading “Certain Income Tax Considerations – Certain Canadian Federal Income Tax Considerations – Holders Resident in Canada – The Pan American Share Exchange”.

 

Pan American Share Value” means US$15.45, subject to any adjustment as contemplated by the Arrangement Agreement.

 

Pan American Shareholder Approval” means the approval of the Pan American Resolution by at least a simple majority of votes cast by Pan American Shareholders present in person or represented by proxy and entitled to vote at the Pan American Meeting.

 

Pan American Shareholders” means the holders of Pan American Shares.

 

Pan American Shares” means the common shares in the authorized share capital of Pan American.

 

Pan American Superior Proposal” means an unsolicited bona fide written Pan American Acquisition Proposal from a Person or Persons who is or are, as at the date of the Arrangement Agreement, a party that deals at arm’s length with Pan American, that complies with Securities Laws and is not obtained in violation of the Arrangement Agreement or any agreement between the Person making such Pan American Acquisition Proposal and Pan American, to acquire 100% of the outstanding Pan American Shares (other than Pan American Shares beneficially owned by the Person or Persons making such Pan American Acquisition Proposal) or all or substantially all of the assets of Pan American and its Subsidiaries on a consolidated basis made after the date of the Arrangement Agreement: (a) that is not subject to any financing condition and in respect of which adequate arrangements have been made to ensure that the required funds will be available to effect payment in full; (b) that is not subject to a due diligence and/or access condition; (c) that is reasonably capable of being consummated without undue delay, taking into account all legal, financial, regulatory and other aspects of such Pan American Acquisition Proposal and the Person making such Pan American Acquisition Proposal; and (d) in respect of which the Pan American Board determines in good faith, after consultation with its outside financial and legal advisors, and after taking into account all the terms and conditions of such Pan American Acquisition Proposal and all factors and matters considered appropriate in good faith by the Pan American Board, would, if consummated in accordance with its terms (but not assuming away any risk of non- completion), result in a transaction that is more favourable, from a financial point of view, to the Pan American Shareholders than the Arrangement (including any adjustment to the terms and conditions of the Arrangement proposed by Yamana pursuant to the Arrangement Agreement).

 

196

 

 

 

Pan American Support Agreements” means the voting and support agreements entered into at the Activation Time (including all amendments thereto) between Yamana and the Pan American Supporting Shareholders setting forth the terms and conditions upon which they agree to vote their Pan American Shares in favour of the Pan American Resolution.

 

Pan American Supporting Shareholders” means all of the directors and senior officers of Pan American that have entered into Pan American Support Agreements.

 

Pan American Termination Fee” means US$375 million.

 

Parties” means, collectively, Yamana, Pan American and Agnico, and “Party” means any one of them, as the context requires.

 

Party One” has the meaning given to it under the heading “The Arrangement – Background to the Arrangement – Execution of Board Mandated Strategic Considerations – Specific Engagements”.

 

Party Three” has the meaning given to it under the heading “The Arrangement – Background to the Arrangement – Execution of Board Mandated Strategic Considerations – Specific Engagements”.

 

Party Two” has the meaning given to it under the heading “The Arrangement – Background to the Arrangement – Execution of Board Mandated Strategic Considerations – Specific Engagements”.

 

payment demand” has the meaning given to it under the heading “Rights of Dissenting Shareholders”.

 

PCAOB” means Public Company Accounting Oversight Board (United States).

 

Permitted Acquisition Agreement” has the meaning given to it in the Gold Fields Arrangement Agreement.

 

Permitted Liens” means any one or more of the following Liens:

 

(a)Liens or deposits for taxes which are not due or delinquent or which are being contested in good faith by appropriate proceedings; provided that the applicable Governmental Entities are prevented from taking collection action during the valid contest of such amounts;

 

(b)the Lien of any judgment or award rendered or the Lien of any claim filed which is being contested in good faith by appropriate proceedings and as to which reserves are being maintained in accordance with generally accepted accounting principles;

 

(c)Liens and charges incidental to construction or current operations including, without limitation, carrier’s, warehousemen’s, mechanics’, materialmen’s, repairmen’s, contractors’, workers’, suppliers’, subcontractors’, construction and other like Liens arising by operation of applicable Law, which have not at such time been filed pursuant to Law or which relate to obligations not due or delinquent or the validity of which are being contested in good faith by appropriate proceedings and as to which reserves are being maintained in accordance with generally accepted accounting principles;

 

(d)municipal by-laws, regulations, ordinances, zoning Laws, building or land use restrictions and other limitations as to the use of real property imposed by any Governmental Entity having jurisdiction over real property;

 

(e)customary rights of general application reserved to or vested in any Governmental Entity to control or regulate any interest in the facilities or properties in or on which the Party or any of its Subsidiaries conduct their business; provided that such Liens, encumbrances, exceptions, agreements, restrictions, limitations, contracts and rights: (i) were not incurred in connection with any indebtedness; and (ii) do not or would not reasonably be expected to, individually or in the aggregate, have a material adverse effect on the value or materially impair or add material cost to the use of the subject property;

 

197

 

 

(f)Liens incurred, created and granted in the ordinary course of business to a utility, municipality or Governmental Entity in connection with operations conducted with respect to, in the case of Pan American or any of its Subsidiaries, the Pan American Assets and, in the case of Yamana or any of its Subsidiaries, the Yamana Assets; provided that such Liens are not filed or registered against title or relate to costs and expenses for which payment is not due or delinquent;

 

(g)any minor encroachments by any structure located on, in the case of Pan American or any of its Subsidiaries, the Pan American Assets and, in the case of Yamana or any of its Subsidiaries, the Yamana Assets, onto any adjoining lands and any minor encroachment by any structure located on adjoining lands onto such assets; provided that such Liens do not materially adversely affect the use or value of such assets or otherwise materially impair business operations at the affected properties;

 

(h)easements, rights of way, restrictions, restrictive covenants, servitudes and similar rights in land including rights of way and servitudes for highways and other roads, railways, sewers, drains, gas and oil pipelines, gas and water mains, electric light, power, telephone, telegraph or cable television conduits, poles, wires and cables; provided that they: (i) have been complied with in all material respects and do not materially adversely impact the use or value of such property; and (ii) arise in the ordinary course of business;

 

(i)any reservations, exceptions, limitations, provisos and conditions contained in the original grant or patent from any Governmental Entity (including the reservation of any mines and minerals in a Governmental Entity or in any other Person), as same may be varied by statute, together with any Liens arising from or as a result of any alleged defects or irregularities in the initial grant from the Governmental Entity; provided that they do not materially affect the use or value of the property subject thereto;

 

(j)any Liens, other than those described above, that are: (i) registered, as of the date of the Arrangement Agreement against title to real property in the applicable land registry offices; or (ii) registered, as of the date of the Arrangement Agreement, against a Party, any of its Subsidiaries or their respective assets, in a public personal property registry or similar registry systems;

 

(k)any conditions and covenants imposed by such mining legislation and regulation as may be applicable to, in the case of Pan American or any of its Subsidiaries, the Pan American Assets and, in the case of Yamana or any of its Subsidiaries, the Yamana Assets; provided the same are complied with in all material respects;

 

(l)statutory Liens incurred or pledges or deposits made in the ordinary course of business to secure the performance of obligations of any Party under Environmental Laws to which any assets of such Party are subject;

 

(m)undetermined or inchoate Liens and charges arising under Law which have not at the time been filed or registered in accordance with Law or for which written notice has not been duly given in accordance with Law or which, although filed or registered, relate to obligations not due or delinquent, including without limitation statutory Liens incurred, or pledges or deposits made, under applicable worker’s compensation, employment insurance and other social security legislation;

 

(n)customary rights of set-off or combination of accounts with respect to ordinary course of business hedge arrangements, deposits and/or accounts;

 

198

 

 

(o)Liens on concentrates, minerals or the proceeds of sale of such concentrates or minerals arising or granted pursuant to a processing arrangement, in each case, entered into in the ordinary course of business and upon usual and arm’s length market terms, securing the payment of the applicable Party’s portion of the fees, costs and expenses attributable to the processing of such concentrates or minerals under any such processing arrangement; provided that: (i) such Liens relate to obligations which are at such time not past due or the validity of which are being contested in good faith by appropriate proceedings; and (ii) reserves are being maintained in accordance with IFRS against such Liens; and

 

(p)Liens securing capital lease obligations, and indebtedness assumed as part of, or issued or incurred to pay or provide funds to pay, all or a part of the purchase price of any equipment hereafter or previously acquired (for the avoidance of doubt such Liens shall only be permitted on the assets financed pursuant to the foregoing).

 

Personincludes an individual, partnership, association, body corporate, trustee, executor, administrator, legal representative, government (including any Governmental Entity) or any other entity, whether or not having legal status.

 

PFIC” means a passive foreign investment company for U.S. federal income tax purposes.

 

PHAC” has the meaning given to it under the heading “Information Concerning the Yamana Meeting”.

 

Plan of Arrangement” means the plan of arrangement of Yamana, substantially in the form attached as Schedule B to this Circular, and any amendments or variations thereto made in accordance with the Arrangement Agreement and the Plan of Arrangement or upon the direction of the Court in the Final Order.

 

Pre-Acquisition Reorganization” has the meaning given to it under the heading “The Transaction Agreements – the Arrangement Agreement – Covenants – Pre-Acquisition Reorganization”.

 

Projections” has the meaning given to it under the heading “Risk Factors – Risk Factors Relating to the Arrangement”.

 

Proposed Amendments” has the meaning given to it under the heading “Certain Income Tax Considerations – Certain Canadian Federal Income Tax Considerations”.

 

Purchase Pricehas the meaning given to it under the heading “Transaction Agreements – Conveyance Agreement”.

 

QEF” has the meaning given to it under the heading “Certain Income Tax Considerations – Certain United States Federal Income Tax Considerations – U.S. Federal Income Tax Considerations Relating to the Consideration Shares – PFIC Rules”.

 

Record Date” means the record date for determining the Yamana Shareholders who are entitled to receive notice of and vote at the Yamana Meeting, being the close of business on December 14, 2022.

 

Registered Plan” has the meaning given to it under the heading “Certain Income Tax Considerations – Certain Canadian Federal Income Tax Considerations – Holders Resident in Canada – Eligibility for Investment by Registered Plans”.

 

Registered Yamana Shareholders” means the Persons whose names appear on the register maintained by or on behalf of Yamana as the owners of Yamana Shares.

 

Regulation S” means Regulation S promulgated under the U.S. Securities Act.

 

Regulatory Approvalsmeans those sanctions, rulings, consents, orders, exemptions, permits and other approvals (including the lapse, without objection, of a prescribed time under a statute or regulation that states that a transaction may be implemented if a prescribed time lapses following the giving of notice without an objection being made) of Governmental Entities required in relation to the consummation of the transactions contemplated by the Arrangement Agreement, including the transactions contemplated by the Conveyance Agreement, and including the Key Regulatory Approvals.

 

199

 

 

Release” means any spill, leak, pumping, addition, pouring, emission, emptying, discharge, injection, escape, leaching, disposal, dumping, deposit, spraying, burial, abandonment, incineration, seepage, placement or introduction of a Hazardous Substance into the environment.

 

Remaining Affiliate” means affiliates of Yamana, other than the Canadian Subsidiaries.

 

Representatives” means, with respect to any Person, such Person’s officers, directors, employees and other representatives acting on its behalf, including any financial advisors, attorneys and accountants.

 

Resident Dissenter” has the meaning given to it under the heading “Certain Income Tax Considerations – Certain Canadian Federal Income Tax Considerations – Holders Resident in Canada – Dissenting Resident Holders”.

 

Resident Holder” has the meaning given to it under the heading “Certain Income Tax Considerations – Certain Canadian Federal Income Tax Considerations – Holders Resident in Canada”.

 

Resigning Appointee” means an existing member of the Pan American Board who will resign promptly following the Effective Time and will be included on the management slate of directors to be elected at the next annual general meeting of Pan American Shareholders subject to Pan American Shareholders approving an increase in the size of the Pan American Board to eleven directors.

 

Response Period” has the meaning given to it under the heading “Transaction Agreements – the Arrangement Agreement – Covenants – Non-Solicitation Covenants”.

 

Restricted Assethas the meaning given to it under the heading “Transaction Agreements – Conveyance Agreement”.

 

Rule 144” means Rule 144 under the U.S. Securities Act.

 

S&P” means Standard & Poor’s Rating Services.

 

Sarbanes-Oxley Act” means the U.S. Sarbanes-Oxley Act of 2002.

 

Scotiabank” means Scotia Capital Inc., financial advisor to the Yamana Special Committee.

 

SEC” means the United States Securities and Exchange Commission.

 

Section 304” has the meaning given to it under the heading “Certain Income Tax Considerations – Certain United States Federal Income Tax Considerations – U.S. Federal Income Tax Considerations Relating to the Arrangement – Exchange of Yamana Shares for Consideration in the Arrangement”.

 

Securities Act” means the Securities Act (Ontario), including the rules and regulations made under it, as it or they may have been or may from time to time be amended, supplemented, re-enacted or superseded.

 

Securities Lawsmeans collectively, Canadian Securities Laws, U.S. Securities Laws and UK Securities Laws.

 

SEDAR” means the System for Electronic Document Analysis and Retrieval.

 

Senior Notes” has the meaning given to it under the heading “Risk Factors – Risk Factors Relating to the Arrangement”.

 

Statutory Plans” means statutory benefit plans which a Party and any of its Subsidiaries are required to participate in or comply with, including any benefit plan administered by any federal or provincial government and any benefit plans administered pursuant to applicable health, tax, workplace safety insurance, and employment insurance legislation.

 

200

 

 

Stock Exchange Approvals” means receipt of (a) the approval for listing on the Nasdaq and TSX of the Pan American Shares to be issued pursuant to the Arrangement, subject to customary conditions, and (b) the approval for listing on the NYSE and TSX of the Agnico Shares to be issued pursuant to the Arrangement, subject to customary conditions.

 

Subsidiary” means a Person that is controlled directly or indirectly by another Person and includes a Subsidiary of that Subsidiary. A Person is considered to “control” another Person if: (a) the first Person beneficially owns or directly or indirectly exercises control or direction over securities of the second Person carrying votes which, if exercised, would entitle the first Person to elect a majority of the directors of the second Person, unless that first Person holds the voting securities only to secure an obligation; (b) the second Person is a partnership, other than a limited partnership, and the first Person holds more than 50% of the interests of the partnership; or (c) the second Person is a limited partnership, and the general partner of the limited partnership is the first Person.

 

Supplementary Information Request” has the meaning given to it under the heading “Regulatory Matters and Approvals – Key Regulatory Approvals – Canadian Competition Approval”.

 

Support Agreements” means, collectively, the Pan American Support Agreements and the Yamana Support Agreement.

 

Supporting Shareholders” means, collectively, the Pan American Supporting Shareholders and the Yamana Supporting Shareholders.

 

tax” or “taxesmeans any taxes, duties, fees, premiums, assessments, imposts, levies, expansion fees and other charges of any kind whatsoever imposed by any Governmental Entity, including all interest, penalties, fines, additions to tax or other additional amounts imposed by any Governmental Entity in respect thereof, and including, but not limited to, those levied on, or measured by, or referred to as, income, gross receipts, profits, windfall, royalty, capital, transfer, land transfer, sales, goods and services, harmonized sales, use, value-added, excise, stamp, withholding, business, franchising, property, development, occupancy, employer health, payroll, employment, health, social services, education and social security taxes, all surtaxes, all customs duties and import and export taxes, countervail and anti-dumping, all licence, franchise and registration fees, any special COVID-19 tax relief (including, for greater certainty, any COVID-19 Subsidy) and all employment insurance, health insurance and federal, state, provincial and other pension plan premiums or contributions imposed by any Governmental Entity, and any transferee or secondary liability in respect of any of the foregoing.

 

Tax Act” means the Income Tax Act (Canada), including the rules and regulations made under it, as it or they may have been or may from time to time be amended, supplemented, re-enacted or superseded.

 

taxable capital gain” has the meaning given to it under the heading “Certain Income Tax Considerations – Certain Canadian Federal Income Tax Considerations – Holders Resident in Canada – Taxation of Capital Gains and Capital Losses”.

 

Taxable Excess” has the meaning given to it under the heading “Certain Income Tax Considerations – Certain United Kingdom Tax Considerations – Tax on Dividends on any Pan American Shares – Individual UK Holders”.

 

TSX” means the Toronto Stock Exchange.

 

TSX Company Manual” means the TSX Company Manual setting forth the rules and policies of the TSX, as amended from time to time.

 

UK DTRs” means the disclosure guidance and transparency rules made by the FCA under section 73A of FSMA.

 

UK MAR” means Regulation (EU) No.596/2014 of the European Parliament and of the Council of 16 April 2014 on market abuse, as applicable in the UK by virtue of section 3 of the European Union (Withdrawal) Act 2018, as amended from time to time (including by the Market Abuse (Amendment) (EU Exit) Regulations 2019 (SI 2019/310)).

 

201

 

  

UK Official List” means the Official List maintained by the FCA.

 

UK Prospectus Regulation” means Regulation (EU) 2017/1129 of the European Parliament and of the Council of 14 June 2017 on the prospectus to be published when securities are offered to the public or admitted to trading on a regulated market, as applicable in the UK by virtue of the European Union (Withdrawal) Act 2018, as amended from time to time.

 

UK Prospectus Regulation Rules” means the prospectus regulation rules made by the FCA under section 73A of FSMA.

 

UK Securities Laws” means the UK Prospectus Regulation, UK Prospectus Regulation Rules, the UK Listing Rules, UK MAR, the UK DTRs, FSMA, the FSA and the Criminal Justice Act 2003 (each as amended from time to time) and all other applicable listing and disclosure requirements to which Yamana is subject by virtue of the listing of the Yamana Shares on the standard segment of the UK Official List maintained by the FCA and admission to trading of the Yamana Shares on the Main Market of the LSE.

 

United Kingdom” or “UK” means the United Kingdom of Great Britain and Northern Ireland.

 

U.S.” or “United States” means the United States of America, its territories and possessions, any State of the United States and the District of Columbia.

 

U.S. Exchange Actmeans the U.S. Securities Exchange Act of 1934, including the rules and regulations made under it, as it or they may have been or may from time to time be amended, supplemented, re-enacted or superseded.

 

U.S. Holder” has the meaning given to it under the heading “Certain Income Tax Considerations – Certain United States Federal Income Tax Considerations”.

 

U.S. Securities Actmeans the U.S. Securities Act of 1933, including the rules and regulations made under it, as it or they may have been or may from time to time be amended, supplemented, re-enacted or superseded.

 

U.S. Securities Lawsmeans the U.S. Securities Act, the U.S. Exchange Act and all other applicable U.S. federal securities Laws.

 

U.S. Treasury Regulations” means the income tax regulations promulgated under the Code, as such regulations may be amended from time to time.

 

U.S. Treaty” has the meaning given to it under the heading “Certain Income Tax Considerations – Certain Canadian Federal Income Tax Considerations – Holders Not Resident in Canada – Dividends on Agnico Shares and Pan American Shares”.

 

Van Eck” has the meaning given to it under the heading “Questions and Answers Relating to the Yamana Meeting and the Arrangement – Questions Relating to the Yamana Meeting”.

 

VWAP” means volume weighted average trading price.

 

Waiver” has the meaning given to it under the heading “Regulatory Matters and Approvals – Key Regulatory Approvals – Canadian Competition Approval”.

 

Yamana” means Yamana Gold Inc., a corporation existing under the Laws of Canada.

 

Yamana 1.5 Plan” means the plan referred to in the press release of Yamana dated February 17, 2022 available under Yamana’s issuer profile on SEDAR at www.sedar.com and in the corporation presentation of Yamana dated April 5, 2022 available on Yamana’s website at www.yamana.com.

 

202

 

 

Yamana Acquisition Proposalmeans, other than the transactions contemplated by the Arrangement Agreement and other than any transaction involving only Yamana and/or one or more of its wholly-owned Subsidiaries, any offer, proposal, expression of interest or inquiry from, or public announcement of intention by, any Person or group (as defined in section 13(d) of the U.S. Exchange Act) of Persons (other than Pan American or any affiliate of Pan American), whether or not in writing and whether or not delivered to Yamana Shareholders, relating to: (a) any acquisition or purchase (or any lease, joint venture or any other arrangement having the same economic effect as an acquisition or purchase), direct or indirect, through one or more transactions, of (i) the assets of Yamana and/or one or more of its Subsidiaries that, individually or in the aggregate, constitute 20% or more of the consolidated assets of Yamana and its Subsidiaries, taken as a whole, or which contribute 20% or more of the consolidated revenue of Yamana and its Subsidiaries, taken as a whole (in each case, determined based upon the most recent publicly available consolidated financial statements of Yamana), or (ii) the Canadian Assets, or (iii) 20% or more of any voting or equity securities of Yamana or 20% or more of any voting or equity securities of any one or more of Yamana’s Subsidiaries that, individually or in the aggregate, contribute 20% or more of the consolidated revenues or constitute 20% or more of the consolidated assets of Yamana and its Subsidiaries, taken as a whole (in each case, determined based upon the most recent publicly available consolidated financial statements of Yamana); (b) any direct or indirect take-over bid, tender offer, exchange offer, treasury issuance or other transaction that, if consummated, would result in such Person or group (as defined in section 13(d) of the U.S. Exchange Act) of Persons beneficially owning 20% or more of any class of voting or equity securities (and/or securities convertible into, or exchangeable or exercisable for voting or equity securities) of Yamana; (c) a plan of arrangement, merger, amalgamation, consolidation, share exchange, share reclassification, business combination, reorganization, recapitalization, liquidation, dissolution, winding up or other similar transaction or series of transactions involving (i) Yamana or any of its Subsidiaries that, individually or in the aggregate, constitute 20% or more of the consolidated assets of Yamana and its Subsidiaries, taken as a whole, or which contribute 20% or more of the consolidated revenue of Yamana and its Subsidiaries, taken as a whole (in each case, determined based upon the most recent publicly available consolidated financial statements of Yamana), or (ii) the Canadian Assets, or (d) any other transaction, the consummation of which would reasonably be expected to impede, interfere with, prevent or delay the transactions contemplated by the Arrangement Agreement or the Arrangement.

 

Yamana AIF” has the meaning given to it under the heading “Schedule H – Information Concerning Yamana – Additional Information”.

 

Yamana Annual Financial Statements” has the meaning given to it under the heading “Schedule H – Information Concerning Yamana – Additional Information”.

 

Yamana Annual MD&A” has the meaning given to it under the heading “Schedule H – Information Concerning Yamana – Additional Information”.

 

Yamana Assets” means all of the assets, properties, permits, rights or other privileges (whether contractual or otherwise) owned, leased or otherwise used or held by Yamana and its Subsidiaries.

 

Yamana Benefit Plans” means all health, welfare, supplemental unemployment benefit, bonus, profit sharing, option, insurance, incentive, incentive compensation, deferred compensation, share purchase, share compensation, disability, pension or retirement income or savings plans or other employee compensation arrangement or agreement or benefit plans, trust, funds, policies, programs, arrangements, agreements, practices, or other Contracts, whether written or oral, which are maintained by or binding upon Yamana or any of its Subsidiaries for which Yamana or its Subsidiaries could have any liability or contingent liability, or pursuant to which payments are made, or benefits are provided to, or an entitlement to payments or benefits may arise with respect to any of its employees or former employees, directors or officers, individuals working on contract with Yamana or other individuals providing services to Yamana of a kind normally provided by employees (or any spouses, dependents, survivors or beneficiaries of any such Persons), excluding Statutory Plans.

 

Yamana Board” means the board of directors of Yamana as the same is constituted from time to time.

 

203

 

 

Yamana Board Recommendation” means the unanimous recommendation of the Yamana Board to Yamana Shareholders that they vote in favour of the Arrangement Resolution.

 

Yamana Change in Recommendation” means where the Yamana Board (a) (i) fails to make, or withdraws, amends, modifies or qualifies, in a manner adverse to Pan American or Agnico or fails to publicly reaffirm (without qualification) the Yamana Board Recommendation, or its recommendation of the Arrangement within five Business Days (and in any case prior to the third Business Day prior to the date of the Yamana Meeting) after having been requested in writing by Pan American or Agnico to do so (acting reasonably), or (ii) accepts, approves, endorses or recommends a Yamana Acquisition Proposal (or publicly proposes to do so), or (iii) takes no position or a neutral position with respect to a Yamana Acquisition Proposal for more than five Business Days (or beyond the third Business Day prior to the date of the Yamana Meeting, if such date is sooner) after the public announcement of such Yamana Acquisition Proposal; or (b) resolves or proposes to take any of the foregoing actions.

 

Yamana Change of Control Agreements” has the meaning given to it under the heading “Regulatory Matters and Approvals – Interests of Certain Persons or Companies in the Arrangement – Change of Control Provisions”.

 

Yamana Depositary Interests” means the depositary interests issued and administered by Computershare Investor Services PLC, each of which represents an entitlement to one underlying Yamana Share.

 

Yamana DSU Plan” means Yamana’s deferred share unit plan dated effective April 2, 2008.

 

Yamana DSUs” means deferred share units issued under the Yamana DSU Plan.

 

Yamana Equity Award Holders” means the holders of Yamana PSUs, Yamana RSUs and Yamana DSUs.

 

Yamana Equity Awards” means the Yamana PSUs, Yamana RSUs and Yamana DSUs.

 

Yamana Fairness Opinion” means the opinion of Scotiabank, dated November 7, 2022, provided to the Yamana Special Committee and the Yamana Board to the effect that, as of November 7, 2022, and based upon and subject to the assumptions, limitations and qualifications set out therein, the Consideration to be received by Yamana Shareholders pursuant to the Arrangement is fair from a financial point of view to Yamana Shareholders, a copy of which is attached to this Circular at Schedule C.

 

Yamana Interim Financial Statements” has the meaning given to it under the heading “Schedule H – Information Concerning Yamana – Additional Information”.

 

Yamana Interim MD&A” has the meaning given to it under the heading “Schedule H – Information Concerning Yamana – Additional Information”.

 

Yamana JV Entities” means any corporations or entities in which Yamana or any of its Subsidiaries directly owns 20% or more of the outstanding shares or equity interests and which is not otherwise a Subsidiary (and for greater certainty includes the Yamana Material JV Entities).

 

Yamana Material Adverse Effect” means a Material Adverse Effect in relation to Yamana.

 

Yamana Material Contract” means in respect of Yamana, any of its Subsidiaries or any of the Yamana Material JV Entities, any Contract: (a) that if terminated or modified or if it ceased to be in effect, would reasonably be expected to have a Yamana Material Adverse Effect; (b) under which Yamana, any of its Subsidiaries or any Yamana Material JV Entity has directly or indirectly guaranteed any liabilities or obligations of a third party (other than ordinary course endorsements for collection) in excess of US$30 million in the aggregate; (c) that is a lease, sublease, license or right of way or occupancy agreement for real property which has a value in excess of US$30 million and that is material to the business or to an operation of Yamana and its Subsidiaries, taken as a whole; (d) that provides for the establishment of, investment in or formation of any partnership or joint venture with an arm’s length Person in which the interest of Yamana, any of its Subsidiaries or any of the Yamana Material JV Entities exceeds US$30 million (book value); (e) relating to indebtedness for borrowed money, whether incurred, assumed, guaranteed or secured by any asset, with an outstanding principal amount in excess of US$30 million; (f) under which Yamana, any of its Subsidiaries or any of the Yamana Material JV Entities is obligated to make or expects to receive payments in excess of US$30 million over the remaining term of the Contract; (g) that limits or restricts Yamana, any of its Affiliates or any of the Yamana Material JV Entities from engaging in any line of business or in any geographic area, except for any such Contract entered into in the normal course of business; (h) that is a collective bargaining agreement, a labour union contract or any other memorandum of understanding or other agreement with a union; (i) that restricts Yamana from paying dividends or other distributions to its shareholders; (j) that is a contractual royalty, production payment, net profits, earn-out, streaming agreement, metal pre-payment or similar agreement that has a value in excess of US$30 million; (k) that relates to an acquisition or divestiture for value in excess of US$30 million; or (l) that is a material agreement with a Governmental Entity, or an agreement with any first nation or aboriginal group, or other organizations with authority to represent such groups.

 

204

 

  

Yamana Material JV Entities” means the Yamana JV Entities in respect of the Canadian Malartic mine and the MARA project.

 

Yamana Meetingmeans the special meeting of Yamana Shareholders, including any adjournment or postponement thereof, to be called and held in accordance with the Interim Order to consider the Arrangement Resolution.

 

Yamana Meeting Materials” means collectively, the Letter to Yamana Shareholders, Notice of Special Meeting of Shareholders of Yamana, this Circular, the Letter of Transmittal and the instrument of proxy enclosed with such Yamana Meeting Materials.

 

Yamana Optionsmeans options to purchase Yamana Shares granted under the Yamana Share Incentive Plan.

 

Yamana Projections” has the meaning given to it under the heading “Risk Factors – Risk Factors Relating to the Arrangement”.

 

Yamana PSU Planmeans Yamana’s performance share unit plan dated effective January 1, 2016.

 

Yamana PSUsmeans performance share units issued under the Yamana PSU Plan.

 

Yamana RSU Plan” means Yamana’s restricted share unit plan dated effective May 14, 2008.

 

Yamana RSUs” means the restricted share units issued under the Yamana RSU Plan.

 

Yamana Securityholders” means Yamana Shareholders and Yamana Equity Award Holders.

 

Yamana Share Exchange” has the meaning given to it under the heading “Certain Income Tax Considerations – Certain Canadian Federal Income Tax Considerations – Holders Resident in Canada – The Yamana Share Exchange”.

 

Yamana Share Incentive Plan” means Yamana’s amended share incentive plan dated December 16, 2010.

 

Yamana Shareholder Approvalmeans the approval of the Arrangement Resolution by at least 662/3% of the votes cast by Yamana Shareholders present in person (or online) or represented by proxy and entitled to vote at the Yamana Meeting.

 

Yamana Shareholdersmeans the holders of Yamana Shares and, for the purposes of this Circular, includes the holders of Yamana Depositary Interests, where applicable.

 

Yamana Shares” means the common shares in the authorized share capital of Yamana and, for the purposes of this Circular, includes the Yamana Depositary Interests, where applicable.

 

205

 

 

Yamana Special Committee” means the special committee of the Yamana Board currently composed of Jane Sadowsky (Chair), Richard Graff and Dino Titaro.

 

Yamana Superior Proposalmeans an unsolicited bona fide written Yamana Acquisition Proposal from a Person or Persons who is or are, as at the date of the Arrangement Agreement, a party that deals at arm’s length with Yamana, that complies with Securities Laws and is not obtained in violation of the Arrangement Agreement or any agreement between the Person making such Yamana Acquisition Proposal and Yamana, to acquire 100% of the outstanding Yamana Shares (other than Yamana Shares beneficially owned by the Person or Persons making such Yamana Acquisition Proposal) or all or substantially all of the assets of Yamana and its Subsidiaries on a consolidated basis made after the date of the Arrangement Agreement: (a) that is not subject to any financing condition and in respect of which adequate arrangements have been made to ensure that the required funds will be available to effect payment in full; (b) that is not subject to a due diligence and/or access condition; (c) that is reasonably capable of being consummated without undue delay, taking into account all legal, financial, regulatory and other aspects of such Yamana Acquisition Proposal and the Person making such Yamana Acquisition Proposal; and (d) in respect of which the Yamana Board determines in good faith, after consultation with its outside financial and legal advisors, and after taking into account all the terms and conditions of such Yamana Acquisition Proposal and all factors and matters considered appropriate in good faith by the Yamana Board, would, if consummated in accordance with its terms (but not assuming away any risk of non-completion), result in a transaction that is more favourable, from a financial point of view, to the Yamana Shareholders than the Arrangement (including any adjustment to the terms and conditions of the Arrangement proposed by Pan American pursuant to the Arrangement Agreement).

 

Yamana Support Agreements” means the voting and support agreements entered into at the Activation Time (including all amendments thereto) among Pan American, Agnico and the Yamana Supporting Shareholders setting forth the terms and conditions upon which they agree to vote their Yamana Shares in favour of the Arrangement Resolution.

 

Yamana Supporting Shareholders” means all of the directors and senior officers of Yamana that have entered into Yamana Support Agreements.

 

Yamana Termination Fee” means US$250 million.

 

206

 

 

Schedule A

 

ARRANGEMENT RESOLUTION

 

BE IT RESOLVED THAT:

 

1.The arrangement (the “Arrangement”) under Section 192 of the Canada Business Corporations Act (the “CBCA”) involving Yamana Gold Inc. (“Yamana”), pursuant to the arrangement agreement among Yamana, Pan American Silver Corp. and Agnico Eagle Mines Limited dated November 4, 2022, as it may be modified, supplemented or amended from time to time in accordance with its terms (the “Arrangement Agreement”), as more particularly described and set forth in the management information circular of Yamana dated December 20, 2022 (the “Circular”), and all transactions contemplated thereby, are hereby authorized, approved and adopted.

 

2.The plan of arrangement of Yamana, as it has been or may be modified, supplemented or amended in accordance with the Arrangement Agreement and its terms (the “Plan of Arrangement”), the full text of which is set out as Schedule “B” to the Circular, is hereby authorized, approved and adopted.

 

3.The: (a) Arrangement Agreement and all the transactions contemplated therein, (b) actions of the directors of Yamana in approving the Arrangement and the Arrangement Agreement, and (c) actions of the directors and officers of Yamana in executing and delivering the Arrangement Agreement and any modifications, supplements or amendments thereto, and causing the performance by Yamana of its obligations thereunder, are hereby ratified and approved.

 

4.Yamana is hereby authorized to apply for a final order from the Ontario Superior Court of Justice (Commercial List) (the “Court”) to approve the Arrangement on the terms set forth in the Arrangement Agreement and the Plan of Arrangement (as they may be, or may have been, modified, supplemented or amended).

 

5.Notwithstanding that this resolution has been passed (and the Arrangement adopted) by the holders of common shares of Yamana (the “Yamana Shareholders”) entitled to vote thereon or that the Arrangement has been approved by the Court, the directors of Yamana are hereby authorized and empowered, without further notice to or approval of the Yamana Shareholders: (a) to amend, modify or supplement the Arrangement Agreement or the Plan of Arrangement to the extent permitted by their terms, and (b) subject to the terms of the Arrangement Agreement, not to proceed with the Arrangement and any related transactions.

 

6.Any officer or director of Yamana is hereby authorized and directed, for and on behalf of Yamana, to execute or cause to be executed and to deliver or cause to be delivered, whether under the corporate seal of Yamana or otherwise, for filing with the Director under the CBCA, articles of arrangement and all such other documents and instruments and to perform or cause to be performed all such other acts and things as, in such person’s opinion, may be necessary or desirable to give full force and effect to the foregoing resolutions and the matters authorized thereby, such determination to be conclusively evidenced by the execution and delivery of any such other document or instrument or the doing of any such other act or thing.

 

A-1

 

 

Schedule B

 

PLAN OF ARRANGEMENT

UNDER SECTION 192 OF THE
CANADA BUSINESS CORPORATIONS ACT

 

YAMANA GOLD INC.

 

Article 1
Interpretation

 

1.1Definitions

 

Unless otherwise indicated, whenever used in this Plan of Arrangement, capitalized terms used but not otherwise defined shall have the respective meanings specified in the Arrangement Agreement and the following words and terms have the meanings set out below:

 

affiliate” has the meaning given to it in National Instrument 45-106 – Prospectus Exemptions under Canadian Securities Laws;

 

Agnico” means Agnico Eagle Mines Limited, a corporation existing under the provincial Laws of Ontario;

 

Agnico Payment Shares” means the aggregate number of whole Agnico Shares to be delivered to Yamana Shareholders in accordance with Section 3.1(c);

 

Agnico Share Consideration” means 0.0376 of an Agnico Share for each Yamana Share (other than a Dissent Share), subject to any adjustment as contemplated by Section 2.17 of the Arrangement Agreement;

 

Agnico Share Value” means US$42.30, subject to any adjustment as contemplated by Section 2.17 of the Arrangement Agreement;

 

Agnico Shares” means the common shares in the authorized share capital of Agnico;

 

Arrangement” means the arrangement of Yamana under Section 192 of the CBCA on the terms and subject to the conditions set out in this Plan of Arrangement, subject to any amendments or variations thereto made in accordance with the terms of the Arrangement Agreement and this Plan of Arrangement or made at the direction of the Court in the Interim Order or Final Order with the consent of Pan American, Agnico and Yamana, each acting reasonably;

 

Arrangement Agreement” means the arrangement agreement dated as of November 4, 2022, among Yamana, Agnico and Pan American to which this Plan of Arrangement is attached as Schedule A, including all schedules annexed thereto, as the same may be amended, supplemented or otherwise modified from time to time in accordance with the terms thereof;

 

Arrangement Resolution” means the special resolution of Yamana Shareholders approving the Arrangement which is to be considered at the Yamana Meeting, substantially in the form of Schedule B to the Arrangement Agreement;

 

Authorization” means, with respect to any Person, any authorization, order, permit, approval, grant, licence, registration, consent, right, notification, condition, franchise, privilege, certificate, judgment, writ, injunction, award, determination, direction, decision, decree, by-law, rule or regulation, of, from or required by any Governmental Entity having jurisdiction over the Person;

 

B-1

 

 

Business Day” means any day, other than a Saturday, a Sunday or a statutory or civic holiday in the Provinces of Ontario or British Columbia or the State of New York;

 

Canadian Assets” has the meaning given thereto in the Conveyance Agreement;

 

Canadian Liabilities” has the meaning given thereto in the Conveyance Agreement;

 

Canadian Securities Laws” means the Securities Act, together with all other applicable securities Laws, rules and regulations and published policies thereunder or under the securities Laws of any other province or territory of Canada;

 

Cash Consideration” means US$1.0406 for each Yamana Share (other than a Dissent Share), subject to any adjustment as contemplated by Section 2.17 of the Arrangement Agreement;

 

CBCA” means the Canada Business Corporations Act;

 

Certificate of Arrangement” means the certificate giving effect to the Arrangement issued by the Director pursuant to Section 192(7) of the CBCA;

 

Class A Shares” means the unlimited number of Class A common shares of Yamana which are to be created in accordance with this Plan of Arrangement and which shall have attached thereto the right to two votes per share at all meetings of Yamana Shareholders, the right to dividends as and when declared by the directors of Yamana, and the right to participate in the remaining assets of Yamana upon a winding up of Yamana;

 

Consideration” means the consideration to be received by the Yamana Shareholders (other than Dissenting Shareholders) for each Yamana Share consisting of the Agnico Share Consideration, Pan American Share Consideration and Cash Consideration, subject to rounding in accordance with Section 3.2, all in accordance with this Plan of Arrangement;

 

Conveyance Agreement” means the agreement between Yamana and Agnico to effect the sale, transfer and assumption, as applicable, of Canadian Assets and Canadian Liabilities from Yamana to Agnico, substantially in the form attached as Schedule D to the Arrangement Agreement;

 

Court” means the Ontario Superior Court of Justice (Commercial List);

 

Depositary” means any Person that Yamana may appoint to act as depositary for the Yamana Shares in relation to the Arrangement, with the approval of Pan American, acting reasonably;

 

Director” means the Director appointed pursuant to Section 260 of the CBCA;

 

Dissent Amount” means US$2.5947 multiplied by the number of Dissent Shares transferred to Yamana in accordance with Section 3.1(a), rounded down to the nearest cent, subject to any adjustment as contemplated by Section 2.17 of the Arrangement Agreement;

 

Dissent and RSU Loan” has the meaning set forth in Section 3.1(a);

 

Dissent and RSU Loan Amount” means an amount equal to the sum of: (a) the amount to be paid in respect of all Yamana RSUs that are outstanding at the Effective Time in accordance with Section 3.1(f); and (b) the amount to be paid to Dissenting Shareholders in accordance with Article 4 minus the Dissent Amount, subject to any adjustment as contemplated by Section 2.17 of the Arrangement Agreement;

 

Dissent Rights” has the meaning set forth in Section 4.1(a);

 

B-2

 

 

Dissenting Shareholder” means a registered Yamana Shareholder who has validly exercised a Dissent Right and has not withdrawn or been deemed to have withdrawn such exercise of Dissent Rights, but only in respect of Yamana Shares in respect of which Dissent Rights are validly exercised by such Yamana Shareholder;

 

Dissent Shares” means Yamana Shares held by a Dissenting Shareholder and in respect of which the Dissenting Shareholder has validly exercised Dissent Rights;

 

Effective Date” means the date upon which the Arrangement becomes effective, as set out in Section 2.13 of the Arrangement Agreement, which shall be the date shown in the Certificate of Arrangement;

 

Effective Time” means 12:01 a.m. (Eastern time) on the Effective Date or such other time as agreed to by Pan American, Agnico and Yamana in writing;

 

Final Order” means the final order of the Court pursuant to Section 192 of the CBCA, in form and substance acceptable to Pan American, Agnico and Yamana, each acting reasonably, after a hearing upon the procedural and substantive fairness of the terms and conditions of the Arrangement, approving the Arrangement, as such order may be amended, modified, supplemented or varied by the Court (with the consent of Pan American, Agnico and Yamana, each acting reasonably) at any time prior to the Effective Date or, if appealed, then, unless such appeal is withdrawn or denied, as affirmed or as amended on appeal (provided that any such affirmation, amendment, modification, supplement or variation is acceptable to Pan American, Agnico and Yamana, each acting reasonably);

 

Final Proscription Date” has the meaning set forth in Section 5.5;

 

Fractional Share Amount” means the cash paid to Yamana Shareholders in lieu of fractional Agnico Shares in accordance with Section 3.2;

 

Governmental Entity” means: (a) any multinational, federal, provincial, territorial, state, regional, municipal, local or other government, governmental or public department, central bank, court, tribunal, arbitral body, commission, board, ministry, bureau or agency, domestic or foreign; (b) any stock exchange, including the TSX, NYSE, LSE and Nasdaq; (c) any subdivision, agent, commission, board or authority of any of the foregoing; or (d) any quasi-governmental or private body, including any tribunal, commission, regulatory agency or self-regulatory organization, exercising any regulatory, antitrust/competition, foreign investment, expropriation or taxing authority under or for the account of any of the foregoing;

 

Interim Order” means the interim order made after the application to the Court pursuant to subsection 192 of the CBCA in form and substance acceptable to Pan American, Agnico and Yamana, each acting reasonably, providing for, among other things, the calling and holding of the Yamana Meeting, as the same may be amended, affirmed, modified, supplemented or varied by the Court with the consent of Pan American, Agnico and Yamana, each acting reasonably;

 

Law” or “Laws” means all laws (including common law), by-laws, statutes, rules, regulations, principles of law and equity, orders, rulings, ordinances, judgments, injunctions, determinations, awards, decrees or other legally binding requirements, whether domestic or foreign, and the terms and conditions of any Authorization of or from any Governmental Entity, and, for greater certainty, includes Canadian Securities Laws, U.S. Securities Laws and UK Securities Laws and the term “applicable” with respect to such Laws and in a context that refers to one or more Persons, means such Laws as are applicable to such Persons or its business, undertaking, assets, property or securities and emanate from a Persons having jurisdiction over the Person or Persons or its or their business, undertaking, assets, property or securities;

 

B-3

 

 

Letter of Transmittal” means the Letter of Transmittal, in a form reasonably satisfactory to Pan American and Agnico, to be delivered by Yamana to registered Yamana Shareholders providing for the delivery of the Yamana Shares to the Depositary and for the payment of the Consideration;

 

Liens” means any hypothecs, mortgages, pledges, assignments, liens, charges, security interests, statutory or deemed trusts, encumbrances and adverse rights or claims, other third party interest or encumbrance of any kind, whether contingent or absolute, and any agreement, option, right or privilege (whether by Law, contract or otherwise) capable of becoming any of the foregoing;

 

LSE” means the London Stock Exchange plc;

 

Nasdaq” means Nasdaq Inc.;

 

NYSE” means The New York Stock Exchange LLC;

 

Pan American” means Pan American Silver Corp., a corporation existing under the provincial Laws of British Columbia;

 

Pan American Share Consideration” means 0.1598 of a Pan American Share for each Yamana Share (other than a Dissent Share), subject to any adjustment as contemplated by Section 2.17 of the Arrangement Agreement;

 

Pan American Share Value” means US$15.45, subject to any adjustment as contemplated by Section 2.17 of the Arrangement Agreement;

 

Pan American Shares” means the common shares in the authorized share capital of Pan American;

 

Person” includes an individual, partnership, association, body corporate, trustee, executor, administrator, legal representative, government (including any Governmental Entity) or any other entity, whether or not having legal status;

 

Plan of Arrangement” means this plan of arrangement and any amendments or variations hereto made in accordance with Section 8.6 of the Arrangement Agreement and this plan of arrangement or upon the direction of the Court in the Final Order;

 

Securities Act” means the Securities Act (Ontario) and the rules, regulations and published policies made thereunder;

 

Tax Act” means the Income Tax Act (Canada);

 

TSX” means the Toronto Stock Exchange;

 

UK DTRs” means the disclosure guidance and transparency rules made by the FCA under Section 73A of FSMA;

 

UK Listing Rules” means the listing rules made by the FCA under Section 73A of FSMA;

 

UK MAR” means Regulation (EU) No.596/2014 of the European Parliament and of the Council of 16 April 2014 on market abuse, as applicable in the UK by virtue of Section 3 of the European Union (Withdrawal) Act 2018, as amended from time to time (including by the Market Abuse (Amendment) (EU Exit) Regulations 2019 (SI 2019/310));

 

UK Prospectus Regulation” means Regulation (EU) 2017/1129 of the European Parliament and of the Council of 14 June 2017 on the prospectus to be published when securities are offered to the public or admitted to trading on a regulated market, as applicable in the UK by virtue of the European Union (Withdrawal) Act 2018, as amended from time to time;

 

B-4

 

 

UK Prospectus Regulation Rules” means the prospectus regulation rules made by the FCA under Section 73A of FSMA;

 

UK Securities Laws” means the UK Prospectus Regulation, UK Prospectus Regulation Rules, the UK Listing Rules, UK MAR, the UK DTRs, FSMA, the FSA and the Criminal Justice Act 2003 (each as amended from time to time) and all other applicable listing and disclosure requirements to which Yamana is subject by virtue of the listing of the Yamana Shares on the standard segment of the Official List maintained by the FCA and admission to trading of the Yamana Shares on the Main Market of the LSE;

 

United States” or “U.S.” means the United States of America, its territories and possessions, any State of the United States and the District of Columbia;

 

U.S. Exchange Act” means the U.S. Securities Exchange Act of 1934, as amended from time to time and the rules and regulations of the SEC promulgated thereunder;

 

U.S. Securities Act” means the U.S. Securities Act of 1933, as amended from time to time and the rules and regulations of the SEC promulgated thereunder;

 

U.S. Securities Laws” means the U.S. Securities Act, the U.S. Exchange Act and all other applicable U.S. federal securities Laws;

 

Yamana” means Yamana Gold Inc., a corporation existing under the federal Laws of Canada;

 

Yamana DSUs” means deferred share units issued under Yamana’s deferred share unit plan dated effective April 2, 2008;

 

Yamana Equity Award Holders” means the holders of Yamana PSUs, Yamana RSUs and Yamana DSUs;

 

Yamana Meeting” means the special meeting of Yamana Shareholders, including any adjournment or postponement thereof, to be called and held in accordance with the Interim Order to consider the Arrangement Resolution;

 

Yamana PSU Plan” means Yamana’s performance share unit plan dated effective January 1, 2016;

 

Yamana PSUs” means performance share units issued under the Yamana PSU Plan;

 

Yamana RSU Plan” means Yamana’s restricted share unit plan dated effective May 14, 2008;

 

Yamana RSUs” means the restricted share units issued under the Yamana RSU Plan;

 

Yamana Securityholders” means Yamana Shareholders and Yamana Equity Award Holders;

 

Yamana Shareholders” means the holders of Yamana Shares; and

 

Yamana Shares” means the common shares in the authorized share capital of Yamana.

 

Words and phrases used herein that are defined in the Arrangement Agreement and not defined herein shall have the same meaning herein as in the Arrangement Agreement, unless the context otherwise requires.

 

B-5

 

 

1.2Interpretation Not Affected by Headings

 

The division of this Plan of Arrangement into Articles, Sections, subsections and paragraphs and the insertion of headings are for convenience of reference only and shall not affect in any way the meaning or interpretation of this Plan of Arrangement. Unless the contrary intention appears, references in this Plan of Arrangement to an Article, Section, subsection or paragraph by number or letter or both refer to the Article, Section, subsection or paragraph, respectively, bearing that designation in this Plan of Arrangement.

 

1.3Number and Gender

 

In this Plan of Arrangement, unless the contrary intention appears, words importing the singular include the plural and vice versa, and words importing gender shall include all genders.

 

1.4Date for any Action

 

If the date on which any action is required to be taken hereunder is not a Business Day, such action shall be required to be taken on the next succeeding day which is a Business Day.

 

1.5Currency

 

As used in this Plan of Arrangement, “US$” refers to United States dollars, and “C$” refers to Canadian dollars.

 

1.6Statutes

 

Any reference to a statute refers to such statute and all rules, resolutions and regulations made under it, as it or they may have been or may from time to time be amended or re-enacted, unless stated otherwise.

 

Article 2
Effect of Arrangement

 

2.1Arrangement Agreement

 

This Plan of Arrangement is made pursuant to and subject to the provisions of and forms a part of the Arrangement Agreement. If there is any inconsistency or conflict between the provisions of this Plan of Arrangement and the provisions of the Arrangement Agreement, the provisions of this Plan of Arrangement shall govern.

 

2.2Binding Effect

 

At the Effective Time, this Plan of Arrangement and the Arrangement shall become effective and be binding upon Pan American, Agnico, Yamana, the Depositary, and all registered and beneficial Yamana Securityholders, including Dissenting Shareholders.

 

Article 3
Arrangement

 

3.1Arrangement

 

Commencing at the Effective Time, in five minute increments each of the following events shall occur and shall be deemed to occur consecutively in the following order, except where noted, without any further authorization, act or formality:

 

(a)Pan American shall lend to Yamana on a non-interest bearing demand basis, an amount equal to the Dissent and RSU Loan Amount (the “Dissent and RSU Loan”), and each Dissent Share held by a Dissenting Shareholder shall be, and shall be deemed to be, transferred and assigned by the holder thereof (free and clear of all Liens) to Yamana for a debt claim against Yamana for the amount therefor determined under Article 4, and

  

(i)the name of such Dissenting Shareholder shall be removed from the register of Yamana Shareholders maintained by or on behalf of Yamana and such Dissent Share shall be cancelled and cease to be outstanding, and

 

(ii)such Dissenting Shareholder shall cease to be the holder of such Dissent Share or to have any rights as a Yamana Shareholder other than the right to be paid the fair value for such Dissent Share as set out in Article 4;

 

B-6

 

 

(b)the transactions contemplated by the Conveyance Agreement shall become effective and pursuant thereto, Yamana shall assign and transfer to Agnico, and Agnico shall accept, a 100% legal and beneficial interest in, and good and marketable title to, all Canadian Assets, free and clear of all Liens other than Permitted Liens, and as consideration for the Canadian Assets, Agnico shall assume the Canadian Liabilities, issue the Agnico Payment Shares, and pay cash equal to the aggregate of the Cash Consideration multiplied by the number of Yamana Shares (other than Dissent Shares), the Fractional Share Amount and the Dissent Amount to Yamana; and

 

(i)Yamana shall be, and shall be deemed to be, the holder of the Agnico Shares so issued (free and clear of all Liens) and the register of shareholders of Agnico maintained by or on behalf of Agnico shall be, and shall be deemed to be, revised accordingly, and

 

(ii)Agnico shall add an amount to the stated capital in respect of the Agnico Shares equal to the aggregate Agnico Share Value multiplied by the number of Agnico Payment Shares;

 

(c)in the course of a reorganization of Yamana’s share capital in accordance with section 86 of the Tax Act, the authorized share capital of Yamana shall be amended by the creation of an unlimited number of Class A Shares, and immediately thereafter each Yamana Share held by a Yamana Shareholder (other than a Dissenting Shareholder) shall be exchanged for:

 

(i)one Class A Share;

 

(ii)the Agnico Share Consideration delivered by Yamana; and

 

(iii)an amount of cash delivered by Yamana equal to the Cash Consideration;

 

(d)in connection with the reorganization of the share capital and the share exchanges in Section 3.1(c),

 

(i)each Yamana Shareholder shall cease to be, and shall be deemed to cease to be, the holder of each such Yamana Share and the name of such Yamana Shareholder shall be, and shall be deemed to be, removed from the register of Yamana Shareholders maintained by or on behalf of Yamana,

 

(ii)the Yamana Shares exchanged shall be cancelled and the stated capital in respect of the Yamana Shares shall be nil,

 

(iii)Yamana shall cease to be, and shall be deemed to cease to be, the holder of the Agnico Shares and the name of Yamana shall be, and shall be deemed to be, removed from the register of shareholders of Agnico maintained by or on behalf of Agnico,

 

B-7

 

 

(iv)Yamana shall, and shall be deemed to have executed and delivered all consents, releases, assignments and waivers, statutory or otherwise, required to transfer and assign each such Agnico Share,

 

(v)each Yamana Shareholder shall be deemed to be the holder of the Class A Shares for which the Yamana Shareholder’s Yamana Shares were exchanged in accordance with Section 3.1(c) (in each case, free and clear of any Liens) and such Yamana Shareholder shall be, and shall be deemed to be, entered in the register of Yamana Shareholders maintained by or on behalf of Yamana, as the holder of such Class A Shares,

 

(vi)each Yamana Shareholder shall be deemed to be the holder of the Agnico Shares for which the Yamana Shareholder’s Yamana Shares were exchanged in accordance with Section 3.1(c) (in each case, free and clear of any Liens) and such Yamana Shareholder shall be, and shall be deemed to be, entered in the register of shareholders of Agnico maintained by or on behalf of Agnico, as the holder of such Agnico Shares, and

 

(vii)there shall be added to the stated capital in respect of the Class A Shares an amount equal to the Pan American Share Value multiplied by the number of Pan American Shares that the Yamana Shareholders are entitled to receive pursuant to Section 3.1(e);

 

(e)each Class A Share shall be transferred to Pan American (free and clear of any Liens) in exchange for the Pan American Share Consideration delivered by Pan American, and

 

(i)the holders of the Class A Shares shall cease to be, and shall be deemed to cease to be, the holder of each such Class A Share and the name of such holder shall be, and shall be deemed to be, removed from the register of Yamana Shareholders maintained by or on behalf of Yamana,

 

(ii)the holders of the Class A Shares shall, and shall be deemed to have executed and delivered all consents, releases, assignments and waivers, statutory or otherwise, required to transfer and assign each such Class A Share,

 

(iii)Pan American shall be, and shall be deemed to be, the holder of the Class A Shares (free and clear of all Liens) and the register of Yamana Shareholders maintained by or on behalf of Yamana shall be, and shall be deemed to be, revised accordingly,

 

(iv)the holders of the Class A Shares shall be, and shall be deemed to be, the holders of the Pan American Shares so issued (free and clear of all Liens) and the register of shareholders of Pan American maintained by or on behalf of Pan American shall be, and shall be deemed to be, revised accordingly, and

 

(v)Pan American shall add an amount to its share capital in respect of the Pan American Shares equal to the aggregate Pan American Share Value multiplied by the number of Pan American Shares so issued;

 

B-8

 

 

(f)each Yamana RSU (whether vested or unvested) that is outstanding immediately prior to the Effective Time shall vest in accordance with the terms of the Yamana RSU Plan and shall be, and shall be deemed to be, transferred by the holder thereof to Yamana in exchange for a cash payment from Yamana equal to the volume weighted average trading price of one Yamana Share on the TSX during the five trading days ending on the last trading day prior to the Effective Date less any withholding required by applicable Law using the remaining funds from the Dissent and RSU Loan not paid to Dissenting Shareholders in accordance with Section 3.1(a), and each such Yamana RSU shall be immediately cancelled, and

 

(i)the holders of such Yamana RSUs shall cease to be holders thereof and to have any rights as holders of such Yamana RSUs, other than the right to receive the consideration to which they are entitled under this Section 3.1(f),

 

(ii)such holders’ names shall be, and shall be deemed to be, removed from the register of Yamana RSUs maintained by or on behalf of Yamana, and

 

(iii)all agreements relating to the Yamana RSUs shall be terminated and shall be of no further force and effect;

 

(g)each Yamana PSU that is outstanding immediately prior to the Effective Time shall be, and shall be deemed to be, transferred by the holder thereof to Yamana in exchange for a cash payment from Yamana equal to the volume weighted average trading price of one Yamana Share on the TSX during the five trading days ending on the last trading day prior to the Effective Date multiplied by the applicable Multiplier (as defined in the Yamana PSU Plan), to be determined on the Effective Date, less any withholding required by applicable Law, and each such Yamana PSU shall be immediately cancelled and

 

(i)the holders of such Yamana PSU shall cease to be holders thereof and to have any rights as holders of such Yamana PSUs, other than the right to receive the consideration to which they are entitled under this Section 3.1(g),

 

(ii)such holders’ names shall be, and shall be deemed to be, removed from the register of Yamana PSUs maintained by or on behalf of Yamana, and

 

(iii)all agreements relating to the Yamana PSUs shall be terminated and shall be of no further force and effect;

 

(h)each Yamana DSU that is outstanding immediately prior to the Effective Time shall be, and shall be deemed to be, transferred by the holder thereof to Yamana in exchange for a cash payment from Yamana equal to the volume weighted average trading price of one Yamana Share on the TSX during the five trading days ending on the last trading day prior to the Effective Date, less any withholding required by applicable Law and each such Yamana DSU shall be immediately cancelled and

 

(i)the holders of such Yamana DSUs shall cease to be holders thereof and to have any rights as holders of such Yamana DSUs, other than the right to receive the consideration to which they are entitled under this Section 3.1(h),

 

(ii)such holders’ names shall be, and shall be deemed to be, removed from the register of Yamana DSUs maintained by or on behalf of Yamana, and

 

(iii)all agreements relating to the Yamana DSUs shall be terminated and shall be of no further force and effect; and

 

(i)the authorized share capital of Yamana shall be amended by

 

(i)eliminating the Yamana Shares,

 

(ii)changing the identifying name of the issued and unissued Class A Shares from “Class A common shares” to “common shares” and amending the special rights and restrictions attached to those shares to provide the holders thereof with one vote in respect of each share held,

 

and the articles of Yamana shall be deemed to be amended accordingly; and

 

B-9

 

 

(j)Pan American shall make, and shall be deemed to have made, a capital contribution to Yamana by capitalizing the Dissent and RSU Loan, and the Dissent and RSU Loan shall be, and shall be deemed to be, cancelled and extinguished.

 

The events provided for in this Section 3.1 shall be deemed to occur on the Effective Date, notwithstanding that certain procedures related thereto may not be completed until after the Effective Date.

 

3.2Fractional Shares and Cash

 

(a)Yamana Shareholders may be entitled to a fraction of a Class A Share.

 

(b)In no event shall the aggregate number of Pan American Shares or Agnico Shares issuable to a Yamana Shareholder include a fraction of a share. To the extent that a fraction of a Pan American Share or Agnico Share would otherwise be issuable to a Yamana Shareholder, the number of Pan American Shares or Agnico Shares to be received by such Yamana Shareholder shall be rounded down to the nearest whole number. In lieu of any such fraction of a Pan American Share, each Yamana Shareholder shall receive a cash payment from Pan American equal the value of such fraction calculated by ascribing the Pan American Share Value to each whole Pan American Share. In lieu of any such fraction of an Agnico Share, each Yamana Shareholder shall receive a cash payment from Yamana equal the value of such fraction calculated by ascribing the Agnico Share Value to each whole Agnico Share.

 

(c)In any case where the total cash payable to a particular Yamana Shareholder by each of Pan American or Yamana under the Arrangement would, but for this provision, include a fraction of a cent, the consideration payable shall be rounded down to the nearest whole cent.

 

Article 4
Dissent Rights

 

4.1Dissent Rights

 

(a)In connection with the Arrangement, each registered Yamana Shareholder may exercise rights of dissent (“Dissent Rights”) with respect to the Yamana Shares held by such Yamana Shareholder pursuant to Section 190 of the CBCA, as modified by the Interim Order, the Final Order and this Section 4.1(a); provided that, notwithstanding Part XV of the CBCA, the written notice of intent to exercise the right to demand the purchase of Yamana Shares contemplated by Section 190(7) of the CBCA must be received by Yamana not later than 4:00 p.m. (Eastern time) two Business Days immediately preceding the date of the Yamana Meeting, and provided that such notice of intent must otherwise comply with the requirements of the CBCA. Dissenting Shareholders who are:

 

(i)ultimately entitled to be paid by Yamana the fair value for their Dissent Shares (A) shall be deemed not to have participated in the transactions in Article 3 (other than Section 3.1(a)), (B) shall be deemed to have transferred and assigned such Dissent Shares (free and clear of any Liens) to Yamana in accordance with Section 3.1(a), (C) shall be entitled to be paid the fair value of such Dissent Shares by Yamana, which fair value, notwithstanding anything to the contrary contained in the CBCA, shall be determined as of the close of business on the Business Day before the Arrangement Resolution was adopted at the Yamana Meeting and (D) shall not be entitled to any other payment or consideration, including any payment that would be payable under the Arrangement had such holders not exercised their Dissent Rights in respect of such Yamana Shares; or

 

B-10

 

 

(ii)ultimately not entitled, for any reason, to be paid by Yamana the fair value for their Dissent Shares, shall be deemed to have participated in the Arrangement in respect of those Yamana Shares on the same basis as a non-dissenting Yamana Shareholder and shall be entitled to receive only the Consideration contemplated by Section 3.1 that such Dissenting Shareholder would have received pursuant to the Arrangement if such Dissenting Shareholder had not exercised their Dissent Rights.

 

(b)In no circumstances shall Pan American, Agnico, Yamana or any other Person be required to recognize a Person exercising Dissent Rights unless such Person is the registered holder of Yamana Shares in respect of which Dissent Rights are purported to be exercised.

 

(c)In no circumstances shall Pan American, Agnico, Yamana or any other Person be required to recognize a Dissenting Shareholder as a registered or beneficial owner of Yamana Shares or any interest therein (other than the rights set out in this Section 4.1) at or after the Effective Time, and as at the Effective Time the names of such Dissenting Shareholders shall be deleted from the central securities register of Yamana.

 

(d)For greater certainty, in addition to any other restrictions in the Interim Order and under Section 190 of the CBCA, none of the following shall be entitled to exercise Dissent Rights: (i) Yamana Shareholders who vote or have instructed a proxyholder to vote such Yamana Shares in favour of the Arrangement Resolution (but only in respect of such Yamana Shares); (ii) holders of Yamana RSUs, Yamana PSUs and Yamana DSUs; and (iii) any other Person who is not a registered holder of Yamana Shares as of the record date for the Yamana Meeting.

 

Article 5
Delivery of Consideration

 

5.1Certificates and Payments

 

(a)Following receipt of the Final Order and on the Business Day immediately prior to the Effective Date,

 

(i)Pan American shall deliver or cause to be delivered to the Depositary in escrow (i) an irrevocable treasury direction regarding the issuance of the aggregate number of Pan American Shares, and (ii) cash to be paid to Yamana Shareholders in lieu of fractional Pan American Shares in accordance with Section 3.2, and

 

(ii)Agnico shall deliver or cause to be delivered to the Depositary in escrow (i) an irrevocable treasury direction regarding the issuance of the aggregate number of Agnico Shares and (ii) cash equal to the aggregate of the Cash Consideration multiplied by the number of Yamana Shares (other than Dissent Shares) and the Fractional Share Amount,

 

to satisfy the aggregate Consideration payable to the Yamana Shareholders, which shall be held by the Depositary as agent and nominee for such former Yamana Shareholders for distribution to such former Yamana Shareholders in accordance with the provisions of this Article 5.

 

B-11

 

 

(b)Upon surrender to the Depositary for cancellation of a certificate (if any) which immediately prior to the Effective Time represented outstanding Yamana Shares that were exchanged pursuant to Section 3.1(c), together with a duly completed and executed Letter of Transmittal and any such additional documents and instruments as the Depositary may reasonably require, the registered holder of the Yamana Shares represented by such surrendered certificate shall be entitled to receive in exchange therefor, and the Depositary shall deliver to such Yamana Shareholder, the Consideration that such Yamana Shareholder has the right to receive under the Arrangement, less any amounts withheld pursuant to Section 5.3, and any certificate so surrendered shall forthwith be cancelled.

 

(c)After the completion of the Arrangement and until surrendered for cancellation as contemplated by Section 5.1(b), each certificate that immediately prior to the Effective Time represented one or more Yamana Shares (other than Dissent Shares held by a Dissenting Shareholder) shall be deemed at all times to represent only the right to receive in exchange therefor the Consideration that the holder of such certificate is entitled to receive in accordance with Section 3.1, less any amounts withheld pursuant to Section 5.3.

 

(d)Following receipt of the Final Order and on the Business Day immediately prior to the Effective Date,

 

(i)Pan American shall deliver or cause to be delivered to Yamana in escrow cash equal to the Dissent and RSU Loan Amount, and

 

(ii)Agnico shall deliver or cause to be delivered to Yamana in escrow cash equal to the Dissent Amount,

 

to satisfy the aggregate amounts payable to Dissenting Shareholders and Yamana RSU holders by Yamana, and on the Effective Date, Yamana shall pay the amounts to be paid to the holders of Yamana RSUs, Yamana PSUs and Yamana DSUs in accordance with Sections 3.1(f), 3.1(g) and 3.1(h), respectively.

 

5.2Lost Certificates

 

In the event any certificate which immediately prior to the Effective Time represented one or more outstanding Yamana Shares that were exchanged pursuant to Section 3.1(c) shall have been lost, stolen or destroyed, upon the making of an affidavit of that fact by the Person claiming such certificate to be lost, stolen or destroyed, the Depositary shall issue in exchange for such lost, stolen or destroyed certificate, the Consideration deliverable in accordance with such holder’s duly completed and executed Letter of Transmittal. When authorizing such payment in exchange for any lost, stolen or destroyed certificate, the Person to whom such Consideration is to be delivered shall as a condition precedent to the delivery of such Consideration, give a bond satisfactory to Pan American and the Depositary (acting reasonably) in such sum as Pan American may direct, or otherwise indemnify Pan American and Yamana in a manner satisfactory to Pan American and Yamana, acting reasonably, against any claim that may be made against Pan American and Yamana with respect to the certificate alleged to have been lost, stolen or destroyed.

 

5.3Withholding Rights

 

Pan American, Yamana, Agnico, any of their affiliates and the Depositary, as applicable, shall be entitled to deduct and withhold, or direct any other Person to deduct and withhold on their behalf, from any amounts otherwise payable, issuable or otherwise deliverable to any Yamana Securityholders and/or any other Person under this Plan of Arrangement such amounts as are required or entitled to be deducted and withheld from such amounts under any provision of the Tax Act, the United States Internal Revenue Code of 1986 or any provision of any applicable Law. To the extent any such amounts are so deducted and withheld, such amounts shall be treated for all purposes under this Plan of Arrangement as having been paid to the Person in respect of which such deduction and withholding was made. To the extent that the amount so required to be deducted or withheld from any amounts payable, issuable or otherwise deliverable to a Person under this Plan of Arrangement exceeds the amount of cash otherwise payable to such Person, Pan American, Yamana, Agnico, any of their affiliates and the Depositary are hereby authorized to sell or otherwise dispose, or direct any other Person to sell or otherwise dispose, of such portion of the non-cash consideration or non-cash amounts payable, issuable or otherwise deliverable hereunder to such Person as is necessary to provide sufficient funds to Pan American, Yamana, Agnico, any of their affiliates and the Depositary, as the case may be, to enable them to comply with such deduction or withholding requirement and Pan American, Yamana, Agnico, any of their affiliates and the Depositary, as applicable, shall notify the relevant Person of such sale or other disposition and remit to such Person any unapplied balance of the net proceeds of such sale or other disposition (after deduction for (a) the amounts required to satisfy the required withholding under this Plan of Arrangement in respect of such Person, (b) reasonable commissions payable to the broker, and (c) other reasonable costs and expenses).

 

B-12

 

 

5.4Distributions with respect to Unsurrendered Share Certificates

 

No dividend or other distribution declared or made after the Effective Time with respect to Pan American Shares or Agnico Shares with a record date after the Effective Time shall be delivered to the holder of any unsurrendered certificate that, immediately prior to the Effective Time, represented outstanding Yamana Shares unless and until the holder of such certificate shall have complied with the provisions of Section 5.1 or Section 5.2. Subject to applicable Law and to Section 5.3, at the time of such compliance, there shall, in addition to the delivery of Consideration to which such holder is thereby entitled, be delivered to such holder, without interest, the amount of the dividend or other distribution with a record date after the Effective Time theretofore paid with respect to such Pan American Shares or Agnico Shares.

 

5.5Limitation and Proscription

 

To the extent that a former Yamana Shareholder shall not have complied with the provisions of Section 5.1 or Section 5.2 on or before the date that is six years after the Effective Date (the “Final Proscription Date”), then the Consideration that such former Yamana Shareholder was entitled to receive shall be automatically cancelled without any repayment of capital in respect thereof and the Consideration to which such former Yamana Shareholder was entitled, shall be delivered to Pan American by the Depositary and the Pan American Shares and Agnico Shares forming part of the Consideration shall be deemed to be cancelled, and the interest of the former Yamana Shareholder in such Pan American Shares or Agnico Shares (and any dividend or other distribution referred to in Section 5.4) to which it was entitled shall be terminated as of such Final Proscription Date, and the certificates (if any) formerly representing Yamana Shares shall cease to represent a right or claim of any kind or nature as of such Final Proscription Date. Any payment made by way of cheque by the Depositary pursuant to this Plan of Arrangement that has not been deposited or has been returned to the Depositary or that otherwise remains unclaimed, in each case, on or before the Final Proscription Date shall cease to represent a right or claim of any kind or nature and the right of any Yamana Shareholder to receive the Consideration for Yamana Shares pursuant to this Plan of Arrangement shall terminate and be deemed to be surrendered and forfeited to Pan American.

 

5.6No Liens

 

Any exchange or transfer of securities pursuant to this Plan of Arrangement shall be free and clear of any Liens or other claims of third parties of any kind.

 

5.7Paramountcy

 

From and after the Effective Time: (a) this Plan of Arrangement shall take precedence and priority over any and all Yamana Shares issued prior to the Effective Time; (b) the rights and obligations of the Yamana Securityholders (other than Pan American, Agnico or any of their respective affiliates), and of Yamana, Pan American, Agnico, the Depositary and any transfer agent or other depositary in relation thereto, shall be solely as provided for in this Plan of Arrangement and the Arrangement Agreement; and (c) all actions, causes of action, claims or proceedings (actual or contingent and whether or not previously asserted) based on or in any way relating to any Yamana Shares, Yamana RSUs, Yamana PSUs and Yamana DSUs shall be deemed to have been settled, compromised, released and determined without liability except as set forth herein.

 

B-13

 

 

Article 6
Amendments

 

6.1Amendments

 

(a)Pan American, Yamana and Agnico reserve the right to amend, modify and/or supplement this Plan of Arrangement at any time and from time to time prior to the Effective Time, provided that any such amendment, modification or supplement must be agreed to in writing by each of Pan American, Yamana and Agnico and filed with the Court, and, if made following the Yamana Meeting, then: (i) approved by the Court; and (ii) if the Court directs, approved by the Yamana Shareholders and communicated to the Yamana Securityholders if and as required by the Court, and in either case in the manner required by the Court.

 

(b)Subject to the provisions of the Interim Order, any amendment, modification or supplement to this Plan of Arrangement, if agreed to by Pan American, Yamana and Agnico, may be proposed by Pan American, Yamana and Agnico at any time prior to or at the Yamana Meeting, with or without any other prior notice or communication, and if so proposed and accepted by the Persons voting at the Yamana Meeting shall become part of this Plan of Arrangement for all purposes.

 

(c)Any amendment, modification or supplement to this Plan of Arrangement that is approved or directed by the Court following the Yamana Meeting shall be effective only if it is agreed to in writing by each of Pan American, Yamana and Agnico and, if required by the Court, by some or all of the Yamana Shareholders voting in the manner directed by the Court.

 

(d)Any amendment, modification or supplement to this Plan of Arrangement may be made by Pan American, Yamana and Agnico without the approval of or communication to the Court or the Yamana Securityholders, provided that it concerns a matter which, in the reasonable opinion of Pan American, Yamana and Agnico is of an administrative or ministerial nature required to better give effect to the implementation of this Plan of Arrangement and is not materially adverse to the financial or economic interests of any of the Yamana Securityholders.

 

(e)This Plan of Arrangement may be withdrawn prior to the Effective Time in accordance with the Arrangement Agreement.

 

Article 7
Further Assurances

 

7.1Further Assurances

 

Notwithstanding that the transactions and events set out in this Plan of Arrangement shall occur and shall be deemed to occur in the order set out in this Plan of Arrangement without any further act or formality, each of the parties to the Arrangement Agreement shall make, do and execute, or cause to be made, done and executed, all such further acts, deeds, agreements, transfers, assurances, instruments or documents as may reasonably be required by any of them in order further to document or evidence any of the transactions or events set out in this Plan of Arrangement.

 

B-14

 

 

Schedule C

 

YAMANA FAIRNESS OPINION

 

See Attached.

 

 

 

 

 

GRAPHIC

Scotia Capital Inc. Global Corporate & Investment Banking 40 Temperance Street, 6th Floor Toronto, ON M5H 0B4 November 7, 2022 The Special Committee of the Board of Directors and the Board of Directors Yamana Gold Inc. 200 Bay Street Royal Bank Plaza, North Tower Suite 2200 Toronto, Ontario M5J 2J3 To the Special Committee of the Board of Directors and the Board of Directors: Scotia Capital Inc. (“Scotia Capital”, “we”, “us” or “our”) understand that Yamana Gold Inc. (the “Company”), Pan American Silver Corp. (“Pan American”), and Agnico Eagle Mines Limited (“Agnico”, and together with Pan American, the “Acquirers”) propose to enter into an agreement to be dated November 4, 2022 (the “Arrangement Agreement”), pursuant to which, among other things, the Company will sell certain subsidiaries and partnerships which hold the Company’s interests in its Canadian assets to Agnico and Pan American will acquire all of the outstanding common shares (the “Shares”) of the Company pursuant to an arrangement (the “Arrangement”) under the Canada Business Corporations Act. Under the terms of the Arrangement, at closing, holders of the Shares (each a “Shareholder”) will be entitled to receive for each Share (i) US$1.0406 in cash, (ii) 0.0376 of a newly issued common share of Agnico (an “Agnico Share”), and (iii) 0.1598 of a newly issued common share of Pan American (a “Pan American Share”). The terms and conditions of the Arrangement Agreement will be more fully described in a management information circular (the “Circular”) which will be mailed to Shareholders in connection with the Arrangement. We have been retained to provide financial advice and assistance to the special committee (the “Special Committee”) of the board of directors of the Company (the “Board of Directors”) in evaluating the Arrangement, including providing our opinion (the “Opinion”) to the Special Committee and the Board of Directors as to the fairness, from a financial point of view, of the Consideration to be received pursuant to the Arrangement to the Shareholders. This fairness opinion has been prepared in accordance with the Disclosure Standards for Formal Valuations and Fairness Opinions of the Investment Industry Regulatory Organization of Canada (“IIROC”), but IIROC has not been involved in the preparation or review of the Opinion. Engagement of Scotia Capital The Company initially contacted Scotia Capital regarding a potential advisory assignment on October 21, 2022. Scotia Capital was formally engaged by the Company as a financial advisor to the Special Committee pursuant to an engagement letter dated October 23, 2022 (the “Engagement Letter”). Under the terms of the Engagement Letter, the Company has agreed to pay Scotia Capital a fixed fee for its services as financial advisor, including rendering the Opinion. The fee that Scotia Capital will receive for its advisory services is not contingent upon the completion of the Arrangement Agreement or the conclusion of an opinion. In addition, Scotia Capital is to be reimbursed for its reasonable out-of-pocket expenses and to be indemnified by the Company in certain circumstances. Subject to the terms of the Engagement Letter, Scotia Capital consents to the inclusion of the Opinion in its entirety and a summary thereof in the Circular and to the filing of the Opinion by the Company, as necessary, with the applicable securities commissions, stock exchanges and other similar regulatory authorities in Canada and the United States.

C-1

GRAPHIC

Page 2 Credentials of Scotia Capital Scotia Capital represents the global corporate and investment banking and capital markets business of Scotiabank Group (“Scotiabank”), one of North America’s premier financial institutions. In Canada, Scotia Capital is one of the country’s largest investment banking firms with operations in all facets of corporate and government finance, mergers and acquisitions, equity and fixed income sales and trading and investment research. Scotia Capital has participated in a significant number of transactions involving private and public companies and has extensive experience in preparing fairness opinions. The Opinion expressed herein represents the opinion of Scotia Capital. The form and content of the Opinion have been approved for release by a committee of senior investment banking professionals of Scotia Capital, each of whom is experienced in merger, acquisition, divestiture, fairness opinion and valuation matters. Relationship with Interested Parties Neither Scotia Capital nor any of its affiliates is an insider, associate or affiliate (as those terms are defined in the Securities Act (Ontario) (the “Act”)) of the Company, the Acquirers or any of their respective affiliates (collectively, the “Interested Parties”). Neither Scotia Capital nor any of its affiliates has been engaged to provide any financial advisory services, nor has Scotia Capital or any of its affiliates participated in any financing involving the Interested Parties within the past two years other than pursuant to the Engagement Letter and as described herein. In the past two years, Scotia Capital and affiliates of Scotia Capital have been engaged in the following capacities for the Interested Parties: (i) acted as financial advisor to the Board of Directors in connection with the proposed acquisition of the Company by Gold Fields Limited pursuant to an arrangement agreement dated May 31, 2022; (ii) acted as joint lead arranger, joint bookrunner and administrative agent on the Company’s US$750 million syndicated credit facility; (iii) acted as co-manager on the Company’s US$500 million issue of senior notes, (iv) acted as co-bookrunner on the Company’s US$20 million secondary offering of shares in Nomad Royalty Company Ltd.; (v) acted as financial advisor to the Company in connection with a transaction that was not completed; (vi) acted as joint lead arranger, joint bookrunner and administrative agent on Agnico’s US$1.2 billion revolving credit facility; (vii) provided cash management, foreign exchange services, letters of credit and certain other financial advisory services to Agnico; (viii) acted as a designated broker in connection with Agnico’s normal course issuer bid; (ix) acted as joint lead arranger, joint bookrunner and administrative agent on Pan American’s US$500 million syndicated revolving credit facility; and (x) provided cash management, foreign exchange services, and letters of credit to Pan American. There are no understandings, agreements or commitments between Scotia Capital and the Interested Parties with respect to any future business dealings. Scotia Capital may, in the future, in the ordinary course of its business, perform financial advisory or investment banking services for the Interested Parties. In addition, the Bank of Nova Scotia (“BNS”), of which Scotia Capital is a wholly-owned subsidiary, or one or more affiliates of BNS, may provide banking or other financial services to one or more of the Interested Parties in the ordinary course of business. Scotia Capital and certain of our affiliates act as a trader and dealer, both as principal and agent, in the financial markets in Canada, the United States and elsewhere and, as such, it and Scotiabank may have had and may have positions in the securities of the Interested Parties from time to time and may have executed or may execute transactions on behalf of such companies or clients for which they receive compensation. As investment dealers, Scotia Capital and certain of our affiliates conduct research on securities and may, in the ordinary course of business, provide research reports and investment advice to their clients on investment matters, including with respect to one or more of the Interested Parties, or with respect to the Arrangement.

C-2

GRAPHIC

Page 3 Scope of Review In preparing the Opinion, we have reviewed, considered and relied upon, among other things, the following: 1. a draft of the Arrangement Agreement dated November 3, 2022 and a draft of the schedules thereto, including the plan of arrangement; 2. a draft of the Voting and Support Agreement (the “Company Support Agreements”) with each of the directors and senior officers of the Company dated November 3, 2022; 3. the settled form of the Voting and Support Agreement (the “Pan American Support Agreements” and together with the Company Support Agreements, the “Support Agreements”) with each of the directors and senior officers of Pan American dated November 3, 2022; 4. audited annual financial statements of the Company and the Acquirers and management’s discussion and analysis related thereto for the fiscal years 2020 and 2021; 5. unaudited interim financial statements of the Company and the Acquirers and management’s discussion and analysis related thereto for the six-month period ended June 30, 2022; 6. the notices of annual meeting of the Shareholders and the management information circulars of the Company for the meetings dated April 29, 2021 and April 28, 2022; 7. the notices of annual meeting of the shareholders and the management information circulars of Pan American for the meetings dated May 12, 2021 and May 11, 2022; 8. the notices of annual meeting of the shareholders and the management information circulars of Agnico for the meetings dated April 30, 2021 and April 28, 2022; 9. certain other securities regulatory filings of the Company and the Acquirers for the fiscal years 2019, 2020 and 2021; 10. internal management forecasts, projections, estimates and budgets prepared or provided by or on behalf of management of the Company and the Acquirers; 11. internal financial, operating and corporate information or reports of the Company and the Acquirers; 12. discussions with senior management of the Company regarding the Company and the Acquirers, various risks related to existing mines, project development, long-term prospects and other issues and matters considered by us to be relevant; 13. public information relating to the business, operations, financial performance and stock trading history of the Company, the Acquirers and other selected public companies considered by us to be relevant; 14. public information with respect to other transactions of a comparable nature considered by us to be relevant; 15. third party expert reports, such as technical reports, relating to the Company and the Acquirers; 16. reports published by equity research analysts and industry sources we considered relevant; 17. historical market prices and trading activity for the Shares and for the shares of the Acquirers; 18. representations contained in a certificate addressed to Scotia Capital, dated as of the date hereof, from senior officers of the Company (the “Company Certificate”) as to the completeness, accuracy and fair presentation of the information upon which the Opinion is based; and

C-3

GRAPHIC

Page 4 19. such other corporate, industry and financial market information, investigations and analyses as Scotia Capital considered necessary or appropriate in the circumstances. Scotia Capital has not, to the best of its knowledge, been denied access by the Company or the Acquirers to any information requested by Scotia Capital. Assumptions and Limitations The Opinion is subject to the assumptions, qualifications and limitations set forth below. We have relied upon and assumed the completeness, accuracy and fair presentation of all financial and other information, data, advice, opinions, representations and other material obtained by us from public sources or provided to us by or on behalf of the Company or otherwise obtained by us in connection with our engagement (the “Information”). The Opinion is conditional upon the completeness, accuracy and fair presentation of the Information. We have not been requested to, and have not assumed any obligation to, independently verify the completeness, accuracy or fair presentation of any such Information. We have assumed that forecasts, projections, estimates and budgets provided to us and used in our analyses were reasonably prepared on bases reflecting the best currently available assumptions, estimates and judgments of management of the Company or the Acquirers, as applicable, having regard to the business, plans, financial condition and prospects of the Company and the Acquirers, respectively. Furthermore, Scotia Capital has not assumed any obligation to conduct, and has not conducted, any physical inspection of the properties or facilities of the Company or the Acquirers. We are not legal, regulatory, accounting or tax experts and have relied on the assessments made by the Company and its advisors with respect to such matters. Senior officers of the Company have represented to Scotia Capital in the Company Certificate, among other things, that: (a) with the exception of budgets, forecasts, projections or estimates referred to in paragraph (d) below, the Information provided to Scotia Capital orally by, or in the presence of, an officer, director or employee of, the Company, or in writing by the Company or any of its subsidiaries (as defined in the Act) or any of its or their representatives in connection with Scotia Capital’s engagement, (i) in respect of the Company or any of its subsidiaries, was at the date the Information was provided to Scotia Capital or at the date the applicable disclosure document was filed, as applicable, and is as of the date hereof, complete, true and correct in all material respects, and did not and does not contain a misrepresentation (as defined in the Act) and (ii) in respect of the Acquirers or any of their respective subsidiaries, to the best knowledge, information and belief of such senior officers, was at the date the Information was provided to Scotia Capital, and is as of the date hereof, complete, true and correct in all material respects, and did not and does not contain a misrepresentation (as defined in the Act); (b) since the dates on which the Information was provided or made available to Scotia Capital, except as disclosed in writing to Scotia Capital, there has been no material change, financial or otherwise, in the financial condition, assets, liabilities (contingent or otherwise), business, operations or prospects of (i) the Company or any of its subsidiaries, and (ii) to the best knowledge, information and belief of such officers, the Acquirers or any of their respective subsidiaries; (c) except as disclosed in writing to Scotia Capital, no change has occurred in the Information or any part thereof which would have or which could reasonably be expected to have, to the best of their knowledge, information and belief, a material effect on the Opinion; (d) any portions of the Information provided to Scotia Capital which constitute budgets, forecasts, projections or estimates were prepared using the assumptions identified therein, which, in the reasonable opinion of management of the Company, are (or were at the time of preparation and continue to be) reasonable in the circumstances, and are not, in the reasonable belief of management of the Company, misleading in any material respect; and

C-4

GRAPHIC

Page 5 (e) there are no independent appraisals or valuations or material non-independent appraisals or valuations relating to (i) the Company or any of its subsidiaries or any of their respective securities or material assets or liabilities or (ii) to the best of their knowledge, information and belief, the Acquirers, or any of their respective subsidiaries or any of their respective securities or material assets or liabilities, that, in each case, have been prepared in the two years preceding the date hereof and which have not been provided to Scotia Capital. In preparing the Opinion, Scotia Capital made several assumptions, including that (i) the executed Arrangement Agreement (including the schedules thereto) and Support Agreements will not differ in any material respect from the drafts that we reviewed, (ii) that the Arrangement will be consummated in accordance with the terms and conditions of the Arrangement Agreement without waiver of, or amendment to, any term or condition that is in any way material to our analyses, (iii) the representations and warranties in the Arrangement Agreement are true and correct as of the date hereof, and (iv) any governmental, regulatory or other consents and approvals necessary for the consummation of the Arrangement will be obtained without any material adverse effect on the contemplated benefits expected to be derived from the Arrangement. The Opinion is rendered on the basis of the securities markets and economic, financial and general business conditions prevailing as at the date hereof and the conditions and prospects, financial and otherwise, of the Company and its subsidiaries and the Acquirers and their respective subsidiaries, as they were reflected in the Information and as they have been represented to Scotia Capital in discussions with management of the Company and its representatives. In its analyses and in preparing the Opinion, Scotia Capital made numerous assumptions with respect to industry performance, general business and economic conditions and other matters, many of which are beyond the control of Scotia Capital or any party involved in the Arrangement. The Opinion has been provided for the sole use and benefit of the Special Committee and the Board of Directors (in their capacity as directors of the Company) in connection with, and for the purpose of, their consideration of the Arrangement and may not be used or relied upon by any other person (including, without limitation, securityholders, creditors or other constituencies of the Company) or for any other purpose. Our opinion was not intended to be, and does not constitute, a recommendation to the Special Committee or the Board of Directors as to whether they should approve the Arrangement Agreement or to any securityholder of the Company as to how such securityholder should vote or act with respect to the Arrangement or otherwise. The Opinion does not address in any manner the prices at which the Company’s or the Acquirers’ securities will trade at any time. The Opinion does not address the relative merits of the Arrangement as compared to other transactions or business strategies that might be available to the Company or the Company’s underlying business decision to effect the Arrangement. Scotia Capital has not been asked to opine on, nor does it offer any opinion as to the material terms (other than the Consideration) of the Arrangement Agreement. In addition, the Opinion does not address the fairness of the Consideration to any person who validly exercises the right of dissent of such person in respect of the Arrangement. In carrying out its engagement, Scotia Capital was not authorized to solicit and did not solicit, interest from any other party with respect to the acquisition of the Company or any other business combination or other transaction involving the Company or its assets, nor did Scotia Capital negotiate with any other party in connection with any such transaction. Except for the inclusion of the Opinion in its entirety and a summary thereof (in a form acceptable to us) in the Circular, the Opinion is not to be reproduced, disseminated, quoted from or referred to (in whole or in part) without our prior written consent. We have not been asked to prepare and have not prepared a formal valuation or appraisal of the securities or assets of the Company, the Acquirers, or any of their respective affiliates, and the Opinion should not be construed as such. The Opinion is given as of the date hereof, and Scotia Capital disclaims any undertaking or obligation to advise any person of any change in any fact or matter affecting the Opinion which may come or be brought to the attention of Scotia Capital after the date hereof. Without limiting the foregoing, if we learn that any of the information we relied upon in preparing the Opinion was inaccurate, incomplete or misleading in any material respect or if there is any material change affecting the Opinion, Scotia Capital reserves the right to change, modify or withdraw the Opinion.

C-5

GRAPHIC

Page 6 Conclusion Based upon and subject to the foregoing, Scotia Capital is of the opinion that, as of the date hereof, the Consideration to be received by the Shareholders pursuant to the Arrangement is fair from a financial point of view to the Shareholders. Yours very truly, SCOTIA CAPITAL INC.

C-6

 

 

Schedule D

 

INTERIM ORDER AND NOTICE OF APPLICATION

 

See Attached.

 

 

 

 

 

GRAPHIC

Court File No. CV-22-00691791-00CL ONTARIO SUPERIOR COURT OF JUSTICE COMMERCIAL LIST THE HONOURABLE ) TUESDAY, THE 20 TH ) JUSTICE KIMMEL ) DAY OF DECEMBER, 2022 IN THE MATTER OF AN APPLICATION UNDER SECTION 192 OF THE CANADA BUSINESS CORPORATIONS ACT , R.S.C. 1985, c. C-44, AS AMENDED, AND RULES 14.05(2), 14.05(3)(f), AND 14.05(3)(g) OF THE RULES OF CIVIL PROCEDURE AND IN THE MATTER OF A PROPOSED ARRANGEMENT INVOLVING YAMANA GOLD INC., ITS SECURITYHOLDERS, PAN AMERICAN SILVER CORP. AND AGNICO EAGLE MINES LIMITED YAMANA GOLD INC. Applicant INTERIM ORDER THIS MOTION made by the Applicant, Yamana Gold Inc. Yamana , for an interim order for advice and directions pursuant to section 192 of the Canada Business Corporations Act , R.S.C. 1985, c. C-44 CBCA ON READING the Notice of Motion, the Notice of Application issued on December 16, 2022 and the affidavit of Sofia Tsakos sworn December 13, 2022 Tsakos Affidavit including the Plan of Arrangement, which is attached as Schedule B to draft management information circular Circular , which is attached as Exhibit A to the Tsakos Affidavit, and on hearing the submissions of counsel to Yamana, Pan American , Agnico , and on being advised that the Director Director

D-1

GRAPHIC

-2- Definitions 1. THIS COURT ORDERS that all definitions used in this Interim Order shall have the meaning ascribed thereto in the Circular or otherwise as specifically defined herein. The Meeting 2. THIS COURT ORDERS that Yamana is permitted to call, hold and conduct a special meeting Yamana Meeting Yamana Shareholders of common shares Yamana Shares , to be held at Design Exchange Toronto-Dominion Centre, 234 Bay Street, Toronto, Ontario and online at https://web.lumiagm.com/ 497366151 , password: yamana2022 (case sensitive) on January 31, 2023 at 1:00 p.m. (Toronto time), subject to any adjournment or postponement thereof, in order for the Yamana Shareholders to consider and, if determined advisable, pass a special resolution authorizing, adopting and approving, with or without Arrangement Resolution 3. THIS COURT ORDERS that the Yamana Meeting shall be deemed to have taken place at Design Exchange Toronto-Dominion Centre, 234 Bay Street, Toronto, Ontario. 4. THIS COURT ORDERS that the Yamana Meeting shall be called, held and conducted in accordance with the CBCA, the notice of special meeting of Yamana Shareholders, which accompanies the Circular, Notice of Meeting -laws of Yamana, subject to what may be provided herein and subject to further order of this Court. 5. THIS COURT ORDERS that the right for persons authorized by this Order to attend, speak, and/or vote, as applicable, at the Yamana Meeting shall be satisfied by Yamana making available the opportunity for such persons to participate in, ask questions, and/or vote, as applicable, in person (or online) at the Yamana Meeting, the full particulars of which are set out in the Notice of Meeting and the Circular.

D-2

GRAPHIC

-3- 6. THIS COURT ORDERS that all Yamana Shareholders and duly appointed proxyholders entitled to attend, speak, and/or vote, as applicable, online at the Yamana Meeting shall be deemed to be present at such Yamana Meeting, and any votes validly submitted online at the Yamana Meeting shall be deemed to have been made in person at the Yamana Meeting. 7. THIS COURT ORDERS Record Date Yamana Shareholders entitled to notice of, and to vote at, the Yamana Meeting shall be December 14, 2022 and shall not change in respect of any adjournment or postponement of the Yamana Meeting unless required by law. 8. THIS COURT ORDERS that the only persons entitled to attend or speak at the Yamana Meeting shall be: (a) Registered Yamana Shareholders as of the Record Date and duly appointed proxyholders; (b) the officers, directors, auditors, and advisors of Yamana; (c) representatives and advisors of Pan American; (d) representatives and advisors of Agnico; (e) the Director; and (f) other persons who may receive the permission of the Chair of the Yamana Meeting. 9. THIS COURT ORDERS that Yamana may transact such other business at the Yamana Meeting as is contemplated in the Circular, or as may otherwise be properly before the Yamana Meeting.

D-3

GRAPHIC

-4- Quorum 10. THIS COURT ORDERS that the Chair of the Yamana Meeting shall be determined by Yamana in accordance with its by-laws and that the quorum at the Yamana Meeting consists of two persons present in person (or online), each being a Yamana Shareholder entitled to vote at the Yamana Meeting or a duly appointed proxy or proxyholder for an absent Yamana Shareholder so entitled, holding or representing in the aggregate not less than 33 1/3 % of the issued and outstanding Yamana Shares carrying voting rights at the Yamana Meeting. Amendments to the Arrangement and Plan of Arrangement 11. THIS COURT ORDERS that Yamana, Pan American, and Agnico are authorized to make, subject to the terms of the Arrangement Agreement, the Plan of Arrangement, and paragraph 12 hereof, such amendments, modifications or supplements to the Arrangement and the Plan of Arrangement as they may determine without any additional notice to the Yamana Shareholders or others entitled to receive notice under paragraphs 15 and 16 hereof, provided same are to correct clerical errors, are non-material or would not if disclosed reasonably be expected to affect a Yamana Shareholder s decision to vote, or are authorized by subsequent Court order, and the Arrangement and Plan of Arrangement, as so amended, modified or supplemented shall be the Arrangement and Plan of Arrangement to be submitted to the Yamana Shareholders at the Yamana Meeting and shall be the subject of the Arrangement Resolution. Amendments, modifications or supplements may be made following the Yamana Meeting but shall be subject to (i) approval by the Court and (ii) if the Court directs, approval by the Yamana Shareholders and communication to the Yamana Securityholders if and as required by the Court, and in either case in the manner required by the Court. 12. THIS COURT ORDERS that, if any amendments, modifications or supplements to the Arrangement or Plan of Arrangement made after initial notice is provided as contemplated in paragraph 15 herein, would, if disclosed, reasonably be expected to affect a Yamana

D-4

GRAPHIC

-5- Shareholde amendment, modification or supplement shall be distributed, subject to further order of this Court, by press release, newspaper advertisement, prepaid ordinary mail, or by the method most reasonably practicable in the circumstances, as Yamana, Pan American, and Agnico may jointly determine. Amendments to the Circular 13. THIS COURT ORDERS that Yamana is authorized to make such amendments, revisions and/or supplements to the draft Circular as it may determine and the Circular, as so amended, revised and/or supplemented, shall be the Circular to be distributed in accordance with paragraphs 15 and 16. Adjournments and Postponements 14. THIS COURT ORDERS that Yamana, if it deems advisable and subject to the terms of the Arrangement Agreement, is specifically authorized to adjourn or postpone the Yamana Meeting on one or more occasions, without the necessity of first convening the Yamana Meeting or first obtaining any vote of the Yamana Shareholders respecting the adjournment or postponement, and notice of any such adjournment or postponement shall be given by such method as Yamana may determine is appropriate in the circumstances. This provision shall not limit the authority of the Chair of the Yamana Meeting in respect of adjournments and postponements. Notice of Meeting 15. THIS COURT ORDERS that, subject to the extent section 253(4) of the CBCA is applicable, in order to effect notice of the Yamana Meeting, Yamana shall send the Circular (including the Notice of Application and this Interim Order), the Notice of Meeting, the form of proxy or voting instruction form, as applicable, and the letter of transmittal, along with such

D-5

GRAPHIC

-6- amendments or additional documents as Yamana may determine are necessary or desirable and Meeting Materials follows: (a) to the Registered Yamana Shareholders at the close of business on the Record Date, at least twenty-one (21) days prior to the date of the Yamana Meeting, excluding the date of sending and the date of the Yamana Meeting, by one or more of the following methods: (i) by pre-paid ordinary or first class mail at the addresses of the Yamana Shareholders as they appear on the books and records of Yamana, or its registrar and transfer agent, at the close of business on the Record Date and if no address is shown therein, then the last address of the person known to the Corporate Secretary of Yamana; (ii) by delivery, in person or by recognized courier service or inter-office mail, to the address specified in (i) above; or (iii) by facsimile or electronic transmission to any Yamana Shareholder, who is identified to the satisfaction of Yamana, who requests or accepts such transmission in writing and, if required by Yamana, who is prepared to pay the charges for such transmission; (b) to Non-Registered Yamana Shareholders, including holders of Yamana Depositary Interests, by providing sufficient copies of the Meeting Materials to intermediaries and registered nominees in a timely manner, in accordance with National Instrument 54-101 Communication with Beneficial Owners of Securities of a Reporting Issuer ; and

D-6

GRAPHIC

-7- (c) to the directors and auditors of Yamana, and to the Director appointed under the CBCA, by delivery in person, by recognized courier service, by pre-paid ordinary or first class mail, or by facsimile or electronic transmission, at least twenty-one (21) days prior to the date of the Yamana Meeting, including the date of sending but excluding the date of the Yamana Meeting, and that compliance with this paragraph shall constitute sufficient notice of the Yamana Meeting. 16. THIS COURT ORDERS that Yamana is hereby directed to distribute the Circular Court Materials the holders of performance share units Yamana PSUs , restricted share units Yamana RSUs , and deferred share units Yamana DSUs , by any method permitted for notice to Yamana Shareholders as set forth in paragraphs 15(a) or 15(b) hereof or by electronic transmission, concurrently with the distribution described in paragraph 15 of this Interim Order. Distribution to such persons shall be to their addresses as they appear on the books and records of Yamana or its registrar and transfer agent at the close of business on the Record Date. 17. THIS COURT ORDERS that accidental failure or omission by Yamana to give notice of the Yamana Meeting or to distribute the Meeting Materials or Court Materials to any person entitled by this Interim Order to receive notice, or any failure or omission to give such notice as a result of events beyond the reasonable control of Yamana, or the non-receipt of such notice shall, subject to further order of this Court, not constitute a breach of this Interim Order nor shall it invalidate any resolution passed or proceedings taken at the Yamana Meeting. If any such failure or omission is brought to the attention of Yamana, it shall use its best efforts to rectify it by the method and in the time most reasonably practicable in the circumstances. 18. THIS COURT ORDERS that Yamana is hereby authorized to make such amendments, revisions or supplements to the Meeting Materials and Court Materials, as Yamana may

D-7

GRAPHIC

-8- determine in accordance with the terms of the Arrangement Additional Information aragraph 12, above, be distributed by press release, newspaper advertisement, pre-paid ordinary mail, or by the method most reasonably practicable in the circumstances, as Yamana may determine. 19. THIS COURT ORDERS that distribution of the Meeting Materials and Court Materials pursuant to paragraphs 15 and 16 of this Interim Order shall constitute notice of the Yamana Meeting and good and sufficient service of the within Application upon the persons described in paragraphs 15 and 16 and that those persons are bound by any orders made on the within Application. Further, no other form of service of the Meeting Materials or the Court Materials or any portion thereof need be made, or notice given or other material served in respect of these proceedings and/or the Yamana Meeting to such persons or to any other persons, except to the extent required by paragraph 12 above. Solicitation and Revocation of Proxies 20. THIS COURT ORDERS that Yamana is authorized to use the letter of transmittal, voting instruction forms, and forms of proxies, substantially in the form of the drafts accompanying the Circular, with such amendments and additional information as Yamana may determine are necessary or desirable, subject to the terms of the Arrangement Agreement. Yamana is authorized, at its expense, to solicit proxies, directly or through its officers, directors or employees, and through such agents or representatives as it may retain for that purpose, and by mail or such other forms of personal or electronic communication as it may determine. Yamana may waive generally, in its discretion, the time limits set out in the Circular for the deposit or revocation of proxies by Yamana Shareholders, if Yamana deems it advisable to do so. 21. THIS COURT ORDERS that Yamana Shareholders shall be entitled to revoke their proxies in accordance with section 148(4) of the CBCA (except as the procedures of that section

D-8

GRAPHIC

-9- are varied by this paragraph) provided that any instruments in writing delivered pursuant to section 148(4)(a)(i) of the CBCA must either be delivered to the offices of Computershare at 100 University Avenue, 8th Floor, Toronto, Ontario M5J 2Y1, at any time up to and including the close of business on the last business day preceding the day of the Yamana Meeting, or any adjournment or postponement thereof, or delivered to the Chair of the Yamana Meeting on the day of the Yamana Meeting prior to the commencement of the Yamana Meeting or any adjournment or postponement thereof. Yamana Shareholders may also revoke their proxies as described in the Circular, including: (a) Registered Yamana Shareholders, or duly appointed proxyholders, may revoke a proxy by: (i) voting again on the Internet or by phone at any time up to 4:00 p.m. (Toronto time) on January 27, 2023 (or no later than 4:00 p.m. (Toronto time) on the date that is two days (excluding Saturdays, Sundays and holidays) before the date of any adjourned or postponed Yamana Meeting); (ii) completing a form of proxy that is dated later than the form of proxy being revoked, and mailing it or faxing it as instructed on the form of proxy so that it is received before 4:00 p.m. (Toronto time) on January 27, 2023 (or no later than 4:00 p.m. (Toronto time) on the date that is two days (excluding Saturdays, Sundays and holidays) before the date of any adjourned or postponed Yamana Meeting); or (iii) attending the Yamana Meeting in person or online and voting at the Yamana Meeting in person or online;

D-9

GRAPHIC

-10- (b) Non-Registered Yamana Shareholders (other than (i) Non-Registered Yamana Shareholders that have appointed themselves as proxy holders; or (ii) holders of Yamana Depositary Interests) that wish to change their vote must arrange for their respective Intermediaries to revoke the proxy on their behalf in accordance with any requirements of the Intermediaries; and (c) holders of Yamana Depositary Interests that wish to change their vote must either: (i) if they have voted by way of CREST Voting Instruction, revoke or amend their previously submitted CREST Voting Instruction in accordance with the procedures described in the CREST Manual; (ii) if they have voted by way of Form of Instruction, arrange for Computershare UK to revoke or amend such previously submitted Form of Instruction by notifying Computershare UK by email at !UKALLDITeam2@computershare.co.uk prior to 11:00 a.m. (Toronto time) on January 26, 2023, or no later than 11:00 a.m. (Toronto time) on the date that is three days (excluding Saturdays, Sundays and holidays) before the date of any adjourned or postponed Yamana Meeting; or (iii) if a holder of Yamana Depositary Interests, or its appointee, attends the Yamana Meeting in person or online and votes again at the Yamana Meeting, they will be revoking any and all previously submitted Forms of Instruction or CREST Voting Instructions. Yamana Shareholders may also revoke their proxies by any other method permitted by applicable law.

D-10

GRAPHIC

-11- 22. THIS COURT ORDERS that the only persons entitled to vote in person, online, or by proxy on the Arrangement Resolution, or on such other business as may be properly brought before the Yamana Meeting, shall be those Yamana Shareholders who hold Yamana Shares as of the close of business on the Record Date. Illegible votes, spoiled votes, defective votes, and abstentions shall be deemed to be votes not cast. Proxies that are properly signed and dated but which do not contain voting instructions shall be voted in favour of the Arrangement Resolution. 23. THIS COURT ORDERS that votes shall be taken at the Yamana Meeting on the basis of one vote per Yamana Share. In order for the Plan of Arrangement to be implemented, subject to further Order of this Court, the Arrangement Resolution must be passed, with or without variation, at the Yamana Meeting by an affirmative vote of at least two-thirds (66 %) of the votes cast in respect of the Arrangement Resolution at the Yamana Meeting in person, online, or by proxy by the Yamana Shareholders entitled to vote at the Yamana Meeting. Such votes shall be sufficient to authorize Yamana to do all such acts and things as may be necessary or desirable to give effect to the Arrangement and the Plan of Arrangement on a basis consistent with what is provided for in the Circular without the necessity of any further approval by the Yamana Shareholders, subject only to final approval of the Arrangement by this Court. 24. THIS COURT ORDERS that in respect of matters properly brought before the Yamana Meeting pertaining to items of business affecting Yamana (other than in respect of the Arrangement Resolution), each Yamana Shareholder is entitled to one vote for each Yamana Share held. Dissent Rights 25. THIS COURT ORDERS that each Registered Yamana Shareholder entitled to vote at the Yamana Meeting shall be entitled to exercise Dissent Rights in connection with the Arrangement Resolution in accordance with section 190 of the CBCA (except as the procedures of that section

D-11

GRAPHIC

-12- are varied by this Interim Order and the Plan of Arrangement) provided that, notwithstanding subsection 190(5) of the CBCA, any Registered Yamana Shareholder who wishes to dissent must, as a condition precedent thereto, provide written objection to the Arrangement Resolution to Yamana in the form required by section 190 of the CBCA and the Arrangement Agreement, which written objection must be received by Yamana at Suite 2200, 200 Bay Street, Toronto, Ontario, Canada M5J 2J3, Attention: Sofia Tsakos, Senior Vice President, General Counsel and Corporate Secretary, with a copy to Cassels Brock & Blackwell LLP, 2100 Scotia Plaza, 40 King Street West, Toronto, Ontario, Canada M5H 3C2, Attention: Stephanie Voudouris, not later than 4:00 p.m. (Toronto time) on the last business day that is two (2) Business Days immediately preceding the Yamana Meeting (or any adjournment or postponement thereof), and must otherwise strictly comply with the requirements of the CBCA. For purposes of these proceedings, 90 of the CBCA means this Court. 26. THIS COURT ORDERS that, consistent with section 190(3) of the CBCA, Yamana shall be required to offer to pay fair value, as of the close of business on the day prior to approval of the Arrangement Resolution, for Yamana Shares held by Registered Yamana Shareholders who duly exercise Dissent Rights, and to pay the amount to which such Registered Yamana Shareholders may be entitled pursuant to the terms of the Plan of Arrangement. 27. THIS COURT ORDERS that any Registered Yamana Shareholder who duly exercises such Dissent Rights set out in paragraph 25 hereof and who: (a) is ultimately determined by this Court to be entitled to be paid fair value for his, her or its Yamana Shares, shall be deemed to have transferred those Yamana Shares as of the Effective Time, without any further act or formality and free and clear of all liens, claims, encumbrances, charges, adverse interests or security interests to

D-12

GRAPHIC

-13- Yamana for cancellation in consideration for a payment of cash from Yamana equal to such fair value; or (b) is for any reason ultimately determined by this Court not to be entitled to be paid fair value for his, her or its Yamana Shares pursuant to the exercise of the Dissent Rights shall be deemed to have participated in the Arrangement on the same basis and at the same time as any non-dissenting Yamana Shareholder; but in no case shall Yamana, Pan American, Agnico or any other person be required to recognize such Yamana Shareholders as holders of Yamana Shares at or after the date upon which the Arrangement becomes effective and the names of such Yamana Shareholders shall be deleted from Yamana Yamana Shareholders at that time. Hearing of Application for Approval of the Arrangement 28. THIS COURT ORDERS that upon approval by the Yamana Shareholders of the Plan of Arrangement in the manner set forth in this Interim Order, Yamana may seek final approval of the Arrangement, at a hearing at which the substantive and procedural fairness of the Arrangement is considered and at which the Yamana Shareholders have the right to appear, subject to paragraph 31, which approval, if granted, will be relied upon by Pan American and Agnico as the basis for the exemption from the registration requirements of the United States Securities Act of 1933 , as amended, pursuant to section 3(a)(10) thereof with respect to the issuance of the Consideration Shares to be received by Yamana Shareholders and holders of Yamana Depositary Interests in exchange for Yamana Shares or Yamana Depositary Interests, respectively, under the Arrangement. 29. THIS COURT ORDERS that distribution of the Notice of Application and the Interim Order in the Circular, when sent in accordance with paragraphs 15 and 16 shall constitute good and sufficient service of the Notice of Application and this Interim Order and no other form of service

D-13

GRAPHIC

-14- need be effected and no other material need be served unless a Notice of Appearance is served in accordance with paragraph 30. 30. THIS COURT ORDERS that any Notice of Appearance served in response to the Notice of Application shall be served on counsel for Yamana, with a copy to counsel for Pan American and counsel for Agnico, as soon as reasonably practicable, and, in any event, by no later than 4:00 p.m. (Toronto time) on February 2, 2023, or the second last Business Day before the hearing of the application or such other date as the Court may order, at the following addresses: Cassels Brock & Blackwell LLP Scotia Plaza, Suite 2100 40 King Street West Toronto, Ontario M5H 3C2 Stephanie Voudouris Tel: 416.860.6617 svoudouris@cassels.com Jessica Lewis Tel: 778.372.6791 jlewis@cassels.com DAVIES WARD PHILLIPS & VINEBERG LLP 155 Wellington Street West Toronto, ON M5V 3J7 Matthew Milne-Smith Tel: 416.863.5595 mmilne-smith@dwpv.com BORDEN LADNER GERVAIS LLP 22 Adelaide Street West, Suite 3400 Toronto, ON M5H 4E3 Graham Splawski Tel: 416.367.6206 gsplawski@blg.com 31. THIS COURT ORDERS that, subject to further order of this Court, the only persons entitled to appear and be heard at the hearing of the within application shall be: (a) Yamana; (b) Pan American; (c) Agnico (d) the Director; and (e) any person who has filed a Notice of Appearance herein in accordance with the Notice of Application, this Interim Order, and the Rules of Civil Procedure .

D-14

GRAPHIC

-15- 32. THIS COURT ORDERS that any materials to be filed by Yamana in support of the within Application for final approval of the Arrangement may be filed up to one day prior to the hearing of the Application without further order of this Court. 33. THIS COURT ORDERS that in the event the within Application for final approval does not proceed on the date set forth in the Notice of Application, and is adjourned, only those persons who served and filed a Notice of Appearance in accordance with paragraph 30 shall be entitled to be given notice of the adjourned date. Service and Notice 34. THIS COURT ORDERS that the Applicants and their counsel are at liberty to serve or distribute this Order, any other materials and orders as may be reasonably required in these proceedings, including any notices, or other correspondence, by forwarding true copies thereof by electronic message to Yamana Shareholders, holders of Yamana PSUs, holders of Yamana RSUs, holders of Yamana DSUs, creditors or other interested parties and their advisors. For greater certainty, any such distribution or service shall be deemed to be in satisfaction of a legal or juridical obligation, and notice requirements within the meaning of clause 3(c) of the Electronic Commerce Protection Regulations, Reg. 81000-2-175 (SOR/DORS). Precedence 35. THIS COURT ORDERS that, to the extent of any inconsistency or discrepancy between this Interim Order and the terms of any instrument creating, governing or collateral to the Yamana Shares, Yamana PSUs, Yamana RSUs, Yamana DSUs, or the articles or by-laws of Yamana, this Interim Order shall govern. Extra-Territorial Assistance 36. THIS COURT seeks and requests the aid and recognition of any court or any judicial, regulatory or administrative body in any province of Canada and any judicial, regulatory or

D-15

GRAPHIC

-16- administrative tribunal or other court constituted pursuant to the Parliament of Canada or the legislature of any province and any court or any judicial, regulatory or administrative body of the United States or other country to act in aid of and to assist this Court in carrying out the terms of this Interim Order. Variance 37. THIS COURT ORDERS that Yamana shall be entitled to seek leave to vary this Interim Order upon such terms and upon the giving of such notice as this Court may direct. Enforceability 38. THIS COURT ORDERS that this Interim Order is effective and enforceable once signed without any further need for entry and filing.

D-16

GRAPHIC

Court File No. CV-22-00691791-00CL IN THE MATTER OF A PROPOSED ARRANGEMENT INVOLVING YAMANA GOLD INC., ITS SECURITYHOLDERS, PAN AMERICAN SILVER CORP. AND AGNICO EAGLE MINES LIMITED Applicant ONTARIO SUPERIOR COURT OF JUSTICE COMMERCIAL LIST PROCEEDING COMMENCED AT TORONTO INTERIM ORDER 2100 Scotia Plaza 40 King Street West Toronto, ON M5H 3C2 Stephanie Voudouris LSO#: 65752M Tel: 416.860.6617 svoudouris@cassels.com Jessica Lewis LSBC#: 512122 Tel: 778.372.6791 jlewis@cassels.com Lawyers for the Applicant Yamana Gold Inc.

D-17

GRAPHIC

Electronically issued / Delivre par voie electronique : 09-Dec-2022 Toronto Superior Court of Justice/ Cour superieure de justice Court File No./N° du dossier du greffe: CV-22-00691791-00CL Court File No. CV-22-ONTARIO SUPERIOR COURT OF JUSTICE COMMERCIAL LIST IN THE MATTER OF AN APPLICATION UNDER SECTION 192 OF THE CANADA BUSINESS CORPORATIONS ACT, R.S.C.1985, c. C-44, AS AMENDED, AND RULES 14.05(2), 14.05(3)(f), AND 14.05(3)(9) OF THE RULES OF CIVIL PROCEDURE AND IN THE MATTER OF A PROPOSED ARRANGEMENT INVOLVING YAMANA GOLD INC., ITS SECURITYHOLDERS, PAN AMERICAN SILVER CORP. AND AGNICO EAGLE MINES LIMITED YAMANA GOLD INC. NOTICE OF APPLICATION TO THE RESPONDENTS: Applicant A LEGAL PROCEEDING HAS BEEN COMMENCED by the Applicant. The claim made by the Applicant appears on the following page. THIS APPLICATION will come on for a hearing D In writing D In person D By telephone conference [8J By video conference at 330 University Avenue, Toronto, before a judge presiding over the Commercial List, on February 6, 2023 at 10:00 a.m., or as soon after that time as the matter can be heard. IF YOU WISH TO OPPOSE THIS APPLICATION, to receive notice of any step in the application or to be served with any documents in the application, you or an Ontario lawyer acting for you must forthwith prepare a notice of appearance in Form 38A prescribed by the Rules of Civil Procedure, serve it on the Applicant's lawyer or, where the Applicant does not have a lawyer, serve it on the Applicant, and file it, with proof of service, in this court office, and you or your lawyer must appear at the hearing.

D-18

GRAPHIC

-2- IF YOU WISH TO PRESENT AFFIDAVIT OR OTHER DOCUMENTARY EVIDENCE TO THE COURT OR TO EXAMINE OR CROSS-EXAMINE WITNESSES ON THE APPLICATION , you or your lawyer must, in addition to serving your notice of appearance, serve a copy of the evidence and file it, with proof of service, in the court office where the application is to be heard as soon as possible, but at least four days before the hearing. IF YOU FAIL TO APPEAR AT THE HEARING, JUDGMENT MAY BE GIVEN IN YOUR ABSENCE AND WITHOUT FURTHER NOTICE TO YOU. IF YOU WISH TO OPPOSE THIS APPLICATION BUT ARE UNABLE TO PAY LEGAL FEES, LEGAL AID MAY BE AVAILABLE TO YOU BY CONTACTING A LOCAL LEGAL AID OFFICE . Date Issued by Local Registrar Address of court office: Superior Court of Justice 330 University Avenue, 9th Floor Toronto ON M5G 1R7 Electronically issued / Dlivr par voie lectronique : 09-Dec-2022 Toronto Superior Court of Justice / Cour suprieure de justice Court File No./N du dossier du greffe : CV-22-00691791-00CL

D-19

GRAPHIC

-3- TO: ALL HOLDERS OF COMMON SHARES, PERFORMANCE SHARE UNITS, DEFERRED SHARE UNITS, AND RESTRICTED SHARE UNITS OF YAMANA GOLD INC. AND TO: THE DIRECTORS OF YAMANA GOLD INC. AND TO: THE AUDITORS OF YAMANA GOLD INC. AND TO: THE DIRECTOR UNDER THE CANADA BUSINESS CORPORATIONS ACT AND TO: DAVIES WARD PHILLIPS & VINEBERG LLP 155 Wellington Street West Toronto, ON M5V 3J7 Matthew Milne Smith LSO#: 44266P Tel: 416.863.5595 mmilne-smith@dwpv.com Lawyers for Agnico Eagle Mines Limited AND TO: BORDEN LADNER GERVAIS LLP 22 Adelaide Street West, Suite 3400 Toronto, ON M5H 4E3 Graham Splawski LSO#: 68589T Tel: 416.367.6206 gsplawski@blg.com Lawyers for Pan American Silver Corp. Electronically issued / Dlivr par voie lectronique : 09-Dec-2022 Toronto Superior Court of Justice / Cour suprieure de justice Court File No./N du dossier du greffe : CV-22-00691791-00CL

D-20

GRAPHIC

-4- APPLICATION 1. Capitalized terms used in this Notice of Application but not defined have the meaning given to them in the Circular (defined below), which will be appended as an Exhibit to the affidavit sworn in support of this application. 2. The applicant, Yamana Gold Inc. Yamana makes application for: (a) an Interim Order for advice and directions pursuant to subsection 192(4) of the Canada Business Corporations Act , R.S.C. 1985, c. C-44, as amended, CBCA with respect to notice and conduct of a special Yamana Meeting the holders of Yamana Shares Yamana Yamana Shareholders and such other matters pertaining to a proposed arrangement (the Arrangement ) under a plan of arrangement (the Plan of Arrangement ) involving Yamana, its securityholders, Pan American Silver Corp. Pan American ), and Agnico ; (b) a Final Order pursuant to subsections 192(3) and 192(4) of the CBCA approving the Arrangement if it is adopted and approved by the Yamana Shareholders at the Yamana Meeting, substantially in the form described in the management information Circular ) to be distributed to Yamana Shareholders in connection with the Yamana Meeting; (c) an order abridging the time for the service and filing of, or dispensing with service of, this Notice of Application and related materials, if necessary; and (d) such further and other relief as to this Court may seem just. Electronically issued / Dlivr par voie lectronique : 09-Dec-2022 Toronto Superior Court of Justice / Cour suprieure de justice Court File No./N du dossier du greffe : CV-22-00691791-00CL

D-21

GRAPHIC

-5- 3. The grounds for the application are: (a) Yamana is a corporation organized under the CBCA. Its head office and registered office are located in Toronto, Ontario. It is a Canadian-based precious metals producer with significant gold and silver production, development stage properties, exploration properties, and land positions throughout the Americas, including in Canada, Brazil, Chile, and Argentina; (b) Yamana is a reporting issuer in each of the provinces and territories of Canada. The Yamana Shares trade on the Toronto S TSX under the trading , and trade on the New York Stock Exchange LLC NYSE and the London Stock Exchange plc ; (c) Yamana also has performance share units Yamana PSUs , restricted share units Yamana RSUs , and deferred share units Yamana DSUs outstanding; (d) Pan American is a corporation organized under the BCBCA. Its head office is located in Vancouver, British Columbia. Pan American owns and operates silver and gold mines located in Mexico, Peru, Canada, Argentina, and Bolivia. It also owns the Escobal mine in Guatemala that is currently not operating. Pan American provides enhanced exposure to silver through a large base of silver reserves and resources, as well as major catalysts to grow silver production. Pan American has a 28-year history of operating in Latin America, earning an industry-leading reputation for sustainability performance, operational excellence and prudent financial management; Electronically issued / Dlivr par voie lectronique : 09-Dec-2022 Toronto Superior Court of Justice / Cour suprieure de justice Court File No./N du dossier du greffe : CV-22-00691791-00CL

D-22

GRAPHIC

-6- (e) Pan American is a reporting issuer in each of the provinces and territories of Canada. The common shares of Pan American (each, a Pan American Share trade on the Nasdaq ; (f) Agnico is a corporation organized under the OBCA. Agnico is a senior Canadian gold mining company, producing precious metals from operations in Canada, Australia, Finland and Mexico. It has a pipeline of high-quality exploration and development projects in these countries as well as in the United States and Colombia. Agnico is a partner of choice within the mining industry, recognized globally for its leading environmental, social and governance practices. Agnico was founded in 1957 and has consistently created value for its shareholders, declaring a cash dividend every year since 1983; (g) Agnico is a reporting issuer in each of the provinces and territories of Canada. The common shares of Agnico (each, Agnico Share trade on the NYSE and on the ; (h) on November 8, 2022, Yamana entered into the arrangement agreement dated Arrangement Agreement pursuant to which, subject to the completion of certain conditions precedent, including obtaining the approval of the Yamana Shareholders, all of the issued and outstanding Yamana Shares will be acquired by Pan American immediately following the sale by Yamana of certain subsidiaries and partne Canadian assets, including the Canadian Malartic mine, to Agnico, all in exchange for US$1.0406 in cash from Agnico, 0.1598 of a Pan American Share and 0.0376 of an Agnico Share for each Yamana Share held (including the Yamana Shares underlying Electronically issued / Dlivr par voie lectronique : 09-Dec-2022 Toronto Superior Court of Justice / Cour suprieure de justice Court File No./N du dossier du greffe : CV-22-00691791-00CL

D-23

GRAPHIC

-7- the Yamana Depositary Interests, as applicable), by way of a court-approved Plan of Arrangement under section 192 of the CBCA; (i) under the terms of the Arrangement, at the Effective Time: (i) Pan American will lend to Yamana on a non-interest bearing demand basis, an amount equal to the Dissent and RSU Loan Amount, and each Dissent Share held by a Dissenting Shareholder will be transferred and assigned by the holder thereof (free and clear of all Liens) to Yamana for a debt claim against Yamana for the amount therefor determined under the Plan of Arrangement, and: (a) the name of such Dissenting Shareholder will be removed from the register of Yamana Shareholders maintained on behalf of Yamana and such Dissent Share will be cancelled and cease to be outstanding, and (b) such Dissenting Shareholder will cease to be the holder of such Dissent Share or to have any rights as a Yamana Shareholder other than the right to be paid the fair value for such Dissent Share as set out in the Plan of Arrangement; (ii) the transactions contemplated by the Conveyance Agreement will become effective and pursuant thereto, Yamana will assign and transfer to Agnico a 100% legal and beneficial interest in, and good and marketable title to, all Canadian Assets, free and clear of all Liens other than Permitted Liens, and as consideration for the Canadian Assets, Agnico will assume the Canadian Liabilities, issue the Agnico Payment Shares, and pay cash equal to the aggregate of the Cash Consideration multiplied by the number of Yamana Shares (other than Dissent Shares), the Fractional Share Amount and the Dissent Amount to Yamana, and: (a) Yamana will be the holder of the Agnico Electronically issued / Dlivr par voie lectronique : 09-Dec-2022 Toronto Superior Court of Justice / Cour suprieure de justice Court File No./N du dossier du greffe : CV-22-00691791-00CL

D-24

GRAPHIC

-8- Shares so issued (free and clear of all Liens) and the register of shareholders of Agnico maintained by or on behalf of Agnico will be revised accordingly, and (b) Agnico will add an amount to the stated capital in respect of the Agnico Shares equal to the aggregate Agnico Share Value multiplied by the number of Agnico Payment Shares; (iii) section 86 of the Tax Act, the authorized share capital of Yamana will be amended by the creation of an unlimited number of Class A Shares, and immediately thereafter each Yamana Share held by a Yamana Shareholder (other than a Dissenting Shareholder) will be exchanged for: (a) one Class A Share; (b) the Agnico Share Consideration delivered by Yamana; and (c) an amount of cash delivered by Yamana equal to the Cash Consideration. In connection with the foregoing reorganization of the share capital and the share exchanges: (i) each Yamana Shareholder will cease to be the holder of each such Yamana Share and the name of such Yamana Shareholder will be removed from the register of Yamana Shareholders maintained on behalf of Yamana, (ii) the Yamana Shares exchanged will be cancelled and the stated capital in respect of the Yamana Shares will be nil, (iii) Yamana will cease to be the holder of the Agnico Shares and the name of Yamana will be removed from the register of shareholders of Agnico maintained on behalf of Agnico, (iv) Yamana will be deemed to have executed and delivered all consents, releases, assignments and waivers, statutory or otherwise, required to transfer and assign each such Agnico Share, (v) each Yamana Shareholder will be deemed to be the holder of the Class A Shares for which the Yamana Sharehol Electronically issued / Dlivr par voie lectronique : 09-Dec-2022 Toronto Superior Court of Justice / Cour suprieure de justice Court File No./N du dossier du greffe : CV-22-00691791-00CL

D-25

GRAPHIC

-9- of Arrangement (in each case, free and clear of any Liens) and such Yamana Shareholder will be entered in the register of Yamana Shareholders maintained on behalf of Yamana, as the holder of such Class A Shares, (vi) each Yamana Shareholder will be deemed to be the holder of the Agnico in accordance with the Plan of Arrangement (in each case, free and clear of any Liens) and such Yamana Shareholder will be entered in the register of shareholders of Agnico maintained on behalf of Agnico, as the holder of such Agnico Shares, and (vii) there will be added to the stated capital in respect of the Class A Shares an amount equal to the Pan American Share Value multiplied by the number of Pan American Shares that the Yamana Shareholders are entitled to receive pursuant to the Plan of Arrangement; (iv) each Class A Share will be transferred to Pan American (free and clear of any Liens) in exchange for the Pan American Share Consideration delivered by Pan American, and: (a) the holders of the Class A Shares will cease to be the holder of each such Class A Share and the name of such holder will be removed from the register of Yamana Shareholders maintained on behalf of Yamana; (b) the holders of the Class A Shares will be deemed to have executed and delivered all consents, releases, assignments and waivers, statutory or otherwise, required to transfer and assign each such Class A Share, (c) Pan American will be the holder of the Class A Shares (free and clear of all Liens) and the register of Yamana Shareholders maintained on behalf of Yamana will be revised accordingly; (d) the holders of the Class A Shares will be the holders of the Pan American Shares so issued (free and clear of all Liens) and the register of shareholders of Pan American maintained Electronically issued / Dlivr par voie lectronique : 09-Dec-2022 Toronto Superior Court of Justice / Cour suprieure de justice Court File No./N du dossier du greffe : CV-22-00691791-00CL

D-26

GRAPHIC

-10- on behalf of Pan American will be revised accordingly; and (e) Pan American will add an amount to its share capital in respect of the Pan American Shares equal to the aggregate Pan American Share Value multiplied by the number of Pan American Shares so issued; (v) each outstanding Yamana RSU (whether vested or unvested) will vest in accordance with the terms of the Yamana RSU Plan and will be transferred by the holder thereof to Yamana in exchange for a cash payment from Yamana equal to the VWAP of one Yamana Share on the TSX during the five trading days prior to the Effective Date, less applicable withholdings, using the remaining funds from the Dissent and RSU Loan not paid to Dissenting Shareholders in accordance with the Plan of Arrangement, and each such Yamana RSU will be immediately cancelled and (a) the holders of such Yamana RSUs will cease to be holders thereof and to have any rights as holders of such Yamana RSUs, other than the right to receive the consideration to which they are entitled in accordance the register of Yamana RSUs maintained on behalf of Yamana, and (c) all agreements relating to the Yamana RSUs will be terminated and will be of no further force and effect; (vi) each outstanding Yamana PSU will be transferred by the holder thereof to Yamana in exchange for a cash payment from Yamana equal to the VWAP of one Yamana Share on the TSX during the five trading days prior to the Effective Date multiplied by the applicable Multiplier (as defined in the Yamana PSU Plan), to be determined on the Effective Date, less applicable Electronically issued / Dlivr par voie lectronique : 09-Dec-2022 Toronto Superior Court of Justice / Cour suprieure de justice Court File No./N du dossier du greffe : CV-22-00691791-00CL

D-27

GRAPHIC

-11- withholdings, and each such Yamana PSU will be immediately cancelled and (a) the holders of such Yamana PSU will cease to be holders thereof and to have any rights as holders of such Yamana PSUs, other than the right to receive the consideration to which they are entitled in accordance with the register of Yamana PSUs maintained on behalf of Yamana, and (c) all agreements relating to the Yamana PSUs will be terminated and will be of no further force and effect; (vii) each outstanding Yamana DSU will be transferred by the holder thereof to Yamana in exchange for a cash payment from Yamana equal to the VWAP of one Yamana Share on the TSX during the five trading days prior to the Effective Date, less applicable withholdings, and each such Yamana DSU will be immediately cancelled and (a) the holders of such Yamana DSUs will cease to be holders thereof and to have any rights as holders of such Yamana DSUs, other than the right to receive the consideration to which they are will be removed from the register of Yamana DSUs maintained on behalf of Yamana, and (c) all agreements relating to the Yamana DSUs will be terminated and will be of no further force and effect; (viii) the authorized share capital of Yamana will be amended by: (a) eliminating the Yamana Shares; and (b) changing the identifying name of the issued and and amending the special right and restrictions attached to those shares to Electronically issued / Dlivr par voie lectronique : 09-Dec-2022 Toronto Superior Court of Justice / Cour suprieure de justice Court File No./N du dossier du greffe : CV-22-00691791-00CL

D-28

GRAPHIC

-12- provide the holders thereof with one vote in respect of each share held, and the articles of Yamana will be deemed to be amended accordingly; and (ix) Pan American will make a capital contribution to Yamana by capitalizing the Dissent and RSU Loan, and the Dissent and RSU Loan will be cancelled and extinguished; (j) if the Arrangement is completed, Yamana will become a wholly-owned subsidiary of Pan American; (k) pursuant to the Arrangement Agreement (and subject to the approval of this Court and other conditions set out in the Arrangement Agreement), to be effective, the resolution approving the Arrangement must be approved by the affirmative vote of at least 66 % of the votes cast by Yamana Shareholders present in person (or online) or represented by proxy and entitled to vote at the Yamana Meeting; (l) 92(1) of the CBCA and is being proposed for a valid business purpose; (m) all statutory requirements under the CBCA, including the solvency requirements, have been or will be fulfilled by the return date of this application; (n) it is not practicable for Yamana to effect a fundamental change in the nature of the Plan of Arrangement other than pursuant to the provisions of section 192 of the CBCA; (o) the proposed Arrangement is substantively and procedurally fair and reasonable, is in the best interests of Yamana Shareholders and other affected parties, and is put forward in good faith; Electronically issued / Dlivr par voie lectronique : 09-Dec-2022 Toronto Superior Court of Justice / Cour suprieure de justice Court File No./N du dossier du greffe : CV-22-00691791-00CL

D-29

GRAPHIC

-13- (p) the directions set out and the approvals required pursuant to the Interim Order, if granted, will be followed and obtained by the return date of this application; (q) service in these proceedings on persons outside of Ontario will be effected pursuant to Rule 17.02(n) of the Rules of Civil Procedure and the Interim Order; (r) this application has a material connection to the Toronto Region in that, among other things, (i) Yamana is an CBCA corporation, its head office and registered office are located in Toronto and the Yamana Shares are listed for trading on the TSX, and (ii) and the auditors for Yamana are located in Toronto; (s) the Final Order, if granted, approving among other things the procedural and substantive fairness of the terms and conditions of the Arrangement, will constitute the basis for the exemption from the registration requirements of the United States Securities Act of 1933 , as amended, pursuant to Section 3(a)(10) thereof with respect to the issuance of the Consideration Shares to be received by Yamana Shareholders, including holders of Yamana Depositary Interests, in exchange for their Yamana Shares (including the Yamana Shares underlying their Yamana Depositary Interests, as applicable) pursuant to the Arrangement upon completion of the Arrangement; (t) section 192 of the CBCA and rules 1.04, 1.05, 3.02, 14.05, 17.02, and 38 of the Rules of Civil Procedure ; (u) National Instrument 54-101 Communication with Beneficial Owners of the Securities of a Reporting Issuer of the Canadian Securities Administrators ; and (v) such further and other grounds as counsel to Yamana may advise and this Court may permit. Electronically issued / Dlivr par voie lectronique : 09-Dec-2022 Toronto Superior Court of Justice / Cour suprieure de justice Court File No./N du dossier du greffe : CV-22-00691791-00CL

D-30

GRAPHIC

-14- 4. The following documentary evidence will be used at the hearing of the application: (a) an affidavit in support of the Interim Order and the Final Order, to be sworn and filed in this proceeding, and the exhibits (including the Circular and the Plan of Arrangement) attached thereto and other materials referenced therein; (b) supplementary affidavits to be filed in respect of the Yamana Meeting and in compliance with the Interim Order, to be sworn; and (c) such further and other evidence as counsel to Yamana may advise and this Court may permit. December 9, 2022 CASSELS BROCK & BLACKWELL LLP 2100 Scotia Plaza 40 King Street West Toronto, ON M5H 3C2 Stephanie Voudouris LSO#: 65752M Tel: 416.860.6617 svoudouris@cassels.com Jessica Lewis LSBC#: 512122 Tel: 778.372.6791 jlewis@cassels.com Lawyers for the Applicant Yamana Gold Inc. Electronically issued / Dlivr par voie lectronique : 09-Dec-2022 Toronto Superior Court of Justice / Cour suprieure de justice Court File No./N du dossier du greffe : CV-22-00691791-00CL

D-31

GRAPHIC

Court File No. CV-22- IN THE MATTER OF A PROPOSED ARRANGEMENT INVOLVING YAMANA GOLD INC., ITS SECURITYHOLDERS, PAN AMERICAN SILVER CORP. AND AGNICO EAGLE MINES LIMITED Applicant ONTARIO SUPERIOR COURT OF JUSTICE COMMERCIAL LIST PROCEEDING COMMENCED AT TORONTO NOTICE OF APPLICATION 2100 Scotia Plaza 40 King Street West Toronto, ON M5H 3C2 Stephanie Voudouris LSO#: 65752M Tel: 416.860.6617 svoudouris@cassels.com Jessica Lewis LSBC#: 512122 Tel: 778.372.6791 jlewis@cassels.com Lawyers for the Applicant Yamana Gold Inc. Electronically issued / Dlivr par voie lectronique : 09-Dec-2022 Toronto Superior Court of Justice / Cour suprieure de justice Court File No./N du dossier du greffe : CV-22-00691791-00CL

D-32

 

 

Schedule E

 

SECTION 190 OF THE CANADA BUSINESS CORPORATION ACT

 

Pursuant to the Interim Order, Registered Yamana Shareholders have the right to dissent in respect of the Arrangement in accordance with section 190 of the CBCA, as modified by the Plan of Arrangement and the Interim Order. Such right to dissent is described in the Circular. The full text of section 190 of the CBCA is set forth below.

 

Right to dissent

 

190. (1) Subject to sections 191 and 241, a holder of shares of any class of a corporation may dissent if the corporation is subject to an order under paragraph 192(4)(d) that affects the holder or if the corporation resolves to

 

(a)amend its articles under section 173 or 174 to add, change or remove any provisions restricting or constraining the issue, transfer or ownership of shares of that class;

 

(b)amend its articles under section 173 to add, change or remove any restriction on the business or businesses that the corporation may carry on;

 

(c)amalgamate otherwise than under section 184;

 

(d)be continued under section 188;

 

(e)sell, lease or exchange all or substantially all its property under subsection 189(3); or

 

(f)carry out a going-private transaction or a squeeze-out transaction.

 

Further right

 

(2) A holder of shares of any class or series of shares entitled to vote under section 176 may dissent if the corporation resolves to amend its articles in a manner described in that section.

 

If one class of shares

 

(2.1) The right to dissent described in subsection (2) applies even if there is only one class of shares.

 

Payment for shares

 

(3) In addition to any other right the shareholder may have, but subject to subsection (26), a shareholder who complies with this section is entitled, when the action approved by the resolution from which the shareholder dissents or an order made under subsection 192(4) becomes effective, to be paid by the corporation the fair value of the shares in respect of which the shareholder dissents, determined as of the close of business on the day before the resolution was adopted or the order was made.

 

No partial dissent

 

(4) A dissenting shareholder may only claim under this section with respect to all the shares of a class held on behalf of any one beneficial owner and registered in the name of the dissenting shareholder.

 

Objection

 

(5) A dissenting shareholder shall send to the corporation, at or before any meeting of shareholders at which a resolution referred to in subsection (1) or (2) is to be voted on, a written objection to the resolution, unless the corporation did not give notice to the shareholder of the purpose of the meeting and of their right to dissent.

 

E-1

 

 

Notice of resolution

 

(6) The corporation shall, within ten days after the shareholders adopt the resolution, send to each shareholder who has filed the objection referred to in subsection (5) notice that the resolution has been adopted, but such notice is not required to be sent to any shareholder who voted for the resolution or who has withdrawn their objection.

 

Demand for payment

 

(7) A dissenting shareholder shall, within twenty days after receiving a notice under subsection (6) or, if the shareholder does not receive such notice, within twenty days after learning that the resolution has been adopted, send to the corporation a written notice containing

 

(a)the shareholder’s name and address;

 

(b)the number and class of shares in respect of which the shareholder dissents; and

 

(c)a demand for payment of the fair value of such shares.

 

Share certificate

 

(8) A dissenting shareholder shall, within thirty days after sending a notice under subsection (7), send the certificates representing the shares in respect of which the shareholder dissents to the corporation or its transfer agent.

 

Forfeiture

 

(9) A dissenting shareholder who fails to comply with subsection (8) has no right to make a claim under this section.

 

Endorsing certificate

 

(10) A corporation or its transfer agent shall endorse on any share certificate received under subsection (8) a notice that the holder is a dissenting shareholder under this section and shall forthwith return the share certificates to the dissenting shareholder.

 

Suspension of rights

 

(11) On sending a notice under subsection (7), a dissenting shareholder ceases to have any rights as a shareholder other than to be paid the fair value of their shares as determined under this section except where

 

(a)the shareholder withdraws that notice before the corporation makes an offer under subsection (12),

 

(b)the corporation fails to make an offer in accordance with subsection (12) and the shareholder withdraws the notice, or

 

(c)the directors revoke a resolution to amend the articles under subsection 173(2) or 174(5), terminate an amalgamation agreement under subsection 183(6) or an application for continuance under subsection 188(6), or abandon a sale, lease or exchange under subsection 189(9),

 

in which case the shareholder’s rights are reinstated as of the date the notice was sent.

 

E-2

 

 

Offer to pay

 

(12) A corporation shall, not later than seven days after the later of the day on which the action approved by the resolution is effective or the day the corporation received the notice referred to in subsection (7), send to each dissenting shareholder who has sent such notice

 

(a)a written offer to pay for their shares in an amount considered by the directors of the corporation to be the fair value, accompanied by a statement showing how the fair value was determined; or

 

(b)if subsection (26) applies, a notification that it is unable lawfully to pay dissenting shareholders for their shares.

 

Same terms

 

(13) Every offer made under subsection (12) for shares of the same class or series shall be on the same terms.

 

Payment

 

(14) Subject to subsection (26), a corporation shall pay for the shares of a dissenting shareholder within ten days after an offer made under subsection (12) has been accepted, but any such offer lapses if the corporation does not receive an acceptance thereof within thirty days after the offer has been made.

 

Corporation may apply to court

 

(15) Where a corporation fails to make an offer under subsection (12), or if a dissenting shareholder fails to accept an offer, the corporation may, within fifty days after the action approved by the resolution is effective or within such further period as a court may allow, apply to a court to fix a fair value for the shares of any dissenting shareholder.

 

Shareholder application to court

 

(16) If a corporation fails to apply to a court under subsection (15), a dissenting shareholder may apply to a court for the same purpose within a further period of twenty days or within such further period as a court may allow.

 

Venue

 

(17) An application under subsection (15) or (16) shall be made to a court having jurisdiction in the place where the corporation has its registered office or in the province where the dissenting shareholder resides if the corporation carries on business in that province.

 

No security for costs

 

(18) A dissenting shareholder is not required to give security for costs in an application made under subsection (15) or (16).

 

Parties

 

(19) On an application to a court under subsection (15) or (16),

 

(a)all dissenting shareholders whose shares have not been purchased by the corporation shall be joined as parties and are bound by the decision of the court; and

 

(b)the corporation shall notify each affected dissenting shareholder of the date, place and consequences of the application and of their right to appear and be heard in person or by counsel.

 

Powers of court

 

(20) On an application to a court under subsection (15) or (16), the court may determine whether any other person is a dissenting shareholder who should be joined as a party, and the court shall then fix a fair value for the shares of all dissenting shareholders.

 

E-3

 

 

Appraisers

 

(21) A court may in its discretion appoint one or more appraisers to assist the court to fix a fair value for the shares of the dissenting shareholders.

 

Final order

 

(22) The final order of a court shall be rendered against the corporation in favour of each dissenting shareholder and for the amount of the shares as fixed by the court.

 

Interest

 

(23) A court may in its discretion allow a reasonable rate of interest on the amount payable to each dissenting shareholder from the date the action approved by the resolution is effective until the date of payment.

 

Notice that subsection (26) applies

 

(24) If subsection (26) applies, the corporation shall, within ten days after the pronouncement of an order under subsection (22), notify each dissenting shareholder that it is unable lawfully to pay dissenting shareholders for their shares.

 

Effect where subsection (26) applies

 

(25) If subsection (26) applies, a dissenting shareholder, by written notice delivered to the corporation within thirty days after receiving a notice under subsection (24), may

 

(a)withdraw their notice of dissent, in which case the corporation is deemed to consent to the withdrawal and the shareholder is reinstated to their full rights as a shareholder; or

 

(b)retain a status as a claimant against the corporation, to be paid as soon as the corporation is lawfully able to do so or, in a liquidation, to be ranked subordinate to the rights of creditors of the corporation but in priority to its shareholders.

 

Limitation

 

(26) A corporation shall not make a payment to a dissenting shareholder under this section if there are reasonable grounds for believing that

 

(a)the corporation is or would after the payment be unable to pay its liabilities as they become due; or

 

(b)the realizable value of the corporation’s assets would thereby be less than the aggregate of its liabilities.

 

E-4

 

 

Schedule F

 

COMPARISON OF SHAREHOLDER RIGHTS UNDER THE CBCA, THE BCBCA AND THE OBCA

 

The following summary of the most significant differences in shareholder rights is not intended to be complete and is qualified in its entirety by reference to the CBCA, the BCBCA, the OBCA, the regulations made or laws developed thereunder and the governing constating documents of the applicable Party. Shareholders should consult their legal or other professional advisors with regard to the implications of the Arrangement which may be of importance to them. Capitalized terms used but not otherwise defined herein shall have the meaning ascribed to them in the Circular.

 

Charter Documents

 

Under the CBCA and the OBCA, a corporation’s charter documents consist of “articles of incorporation”, which set forth, among other things, the name of the corporation and the amount and type of authorized capital, and the “by-laws”, which govern the management of the corporation.

 

Under the BCBCA, the charter documents consist of a “notice of articles”, which sets forth, among other things, the name of the corporation and the amount and type of authorized capital, and “articles”, which govern the management of the corporation.

 

Amendments to Charter Documents

 

Under the CBCA, changes to the by-laws of the corporation generally require shareholder approval by ordinary resolution. Fundamental changes to the articles of a corporation, such as an alteration of special rights and restrictions attached to the issued shares or a proposed amalgamation or continuation of a corporation out of the jurisdiction, generally require special resolutions passed by not less than 662/3% of the votes cast by the shareholders voting on the resolutions authorizing the alteration at a special meeting of shareholders and, in certain instances, where the rights of the holders of a class or series of shares are affected differently by the alteration than those of the holders of other classes or series of shares, special resolutions passed by not less than 662/3% of the votes cast by the holders of shares of each class or series so affected, whether or not they are otherwise entitled to vote.

 

Under the BCBCA, a corporation may amend its articles or notice of articles by (i) the type of resolution specified in the BCBCA, (ii) if the BCBCA does not specify a type of resolution, then by the type of resolution specified in the corporation’s articles, or (iii) if neither the BCBCA nor the corporation’s articles specify a resolution, then by special resolution. A special resolution must be passed by (i) the majority of votes that the articles specify is required for the corporation to pass a special resolution, provided that such majority is at least 662/3% and not more than 75% of the votes cast on such resolution, or (ii) if the articles do not contain such a provision, 662/3% of the votes cast on the resolution. Certain other fundamental changes, including continuances out of the jurisdiction and certain amalgamations also require approval by at least a special majority of shareholders. In addition, a right or special right attached to issued shares must not be prejudiced or interfered with under the BCBCA or a corporation’s notice of articles or articles unless the shareholders holding shares of the class or series of shares to which the right or special right is attached consent by a special separate resolution of those shareholders.

 

Under the OBCA, certain amendments to the charter documents of a corporation require a resolution passed by not less than 66 2/3% of the votes cast by the shareholders voting on the resolution authorizing the amendments and, where certain specified rights of the holders of a class or series of shares are affected by the amendments differently than the rights of the holders of other classes or series of shares, such holders are entitled to vote separately as a class or series, whether or not such class or series of shares otherwise carry the right to vote. A resolution to amalgamate an OBCA corporation requires a special resolution passed by the holders of each class or series of shares, whether or not such shares otherwise carry the right to vote, if such class or series of shares are affected differently.

 

F-1

 

 

Sale of Undertaking

 

The CBCA requires approval of the holders of shares of each class or series of a corporation represented at a duly called meeting by not less than 662/3% of the votes cast upon special resolutions for a sale, lease or exchange of all or substantially all of the property of a corporation, other than in the ordinary course of business of the corporation. If such a transaction would affect a particular class or series of shares of the corporation in a manner different from the shares of another class or series of the corporation entitled to vote on such transaction, the holders of such first mentioned class or series of shares, whether or not they are otherwise entitled to vote, are entitled to vote separately as a class or series.

 

Under the BCBCA, a corporation may sell, lease or otherwise dispose of all or substantially all of the undertaking of the corporation if it does so in the ordinary course of its business or if it has been authorized to do so by special resolution passed by the majority of votes that the articles of the corporation specify is required, if that specified majority is at least 662/3% and not more than 75% of the votes cast on the resolutions, or, if the articles do not contain such a provision, special resolutions passed by at least 662/3% of the votes cast on the resolutions.

 

The OBCA requires approval of the holders of 66 2/3% of the shares of a corporation represented at a duly called meeting to approve a sale, lease or exchange of all or substantially all of the property of the corporation that is other than in the ordinary course of business of the corporation. Holders of shares of a class or series, whether or not they are otherwise entitled to vote, can vote separately only if that class or series is affected by the sale, lease or exchange in a manner different from the shares of another class or series.

 

Rights of Dissent and Appraisal

 

Under the CBCA, shareholders who dissent to certain actions being taken by a corporation may exercise a right of dissent and require the corporation to purchase the shares held by such shareholder at the fair value of such shares. Subject to specified exceptions, dissent rights may be exercised by a holder of shares of any class or series of shares entitled to vote where a corporation is subject to an order of the court permitting such shareholder to dissent or where a corporation proposes to:

 

(a)amend its articles to add, change or remove any provision restricting or constraining the issue or transfer of shares of that class;

 

(b)amend its articles to add, change or remove any restrictions on the business or businesses that the corporation may carry on;

 

(c)enter into certain statutory amalgamations;

 

(d)continue out of the jurisdiction;

 

(e)sell, lease or exchange all or substantially all of its property, other than in the ordinary course of business;

 

(f)carry out a going-private transaction or squeeze-out transaction; or

 

(g)amend its articles to alter the rights or privileges attaching to shares of any class where such alteration triggers a class vote.

 

Under the BCBCA, shareholders, including beneficial holders, who dissent to certain actions being taken by a corporation may exercise a right of dissent and require the corporation to purchase the shares held by such shareholder at the fair value of such shares. The dissent right may be exercised by a shareholder, whether or not their shares carry the right to vote, where a corporation proposes to:

 

(a)amend its articles to alter restrictions on the powers of the corporation or on the business that the corporation is permitted to carry on;

 

F-2

 

 

(b)adopt an amalgamation agreement;

 

(c)continue out of the jurisdiction;

 

(d)sell, lease or otherwise dispose of all or substantially all of the corporation’s undertaking;

 

(e)adopt a resolution to approve an amalgamation into a foreign jurisdiction; or

 

(f)adopt a resolution to approve an arrangement, the terms of which arrangement permit dissent.

 

In certain circumstances, the BCBCA also permits shareholders to dissent in respect of a resolution if dissent is authorized by such resolution, or if permitted by court order.

 

Under the OBCA, shareholders who dissent to certain actions being taken by a corporation may exercise a right of dissent and require the corporation to purchase the shares held by such shareholder at the fair value of such shares. Subject to specified exceptions, dissent rights may be exercised by a holder of shares of any class or series of shares entitled to vote where a corporation resolves to:

 

(a)amend its articles to add, remove or change restrictions on the issue, transfer or ownership of shares of a class or series of the shares of the corporation;

 

(b)amend its articles to add, remove or change any restriction upon the business or businesses that the corporation may carry on or upon the powers that the corporation may exercise;

 

(c)amalgamate with another corporation;

 

(d)be continued under the laws of another jurisdiction; or

 

(e)sell, lease or exchange all or substantially all its property.

 

Oppression Remedies

 

Under the BCBCA, a shareholder (including a beneficial shareholder and any other person a court considers to be appropriate) of a corporation has the right to apply to a court on the ground that: (i) the affairs of the corporation are being or have been conducted, or that the powers of the directors are being or have been exercised, in a manner oppressive to one or more of the shareholders, including the applicant or (ii) some act of the corporation has been done or is threatened, or that some resolution of the shareholders or of the shareholders holding shares of a class or series of shares has been passed or is proposed, that is unfairly prejudicial to one or more of the shareholders, including the applicant. On such an application and if the court is satisfied that the application was brought in a timely manner, the court may make such order as it sees fit with a view to remedying or bringing an end to the matters complained of, including, among other things, an order to prohibit any act proposed by the corporation.

 

The oppression remedy under the OBCA is similar to the remedy found in the BCBCA, with a few differences. Under the BCBCA, the shareholder can only complain of oppressive conduct of the corporation, whereas under the OBCA, the applicant can complain not only about acts of the corporation and its directors but also acts of an affiliate of the corporation and the affiliate’s directors.

 

F-3

 

 

Under the OBCA a registered shareholder, beneficial shareholder, former registered shareholder or beneficial shareholder, director, former director, officer, former officer of a corporation or any of its affiliates, or any other person who, in the discretion of a court, is a proper person to seek an oppression remedy, and in the case of an offering corporation, the Ontario Securities Commission, may apply to a court for an order to rectify the matters complained of where in respect of a corporation or any of its affiliates:

 

(a)any act or omission of a corporation or its affiliates effects or threatens to effect a result;

 

(b)the business or affairs of a corporation or its affiliates are or have been or are threatened to be carried on or conducted in a manner; or

 

(c)the powers of the directors of the corporation or any of its affiliates are, have been or are threatened to be exercised in a manner, that is oppressive or unfairly prejudicial to, or that unfairly disregards the interests of any security holder, creditor, director or officer of the corporation.

 

On such an application, the court may make such order as it sees fit, including but not limited to, an order restraining the conduct complained of.

 

Under the BCBCA, if there are reasonable grounds for believing that the corporation is, or after a payment to a successful applicant in an oppression claim would be, unable to pay its debts as they become due in the ordinary course of business, the corporation must make as much of the payment as possible and pay the balance when the corporation is able to do so; under the OBCA a corporation is prohibited from making a payment to a successful applicant in an oppression claim if there are reasonable grounds for believing that (a) the corporation is, or after the payment, would be unable to pay its liabilities as they become due, or (b) the realization value of the corporation’s assets would thereby be less than the aggregate of its liabilities.

 

Similar to the OBCA, the CBCA contains rights that are broader than the BCBCA in that they are available (without seeking leave from a court) to a larger class of complainants. Under the CBCA, a registered shareholder, former registered shareholder, beneficial owner of shares, former beneficial owner of shares, director, former director, officer and former officer of a corporation or any of its affiliates, the Director under the CBCA, or any other person who, in the discretion of a court, is a proper person to seek an oppression remedy, may apply to a court for an order to rectify the matters complained of where, in respect of a corporation or any of its affiliates, (i) any act or omission of the corporation or its affiliates effects a result, (ii) the business or affairs of the corporation or its affiliates are, or have been, carried on or conducted in a manner, or (iii) the powers of the directors of the corporation or any of its affiliates are, or have been, exercised in a manner, that is oppressive or unfairly prejudicial to, or that unfairly disregards the interests of, any security holder, creditor, director or officer. Unlike the BCBCA and the OBCA which allow a court to grant relief where a prejudicial effect to a shareholder is merely threatened, the CBCA allows a court to grant relief where a prejudicial effect to a shareholder actually exists (that is, it must be more than merely threatened).

 

Shareholder Derivative Actions

 

The CBCA extends rights to bring a derivative action to a broad range of complainants as it affords the right to a registered shareholder, former registered shareholder, beneficial owner of shares, former beneficial owner of shares, director, former director, officer and a former officer of a corporation or any of its affiliates, the Director appointed under the CBCA, and any person who, in the discretion of the court, is a proper person to make an application to court to bring a derivative action. In addition, the CBCA permits derivative actions to be commenced in the name and on behalf of a corporation or any of its subsidiaries. No leave may be granted unless the court is satisfied that:

 

(a)the complainant has given at least 14 days’ notice to the directors of the corporation or its subsidiary of the complainant’s intention to apply to the court if the directors of the corporation or its subsidiary do not bring, diligently prosecute, defend or discontinue the action;

 

(b)the complainant is acting in good faith; and

 

(c)it appears to be in the interests of the corporation or its subsidiary that the action be brought, prosecuted, defended or discontinued.

 

F-4

 

 

  

Under the BCBCA, a complainant, being a shareholder (including a beneficial shareholder and any other person a court considers to be appropriate) or director of a corporation may, with leave of the court, bring a legal proceeding in the name and on behalf of the corporation to enforce a right, duty or obligation owed to the corporation that could be enforced by the corporation itself or to obtain damages for any breach of such a right, duty or obligation. Similarly, a complainant may, with leave of the court and in the name and on behalf of the corporation, defend legal proceeding against a corporation. Under the BCBCA, a court may grant leave if:

  

(a)the complainant has made reasonable efforts to cause the directors of the corporation to prosecute or defend the legal proceeding;

 

(b)notice of the application for leave has been given to the corporation and to any other person the court may order;

 

(c)the complainant is acting in good faith; and

 

(d)it appears to the court that it is in the best interests of the corporation for the legal proceeding to be prosecuted or defended.

 

The OBCA extends rights to bring a derivative action to a broad range of complainants as it affords the right to a registered shareholder, former registered shareholder, beneficial owner of shares, former beneficial owner of shares, director, former director, officer and former officer of a corporation or any of its affiliates, or any person who, in the discretion of the court, is a proper person to make an application to the court to bring a derivative action. In addition, the OBCA permits derivative actions to be commenced in the name and on behalf of a corporation or any of its subsidiaries. No leave may be granted unless the court is satisfied that:

 

(a)the complainant has given at least 14 days’ notice to the directors of the corporation or its subsidiary of the complainant’s intention to apply to the court to bring a derivative action, unless all of the directors of the corporation or its subsidiary are defendants in the action;

 

(b)the directors of the corporation or its subsidiary will not bring, diligently prosecute or defend or discontinue the action;

 

(c)the complainant is acting in good faith; and

 

(d)it appears to be in the interests of the corporation or its subsidiary that the action be brought, prosecuted, defended or discontinued.

 

Short Selling

 

Under the CBCA, insiders of a corporation are prohibited from short selling any securities of the corporation if the insider selling the security does not own or has not fully paid for the security to be sold.

 

The BCBCA and the OBCA have no such restrictions.

 

Place of Meetings

 

Subject to certain exceptions, the CBCA provides that meetings of shareholders shall be held at any place within Canada provided by the by-laws, or in the absence of such a provision, at the place within Canada that the directors determine. Meetings of shareholders may be held outside of Canada if the place is specified in the articles or if all the shareholders entitled to vote at the meeting agree that the meeting is to be held at that place.

 

Under the BCBCA, general meetings of shareholders are to be held in British Columbia, or may be held at a location outside of British Columbia if:

 

(a)the location is provided for in the articles;

 

(b)the articles do not restrict the corporation from approving a location outside of British Columbia and the location is approved by the resolutions required by the articles for that purpose, or, if no resolutions are specified, then approved by ordinary resolution before the meeting is held; or

  

(c)the location is approved in writing by the British Columbia registrar of companies before the meeting is held.

 

F-5

 

 

Under the OBCA, subject to the articles and any unanimous shareholder agreement, meetings of shareholders may be held in or outside Ontario (including outside Canada) as the directors determine or, in the absence of such a determination, at the place where the registered office of a corporation is located.

 

Requisition of Meetings

 

The CBCA permits the holders of not less than 5% of the issued shares that carry the right to vote at a meeting sought to be held to require the directors to call and hold a meeting of the shareholders of the corporation for the purposes stated in the requisition. If the directors do not call a meeting within 21 days of receiving the requisition, any shareholder who signed the requisition may call the meeting.

 

The BCBCA provides that one or more shareholders of a corporation holding not less than 5% of the issued voting shares of the corporation may give notice to the directors requiring them to call and hold a general meeting which meeting must be held within four months of receiving the requisition. Subject to certain exceptions, if the directors do not call such a meeting within 21 days of receiving the resolution, any one or more of the requisitioning shareholders who hold not less than 2.5% of the issued shares carrying the right to vote may send notice of a general meeting to be held to transact the business stated in the requisition.

 

The OBCA permits the holders of not less than 5% of the issued shares of a corporation that carry the right to vote to require the directors to call and hold a meeting of the shareholders of the corporation for the purposes stated in the requisition. Subject to certain exceptions, if the directors fail to provide notice of a meeting within 21 days of receiving the requisition, any shareholder who signed the requisition may call the meeting.

 

Notice of Shareholders’ Meetings

 

Under the CBCA, the notice of shareholders’ meetings must be provided not less than 21 days and not more than 60 days before the meeting.

 

Under the BCBCA, an offering corporation must give notice at least the prescribed number of days (at present, 21 days or any longer period specified in the corporation’s articles) but not more than two months before the meeting.

 

Under the OBCA, an offering corporation must give notice not less than 21 days and not more than 50 days before the meeting.

 

Reporting issuers are also subject to the requirements of National Instrument 54-101 — Communication with Beneficial Owners of a Reporting Issuer of the Canadian Securities Administrators which provides for minimum notice periods of greater than the minimum 21 day period in the OBCA and CBCA.

 

Telephonic or Electronic Meetings

 

Under the CBCA, unless the articles or by-laws state otherwise, meetings of shareholders may be held entirely by telephonic or electronic means and/or shareholders may participate in and vote at the meeting by such means. The CBCA also requires a corporation to provide shareholders with a means of communication that permits all participants to communicate adequately with each other during the meeting.

 

Under the BCBCA, unless the notice of articles or articles state otherwise, meetings of shareholders may be held entirely by electronic means and the corporation must permit and facilitate participation in the meeting by telephone or other communications medium.

 

F-6

 

 

Under the OBCA, unless the articles or by-laws state otherwise, meetings of shareholders may be held by telephonic or electronic means and shareholders may participate in and vote at the meeting by such means.

 

Shareholder Proposals

 

Under the CBCA, a registered or beneficial shareholder entitled to vote at an annual meeting of shareholders may submit a proposal, although the registered or beneficial shareholder must either: (i) have owned for at least six months prior to the submission of the proposal not less than 1% of the total number of outstanding voting shares or voting shares with a fair market value of at least C$2,000, or (ii) have the support of persons who, in the aggregate, have owned for at least six months prior to the submission of the proposal not less than 1% of the total number of outstanding voting shares or voting shares with a fair market value of at least C$2,000.

 

Under the BCBCA, in order for one or more registered or beneficial shareholders to be entitled to submit a proposal, they must have held voting shares for an uninterrupted period of at least two years before the date the proposal is signed by the shareholders. In addition, the proposal must be signed by shareholders who, together with the submitter, are registered or beneficial owners of (i) at least 1% of the corporation’s voting shares, or (ii) shares with a fair market value exceeding an amount prescribed by regulation (at present, C$2,000).

 

Under the OBCA, a registered holder of shares entitled to vote at a meeting or a beneficial owner of shares that are entitled to be voted at a meeting of shareholders may submit a notice of a proposal to the corporation and discuss at the meeting any matter in respect of which the shareholder would have been entitled to submit a proposal.

 

Director Residency Requirements

 

The CBCA requires a distributing corporation whose shares are held by more than one person to have a minimum of three directors, but it also requires that at least one-quarter of the directors be resident Canadians. If a corporation has less than four directors, at least one director must be a resident Canadian. Subject to certain exceptions, an individual has to be a Canadian citizen or permanent resident ordinarily resident in Canada to be considered a resident Canadian under the CBCA.

 

Both the BCBCA and the OBCA provide that a reporting corporation must have a minimum of three directors, but neither statute imposes any residency requirements on the directors.

 

Removal of Directors

 

The CBCA provides that the shareholders of a corporation may remove one or more directors by an ordinary resolution at an annual meeting or special meeting. The CBCA further provides that where the holders of any class or series of shares of a corporation have an exclusive right to elect one or more directors, a director so elected may only be removed by an ordinary resolution at a meeting of the shareholders of that class or series.

 

The BCBCA provides that the shareholders of a corporation may remove one or more directors by a special resolution or by any other method specified in the articles. The BCBCA further provides that if holders of a class or series of shares have the exclusive right to elect or appoint one or more directors, a director so elected or appointed may only be removed by a special separate resolution of the shareholders of that class or series or, if the articles so provide, by a majority of votes that is less than the majority of votes.

 

F-7

 

 

The OBCA provides that the shareholders of a corporation may by ordinary resolution at an annual or special meeting remove any director or directors from office. An ordinary resolution under the OBCA requires the resolution to be passed, with or without amendment, at the meeting by at least a majority of the votes cast. The OBCA further provides that where the holders of any class or series of shares of a corporation have an exclusive right to elect one or more directors, a director so elected may only be removed by an ordinary resolution at a meeting of the shareholders of that class or series.

  

Independent Directors

 

Under the CBCA, the requirement is that at least two of the directors of a distributing corporation not be officers or employees of a corporation or its affiliates.

 

The BCBCA does not impose any independence requirements on directors.

 

Under the OBCA, at least one-third of the members of the board of directors cannot be officers or employees of an offering corporation or its affiliates.

 

Quorum — Directors’ Meetings

 

Both the CBCA and the OBCA state that quorum of directors’ meetings consists of a majority of directors or the minimum number of directors required by the articles (subject to the articles or by-laws).

 

The BCBCA states that the quorum necessary for the transaction of the business of the directors may be set by the directors and, if not so set, is a majority of the directors.

 

Form and Solicitation of Proxies, Information Circular

 

Under the CBCA, proxies may be solicited other than by or on behalf of management of the corporation without the sending of a dissident’s proxy circular if: (i) proxies are solicited from 15 or fewer shareholders; or (ii) the solicitation is conveyed by public broadcast, speech or publication containing certain information that would be required to be included in a dissident’s proxy circular.

 

Furthermore, under the CBCA, the definition of “solicit” and “solicitation” specifically excludes:

 

(a)certain public announcements by a shareholder of how he or she intends to vote and the reasons for that decision;

 

(b)communications for the purpose of obtaining the number of shares required for a shareholder proposal; and

 

(c)certain other communications made other than by or on behalf of management of the corporation, including communications by one or more shareholders concerning the business and affairs of the corporation or the organization of a dissident’s proxy solicitation where no form of proxy is sent by or on behalf of such shareholders, by financial and other advisors in the ordinary course of business to shareholders who are their clients, or by any person who does not seek directly or indirectly the power to act as proxy for a shareholder.

 

Under the BCBCA, the management of a public corporation, concurrently with sending a notice of meeting of shareholders, must send a form of proxy to each shareholder who is entitled to vote at the meeting as well as an information circular containing prescribed information regarding the matters to be dealt with at the meeting. The required information is substantially the same as the requirements that apply to the corporation under applicable securities laws. The BCBCA does not place any restriction on the method of soliciting proxies.

 

F-8

 

 

The OBCA also contains provisions prescribing the form and content of notices of meeting and information circulars. Under the OBCA, a person who solicits proxies, other than by or on behalf of management of the corporation, must send a dissident’s proxy circular in prescribed form to each shareholder whose proxy is solicited and certain other recipients, subject to certain exceptions, including where (i) the total number of shareholders whose proxies solicited is 15 or fewer (with two or more joint holders being counted as one shareholder), or (ii) the solicitation is, in certain prescribed circumstances, conveyed by public broadcast, speech or publication, in which case a person soliciting proxies, other than by or on behalf of management of the corporation, may solicit proxies without sending a dissident’s information circular.

  

Registered Office

 

Under the CBCA, the registered office of a corporation must be in the Canadian province specified in the articles and may be relocated within that province by directors’ approval.

 

Under the BCBCA, a corporation must maintain a registered office and a records office in British Columbia and one or both may be relocated in any manner required or permitted by the articles, or if the articles are silent as to the manner in which a change of address is to be authorized, by a directors’ resolution.

 

Under the OBCA, the registered office must be in Ontario and may be relocated to a different municipality with shareholder approval.

 

Corporate Records

 

The CBCA permits corporate and accounting records to be kept outside of Canada, subject to requirements to keep them within Canada under the Tax Act and other statutes administered by the Minister of National Revenue (such as the Excise Tax Act). Corporations are also required to provide access to records kept outside Canada at a location in Canada, by computer terminal or other technology.

 

The BCBCA requires records to be kept at its records office or at any location other than the records office so long as those records are available for inspection and copying at the records office by means of a computer terminal or other electronic technology.

 

The OBCA and related Ontario statutes require records to be kept at its registered office or such other place in Ontario designated by the directors.

 

Meaning of “Insolvent”

 

Under the CBCA and the OBCA, a corporation may not pay dividends or purchase or redeem its shares if there are reasonable grounds for believing (i) it is or would be unable to pay its liabilities as they become due; or (ii) it would not meet a net asset solvency test. The net asset solvency tests for different purposes vary somewhat.

 

Under the BCBCA, for purposes of the insolvency test that must be passed for the payment of dividends and purchases and redemptions of shares, “insolvent” is defined to mean when a corporation is unable to pay its debts as they become due in the ordinary course of its business. Unlike the CBCA and the OBCA, the BCBCA does not impose a net asset solvency test for these purposes. For purposes of proceedings to dissolve or liquidate, the definition of “insolvent” from federal bankruptcy legislation applies.

  

Reduction of Capital

  

Under the CBCA and the OBCA, capital may be reduced by special resolution but not if there are reasonable grounds for believing that, after the reduction, (i) the corporation would be unable to pay its liabilities as they become due; or (ii) the realizable value of the corporation’s assets would be less than its liabilities.

 

Under the BCBCA, capital may be reduced by special resolution or court order. A court order is required if the realizable value of the corporation’s assets would, after the reduction of capital, be less than the aggregate of its liabilities.

 

F-9

 

 

Schedule G

 

UNAUDITED PRO FORMA Consolidated FINANCIAL statements

 

 

 

 

Unaudited Pro Forma Consolidated Financial Statements

 

 

AS AT AND FOR THE NINE MONTHS ENDED SEPTEMBER 30, 2022
AND FOR THE YEAR ENDED DECEMBER 31, 2021

 

G-1

 

 

 Pro Forma Consolidated Statement of Financial Position
As at September 30, 2022

(unaudited, in millions of U.S. dollars)

 

   Pan American
Silver Corp.
   Yamana Post-
Agnico and
Presentation
Adjustments (Note 6)
   Pro Forma
Adjustments (Note 7)
   Note 7  Pro Forma
Consolidated
 
Assets                   
Current assets                   
Cash and cash equivalents  $153.1   $531.3   $      $684.4 
Short-term investments   34.1               34.1 
Trade and other receivables   113.8    42.0           155.8 
Income tax receivables   47.2    58.6           105.8 
Inventories   438.2    133.9    21.3   b   593.4 
Derivative assets   3.8               3.8 
Prepaid expenses and other current assets   7.8               7.8 
    798.0    765.8    21.3       1,585.1 
Non-current assets                       
Mineral properties, plant and equipment   2,215.7    5,580.8    (1,166.4)  c   6,630.1 
Long-term inventories   26.7    2.9           29.7 
Long-term tax receivables   8.7    7.4           16.1 
Deferred tax assets   57.4    5.0    7.2   d   69.6 
Long-term investment   87.0    47.8           134.8 
Goodwill & other assets   6.0    54.7    (54.7)  c   6.0 
Total assets  $3,199.6   $6,464.4   $(1,192.6)     $8,471.4 
Liabilities                       
Current liabilities                       
Accounts payable and accrued liabilities  $311.0   $256.1   $300.0   e  $867.1 
Derivative liabilities   4.9    28.1           33.1 
Provisions   12.2    13.3           25.6 
Lease obligations   15.2    25.2           40.4 
Debt   9.9               9.9 
Income tax payables   22.6    48.9           71.6 
    375.9    371.7    300.0       1,047.7 
Non-current liabilities                       
Long-term provisions   232.7    275.1           507.8 
Deferred tax liabilities   144.1    1,071.6    (158.4)  d   1,057.3 
Long-term lease obligations   21.7    41.3           63.0 
Long-term debt   21.7    773.9    0.3   e   795.8 
Deferred revenue   14.0    48.0           62.1 
Other long-term liabilities   26.4    141.9           168.2 
Total liabilities   836.5    2,723.5    141.8       3,702.0 
Equity                       
Issued capital   3,137.7    7,694.8    (5,227.5)  a,f   5,605.0 
Share option reserve   93.2    24.9    (24.9)  f   93.2 
Investment revaluation reserve   (32.6)   (88.7)   88.7   f   (32.6)
Deficit   (840.7)   (4,705.3)   4,255.3   f   (1,290.7)
Total equity attributable to Company shareholders   2,357.6    2,925.7    (908.4)      4,374.9 
Non-controlling interests   5.4    815.2    (426.0)  g   394.6 
Total equity   2,363.0    3,740.9    (1,334.5)      4,769.5 
Total liabilities and equity  $3,199.6   $6,464.4   $(1,192.6)     $8,471.4 

 

See accompanying notes to the pro forma consolidated financial statements.

 

PAN AMERICAN SILVER CORP.

G-2 

 

 

 Pro Forma Consolidated Statements of Earnings
For the twelve months ended December 31, 2021

(unaudited, in millions of U.S. dollars, except for per share amounts)

 

   Pan American
Silver Corp.
   Yamana Post-
Agnico and
Presentation
Adjustments (Note 6)
   Pro Forma
Adjustments (Note 7)
   Note 7  Pro Forma
Consolidated
 
Revenue  $1,632.8   $1,172.2   $      $2,805.0 
Cost of sales                       
Production costs  $(925.5)  $(498.7)  $(21.3)  h  $ (1,445.5) 
Depreciation and amortization   (303.0)   (273.1)   9.0   i   (567.1)
Royalties   (36.4)              (36.4)
   $(1,264.9)  $(771.8)  $(12.3)     $(2,049.0)
Mine operating earnings  $367.9   $400.4   $‌(12.3     $756.0 
General and administrative   (34.9)   (70.5)          (105.4)
Exploration and project development   (11.1)   (31.4)          (42.5)
Mine care and maintenance   (31.8)   (25.6)          (57.4)
Foreign exchange (losses) gains   (11.3)   24.5           13.2 
Derivative gains   5.4               5.4 
Mineral properties, plant and equipment gains   32.2               32.2 
Gains and income from associates   4.3    11.1           15.4 
Transaction and integration costs           (450.0)  j   (450.0)
Other income (expense)       22.6           22.6 
Earnings from operations  $320.7   $331.1   $(462.3)     $189.5 
Investment loss   (59.7)              (59.7)
Interest and finance expense   (16.2)   (133.1)   (15.4)  k   (164.7)
Earnings (loss) before income taxes  $244.8   $198.0   $(477.7)     $(34.9)
Income tax expense   (146.4)   (262.2)   3.2   l   (405.4)
Net earnings (loss)  $98.4   $(64.2)  $(474.5)     $(440.3)
                        
Net earnings (loss) attributable to:                       
Equity holders of the Company  $97.3   $(5.5)  $(474.5)     $(382.7)
Non-controlling interests   1.1    (58.7)          (57.6)
Earnings (loss) per share attributable to common shareholders  $98.4   $(64.2)  $(474.5)     $(440.3)
Basic earnings (loss) per share (Note 8)  $0.46                $(1.05)
Diluted earnings (loss) per share (Note 8)  $0.46                $(1.05)

 

See accompanying notes to the pro forma consolidated financial statements.

 

PAN AMERICAN SILVER CORP.

G-3 

 

 

 Pro Forma Consolidated Statements of Earnings
For the nine months ended September 30, 2022

(unaudited, in millions of U.S. dollars, except for per share amounts)

 

   Pan American
Silver Corp.
   Yamana Post-
Agnico and
Presentation
Adjustments (Note 6)
   Pro Forma
Adjustments (Note 7)
   Note 7  Pro Forma
Consolidated
 
Revenue  $1,119.2   $905.2   $      $2,024.4 
Cost of sales                       
Production costs  $(842.2)  $(387.1)  $      $(1,229.3)
Depreciation and amortization   (236.8)   (213.7)   6.8   i   (443.7)
Royalties   (27.0)              (27.0)
   $(1,106.0)  $(600.8)  $6.8      $(1,700.0)
Mine operating earnings  $13.2   $304.4   $6.8      $324.4 
General and administrative   (26.0)   (66.0)          (92.0)
Exploration and project development   (9.8)   (27.1)          (36.9)
Mine care and maintenance   (34.6)   (20.9)          (55.5)
Foreign exchange (losses) gains   (10.4)   19.1           8.7 
Impairment charges   (99.1)              (99.1)
Derivative gains   1.5               1.5 
Mineral properties, plant and equipment losses   (1.3)              (1.3)
Gains and income from associates   45.0               45.0 
Other income (expense)   7.1    (16.1)          (9.0)
(Loss) earnings from operations  $(114.4)  $193.4   $6.8      $85.8 
Investment loss   (17.5)              (17.5)
Interest and finance expense   (16.1)   (45.3)   (16.2)  k   (77.6)
(Loss) earnings before income taxes  $(148.0)  $148.1   $(9.4     $(9.3
Income tax expense   (20.2)   (77.5)   (1.8)  l   (99.5)
Net (loss) earnings  $(168.2)  $70.6   $(11.2)     $(108.8
                        
Net (loss) earnings attributable to:                       
Equity holders of the Company  $(169.2)  $75.4   $(11.2)     $(105.0
Non-controlling interests   1.0    (4.8)          (3.8)
(Loss) earnings per share attributable to common shareholders  $(168.2)  $70.6   $(11.2)     $(108.8
Basic (loss) earnings per share (Note 8)  $(0.80)               $(0.29)
Diluted (loss) earnings per share (Note 8)  $(0.80)               $(0.29)

 

See accompanying notes to the condensed interim consolidated financial statements.

 

PAN AMERICAN SILVER CORP.

G-4 

 

 

 

Notes to the Pro Forma Consolidated Financial Statements

 

As at and for the twelve months ended December 31, 2021,
and for the nine months ended September 30, 2022
(unaudited with tabular amounts in millions of U.S. dollars except number of

shares, options, warrants, and per share amounts, unless otherwise noted)

 

1. NATURE OF OPERATIONS

 

Pan American Silver Corp. is the ultimate parent company of its subsidiary group (collectively, the “Company”, or “Pan American”). Pan American is a British Columbia corporation domiciled in Canada, and its office is at Suite 1440 – 625 Howe Street, Vancouver, British Columbia, V6C 2T6.

 

The Company is engaged in the production and sale of silver, gold, zinc, lead and copper as well as other related activities, including exploration, extraction, processing, refining and reclamation. The Company’s major products are produced from mines in Canada, Peru, Mexico, Argentina and Bolivia. Additionally, the Company has project development activities in Canada, Peru, Mexico and Argentina, and exploration activities throughout South America, Canada and Mexico. As at September 30, 2022, the Company's Escobal mine in Guatemala continues to be on care and maintenance pending satisfactory completion of a consultation process led by the Ministry of Energy and Mines in Guatemala. In late February 2022, the Company's Morococha mine in Peru was placed on care and maintenance due to a requirement to move the processing facilities to allow for the expansion of a neighboring mine.

 

2. DESCRIPTION OF THE TRANSACTION

 

The Company and Agnico Eagle Mines Limited ("Agnico Eagle") entered into an arrangement agreement (the “Arrangement Agreement”) with Yamana Gold Inc. (“Yamana”) dated November 4, 2022, and the arrangement agreement dated May 31, 2022 (the “Gold Fields Agreement”) between Yamana and Gold Fields Limited (“Gold Fields”) was terminated in accordance with its terms. Pursuant to the terms of the Arrangement Agreement, among other things, Yamana proposes to sell and Agnico Eagle proposes to acquire Yamana's Canadian assets, including certain subsidiaries and partnerships which hold Yamana's interest in the Canadian Malartic Mine ("Canadian Assets"), and Agnico Eagle proposes to assume the liabilities associated with such purchase of the Canadian Assets (“Canadian Liabilities”), and Pan American proposes to acquire all of the issued and outstanding common shares of Yamana ("Yamana Shares"), all in accordance with a plan of arrangement (the “Plan of Arrangement”) to be completed under Section 192 of the Canada Business Corporations Act (the “Transaction”). The Transaction is subject to certain approvals, including shareholder, court and regulatory approvals, among other conditions to closing as set out in the Arrangement Agreement. In the opinion of management, the unaudited pro forma consolidated financial statements include all adjustments necessary for the fair presentation of the matters described below.

 

The consideration payable to the shareholders of Yamana for the Transaction consists of:

 

·Approximately 155.4 million common shares of the Company (the "Pan American Shares");

 

·$1.0 billion in cash contributed by Agnico Eagle; and,

 

·Approximately 36.6 million common shares of Agnico Eagle (the "Agnico Eagle Shares").

 

Such consideration represents a premium of approximately 23.1% to the closing price of Yamana Shares on November 3, 2022. Following the completion of the Transaction, Pan American shareholders and Yamana shareholders existing immediately prior to the completion of the Transaction will own approximately 57.3% and 42.7% of Pan American, respectively (based upon the number of common shares of Pan American outstanding, on a non-diluted basis, at the time the Transaction was announced on November 4, 2022).

 

The Transaction is subject to approval by the Company’s shareholders by an ordinary resolution (required approval, 50% +1), approval by Yamana’s shareholders by a special resolution (required approval, 66 2/3%), certain regulatory approvals, and court approval of the Plan of Arrangement, as well as satisfaction of certain other customary closing conditions. Subject to satisfaction or waiver, as applicable, of all closing conditions, the Transaction is expected to close in the first quarter of 2023. Pursuant to the terms of the Arrangement Agreement, Pan American funded $150.0 million in cash to Yamana to pay a portion of the $300.0 million termination fee (the "Break Fee") payable by Yamana to Gold Fields under the terms of the Gold Fields Agreement, which Break Fee was paid by Yamana to Gold Fields on November 10, 2022. The Company has drawn down on its $500.0 million revolving sustainability-linked credit facility (the "Credit Facility") to fund its obligation towards the Break Fee.

 

Yamana is a Canadian publicly traded precious metals mining company with ownership interests in a diverse portfolio of mines and projects including the following principal operating mines: Jacobina Mining Complex (Brazil), El Peñon Mine and Minera Florida Mine (Chile), Cerro Moro Mine (Argentina), and the Canadian Malartic Mine (Canada).

 

PAN AMERICAN SILVER CORP.

G-5 

 

 

Notes to the Pro Forma Consolidated Financial Statements

 

As at and for the twelve months ended December 31, 2021,
and for the nine months ended September 30, 2022
(unaudited with tabular amounts in millions of U.S. dollars except number of

shares, options, warrants, and per share amounts, unless otherwise noted)

 

These unaudited condensed consolidated pro forma financial statements of the Company (the "Pro Forma Financial Statements") have been prepared to give effect to the Transaction on the date and as of the time periods specified herein.

 

3. BASIS OF PREPARATION

 

These Pro Forma Financial Statements have been prepared in connection with the Transaction outlined in Note 2 among the Company, Agnico Eagle and Yamana, whereby Agnico Eagle will acquire the Canadian Assets and assume the Canadian Liabilities from Yamana and the Company will acquire all of the issued and outstanding Yamana Shares.

  

The Pro Forma Financial Statements have been prepared based on information derived from, and should be read in conjunction with, (i) the unaudited condensed interim consolidated financial statements of Pan American for the three and nine months ended September 30, 2022 and 2021; (ii) the consolidated financial statements of Pan American for the years ended December 31, 2021 and 2020; (iii) the unaudited condensed consolidated interim financial statements of Yamana for the three and nine months ended September 30, 2022 and 2021; and (iv) the consolidated financial statements of Yamana for the years ended December 31, 2021 and 2020.

 

The Pro Forma Financial Statements have been compiled from and include:

 

a)an unaudited pro forma consolidated statement of financial position as at September 30, 2022, giving effect to the Transaction and various pro forma assumptions and adjustments described in Notes 6 and 7 as if those had occurred on September 30, 2022, therefore combining the unaudited condensed interim consolidated statement of financial position of the Company as at September 30, 2022 and the unaudited condensed consolidated interim balance sheet of Yamana as at September 30, 2022.

 

b)an unaudited pro forma condensed consolidated statement of earnings for the nine-month period ended September 30, 2022, giving effect to the Transaction and various pro forma assumptions and adjustments described in Notes 6 and 7 as if those had occurred on January 1, 2021, therefore combining the unaudited condensed interim consolidated statement of earnings and comprehensive earnings of the Company for the nine-month period ended September 30, 2022, and the unaudited condensed consolidated interim statement of operations of Yamana for the nine-month period ended September 30, 2022.

 

c)a condensed unaudited pro forma consolidated statement of earnings for the year ended December 31, 2021, giving effect to the Transaction and various pro forma assumptions and adjustments described in Notes 6 and 7 as if those had occurred on January 1, 2021, therefore combining the consolidated statement of earnings of the Company for the year ended December 31 2021, and the consolidated statement of operations of Yamana for the year ended December 31, 2021.

 

The unaudited pro forma information and adjustments, including the preliminary allocation of purchase price, are based upon preliminary estimates of fair values of assets acquired and liabilities assumed, current available information and certain assumptions that management believes are reasonable in the circumstances. The Pro Forma Financial Statements are presented for illustrative purposes only and do not reflect additional potential savings or costs that may result from the Transaction. The actual adjustments to the consolidated financial statements as of the closing date of the Transaction will depend on a number of factors, including, among others, the Pan American share price, additional information available, and the net assets of Yamana on the closing date of the Transaction, and, as a result, the actual adjustments will differ from the pro forma adjustments.

 

The Pro Forma Financial Statements are not necessarily indicative of the operating results or financial condition achieved if the Transaction had been completed on the dates or for the periods presented, nor do they purport or project the results of operations or financial position of the combined entities for any future period or as of any future date.

 

PAN AMERICAN SILVER CORP.

G-6 

 

 

Notes to the Pro Forma Consolidated Financial Statements

 

As at and for the twelve months ended December 31, 2021,
and for the nine months ended September 30, 2022
(unaudited with tabular amounts in millions of U.S. dollars except number of

shares, options, warrants, and per share amounts, unless otherwise noted)

 

4. SIGNIFICANT ACCOUNTING POLICIES

 

The accounting policies used in the preparation of the Pro Forma Financial Statements are those set out in the Company's consolidated financial statements for the years ended December 31, 2021 and 2020, and the related notes contained therein, and the unaudited condensed interim consolidated financial statements for the three and nine months ended September 30, 2022 and 2021, and the related notes contained therein. In order to prepare the Pro Forma Financial Statements, a preliminary review was undertaken to identify accounting policy differences where the impact was potentially material and could be reasonably estimated. The significant accounting policies of Yamana conform in all material respects to those of Pan American.

 

5. PRO FORMA PRELIMINARY PURCHASE PRICE ALLOCATION

 

The Transaction constitutes a business combination in accordance with IFRS 3 Business Combinations (“IFRS 3”), with Pan American as the acquirer. Accordingly, the Company has applied the principles of IFRS 3 in the pro forma accounting for the acquisition of Yamana, which requires the Company to recognize Yamana’s identifiable assets acquired and liabilities assumed at fair value, recognize consideration transferred in the acquisition at fair value and recognize goodwill, if any, as the excess of consideration transferred over the net of the acquisition date fair value of identifiable assets acquired and liabilities assumed.

 

The Company has not completed the detailed valuation study necessary to arrive at the required final estimates of the fair value of the Yamana assets to be acquired and liabilities to be assumed. A final determination of the fair value of Yamana’s assets and liabilities, including mining interests, property, plant and equipment and other assets and liabilities which are accounted for at fair value, will be based on the information and assumptions that exist as of the closing date of the Transaction, and, therefore, cannot be made prior to such closing date. In addition, the value of the consideration to be paid by Pan American upon the consummation of the Transaction will be determined based on the closing price of Pan American’s common shares on the closing date of the Transaction. Further, no effect has been given to any new Yamana common shares or equity awards that may be issued or granted subsequent to September 30, 2022, and before the closing date of the Transaction, and none are anticipated. As a result, the pro forma adjustments are preliminary and are subject to change as additional information becomes available and as additional analysis is performed. The preliminary pro forma adjustments have been made solely for the purpose of providing the unaudited pro forma financial information. Pan American has estimated the fair value of Yamana’s assets and liabilities based on preliminary valuation information, due diligence and information presented in Yamana’s public filings. Until the Transaction is completed, both companies are limited in their ability to share certain information. Upon completion of the Transaction, a final determination of fair value of Yamana’s assets and liabilities will be performed. Any increases or decreases in the fair value of assets acquired and liabilities assumed upon completion of the final valuations will be reflected in the actual reporting by the Company subsequent to closing of the Transaction.

 

The final purchase price allocation may be materially different than that reflected in the pro forma allocation presented below. The estimated purchase consideration and the preliminary fair values of assets acquired, and liabilities assumed for the purposes of these unaudited pro forma consolidated financial statements is summarized in the tables below:

 

PAN AMERICAN SILVER CORP.

G-7 

 

 

 

 

Notes to the Pro Forma Consolidated Financial Statements

 

As at and for the twelve months ended December 31, 2021,
and for the nine months ended September 30, 2022
(unaudited with tabular amounts in millions of U.S. dollars except number of

shares, options, warrants, and per share amounts, unless otherwise noted)

 

a)Consideration

 

The estimated fair value of the total consideration paid in the Transaction is as follows:

 

   Shares Issued/     
   Issuable (1)     
   (in millions)   Consideration 
Nature of consideration          
Fair value estimate of the Pan American Share consideration(2)   155.4   $2,467.3 
Fair value estimate of the Agnico Eagle Share consideration(3)   36.6   $1,543.8 
Cash       $1,000.0 
Total consideration       $5,011.1 
Less: consideration contributed by Agnico Eagle (Note 5(c))       $(2,543.8)
Consideration contributed by Pan American       $2,467.3 

 

(1)On the basis of 972.2 million Yamana Shares outstanding on a fully diluted basis plus an estimated 35 thousand Yamana Shares which may be issued pursuant to the Yamana dividend reinvestment plan but excluding the additional 1% buffer referenced in this management information circular and included in the maximum number of Pan American Shares that could be issued as consideration under the Arrangement.

(2)The Pan American Share consideration value is based on an assumed value of $15.88 per share (based on the closing price of the common shares of Pan American on NASDAQ on September 30, 2022).

(3)The Agnico Eagle Share consideration value is based on an assumed value of $42.23 per share (based on the closing price of the common shares of Agnico Eagle on NYSE on September 30, 2022).

 

b)Pan American consideration fair value allocation

 

The estimated allocation of the pro forma consideration paid by Pan American is summarized in the table below:

 

Assets acquired     
Mineral properties, plant and equipment   4,414.4 
Deferred tax assets   12.2 
Cash and cash equivalents   531.3 
Other assets   313.9 
Liabilities assumed     
Borrowings   (624.2)
Environmental rehabilitation provisions   (288.4)
Deferred tax liabilities   (913.2)
Other current liabilities   (358.3)
Other long-term liabilities   (231.2)
Net assets acquired   2,856.5 
Non-controlling interests   (389.2)
Net assets attributable to Pan American   2,467.3 
Consideration   2,467.3 
Goodwill  $ 

 

c)Agnico Eagle consideration

 

The $2.5 billion of consideration contributed by Agnico Eagle was for its acquisition of certain subsidiaries and partnerships which hold interests in the Canadian Assets. For the purposes of these Pro Forma Financial Statements the carrying value of the assets and liabilities of the Canadian Assets and all related operating results have accordingly been adjusted out of these Pro Forma Financial Statements as described and presented in Note 6.

 

The consideration paid by Agnico Eagle to acquire the Canadian Assets will be distributed to the shareholders of Yamana immediately prior to the acquisition of Yamana by Pan American and accordingly this consideration does not form part of the pro forma consolidated Company.

 

PAN AMERICAN SILVER CORP.

G-8 

 

 

 

Notes to the Pro Forma Consolidated Financial Statements

 

As at and for the twelve months ended December 31, 2021,
and for the nine months ended September 30, 2022
(unaudited with tabular amounts in millions of U.S. dollars except number of

shares, options, warrants, and per share amounts, unless otherwise noted)

 

6.YAMANA POST AGNICO AND PRESENTATION ADJUSTMENTS

 

Yamana presentation adjustments

 

Presentation adjustments were made to Yamana's unaudited condensed consolidated interim balance sheet as at September 30, 2022, to conform with Pan American's presentation and to remove the assets and liabilities of the Canadian Assets as follows:

 

   Yamana Gold Inc.   Yamana Presentation
Adjustments
   Canadian
Assets (Note
5(c))
   Yamana Post-
Agnico and
Presentation
Adjustments
 
Assets                    
Current assets                    
Cash and cash equivalents  $539.2   $   $(7.9)  $531.3 
Short-term investments                
Trade and other receivables   4.8    54.9    (17.8)   42.0 
Income tax receivables       60.4    (1.7)   58.6 
Inventories   202.1        (68.2)   133.9 
Other financial assets   14.6    (14.6)         
Prepaid expenses and other current assets   100.7    (100.7)        
    861.4        (95.6)   765.8 
                     
Non-current assets                    
Mineral properties, plant and equipment   6,802.6        (1,221.8)   5,580.8 
Long-term inventories       150.5    (147.6)   2.9 
Long-term tax receivables       7.4        7.4 
Deferred tax assets   95.6        (90.6)   5.0 
Long-term investment       47.8        47.8 
Other financial assets   52.9    (52.9)        
Other assets   189.3    (189.3)        
Goodwill & other assets   388.2    36.5    (370.0)   54.7 
Total assets  $8,390.0   $   $(1,925.6)  $6,464.4 
Liabilities                    
Current liabilities                    
Accounts payable and accrued liabilities  $273.1   $51.6   $(68.7)  $256.1 
Derivative liabilities       28.1        28.1 
Provisions   41.1    (27.8)       13.3 
Lease obligations       27.5    (2.3)   25.2 
Other financial liabilities   96.4    (96.4)        
Income tax payables   24.5    16.8    7.6    48.9 
    435.1        (63.4)   371.7 
                     
Non-current liabilities                    
Long-term provisions   328.3    42.9    (96.1)   275.1 
Deferred tax liabilities   1,358.2        (286.6)   1,071.6 
Long-term lease obligations       44.2    (2.9)   41.3 
Long-term debt   773.9            773.9 
Other financial liabilities   166.7    (166.7)        
Deferred revenue       48.0        48.0 
Other provisions and liabilities   114.8    (114.8)        
Other long-term liabilities       146.4    (4.5)   141.9 
Total liabilities   3,177.0        (453.5)   2,723.5 
Equity                    
Share capital   7,694.8            7,694.8 
Contributed surplus   24.9            24.9 
Accumulated other comprehensive (loss) income   (88.7)           (88.7)
Deficit   (3,233.2)       (1,472.1)   (4,705.3)
Total equity attributable to Company shareholders   4,397.8        (1,472.1)   2,925.7 
Non-controlling interests   815.2            815.2 
Total equity   5,213.0        (1,472.1)   3,740.9 
Total liabilities and equity  $8,390.0   $   $(1,925.6)  $6,464.4 

 

PAN AMERICAN SILVER CORP.

G-9 

 

 

 

Notes to the Pro Forma Consolidated Financial Statements

 

As at and for the twelve months ended December 31, 2021,
and for the nine months ended September 30, 2022
(unaudited with tabular amounts in millions of U.S. dollars except number of

shares, options, warrants, and per share amounts, unless otherwise noted)

 

Presentation adjustments were made to Yamana's unaudited condensed consolidated statement of operations for the year ended December 31, 2021, to conform with Pan American's presentation and to remove the operating results of the Canadian Assets as follows:

 

   Year ended December 31, 2021 
               Yamana Post- 
       Yamana       Agnico and 
       Presentation   Canadian   Presentation 
   Yamana Gold Inc.   Adjustments   Assets (Note 5(c))   Adjustments 
Revenue  $1,815.4   $   (643.2)  $1,172.2 
Cost of sales                    
Production costs  $(695.0)  $(37.4)  $233.7   $(498.7)
Depreciation and amortization   (447.9)       174.8    (273.1)
Temporary suspension, standby, and other incremental COVID-19 costs   (37.4)   37.4         
Royalties                
   $(1,180.3)  $   $408.5   $(771.8)
Mine operating earnings  $635.1   $   $(234.7)  $400.4 
                     
General and administrative   (74.8)       4.3    (70.5)
Exploration and project development   (31.6)       0.2    (31.4)
Mine care and maintenance       (25.6)       (25.6)
Foreign exchange (losses) gains       23.9    0.6    24.5 
Impairment reversals                
Derivative gains                
Mineral properties, plant and equipment gains                
Gains and income from associates   0.9    10.2        11.1 
Transaction and integration costs                
Other income (expense)   (10.7)   (8.5)   41.8    22.6 
Earnings from operations  $518.9   $   $(187.8)  $331.1 
Investment loss                
Interest and finance expense   (134.4)       1.3    (133.1)
Earnings (loss) before income taxes  $384.5   $   $(186.5)  $198.0 
Income tax expense   (295.7)       33.5    (262.2)
Net earnings (loss)  $88.8   $   $(153.0)  $(64.2)
                     
Net earnings (loss) attributable to:                    
Equity holders of the Company  $147.5   $   $(153.0)  $(5.5)
Non-controlling interests   (58.7)           (58.7)
   $88.8   $   $(153.0)  $(64.2)

 

 

PAN AMERICAN SILVER CORP.

G-10 

 

 

 

Notes to the Pro Forma Consolidated Financial Statements

 

As at and for the twelve months ended December 31, 2021,
and for the nine months ended September 30, 2022
(unaudited with tabular amounts in millions of U.S. dollars except number of

shares, options, warrants, and per share amounts, unless otherwise noted)

 

Presentation adjustments were made to Yamana's unaudited condensed consolidated interim statement of operations for the nine months ended September 30, 2022, to conform with Pan American's presentation and to remove the operating results of the Canadian Assets as follows:

 

   Nine months ended September 30, 2022 
               Yamana Post- 
       Yamana       Agnico and 
       Presentation   Canadian   Presentation 
   Yamana Gold Inc.   Adjustments   Assets(Note 5(c))   Adjustments 
Revenue  $1,349.8   $   $(444.6)  $905.2 
Cost of sales                    
Production costs  $(568.2)  $(7.3)  $188.4   $(387.1)
Depreciation and amortization   (340.5)       126.8    (213.7)
Temporary suspension, standby, and other incremental COVID-19 costs   (7.3)   7.3         
Royalties                
   $(916.0)  $   $315.2   $(600.8)
Mine operating earnings  $433.8   $   $(129.4)  $304.4 
                     
General and administrative   (68.8)       2.8    (66.0)
Exploration and project development   (29.8)       2.7    (27.1)
Mine care and maintenance       (20.9)       (20.9)
Foreign exchange (losses) gains       25.8    (6.7)   19.1 
Impairment reversals                
Derivative gains                
Mineral properties, plant and equipment gains                
Gains and income from associates                
Transaction and integration costs                
Other income (expense)   (26.0)   (4.9)   14.8    (16.1)
Earnings from operations  $309.2   $   $(115.8)  $193.4 
Investment loss                
Interest and finance expense   (47.0)       1.7    (45.3)
Earnings (loss) before income taxes  $262.2   $   $(114.1)  $148.1 
Income tax expense   (117.3)       39.8    (77.5)
Net earnings (loss)  $144.9   $   $(74.3)  $70.6 
                     
Net earnings (loss) attributable to:                    
Equity holders of the Company  $149.7   $   $(74.3)  $75.4 
Non-controlling interests   (4.8)           (4.8)
   $144.9   $   $(74.3)  $70.6 

 

7.PRO FORMA ADJUSTMENTS

 

Pro forma adjustments to the consolidated statement of financial position

 

The pro forma condensed consolidated statement of financial position reflects the following adjustments as if the Transaction had been completed on January 1, 2021:

 

a)Issuance of 155.4 million Pan American Shares with a value of $2.5 billion to Yamana shareholders.

 

b)Fair value adjustments for inventories comprised of an increase in certain metals inventories to fair value at September 30, 2022 ($21.3 million).

 

c)The estimated carrying value of Yamana's mining interests, property, plant and equipment of $5,580.8 million (excluding the Canadian Assets) was reduced by $1,166.4 million, and goodwill and other receivables were reduced by $54.7 million due to adjustment arising from the purchase price allocation of consideration paid. This was primarily due to a fair value increase to the Jacobina mine, and fair value decreases to certain other assets.

 

d)The deferred tax impact of the change in the value of the mining interests described in note (c) above and inventories described in note (b) above results in an increase in deferred tax assets of $7.2 million and a decrease in the deferred tax liabilities of $158.4 million, calculated at a rate of 21.5% for the Jacobina mine in Brazil, 32% for the El Peñon mine and Minera Florida mine in Chile, and 35% for the MARA project and Cerro Moro mine in Argentina, and Jeronimo deposit in Chile.

 

PAN AMERICAN SILVER CORP.

G-11 

 

 

 

Notes to the Pro Forma Consolidated Financial Statements

 

As at and for the twelve months ended December 31, 2021,
and for the nine months ended September 30, 2022
(unaudited with tabular amounts in millions of U.S. dollars except number of

shares, options, warrants, and per share amounts, unless otherwise noted)

 

e)Accrual for liabilities arising primarily from the Transaction including: (i) the $300.0 million Break Fee paid to Gold Fields as a result of the termination of the Gold Fields Agreement; and (ii) the assumed transaction costs associated with the Transaction and change of control obligations, which total $150.0 million. These fees were incorporated as an increase in accounts payables for $300.0 million and an increase in the drawn portion of the Credit Facility for $150.0 million. Further, a fair value adjustment of $149.7 million was assessed on the carrying value of the Yamana long-term debt (comprised of two long-term bonds), decreasing consolidated long-term debt.

 

f)Elimination of the share capital ($7.7 billion), contributed surplus ($24.9 million), accumulated other comprehensive loss ($88.7 million), accumulated deficit ($4.7 billion) of Yamana upon consolidation, and the increase in share capital associated with the new issuance of Pan American Shares upon the closing of Transaction ($2.5 billion).

 

g)Non-controlling interest adjustment of $426.0 million which results from mineral property fair value adjustments and deferred tax adjustments for the MARA project (56.25% ownership) and Jeronimo deposit (56.7% ownership) discussed in note (c) and (d) above.

 

Pro forma adjustments to the consolidated income statements

 

The unaudited pro forma consolidated income statements for the nine months ended September 30, 2022, and the year ended December 31, 2021, reflect the following adjustments as if the Transaction had been completed on January 1, 2021:

 

h)Represents the recognition of the preliminary fair value adjustment to certain metals inventories resulting from the Transaction and is reflected in the statements for the year ended December 31, 2021, with no impact to the statements for the nine months ended September 30, 2022.

 

i)Change in the depreciation and depletion of $6.8 million for the nine months ended September 30, 2022 and $9.0 million for the year ended December 31, 2021 as a result of the change in the mining interests described in note (c) above.

 

j)The Break Fee ($300.0 million) and assumed transaction costs associated with the Transaction and change of control obligations ($150.0 million) as outlined in note (e) above and adjusted for the year ended December 31, 2021.

 

k)Increased interest and finance expense of $16.2 million for the nine months ended September 30, 2022 and $15.4 million for the year ended December 31, 2021 as a result of assumed interest on $150.0 million drawn from the Credit Facility at an assumed interest rate of 6.0%, and increased interest expense arising as a result of the fair value adjustment to long term debt as described in the consolidated statement of financial position pro forma adjustment note (e) above.

 

l)The deferred tax impact of all the adjustments made to the unaudited pro forma consolidated statement of earnings/(loss) of $1.8 million recovery for the nine months ended September 30, 2022 and $3.2 million expense for the year ended December 31, 2021, calculated at a rate of 21.5% for the Jacobina mine in Brazil, 32% for the El Peñon mine and Minera Florida mine in Chile, and 35% for the MARA project and Cerro Moro mine in Argentina, and Jeronimo deposit in Chile.

 

8.PRO FORMA SHARE CAPITAL AND EARNINGS/LOSS PER SHARE

 

Pro Forma Share Capital

 

   Common Shares (in     
   millions)   Amount 
Issued and outstanding, September 30, 2022   210.5   $3,137.7 
Shares consideration issued in connection with the Transaction   155.4    2,467.3 
Pro forma balance issued and outstanding   365.9   $5,605.0 

  

PAN AMERICAN SILVER CORP.

G-12 

 

 

 

Notes to the Pro Forma Consolidated Financial Statements

 

As at and for the twelve months ended December 31, 2021,
and for the nine months ended September 30, 2022
(unaudited with tabular amounts in millions of U.S. dollars except number of

shares, options, warrants, and per share amounts, unless otherwise noted)

 

Pro Forma Earnings/Loss per share

 

   Nine months ended   Year ended 
   September 30, 2022   December 31, 2021 
   (shares in millions)   (shares in millions) 
Actual weighted average number of Pan American Shares outstanding   210.5    210.3 
Number of Pan American Shares issued in connection with the Transaction   155.4    155.4 
Pro forma weighted average number of Pan American Shares outstanding - Basic   365.9    365.7 
Pro forma weighted average number of Pan American Shares outstanding - Diluted   365.9    365.7 
Pro forma consolidated net loss attributable to equity holders of the Company  $(104.8)  $(382.6)
Pro forma net loss per share - Basic  $(0.29)  $(1.05)
Pro forma net loss per share - Diluted  $(0.29)  $(1.05)

 

PAN AMERICAN SILVER CORP.

G-13 

 

 

Schedule H

 

INFORMATION CONCERNING YAMANA

 

Notice to Reader

 

The following information provided by Yamana is presented on a pre-Arrangement basis (except where otherwise indicated) and reflects the current business, financial and share capital position of Yamana. This information should be read in conjunction with the documents incorporated by reference in this Schedule H and the information concerning Yamana appearing elsewhere in this Circular. See “Schedule I – Information Concerning Pan American” and “Information Concerning the Combined Company Following the Arrangement” of this Circular for business, financial and share capital information related to Pan American both before and after giving effect to the Arrangement.

 

Forward-Looking Statements

 

Certain statements contained in this Schedule H, and in the documents incorporated by reference herein, constitute forward-looking statements within the meaning of applicable Securities Laws. Such forward-looking statements relate to future events or Yamana’s future performance. See “Forward-Looking Information” in this Circular. Readers should also carefully consider the matters and cautionary statements discussed under the heading “Risk Factors” in this Circular, under “– Risk Factors” below and in the Yamana AIF.

 

Additional Information

 

Information concerning Yamana has been incorporated by reference in this Circular from documents filed with the securities commissions or similar authorities in each of the provinces and territories of Canada and filed with, or furnished to, the SEC. Copies of the documents incorporated herein by reference may be obtained on request without charge from the Senior Vice President, General Counsel and Corporate Secretary of Yamana at 200 Bay Street, Royal Bank Plaza, North Tower, Suite 2200, Toronto, Ontario M5J 2J3, telephone (416) 815-0220, and are also available electronically under Yamana’s issuer profile on SEDAR at www.sedar.com or in the United States through EDGAR at the website of the SEC at www.sec.gov. The filings of Yamana through SEDAR and EDGAR are not incorporated by reference in this Circular except as specifically set out herein.

 

The following documents, filed by Yamana with the securities commissions or similar authorities in each of the provinces and territories of Canada, are specifically incorporated by reference into, and form an integral part of, this Circular:

 

(a)The annual information form (the “Yamana AIF”) of Yamana for the year ended December 31, 2021, dated March 28, 2022;

 

(b)the audited consolidated financial statements of Yamana as of and for the years ended December 31, 2021 and 2020, together with the Report of Independent Registered Public Accounting Firm thereon and the notes thereto (the “Yamana Annual Financial Statements”);

 

(c)management’s discussion and analysis of operations and financial condition of Yamana for the year ended December 31, 2021 (the “Yamana Annual MD&A”);

 

(d)the unaudited condensed consolidated interim financial statements as of and for the three and nine months ended September 30, 2022 (the “Yamana Interim Financial Statements”);

 

(e)management’s discussion and analysis operations and financial condition of Yamana for the three and nine months ended September 30, 2022 (“Yamana Interim MD&A”);

 

H-1

 

 

(f)the management information circular of Yamana dated March 22, 2022, prepared in connection with the annual meeting of shareholders of Yamana held on April 28, 2022;

  

(g)the material change report of Yamana dated June 10, 2022, in respect of the proposed arrangement with Gold Fields; and

 

(h)the material change report of Yamana dated November 14, 2022, in respect of the proposed Arrangement.

 

Any document of the type referred to in section 11.1 of Form 44-101F1 of NI 44-101 (excluding confidential material reports), filed by Yamana with the securities commissions or similar regulatory authorities in the applicable provinces and territories of Canada after the date of this Circular disclosing additional or updated information, including the documents incorporated by reference herein, filed pursuant to the requirements or applicable securities legislation in Canada, will be deemed to be incorporated by reference in the Circular. In addition, any document filed by Yamana with, or furnished by Yamana to, the SEC pursuant to the U.S. Exchange Act, subsequent to the date of this Circular will be deemed to be incorporated by reference into the Circular. To the extent that any document or information incorporated by reference into the Circular is included in a report that is filed with or furnished to the SEC, such document or information shall also be deemed to be incorporated by reference into this Circular.

 

Any statement contained in this Circular or in any other document incorporated or deemed to be incorporated by reference in this Circular shall be deemed to be modified or superseded to the extent that a statement contained herein or in any other subsequently filed document that also is, or is deemed to be, incorporated by reference in this Circular modifies or supersedes such statement. Any statement so modified or superseded shall not be deemed, except as so modified or superseded, to constitute a part of this Circular. The modifying or superseding statement need not state that it has modified or superseded a prior statement or include any other information set forth in the document that it modifies or supersedes. The making of a modifying or superseding statement shall not be deemed an admission for any purposes that the modified or superseded statement, when made, constituted a misrepresentation, an untrue statement of a material fact or an omission to state a material fact that is required to be stated or that is necessary to make a statement not misleading in light of the circumstances in which it was made.

 

Non-GAAP Measures

 

In certain documents incorporated by reference into this Schedule H, there are references to certain non-GAAP financial performance measures. Non-GAAP financial performance measures do not have any standard meaning prescribed under IFRS, and therefore they may not be comparable to similar non-GAAP financial performance measures employed by other companies. Non-GAAP financial performance measures should not be considered in isolation or as a substitute for measures of performance prepared in accordance with IFRS.

 

For more information, see the Yamana AIF (see section entitled “Non-GAAP Financial Performance Measures”), the Yamana Annual MD&A (see Section 12 “Non-GAAP Financial Performance Measures”) and the Yamana Interim MD&A (see Section 11 “Non-GAAP Financial Performance Measures”), each of which is incorporated herein by reference.

 

Overview

 

Yamana was formed on July 30, 2003 when, pursuant to articles of amendment, the name of Yamana was changed from Yamana Resources Inc. to its current name and on August 12, 2003, pursuant to a reverse stock split, the Yamana Shares were consolidated on the basis of one new common share for 27.86 existing common shares. Prior to these corporate actions, and a concurrent reverse takeover of certain assets, Yamana was an inactive shell corporation whose previous history was mostly limited to exploration activities. In an effort to streamline its corporate structure, effective January 1, 2020, Yamana completed a vertical short form amalgamation with its wholly-owned Subsidiary, Yamana Malartic Canada Inc., pursuant to articles of amalgamation and through which the securities of Yamana were not affected. Yamana was continued under the CBCA by Articles of Continuance, dated February 7, 1995. On February 7, 2001, pursuant to Articles of Amendment, a maximum of 8,000,000 First Preference Shares, Series 1 were authorized, none of which are outstanding.

 

H-2

 

 

Yamana is a reporting issuer in each of the provinces and territories of Canada. Yamana’s head office is located at 200 Bay Street, Royal Bank Plaza, North Tower, Suite 2200, Toronto, Ontario M5J 2J3 and its registered office is located at 2100 Scotia Plaza, 40 King Street West, Toronto, Ontario M5H 3C2.

 

Yamana is a Canadian-based precious metals producer with significant gold and silver production, development stage properties, exploration properties, and land positions throughout the Americas, including Canada, Brazil, Chile and Argentina.

 

Yamana’s portfolio includes five operating gold mines and various advanced and near development stage projects and exploration properties in Canada, Brazil, Chile, and Argentina. Yamana operates its mines and projects under common corporate oversight. Within this structure Jacobina, El Peñón and Canadian Malartic are Yamana’s material producing mines and among the largest contributors to operating cash flow. Set out below is a list of Yamana’s main properties and mines:

 

Material Producing Mines

 

Jacobina Mining Complex (Brazil)

 

El Peñón Mine (Chile)

 

Canadian Malartic Mine (Canada) – 50% indirect interest

 

Other Producing Mines

 

Cerro Moro Mine (Argentina)

 

Minera Florida Mine (Chile)

 

Additional Projects

 

MARA Project (Argentina) – 56.25% indirect interest

 

Suyai Project (Argentina)

 

Monument Bay Project (Canada)

 

Wasamac Project (Canada)

 

For a further description of the business of Yamana, see the sections entitled “Corporate Structure” and “Description of the Business” in the Yamana AIF. For further information regarding Yamana, refer to its filings with the securities commissions or similar regulatory authorities in Canada which may be obtained under Yamana’s issuer profile on SEDAR at www.sedar.com and on EDGAR at www.sec.gov.

 

Yamana currently operates through a centralized Canadian office to manage the Americas. Yamana has experienced varying structures over the years and has determined that the current model mitigates risk, ensures operational excellence and attracts management talent to compete globally. Yamana’s Americas model allows each operation and region to autonomously manage regional and local matters within the requisite oversight and guidelines established by the Canadian office. The Canadian office currently functions as a corporate centre of excellence on governance, sustainability, technical services, operations and finance, and establishes evolving guidelines for best practices. This model allows regional and mine site management to run operations locally but consult with and seek guidance from the Canadian office, as needed, as well as recognizes national and local cultural diversity and promotes operational standards across the organization. Canada has a deep, high quality talent pool of mining professionals, particularly in underground mining based on the rich and extensive history of underground mining in Canada generally and northern Quebec in particular. Yamana has relied on its Canadian underground mining experience to optimize its South American underground mines and used expertise developed from its South American operations to identify underground mining opportunities elsewhere including, as recent examples, the Wasamac Project and the upper zones of Odyssey at the Canadian Malartic mine. Yamana's current operating and management model, which balances regional autonomy with a centre of excellence, has allowed Yamana to attract talent in the Canadian marketplace and deliver value over the history of Yamana.

 

H-3

 

 

Recent Developments

 

On April 27, 2022, Yamana declared a second quarter dividend equal to US$0.03 per Yamana Share to be paid on July 14, 2022 to Yamana Shareholders of record as of the close of business on June 30, 2022.

 

On May 31, 2022, Yamana entered into the Gold Fields Arrangement Agreement.

 

On June 15, 2022, Yamana published its 2021 Sustainability Report.

 

On July 28, 2022, Yamana declared a third quarter dividend equal to US$0.03 per Yamana Share to be paid on October 14, 2022 to Yamana Shareholders of record as of the close of business on September 30, 2022.

 

On September 13, 2022, Yamana filed technical reports for the Minera Florida mine, the Cerro Moro mine, the Wasamac project and the MARA project on SEDAR following a recent policy decision of Yamana to publicly file technical reports for all of its major mines and projects, regardless of materiality.

 

On September 23, 2022, Glencore International AG (“Glencore”) announced that it had reached an agreement to acquire the 18.75% shareholding of Newmont Corporation (“Newmont”) in the MARA project. Following completion of the transaction, Yamana will remain the operator of the MARA joint venture with a 56.25% interest, with Glencore owning the remaining 43.75% interest. Yamana welcomes Glencore’s increased stake in MARA and believes the transaction is a positive step for MARA, as the consolidation of ownership amongst partners provides a further endorsement of the quality and strategic optionality inherent in MARA, as well as underpinning the value of the minority interest being purchased, and thereby the more significant inherent value of the controlling interest in the project and the project in total. Under the terms of their agreement, Glencore will pay Newmont US$124.9 million upon closing and a US$30 million deferred payment upon commercial production subject to an annual interest charge of 6%. Total deferred consideration is capped at US$50 million.

 

On November 4, 2022, Yamana announced that it had received an unsolicited offer, the New Offer, from Pan American and Agnico with respect to the Arrangement. The Yamana Board determined in good faith, after consultation with its outside financial and legal advisors, and after taking into account all the terms and conditions of such New Offer and all factors and matters considered appropriate in good faith by the Yamana Board, including the unanimous recommendation of the Yamana Special Committee, that the New Offer constituted a “Yamana Superior Proposal” as defined by, and in accordance with, the terms of the Gold Fields Arrangement Agreement. Following a waiver by Gold Fields of its five business day matching right and response period under the Gold Fields Arrangement Agreement, on November 8, 2022, Yamana entered into the Arrangement Agreement with Pan American and Agnico with respect to the New Offer, and the Yamana Board changed its recommendation with respect to the pending transaction with Gold Fields and unanimously recommended that Yamana Shareholders vote against the transaction with Gold Fields at the special meeting of Yamana Shareholders which was scheduled for November 21, 2022. The Arrangement Agreement, as a “Permitted Acquisition Agreement” under the Gold Fields Arrangement Agreement, required that, until such time as the Gold Fields Arrangement Agreement had been terminated in accordance with its terms, all of the obligations of Yamana (other than confidentiality and standstill obligations) in the Arrangement Agreement would become effective only upon the Gold Fields Arrangement Agreement not being approved by Yamana Shareholders at the special meeting. On November 8, 2022, Gold Fields terminated the Gold Fields Arrangement Agreement, and the Arrangement Agreement immediately became effective. The special meeting of Yamana shareholders previously scheduled for November 21, 2022 in connection with the pending transaction with Gold Fields was cancelled, and Yamana paid a termination fee of US$300 million, less applicable withholding taxes, to Gold Fields in accordance with the Gold Fields Arrangement Agreement. Pursuant to the terms of the Arrangement Agreement, Pan American funded Yamana with US$150 million in cash for the payment of such termination fee.

 

H-4

 

 

On November 21, 2022, Yamana declared a fourth quarter dividend equal to US$0.03 per Yamana Share to be paid on January 13, 2023 to Yamana Shareholders of record as of the close of business on December 30, 2022.

  

Consolidated Capitalization of Yamana

 

There have been no material changes in the share and debt capital of Yamana, on a consolidated basis, since September 30, 2022, the date of Yamana’s most recently filed consolidated financial statements. See the Yamana Interim Financial Statements and the Yamana Interim MD&A, which are incorporated by reference in this Circular, for additional information with respect to Yamana’s consolidated capitalization.

 

Description of Share Capital

 

The authorized share capital of Yamana consists of an unlimited number of Yamana Shares and 8,000,000 first preference shares, Series 1 (the “First Preference Shares”). As of the close of business on December 19, 2022, there were 961,003,488 Yamana Shares and nil First Preference Shares issued and outstanding. The Yamana Shares are listed on the TSX under the symbol “YRI” and on the NYSE and the LSE under the symbol “AUY”.

 

Yamana Shares

 

Holders of Yamana Shares are entitled to receive notice of any meetings of shareholders of Yamana to attend and to cast one vote per Yamana Share at all such meetings. Holders of Yamana Shares do not have cumulative voting rights with respect to the election of directors and, accordingly, holders of a majority of the Yamana Shares entitled to vote in any election of directors may elect all directors standing for election. Holders of Yamana Shares are entitled to receive on a pro rata basis such dividends, if any, as and when declared by the Yamana Board at its discretion from funds legally available therefor and upon the liquidation, dissolution or winding up of Yamana are entitled to receive on a pro rata basis the net assets of Yamana after payment of debts and other liabilities, in each case subject to the rights, privileges, restrictions and conditions attaching to any other series or class of shares ranking senior in priority to or on a pro-rata basis with the holders of Yamana Shares with respect to dividends or liquidation. Although the articles of Yamana provide for the potential issuance of First Preference Shares, there is currently no other series or class of shares outstanding which ranks senior in priority to the Yamana Shares. The Yamana Shares do not carry any pre-emptive, subscription, redemption or conversion rights, nor do they contain any sinking or purchase fund provisions. The Yamana Shares do not carry any provisions permitting or restricting the issuance of additional securities or other material restrictions, nor do they contain any provisions requiring a securityholder to contribute additional capital.

 

First Preference Shares

 

Upon a consolidation, merger, or amalgamation of Yamana with or into any other corporation, holders of First Preference Shares who have not exercised their right of conversion at the date of the consolidation, merger, or amalgamation are entitled to receive upon the exercise of their conversion right, after the effective date of the consolidation, merger, or amalgamation, the aggregate number of shares or securities or property of Yamana resulting from the consolidation, merger, or amalgamation, the holder would have been entitled to receive if they had at the effective date of the consolidation, been the registered holder of such number of Yamana Shares. Holders of First Preference Shares are also entitled to receive, in the event of liquidation, dissolution or winding up of Yamana, an amount equal to US$0.125 in respect of each of First Preference Share held and all unpaid cumulative dividends before any distribution of the assets of Yamana among holders of the Yamana Shares or any other class of shares. Holders of First Preference Shares are not entitled to receive notice of or to attend meetings of the shareholders of Yamana nor do they have any voting rights for the election of directors or for any other purpose (except where the holders of a specified class are entitled to vote separately as a class).

 

H-5

 

 

Price Range and Trading Volume

  

TSX

 

The following table sets forth information relating to the monthly trading of the Yamana Shares on the TSX for the 12-month period prior to the date of this Circular.

 

Month   High (C$)   Low (C$)   Monthly Volume 
December 2021    5.39    4.78    66,236,630 
January 2022    5.58    4.87    55,263,011 
February 2022    6.74    5.035    69,984,099 
March 2022    7.39    6.26    74,698,620 
April 2022    8.05    6.81    58,116,473 
May 2022    7.34    6.215    69,269,748 
June 2022    7.44    5.98    61,500,814 
July 2022    6.45    5.56    34,046,238 
August 2022    6.68    5.79    27,005,896 
September 2022    6.36    5.345    43,956,653 
October 2022    6.89    5.88    33,795,804 
November 2022    7.385    5.55    53,597,856 
December 2022(1)    7.78    7.31    21,493,358 

 

Note:
   
(1)From December 1 to December 19, 2022

 

The closing price of the Yamana Shares on the TSX on November 3, 2022, the last trading day prior to the announcement of the New Offer, was C$5.58. The closing price of the Yamana Shares on the TSX on December 19, 2022, the last trading day in Canada prior to the date of this Circular, was C$7.37.

 

NYSE

 

The following table sets forth information relating to the monthly trading of the Yamana Shares on the NYSE for the 12-month period prior to the date of this Circular.

 

Month   High (US$)   Low (US$)   Monthly Volume 
December 2021    4.22    3.80    57,363,588 
January 2022    4.43    3.86    39,928,600 
February 2022    5.11    3.99    46,970,752 
March 2022    5.74    5.16    66,753,507 
April 2022    6.28    5.33    52,500,320 
May 2022    5.60    4.89    68,903,890 
June 2022    5.87    4.65    61,053,928 
July 2022    4.84    4.42    32,721,983 
August 2022    5.10    4.41    38,101,509 
September 2022    4.69    3.96    39,402,765 
October 2022    4.98    4.31    36,054,986 
November 2022    5.46    4.08    70,026,385 
December 2022(1)    5.71    5.38    28,495,998 

  

Note:
   

(1)From December 1 to December 19, 2022

 

H-6

 

 

The closing price of the Yamana Shares on the NYSE on November 3, 2022, the last trading day prior to the announcement of the New Offer, was US$4.08. The closing price of the Yamana Shares on the NYSE on December 19, 2022, the last trading day in the United States prior to the date of this Circular, was US$5.38.

 

LSE

 

The following table sets forth information relating to the monthly trading of the Yamana Shares on the LSE for the 12-month period prior to the date of this Circular.

 

Month   High (£)   Low (£)   Monthly Volume 
December 2021    3.04    2.91    110,164 
January 2022    3.185    2.89    76,822 
February 2022    3.75    2.94    193,433 
March 2022    4.275    3.73    400,099 
April 2022    4.70    4.15    285,976 
May 2022    4.37    3.95    260,571 
June 2022    4.45    3.82    227,084 
July 2022    4.05    3.65    102,729 
August 2022    4.15    3.90    59,484 
September 2022    3.95    3.80    88,374 
October 2022    4.40    3.80    62,076 
November 2022    4.32    3.90    68,619 
December 2022(1)    4.55    4.38    19,609 

 

Note:
   

(1)From December 1 to December 19, 2022

 

H-7

 

 

The closing price of the Yamana Shares on the LSE on November 3, 2022, the last trading prior to the announcement of the New Offer, was £3.85. The closing price of the Yamana Shares on the LSE on December 19, 2022, was £4.45.

  

Prior Sales

 

For the 12-month period prior to the date of the Circular, Yamana issued or granted Yamana Shares and securities convertible into Yamana Shares as listed in the table below. Other than the issuances listed in the table below, Yamana has not issued any Yamana Shares or securities convertible into Yamana Shares within the 12 months preceding the date of the Circular.

 

Date of Issuance   Price per
Yamana Share
or Exercise
Price per
Yamana Option
   Number and Type of
Security
  Reason for Issuance
January 14, 2022   US$4.02   34,251   Yamana Shares  Dividend Reinvestment Plan(1)
April 14, 2022   US$5.93   18,202   Yamana Shares  Dividend Reinvestment Plan(1)
July 14, 2022   US$4.75   28,832   Yamana Shares  Dividend Reinvestment Plan(1)
October 14, 2022   US$4.74   32,551   Yamana Shares  Dividend Reinvestment Plan(1)
February 16, 2022   C$5.62   301,907   Yamana Shares  Yamana RSU Vesting(2)
February 18, 2022   C$5.62   96,979   Yamana Shares  Yamana RSU Vesting(2)
February 24, 2022   C$6.25   533,019   Yamana Shares  Yamana RSU Vesting(2)
March 14, 2022   C$6.79   238,371   Yamana Shares  Yamana RSU Vesting(2)
April 1, 2022   C$6.79   10,589   Yamana Shares  Yamana RSU Vesting(2)
January 11, 2022   C$5.00   920,259   Yamana RSUs  Yamana RSU Issuance(3)
February 16, 2022   C$5.62   463,423   Yamana RSUs  Yamana RSU Issuance(3)

 

Notes:

 

(1)The value of the Yamana Shares issued pursuant to Yamana’s Dividend Reinvestment Plan is equal to the five-day VWAP of the Yamana Shares on the NYSE on the day immediately prior to the date that such Yamana Shares are issued.

(2)Yamana RSU awards granted vest and are payable based on the greater of either (a) the weighted average trading price, or (b) the average of daily high and low board lot trading prices of the Yamana Shares on the TSX for the five consecutive trading days immediately prior to the date of vesting. RSU awards can be satisfied through the issuance of Yamana Shares in accordance with the terms of the Yamana RSU Plan.

(3)The value of Yamana RSU awards is equal to the closing share price of the Yamana Shares on the TSX on the day immediately prior to the date that the Yamana RSU is granted.

 

Dividend Policy and History

 

Yamana has a dividend policy providing for a dividend yield that is consistent with the yield of comparable companies’ dividend rates and such policy is reviewed on a periodic basis and assessed in relation to the current and expected future operating cash flows of Yamana and the conservation and reinvestment of capital. On July 29, 2021, Yamana increased its annual dividend to US$0.12 per share, effective for the third quarter of 2021, Yamana’s sixth dividend increase since the second quarter of 2019, representing a cumulative increase of 500%. Following Yamana’s initial capital spending and development phase from 2003 to 2006, Yamana has consistently paid dividends since 2007, and dividends have aggregated to over US$1 billion paid over 14 years.

 

H-8

 

 

The following table sets forth the quarterly dividends paid by Yamana on the Yamana Shares during each of the three most recently completed financial years:

 

2022    2021    2020    2019 
Q1 – US$0.03    Q1 – US$0.02625    Q1 – US$0.0125    Q1 – US$0.005 
Q2 – US$0.03    Q2 – US$0.02625    Q2 – US$0.015625    Q2 – US$0.005 
Q3 – US$0.03    Q3 – US$0.03    Q3 – US$0.0175    Q3 – US$0.01 
     Q4 – US$0.03    Q4 – US$0.02625    Q4 – US$0.01 

 

Payment of any future dividends will be at the discretion of the Yamana Board after taking into account many factors, including Yamana’s operating results, financial condition, comparability of the dividend yield to peer gold companies and current and anticipated cash needs.

 

Credit Ratings

 

Yamana’s long-term credit ratings from Standard & Poor’s Rating Services (“S&P”), Moody’s Investors Service, Inc. (“Moody’s”), and Fitch Ratings, Inc. (“Fitch”) are BBB- (Stable), Baa3 (Stable), and BBB- (Stable), respectively.

 

S&P’s long-term credit ratings are on a rating scale that ranges from AAA to D, which represents the range from highest to lowest quality of such securities rated. S&P’s “BBB” rating is the fourth highest rating of 10 major rating categories. Ratings AAA to BBB- are considered investment grade, and BB+ to D are considered speculative grade. A “BBB” rating indicates that the obligor has adequate capacity to meet its financial commitments but is more subject to adverse economic conditions. S&P uses “+” or “–” designations to indicate the relative standing of securities within a particular rating category.

 

Moody’s long-term credit ratings are on a rating scale that ranges from Aaa to C, which represents the range from highest to lowest quality of such securities rated. Moody’s “Baa” rating is the fourth highest rating of nine rating categories. Obligations rated “Baa” are judged to be medium-grade and subject to moderate credit risk and as such may possess certain speculative characteristics. Moody’s appends numerical modifiers from 1 to 3 to its long-term ratings, which indicate where the obligation ranks within its generic rating category. The modifier 1 indicates that the obligation ranks in the higher end of its generic rating category, the modifier 2 indicates a mid-range ranking and the modifier 3 indicates a ranking in the lower end of that generic rating category.

 

Fitch’s long-term credit ratings are on a rating scale that ranges from AAA to D, which represents the range from highest to lowest quality of such securities rated. Fitch’s “BBB” rating is the fourth highest rating of 11 major rating categories. The terms “investment grade” and “speculative grade” have established themselves over time as shorthand to describe the categories AAA to BBB (investment grade) and BB to D (speculative grade). According to Fitch’s ratings system, BBB ratings indicate good credit quality and that the expectations of default risk are currently low. The capacity for payment of financial commitments is considered adequate, but adverse business or economic conditions are more likely to impair this capacity. The ratings from AA to B may be modified by the addition of a plus (+) or minus (–) sign to show relative status within the major rating categories.

 

Ratings are intended to provide investors with an independent view of credit quality. They are not a recommendation to buy, sell or hold securities and do not address the market price or suitability of a specific security for a particular investor. Credit ratings may not reflect the potential impact of all risks on the value of securities. In addition, real or anticipated changes in the rating assigned to a security will generally affect the market value of that security. Investors cannot be assured that a rating will remain in effect for any given period of time or that a rating will not be revised or withdrawn entirely by a rating agency in the future. Each rating should be evaluated independently of any other rating.

 

H-9

 

 

Yamana pays an annual fee to S&P, Moody’s, and Fitch for the provision of a credit rating.

 

S&P identified the following factors or considerations as giving rise to unusual risks associated with the credit ratings of Yamana:

 

·sensitivity to gold prices;

 

·risk of execution challenges and cost overruns from Odyssey underground expansion at Canadian Malartic; and

 

·smaller scale of gold output and lower operating breadth relative to its investment grade-rated gold mining peers.

 

In November 2022, S&P publicly confirmed that the Arrangement did not affect its BBB- (stable) rating. S&P’s confirmation was based on the assumption that Pan American would assume the Senior Notes on closing of the Arrangement.

 

Moody’s identified the following factors or considerations as giving rise to unusual risks associated with the credit ratings of Yamana:

 

·its smaller scale compared to investment grade peers;

 

·sensitivity to gold price volatility; and

 

·geopolitical exposure to Argentina (Ca Stable) with about 15% of gross profits expected from Cerro Moro over the medium term.

 

In November 2022, Moody’s affirmed Yamana’s Baa3 credit rating following the announcement that Yamana had entered into the Arrangement Agreement. The outlook remains stable. The rating was based on the assumption that Pan American would assume or guarantee Yamana’s existing debt on closing of the Arrangement.

 

Fitch identified the following factors or considerations as giving rise to unusual risks associated with the credit ratings of Yamana:

 

·Yamana’s current operating size, scale and diversification as relatively limited compared to other investment-grade peers, although the company has a promising pipeline of exploration and development projects;

 

·Yamana’s average operating reserve life is shorter than investment-grade peers at 10+ years; and

 

·sensitivity to gold prices.

 

In June 2022, Fitch placed Yamana’s ‘BBB-’ credit on Rating Watch Positive following the announcement that Gold Fields and Yamana had entered into the Gold Fields Arrangement Agreement. Rating Watches indicate that there is a heightened probability of a rating change and the likely direction of such a change, and those designated as “Positive” indicate that a rating could stay at its present level or potentially be upgraded. A Rating Watch is typically event-driven, and as such, it is generally resolved over a relatively short period. The event driving the Rating Watch may be either anticipated or have already occurred, but in both cases, the exact rating implications remain undetermined. The Rating Watch period is typically used to gather further information and/or subject the information to further analysis.

 

H-10

 

 

In November 2022, the Rating Watch Positive was removed by Fitch and replaced by a Stable Outlook. The Stable Outlook reflects Fitch's expectation that the combination of Yamana's non-Canadian assets with Pan American’s assets is credit neutral.

 

The preferred approach to dealing with the Senior Notes and the Combined Company’s credit rating following the Effective Date is under review.

 

Material Contracts

 

Except as otherwise disclosed in this Circular and as discussed in the Yamana AIF, during the 12 months prior to the date of this Circular, Yamana has not entered into any contracts, nor are there any contracts still in effect, that are material to Yamana or any of its Subsidiaries, other than contracts entered into in the ordinary course of business. See “Material Contracts” in the Yamana AIF, which is incorporated by reference in this Circular.

 

Risk Factors

 

An investment in securities of Yamana and the completion of the Arrangement are subject to certain risks. In addition to considering the other information in this Circular, including the risk factors relating to the Arrangement set forth under “Risk Factors” in this Circular, readers should carefully consider the risk factors described in the Yamana AIF, as well as the Yamana Annual MD&A and the Yamana Interim MD&A, each of which are incorporated by reference in this Circular. If any of the identified risks were to materialize, Yamana’s business, financial position, results and/or future operations may be materially affected. The risk factors identified in this Circular and the documents incorporated by reference are not exhaustive and other factors may arise in the future that are currently not foreseen by management of Yamana that may present additional risks in the future.

 

Auditors, Transfer Agent and Registrar

 

The auditor of Yamana is Deloitte LLP.

 

Yamana’s registrar and transfer agent for the Yamana Shares is Computershare Trust Company of Canada, at its principal offices in Toronto, Ontario. The co-transfer agent for the Yamana Shares in the United States is Computershare Trust Company, N.A., at its principal offices in Louisville, Kentucky and co-transfer agent for the Yamana Shares in the United Kingdom is Computershare Investor Services PLC, at its principal offices in Bristol, United Kingdom.

 

Interest of Experts

 

The Yamana Annual Financial Statements incorporated by reference in this Circular, and the effectiveness of Yamana’s internal control over financial reporting, have been audited by Deloitte LLP, as stated in their reports which are also incorporated herein by reference. Deloitte LLP, as auditor of Yamana, is independent with respect to Yamana within the meaning of the U.S. Securities Act and the applicable rules and regulations thereunder adopted by the SEC and the PCAOB and within the meaning of the rules of professional conduct of the Chartered Professional Accountants of Ontario.

 

Scotiabank is named as having prepared or certified a report, statement or opinion in this Circular, specifically their fairness opinion. See “The Arrangement – Yamana Fairness Opinion”. Except for the fees to be paid to Scotiabank, which are not contingent on completion of the Arrangement, to the knowledge of Yamana, neither Scotiabank, its directors, officers, employees and partners, as applicable, or their respective associates or affiliates, beneficially owns, directly or indirectly, 1% or more of the securities of Yamana or any associate or affiliate of Yamana, has received or will receive any direct or indirect interests in the property of Yamana or any of its associates or affiliates, or is expected to be elected, appointed or employed as a director, officer or employee of Yamana or any associate or affiliate thereof.

 

Additional Information Concerning Yamana

 

Additional information relating to Yamana may be found under Yamana’s issuer profile on SEDAR at www.sedar.com and on EDGAR at www.sec.gov. Additional financial information is provided in the Yamana AIF, the Yamana Annual Financial Statements, the Yamana Annual MD&A, the Yamana Interim Financial Statements and the Yamana Interim MD&A, each of which is available under Yamana’s issuer profile on SEDAR at www.sedar.com and on EDGAR at www.sec.gov and on Yamana’s website at www.yamana.com. Yamana Shareholders may also request copies of these documents from Yamana’s Senior Vice President, General Counsel and Corporate Secretary by phone at (416) 815-0220 or by email at legal@yamana.com.

 

H-11

 

  

Schedule I

 

INFORMATION CONCERNING PAN AMERICAN

 

Notice to Reader

 

The following information provided by Pan American is presented on a pre-Arrangement basis (except where otherwise indicated) and reflects the current business, financial and share capital position of Pan American. This information should be read in conjunction with the documents incorporated by reference in this Schedule I and the information concerning Pan American appearing elsewhere in this Circular. See “Information Concerning the Combined Company Following the Arrangement” of this Circular for business, financial and share capital information related to Pan American both before and after giving effect to the Arrangement. Capitalized terms used but not otherwise defined in this Schedule I have the meanings ascribed thereto under “Glossary of Terms” in this Circular.

 

Forward-Looking Statements

 

Certain statements contained in this Schedule I, and in the documents incorporated by reference herein, constitute forward-looking statements within the meaning of applicable Securities Laws. Such forward-looking statements relate to future events or Pan American’s future performance. See “Forward-Looking Information” in the Circular to which this Schedule I is attached.

 

Overview

 

Pan American is engaged in the production and sale of silver, gold and base metals including copper, lead and zinc as well as other related activities, including exploration, extraction, processing, and reclamation. Pan American owns and operates silver and gold mines located in Canada, Peru, Mexico, Argentina, and Bolivia. Pan American also owns the Escobal mine in Guatemala, which is currently on care and maintenance pending completion of an ILO 169 consultation process. In addition, Pan American is exploring new silver deposits and opportunities throughout North and South America. Pan American is listed on the TSX and on the Nasdaq under the symbol “PAAS”.

 

Pan American’s vision is to be the world’s premier silver producer, with a reputation for excellence in discovery, engineering, innovation and sustainable development. To achieve this vision, Pan American bases its business on the following strategy:

 

·Generate sustainable profits and superior returns on investments through the safe, efficient and environmentally sound development and operation of silver assets.

 

·Constantly replace and grow silver mineral reserves and mineral resources through targeted near-mine exploration and global business development.

 

·Foster positive long-term relationships with employees, shareholders, communities and local governments through open and honest communication and ethical and sustainable business practices.

 

·Continually search for opportunities to upgrade and improve the quality of silver assets both internally and through acquisition.

 

·Encourage employees to be innovative, responsive and entrepreneurial throughout the entire organization.

 

To execute this strategy, Pan American has assembled a sector-leading team of mining professionals with a depth of knowledge and experience in all aspects of its business, which enables it to confidently advance early stage projects through construction and into operation.

 

I-1

 

 

Pan American is determined to conduct its business in a responsible and sustainable manner. Caring for the environment in which Pan American operates, contributing to the long-term development of its host communities and ensuring that its employees can work in a safe and secure manner are core values at Pan American. Pan American is committed to maintaining positive relations with its employees, the local communities and the government agencies, all of whom it views as partners in the Pan American enterprise.

  

Pan American is a company incorporated under the Laws of the Province of British Columbia. Pan American’s head office is located at 1440 – 625 Howe Street, Vancouver, British Columbia, Canada, V6C 2T6 and its registered and records office located at 1200 Waterfront Centre, 200 Burrard Street, Vancouver, British Columbia, Canada V7X 2T2. Pan American’s telephone number is 604-684-1175 and its website is www.panamericansilver.com. The information contained on this website is not incorporated by reference in this Circular.

 

For further information regarding Pan American, refer to its filings with the Canadian securities regulatory authorities which may be obtained on its issuer profile on SEDAR at www.sedar.com or its filings with the SEC which are available on EDGAR at www.sec.gov.

 

Recent Developments

 

Pan American’s recent developments during 2022 include:

 

·The Guatemalan Ministry of Energy and Mines is leading the court-mandated ILO 169 consultation process with the Xinka People in respect of the Escobal mine in Guatemala, and Pan American is a participant. The final meeting of the pre-consultation phase of the process was held on July 20, 2022, and was formally announced at a joint news conference held by the Xinka Parliament and the Guatemalan Ministry of Energy and Mines. A total of eight meetings were held during the pre-consultation phase. The process has now advanced to the consultation phase.

 

·As previously disclosed, in June 2010, Pan American completed a framework agreement with Aluminum Corporation of China (“Chinalco”), which required the relocation of core Morococha facilities, including the Amistad processing plant, in stages to enable the gradual expansion of Chinalco's Toromocho open pit copper mine. In early 2022, Pan American agreed with Chinalco to complete the closure of the Amistad plant and placed the Morococha operation on care and maintenance as it evaluates alternative opportunities, including monetization, joint venture operation of the asset, or accelerating exploration of prospective areas that could enhance the attractiveness of allocating capital to build a new processing facility.

 

·On May 5, 2022, Pan American announced the release of its 2021 Sustainability Report, describing Pan American's efforts and performance in the areas of ESG and including Pan American’s 2022 goals for ESG performance.

 

·On May 31, 2022, Pan American announced that it was officially confirmed as a signatory to the Voluntary Principles (“VPs”) on Security and Human Rights. The VPs are a set of guidelines by which companies in the extractive sector can maintain the safety and security of their operations while ensuring respect for human rights and fundamental freedoms. Since late 2020, Pan American has been implementing the VPs at all its operations, including the Escobal site in Guatemala that is on care and maintenance. As of January 2022, all of Pan American’s operations were compliant with the VPs on Security and Human Rights. Training and audits will be performed on an annual basis and progress reported upon in Pan American’s annual sustainability report.

 

·On May 31, 2022, Pan American announced that it has been accepted as an Observer of the International Code of Conduct Association (“ICoCA”) for Security Providers. Pan American has requested that all its contracted security providers qualify as a member of good standing of ICoCA, and the Observer status allows it to monitor the implementation of procedures and practices by its contracted security providers to comply with ICoCA’s International Code of Conduct. Pan American's Communities and Sustainable Development Committee of the Pan American Board regularly reviews security matters, incidents, and activities across Pan American.

 

I-2

 

 

·On September 14, 2022, Pan American announced an updated mineral resource estimate for its 100% owned La Colorada Skarn deposit in Zacatecas, Mexico. The estimated indicated mineral resource totals 95.9 million tonnes containing 94.4 million ounces of silver grading 31 g/t, 2.7 million tonnes of zinc grading 2.77% and 1.2 million tonnes of lead grading 1.28%. In addition, the estimated inferred mineral resource now totals 147.8 million tonnes containing 132.9 million ounces of silver grading 28 g/t, 3.4 million tonnes of zinc grading 2.29% and 1.5 million tonnes of lead grading 1.04%. The updated mineral resource estimate is a significant increase relative to Pan American’s previous mineral resource estimate released on August 4, 2020.1

   

·On November 4, 2022, Pan American and Agnico announced that they had submitted the New Offer to Yamana with respect to the Arrangement. The Yamana Board determined in good faith, after consultation with its outside financial and legal advisors and upon the unanimous recommendation of the Yamana Special Committee, that such binding offer constituted a “Yamana Superior Proposal” as defined by, and in accordance with, the terms of the Gold Fields Arrangement Agreement. Following a waiver by Gold Fields of its five business day matching right and response period under the Gold Fields Arrangement Agreement, on November 8, 2022, the Yamana Board changed its recommendation with respect to the pending transaction with Gold Fields and unanimously recommended that Yamana Shareholders vote against the transaction with Gold Fields at the special meeting of Yamana Shareholders which was scheduled for November 21, 2022. The Arrangement Agreement, as a “Permitted Acquisition Agreement” under the Gold Fields Arrangement Agreement, required that, until such time as the Gold Fields Arrangement Agreement had been terminated in accordance with its terms, all of the obligations of Yamana (other than confidentiality and standstill obligations) in the Arrangement Agreement would become effective only upon the Gold Fields Arrangement Agreement not being approved by Yamana Shareholders at the shareholder meeting. On November 8, 2022, Gold Fields terminated the Gold Fields Arrangement Agreement and the Arrangement Agreement became effective as of the time of such termination. The special meeting of Yamana Shareholders previously scheduled for November 21, 2022, in connection with the pending transaction with Gold Fields was cancelled, and Yamana paid a termination fee of US$300 million, less applicable withholding taxes, to Gold Fields in accordance with the Gold Fields Arrangement Agreement, US$150 million of which was funded by Pan American in accordance with the terms of the Arrangement Agreement.

 

Description of Share Capital

 

As of December 19, 2022, there were: (i) 210,688,063 Pan American Shares validly issued and outstanding as fully-paid and non-assessable shares; (ii) 376,967 outstanding Pan American options providing for the issuance of 376,967 Pan American Shares upon the exercise thereof; (iii) 313,883,990 outstanding Pan American CVRs (as defined below) providing for the issuance of 15,600,034 Pan American Shares upon the exercise thereof; and (iv) 554,932 outstanding Pan American restricted share units providing for the issuance of 554,932 Pan American Shares upon the exercise thereof. The Pan American Shares are listed on the TSX and Nasdaq under the symbol “PAAS”.

 

The holders of Pan American Shares are entitled to one vote per share at all meetings of Pan American Shareholders, to receive dividends as and when declared by the Pan American Board and to receive a pro rata share of its assets available for distribution to the shareholders in the event of the liquidation, dissolution or winding-up Pan American. There are no pre-emptive, conversion or redemption rights attached to the Pan American Shares.

 

In connection with Pan American’s acquisition of Tahoe Resources Inc. (“Tahoe”), Pan American issued 313,887,490 contingent value rights (each, a “Pan American CVR”) to Tahoe shareholders, each Pan American CVR having a term of ten years and being exchangeable for 0.0497 of a Pan American Share upon first commercial shipment of concentrate following restart of operations at the Escobal mine. The Pan American CVRs are not entitled to any voting or dividend rights, and the Pan American CVRs do not represent any equity or ownership interest in Pan American or any of its affiliates.

 

 

1 Please see Pan American’s news release dated September 14, 2022 for details on the mineral resource estimate for the La Colorada Skarn deposit available electronically on Pan American’s issuer profile on SEDAR at www.sedar.com or in the United States through EDGAR at the website of the SEC at www.sec.gov.

 

I-3

 

 

Dividends

  

The Pan American Board approved a dividend policy on February 23, 2022, which adds a variable amount to a base dividend of US$0.10 per common share paid on a quarterly basis. The variable quarterly dividend will be linked to the net cash on the balance sheet for the previous quarter, as illustrated in the following table:

 

Net Cash(1)  Base Dividend per
Quarter
  Variable Dividend
per Quarter
  Total Dividend per
Quarter
Less than US$100 million  US$0.10 per share  US$0.00 per share  US$0.10 per share
US$100 million to less than US$200 million  US$0.10 per share  US$0.01 per share  US$0.11 per share
US$200 million to less than US$300 million  US$0.10 per share  US$0.02 per share  US$0.12 per share
US$300 million to less than US$400 million  US$0.10 per share  US$0.06 per share  US$0.16 per share
US$400 million or greater  US$0.10 per share  US$0.08 per share  US$0.18 per share

 

Note:

 

(1)Net cash and total debt are non-GAAP measures; please refer to the “Non-GAAP and IFRS Measures” section of this Circular for further information.

 

Specific dates and amounts of future dividends will be determined by the Pan American Board on an ongoing basis. The Pan American Board will consider, among other things, present economic conditions and the then current activities of Pan American when determining the amount and timing of future dividends.

 

Consolidated Capitalization

 

See “Pro Forma Capitalization” under the heading “Information Concerning the Combined Company Following the Arrangement” in this Circular for details.

 

Price Range and Trading Volumes of Pan American Shares

 

The principal markets on which the Pan American Shares trade are the TSX and Nasdaq.

 

TSX

 

The following table sets forth, for the periods indicated, the reported high and low quotations and the aggregate volume of trading of the Pan American Shares on the TSX.

 

Month   High (C$)   Low (C$)   Monthly Volume 
December 2021    33.14    27.65    8,597,413 
January 2022    31.77    26.52    10,159,249 
February 2022    32.34    26.59    11,053,233 
March 2022    37.17    30.09    16,818,596 
April 2022    38.51    31.14    8,165,603 
May 2022    33.38    26.92    8,922,268 
June 2022    30.45    25.24    9,133,878 
July 2022    26.28    22.81    8,044,108 
August 2022    27.45    19.48    11,384,567 
September 2022    22.38    18.95    12,420,831 
October 2022    23.77    21.00    9,728,712 
November 2022    22.61    18.14    23,325,137 
December 2022(1)    23.66    21.36    9,238,463 

 

Note:

 

(1)From December 1 to December 19, 2022

 

I-4

 

 

The closing price of the Pan American Shares on the TSX on November 3, 2022, the last trading day prior to the announcement of Pan American and Agnico’s intention to acquire Yamana, was C$20.93. The closing price of the Pan American Shares on the TSX on December 19, 2022, was C$21.42.

 

Nasdaq

 

The following table sets forth, for the periods indicated, the reported high and low quotations and the aggregate volume of trading of the Pan American Shares on the Nasdaq.

 

Month    High (US$)   Low (US$)   Monthly Volume 
December 2021     25.17    22.09    12,286,222 
January 2022     24.90    21.13    13,821,581 
February 2022     24.60    21.22    12,970,148 
March 2022     28.30    25.56    19,433,685 
April 2022     29.95    24.38    11,676,756 
May 2022     25.89    21.01    11,926,065 
June 2022     23.99    19.67    11,420,683 
July 2022     20.33    18.05    11,380,084 
August 2022     21.08    14.88    15,607,782 
September 2022     16.57    14.50    13,825,455 
October 2022     17.25    15.32    1,685,700 
November 2022     16.39    13.64    32,771,368 
December 2022(1)     17.50    15.70    11,185,094 

  

Note:

 

(1)From December 1 to December 19, 2022

 

I-5

 

 

The closing price of the Pan American Shares on the Nasdaq on November 3, 2022, the last trading day prior to the announcement of Pan American and Agnico’s intention to acquire Yamana, was US$15.25. The closing price of the Pan American Shares on the Nasdaq on December 19, 2022, was US$15.70.

  

Prior Sales

 

The following table sets forth information in respect of issuances or purchases of Pan American Shares and securities that are convertible or exchangeable into Pan American Shares within the 12 months prior to the date of this Circular, including the price at which such securities have been issued, the number of securities issued, and the date on which such securities were issued:

 

Date of Issuance   Price per Security
or Exercise Price
   Number and Type of Security   Reason for
Issuance
March 8, 2022   C$9.76   16,576    Common Shares   Option exercise
March 14, 2022   C$26.54   555    Common Shares   Option exercise
March 31, 2022   C$23.61   9,799    Common Shares   Option exercise
April 6, 2022   C$17.53   5,848    Common Shares   Option exercise
April 7, 2022   C$17.53   4,318    Common Shares   Option exercise
April 8, 2022   C$17.53   2,000    Common Shares   Option exercise
April 12, 2022   C$9.76   4,535    Common Shares   Option exercise
April 13, 2022   C$18.64   10,064    Common Shares   Option exercise
May 25, 2022   C$28.48   14,745    Common Shares(1)   Compensation
August 25, 2022   C$17.02   12,245    Common Shares   Option exercise
December 5, 2022   C$9.76   10,000    Common Shares   Option exercise
December 8, 2022   C$9.76   3,602    Common Shares   Option exercise
December 9, 2022   C$22.95   136,252    Common Shares(2)   Compensation
December 9, 2022   C$22.95   191,649    Options(2)   Compensation
December 9, 2022   C$22.95   341,060    RSUs(2)   Compensation

 

Note:

 

(1)Issued to Pan American directors as part of their annual director's compensation.

(2)Issued to Pan American employees pursuant to its long-term incentive plan.

 

Material Contracts

 

Except as otherwise disclosed in this Circular and as discussed in the Pan American AIF, during the 12 months prior to the date of this Circular, Pan American has not entered into any contracts, nor are there any contracts still in effect, that are material to Pan American or any of its Subsidiaries, other than contracts entered into in the ordinary course of business. See “Material Contracts” in the Pan American Annual Information Form, which is incorporated by reference in this Circular.

 

I-6

 

 

 

Risk Factors

 

An investment in the securities of Pan American, including the Pan American Shares, is subject to certain risks. Investors should carefully consider the risk factors described under the heading “Risks Related to our Business” in the Pan American AIF and under the heading “Risks and Uncertainties” in the MD&A of Pan American for the three and nine months ended September 30, 2022 and 2021, both of which are incorporated by reference in this Circular, as well as the risk factors set forth elsewhere in this Circular. The risk factors identified in this Circular and the documents incorporated by reference are not exhaustive and other factors may arise in the future that are currently not foreseen by management of Pan American that may present additional risks in the future.

 

Description of Mineral Properties

 

Pursuant to National Instrument 51-102 – Continuous Disclosure Obligations (“NI 51-102”), Pan American has identified the following properties and projects as being material to Pan American as at the date hereof: the La Colorada mine, the Dolores mine, the Huaron mine, the Shahuindo mine, the Timmins West mine and the Bell Creek mine. Pan American has also identified the currently-suspended Escobal mine as a material property. Pan American does not consider any of its other mines, development or investment properties to be material properties for the purposes of NI 51-102.

 

Information regarding the La Colorada mine, the Timmins West mine, the Bell Creek mine and the Escobal mine is set out in the Pan American AIF, which is incorporated by reference herein. The following information contains property summaries for the Dolores mine, Huaron mine and Shahuindo mine, which supersedes any information pertaining to these properties, their mineral reserves and their mineral resources set out in the Pan American AIF.

 

Dolores Mine

 

Scientific and technical disclosure in this Circular for the Dolores mine is based on the technical report relating to the Dolores mine entitled “Technical Report for the Dolores Property, Chihuahua, Mexico” dated effective June 30, 2022, by M. Wafforn, C. Emerson and A. Delgado prepared in accordance with NI 43-101. This technical report has been filed under Pan American’s issuer profile on SEDAR at www.sedar.com and on EDGAR at www.sec.gov.

 

Project Description, Location, and Access

 

The Dolores mine is an open pit silver-gold mine located in Chihuahua state, Mexico, approximately 250 km west of the city of Chihuahua. The main road access to the Dolores mine is via 92 km of unpaved roads leading north from Yepachic, Chihuahua. An unpaved landing strip suitable for light aircraft is located about eight kilometers from the mine and provides access for personnel.

 

The Dolores mine mineral rights are held under three contiguous mining concessions with a total area of 27,700 hectares. Pan American makes the required payments to maintain the mining concessions and have agreements in place granting surface rights and legal access to the mining operations. To Pan American’s knowledge, all obligations required for the conduct of mining operations at the Dolores mine are currently in good standing.

 

Ejido Huizopa, a local ejido community, owns the majority of the surface rights on the Dolores mine. An ejido is an area of communal land registered with the National Agrarian Registry of Mexico and parceled out to community members for agricultural use. Pan American has surface rights agreements with Ejido Huizopa and with several individual members of Ejido Huizopa dating from November 2006, which allow for irrevocable access and the right to carry out exploration and mining activities for a term of 15 years with a right to extend for a further 15 years. The agreement was renegotiated in 2009 so the initial 15-year period extends until 2024. Discussions on the terms of the 15-year extension are already in progress. These surface rights provide Pan American with access to Pan American’s mining operations, waste storage areas, heap leach pad areas, and other facilities.

 

All of the known mineralized zones, mineral resources and mineral reserves, mine workings, processing plant, effluent management and treatment systems, and heap leach pad areas relating to the Dolores mine are located within the boundaries of the concessions and surface rights.

 

A net smelter return royalty of 2.5% on silver production and 3.75% on gold production is payable to RG Mexico Inc., a Subsidiary of Royal Gold Inc. and the government of Mexico. There are no other known back-in rights, payments, agreements, or encumbrances in place.

 

I-7

 

 

While there are no known significant factors or risks that Pan American currently expects to be reasonably likely to affect access or title, or the right or ability to perform work on the Dolores mine, including permitting and environmental liabilities, see “Risks Related to our Business” in the Pan American AIF, which is incorporated by reference into this Circular.

 

History

 

After some earlier work consisting of placer mining, which began in the region of the Dolores mine in the 1860s and was, followed by lode mining in 1898, the Dolores mine lay idle until Minefinders Corp. Ltd. (“Minefinders”) acquired the Dolores mine in 1993.

 

Pan American acquired the Dolores mine from Minefinders at the end of March 2012 and assumed control of open pit mining operations in April 2012. Pan American has operated the mine since then, have built increased heap leach pad capacity, connected the mine to the Chihuahua electrical grid with a power line and constructed a pulp agglomeration plant. In addition, Pan American commenced underground mining in 2016 and after nearly six years of mining put the underground mining operation on care and maintenance in April 2022.

 

Geological Setting, Mineralization, and Deposit Types

 

The Dolores mine is located in the Sierra Madre Occidental volcanic belt, which comprises calc-alkaline batholiths and volcano sedimentary rocks of the Lower Volcanic Series and ignimbrites of the Upper Volcanic Series.

 

The San Francisco fault and its footwall host most of the mineralization at the Dolores mine. The immediate footwall and hanging wall of the fault forms a 500 metre wide northwest-striking corridor of igneous intrusions.

 

Low sulphidation epithermal silver and gold mineralization is hosted in north-northwest trending hydrothermal breccias and sheeted vein zones in the order of five metres to ten metres wide. Most high grade mineralization occurs along three major structures. Silver and gold mineralization identified on the surface lies over an area 4,000 metres long and up to 1,000 metres wide.

 

The highest grade mineralization at the Dolores mine occurs within the San Francisco Breccia, a well-defined and continuous hydrothermal breccia and stockwork zone that occurs in the immediate footwall of the post-mineralization San Francisco fault. The breccia trends further away from the fault towards the north until it joins a second major breccia zone known as the Alma Maria Breccia.

 

Hydrothermal breccias carry the highest silver and gold grades and pass outward into vein stock works. The veins are thin, rarely over 30 millimetres, and tend to occur as sheeted swarms. Economically mineable grades occur where the veins are sufficiently closely spaced.

 

Exploration

 

Minefinders carried out reconnaissance geological mapping, detailed mapping, and geophysical surveys including induced polarization surveys, resistivity surveys, and magnetic surveys. Minefinders also collected rock chip samples from the surface and underground, and followed up on promising targets with both reverse circulation and diamond drilling.

 

Since Pan American acquired the Dolores mine, staff and consulting structural geologists have carried out near mine surface geological and structural mapping, and surface sampling on the continuity of the San Francisco and Alma Maria structures. The Dolores mine has been in operation for some time and exploration has not been a focus. Mapping and sampling adjacent to the deposit has assisted in demonstrating continuity of the structures and aided in interpretation.

 

Drilling

 

From September 2016 until June 2022, Pan American has carried out both surface and underground drilling. Drilling is conducted by private drilling contractors under the supervision of the mine geology department. Drilling is by diamond drilling from surface and underground and by reverse circulation drilling using industry standard drill machines and downhole survey tools. Pan American will continue to explore the deposit at depth, testing the down dip extensions of the currently defined mineralization.

 

I-8

 

 

Sampling, Analysis, and Data Verification

 

Reverse circulation drillholes were sampled from the length of each drill rod and diamond drillhole samples are selected according to geological features. Most drill core samples have been taken at 2 metre intervals. The samples are maintained in secure facilities and are under the control of Pan American employees or the independent laboratory at all times. Pan American has no reason to believe that the validity and integrity of the samples has been compromised.

 

For Minefinders, samples were collected by truck from the Dolores mine by the commercial sample preparation laboratory in use at the time, which included Bondar-Clegg (since acquired by ALS) of Chihuahua, Mexico, ALS of Hermosillo, Mexico, or Inspectorate of Hermosillo, Mexico. For Pan American, the samples were collected weekly from site by the Durango laboratory of SGS until 2019. Currently, samples for offsite analysis are collected by Actlabs laboratories located in Zacatecas. This alternates with Pan American’s own internal laboratory. Offsite samples are taken to the laboratory for sample preparation and analysis, and the handover is at the Dolores mine. The cores are kept in a secure core storage area where all historical and Pan American cores are stored.

 

Silver assays were mostly prepared using a multi-acid digestion technique and atomic absorption (“AA”) spectrometry. Any assay overlimits were re-assayed using fire assay with gravimetric finish. Gold was analyzed using fire assay with AA finish and with gravimetric finish for any AA overlimits. Since acquiring the Dolores mine, Pan American has sent samples to SGS Laboratories in Durango, Mexico. Samples are assayed for gold using fire assay with AA finish, and by fire assay with gravimetric finish for any AA overlimits. Silver is analysed by three acid digestion with inductively coupled plasma atomic emission spectroscopy (“ICP-AES”) finish for trace silver values, by three acid digest with AA finish for ICP-AES overlimits, and by fire assay with gravimetric finish for any AA overlimits.

 

The mine geology department conducts a quality assurance/quality control (“QAQC”) program that is independent from the laboratory. The program includes the insertion of certified reference material (“CRM”), blanks and duplicate samples. QAQC compliance over the 2012 to mid-2022 period is slightly below the accepted norms for the whole period. CRMs contain standard, predetermined concentrations of material (silver and gold in this case) which are inserted into the sample stream to check the analytical accuracy of the laboratory. While most CRMs have performed well, significant dispersion on certain CRMs for silver and gold has been recorded. All samples associated with the failed standard were sent for re-analysis as part of the QAQC protocol. The silver failures are a mixture of high and low and do not show any bias. The gold failures mostly associated with the higher CRM gold grade. Pan American has implemented a program whereby any failures are noted immediately and re-analyzed where appropriate. Overall, the CRM performance shows acceptable laboratory accuracy.

 

Mineral Processing and Metallurgical Testing

 

Following acquisition of the mine in April 2012, Pan American established a metallurgical test program. Pan American selected 521 drill core samples that represented the deposit in terms of grade, ore type (oxidation state), and lithology in the proportions expected to be processed during the life-of-mine (“LOM”). Test work included cyanidation column leach tests, grinding and comminution studies, filtration tests, compaction and permeability tests. In addition, monthly production composites of the heap leach material and pulp agglomerates are collected, and column leach tests are carried out as part of the metallurgical test-work quality control.

 

I-9

 

 

Mineral Resource and Mineral Reserve Estimates

 

Pan American management estimates that mineral reserves for the Dolores mine, effective June 30, 2022, are as follows:

 

      Tonnes   Grade   Contained metal 
Location  Category  Mt   Ag g/t   Au g/t   Ag Moz   Au koz 
   Proven   9.2    22    0.70    6.4    205.3 
Open pit  Probable   4.1    18    0.60    2.4    77.7 
   Total   13.2    21    0.66    8.8    283.0 
   Proven   3.7    18    0.25    2.2    30.0 
Stockpiles  Probable                  -    - 
   Total   3.7    18    0.25    2.2    30.0 
   Proven   12.9    21    0.57    8.6    235.4 
Total  Probable   4.1    18    0.60    2.4    77.7 
   Total Reserves (Proven and Probable)   17.0    20    0.57    11.0    313.1 

 

Notes:

 

(1)Cut-off values use a value/tonne calculation. The value/tonne is based on a combination of metal price and individual metal recoveries which are variable throughout the deposit. The cut-offs used to report the open pit are a value/tonne of US$12.30 for heap leach and US$26.50 for pulp agglomeration. Totals may not compute exactly due to rounding.
(2)Metal prices used are US$19 per ounce of silver and US$1,600 per ounce of gold.
(3)Mineral reserve estimates were prepared under the supervision of or were reviewed by Martin Wafforn, Senior Vice President, Technical Services and Process Optimization of Pan American.
(4)Mineral reserves are in addition to mineral resources.

 

Pan American management estimates that mineral resources at the Dolores mine, effective June 30, 2022, are as follows:

 

   Tonnes   Grade   Contained metal 
Classification  Mt   Ag g/t   Au g/t   Ag Moz   Au koz 
Measured   2.1    30    0.53    2.1    36.5 
Indicated   0.8    57    1.13    1.5    29.7 
Measured + Indicated   3.0    38    0.70    3.6    66.2 
Inferred   2.5    29    0.92    2.4    74.4 

 

Notes:

 

(1)Mineral resources exclude those mineral resources converted to mineral reserves. Mineral resources that are not mineral reserves do not have demonstrated economic viability.

(2)The cut-offs used to report the open pit are a value/tonne of US$12.30 for heap leach and US$26.50 for pulp agglomeration. The cut-off used to report the underground area is a value/tonne of US$73.5, and all material is assumed to be processed through the pulp agglomeration plant.
(3)Metal prices used are US$22 per ounce of silver and US$1,700 per ounce of gold. Totals may not add up due to rounding.

(4)Mineral resource estimates were prepared under the supervision of or were reviewed by Christopher Emerson, FAusIMM, Vice President, Business Development and Geology of Pan American.

 

Mineral resource estimates were prepared using kriging methods within three-dimensional geological interpretations. The block model was classified for measured, indicated, and inferred confidence categories depending on the location of the block relative to the number of drillhole intersections available to estimate each block, as well as other factors affecting confidence in the estimate.

 

The mineral resource estimate is depleted annually for mining in the previous year. Planned dilution and loss are applied to the block model and a value per tonne is applied to each block. An optimized pit shell was selected after using Whittle software to generate a series of nested pits using geotechnical parameters and the measured and indicated class only blocks in the mineral resource model. Inferred and waste class blocks were assigned no value. Using the selected pit shell as a basis, MineSight software was used to add in ramps, phases, and practical access to complete a pit design. The final pit design develops in a series of phased outward expansions. Mineral resources that can be economically mined are converted to mineral reserves.

 

Mineral reserve and mineral resource estimates are based on assumptions that include mining, metallurgical, infrastructure, permitting, taxation, and economic parameters. Increasing costs and taxation and lower metal prices will have a negative impact on the quantity of estimated mineral reserves and mineral resources. There are no other known factors that may have a material impact on the estimate of mineral reserves and mineral resources.

 

Mining Operations

 

Mining at the Dolores mine is by standard open pit methods using shovels, loaders, and haul trucks.

 

I-10

 

 

Processing and Recovery Operations

 

The Dolores mine uses conventional cyanide heap leaching and Merrill-Crowe technology on the crushed ores to produce gold and silver doré. The high grade portion of the ore is processed through the pulp agglomeration treatment plant and is conveyed with the lower grade portion to the heap leach pads for leaching. The pulp agglomeration plant is comprised of crushing, grinding, particle size classification, filtration, agglomeration, and reagent facilities. The average combined plant throughput of the high grade and low grade portions has been 21,300 tonnes per day (tpd).

 

From the acquisition of the Dolores mine in 2012 to June 30, 2022, Pan American has stacked 66.7 million tonnes of ore on the leach pads, producing 1,042.5 thousand ounces of gold and 38.8 million ounces of silver.

 

Pan American has contracts in place with Asahi Refining USA Inc. of Salt Lake City, Utah, Republic Metals Corporation of Miami, Florida, and Met-Mex Peñoles S.A. de C.V. of Torreon, Mexico, for refining the doré produced at the Dolores mine. The doré is transported to these facilities where it is refined to the London Good Delivery specification. Once refined, the good delivery gold and silver is sold on the international market to bullion banks, financial institutions, and traders. To date, no issues have been encountered in securing the sale of the refined metal from the Dolores mine, however, there can be no certainty that Pan American will always be able to do so or what terms will be available at the time. See “Risks Related to Our Business” in the Pan American AIF, which is incorporated by reference into this Circular.

 

Pan American’s revenue from the doré produced by the Dolores mine was as follows:

 

2021    Revenue1,2   Quantity Sold
Silver and Gold in Doré    US$ 342.6 million   2,309,100 ounces of silver
158,071 ounces of gold

 

2020    Revenue1,2   Quantity Sold
Silver and Gold in Doré    US$ 250.2 million   4,063,450 ounces of silver
96,179 ounces of gold

 

2019    Revenue1,2   Quantity Sold
Silver and Gold in Doré    US$ 248.7 million   4,924,110 ounces of silver
120,731 ounces of gold

 

Notes:

 

(1)Consists of sales to arm’s length customers.

(2)Calculated as gross revenue plus export credit incentives (as applicable), less treatment and refining charges and export taxes.

 

Infrastructure, Permitting, and Compliance Activities

 

The mine workings, processing facilities, leach pads, waste disposal areas, effluent management and treatment facilities, roads, and power and water lines have all been constructed and are located within the boundaries of the mining leases and surface rights controlled by Pan American. A 98 km long power line, connected to the Mexican national grid in 2016, supplies power to the mine and is sufficient for the current needs of the operation. Back-up power is available on site by six 1,800 kilowatt Cummins and two 1,200 kilowatt Caterpillar diesel generators.

 

To the best of Pan American’s knowledge, it holds all necessary environmental and operating permits for the development and operation of the mine and are in compliance with Mexican Law in all material aspects. The Environmental Impact Study or Manifestation permit, originally obtained in 2006, was updated in April 28, 2022 to cover phase 11 of the pit and the remaining mine life.

 

Water for the operations is sourced from wells, pit and underground dewatering, and an onsite water storage dam (the Chabacan dam has a capacity of 1.2 million cubic metres), with a back-up system to supply water from the nearby Tutuaca River, if required. The permitted water usage from the Tutuaca River is 2.0 million cubic metres per annum at a maximum rate of 64 liters per second and the water extraction permit remains in good standing should it be required in the future.

 

A closure cost estimate for the Dolores mine prepared according to State of Nevada approved Standard Reclamation Cost Estimator (“SRCE”) methodology is updated every year. The current SRCE model estimates the undiscounted value of reclamation costs or environmental liability for the Dolores mine to be approximately US$64.1 million. Reclamation bonds are not currently a legal requirement in Mexico. See “Narrative Description of the Business – Environment, Social and Governance” in the Pan American AIF, which is incorporated by reference into this Circular.

 

I-11

 

 

Capital and Operating Costs

 

Pan American estimates that sustaining capital expenditures in 2022 will be US$33.4 million, primarily for pre stripping of phase 10a and the construction of heap leach pad capacity. Future sustaining capital costs will be dependent on requirements and reserve growth if any. The cost of constructing heap leach pad capacity is estimated to average US$2.62 per tonne over the remainder of the mineral reserves.

 

The direct operating costs at the Dolores mine for 2022 are estimated to total approximately US$185.8 million.

 

Exploration, Development, and Production

 

The Dolores mine was originally expected to produce between approximately 2.85 and 3.15 million ounces of silver and between 157.5 and 179.0 thousand ounces of gold in 2022, however the anticipated 2022 silver and gold production from the Dolores mine is expected to decrease primarily as a result of negative grade reconciliation on Phase 9B of the open pit. Pan American plans to complete brownfield exploration in 2022, including 5,000 metres of drilling.

 

Huaron Mine

 

Scientific and technical disclosure in this Circular for the Huaron mine is based on the technical report relating to the Huaron mine entitled “Technical Report for the Huaron Property, Pasco, Peru” dated effective October 30, 2022, by M. Wafforn , C. Emerson and A. Delgado prepared in accordance with NI 43-101. This technical report has been filed on Pan American’s issuer profile on SEDAR at www.sedar.com and on EDGAR at www.sec.com.

 

Project Description, Location, and Access

 

The Huaron mine is an underground silver mine located 320 kilometres northeast of Lima in the Huayllay district of the province of Pasco in Peru. The nearest town is Cerro de Pasco, and access from Lima is available by rail or paved highway.

 

Pan American is the 100% owner of the Huaron mine and the mining concessions, through its wholly-owned Subsidiary, Pan American Silver Huaron S.A. The mineral rights are held on 171 mining concessions with a combined area of 15,576.31 hectares. There are three types of concessions present on the Huaron mine, including mining concessions, which grant holders of the concessions the right to explore and exploit the mineral resources within the concession; processing concessions, which grant the right to process minerals, and concessions which grant the right to provide auxiliary services to the mining concessions. Mining concession titles have been granted by and are registered with the Institute of Geology, Mining, and Metallurgy of Peru, and Pan American pays an annual fee to keep the licenses in good standing.

 

The known mineralized zones, mineral resources, mineral reserves, mine workings, processing plant, tailing storage facilities, effluent management and treatment systems, and waste rock storage facilities are located within Pan American’s concessions.

 

To the best of Pan American’s knowledge, the Huaron mine is not subject to any overrides, back-in rights, payments, or other agreements and encumbrances. Pan American’s Peruvian operations are subject to governmental taxes, fees and duties, including a mining royalty tax and a special mining tax (“SMT”). The royalty is applied on a company’s operating income and is based on a sliding scale with marginal rates ranging from 1% to 12% with a minimum royalty rate of 1% of sales regardless of its profitability.

 

While there are no known significant factors or risks that Pan American currently expects to be reasonably likely to affect access or title, or the right or ability to perform work on the Huaron mine, including permitting and environmental liabilities, please see “Risks Related to Our Business” in the Pan American AIF, which is incorporated by reference into this Circular.

 

History

 

The first underground mine, mill, and supporting villages were originally built in 1912 by a Subsidiary of the French Penarroya Company and was sold to Mauricio Hochschild & Cia. Ltda. (“Hochschild”) in 1987. In April 1998, a portion of the bed of the nearby Lake Naticocha collapsed and flooded the neighbouring Animon underground mine and then the Huaron mine through interconnected tunnels, causing its closure. The water level in the lake, which provided the source of floodwater, is currently maintained well below the level where it flooded into the old workings and Pan American does not expect further flooding.

 

I-12

 

 

There is no available exploration data collected by previous operators other than diamond drilling. Channel samples were taken by the French Penarroya Company and by Hochschild, but no details on the nature and results of the samples are available, and none of the channel samples collected by previous owners are used in the estimation of mineral resources and mineral reserves.

 

Prior to Pan American’s acquisition of the Huaron mine, approximately 22 million tonnes of silver-rich base metal sulphide ore was produced at the Huaron mine and processed on site.

 

Pan American has been producing from the Huaron mine since 2001.

 

Geological Setting, Mineralization, and Deposit Types

 

The Huaron mine is located within the Western Cordillera of the Andes Mountains and the regional geology is dominated by Machay Group limestones and Pocobamba continental sedimentary rocks. These groups have been deformed by the Huaron mine anticline, the dominant structural feature of the area. The limestones and sedimentary rocks are strongly folded and intruded by quartz monzonites and quartz monzonite dikes with associated fracturing. Following the intrusion of the dikes, the sedimentary rocks were further compressed and fractured, and the fractures were subsequently mineralized by hydrothermal fluids forming the Huaron mine deposit.

 

The main lithology in the area of the Huaron mine is a sequence of continental redbeds of the Casapalca Formation which unconformably overlie massive marine limestones. North-south trending sub-vertical porphyritic quartz monzonite dykes crosscut the mine stratigraphy. The Huaron mine deposit is located within an anticline with an axis striking approximately north-south and plunging gently to the north. There are two main fault systems. One system comprises north-south striking thrust faults, parallel to the axis of the anticline, and the other comprises east-west striking tensional faults.

 

The Huaron mine is a hydrothermal polymetallic deposit of silver, lead, zinc, and copper mineralization hosted within structures likely related to the intrusion of monzonite dikes, principally located within the Huaron mine anticline. Mineralization is encountered in veins parallel to the main fault systems, in replacement bodies known as “mantos” associated with the calcareous sections of the conglomerates and other favourable stratigraphic horizons, and as dissemination in the monzonitic intrusions at vein intersections.

 

The mineralized veins vary from a few centimetres to up to 10 metres wide, and may extend along strike for up to 1,800 metres. Vein orientations vary but generally trend east-west or north-south.

 

Exploration

 

The historical exploration work was carried out in the form of underground drifting and mining, and no historical mineral resource and mineral reserve estimates were completed or published. Since Pan American acquired the Huaron mine, exploration has comprised underground diamond drilling and channel sampling, which is used to estimate mineral resources and mineral reserves.

 

Drilling

 

All underground holes are drilled by an external drilling contractor under Pan American supervision. Drilling is carried out using industry standard underground diamond drill rigs capable of drilling BQ, NQ, and HQ diameter core. The collar coordinates and bearing and dip are surveyed with a total station instrument and the drillhole deviation is measured regularly using a down hole survey instrument.

 

Sampling, Analysis, and Data Verification

 

Diamond drillhole and underground channel samples vary between 0.1 metres and 1.5 metres in length. No specific security measures are taken with the samples, but as the samples are prepared and analyzed within the confines of the general mine security enclosures, there is no reason to believe that the validity and integrity of the samples have been compromised.

 

I-13

 

 

Both channel and drill core samples are placed in new, clean plastic bags with two sample number tags on the inside and one number and barcode tag on the outside. The bags are sealed with a metal strip prior to transmission to the on-site laboratory, which is not certified by any standards association but is managed and operated by the international commercial laboratory firm, SGS (Certifications: ISO 14001, OHSAS 18001, NTP-ISO/IEC 17020, NTP-ISO/IEC 17025 AND NTP-ISO/IEC 17065) until June 2021 and Inspectorate Bureau Veritas (Certifications: ISO 9001, ISO 17025, ISO 45001 and ISO 14001) after June 2021. Assays for silver, zinc, lead, and copper are performed using acid digestion and AA finish.

 

The mine geology department conducts a QAQC program that is independent from the laboratory. The program includes the insertion of certified standards, blanks and duplicate samples. There is evidence of standard and blank identification labelling errors, but overall, the results were acceptable and indicate reasonable accuracy at the laboratory.

 

Mineral Processing and Metallurgical Testing

 

As part of normal plant operating procedures, routine metallurgical test work is undertaken on an annual basis to evaluate veins metallurgical performance and to manage the ore blend necessary to produce an optimal concentrate product. Metal recovery forecasts used in Pan American’s mine plans are based on the historical performance of the plant operations and the tonnes and grade of material that is planned to be mined.

 

Mineral Resource and Mineral Reserve Estimates

 

Pan American management estimates that mineral reserves at the Huaron mine, effective June 30, 2022, are as follows:

 

Classification  Tonnes Mt   Ag g/t   Ag contained
metal Moz
   Cu %   Pb %   Zn % 
Proven   7.0    169    38.1    0.54    1.51    2.97 
Probable   3.9    167    21.1    0.30    1.63    2.97 
Proven + Probable   11    168    59.2    0.45    1.55    2.97 

 

Notes:

 

(1)Cut-off values are based on a silver metal price of US$19/oz, lead metal price of US$2,000/t, zinc metal price of US$2,600/t, and US$7,000/t of copper. Metallurgical recoveries are based on feed grades, routine metallurgical testing results and historical recoveries. Totals may not compute exactly due to rounding.

(2)Mineral reserve estimates were prepared under the supervision of or were reviewed by Martin Wafforn, P.Eng., Vice President, Technical Services of Pan American.

(3)Mineral reserves are in addition to mineral resources.

 

I-14

 

 

Pan American management estimates that mineral resource estimates at the Huaron mine, effective June 30, 2022 are as follows:

 

Classification  Tonnes Mt   Ag g/t   Ag contained
metal Moz
   Cu %   Pb %   Zn % 
Measured   2.08    163    10.88    0.42    1.58    3.05 
Indicated   2.37    166    12.69    0.40    1.71    2.92 
Measured + Indicated   4.46    165    23.57    0.41    1.65    2.98 
Inferred   7.25    155    36.13    0.26    1.47    2.73 

 

Notes:

 

(1)Mineral resources exclude those mineral resources converted to mineral reserves. Mineral resources that are not mineral reserves do not have demonstrated economic viability.

(2)The mineral resource estimates are based on an incremental cut-off value of US$80.59/t.
(3)Metal prices used are US$19 per ounce of silver, US$7,000/t for copper, US$2,000/t for lead, and US$2,600/t for zinc. Totals may not add up due to rounding.

(4)Mineral resource estimates were prepared under the supervision of or were reviewed by Christopher Emerson, FAusIMM, Vice President, Business Development and Geology of Pan American.

 

Mineralization domains representing most of the principal vein structures were defined in Leapfrog Geo software, while sub-block model estimates were completed within Datamine software, using capped composites and a multi-pass Ordinary Kriging (OK) or inverse distance squared (ID2) interpolation approach. Blocks were not classified and the mined panels were classified considering local drillhole spacing and proximity to existing development.

 

Wireframe and block model validation procedures including wireframe to block volume confirmation, statistical comparisons with composite and swath plots, visual reviews in 3D, longitudinal, cross section, and plan views, as well as cross software reporting confirmation were completed for all structures.

 

The smaller, peripheral mineralized structures are estimated in 2D using a variation of the polygonal method in AutoCAD and Excel software. Each vein structure is projected onto a longitudinal section and divided into a series of geometrical blocks created to best fit an area of mineralization into a minable block, if the mineralization present is considered economic. The average true width of the vein intersection is projected for that block. The planned mining dilution (minimum mining width) based on, expected ground conditions is then added to the vein width of that block and the volume determined. Sample grades are reviewed and treated for extreme values if necessary, and then the average grade of the intersections (including the internal dilution) is assigned to the block. Bulk density values are applied to the volume of the block to estimate the tonnes of each block, based on the average bulk density measured from samples selected from each respective veins.

 

A value per tonne is applied to each block based on metal content, metal prices, concentrate sales terms, concentrate quality, processing recovery, transportation, refining, and other selling costs such as storage fees, port fees, etc. Processing costs are assumed to be the same for all ore types, and metallurgical recoveries are determined separately for each group of veins or structures to account for variability in the metal recovery. Any blocks that do not meet the criteria of resources are removed.

 

Mineral resource blocks classified as measured and indicated mineral resources that can be mined economically are converted to mineral reserves. Some small isolated blocks may be removed if the cost and the logistics make them uneconomic to mine. A minimum required value per tonne (VPT) cut-off is calculated for the blocks depending on the block location and the mining method used to mine the block.

 

Mineral reserve estimates are based on assumptions that included mining, metallurgical, infrastructure, permitting, taxation, and economic parameters. Increasing costs and taxation and lower metal prices will have a negative impact on the quantity of mineral reserve estimates. There are no other known factors that may have a material impact on the mineral reserve estimates at the Huaron mine.

 

I-15

 

 

Mining Operations

 

Mining is undertaken using a combination of mechanized cut and fill and mechanized sub-level open stoping methods. Ore is brought to the surface using haul trucks, electric locomotives, or hoisted through a shaft.

 

Processing and Recovery Operations

 

The Huaron mine operation is a 3,200 tpd mill with froth induced flotation to produce silver in copper, lead, and zinc concentrates. In the first two quarters of 2022, the mill processed approximately 468,800 tonnes of ore with metallurgical recoveries averaging 84% for silver, 78% for zinc, 80% for lead, and 75% for copper. Metal production during the first two quarters of 2022 was approximately 1.8 Moz of silver, 7,800 tonnes of zinc, 5,500 tonnes of lead, and 2,300 tonnes of copper.

 

The silver rich zinc, lead, and copper concentrates from the Huaron mine are sold under contracts with arm’s length smelters and concentrate traders, which consider the presence of any deleterious elements. The Huaron mine receives payment for an agreed percentage of the silver, gold, zinc, lead, or copper contained in the concentrates it sells after deduction of smelting and refining costs, based on quotational periods negotiated on each contract that may differ from the month in which the concentrate was produced. Under these circumstances, Pan American may, from time to time, fix the price for a portion of the payable base metal content during the month that the concentrates are produced. To date, Pan American has been able to secure contracts for the sale of all of the Huaron mine concentrates produced, however, there can be no certainty that Pan American will always be able to do so or what terms will be available at the time. See “Risks Related to our Business – Trading Activities and Credit Risk” in the Pan American AIF, which is incorporated by reference into this Circular.

 

The revenue per type of concentrate produced by the Huaron mine for the past three years were as follows:

 

2021   Revenue1, 2   Quantity Sold (Tonnes) 
Zinc Concentrate3   US$ 34.7 million   34,265 
Lead Concentrate3   US$ 33.2 million   15,106 
Copper Concentrate3   US$ 86.7 million   26,603 

 

2020   Revenue1, 2   Quantity Sold (Tonnes) 
Zinc Concentrate3   US$ 22.0 million   24,182 
Lead Concentrate3   US$ 15.2 million   12,456 
Copper Concentrate3   US$ 34.9 million   14,537 

 

2019   Revenue1, 2   Quantity Sold (Tonnes) 
Zinc Concentrate3   US$ 32.0 million   40,059 
Lead Concentrate3   US$ 32.5 million   17,755 
Copper Concentrate3   US$ 52.7 million   25,428 

 

Notes:

 

(1)Consists of sales to arm’s length customers.

(2)Calculated as gross revenue plus export credit incentives (as applicable), less treatment and refining charges and export taxes.

(3)Zinc and lead concentrates contain payable silver. Copper concentrates contain payable silver and gold.

 

Infrastructure, Permitting, and Compliance Activities

 

The known mineralized zones, mineral resources, mineral reserves, mine workings, the processing plant, existing tailing impoundments, effluent management and treatment systems, and waste rock storage facilities are located within 119 of the 171 concessions. The mine is authorized to use up to 10.11 million cubic metres per annum of water obtained from a system of nearby lakes for mining activities through payment of a water use permit. This volume of water is more than sufficient for the mine’s requirements. The primary source of power for the mine is the Peruvian national power grid and is sufficient for the mine’s current requirements. The power consumption is approximately 66 million kilowatt hours per year.

 

To the best of Pan American’s knowledge, all permits and licenses required to conduct Pan American activities at the Huaron mine have been obtained and are currently in good standing.

 

I-16

 

 

The original closure plan for the Huaron mine was filed with the Peru Ministry of Energy and Mines in 2004 and updated in 2006. The closure plan is updated every five years or whenever new infrastructure or modifications are permitted.

 

The most significant environmental issue currently associated with the mine is relatively high metal concentrations in the waters discharged from the mine and localized areas of acid rock drainage from the mine’s tailings deposit areas. All waters are captured and treated in a treatment plant to achieve compliance with discharge limits.

 

An agreement signed in 2000 allows the Chungar mine, owned by Volcan Compañia Minera S.A.’s (“Volcan”), which neighbours the Huaron mine, to discharge water from its mine dewatering into the Huaron mine drainage tunnel. The agreement also requires Volcan to contribute to the costs of tunnel maintenance and water treatment and discharge if its flows exceed a set limit, however provisions of the agreement that would enable accurate water quality and flow measurement between the mines were not implemented and no payments have been made. In 2014, an independent consultant engaged jointly by both companies concluded that the flow from the Chungar mine to the Huaron mine represents 19% of the total flow in the drainage tunnel and recommended the installation of a permanent monitoring system for ongoing verification. Since then, Volcan has improved its mine dewatering system and flows to the Huaron mine drainage tunnel fell to below the set limit, however Pan American continues to negotiate the details of the joint monitoring and any responsibility for historic and future costs with Volcan. In 2021, Pan American jointly engaged Golder Associates to continue the joint monitoring to support ongoing negotiations between Pan American and Volcan.

 

A closure cost estimate for the Huaron mine was prepared according to State of Nevada approved Standard Reclamation Cost Estimator methodology in 2021 and is updated every year. The current undiscounted value of closure expenditures at the Huaron mine is estimated at US$18.9 million.

 

Capital and Operating Costs

 

Sustaining capital expenditures during 2022 are primarily for mine development, diamond drilling, tailings facility expansions and mine infrastructure, and are estimated to total US$17.5 million. The main mobile mining equipment is leased, and new leases will be undertaken throughout the mine life to ensure that the mining fleet maintains a high availability. Operating lease expenditures in 2022 are expected to total US$2.7 million. The amount of diamond drilling conducted to extend the mine life beyond the existing mineral reserves forming the basis of the current LOM plan will be at the discretion of Pan American and may depend on the success of exploration and diamond drilling programs, if any, and prevailing market conditions.

 

The direct operating costs at the Huaron mine for 2022 are estimated to be US$86.0 million.

 

Exploration, Development, and Production

 

In 2022, the Huaron mine is forecast to produce between approximately 3.78 and 3.98 million ounces of silver and 0.8 thousand ounces of gold. Pan American plans to undertake 25,000 metres of exploration drilling in 2022.

 

Shahuindo Mine

 

Scientific and technical disclosure in this Circular for the Shahuindo mine is based on the technical report relating to the Shahuindo mine entitled “Technical Report for the Shahuindo Mine, Cajabamba, Peru” dated effective November 30, 2022, by M. Wafforn, C. Emerson and A. Delgado prepared in accordance with NI 43-101 (the “Shahuindo Technical Report”). The Shahuindo Technical Report has been filed on SEDAR at www.sedar.com.

 

Project Description, Location, and Access

 

The Shahuindo mine is an open pit gold mine located in northern Peru (“Shahuindo”), 970 kilometres north-northwest of Lima. The site is approximately 130 km from Cajamarca via asphalt-paved highway (100 km on Highway 3N), and gravel and dirt roads. There are daily flights between Lima and Cajamarca on Peruvian national airlines.

 

I-17

 

 

Shahuindo comprises one mineral right, ACUMULACION SHAHUINDO, 100% controlled by Pan American’s wholly-owned Subsidiary, Shahuindo SAC, and has an approximate area of 7,338.91 hectares. The mining claims have no expiry date. All concessions are subject to an annual payment of $3 per hectare to the Peruvian government. To the best of Pan American’s knowledge, all claims are currently in good standing.

 

Shahuindo SAC has acquired 612 surface rights within Shahuindo covering a total area of about 3,144.68 ha. Some of these surface rights were used to relocate local land owners into new areas.

 

Shahuindo is subject to various government taxes, fees and duties, including the Modified Mining Royalty, El Organismo Supervisor de la Inversión en Energía y Minería (OSINERGMIN) payment, El Organismo de Evaluación y fiscalización Ambiental (OEFA) payment, corporate taxes, a Temporary Net Assets Tax, SMT, and a worker profit-sharing payment which requires Pan American to share 8% of its taxable income with its workers.

 

While Pan American believes that there are no significant risks to Shahuindo in regard to surface and concession title, the ability to access Shahuindo, the receipt of any remaining permits and licenses, or Pan American’s ability to perform the work as described in the Shahuindo Technical Report, see “Risks Related to our Business” in the Pan American AIF, which is incorporated by reference into this Circular.

 

History

 

Legal rights to the mineral leases of the Shahuindo mine were in dispute between 1996 and 2009. Several Peruvian, Mexican and Canadian companies have been involved in numerous legal processes that were eventually settled in 2009 with 100% ownership being legally registered to Sulliden Shahuindo SAC, a wholly-owned Subsidiary of Sulliden Gold Ltd. (“Sulliden”). Rio Alto Mining Limited (“Rio Alto”) acquired Sulliden in 2014, and in April 2015, Tahoe Resources Inc. (“Tahoe”) completed its acquisition of Rio Alto, thereby acquiring control of Sulliden Shahuindo SAC (renamed Shahuindo SAC). Pan American acquired Tahoe in February 2019.

 

Exploration and mining activities have taken place on Shahuindo since 1945. Between 1945 and 1989, Minera Algamarca S.A. (“Algamarca”) conducted mining and exploration work on Shahuindo. Between 1990 and 1998, former operators conducted geological mapping, drilling of approximately 200 holes, soil and rock geochemical sampling, and metallurgical testwork. Sulliden conducted a large surface drilling campaign of approximately 642 holes, geophysical surveys, geological mapping and trenching, soil and surface rock sampling, metallurgical testing, geotechnical drilling and economic analyses between 2002 and 2012. Rio Alto conducted a campaign of 351 reverse circulation drillholes and 68 diamond drill core holes totaling 56,298 metres between 2014 and 2015, and drilling was continued on Shahuindo by Tahoe. Tahoe attained production, with the first gold poured in December 2015. Pan American has been producing from the Shahuindo mine since acquiring it in the Tahoe transaction in late February 2019.

 

Geological Setting, Mineralization, and Deposit Types

 

The Shahuindo mine is located on the eastern flank of the Andean Western Cordillera in northern Peru, within a regional fold and thrust belt of predominantly Mesozoic sedimentary rocks intruded by felsic stocks located along faults and cores of anticlinal structures. The principal zone of mineralization in the Shahuindo district occurs in a belt between two large-amplitude regional-scale folds, the Algamarca anticline and the San Jose anticline. Important structural elements such as fold flanks, axial fold surfaces, fold-related fractures, faults, extension-related fractures, dikes, and intrusive contacts as well as favorable stratigraphy were used in modeling. The mineralization is hosted within the siliciclastic sandstone-dominant Farrat formation and the underlying sedimentary Carhuaz formation. These sedimentary rocks have been intruded by at least three felsic stocks which tend to be located along faults and cores of anticlinal structures.

 

I-18

 

 

Mineralization at Shahuindo can best be described as an intermediate-sulfidation epithermal system, though high-sulfidation mineralization occurs at depth and in the core of hydrothermal breccias. Oxidation of mineralization extends to a depth of 150 metres below surface.

 

Exploration

 

Algamarca and Exploraciones Algamarca S.A. commenced exploitation of the Algamarca mine in the 1940s and continued mining and exploration work on Shahuindo until 1989. From about 1990 to 1998, three companies explored the Shahuindo area – Alta Tecnología e Inversión Minera y Metalúrgica S.A. (“Atimmsa”), Asarco LLC (“Asarco”), and Southern Peru Copper Corporation (“Southern Peru”). Atimmsa, Asarco, and Southern Peru completed geological mapping; soil, outcrop, and rock chip sampling; and reverse circulation and core drilling. From the acquisition of Sulliden in 2014, Rio Alto completed infill and “step out” holes in and around the Shahuindo deposit to confirm and expand the mineral resource. In total Rio Alto completed 56,298 metres of reverse circulation and diamond drilling. Further confirmatory infill drilling and exploration continued between 2016 and 2018 with Tahoe resources of 51,439 metres and thereafter with Pan American from 2019. Val Dór Geofisica Peru conducted magnetic and induced polarization geophysical surveys between 2002 and 2012 on behalf of the prior owners of Shahuindo.

 

Drilling

 

Pan American’s 2019 to 2022 drill programs were executed by various contractors. Drilling during this time period was principally reverse circulation (217 reverse circulation holes in total) and a lesser extent diamond core holes (56 in total). Diamond core was generally HQ and to a lesser degree NQ size, depending upon ground conditions. From Pan American’s acquisition of Tahoe in 2019 through June 30, 2022, Pan American continued infill drilling within the current mineral resource and pit shell and exploration drilling to test potential mineral resource extensions outside of the defined pit, principally testing the deep sulfide targets. The drill hole database used for the mineral resource estimate contains 1,822 drillholes totaling 288,127 metres. All drill data corresponding to the reverse circulation and diamond drill data from Pan American and previous drilling campaigns were reviewed and verified.

 

Sampling, Analysis, and Data Verification

 

Pan American employs the following procedure for diamond drill core sampling: competent core is split lengthwise with a diamond-blade rotary saw; and disaggregated core was sampled using a spatula to take half of the sample. Sample lengths are typically 2.0 metres but are reduced to break samples at lithologic contacts or changes in oxidation state. Where the core was completely disaggregated, sample lengths were changed to coincide with drill runs to minimize mixing between samples of differing core recoveries.

 

For reverse circulation drill sampling Pan American employs the following procedure: reverse circulation drilling cuttings were sampled on 1.5 metre intervals at the rig and 30% of the cuttings of each individual sample were bagged and sent to the laboratory for analyses. The remaining 70% of the sample cuttings were bagged and kept as rejects. Two reference chip trays, one with a complete sample and the other with a sieved sample (one millimetre mesh), were collected for geologic logging and archiving. Pan American maintains core-storage facilities at the project site and one leased storage warehouse in the city of Cajamarca. All core generated at Shahuindo is stored at either of these facilities. Reverse circulation drilling rejects are stored at the project site. Since 2014, all samples for the Shahuindo drill programs have been analyzed by CERTIMIN laboratory, an independent contract laboratory located in Lima. Gold was assayed using a 50-gram fire assay with an AA finish. Silver was assayed from a 5-gram split, which was digested by aqua regia and read by AA.

 

Shahuindo has continually maintained oversight of sample security from Shahuindo to laboratory facilities. Since 2014, all samples were shipped directly from the project site to the CERTIMIN laboratory in Lima. Tahoe’s and Pan American’s drill programs, over the period from July 2016 to May 2022, utilized standard reference materials, blanks, and field duplicates. The QA/QC samples were inserted into drill sample sequences and submitted for analysis to the CERTIMIN and SGS laboratories in Lima.

 

I-19

 

 

During the period from July 2016 to May 2022, a total of 41,496 drillhole samples were submitted for laboratory analyses. A total of 5,530 control samples were inserted with drillhole samples; these comprise samples taken from both reverse circulation and diamond drillholes. The sampling methods, security, and analytical procedures are considered to be adequate. The QA/QC performance indicates reasonable levels of accuracy and precision.

 

It is the opinion of the qualified persons responsible for the preparation of the Shahuindo Technical Report that the data used to support the conclusions presented therein are adequate for the purposes used in the Shahuindo Technical Report.

 

Mineral Processing and Metallurgical Testing

 

The mineral processing and metallurgical testing include cyanidation, column leach tests, agglomeration testing and flotation testing programs conducted on composite samples from Shahuindo by various companies starting in 1996. As part of normal plant operations and processing procedures, metallurgical analysis and testing is undertaken as required. The results of the laboratory testing program indicate excellent gold recoveries for run-of-mine oxide ore with low to moderate reagent requirements, which are in line with current production data. Silver recoveries are generally low. Maintaining heap permeability and minimizing channeling at higher heap heights constitutes a risk to the project which is currently being mitigated by blending of less permeable material types with more competent ore.

 

Preliminary test data suggests that there may be an opportunity to improve recoveries by curing the ore with a high-strength sodium cyanide solution prior to leaching, with initial results showing a modest improvement in recovery for gold compared to standard leaching.

 

Mineral Resource and Mineral Reserve Estimates

 

Metallurgical testing results on samples of sulphide mineralization that became available after June 30, 2022 has led to the conclusion that the previously reported sulphide inferred mineral resource is not potentially economic at this time. As such, it has been removed from the estimated mineral resources at Shahuindo.

 

Management estimates that mineral resources at the Shahuindo mine, effective June 30, 2022, are as follows:

 

   Tonnes   Grade   Contained metal 
Classification  Mt   Au g/t   Ag g/t   Au koz   Ag koz 
Measured   8.3    0.29    5    77    1,279 
Indicated   13.2    0.23    4    98    1,800 
Measured + Indicated   21.6    0.25    4    175    3,079 
Inferred (Oxide)   14.6    0.41    8    194    3,724 

 

Notes:

 

(1)Mineral resources at June 30, 2022 are based on run-of-mine ore gold cut-off grade of 0.032 grams per tonne, fine-ore in run-of-mine gold cut-off grade of 0.207 grams per tonne and direct ore from run-of-mine gold cut-off grade of 0.159 grams per tonne.
(2)Metal prices used are gold at $1,700 per ounce and silver at $22 per ounce. Totals may not compute exactly due to rounding.

(3)Mineral resource estimates were prepared under the supervision of, or were reviewed by Christopher Emerson, FAusIMM, Vice President, Business Development and Geology of Pan American who is a qualified person for the purposes of NI 43-101.

(4)Mineral resources exclude those resources converted to mineral reserves.

 

I-20

 

 

Management of Pan American estimates that mineral reserves at the Shahuindo mine, effective June 30, 2022, are as follows:

 

Classification  Tonnes Mt   Au grade g/t   Ag  grade g/t   Au koz   Ag koz 
Proven   56.0    0.52    8.4    944    15,044 
Probable   45.3    0.41    6.1    604    8,847 
Proven + Probable   101.3    0.48    7.3    1,548    23,891 
Stockpiles   2.85    0.30    3.1    28    281 
Total Reserves   104.2    0.47    7.2    1,575    24,171 

 

Notes:

 

(1)Mineral reserves at June 30, 2022 are based on run-of-mine ore gold cut-off grade of 0.04 grams per tonne, fine-ore in run-of-mine gold cut-off grade of 0.26 grams per tonne and direct ore from run-of-mine gold cut-off grade of 0.18 grams per tonne. Cut-off values are based on a gold price of $1,500 per ounce and silver price of $19 per ounce. Totals may not compute exactly due to rounding.

(2)Mineral reserves are not included in measured and indicated mineral resources.

 

In order to prepare mineral resource estimates, Leapfrog software was used to model lithology, oxidation state and structural domains. A total of 23 grade shells were modeled using a cut off of 0.1 grams per tonne. A regular model from a sub cell block model in Maptek Vulcan software was used. Grade estimation was defined in three passes using Ordinary Kriging. The estimate was classified into spatially continuous measured, indicated, and inferred categories based on distance and number of drillhole composite samples. Reasonable prospects for reasonable eventual economic extraction were addressed by constraining the resource within an open pit shell.

 

The mineral reserve estimate was completed by first identifying the optimal pit limits using the mineral reserve metal prices and economic parameters with Lerch-Grossman pit optimization techniques using Whittle™ software. The results of the optimization were used to guide the detailed pit design which included ramp access for mine equipment and personnel, and the detailed batter slope and berm configurations. A comparison between the LOM pit design and the Whittle optimization showed a close alignment. The designed pit was used to convert the economic portion of the measured and indicated mineral resources to mineral reserves. Historical reconciliation performance shows that the resource normally underestimates the contained metal tonnes and grade, hence no additional ore loss or dilution were applied.

 

Mineral reserve estimates are based on assumptions that include mining, metallurgical, infrastructure, permitting, taxation, and economic parameters. Increasing costs and taxation and lower metal prices will have a negative impact on the quantity of estimated mineral reserves. There are no other known factors that may have a material impact on the estimate of mineral reserves.

 

Mining Operations

 

Shahuindo consists of an open pit mine and heap leach processing facility that is currently in production and has been operating since November 2015. The open pit is being mined in a sequence of phased cutbacks. The mining method utilizes conventional drill and blast. Loading of ore and waste is by diesel powered excavators into heavy duty highway rigid frame dump trucks. This type of truck is common in this style of operation in Peru. The ore and waste are hauled to the leach pad or waste dumps correspondingly.

 

Processing and Recovery Operations

 

The Shahuindo mine uses conventional cyanide run-of-mine heap leaching and a carbon-in-column adsorption circuit process. Gold and silver are recovered by electrowinning with the resulting electrowinning sludge being dried and smelted onsite to produce the final doré product. Average throughput is 36,000 tonnes per day (“tpd”). A 36,000 tpd crushing and agglomeration plant is also available but is currently not in use.

 

I-21

 

 

As of the effective date of the Shahuindo Technical Report, 55.4 million tonnes of ore had been stacked on the pads. Gold production from 2016 to June 2022 was 719,700 ounces of gold.

 

Shahuindo produces gold in the form of doré bars and has contracts in place with Asahi Refining Canada, Argor Heraeus and Metalor in Switzerland, for refining the doré produced on site. The doré is transported to these facilities where it is refined to the London Good Delivery specification. Once refined, the good delivery gold and silver is sold on the international market to bullion banks and financial institutions. To date, no issues have been encountered in securing the sale of the refined metal from Shahuindo. No hedging takes place at this time.

 

The revenues per type of doré produced at the Shahuindo mine since Pan American’s acquisition of Tahoe in February 2019 are as follows:

 

2021    Revenue2,3   Quantity Sold
Silver and Gold in Doré    US$ 255.8 million   224,876 ounces of silver 139,456 ounces of gold

 

2020    Revenue2,3   Quantity Sold
Silver and Gold in Doré    US$ 270.0 million   295,764 ounces of silver 150,775 ounces of gold

 

20191    Revenue2,3   Quantity Sold
Silver and Gold in Doré    US$ 189.4 million   83,323 ounces of silver 133,298 ounces of gold

 

Notes:

 

(1)Consists of production after February 22, 2019.

(2)Consists of sales to arm’s length customers.

(3)Calculated as gross revenue plus export credit incentives (as applicable), less treatment and refining charges and export taxes

 

Infrastructure, Permitting, and Compliance Activities

 

Shahuindo is a mature operating mine and site infrastructure including site roads that are fully developed to support the existing mine production of 33 million tonnes of total material (ore and waste) and 13 million ore tonnes per annum. Exploration, construction, and operations conducted to date have been performed under the relevant local and national permits. Pan American does not anticipate delays to the production schedule presented in the Shahuindo Technical Report due to the timing of receipt of necessary permits and licenses.

 

The Shahuindo mine operates under an environmental impact assessment (“EIA”) approved in 2013. The first modification of the EIA was approved in 2016 and included an increase in the mineral reserves, the pit and infrastructure footprints, and expansion of production to 36,000 tonnes per day delivered to leach pad.

 

The primary source of power for the mine is the Peruvian national power grid. Water for the operation is obtained from groundwater wells and a collection pond. The current life of mine plan considers that pit dewatering may be required from 2026 and this water source is currently in the permit process with the governmental authority for use as part of the fresh water supply for Shahuindo.

 

A closure cost estimate for Shahuindo was prepared in 2021 according to Pan American’s standard methodology, which employs the State of Nevada approved Standardized Reclamation Cost Estimator (SRCE) model. This estimate includes consideration of all surface disturbance and reclamation liability at the site and is updated on an annual basis. The current SRCE model estimates the undiscounted value of reclamation costs or environmental liability for Shahuindo to be approximately $56.0 million.

 

I-22

 

 

Capital and Operating Costs

 

Pan American estimates that sustaining capital expenditures in 2022 will be $54.8 million, primarily for the Choloque waste dump construction, water treatment plant, surface water management, truckshop, new warehouse, infill drilling, camp kitchen expansion and the construction of heap leach pad capacity. The mine haul truck fleet that is scheduled to be replaced in 2022 will be leased. Future sustaining capital costs will be dependent on requirements and mineral reserve growth if any. The cost of constructing heap leach pad capacity is estimated to average $1.46 per tonne over the remainder of the mineral reserves.

 

For run-of-mine heap leach ore, the cost of processing is estimated to average $2.87 per tonne plus $2.67 per tonne for general and administration costs including Lima support (the average leach pad construction cost of $1.46 per tonne is added to the processing costs for the purposes of mineral reserve estimation).

 

Exploration, Development, and Production

 

In 2022, Pan American anticipates producing between 230 and 260 thousand ounces of silver and between 142 thousand and 150 thousand ounces of gold from the Shahuindo mine. Pan American expects to undertake approximately 7,100 metres of exploration drilling at Shahuindo in 2022.

 

Auditors, Transfer Agents and Registrars

 

The auditor of Pan American is Deloitte LLP.

 

The transfer agent and registrar for the Pan American Shares is Computershare Investor Services Inc. at its principal office in Vancouver, British Columbia.

 

Interest of Experts

 

The annual financial statements of Pan American as of and for the years ended December 31, 2021 and 2020 incorporated by reference in this Circular, and the effectiveness of Pan American’s internal control of financial reporting, have been audited by Deloitte LLP, as stated in their reports which are also incorporated by reference in this Circular. Deloitte LLP, as auditor of Pan American, is independent with respect to Pan American within the meaning of the U.S. Securities Act and the applicable rules and regulations thereunder adopted by the SEC and the PCAOB and within the meaning of the rules of professional conduct of the Chartered Professional Accountants of British Columbia.

 

The scientific and technical information relating to Pan American contained in this Circular, together with any documents incorporated by reference herein, is based on information and reports prepared by or under the supervision of: Martin Wafforn, P. Eng., Christopher Emerson, FAusIMM, Americo Delgado, P.Eng., Alain Mainville, P.Geo., Eric Lachapelle, P.Eng., Dave Felsher, P.Eng., Conrad Huss, P.Eng., Thomas Drielick, P.Eng., Daniel Roth, P.Eng., Paul Tietz, C.P.G., Matthew Blattman, P.Eng., Jack Caldwell, P.Eng. and M3 Engineering & Technology Corporation. Each of the foregoing persons is a qualified person in accordance with NI 43-101.

 

To the best of Pan American’s knowledge, as of the date hereof, each of the foregoing persons beneficially own, directly or indirectly, less than 1% of the securities of Pan American or its associates or affiliates, and consent to the inclusion in the Circular, together with any documents incorporated by reference herein, of the matters based upon such person’s information and report(s) in the form and context in which it appears.

 

Documents Incorporated by Reference and Further Information

 

Information regarding Pan American has been incorporated by reference in this Circular from documents Pan American filed with the securities commissions or similar authorities in each of the provinces and territories of Canada and filed with, or furnished to, the United States. Copies of the documents incorporated herein by reference regarding Pan American may be obtained on request without charge from Pan American’s Corporate Secretary, at 1500-625 Howe Street, Vancouver, British Columbia, Canada, V6C 2T6, telephone: 604-684-1175 or may be obtained on Pan American’s issuer profile on SEDAR at www.sedar.com and on EDGAR at www.sec.gov.

 

I-23

 

 

The following documents, filed with the various securities commissions or similar authorities in certain of the provinces and territories of Canada, are specifically incorporated by reference into, and form an integral part, of this Circular:

 

(i)the Pan American AIF;

 

(ii)the audited consolidated financial statements of Pan American as at and for the years ended December 31, 2021, and 2020, and the notes thereto, together with the report of the independent registered public accounting firm’s thereon;

 

(iii)the MD&A of Pan American for the year ended December 31, 2021;

 

(iv)the unaudited condensed interim consolidated financial statements of Pan American for the three and nine months ended September 30, 2022, and 2021, together with the notes thereto;

 

(v)the MD&A of Pan American for the three and nine months ended September 30, 2022;

 

(vi)the management information circular of Pan American dated March 21, 2022, prepared in connection with the annual and special meeting of shareholders of Pan American held on May 11, 2022; and

 

(vii)the material change report of Pan American dated November 14, 2022, in respect of the proposed Arrangement.

 

Any documents of the type described in Section 11.1 of Form 44-101F1 — Short Form Prospectus filed by Pan American with any securities commission or similar regulatory authority in Canada subsequent to the date of this Circular and prior to the Effective Date will be deemed to be incorporated by reference in this Circular. In addition, any document filed by Pan American with, or furnished by Pan American to, the SEC pursuant to the United States Securities Exchange Act of 1934, as amended, subsequent to the date of this Circular will be deemed to be incorporated by reference into the Circular. To the extent that any document or information incorporated by reference into the Circular is included in a report that is filed with or furnished to the SEC, such document or information shall also be deemed to be incorporated by reference into this Circular. Other than the announcement of the Arrangement, Pan American is not aware of any information that indicates any material change in Pan American’s affairs since the date of its last published interim financial statements.

 

Any statement contained in a document incorporated or deemed to be incorporated by reference herein will be deemed to be modified or superseded for the purposes of this Circular to the extent that a statement contained herein or in any other subsequently filed document which also is, or is deemed to be, incorporated by reference herein modifies or supersedes such statement. The modifying or superseding statement need not state that it has modified or superseded a prior statement or include any other information set forth in the document that it modifies or supersedes. The making of a modifying or superseding statement will not be deemed an admission for any purposes that the modified or superseded statement, when made, constituted a misrepresentation, an untrue statement of a material fact or an omission to state a material fact that is required to be stated or that is necessary to make a statement not misleading in light of the circumstances in which it was made. Any statement so modified or superseded will not be deemed, except as so modified or superseded, to constitute a part of this Circular.

 

Information contained in or otherwise accessed through Pan American’s website (www.panamericansilver.com), or any other website, does not form part of this Circular. All such references to the Pan American website are inactive textual references only.

 

I-24

 

 

Schedule J

 

INFORMATION CONCERNING AGNICO

 

Notice to Reader

 

The following information about Agnico is presented on a pre-Arrangement basis (except where otherwise indicated) and reflects the current business, financial and share capital position of Agnico. This information should be read in conjunction with the documents incorporated by reference in this Schedule J and the information concerning Agnico appearing elsewhere in this Circular.

 

Forward-Looking Statements

 

Certain statements contained in this Schedule J, and in the documents incorporated by reference herein, constitute forward-looking statements within the meaning of applicable Securities Laws. Such forward-looking statements relate to future events or Agnico’s future performance. See “Forward-Looking Information” in this Circular. Readers should also carefully consider the matters and cautionary statements discussed under the heading “Risk Factors” in this Circular, under “– Risk Factors” below and in the Agnico AIF.

 

Additional Information

 

Information concerning Agnico has been incorporated by reference in this Circular from documents filed with the securities commissions or similar authorities in each of the provinces and territories of Canada and filed with, or furnished to, the SEC. Copies of the documents incorporated herein by reference may be obtained on request without charge from the Executive Vice President, Legal, General Counsel & Corporate Secretary of Agnico at 145 King Street East, Suite 400, Toronto, Ontario, Canada M5C 2Y7, telephone (416) 947-1212, and are also available electronically under Agnico’s issuer profile on SEDAR at www.sedar.com or in the United States through EDGAR at the website of the SEC at www.sec.gov. The filings of Agnico through SEDAR and EDGAR are not incorporated by reference in this Circular except as specifically set out herein.

 

The following documents, filed by Agnico with the securities commissions or similar authorities in each of the provinces and territories of Canada, are specifically incorporated by reference into, and form an integral part of, this Circular:

 

(a)The annual information form (the “Agnico AIF”) of Agnico for the year ended December 31, 2021, dated March 24, 2022;

 

(b)the annual audited consolidated financial statements of Agnico as of and for the years ended December 31, 2021 and 2020, together with the Report of Independent Registered Public Accounting Firm thereon and the notes thereto (the “Agnico Annual Financial Statements”);

 

(c)management’s discussion and analysis of Agnico for the year ended December 31, 2021 (the “Agnico Annual MD&A”);

 

(d)the unaudited condensed consolidated interim financial statements as of and for the three and nine months ended September 30, 2022 (the “Agnico Interim Financial Statements”);

 

(e)management’s discussion and analysis of Agnico for the three and nine months ended September 30, 2022 (“Agnico Interim MD&A”);

 

(f)the management information circular of Agnico dated March 21, 2022, prepared in connection with the annual and special meeting of shareholders of Agnico held on April 29, 2022;

 

J-1

 

 

(g)the amended and restated business acquisition report of Agnico dated May 9, 2022, as re-filed on December 20, 2022 in respect of Agnico’s acquisition of Kirkland Lake Gold Ltd. (the “Amended and Restated Business Acquisition Report”);

 

(h)the material change report of Agnico dated February 8, 2022 in respect of Agnico’s acquisition of Kirkland Lake Gold Ltd.; and

 

(i)the material change report of Agnico dated November 14, 2022 in respect of the proposed Arrangement.

 

Any document of the type referred to in section 11.1 of Form 44-101F1 of NI 44-101 (excluding confidential material reports), filed by Agnico with the securities commissions or similar regulatory authorities in the applicable provinces and territories of Canada after the date of this Circular disclosing additional or updated information, including the documents incorporated by reference herein, filed pursuant to the requirements or applicable securities legislation in Canada, will be deemed to be incorporated by reference in the Circular. In addition, any document filed by Agnico with, or furnished by Agnico to, the SEC pursuant to the U.S. Exchange Act, subsequent to the date of this Circular will be deemed to be incorporated by reference into the Circular. To the extent that any document or information incorporated by reference into the Circular is included in a report that is filed with or furnished to the SEC, such document or information shall also be deemed to be incorporated by reference into this Circular.

 

Any statement contained in this Circular or in any other document incorporated or deemed to be incorporated by reference in this Circular shall be deemed to be modified or superseded to the extent that a statement contained herein or in any other subsequently filed document that also is, or is deemed to be, incorporated by reference in this Circular modifies or supersedes such statement. Any statement so modified or superseded shall not be deemed, except as so modified or superseded, to constitute a part of this Circular. The modifying or superseding statement need not state that it has modified or superseded a prior statement or include any other information set forth in the document that it modifies or supersedes. The making of a modifying or superseding statement shall not be deemed an admission for any purposes that the modified or superseded statement, when made, constituted a misrepresentation, an untrue statement of a material fact or an omission to state a material fact that is required to be stated or that is necessary to make a statement not misleading in light of the circumstances in which it was made.

 

Non-GAAP Measures

 

In certain documents incorporated by reference into this Schedule J, there are references to certain non-GAAP financial performance measures. Non-GAAP financial performance measures do not have any standard meaning prescribed under IFRS, and therefore they may not be comparable to similar non-GAAP financial performance measures employed by other companies. Non-GAAP financial performance measures should not be considered in isolation or as a substitute for measures of performance prepared in accordance with IFRS.

 

For more information, see the Agnico AIF (see section entitled “Note to Investors Concerning Certain Measures of Performance”), the Agnico Annual MD&A (see sections entitled “Note to Investors Concerning Certain Measures of Performance” and “Non-GAAP Financial Performance Measures”) and the Agnico Interim MD&A (see sections entitled “Note to Investors Concerning Certain Measures of Performance” and “Non-GAAP Financial Performance Measures”), each of which is incorporated herein by reference.

 

Overview

 

Agnico is a corporation organized under the OBCA. Agnico was formed by articles of amalgamation under the Laws of the Province of Ontario on June 1, 1972, as a result of the amalgamation of Agnico Mines Limited (“Agnico Mines”) and Eagle Gold Mines Limited. Agnico Mines was incorporated under the Laws of the Province of Ontario on January 21, 1953 under the name “Cobalt Consolidated Mining Corporation Limited” and changed its name to “Agnico Mines Limited” on October 25, 1957. Eagle Gold Mines Limited was incorporated under the Laws of the Province of Ontario on August 14, 1945. On December 31, 1992, Agnico amalgamated with Lucky Eagle Mines Limited. On January 1, 1996, Agnico amalgamated with Goldex Mines Limited and 1159885 Ontario Limited. On October 17, 2001, Agnico amalgamated with Mentor Exploration and Development Co. On July 12, 2002, the name of Agnico was changed to “Agnico-Eagle Mines Limited/Mines Agnico-Eagle Limitée”. On August 1, 2007, Agnico amalgamated with Cumberland Resources Ltd., Agnico-Eagle Acquisition Corporation and Meadowbank Mining Corporation. On January 1, 2011, Agnico amalgamated with 1816276 Ontario Inc. (the ultimate successor entity to Comaplex Minerals Corp.). On January 1, 2013, Agnico amalgamated with 1886120 Ontario Inc. (the successor corporation to 9237-4925 Québec Inc.). On April 26, 2013, Articles of Amendment were filed to eliminate the hyphen between “Agnico” and “Eagle” and the official name of Agnico became “Agnico Eagle Mines Limited/Mines Agnico Eagle Limitée”. On January 1, 2020, Agnico amalgamated with 2421451 Ontario Inc, which had previously been part of the holding structure through which Agnico held its interest in the Canadian Malartic mine. On January 1, 2022, Agnico amalgamated with TMAC Resources Inc.

 

J-2

 

 

Agnico is a reporting issuer in each of the provinces and territories of Canada. Agnico’s head and registered office is located at Suite 400, 145 King Street East, Toronto, Ontario, Canada M5C 2Y7; telephone number (416) 947-1212.

 

Agnico is a senior Canadian gold mining company, producing precious metals from operations in Canada, Australia, Finland and Mexico. It has a pipeline of high-quality exploration and development projects in these countries as well as in the United States and Colombia. Agnico is a partner of choice within the mining industry, recognized globally for its leading environmental, social and governance practices. Agnico was founded in 1957 and has consistently created value for its shareholders, declaring a cash dividend every year since 1983. Agnico’s strategy is to deliver high quality growth while maintaining high performance standards in health, safety, environmental matters and social acceptability; build a strong pipeline of projects to drive future production; and employ the best people and motivate them to reach their potential. The following is a list of Agnico’s operating mines, all of which are 100% owned, directly or indirectly by Agnico, unless otherwise indicated:

 

Material Producing Mines

 

·LaRonde Complex

·Canadian Malartic mine – 50% indirect interest

·Detour Lake mine

·Fosterville mine

·Meadowbank Complex

·Meliadine mine

 

Other Producing Mines

 

·Goldex mine

·Kittila mine

·Macassa mine

·Pinos Altos mine

·La India mine

 

For a further description of the business of Agnico, see the sections entitled “Corporate Structure” and “Description of the Business” in the Agnico AIF. For further information regarding Agnico, refer to its filings with the securities commissions or similar regulatory authorities in Canada and the United States which may be obtained under Agnico’s issuer profile on SEDAR at www.sedar.com and on EDGAR at www.sec.gov.

 

J-3

 

 

Corporate Structure

 

The following chart sets out the corporate structure of Agnico, each of its significant Subsidiaries and certain other entities, together with the jurisdiction of organization of Agnico and each such Subsidiary or entity as at the date hereof (all of which are directly or indirectly wholly-owned by Agnico, unless otherwise indicated).

 

  

Recent Developments

 

On November 4, 2022, Agnico and Pan American jointly announced that they had delivered an unsolicited offer, the New Offer, to Yamana with respect to the Arrangement. Following a waiver by Gold Fields of its five business day matching right and response period under the Gold Fields Arrangement Agreement, on November 8, 2022, Yamana entered into the Arrangement Agreement with Pan American and Agnico with respect to the New Offer, and the Yamana Board changed its recommendation with respect to the pending transaction with Gold Fields and unanimously recommended that Yamana Shareholders vote against the transaction with Gold Fields at the special meeting of Yamana Shareholders which was scheduled for November 21, 2022. The Arrangement Agreement, as a “Permitted Acquisition Agreement” under the Gold Fields Arrangement Agreement, required that, until such time as the Gold Fields Arrangement Agreement had been terminated in accordance with its terms, all of the obligations of Yamana (other than confidentiality and standstill obligations) in the Arrangement Agreement would become effective only upon the Gold Fields Arrangement Agreement not being approved by Yamana Shareholders at the special meeting. On November 8, 2022, Gold Fields terminated the Gold Fields Arrangement Agreement, and the Arrangement Agreement immediately became effective.

 

On November 28, 2022, Agnico published its first climate action report.

 

Consolidated Capitalization of Agnico

 

There have been no material changes in the share and debt capital of Agnico, on a consolidated basis, since September 30, 2022, the date of Agnico’s most recently filed consolidated financial statements. See the Agnico Interim Financial Statements and the Agnico Interim MD&A, which are incorporated by reference in this Circular, for additional information with respect to Agnico’s consolidated capitalization.

 

J-4

 

 

Description of Share Capital

 

Agnico’s authorized capital consists of an unlimited number of shares of one class designated as common shares, of which 456,131,714 Agnico Shares were issued and outstanding as December 19, 2022.

 

All issued and outstanding Agnico Shares are fully paid and non-assessable. The holders of the Agnico Shares are entitled to one vote per Agnico Share at meetings of shareholders and to receive dividends if, as and when declared by the Agnico Board. In the event of voluntary or involuntary liquidation, dissolution or winding-up of Agnico, after payment of all outstanding debts, the remaining assets of Agnico available for distribution would be distributed rateably to the holders of the Agnico Shares. Holders of the Agnico Shares have no pre-emptive, redemption, exchange or conversion rights. Agnico may not create any class or series of shares or make any modification to the provisions attaching to the Agnico Shares without the affirmative vote of two-thirds of the votes cast by the holders of the Agnico Shares.

 

Market for Securities

 

The Agnico Shares currently trade on the NYSE under the symbol “AEM” and the TSX under the symbol “AEM”. Following completion of the Arrangement, the Agnico Shares will continue to be listed for trading on the NYSE and the TSX, respectively. On November 3, 2022, the last trading day prior to the announcement of the New Offer, the closing prices of the Agnico Shares on the TSX and the NYSE were C$56.47 and US$41.08, respectively. On December 19, 2022, the last trading day prior to the date of this Circular, the closing prices of the Agnico Shares on the TSX and the NYSE were C$68.64 and $50.30, respectively.

 

Price Range and Trading Volume

 

TSX

 

The following table sets forth information relating to the monthly trading of the Agnico Shares on the TSX for the 12-month period prior to the date of this Circular.

 

Month   High (C$)   Low (C$)   Monthly Volume 
December 2021    67.33    60.65    34,623,602 
January 2022    67.84    59.04    34,462,073 
February 2022    71.35    60.03    67,264,346 
March 2022    79.26    66.5    74,781,863 
April 2022    83.01    70.72    39,467,647 
May 2022    76.09    65.44    39,362,154 
June 2022    69.74    58.92    43,958,094 
July 2022    61.65    49.32    51,571,569 
August 2022    59.29    54.16    51,346,916 
September 2022    58.36    51.53    46,158,087 
October 2022    62.1    55.62    35,900,657 
November 2022    67.76    56.47    57,543,249 
December 2022(1)    71.69    68.47    31,169,552 

 

Note:

 

(1)    From December 1 to December 19, 2022.

 

J-5

 

 

NYSE

 

The following table sets forth information relating to the monthly trading of the Agnico Shares on the NYSE for the 12-month period prior to the date of this Circular.

 

Month   High (US$)   Low (US$)   Monthly Volume 
December 2021    53.14    47.67    45,301,624 
January 2022    54.3    46.26    49,369,515 
February 2022    56.15    47.19    74,295,053 
March 2022    62.64    52.63    101,240,920 
April 2022    65.8    55.16    58,628,493 
May 2022    59.61    50.61    57,802,407 
June 2022    55.44    45.76    51,349,686 
July 2022    47.41    38.44    82,884,123 
August 2022    46.26    41.21    60,591,265 
September 2022    44.83    37.54    64,045,379 
October 2022    45.41    40.12    56,863,750 
November 2022    50.37    41.08    75,652,699 
December 2022(1)    52.86    50.30    37,228,611 

 

Note:

 

(1)From December 1 to December 19, 2022.

 

Prior Sales

 

Agnico has not sold or issued any Agnico Shares or securities convertible into Agnico Shares during the 12-month period prior to the date of this Circular other than as follows:

 

Date of Issue   Number of
Securities
Issued
   Issue/Exercise
Price (C$)
   Reason for Issuance
December 16, 2021   15,000   US$42.00   Exercise of Options
December 20, 2021   6,500   $56.45   Exercise of Options
December 21, 2021   34,500   US$42.00   Exercise of Options
December 21, 2021   2,500   $56.45   Exercise of Options
December 21, 2021   750   $58.04   Exercise of Options
December 27, 2021   500   $56.45   Exercise of Options
December 29, 2021   39,650   $56.45   Exercise of Options
December 29, 2021   2,800   US$42.00   Exercise of Options
December 30, 2021   16,188   US$42.00   Exercise of Options

 

J-6

 

 

Date of Issue   Number of
Securities
Issued
   Issue/Exercise
Price (C$)
   Reason for Issuance
December 30, 2021   14,000   $56.45   Exercise of Options
December 31, 2021   3,750   $56.45   Exercise of Options
January 4, 2022   1,483,900   $67.19   Option Grants
January 4, 2022   157,325   US$53.14   Option Grants
January 4, 2022   4,362   $55.10   Exercise of Options
January 5, 2022   500   US$40.40   Exercise of Options
January 14, 2022   1,250   $58.04   Exercise of Options
January 19, 2022   800   US$40.40   Exercise of Options
January 20, 2022   875   US$40.40   Exercise of Options
February 14, 2022   700   US$40.40   Exercise of Options
February 14, 2022   1,000   US$46.18   Exercise of Options
February 14, 2022   1,600   US$40.40   Exercise of Options
February 16, 2022   750   $55.10   Exercise of Options
February 17, 2022   5,950   $55.10   Exercise of Options
February 17, 2022   1,750   $58.04   Exercise of Options
February 17, 2022   750   $67.19   Exercise of Options
February 17, 2022   2,000   US$46.18   Exercise of Options
February 18, 2022   750   $55.10   Exercise of Options
February 18, 2022   2,531   US$53.14   Exercise of Options
February 22, 2022   563   US$53.14   Exercise of Options
February 28, 2022   2,000   $56.45   Exercise of Options
March 1, 2022   5,000   $56.45   Exercise of Options
March 4, 2022   100   US$40.40   Exercise of Options
March 4, 2022   250   US$46.18   Exercise of Options
March 4, 2022   45,950   $58.04   Exercise of Options
March 6, 2022   3,000   $55.10   Exercise of Options
March 6, 2022   3,000   $58.04   Exercise of Options
March 7, 2022   19,975   $55.10   Exercise of Options
March 7, 2022   8,812   $58.04   Exercise of Options
March 7, 2022   1,000   $67.19   Exercise of Options
March 7, 2022   500   US$40.40   Exercise of Options
March 8, 2022   3,087   US$40.40   Exercise of Options
March 8, 2022   1,350   US$53.14   Exercise of Options
March 8, 2022   1,350   US$61.61   Exercise of Options
March 8, 2022   49,881   $55.10   Exercise of Options
March 8, 2022   44,500   $58.04   Exercise of Options
March 8, 2022   8,275   $67.19   Exercise of Options
March 9, 2022   8,050   $55.10   Exercise of Options
March 9, 2022   875   $67.19   Exercise of Options
March 9, 2022   500   US$40.40   Exercise of Options
March 9, 2022   563   US$53.14   Exercise of Options
March 10, 2022   800   US$40.40   Exercise of Options
March 10, 2022   563   US$53.14   Exercise of Options
March 10, 2022   625   US$61.61   Exercise of Options
March 10, 2022   4,750   $55.10   Exercise of Options
March 10, 2022   7,750   $58.04   Exercise of Options
March 10, 2022   563   $67.19   Exercise of Options
March 11, 2022   6,500   $55.10   Exercise of Options
March 11, 2022   1,875   $58.04   Exercise of Options
March 11, 2022   625   $67.19   Exercise of Options
March 14, 2022   5,250   $55.10   Exercise of Options
March 14, 2022   5,750   $58.04   Exercise of Options
March 14, 2022   500   $67.19   Exercise of Options
March 15, 2022   29,033   $70.51   Issue under the Dividend Re-Investment Plan
March 15, 2022   26,585,732   US$52.32   Issue under the Dividend Re-Investment Plan
March 15, 2022   200   $55.10   Exercise of Options
March 15, 2022   15,000   $58.04   Exercise of Options
March 15, 2022   275   US$46.18   Exercise of Options
March 16, 2022   625   $55.10   Exercise of Options

 

J-7

 

 

Date of Issue   Number of
Securities
Issued
   Issue/Exercise
Price (C$)
   Reason for Issuance
March 17, 2022   5,150   $55.10   Exercise of Options
March 17, 2022   1,500   $58.04   Exercise of Options
March 17, 2022   625   $67.19   Exercise of Options
March 18, 2022   5,000   $58.04   Exercise of Options
March 21, 2022   5,750   $55.10   Exercise of Options
March 21, 2022   375   $58.04   Exercise of Options
March 21, 2022   1,000   US$53.14   Exercise of Options
March 23, 2022   3,500   $55.10   Exercise of Options
March 24, 2022   800   US$40.40   Exercise of Options
March 24, 2022   625   US$61.61   Exercise of Options
March 24, 2022   5,000   $58.04   Exercise of Options
March 28, 2022   2,500   $55.10   Exercise of Options
March 29, 2022   1,000   US$53.14   Exercise of Options
March 30, 2022   100   US$40.40   Exercise of Options
March 30, 2022   300   US$53.14   Exercise of Options
March 31, 2022   3,750   $55.10   Exercise of Options
March 31, 2022   625   $67.19   Exercise of Options
April 1, 2022   1,000   $55.10   Exercise of Options
April 1, 2022   3,775   $58.04   Exercise of Options
April 1, 2022   3,750   $67.19   Exercise of Options
April 1, 2022   563   US$53.14   Exercise of Options
April 2, 2022   875   $67.19   Exercise of Options
April 4, 2022   2,500   $58.04   Exercise of Options
April 4, 2022   300   US$40.40   Exercise of Options
April 4, 2022   275   US$46.18   Exercise of Options
April 4, 2022   2,000   US$61.61   Exercise of Options
April 5, 2022   1,500   $55.10   Exercise of Options
April 5, 2022   123,237   $76.52   Issue under the Employee Share Purchase Plan
April 5, 2022   6,066   US$61.14   Issue under the Employee Share Purchase Plan
April 5, 2022   800   US$40.40   Exercise of Options
April 5, 2022   250   US$46.18   Exercise of Options
April 5, 2022   325   US$53.14   Exercise of Options
April 6, 2022   1,250   $55.10   Exercise of Options
April 6, 2022   1,600   US$40.40   Exercise of Options
April 6, 2022   750   US$46.18   Exercise of Options
April 6, 2022   563   US$53.14   Exercise of Options
April 8, 2022   16,200   $55.10   Exercise of Options
April 8, 2022   11,425   $58.04   Exercise of Options
April 8, 2022   3,282   $67.19   Exercise of Options
April 8, 2022   6,000   $79.98   Exercise of Options
April 8, 2022   250   US$40.40   Exercise of Options
April 8, 2022   50   US$46.18   Exercise of Options
April 8, 2022   1,250   US$61.61   Exercise of Options
April 11, 2022   2,375   $55.10   Exercise of Options
April 11, 2022   1,437   $58.04   Exercise of Options
April 12, 2022   1,937   $55.10   Exercise of Options
April 12, 2022   450   $58.04   Exercise of Options
April 12, 2022   1,375   $67.19   Exercise of Options
April 12, 2022   625   US$61.61   Exercise of Options
April 13, 2022   300   US$53.14   Exercise of Options
April 13, 2022   625   $67.19   Exercise of Options
April 14, 2022   1,500   $55.10   Exercise of Options
April 14, 2022   4,375   $58.04   Exercise of Options
April 15, 2022   1,350   $55.10   Exercise of Options
April 15, 2022   750   $58.04   Exercise of Options
April 15, 2022   1,250   $79.98   Exercise of Options
April 18, 2022   1,125   $55.10   Exercise of Options
April 18, 2022   500   $58.04   Exercise of Options
April 18, 2022   1,000   $67.19   Exercise of Options

 

J-8

 

 

Date of Issue   Number of
Securities
Issued
   Issue/Exercise
Price (C$)
   Reason for Issuance
April 29, 2022   400   US$40.40   Exercise of Options
May 3, 2022   8,000   $58.04   Exercise of Options
May 4, 2022   500   $55.10   Exercise of Options
May 6, 2022   3,000   $55.10   Exercise of Options
May 17, 2022   5,000   $58.04   Exercise of Options
May 19, 2022   5,000   $58.04   Exercise of Options
May 24, 2022   1,000   $58.04   Exercise of Options
June 15, 2022   26,983   $67.75   Issue under the Dividend Re-Investment Plan
June 15, 2022   31,812,462   US$49.64   Issue under the Dividend Re-Investment Plan
June 21, 2022   3,750   $58.04   Exercise of Options
June 30, 2022   1,500   $55.10   Exercise of Options
July 5, 2022   149,818   $63.35   Issue under the Employee Share Purchase Plan
July 5, 2022   7,846   US$49.06   Issue under the Employee Share Purchase Plan
September 15, 2022   26,358   $56.51   Issue under the Dividend Re-Investment Plan
September 15, 2022   20,749,637   US$40.78   Issue under the Dividend Re-Investment Plan
September 30, 2022   2,300   $58.04   Exercise of Options
October 3, 2022   2,000   $55.10   Exercise of Options
October 4, 2022   1,500   $58.04   Exercise of Options
October 5, 2022   182,451   $53.51   Issue under the Employee Share Purchase Plan
October 5, 2022   10,721   US$39.13   Issue under the Employee Share Purchase Plan
October 27, 2022   4,125   $55.10   Exercise of Options
October 27, 2022   700   $58.04   Exercise of Options
November 8, 2022   1,450   $58.04   Exercise of Options
November 9, 2022   250   $58.04   Exercise of Options
November 10, 2022   1,125   $58.04   Exercise of Options
November 11, 2022   1,000   $55.10   Exercise of Options
November 11, 2022   3,500   $58.04   Exercise of Options
November 12, 2022   975   $58.04   Exercise of Options
November 13, 2022   2,000   $58.04   Exercise of Options
November 14, 2022   1,250   $58.04   Exercise of Options
November 15, 2022   2,000   $55.10   Exercise of Options
November 15, 2022   3,750   $58.04   Exercise of Options
November 16, 2022   750   $58.04   Exercise of Options
November 18, 2022   1,875   $55.10   Exercise of Options
November 18, 2022   937   $58.04   Exercise of Options
November 21, 2022   450   $58.04   Exercise of Options
November 22, 2022   9,350   $58.04   Exercise of Options
November 23, 2022   4,250   $58.04   Exercise of Options
November 24, 2022   1,000   $55.10   Exercise of Options
November 24, 2022   6,750   $58.04   Exercise of Options
November 27, 2022   800   $58.04   Exercise of Options
November 28, 2022   1,000   $58.04   Exercise of Options
November 29, 2022   3,500   $55.10   Exercise of Options
November 29, 2022   42,700   $58.04   Exercise of Options
November 30, 2022   2,375   $58.04   Exercise of Options
November 10, 2022   15,000   US$40.40   Exercise of Options
November 10, 2022   15,725   US$46.18   Exercise of Options
November 15, 2022   1,300   US$40.40   Exercise of Options
December 1, 2022   8,000   $55.10   Exercise of Options
December 1, 2022   22,975   $58.04   Exercise of Options
December 2, 2022   3,750   US$46.18   Exercise of Options
December 2, 2022   4,400   $55.10   Exercise of Options
December 3, 2022   750   $58.04   Exercise of Options
December 4, 2022   2,000   $55.10   Exercise of Options
December 4, 2022   2,000   $58.04   Exercise of Options
December 5, 2022   4,312   $58.04   Exercise of Options
December 6, 2022   1,000   $55.10   Exercise of Options
December 6, 2022   1,500   $58.04   Exercise of Options
December 7, 2022   5,200   $55.10   Exercise of Options

 

J-9

 

 

Date of Issue   Number of
Securities
Issued
   Issue/Exercise
Price (C$)
   Reason for Issuance
December 7, 2022   35,424   $58.04   Exercise of Options
December 9, 2022   1,250   $55.10   Exercise of Options
December 9, 2022   2,600   $58.04   Exercise of Options
December 9, 2022   25,000   US$46.18   Exercise of Options
December 12, 2022   800   $58.04   Exercise of Options
December 12, 2022   750   US$46.18   Exercise of Options
December 13, 2022   14,837   $58.04   Exercise of Options
December 13, 2022   4,750   $55.10   Exercise of Options
December 13, 2022   275   US$46.18   Exercise of Options
December 14, 2022   12,675   $58.04   Exercise of Options

  

Dividend Practice and History

 

Agnico’s current practice is to pay quarterly dividends on the Agnico Shares and, on October 26, 2022, Agnico declared a quarterly dividend of US$0.40 per Agnico Share, which was paid on December 15, 2022 to Agnico Shareholders of record as of December 1, 2022. Agnico paid quarterly dividends of US$0.40 per Agnico Share on March 15, 2022, June 15, 2022 and September 15, 2022. In 2021, the dividends paid were US$1.40 per Agnico Share (quarterly payments of US$0.35 per Agnico Share). In 2020, the dividends paid were US$0.95 per Agnico Share (quarterly payments of US$0.20 per Agnico Share in the first, second and third quarters and US$0.35 per Agnico Share in the fourth quarter). In 2019, the dividends paid were US$0.55 per Agnico Share (quarterly payments of US$0.125 per Agnico Share in the first, second and third quarters and US$0.175 per Agnico Share in the fourth quarter).

 

J-10

 

 

Agnico expects to maintain its existing dividend practice and payments until the Arrangement is completed. Future dividends will be at the discretion of the Agnico Board and will be subject to factors and conditions such as Agnico’s earnings, financial condition, cash flow, capital requirements, results of operations and broader market and economic conditions. Agnico’s bank credit facility contains a covenant that restricts Agnico’s ability to declare or pay dividends if certain events of default under the bank credit facility have occurred and are continuing.

 

Interest of Informed Persons in Material Transactions

 

There were no material interests, direct or indirect, of Agnico’s directors or executive officers, or any director or executive officer of a Subsidiary of Agnico or any Person who beneficially owns, or controls or directs, directly or indirectly, more than 10% of the outstanding Agnico Shares, or any associate or affiliate of such Persons, in any transaction since the commencement of Agnico’s last completed financial year or in any proposed transaction which has materially affected, or would materially affect, Agnico or any of its Subsidiaries.

 

Material Contracts

 

Except as otherwise disclosed in this Circular and as discussed in the Agnico AIF, during the 12 months prior to the date of this Circular, Agnico has not entered into any contracts, nor are there any contracts still in effect, that are material to Agnico or any of its Subsidiaries, other than contracts entered into in the ordinary course of business. See “Material Contracts” in the Agnico AIF, which is incorporated by reference in this Circular.

 

Risk Factors

 

An investment in securities of Agnico and the completion of the Arrangement are subject to certain risks. In addition to considering the other information in this Circular, including the risk factors relating to the Arrangement set forth under the heading “Risk Factors” in this Circular, readers should carefully consider the risk factors described in the Agnico AIF, as well as the Agnico Annual MD&A and the Agnico Interim MD&A, each of which are incorporated by reference in this Circular. If any of the identified risks were to materialize, Agnico’s business, financial position, results and/or future operations may be materially affected. The risk factors identified in this Circular and the documents incorporated by reference are not exhaustive and other factors may arise in the future that are currently not foreseen by management of Agnico that may present additional risks in the future.

 

Auditor, Transfer Agent and Registrar

 

Agnico’s auditor is Ernst & Young LLP. Ernst & Young LLP, as auditor of Agnico, has advised Agnico that it is independent of Agnico in the context of the CPA Code of Professional Conduct of the Chartered Professional Accountants of Ontario and has complied with the SEC’s rules on auditor independence.

 

Agnico’s registrar and transfer agent is Computershare Trust Company of Canada, located in Toronto, Ontario.

 

Interest of Experts

 

The Agnico Annual Financial Statements incorporated by reference in this Circular, and the effectiveness of Agnico’s internal control over financial reporting, have been audited by Ernst & Young LLP, as stated in their reports which are also incorporated herein by reference. Ernst & Young LLP, as auditor of Agnico, is independent with respect to Agnico within the meaning of the U.S. Securities Act and the applicable rules and regulations thereunder adopted by the SEC and the PCAOB and within the meaning of the rules of professional conduct of the Chartered Professional Accountants of Ontario.

 

The audited annual consolidated financial statements of Kirkland for the years ended December 31, 2021 and 2020, together with the notes thereto, included in the Amended and Restated Business Acquisition Report incorporated by reference in this Circular, have been audited by KPMG LLP, as stated in their reports which are also incorporated herein by reference. KPMG LLP, as auditor of Kirkland, have confirmed that they were independent with respect to Kirkland within the meaning of the relevant rules and related interpretations prescribed by the relevant professional bodies in Canada and any applicable legislation or regulation.

 

Additional Information Concerning Agnico

 

Additional information relating to Agnico may be found under Agnico’s issuer profile on SEDAR at www.sedar.com and on EDGAR at www.sec.gov. Additional financial information is provided in the Agnico AIF, the Agnico Annual Financial Statements, the Agnico Annual MD&A, the Agnico Interim Financial Statements and the Agnico Interim MD&A, each of which is available under Agnico’s issuer profile on SEDAR at www.sedar.com and on EDGAR at www.sec.gov and on Agnico’s website at www.agnicoeagle.com.

 

J-11

 

 

Schedule K

 

CORPORATE STRUCTURE OF COMBINED COMPANY

 

See attached.

 

 

 

 

 

 

 

K-1

 

 

K-2

 

 

K-3

 

 

K-4

 

 

K-5

 

 

K-6

 

 

K-7

 

 

 

Notes:

 

 ·For Pan American entities, and not including any Yamana entities, percent interest represents fully diluted (including all voting and non-voting shareholdings, investment shares in Peru and preferred shares in Argentina). Specifically, percentage ownership of Compania Minera Argentum S.A. includes shares which the company holds in itself, as well as other shareholdings on a fully diluted basis and differ from the voting shares.

 

 ·Percentages are rounded.

 

 ·Some of the laws in the countries in which the subsidiaries of Pan American Silver Corp. operate require that there be more than one owner of a company operating a mineral property. As a result, a Pan American entity may be a nominal shareholder holding less than 1%.

 

K-8

 

 

QUESTIONS MAY BE DIRECTED TO THE
STRATEGIC SHAREHOLDER ADVISOR AND
PROXY SOLICITATION AGENT

 

Yamana Shareholders:

 

 

 

North America Toll Free: 1-877-452-7184

 

Outside North America: 1-416-304-0211

 

Email: assistance@laurelhill.com

 

 

 

Exhibit 99.2

GRAPHIC

8th Floor, 100 University Avenue Toronto, Ontario M5J 2Y1 www.computershare.com Form of Proxy - Special Meeting of Shareholders to be held on January 31, 2023 01VD0A This Form of Proxy is solicited by and on behalf of Management. Fold Fold CONTROL NUMBER VOTE USING THE TELEPHONE OR INTERNET 24 HOURS A DAY 7 DAYS A WEEK! To vote by telephone or the Internet, you will need to provide your CONTROL NUMBER listed below. If you vote by telephone or the Internet, DO NOT mail back this proxy. Voting by mail may be the only method for securities held in the name of a corporation or securities being voted on behalf of another individual. Voting by mail or by Internet are the only methods by which a holder may appoint a person as proxyholder other than the Management Nominees named on the reverse of this proxy. Instead of mailing this proxy, you may choose one of the two voting methods outlined above to vote this proxy. Notes to proxy 1. Every holder has the right to appoint some other person or company of their choice, who need not be a holder, to attend and act on their behalf at the meeting or any adjournment or postponement thereof. If you wish to appoint a person or company other than the Management Nominees whose names are printed herein, please insert the name of your chosen proxyholder in the space provided (see reverse). 2. If the securities are registered in the name of more than one owner (for example, joint ownership, trustees, executors, etc.), then all those registered should sign this proxy. If you are voting on behalf of a corporation or another individual you may be required to provide documentation evidencing your power to sign this proxy with signing capacity stated. 3. This proxy should be signed in the exact manner as the name(s) appear(s) on the proxy. 4. If a date is not inserted in the space provided on the reverse of this proxy, it will be deemed to bear the date on which it was mailed to the holder by Management. 5. The securities represented by this proxy will be voted as directed by the holder, however, if such a direction is not made in respect of any matter, and the proxy appoints the Management Nominees listed on the reverse, this proxy will be voted as recommended by Management. 6. The securities represented by this proxy will be voted in favour, or withheld from voting, or voted against each of the matters described herein, as applicable, in accordance with the instructions of the holder, on any ballot that may be called for. If you have specified a choice with respect to any matter to be acted on, the securities will be voted accordingly. 7. This proxy confers discretionary authority in respect of amendments or variations to matters identified in the Notice of Special Meeting and Management Information Circular or other matters that may properly come before the meeting or any adjournment or postponement thereof, unless prohibited by law. 8. This proxy should be read in conjunction with the accompanying documentation provided by Management. Proxies submitted must be received by 4:00 pm, Toronto time, on January 27, 2023. To Vote Using the Telephone • Call the number listed BELOW from a touch tone telephone. To Vote Using the Internet • Go to the following web site: www.investorvote.com • Smartphone? Scan the QR code to vote now. To Virtually Attend the Meeting • You can attend the meeting virtually by visiting the URL provided on the back of this document and following the instructions set out in the Management Information Circular accompanying this document. Mr A Sample Designation (if any) Add1 Add2 add3 add4 add5 add6 C1234567890 XXX 000001 COMMON SHARES CPUQC01.E.INT/000001/i1234 123456789012345 Holder Account Number Security Class 1-866-732-VOTE (8683) Toll Free

GRAPHIC

346359 01VD1A Fold Fold XXX 123 AR0 Signature of Proxyholder I/We authorize you to act in accordance with my/our instructions set out above. I/We hereby revoke any proxy previously given with respect to the Meeting. If no voting instructions are indicated above, and the proxy appoints the Management Nominees, this Proxy will be voted as recommended by Management. MM / DD / YY Date Signature(s) I/We being holder(s) of securities of Yamana Gold Inc. (the “Corporation”) hereby appoint: Peter Marrone, Executive Chairman, or failing this person, Sofia Tsakos, Senior Vice President, General Counsel and Corporate Secretary (the “Management Nominees”) Appointment of Proxyholder Print the name of the person you are appointing if this person is someone other than the Management Nominees listed herein. OR as my/our proxyholder with full power of substitution and to attend, act and to vote for and on behalf of the shareholder in accordance with the following direction (or if no directions have been given, as the proxyholder sees fit) and on all other matters that may properly come before the Special Meeting of shareholders of the Corporation to be held in person at the Design Exchange, Toronto- Dominion Centre, 234 Bay St, Toronto, ON and online at https://web.lumiagm.com/497366151 on January 31, 2023 at 1:00 p.m., Toronto time, and at any adjournment or postponement thereof. VOTING RECOMMENDATIONS ARE INDICATED BY HIGHLIGHTED TEXT OVER THE BOXES. Note: If completing the appointment box above and you or your appointee intend on attending online YOU MUST go to http://www.computershare.com/Yamana prior to 4:00 p.m., Toronto time, on January 27, 2023 and provide Computershare with the name and email address of the person you are appointing. Computershare will use this information ONLY to provide the appointee with a user name to gain entry to the online meeting. If the appointee is attending the meeting in person, this step is NOT required. 1. Arrangement Resolution To consider, pursuant to an interim order of the Ontario Superior Court of Justice (Commercial List), and if deemed advisable, to pass, with or without variation, a special resolution, the full text of which is set forth in Schedule A to the accompanying management information circular of Yamana Gold Inc. (“Yamana”) dated December 20, 2022 (the “Circular”) to approve a plan of arrangement under section 192 of the Canada Business Corporations Act involving, among others, Yamana, Pan American Silver Corp. (“Pan American”) and Agnico Eagle Mines Limited (“Agnico”) in accordance with the terms of the arrangement agreement dated November 4, 2022 among Yamana, Pan American and Agnico (as amended, supplemented or otherwise modified from time to time), as more particularly described in the Circular. For Against C1234567890 MR SAM SAMPLE YAMQ 999999999999 XXXX

Exhibit 99.3

 

THE INSTRUCTIONS ACCOMPANYING THIS LETTER OF TRANSMITTAL (“LETTER OF TRANSMITTAL”) SHOULD BE READ CAREFULLY BEFORE THIS LETTER OF TRANSMITTAL IS COMPLETED. THIS LETTER OF TRANSMITTAL IS FOR DEPOSITING YOUR COMMON SHARES OF YAMANA GOLD INC. IN CONNECTION WITH THE PLAN OF ARRANGEMENT UNDER SECTION 192 OF THE CANADA BUSINESS CORPORATIONS ACT INVOLVING, AMONG OTHERS, YAMANA GOLD INC., SHAREHOLDERS OF YAMANA GOLD INC., PAN AMERICAN SILVER CORP. AND AGNICO EAGLE MINES LIMITED.

 

THIS LETTER OF TRANSMITTAL IS FOR USE BY REGISTERED SHAREHOLDERS OF YAMANA GOLD INC. ONLY. SHAREHOLDERS OF YAMANA GOLD INC. WHOSE COMMON SHARES OF YAMANA GOLD INC. ARE REGISTERED IN THE NAME OF A BROKER, INVESTMENT DEALER, BANK, TRUST COMPANY, TRUSTEE, CUSTODIAN, NOMINEE OR OTHER INTERMEDIARY SHOULD CONTACT THAT INTERMEDIARY FOR ASSISTANCE IN DEPOSITING THOSE COMMON SHARES AND SHOULD FOLLOW THE INSTRUCTIONS OF SUCH INTERMEDIARY IN ORDER TO DEPOSIT THEIR COMMON SHARES. NOTHING CONTAINED IN THIS LETTER OF TRANSMITTAL CONSTITUTES, OR IS INTENDED TO CONSTITUTE, AN OFFER OF SECURITIES TO THE PUBLIC OR AN ADVERTISEMENT IN RELATION TO AN OFFER OF SECURITIES TO THE PUBLIC IN ANY JURISDICTION.

 

LETTER OF TRANSMITTAL

 

FOR COMMON SHARES

OF

YAMANA GOLD INC.

 

TO:YAMANA GOLD INC. (“Yamana”)
AND TO:PAN AMERICAN SILVER CORP. (“Pan American”)
AND TO:AGNICO EAGLE MINES LIMITED (“Agnico”)
AND TO:COMPUTERSHARE INVESTOR SERVICES INC. (“Computershare” or the Depositary”)

 

This Letter of Transmittal, properly completed and duly executed, together with all other required documents, is for use by registered holders (“Registered Yamana Shareholders”) of common shares of Yamana (the “Yamana Shares”) and must accompany certificate(s) or DRS statement(s) representing the Yamana Shares deposited in connection with the plan of arrangement pursuant to section 192 of the Canada Business Corporations Act (the “Plan of Arrangement”) involving, among others, Yamana, holders of Yamana Shares (the “Yamana Shareholders”), Pan American and Agnico (the “Arrangement”), in accordance with the terms of the arrangement agreement dated November 4, 2022 (as amended, supplemented or otherwise modified from time to time, the “Arrangement Agreement”). If the Arrangement is completed, Registered Yamana Shareholders (other than Dissenting Shareholders) who have properly completed, duly executed and delivered this Letter of Transmittal and all other required documents to the Depositary will receive, in respect of each Yamana Share held, US$1.0406 in cash (the “Cash Consideration” and together with the Consideration Shares (as defined below), the “Consideration”)), 0.0376 of a common share of Agnico (each whole share, an “Agnico Share”) and 0.1598 of a common share of Pan American (each whole share, a “Pan American Share” and together with the Agnico Shares, the “Consideration Shares”), Pan American will acquire all of the issued and outstanding Yamana Shares (other than Yamana Shares held by a Dissenting Shareholder, which will be repurchased for cancellation by Yamana) and Agnico will acquire certain subsidiaries and partnerships of Yamana which hold Yamana’s interest in its Canadian assets, all as described in the management information circular of Yamana dated December 20, 2022 (as amended, supplemented or otherwise modified from time to time, the “Circular”). The Arrangement is being submitted for approval at the special meeting of the Yamana Shareholders scheduled to be held on January 31, 2023, subject to any adjournment or postponement thereof (the “Yamana Meeting”). Registered Yamana Shareholders (other than Dissenting Shareholders) will receive the Consideration that they are entitled to pursuant to the Arrangement, as well as any Fractional Cash (as defined below), if any, that they are entitled to pursuant to the Arrangement, as well as any Dividends (as defined below), if any.

 

Copies of the Circular, the Arrangement Agreement and the Plan of Arrangement may be accessed under Yamana's profile on SEDAR at www.sedar.com and on EDGAR at www.sec.gov. Capitalized terms used but not defined herein have the respective meanings set out in the Circular. You are encouraged to carefully review the Circular in its entirety.

 

 

 - 2 - 

 

In no event will the aggregate number of Pan American Shares or Agnico Shares issuable to any Registered Yamana Shareholder under or as a result of the Arrangement include a fraction of a share. To the extent that a fraction of a Pan American Share or an Agnico Share would otherwise be issuable to a Registered Yamana Shareholder under or as a result of the Arrangement, the number of Pan American Shares or Agnico Shares to be received by such Registered Yamana Shareholder will be rounded down to the nearest whole number. In lieu of any such fraction of a Pan American Share, each Registered Yamana Shareholder will receive a cash payment from Pan American equal to the value of such fraction calculated by ascribing a share value of US$15.45 to each whole Pan American Share (the “Pan American Share Fractional Cash”). In lieu of any such fraction of an Agnico Share, each Registered Yamana Shareholder will receive a cash payment from Yamana (funded by Agnico) equal to the value of such fraction calculated by ascribing a share value of US$42.30 to each whole Agnico Share (together with the Pan American Share Fractional Cash, the “Fractional Cash”).

 

In any case where the total cash payable to a Registered Yamana Shareholder by each of Pan American or Yamana under the Arrangement would include a fraction of a cent, the consideration payable to such Registered Yamana Shareholder will be rounded down to the nearest whole cent.

 

Former Yamana Shareholders will also be entitled to receive, at the time of depositing the Yamana Shares, without interest, all dividends or other distributions made with a record date after the effective time of the Arrangement (the “Effective Time”) in respect of the Pan American Shares and the Agnico Shares to which such holder is entitled, less any applicable withholding taxes (collectively, “Dividends”).

 

The effective date of the Arrangement (the “Effective Date”) is currently expected to occur in the first quarter of 2023, after all conditions to completion of the Arrangement have been satisfied or waived. COMPLETION OF THE ARRANGEMENT IS SUBJECT TO THE SATISFACTION OR WAIVER OF CERTAIN CONDITIONS. NO DELIVERY OF ANY CONSIDERATION WILL BE MADE PRIOR TO THE EFFECTIVE TIME.

 

All deposits made under this Letter of Transmittal are irrevocable.

 

In order to receive the Consideration and the Fractional Cash, if any, that a Registered Yamana Shareholder is entitled to receive pursuant to the Arrangement, as well as any Dividends, Registered Yamana Shareholders are required to deposit the certificate(s) or DRS statement(s) representing their Yamana Shares with the Depositary. This Letter of Transmittal, properly completed and duly executed, together with all other required documents, must accompany the certificate(s) or DRS statement(s) representing their Yamana Shares deposited for receipt of the Consideration and the Fractional Cash, if any, that a Registered Yamana Shareholder is entitled to receive pursuant to the Arrangement, as well as any Dividends.

 

This Letter of Transmittal is for use by Registered Yamana Shareholders only and is not to be used by beneficial holders of Yamana Shares (the “Beneficial Yamana Shareholders”). A Beneficial Yamana Shareholder does not have Yamana Shares registered in its name; rather, such Yamana Shares are registered in the name of a broker, investment dealer, bank, trust company, trustee, custodian, nominee or other intermediary (each, an “Intermediary”) through which it purchased the Yamana Shares or in the name of a clearing agency (such as CDS Clearing and Depository Services Inc. or The Depositary Trust Company) of which the Intermediary is a participant. If you are a Beneficial Yamana Shareholder, you should contact your Intermediary for instructions and assistance in receiving the Consideration and the Fractional Cash, if any, that you are entitled to receive pursuant to the Arrangement for such Yamana Shares, as well as any Dividends.

 

Holders of Yamana Depositary Interests will not need to take any action to receive the Consideration and the Fractional Cash, if any, that they are entitled to receive pursuant to the Arrangement and will not be provided with, and will not need to submit, this Letter of Transmittal. Holders of Yamana Depositary Interests should refer to the Circular for further information regarding the procedure for exchanging Yamana Depositary Interests for the Consideration and Fractional Cash.

 

 

 - 3 - 

 

All Registered Yamana Shareholders must complete Box D. To avoid backup withholding in respect of the Cash Consideration and the Fractional Cash, if any, each U.S. Shareholder (as defined below) which is a “U.S. person” (as defined in Instruction 7 below) should complete and submit United States Internal Revenue Service (“IRS”) Form W-9. See Instruction 7. To avoid backup withholding in respect of the Cash Consideration and the Fractional Cash, if any, each Registered Yamana Shareholder who provides an address in Box A or Box B that is located within the United States or any territory or possession thereof and is not a U.S. person should complete and submit the appropriate IRS Form W-8. See Instruction 7. Each U.S. Shareholder is urged to consult its own tax advisors to determine whether it is exempt from backup withholding tax requirements and to determine the proper form to be used to avoid backup withholding tax. A current IRS Form W-9 is included in this Letter of Transmittal. The applicable IRS Forms W-8 and accompanying instructions can be found on the IRS website at https://www.irs.gov/forms-pubs/about-form-w-8.

 

The Cash Consideration and any Fractional Cash, if any, payable to the Registered Yamana Shareholders under the Arrangement will be in United States dollars, unless Canadian dollars is selected in Box C prior to the Effective Date.

 

Whether or not the undersigned delivers the required documentation to the Depositary, as of the Effective Time, the undersigned will cease to be a holder of Yamana Shares and, subject to the ultimate expiry deadline identified below, will only be entitled to receive the Consideration and the Fractional Cash, if any, to which the undersigned is entitled under the Arrangement, as well as any Dividends. REGISTERED YAMANA SHAREHOLDERS WHO DO NOT DELIVER THE CERTIFICATE(S) OR DRS STATEMENT(S), AS APPLICABLE, REPRESENTING THEIR YAMANA SHARES AND ALL OTHER REQUIRED DOCUMENTS TO THE DEPOSITARY ON OR BEFORE THE SIXTH ANNIVERSARY OF THE EFFECTIVE DATE WILL LOSE THEIR RIGHT TO RECEIVE ANY CONSIDERATION FOR THEIR YAMANA SHARES AND ANY CLAIM OR INTEREST OF ANY KIND OR NATURE AGAINST PAN AMERICAN, AGNICO, YAMANA OR THE DEPOSITARY, INCLUDING WITH RESPECT TO ANY DIVIDENDS.

 

 

 - 4 - 

 

Delivery of this Letter of Transmittal to an address other than as set forth on the last page of this Letter of Transmittal will not constitute a valid delivery. If Yamana Shares are registered in different names, a separate Letter of Transmittal must be submitted for each different Registered Yamana Shareholder. See Instruction 2.

 

The undersigned hereby irrevocably delivers and deposits with the Depositary the enclosed certificate(s) or DRS statement(s), as applicable, representing Yamana Shares (the “Deposited Shares”). The following are the details of the enclosed certificate(s) or DRS statement(s), as applicable, representing Yamana Shares:

 

Certificate Number(s) 
or DRS Account Number
Name in Which Registered Number of Yamana Shares Deposited
     
     
     
     
  Total:  

 

Notes:

(1)Please print or type. If space is insufficient, please attach a list to this Letter of Transmittal in the above form. See Instruction 5).

(2)The total of the numbers filled in above must equal the total number of Yamana Shares represented by the certificate(s) or DRS statement(s) enclosed with this Letter of Transmittal.

 

¨ Check here if some or all of the certificates representing your Yamana Shares have been lost, stolen or destroyed. Please review Instruction 6 for the procedure to replace lost, stolen or destroyed certificates.

 

BENEFICIAL YAMANA SHAREHOLDERS SHOULD CONTACT THEIR INTERMEDIARY WHO HOLDS THEIR YAMANA SHARES ON THEIR BEHALF TO ARRANGE FOR THEIR EXCHANGE.

 

It is understood that, upon receipt of this duly completed and signed Letter of Transmittal and of the certificate(s) or DRS statement(s) representing the Deposited Shares together with all other required documents and following the Effective Time of the Arrangement, the Depositary will deliver to the undersigned the DRS statements representing the Consideration Shares, and the cheque(s) or wire, as applicable, representing the Cash Consideration and any Fractional Cash and/or Dividends, if any, that the undersigned is entitled to receive under the Arrangement, or hold such DRS statements representing the Consideration Shares and cheque(s) representing the Cash Consideration and any Fractional Cash and/or Dividends, if any, for pick-up, or deliver such funds via wire, in accordance with the instructions provided in Box A, Box B and Box F below, as applicable, and the certificate(s) or DRS statement(s) representing the Deposited Shares will forthwith be cancelled.

 

The undersigned represents and warrants in favour of Yamana, Pan American and Agnico that: (a) the undersigned is the registered and legal owner of the Deposited Shares, has good right and title to the rights represented by the Deposited Shares; (b) the Deposited Shares are owned by the undersigned free and clear of all mortgages, liens, charges, encumbrances, security interests and adverse claims; (c) the undersigned has full power and authority to execute and deliver this Letter of Transmittal and to deposit, sell, assign, transfer and deliver the Deposited Shares and that, when the Consideration Shares and the cheque(s) or wire, as applicable, representing the Cash Consideration and any Fractional Cash and/or Dividends, if any, are delivered, none of Pan American, Agnico, Yamana, or any affiliate thereof or successor thereto will be subject to any adverse claim in respect of such Deposited Shares; (d) the Deposited Shares have not been sold, assigned or transferred, nor has any agreement been entered into to sell, assign or transfer any such Deposited Shares, to any other person; (e) the transfer of the Deposited Shares complies with all applicable laws; (f) all information inserted by the undersigned into this Letter of Transmittal is complete, true and accurate; and (g) the delivery to the undersigned of the applicable number of Consideration Shares and the cheque(s) or wire, as applicable, representing the Cash Consideration and any Fractional Cash and/or Dividends, if any, does not violate any laws applicable to the undersigned and will discharge any and all obligations of Pan American, Agnico, Yamana, and the Depositary to the undersigned with respect to the matters contemplated by this Letter of Transmittal and the Arrangement. These representations and warranties shall survive the completion of the Arrangement. The undersigned further acknowledges receipt of the Circular.

 

 

 - 5 - 

 

IN CONNECTION WITH THE ARRANGEMENT AND FOR VALUE RECEIVED at the Effective Time all of the right, title and interest of the undersigned in and to the Deposited Shares and in and to any and all dividends, distributions, payments, securities, rights, warrants, assets or other interests (collectively, “distributions”) which may be declared, paid, accrued, issued, distributed, made or transferred on or in respect of the Deposited Shares or any of them as of and from the Effective Date, as well as the right of the undersigned to receive any and all distributions shall have been assigned to Pan American. If, notwithstanding such assignment, any distributions are received by or made payable to or to the order of the undersigned, then the undersigned shall promptly pay or deliver the whole of any such distribution to the Depositary for the account of Pan American, together with appropriate documentation of transfer.

 

The undersigned hereby agrees to transfer, effective at the Effective Time and pursuant to the Arrangement, all right, title and interest in the Deposited Shares and irrevocably constitutes and appoints the Depositary, each officer of Pan American and Yamana and any other person designated by Pan American and Yamana in writing, the true and lawful agent, attorney and attorney-in-fact of the undersigned with respect to the Deposited Shares with full power of substitution (such power of attorney, being coupled with an interest, being irrevocable) to, in the name of and on behalf of the undersigned, (a) deliver the Deposited Shares pursuant to the Arrangement, (b) to effect the registration or recording of the transfer of such Deposited Shares on the registers of Yamana; and (c) execute and negotiate any cheques or other instruments representing any such distribution payable to or to the order of the undersigned.

 

The undersigned revokes any and all other authority, whether as agent, attorney-in-fact, attorney, proxy or otherwise, previously conferred or agreed to be conferred by the undersigned at any time with respect to the Deposited Shares or any distributions other than as set out in this Letter of Transmittal and in any proxy granted for use at the Yamana Meeting. Other than in connection with the Yamana Meeting, no subsequent authority, whether as agent, attorney-in-fact, attorney, proxy or otherwise, will be granted with respect to the Deposited Shares or any distributions by or on behalf of the undersigned, unless the Deposited Shares are not taken up and paid for in connection with the Arrangement.

 

The undersigned covenants and agrees to, upon request, execute all such documents, transfers and other assurances as may be deemed by the Depositary to be reasonably necessary or desirable to convey the Deposited Shares and distributions contemplated by this Letter of Transmittal.

 

The undersigned agrees that all questions as to validity, form, eligibility (including timely receipt) and acceptance of any Yamana Shares deposited in connection with the Arrangement shall be determined by Pan American and Yamana in their sole discretion and that such determination shall be final and binding. Pan American reserves the absolute right to reject any and all deposits which it determines not to be in proper form or which may be unlawful to accept under the laws of any jurisdiction. Pan American further reserves the absolute right to waive any defects or irregularities in the deposit of any Yamana Shares. The undersigned acknowledges that there is no duty or obligation upon Yamana, Pan American, Agnico, the Depositary or any other person to give notice of any defect or irregularity in any such surrender of Yamana Shares and no liability will be incurred by any of them for failure to give any such notice.

 

The undersigned hereby acknowledges that the delivery of the Deposited Shares shall be effected and the risk of loss to such Deposited Shares shall pass only upon proper receipt thereof by the Depositary.

 

The undersigned acknowledges that all authority conferred or agreed to be conferred by the undersigned in this Letter of Transmittal may be exercised during any subsequent legal incapacity of the undersigned and shall survive the death, incapacity, bankruptcy or insolvency of the undersigned and all obligations of the undersigned in this Letter of Transmittal shall be binding upon the heirs, personal or legal representatives, successors and assigns of the undersigned.

 

The undersigned acknowledges that Pan American, Agnico and/or Yamana may be required to disclose personal information in respect of the undersigned and consents to disclosure of personal information in respect of the undersigned to (a) stock exchanges or securities regulatory authorities, (b) the Depositary, (c) any of the parties to the Arrangement, (d) legal counsel to any of the parties to the Arrangement, and (e) as otherwise required by any applicable law.

 

 

 - 6 - 

 

The undersigned instructs the Depositary, upon the Arrangement becoming effective, to mail the DRS statements representing the Consideration Shares and the cheque(s) representing the Cash Consideration and any Fractional Cash and/or any Dividends, if any, that the undersigned is entitled to pursuant to the Arrangement, in exchange for the Deposited Shares, promptly after the Effective Time, by first class mail, postage prepaid, to the undersigned, to hold such DRS statements representing the Consideration Shares or cheque(s) representing the Cash Consideration and any Fractional Cash and/or any Dividends, if any, for pick-up, or deliver the funds representing the Cash Consideration and any Fractional Cash and/or any Dividends, if any, via wire, all in accordance with the instructions provided in Box A, Box B and Box F below, as applicable. If neither Box A nor Box B is completed, then the DRS statements representing the Consideration Shares and the cheque(s) representing the Cash Consideration and any Fractional Cash and/or any Dividends, if any, will be issued in the name of the registered holder of the Deposited Shares and delivered to the address of the registered owner(s) of the Deposited Shares as it appears on the securities register of Yamana (unless Box F is completed, in which case the funds representing the Cash Consideration and any Fractional Cash and/or any Dividends, if any, will be delivered in accordance with the instructions set out therein). Any DRS statements representing the Consideration Shares and any cheque(s) representing the Cash Consideration and any Fractional Cash and/or any Dividends, if any, delivered in accordance with this Letter of Transmittal will be deemed delivered at the time of mailing.

 

The undersigned acknowledges that if the Arrangement is completed, the delivery of the Deposited Shares pursuant to this Letter of Transmittal is irrevocable. If the Arrangement is not completed or should the Arrangement not proceed, for any reason, the certificate(s) or DRS statement(s) representing the Deposited Shares and other relevant documents shall be returned as soon as possible to the undersigned in accordance with the instructions in the preceding paragraph.

 

It is understood that the undersigned will not receive the DRS statements representing the Consideration Shares or any cheque or wire, as applicable, representing the Cash Consideration and any Fractional Cash and/or any Dividends, if any, in respect of the Deposited Shares until following the Effective Time and after certificate(s) or DRS statement(s) representing the Deposited Shares owned by the undersigned are received by the Depositary at the address set forth on the back of this Letter of Transmittal, together with a duly completed Letter of Transmittal and such additional documents as the Depositary may require, and until the same are processed by the Depositary. It is understood that under no circumstances will any interest accrue or be paid in respect of the Deposited Shares in connection with the Arrangement, including on any Cash Consideration, Fractional Cash or Dividends.

 

The undersigned acknowledges that Pan American, Agnico, Yamana, any of their affiliates, or the Depositary, as applicable, shall be entitled to deduct and withhold, or direct any other Person to deduct and withhold on their behalf, from any amounts otherwise payable, issuable or otherwise deliverable to any Person under the Plan of Arrangement (including, without limitation, payments of Cash Consideration and Fractional Cash, if any, to any Registered Yamana Shareholder and any payments to any Registered Yamana Shareholder who has duly and validly exercised Dissent Rights in respect of the Arrangement and from all Dividends, distributions or other amounts otherwise payable to any former Registered Yamana Shareholder), such Taxes or other amounts as Pan American, Agnico, Yamana, any of their affiliates, or the Depositary or such other Persons are or may be required, entitled or permitted to deduct and withhold with respect to such payment under the Income Tax Act (Canada) (the “Tax Act”), the United States Internal Revenue Code of 1986, as amended, or any other provisions of any Laws. To the extent that Taxes or other amounts are so deducted or withheld, such deducted or withheld Taxes or other amounts shall be treated for all purposes hereof as having been paid to the Person in respect of which such deduction and withholding was made; provided that such deducted or withheld Taxes or other amounts are actually remitted to the appropriate Governmental Entity. The undersigned acknowledges that it has consulted or has had the opportunity to consult its own tax advisor with respect to the potential income tax consequences to it of the Arrangement.

 

The undersigned understands and acknowledges that the Consideration Shares to be received by it pursuant to the Arrangement have not been registered under the United States Securities Act of 1933, as amended (the “Securities Act”), or any state securities laws and are being issued in reliance on the exemption from the registration requirements provided by section 3(a)(10) of the Securities Act. The issuance of the Consideration Shares pursuant to the Arrangement shall be exempt from, or not subject to, applicable U.S. state securities, or “blue sky” laws. Upon issuance, the Consideration Shares will be transferable without restriction under the Securities Act after the completion of the Arrangement, except by persons who are “affiliates” (as such term is defined under Rule 144 of the Securities Act) of Pan American or Agnico, as applicable, as of the time of such resale, or were “affiliates” of Pan American or Agnico, as applicable, within 90 days prior to such time. Persons who may be deemed to be “affiliates” of an issuer generally include individuals or entities that, directly or indirectly, control, are controlled by, or are under common control with, the issuer, whether through the ownership of voting securities, by contract, or otherwise, and generally include executive officers and directors of the issuer as well as principal shareholders of the issuer. Any resale of such Consideration Shares by an affiliate (or former affiliate) of Pan American or Agnico, as applicable, may be subject to the registration requirements of the Securities Act, absent an exemption therefrom, as more fully described in the Circular.

 

 

 - 7 - 

 

The foregoing discussion is only a general overview of certain requirements of United States federal securities laws applicable to the Consideration Shares received upon completion of the Arrangement. All holders of such securities are urged to consult with counsel to ensure that any action taken with respect to their securities complies with applicable securities legislation, including any resale of such securities.

 

The Cash Consideration and any Fractional Cash, if any, payable to the Registered Yamana Shareholders under the Arrangement will be in United States dollars, unless Canadian dollars is selected in Box C prior to the Effective Date.

 

By reason of the use by the undersigned of an English language form of Letter of Transmittal, the undersigned shall be deemed to have required that any contract evidenced by the Arrangement as accepted through this Letter of Transmittal, as well as all documents related thereto, be drawn exclusively in the English language. En raison de l'usage d'une lettre d'envoi en langue anglaise par le soussigné, le soussigné et les destinataires sont présumés d'avoir requis que tout contrat attesté par l'arrangement et son acceptation par cette lettre d'envoi, de même que tous les documents qui s'y rapportent, soient rédigés exclusivement en langue anglaise.

 

This Letter of Transmittal will be governed by and construed in accordance with the laws of the Province of Ontario and the federal laws of Canada applicable therein.

 

 

 - 8 - 

 

PLEASE COMPLETE THE FOLLOWING BOXES, AS APPROPRIATE.

 

 

BOX A

REGISTRATION INSTRUCTIONS

 

Issue Consideration Shares and the cheque(s) representing the Cash Consideration and any Fractional Cash and/or Dividends, if applicable, in the name of:

 

 

(NAME)*

 

 

(CITY AND PROVINCE/STATE)

 

 

(COUNTRY AND POSTAL/ZIP CODE)

 

 

 

(TELEPHONE NUMBER (BUSINESS HOURS))

 

 

 

(SOCIAL INSURANCE NUMBER OR TAXPAYER IDENTIFICATION NUMBER)

 

* IF THIS NAME IS DIFFERENT FROM YOUR REGISTRATION, PLEASE PROVIDE SUPPORTING TRANSFER REQUIREMENTS (SEE INSTRUCTIONS 2 & 3)

 

Special Pick-up Instructions

 

¨ Mark here if the DRS statements representing the Consideration Shares, and the cheque(s) representing the Cash Consideration and any Fractional Cash and/or Dividends, if any, issuable in exchange for the Yamana Shares (in accordance with the issuance instructions provided above) is to be held for pick-up at the following office of the Depositary (check location below)

 

Computershare Investor Services Inc.

100 University Ave

8th Floor, North Tower

Toronto ON M5J 2Y1

 

Delivery of Funds by Wire

 

If the Cash Consideration and any Fractional Cash and/or Dividends, if any, issuable in exchange for the Yamana Shares is to be delivered via wire, please complete Box F and complete the other items in this Box A or in Box B to indicate how you would like any DRS statements representing the Consideration Shares to be delivered.

 

 

 

BOX B

SPECIAL ISSUANCE INSTRUCTIONS

 

To be completed ONLY if the Consideration Shares and the cheque(s) representing the Cash Consideration and any Fractional Cash and/or Dividends, if applicable, to which the undersigned is entitled pursuant to the Arrangement is to be sent to someone other than the Person shown in Box A or to an address other than the address shown in Box A:

 

 

 

(NAME)

 

 

 

(STREET NUMBER & NAME)

 

 

 

(CITY AND PROVINCE/STATE)

 

 

 

(COUNTRY AND POSTAL/ZIP CODE)

 

 

 

(TELEPHONE NUMBER (BUSINESS HOURS))

 

 

 

 - 9 - 

 

BOX C

CURRENCY ELECTION

 

THE CASH CONSIDERATION AND ANY FRACTIONAL CASH, IF ANY, WILL BE PAID IN US DOLLARS UNLESS CANADIAN DOLLARS IS SELECTED BELOW PRIOR TO THE EFFECTIVE DATE. AFTER THE EFFECTIVE DATE, THE CASH CONSIDERATION AND ANY FRACTIONAL CASH, IF ANY, WILL BE PAID IN US DOLLARS, REGARDLESS OF ANY ELECTIONS BELOW:

 

¨Issue my Cash Consideration and any Fractional Cash, if any, in Canadian Dollars (CAD)

 

The Cash Consideration and any Fractional Cash, if any, will be denominated in US dollars. However, a Registered Yamana Shareholder can instead elect to receive the Cash Consideration and Fractional Cash, if any, in Canadian dollars by checking the box above in this Box C, in which case such Registered Yamana Shareholder will have acknowledged and agreed that the exchange rate for one US dollar expressed in Canadian dollars will be based on the prevailing market rate(s) available to Computershare Trust on the date of the currency conversion. All risks associated with the currency conversion from US dollars to Canadian dollars, including risks relating to change in rates, the timing of exchange or the selection of a rate for exchange, and all costs incurred with the currency conversion are for the Registered Yamana Shareholder’s sole account and will be at such Registered Yamana Shareholder’s sole risk and expense, and neither Yamana, Pan American, Agnico, Computershare Trust nor their affiliates are responsible for any such matters.

 

By electing to receive the Cash Consideration and any Fractional Cash, if any, in another currency, the undersigned acknowledges that (a) the exchange rate used will be the rate established by Computershare Trust, in its capacity as foreign exchange service provider to Yamana, Pan American and Agnico, on the date the funds are converted; (b) the risk of any fluctuation in such rate will be borne by the undersigned; and (c) Computershare Trust may earn a commercially reasonable spread between its exchange rate and the rate used by any counterparty from which it purchases the selected currency. Failure to make an election by the Effective Date will result in the Cash Consideration and any Fractional Cash, if any, paid to a Registered Yamana Shareholder under the Arrangement being paid in US dollars.

 

 

BOX D

RESIDENCY DECLARATION

 

ALL REGISTERED YAMANA SHAREHOLDERS ARE REQUIRED TO COMPLETE A RESIDENCY DECLARATION. FAILURE TO COMPLETE A RESIDENCY DECLARATION MAY RESULT IN A DELAY IN YOUR PAYMENT.

 

The undersigned represents that:

 

¨The beneficial owner of the Yamana Shares deposited herewith is a U.S. Shareholder, is acting for the account of, benefit of or on behalf of a U.S. Shareholder or has a U.S. address.

 

¨The beneficial owner of the Yamana Shares deposited herewith is not a U.S. Shareholder, is not acting for the account of, benefit of or on behalf of a U.S. Shareholder and does not have a U.S. address.

 

A “U.S. Shareholder” is any Registered Yamana Shareholder who is either (i) providing an address in Box “A” or Box “B” that is located within the United States or any territory or possession thereof, or (ii) a “U.S. person” for the United States federal income tax purposes as defined in Instruction 7 below. If you are a U.S. person or acting on behalf of a U.S. person, then in order to avoid possible backup withholding of U.S. federal income tax in respect of the Cash Consideration and any Fractional Cash, if any, you must complete the IRS Form W-9 (enclosed) below or otherwise provide certification that such U.S. person is exempt from backup withholding, as discussed in Instruction 7 below. If you are a U.S. Shareholder (or acting on behalf of a U.S. Shareholder), but you are not a U.S. person (or acting on behalf of a U.S. person), you must complete and provide an appropriate IRS Form W-8 to avoid backup withholding in respect of the Cash Consideration and any Fractional Cash, if any. A current IRS Form W-9 is included in this Letter of Transmittal. The applicable IRS Form W-8 and accompanying instructions can be found on the IRS website at https://www.irs.gov/forms-pubs/about-form-w-8.

 

 

 - 10 - 

 

BOX E

LOST CERTIFICATES

 

If your lost certificate(s) forms part of an estate or trust, or are valued at more than CAD $200,000.00, please contact the Depositary for additional instructions. Any person who, knowingly and with intent to defraud any insurance company or other person, files a statement of claim containing any materially false information or conceals for the purpose of misleading, information concerning any fact material thereto, commits a fraudulent insurance act, which is a crime.

 

Premium Calculation:

 

Lost Shares X CAD$0.20 = Premium Payable $_____________ NOTE: Payment NOT required if premium is less than $5.00

 

I enclose my certified cheque, bank draft or money order payable to Computershare Investor Services Inc.

 

The option to replace your certificate by completing this Box E will expire one year after the Effective Date. After this date, Yamana Shareholders must contact Computershare for alternative replacement options.

 

STATEMENT OF LOST CERTIFICATES:

 

The undersigned (solitarily, jointly and severally, if more than one) represents and agrees to the following: (i) the undersigned is (and, if applicable, the registered owner of the original certificate(s), at the time of their death, was) the lawful and unconditional owner of the original certificate(s) and is entitled to the full and exclusive possession thereof; (ii) the missing certificate(s) representing the original certificate(s) have been lost, stolen or destroyed, and have not been endorsed, cashed, negotiated, transferred, assigned, pledged, hypothecated, encumbered in any way, or otherwise disposed of; (iii) a diligent search for the certificate(s) has been made and they have not been found; and (iv) the undersigned makes this statement for the purpose of transferring or exchanging the original certificate(s) (including, if applicable, without probate or letters of administration or certification of estate trustee(s) or similar documentation having been granted by any court), and hereby agrees to surrender the certificate(s) representing the original certificate(s) for cancellation should the undersigned, at any time, find the certificate(s).

 

The undersigned hereby agrees, for myself and my heirs, assigns and personal representatives, in consideration of the transfer or exchange of the original certificate(s), to completely indemnify, protect and hold harmless Yamana Gold Inc., Pan American Silver Corp., Agnico Eagle Mines Limited, Computershare Investor Services Inc., each of their lawful successors and assigns, and any other party to the transaction (the “Obligees”), from and against all losses, costs and damages, including court costs and attorneys’ fees that they may be subject to or liable for in respect of the cancellation and/or replacement of the original certificate(s) and/or the certificate(s) representing the original and/or the transfer or exchange of the original certificate(s) represented thereby, upon the transfer, exchange or issue of the original certificate(s) and/or a cheque for any cash payment. The rights accruing to the Obligees under the preceding sentence shall not be limited by the negligence, inadvertence, accident, oversight or breach of any duty or obligations on the part of the Obligees or their respective officers, employees and agents or their failure to inquire into, contest, or litigate any claim, whenever such negligence, inadvertence, accident, oversight, breach or failure may occur or have occurred. I acknowledge that a fee of CAD$0.20 per lost common share is payable by the undersigned. Surety protection for the Obligees is provided under Blanket Lost Original Instruments/Waiver of Probate or Administration Bond No. 35900-16 issued by Aviva Insurance Company of Canada.

 

 

 - 11 - 

 

- 11 - BOX F WIRE PAYMENT* *PLEASE NOTE THAT THERE IS A $100 (PLUS APPLICABLE TAXES) BANKING FEE ON WIRE PAYMENTS. ALTERNATIVELY, CHEQUE PAYMENTS ARE ISSUED AT NO ADDITIONAL COST *IF WIRE DETAILS ARE INCORRECT OR INCOMPLETE, COMPUTERSHARE WILL ATTEMPT TO CONTACT YOU AND CORRECT THE ISSUE. HOWEVER, IF WE CANNOT CORRECT THE ISSUE PROMPTLY, A CHEQUE WILL BE AUTOMATICALLY ISSUED AND MAILED TO THE ADDRESS ON RECORD. NO FEES WILL BE CHARGED Please provide email address and phone number in the event that we need to contact you for corrective measures: EMAIL ADDRESS: ____________________________________________________ PHONE NUMBER: __________________________ **Beneficiary Name(s) that appears on the account at your financial institution – this MUST be the same name and address that your shares are registered to **Beneficiary Address (Note: PO Boxes will not be accepted) **City **Province/State **Postal Code/Zip Code **Beneficiary Bank/Financial Institution **Bank Address **City **Province/State **Postal Code/Zip Code PLEASE ONLY COMPLETE THE APPLICABLE BOXES BELOW, AS PROVIDED BY YOUR FINANCIAL INSTITUTION. YOU ARE NOT REQUIRED TO COMPLETE ALL BOXES **Bank Account No. Bank No. & Transit No. (Canadian Banks) ABA/Routing No. (US Banks) (3 digits & 5 digits) (9 digits) SWIFT or BIC Code IBAN Number Sort Code (GBP) (11 characters – if you only have eight, put ‘XXX’ for the last three) Additional Notes and special routing instructions: ** Mandatory fields

 

 

 - 12 - 

 

BOX G

JURISDICTION OF RESIDENCE
(See Instruction 10)

 

Part 1

 

The undersigned represents that the beneficial recipient of any payments made pursuant to the Arrangement (the “Beneficial Owner”), including the Beneficial Owner of any dividend or deemed dividend on the Deposited Shares, for purposes of Tax Act:

 

¨is a resident of Canada for purposes of the Tax Act.*

 

¨is not a resident of Canada for purposes of the Tax Act.*

 

If neither box immediately above is checked, the Beneficial Owner may be treated as a non-resident of Canada for purposes of the Tax Act.

 

Note:

 

A non-resident of Canada is a person that is not resident, or deemed not to be resident, in Canada for purposes of the Tax Act or a partnership that is not a “Canadian partnership” as defined in the Tax Act. If you are uncertain as to the residency of the Beneficial Owner, you should consult your tax advisor.

 

Part 2

 

The remainder of this Box is for non-residents of Canada only:*

 

The Beneficial Owner:

 

¨     is a resident of a country with which Canada has entered into a comprehensive income tax convention or treaty under which the Beneficial Owner is entitled to the full benefits provided by such convention or treaty; AND has properly completed and provided herewith Canada Revenue Agency Form NR 301 – Declaration of Eligibility for Benefits Under a Tax Treaty for a Non-Resident Taxpayer (“Form NR 301”) (or Form NR 302 or NR 303, as applicable**) or

 

¨     is not a resident of a country with which Canada has entered into a comprehensive income tax convention or treaty under which the Beneficial Owner is entitled to the full benefits provided by such convention or treaty OR has not provided herewith a properly completed Form NR 301 (or Form NR 302 or NR 303, as applicable**).

 

If the non-resident Beneficial Owner is entitled to full benefits under such treaty, complete the following:

 

Number of Deposited Shares held by Beneficial Owner   Country of Residence/Treaty
     
     

 

A non-resident Beneficial Owner that checks the first box in Part 2 above, but does not properly complete and provide a Form NR 301 (or, in the case of a partnership or hybrid entity, Form NR 302 or NR 303, as applicable), may be subject to 25% Canadian non-resident withholding tax rate on any relevant amounts.

 

A non-resident Beneficial Owner that checks the second box in Part 2 above will be subject to a 25% Canadian non-resident withholding tax rate on any relevant amounts.

 

A non-resident Beneficial Owner that does not check either the first box or the second box in Part 2 above may be deemed to have selected the second box in Part 2 above and may be subject to 25% Canadian non-resident withholding tax rate on any relevant amounts.

 

* FAILURE TO PROVIDE THIS INFORMATION MAY RESULT IN THE APPLICATION OF A 25% WITHHOLDING TAX RATE TO ANY RELEVANT AMOUNTS, INCLUDING ANY DEEMED DIVIDEND ARISING IN CONNECTION WITH THE ARRANGEMENT.

 

** Partnerships or Hybrid Entities must complete Form NR-302 or NR-303, as applicable.

 

 

 - 13 - 

 

SHAREHOLDER SIGNATURE(S)

 

Signature guaranteed by   Dated:          
(if required under Instruction 3)    
   
  Signature of Shareholder or authorized representative
Authorized Signature   (see Instructions 2 and 4)
     
 
Name of Guarantor (please print or type)   Signature of any joint shareholder
     
 
Address of Guarantor (please print or type)   Name of Shareholder (please print or type)
     
 
    Name of authorized representative (please print or type)
   
   
  Name of any joint shareholder (please print or type)
     
Telephone Number  
    Address (please print or type)
     
     
   
     
     
   
     
     
   
    Telephone Number of Shareholder or authorized representative
(please print or type)
     
   
    Social Insurance Number or Taxpayer Identification Number
(please print or type)

 

 

 - 14 - 

 

 

 

 - 15 - 

 

 

 

 - 16 - 

 

 

 

 - 17 - 

 

 

 

 - 18 - 

 

 

 

 - 19 - 

 

 

 

 - 20 - 

 

YOU MUST COMPLETE THE FOLLOWING CERTIFICATE IF YOU WROTE
“APPLIED FOR” IN PART I OF THE IRS Form W-9.

 

CERTIFICATE OF AWAITING TAXPAYER IDENTIFICATION NUMBER

 

I certify under penalties of perjury that a taxpayer identification number or employee identification number (“TIN”) has not been issued to me, and either (a) I have mailed or delivered an application to receive a TIN to the appropriate IRS Center or Social Security Administration Office or (b) I intend to mail or deliver an application in the near future. I understand that if I do not provide a TIN by the time of payment, I may be subject to backup withholding in respect of the Cash Consideration and any Fractional Cash, if any, pursuant to the Arrangement.

 

 

Signature     Date:  

 

 

 - 21 - 

 

+8th Floor, 100 University AvenueToronto, Ontario M5J 2Y1Telephone 1-800-564-6253www.investorcentre.com City Prov. / State Postal / Zip CodeApt. Street NameStreet NumberRegistered Name in which account is held (eg. John Smith) Holder Account Number C Use a black or blue pen. Print in CAPITAL letters inside the grey areas as shown in this example. ABC 123 XName of Reinvestment Company Plan Please complete the information fields below (print clearly) in full Form NR301 - Declaration of eligibility for benefits under a tax treaty for a non-resident taxpayer Signature of non-resident taxpayer or authorized personNon-Canadian Tax Identification NumberCertification and UndertakingThis form must be signed and dated for us to accept as proper certification.• I certify that the information given on this form is correct and complete.• I certify that the non-resident taxpayer is the beneficial owner of all income to which this form relates.• I certify that to the best of my knowledge and based on the factual circumstances the non-resident taxpayer is entitled to the benefits of the tax treaty between Canada and the country of residence indicated in “Your Country of Residence”, on the type of income being declared.• I undertake to immediately notify the payer through which I derive income, and to whom I am submitting this form, of any changes to the information provided on this form. +4NR301Your Country of ResidenceType of Income Being Declared Send this form to Computershare. Do not send to the Canada Revenue Agency.Name and Position/Title of authorized person01CRWADear Shareholder: Please read the reverse for directions on completing this form.Date (mm/dd/yyyy)Sign Here Interest, Dividends, and/or Royalties Trust Income Other _____________________________________________ Specify income type IndividualRecipient Type(s) and Canadian Tax Number(s) Complete this section only if you have a Canadian Tax NumberCorporationEnter your Canadian Social Insurance Number or individual tax number.Enter your corporation’s business number.Enter the trust’s account number. Trust RCT ASXQCPUQC01.E.INT/000001/i1234 - 21 -

 

 - 22 - 

 

Important Information 01CRXAComputershare100 University Ave, 8th FloorToronto Ontario M5J 2Y1If no business reply envelope is enclosed, please return the completed form to:Why should I complete this form?It is Computershare’s responsibility to withhold and remit Part XIII tax at the appropriate rate and you are liable for any deficiency. For this reason, a completed form NR301 will allow us to apply a reduced rate of withholding tax, if applicable, otherwise, the highest rate will be remitted to the Canada Revenue Agency (CRA).Is this the right form for me?Use this form if you are a non-Canadian taxpayer residing in a country with whom Canada has a tax treaty, and you are eligible to receive the reduced rate of tax or exemption provided by the treaty on all or certain income, and you:• receive income subject to Part XIII withholding tax, such as investment income, pension, annuities, royalties, and estate or trust income, and the withholding tax rate is reduced by the tax treaty, or• are completing forms T2062, Request by a Non-Resident of Canada for a Certificate of Compliance Related to the Disposition of Taxable Canadian Property or T2062A, Request by a Non-Resident of Canada for a Certificate of Compliance Related to the Disposition of Canadian Resource or Timber Resource Property, Canadian Real Property (Other Than Capital Property), or Depreciable Taxable Canadian Property to request a certificate of compliance for the disposition of treaty protected property, or• derive income of any kind through a partnership or hybrid entity and it asks you to complete form NR301 to support a declaration by the partnership or hybrid entity.Do not use this form:• to support exemptions from tax under Article XXI of the Canada – U.S. tax treaty. You must apply to the CRA for a Letter of Exemption. Refer to guide T4016, Exempt U.S. Organizations – Under Article XXI of the Canada – United States Tax Convention;• to support exemptions under a tax treaty that does not tax pension income if the total amount received from all payers is less than a certain threshold amount, or in other situations where form NR5, Application by a Non-Resident of Canada for a Reduction in the Amount of Non-Resident Tax Required to be Withheld, is applicable. See guide T4061, NR4 – Non-Resident Tax Withholding, Remitting, and Reporting for more information on pension exemptions. In these cases, you have to file form NR5 to receive a letter authorizing a reduction in withholding tax on pension income;• to support exemptions from Part XIII withholding tax that are provided for in the Income Tax Act, such as fully exempt interest as defined in subsection 212(3); to support arm’s length interest payments that are not captured by paragraph 212(1)(b); or to support reductions of the Part XIII withholding tax on rental income when the non-resident makes an election under Section 216. In these circumstances, you do not complete this form, since the exemption or reduction is in the Income Tax Act rather than in one of Canada’s tax treaties.For more information on the NR302 and NR303 Forms, please go to http://www.cra-arc.gc.ca/formspubs/frms/nr301-2-3-eng.htmlInstructions on completing this formNon-Canadian Tax Identification Number: Enter the tax identification number that you use in your country of residence, if you have one. For individuals who are resident in the United States, this is your Taxpayer Identification Number (TIN).Your Country of Residence: Indicate your country of residence. You must be a resident of the country as defined in the tax treaty between Canada and that country.Type of Income Being Declared: Enter the types of income being paid for which you are eligible for tax treaty benefits (such as an exemption from tax in Canada or a reduced withholding tax rate). Note: Income, including interest and dividend income, paid by a trust (other than a deemed dividend paid by a Specified Investment Flow-Through trust to which subsection 104(16) applies) to a non-resident is considered “trust income” under the Income Tax Act and Canada’s tax treaties.Recipient Type and Canadian Tax Number: Tick the appropriate type of non-resident taxpayer and provide a Canadian tax number, if you have one.Certification and Undertaking: This form must be signed and dated by: • the non-resident taxpayer in the case of an individual; • an authorized officer in the case of a corporation; • the trustee, executor, or administrator if the person completing the form is a trust; • an authorized partner in the case of a partnership.Joint Partnerships or Multiple Name Registrations: Complete one form per holder in the partnership or registration.Privacy Notice: Computershare is committed to protecting your personal information. In the course of providing services to you and our corporate clients, we receive non-public personal information about you-from transactions we perform for you, forms you send us, other communications we have with you or your representatives, etc. This information could include your name, contact details (such as residential address, correspondence address, email address), Social Insurance Number (SIN) or Taxpayer Identification Number (TIN), survey responses, securities holdings and other financial information. We use this to administer your account, to better serve your and our clients’ needs and for other lawful purposes relating to our services. Computershare may transfer personal information to other companies in or outside of Canada that provide data processing and storage or other support in order to facilitate the services it provides. Where we share your personal information with other companies to provide services to you, we ensure they have adequate safeguards to protect your personal information. We also ensure the protection of rights of data subjects under the General Data Protection Regulation, where applicable. We have prepared a Privacy Code to tell you more about our information practices, how your privacy is protected and how to contact our Chief Privacy Officer. It is available at our website, www.computershare.com, or by writing to us at 100 University Avenue, Toronto, Ontario, M5J 2Y1.You are required to provide your SIN/TIN if we require it for income reporting. Computershare may also ask for your SIN/TIN as an identification-security measure if you call or write to request service on your account; however you may decline this usage.- 22 -

 

 - 23 - 

 

INSTRUCTIONS

 

1. Use of Letter of Transmittal

 

Registered Yamana Shareholders should read the accompanying Circular before completing this Letter of Transmittal. This Letter of Transmittal, duly completed and signed, together with any accompanying certificate(s) or DRS statement(s) representing the Deposited Shares and all other required documents must be sent or delivered to the Depositary at the addresses set out on the back of this Letter of Transmittal. In order to receive the Consideration Shares and the cheque or wire, as applicable, representing the Cash Consideration under the Arrangement for the Deposited Shares, as well as any cheque(s) or wire, as applicable, representing any Fractional Cash and/or any Dividends, if any, it is recommended that the foregoing documents be received by the Depositary at the address set out on the back of this Letter of Transmittal as soon as possible. The method used to deliver this Letter of Transmittal and any accompanying certificate(s) or DRS statement(s) representing Deposited Shares and all other required documents is at the option and risk of the Yamana Shareholder, and delivery will be deemed effective only when such documents are actually received by the Depositary. Pan American, Agnico and Yamana recommend that the necessary documentation be hand delivered to the Depositary at its office specified on the back of this Letter of Transmittal, and a receipt obtained; otherwise the use of registered mail with return receipt requested, properly insured, is recommended. Delivery to an address other than to the specified address set forth herein does not constitute delivery for this purpose. A Beneficial Yamana Shareholder whose Yamana Shares are registered in the name of a broker, investment dealer, bank, trust company, trustee, custodian, nominee or other Intermediary should contact that Intermediary for assistance in depositing those Yamana Shares. Pan American reserves the right, if it so elects, in its absolute discretion, to instruct the Depositary to waive any defect or irregularity contained in any Letter of Transmittal and/or accompany documents received by it. If the DRS statements representing the Consideration Shares and the cheque(s) or wire, as applicable, representing the Cash Consideration and any Fractional Cash and/or Dividends, if any, are to be issued or delivered, as applicable, in the name of a person other than the person(s) signing this Letter of Transmittal, or if the DRS statements representing the Consideration Shares and the cheque(s) or wire, as applicable, representing the Cash Consideration and any Fractional Cash and/or Dividends, if any, is to be mailed or delivered, as applicable, to someone other than the person(s) signing this Letter of Transmittal or the person(s) signing this Letter of Transmittal at an address other than that which appears on the securities register of Yamana, the appropriate boxes on this Letter of Transmittal should be completed.

 

2. Signatures

 

This Letter of Transmittal must be filled in and signed by the Registered Yamana Shareholder described above or by such holder's duly authorized representative (in accordance with Instruction 4).

 

(a)If this Letter of Transmittal is signed by the registered owner(s) of the Deposited Shares, such signature(s) on this Letter of Transmittal must correspond with the names(s) as registered or as written on the face of such certificate(s) or DRS statement(s) representing the Deposited Shares without any change whatsoever, and the certificate(s) or DRS statement(s) representing the Deposited Shares need not be endorsed. If such deposited certificate(s) or DRS statement(s) are owned of record by two or more joint owners, all such owners must sign the Letter of Transmittal.

 

(b)Subject to Instruction 4, if this Letter of Transmittal is signed by a person other than the registered owner(s) of the Deposited Shares or if the DRS statements representing Consideration Shares and the cheque(s) or wire, as applicable, representing the Cash Consideration and any Fractional Cash and/or Dividends, if any, are to be issued or delivered, as applicable, to a person other than the registered owner(s) of the Deposited Shares:

 

(i)such certificate(s) or DRS statement(s) representing the Deposited Shares must be endorsed or be accompanied by an appropriate share transfer power(s) of attorney duly and properly completed by the registered owner(s) of the Deposited Shares; and

 

(ii)the signature(s) on such endorsement or share transfer power(s) of attorney must correspond exactly to the name(s) of the registered owner(s) of the Deposited Shares as registered or as appearing on the certificate(s) or DRS statement(s) representing the Deposited Shares and must be guaranteed as noted in Instruction 3 below.

 

(c)If any of the Deposited Shares are registered in different names on several certificates or DRS statements, as applicable, it will be necessary to complete, sign and submit as many separate Letter of Transmittal as there are different registrations of such Deposited Shares.

 

 

 - 24 - 

 

3. Guarantee of Signatures

 

No signature guarantee is required on this Letter of Transmittal if this Letter of Transmittal is signed by the registered owner(s) of the Deposited Shares surrendered herewith. Subject to Instruction 4, if this Letter of Transmittal is signed by a person other than the registered owner(s) of the Deposited Shares, or if the Consideration Shares are to be issued in the name of a person other than the registered owner(s) of the Deposited Shares as shown on the registers of Yamana, such signature must be guaranteed by an Eligible Institution (as defined below), or in some other manner satisfactory to the Depositary (except that no guarantee is required if the signature is that of an Eligible Institution).

 

An “Eligible Institution” means a Canadian Schedule I chartered bank, a major trust company in Canada, a commercial bank or trust company in the United States, a member of the Securities Transfer Association Medallion Program (STAMP), a member of the Stock Exchange Medallion Program (SEMP) or a member of the New York Stock Exchange Inc. Medallion Signature Program (MSP). Members of these programs are usually members of a recognized stock exchange in Canada and the United States, members of the Investment Industry Regulatory Organization of Canada, members of the Financial Industry Regulatory Authority or banks and trust companies in the United States.

 

4. Signed by a Representative

 

If this Letter of Transmittal or any share transfer power(s) of attorney is signed by a person acting in a representative capacity, such as (a) an executor, administrator, trustee or guardian, or (b) on behalf of a corporation, partnership, or association, then in each case such signature must be accompanied by satisfactory evidence of the authority to act, or in some other manner satisfactory to the Depositary (except that no guarantee is required if the signature is that of an Eligible Institution). Either Pan American, Yamana or the Depositary, at their discretion, may require additional evidence of authority or additional documentation.

 

5. Miscellaneous

 

(a)If the space on this Letter of Transmittal is insufficient to list all certificates or DRS statements, as applicable, for Deposited Shares, additional certificate numbers or DRS account numbers, as applicable, and number of Deposited Shares may be included on a separate signed list affixed to this Letter of Transmittal.

 

(b)If Deposited Shares are registered in different forms (e.g. “John Doe” and “J. Doe”) a separate Letter of Transmittal should be signed for each different registration.

 

(c)No alternative, conditional or contingent deposits of Yamana Shares will be accepted.

 

(d)No fractional Consideration Shares will be issued. To the extent that a fraction of a Pan American Share or an Agnico Share would otherwise be issuable to a Registered Yamana Shareholder under or as a result of the Arrangement, the number of Pan American Shares or Agnico Shares to be received by such Registered Yamana Shareholder will be rounded down to the nearest whole number. In lieu of any such fraction of a Pan American Share, each Registered Yamana Shareholder will receive a cash payment from Pan American equal to the value of such fraction calculated by ascribing a share value of US$15.45 to each whole Pan American Share. In lieu of any such fraction of an Agnico Share, each Registered Yamana Shareholder will receive a cash payment from Yamana (funded by Agnico) equal to the value of such fraction calculated by ascribing a share value of US$42.30 to each whole Agnico Share.

 

(e)Where the total cash payable to a Registered Yamana Shareholder by each of Pan American or Yamana under the Arrangement would include a fraction of a cent, the consideration payable to such Registered Yamana Shareholder will be rounded down to the nearest whole cent.

 

(f)This Letter of Transmittal will be construed in accordance with and governed by the laws of the Province of Ontario and the federal laws of Canada applicable therein. The holder of the Deposited Shares that are the subject of this Letter of Transmittal hereby unconditionally and irrevocably attorns to the jurisdiction of the courts of the Province of Ontario and the courts of appeal therefrom.

 

 

 - 25 - 

 

(g)Additional copies of the Circular and this Letter of Transmittal may be obtained from the Depositary at any of its respective offices at the addresses listed below. Before completing this Letter of Transmittal, you are urged to read the accompanying Circular and discuss any questions with your financial, legal and/or tax advisors.

 

(h)Under no circumstances will interest accrue or be paid on the Consideration Shares, the Cash Consideration or on the Fractional Cash or Dividends payable, if any, in respect of the Deposited Shares.

 

(i)Any representation made by a Registered Yamana Shareholder in this Letter of Transmittal will survive the Effective Time of the Arrangement.

 

6. Lost Certificates

 

This section does not apply to DRS statements. If, prior to the Effective Time, any certificate(s) that immediately prior to the Effective Time represented one or more outstanding Yamana Shares has been lost, stolen or destroyed, you are instructed to contact the transfer agent and registrar for the Yamana Shares to obtain a replacement certificate representing such shares. If, following the Effective Time:

 

Option #1: If a certificate that immediately prior to the Effective Time represented one or more Yamana Shares that were transferred to Pan American pursuant to the Arrangement has been lost, stolen or destroyed, this Letter of Transmittal should be completed as fully as possible and forwarded together with a letter describing the loss to the Depositary. The Depositary will respond with the replacement requirements in order to receive payment of the Consideration and, if applicable, any Fractional Cash and/or Dividends that such Yamana Shareholder is entitled to receive in accordance with the Plan of Arrangement.

 

Option #2: Alternatively, Registered Yamana Shareholders whose lost, stolen, or destroyed certificate(s) immediately prior to the Effective Time represented one or more Yamana Shares that were transferred to Pan American pursuant to the Arrangement may participate in the Depositary's blanket bond program with Aviva Insurance Company of Canada by completing Box E above, and submitting the applicable certified cheque or money order made payable to Computershare Investor Services Inc.

 

If a certificate representing Yamana Shares has been lost, stolen or destroyed, either of the foregoing actions must be taken sufficiently in advance of the sixth anniversary of the Effective Date in order to satisfy the replacement requirements in sufficient time to permit the Yamana Shares to be deposited with the Depositary at or prior to the sixth anniversary of the Effective Date.

 

7. Status as a “U.S. person”

 

The following does not constitute a summary of the tax consequences of the Arrangement, and Yamana Shareholders should review the discussions in the Circular under the heading “Certain Income and Other Tax Considerations” and consult with their own tax advisors regarding the tax consequences of the Arrangement.

 

Each U.S. Shareholder that is a “U.S. person” (as defined below), which is receiving consideration in connection with the Arrangement is generally required under U.S. federal income tax law to provide the Depositary with his, her or its TIN on the IRS Form W-9 which is provided above, and to certify whether such holder is subject to backup withholding of U.S. federal income tax. If the U.S. persons does not provide the correct TIN or an adequate basis for exemption, such U.S. person may be subject to 24% backup withholding on the Cash Consideration and any Fractional Cash due to such holder in connection with the Arrangement. Backup withholding is not an additional tax. Rather, the U.S. federal income tax liability of persons subject to backup withholding will be reduced by the amount of tax withheld. If backup withholding results in an overpayment of taxes, a refund may be obtained by the holder from the IRS, provided that the required information is timely furnished to the IRS. The Depositary cannot refund amounts withheld by reason of backup withholding. Failure to provide a correct TIN may result in additional fines. More serious penalties may be imposed for providing false information which, if willfully done, may result in fines and/or imprisonment.

 

For purposes of this Letter of Transmittal, you are a “U.S. person” if you are (a) an individual citizen or resident alien of the United States as determined for U.S. federal income tax purposes; (b) a corporation (including an entity taxable as a corporation) created or organized in or under the laws of the United States or any state in the United States or the District of Columbia; (c) an estate the income of which is subject to United States federal income tax regardless of its source; (d) a trust if: (i) a court within the United States is able to exercise primary jurisdiction over its administration and one or more U.S. persons have the authority to control all substantial decisions of the trust; or (ii) that has a valid election in effect under applicable Treasury regulations to be treated as a U.S. person; or (e) a partnership, limited liability company or other entity classified as a partnership for United States federal income tax purposes that is created or organized in or under the laws of the United States or any state in the United States or the District of Columbia.

 

 

 - 26 - 

 

Exempt holders (including, among others, corporations) are not subject to backup withholding requirements. To prevent possible erroneous backup withholding, an exempt holder must enter its correct TIN in the IRS Form W-9 and sign and date the form.

 

If a U.S. Shareholder has not been issued a TIN and has applied for one or intends to apply for one in the near future, such holder should write “Applied For” in the space provided for the TIN in the IRS Form W-9, and sign and date the IRS Form W-9 and the Certificate of Awaiting Taxpayer Identification Number. If “Applied For” is written in the IRS Form W-9 and the Depositary is not provided with a TIN within 60 days, the Depositary may withhold 24% of the Cash Consideration and any Fractional Cash due to such holder in connection with the Arrangement until a TIN is provided to the Depositary.

 

Each U.S. Shareholder that is not a U.S. person should instead submit an appropriate and properly completed IRS Form W-8, signed under penalty of perjury, certifying the U.S. Shareholder’s foreign status to avoid backup withholding. The applicable IRS Forms W-8 and accompanying instructions can be found on the IRS website at https://www.irs.gov/forms-pubs/about-form-w-8.

 

A U.S. SHAREHOLDER WHO FAILS TO PROPERLY COMPLETE THE IRS FORM W-9 SET OUT IN THIS LETTER OF TRANSMITTAL OR THE APPROPRIATE IRS FORM W-8 MAY BE SUBJECT TO BACKUP WITHHOLDING OF 24% OF THE CASH CONSIDERATION AND ANY FRACTIONAL CASH PAID TO SUCH HOLDER PURSUANT TO THE ARRANGEMENT. BACKUP WITHHOLDING IS NOT AN ADDITIONAL TAX. RATHER, THE TAX LIABILITY OF PERSONS SUBJECT TO BACKUP WITHHOLDING WILL BE REDUCED BY THE AMOUNT OF TAX WITHHELD. IF BACKUP WITHHOLDING RESULTS IN AN OVERPAYMENT OF TAXES, A REFUND MAY BE OBTAINED BY TIMELY FILING A CLAIM FOR REFUND WITH THE IRS. THE DEPOSITARY CANNOT REFUND AMOUNTS WITHHELD BY REASON OF BACKUP WITHHOLDING.

 

EACH HOLDER OF YAMANA SHARES IS URGED TO CONSULT HIS, HER OR ITS OWN TAX ADVISOR TO DETERMINE WHETHER SUCH HOLDER IS REQUIRED TO FURNISH AN IRS FORM W-9 OR THE APPROPRIATE IRS FORM W-8 OR IS EXEMPT FROM BACKUP WITHHOLDING AND INFORMATION REPORTING.

 

8. Direct Registration System

 

Consideration Shares to be issued pursuant to the Arrangement will be issued in the Direct Registration System, or DRS. The DRS is a system that allows you to hold your Consideration Shares in “book-entry” form without having a physical share certificate issued as evidence of ownership. Instead, your Consideration Shares will be held in your name and registered electronically in Pan American’s and Agnico's, as applicable, records, which will be maintained by their respective transfer agents, Computershare Investor Services Inc., in its capacity as the registrar and transfer agent for the Pan American Shares (“Computershare Investor Services”) and Computershare Trust Company of Canada, in its capacity as the registrar and transfer agent for the Agnico Shares (“Computershare Trust”). The Direct Registration System eliminates the need for shareholders to safeguard and store certificates, it avoids the significant cost of a surety bond for the replacement of, and the effort involved in replacing, physical certificate(s) that might be lost, stolen or destroyed and it permits/enables electronic share transactions.

 

Upon completion of the Arrangement you will receive an initial DRS statement acknowledging the number of Consideration Shares you hold in your DRS account. Each time you have any movement of Consideration Shares into or out of your DRS account, you will be mailed an updated DRS statement. You may request a DRS statement at any time by contacting, in respect of the Pan American Shares, Computershare Investor Services and, in respect of the Agnico Shares, Computershare Trust.

 

Following receipt of the DRS statements representing your Consideration Shares, you may request a share certificate for all or a portion of the Consideration Shares held in your DRS account. Simply contact, in respect of the Pan American Shares, Computershare Investor Services, and in respect of the Agnico Shares, Computershare Trust, with your request. A share certificate for the requested number of Consideration Shares will be sent to you by first class mail upon receipt of your instructions, at no cost to you.

 

 

 - 27 - 

 

9. Privacy Notice

 

Computershare is committed to protecting your personal information. In the course of providing services to you and our corporate clients, we receive non-public personal information about you - from transactions we perform for you, forms you send us, other communications we have with you or your representatives, etc. This information could include your name, contact details (such as residential address, correspondence address, email address), social insurance number, survey responses, securities holdings and other financial information. We use this to administer your account, to better serve your and our clients' needs and for other lawful purposes relating to our services. Computershare may transfer personal information to other companies in or outside of Canada that provide data processing and storage or other support in order to facilitate the services it provides. Where we share your personal information with other companies to provide services to you, we ensure they have adequate safeguards to protect your personal information. We also ensure the protection of rights of data subjects under the General Data Protection Regulation, where applicable. We have prepared a Privacy Code to tell you more about our information practices, how your privacy is protected and how to contact our Chief Privacy Officer. It is available at our website, www.computershare.com, or by writing to us at 100 University Avenue, 8th Floor, Toronto, Ontario, M5J 2Y1. Computershare will use the information you are providing in order to process your request and will treat your signature(s) as your consent to us so doing.

 

10. Jurisdiction of Residence

 

The following does not constitute a summary of the tax consequences of the Arrangement, and Yamana Shareholders should review the discussion in the Circular under the heading “Certain Income Tax Considerations” and consult with their own tax advisors regarding the tax consequences of the Arrangement.

 

Each Registered Yamana Shareholder depositing Yamana Shares to the Depositary under this Letter of Transmittal must represent whether the Beneficial Owner of any payments made pursuant to the Arrangement is a resident of Canada for purposes of the Tax Act by completing Part 1 of Box G entitled “Jurisdiction of Residence” above. Failure to complete Part 1 may result in the Beneficial Owner being treated as a non-resident of Canada subject to non-resident withholding tax for purposes of the Tax Act.

 

In addition, each Registered Yamana Shareholder depositing Yamana Shares to the Depositary under this Letter of Transmittal that represents in Part 1 of Box G entitled “Jurisdiction of Residence” above that the Beneficial Owner of any payments made pursuant to the Arrangement is not a resident of Canada for purposes of the Tax Act must complete Part 2 of Box G entitled “Jurisdiction of Residence” addressing whether the non-resident Beneficial Owner is entitled to a reduced rate of withholding under an applicable income tax convention or treaty and whether the non-resident Beneficial Owner must properly complete the attached Form NR 301 (or, in the case of a partnership or hybrid entity, Form NR 302 or NR 303, as applicable). Non-resident Beneficial Owners who do not complete Part 2 of Box G or who do not properly complete and provide a Form NR 301 (or, in the case of a partnership or hybrid entity, Form NR 302 or NR 303, as applicable, may be assumed to be subject to 25% Canadian non-resident withholding tax rate on any relevant amounts.

 

FAILURE TO PROVIDE THIS INFORMATION MAY RESULT IN THE APPLICATION OF A 25% WITHHOLDING TAX RATE TO ANY RELEVANT AMOUNTS, INCLUDING ANY DEEMED DIVIDEND ARISING IN CONNECTION WITH THE ARRANGEMENT.

 

11. Payment Entitlement Pickup Location

 

Pick-up instructions must be selected in Box A. Entitlements may be picked up at the office of the Depositary in Toronto, located at:

 

Computershare Investor Services Inc.
100 University Avenue
8
th Floor, North Tower
Toronto, Ontario M5J 2Y1

 

 

 

 

The Depositary for the Arrangement is:

 

COMPUTERSHARE INVESTOR SERVICES INC.

 

By Hand or by Courier

 

100 University Avenue, 8th Floor, North Tower

Toronto, Ontario

M5J 2Y1

 

By Mail

 

P.O. Box 7021
31 Adelaide St E
Toronto, ON M5C 3H2
Attention: Corporate Actions

 

For Inquiries Only:

 

Toll Free: 1-800-564-6253

E-Mail: corporateactions@computershare.com

 

Delivery of this Letter of Transmittal to an address other than as set forth above does not constitute a valid delivery.